ปจจัยที่สงผลตอการพัฒนาตนเอง ของนักเรียนมัธยมศึกษาปที่ 6
สํานักงานเขตพื้นที่การศึกษามัธยมศึกษา เขต 19
(เลย - หนองบัวลําภู)
วิทยานิพนธ.
ของ
สุพร มูลศรี
เสนอตอมหาวิทยาลัยมหาสารคาม เพื่อเป1นสวนหนึ่งของการศึกษาตามหลักสูตร
ปริญญาการศึกษามหาบัณฑิต สาขาวิชาการวิจัยการศึกษา
ตุลาคม 2555
ลิขสิทธิ์เป1นของมหาวิทยาลัยมหาสารคาม
ปจจัยที่สงผลตอการพัฒนาตนเอง ของนักเรียนมัธยมศึกษาปที่ 6
สํานักงานเขตพื้นที่การศึกษามัธยมศึกษา เขต 19
(เลย - หนองบัวลําภู)
วิทยานิพนธ.
ของ
สุพร มูลศรี
เสนอตอมหาวิทยาลัยมหาสารคาม เพื่อเป1นสวนหนึ่งของการศึกษาตามหลักสูตร
ปริญญาการศึกษามหาบัณฑิต สาขาวิชาการวิจัยการศึกษา
ตุลาคม 2555
ลิขสิทธิ์เป1นของมหาวิทยาลัยมหาสารคาม
วิทยานิพนธ.ฉบับนี้ ได<รับทุนอุดหนุนการวิจัยงบประมาณเงินรายได< ประจําปงบประมาณ 2555
คณะศึกษาศาสตร. มหาวิทยาลัยมหาสารคาม
และ
วิทยานิพนธ.ฉบับนี้ ได<รับทุนอุดหนุนการวิจัยจากสถาบันสงเสริมการสอนวิทยาศาสตร.
และเทคโนโลยี (สสวท.)
ประกาศคุณูปการ
วิทยานิพนธฉบับนี้สําเร็จไดดวยความกรุณาจาก รองศาสตราจารย ดร.ประวิต เอราวรรณ
ประธานกรรมการควบคุมวิทยานิพนธ และผศ.ดร.ประเสริฐ เรือนนะการ กรรมการควบคุมวิทยานิพนธ
รองศาสตราจารย ดร.พิสมัย ศรีอําไพ ประธานกรรมการสอบวิทยานิพนธ และพลอากาศตรี ดร.อนันต
ศรีอําไพ ผูทรงคุณวุฒิ ที่กรุณาใหคําปรึกษาแนะนําและตรวจสอบแกไขขอบกพร2องจนวิทยานิพนธฉบับ
นี้สมบูรณ ผูวิจัยขอขอบพระคุณเป3นอย2างสูงไว ณ ที่นี้
ขอขอบคุณ คณาจารยภาควิชาวิจัยและพัฒนาการศึกษา คณะศึกษาศาสตร
มหาวิทยาลัยมหาสารคาม ทุกท2าน ที่ไดประสิทธิ์ประสาทวิชาความรูและประสบการณอันมีค2ายิ่ง
ขอขอบคุณอาจารย ดร.สุนทรพจน ดํารงพานิช คุณครูกัญจกมล มาลี คุณครูศิริชนก จุลนาง
ผูอํานวยการเล็ก ขมิ้นเขียว นายกิตติศักดิ์ กลาแข็ง ที่กรุณาเป3นผูเชี่ยวชาญ อุทิศเวลาอันมีค2า
ถ2ายทอดพื้นฐานความเขาใจและความสําคัญของศาสตรทางจิตวิทยาไวอย2างละเอียด ลึกซึ้งในการตรวจ
แกไขเครื่องมือที่ใชในการวิจัย อีกทั้งใหคําแนะนําที่มีคุณค2าต2อการพัฒนาเครื่องมือ ที่ใชในการวิจัยใหมี
คุณภาพ จนสําเร็จลุล2วงดวยดี
ขอขอบคุณอาจารย ดร.สุนทรพจน ดํารงพานิช และ ผูช2วยศาสตราจารยดร.ประเสริฐ
เรือนนะการ ที่ไดแนะนําการวิเคระหขอมูล สถิติในการวิจัย
ขอขอบคุณสถาบันส2งเสริมการสอนวิทยาศาสตรและเทคโนโลยี (สสวท.) ที่มอบโอกาสใหทุน
ในการศึกษาต2อในระดับบัณฑิตศึกษา และคณะศึกษาศาสตร มหาวิทยาลัยมหาสารคาม ที่ใหทุน
สนับสนุนในการทํางานวิจัยในครั้งนี้
ขอขอบคุณ ผูบริหารสถานศึกษา คณะครูในโรงเรียนที่มีส2วนเกี่ยวของ อํานวยความสะดวก
ในการเก็บรวบรวมขอมูล รวมถึงวิทยานิพนธฉบับนี้จะสําเร็จไม2ไดเลยหากขาดนักเรียนผูให
ความช2วยเหลือทุกท2านที่ใหขอมูลอันเป3นประโยชนอย2างยิ่ง
ขอขอบคุณ ผูบริหารโรงเรียนฝ?@งแดงวิทยาสรรค คณะครูโรงเรียนฝ?@งแดงวิทยาสรรคทุกท2าน
และเพื่อนนิสิต สาขาวิชาการวิจัยการศึกษา รุ2น พ. 23 ศูนย จังหวัดอุดรธานี และทุกท2านที่ไม2ไดกล2าว
นามไว ณ ที่นี้ ที่ไดใหกําลังใจและมีส2วนช2วยใหวิทยานิพนธฉบับนี้สําเร็จลุล2วงไปดวยดี
ขอกราบขอบพระคุณ คุณแม2ประครอง มูลศรี คุณพ2อทองสัน มูลศรี ที่เคารพยิ่ง
ของขาพเจา ผูที่ผูวิจัยรูสึกถึงความยินดีเมื่อเวลามีความสุข และคอยเติมเต็มกําลังใจเมื่อมีความทุกข
ตลอดจนญาติพี่นองทุกคนที่ใหการสนับสนุนช2วยเหลือและเป3นกําลังใจใหกับผูวิจัยดวยดีตลอดมา
คุณค2า และประโยชนของวิทยานิพนธฉบับนี้ ผูวิจัยขอมอบบูชาและรําลึกถึงพระคุณของ
บิดา มารดา ตลอดจนครูอาจารยและผูมีพระคุณทุกท2าน
สุพร มูลศรี
ชื่อเรื่อง ปจจัยที่สงผลตอการพัฒนาตนเอง ของนักเรียนมัธยมศึกษาปที่ 6
สํานักงานเขตพื้นที่การศึกษามัธยมศึกษา เขต 19 (เลย - หนองบัวลําภู)
ผูวิจัย นายสุพร มูลศรี
กรรมการควบคุม รองศาสตราจารย. ดร.ประวิต เอราวรรณ.
ผู4ชวยศาสตราจารย. ดร.ประเสริฐ เรือนนะการ
ปริญญา กศ.ม. สาขาวิชา การวิจัยการศึกษา
มหาวิทยาลัย มหาวิทยาลัยมหาสารคาม ปที่พิมพ! 2555
บทคัดย#อ
การวิจัยในครั้งนี้มีความมุงหมายเพื่อ ศึกษาความสัมพันธ.ระหวาง การมองโลกในแงดี
ความเชื่อมั่นในตนเอง แรงจูงใจใฝ>สัมฤทธิ์ การรับรู4ความสามารถของตนเอง การควบคุมตนเอง
กับการพัฒนาตนเอง และ ศึกษาอิทธิพลของปจจัยที่สงผลตอการพัฒนาตนเอง ของนักเรียนมัธยมศึกษา
ปที่ 6 สํานักงานเขตพื้นที่การศึกษามัธยมศึกษา เขต 19 (เลย-หนองบัวลําภู) กลุมตัวอยางที่ใช4ใน
การวิจัย คือนักเรียนชั้นมัธยมศึกษาปที่ 6 โรงเรียนในสังกัดสํานักงานเขตพื้นที่การศึกษามัธยมศึกษา
เขต 19 (เลย-หนองบัวลําภู) จํานวน 807 คน โดยการสุมแบบชั้นภูมิและแตละชั้นภูมิสุมอยางงาย
(Stratified Random Sampling) เครื่องมือที่ใช4 ประกอบด4วย แบบวัดการพัฒนาตนเอง จํานวน 15
ข4อ คาอํานาจจําแนกตั้งแต .58 ถึง .82 คาความเชื่อมั่นเทากับ .89 2) และแบบวัดปจจัยที่สงผลตอ
การพัฒนาตนเอง แบงเปTน 5 ด4าน ประกอบด4วยแรงจูงใจใฝ>สัมฤทธิ์ การรับรู4ความสามารถของตนเอง
ความเชื่อมั่นในตนเอง การควบคุมตนเอง การมองโลกในแงดี จํานวน 63 ข4อ คาอํานาจจําแนกตั้งแต
.40 ถึง .94 คาความเชื่อมั่นเทากับ 0.78 วิเคราะห.ข4อมูลโดยใช4สถิติบรรยาย คือ การวิเคราะห.
สหสัมพันธ. Pearson และ วิเคราะห.ข4อมูลโดยใช4สถิติเชิงอ4างอิงเพื่อทดสอบ สมการโครงสร4างเชิงเส4น
(Structural Equation Model)
ผลการวิจัยปรากฏดังนี้
1. ปจจัยที่มีความสัมพันธ.กับการพัฒนาตนเองมากที่สุด คือ การรับรู4ความสามารถของ
ตนเอง รองลงมาแรงจูงใจใฝ>สัมฤทธิ์ การมองโลกในแงดี การควบคุมตนเอง ความเชื่อมั่นในตนเอง
มีคาสัมประสิทธิ์สหสัมพันธ.เทากับ 0.881, 0.874, 0.847, 0.814 และ 0.732 ตามลําดับ ทุกปจจัย
มีความสัมพันธ.ทางบวกกับการพัฒนาตนเอง อยางมีนัยสําคัญทางสถิติ ที่ระดับ .01
2. ปจจัยที่มีอิทธิพลตอการการพัฒนาตนเองมากที่สุด คือ แรงจูงใจใฝ>สัมฤทธิ์ รองลงมา
ความเชื่อมั่นในตนเอง การรับรู4ความสามารถของตนเอง การมองโลกในแงดี การควบคุมตนเอง
มีขนาดน้ําหนักความสําคัญ .457, .328, .300, .185 และ .146 ตามลําดับ ปจจัยที่มีอิทธิพลทางตรงตอ
การพัฒนาตนเอง คือ การรับรู4ความสามารถของตนเอง รองลงมา ความเชื่อมั่นในตนเอง แรงจูงใจใฝ>
สัมฤทธิ์ การมองโลกในแงดี ควบคุมตนเอง มีขนาดน้ําหนักความสําคัญ .300, .255, .201, .185, .146
ตามลําดับ และปจจัยมีอิทธิพลทางตรงและอ4อม คือ การรับรู4ความสามารถของตนเอง มีคาเทากับ .300
แรงจูงใจใฝ>สัมฤทธิ์ มีคาเทากับ .201 โดยปจจัยทั้งหมดสามารถรวมกันอธิบายความแปรปรวนของ
การพัฒนาตนเอง ของนักเรียนมัธยมศึกษาปที่ 6 สํานักงานเขตพื้นที่การศึกษามัธยมศึกษา เขต 19
(เลย - หนองบัวลําภู) ได4ร4อยละ 90.2
โดยสรุป การรับรู4ความสามารถของตนเอง แรงจูงใจใฝ>สัมฤทธิ์ การมองโลกในแงดี
การควบคุมตนเอง ความเชื่อมั่นในตนเอง สงผลตอการพัฒนาตนเองของนักเรียนมัธยมศึกษาปที่ 6
สํานักงานเขตพื้นที่การศึกษามัธยมศึกษา เขต 19 (เลย - หนองบัวลําภู) สามารถนําสารสนเทศ ไปรวม
ในการตัดสินใจ หรือวางแผน ในการจัดกิจกรรมการเรียนการสอน เพื่อเปTนการกระตุ4น สงเสริมให4เกิด
การพัฒนาตนเองตอไป ได4แก การจัดกิจกรรมชุมนุม กิจกรรมคาย อบรม และการจัดทําโครงการ
ดังกลาวควรได4รับการสนับสนุนการพัฒนาตนเองของนักเรียนจากครอบครัว ครูผู4สอน
TITLE The Factors Influencing Self-Development of Matayom 6 Students
Under The Secondary Educational Service Area Office 19
(Loei – Nong Bua Lamphu)
AUTHOR Mr. Suporn Moonsri
ADVISORS Assoc.Prof Dr.Prawit Erawan and Assist.Prof Dr. Prasert Ruannakarn
DEGREE M.Ed. MAJOR Educational Research
UNIVERSITY Mahasarakham University DATE 2012
ABSTRACT
This study aimed to examine relationships among Optimism , Self –
Confidence, Achievement Motivation, Self-Efficacy, Self-Control influencing Self-
Development and to examine Factors influences to the variables on Self -
Development of Matayom 6 Students Under The Secondary Educational Service Area
Office 19 (Loei – Nong Bua Lamphu). The sample used in this study consisted of 807
of Matayom 6 Students Under The Secondary Educational Service Area Office 19 (Loei
– Nong Bua Lamphu) ; obtained using the Stratified Random Sampling technique. The
research instruments used for collecting data were 1) a 15-item scale for Self-
Development with discrimination powers ranging from 0.58 to 0.82 and the reliability
of 0.89 2) a 63-item scale for questionnaire on factors affecting Self-Development as
divided into these 5 aspects : Achievement Motivation, Self-Efficacy, Self-Control, Self -
Confidence, Optimism with discrimination powers ranging from 0.40 to 0.94 and the
reliability of 0.78 . Data analyzed by using a descriptive statistics as Pearson’s product
moment correlation and an inferential statistics for testing the structural equation
modeling analysis.
The research findings were as follows :
1. That causal factor that having the most positive relationship with
Self-Development were Self-Efficacy , Achievement Motivation, Optimism , Self-
Control, Self – Confidence on Self-Development with a statistical significance of .01.
Their correlation coefficients were 0.881, 0.874, 0.847, 0.814 and 0.732 respectively.
2. The causal factor with the most influence on Self-Development were
Self - Confidence, Self-Efficacy, Achievement Motivation, Optimism, Self-Control with
the beta weights of .457, .328, .300, .185 and .146 respectively. All revealed with
statistical significance of .01 . The factor with the most direct influence on Self-
Development were Self-Efficacy, Self - Confidence, Achievement Motivation,
Optimism and Self-Control with the beta weights of .300, .255, .201, .185, .146
respectively. The factors with direct and indirect influence ranked by beta weight
values were Self-Efficacy with the beta weight of .300 and a Achievement Motivation
with the beta weight of .201.All causal Factors could together explained the variation
of Self-Development 90.2 % of Matayom 6 Students Under The Secondary
Educational Service Area Office 19 (Loei – Nong Bua Lamphu).
In conclusion, the Self-Efficacy, Achievement Motivation, Optimism,
Self-Control and Self - Confidence affected on Self-Development of learners of
Matayom 6 Students Under The Secondary Educational Service Area Office 19
(Loei – Nong Bua Lamphu). These information can be used for decision or plan in the
learning management to encourage and support self-Development such as club
activity organization, camp activity and seminar. The parents and teachers should
encourage and support those activities.
สารบัญ
บทที่ หนา
1 บทนํา ............................................................................................................................... 1
ภูมิหลัง ........................................................................................................................ 1
ความมุงหมายของการวิจัย .......................................................................................... 4
ความสําคัญของการวิจัย .............................................................................................. 4
สมมติฐานของการวิจัย ................................................................................................ 5
ขอบเขตของการวิจัย ................................................................................................... 5
นิยามศัพท$เฉพาะ ........................................................................................................ 6
2 เอกสารและงานวิจัยที่เกี่ยวข,อง .................................................................................….. 10
เอกสารที่เกี่ยวข,องกับการพัฒนาตนเอง ....................................................................... 10
ป1จจัยที่สงผลตอการพัฒนาตนเอง ................................................................................ 25
การรับรู,ความสามารถตนเอง .................................................................................. 25
แรงจูงใจใฝ6สัมฤทธิ์ ................................................................................................... 30
การควบคุมตนเอง ................................................................................................... 34
ความเชื่อมั่นในตนเอง ............................................................................................. 46
การมองโลกในแงดี.................................................................................................... 53
งานวิจัยที่เกี่ยวข,อง .................................................................................................... 55
งานวิจัยในประเทศ ............................................................................................... 55
งานวิจัยตางประเทศ ............................................................................................ 64
กรอบแนวคิดในการวิจัย ................................................................................................ 65
3 วิธีดําเนินการศึกษาค,นคว,า .............................................................................................. 68
ประชากรและกลุมตัวอยาง ........................................................................................ 68
เครื่องมือที่ใช,ในการวิจัย ............................................................................................ 70
เกณฑ$การตรวจให,คะแนนของแบบวัด ........................................................................ 72
การสร,างและหาคุณภาพเครื่องมือ ............................................................................. 72
การเก็บรวบรวมข,อมูล ............................................................................................... 77
การวิเคราะห$ข,อมูล .................................................................................................... 78
สถิติที่ใช,ในการวิเคราะห$ข,อมูล .................................................................................. 81
บทที่ หนา
4 ผลการวิเคราะห$ข,อมูล ..................................................................................................... 86
สัญลักษณ$ที่ใช,ในการเสนอผลการวิเคราะห$ข,อมูล ...................................................... 86
ลําดับขั้นตอนในการนําเสนอผลการวิเคราะห$ข,อมูล ................................................... 88
ผลการวิเคราะห$ข,อมูล ............................................................................................... 88
ตอนที่ 1 การวิเคราะห$ข,อมูลเบื้องต,น (Preliminary Data Analysis) .................. 88
ตอนที่ 2 การวิเคราะห$คาสัมประสิทธิ์สหสัมพันธ$แบบ Pearson ของตัวแปร ....... 91
ตอนที่ 3 การวิเคราะห$องค$ประกอบเชิงยืนยันของโมเดลการวัด ........................... 93
ตอนที่ 4 การวิเคราะห$รูปแบบความสัมพันธ$โครงสร,างเชิงสาเหตุของป1จจัย
ที่สงผลตอการพัฒนาตนเอง ............................................................................. 96
5 สรุปผล อภิปรายผล และข,อเสนอแนะ …..................................................................... 102
ความมุงหมายของการวิจัย ..................................................................................... 102
เครื่องมือที่ใช,ในการวิจัย ......................................................................................... 102
การเก็บรวบรวมข,อมูล .............................................................................................. 103
การวิเคราะห$ข,อมูล ................................................................................................. 104
สรุปผล ................................................................................................................... 104
อภิปรายผล ............................................................................................................ 105
ข,อเสนอแนะ .......................................................................................................... 108
บรรณานุกรม .......................................................................................................................... 110
ภาคผนวก ............................................................................................................................... 118
ภาคผนวก ก รายชื่อผู,เชี่ยวชาญในการประเมินเครื่องมือที่ใช,ในการวิจัย ......................... 119
ภาคผนวก ข คุณภาพเครื่องมือที่ใช,ในการวิจัย ............................................................... 121
ภาคผนวก ค เครื่องมือที่ใช,ในการวิจัย ............................................................................ 127
ภาคผนวก ง ผลการวิเคราะห$องค$ประกอบเชิงยืนยัน ...................................................... 137
ภาคผนวก จ หนังสือขอความอนุเคราะห$ ………………………………………………………………… 144
ภาคผนวก ฉ ผลการตรวจสอบข,อมูลการแจกแจงแบบปกติของตัวแปร
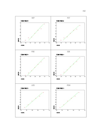
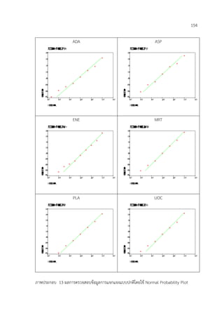
โดยใช, Normal Probability Plot ………………………………………………………………………. 150
ภาคผนวก ช ตัวอยางการตรวจสอบข,อมูลสุดโตง (Extremes or Outliers) ……………….. 155
ภาคผนวก ซ ตัวอยางการเขียนคําสั่งการวิเคราะห$ข,อมูล …………………………………………… 157
ประวัติยอของผู,วิจัย ................................................................................................................ 167
บัญชีตาราง
ตาราง หนา
1 สังเคราะห$ตัวแปรที่สงผลตอการพัฒนาตนเอง .................................................................. 66
2 จํานวนประชากรนักเรียนชั้นมัธยมศึกษาป_ที่ 6 ภาคเรียนที่ 1 ป_การศึกษา 2555
โรงเรียนในสังกัดสํานักงานเขตพื้นที่การศึกษามัธยมศึกษา เขต 19
(เลย-หนองบัวลําภู) ..................................................................................................... 68
3 จํานวนนักเรียนทั้งหมดที่เปaนกลุมตัวอยางของแตละโรงเรียน
จําแนกตามขนาดโรงเรียน ……………………………………………………………………………….. 69
4 สรุปเครื่องมือที่ใช,ในการวิจัย ............................................................................................ 78
5 สรุปคาสถิติหรือดัชนีที่ใช,ตรวจสอบความกลมกลืนของโมเดลตามสมมติฐานกับข,อมูล
เชิงประจักษ$ ……………………………………………………………………………………..………..….. 81
6 ผลการวิเคราะห$คาสถิติพื้นฐานของตัวแปรสังเกตได,ที่ใช,ในการศึกษาป1จจัยที่สงผลตอ
การพัฒนา ตนเอง ของนักเรียนมัธยมศึกษาป_ที่ 6 สํานักงานเขตพื้นที่การศึกษา
มัธยมศึกษาเขต 19 (เลย - หนองบัวลําภู) ................................................................... 90
7 ผลการวิเคราะห$ความสัมพันธ$ระหวางตัวแปรสังเกตได,ทั้งหมด
ที่ใช,ในการวิจัย (n = 807) .…………………………………………………………………………….. 91
8 คาสถิติผลการวิเคราะห$องค$ประกอบเชิงยืนยันของโมเดลการวัดตัวแปรแฝง ………….……. 94
9 ดัชนีที่ใช,ตรวจสอบความตรงของโมเดลการวัดตัวแปรแฝง ………………………………………… 95
10 คาสถิติความสอดคล,องของโมเดลตามสมมติฐานกับข,อมูลเชิงประจักษ$ในภาพรวม ……… 96
11 ผลการวิเคราะห$แสดงคาสัมประสิทธิ์สหสัมพันธ$ระหวางตัวแปร และคาสัมประสิทธิ์
อิทธิพลของป1จจัยที่สงผลตอการพัฒนาตนเอง ของนักเรียนมัธยมศึกษาป_ที่ 6
สํานักงานเขตพื้นที่การศึกษามัธยมศึกษา เขต 19 (เลย - หนองบัวลําภู)
ตามสมมติฐาน ………….……………………………………………………………………………………. 97
12 คาสถิติความสอดคล,องของโมเดลตามสมมติฐานกับข,อมูลเชิงประจักษ$ในภาพรวม
(หลังปรับโมเดล) …………………………………………………………………………………………….. 98
13 ผลการวิเคราะห$แสดงคาสัมประสิทธิ์สหสัมพันธ$ระหวางตัวแปร และคาสัมประสิทธิ์
อิทธิพลของโมเดลเชิงสาเหตุของป1จจัยที่สงผลตอการพัฒนาตนเอง
ของนักเรียนมัธยมศึกษาป_ที่ 6 สํานักงานเขตพื้นที่การศึกษามัธยมศึกษา เขต 19
(เลย - หนองบัวลําภู) ที่ปรับแก,แล,ว .......................................................................... 100
14 ดัชนีความสอดคล,องระหวางข,อคําถามกับนิยามศัพท$เฉพาะ คาอํานาจจําแนก
และคาความเชื่อมั่นของแบบวัดการพัฒนาตนเอง ……………………………………………… 122
15 ดัชนีความสอดคล,องระหวางข,อคําถามกับนิยามศัพท$เฉพาะ คาอํานาจจําแนก
และคาความเชื่อมั่นของแบบวัดป1จจัยที่สงผลตอการพัฒนาตนเอง ........................... 123
16 ผลการวิเคราะห$องค$ประกอบเชิงยืนยันของตัวแปรแฝงการรับรู,ความสามารตนเอง
(SEF) ......................................................................................................................... 138
ตาราง หนา
17 ผลการวิเคราะห$องค$ประกอบเชิงยืนยันของตัวแปรแฝงการวัดตัวแปรแฝง
การควบคุมตนเอง (SCT) ............................................................................................ 139
18 ผลการวิเคราะห$องค$ประกอบเชิงยืนยันของตัวแปรแฝงการวัดตัวแปรแฝง
การพัฒนาตนเอง (SDL) ........................................................................................... 140
19 ผลการวิเคราะห$องค$ประกอบเชิงยืนยันของตัวแปรแฝงการวัดตัวแปรแฝง
การมองโลกในแงดี (OPT) ........................................................................................ 141
20 ผลการวิเคราะห$องค$ประกอบเชิงยืนยันของตัวแปรแฝงการวัดตัวแปรแฝง
ความเชื่อมั่นในตนเอง (SCF) ..................................................................................... 142
21 ผลการวิเคราะห$องค$ประกอบเชิงยืนยันของตัวแปรแฝงการวัดตัวแปรแฝง
แรงจูงใจใฝ6สัมฤทธิ์ (AMO) ……………………………………………………………………………… 143
บัญชีภาพประกอบ
ภาพประกอบ หนา
1 ความสัมพันธ$ระหวางบุคคล (P) พฤติกรรม (B) และสิ่งแวดล,อม (E) ซึ่งเปaนป1จจัย
กําหนดซึ่งกันและกัน (Reciprocal Determinism) ………………………………………….… 26
2 ความแตกตางระหวางการรับรู,ความสามารถของตนเอง และความคาดหวัง
ในผลที่จะเกิดขึ้น ............................................................................................................ 27
3 การความสัมพันธ$ระหวางการรับรู,ความสามารถของตนเองและความคาดหวัง
ในผลที่เกิดขึ้น ……..……………………….…………………………………………………………………… 28
4 โมเดลเชิงสมมติฐานป1จจัยที่สงผลตอการพัฒนาตนเอง ของนักเรียนมัธยมศึกษาป_ที่ 6
สํานักงานเขตพื้นที่การศึกษามัธยมศึกษา เขต 19 (เลย - หนองบัวลําภู) ………………… 67
5 โมเดลเชิงสาเหตุของป1จจัยที่สงผลตอการพัฒนาตนเอง ของนักเรียนมัธยมศึกษาป_ที่ 6
สํานักงานเขตพื้นที่การศึกษามัธยมศึกษา เขต 19 (เลย - หนองบัวลําภู)
ตามสมมติฐาน ……………………………………………………………………………………………….. 96
6 โมเดลเชิงสาเหตุของป1จจัยที่สงผลตอการพัฒนาตนเอง ของนักเรียนมัธยมศึกษาป_ที่ 6
สํานักงานเขตพื้นที่การศึกษามัธยมศึกษา เขต 19 (เลย - หนองบัวลําภู)
ที่ปรับแก,แล,ว .................................................................................................................. 99
7 การวิเคราะห$องค$ประกอบเชิงยืนยันโมเดลการวัดตัวแปรแฝง
การรับรู,ความสามารถตนเอง (SEF) ........................................................................ 138
8 การวิเคราะห$องค$ประกอบเชิงยืนยันโมเดลการควบคุมตนเอง (SCT) ............................. 139
9 การวิเคราะห$องค$ประกอบเชิงยืนยันโมเดลการพัฒนาตนเอง (SDE) ............................... 140
10 การวิเคราะห$องค$ประกอบเชิงยืนยันโมเดลการมองโลกในแงดี (OPT) ……………………….. 141
11 การวิเคราะห$องค$ประกอบเชิงยืนยันโมเดลความเชื่อมั่นในตนเอง (SCF) ....................... 142
12 การวิเคราะห$องค$ประกอบเชิงยืนยันโมเดลความเชื่อมั่นในตนเอง (AMO) ..................... 143
13 ผลการตรวจสอบข,อมูลการแจกแจงแบบปกติโดยใช, Normal Probability Plot ......... 154
14 ตัวอยางการตรวจสอบข,อมูลสุดโตง (Extremes or Outliers) ………………………………… 156
บทที่ 1
บทนํา
ภูมิหลัง
การศึกษาเปนกระบวนการอยางหนึ่งที่ชวยพัฒนาบุคคลใหเจริญกาวหนา มีความรูและ
ความสามารถในการเขาใจป)ญหาตางๆ ในชีวิตไดอยางถูกตอง และสามารถนําความรูความเขาใจ
เหลานั้นในการแกไขป)ญหาที่เกิดขึ้นไดอยางมีระบบและอยางมีประสิทธิภาพ การศึกษามีสวน
สําคัญอยางยิ่งในการสงเสริมความกาวหนาของบุคคล และการจัดการศึกษาตองยึดหลักวาผูเรียนทุกคน
มีความสามารถเรียนรูและพัฒนาตนเองได (พระราชบัญญัติการศึกษาแหงชาติ. 2542 : 7)
การพัฒนาตนเอง จัดเปนคุณลักษณะหนึ่งใน แผนพัฒนาเศรษฐกิจและสังคมแหงชาติ
ฉบับที่ 10 (พ.ศ. 2550 – 2554) ในดานแนวคิดที่ยึด “คนเปนศูนยBกลางของการพัฒนา” สาระสําคัญ
คือ การเปนสังคมแหงภูมิป)ญญาและการเรียนรู การคิดเปนทําเปน การมีเหตุมีผลสามารถเรียนรูและ
พัฒนาตนเองไดอยางตอเนื่องตลอดชีวิตซึ่งถาบุคคลมีพฤติกรรมสนใจใฝHรูอุตสาหะ มีความ
ขยันหมั่นเพียร กระตือรือรนในการแสวงหาความรู และมีความสนใจที่จะพัฒนาตนเองอยางตอเนื่องแลว
ก็จะพัฒนาไปสูสังคมแหงภูมิป)ญญาและการเรียนรูดังนั้นการสรางกระบวนการที่มีประสิทธิภาพใน
การพัฒนาใหบุคคลมีความขยันหมั่นเพียรจึงมีความสําคัญยิ่ง (สํานักงานคณะกรรมการพัฒนาการ
เศรษฐกิจ และสังคมแหงชาติ, 2550: 47) มนุษยBมีคุณภาพนั้นเนื่องมาจากมีความคิด ความรูสึกความรู
ตระหนักและการแสวงหาสิ่งที่ดีงาม คนหาเปKาหมายของชีวิตใหไดรับสิ่งที่มีความหมายตอตน
ซึ่งสิ่งเหลานี้เปนความสามารถในการเรียนรูที่มีอยูในตัวของมนุษยBทําใหสามารถดํารงชีวิตอยูรอดได
(Existence) และมนุษยBทุกคนมีความตองการแสวงหาสิ่งแปลกใหมที่จะสนองความตองการใหแกตนเอง
ทั้งสิ้น ลักษณะที่มีคุณภาพของมนุษยBลักษณะนี้จัดเปนความตองการของมนุษยBเรียงเปนลําดับขั้น
เรียงลําดับเปนขั้นตอนตามความสําคัญ กลาวคือ ในขณะที่ความตองการที่รุนแรงกวาไดรับการ
ตอบสนองใหเกิดความพึงพอใจแลว ความตองการอื่นๆก็จะเกิดตามขึ้นมาแทนที่ขณะที่มนุษยBเกิด
ความตองการ มนุษยBจะกระทําการหลายรูปแบบ เพื่อหาทางสนองความตองการของตนเอง
การพัฒนาตนเองหรือการปรับปรุงเปลี่ยนแปลงตนเองก็เปนอีกรูปแบบหนึ่งเพื่อใหไดมาซึ่ง
ความตองการดังกลาว ซึ่งหลักการของทฤษฎีนี้สามารถใชเปนแนวทางในการสรางแรงจูงใจในการพัฒนา
ตนเองของนักเรียน (ปราณี รามสูต. 2548 : 213-218) เมื่อนํามาทําความเขาใจในการพัฒนาตนเอง
ของนักเรียนวา ขณะที่เรียนไดรับความสําเร็จ ตองการการยอมรับวาเปนสวนหนึ่งของเพื่อน ตองการ
ประสบผลสําเร็จเรื่องการเรียน การทํางาน ซึ่งเมื่อนักเรียนมีพื้นฐานความตองการเหลานี้อยูแลว
จึงอาจไมยากนักที่จะเสริมสรางแรงจูงใจใหนักเรียนพัฒนาตนเองเติมเต็มความตองการดังกลาว
(สํานักงานคณะกรรมการการอุดมศึกษา. 2546 : 156) การพัฒนาของตัวเอง และการที่จะประสบ
ผลสําเร็จไดก็ตองใชกระบวนการที่เกี่ยวของกับการพัฒนาดวยตัวเองเทานั้น ซึ่งกระบวนการพัฒนา
ตนเองของ Boydell ก็สามารถอธิบายไดอยางสอดคลองและชัดเจน โดยกระบวนการพัฒนาตนเองมี
ลําดับขั้น 4 ขั้นตอน ดังนี้ 1) ตระหนักป)ญหา โดยนึกถึงความจําเปนและมีความตองการที่จะปรับปรุง
ตนเอง 2) วินิจฉัยตนเอง วามีขอดีขอเสียหรือจุดเดนจุดดอยอยางไร รูวาตนเองมีสภาพเปนอยางไร
2
3) วางแผนการพัฒนาตนและตั้งเปKาหมาย โดยการวางแผนการดําเนินการพัฒนาตนเองได 4) ปฏิบัติ
ตามแผนและประเมินผลตนเอง ปฏิบัติตามแผนการที่ไดวางเอาไวดวยการสงเสริมความรู ความสามารถ
คุณลักษณะตาง ๆ ในการพัฒนาตน โดยการกระทําหลายรูปแบบตาง ๆ กัน โดยตองทําครบทั้ง 4
ขั้นตอน จึงทําใหการพัฒนาตนเองสามารถประสบความสําเร็จตามเปKาหมายที่วางไว และในบางกรณี
อาจจะเริ่มตน กระบวนการพัฒนาตนเองดวยขั้นตอน 3 ก็สามารถทําใหเกิดการพัฒนาตนเองไดเชนกัน
(สุภมาส จินะราช. 2549 : 13-15 ; อางอิงมาจาก Boydell. 1985 : 21, 25)
หลักการพัฒนาตนเอง เพื่อเพิ่มความสมบูรณBในชีวิตของบุคคล โดยมุงพัฒนาการรักษาดุลย
ภาพของชีวิต 3 ดาน ประกอบดวย ดานรางกาย (Physical Component) ดานจิตใจ ความคิด
(Psychological Component) และดานจิตวิญญาณ (Spiritual Component) (เรียม ศรีทอง.
2542 : 145-155) คนที่จะพัฒนาตนเองจะเริ่มดวยการสํารวจและพิจารณาตนเองวามีขอดีและ
ขอบกพรองอะไรบาง เปนกระบวนการพัฒนาตนที่เปนระบบ แตการพัฒนาตนจะสัมฤทธิ์ผล
ผูนั้นจะตองตระหนักถึงความจําเปนและมีความตองการที่จะปรับปรุงตนเองอยางจริงจัง กระบวนการ
ดังกลาวจึงจะถูกนํามาใชเพื่อการพัฒนาตน (ปราณี รามสูต และจํารัส ดวงสุวรรณ. 2545 : 123)
แรงจูงใจใฝHสัมฤทธิ์ (เมธาวดี สังขะมาน. 2548 : 30 ; อางอิงมาจาก McCelland. 1961 :
260 - 265) เนนความสําคัญในเรื่องแรงจูงใจใฝHสัมฤทธิ์มากกวาแรงจูงใจทางดานอื่น ๆ เพราะเห็นวา
แรงจูงใจใฝHสัมฤทธิ์นั้นสําคัญมากที่สุดสําหรับความสําเร็จทางการศึกษาของนักเรียน กลาวคือ นักเรียนที่
มีแรงจูงใจใฝHสัมฤทธิ์สูงจะตั้งใจเรียน และประสบความสําเร็จในการเรียน ในทางตรงกันขามกับนักเรียน
ที่มีแรงจูงใจใฝHสัมฤทธิ์ต่ําจะขาดความสนใจ ไมมีความตั้งใจเรียน และจะประสบความลมเหลวใน
การเรียนในที่สุด ซึ่งสอดคลองกับทฤษฎีแรงจูงใจของ Murray (วันทนา กิติทรัพยBกาญจนา. 2546 :
15 ; อางอิงมาจาก Murray. 1982 : 244-246) ไดรวบรวมความตองการทางจิตของมนุษยBไว
20 ชนิด และในจํานวนนี้มีความตองการเอาชนะ และความตองการที่จะประสบความสําเร็จ (Need for
Achievement) รวมอยูดวย เขาไดกลาวถึงความตองการทางจิตที่มีอยูในมนุษยBทุกคนไววาเนื่องมาจาก
มนุษยBตองการเปนผูที่มีความสามารถ มีพลังจิต (Will Power) ที่จะเอาชนะอุปสรรค ดังนั้นมนุษยB
จึงมีความมุงมั่นที่จะกระทําในสิ่งที่ยากใหประสบความสําเร็จโดยอาศัยแรงจูงใจของตนเปนแรงผลักดัน
ใหบุคคลแสดงพฤติกรรมเพื่อไปสูความสําเร็จ ( Atkinson. 1964 : 240-268) สอดคลองกับแนวคิด
ของ Goleman (1998 : 97-101) ไดกําหนดใหการมองโลกในแงดีเปนสวนหนึ่งที่สําคัญในการจูงใจ
ตนเอง โดยคนที่มองโลกในแงดีจะ ไมยอทอตออุปสรรคที่ขวางกั้น จึงสามารถจูงใจตนเอง เชนเดียวกับ
Seligman (อรพินทรB ชูชม. 2544 : 43 ; อางอิงมาจาก Seligman. 1998) เห็นวา คนที่มอง
โลกในแงดี มีความยืดหยุน (Resilience) ทําใหบุคคลที่มองโลกในแงดีประสบความสําเร็จในชีวิต
การทํางาน การเรียนและการแขงขัน ตลอดจนมีสุขภาพกายและจิตที่ดี และยังสงผลไปถึงบุคลิกภาพ
ซึ่งเปนลักษณะเฉพาะของแตละบุคคล เนื่องจากบุคลิกภาพเปนผลรวมของพฤติกรรมทั้งหมดที่เปน
ลักษณะเฉพาะของบุคคล (อัญชลี สุดเสนหB. 2548 : 2 ; อางอิงมาจาก Gordon. 1961) และ
ผูที่มีความเชื่อมั่นในตนเองสูง เปนบุคคลมีความเพียรพยายามในการพัฒนาตนเอง และกลาหาญ
ในการที่จะกระทําสิ่งใดใหประสบความสําเร็จตามจุดมุงหมายที่ตั้งไว โดยไมหวาดหวั่นตออุปสรรค
กลาที่จะเผชิญสถานการณBใด ๆ โดยไมกลัว (ขัตติยา น้ํายาทอง. 2551 : 47 ; อางอิงจาก Blair.
