KELOMPOK b
KETUA :
NI LUH GEDE WITASARI (02)
HP : 081999112677
ANGGOTA KELOMPOK :
1.I PUTU PRAMANA PUTRA (18)
2.NI WAYAN NITA ANGGRENI (21)
3.NI KADE INDAH PADMA YANI (31)
4.I GUSTI AYU PUTU DIAN PUTRI LESTARI (32)

TUGAS II
1. Cara Pemfaktoran.
a. x2 + 5x – 50 = 0
x2 + 10x – 5x – 50 = 0
x( x + 10 ) – 5 ( x + 10 ) = 0
( x – 5 ) ( x + 10 ) = 0
( x – 5) = 0 atau (x + 10) = 0

b. x2 + 3x = 0
x(x+3)=0
x = 0 atau (x + 3) = 0
c. x2 – 4 = 0
(x–2)(x+2)
Diuji = ( x – 2 ) ( x + 2 )
= x2 + 2x –2x – 4
= x2 – 4
(x – 2) = 0 atau (x + 2) = 0

d. 2x2 + 3x + 1 = 0
2x2 + 1x + 2x + 1 = 0
x ( 2x + 1 ) + 1 ( 2x + 1 ) = 0
( x + 1 ) ( 2x + 1 ) = 0
(x + 1) = 0 atau (2x + 1) = 0

e. 3x2 + 5x – 2 = 0
3x2 + 6x – 1x – 2 = 0
3x ( x + 2 ) – 1 ( x + 2 ) = 0
( 3x – 1 ) ( x + 2 ) = 0
(3x – 1) = 0 atau( x + 2) = 0

2. Dengan Melengkapkan Kuadrat Sempurna yaitu Diubah Menjadi
Bentuk x2 = p
2

a.2

- 14 + 12 = 0

2

-7 +6=0

2

-

+3=0

2

-

=-3

)2 = -3 +

1.2

1

1

=

1=

2

2

:2
2

=

2=

b.

2

+5 +4=0

2

+

+2=0

:2
2

2

2

3.Menggunakan Rumus ABC.
a.

a = 1, b= -15, c= 30
b.

a = 1, b = 8, c = -20

1.2

1.2

-4

6
1
1

-2

2

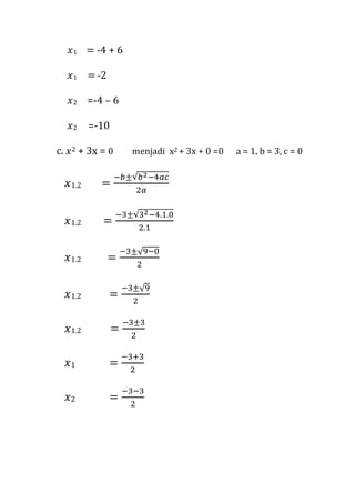
=-4 – 6

2

c.

-4 + 6

=-10

2

+3 =0

1.2

1.2

1.2

1.2

1.2

1

2

menjadi x2 + 3x + 0 =0

a = 1, b = 3, c = 0
4. Menentukan p agar persamaan kuadrat (p + 3)x2 + 3x – 4 = 0 mempunyai dua
akar sama.

Tugas ii (2)

  • 1.
    KELOMPOK b KETUA : NILUH GEDE WITASARI (02) HP : 081999112677 ANGGOTA KELOMPOK : 1.I PUTU PRAMANA PUTRA (18) 2.NI WAYAN NITA ANGGRENI (21) 3.NI KADE INDAH PADMA YANI (31) 4.I GUSTI AYU PUTU DIAN PUTRI LESTARI (32) TUGAS II 1. Cara Pemfaktoran. a. x2 + 5x – 50 = 0 x2 + 10x – 5x – 50 = 0 x( x + 10 ) – 5 ( x + 10 ) = 0 ( x – 5 ) ( x + 10 ) = 0 ( x – 5) = 0 atau (x + 10) = 0 b. x2 + 3x = 0 x(x+3)=0 x = 0 atau (x + 3) = 0
  • 2.
    c. x2 –4 = 0 (x–2)(x+2) Diuji = ( x – 2 ) ( x + 2 ) = x2 + 2x –2x – 4 = x2 – 4 (x – 2) = 0 atau (x + 2) = 0 d. 2x2 + 3x + 1 = 0 2x2 + 1x + 2x + 1 = 0 x ( 2x + 1 ) + 1 ( 2x + 1 ) = 0 ( x + 1 ) ( 2x + 1 ) = 0 (x + 1) = 0 atau (2x + 1) = 0 e. 3x2 + 5x – 2 = 0 3x2 + 6x – 1x – 2 = 0 3x ( x + 2 ) – 1 ( x + 2 ) = 0 ( 3x – 1 ) ( x + 2 ) = 0 (3x – 1) = 0 atau( x + 2) = 0 2. Dengan Melengkapkan Kuadrat Sempurna yaitu Diubah Menjadi Bentuk x2 = p
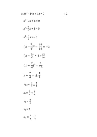
  • 3.
    2 a.2 - 14 +12 = 0 2 -7 +6=0 2 - +3=0 2 - =-3 )2 = -3 + 1.2 1 1 = 1= 2 2 :2
  • 4.
  • 5.
  • 6.
    b. a = 1,b = 8, c = -20 1.2 1.2 -4 6
  • 7.
    1 1 -2 2 =-4 – 6 2 c. -4+ 6 =-10 2 +3 =0 1.2 1.2 1.2 1.2 1.2 1 2 menjadi x2 + 3x + 0 =0 a = 1, b = 3, c = 0
  • 8.
    4. Menentukan pagar persamaan kuadrat (p + 3)x2 + 3x – 4 = 0 mempunyai dua akar sama.