AZƏRBAYCANRESPUBLIKASININTƏHSILNAZIRLIYI
ASTARARAYONTƏHSILŞÖBƏSI
Z.Ə.ƏHMƏDZADƏADINA2SAYLIPENSƏRKƏNDTAMORTA
MƏKTƏB-LISEY
MÖVZU:TSIKLOALKANLAR
MÜƏLLIM:ŞABALA ƏLIYEV
QAPALI ZƏNCIRLI DOYMUŞ
KARBOHIDROGENLƏRƏ TSIKLOALKANLAR
DEYILIR
Tsikloalkanların homoloji sırasının ümumi
formulu:𝑪 𝒏 𝑯 𝟐𝒏n≥ 𝟑
Təsnifatı:
Tsikldəki karbon atomlarının sayına görə tsikloalkanlar
aşağıdakı kimi təsnif edilir:
1)Kiçik tsikllər(3- və 4 üzvlü)
2)Adi (normal)tsikllər (5-7 üzvlü)
3)Orta tsikllər(8-11 üzvlü)
4)Makrotsikllər(≥ 𝟏𝟐 üzvlü)
NAMENKLATURASI
Tsikloalkanları adlandırmaq üçün müvafiq karbonlu alkanın adının əvvəlinə «tsiklo» perfiksi əlavə
edilir.
Bu maddələri həmçinin -𝑪𝑯 𝟐-(metilen qruplarının sayına görə də adlandırırlar):
tsiklopropan tsiklobutan tsiklopentan tsikloheksan
trimetilen tetrametilen pentametilen heksametilen
Yan zəncirində əvəzləyiciləri olan törəmələri adlandıranda əvəzləyicinin adına
nüvənin adı əlavə edilir.
Əvəzləyici tək olsa,nömrələnmir,bir dən çox olsa.elə nömrələnir ki,rəqəmlərin cəmi
minimal olsun
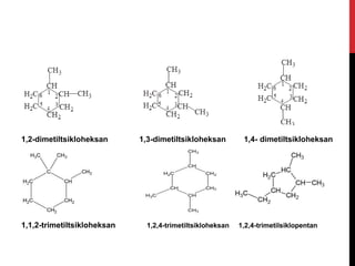
1,2-dimetiltsikloheksan 1,3-dimetiltsikloheksan 1,4- dimetiltsikloheksan
1,1,2-trimetiltsikloheksan 1,2,4-trimetiltsikloheksan 1,2,4-trimetilsiklopentan
İZOMERLIYI
Tsikloalkanlar üçün quruluş və fəza izomerləri mövcuddur.
I.Quruluş izomerləri:
1)Nüvə (tsikl) izomerliyi.(Tsiklobutandan başlayır)
və
Metiltsiklopropan tsiklobutan
2) Tsikldə əvəzləyicilərin vəziyyətinə görə:
və
1,1-dimetiltsiklopropan 1,2-dimetiltsiklopropan
3)Əvəzləyicilərə görə izomerlik :
etiltsiklopropan 1,2-dimetiltsiklopropan
4)Siniflərarası(alkenlərlə) CH2=CH-CH-CH3
II.Fəza izomerliyi (Həndəsi;sis-,trans-)
Əvəzləyicilərin karbon skeletinin müstəvisinə nəzərən
vəziyyətinə görə yarınır
Sis-1,2-dimetiltsiklopropan trans-1,2-dimetiltsiklopropan
Sis-1,2-dimetiltsiklobutan Trans-1,2- dimetiltsiklobutan
Tsikloalkanların molekul quruluşu
Alkanlarda olduğu kimi tsikloalkanlarda bütün C atomları 𝒔𝒑 𝟑
hibrid
halındadır,bütün rabitələr 𝝈 dır
Valent bucaqları isə müxtəlifdir:(düzgün çoxbucaqlının bir
bucağını tapmaq üçün istfadə olunan düsturu yadımıza salaq:
(
𝟐𝒅(𝒏−𝟐)
𝒏
) Beəliklə bərabərtərəfli üçbuvağın bir daxıil bicağı
60° , 𝒌𝒗𝒂𝒅𝒓𝒂𝒕𝒅𝒂 90°𝐯ə 𝐬.
Həndəsi formasına görə tsiklopropan molekulu təpələrində C atomları
yerləşən bərabərtərəfli üçbucaqdır.C atomlarının nüvələrini birləşdirən
xətlər arasındakı bucaq 60° dir.Üçbucaq müstəvisinin üst və altında H
atomları yerləşir.