1968) การพัฒนาตนเองเปนสิ่งสําคัญและมีความจําเปนสําหรับทุกคนอยางหลีกเลี่ยงไมได Maslow
(ปราณี รามสูต. 2548 : 213-218) ศึกษาความตองการของมนุษยBของ Maslow สภาวะของ
3
มนุษยBที่จะสามารถพัฒนาตนเองใหถึงระดับสูงสุด คือ เปนมนุษยBที่สมบูรณB และเห็นวาการพัฒนาเต็มที่
และสมบูรณBแบบของมนุษยB จะเกิดจากตัวมนุษยBมากกวาป)จจัยภายนอกและ Bandura การรับรู
ความสามารถของตนเองเปนพื้นฐานของแรงจูงใจ กลาวคือบุคคลที่รับรูความสามารถของตนเองและ
ตั้งเปKาหมายไวสูงจะมีแรงจูงใจในการกระทําและจะปฏิบัติงานไดดีกวาคนที่สงสัยในความสามารถของ
ตนเอง และคนที่ประเมินตนเองไดตรงกับความสามารถก็จะมีแนวโนมที่จะประสบความสําเร็จในการทํา
กิจกรรมสูงยอมเปนบุคคลที่สามารถเลือกตัดสินใจในการดํารงตนใหเปนที่ยอมรับของสังคมไดเปนอยาง
ดี (วิลาสลักษณB ชัววัลลี. 2547 : 89-95 ; อางอิงมาจาก Bandura. 1977 : 191-193)
การพัฒนาตนเองตนเอง บุคคลสามารถควบคุมตนเองได เปนคนมีเหตุผล รูจักคิดไตรตรองถึงสิ่งที่ควร
กระทํา หรือควรหลีกเลี่ยงสิ่งที่ควรหลีกเลี่ยง มีสติยั้งคิด รูจักกําหนดเปKาหมายและการวางแผน
ดําเนินงาน การควบคุมตนเอง เปนกระบวนการที่บุคคลใชวิธีการใดหรือหลาย วิธีรวมกัน
เพื่อเปลี่ยนแปลงพฤติกรรมของตนเองจากพฤติกรรมที่ไมพึงประสงคBโดยบุคคลนั้นเปนผูกําหนด
พฤติกรรมเปKาหมาย และกระบวนการที่จะนําไปสูเปKาหมายดวยตนเอง (Cormier. 1979 : 476)
การควบคุมตนเอง เปนการปรับพฤติกรรมที่มีพื้นฐานมาจากทฤษฎีการเรียนรู ซึ่งตามทฤษฎีการเรียนรู
นั้นเชื่อวา พฤติกรรมเปนผลจากการมีปฏิสัมพันธBกับสิ่งแวดลอม ทั้งนี้เพราะสิ่งแวดลอมเปนตัวการ
ควบคุมพฤติกรรม เมื่อสิ่งแวดลอมเปลี่ยนไปพฤติกรรมก็เปลี่ยนไปดวย การควบคุมตนเองจึงเปนการ
ประยุกตBหลักพฤติกรรมเพื่อปรับปฏิสัมพันธBระหวางพฤติกรรมและสิ่งแวดลอมของบุคคลโดยบุคคล
นั้นเอง ซึ่งเปนการเปwดโอกาสใหบุคคลไดควบคุมพฤติกรรมของตนเอง เปนการลดความสําคัญของ
อิทธิพลภายนอกลง และทําใหบุคคลมีอิสระที่จะกําหนดพฤติกรรมของตนเองไดมากขึ้น (จันทรา เชาวB
วิทยาม. 2545 : 13 ; อางอิงมาจาก Watson and Tarp. 1972 : 73) การแขงขันทางการ
เรียนที่มีมากในป)จจุบัน เด็กที่มีป)ญหาการเรียนมักจะเกิดป)ญหาพฤติกรรมอื่นตามมา เชน เกเร กาวราว
ดื้อ ซน เครียด วิตกกังวล หงุดหงิด ซึ่งเกิดจากความรูสึกที่ไมดีตอตนเองที่ตามมาจากการขาด
ความสําเร็จในการเรียน การถูกตําหนิจากพอแม ความรูสึกตนเองลมเหลว และขาดความภาคภูมิใจ
ในตนเอง ทําใหเปนป)ญหาอารมณBและกลายเปนป)ญหาบุคลิกภาพ (พนม เกตุมาน. 2550 :
เว็บไซตB) ในระดับมัธยมศึกษาอัตราการเขาเรียนคอนขางสูง แตอัตราจบการศึกษาต่ําลงเพราะสภาพ
ป)ญหาของชีวิตและสังคมที่อัตคัด ขาดแคลนและป)ญหาอื่นๆ ทําใหมีเยาวชนที่เรียนไมจบมัธยมศึกษา
อยูมาก (วิทยากร เชียงกูล. 2555 : เว็บไซตB)
ในการแสวงหาขอสรุปเกี่ยวกับความสัมพันธBเชิงสาเหตุที่นาเชื่อถือที่สุดและดีที่สุดคือ การวิจัย
เชิงทดลอง เพราะเปนกระบวนการคนหาความจริงที่มีการจัดกระทําตัวแปรตน มีการควบคุมตัวแปร
แทรกซอนเพื่อใหผลที่เกิดขึ้นมาจากการกระทําของตัวแปรตนเทานั้น ขจัดตัวแปรที่ไมตองการศึกษา
ออกไป รวมทั้งขจัดความคลาดเคลื่อนของผลการทดลอง และการออกแบบการวิจัยจะเนนความตรง
ภายในและความตรงภายนอกเปนหลัก เพื่อนําไปสูผลการวิจัยที่ตรงตามความเปนจริง (ศิริชัย
กาญจนวาสี. 2541 : 45-47) แตในการวิจัยทางการศึกษาพฤติกรรมศาสตรBและสังคมศาสตรB
การวิจัยเชิงทดลองคอนขางจะมีขอจํากัดในเรื่องการจัดใหเปนการทดลองอยางแทจริงและหลักการสุม
ตัวอยางสมบูรณB ตอมาไดพัฒนารูปแบบการหาความสัมพันธBเชิงสาเหตุที่เหมาะสมสําหรับการวิจัยทาง
การศึกษา พฤติกรรมศาสตรB และสังคมศาสตรB โดยเนนการศึกษาคนควาทฤษฎีแลวสรางเปนโมเดลที่
แสดงโครงสรางความสัมพันธBระหวางตัวแปร ผูวิจัยสามารถตรวจสอบความสัมพันธBเชิงสาเหตุของโมเดล
ที่สรางขึ้นไดโดยการเก็บรวบรวมขอมูลแลวนํามาตรวจสอบระบบโครงสรางความสัมพันธBของตัวแปรนั้น
4
(ศิริชัย กาญจนวาสี. 2541 : 45-47) การตรวจสอบวาโมเดลการวิจัยที่ผูวิจัยสรางขึ้นตามทฤษฎีที่
ศึกษาสอดคลองกับขอมูลเชิงประจักษBหรือไม วิธีวิทยาการวิเคราะหBขอมูลที่ดีและเหมาะสมที่สุดใน
ขณะนี้คือ การวิเคราะหBโครงสรางความสัมพันธBเชิงเสน (Structural Equation Modeling: SEM)
(นงลักษณB วิรัชชัย. 2545 : 19) โมเดลที่มีลักษณะเดนที่ทําใหผลการวิจัยมีความถูกตองและมีความ
นาเชื่อถือ สามารถใชศึกษาความสัมพันธBเชิงสาเหตุไดทั้งการวิจัยที่เปนการวิจัยเชิงทดลองและการวิจัยที่
ไมใชการวิจัยเชิงทดลอง เทคนิคการวิเคราะหBขอมูลดวยโปรแกรมสําเร็จรูป ครอบคลุมเทคนิคการ
วิเคราะหBขอมูลทางสถิติขั้นสูงเกือบทุกประเภท อีกทั้งยังใชเปนเครื่องมือในการตรวจสอบทฤษฎีที่ผูวิจัย
ตองการศึกษาทั้งในดานการตรวจสอบความตรงเชิงโครงสรางและการตรวจสอบความตรงของโมเดลได
อีกดวย
การพัฒนาและสงเสริมใหนักเรียนเกิดการพัฒนาตนเองนั้น จําเปนตองทราบป)จจัยใดบางที่
สงผลตอการพัฒนาตนเองของนักเรียน ซึ่งการวิเคราะหBความสัมพันธBเชิงสาเหตุอธิบายไดวามีป)จจัยที่
สงผลทางตรงและทางออมตอการพัฒนาตนเองและสงผลมากนอยระดับใด ดวยการวิเคราะหBโครงสราง
ความสัมพันธBเชิงเสน (Structural Equation Modeling: SEM) ผูวิจัยจึงสนใจที่จะศึกษาถึงป)จจัยที่
สงผลตอการพัฒนาตนเองของนักเรียน มัธยมศึกษาปzที่ 6 เนื่องจากนักเรียนในระดับชั้นนี้จะตองไป
ศึกษาตอในระดับมหาวิทยาลัยและตองใชผลสัมฤทธิ์ทางการเรียนในการสอบเขาศึกษาตอ
จากผลการวิจัยที่พบจะทําใหผูที่เกี่ยวของทราบป)จจัยที่สงผลทางตรงและทางออมนําไปพัฒนาตนเอง
และสงเสริมใหนักเรียนมีการพัฒนาตนเองเพิ่มขึ้น อันจะสงผลถึงผลสัมฤทธิ์ทางการเรียนและนิสัยใน
การทํางานตอไป
ความมุงหมายของการวิจัย
1. เพื่อศึกษาความสัมพันธBระหวางการมองโลกในแงดี ความเชื่อมั่นในตนเอง
แรงจูงใจใฝHสัมฤทธิ์ การรับรูความสามารถของตนเอง การควบคุมตนเองกับการพัฒนาตนเอง ของ
นักเรียนมัธยมศึกษาปzที่ 6 สํานักงานเขตพื้นที่การศึกษามัธยมศึกษา เขต 19 (เลย - หนองบัวลําภู)
2. เพื่อศึกษาอิทธิพลของป)จจัยที่สงผลตอการพัฒนาตนเอง ของนักเรียนมัธยมศึกษาปzที่ 6
สํานักงานเขตพื้นที่การศึกษามัธยมศึกษา เขต 19 (เลย - หนองบัวลําภู )
ความสําคัญของการวิจัย
การวิจัยครั้งนี้ทําใหทราบป)จจัยที่มีอิทธิพลตอการพัฒนาตนเอง ของนักเรียนมัธยมศึกษา
ปzที่ 6 สํานักงานเขตพื้นที่การศึกษามัธยมศึกษา เขต 19 (เลย - หนองบัวลําภู) โดยขอมูลที่ไดสามารถ
นําไปเปนขอสนเทศใหครู ผูปกครองและหนวยงานที่เกี่ยวของ ใชเปนขอมูลพื้นฐานในการพัฒนา
โปรแกรมหรือเทคนิคการสอน เพื่อพัฒนาผูเรียนใหสามารถพัฒนาตนเอง ซึ่งจะสงผลให
ประสบความสําเร็จทั้งในดานการเรียน การประกอบอาชีพ และการดําเนินชีวิตตอไป
5
สมมติฐานของการวิจัย
1. ป)จจัยที่มีอิทธิพลตอการพัฒนาตนเอง ประกอบดวย การควบคุมตนเอง การรับรู
ความสามารถของตนเอง การมองโลกในแงดี ความเชื่อมั่นในตนเอง แรงจูงใจใฝHสัมฤทธิ์
2. โมเดลความสัมพันธBเชิงสาเหตุของป)จจัยที่สงผลตอการพัฒนาตนเอง ของนักเรียน
มัธยมศึกษาปzที่ 6 สํานักงานเขตพื้นที่การศึกษามัธยมศึกษา เขต 19 (เลย - หนองบัวลําภู)
มีความสอดคลองกับขอมูลเชิงประจักษB
ขอบเขตของการวิจัย
การวิจัยครั้งนี้ไดกําหนดขอบเขตไว ดังนี้
1. ประชากร
ประชากรที่ใชในการวิจัย คือ นักเรียนมัธยมศึกษาปzที่ 6 ภาคเรียนที่ 1 ปzการศึกษา
2555 โรงเรียนในสังกัดสํานักงานเขตพื้นที่การศึกษามัธยมศึกษา เขต 19 (เลย-หนองบัวลําภู)
มีโรงเรียนจํานวน 52 โรงเรียน และมีนักเรียนจํานวนทั้งสิ้น 5,870 คน (ศูนยBปฏิบัติการ GPA
สํานักทดสอบทางการศึกษา. 2555 : เว็บไซตB)
2. กลุมตัวอยาง
กลุมตัวอยางที่ใชในการวิจัย คือ นักเรียนมัธยมศึกษาปzที่ 6 ภาคเรียนที่ 1 ปz
การศึกษา 2555 โรงเรียนในสังกัดสํานักงานเขตพื้นที่การศึกษามัธยมศึกษา เขต 19 (เลย-
หนองบัวลําภู) จํานวน 807 คน จาก 52 โรงเรียน ซึ่งไดมาโดยการการสุมแบบชั้นภูมิและแตละ
ชั้นภูมิสุมอยางงาย (Stratified Random Sampling)
3. ตัวแปรที่ใชในการศึกษา
การวิจัยครั้งนี้ผูวิจัยมีตัวแปรที่สงผลตอการพัฒนาตนเอง ของนักเรียนมัธยมศึกษา
ปzที่ 6 ชนิดที่เปนตัวแปรแฝง จํานวน 6 ตัว ที่ไดจากตัวแปรสังเกตไดจํานวน 24 ตัวดังนี้
3.1 ตัวแปรแฝงภายใน ประกอบดวย
3.1.1 การพัฒนาตนเอง (Self-Development : SDL) ประกอบดวย
ตัวแปรสังเกตได 3 ตัว คือ
3.1.1.1 ตนเอง (Personal Development : PDE)
3.1.1.2 สังคม (Social Development : SDE)
3.1.1.3 การเรียน (Learning Development : LDE)
3.1.2 การรับรูความสามารถของตนเอง (Self-Efficacy : SEF) ประกอบดวย
ตัวแปรสังเกตได 4 ตัว คือ
3.1.2.1 ประสบการณBจากความสําเร็จ (Enactive Attainment : EAT)
3.1.2.2 การไดเห็นตัวแบบประสบความสําเร็จ (Vicarious Experience :
VEX)
3.1.2.3 การพูดชักจูงจากผูอื่น (Verbal Persuasion : VPE)
3.1.2.4 สภาวะทางกาย (Physiological State : PST)
6
3.1.3 การควบคุมตนเอง (Self-Control : SCT) ประกอบดวย
ตัวแปรสังเกตได 4 ตัว คือ
3.1.3.1 การตั้งเปKาหมาย (Goal : GOA)
3.1.3.2 การยับยั้งตนเอง (Restraint : RES)
3.1.3.3 การควบคุมอารมณB (Control - Temper : CTE)
3.1.3.4 ความอดทน (Patience : PAT)
3.2 ตัวแปรแฝงภายนอก ประกอบดวย
3.2.1 การมองโลกในแงดี (Optimism : OPT) ประกอบดวย
ตัวแปรสังเกตได 3 ตัว คือ
3.1.2.1 ความคงทนถาวร (Permanence : PEM)
3.1.2.2 ความครอบคลุม (Pervasiveness : PEV)
3.1.2.3 ความเปนตนเอง (Personalization : PES)
3.2.2 ความเชื่อมั่นในตนเอง (Self - Confidence : SCF) ประกอบดวย
ตัวแปรสังเกตได 5 ตัว คือ
3.2.2.1 ความมั่นคงทางจิตใจ (Emotional Stability : EST)
3.2.2.2 ความกลา (Courage : COU)
3.2.2.3 การพึ่งตนเอง (Self - Reliance : SRE)
3.2.2.4 ความเปนตัวของตัวเอง (Autonomy : AUT)
3.2.2.5 ความสามารถในการปรับตัว (Adaptability : ADA)
3.2.3 แรงจูงใจใฝHสัมฤทธิ์ (Achievement Motivation : AMO) ประกอบดวย
ตัวแปรสังเกตได 5 ตัว คือ
3.2.3.1 ความทะเยอทะยาน (Aspiration : ASP)
3.2.3.2 ความกระตือรือรน (Energetic : EGE)
3.2.3.3 ความกลาเสี่ยง (Moderate Risk Taking : MRT)
3.2.3.4 การรูจักวางแผน (Planning : PLA)
3.2.3.5 ความมีเอกลักษณB (Unique of Characteristic : UOC)
นิยามศัพท#เฉพาะ
1. การพัฒนาตนเอง (Self-Development : SDL) หมายถึง คุณลักษณะของนักเรียนที่
แสดงถึงการปรับปรุง เปลี่ยนแปลง แกไข พฤติกรรมของตนเองไปสูสิ่งที่ดีขึ้น รูจักการคิดพิจารณาสิ่ง
ตางๆ ดวยตนเอง ความมีวินัย ความกระตือรือรนใฝHรู ใฝHสรางสรรคB เพื่อใหชีวิตของตนเองมีความ
เจริญกาวหนา และประสบความสําเร็จ วัดไดจากตัวแปรสังเกตได 3 ดาน คือ
1.1 ตนเอง (Personal Development : PDE) หมายถึง การสํารวจปรับปรุง
อุปนิสัยของตนเองใหดีขึ้น โดยการกําหนดเปKาหมายในชีวิต สรางความเชื่อมั่นในตนเอง ยอมรับในความ
แตกตางระหวางบุคคล สรางความมั่นคงทางจิตใจ เพื่อใหสามารถแกไขป)ญหาตางๆ ที่ผานเขามาในชีวิต
ไดอยางราบรื่น และมีการจัดระเบียบตนเองเพื่อใหบรรลุตามเปKาประสงคBที่ตั้งไว
7
1.2 สังคม (Social Development : SDE) หมายถึง คุณลักษณะของนักเรียนสามารถ
ปฏิบัติตัวเขากับกลุมตางๆ ได โดยกลาแสดงออก การวางตัวที่เหมาะสม รูวาสิ่งใดที่ดีควรปฏิบัติและ
สิ่งใดไมดีไมควรปฏิบัติ มีความรับผิดชอบ เปนที่ยอมรับของกลุมไมวาจะเปนผูใหญกวา หรือเพื่อนๆ
โดยสามารถทํางานรวมกับกลุมไดอยางราบรื่นและทําคุณประโยชนBใหกับสังคม
1.3 การเรียน (Learning Development : LDE) หมายถึง การเพิ่มพูนความรู
ความสามารถทางดานการเรียนโดยแสดงความกระตือรือรนตั้งใจ การมีวินัยในการเรียน ความ
ขยันหมั่นเพียร การมีจิตสํานึกที่จะฝ„กฝนสนใจใฝHรูและศึกษาหาความรูตางๆ เพื่อเพิ่มพูนใหกับตนเอง
และมีการทดลองใชวิธีการใหมๆ ที่เปนประโยชนBตอการเรียน เพื่อใหการเรียนประสบความสําเร็จ
2. การรับรูความสามารถของตนเอง (Self-Efficacy : SEF) หมายถึง คุณลักษณะ
ของนักเรียนที่จะรับรูวาตนเองมีความสามารถที่จะกระทําเรื่องตางๆ ไดบรรลุเปKาหมายมากนอย
เพียงไร และจะทําอยางไรตอไปใหบรรลุเปKาหมายนั้นๆ วัดไดจากตัวแปรสังเกตได 4 ดาน คือ
2.1 ประสบการณBจากความสําเร็จ (Enactive Attainment : EAT) หมายถึง
การรับรูความสําเร็จหรือจากการกระทําเปนประสบการณBที่ไดรับโดยตรงและเปนขอมูลที่มี
ความเที่ยงตรงสูง ไดรับความสําเร็จจากการทํางานซ้ํากันหลายๆ ครั้ง
2.2 การไดเห็นตัวแบบประสบความสําเร็จ (Vicarious Experience : VEX) หมายถึง
การรับรูความสามารถผูอื่นประสบความสําเร็จเปนแบบอยางในการรับรูความสามารถของตนเองเพิ่มขึ้น
2.3 การพูดชักจูงจากผูอื่น (Verbal Persuasion :VPE) หมายถึง การที่ผูอื่นใชคําพูด
ชักจูงใหเชื่อวาเขามีความสามารถที่จะกระทําพฤติกรรมอยางใดอยางหนึ่งไดสําเร็จ และมีกําลังใจ
มีความเชื่อมั่นในการกระทําพฤติกรรมตางๆ มากขึ้น
2.4 สภาวะทางกาย (Physiological State : PST) หมายถึง รางกายเกิดการตื่นตัว
เชน เครียด วิตกกังวล ตื่นเตน ออนเพลีย เมื่อยลา หรืออยูในสภาพการณBที่ถูกดุวากลาวตักเตือน
หรือในสภาวะที่รางกาย ถูกกระตุนมากๆ มักจะทําใหนักเรียนกระทําพฤติกรรมตางๆ ได
3. การควบคุมตนเอง (Self-Control : SCT) หมายถึง คุณลักษณะของนักเรียนที่จะบังคับ
ตนเองใหละเวนการกระทําบางอยาง โดยการกําหนดความคิด อารมณB ความรูสึก การเปลี่ยนแปลง
การตอบสนองทางอารมณB การกระทําพฤติกรรมดวยเหตุผล และความอดทน การจัดสภาพแวดลอม
ใหหลีกเลี่ยงการกระทําพฤติกรรม สามารถเผชิญสิ่งยั่วยุ ป)ญหาอุปสรรค และสถานการณBกดดัน
แมอยูในภาวะที่เกิดป)ญหาความขัดแยงในจิตใจ เพื่อใหเกิดพฤติกรรมเปKาหมายที่ดีตามที่มุงหวังไว
วัดไดจากตัวแปรสังเกตได 4 ดาน คือ
3.1 ตั้งเปKาหมาย (Goal : GOA) หมายถึง ลักษณะของนักเรียนที่มองไปสูอนาคต
ที่นักเรียนสามารถคาดการณBกวางไกล การวางแผนเพื่อบรรลุงานที่ตองการใหไดในอนาคต
3.2 ยับยั้งตนเอง (Restraint : RES) หมายถึง การระงับหรือหยุดพฤติกรรม
ที่ไมเปนที่ยอมรับ หรือขัดแยงกับสิ่งที่นักเรียนตองการ
3.3 ควบคุมอารมณB (Self-Temper : STE) หมายถึง ความสามารถในการเก็บความรูสึก
ของนักเรียนภายในกับสิ่งรบกวนจากสภาวะแวดลอมภายนอก ที่เปนป)ญหา อุปสรรคหรือ
อยูในสภาวะที่เกิดความขัดแยงในจิตใจ
8
3.4 ความอดทน (Patience : PAT) หมายถึง นักเรียนทีมีความสามารถทางรางกาย
ความคิด จิตใจที่จะทนตอการปฏิบัติกิจกรรมตาง ๆ ใหสําเร็จ โดยไมคํานึงถึงอุปสรรคใด ๆ และ
บังคับตนเองเมื่อเกิดความเหนื่อยออนและเกียจคราน
4. การมองโลกในแงดี (Optimism : OPT) หมายถึง คุณลักษณะของนักเรียนในการคิด
มีความเชื่อในเหตุผลทางบวกตอเหตุการณBที่ไมพึงปรารถนาที่ผานเขามาในชีวิต เลือกโตตอบตาม
สถานการณBตางๆ ที่เกิดขึ้น โดยปรับเปลี่ยนความคิด ความเชื่อดังกลาวไปในทางที่ควบคุมตนเอง
และ พึงพอใจในสิ่งที่เกิดขึ้นนั้น ซึ่งมุงวัดการมองโลกในแงดีจากองคBประกอบตามแนวคิดของ
SELIGMAN วัดไดจาก ตัวแปรสังเกตได 3 ดานคือ
4.1 ความคงทนถาวร (Permanence : PEM) หมายถึง รูปแบบการอธิบายตนเอง
โดยมองวาเหตุการณBที่ดีมาจากสาเหตุที่คงทนถาวรสามารถเกิดขึ้นไดเสมอ สวนเหตุการณBทางลบ
เปนสิ่งที่เกิดขึ้นเฉพาะเหตุการณBนี้เทานั้น ไมไดเกิดกับตนเปนประจํา
4.2 ความครอบคลุม (Pervasiveness : PEV) หมายถึง รูปแบบการอธิบายตนเองวา
สาเหตุที่ทําใหเหตุการณBที่ดีเกิดขึ้นได ก็สามารถที่จะเกิดกับเหตุการณBอื่นๆ หรือกรณีอื่นๆ ไดอีก
สวนสาเหตุที่ทําใหเกิดเหตุการณBทางลบที่เกิดขึ้นเกิดเฉพาะกรณีนี้เทานั้น
4.3 ความเปนตนเอง (Personalization : PES) หมายถึง รูปแบบการอธิบายตนเองวา
เหตุการณBที่ดีที่เกิดขึ้นเกิดมาจากตนเอง สวนเกิดเหตุการณBทางลบเกิดจากสาเหตุภายนอก หรือ
บุคคลอื่น
5. ความเชื่อมั่นในตนเอง (Self - Confidence : SCF) หมายถึง ลักษณะของนักเรียน
ในการที่จะทําสิ่งตางๆ ใหสําเร็จ มีความมั่นใจ เพียรพยายาม กลาหาญ มีความเปนตัวของตัวเอง
มีความคิดริเริ่มสรางสรรคB กลาแสดงออก และยอมรับในความสามารถของตน ไมทอถอยเมื่อ
ทําอะไรไมสําเร็จ ซึ่งมุงวัดความเชื่อมั่นในตนเอง วัดไดจากตัวแปรสังเกตได 5 ดาน คือ
5.1 ความมั่นคงทางจิตใจ (Emotional Stability : EST) หมายถึง คุณลักษณะ
ของนักเรียนที่มีจิตใจหนักแนนไมลังเล มีการควบคุมอารมณBใหอยูในสภาวะปกติ ไมวิตกกังวลเกินไป
และไมหวั่นไหวตอคําติชม
5.2 ความกลา (Courage : COU) หมายถึง คุณลักษณะของนักเรียนที่กลาพูด
กลาแสดงออก กลากระทํา กลาซักถามขอสงสัย กลาเผชิญความจริง กลารับผิดในสิ่งที่ตนทํา
กลาเปนผูนํา ชอบตอสูแขงขัน ไมประหมาหรือไมเคอะเขิน
5.3 การพึ่งตนเอง (Self - Reliance : SRE) หมายถึง คุณลักษณะของนักเรียนที่สามารถ
ชวยเหลือตนเอง โดยใชความรูความสามารถที่มีอยู แกไขอุปสรรคหรือการกระทําใด ๆ ไดสําเร็จ
ดวยความมั่นใจในตนเอง และไมทําตัวใหเปนป)ญหา เปนภาระแกผูอื่น หรือหมูคณะ
5.4 ความเปนตัวของตัวเอง (Autonomy : AUT) หมายถึง คุณลักษณะของนักเรียน
ที่มีความพอใจและภูมิใจในตนเอง สามารถตัดสินใจไดดวยตัวเอง ไมคลอยตามผูอื่นโดยไมมีเหตุผล
มีความคิดสรางสรรคB
5.5 ความสามารถในการปรับตัว (Adaptability : ADA) หมายถึง คุณลักษณะของ
นักเรียนที่มีความสามารถในการรวมกิจกรรมกับผูอื่น ชอบชวยเหลือและใหความรวมมือกับหมูคณะ
ยอมรับสิ่งใหม ๆ มองโลกในแงดี และมีความรับผิดชอบ
9
6. แรงจูงใจใฝHสัมฤทธิ์ (Achievement Motivation : AMO) คือ ความปรารถนาของ
นักเรียนที่จะกระทําสิ่งตางๆ ทั้งในหนาที่การงาน และเรื่องราวสวนตัวใหประสบความสําเร็จไปได
ดวยดี ตามเปKาหมายที่วางไวซึ่งวัดไดจากตัวแปรสังเกตได 5 ดาน คือ
6.1 ความทะเยอทะยาน (Aspiration : ASP) หมายถึง การตั้งระดับความคาดหวัง
ไวสูง ตองการใหงานของตนสําเร็จในระดับสูง ตองการชัยชนะเมื่อมีการแขงขัน ตองการดีเดนเหนือ
คนอื่น ตองการความกาวหนาในการทํางาน เลือกกิจกรรมที่เกี่ยวของกับการแขงขันหรือ
ฝ„กความชํานาญ
6.2 ความกระตือรือรน (Energetic : ENE) หมายถึง ความขยันขันแข็ง
มีความเอาใจใสเต็มใจและตั้งใจจริงในการทํางาน มีความอดทนสูง ทํางานที่ไดรับมอบหมายทันที
ไมผัดวันประกันพรุง มานะพยายามที่จะทํางานใหสําเร็จอยางมีประสิทธิภาพ สนุกสนาน
ในการทํางาน เห็นคุณคาของเวลา อาสาทํางานที่ตนถนัด ไมยอทอตองานที่ยุงยาก
6.3 ความกลาเสี่ยง (Moderate Risk Taking : MRT) หมายถึง ความกลาตัดสินใจ
ในการกระทําสิ่งตาง ๆ มุงความสําเร็จมากกวาหลีกเลี่ยงความลมเหลว กลาไดกลาเสีย เลือกทํา
สิ่งที่เปนไปได เลือกงานที่ยากและทาทายความสามารถ
6.4 การรูจักวางแผน (Planning : PLA) หมายถึง การมีแบบแผนในการทํางาน
มีจุดประสงคBในการทํางานที่เดนชัด มองเห็นลูทางในการทํางานอยางเปนขั้นตอน เล็งเห็นการณBไกล
มีความมุงหวังที่ยาวนานเกี่ยวกับความสําเร็จในชีวิต มีความรอบคอบ และรวบรวมรายละเอียด
กอนตัดสินใจ ทํางานอยางรัดกุม ประณีต และเปนระเบียบ
6.5 ความมีเอกลักษณB (Unique of Characteristic : UOC) หมายถึง การริเริ่ม
ทําสิ่งตางๆ ดวยความคิดของตนเองสูง มีอิสระในการแสดงออก สนใจเหตุการณBหรือสิ่งใหม ๆ
การใชความคิดหรือวิธีการใหม ๆ ในการแกป)ญหา การกระทําที่ไมซ้ําแบบใคร
บทที่ 2
เอกสารและงานวิจัยที่เกี่ยวของ
เอกสารและงานวิจัยที่เกี่ยวของกับการศึกษาครั้งนี้ ผูวิจัยไดทําการศึกษาเนื้อหาต%างๆ
ตามหัวขอ ดังต%อไปนี้
1. เอกสารที่เกี่ยวของกับการพัฒนาตนเอง
1.1 ความหมายของการพัฒนาตนเอง
1.2 แนวคิดและทฤษฎีที่เกี่ยวของกับการพัฒนาตนเอง
1.3 หลักการพัฒนาตนเอง
1.4 ความสําคัญของการพัฒนาตนเอง
1.5 องค4ประกอบการพัฒนาตนเอง
1.6 การวัดการพัฒนาตนเอง
2. ป6จจัยที่ส%งผลต%อการพัฒนาตนเอง
2.1 การรับรูความสามารถของตนเอง
2.2 แรงจูงใจใฝ:สัมฤทธิ์
2.3 การควบคุมตนเอง
2.4 ความเชื่อมั่นในตนเอง
2.5 การมองโลกในแง%ดี
3. งานวิจัยที่เกี่ยวของ
3.1 งานวิจัยภายในประเทศ
3.2 งานวิจัยต%างประเทศ
เอกสารที่เกี่ยวของกับการพัฒนาตนเอง
1. การพัฒนาตนเอง
1.1 ความหมายของการพัฒนาตนเอง
ณรงค4 รอดพันธ4 (2542 : 38) ใหความหมาย การพัฒนาตนเอง หมายถึง การจุด
ประการความคิด ในตัวเอง ดวยการปลูกจิตสํา นึก ใหบุคคลเห็นคุณค%าในตัวตน เกิดความตระหนักและ
สรางความพยายามที"จะปรับปรุงเปลี่ยนแปลงตนเองไปในทางที่ดี
ปราณี รามสูต และจํารัส ดวงสุวรรณ (2545 : 3) ใหความหมาย การพัฒนาตนเอง
ในความหมายเชิงจิตวิทยา หมายถึง การกระทําเพื่อการเจริญส%วนตน เปHนการเปลี่ยนแปลงในทางที่
ดีขึ้น ดานความมุ%งมั่นปรารถนาและค%านิยมอันเปHนพฤติกรรมภายใน ซึ่งส%งผลต%อพฤติกรรมภายนอก
ดานการกระทําที่ดีเพื่อนําพาชีวิตสู%ความเจริญกาวหนา
วีรฉัตร สุป6ญโญ (2548 : 65) ใหความหมาย การพัฒนาตนเอง หมายถึง
การแสวงหาความเจริญเติบโต ความกาวหนาใหแก%ตนเอง เพื่อบรรลุเปKาหมายในการดํารงชีวิต
อย%างมีความสุขและสรางสรรค4ประโยชน4แก%สังคม ทั้งที่เกิดจากกระบวนการทางการศึกษา อบรม
11
หรือที่เกิดจากแรงจูงใจภายในของตนเอง
นฤมล สุ%นสวัสดิ์ (2549 : 1) ใหความหมาย การพัฒนาตนเอง หมายถึง การเพิ่มขีด
ความสามารถ ขยายความเฉลียวฉลาด สติป6ญญาเพื่อใหมีความกาวหนาในชีวิตส%วนตัว และการงาน
ใหชีวิตมีความหมายและความพึงพอใจ อาจพัฒนาโดยตนเองนําตนเอง หรือมีคนอื่นมาทําใหพัฒนาดวย
การใหการกระตุนจูงใจใหการสนับสนุน แต%ในทายที่สุดก็คือเพิ่มความสามารถใหแก%ตน
วินิรนี ทัศนะเทพ (2549 : 89) ใหความหมาย การพัฒนาตนเอง หมายถึง การทําให
เจริญขึ้นหรือดีขึ้น ซึ่งในการพัฒนาตนเองนั้นหากดําเนินการอย%างเปHนระบบและมีหลักการ ก็จะสามารถ
ช%วยใหผูปฏิบัติมีโอกาสประสบความสําเร็จไดไม%ยากนัก
Megginson และ Pedler (อรอุษา จันทคร. 2551 : 11 ; อางอิงมาจาก
Megginson and Pedler. 1992 : 3) ใหความหมาย การพัฒนาตนเอง หมายถึง การที่ผูเรียนมี
ความตองการเปลี่ยนแปลงภาพของตนเองไปสู%สิ่งใหม% ๆ ผูเรียนเปHนผูตองรับผิดชอบในการเลือกสิ่งที่
ตนเองตองการเรียน ผูเรียนเปHนผูกําหนดว%าตองการเรียนเมื่อไหร% และมีวิธีการเรียนรูอย%างไรหรือ
อาจกล%าวไดว%าผูเรียนมีความอิสระในการเรียนรูและเลือกสิ่งที่ตองการเรียนรู
Miller (สุรินทร4 บู%สาลี. 2545 : 9 ; อางอิงมาจาก Miller. 1979 : 55)
ใหความหมายการพัฒนาตนเองเปHนการเรียนรูของตนเอง เพื่อสะสมความรูและประสบการณ4ใหมากขึ้น
ถือไดว%าบุคคลเมื่อเติบโตขึ้นเรื่อยๆและในที่สุดก็กลายเปHนเรื่องของการพัฒนาของแต%ละคน บุคคลมักจะ
เรียนรูโดยผ%านการกระทําและการใชทักษะความสามารถต%างๆ ซึ่งเปHนผลทําใหเกิดประสบการณ4 และ
กลายเปHนบทเรียนสําหรับการปฏิบัติครั้งต%อไปในอนาคตยิ่งกว%านั้นบุคคลมักจะเรียนรูเพราะคิดว%า
การเรียนรูทําใหอนาคตของเขาดีกว%าอดีตที่ผ%านมา ในบางครั้ง บุคคลจะเรียนรูก็ต%อเมื่อกระบวนการ
เรียนรูไดดีหรือไม%ขึ้นอยู%กับความพึงพอใจและความตองการที่จะเรียนรู
สรุปไดว%า การพัฒนาตนเอง หมายถึง คุณลักษณะของบุคคลที่แสดงถึงการเปลี่ยนแปลง
ปรับปรุง แกไข พฤติกรรมของตนเองไปสู%สิ่งที่ดีขึ้น รูจักคิดพิจารณาสิ่งต%างๆ ดวยตนเอง มีวินัย
มีความกระตือรือรนใฝ:รู ใฝ:สรางสรรค4 เพื่อใหชีวิตของตนเองมีความเจริญกาวหนา และประสบ
ความสําเร็จ
1.2 แนวคิดและทฤษฎีที่เกี่ยวของกับการพัฒนาตนเอง
จากการศึกษาเอกสารและงานวิจัยต%างๆ พบว%า การพัฒนาตนเองเปHนเรื่องที่
นักวิชาการและนักบริหารที่มีชื่อเสียงในองค4การต%างๆ ใหความสนใจหลายท%านในการศึกษางานวิจัยครั้ง
นี้ ผูวิจัยไดคัดเลือกแนวคิดและทฤษฎีเกี่ยวกับการพัฒนาตนเองที่น%าสนใจ
มากล%าวถึงไว ดังนี้
1.2.1 ทฤษฎีลําดับขั้นความตองการของ Maslow (Maslow’s Hierachy of
Needs) ลําดับขั้น ในยุคแรกๆ ที่ Maslowทําการศึกษา เขาแบ%งความตองการของมนุษย4ไวเปHน 5
ลําดับ ลําดับที่ 1- 4 เปHนความตองการระดับตน ส%วนลําดับที่ 5 เปHนความตองการระดับสูง ในยุค
ต%อมา Maslowไดทําการศึกษาเพิ่มเติมและแบ%งความตองการลําดับที่ 5 ใหละเอียดออกไปอีก 3
ระดับ รวมใหม%ทั้งหมดเปHน 7 ลําดับขั้นของความตองการของมนุษย4 (ปราณี รามสูตร. 2548 :
213-218) ซึ่งมีลําดับขั้นดังนี้
12
ลําดับขั้นที่ 1 ความตองการทางดานร%างกาย (Physical needs) เปHนความ
ตองการเบื้องตนเพื่อความอยู%รอดของชีวิต ไดแก% อาหาร อากาศ น้ํา ที่อยู%อาศัย ความตองการทาง
เพศ ความตองการทางดานร%างกายเปHนความตองการที่มีพลังผลักดันสูงต%อพฤติกรรมของมนุษย4
เปHนความตองการที่จําเปHนเพื่อความอยู%รอดของชีวิต
ลําดับขั้นที่ 2 ความตองการความปลอดภัย (Safety needs) เปHนความ
ตองการดานความมั่นคงปลอดภัยในตนเอง รวมถึงความรูสึกกาวหนาและความอบอุ%นทางดานจิตใจ
ลําดับขั้นที่ 3 ความตองการความรัก ความเปHนเจาของ (Love and
belongingness) เปHนความตองการที่จะไดเขาร%วมเปHนส%วนหนึ่งและไดรับการยอมรับในสังคม
ความเปHนมิตรและความรักจากเพื่อนหรือผูแวดลอม
ลําดับขั้นที่ 4 ความตองการที่จะไดรับการยกย%องนับถือหรือมีชื่อเสียง
(Esteem needs) เปHนความตองการระดับสูง ไดแก% ความตองการเด%นในสังคม ความสําเร็จ ความรู
ความสามารถ ความเปHนอิสระและเสรีภาพ และการเปHนที่ยอมรับนับถือ
ลําดับขั้นที่ 5 ความตองการตระหนักรู เขาใจสรรพสิ่ง (Need to know and
Understand) คือการอยากรู อยากเขาใจ อยากมีความสามารถ อยากมีทักษะและประสบการณ4
ลําดับขั้นที่ 6 ความตองการทางสุนทรียะ ความดีงาม (Aesthetic needs)
ไดแก% ความตองการบรรลุดานความดี ความงาม คุณธรรม และความละเอียดอ%อนทางจิตใจ
ลําดับขั้นที่ 7 ความตองการที่จะไดรับความสําเร็จในชีวิต (Self-
actualization needs) เปHนความตองการระดับสูงสุดของมนุษย4 ซึ่งจะแตกต%างกันไปตามความคิดของ
ตนและถือเปHนความฝ6นสูงสุดของแต%ละคน
ทฤษฎีความตองการตามลําดับขั้นของ Maslow ชี้ใหเห็นว%า บุคคลถูกกระตุน
จากความปรารถนาที่จะสนองความตองการเฉพาะอย%าง เช%น
1. บุคคลย%อมมีความตองการอยู%เสมอและไม%สิ้นสุด ขณะที่ความตองการใด
ตอบสนองแลว ความตองการอื่นก็เกิดขึ้นอีกไม%มีวันจบสิ้น
2. ความตองการที่ไดรับการตอบสนองแลวจะไม%เปHนสิ่งจูงใจของพฤติกรรมต%อไป
ความตองการที่ไม%ไดรับการตอบสนองจึงเปHนสิ่งจูงในพฤติกรรมของคนนั้น
3. ความตองการของบุคคลจะเรียงลําดับขั้นตอนความสําคัญ เมื่อความตองการ
ระดับต่ําไดรับการสนองแลวบุคคลก็จะพอใจและใหความสนใจและปฏิบัติเพื่อสนองความตองการ
ระดับสูงต%อไป
จากทฤษฎีของ Maslow จะเห็นไดว%ามนุษย4พยายามที่จะตอบสนองความตองการ
ของตนอย%างต%อเนื่องเรียงลําดับเปHนขั้นตอนตามความสําคัญ กล%าวคือ ในขณะที่ความตองการที่รุนแรง
กว%าไดรับการตอบสนองใหเกิดความพึงพอใจแลว ความตองการอื่นๆก็จะเกิดตามขึ้นมาแทนที่
ขณะที่มนุษย4เกิดความตองการ มนุษย4จะกระทําการหลายรูปแบบ เพื่อหาทางสนองความตองการ
ของตนเอง การพัฒนาตนเองหรือการปรับปรุงเปลี่ยนแปลงตนเองก็เปHนอีกรูปแบบหนึ่งเพื่อใหไดมา
ซึ่งความตองการดังกล%าว ซึ่งหลักการของทฤษฎีนี้สามารถใชเปHนแนวทางในการสรางแรงจูงใจใน
การพัฒนาตนเองของนักเรียน
13
1.2.2 ทฤษฎีความตองการของ Murray(Murray’s Manifest Needs) อธิบาย
ความตองการของมนุษย4ไวในทฤษฎีของเขาว%าในขณะหนึ่งๆ บุคคลอาจมีความตองการดานใดดานหนึ่ง
หรือหลายดานสูง และความตองการดานอื่นต่ําก็ได ตามทฤษฎีของ Murray ความตองการที่จําเปHน
และสําคัญของคนมีอยู% 4 ประการ คือ ความตองการความสําเร็จ (Needs for achievement)
ความตองการมิตรสัมพันธ4 (Needs for affiliation) ความตองการมีอํานาจ (Needs for power) และ
ความตองการอิสระ (Needs for autonomy) (สํานักงานคณะกรรมการการอุดมศึกษา. 2546 :
156) ซึ่งอาจนํามาใชในการอธิบาย ความตองการของบุคคลในการทํางานไดว%า ในการทํางานใดๆ
บุคคลส%วนใหญ%มักตองการความสําเร็จในการทํางาน ตองการมีอํานาจหรือตําแหน%งงาน และตองการ
เปHนอิสระ เปHนตัวของตัวเองในการตัดสินใจใน เรื่องงาน
จากทฤษฎีความตองการของ Murray เมื่อนํามาทําความเขาใจในการพัฒนา
ตนเองของนักเรียนว%า ขณะที่เรียนไดรับความสําเร็จ ตองการการยอมรับว%าเปHนส%วนหนึ่งของเพื่อน
ตองการประสบผลสําเร็จเรื่องการเรียน การทํางาน ซึ่งเมื่อนักเรียนมีพื้นฐานความตองการเหล%านี้อยู%แลว
จึงอาจไม%ยากนักที่จะเสริมสรางแรงจูงใจใหนักเรียนพัฒนาตนเองเติมเต็มความตองการดังกล%าว
1.2.3 ทฤษฎี X ทฤษฎี Y ของ McGrego ทฤษฎี X ทฤษฎี Y เปHนผลงานของ
Douglas McGregor เขาแยกอธิบายเปHน 2 เรื่อง หรือ 2 ทฤษฎี คือ ทฤษฎี X กับ ทฤษฎี Y
(อรอุษา จันทคร. 2551 : 14-15 ; อางอิงมาจาก สมควร ทรัพย4บํารุง. 2534 : 28-29)
สรุปแนวคิดที่สําคัญไดดังนี้
1.2.3.1. ทฤษฎี X McGrego ไดตั้งสมมติฐานเกี่ยวกับลักษณะในเชิงลบของคน
ตามทฤษฎี X ว%าคนมีลักษณะที่ไม%ดี ดังนี้
1) คนโดยทั่วๆ ไป ไม%ชอบการทํางาน ถามีโอกาสหลีกเลี่ยงบิดพลิ้วไดจะทํา
หนาที่ เพื่อจะไดไม%ตองเหน็ดเหนื่อยในการทํางานนั้นๆ
2) คนไม%ชอบการทํางาน ถาใหทํางานตองมีการบังคับควบคุม ดูแลอย%างใกลชิด
มีรางวัลเมื่อทําดี และทําโทษถาไม%ทํางาน
3) โดยทั่วๆ ไปคนจะหลีกเลี่ยงความรับผิดชอบ ไม%กระตือรือรนที่จะทํางาน
แต%อยากมีความมั่นคง
สรุปโดยทั่วไปแลว ทฤษฎี X เปHน ทฤษฎีที่มองคนบางส%วนในแง%รายและคิดว%า
คนมีความตองการดานร%างกายแต%อย%างเดียว ไม%มีความตองการสูงขึ้นไป ดังนั้น ผูที่เชื่อในทฤษฎีนี้จึงมัก
ดูแลการทํางานของผูอื่น ดวยการบังคับควบคุมลงโทษมากกว%าที่จะจูงใจใหคนมองเปKาหมายอัน
สูงส%งทางสังคม หรือความสําเร็จสูงสุดในชีวิต
1.2.3.2. ทฤษฎี Y เปHนแนวความคิดที่ยุคใหม%ใหการยอมรับมาก มีความเชื่อ
เกี่ยวกับคนในทางตรงขามกับ ทฤษฎี X ดังนี้
1) คนโดยทั่วๆ ไปไม%ใช%หลีกเลี่ยงงานตลอดเวลา เพราะถาเขาไดงานที่ชอบ
ทํางานร%วมกับคนที่ถูกใจ และอยู%ในสภาพแวดลอมที่เหมาะสม คนเราก็ปรารถนาที่จะทํา
แต%ถาทํางานเพราะถูกบังคับควบคุม ก็ไม%อยากทํางานนั้น
2) การควบคุมบังคับบัญชา บทลงโทษใดๆ ไม%ใช%ทางเลือกที่ดีในการทํางาน
ของมนุษย4 ทางที่ดีควรเปwดโอกาสใหเขาทํางานที่ชอบ ใหรูจักรับผิดชอบในงานเพื่อทําใหบุคคลเกิด
ความพอใจและสามารถทํางานใหบรรลุเปKาหมายได
14
3) การที่จะกล%าวว%าคนป6ดความรับผิดชอบ ไม%กระตือรือรนนั้นในการทํางาน
แต%ชอบความมั่นคง ผูที่กล%าวเช%นนั้นอาจเปHนความรูสึกที่เกิดขึ้นจากประสบการณ4เก%าๆ มากกว%า
คนไม%ไดมีลักษณะดังกล%าวเพียงอย%างเดียว เพราะถามีการบริหารที่ถูกตองเหมาะสมสอดคลองกับ
ความตองการแลว คนก็อยากทํางานและอยากมีความรับผิดชอบเพิ่มขึ้น
จะเห็นไดว%าทฤษฎี Y มีแนวคิดตรงขามกับทฤษฎี X และใชความเขาใจมนุษย4ใน
เชิงจิตวิทยามาอธิบายกล%าวคือแนวคิดของทฤษฎี Y เปHนการมองพฤติกรรมของมนุษย4ในองค4การจาก
สภาพจริง องค4การจะบรรลุเปKาหมายตองไดรับความร%วมมือจากบุคคลในองค4การ โดยมีการบริหารที่
ถูกตองเหมาะสมสอดคลองกับความตองการ และอยู%ในสภาพแวดลอมที่เหมาะสม คนก็อยากทํางาน
และอยากมีความรับผิดชอบในงาน ซึ่งแนวคิดดังกล%าวนี้สามารถนํามาเปHนแนวทางเสริมสรางพัฒนา
นักเรียนใหมีการพัฒนาตนเองได
จากทฤษฎีที่กล%าวมา สรุปไดว%า คนหรือที่เรียกว%าทรัพยากรมนุษย4นับว%าเปHนป6จจัย
สําคัญในการที่จะนําความสําเร็จมาสู%องค4การ ถือไดว%าเปHนทรัพยากรที่มีคุณค%าสามารถสรางสรรค4
ประโยชน4และประสิทธิภาพใหกับองค4การไดอย%างมหาศาลภายใตสภาวการณ4และสภาพแวดลอม
ต%างๆ โดยความเปHนจริงแลวมนุษย4ทุกคนมีความปรารถนาจะกาวไปสู%ความสําเร็จและตองการที่จะ
ปรับปรุงตนเองใหกาวหนาอยู%เสมอ การพัฒนาตนเองจึงเปHนพื้นฐานของการพัฒนาทั้งมวลและถือ
เปHนกระบวนการต%อเนื่องที่ตองดําเนินการต%อไปตราบใดที่ยังไม%หยุดทํางาน เพราะเปKาหมายหลักคือ
ความสุข การกินดีอยู%ดี ความสําเร็จในหนาที่การงานและการไดรับการยกย%องจากสังคม จากแนวคิด
และทฤษฎีที่กล%าวมาแลวจึงสามารถชี้ใหเห็นว%า การพัฒนาตนเองเปHนสิ่งที่ทุกคนรวมทั้งนักเรียนตองการ
การที่บุคคลเรียนรูและปรับปรุงตนเองใหมีความเจริญงอกงามประสิทธิภาพในการเรียนและพยายาม
ปรับปรุงเปลี่ยนแปลงตนเองอยู%เสมอนั้นก็เพื่อความสําเร็จและความกาวหนาในการเรียน
ของตนเอง และเพื่อใหบรรลุจุดมุ%งหมายในสิ่งที่ตองการนั่นเอง
1.2.4 Boydell (สุภมาส จินะราช. 2549 : 13-15 ; อางอิงมาจาก Boydell.
1985 : 21, 25) ไดสรางทฤษฎีการพัฒนาตนเอง ซึ่งเปHนแนวคิดที่สําคัญอย%างหนึ่งของการเรียนรู
โดยการพัฒนาจะเกิดขึ้นไดดวยการที่เราสามารถทําใหประสบการณ4จริงที่เกิดขึ้นบางอย%างของเรามี
ความหมาย และหรือดวยการแกป6ญหาสําคัญบางอย%างที่มีผลกระทบต%อหนาที่การงานหรือชีวิตของเรา
โดยตรง โดยการพยายามทําสิ่งต%าง ๆ ใหสําเร็จดวยตนเอง และอาจสําเร็จไดง%ายขึ้นหากมีบุคคลอื่นคอย
ช%วยเหลือการพัฒนาตนเอง รวมถึงบรรยากาศและระบบค%านิยมอื่น ๆ ในองค4กร ที่ส%งเสริมการพัฒนา
ตนเอง ซึ่งการพัฒนาตนเองควรทําใหทฤษฎีเปHนกฎเกณฑ4ส%วนตัว ทฤษฎีจะมีบทบาทที่ดีมีชีวิตชีวาได
ก็ต%อเมื่อนําไปใชกับประสบการณ4ส%วนตัวเท%านั้น ซึ่งประกอบดวยกระบวนการดังต%อไปนี้
1.2.4.1 ตระหนักป6ญหา วงจรของการพัฒนาเริ่มตนดวยความวิตกกังวลอย%างแทจริง
ซึ่งอาจเปHนป6ญหาหรืองานการที่เกิดขึ้น สิ่งที่น%าประหลาดใจหรืองุนงงสงสัย หรือแมแต%สรางความตกอก
ตกใจ เมื่อมีสิ่งที่ไม%คาดคิดเกิดขึ้นอย%างไม%สมเหตุสมผล หรือในที่นี้อาจเปรียบไดกับการปรารถนาใน
การเรียนรู (Desire to learn) นั่นคือ การพัฒนาตนเองเริ่มจากตัวของบุคคลเองที่มีความตองการที่จะ
เรียนรูเกี่ยวกับงานและตองการเขาใจในองค4การ ซึ่งเปHนการยากในการทําใหเกิดความกาวหนาใน
การทํางานหากปราศจากความตองการหรือความตั้งใจของบุคคล บุคคลที่ตองการในการเรียนรูจะตองรู
ว%าอะไรเปHนสิ่งที่ตนเองตองการเรียนรู (ดังนั้น จึงเปHนสิ่งสําคัญที่บุคคลที่ตองการจะพัฒนาตนเองจะตอง
15
วินิจฉัยถึงความตองการของตนเอง) ซึ่งบุคคลที่ตองการจะพัฒนาตนเองนั้นจะตองไม%พอใจหรือ
มีความรูสึกไม%สะดวกสบายกับสภาพของตนเองที่เปHนอยู%ในป6จจุบัน
1.2.4.2 วินิจฉัยตนเอง การใชความคิดอ%านต%อป6ญหาหรือประสบการณ4ที่เกิดขึ้นเปHน
การคนหาคําอธิบายและลู%ทางที่อาจเปHนไปไดและอาจตองนําไปถกป6ญหากับคนอื่นดวย ผลที่ไดรับก็คือ
วิธีการใหม%ในการมองสิ่งต%าง ๆ รวมทั้งลักษณะการมองตัวเองและโลกรอบตัว ความแปลกใหม%เหล%านี้
อาจเกิดขึ้นไดกับแง%มุมชีวิต 3 อย%าง คือ ความคิด ความรูสึกและความมุ%งมั่น โดยอาจเกิดขึ้นไดกับอย%าง
ใดอย%างหนึ่งหรือทั้งสามอย%างพรอมกัน บุคคลที่ตองการพัฒนาตนเอง จําเปHนตองเขาใจว%าทําไมถึงไม%
พอใจในสภาพที่ตนเปHนอยู% ทําไมอยากมีความกาวหนา โดยการสํารวจวิเคราะห4ตนเอง เพื่อทราบถึง
จุดเด%นและขอ บกพร%องของตนเองและนําขอบกพร%องนั้นมาปรับปรุงแกไข ไม%มีความพอใจกับสิ่งที่
เปHนอยู%ในป6จจุบัน เพราะว%าการสํารวจวิเคราะห4ตนเองนั้นมีหลายแนวทาง เช%น การอ%านหนังสือ
การสนทนากับเพื่อนกับ ผูร%วมงาน เกี่ยวกับการทํางาน หลังจากนั้นตองคิดวิเคราะห4หรือการไปสนทนา
กับผูรู หรือผูที่มีความเชี่ยวชาญเพื่อใหคําแนะนํา เพื่อช%วยในการวิเคราะห4ตนเอง ยอมรับเพื่อที่จะหา
ขอบกพร%องของตนเอง เพื่อการปรับปรุงและพัฒนาตนเองต%อไป
1.2.4.3 วางแผนการพัฒนาตนและตั้งเปKาหมาย การใชความคิดความสามารถนําไปสู%
วิธีการใหม% ๆ ในการสรางความหมาย ทฤษฎี ทัศนคติ แนวคิด ความเชื่อ ค%านิยม ฯลฯ มีการพัฒนา
ความรับรูและตระหนักในความรูสึกดังกล%าวรวมทั้งความสามารถในการแสดงออก หรืออาจมีความรูสึก
แตกต%างไปเกี่ยวกับบางสิ่งบางอย%างหรือคนบางคน ซึ่งทําใหไดผลลัพธ4คือ แรงกระตุน ทักษะ นิสัย
ความมุ%งมั่นหรือความตั้งใจใหม%เกิดขึ้น และการกําหนดเปKาหมาย (Set goals) ก็เปHนส%วนประกอบใหญ%
ของการวางแผนการพัฒนาตน คือ เมื่อไดมีการวินิจฉัยตนเองแลวก็จะทราบถึงเปKาหมายในการที่จะ
พัฒนาตนเองว%าอยากที่จะกาวหนาขึ้นจากเดิมอย%างไรบาง ความคิดที่อยากจะทําต%อไปคืออะไร เขียน
เปKาหมายไว ถาเปHนไปไดควรกําหนดระยะเวลาในการประเมินผลหรือวัดความกาวหนาของตนเอง
ในการที่จะทําใหบรรลุเปKาหมายของตนเองที่ตั้งไวบางครั้งจะตองเผชิญกับความเสี่ยง แต%เปHนความเสี่ยง
เล็ก ๆ นอย ๆ ที่ตนเองพิจารณาแลวว%าไม%เปHนอันตรายต%อชีวิตตนเองและผูอื่น เปHนความเสี่ยงที่ตนเอง
คิดว%าไม%เกินความรูความสามารถของตนเอง และบางครั้งจะตองมีความเชื่อมั่นในตนเองเพื่อใหบรรลุผล
สําเร็จตามที่ตั้ง เปKาหมายไว
1.2.4.4 ปฏิบัติตามแผนและประเมินผล ผลของการพัฒนาจะปรากฏขึ้นในขั้นตอนนี้
ซึ่งตองนําผลลัพธ4ดังกล%าวไปใชปรับปรุงตนเองใหมีความเขมแข็งเพิ่มขึ้นดวย การลองนําความคิดเห็น
ใหม% ๆ ไปใชทํางานดวยความรูสึกนึกคิดและมีจุดมุ%งหมายเมื่อเหตุการณ4ดําเนินไปดวยดี จึงหมายความ
ว%ามีการพัฒนาเพิ่มพูนมั่นคงขึ้น ซึ่งกระทําไดหลายวิธี โดยการแสวงหาแหล%งสนับสนุนที่เหมาะสม
(Finding appropriate resources) คือ การศึกษาหาความรูในรูปแบบต%าง ๆ กัน และการคนหา
แหล%งขอมูลที่เปHนประโยชน4ที่เหมาะสมสําหรับตนเอง
จากทฤษฎีที่กล%าวมาแลว สรุปไดว%า ผลของการพัฒนาตนนั้นคือการพัฒนาของตัวเอง
และการที่จะประสบผลสําเร็จไดก็ตองใชกระบวนการที่เกี่ยวของกับการพัฒนาดวยตัวเองเท%านั้น
ซึ่งกระบวนการพัฒนาตนเองของ Boydell ก็สามารถอธิบายไดอย%างสอดคลองและชัดเจน จึงมีความ
เหมาะสมที่จะนํามาใชในงานวิจัยครั้งนี้ โดยกระบวนการพัฒนาตนเองมีลําดับขั้น 4 ขั้นตอน ดังนี้
1) ตระหนักป6ญหา โดยนึกถึงความจําเปHนและมีความตองการที่จะปรับปรุงตนเอง 2) วินิจฉัยตนเอง
ว%ามีขอดีขอเสียหรือจุดเด%นจุดดอยอย%างไร รูว%าตนเองมีสภาพเปHนอย%างไร 3) วางแผนการพัฒนาตนและ
16
ตั้งเปKาหมาย โดยการวางแผนการดําเนินการพัฒนาตนเองได 4) ปฏิบัติตามแผนและประเมินผลตนเอง
ปฏิบัติตามแผนการที่ไดวางเอาไวดวยการส%งเสริมความรู ความสามารถ คุณลักษณะต%าง ๆ
ในการพัฒนาตน โดยการกระทําหลายรูปแบบต%าง ๆ กัน โดยตองทําครบทั้ง 4 ขั้นตอน จึงทําให
การพัฒนาตนเองสามารถประสบความสําเร็จตามเปKาหมายที่วางไว และในบางกรณีอาจจะเริ่มตน
กระบวนการพัฒนาตนเองดวยขั้นตอน 3 ก็สามารถทําใหเกิดการพัฒนาตนเองไดเช%นกัน
1.3 หลักการพัฒนาตนเอง
เรียม ศรีทอง (2542 : 145-155) อาศัยหลักการสรางความเจริญงอกงามในชีวิต
เพื่อเพิ่มความสมบูรณ4ในชีวิตของบุคคล โดยมุ%งพัฒนาการรักษาดุลยภาพของชีวิต 3 ดาน ประกอบดวย
ดานร%างกาย (Physical Component) ดานจิตใจ ความคิด (Psychological Component) และดาน
จิตวิญญาณ (Spiritual Component) ซึ่งจะเสนอหลักการสําคัญ 3 แนวทาง ไดแก% หลักการพัฒนา
ตนเองเชิงการแพทย4และจิตวิทยาสุขภาพ หลักการพัฒนาตนเองเชิงจิตวิทยา และหลักการพัฒนาตนเอง
เชิงพุทธศาสตร4 ดังนี้
1.3.1 หลักการพัฒนาตนเองเชิงการแพทย4และจิตวิทยาสุขภาพ เปHนกระบวนการ
ปฏิบัติตัวของบุคคลเพื่อส%งเสริมใหระบบการควบคุมความสมดุลในร%างกายใหทํางานไดตามปกติเปHน
ผลใหบุคคลดํารงชีวิตไดอย%างปกติสุข ตัวบ%งชี้ความสมดุลในร%างกาย ไดแก% ผลการประเมินการทํา
หนาที่ของทุกระบบในร%างกายดวยกระบวนการทางวิทยาศาสตร4ที่เปHนปกติ ส%วนจิตวิทยาสุขภาพมี
รูปแบบการรักษาที่เรียกว%า ชีวจิตวิทยาแห%งสุขภาพ (Biopsychological Model of Health) เชื่อมโยง
ระหว%างร%างกาย สภาวะจิตใจ และสิ่งแวดลอมรอบตัวโดยมองสุขภาพเปHนการเคลื่อนไหวและ
มีการเรียนรูหลายมิติทั้งดานร%างกายสติป6ญญา อารมณ4 จิตวิญญาณ สังคม และสิ่งแวดลอม
1.3.2 หลักการพัฒนาตนเองตามแนวคิดจิตวิทยาพฤติกรรมนิยม เปHนการเรียนรู
อันเนื่องมาจากผลกรรมหรือเงื่อนไขของการกระทํา ซึ่งมีผลกรรมเชิงบวก ไดแก% การเสริมแรง และ
ผลกรรมเชิงลบ คือ การลงโทษ และการเรียนรูทางสังคม โดยมีตัวแบบที่ไดจากประสบการณ4ตรงและ
ประสบการณ4โดยออมเปHนสําคัญ นอกจากนี้กระบวนการทางป6ญญา ซึ่งมีส%วนสําคัญที่เอื้อต%อ
ความสําเร็จในการพัฒนาตน โดยมีเทคนิคการพัฒนาตน ไดแก% การควบคุมตนเอง (Self control)
1.3.3 หลักการพัฒนาตนเองตามแนวพุทธศาสตร4 เปHนการพัฒนาตนเพื่อชีวิตที่
เปHนสุขทั้งของตนและของผูอื่น อยู%ร%วมกันภายใตธรรมชาติที่กลมกลืนกัน พระธรรมปwฎก ไดใหแนว
ทางการพัฒนาชีวิตที่ยั่งยืน ไดแก% ความเชื่อในการฝ~กฝนพัฒนาตน การมีศีลและปฏิบัติตาม
กฎเกณฑ4ของสังคม ฝ~กการเพิ่มภาวะอิสระจากวิกฤตภายนอก บริจาคและสงเคราะห4ซึ่งกันและกัน
ฝ~กการสรางสมาธิเพื่อการสรางพลังจิตที่เขมแข็ง ฝ~กพัฒนาป6ญหาใหมีความเขาใจชีวิตและโลกที่
แทจริง เพื่อนําไปสู%ความเปHนอิสระเหนือความสุขและความทุกข4 คือ การฝ~กวิป6สสนากรรมฐาน
ปราณี รามสูต และจํารัส ดวงสุวรรณ (2545 : 123) คนที่จะพัฒนาตนเองจะเริ่ม
ดวยการสํารวจและพิจารณาตนเองว%ามีขอดีและขอบกพร%องอะไรบาง เปHนกระบวนการพัฒนาตนที่เปHน
ระบบ แต%การพัฒนาตนจะสัมฤทธิ์ผล ผูนั้นจะตองตระหนักถึงความจําเปHนและมีความตองการที่จะ
ปรับปรุงตนเองอย%างจริงจัง กระบวนการดังกล%าวจึงจะถูกนํามาใชเพื่อการพัฒนาตน แลวย%อมเกิดผลดี
ต%อผูนั้นหลักการพัฒนาตนเอง ควรมีลําดับขั้นตอนดังนี้
17
ขั้นที่ 1 ตระหนักถึงความจําเปHนในการปรับปรุงตนเอง ถือเปHนหัวใจสําคัญ คือ
เจาตัวมองเห็นประโยชน4ของการพัฒนาตนเสียก%อน หากภูมิใจในตนเองมากไปจนมองไม%เห็นความ
บกพร%องบางดานของตนเองเลย หรือบางคนอาจทราบว%าตนเองบกพร%องตองแกไขบางส%วน แต%ไม%
สนใจ ไม%ตองการที่จะปรับปรุงตนเอง เพราะคิดว%าไม%จําเปHน การพัฒนาตนย%อมเกิดขึ้นไดยากกับ
คนๆ นั้น ที่จริงแลวการพัฒนาตนใหดีขึ้นนับว%าเปHนตนทุนอันสูงที่จะทําใหไดรับผลกําไรทางอื่นๆ
อันเปHนความตองการพื้นฐานของคนเรา คือ ความรัก ความชอบพอ การเปHนที่ยกย%องในสังคมทั่วไป
เปHนตน ดังนั้นก%อนอื่น ถาตองการชีวิตที่ประสบความสําเร็จ นอกจากจะพัฒนาตนเองในแง%ความรู
แลว จะตองตั้งมั่นที่จะพัฒนาตนเองในทุกดานใหดีขึ้นมากที่สุดเท%าที่จะทําได
ขั้นที่ 2 การวิเคราะห4ตนเอง เปHนการวิเคราะห4ตนเองว%ามีขอดีขอเสียอย%างไร
เหมาะสมมากนอยเพียงไรนั้น เราตองอาศัยทั้งการสังเกตตนเอง ประเมินตนเอง และสังเกต
พฤติกรรมของผูอื่นที่แสดงต%อเราว%าเขาชอบเราและไม%ชอบเราในเรื่องใดบาง และใชการเปรียบเทียบ
บุคลิกภาพของตนที่สังคมตองการ ต%อป6ญหาที่ว%าทําไมเราตองใหคนอื่นมาตัดสินเราว%าเปHนอย%างไร
เราตัดสินตนเองคนเดียวไม%ไดหรือ ตอบไดว%า คนแต%ละคนโดยทั่วไปย%อมมีทั้งลักษณะที่ดีและไม%ดีอยู%
ในตนเอง ลักษณะที่ดีและไม%ดีเหล%านั้นบางอย%างเรารู คนอื่นก็รู บางอย%างเราไม%รูแต%คนอื่นรู และ
บางอย%างเราก็ไม%รูและคนอื่นก็ไม%รูเหมือนกัน
ขั้นที่ 3 การวางแผนพัฒนาตนและการตั้งเปKาหมาย เมื่อไดพิจารณาตนเองว%า
มีลักษณะประจําตัวอย%างไร และไดทราบลักษณะบุคลิกภาพที่ดีของตนในขั้นที่ 2 แลว ต%อไปเรา
จะตองวางแผนการสําหรับตนเองในการพัฒนาตน แลวปฏิบัติใหเปHนไปตามแผนนั้น
ขอเสนอแนะบางประการเพื่อช%วยใหบรรลุเปKาหมาย
1. เขียน และเขียนทุกสิ่งทุกอย%าง บันทึกของคุณจะช%วยคุณไดมากกว%าเครื่องมือ
ชนิดอื่นใด ทั้งนี้เพราะบันทึกจะแสดงถึงความกาวหนา คุณไม%ตองเสียเวลาจดจําว%าคุณไปไดไกล
แค%ไหนแลว
2. ติดตามความกาวหนาอย%างใกลชิด คุณอาจจะตองขีดเสนตายใหตนเอง
หากคุณทํางานไดทันตามกําหนดเวลา คุณจะไดถือโอกาสฉลองความสําเร็จเปHนคราวๆ ไป
3. ลงมือดําเนินการเพื่อใหบรรลุเปKาหมายแทนการปล%อยใหทุกอย%างเกิดขึ้นเอง
ลงมือทําเสียวันนี้เลย
4. ขอความช%วยเหลือเฉพาะเท%าที่จําเปHน จําไวเสมอว%า คุณตองรับผิดชอบต%อ
ความสําเร็จของตนเอง
5. เตรียมรับมือกับอุปสรรคและทางตัน แต%อย%าไดยอมแพ อย%าย%อทอ มีบางครั้ง
ที่จะเกิดป6ญหา ถายึดติดกับกําหนดการมากเกินไป ถาวัตถุประสงค4ของคุณยากเกินไปทําใหมันง%าย
ขึ้น แต%อย%าไดรามือ ถาขามสิ่งกีดขวางไม%ไดหาทางออมดานขาง และหาทางเรียนรูจากป6ญหาจุดสําคัญ
คือ เล%นไม%ยอมเลิก
6. ประเมินผลซ้ํา และพิจารณาเปKาหมายใหม%ทุกครึ่งเดือน บางทีความตองการ
ของคุณอาจเปลี่ยนไปแลว จําไวเสมอว%าเปKาหมายเปHนของคุณ และคุณพยายามทุกวิถีทางที่จะทําให
เกิดผลสําเร็จ ตรวจดูใหแน%ว%าเปKาหมายนั้นเปHนสิ่งที่คุณตองการจริงๆ ไม%ใช%เปKาหมายที่พ%อแม%หรือเพื่อน
เปHนผูกําหนดแทนคุณ
18
7. อย%าเปHนมนุษย4สมบูรณ4แบบ พยายามทําใหดีที่สุดเท%าที่จะทําได
อย%าไปเสียเวลากังวลว%างานชิ้นนั้นยังไม%สมบูรณ4แบบ การเขียนรายงานสมบูรณ4แบบไม%มีประโยชน4อะไร
เลยถาคุณทํางานชากว%ากําหนด
8. การเตรียมใจใหพรอมว%า คุณอาจจะรูสึกผิดหวังบาง เมื่อบรรลุถึงเปKาหมาย
แลวเรื่องนี้เปHนเรื่องปกติธรรมดา บางคราวอาจรูสึกอางวางว%างเปล%า บ%อยครั้งที่การบรรลุเปKาหมายไม%ได
ใหความสุขอย%างที่คิด ถาเปHนเช%นนั้นควรหาเปKาหมายใหม% เปKาหมายที่จะใหคุณไดรับในสิ่งที่คุณตองการ
สมิต อาชวนิจกุล (2543 : 21-22) ไดเสนอขั้นตอนวิธีการมองตนเพื่อการพัฒนาตนเอง
มีดังนี้
1. ทุกครั้งที่ท%านทําอะไรผิดพลาด ลมเหลว หรือพ%ายแพต%อชีวิต ก%อนอื่นขอให
ท%านหันเขามองตนเอง และตรวจสอบความบกพร%องของตนเอง มองดูว%า เรายังมีขวัญหรือกําลังใจ
อยู%หรือไม% และเราจะลุกขึ้นสูกับวิถีชีวิตใหม%ไดอย%างไร
2. จงหมั่นสํารวจตัวเองเปHนครั้งคราว อย%างนอยสัปดาห4ละหนึ่งครั้ง แลวดูว%าตน
เองพัฒนาตนเองไปไดดีเพียงใด ใชเวลาเปHนประโยชน4หรือไม% ทําคุณงามความดีอะไรบาง ทําคุณ
ใหแก%สังคมหรือครอบครัวบางหรือไม%
3. ในการมองตนที่ดีนั้น นั่นคือ การสํารวจอุปนิสัยที่ดีและไม%ดีของตนเองจงทํา
เปHนตารางสองช%อง เขียนอุปนิสัย บุคลิกลักษณะและความสามารถของตน แลวเปรียบเทียบดูว%า
ระหว%างนิสัยที่ดีกับไม%ดี สิ่งไหนมากกว%ากัน แลวหมั่นแกไขไปทุกๆ ครั้งที่มองตนเอง
4. จงมีเศษกระดาษเล็กๆ สักแผ%นหนึ่ง ก%อนนอนเขียนกิจที่ตองทํา หรือพึงทํา
เรียงลําดับความสําคัญ แลววันต%อมาดูว%าเราทําหมดในวันนั้นหรือไม% และในกระดาษแผ%นนี้เขียนดวย
ว%า เรามีอุปนิสัยที่อยากจะแกไขอะไรบาง เช%น ควรตื่นเชา ควรออกกําลังกายเพื่อสุขภาพ ตรงต%อ
เวลา อ%านหนังสือเรียนใหได 1 บท มีความเพียรพยายามเพียงพอหรือยัง ฯลฯ
5. สุขภาพกาย สุขภาพใจ เปHนอย%างไร ดีขึ้นหรือเลวลง ละสิ่งที่ไม%เปHนประโยชน4
ลงบางหรือไม% อาทิ งดสุรา งดบุหรี่ งดพูดเพอเจอ หรือฟุKงซ%าน ฯลฯ เราจะทําอะไรในทางที่ใหเกิด
สุขภาพกายและสุขภาพจิตแข็งแรงดีขึ้น ใหเท%าเทียมกับคนที่เราเห็นเปHนแบบอย%างในทางที่ดี
6. วันหนึ่งๆ เราอ%านหนังสือหรือฟ6งการอภิปรายหรือรับการฝ~กอบรมไปได
เพียงใด เราหาความรูดวยตนเองไปไดมากยิ่งขึ้นหรือไม% คนที่ไม%เรียนรูอะไรเลย ในที่สุดก็จะลาหลัง
เพื่อนฝูง
7. ในสายตาของคนใกลชิด เช%น คนในครอบครัวมีทัศนะต%อเราอย%างไร เรามีการ
ปรับปรุงตัวเองเพื่อใหตนเปHนที่พึ่งแก%คนในครอบครัวหรือไม% เราเปHนพ%อหรือเปHนแม% หรือเปHนลูกที่ดี
หรือไม% มีอะไรที่เราควรทําใหดีกว%าหรือดียิ่งขึ้น ชีวิตในครอบครัวเปHนสุขหรือทุกข4 มีการทะเลาะกัน
บางหรือไม% เราเปHนสาเหตุใหคนรอบขางตองเดือดรอนเพราะเราหรือไม%
8. ก%อนนอน เราควรสวดมนต4ไหวพระบางหรือไม% หรือเราทําจิตใจใหผ%องใสดวย
การฝ~กสมาธิบางหรือไม% เราแผ%เมตตาใหแก%สรรพสัตว4หรือไม% เราเปHนคนเห็นแก%ตัวเพียงใด ลดละ
ความเห็นแก%ตัวลงมากกว%านี้ไดหรือไม%
9. ชีวิตในแต%ละวัน เราเปHนสุขหรือทุกข4เกิดจากเหตุอะไร เราสันโดษและหา
ความสุขจากสิ่งที่เรามีอยู%หรือไม% เรากําลังเดินทางไปสู%จุดหมายชีวิตหรือไม%
19
10. เราลดละ “อัตตา” หรือ “ตัวกู – ของกู” ลงไดบางเพียงใด เรารับฟ6งต%อคํานินทา
หรือคําติฉินต%อตัวเราหรือไม% เราโกรธเคือง หรืองอนต%อคนที่เรารักหรือไม%
ชาญชัย อาจินสมาจาร (2549 : 32-38) ไดเสนอแนวทางการพัฒนาภาวะผูนํา
ส%วนบุคคล ซึ่งก็คือการพัฒนาตนเองในลักษณะของภาวะผูนําส%วนบุคคล คือ ความสามารถใน
การทําใหความคิดของคุณแน%ชัดขึ้น เพื่อวางทิศทางที่แน%นอนเพื่อชีวิตของคุณเอง ปฏิญาณกับ
ตัวคุณเองเพื่อเคลื่อนไหวไปยังทิศทางนั้น และลงมือกระทําเพื่อใหไดมาซึ่งความสําเร็จหรืออะไรก็ได
ที่เปHนเปKาประสงค4ที่ตองการ และไดเสนอขั้นตอนของแผนพัฒนาภาวะผูนําส%วนบุคคล ดังนี้
ขั้นตอนที่ 1 พัฒนาวิสัยทัศน4และโฟกัสความคิดของคุณ ผูนําที่ประสบความสําเร็จ
ไม%ว%าเขาจะเปHนผูนําของคนอื่น หรือเพียงแต%เปHนผูนําที่มีประสิทธิผลของชีวิตเขาเองลวนแลวแต%มีสิ่ง
หนึ่งที่เหมือนกัน นั่นคือ “วิสัยทัศน4” (Vision) คือ ความสามารถในการมีภาพที่ชัดเจนในสิ่งที่คุณ
ตองการใหบรรลุวิสัยทัศน4 ใหทิศทางปลายทางที่มีคุณค%า แรงจูงใจ ความกระตือรือรน ความรูสึกใน
ผลสัมฤทธิ์ และการตอบสนองต%อวัตถุประสงค4ของบุคคลในชีวิตของเขา
ขั้นตอนที่ 2 ตั้งเปKาประสงค4 เมื่อคุณมีวิสัยทัศน4ของคุณแลว ใหตั้งเปKาประสงค4
การตั้งเปKาประสงค4คือ กุญแจสู%ความสําเร็จ พัฒนาแผนการแลวปฏิบัติตาม คุณตองการจะเปHนอย%างไร
5 , 10 และ 20 ป…จากนี้ไป จงจําไวว%า มีคนบางคนวางแผนที่จะลมเหลว นั่นคือเขาลมเหลวใน
การวางแผน ตั้งเปKาประสงค4ในขอบข%ายต%อไปนี้ ทางกาย ครอบครัว สังคม การเงิน การศึกษา จริยธรรม
และอาชีพ
ขั้นตอนที่ 3 พัฒนาความริเริ่ม จงตื่นตัวและอดทนเพื่อทําใหเปKาประสงค4ของคุณบรรลุ
ความสําเร็จ ใหริเริ่ม
ขั้นตอนที่ 4 พัฒนาความมั่นใจในตนเอง หนทางเดียวที่เราจะไดความมั่นใจในตนเองก็
คือ การเอาตัวเราเขาเสี่ยง โดยการเสี่ยงตัวเราเราจะไดรับประสบการณ4อย%าทิ้งไป
ขั้นตอนที่ 5 พัฒนาความรับผิดชอบส%วนตัว เราตองมีความรับผิดชอบส%วนตัวต%อ
ความคิด การกระทําและความรูสึกของเรา ถาเราทําผิดพลาด เราตองยอมรับมัน เรายังตองเต็มใจที่
จะแกไขโดยไม%ปกปKองตัวเอง การปกปKองตัวเองคือสัญญาณของความรูสึกไม%มั่นคง
ขั้นตอนที่ 6 พัฒนาภาพลักษณ4ตัวตนที่สมบูรณ4 ภาพลักษณ4ตัวตน คือภาพทาง
ความคิดของบุคคลที่เราคิดว%าคือเรา นั่นคือ เราจะไม%อยู%เหนือภาพที่เราสรางขึ้นสําหรับตัวเรา ปล%อยให
ภาพลักษณ4ตัวตนของคุณเปHนอิสระ ใหมันมีความริเริ่ม เปHนนวัตกรรม พาคุณไปสู%ความสําเร็จ
ถาคุณสามารถฝ6นถึงมัน คุณก็จะทําใหสําเร็จได
ขั้นตอนที่ 7 พัฒนาการจัดระเบียบตัวเอง หนึ่งในคุณลักษณะที่ดีที่สุดของภาวะผูนํา
ส%วนบุคคลก็คือ การจัดระเบียบตัวเอง คุณตองรูว%าจะทําอะไรต%อไปเพื่อใหบรรลุผลเปKาประสงค4
ขั้นตอนที่ 8 กําจัดการผัดวันประกันพรุ%ง การผัดวันประกันพรุ%ง คือ แนวโนมใน
การเลื่อนภารกิจ แทนที่จะลงมือปฏิบัติเดี๋ยวนี้ เพื่อเอาชนะการผัดวันประกันพรุ%ง ใหพัฒนาอุปนิสัย
เชิงสรางสรรค4เพื่อทดแทนอุปนิสัยที่ไม%สรางสรรค4 ดังนี้
1. ยอมรับว%าคุณเลื่อนการทําสิ่งต%างๆ การยอมรับสิ่งดังกล%าวคือพันธะที่จะ
แกไขมัน
20
2. เรียนรูเกี่ยวกับการผัดวันประกันพรุ%ง ใหเขาใจว%าทําไมคุณจึงทําสิ่งดังกล%าว
เหตุผลสําคัญที่คนเลื่อนการทําสิ่งต%างๆ ไดแก% ความไม%มั่นคง (กลัวต%อผลสัมฤทธิ์) ความสับสน
(ตัดสินใจไม%ไดว%าทําอะไรต%อไป) การลืม (ความจําไม%ดี) กลัวการเปลี่ยนแปลง (ชอบอยู%อย%างสบาย)
เปHนตน
3. เลือกแผนการปฏิบัติการที่แน%นอน ทํารายการขั้นตอนที่คุณตั้งใจจะนําออกใช
เพื่อใหไดการตอบสนองที่พึงประสงค4
4. นําแผนปฏิบัติการออกใช ทําตัวใหเปHนบุคคลที่ทําเดี๋ยวนี้
ขั้นตอนที่ 9 ศึกษา คนที่ตองการเก%งในงานตองศึกษา ถาคุณตองการเปHนนักศึกษาที่ดี
คุณตองศึกษา ถาคุณตองการเปHนหมอที่ดี คุณตองศึกษาการแพทย4 ผูประสบความสําเร็จในชีวิตคือ
นักศึกษาที่กระตือรือรนที่จะเรียนรูมากขึ้น
ขั้นตอนที่ 10 เพิ่มจุดแข็งของคุณ ขั้นตอนแรกสู%ความสําเร็จก็คือการบรรลุจุดแข็ง
ดานภาวะผูนําของคุณเองไม%ว%าคุณจะมีจุดแข็งอะไร ความอดทน จินตนาการที่ยอดเยี่ยม เจตคติใน
ทางบวก หรือความรูสึกที่หนักแน%นต%อคุณค%า ใหมันงอกงามสู%ภาวะผูนํา จงจําไวว%า การกระทํามีพลัง
เหนือกว%าคําพูด
1.4 ความสําคัญของการพัฒนาตนเอง
การพัฒนาตนเองถือเปHนกระบวนการสําคัญเพื่อนําไปสู%ความสําเร็จในการเรียน
การงานรวมถึงการดําเนินชีวิต ดังนั้นจึงมีผูกล%าวถึงความสําคัญของการพัฒนาตนเองไวหลากหลาย ดังนี้
สงวน สุทธิเลิศอรุณ (2545 : 172-174) กล%าวว%า เมื่อบุคคลไดพัฒนาตนเองแลว
จะก%อใหเกิดผลต%อการปรับปรุงและเปลี่ยนแปลง ความคิด ความเขาใจ ทักษะ และความรูสึกของ
บุคคลใน 3 ดาน ดังนี้
1. ดานความคิดและความเขาใจ ผลของการพัฒนาตนเอง จะทําใหบุคคลรูจัก
และเขาใจตนเองว%าตนเองคือใคร มีบุคลิกอย%างไร ยอมรับในตนเองและผูอื่น รูและเขาใจว%า ผูอื่นมอง
ตนเองอย%างไร
2. ทักษะและการปฏิบัติงาน ผลของการพัฒนาตน จะทําใหบุคคลเปHนผูมี
เหตุผลความจําดี มีน้ําใจและเสียสละ ประพฤติปฏิบัติในการดําเนินชีวิตไดอย%างเหมาะสม
3. ความรูสึก ผลของการพัฒนาตน จะทําใหบุคคลมีความรูสึกในลักษณะต%างๆ
เช%น ยอมรับในความแตกต%างระหว%างบุคคล ยอมรับจุดเด%นและจุดดอยของตน มีสายตาแหลมคม