Qarşılıqlı itələmə qüvvələrinin böyük olması səbəbindən karbon
atomlarının hibrid orbitallarının bir birini örtməsi rabitə yaradan C
atomlarını birləşdirən düz xətt boyunca deyil,müəyyən bucaq altında
tsikl sahəsindən kənarda baş verir.
Bununla əlaqədar olaraq üçüzvlü tsikl daha davamsızdır və
C-C rabitələrinin qırılması hesabına asanlıqla açılır.
FIZIKI XASSƏLƏRI
Tsiklopropan və tsiklobutan otaq temperatutunda qazdırlar.
Orta nümayəndələri praktik olaraq suda həll olmayan mayelər,ali
tsikloalkanlar isə bərk maddələrdir.
Kiçik tsikllərə təbiətdə tast gəlinmir,sintetik yolla alırlar.
Tsiklopentan və tsikloheksan bəzi neftlərin tərkibində rast
gəlinir,ona görə tsikloalkanlara naftenlər də deyilir.
Tsikloalkanlar narkotik təsirə malikdir.Tsiklopropandan
cərrahiyyə əməliyyatları zaman ümumi narkoz kimi istifadə
edilir.
O,zərərsizdir və arzuedilməz əlavə effektlər yaratmır.
Tsikloakanları1883-cü ildə rus alimi V.V.Markovnikov Bakı
neftində kəşf etmişdir.
.
KIMYƏVI XASSƏLƏRI
Kiçik tsikllər davamsızdır.Onlar üçün birləşmə reaksiyaları
xarakterikdir.
Birləşmə reaksiyaları ion mexanizmi ilə baş verir.(C-C)
rabitəsi heterolitik qırılır).Tsikl nə qədər kişik olsa,birləşmə
reaksiyaları daha asan baş verir.
1)Hidrogenlə qarşılıqlı təsir:
a)
b) + Н2
c) +H2
+ Н2
C80t;Pt o

 СН3 – СН2 – СН3
СН3 – СН2 – СН2 – СН3
СН3 – СН2 – СН2 – СН2 – СН3
Tsikloheksan hidrogen birləşdirmir.
Yan zəncirdə əvəzləyici olsa müxtəlif məhsullar alınır:
2)Halogenlərlə qarşılıqlı təsir:
Tsiklopropan və tsiklobutan halogen birləşdirir
+ Br2 →
3. Hidrogen halogenidlərlə qarşılıqlı təsir:
Tsiklopropan və tsiklobutan hidrogen halogenid birləşdirir:
Yanz zəncirdə əvəzləyicilər olsa,müxtəlif məhsullar alınır.
+ HBr 
CH2 CH3CH2
Br
Davamlı tsikllər üçün aşağıdakı reaksiyalar mövcuddur:
I.Əvəzetmə:
1)Halogenlərlə qarşılıqlı təsir(reaksiya radikal mexanizmiilə
baş verir)
+ HBr
2)HNO3 ilə qarşılıqlı təsir.
Yan zəncirdə əvəzləyicilər olsa müxtəlif məhsullar əmələ gəlir
+ Br2


h
II.Dehidrogenləşmə reaksiyaları
+ 3Н2
Bütün tsikllər üçün xarakterik reaksiyalar:
a)Oksidləşmə reaksiyaları:
Qüvvətli oksidləşdiricilərin təsirindən (KMnO4, K2Cr2O7)
tsiklo alkanlar doymuş ikiəsaslı karbon turşularına oksidləşir:
b)İzomerləşmə reaksiyaları.(reaksiya tsiklin davamlılığının
artması istiqamətində baş verir
c)Yanma(tam oksidləşmə) 𝑪 𝒏 𝑯 𝟐𝒏+
𝟑𝒏
𝟐
𝑶 𝟐 →nC𝑶 𝟐+n𝑯 𝟐O
2С3Н6 + 9О2  6СО2 + 6Н2О
ALINMA ÜSULLARI
1)Halogenləri bir-birindən aralı yerləşən alkil dihalogenidlərə
aktiv metallarla təsir etməklə(laboratoriya üsulu)
+ 2Na + 2NaCI
Yan zəncirdə şaxələnməsi olan tsikloalkanları bir neçə
maddədən almaq mümkündür.