มีความกระตือรือรน มีแรงจูงใจในเปKาหมายและจุดประสงค4ของชีวิต
เรียม ศรีทอง (2542 : 165) สรุปความสําคัญของการพัฒนาตนเองมี 3 ประการ
ดังนี้
1. ดานต%อตนเอง ส%งเสริมความรูสึกในคุณค%าแห%งตนใหสูงขึ้น และมีชีวิตอยู%ใน
สังคมและโลกอย%างมีคุณค%า การที่ไดปรับปรุงสิ่งที่บกพร%อง และพัฒนาพฤติกรรมดานต%างๆ ใหดี
ยิ่งขึ้น ช%วยส%งเสริมการเขาใจตนเองช%วยใหตนเองสามารถทําหนาที่ที่เหมาะสมกับบทบาทของตนได
อย%างเต็มศักยภาพ
2. ดานต%อคนอื่น เนื่องจากพฤติกรรมของบุคคลแต%ละคนมีอิทธิพลซึ่งกันและกัน
เสมอ เช%น การประพฤติของลูก มีผลต%อความรูสึกของพ%อแม% การกระทําของครู-อาจารย4มีผลกระทบ
ต%อพฤติกรรมของลูกศิษย4 การตั้งใจทํางานหรือไม%ตั้งใจทํางานของพนักงาน ก็ส%งผลกระทบต%อ
21
ความรูสึกของผูควบคุมและเพื่อนร%วมงาน เปHนตน ฉะนั้นการปรับปรุงและพัฒนาตนเอง นับไดว%า
เปHนการเตรียมตนใหเปHนสิ่งแวดลอมที่ดีของผูอื่น เปHนตัวอย%างหรือเปHนแหล%งอางอิงใหเกิดการพัฒนา
ต%อไป เปHนการกระทําเพื่อยังประโยชน4สุขร%วมกันทั้งดานชีวิตการทํางาน ชีวิตส%วนตัวและการอยู%
ร%วมกันในสังคม การที่แต%ละบุคคลอันเปHนหน%วยที่เล็กที่สุดในสังคม มีการดําเนินชีวิตที่เขมแข็งย%อม
ส%งผลต%อความเขมแข็งของชุมชนและสังคม อันสอดคลองกับแผนพัฒนาคนของประเทศโดยตรง
3. ดานต%อหน%วยงาน การปรับปรุงและพัฒนาตนเองนอกจากจะเปHน
การส%งเสริมการเพิ่มคุณภาพชีวิตแด%สมาชิกของหน%วยงานและสังคมแลวขณะเดียวกันก็ส%งผลกระทบถึง
ทั้งประสิทธิภาพและประสิทธิผลของงานดวย
ศรีแพร ทวิลาภากุล (2549 : 7) ไดกล%าวว%า เทคโนโลยีที่มีการพัฒนาอย%างรวดเร็วจึง
จําเปHนตองพัฒนาตัวคนเปHนสําคัญก%อนเพื่อนําศักยภาพที่มีอยู%ในแต%ละบุคคลมาใชใหเกิดประโยชน4
สูงสุด เพื่อการดํารงอยู%ในสังคมมีความสุขและเปHนการพัฒนาอย%างยั่งยืน
สรุปไดว%า ความสําคัญของการพัฒนาตนเอง ส%งเสริมใหตนเองรูสึกมีคุณค%า ปรับปรุง
ส%วนที่บกพร%อง พัฒนาพฤติกรรมต%างๆ ไปสูประสบผลสําเร็จในชีวิต ส%งเสริมตนเอง ผูอื่น และ
หน%วยงาน
1.5 องค4ประกอบของการพัฒนาตนเอง
เนื่องจากตัวของบุคคลประกอบดวยองค4ประกอบหลายดาน ซึ่งความสําคัญของแต%ละ
องค4ประกอบ ทําใหตองมีการพัฒนาเกิดขึ้นพรอม ๆ กัน ดังนี้ (รุ%งฤดี กิจควร. 2548 : 173-195)
1. องค4ประกอบทางร%างกาย หมายถึง รูปร%างหนาตาการแสดงออกดวยสีหนา
ท%าทาง น้ําเสียงในการเจรจาและการสื่อความหมาย การแต%งกาย การรักษาความสะอาดของร%างกาย
รวมไปถึงสุขภาพและสุขอนามัยของร%างกาย
2. องค4ประกอบทางดานจิตใจ หมายถึง สภาพของจิตที่มีความรูสึกที่ดีต%อตนเอง
และสิ่งแวดลอม มีความสงบเยือกเย็น มีคุณธรรมและมีความยุติธรรม เปHนตน
3. องค4ประกอบทางดานอารมณ4 หมายถึง ความสามารถในการควบคุมความรูสึก
และการแสดงออกซึ่งเปHนหลักสําคัญในการพัฒนาตน เช%น ไม%แสดงอาการทางอารมณ4อย%างรุนแรง
จนเกินไปฝ~กการควบคุมอารมณ4ที่เปHนโทษต%อตนเองและผูอื่น
4. องค4ประกอบทางดานสังคม หมายถึง ท%าทีและการปฏิบัติต%อสิ่งแวดลอม เช%น
รูสึกว%าตนเองเปHนส%วนหนึ่งของสังคม ขจัดพฤติกรรมเห็นแก%ตัว มีจรรยามารยาททางสังคม ประพฤติตน
ตามสังคม เปHนตน
5. องค4ประกอบทางดานทักษะและสติป6ญญา หมายถึง การรอบรูศิลปะ และ
ศาสตร4ต%าง ๆ การมีความฉลาดและไหวพริบในการวิเคราะห4และตัดสินใจ ความสามารถในการแสวงหา
ความรู และฝ~กทักษะใหม% ๆ และมีความสามารถในการเรียนรูแนวทางในการดําเนินชีวิตที่ดี
สงวน สุทธิเลิศอรุณ (2545 : 49) กล%าวว%า องค4ประกอบในการพัฒนาตนเองมี
องค4ประกอบ 6 ดาน ที่สําคัญดังนี้
1. การพัฒนาดานสติป6ญญาและความเฉลียวฉลาดทางอารมณ4
2. การพัฒนาดานร%างกาย
3. การพัฒนาดานจิตใจ
4. การพัฒนาดานสังคม
22
5. การพัฒนาดานศึกษา
6. การพัฒนาตนเองสู%ความตองการของตลาด
เรียม ศรีทอง (2542 : 165) ไดสรุปองค4ประกอบความสําคัญของการพัฒนาตนเอง
มี 3 ประการดังนี้
1. ดานต%อตนเอง ส%งเสริมความรูสึกในคุณค%าแห%งตนใหสูงขึ้น และมีชีวิตอยู%ใน
สังคมและโลกอย%างมีคุณค%า การที่ไดปรับปรุงสิ่งที่บกพร%อง และพัฒนาพฤติกรรมดานต%างๆ ใหดี
ยิ่งขึ้น ช%วยส%งเสริมการเขาใจตนเองช%วยใหตนเองสามารถทําหนาที่ที่เหมาะสมกับบทบาทของตนได
อย%างเต็มศักยภาพ
2. ดานต%อคนอื่น เนื่องจากพฤติกรรมของบุคคลแต%ละคนมีอิทธิพลซึ่งกันและกัน
เสมอ เช%น การประพฤติของลูก มีผลต%อความรูสึกของพ%อแม% การกระทําของครู-อาจารย4มีผลกระทบ
ต%อพฤติกรรมของลูกศิษย4 การตั้งใจทํางานหรือไม%ตั้งใจทํางานของพนักงาน ก็ส%งผลกระทบต%อ
ความรูสึกของผูควบคุมและเพื่อนร%วมงาน เปHนตน ฉะนั้นการปรับปรุงและพัฒนาตนเอง นับไดว%า
เปHนการเตรียมตนใหเปHนสิ่งแวดลอมที่ดีของผูอื่น เปHนตัวอย%างหรือเปHนแหล%งอางอิงใหเกิดการพัฒนา
ต%อไป เปHนการกระทําเพื่อยังประโยชน4สุขร%วมกันทั้งดานชีวิตการทํางาน ชีวิตส%วนตัวและการอยู%
ร%วมกันในสังคม การที่แต%ละบุคคลอันเปHนหน%วยที่เล็กที่สุดในสังคม มีการดําเนินชีวิตที่เขมแข็งย%อม
ส%งผลต%อความเขมแข็งของชุมชนและสังคม อันสอดคลองกับแผนพัฒนาคนของประเทศโดยตรง
3. ดานต%อหน%วยงาน การปรับปรุงและพัฒนาตนเองนอกจากจะเปHนการส%งเสริม
การเพิ่มคุณภาพชีวิตแด%สมาชิกของหน%วยงานและสังคมแลวขณะเดียวกันก็ส%งผลกระทบถึงทั้ง
ประสิทธิภาพและประสิทธิผลของงานดวย
ปรีชา พรมบุตร (ปรีชา พรมบุตร. 2555 : เว็บไซต4 ; อางอิงมาจาก สํานักงาน
ปลัดกระทรวงสาธารณสุข. ม.ป.ป.) การพัฒนาตนเอง (Self Development) คนเราถาจะเก%งตอง
ประกอบดวย 3 เก%ง คือ
เก%งตน (Self Ability) หมายถึง เปHนผูที่ชอบศึกษาหาความรูอยู%ตลอดเวลา
เพื่อใหทันโลกทันคน โดยเริ่มจากการพัฒนาตนเองก%อน การพัฒนาตนเองนั้นพัฒนาได 3 ทางคือ
ทางกาย องค4ประกอบที่สําคัญคือ รูปร%าง พัฒนาใหดีขึ้นโดยใชการแต%งกายช%วยลด
จุดดอยหรือเสริมจุดเด%น หนาตาสดชื่นแจ%มใส สะอาดหมดจด อากัปกิริยา การแสดงออกเขมแข็งแต%ไม%
แข็งกระดาง อ%อนโยนแต%ไม%อ%อนแอ การยืน การเดิน การนั่ง ตองมั่นคง เรียบรอย การแต%งกายตอง
สะอาดเหมาะสมกับกาลเทศะ เหมาะสมกับรูปร%างและผิวพรรณ
ทางวาจา การพูดดีตองมีองค4ประกอบ 4 ประการคือ พูดแต%ดี มีประโยชน4
ผูฟ6งชอบ และทุกคนปลอดภัย ก%อนพูดทุกครั้งตองคิดก%อนพูด คนที่พูดดี มีปwยะวาจา เปHนลมปากที่หวาน
หูไม%รูหาย เปHนที่รักใคร%ชอบพอแก%ทุก ๆ ฝ:ายที่ไดยินไดฟ6ง
ทางใจ การพัฒนาทางใจก็มีองค4ประกอบหลายประการ เช%น ความมั่นใจ
ถามีความมั่นใจในตนเอง จะทําอะไรก็สําเร็จ ความจริงใจ คือ เปHนคนปากกับใจตรงกัน
ความกระตือรือรน กระฉับกระเฉง แจ%มใส มีชีวิตชีวา ความมานะพยายามไม%ยอมแพต%ออุปสรรค
ความซื่อสัตย4สุจริต ความสุขใจ ความอดกลั้น ความมีเหตุผล การมีสมรรถภาพในการจําและมีความคิด
สรางสรรค4
23
เก%งคน (Social Ability) หมายถึง มีความสามารถที่จะทําตัวใหเขาไหนเขาได
เปHนที่รักใคร%ชอบพอแก%ทุกฝ:าย มีมนุษยสัมพันธ4ในครอบครัว พ%อแม%ควรรูหลักจิตวิทยาในการปกครองลูก
ใหความรัก ความอบอุ%นแก%ลูก ลูกก็ไม%ทําตนใหเปHนป6ญหาใหพ%อแม% และมีมนุษยสัมพันธ4ในการทํางาน
สามารถทําตนใหเขากับคนไดกับทุกคน หากมีผูบังคับบัญชา ผูบังคับบัญชาก็รัก หากมีลูกนอง ลูกนองก็
รัก เพื่อนร%วมงานก็รัก บุคคลภายนอกหรือลูกคาก็รัก ซึ่งจะก%อใหเกิดประโยชน4กับตนเองและธุรกิจเปHน
อย%างยิ่ง
เก%งงาน (Task Ability) หมายถึง ผูที่รักงาน ขยันทํางาน และรูวิธีทํางาน
มีความขยันหมั่นเพียร มานะ อดทน ไม%ยอมแพต%ออุปสรรค
สรุปไดว%า การพัฒนาตนเอง เปHนการเปลี่ยนแปลง ปรับปรุง แกไข พฤติกรรมของ
บุคคลไปสู%สิ่งที่ดีขึ้น รูจักคิดพิจารณาสิ่งต%างๆ ดวยตนเอง ทําตนเองใหมีวินัย มีความกระตือรือรน
ใฝ:รู ใฝ:สรางสรรค4 เพื่อใหชีวิตของตนเองมีความเจริญกาวหนา และประสบความสําเร็จ โดยมีการ
พัฒนาตนเองใน 3 องค4ประกอบ ดังนี้
ตนเอง หมายถึง การสํารวจปรับปรุงอุปนิสัยของตนเองใหดีขึ้น โดยการกําหนด
เปKาหมายในชีวิต สรางความเชื่อมั่นในตนเอง ยอมรับในความแตกต%างระหว%างบุคคล สรางความมั่นคง
ทางจิตใจ เพื่อใหสามารถแกไขป6ญหาต%างๆ ที่ผ%านเขามาในชีวิตไดอย%างราบรื่น และมีการจัดระเบียบ
ตนเองเพื่อใหบรรลุตามเปKาประสงค4ที่ตั้งไว
สังคม หมายถึง คุณลักษณะของบุคคลสามารถปฏิบัติตัวเขากับกลุ%มต%างๆ ได
โดยมีการกลาแสดงออก การวางตัวที่เหมาะสม รูว%าสิ่งใดที่ดีควรปฏิบัติและสิ่งใดไม%ดีไม%ควรปฏิบัติ
มีความรับผิดชอบ เปHนที่ยอมรับของกลุ%มไม%ว%าจะเปHนผูใหญ%กว%า หรือเพื่อนๆ โดยสามารถทํางานร%วมกับ
กลุ%มไดอย%างราบรื่น และทําคุณประโยชน4ใหกับสังคม
การเรียน หมายถึง การเพิ่มพูนความรูความสามารถทางดานการเรียนโดยแสดง
ความกระตือรือรน ตั้งใจ มีวินัยในการเรียน ขยันหมั่นเพียร อดทน มีจิตสํานึกที่จะฝ~กฝนสนใจใฝ:รูและ
ศึกษาหาความรูต%างๆ เพื่อเพิ่มพูนใหกับตนเอง และทดลองใชวิธีการใหม%ๆ ที่เปHนประโยชน4ต%อการเรียน
เพื่อใหการเรียนประสบความสําเร็จ
1.6 การวัดการพัฒนาตนเอง
วิธีหลักที่นิยมใชในการสรางแบบวัดมี 3 วิธีการ คือ (กนกรัตน4 สุขะตุงคะ และคณะ.
2547 : 56)
1. Rational-Construct Approach ซึ่งเริ่มตนโดยการนิยามตัวแปรในเชิงทฤษฎี
ซึ่งในแต%ละนิยามจะกล%าวถึงพฤติกรรมที่สัมพันธ4กับลักษณะของตัวแปรนั้น แลวจึงนํากลุ%ม
ของพฤติกรรมนั้นมาสรางขอคําถาม
2. Empirical Criterion Approach เปHนการรวบรวมกลุ%มพฤติกรรมจากบุคคล
ที่สรางเครื่องมือ และเชื่อว%ามีบุคลิกภาพหรือลักษณะของตัวแปรที่ตองการวัดแลวจึงสรางขอคําถาม
ตามพฤติกรรมที่รวบรวมได
3. Factor Analytic Approach เปHนวิธีการที่สอดคลองกับเทคนิคทางสถิติที่
เรียกว%าการวิเคราะห4องค4ประกอบ (Factor Analysis) โดยการใชขอคําถามจํานวนมากที่ตรวจสอบ
เบื้องตนว%าวัดลักษณะตามที่ตองการแลวไปทดสอบกับตัวอย%างจํานวนมาก แลวนําผลการวัดที่ไดมา
จัดกลุ%มเพื่อลดจํานวนตัวแปร และขอคําถามโดยใชเทคนิคการวิเคราะห4องค4ประกอบ
24
มีนักวิจัยที่ทําการศึกษาเกี่ยวกับการพัฒนาตนเอง และสรางเครื่องมือวัดการพัฒนาตนเอง
ดังนี้
สุภมาส จินะราช (2549 : 57) ไดสรางแบบสอบถามวัดการพัฒนาตนเอง
ซึ่งเปHนแบบสอบถามมาตรประมาณค%า (Rating Scale) 3 ระดับ จํานวน 25 ขอ การตรวจใหคะแนน
คือ ขอคําถามทางบวก จริง ให 3 คะแนน ค%อนขางจริง ให 2 คะแนน ค%อนจางไม%จริง ให 2 คะแนน
ไม%จริง ให 1 คะแนน ขอคําถามทางลบ จริง ให 0 คะแนน ค%อนขางจริง ให 1 คะแนน ค%อนจางไม%
จริง ให 2 คะแนน ไม%จริง ให 3 คะแนน
กาญจนา บุบผัน (2551 : 70) ไดสรางแบบสอบถามวัดการพัฒนาตนเองตาม
จรรยาบรรณวิชาชีพครู ซึ่งเปHนแบบสอบถามมาตรประมาณค%า (Rating Scale) 4 ระดับจํานวน 45
ขอ ไดแก% ดานวิชาชีพ 15 ขอ ดานวิสัยทัศน4 15 ขอ ดานบุคลิกภาพ 15 ขอ การตรวจใหคะแนนคือ
ขอคําถามทางบวก เปHนประจํา ให 4 คะแนน เปHนส%วนใหญ% ให 3 คะแนน เปHนบางครั้ง ให 2 คะแนน
ไม%เคยเลย 1 คะแนน ขอคําถามทางลบ เปHนประจํา ให 1 คะแนน เปHนส%วนใหญ% ให 2 คะแนน
เปHนบางครั้ง ให 3 คะแนน ไม%เคยเลย ให 4 คะแนน
อรอุษา จันทคร (2551 : 54) ไดสรางแบบสอบถามวัดการพัฒนาตนเองตามเกณฑ4
มาตรฐานวิชาชีพครู 12 มาตรฐานๆ ละ 7 ขอ มาตรฐานละ 7 ขอ รวมทั้งหมด 84 ขอ ดังนี้ มาตรฐานที่
1 ปฏิบัติกิจกรรมทางวิชาการเกี่ยวกับการพัฒนาวิชาชีพครูอยู%เสมอ มาตรฐานที่ 2 ตัดสินใจปฏิบัติ
กิจกรรมต%าง ๆ โดยคํานึงถึงผลที่จะเกิดกับผูเรียน มาตรฐานที่ 3 มุ%งมั่นพัฒนาผูเรียนใหเต็มตามศักยภาพ
มาตรฐานที่ 4 พัฒนาแผนการสอนใหสามารถปฏิบัติไดเกิดผลจริง มาตรฐานที่ 5 พัฒนาสื่อการเรียน
การสอนใหมีประสิทธิภาพอยู%เสมอ มาตรฐานที่ 6 จัดกิจกรรมการเรียนการสอนโดยเนนผลถาวรที่เกิด
แก%ผูเรียน มาตรฐานที่ 7 รายงานผลการพัฒนาคุณภาพของผูเรียนไดอย%างมีระบบ มาตรฐานที่ 8
ปฏิบัติตนเปHนแบบอย%างที่ดีแก%ผูเรียน มาตรฐานที่ 9 ร%วมมือกับผูอื่นในสถานศึกษาอย%างสรางสรรค4
10 มาตรฐานที่ 10 ร%วมมือกับผูอื่นอย%างสรางสรรค4ในชุมชน มาตรฐานที่ 11 แสวงหาและใชขอมูล
ข%าวสารในการพัฒนา มาตรฐานที่ 12 สรางโอกาสในการพัฒนาไดทุกสถานการณ4 โดยมีลักษณะเปHน
แบบมาตราส%วนประมาณค%า (Rating Scale) ชนิด 4 ระดับ การตรวจใหคะแนนคือ ขอคําถามทางบวก
เห็นดวยอย%างยิ่ง ให 4 คะแนน เห็นดวย ให 3 คะแนน ไม%เห็นดวย ให 2 คะแนน ไม%เห็นดวยอย%างยิ่ง
ให 1 คะแนน ขอคําถามทางลบ เห็นดวยอย%างยิ่ง ให 1 คะแนน เห็นดวย ให 2 คะแนน ไม%เห็นดวย
ให 3 คะแนน ไม%เห็นดวยอย%างยิ่ง ให 4 คะแนน
นิตยา กัณณิกาภรณ4 (2553 : 90) ไดสรางแบบสอบถามวัดการพัฒนาตนเองตาม
จรรยาบรรณวิชาชีพครู มีลักษณะเปHนมาตราส%วนประมาณค%า (Rating Scale) 5 ระดับ จํานวน 40 ขอ
จําแนกเปHน 3 ดาน คือ ดานที่ 1 การพัฒนาตนเองดานวิชาชีพ จํานวน 14 ขอ ดานที่ 2 การพัฒนา
ตนเองดานวิสัยทัศน4 จํานวน 13 ขอ ดานที่ 3 การพัฒนาตนเองดานบุคลิกภาพ จํานวน 13 ขอ
การตรวจใหคะแนนคือ ปฏิบัติเปHนประจํา ให 5 คะแนน ปฏิบัติบ%อยๆ ให 4 คะแนน ปฏิบัติบาง
ให 3 คะแนน ไม%ค%อยได ให 2 คะแนน ปฏิบัติ ให 1 คะแนน ไม%ปฏิบัติเลย ให 1 คะแนน
วาสนา จันทร4จ%าย (2553 : 56) ไดสรางแบบสอบถามวัดการพัฒนาตนเอง
มีลักษณะเปHนมาตราส%วนประมาณค%า (Rating Scale) 5 ระดับ ไดแก% จริงมากที่สุด จริงมาก
จริงปานกลาง จริงนอย และจริงนอยที่สุด จํานวน 30 ขอ การตรวจใหคะแนน จริงมากที่สุด
25
ให 5 คะแนน จริงมาก ให 4 คะแนน จริงปานกลาง ให 3 คะแนน จริงนอย ให 2 คะแนน และ
จริงนอยที่สุด ให 1 คะแนน
สําหรับงานวิจัยนี้ผูวิจัยสนใจที่จะศึกษาการพัฒนาตนเอง โดยใชกรอบแนวคิดของ
Maslow (ปราณี รามสูตร. 2548 : 213-218), เรียม ศรีทอง (2542 : 165) , รุ%งฤดี กิจควร,
(2548 : 173-195), สงวน สุทธิเลิศอรุณ (2545 : 49), สํานักงานปลัดกระทรวงสาธารณสุข
(ปรีชา พรมบุตร. 2555 : เว็บไซต4 ; อางอิงมาจาก สํานักงานปลัดกระทรวงสาธารณสุข. ม.ป.ป.)
คือแยกเปHน ตัวแปรสังเกตได 3 ตัว ประกอบดวย ตนเอง สังคม การเรียน
ปจจัยที่สงผลตอการพัฒนาตนเอง
1. การรับรูความสามารถของตนเอง
1.1 ความหมายของการรับรูความสามารถของตนเอง (Self–efficacy)
วิลาสลักษณ4 ชัววัลลี (2538 : 89) ใหความหมาย การรับรูความสามารถของตนเอง
หมายถึง ความเชื่อของบุคคลว%าตนมีความสามารถที่จะจัดระบบและกระทํา เพื่อใหบรรลุผลตามที่
กําหนดไว
รังสรรค4 โฉมยา (2553 : 199) ใหความหมาย การรับรูความสามารถของตนเอง
หมายถึง ความคาดหวังเกี่ยวกับความสามารถของตน ในลักษณะเฉพาะเจาะจง และความคาดหวัง
ที่เปHนตัวกําหนดการแสดงออกของพฤติกรรม เปHนการตัดสินใจเกี่ยวกับความสามารถของตนเอง
ที่จะจัดการและดําเนินการกระทําพฤติกรรมใหบรรลุเปKาหมายที่กําหนดไว
Staples และคณะ (1992 : 5) ใหความหมาย การรับรูความสามารถของตนเองว%า
การรับรูความสามารถของตนเองเปHนบทบาทหลักในกระบวนการควบคุมโดยผ%านแรงจูงใจ และ
การประสบความสําเร็จในการกระทําของบุคคล นอกจากนี้การรับรูความสามารถของตนเองยังรวมถึง
ความพยายามที่บุคคลทุ%มเทลงไป และระยะเวลาที่บุคคลยืนหยัดต%อสิ่งนั้น บุคคลที่มีการรับรู
ความสามารถของตนเองสูงจะมีความพยายามที่จะกระทําใหสําเร็จมากกว%าบุคคลที่มีการรับรู
ความสามารถของตนเองต่ํา
Bandura (1997 : 3) ใหความหมาย การรับรูความสามารถของตนเอง หมายถึง
การที่บุคคลตัดสินใจเกี่ยวกับความสามารถของตนเอง ที่จะจัดการและดําเนินการกระทําพฤติกรรมให
บรรลุเปKาหมายที่กําหนดไว และยังกล%าวอีกว%าการรับรูความสามารถของตนเอง คือ การตัดสินของ
บุคคลถึงความสามารถของตนในการจัดระบบ และกระทํากิจกรรมที่ตองทําเพื่อใหไดผลการปฏิบัติตาม
แบบที่กําหนดได
Pajares (2009 : 1) ใหความหมาย การรับรูความสามารถของตนเอง หมายถึง
ความสามารถของบุคคลในการจัดระเบียบ และวางระบบรูปแบบการกระทําที่เหมาะสม
เพื่อตอบสนองต%อสถานการณ4ที่กําลังจะเกิดขึ้น
สรุปไดว%า การรับรูความสามารถของตนเอง หมายถึง คุณลักษณะของบุคคลที่จะรับรู
ว%าตนเองมีความสามารถที่จะกระทําเรื่องต%างๆ ไดบรรลุเปKาหมายมากนอย เพียงไรและจะทําอย%างไร
ต%อไปใหบรรลุเปKาหมายนั้นๆ
26
1.2 แนวคิด ทฤษฎี การรับรูความสามารถของตนเอง
Bandura (ประสาท อิศรปรีดา. 2523 : 288-292 ; อางอิงจาก Bandura.
1986 : 208) ทฤษฎีการรับรูความสามารถของตนเอง (Self-Efficacy Theory) เปHนทฤษฎีการ
เรียนรูป6ญญาสังคมของ Bandura ซึ่งอธิบายว%าการเรียนรูจะเกี่ยวของกับป6จจัยหลัก 3 ประการ คือ
1. ความคิดหรือการคาดหวัง หรือความเชื่อและองค4ประกอบส%วนบุคคล (P)
2. พฤติกรรม (B)
3. สิ่งแวดลอม (E)
ประสาท อิศรปรีดา (2523 : 281) กล%าวถึงป6จจัยทั้ง 3 นี้ มีความสัมพันธ4กันแบบ
2 ทาง คือ ต%างก็มีอิทธิพลซึ่งกันและกัน เรียกความสัมพันธ4ลักษณะนี้ว%า ป6จจัยกําหนดซึ่งกันและกัน
(Reciprocal Determinism) ดังแสดงในภาพประกอบ 1
ความคาดหวัง ความคิด (P) องค4ประกอบทางการ เช%น
ค%านิยม ฯลฯ ของบุคคล หนาตา เชื้อชาติ ขนาด เพศ
มีอิทธิพลต%อการแสดงออก และคุณลักษณะทางความคิด
หรือพฤติกรรม ค%านิยม ฯลฯ เปHนสิ่งเราที่ก%อใหเกิด
ปฏิกิริยาจากผูคนรอบขาง
พฤติกรรมที่แสดงออกจะถูก
ประเมินอย%างอิสระจากการ การกระทําของกลุ%มคน
เสริมแรงทางสังคมและจะมี รอบขางมีอิทธิพลต%อการ
อิทธิพลต%อความหวัง ความ รับรูตนเองของบุคคล
คิด ความเชื่อ ของบุคคล
(B) (E)
พฤติกรรมหรือการกระทํา แบบอย%างของผลการ
ของบุคคล มีอิทธิพลต%อ กระทําหรือผลกรรมที่ผูอื่น
ป6จจัยแวดลอมหรือบุคคล ไดรับ เปHนป6จจัยแวดลอม
รอบขาง ที่มีอิทธิพลต%อพฤติกรรม
ของบุคคล
ภาพประกอบ 1ความสัมพันธ4ระหว%างบุคคล (P) พฤติกรรม (B) และสิ่งแวดลอม (E)
ซึ่งเปHนป6จจัยกําหนดซึ่งกันและกัน (Reciprocal Determinism)
27
จากภาพประกอบ 1 แสดงใหเห็นว%า ความสัมพันธ4ระหว%างบุคคล พฤตจิกรรม
และสิ่งแวดลอมต%างเปHนตัวกําหนดที่มีอิทธิพลเชิงเหตุ-ผล ซึ่งกันและกัน ซึ่งหมายความว%า
ถาองค4ประกอบใดองค4ประกอบหนึ่งเปลี่ยนแปลงไป ก็จะส%งผลต%อองค4ประกอบที่เหลือใหเปลี่ยนแปลง
ไปดวย
บุคคลจะตัดสินใจว%าจะกระทําพฤติกรรมใดพฤติกรรมหนึ่งหรือไม%นั้น ส%วนหนึ่งขึ้นอยู%
กับการรับรูความสามารถของตนเอง และอีกส%วนหนึ่งขึ้นอยู%กับความคาดหวังเกี่ยวกับผลกรรม
ซึ่งการรับรูความสามารถของตนเอง เปHนการตัดสินความสามารถของตนเองว%าจะสามารถทํางานไดใน
ระดับใดในขณะที่ความคาดหวังเกี่ยวกับผลกรรม เปHนการตัดสินว%าผลกรรมใดจะเกิดขึ้นจากการกระทํา
ดังกล%าว ดังภาพประกอบ 2 (นวรินทร4 ตากอนทอง. 2549 : 23 ; อางอิงมาจาก Bandura.
1977 : 79)
บุคคล พฤติกรรม ผลที่เกิดขึ้น
(Person) (Behavior) (Outcome)
ความคาดหวังในความสามารถของตนเอง ความคาดหวังในผลที่จะเกิดขึ้น
(Efficacy Expectation) (Outcome Expectation)
ภาพประกอบ 2 ความแตกต%างระหว%างการรับรูความสามารถของตนเอง และความคาดหวัง
ในผลที่จะเกิดขึ้น
การรับรูความสามารถของตนเอง และความคาดหวังเกี่ยวกับผลกรรมที่เกิดขึ้น
มีความสัมพันธ4กันมาก ความสัมพันธ4ระหว%างตัวแปรทั้งสองมีผลต%อการตัดสินใจที่จะกระทําพฤติกรรม
ของบุคคลถาบุคคลมีการรับรูความสามารถของตนเองสูงและมีความคาดหวังเกี่ยวกับผลกรรมที่เกิดขึ้น
สูง บุคคลนั้นจะมีแนวโนมที่จะตัดสินใจกระทําพฤติกรรมอย%างแน%นอน แต%ถาบุคคลมีการรับรู
ความสามารถของตนเองต่ําและความคาดหวังเกี่ยวกับผลกรรมต่ําดวย หรือการรับรูความสามารถของ
ตนเองและความคาดหวังเกี่ยวกับผลกรรมที่เกิดขึ้นเปHนไปในทางตรงกันขามกัน บุคคลก็จะมีแนวโนมที่
จะตัดสินใจไม%กระทําพฤติกรรมนั้นดังภาพประกอบ 3 (สมโภชน4 เอี่ยมสุภาษิต. 2541 : 59)
28
ความคาดหวังในผลที่เกิดขึ้น
สูง ต่ํา
สูง มีแนวโนมที่จะทํา
แน%นอน
มีแนวโนมที่จะไม%ทํา
ต่ํา มีแนวโนมที่จะไม%ทํา
มีแนวโนมที่จะไม%ทํา
แน%นอน
ภาพประกอบ 3 ความสัมพันธ4ระหว%างการรับรูความสามารถของตนเองและความคาดหวัง
ในผลที่เกิดขึ้น
จากภาพจะเห็นความสําคัญระหว%างการรับรูความสามารถของตนเองกับความคาดหวัง
เกี่ยวกับผลของการกระทําที่จะเกิดขึ้นไดว%า ถาหากบุคคลมีการรับรูเกี่ยวกับความสามารถของตนเองสูง
และมีความคาดหวังเกี่ยวกับผลของการกระทําที่จะเกิดขึ้นสูงเช%นเดี่ยวกัน บุคคลก็มีแนวโนมที่จะกระทํา
พฤติกรรมนั้นแน%นอน ในทางตรงกันขาม ถาบุคคลมีการรับรูเกี่ยวกับความสามารถของตนเองต่ําและมี
ความคาดหวังเกี่ยวกับผลของการกระทําที่จะเกิดขึ้นต่ําดวย ก็มีแนวโนมที่จะไม%กระทําพฤติกรรมนั้น
แน%นอน หรือการรับรูความสามารถของตนเองเปHนไปในทางตรงกันขามกับความคาดหวังเกี่ยวกับผลที่จะ
เกิดขึ้น บุคคลก็จะมีแนวโนมที่จะตัดสินใจไม%กระทําพฤติกรรมนั้น
Bandura (ภัทราภรณ4 สังข4ทอง. 2550 : 35 ; อางอิงมาจาก Bandura.