Məsələn,metiltsiklopentanı aşağıdakı maddələrdən almaq
olar
a)1,5-dixlorheksan
b)1,5-dixlor-2-metilpentan
c)1,5-dixlor-3-metilpentan
2)Aromatik karbohidrogenlərin hidrogenləşdirilməsindən
+ 3H2
+ 3H2
TSIKLOALKANLARIN
TƏTBIQI
Tsiklopentan-sənayedə həlledici kimi,motor yanacağının
keyfiyyətinin yaxşılaşdırılmasında;
Tsiklopropan tibdə narkoz kimi;
Tsikloheksan-üzvi sintezdə (kapron,neylonun alınmasında);
Neft-kimya sənayesində aromatik karbohidrogenlərin
alınması.
Diqqətinizə görə
Təşəkkür edirəm

Tsikloalkanlar

  • 1.
  • 2.
    QAPALI ZƏNCIRLI DOYMUŞ KARBOHIDROGENLƏRƏTSIKLOALKANLAR DEYILIR Tsikloalkanların homoloji sırasının ümumi formulu:𝑪 𝒏 𝑯 𝟐𝒏n≥ 𝟑 Təsnifatı: Tsikldəki karbon atomlarının sayına görə tsikloalkanlar aşağıdakı kimi təsnif edilir: 1)Kiçik tsikllər(3- və 4 üzvlü) 2)Adi (normal)tsikllər (5-7 üzvlü) 3)Orta tsikllər(8-11 üzvlü) 4)Makrotsikllər(≥ 𝟏𝟐 üzvlü)
  • 3.
    NAMENKLATURASI Tsikloalkanları adlandırmaq üçünmüvafiq karbonlu alkanın adının əvvəlinə «tsiklo» perfiksi əlavə edilir. Bu maddələri həmçinin -𝑪𝑯 𝟐-(metilen qruplarının sayına görə də adlandırırlar): tsiklopropan tsiklobutan tsiklopentan tsikloheksan trimetilen tetrametilen pentametilen heksametilen Yan zəncirində əvəzləyiciləri olan törəmələri adlandıranda əvəzləyicinin adına nüvənin adı əlavə edilir. Əvəzləyici tək olsa,nömrələnmir,bir dən çox olsa.elə nömrələnir ki,rəqəmlərin cəmi minimal olsun
  • 4.
    1,2-dimetiltsikloheksan 1,3-dimetiltsikloheksan 1,4-dimetiltsikloheksan 1,1,2-trimetiltsikloheksan 1,2,4-trimetiltsikloheksan 1,2,4-trimetilsiklopentan
  • 5.
    İZOMERLIYI Tsikloalkanlar üçün quruluşvə fəza izomerləri mövcuddur. I.Quruluş izomerləri: 1)Nüvə (tsikl) izomerliyi.(Tsiklobutandan başlayır) və Metiltsiklopropan tsiklobutan 2) Tsikldə əvəzləyicilərin vəziyyətinə görə: və 1,1-dimetiltsiklopropan 1,2-dimetiltsiklopropan
  • 6.
    3)Əvəzləyicilərə görə izomerlik: etiltsiklopropan 1,2-dimetiltsiklopropan 4)Siniflərarası(alkenlərlə) CH2=CH-CH-CH3 II.Fəza izomerliyi (Həndəsi;sis-,trans-) Əvəzləyicilərin karbon skeletinin müstəvisinə nəzərən vəziyyətinə görə yarınır
  • 7.
    Sis-1,2-dimetiltsiklopropan trans-1,2-dimetiltsiklopropan Sis-1,2-dimetiltsiklobutan Trans-1,2-dimetiltsiklobutan Tsikloalkanların molekul quruluşu Alkanlarda olduğu kimi tsikloalkanlarda bütün C atomları 𝒔𝒑 𝟑 hibrid halındadır,bütün rabitələr 𝝈 dır
  • 8.
    Valent bucaqları isəmüxtəlifdir:(düzgün çoxbucaqlının bir bucağını tapmaq üçün istfadə olunan düsturu yadımıza salaq: ( 𝟐𝒅(𝒏−𝟐) 𝒏 ) Beəliklə bərabərtərəfli üçbuvağın bir daxıil bicağı 60° , 𝒌𝒗𝒂𝒅𝒓𝒂𝒕𝒅𝒂 90°𝐯ə 𝐬.
  • 9.
    Həndəsi formasına görətsiklopropan molekulu təpələrində C atomları yerləşən bərabərtərəfli üçbucaqdır.C atomlarının nüvələrini birləşdirən xətlər arasındakı bucaq 60° dir.Üçbucaq müstəvisinin üst və altında H atomları yerləşir. Qarşılıqlı itələmə qüvvələrinin böyük olması səbəbindən karbon atomlarının hibrid orbitallarının bir birini örtməsi rabitə yaradan C atomlarını birləşdirən düz xətt boyunca deyil,müəyyən bucaq altında tsikl sahəsindən kənarda baş verir.