1986 : 399-401) กล%าวว%า การรับรูความสามารถของบุคคลพัฒนามาจากป6จจัยหลัก 4 ประการ คือ
1. ประสบการณ4จากความสําเร็จ (Enactive Attainment) เปHนป6จจัยที่มีอิทธิพล
ต%อการรับรูความสามารถของบุคคลมากที่สุด เนื่องจากความสําเร็จจากการกระทําเปHนประสบการณ4 ที่
บุคคลไดรับโดยตรง และเปHนขอมูลที่มีความเที่ยงตรงสูง การที่บุคคลไดรับความสําเร็จจากการทํางานซ้ํา
กันหลายๆ ครั้ง ทําใหบุคคลรับรูความสามารถของตนเองมากยิ่งขึ้น ถึงแมว%าในบางครั้งจะประสบ
ความลมเหลวบาง แต%ก็ไม%มีผลมากนัก เพราะบุคคลจะมองว%าความลมเหลวที่เกิด มาจากสาเหตุอื่นๆ
2. การไดเห็นตัวแบบประสบความสําเร็จ (Vicarious Experience) การรับรู
ความสามารถของบุคคลส%วนหนึ่งไดรับอิทธิพลจากการไดเห็นผูอื่นประสบความสําเร็จ การไดเห็นบุคคล
อื่นกระทําพฤติกรรมที่มีลักษณะคลายคลึงกันแลวประสบความสําเร็จ จะทําใหบุคคลรับรูความสามารถ
ของตนเองเพิ่มขึ้น หากแต%ว%าบุคคลจะตองมีความสามารถในการทํากิจกรรมนั้นได เมื่อเปรียบเทียบกับ
บุคคลอื่น ถามีความตั้งใจและมีความพยายาม เขาจะสามารถทํางานนั้นได และประสบความสําเร็จ
เช%นเดียวกัน
3. การพูดชักจูงจากผูอื่น (Verbal Persuasion) การที่ผูอื่นใชคําพูดชักจูงให
บุคคลเชื่อว%าเขามีความสามารถที่จะกระทําพฤติกรรมอย%างใดอย%างหนึ่งไดสําเร็จ จะช%วยใหบุคคล
มีกําลังใจ มีความเชื่อมั่นในการกระทําพฤติกรรมต%างๆ มากขึ้น ซึ่งจะทําใหบุคคลเกิดความพยายามที่จะ
กระทําพฤติกรรมต%างๆ ใหสําเร็จ มีการรับรูความสามารถของตนเองเพิ่มขึ้น ทั้งนี้ขึ้นอยู%กับบุคคลที่ชักจูง
ดวยบุคคลที่มีอิทธิพลต%อการพูดชักจูงใหผูอื่นคลอยตามนั้นจะตองเปHนบุคคลที่ผูถูกชักจูงใหความเชื่อถือ
ไววางใจ และมีความสําคัญต%อตัวเขา เช%น พ%อ แม% ครู เพื่อน หรือบุคคลที่มีอิทธิพลต%อเขา เปHนตน
การรับรูความสามารถ
ของตนเอง
29
4. สภาวะทางกาย (Physiological State) เปHนป6จจัยที่สําคัญอีกประการหนึ่งที่
มีผลต%อการตัดสินความสามารถของบุคคล การรับรูความสามารถของบุคคลจะสูงหรือต่ํา ส%วนหนึ่งมา
จากสภาวะทางกายของเขาเอง กล%าวคือ ในสภาวะที่ร%างกายเกิดการตื่นตัว เช%น เครียด วิตกกังวล
ตื่นเตน อ%อนเพลีย เมื่อยลา หรืออยู%ในสภาพการณ4ที่ถูกดุ ถูกว%ากล%าวตักเตือน หรือในสภาวะที่
ร%างกาย ถูกกระตุนมากๆ มักจะทําใหบุคคลกระทําพฤติกรรมไดไม%ดีเท%าที่ควร ซึ่งจะส%งผลใหบุคคล
รับรูความสามารถของตนเองต่ํา
สรุปไดว%า การรับรูความสามารถของบุคคลนั้นสามารถเกิดขึ้นไดจากป6จจัยต%างๆ
อันไดแก% ประสบการณ4จากความสําเร็จ การไดเห็นตัวแบบประสบความสําเร็จ การพูดชักจูงจากผูอื่น
และสภาวะทางกาย ถึงแมว%ามีป6จจัยที่มีผลต%อการรับรูความสามารถของบุคคล ส%วนหนึ่งเกิดจาก
สิ่งแวดลอมภายนอก แต%กระบวนการรับรูความสามารถของบุคคลเกิดจากภายในตัวบุคคลเอง
การส%งเสริมใหผูเรียนมีการรับรูความสามารถของตนเองในระดับที่พอดีจะส%งผลต%อความสําเร็จ
ในการกระทําพฤติกรรม มากกว%าการรับรูความสามารถของตนเองสูงหรือต่ําเกินไป
1.3 การวัดการรับรูความสามารถของตนเอง
การวัดการรับรูความสามารถของตนเองแบ%งออกเปHน 3 มิติ คือ (1) ระดับ
ความยากของงานหรือกิจกรรมที่บุคคลเชื่อว%า ตนมีความสามารถที่จะปฏิบัติได (Level of Job
Difficulties) (2) ความมั่นใจของบุคคลที่จะปฏิบัติกิจกรรมที่ระดับความยากหรือเมื่อมีอุปสรรคต%างๆ
(Strength of Confidence) (3) การตัดสินว%าตนมีความสามารถในกิจกรรมอื่นๆ ดวยหรือมี
ความสามารถเฉพาะในขอบเขตของกิจกรรมนั้น (Generality of Ability) โดย Bandura ไดกล%าวว%า
แบบวัดความรับรูความสามารถของตนควรวัดความเชื่อในความสามารถที่จะทํากิจกรรมที่ระดับความ
ยากต%างๆ ภายใตขอบเขตเรื่องที่จะศึกษา ทั้งนี้ผลการวิจัยไดแสดงว%าการวัดความมั่นใจมีความเที่ยงตรง
เชิงเอกนัย (Convergent Validity) และใหอํานาจในการอธิบายตัวแปรตามไดสูงที่สุด (วิลาสลักษณ4
ชัววัลลี. 2538 : 178)
มิติที่ 1 ระดับหรือขนาดความยากของงานที่บุคคลเชื่อว%าตนสามารถปฏิบัติได
เปHนความคาดหวังเกี่ยวกับความสามารถของตนซึ่งจะแตกต%างไปในแต%ละบุคคลในการกระทําพฤติกรรม
หนึ่ง หรือแตกต%างกันในบุคคลเดียวกัน เมื่อตองทําพฤติกรรมที่มีความยากง%ายแตกต%างกัน เปHนการ
คาดหวังของบุคคลว%าตนจะทํางานสําเร็จถึงระดับไหน เมื่อถูกเสนองานที่มีระดับความยากแตกต%างกัน
บุคคลที่มีความคาดหวังในความสามารถของตนเองต่ําหรือมีขีดความสามารถจํากัด
ทํางานไดเฉพาะเรื่องที่ง%ายๆ ถาไดรับมอบหมายใหกระทําสิ่งที่ยากเกินความสามารถก็จะพบความ
ลมเหลว ดังนั้นการมอบหมายงานตองพิจารณาไม%ใหยากเกินความสามารถ ควรเปHนงานที่มีความยาก
ระดับปานกลาง
มิติที่ 2 ความเขม หรือ ความมั่นใจ ที่จะปฏิบัติไดมนระดับความยากต%างๆ
ถาความคาดหวังเกี่ยวกับความสามารถของตนมีความเขมนอย คือ บุคคลไม%มั่นใจในความสามารถของ
ตนเมื่อประสบเหตุการณ4ที่ไม%เปHนไปตามที่คาดหวังจะทําใหความคาดหวังเกี่ยวกับความสามารถของตน
ลดลง แต%ถามีความเขม หรือความมั่นใจมาก บุคคลจะมีความบากบั่นมานะพยายามมาก
แมว%าจะประสบเหตุการณ4ที่ไม%สอดคลองกับความคาดหวังบางก็ตาม
30
มิติที่ 3 การแผ%ขยายความสามารถ หรือการนําไปใช เปHนการแผ%ขยายความ
คาดหวังเกี่ยวกับความสามารถของตนเองไปในสถานการณ4อื่น ประสบการณ4การปฏิบัติงานบางอย%าง
ก%อใหเกิดความสามารถในการนําไปปฏิบัติในสภาพการณ4อื่นที่คลายกันแต%ในปริมาณที่แตกต%างกัน
ไดประสบการณ4บางอย%างอาจไม%ทําใหความคาดหวังเกี่ยวกับความสามารถของตนเองนําไปใช
ในสถานการณ4อื่นได
สําหรับงานวิจัยนี้ผูวิจัยสนใจที่จะศึกษาการรับรูความสามารถของตนเอง โดยใชกรอบ
แนวคิดของ Bandura (ภัทราภรณ4 สังข4ทอง. 2550 : 35 ; อางอิงมาจาก Bandura. 1986 :
399-401) คือแยกเปHน ตัวแปรสังเกตได 4 ตัว ประกอบดวย ประสบการณ4จากความสําเร็จ
การไดเห็นตัวแบบประสบความสําเร็จ การพูดชักจูงจากผูอื่น สภาวะทางกาย
2. แรงจูงใจใฝ:สัมฤทธิ์
2.1 ความหมายของแรงจูงใจใฝ:สัมฤทธิ์
นักวิชาการและนักการศึกษาหลายท%านไดใหความหมายของแรงจูงใจใฝ:สัมฤทธิ์ไวดังต%อไปนี้
อารี พันธ4มณี (2542 : 182) ใหความหมาย แรงจูงใจใฝ:สัมฤทธิ์ว%า
เปHนความปรารถนาของบุคคลที่จะทํากิจกรรมต%างๆ ใหดี และประสบความสําเร็จ
พงษ4พันธ4 พงษ4โสภา (2542 : 140) ใหความหมาย แรงจูงใจใฝ:สัมฤทธิ์
ว%า เปHนแรงจูงใจที่ทําใหบุคคลมีความตองการที่จะกระทําสิ่งต%างๆ ทั้งในหนาที่การงาน และเรื่องราว
ส%วนตัวใหสําเร็จลุล%วง
McCelland (เมธาวดี สังขะมาน. 2548 : 30 ; อางอิงจาก McCelland.
1961 : 260 - 265) ใหความหมาย แรงจูงใจใฝ:สัมฤทธิ์ หมายถึง เปHนความปรารถนาที่จะทําสิ่งหนึ่ง
สิ่งใดใหสําเร็จลุล%วงไปดวยดีแข%งขันกับมาตรฐานอันดีเยี่ยม หรือทําใหดีกว%าบุคคลอื่นที่เกี่ยวของ
พยายามเอาชนะอุปสรรคต%างๆ มีความรูสึกสบายใจเมื่อประสบความสําเร็จ และมีความวิตกกังวล
เมื่อทําไม%สําเร็จหรือประสบความลมเหลว
Atkinson (จิราวดี ชุมพล. 2549 : 26 ; อางอิงมาจาก Atkinson. 1966 :
240 - 241) ใหความหมาย แรงจูงใจใฝ:สัมฤทธิ์เปHนแรงผลักดันที่เกิดขึ้นเมื่อบุคคลรูตัวว%า
การกระทําของตนจะตองไดรับการประเมินจากตนเองหรือบุคคลอื่น โดยเทียบกับมาตรฐานอันดีเยี่ยม
ผลจากการประเมินอาจเปHนสิ่งที่พอใจเมื่อกระทําจนสําเร็จหรือไม%น%าพอใจเมื่อกระทําไม%สําเร็จก็ได
Spafford, Pesce และ Grosser (เมธาวดี สังขะมาน. 2548 : 30 ;
อางอิงมาจาก Spafford Pesce and Grosser. 1997 : 3) ใหความหมาย แรงจูงใจใฝ:สัมฤทธิ์
หมายถึง ความตั้งใจของบุคคลแต%ละคนที่จะกระทําสิ่งต%าง ๆ ใหดี เพื่อบรรลุความสําเร็จ
สรุปความหมายของ แรงจูงใจใฝ:สัมฤทธิ์ คือ ความปรารถนาของบุคคลที่จะกระทํา
สิ่งต%างๆ ทั้งในหนาที่การงาน และเรื่องราวส%วนตัวใหประสบความสําเร็จไปไดดวยดีตามเปKาหมาย
ที่วางไว
31
2.2 แนวคิดและทฤษฎีเกี่ยวกับแรงจูงใจสัมฤทธิ์
McCelland (ศิวพร ไชยพยอม. 2550 : 54 ; อางอิงมาจาก McCelland,
1969) ไดสรุปทฤษฎีแรงจูงใจใฝ:สัมฤทธิ์ไวว%า คนเรามีความตองการอยู% 3 ประการ คือ
1. ความตองการสัมฤทธิผล (Need for Achievement : nach) เปHนความ
ปรารถนาจะทําสิ่งใดสิ่งหนึ่งใหลุล%วงไปดวยดี พยายามเอาชนะอุปสรรคต%างๆ มีความสบายใจเมื่อประสบ
ความสําเร็จ และมีความวิตกกังวลเมื่อทําไม%สําเร็จหรือประสบความลมเหลว
2. ความตองการความผูกพัน (Need for Affiliation : naff) เปHนความตองการกับ
ผูอื่นในสังคม ตองการความเปHนมิตรและสัมพันธภาพที่อบอุ%น สิ่งเหล%านี้จะทําใหบุคคลแสดง
พฤติกรรมเพื่อใหไดมาซึ่งการยอมรับจากคนอื่น
3. ความตองการมีอํานาจบารมี (Need for Power : npow) ไดแก% ความตองการ
รับผิดชอบบุคคลอื่น ตองการควบคุมและใหโทษแก%ผูอื่นได ทําใหบุคคลแสวงหาอํานาจเพราะจะเกิด
ความรูสึกว%าหากทําอะไรไดเหนือคนอื่นจะเปHนความภาคภูมิใจ ผูมีแรงจูงใจใฝ:อํานาจสูงจะเปHนผู
พยายามควบคุมสิ่งต%างๆ เพื่อใหตนเองบรรลุความตองการที่จะมีอิทธิพลเหนือกว%าผูอื่นสาระสําคัญ
ประการหนึ่งของทฤษฎีแรงจูงใจใฝ:สัมฤทธิ์ของแมคเคนแลนด4 คือ ผูที่จะทํางานไดอย%างประสบ
ความสําเร็จ จะตองมีแรงจูงใจดานความตองการสัมฤทธิผลอยู%ในระดับสูง หรือกล%าวไดว%า ความสําเร็จ
ของงานจะทําไดโดยการกระตุนความตองการดาน nach เปHนสําคัญ บุคคลแต%ละคนเมื่อมี nach สูง
ก็จะสามารถทํางานไดสําเร็จและช%วยใหงานของหน%วยงานสําเร็จไดดวย
Atkinson (พินกาน ภัทเศรษฐ4. 2551 : 17-18 ; อางอิงมาจาก Atkinson.
1974) ไดกล%าวถึง แรงจูงใจใฝ:สัมฤทธิ์ว%า ในสถานการณ4หนึ่งผูที่มีแรงจูงใจใฝ:สัมฤทธิ์จะพยายามที่จะ
ทํางานนั้นใหสําเร็จ โดยการเปรียบเทียบกับมาตรฐาน ถาผลงานสูงกว%าหรือเท%าเกณฑ4มาตรฐานก็ถือว%า
ประสบผลสําเร็จตามความคิดของเขา แรงจูงใจใฝ:สัมฤทธิ์จะขึ้นอยู%กับ 3 องค4ประกอบ คือ
1. ความคาดหวัง (Expectation) หมายถึง การคาดล%วงหนาถึงผลการกระทําของ
ตน คนที่มีแรงจูงใจใฝ:สัมฤทธิ์สูงจะคาดล%วงหนาถึงความสําเร็จของงาน
2. สิ่งล%อใจ (Incentive) หมายถึง ความพึงพอใจที่ไดรับจากการทํางาน เช%น
เปHนงานที่ตนสนใจหรือถนัดมีผลตอบแทนสูง ถามีสิ่งล%อใจเปHนที่พอใจของบุคคลก็จะทําใหมีแรงจูงใจใฝ:
สัมฤทธิ์สูงดวย
3. แรงจูงใจจากความพึงพอใจในการแสวงหาความสุข และหลีกเลี่ยงความผิดหวัง
หมายถึง คนเรากระทําการใดก็ย%อมหวังไดรับความสุขความพอใจกับการกระทําตองการความสําเร็จ
และกลัวความลมเหลว คนที่ตองการความสําเร็จมากจะมีแรงจูงใจใฝ:สัมฤทธิ์สูง และคนที่กลัวความ
ลมเหลวมากก็จะพยายามหลีกเลี่ยงงานที่ตนคิดว%าทําไม%ได ซึ่งจะเปHนผูมีแรงจูงใจใฝ:สัมฤทธิ์ต่ํา
การสรางแรงจูงใจใฝ:สัมฤทธิ์ใหเกิดขึ้นจึงอยู%ที่
3.1 เพิ่มความตองการความสําเร็จ และลดความกลัวความลมเหลวซึ่งจําเปHน
ที่ผูปกครองหรือครูตองจัดประสบการณ4ใหนักเรียน ไดรับประสบความสําเร็จซ้ํา ๆ ติดต%อกัน
เปHนเวลานาน
3.2 ช%วยใหนักเรียนรูสึกว%าบทเรียนไม%ยากจนเกินไป จะทําใหนักเรียนคิด
และเชื่อว%า เขาจะมีโอกาสประสบความสําเร็จได โดยครูใชวิธีแบ%งงาน หรือบทเรียนออกเปHนตอนเปHน
หน%วยและใหฝ~กหัดทําทีละหน%วย เมื่อเสร็จขั้นตอนหนึ่งแลวจึงฝ~กขั้นต%อไป วิธีนี้นักเรียนจะไม%เกิด
32
ความรูสึกว%างานยุ%งยากซับซอน ส%วนการฝ~กทักษะนั้นตองสรางความมั่นใจใหนักเรียน มีกําลังใจและ
มีแรงจูงใจในการฝ~กเพิ่มมากขึ้น การฝ~กหัดทักษะควรฝ~กหลาย ๆ อย%างที่จําเปHนสําหรับการเรียน
รวมทั้งครูควรจะใหคําปรึกษาและชี้แนะช%องทางที่จะช%วยใหนักเรียนไดทํางานใหสําเร็จไดง%าย และ
สะดวกกว%าที่นักเรียนคิด
2.3 ลักษณะของผูมีแรงจูงใจใฝ:สัมฤทธิ์
ลักษณะของผูมีแรงจูงใจใฝ:สัมฤทธิ์ ไดมีการรวบรวมลักษณะของผูมีแรงจูงใจใฝ:สัมฤทธิ์ไว โดยบุคคล
จากศาสตร4สาขาต%าง ๆ เช%น
Guilford (จิราวดี ชุมพล. 2549 : 26 ; อางอิงมาจาก Guilford. 1967 :
437-439) สรุปลักษณะของผูที่มีแรงจูงใจใฝ:สัมฤทธิ์ว%าประดวย
1. ความทะเยอทะยานทั่ว ๆ ไป คือ ปรารถนาที่จะทํากิจการนั้นใหสําเร็จ
2. มีความเพียรพยายาม ไดแก% ความอดทนมีมานะที่จะทํางานใหเปHนผลสําเร็จ
3. มีความเต็มใจที่จะลําบากแมงานจะยากเพียงใดก็ตาม ก็มุ%งมั่นที่จะทําใหสําเร็จ
ดวยดี
McClelland (ศิวพร ไชยพยอม. 2550 : 59 ; อางอิงมาจาก McClelland.
1969 : 207-256) สรุปลักษณะของผูที่มีแรงจูงใจใฝ:สัมฤทธิ์สูงไวดังนี้
1. กลาเสี่ยงอย%างเหมาะสม (Moderate Risk - Taking) มีการตัดสินใจ
ที่เด็ดเดี่ยว
2. ไม%ชอบงานที่ตองอาศัยโชคหรือดวงชะตา ไม%ชอบทําสิ่งที่ง%ายๆ หรือไม%ตองใช
ความสามารถ แต%จะเลือกทําสิ่งที่ยากและเหมาะสมกับความสามารถของตนเอง
3. มีความกระตือรือรน (Energetic) หรือความขยันขันแข็งในการกระทําสิ่ง
แปลกๆ ใหม% ๆ ผูที่มีแรงจูงใจใฝ:สัมฤทธิ์สูงไม%ไดขยันไปทุกกรณี แต%จะเอาใจใส%มานะพากเพียรต%อสิ่งที่ทา
ทาย ซึ่งเปHนงานที่ตองใชสมองคิด และจะทําใหตนเองเกิดความรูสึกไดว%าทํางานสําคัญสําเร็จลุล%วงไปได
4. มีความรับผิดชอบต%อตนเอง (Individual Responsibility) ผูที่มีแรงจูงใจใฝ:
สัมฤทธิ์สูงจะพยายามทํางานใหสําเร็จเพื่อความพึงพอใจของตนเองมิใช%จะหวังใหคนอื่นยกย%องตน
แต%ตองการปรับปรุงตัวเองใหดีขึ้น ไม%ชอบใหผูอื่นมาบงการ ว%าตนควรจะทําอย%างนั้นอย%างนี้
5. ตองการทราบผลของการตัดสินใจ (Knowledge of result Decision)
ผูที่มีแรงจูงใจ ใฝ:สัมฤทธิ์สูงจะติดตามผลของการกระทําของตนว%ามีผลอย%างไร ไม%ใช%คาดคะเนว%าเปHน
อย%างนั้นอย%างนี้และเมื่อทราบผลของการกระทําแลวก็ยังพยายามปรับปรุงใหดีกว%าเดิมอีก
6. คาดการณ4ล%วงหนา (Anticipation of Future Possibilities) ผูที่มีแรงจูงใจใฝ:
สัมฤทธิ์สูงเปHนผูที่มีการวางแผนระยะยาวเพราะเล็งเห็นการณ4ไกลกว%าผูที่มีแรงจูงใจใฝ:สัมฤทธิ์ต่ํา
7. มีทักษะในการจัดระบบงาน (Organizational Skill) ใหเกิดประสิทธิภาพใน
การทํางานอย%างเปHนระบบ
Herman (ปราณี เพ็ชรศิริ. 2549 : 28 ; อางอิงมาจาก Herman. 1970 :
53) ไดรวบรวมลักษณะของผูที่มีแรงจูงใฝ:สัมฤทธิ์ไว 10 ประการ ดังนี้
1. บุคคลที่มีระดับความทะเยอทะยานสูง
2. ตองเปHนผูมีความหวังอย%างมากกว%าตนเองจะประสบผลสําเร็จ ถึงแมการกระทํา
นั้นจะขึ้นอยู%กับโอกาสก็ตาม
33
3. มีความพยายามไปที่จะมุ%งสู%สถานะที่สูงขึ้นไปเปHนลําดับ
4. มีความอดทนทํางานที่ยากไดเปHนเวลานาน
5. ถึงแมงานที่ทําถูกขัดจังหวะ หรือถูกรบกวนจะพยายามทําต%อไปใหสําเร็จ
6. รูสึกว%าเวลาเปHนสิ่งที่ไม%หยุดนิ่งและสิ่งต%าง ๆ เกิดขึ้นอย%างรวดเร็ว
7. คิดคํานึงถึงเหตุการณ4ในอนาคตมากกว%าอดีตและป6จจุบัน
8. มีความคิดพิจารณาเลือกเพื่อนร%วมงานที่มีความสามารถเปHนอันดับแรก
9. ตองการใหเปHนที่รูจักแก%ผูอื่น โดยพยายามปรับปรุงงานของตนเองใหดีขึ้น
10. พยายามปฏิบัติสิ่งต%าง ๆ ของตนเองใหดีเสมอ
สุพจน4 สินสุวงศ4วัฒนา (สมใจ จุฑาผาด. 2549 : 38 ; อางอิงมาจาก สุพจน4
สินสุวงศ4วัฒนา. 2527 : 29-31) ไดศึกษาทฤษฎีการจัดระบบบุคลิกภาพของ Eysenck มาเปHน
แนวทางจําลองทฤษฎีบุคลิกภาพของผูที่มีแรงจูงใจใฝ:สัมฤทธิ์ โดยไดกําหนดลักษณะผูที่มีแรงจูงใจใฝ:
สัมฤทธิ์ออกเปHน 6 ดาน ดังนี้
1. ความทะเยอทะยาน (Aspiration) เปHนการตั้งระดับความคาดหวังไวสูง
การพยายามไปสู%สถานะที่สูงขึ้น ใหคนอื่นรูจักดวยผลงาน ตองการชัยชนะเมื่อมีการแข%งขัน ตองการ
ดีเด%นเหนือคนอื่น ตองการใหงานของตนสําเร็จในระดับสูง ตองการความกาวหนาในการทํางานเลือก
กิจกรรมที่เกี่ยวของกับการแข%งขัน หรือฝ~กความชํานาญ
2. ความกระตือรือรน (Energetic) มีความขยันขันแข็ง มีความเอาใจใส%เต็มใจ
และตั้งใจจริงในการทํางาน มีความอดทนสูง ทํางานที่ไดรับมอบหมายทันที ไม%ผัดวันประกันพรุ%ง มานะ
พยายามที่จะทํางานใหสําเร็จอย%างมีประสิทธิภาพ สนุกสนานในการทํางานเห็นคุณค%าของเวลา
อาสาทํางานที่ตนถนัด ไม%ย%อทอต%องานที่ยุ%งยาก
3. ความกลาเสี่ยง (Moderate Risk Taking) กลาตัดสินใจในการกระทําสิ่งต%างๆ
เลือกทําสิ่งที่เปHนไปได มีความยากเหมาะสมกับความสามารถ มุ%งความสําเร็จมากกว%าหลีกเลี่ยง
ความลมเหลว ทําทุกสิ่งดวยความมั่นใจ ไม%เชื่อโชคลาง หรือสิ่งมหัศจรรย4 กลาไดกลาเสีย เลือกงานที่ยาก
และทาทายความสามารถ
4. ความรับผิดชอบต%อตนเอง (Individual Responsibility) การทํางานมุ%งใหสําเร็จ
เพื่อความพึงพอใจของตน การปรับปรุงตนเองใหดีเสมอ แมถูกรบกวนในขณะทํางานก็จะทํางานนั้นให
สําเร็จได มีความผูกพันกับงานที่ไดรับมอบหมาย กลารับผิดชอบในผลงานของตน
5. การรูจักวางแผน (Planning) การมีแบบแผนในการทํางาน มีจุดประสงค4ใน
การทํางานที่เด%นชัด มองเห็นลู%ทางในการทํางานอย%างเปHนขั้นตอน เล็งเห็นการณ4ไกล มีความมุ%งหวังที่
ยาวนานเกี่ยวกับความสําเร็จในชีวิต มีความรอบคอบ และรวบรวมรายละเอียดก%อนตัดสินใจการทํางาน
อย%างรัดกุม ประณีต และเปHนระเบียบ การแสดงออกของความคิดที่กลั่นกรองแลว ผูกพันกับ
อนาคตมากกว%าอดีต หรือป6จจุบัน เลือกเพื่อนร%วมงานที่มีความสามารถเปHนอันดับแรก
6. ความมีเอกลักษณ4 (Unique of Characteristic) การริเริ่มทําสิ่งต%างๆ ดวย
ความคิดของตนเองสูง มีอิสระในการแสดงออก สนใจเหตุการณ4หรือสิ่งใหม% ๆ การใชความคิดหรือ
ทฤษฎีใหม% ๆ ในการแกป6ญหาการกระทําที่ไม%ซ้ําแบบใคร
34
2.4 การวัดแรงจูงใจใฝ:สัมฤทธิ์
สุพจน4 สินสุวงศ4วัฒน4 (สมใจ จุฑาผาด. 2549 : 38 ; อางอิงมาจาก สุพจน4
สินสุวงศ4วัฒน4. 2527 : 31) กล%าวว%า การวัดแรงจูงใจใฝ:สัมฤทธิ์เปHนการวัดบุคลิกภาพดานหนึ่ง
นักจิตวิทยาไดพยายามสรางเครื่องมือขึ้นมาเพื่อวัดแรงจูงใจใฝ:สัมฤทธิ์ซึ่งมีอยู% 5 วิธี คือ
1. วิธีการสังเกต การสังเกตเปHนรากฐานของวิทยาศาสตร4ทุกแขนง
2. วิธีการทดสอบ การทดสอบประกอบดวยขอความหลายสิบขอที่ผูทดสอบ
ตั้งขึ้นโดยถือเอาปกติวิสัยของคนทั่วๆ ไปเปHนมาตรฐานซึ่งบางขอเปHนขอคําถามเกี่ยวกับความกลัว
ความวิตกกังวล หรือเศรษฐกิจ ความสนใจในสิ่งต%างๆ หรือปฏิกิริยาที่ตนทําอยู%เสมอๆ เมื่อตกอยู%ใน
สภาพนั้นๆ เปHนตน
3. การประมาณค%าโดยการเลือกคุณลักษณะ บุคลิกภาพที่เปHนเครื่องเชิดชูให
บุคลิกภาพเด%นสะดุดตา เช%น ความสงบเสงี่ยม แลวใหหลายๆคนช%วยกันประมาณค%าว%าบุคลิกภาพของ
ผูถูกประมาณค%านั้นตกอยู%ในขั้นไหน คือ มีความสงบเสงี่ยมมากนอยเพียงใด
4. การวิเคราะห4ตัวเอง คือ การประมาณค%าตัวเองแบบวิเคราะห4ตัวเอง เปHนคําถาม
แบบปรนัย จะเปHนประโยชน4ในการเลือกอาชีพใหเหมาะสมกับบุคลิกภาพของตน
5. การสัมภาษณ4 มีหลักคลายๆ กับการวิเคราะห4ตนเอง ผูสัมภาษณ4เปHนผูจด
บันทึกและประมาณค%าบุคลิกภาพของเรา ผูถูกสัมภาษณ4จะไม%รูตัวว%าถูกสอบบุคลิกภาพ
สําหรับงานวิจัยนี้ผูวิจัยสนใจที่จะศึกษาแรงจูงใจใฝ:สัมฤทธิ์ โดยใชกรอบแนวคิดของ
Guilford (จิราวดี ชุมพล. 2549 : 26 ; อางอิงมาจาก Guilford. 1967 : 437-439),
McClelland (ศิวพร ไชยพยอม. 2550 : 59 ; อางอิงมาจาก McClelland. 1969 : 207-
256), Herman (ปราณี เพ็ชรศิริ. 2549 : 28 ; อางอิงมาจาก Herman. 1970 : 53,
สุพจน4 สินสุวงศ4วัฒนา (สมใจ จุฑาผาด. 2549 : 38 ; อางอิงมาจาก สุพจน4 สินสุวงศ4วัฒนา.
2527 : 29-31) คือแยกเปHนตัวแปรสังเกตได ตัวแปรสังเกตได 5 ตัว ประกอบดวย ความ
ทะเยอทะยาน ความกระตือรือรน ความกลาเสี่ยง การรูจักวางแผน ความมีเอกลักษณ4
3. การควบคุมตนเอง
3.1 ความหมายของการควบคุมตนเอง
Bandura (อรพลอย เกษมสันต4 ณ อยุธยา. 2546 : 11 ; อางอิงมาจาก
Bandura. 1977 : 140) ใหความหมาย การควบคุมตนเองว%า เปHนความสามารถในการกําหนด
ตนเองของบุคคล ดานความคิด อารมณ4 ความรูสึก และการกระทําใหเปHนไปในทิศทางที่บุคคลตองการ
ไม%ว%าจะเผชิญป6ญหาหรืออุปสรรคใด ๆ หรืออยู%ในสถานการณ4ที่เกิดป6ญหาความขัดแยงในใจ
Rosenbaum (นงนุช โรจนเลิศ. 2533 : 18 ; อางอิงมาจาก Rosenbaum.
1980 : 109-121) ใหความหมาย การควบคุมตนเอง เปHนความสามารถของบุคคลที่จะละเวน
การกระทําบางชนิดหรือความสามารถที่จะกระทําพฤติกรรมดวยเหตุผล และความอดทนเพื่อใหเกิดผลดี
ตามที่ตองการหรือหลีกเลี่ยงสิ่งไม%ดีที่อาจเกิดขึ้น ตลอดจนความสามารถในการจัดสภาพแวดลอม
เพื่อใหเกิดพฤติกรรมตามที่บุคคลมุ%งหวังไว แมเมื่อบุคคลนั้นตองเผชิญกับป6ญหา อุปสรรค หรืออยู%ใน
ภาวะที่เกิดป6ญหาความขัดแยงในจิตใจ ความสามารถดังกล%าว ประกอบดวย
35
1. การใชความคิดอย%างมีเหตุผล และคําพูดบอกตนเองในการควบคุมการ
แสดงออกทางอารมณ4และการกระทํา
2. การประยุกต4วิธีการมาใชแกป6ญหาอย%างเปHนลําดับขั้น เช%น การวางแผนการให
คําจํากัดความของป6ญหา การประเมินตัวเลือก การคาดหมายถึงสิ่งที่จะเกิดตามมา
3. ความสามารถที่จะยับยั้งการกระทําตามอําเภอใจ
4. การรับรูถึงประสิทธิภาพในผลการกระทําของตนเอง (Self Efficiency)
เช%น สามารถสังเกตเห็นถึงคุณสมบัติ และความสามารถของตนในการควบคุมสิ่งแวดลอม หรือ
ควบคุมผลการกระทําดวยตนเอง
การควบคุมตนเอง (Self - Control) คือ กระบวนการที่บุคคลใชวิธีการใดหรือหลาย
วิธีรวมกัน เพื่อเปลี่ยนแปลงพฤติกรรมของตนเองจากพฤติกรรมที่ไม%พึงประสงค4โดยบุคคลนั้นเปHน
ผูกําหนดพฤติกรรมเปKาหมาย และกระบวนการที่จะนําไปสู%เปKาหมายดวยตนเอง ส%วนผูบําบัดหรือ
ผูใหคําปรึกษานั้นมีบทบาทเปHนเพียงผูฝ~กวิธีการเหมาะสมใหเท%านั้น (พิมผะกา อัคคะพู. 2543 : 18 ;
อางอิงมาจาก Cormier and Cormier. 1979 : 476) การควบคุมตนเอง เปHนการปรับพฤติกรรม
ที่มีพื้นฐานมาจากทฤษฎีการเรียนรู ซึ่งตามทฤษฎีการเรียนรูนั้นเชื่อว%า พฤติกรรมเปHนผลจากการมี
ปฏิสัมพันธ4กับสิ่งแวดลอม ทั้งนี้เพราะสิ่งแวดลอมเปHนตัวการควบคุมพฤติกรรม เมื่อสิ่งแวดลอม
เปลี่ยนไปพฤติกรรมก็เปลี่ยนไปดวย แต%ในขณะเดียวกันเมื่อพฤติกรรมของบุคคลที่เปลี่ยนแปลงไป
ก็จะเปHนตัวกําหนดสิ่งแวดลอมใหม%เช%นเดียวกัน ดังนั้นจึงเปHนไปไดว%าพฤติกรรมของบุคคล และ
สิ่งแวดลอมต%างมีอิทธิพลซึ่งกันและกัน (พิมผะกา อัคคะพู. 2543 : 20 ; อางอิงมาจาก
Kalish. 1981 : 294)
การควบคุมตนเองจึงเปHนการประยุกต4หลักพฤติกรรมเพื่อปรับปฏิสัมพันธ4ระหว%าง
พฤติกรรมและสิ่งแวดลอมของบุคคลโดยบุคคลนั้นเอง ซึ่งเปHนการเปwดโอกาสใหบุคคลไดควบคุม
พฤติกรรมของตนเอง เปHนการลดความสําคัญของอิทธิพลภายนอกลง และทําใหบุคคลมีอิสระ
ที่จะกําหนดพฤติกรรมของตนเองไดมากขึ้น ซึ่ง Watson และ Tarp (จันทรา เชาว4วิทยาม. 2545 :
13 ; อางอิงมาจาก Watson and Tarp. 1972 : 73) ไดใหแนวคิดว%า การควบคุมตนเองมิได
หมายความว%า บุคคลอื่นจะเกี่ยวของไม%ไดแมว%าบุคคลสามารถควบคุมสิ่งแวดลอมได ก็มิใช%ตัดขาด
จากอิทธิพลภายนอกโดยสิ้นเชิงในทางปฏิบัตินั้นการควบคุมตนเอง บุคคลอื่น ก็สามารถเขาไปใหความ
ช%วยเหลือได โดยผูที่เปHนนักปรับพฤติกรรมจะทําหนาที่ใหความแนะนํา และใหคําปรึกษาในกรณีที่ผูถูก
ปรับพฤติกรรมตนเองเกิดป6ญหาเกี่ยวกับขั้นตอนการดําเนินการของกระบวนการควบคุมตนเอง
การควบคุมตนเอง เปHนวิธีการที่สามารถนํามาใชในการลดพฤติกรรมที่
ไม%พึงประสงค4หรือเพิ่มพฤติกรรมที่พึงประสงค4 หรือต%อตานพฤติกรรมที่เบี่ยงเบน เพราะฉะนั้น
การควบคุมตนเองจึงตองใชความพยายาม พฤติกรรมใดที่ทําไดยาก ก็จะตองใชความพยายาม
มากกว%าพฤติกรรมที่ทําไดง%าย (จิตรฎายิน เอี่ยมอุย. 2549 : 26 ; อางอิงมาจาก Wilson and
O’leary. 1980 : 214) และการควบคุมตนเองยังเปHนผลมาจากการเรียนรูทางสังคม โดยที่บุคคล
พยายามปรับตัวเพื่อใหเปHนที่ยอมรับของสังคม (จันทรา เชาว4วิทยา. 2545 : 13 ; อางอิงมาจาก
Kanfer and Phillips. 1970 : 416)
36
Skinner (สมโภชน4 เอี่ยมสุภาษิต. 2541 : 328 – 329 ; อางอิงมาจาก Skinner.