  • 10.
    Bununla əlaqədar olaraqüçüzvlü tsikl daha davamsızdır və C-C rabitələrinin qırılması hesabına asanlıqla açılır.
  • 11.
    FIZIKI XASSƏLƏRI Tsiklopropan vətsiklobutan otaq temperatutunda qazdırlar. Orta nümayəndələri praktik olaraq suda həll olmayan mayelər,ali tsikloalkanlar isə bərk maddələrdir. Kiçik tsikllərə təbiətdə tast gəlinmir,sintetik yolla alırlar. Tsiklopentan və tsikloheksan bəzi neftlərin tərkibində rast gəlinir,ona görə tsikloalkanlara naftenlər də deyilir. Tsikloalkanlar narkotik təsirə malikdir.Tsiklopropandan cərrahiyyə əməliyyatları zaman ümumi narkoz kimi istifadə edilir. O,zərərsizdir və arzuedilməz əlavə effektlər yaratmır. Tsikloakanları1883-cü ildə rus alimi V.V.Markovnikov Bakı neftində kəşf etmişdir. .
  • 12.
    KIMYƏVI XASSƏLƏRI Kiçik tsikllərdavamsızdır.Onlar üçün birləşmə reaksiyaları xarakterikdir. Birləşmə reaksiyaları ion mexanizmi ilə baş verir.(C-C) rabitəsi heterolitik qırılır).Tsikl nə qədər kişik olsa,birləşmə reaksiyaları daha asan baş verir. 1)Hidrogenlə qarşılıqlı təsir: a) b) + Н2 c) +H2 + Н2 C80t;Pt o   СН3 – СН2 – СН3 СН3 – СН2 – СН2 – СН3 СН3 – СН2 – СН2 – СН2 – СН3
  • 13.
    Tsikloheksan hidrogen birləşdirmir. Yanzəncirdə əvəzləyici olsa müxtəlif məhsullar alınır:
  • 14.
    2)Halogenlərlə qarşılıqlı təsir: Tsiklopropanvə tsiklobutan halogen birləşdirir + Br2 → 3. Hidrogen halogenidlərlə qarşılıqlı təsir: Tsiklopropan və tsiklobutan hidrogen halogenid birləşdirir: Yanz zəncirdə əvəzləyicilər olsa,müxtəlif məhsullar alınır. + HBr  CH2 CH3CH2 Br
  • 15.
    Davamlı tsikllər üçünaşağıdakı reaksiyalar mövcuddur: I.Əvəzetmə: 1)Halogenlərlə qarşılıqlı təsir(reaksiya radikal mexanizmiilə baş verir) + HBr 2)HNO3 ilə qarşılıqlı təsir. Yan zəncirdə əvəzləyicilər olsa müxtəlif məhsullar əmələ gəlir + Br2   h
  • 17.
    II.Dehidrogenləşmə reaksiyaları + 3Н2 Bütüntsikllər üçün xarakterik reaksiyalar: a)Oksidləşmə reaksiyaları: Qüvvətli oksidləşdiricilərin təsirindən (KMnO4, K2Cr2O7) tsiklo alkanlar doymuş ikiəsaslı karbon turşularına oksidləşir:
  • 18.
    b)İzomerləşmə reaksiyaları.(reaksiya tsiklindavamlılığının artması istiqamətində baş verir c)Yanma(tam oksidləşmə) 𝑪 𝒏 𝑯 𝟐𝒏+ 𝟑𝒏 𝟐 𝑶 𝟐 →nC𝑶 𝟐+n𝑯 𝟐O 2С3Н6 + 9О2  6СО2 + 6Н2О
  • 19.
    ALINMA ÜSULLARI 1)Halogenləri bir-birindənaralı yerləşən alkil dihalogenidlərə aktiv metallarla təsir etməklə(laboratoriya üsulu) + 2Na + 2NaCI Yan zəncirdə şaxələnməsi olan tsikloalkanları bir neçə maddədən almaq mümkündür. Məsələn,metiltsiklopentanı aşağıdakı maddələrdən almaq olar
  • 20.
  • 21.
  • 22.
    TSIKLOALKANLARIN TƏTBIQI Tsiklopentan-sənayedə həlledici kimi,motoryanacağının keyfiyyətinin yaxşılaşdırılmasında; Tsiklopropan tibdə narkoz kimi; Tsikloheksan-üzvi sintezdə (kapron,neylonun alınmasında); Neft-kimya sənayesində aromatik karbohidrogenlərin alınması.
  • 23.