1953) ใหความหมาย การควบคุมตนเองมิใช%เรื่องใหม%แต%อย%างใด เปHนวิธีการที่คนส%วนใหญ%ไดเคยกระทํา
มาแลวในชีวิตประจําวันแทบทั้งสิ้น และไดเสนอวิธีการที่คนเราใชในการควบคุมตนเองดังต%อไปนี้
1. ใชวิธีการยับยั้งทางร%างกาย เช%น การกัดริมฝ…ปากตนเองเพื่อไม%ใหหัวเราะ
หรือปwดตาตนเองเพื่อไม%ใหเห็นบางสิ่งบางอย%างที่ไม%ตองการจะเห็น เปHนตน การกระทําดังกล%าว
ทําใหบุคคลนั้นสามารถหลีกเลี่ยงจากผลกรรมที่ไม%พึงพอใจได
2. เปลี่ยนแปลงเงื่อนไขสิ่งเราหรือสัญญาณต%างๆ ที่ควบคุมพฤติกรรมที่ตองการ
จะหลีกหนี เช%น การเลือกสถานที่ตากอากาศ เพื่อที่จะหลีกหนีสัญญาณต%างๆ ที่เกี่ยวกับการทํางาน
จดรายการนัดหรือจดวันที่สําคัญ ลงในปฏิทินจะเปHนสิ่งเราใหแสดงพฤติกรรมบางอย%างในเวลาต%อมา
อันเปHนผลทําใหสามารถหลีกหนีจากสภาพการณ4ที่ไม%พึงพอใจอันจะเกิดขึ้นไดจากการลืม ที่จะแสดง
พฤติกรรมบางอย%างในเวลาดังกล%าว ดังนั้นการเปลี่ยนเงื่อนไขสิ่งเราหรือสัญญาณต%าง ๆ จะช%วยให
คนเราแสดงพฤติกรรมที่พึงปรารถนามากยิ่งขึ้น
3. ยุติการกระทําบางอย%าง เช%น การที่คนเรางดการรับประทานอาหารกลางวัน
เพื่อที่จะไดรับประทานอาหารเย็นที่แสนจะอร%อยมากขึ้น หรืองดอาหารก%อนการแข%งขันกีฬาเปHนตน
4. เปลี่ยนแปลงการตอบสนองทางอารมณ4 บางครั้งเราอาจจะพบว%า การแสดง
พฤติกรรมตามอารมณ4ที่เกิดขึ้นกับตนเองนั้นอาจนําไปสู%ผลกรรมที่ไม%พึงพอใจได จึงเปลี่ยนแปลง
การตอบสนองทางอารมณ4เสียใหม% โดยการแสดงพฤติกรรมที่ขัดกับพฤติกรรมที่เคยแสดงออก
เมื่อมีอารมณ4ดังกล%าว เช%น การเห็นหัวหนางานของตนตกบันไดแลวรูสึกขบขันจนถึงขั้นหัวเราะออกมา
แต%ก็รูว%าถาหัวเราะออกมาอาจจะถูกหัวหนางานลงโทษได ดังนั้นจึงตองเปลี่ยนแปลงการสนองตอบ
ใหม% โดยการเอาฟ6นกัดลิ้นของตนเองหรือหยิกขาตนเอง เปHนตน
5. ใชเหตุการณ4ที่ไม%พึงพอใจในสภาพแวดลอม เพื่อควบคุมพฤติกรรมของ
ตนเองเช%น การตั้งนาฬิกาปลุก โดยที่เสียงนาฬิกาปลุกจะเปHนเหตุการณ4ที่ไม%พึงพอใจ ทั้งนี้เพื่อที่
จะทําใหสามารถไปทํางานใหตรงเวลา
6. ใชยาแอลกอฮอล4 หรือสิ่งกระตุนต%างๆ เพื่อควบคุมพฤติกรรมของตนเอง
เช%น การดื่มสุรา เพื่อที่จะใหลืมความทุกข4 หรือดื่มกาแฟเพื่อที่จะไดไม%เกิดอาการง%วงนอนในขณะ
ที่อ%านหนังสือหรือขับรถ เปHนตน
7. การใหการเสริมแรงหรือการลงโทษตนเอง บุคคลอาจจะสัญญากับตนเอง
ว%า ถาอ%านหนังสือจิตวิทยาจบแลวจะไปดูโทรทัศน4 หรือถาทําคะแนนสอบไม%ไดดี ก็อาจจะลงโทษ
ตนเองโดยการไม%ดูภาพยนตร4เปHนเวลา 1 เดือน
8. ทําสิ่งอื่นแทนสิ่งที่กําลังทําอยู% โดยบุคคลจะเปลี่ยนไปแสดงพฤติกรรมอื่น
แทนที่จะแสดงพฤติกรรมที่จะนําตนเองไปสู%การไดรับผลกรรมที่ไม%พึงพอใจ เช%น การเปลี่ยนหัวขอ
สนทนาเพื่อที่ว%าจะไดหลีกเลี่ยงการโตเถียง เปHนตน
กาญจนา พูนสุข (2544 : 54) ใหความหมาย การควบคุมตนเอง (Self - Control)
คือ การที่บุคคลหนึ่งพยายามที่จะทําพฤติกรรมใดพฤติกรรมหนึ่ง พฤติกรรมที่จะถูกควบคุมนี้มักจะ
เกี่ยวของกับผลที่ตามมาทั้งในดานที่พึงปรารถนา และไม%พึงปรารถนา พฤติกรรมที่ไม%ตองการ
ควบคุมนั้นจะเกี่ยวของกับผลลัพธ4ในป6จจุบันที่มีความสุข ความพอใจ แต%ผลในระยะหลังแลวจะเปHน
ผลลัพธ4ที่ไม%พึงปรารถนา รูปแบบของการควบคุมตนเองนั้นเกิดจากกระบวนการในทางสัญลักษณ4
37
และพฤติกรรมในการควบคุมตนเองนี้จะถูกรักษาไวโดยตัวแปรภายนอก มียุทธวิธีในการควบคุม
ตนเองแบบพื้นฐานอยู% 2 ประการดวยกันคือ
1. พฤติกรรมที่เกิดจากการควบคุมจากสิ่งแวดลอมภายนอก (Environmental
Planning) วิธีการนี้ผูที่ตองการควบคุมตนเอง จะจัดเตรียมสิ่งแวดลอมภายนอกที่เกี่ยวของใหมี
อิทธิพลต%อการเกิดพฤติกรรมที่ปรารถนา หรือพฤติกรรมที่ตองการ
2. การตั้งโปรแกรมการควบคุมพฤติกรรมดวยตนเอง (Behavioral
programming) วิธีการนี้จะใชเมื่อผูควบคุมตนเองไดกําหนดสิ่งต%าง ๆ ที่เกิดขึ้น หลังจากที่ประสบ
ความสําเร็จในการกระทําพฤติกรรมเปKาหมาย หรือพฤติกรรมที่ปรารถนาโดยสรุปแลวการควบคุมตนเอง
หมายถึง การกระทําของบุคคลที่จะบังคับตนเองใหละเวนการกระทําบางอย%าง โดยการกําหนดความคิด
อารมณ4 ความรูสึก การเปลี่ยนแปลงการตอบสนองทางอารมณ4 การกระทําพฤติกรรมดวยเหตุผล และ
ความอดทน การจัดสภาพแวดลอมใหหลีกเลี่ยงการกระทําพฤติกรรม สามารถเผชิญสิ่งยั่วยุ ป6ญหา
อุปสรรค และสถานการณ4กดดันแมอยู%ในภาวะที่เกิดป6ญหาความขัดแยงในจิตใจ เพื่อใหเกิดพฤติกรรม
เปKาหมายที่ดีตามที่มุ%งหวังไว
สรุปไดว%า การควบคุมตนเอง หมายถึง คุณลักษณะของบุคคลที่จะบังคับตนเองใหละเวน
การกระทําบางอย%าง โดยการกําหนดความคิด อารมณ4 ความรูสึก การเปลี่ยนแปลง การตอบสนอง
ทางอารมณ4 การกระทําพฤติกรรมดวยเหตุผล และความอดทน การจัดสภาพแวดลอม
ใหหลีกเลี่ยงการกระทําพฤติกรรม สามารถเผชิญสิ่งยั่วยุ ป6ญหาอุปสรรค และสถานการณ4
กดดันแมอยู%ในภาวะที่เกิดป6ญหาความขัดแยงในจิตใจ เพื่อใหเกิดพฤติกรรมเปKาหมายที่ดีตามที่มุ%งหวังไว
3.2 ทฤษฎีเกี่ยวกับการควบคุมตนเอง
ทฤษฎีเชาว4อารมณ4 (Emotional Intelligent Theory) (พรรณทิพย4 ศิริวรรณบุศย4.
2551 : 80-82) ทฤษฎีเชาว4อารมณ4มิใช%ทฤษฎีทางพัฒนาการมนุษย4โดยตรง แต%เปHนการเสนอรูปแบบ
การควบคุมอารมณ4ใหเกิดตามวุฒิภาวะของบุคคล ความฉลาดทางอารมณ4มีความสัมพันธ4ใกลชิดกับ
สติป6ญญา Cooper and Sawaf ไดเสนอ The Four Cornerstone Model ของเชาว4อารมณ4
ไวดังนี้
เสาตนที่หนึ่ง ความสามารถประเมินอารมณ4และการแสดงออกของอารมณ4
(Emotional Literacy) ประกอบดวย
1. ความซื่อสัตย4ต%ออารมณ4 (Emotional Honesty)
2. มีพลังอารมณ4 (Emotional Energy)
3. หยั่งรูอารมณ4 (Practical Intuition)
4. สามารถที่จะปKอนกลับอารมณ4 (Emotional Feedback)
เสาตนที่สอง สามารถควบคุมอารมณ4ไดและแสดงออกอย%างเหมาะสม
(Emotional Fitness) ประกอบดวย
1. เรียนรูอารมณ4ที่เกิดขึ้น (Authentic Presence)
2. ควบคุมอารมณ4ควบคุมการแผ%ขยายของอารมณ4ได (Trust Radius)
3. จัดโครงสรางอารมณ4ที่ไม%ดี (Constructive Discontent)
4. ปรับแกและสรางอารมณ4ใหม%ได (Resilience and Renewal)
38
เสาตนที่สาม รูความลึกของอารมณ4 และใชอารมณ4ใหเกิดประโยชน4 (Emotional
Depth) ประกอบดวย
1. รูศักยภาพและจุดมุ%งหมายเฉพาะของอารมณ4 (Unique Potential and
Purpose)
2. รูอารมณ4ผูกพันและเขาใจลึกซึ้ง (Commitment, Accountability and
Conscience)
3. ประยุกต4รวมอารมณ4 (Applied Integrity)
4. มีอิทธิพลแต%ไม%ใชอํานาจ (Influence without Authority)
เสาตนที่สี่ ความอดกลั้น อดทน รูจักการรออย%างมีความพากเพียร (Emotional
Alchemy) ประกอบดวย
1. หยั่งรูการเกิดอารมณ4 (Intuitive Flow)
2. ปรับตามเวลาที่เปลี่ยนไป (Reflective Time-shifting)
3. รูโอกาสที่เหมาะสม (Opportunity Sensing)
4. กําหนออนาคต (Creating the Future)
ป6จจัยที่มีอิทธิพลต%ออารมณ4
ลักษณะการแสดงออกของอารมณ4ของแต%ละคนนั้นไม%เหมือนกัน และแต%บุคคล
จะมีลักษณะอารมณ4ประจําตัว (Emotional Style) เช%นบางคนโมโหง%าย บางคนใจรอน บางคนใจ
เย็น และบางคนก็ชอบสนุก สิ่งที่ทําใหคนเรามีลักษณะอารมณ4ต%างกันคือ
1. พันธุกรรม (Heredity) Vandenberg และ Gottesman ไดศึกษาเด็กฝาแฝด
เหมือน (Identical twins) พบขอที่น%าสนใจว%า เด็กฝาแฝดเหมือนจะมีลักษณะอารมณ4ประจะตนที่
คลายกันมากกว%าเด็กฝาแฝดคลาย ละนอกจากนี้ไดมีการพิสูจน4คนพบว%า เด็กชายที่ไดรับการกําหนดทาง
พันธุกรรมเปHน xyy จะมีความกาวราวมากกว%าปกติ แต%ยังไม%มีการวิจัยที่ยืนยันแน%ชัดว%า อารมณ4มี
การถ%ายทอดทางพันธุกรรม
2. ประสบการณ4เดิม (Early Experience) ประสบการณ4เดิมที่คนเราไดรับ
จากการเลี้ยงดูอบรมก%อนนั้นเปHนอิทธิพลสําคัญที่ทําใหเราสรางลักษณะอารมณ4ประจําตนขึ้น
นักจิตวิทยาไดศึกษาวิจัยและพบว%า เด็กๆ ที่ไดรับการอุมทะนุถนอม ไกวเปลเห%กล%อมเสมอๆ จะเปHน
เด็กที่อารมณ4สุข รื่นเริง และมีความคงที่ทางอารมณ4มากกว%าเด็กที่ไดรับสิ่งเหล%านี้ตามตารางเวลาที่
มารดากําหนดขึ้น เด็กพวกหลังจะเปHนเด็กที่ชอบรองไห กวนบ%อย มีอารมณ4หงุดหงิด และอารมณ4
ไม%คงที่
3. สังคม (Society) สังคมมีอิทธิพลอย%างยิ่งต%อพัฒนาการทางอารมณ4ของเด็ก
สังคมที่เด็กเจริญเติบโตขึ้นก็มีส%วนสรางแบบอย%างทางอารมณ4 เช%น Margaret Mead ไดศึกษาชนสอง
เผ%าในเกาะนิวกินี คือชนเผ%า Arapesh และเผ%า Mundugumor พบว%า ชาวเผ%าอราเพชเปHนพวกที่มี
อารมณ4สนุกสนาน มีความสุข รื่นเริง รักสงบเชื่อว%าชีวิตเปรียบเสมือนดอกไม ชีวิตในครอบครัวจึงเต็มไป
ดวยความรัก ความอบอุ%น แต%ชาวเผ%ามันดูกูมัวมีอารมณ4แข็งกระดาง กาวราว รุกราน ชอบทําลาย
ชอบการต%อสูผจญภัย เด็กๆ ที่เติบโตมาก็จะถ%ายทอดลักษณะหรือรูปแบบของสังคมนั้นๆ ไว
39
4. ยาหลอนประสาท (Hallucinogenic Drugs) ยาหลอนประสาทและ
ยาเสพติดบางชนิดมีส%วนทําใหคนเกิดอารมณ4บางอย%างได เช%น เฮโลอีนและฝw“น ทําใหผูใชยามีอารมณ4
สงบเงียบ ส%วนคนที่สูบกัญชานี้จะมีอารมณ4หวาดกลัวโดยไม%มีเหตุผล และในขณะเดียวกัน
ก็จะมีอารมณ4รื่นเริง หัวเราะง%าย อารมณ4ของผูกินยาจะแปรปรวนไดง%ายการแสดงออกของอารมณ4
เมื่อเกิดอารมณ4ขึ้นตองมีการแสดงออก การแสดงออกของอารมณ4จะผ%านอินทรีย4ของบุคคล
ฉะนั้น คนเราเมื่อเกิดอารมณ4จะแสดงออกได 2 ทาง คือ
4.1. แสดงดวยวาจา (Verbal Response) เช%นส%งเสียงดัง กล%าวคําสบถ
พูดเสียงดัง หัวเราะ เปHนตน
4.2. แสดงดวยท%าทาง (Bodily Expression) อาจทําไดดังต%อไปนี้
4.2.1 การแสดงออกทางใบหนา (Facial Expression) เช%น เมมปาก
ขมวดคิ้ว ตาเบิ่งกวาง ฯลฯ
4.2.2 การแสดงออกทางกิริยาการเคลื่อนไหวร%างกาย (Bodily Movement)
เช%น ชูมือ กําหมัด ปรบมือ เตะขาไปมา ฯลฯ
4.2.3 การแสดงท%าทางต%างๆ (Posture) เช%น นั่งตัวงอ ไหล%งุม ฯลฯ
ส%วนการแสดงออกจะเปHนเช%นไรนั้นขึ้นอยู%กับกระบวนการสังคมประกิตของบุคคลนั้น อันไดแก%
การอบรมเลี้ยงดู ค%านิยมในสังคม
Albert Bandura (นงนุช โรจนเลิศ. 2533 : 19 ; อางอิงมาจาก Albert Bandura.
1977) กล%าวว%า การที่มนุษย4มีวิถีหรือแนวทางปฏิบัติหรือพฤติกรรมในรูปแบบต%างๆ ไม%ไดติดตัวมาตาม
ธรรมชาติ แต%มนุษย4ตองมีการเรียนรูสิ่งเหล%านี้ดวยตนเอง การเรียนรูของมนุษย4เกิดขึ้น 2 ลักษณะคือ
1. การเรียนรูจากประสบการณ4ตรง หมายถึง การที่มนุษย4นั้นไดมีโอกาสประสบ
เหตุการณ4ที่นําไปสู%การกระทํานั้นในฐานะผูกระทําหรือผูถูกกระทําดวยตนเอง
2. การเรียนรูจากการสังเกต (Observational Learning) หรือการเรียนรูจาก
การเลียนแบบ (Learning by Imitation) หรือการเรียนรูโดยผ%านรูปแบบ (Learning through
Modeling) หมายถึง การที่มนุษย4นั้นไดพบเห็นเหตุการณ4การกระทํานั้น จากบุคคลอื่นซึ่ง Bandura
เรียกว%าตัวแบบ (Model) และมนุษย4จะเลือกหรือไม%เลือกกระทําเพื่อตอบสนองต%อสิ่งหนึ่งสิ่งใดขึ้นอยู%
กับผลทางการกระทําของตัวแบบนั้น โดยไดอธิบายแนวคิดที่สําคัญในการเรียนรูทางสังคมไว ดังนี้
(นิตยา วรรณรัตน4. 2546 : 30 ; อางอิงมาจาก Bandura. 1977 : 16-22)
1) พฤติกรรมทุกอย%างของมนุษย4 (รวมทั้งพฤติกรรมต%อตนเอง)
ที่นอกเหนือจากปฏิกิริยาสะทอน (Elementary Reflexes) ลวนเปHนผลจากการเรียนรู
2) สิ่งที่มนุษย4เรียนรู คือ ความสัมพันธ4ระหว%างสิ่งต%าง ๆ โดยเรียนรูจากผลที่จะเกิด
ตามมา (Response Consequence) คือ เรียนรูเมื่อเหตุการณ4หนึ่งเกิดขึ้นเหตุการณ4ใดจะเกิดตามมา
เปHนความสัมพันธ4ระหว%างเหตุการณ4กับเหตุการณ4 หรือเมื่อกระทําพฤติกรรมใดแลวผลกรรมที่จะตามมา
เปHนเช%นไร เปHนความสัมพันธ4ระหว%างพฤติกรรมและผลที่เกิดจากพฤติกรรมความรูที่มนุษย4เรียนรู
เหล%านั้นจะกลายเปHนความเชื่อที่มีผลในการควบคุมพฤติกรรมมนุษย4
3) การเรียนรูความสัมพันธ4ดังกล%าวเกิดจากการเรียนรูดวยประสบการณ4ตรง
(Direct Experience) และเรียนรูจากการสังเกต (Observational Learning)
40
4) การเรียนรูทางสังคมที่ Bandura เนน คือ การเรียนรูจากแบบอย%าง (Learning
Through Modeling) โดยเฉพาะตัวแบบใกลชิด ไดแก% พ%อแม% และพฤติกรรมของพ%อแม%ในการอบรม
เลี้ยงดูบุตร และการเรียนรูโดยกระบวนการสังเกต (Process of Observational Learning) ไดแก%การ
สังเกตพฤติกรรมและผลรวมที่ตามมาจากการกระทําของผูอื่น การไดอ%านข%าวสาร บันทึกของผูอื่น
ซึ่งเปHนการเรียนรูทางออม และเปHนขอมูลที่บุคคลนํามาพิจารณาสําหรับการกระทําพฤติกรรมในอนาคต
ต%อไป
5) ผลของการเรียนรูของมนุษย4จะพัฒนาเปHนความเชื่อ ความเชื่อมนุษย4
มีบทบาทในการกําหนดพฤติกรรม และควบคุมพฤติกรรมของมนุษย4ใหสอดคลองกับความเชื่อ
6) การควบคุมพฤติกรรมดวยความคิด (Cognitive Control) ไดแก% การคิด
ในเชิงประเมินโดยตั้งอยู%บนสมมติฐานความเชื่อที่เกิดจากการเรียนรูของมนุษย4 การคิดในเชิงประเมิน
เช%นนี้นําไปสู%การตัดสินใจที่จะกระทําหรือไม%กระทําพฤติกรรมหนึ่งพฤติกรรมใด และนําไปสู%
การควบคุมตนเองใหประพฤติปฏิบัติตามที่ตนตั้งใจไว
7) ภายหลังการเรียนรู มนุษย4จะเลือกเลียนแบบเฉพาะพฤติกรรมที่เขาเห็น
คุณค%ามากกว%าพฤติกรรมที่ถูกลงโทษ หรือมีการรับรางวัล การเห็นผลกรรมที่ไดรับย%อมมีผลจูงใจให
มนุษย4กระทําหรือไม%กระทําพฤติกรรม และเกิดความคาดหวังต%อแรงเสริมที่จะไดรับ (Anticipation
of Reinforcement) ความคาดหวังนี้เองทําใหมนุษย4ตัดสินใจทําหรือไม%ทําพฤติกรรม เพื่อใหเกิดผล
ตามที่ตนปรารถนานั่นคือมนุษย4จะตองมีการควบคุมตนเอง และประเมินตนเอง นั่นเอง
8) พฤติกรรมส%วนใหญ%ของบุคคลถูกควบคุมโดยผลที่ตามมาจากการประเมิน
ตนเองซึ่งมีทั้งดีและไม%ดี ทําใหเกิดการรับรูตนเองในแต%ละดานแตกต%างกันออกไป การประเมินตนเอง
จะทําใหบุคคลสามารถควบคุมตนเองใหกระทําพฤติกรรมที่เหมาะสมได
9) พฤติกรรมหรือการกระทําที่บุคคลกระทําต%อตนเองอันเนื่องมาจากการประเมิน
และจากปฏิกิริยาต%อตนเองทั้งทางบวกและลบ ลวนเปHนผลมาจากการเรียนรูประสบการณ4ตรงและมี
ตนแบบหรือแบบอย%าง การใหแรงเสริมต%อตนเองเปHนเรื่องสําคัญเพราะมีผลต%อการพยายามของบุคคลที่
จะกระทํามาตรฐานที่ตนตั้งไว และทําใหสามารถพัฒนาทักษะการควบคุมตนเอง สามารถปรับปรุงและ
คงรักษาพฤติกรรมนั้นต%อไปไวได (จรรจา สุวรรณทัต และคณะ,2533 : 18-22)
โดยสรุปตามความเชื่อของ Bandura พฤติกรรมของบุคคลรวมทั้งพฤติกรรมต%อตนเอง
เปHนผลมาจากการมีปฏิสัมพันธ4ระหว%างความรูความเขาใจ (Cognition) พฤติกรรม (Behavior) และ
สิ่งแวดลอมภายนอก (External Environment) โดยมิใช%เกิดขึ้นจากองค4ประกอบอย%างใดอย%างหนึ่ง
เพียงอย%างเดียว องค4ประกอบทั้ง 3 จะมีผลกระทบซึ่งกันและกัน และสามารถอธิบายไดถึงเหตุและ
ผล พฤติกรรมจะเกิดขึ้นเนื่องจากบุคคลไดรับการตอบสนองต%อสิ่งแวดลอมภายหลังที่ไดประเมินถึงผล
กรรมที่ไดรับจากการตอบสนองนั้นแลว มนุษย4จึงตัดสินใจทําหรือไม%ทําพฤติกรรม เพื่อใหเกิดผลตามที่
ตนปรารถนานั่นคือมนุษย4จะตองมีการควบคุมตนเองและประเมินตนเอง นั่นเอง
ทฤษฎีจิตวิเคราะห4 (Psychoanalytic Theory) ซึ่ง Freud จิตแพทย4
ชาวออสเตรีย (นิตยา วรรณรัตน4. 2546 : 27 ; อางอิงมาจาก Vernon and Calvin. 1974 :
43) เปHนผูสรางขึ้นนั้น มีสาระสําคัญที่เกี่ยวของกับการควบคุมตนเองของบุคคลก็คือ Freud อธิบายว%า
มนุษย4เกิดมาพรอมกับแรงกระตุน หรือแรงขับตามธรรมชาติ ซึ่งสามารถทําลายบุคคล และสังคมได
41
หากไม%มีการควบคุมที่ดี ซึ่งก็จะนําไปสู%พฤติกรรมเบี่ยงเบนออกนอกกรอบของสังคม Freud ไดแบ%ง
บุคลิกภาพของบุคคลออกเปHน 3 ส%วน ไดแก% จิตไรสํานึก (Id หรือ Libido) ตัวเราที่อยู%ในจิตสํานึก
(Ego) หรือ Self และมโนธรรม (Supper Ego)
ในส%วนที่เปHนจิตไรสํานึก Freud อธิบายว%า คนเราเกิดมาพรอมดวยจิตไรสํานึกที่เต็มไปดวย
กิเลสหรือความปรารถนา ซึ่งจัดว%าเปHนแรงผลักดันภายในตัวสําคัญที่ชี้นําใหบุคคลกระทําสิ่งที่ตน
ปรารถนา ซึ่งอาจเปHนอันตรายต%อตนเองและสังคมได ถาสิ่งที่ปรารถนานั้นไม%ไดอยู%ในทํานองคลองธรรม
สําหรับส%วนที่เปHนตัวเราที่ไดรับการขัดเกลา ใหพนจากสภาพที่อยู%ในจิตไรสํานึกนั้น จัดเปHนส%วนที่ไดผ%าน
การอบรมขัดเกลาใหเรียนรูที่จะคิด และประพฤติปฏิบัติอยู%ในกรอบทางสังคม การเรียนรู ศีลธรรม
ค%านิยม ตลอดจนเรียนรูว%าสิ่งใดผิดสิ่งใดถูก อะไรควรทําไม%ควรทํา ผูที่ไดรับการอบรมขัดเกลามาอย%างดี
จนเขาใจเปKาหมายของทางสังคมย%อมจะไม%กระทําผิดหรือออกนอกลู%นอกทาง ทั้งต%อหนาและลับหลัง
สรุปไดว%า ทฤษฎีจิตวิเคราะห4ในส%วนที่เกี่ยวของกับการควบคุมตนเอง ไดใหสาระสําคัญ
ที่ว%าบุคคลทั่วไปจะมีแรงขับที่อยู%ภายในตัวเอง ซึ่งมีลักษณะเปHนจิตไรสํานึก ซึ่งพรอมจะแสดงออกมาตาม
ความตองการเสมอ ถาขาดการควบคุมยับยั้งเมื่อใด มนุษย4จึงจําเปHนตองไดรับการอบรม เพื่อจะทําให
เกิดการควบคุมตนเองไดในระดับทั่วไป และอยู%ในสังคมไดอย%างปกติสุขแต%การพัฒนาตัวเราใหเปHนผูที่ได
ชื่อว%าเปHนผูมีจิตใจสูง สู%ภาวะเปHนมนุษย4อย%างสมบูรณ4นั้น จําเปHนที่จะตองพัฒนามโนธรรมใหเกิดขึ้นใน
จิตใจ เพื่อควบคุมจิตไรสํานึกบุคคลนั้น จึงจะสามารถพัฒนาตัวเองใหเปHนผูมีคุณภาพทางจิตใจสูงได
Reckless (จรรจา สุวรรณทัต และคณะ. 2533 : 16-17 ; อางอิงมาจาก Reckless.
n.d.) เชื่อว%าคนเรามีพลังที่ผลักดันจากภายในใหพฤติกรรมเบี่ยงเบน ซึ่งอาจจะเกิดจากป6จจัยต%าง ๆ
ภายนอก เช%น ความยากจน หรือถูกจํากัดสิทธิ เสรีภาพ ความขัดแยง การเขากันไม%ได การถูก
ควบคุม การอยู%ในสถานภาพของชนกลุ%มนอย การถูกกีดกันจากโอกาสที่ตนพึงมีความกระวน
กระวายใจความผิดหวัง ความรูสึกทาทาย ความรูสึกเปHนปรป6กษ4ต%อกัน และความรูสึกมีปมดวย
เปHนตน
เมื่อคนเราตองเผชิญกับสถานการณ4 และป6ญหาต%าง ๆ อันเปHนป6จจัยผลักดันทั้งภายในและ
ภายนอกดังกล%าว คนเราก็จะมีแนวโนมที่จะมีพฤติกรรมเบี่ยงเบนไปจากของสังคม อย%างไรก็ตามเมื่อ
เผชิญสถานการณ4อย%างเดียวกัน บางคนก็มีพฤติกรรมเบี่ยงเบนไป แต%บางคนสามารถควบคุมตนเองได
อย%างดี และจากการวิจัยเชื่อว%า เด็กดีมีความสามารถในการควบคุมจากภายในตนเองสูง เช%น
ความเคารพตนเอง ความสํานึกในความรับผิดชอบของตน แต%เด็กเกเรส%วนมากจะมีความสามารถใน
การควบคุมจากภายในตนเองต่ํา เช%น ไม%มีความเคารพต%อตนเอง หรือมีนอย และมีความรับผิดชอบใน
ตนเองนอย
สภาพแวดลอมภายนอกก็มีส%วนในการควบคุมพฤติกรรมของเด็ก ไดแก%การแนะนําสั่งสอน
จากพ%อแม% กิจกรรมที่มีประโยชน4และเพื่อนฝูงที่ดี เปHนตน ซึ่งมีส%วนทําใหเด็กดีไม%กระทําพฤติกรรม
เบี่ยงเบนซึ่งตรงกันขามกับเด็กเกเร ผูมักจะขาดสภาพแวดลอมที่ดีดังกล%าว ดังนั้นในการควบคุมตนเอง
Reckless จึงไดวางหลักทฤษฎีดังนี้
1. การควบคุมจากภายใน เปHนพลังภายในจิตใจของแต%ละคน ซึ่งอาจจะมีมาก
นอยต%างกันไดแก%
1.1 การยับยั้งควบคุมตนเองได ความสํานึกที่ดีงาม
1.2 ความเคารพตนเอง
42
1.3 มโนธรรมที่ไดรับการพัฒนาอย%างดี
1.4 ความอดกลั้นต%อความคับของใจ
1.5 ความสามารถในการต%อสูกับอารมณ4ฝ:ายต่ํา
1.6 ความสํานึกรับผิดชอบสูง
1.7 ความมุ%งมั่นต%อเปKาหมาย
1.8 การหาความพึงพอใจอย%างอื่นชดเชย
1.9 การใหเหตุผลในการถ%ายโยงความเครียด เปHนตน
2. การควบคุมจากภายนอก เปHนพลังผลักดันใหเกิดการควบคุมตนเองมาจาก
ภายนอก ซึ่งเปHนป6จจัยทางสังคมที่ควบคุมตัวบุคคลอย%างใกลชิด ไดแก% ความยึดมั่นในจารีตประเพณี
ความคาดหวัง ของสังคม ภาระผูกพันที่จะตองปฏิบัติตามของสถาบันและตามเปKา
หมายความรับผิดชอบที่ไดรับมอบหมาย โอกาสที่จะไดรับการยอมรับ และความสํานึกเปHนส%วนหนึ่ง
ของกลุ%มที่ตนสังกัดอยู%สภาพแวดลอมดังที่กล%าวมา จะเปHนพลังและสรางความผูกพันใหเกิดขึ้นกับ
สมาชิกในสังคม ซึ่งถาพิจารณาใหลึกซึ้งแลวเปHนพลังและภารกิจที่เกิดจากกระบวนการอบรมบ%มนิสัย
ทั้งสิ้น สรุปไดว%าการควบคุมจากภายนอกเกิดขึ้น ในลักษณะที่เกิดจากความยึดมั่นผูกพันที่จะปฏิบัติ
ตามกรอบของสังคมและความคาดหวังของสังคม
Nye (จรรจา สุวรรณทัต และคณะ. 2533 : 18 ; อางอิงมาจาก Nye. n.d.)
เห็นว%าสังคมเปHนองค4กรสําคัญในการควบคุม และสรางความสํานึกความผูกพันใหเกิดแก%สมาชิก
ของสังคม ซึ่งแบ%งออกเปHน 4 อย%างคือ
1. การควบคุมในสังคมโดยผ%านสถาบันต%าง ๆ ไดอบรมบ%มนิสัยสมาชิกของสถาบัน
โดยเฉพาะสถาบันครอบครัว พ%อแม%อบรมบ%มนิสัยลูกใหเกิดความสํานึก ยึดมั่นอยู%ในค%านิยมและของ
สังคม จนทําใหค%านิยมและของสังคมฝ6งลึกเขาไปอยู%ในจิตสํานึกของลูกและจิตสํานึกนี้เองที่เปHนพลัง
ภายในที่ควบคุมไม%ใหมีพฤติกรรมเบี่ยงเบน
2. การควบคุมโดยตรง พ%อแม%เปHนตัวแทนสถาบันครอบครัว ตํารวจเปHนตัวแทน
ของสถาบันการปกครอง เพื่อนเปHนตัวแทนของกลุ%มปฐมภูมิ เปHนผูหามปราม ไม%ใหบุคคลกระทํา
พฤติกรรมเบี่ยงเบน ออกนอกกรอบ ถือว%าเปHนการควบคุมโดยตรงจากบุคคลภายนอก
3. การควบคุมโดยทางออมการที่คนเราอยู%ในสถาบันครอบครัวมานาน ทําใหเกิด
ความผูกพันความรักตอบสนองพ%อแม%ซึ่งเปHนตัวแทนสถาบัน ช%วยใหบุคคลไม%ทําอะไรนอกลู%นอกทางดวย
กลัวพ%อแม%จะเสียใจ นอกจากนั้นก็ยังมีความผูกพันต%อบุคคลภายนอกเปHนพลังยับยั้งพฤติกรรมนอก
รูปแบบของคนเราไดอีกดวย
4. ความตองการที่จะไดรับความพึงพอใจที่ชอบธรรมในสังคม คนเราตองการ
ดําเนินชีวิตที่ชอบธรรมเพื่อจะไดมาซึ่งสิ่งที่ตนเองปรารถนา เช%น ความรัก ความยอมรับนับถือ
ความมั่นคงในชีวิต ความตองการดังกล%าวจะเปHนพลังควบคุมปKองกันไม%ใหคนเรามีพฤติกรรมเบี่ยงเบน
Nye (จรรจา สุวรรณทัต และคณะ. 2533 : 20 ; อางอิงมาจาก Neill. n.d.)
นักการศึกษาชาวอังกฤษ ไดพยายามสรางและอธิบายพฤติกรรมการดูแลตนเองของบุคคล
เขาย้ําว%าการดูแลตนเองนี้ไม%ไดหมายความว%าเด็กไดรับอนุญาตใหทําอะไรก็ไดที่เขาตองการ หากมี
ความแตกต%างระหว%างอิสรภาพ กับใบอนุญาต Nye กล%าวไวว%า “ในบานที่มีระเบียบวินัย เด็กไม%มีสิทธิ์
มีเสียง ในบานที่ตามใจเด็กจนเสียคน เด็กมีสิทธิทุกอย%าง แต%บานที่เหมาะสมคือที่ซึ่งเด็กๆ และผูใหญ%
43
มีสิทธิเท%าเทียมกัน” Nye ไดอธิบายเพิ่มเติมในแนวความคิดเรื่องอิสรภาพว%าไม%ใช%ใบอนุญาตไวว%า
“จะตองมีการเนนกันครั้งแลวครั้งเล%าว%า อิสรภาพไม%ใช%การตามใจเด็ก ถาเด็กเล็กคนหนึ่งในสามคน
ตองการเดินไปบนโต”ะรับประทานอาหาร ก็เพียงแต%บอกเด็กนั้นง%าย ๆ ว%าจะตองไม%ทําเช%นนั้นเด็ก
จะตองเชื่อฟ6ง ตรงขามถาเด็ก ๆ บอกผูใหญ%ใหออกไปจากหองของแก ก็จะตองเชื่อฟ6งและออกไป
จากหองของเด็กแต%โดยดี” ในการปฏิบัติจริงจะมีผูมีอํานาจ การใชอํานาจอาจไดรับการเรียกชื่อต%างๆ
ไดเช%น การคุมครองปKองกัน การดูแล และการรับผิดชอบของผูใหญ% ผูมีอํานาจบางครั้งตองการ
ความเชื่อฟ6ง และบางครั้งก็ตองใหความเชื่อฟ6งดวย
จากแนวคิดของ Nye จะเห็นไดว%า ถาผูปฏิบัติไดนําแนวคิดนี้ไปใชอย%างถูกตอง
ก็จะส%งผลต%อการมีระเบียบวินัย และรูจักการควบคุมตนเองไดดวย
หลักการและแนวคิดการควบคุมตนเองตามหลักพุทธศาสนาธรรมเปHนโลกบาล คือ ธรรม
คุมครองโลก 2 อย%างคือ หิริ โอตัปปะ หิริ คือความละอายแก%ใจ หมายถึงความละอายต%อบาป ทุจริต
ความไม%เหมาะไม%ควรต%าง ๆ ที่ตนจะกระทําลงไป แต%ก็เกิดความละอายไม%กระทําสิ่งเหล%านั้น เช%น
การลักขโมย เปHนเรื่องที่น%าละอายก็ไม%ทําการด%าว%ากันดวยคําหยาบ เปHนเรื่องที่น%าละอายก็ไม%ทํา เรื่อง
ของความละอายเปHนตัวการสําคัญที่แยกคนใหห%างไกลจากสัตว4เดรัจฉาน เพราะสัตว4เดรัจฉานจะทําอะไร
ไม%มีความละอาย แต%คนรูจักว%าอะไรควรทํา อะไรไม%ควรทํา ความละอายนั้น หมายถึง การละอายต%อ
บาป ต%อโทษทุจริตต%าง ๆ ความละอายจะเกิดขึ้นไดโดย หิริ เปHนมโนธรรม คือธรรมะที่เกิดขึ้นภายใน
จิตใจคนค%อย ๆ เติบโตเจริญขึ้นโดยลําดับ โดยอาศัย
1. ชาติสกุล คือ ถาเกิดในชาติตระกูลที่ดี ไดรับการอบรมฝ~กปรือกิริยามารยาทมา
ในทางที่ดีจากพ%อแม%และญาติผูใหญ% ก็จะทําใหจิตใจมีความละเอียดอ%อน รูจักละอาย
สูงขึ้น
2. วัย ไดแก%ความเจริญเติบโตของวัยของชีวิต จะทําใหรูจักคิดมีเหตุมีผลขึ้นบางเรื่องที่
เคยทําสมัยเปHนเด็ก แต%พอโตขึ้นก็ไม%กระทําสิ่งเหล%านั้น เพราะเห็นว%าเปHนเรื่องที่ไม%เหมาะ
ไม%ควร
3. การศึกษาเล%าเรียน ไดเขาใจเหตุผลมากขึ้น ก็จะทําใหละเวนไม%กระทําเรื่องที่เปHน
บาป
4. จิตใจที่มีความเขมแข็ง คือ คนที่ทําทุจริตนั้นเปHนคนอ%อนแอสุดแต%ว%ากิเลสจะ
ผลักดันใหทําอะไรก็ทําไป สํานึกตนว%าเรามีจิตใจเขมแข็งไม%ควรอ%อนแอตามอํานาจของกิเลสจึงงดเวนไม%
กระทําสิ่งเหล%านั้น เหล%านี้เปHน ป6จจัยที่ช%วยทําใหคนเรามีหิริเพิ่มขึ้นตัปปะ ความสะดุงกลัวต%อบาป
ขอนี้ตองแยกใหออกใหไดระหว%างความละอายกับความกลัว ความละอาย เช%น เราเดินหกลมใน
ท%ามกลางสายตาของคนอื่น เรารูสึกละอาย ความกลัว เช%น มีเสือวิ่งมาเรากลัว อย%างนี้เรียกว%าความกลัว
แต%ความละอายและความกลัวในที่นี้ เปHนเรื่องของความกลัวและความละอายต%อบาปซึ่งเกิดขึ้นจาก
ความคิดที่มีเหตุผลของบุคคลสํานึกว%าบางอย%างที่ทําไปแลว
4.1 แมว%าตนเองก็ติเตียนตนเองได พอนึกขึ้นไดก็ไม%ทําสิ่งเหล%านั้น
4.2 การกระทําของเราแลวจะโดนตําหนิ ก็ละเวนไม%ทํา
4.3 กลัวถูกอาชญากรรมของบานเมือง ถูกจับขังไปลงโทษ แลวไม%กระทํา
เปHนตน
4.4 กลัวภัยในนรก คือตองรับผลบาปกรรมที่ตนเองกระทําไวในนรกจึงงดเวน
44
ไม%กระทําบาปเหล%านี้ เปHนเครื่องเสริมส%งใหมีโอตตัปปะขึ้นภายในจิตใจหิริ ความละอายแก%ใจ และ
โอตตัปปะ ความสะดุงกลัวต%อบาปเปHนโลกบาลคือธรรมะที่คุมครองโลก โดยจะเห็นว%าไม%ว%าในสมัยก%อน
หรือสมัยป6จจุบันก็ตาม คนเราจะพยายามควบคุมไม%ใหคนเบียดเบียนข%มแหง ประทุษราย ลางผลาญ
ฆ%าฟ6นกัน แต%ก็ควบคุมไม%ได ในทํานองตรงกันขาม ถาหากว%าคนแต%ละคนมีความละอายต%อการกระทํา
บาป มีความสะดุงกลัวต%อบาปและผลแห%งบาป การเบียดเบียน การประทุษรายกันก็ไม%เกิดขึ้น และ
การประพฤติที่ไม%เหมาะไม%ควรต%างๆ ซึ่งมีใหเห็นกันอยู%นั้นก็จะไม%มี เพราะคนแต%ละคนในสังคมจะสํานึก
ถึงสิ่งที่เปHนบาป และงดเวนไม%กระทําเพราะว%าความเดือดรอนต%างๆ ที่เกิดขึ้นในโลกสังคมนั้นคือสิ่งที่เปHน
บาปนั่นเอง เมื่อคนกลัวบาปกันแลวก็ไม%กระทํา การอยู%ร%วมกันในโลกจะเต็มไปดวยความสุข
(นิตยา วรรณรัตน4. 2546 : 33 ; อางอิงมาจาก พระราชธรรมนิเทศ. 2538)
หิริ โอตตัปปะ เปHนธรรมะที่พุทธศาสนิกชน มีไวปฏิบัติ เพื่อใชในการควบคุมตนเอง
เพื่อที่จะสามารถดํารงตนใหอยู%ในสังคมไดอย%างมีความสุขโดยสรุปตามแนวคิดหรือทฤษฎีการควบคุม
ตนเองที่ไดกล%าวมาขางตนพอที่จะกล%าวไดว%าการควบคุมตนเองนั้นเปHนสิ่งที่มีอยู%ในตัวของมนุษย4 และ
สามารถที่จะสรางหรือพัฒนาใหมีมากยิ่งขึ้นไดถาหากรูวิธีและมีการฝ~กปฏิบัติ การควบคุมตนเอง
เกิดขึ้นและเปลี่ยนแปลงไปเช%นเดียวกับพฤติกรรมอื่น ๆ ของมนุษย4 คือเกิดจากการเรียนรูตาม
กระบวนการถ%ายทอดทางสังคม เกิดการเรียนรูเงื่อนไขต%าง ๆ ของสังคมโดยเรียนรูจากประสบการณ4การ
ทํางานของตน การเรียนจากตัวอย%างที่พบเห็น เรียนจากคําบอกเล%า และอื่น ๆ ในชีวิตประจําวัน ซึ่ง
แตกต%างกันไปตามความเชื่อของแต%ละทฤษฎี
Thoresen และ Mahoney (อรพลอย เกษมสันต4 ณ อยุธยา. 2546 : 21-22 ;
อางอิงมาจาก Thoresen and Mahoney. 1974 : 45) ไดสรุปวิธีการเพื่อพัฒนาการควบคุมตนเอง
ไวดังนี้
1. การตั้งเปKาหมาย (Goal Setting) คือ การกําหนดเกณฑ4ในการควบคุม
พฤติกรรมหนึ่งดวยตนเอง ซึ่งการตั้งเปKาหมายนี้จะช%วยใหผูแสดงพฤติกรรมรูถึงพฤติกรรมที่ตองการ
กระทําอย%างชัดเจน ตัวอย%างของการตั้งเปKาหมายของพฤติกรรม เช%น “ฉันจะทําการบานใหเสร็จ
คืนนี้” ในกรณีที่บุคคลยังไม%สามารถตั้งเปKาหมายไดอย%างชัดเจน ก็ใหคนอื่นช%วยจนกว%าเขาจะสามารถ
ตั้งเปKาหมายไดดวยตนเอง อย%างไรก็ตามเปKาหมายที่ตั้งควรเปHนเปKาหมายที่แทจริงและสามารถทําได
เพราะถาเปHนเปKาหมายที่บุคคลไม%สามารถทําไดจะทําใหเกิดความผิดหวังก%อใหเกิดพฤติกรรมที่
เบี่ยงเบนได
2. การสังเกตตนเอง (Self - Monitoring) เปHนกระบวนการที่บุคคลสังเกตตนเอง
หรือจําแนกลักษณะพฤติกรรมของตนเอง พิจารณาว%าตนเองไดทําพฤติกรรมตามเปKาหมายแลวหรือยัง
การสังเกตตนเองมักทําควบคู%ไปกับการบันทึกพฤติกรรม
ขั้นตอนในการสังเกตตนเอง
2.1 จําแนกพฤติกรรมเปKาหมายว%า พฤติกรรมที่ตองการใดตองการสังเกต
2.2 กําหนดเวลาที่จะสังเกตและบันทึกพฤติกรรม
2.3 กําหนดวิธีการบันทึกและเครื่องมือที่ใชในการบันทึก
2.4 ทําการสังเกตและบันทึกพฤติกรรม
2.5 ทําแผนภาพหรือกราฟแสดงการบันทึก
45
2.6 วิเคราะห4ขอมูลที่บันทึก เพื่อที่จะไดขอมูลยอนกลับ ซึ่งจะมีผลต%อ
การเปลี่ยนแปลงพฤติกรรม
3. การประเมินผล (Self - Evaluation) คือ การที่บุคคลตองตัดสินพฤติกรรม
ของตน โดยการประเมินคุณค%าของพฤติกรรมจากขอมูลที่ไดจากการบันทึกดวยตนเอง ซึ่งทําใหได
พิจารณาพฤติกรรมที่ทําอยู%อย%างถี่ถวน
4. การเสริมแรงตนเอง (Self - Reinforcement) คือ การจัดผลกรรมที่เปHนแรง
เสริมใหแก%พฤติกรรมที่พึงประสงค4ดวยตนเองเพื่อทําใหพฤติกรรมนั้นเพิ่มขึ้น โดยที่เจาของ
พฤติกรรมเปHนผูดําเนินการเพื่อใหไดแรงเสริมนั้นดวยตนเองจะเห็นไดว%า การพัฒนาการควบคุม
ตนเอง เปHนผลจากการเรียนรูทางสังคม ซึ่งสามารถปลูกฝ6งไดตั้งแต%วัยเด็ก สําหรับวิธีการฝ~กควบคุม
ตนเองนั้นเปHนสิ่งที่ตองใชความพยายามและใชเวลา แต%เปHนสิ่งที่บุคคลสามารถพัฒนาได
ทองทิพภา วิริยะพันธุ4 (2546 : 105-106) สรุปลักษณะของบุคคลที่ควบคุมตนเอง
ไดจะมีลักษณะดังนี้
1. ไม%หวั่นไหวต%อคําวิจารณ4 เยาะเยยถากถางของผูอื่น สรางจินตนาการใกลเคียง
ความเปHนจริง และมีความกระตือรือรนที่จะนําจินตนาการไปสู%การปฏิบัติในขอบเขตที่
สามารถควบคุมตนเองได
2. ไม%พยายามสบประมาทหรือดูถูกเหยียดหยามบุคคลอื่น ไม%ว%ากรณีใดๆ
3. ไม%เกลียดชัง ไม%โกรธผูที่ไม%เห็นดวยกับตน แต%พยายามทําความเขาใจเหตุผล
ที่เขาไม%เห็นดวย
4. แสดงความคิดเห็นบนพื้นฐานของ “ขอเท็จจริง” มากกว%าความปรารถนาที่
“อยากใหมันเปHนเช%นนั้น”
5. ไม%เปHนทาสของค%านิยม หรือแฟชั่นของสังคม ไม%เปHนคนสุรุ%ยสุร%ายฟุ:มเฟ–อย
6. ไม%ขัดแยงหรือโตเถียงผูอื่น ระมัดระวังคําพูด ยับยั้งชั่งใจในการพูดซึ่งตรงกับ
คําสอนในเรื่อง “วาจาสุภาษิต” ของพระพุทธเจาที่ว%า “กล%าวถูกตองตามกาล กล%าวตามจริง” ใชวาจา
อ%อนหวาน ใชวาจาที่เต็มไปดวยประโยชน4และกล%าววาจาออกจากจิตที่มีเมตตา
7. เปHนผูฟ6งมากกว%าผูพูด ไม%แย%งพูดเสียคนเดียว รูจักประหยัดคําพูด มีสติใน
การพูดและการกระทํา ซึ่งวิธีการที่จะควบคุมตนเองใหมีลักษณะดังกล%าวนั้น จะตองปฏิบัติดังนี้
7.1 พอใจในสิ่งที่มีอยู% จะทําใหควบคุมความอยากได
7.2 มีเมตตา คือ รูจักรักผูอื่น มีใจเอื้อเฟ–—อเผื่อแผ%ต%อผูอื่น คนที่มีเมตตา
เอื้อเฟ–—อจะไม%ทําการใด ๆ เพื่อสนองความตองการของตนแต%ฝ:ายเดียว
7.3 ตองยอมรับว%า คนอื่นแตกต%างจากเรา การตระหนักในขอนี้จะทําใหลด
ความโกรธลงไดเมื่อผูอื่นทําอะไรไม%ไดดังใจสําหรับความสามารถควบคุมตนเองไดนั้น
Zolie, Stone และ Lehr (นิตยา วรรณรัตน4. 2546 : 15 ; อางอิงจาก Zolie,
Stone and Lehr. n.d.) ไดอธิบายว%าควรเปHนผูที่มีลักษณะดังนี้
1. มองหรือรับรูตนเอง และสิ่งแวดลอมอย%างเปHนจริง
2. คิดถึงความคิดที่อาจจะนําตนเองไปในทิศทางที่ตนเลือกและกระทําในทิศทางที่เขา
เลือกที่จะกระทํา
46
3. กระทําเพื่อใหไดมาซึ่งสิ่งที่ตนตองการดวยวิธีการที่มีประสิทธิภาพ
และปราศจากความขัดแยงต%อบุคคลหรือสภาพแวดลอมที่มีอิทธิพลต%อตนเอง
สรุปไดว%า การควบคุมตนเอง คือ คุณลักษณะของบุคคลที่จะบังคับตนเองใหละเวน
การกระทําบางอย%างโดยการกําหนดความคิด อารมณ4 ความรูสึก การเปลี่ยนแปลงการตอบสนองทาง
อารมณ4 การกระทําพฤติกรรมดวยเหตุผล และความอดทน การจัดสภาพแวดลอมใหหลีกเลี่ยงการ
กระทําพฤติกรรมสามารถเผชิญสิ่งยั่วยุ ป6ญหาอุปสรรค และสถานการณ4กดดัน แมอยู%ในภาวะที่เกิด
ป6ญหาความขัดแยงในจิตใจ เพื่อใหเกิดพฤติกรรมเปKาหมายที่ดีตามที่มุ%งหวังไว การควบคุมตนเองเปHน
สิ่งที่มีอยู%ในตัวของมนุษย4 และสามารถที่จะสรางหรือพัฒนาใหมีมากยิ่งขึ้นไดโดยอาจใชกลวิธีและ
เทคนิคต%าง ๆ ในการควบคุมตนเอง
สําหรับงานวิจัยนี้ผูวิจัยสนใจที่จะศึกษาการควบคุมตนเอง โดยใชกรอบแนวคิดของ
Thoresen และ Mahoney (อรพลอย เกษมสันต4 ณ อยุธยา. 2546 : 21-22 ; อางอิงมาจาก
Thoresen and Mahoney. 1974 : 45), Skinner (สมโภชน4 เอี่ยมสุภาษิต. 2541 : 328 –
32 9 ; อางอิงมาจาก Skinner. 1953), ทฤษฎีเชาว4อารมณ4 (พรรณทิพย4 ศิริวรรณบุศย4. 2551 :
80-82), Reckless (จรรจา สุวรรณทัต และคณะ. 2533 : 16-17 ; อางอิงมาจาก Reckless.
n.d.) คือแยกเปHน ตัวแปรสังเกตได 4 ตัว ประกอบดวย การตั้งเปKาหมาย การยับยั้งตนเอง
การควบคุมอารมณ4 ความอดทน
4. ความเชื่อมั่นในตนเอง
4.1 ความหมายของความเชื่อมั่นในตนเอง
Smith (ขัตติยา น้ํายาทอง. 2551 : 47 ; อางอิงมาจาก Smith. 1961)
ใหความหมาย ความเชื่อมั่นในตนเอง หมายถึง การพึงพอใจในตนเอง ความภาคภูมิใจในตนเอง หรือ
การยอมรับตนเอง บุคคลใดมีความเชื่อมั่นในตนเองมากนอยเพียงใดนั้น สามารถพิจารณาไดจากความ
ขัดแยงระหว%างตนตามความเปHนจริง (Real Self) กับตนตามอุดมคติ (Ideal Self) ถาความขัดแยง
เกิดขึ้นมากจะเปHนเหตุทําใหตนมีความรูสึกไม%มีคุณค%า ไม%พึงพอใจ ซึ่งหมายถึงขาดความเชื่อมั่นในตนเอง
Blair (ขัตติยา น้ํายาทอง. 2551 : 47 ; อางอิงมาจาก Blair. 1968) ให
ความหมาย ความเชื่อมั่นในตนเอง หมายถึง การที่บุคคลมีความมั่นใจ มีความเพียรพยายาม และกลา
หาญ ในการที่จะกระทําสิ่งใดใหประสบความสําเร็จตามจุดมุ%งหมายที่ตั้งไว โดยไม%หวาดหวั่นต%ออุปสรรค
กลาที่จะเผชิญสถานการณ4ใด ๆ โดยไม%กลัว
สมิต อาชวนิจกุล (2543 : 94) ใหความหมาย ความเชื่อมั่นในตนเองเปHน
ความสามารถของบุคคลในการที่จะทําสิ่งต%างๆ ใหสําเร็จในดานการกลาแสดงออก การพึ่งตนเองการ
รูจักนับถือตนเอง มีความคิดอ%านเปHนของตน ไม%ตกเปHนทาสความคิดผูอื่น มีความกลาหาญ ไม%ทอถอย
เมื่อทําอะไรไม%สําเร็จ
ธีรภาพ วัฒนวิจารณ4 (2545 : 127) ใหความหมาย ความเชื่อมั่นในตนเอง ว%าเปHน
สิ่งที่อยู%ภายในตัวเรา โดยจะทําหนาที่กํากับความคิดและความรูสึกของเราในป6ญหาต%าง ๆ และจะแสดง
ออกมาในลักษณะของพฤติกรรมที่ปรากฏต%อบุคคลภายนอก ซึ่งก็คือสิ่งที่เรียกกันว%าบุคลิกภาพสรุปไดว%า
ความเชื่อมั่นในตนเอง หมายถึง ความสามารถของบุคคลในการที่จะทําสิ่งต%างๆ ใหสําเร็จ มีความมั่นใจ
เพียรพยายาม กลาหาญ มีความเปHนตัวของตัวเอง มีความคิดริเริ่มสรางสรรค4 กลาแสดงออก และ
ยอมรับในความสามารถของตน ไม%ทอถอยเมื่อทําอะไรไม%สําเร็จ
47
สรุปไดว%า ความเชื่อมั่นในตนเอง หมายถึง ลักษณะของบุคคลในการที่จะทําสิ่งต%างๆ
ใหสําเร็จ มีความมั่นใจ เพียรพยายาม กลาหาญ มีความเปHนตัวของตัวเองมีความคิดริเริ่มสรางสรรค4
กลาแสดงออกและยอมรับในความสามารถของตน ไม%ทอถอยเมื่อทําอะไรไม%สําเร็จ
4.2 ทฤษฎีที่เกี่ยวของกับความเชื่อมั่นในตนเอง
ทฤษฎีพัฒนาการของ Erikson (Erik H. Erikson’s Neo-Freudian Analysis)
ทฤษฎีพัฒนาการทางบุคลิกภาพของ Erikson เปHนทฤษฎีที่เกี่ยวของกับความเชื่อมั่นในตนเอง Eriksonมี
ความเห็นว%า พัฒนาการทางบุคลิกภาพเกิดขึ้นได เนื่องจากการที่คนมีการติดต%อสัมพันธ4กับสังคม และ
ในแต%ละขั้นจะมีช%วงวิกฤติสําหรับที่จะพัฒนาการเรื่องนั้น ๆ โดยเฉพาะในชีวิตถาช%วงชีวิตใดพัฒนาการ
เปHนไปไดดวยดี มีลักษณะทางบวกมากกว%าทางลบพัฒนาการทางบุคลิกภาพก็จะเปHนไปในทางที่ดีผูที่มี
สุขภาพจิตดีย%อมสามารถเผชิญป6ญหาหรือแกป6ญหาและสามารถตัดสินใจได ในทางตรงกันขามถาช%วง
ชีวิตใดพัฒนาการเปHนไปในทางลบมากกว%าทางบวก ผูนั้นจะมีพัฒนาการทางบุคลิกภาพไม%สมบูรณ4
ซึ่งจะนําไปสู%การเปHนผูที่มีป6ญหาในการปรับตัวและ Erikson ชี้ใหเห็นถึงอิทธิพลที่แต%ละขั้นตอนมีต%อกัน
โดยที่พัฒนาการในขั้นหลังจะไดรับอิทธิพลจากขั้นก%อนหนานั้น และพัฒนาการของบุคคลมี 8 ขั้นตอน
ดังนี้ (ขัตติยา น้ํายาทอง. 2551 : 49 ; อางอิงมาจาก Erikson. n.d.)
ขั้นที่ 1 วัยแห%งความไววางใจ และความไม%ไววางใจผูอื่น (Trust Versus
Mistrust) อยู%ในระหว%างป…แรกของชีวิต หรือ อายุ 0 - 2 ป… ทารกขึ้นอยู%กับการดูแลของผูอื่น แม%ของ
เด็กจะเลี้ยงดู อุมชูแต%งตัว และแสดงการกระตุนใหม% ๆ ใหแก%ทารกอยู%เสมอ ทั้งพ%อและแม%จะกอด
ทารกไว พูดและเล%นกับลูก การปฏิสัมพันธ4 (Interactive) ทางสังคมนี้เปHนเครื่องกําหนดทัศนคติของ
เขาในเวลาต%อมาถาเด็กทารกไดรับการอบรมเลี้ยงดูดวยความรัก จะไดรับการตอบสนองความตองการ
ทางร%างกายอย%างเพียงพอ เด็กก็จะเรียนรูถึงความไววางใจในสิ่งแวดลอมของเขา ถาเขาไม%ไดรับ
การเลี้ยงดูอย%างเหมาะสม หรือถาพ%อแม%ไม%มีความคงเสนคงวาหรือไม%มีความมั่นคงในการเลี้ยงดูลูก
ทารกก็จะกลายเปHนคนขลาดกลัว ขี้ตกใจและขาดความเชื่อมั่นและไม%ไววางใจตนเอง เช%นเดียวกับที่ไม%
ไววางใจในตัวผูอื่น
ขั้นที่ 2 วัยแห%งความเปHนอิสระ และความสงสัยไม%แน%ใจ (Autonomy Versus
Doubt) อยู%ในระหว%างอายุ 2 - 3 ป… เด็กจะเรียนรูเพื่อที่จะเดิน พูดและแสดงออกอย%างอิสระ
เขาสามารถจะเรียนรูไดในอัตราที่รวดเร็ว และทําการสํารวจโลกดวยตนเอง ถาพ%อแม%ของเด็กไม%คงเสน
คงวาในวิธีการส%งเสริมระเบียบวินัย มีแนวโนมในการปกปKองเด็กมากเกินไป (Over Protection) หรือ
แสดงความไม%เห็นดวยเมื่อเด็กแสดงออกถึงความคิดริเริ่มของเขา เด็กจะมีพฤติกรรมที่ไม%มั่นคง
เกิดความสงสัยไม%แน%ใจ ขาดความเชื่อมั่น มีความละอายแก%ใจตนเอง ในทางตรงกันขามถาพ%อแม%
สนับสนุนความคิดริเริ่ม มีการแสดงออกที่คงเสนคงวา มีความมั่นคง และปล%อยใหเด็กมีอิสระอย%าง
เพียงพอ เด็กจะมีความสามารถดีขึ้น ในการที่จะเลือกเขาไปมีบทบาทในสถานการณ4ต%าง ๆ ที่ตองการ
รูจักควบคุมและปกครองตนเองได
ขั้นที่ 3 วัยแห%งความริเริ่ม และความรูสึกผิด (Initiative Versus Guilt)
อยู%ในระหว%างอายุ 4–5 ป… เริ่มพัฒนาทักษะในการเคลื่อนไหว เด็กจะเขาสู%ความเจริญงอกงามเพิ่มพูน
ประสบการณ4ต%าง ๆ รวมทั้งความสัมพันธ4กับเพื่อน ๆ ที่โรงเรียน เพื่อนบาน และญาติพี่นอง ถาบิดา
48
มารดาใหการส%งเสริมในกิจกรรมต%าง ๆ คําถามต%าง ๆ และการเล%นในการสรางสรรค4ทั่วไป เด็กก็จะพบ
ทางออกดวยตัวเขาเองไดง%ายขึ้น ประสบการณ4ต%าง ๆ ที่เพิ่มพูนขึ้นนั้นเปHนสิ่งที่เด็กยอมรับ และ
ยิ่งพยายามเพิ่มพูนประสบการณ4ดวยตนเอง แต%ถากิจกรรมของเด็กและความอยากเห็นถูกพ%อแม%จํากัด
หวงหามอยู%เสมอแลว เมื่อไหร%ก็ตามที่เด็กพยายามเปลี่ยนแปลงไปดวยตัวเขาเอง เขาก็จะเกิดความรูสึก
ผิด และเปHนการพัฒนาความรูสึกผิดที่เกิดขึ้นในตัวเขา
ขั้นที่ 4 วัยแห%งความขยันหมั่นเพียร และความรูสึกมีปมดอย (Industry
Versus Inferiority) อยู%ในระหว%างอายุ 6–11 ป… เด็กมีคุณสมบัติเพียงพอที่จะทํางานเกี่ยวกับที่เปHน
การสรางสรรค4กิจกรรมต%างๆดวยตนเอง บทบาทของเด็กชายจะสอนใหใชความสามารถที่พบใหม%ใน
การทํางาน หรือการสรางสิ่งต%าง ๆ และบทบาทของเด็กหญิงก็คือการทําอาหารและเย็บผา เด็กในวัยนี้
ทั้งสองเพศ มีอิสรเสรีในการศึกษาเท%า ๆ กันโดยการอ%าน และการเรียนรูสิ่งอื่น ๆ ที่เขาสนใจ ถาเขา
ไดรับการสนับสนุนจากพ%อแม%และครู เด็กจะพัฒนาความรูสึกขยันหมั่นเพียร มีความอยากรูอยากเห็น
และพยายามเสาะแสวงหาการกระตุนทางสติป6ญญา ถาพ%อแม%รบกวนหรือขัดขวางความขยันหมั่นเพียร
ในความพยายามคนควาหาในครั้งแรกของเด็กแลว เด็กจะพัฒนาความรูสึกมีปมดอย และจะไม%เต็มใจ
ขั้นที่ 5 วัยแห%งการรูจักตนเองและความสับสนไม%เขาใจตนเอง (Identity
Versus Role Confusion) อยู%ในวัยรุ%นอายุระหว%าง 12 - 13 ป… ในระยะนี้มีลักษณะทางเพศปรากฏชัด
พวกเขาจะใหความสนใจและเกี่ยวของกับเพื่อนต%างเพศมากขึ้น เด็กจะตองทําการรวบรวมประสบการณ4
ที่เคยไดรับมาก%อนทั้งหมดนั้น มารวมกันเพื่อพัฒนาความรูสึกเขาใจสภาพความเปHนจริง
ของตนเอง ซึ่งจะทําใหเขามีพฤติกรรมที่สอดคลองกับความเปHนจริง และพฤติกรรมที่สังคมยอมรับ
นอกจากนี้เขายังมีการกําหนดสิ่งที่ชีวิตเขาตองการ เขาว%าเขาเชื่ออะไรและใครที่เชื่อเขา ถาเขาไม%
สามารถทําการรวบรวมประสบการณ4ต%างๆ ที่เคยไดรับมาในตอนตนเขาก็จะไม%สามารถพัฒนาการรูจัก
ตนเอง และเกิดความสับสนในบทบาท ที่เขาควรจะเปHนมากขึ้น
ขั้นที่ 6 วัยแห%งความใกลชิดสนิทสนม และความรูสึกอางวางเปล%าเปลี่ยว
(Intimacy Versus Isolation) เปHนวัยที่มี่การนัดพบ การแต%งงาน และการเริ่มมีครอบครัว มีบุตรและ
เลี้ยงบุตรดวยความรักเอาใจใส%เรื่องต%าง ๆ ทั้งหมดนี้รวมอยู%ในวัยฉกรรจ4หรือวัยผูใหญ%ตอนตน
ถาบุคคลมีความสําเร็จในความใกลชิดสนิทเสน%หาแลวเขาก็สามารถสรางความสัมพันธ4อันใกลชิดได
เขาจึงมีส%วนที่จะเปHนเจาของตัวเองและมีส%วนที่จะเปHนเจาของคนอื่นดวย ถาบุคคลไม%สามารถที่จะให
ความสัมพันธ4อันคุนเคยใกลชิดแกผูอื่น หรือไม%ไดรับความสําเร็จอย%างสมบูรณ4ในการรูจักตนเอง
เขาก็จะพัฒนาความรูสึกแยกตนเองออกจากผูอื่น และรูสึกโดดเดี่ยวเดียวดายในโลก
ขั้นที่ 7 วัยแห%งความสนใจบํารุงคนอื่นและการใฝ:ใจหมกมุ%นแต%เรื่องของตนเอง
(Generativity Versus Self - absorption) อยู%ในวัยกลางคนเปHนเวลาที่แต%ละคนจะทําใหความ
ขัดแยง ระหว%างตนเองกับโลกภายนอกหมดสิ้นไป ความตั้งใจที่จะสนับสนุนผูอื่นใหเลื่อนฐานะดีขึ้น
Eriksonใหความหมายของความสนใจบํารุงคนอื่นว%าคือ ความสามารถของแต%ละบุคคลที่มองสิ่ง
ภายนอกตัว และสามารถเกี่ยวของสัมพันธ4กับบุคคลอื่น ถาบุคคลอื่นไม%สามารถมีความสัมพันธ4กับ
ผูอื่น อาจเพราะเขาไม%สามารถตัดสินใจในความขัดแยงต%าง ๆ ที่เกิดขึ้นกับตัวเขามาก%อนได เขาก็มี
แนวโนมที่จะทําตนเปHนศูนย4กลาง คือสนใจแต%เรื่องตนเองและใฝ:หาความสุขเฉพาะตนมากกว%าที่จะทํา
ประโยชน4ต%อผูอื่น
49
ขั้นที่ 8 วัยแห%งความมั่นคงสมบูรณ4และความสิ้นหวังทอดอาลัย (Integrity
Versus Despair) อยู%ในระยะของบุคคลที่เขาสู%วัยชราเปHนระยะที่สะทอนใหเห็นความเปHนมาในอดีตถา
เขาประสบความสําเร็จในการงานที่ผ%านมา และคิดถึงชีวิตของตนดวยความชื่นชมยินดี เขาก็จะมีชีวิต
บั้นปลายที่เปHนสุขสามารถอยู%ร%วมกับผูอื่นไดอย%างราบรื่น แต%ถาบุคคลรูสึกว%าชีวิตของเขามีแต%
ความผิดหวัง และความลมเหลวเขาก็จะเขาสู%วัยชราดวยความไม%มั่นใจ และพัฒนาความรูสึกสิ้นหวัง
ทอดอาลัยในชีวิตตน
จากทฤษฎีพัฒนาการทางบุคลิกภาพของอีริคสันที่กล%าวมาขางตนนี้ จะเห็นว%า
พัฒนาการในขั้นที่ 2 วัยแห%งความเปHนอิสระ และความสงสัยไม%แน%ใจ เปHนขั้นที่ส%งผลต%อพัฒนาการใน
เรื่องการพึ่งตนเองของเด็ก ในวัยนี้เด็กจะคนพบว%าเขาสามารถทําสิ่งต%างๆ ไดดวยตนเอง ซึ่งถือว%าเปHน
การคนพบความรูสึกเปHนตัวของตัวเอง ในขณะเดียวกันก็ยังมีความรูสึกลังเล ไม%แน%ใจในความเปHน
อิสระของเขา ความไม%แน%ใจนี้จะมีผลต%อการจะเปHนตัวของตัวเอง และทําใหตองคอยพึ่งพาผูอื่นเสมอ
ทําใหเกิดความขัดแยงขึ้นในตัวเด็ก ในการคนหาถึงสิทธิและความสามารถของตนเอง ซึ่งเด็กตองการ
คําแนะนํา และความเขาใจจากผูใหญ%เพื่อการคนหาตัวเองต%อไป
ทฤษฎีความตองการของ Maslaw (Maslaw’s Theory of Need Hierarchy)
อับราฮัม Maslow นักจิตวิทยาคนหนึ่งในกลุ%มทฤษฎีที่เนนการมองความเปHนมนุษย4 หรือมนุษย4มี
ศักยภาพ (Human Potential Theory) เขาเชื่อว%ามนุษย4มีคุณภาพนั้นเนื่องมาจากมีความคิด ความรูสึก
ความรูตระหนักและการแสวงหาสิ่งที่ดีงาม คนหาเปKาหมายของชีวิตใหไดรับสิ่งที่มีความหมายต%อตน
ซึ่งสิ่งเหล%านี้เปHนความสามารถในการเรียนรูที่มีอยู%ในตัวของมนุษย4ทําใหสามารถดํารงชีวิตอยู%รอดได
(Existence) และมนุษย4ทุกคนมีความตองการแสวงหาสิ่งแปลกใหม%ที่จะสนองความตองการใหแก%ตนเอง
ทั้งสิ้น ลักษณะที่มีคุณภาพของมนุษย4ลักษณะนี้จัดเปHนความตองการของมนุษย4เรียงเปHนลําดับขั้นจาก
ขั้นต่ําสุดไปขั้นสูงสุด แบ%งเปHน 5 ขั้น ดังนี้ (สมจินตนา คุปตสุนทร. 2547 : 13-14 ; อางอิงมาจาก
Maslaw. 1987)
ขั้นที่ 1 ความตองการตอบสนองร%างกาย (Physiological Needs) ไดแก%
อาหาร น้ํา อากาศอุณหภูมิ การนอนหลับ การขับถ%าย เปHนตน
ขั้นที่ 2 ความตองการความปลอดภัย (Safety Needs) ไดแก% ความรูสึกมั่นคง
การไดรับการปกปKอง ความมั่นคงจากครอบครัว ปลอดภัยจากความวิตกกังวล การหลีกเลี่ยง อันตราย
ความเจ็บป:วยต%าง ๆ ความตองการกฎหมายคุมครอง
ขั้นที่ 3 ความตองการความรัก (Love Needs) ไดแก% ความตองการความรัก
อยากใหตนเปHนที่รัก มีการยอมรับตนเอง ตั้งแต%กลุ%มครอบครัว กลุ%มเพื่อน กลุ%มสังคม กลุ%มทํางาน
เปHนตน
ขั้นที่ 4 ความตองการไดรับการยอมรับจากผูอื่น (Esteem Needs) ไดแก%
ความตองการใหผูอื่นมายกย%อง การไดรับการยอมรับจากเพื่อน กลุ%มคน และความภาคภูมิใจ
ขั้นที่ 5 ความเขาใจตนเองอย%างแทจริง (Self-Actualization Needs) ไดแก%
ความตองการสูงสุดของบุคคล กระทําสิ่งต%าง ๆ ไดตามจุดมุ%งหมายที่ตั้งไว และตามความสามารถ
พิเศษของตน
50
Maslaw แบ%งความตองการของมนุษย4ออกเปHน 2 อย%าง คือ
1. ความตองการขั้นต่ําที่ตองไดรับการตอบสนอง ขาดไม%ได ตองการ
ตอบสนองจากป6จจัยภายนอก ประกอบดวย ความตองการดานร%างกาย ความตองการความปลอดภัย
และมั่นคง ความตองการความรักและเปHนเจาของ และความตองการไดรับการยอมรับจากผูอื่น
สําหรับเด็กปฐมวัยเปHนวัยตองไดรับการดูแล เอาใจใส% ตองการใหพ%อแม% ดูแลทั้งทางดานร%างกาย
จิตใจ อารมณ4 สังคม และสติป6ญญา ซึ่งเด็กช%วงนี้ตองการขั้นนี้มาก
2. ความตองการขั้นสูงเพื่อพัฒนาตน คือ ความตองการที่จะเจริญเติบโตหรือพัฒนา
เต็มที่ตามศักยภาพของตน เปHนคนที่สมบูรณ4ทั้งดานร%างกาย อารมณ4-จิตใจ สังคม และสติป6ญญา ดังนั้น
มนุษย4เราจะมีความตองการขั้นสูงไดก็ตองมีความตองการขั้นต่ําครบเสียก%อน Maslaw (สมจินตนา
คุปตสุนทร. 2547 : 13-14 ; อางอิงมาจาก Maslaw. 1987) มองเห็นว%าความตองการที่จะ
พัฒนาความตองการในขั้นสูงจะเกิดขึ้นถาความตองการขั้นต่ําไดรับ
การตอบสนอง และการที่คนตระหนักถึงความสามารถของตนเองว%าสามารถทําอะไรได
หรือไม%ได จะนําไปสู%ความมั่นใจในตนเอง และนําไปสู%การกลาตัดสินใจ และกลาเสี่ยงเมื่อใหอิสระใน
การเลือกเขาจะเลือกเดินไปขางหนา ซึ่งผูมีบทบาทสําคัญในการตอบสนองความตองการเพื่อพัฒนาให
เด็กเปHนมนุษย4ที่สมบูรณ4คือ พ%อแม% ครู สําหรับในโรงเรียนซึ่งเปHนสถานที่จัดการเรียนการสอนนั้น
การพัฒนาความเชื่อมั่นในตนเองของเด็ก ควรจัดบรรยากาศในหองเรียนใหมีลักษณะผ%อนปรนไม%ตึง
เครียดใหเด็กมีความรูสึกว%าเปHนสถานที่ปลอดภัย แสดงใหเด็กเห็นว%าไดรับความสนใจและเปHนส%วนหนึ่ง
ของหองเรียน กระตุนใหเด็กมีส%วนร%วมในการเรียนโดยเปwดโอกาสใหเด็กไดพูดแสดงความคิดเห็นจัด
ประสบการณ4เรียนเพื่อช%วยใหเด็กประสบความสําเร็จ
ทฤษฎีการจัดระบบบุคลิกภาพของ Esenck
ลวน สายยศ และอังคณา สายยศ (2543 : 228 -229) Esenck เปHนนักจิตวิทยาชื่อ
ดังมากคนหนึ่ง เสนอลําดับความรูสึกของมนุษย4อีกแบบหนึ่ง คือ เริ่มจากความเชื่อ (Beliefs) เมื่อเกิด
จากความเชื่อหลาย ๆ อย%างจากสิ่งหนึ่งเปHนผลใหเกิดเจตคติ (Attitude) จากความรูสึกแบบเจตคติ
หลาย ๆ อย%างรวมกันแลวจะเกิดเปHนค%านิยม (Value) และจากความรูสึกที่เปHนค%านิยมหลาย ๆ อย%าง
รวมกันแลวส%งผลใหเกิดบุคลิกภาพ (Personality) Esenck แบ%งมิติของบุคลิกภาพออกเปHน 3 มิติ คือ
ดาน Extroversion (E) ซึ่งเปHนคนที่มีลักษณะชอบแสดงออก สังคมดี เปHนกันเอง มีพลังชักนําผูอื่น
ดาน Neuroticism (N) เปHนคนลักษณะวิตกกังวล จิตใจหดหู% มีความอาย ขาดความเชื่อมั่นในตนเอง
และดาน Psychoticism (P) เปHนลักษณะคนที่มีความกาวราว เห็นแก%ตัว ต%อตานสังคม ขาดความเห็น
อกเห็นใจ ไม%มีความเมตตาปราณี Esenck จะเอามิติใหญ% 3 อย%างเปHนหลัก และยกใหเปHนระดับแบบ
(Type Level) จากระดับนี้ก็จะแยกย%อยออกเปHนระดับคุณลักษณะ (Trait Level) จะมีกี่คุณลักษณะก็
ขึ้นอยู%กับระดับแบบ จากระดับคุณลักษณะนี้ไปสู%ระดับนิสัยตอบสนอง (Habitual Response) ซึ่งเขียน
ย%อว%า ระดับ HR ต%อจากระดับ HR ซึ่งจะมีจํานวน Observation Responses (การตอบสนองเฉพาะ)
51
4.3 ลักษณะของบุคคลที่มีความเชื่อมั่นในตนเอง
Symonds (ธนัญญา คนอยู%. 2547 : 13 ; อางอิงมาจาก Symonds. 1964 :
85 - 86) มีความเห็นว%า ลักษณะของบุคคลที่มีความเชื่อมั่นในตนเองว%าไม%ยอมจํานนต%อสิ่งใดโดยสิ้นเชิง
ทีเดียว และความเชื่อมั่นในตนเองจะเกิดขึ้นดวยองค4ประกอบ 4 อย%าง คือ
1. ทราบในสิ่งที่ตองการ
2. คิดในสิ่งที่เห็นว%าจะประสบความสําเร็จ
3. สามารถตัดสินใจได
4. ลงมือกระทํากับสิ่งที่ไดตัดสินใจแลว
ชูชีพ อ%อนโคกสูง (ธนัญญา คนอยู%. 2547 : 13 ; อางอิงมาจาก ชูชีพ อ%อนโคกสูง.
2516 : 27) ไดสรุปลักษณะของบุคคลที่มีความเชื่อมั่นในตนเองไวดังนี้
1. กลาในการคิด การพูด และการกระทํา
2. ใจคอมั่นคง ไม%เชื่อคนง%าย มีเหตุผล
3. รอบคอบ มีแผนงาน
4. มีความคิดริเริ่มสรางสรรค4 ชอบทําสิ่งแปลกๆ ใหม%ๆ
5. กลาเสี่ยง
6. ชอบแสดงตัว
7. ไม%วิตกกังวลเกินไป
8. เปHนผูนํา
9. รักความยุติธรรม
10. ชอบช%วยเหลือหมู%คณะ
11. ชอบอิสระ ไม%โออวด
12. ตั้งจุดมุ%งหมายไวสูง และคิดว%าจะทําไดสําเร็จ
13. มีความเกรงใจและเห็นใจผูอื่น
ธีรภาพ วัฒนวิจารณ4 (2545 : 127) กล%าวว%า คนที่มีความเชื่อมั่นในตนเองจะเปHนคน
ที่มีลักษณะมั่นคง ไม%ลังเลในการตัดสินใจ ไม%วิตกกังวลต%อสิ่งที่ยังไม%เกิดขึ้น ในขณะเดียวกันก็ไม%ฟูมฟาย
หรือกังวลต%อสิ่งที่เกิดขึ้นไปแลว สามารถปรับตัวเขากับสถานการณ4ใหม% และเมื่อประเมินว%าตนเอง
ไม%พรอมก็กลาและมั่นใจที่จะขอความช%วยเหลือจากผูอื่น
สรุปไดว%า บุคคลที่มีความเชื่อมั่นในตนเอง เปHนคนที่มีลักษณะมั่นคง ไม%ลังเลใน
การตัดสินใจ ทราบในสิ่งที่ตองการ ไม%วิตกกังวลต%อสิ่งที่ยังไม%เกิดขึ้น คิดในสิ่งที่เห็นว%าจะประสบ
ความสําเร็จ สามารถตัดสินใจไดและลงมือกระทํากับสิ่งที่ไดตัดสินใจแลวได
4.4 การวัดความเชื่อมั่นในตนเอง
การวัดความเชื่อมั่นในตนเองเปHนเรื่องที่วัดไดยากและซับซอน นักจิตวิทยาไดพยายาม
สรางเครื่องมือขึ้นมาเพื่อวัดความเชื่อมั่นในตนเองซึ่งสามารถใชวัดบุคลิกภาพดานความเชื่อมั่นในตนเอง
ตามลักษณะที่ตองการจะวัดเปHนมาตรฐาน ถูกตอง แม%นยํา และเชื่อถือได วิธีการวัดความเชื่อมั่นใน
ตนเองมีหลายวิธีดวยกัน เช%น การสังเกต การบันทึก การสนทนา การสัมภาษณ4 เปHนตน
52
ทวี ท%อแกว และอบรม สินภิบาล (อังคณา บุญสีสด. 2551 : 36-37 ; อางอิงมา
จาก ทวี ท%อแกว และอบรม สินภิบา. 2517 : 121) กล%าวว%า ถาจะใหเครื่องมือมีความเที่ยงตรงสูง
ควรจะใชหลายๆ วิธีประกอบกัน ซึ่งโดยทั่วๆ ไปวิธีที่ใชวัดมีอยู% 5 วิธี คือ
1. วิธีการสังเกต เปHนวิธีการที่ใชการสังเกตพฤติกรรมและลักษณะทั่วๆ ไป ที่บุคคล
แสดงออกซึ่งแบ%งออกเปHน 2 แบบดวยกัน คือ
1.1 การสังเกตแบบควบคุม เปHนการสังเกตพฤติกรรมของบุคคลใน
สถานการณ4ใดสถานการณ4หนึ่งที่จัดไวโดยเฉพาะ
1.2 การสังเกตโดยทั่วไปในชีวิตประจําวันที่บุคคลแสดงออกวิธีการสังเกต
ทั้งสองแบบที่กล%าวไวขางตนตองบันทึกผลตามที่เห็นจริง โดยไม%นําความรูสึกส%วนตัวเขาไปเกี่ยวของ
ที่สําคัญผูสังเกตควรจะไดรับการฝ~กฝนมาเปHนที่เรียบรอยก%อนจึงจะไดผลดี
2. วิธีการรายงานตนเอง แบ%งออกเปHน 2 ลักษณะ คือ
2.1 การวิเคราะห4ตนเอง เปHนวิธีการใหบุคคลประเมินค%าตนเอง แบบวิเคราะห4
ตนเองโดยใชลักษณะคําถามเปHนแบบปรนัยที่เปHนนามธรรม เช%น ความสนใจในวิชาต%างๆ
เจตคติต%อสิ่งเราแลวแปลผลเขาสู%มาตรฐานการวัด
2.2 การสัมภาษณ4 เปHนวิธีการสนทนาระหว%างบุคคล 2 คนอย%างมีจุดหมาย
โดยผูสัมภาษณ4เตรียมคําถามมา และจดบันทึกประมาณค%า ทั้งนี้ผูถูกสัมภาษณ4จะตองไม%รูตัวว%าถูก
ทดสอบลักษณะนิสัย
3. วิธีการศึกษาความคิดเห็นจากคนอื่น เปHนวิธีการที่ผูวัดจะตองสราง
แบบทดสอบเพื่อใชถามบุคคลอื่นว%ามีความรูสึกเกี่ยวกับบุคคลนั้นๆ อย%างไร เช%น ครู ผูปกครอง
และเพื่อน เปHนตน
4. วิธีการใชแบบทดสอบ เปHนวิธีการที่นิยมใชกันมาก โดยมีการสรางแบบทดสอบ
ประกอบดวยคําถามหรือขอความหลายขอ ซึ่งผูทดสอบสรางขึ้นโดยยึดถือปกติวิสัยของคนโดยทั่วๆ ไป
เปHนเกณฑ4มาตรฐาน ขอคําถามหรือสถานการณ4ที่สรางขึ้นมักจะเกี่ยวของกับความรูสึกของผูถูกทดสอบ
เองหรือสอดคลองเกี่ยวของกับสิ่งแวดลอม หรือพฤติกรรมที่ปฏิบัติอยู%เปHนประจําเมื่อตกอยู%ใน
สภาพการณ4นั้นๆ ทั้งนี้ผูถูกทดสอบตองร%วมมือกับผูทดสอบในการตอบแบบทดสอบ เพื่อใหไดผลที่
น%าเชื่อถือหรือเปHนไปตามวัตถุประสงค4
5. วิธีการฉายภาพ (Projective Technique) เปHนวิธีการที่ผูวัดไดจัดสิ่งเราขึ้นมา
ใหบุคคลไดแสดงพฤติกรรมการตอบสนอง เช%น เล%าเรื่องจากรูปที่นํามาใหดูตัวอย%าง ไดแก%
แบบทดสอบ รอร4ชาคและรูปภาพที่เกิดจากการหยดหมึก ใหสรางความสัมพันธ4ต%อเนื่องจากคําที่
กําหนดให ใหเติมขอความที่ไม%สมบูรณ4 ใหแสดงออกดวยการวาดภาพ เปHนตน ซึ่งเทคนิคเหล%านี้
จะตองใชผูทดสอบที่ไดรับการฝ~กฝนมาเปHนอย%างดีทั้งสิ้น การเลือกวิธีการวัดความความเชื่อมั่นใน
ตนเองขึ้นอยู%กับความเหมาะสมทั้งผูทดสอบ และผูถูกทดสอบ สภาพการณ4ที่ใชทดสอบ และสิ่งที่ใช
วัดเพื่อทําการศึกษา
53
สําหรับงานวิจัยนี้ผูวิจัยสนใจที่จะศึกษาความเชื่อมั่นในตนเอง โดยใชกรอบแนวคิดของ
ไซมอนด4ส (ธนัญญา คนอยู%. 2547 : 13 ; อางอิงมาจาก Symonds. 1964 : 85 - 86),
ชูชีพ อ%อนโคกสูง (ธนัญญา คนอยู%. 2547 : 13 ; อางอิงมาจาก ชูชีพ อ%อนโคกสูง. 2516 :
27), ธีรภาพ วัฒนวิจารณ4 (2545 : 127) คือ แยกเปHน ตัวแปรสังเกตได 5 ตัว ประกอบดวย
ความมั่นคงทางจิตใจ ความกลา การพึ่งตนเอง ความเปHนตัวของตัวเอง ความสามารถในการปรับตัว
5. การมองโลกในแง%ดี
5.1 ความหมายของการมองโลกในแง%ดี
Seligman (สุมาลี พั่วชู. 2547 : 26 ; อางอิงมาจาก Seligman. 1998)
ใหความหมายการมองโลกในแง%ดีว%า หมายถึง ความคิดความเชื่อในเหตุผลทางบวกต%อเหตุการณ4
ที่ไม%พึงปรารถนาที่ผ%านเขามาในชีวิต โดยใชรูปแบบการอธิบายใหเหตุผลตนเอง แบ%งออกเปHน 3 มิติ
คือ
1. ความคงทนถาวรของเหตุการณ4ว%าเหตุการณ4นั้นเกิดแบบชั่วคราวหรือถาวร
2. ความเปHนตนเอง ซึ่งเปHนรูปแบบการอธิบายตนเองที่บุคคลเชื่อว%า เหตุการณ4
นั้นเกิดขึ้นเพราะตนเองหรือบุคคลอื่น
3. ความครอบคลุมของเหตุการณ4ว%าเหตุการณ4นั้นเกิดขึ้นเฉพาะบุคคล หรือเกิด
กับคนทั่วไป
ประเวศ วะสี (2541 : 12-15) ใหความหมาย ของการมองโลกในแง%ดีว%า
หมายถึง การมองโลกแบบทวิลักษณ4 คือ การมอง 2 ดาน นั่นคือการมองลักษณะของสิ่งต%าง ๆ
ทั้งดานที่เปHนคุณและดานที่เปHนโทษ การมองโลกในแง%ดีนั้นเปHนการมองสิ่งต%าง ๆ ในดานที่เปHนคุณ
นิตยา คชภักดี (2542 : 90-95) ใหความหมาย การมองโลกในแง%ดี คือ การที่
คนเราสามารถยอมรับและรูจักตนเอง ซึ่งทําใหสามารถตั้งความคาดหวังที่เปHนจริงเหมาะสมสําหรับตนได
ทักษะทางพฤติกรรม
English (ปwยะวดี ลีฬหบํารุง. 2547 : 10 ; อางอิงมาจาก English. 1992 :
75) ใหความหมาย การมองโลกในแง%ดี คือ เจตคติในทางส%วนบุคคลที่จะเลือกโตตอบตามสถานการณ4
ต%างๆ ในแต%ละวันโดยปรับเปลี่ยน เจตคติในทางที่ควบคุมตนเองไดและมีความพึงพอใจในสิ่งที่เกิดขึ้น
สรุปไดว%า การมองโลกในแง%ดี หมายถึง คุณลักษณะของบุคคล ในการคิด มีความเชื่อ
ในเหตุผลทางบวกต%อเหตุการณ4ที่ไม%พึงปรารถนาที่ผ%านเขามาในชีวิต เลือกโตตอบตามสถานการณ4ต%างๆ
ที่เกิดขึ้น โดยปรับเปลี่ยนความคิด ความเชื่อดังกล%าวไปในทางที่ควบคุมตนเอง และพึงพอใจใน
สิ่งที่เกิดขึ้นนั้น
5.2 แนวคิดและทฤษฎีเกี่ยวกับการมองโลกในแง%ดี
Seligman (อรพินทร4 ชูชม. 2544 : 43 ; อางอิงมาจาก Seligman. 1998)
ไดเสนอรูปแบบการอธิบายตนเอง (Explanatory Style) ในสถานการณ4ต%าง ๆ ที่เกิดขึ้นในชีวิตของ
บุคคล จากการบรรยายตนเองสามารถบ%งบอกไดว%าบุคคลนั้นมีมุมมองชีวิตในลักษณะไหนเปHนการมอง
โลกในแง%ดี หรือการมองโลกในแง%ราย ซึ่งเปHนสิ่งสําคัญในการกําหนดพฤติกรรมของบุคคล
ซึ่งรูปแบบการอธิบายตนเองของบุคคลต%าง ๆ ประกอบดวยมิติที่สําคัญ 3 มิติ ดังนี้
54
5.2.1 ความคงทนถาวร (Permanence) เปHนรูปแบบการอธิบายตนเองโดยบุคคล
มีความเชื่อว%า สาเหตุของเหตุการณ4ต%าง ๆ ที่เกิดขึ้นนั้น เปHนสาเหตุที่เกิดขึ้นถาวร (Permanence) หรือ
เปHนสาเหตุที่เกิดขึ้นชั่วคราว (Temporary) ลักษณะการอธิบายในรูปความเชื่อว%า สิ่งที่เปHนสาเหตุตาม
มิตินี้เปHนเรื่องกาลเวลาว%า มีความคงทนถาวรหรือไม% ซึ่งจะแตกต%างกันระหว%างคนที่มองโลกในแง%ดี
และคนที่มองโลกในแง%ราย ตามลักษณะเหตุการณ4ดังนี้
เหตุการณ4ที่ดี : คนที่มองโลกในแง%ดี จะเชื่อว%าสิ่งที่ดีๆ ที่เกิดขึ้นกับตนเอง
มาจากสาเหตุที่คงทนถาวร เช%น คุณลักษณะและความสามารถ แต%คนที่มองโลกในแง%รายจะเชื่อว%า
สิ่งที่ดี ๆ ที่เกิดขึ้นกับตนเองนั้น เปHนสิ่งที่เกิดขึ้นชั่วคราว เช%น สภาวะอารมณ4และความพยายาม ดังนั้น
บุคคลกลุ%มที่มองโลกในแง%ราย อาจจะลมเลิกเมื่อประสบความสําเร็จ เนื่องจากเชื่อว%าความสําเร็จเปHน
เรื่องของความบังเอิญ
เหตุการณ4ที่ไม%ดี : คนที่มองโลกในแง%ดีจะเชื่อว%าสาเหตุที่เกิดสิ่งไม%ดีกับ
ตนเองนั้นเปHนสิ่งที่เกิดขึ้นชั่วคราว ทําใหบุคคลกลุ%มนี้ไม%ย%อทอต%ออุปสรรค แต%คนที่มองโลกในแง%ราย
จะยอมแพต%ออุปสรรคไดอย%างง%ายดายเพราะเชื่อว%าสิ่งที่ไม%ดีที่เกิดขึ้นกับตนเองนั้น จะเกิดขึ้นถาวร
ตลอดไป
5.2.2 ความครอบคลุม (Pervasiveness) เปHนรูปแบบการอธิบายตนเองที่บุคคล
เชื่อว%า สาเหตุของสิ่งที่ เกิดขึ้นกับตนเองนั้นมีความเฉพาะ (Specific) หรือเปHนสิ่งสากลทั่วไป
(Universal)โดยที่ลักษณะการอธิบายสาเหตุของเหตุการณ4ต%าง ๆ ตามมิตินี้จะแตกต%างกันระหว%างคนที่
มองโลกในแง%ดีและคนที่มองโลกในแง%ราย ดังนี้
เหตุการณ4ที่ดี : คนที่มองโลกในแง%ดีจะเชื่อว%าสิ่งดี ๆ ที่เกิดขึ้นกับตนเอง
เปHนสิ่งสากลทั่วไป แต%คนที่มองโลกในแง%รายจะเชื่อว%าสิ่งดีๆที่เกิดขึ้นนั้นมีสาเหตุที่เกิดขึ้นจากป6จจัยที่มี
ความเฉพาะ
เหตุการณ4ที่ไม%ดี : คนที่มองโลกในแง%ดี จะเชื่อว%าสิ่งที่เลวรายที่เกิดขึ้นกับ
ตนเอง นั้นเปHนสาเหตุที่เกิดขึ้นเฉพาะกับเหตุการณ4นั้นเท%านั้น แต%คนที่มองโลกในแง%รายจะเชื่อว%าสิ่งที่
เลวรายที่เกิดขึ้นนั้นเปHนสาเหตุที่สากลทั่วไป เกิดขึ้นทุกโอกาส
5.2.3 ความเปHนตนเอง (Personalization) เปHนรูปแบบการอธิบายตนเอง ที่บุคคล
เชื่อว%าสาเหตุของเหตุการณ4ที่เกิดขึ้นกับตนเองนั้นเกิดมาจากตนเอง (Internal) หรือเกิดมาจากสาเหตุ
ภายนอกตนเอง (External) หรือบุคคลอื่น โดยที่ลักษณะการอธิบายสาเหตุของเหตุการณ4ต%าง ๆ ตาม
มิตินี้จะแตกต%างกันระหว%างคนที่มองโลกในแง%ดีและคนที่มองโลกในแง%ราย ดังนี้
เหตุการณ4ที่ดี : คนที่มองโลกในแง%ดีจะเชื่อว%าตนเองเปHนสาเหตุที่ทําใหเกิด
เหตุการณ4ดี แต%คนที่มองโลกในแง%รายจะเชื่อว%าเหตุการณ4ที่ดีเกิดจากคนอื่นหรือ
สถานการณ4อื่น
เหตุการณ4ที่ไม%ดี : คนที่มองโลกในแง%ดีจะเชื่อว%าสาเหตุที่ทําใหเกิด
เหตุการณ4ไม%ดีกับตนเองนั้นเปHนสิ่งที่เกิดขึ้นจากบุคคลอื่นหรือสถานการณ4ภายนอกอื่น เพื่อที่บุคคลนั้นจะ
ไดไม% สูญเสียความภาคภูมิใจในตนเอง แต%คนที่มองโลกในแง%รายจะตําหนิตนเองว%าสาเหตุที่เกิดสิ่งไม%ดี
ขึ้นนั้นมาจากตนเอง ดังนั้น เมื่อประสบความลมเหลวจะก%อใหเกิดความรูสึกดอยคุณค%าในตนเอง
55
5.3 การวัดการมองโลกในแง%ดี
การวัดการมองโลกในแง%ดี สามารถวัดไดจากรูปแบบการอธิบายสาเหตุ
ซึ่งมีวิธีการวัด 2 วิธี (อรพินทร4 ชูชม. 2544 : 43 ; อางอิงมาจาก Seligman. 1998) คือ
5.3.1. ใชแบบสอบถามการอธิบายสาเหตุ (The Attribution Style
Questionnaire : ASQ)
5.3.1.1 แบบสอบถามการอธิบายสาเหตุ เปHนแบบสอบถามที่สรางขึ้นเพื่อใชวัด
การอธิบายในสถานการณ4ที่หลากหลาย มากกว%าที่จะใชวัดรูปแบบการอธิบายสาเหตุในสถานการณ4
เฉพาะ ประกอบดวย เหตุการณ4สมมุติ 12 สถานการณ4 แบ%งเปHนสถานการณ4ทางบวกและสถานการณ4
ทางลบอย%างละ 6 สถานการณ4 แต%ละสถานการณ4ประกอบดวย 3 มาตรวัดย%อย ซึ่งใชวัด 3 มิติ คือ
มิติแหล%งกําเนิดของสาเหตุ มิติแห%งความคงทนถาวรของสาเหตุ และมิติแห%งความสามารถในการ
ควบคุมสาเหตุ ในแต%ละสถานการณ4จะมีคําถามใหตอบ 4 ขอย%อย ขอแรกถามถึงสาเหตุหลักที่ทําให
เกิดสถานการณ4นั้น ซึ่งไม%ไดนํามาคิดคะแนน ส%วนอีก 3 ขอหลังถามเกี่ยวกับสาเหตุของเหตุการณ4นั้น
ใน 3 มิติ การคิดคะแนนจะแยกกันระหว%างสถานการณ4ทางบวก และสถานการณ4ทางลบ โดยแบ%ง
ออกเปHนคะแนนเฉลี่ยในแต%ละมิติ คะแนนรวมทางบวก คะแนนรวมทางลบ และคะแนนรวม
5.3.1.2 มาตรวัดการมองโลกในแง%ดี ใชสําหรับวัดคุณลักษณะนิสัยการมองโลก
จากรูปแบบการอธิบายสถานการณ4ทางบวกและทางลบ ประกอบดวยคําถามเกี่ยวกับสถานการณ4
ประจําวัน 48 ขอ แบ%งเปHนสถานการณ4ทางบวกและสานการณ4ทางลบอย%างละ 24 ขอ โดยแบ%งเปHน
ขอที่วัดในมิติแห%งแหล%งกําเนิดของสาเหตุมิติแห%งคามคงทนถาวรของสาเหตุ และมิติแห%งความสามารถใน
การควบคุมสาเหตุอย%างละ 16 ขอ ลักษณะการตอบคําถามเปHนลักษณะบังคับใหเลือกตอบ แต%ละ
สถานการณ4ประกอบดวย 2 ตัวเลือก ใหผูตอบทําเครื่องหมายกากบาทลงในขอที่ตรงกับความรูสึกของ
ตนมากที่สุด การใหคะแนนรายขอ แต%ละขอจะมีคะแนนเปHน 0 - 1 คะแนน ขึ้นอยู%กับว%าผูตอบจะ
เลือกตอบขอใด คะแนนจะถูกรวมเปHนรายมิติ
5.3.2. ใชการวิเคราะห4เนื้อหาคําพูด (The Content Analysis of Verbatim
Explanation : CAVE) เปHนวิธีการศึกษายอนเวลา เหมาะสําหรับผูที่ไม%ตองการตอบ หรือไม%สามารถ
ตอบแบบสอบถามได การใชการวิเคราะห4เนื้อหาของคําพูดในการศึกษารูปแบบการอธิบายของบุคคล
สําหรับงานวิจัยนี้ผูวิจัยสนใจที่จะศึกษาการมองโลกในแง%ดี โดยใชกรอบแนวคิดของ
Seligman (อรพินทร4 ชูชม. 2544 : 43 ; อางอิงมาจาก Seligman. 1998) คือ แยกเปHน
ตัวแปรสังเกตได 3 ตัว ประกอบดวย ความคงทนถาวร ความครอบคลุม ความเปHนตนเอง
งานวิจัยที่เกี่ยวของ
1. งานวิจัยในประเทศ
สุภมาส จินะราช (2549 : 70-80) ไดศึกษาความสัมพันธ4ของป6จจัยบางประการกับ
การพัฒนาตนเองของนิสิตภาคพิเศษ ระดับบัณฑิตศึกษา คณะศึกษาศาสตร4 มหาวิทยาลัย
ศรีนครินทรวิโรฒ การศึกษาคนควาครั้งนี้ มีจุดมุ%งหมายเพื่อศึกษาความสัมพันธ4ระหว%างป6จจัย
ดานความเชื่อมั่นในตนเอง บุคลิกภาพเปwดรับประสบการณ4 การมองโลกในแง%ดี ความชัดเจนในเปKาหมาย
แรงจูงใจใฝ:สัมฤทธิ์ ความผูกพันต%อองค4กร และบรรยากาศขององค4กรกับการพัฒนาตนเอง และหาค%า
56
น้ําหนักความสําคัญของป6จจัยแต%ละป6จจัยที่ส%งผลต%อการพัฒนาตนเอง กลุ%มตัวอย%างที่ใชในการศึกษาครั้ง
นี้เปHนนิสิตภาคพิเศษ ระดับบัณฑิตศึกษา คณะศึกษาศาสตร4 มหาวิทยาลัยศรีนครินทรวิโรฒ ที่ประกอบ
อาชีพครู ชั้นป…ที่ 1 และป…ที่ 2 ป…การศึกษา 2548 จํานวน 296 คน ดวยวิธีการสุ%มอย%างง%าย (Simple
Random Sampling) เครื่องมือที่ใชในการศึกษา ไดแก% แบบสอบถามวัดการพัฒนาตนเอง ความเชื่อมั่น
ในตนเองบุคลิกภาพการเปwดรับประสบการณ4 การมองโลกในแง%ดี ความชัดเจนในเปKาหมาย แรงจูงใจใฝ:
สัมฤทธิ์ ความผูกพันต%อองค4กร และบรรยากาศขององค4กร ซึ่งมีค%าความเชื่อมั่น .88, .75,.83, .83, .90,
.89, .82 และ .90 ตามลําดับ สถิติที่ใชในการวิเคราะห4ขอมูล คือ สหสัมพันธ4พหุคูณและการวิเคราะห4
การถดถอยพหุคูณ (Multiple Regression Analysis) ผลการศึกษาพบว%า ป6จจัยดานความเชื่อมั่นใน
ตนเอง บุคลิกภาพการเปwดรับประสบการณ4 การมองโลกในแง%ดีความชัดเจนในเปKาหมาย แรงจูงใจใฝ:
สัมฤทธิ์ ความผูกพันต%อองค4กร และบรรยากาศขององค4กร มีความสัมพันธ4ทางบวกกับการพัฒนาตนเอง
อย%างมีนัยสําคัญทางสถิติที่ระดับ .01 และค%าสัมประสิทธิ์สหสัมพันธ4พหุคูณระหว%างตัวแปรป6จจัยดาน
ความเชื่อมั่นในตนเอง บุคลิกภาพการเปwดรับประสบการณ4 การมองโลกในแง%ดี ความชัดเจนในเปKาหมาย
และความผูกพันต%อองค4กร มีค%าเท%ากับ.719 ซึ่งมีนัยสําคัญทางสถิติที่ระดับ .01 โดยตัวแปรป6จจัยทั้ง 5
ตัวแปร ร%วมกันอธิบายความแปรปรวนของการพัฒนาตนเองรอยละ 51.8 ป6จจัยดานความเชื่อมั่นใน
ตนเอง บุคลิกภาพการเปwดรับประสบการณ4 ความชัดเจนในเปKาหมาย และความผูกพันต%อองค4กร
ส%งผลทางบวกต%อการพัฒนาตนเองอย%างมีนัยสําคัญทางสถิติที่ระดับ .01 โดยที่ป6จจัยดานบุคลิกภาพ
การเปwดรับประสบการณ4ส%งผลต%อการพัฒนาตนเองมากที่สุด มีค%าน้ําหนักความสําคัญในรูปคะแนน
มาตรฐาน .378 รองลงมาคือ ป6จจัยดานความผูกพันต%อองค4กร ความชัดเจนในเปKาหมาย และ
ความเชื่อมั่นในตนเอง มีค%าน้ําหนักความสําคัญในรูปคะแนนมาตรฐาน.321 .281 และ .143 ตามลําดับ
อรอุษา จันทคร (2551 : 90-98) ไดศึกษาความสัมพันธ4ของป6จจัยบางประการกับ
การพัฒนาตนเองตามเกณฑ4มาตรฐานวิชาชีพครู ของครูในเขตพื้นที่การศึกษานครปฐม เขต 2
มีวัตถุประสงค4เพื่อศึกษา ความสัมพันธ4ระหว%างป6จจัยบางประการกับการพัฒนาตนเองตามเกณฑ4
มาตรฐานวิชาชีพครู โดยรวมและแยกรายดาน รวมทั้งหาค%าน้ําหนักความสําคัญของป6จจัยบางประการที่
ส%งผลต%อการพัฒนาตนเองตามเกณฑ4มาตรฐานวิชาชีพครูโดยรวมและแยกรายดาน กลุ%มตัวอย%างที่ใชใน
การวิจัยครั้งนี้เปHนครูที่ปฏิบัติการสอนในภาคเรียนที่ 2 ป…การศึกษา 2551 ของเขตพื้นที่การศึกษา
นครปฐมเขต 2 จํานวน 360 คนซึ่งไดมาโดยวิธีการสุ%มแบบแบ%งชั้น เครื่องมือที่ใชในการวิจัยครั้งนี้เปHน
แบบสอบถาม ซึ่งแบ%งเปHน 5 ตอน 1) สถานภาพส%วนบุคคลของผูตอบแบบสอบถามเกี่ยวกับภาระงาน
สอน ประสบการณ4การทํางานในตําแหน%งและระดับการศึกษา 2) แบบสอบถามวัดเจตคติต%อวิชาชีพครู
3) แบบสอบถามวัดการรับรูในความสามารถของตนเอง 4) แบบสอบถามวัดการสนับสนุนการพัฒนา
ตนเองของผูบริหาร5 ) การพัฒนาตนเองตามเกณฑ4มาตรฐานวิชาชีพครู มีความเชื่อมั่นเท%ากับ .858,
.907, .950, .877, .920,.872, .926, .917, .933, .917, .908, .866, .911, .953 และ .904 ตามลําดับ
สถิติที่ใชในการวิเคราะห4ขอมูลไดแก% การวิเคราะห4ถดถอยพหุคูณแบบตัวแปรพหุนามและการวิเคราะห4
แบบตัวแปรเอกนาม ผลการศึกษาพบว%า ค%าสัมประสิทธิ์สหสัมพันธ4ของคะแนนระหว%างป6จจัยแต%ละดาน
กับการพัฒนาตนเองตามเกณฑ4มาตรฐานวิชาชีพครูโดยรวม มีค%าอยู%ระหว%าง .151 ถึง .643 โดยป6จจัยที่
มีความสัมพันธ4สูงสุด คือ การรับรูความสามารถของตนเอง มีค%าเท%ากับ .643 รองลงมาคือ
การสนับสนุนการพัฒนาตนเองของผูบริหาร มีค%าเท%ากับ .428 สัมพันธ4กันอย%างมีนัยสําคัญทางสถิติที่
ระดับ .01 ค%าน้ําหนักความสําคัญในรูปคะแนนมาตรฐาน โดยมีป6จจัยที่ส%งผลต%อการพัฒนาตนเองตาม
57
เกณฑ4มาตรฐานวิชาชีพครู คือ 1) ภาระงานสอนส%งผลต%อการพัฒนาตนเองตามเกณฑ4 มาตรฐานวิชาชีพ
ครู มาตรฐานที่ 2 ตัดสินใจปฏิบัติกิจกรรมต%าง ๆ โดยคํานึงถึงผลที่จะเกิดกับผูเรียน 2) ประสบการณ4
ทํางานในตําแหน%งครู ส%งผลต%อการพัฒนาตนเองตามเกณฑ4มาตรฐานวิชาชีพครู มาตรฐานที่ 11 แสวงหา
และใชขอมูลข%าวสารในการพัฒนา 3)ระดับการศึกษา ส%งผลต%อการพัฒนาตนเองตามเกณฑ4มาตรฐาน
วิชาชีพครู มาตรฐานที่ 3 มุ%งมั่นพัฒนาผูเรียนใหเต็มตามศักยภาพ มาตรฐานที่ 5 พัฒนาสื่อการเรียน
การสอนใหมีประสิทธิภาพอยู%เสมอ มาตรฐานที่ 11 แสวงหาและใชขอมูลข%าวสารในการพัฒนา
4) การรับรูความสามารถในตนเอง ส%งผลส%งผลทางบวกต%อการพัฒนาตนเองตามเกณฑ4มาตรฐานวิชาชีพ
ครู ทั้ง 12 มาตรฐาน 5)การสนับสนุนการพัฒนาตนเองของผูบริหาร ส%งผลทางบวกต%อการพัฒนาตนเอง
ตามเกณฑ4มาตรฐานวิชาชีพครู มาตรฐานที่ 1 ปฏิบัติกิจกรรมทางวิชาการเกี่ยวกับการพัฒนาวิชาชีพครู
อยู%เสมอ มาตรฐานที่ 2 ตัดสินใจปฏิบัติกิจกรรมต%าง ๆ โดยคํานึงถึงผลที่จะเกิดกับผูเรียน มาตรฐานที่ 10
ร%วมมือกับผูอื่นอย%างสรางสรรค4ในชุมชนมาตรฐานที่ 12 สรางโอกาสในการพัฒนาไดทุกสถานการณ4
โดยส%งผลอย%างมีนัยสําคัญทางสถิติที่ระดับ .01
กาญจนา บุบผัน (2551 : 99-104) ไดศึกษาความสัมพันธ4ของป6จจัยบางประการที่
ส%งผลต%อการพัฒนาตนเองตามจรรยาบรรณวิชาชีพครูดานวิชาชีพ วิสัยทัศน4 และบุคลิกภาพ ของครู
มัธยมศึกษาสังกัดสํานักงานเขตพื้นที่การศึกษานครศรีธรรมราช เขต 1 การศึกษาความสัมพันธ4และ
ค%าน้ําหนักความสําคัญที่ส%งผลของตัวแปรป6จจัย ไดแก% ความเชื่อมั่นในตนเอง การมองโลกในแง%ดี
การเปwดรับประสบการณ4 และความชัดเจนในเปKาหมาย กับการพัฒนาตนเองตามจรรยาบรรณวิชาชีพครู
ดานวิชาชีพครู ดานวิสัยทัศน4และบุคลิกภาพ กลุ%มตัวอย%าง เปHนครูระดับมัธยมศึกษา ภาคเรียนที่ 2 ป…
การศึกษา 2550 ของโรงเรียนในสังกัดสํานักงานเขตพื้นที่การศึกษานครศรีธรรมราช เขต 1 จํานวนครู
425 คน ซึ่งไดมาดวยวิธีการสุ%มอย%าง%าย (Sample Random Sampling) เครื่องมือที่ใชในการศึกษา
คนควาในครั้งนี้ประกอบดวยแบบสอบถามการพัฒนาตนเองตามจรรยาบรรณวิชาชีพครูดานวิชาชีพ
ดานวิสัยทัศน4 และดานบุคลิกภาพ แบบสอบถามความเชื่อมั่นในตนเอง แบบสอบถามการมองโลกในแง%
ดี แบบสอบถามการเปwดรับประสบการณ4และแบบสอบถามความชัดเจนในเปKาหมาย ที่มีความเชื่อมั่น
เท%ากับ .84, .88, .81, .90, .70 และ .78 ตามลําดับ ใชการวิเคราะห4แบบถดถอยพหุนาม
(Multivariate Multiple Regression :MMR) และการวิเคราะห4การถดถอยพหุคูณแบบตัวแปรเอกนาม
(Univariate Multiple Regression :MR) ผลการศึกษาพบว%า สัมประสิทธิ์ระหว%างกลุ%มตัวแปรป6จจัยที่
ส%งผลต%อการพัฒนาตนเองตามจรรณยาบรรณวิชาชีพครู พบว%าดานวิชาชีพ ตัวแปรที่ส%งผลอย%างมี
นัยสําคัญทางสถิติที่ระดับ .05 ไดแก% ความชัดเจนในเปKาหมายและการปwดรับประสบการณ4
ดานวิสัยทัศน4 ตัวแปรที่ส%งผลอย%างมีนัยสําคัญทางสถิติที่ระดับ .05 ไดแก%ความชัดเจนที่เปKาหมายและ
ความเชื่อมั่นในตนเอง ดานบุคลิกภาพ กลุ%มตัวแปรป6จจัยที่ส%งผลอย%างมีนัยสําคัญทางสถิติที่ระดับ .05
ไดแก% ความชัดเจนในเปKาหมาย ความเชื่อมั่นในตนเอง การมองโลกในแง%ดี และการเปwดรับ
ประสบการณ4
เนาวรัตน4 ไตรยงค4 (2552 : 92-99) ไดศึกษาความสัมพันธ4ของป6จจัยทางจิตสังคม
ที่เกี่ยวของกับพฤติกรรรมการพัฒนาตนใหรอบรูของนักเรียนช%วงชั้นที่ 2 สังกัดสํานักงานเขตพื้นที่
การศึกษาศรีสะเกษ เขต 3 การวิจัยครั้งนี้มีวัตถุประสงค4เพื่อ 1) ศึกษาความสัมพันธ4ระหว%างตัวแปร
ในกลุ%มลักษณะสถานการณ4 คือ การไดรับแบบอย%างการพัฒนาตนใหรอบรู การไดรับการสนับสนุน
จากคนรอบดานบรรยากาศในโรงเรียน กลุ%มจิตลักษณะเดิมคือ ลักษณะมุ%งอนาคตและการควบคุมตน
58
แรงจูงใจใฝ:สัมฤทธิ์ และความเชื่ออํานาจในตน และกลุ%มจิตลักษณะตามสถานการณ4คือ เจตคติต%อ
พฤติกรรม การพัฒนาตนใหรอบรูกับพฤติกรรมการพัฒนาตนใหรอบรูของนักเรียนช%วงชั้นที่ 2
2) วิเคราะห4ตัวพยากรณ4ที่ดีของพฤติกรรรมการพัฒนาตนใหรอบรูของนักเรียนช%วงชั้นที่ 2 และ
3) สรางสมการพยากรณ4พฤติกรรรมการพัฒนาตนใหรอบรูของนักเรียนช%วงชั้นที่ 2 กลุ%มตัวอย%าง
ที่ใชในการวิจัยครั้งนี้เปHนนักเรียนช%วงชั้นที่ 2 สังกัดสํานักงานเขตพื้นที่การศึกษาศรีสะเกษ เขต 3
จํานวน 459 คน
ซึ่งไดมาโดยการสุ%มแบบแบ%งชั้น เครื่องมือที่ใชวัดตัวแปรประกอบดวยแบบวัด 8 ฉบับ
มีลักษณะเปHนแบบมาตราส%วนประมาณค%า 6 ระดับ คือ จริงที่สุดจริง ค%อนขางจริง ค%อนขางไม%จริง ไม%
จริง และไม%จริงเลย โดยที่ฉบับที่ 1 เปHนแบบวัดการไดรับแบบอย%างการพัฒนาตนใหรอบรู จํานวน 10
ขอ มีค%าอํานาจจําแนกตั้งแต% .363 ถึง .492 ค%าความเชื่อถือไดเท%ากับ .760 ฉบับที่ 2 เปHนแบบวัดการ
ไดรับการสนับสนุนจากคนรอบดาน จํานวน 10 ขอ มีค%าอํานาจจําแนกตั้งแต% .497 ถึง .631 ค%าความ
เชื่อถือไดเท%ากับ .842 ฉบับที่ 3 เปHนแบบวัดบรรยากาศในโรงเรียน จํานวน 10 ขอ มีค%าอํานาจจําแนก
ตั้งแต% .493 ถึง .665 ค%าความเชื่อถือไดเท%ากับ 0.867 ฉบับที่ 4 เปHนแบบวัดลักษณะมุ%งอนาคตและ
การควบคุมตน จํานวน 10 ขอ มีค%าอํานาจจําแนกตั้งแต% .495 ถึง .572 ค%าความเชื่อถือไดเท%ากับ .841
ฉบับที่ 5 เปHนแบบวัดแรงจูงใจใฝ:สัมฤทธิ์ จํานวน 10 ขอ มีค%าอํานาจจําแนกตั้งแต% .527 ถึง .650
ค%าความเชื่อถือไดเท%ากับ .829 ฉบับที่ 6 เปHนแบบวัดความเชื่ออํานาจในตน จํานวน 10 ขอ มีค%าอํานาจ
จําแนกตั้งแต% .436 ถึง .660 ค%าความเชื่อถือไดเท%ากับ .853 ฉบับที่ 7 เปHนแบบวัดเจตคติต%อพฤติกรรม
การพัฒนาตนใหรอบรู จํานวน 10 ขอ มีค%าอํานาจจําแนกตั้งแต% .594 ถึง .714 ค%าความเชื่อถือได
เท%ากับ 0.881 และฉบับที่ 8 เปHนแบบวัดพฤติกรรมการพัฒนาตนใหรอบรูของนักเรียน จํานวน 20 ขอ
มีค%าอํานาจจําแนกตั้งแต% .521 ถึง .745 และค%าความเชื่อถือไดเท%ากับ .930 สถิติที่ใชในการวิเคราะห4
ขอมูล ไดแก% ค%าเฉลี่ย ส%วนเบี่ยงเบนมาตรฐาน การทดสอบค%า t การทดสอบค%า F ค%า Tolerance
ค%า VIF และวิเคราะห4การถดถอยพหุคูณ ผลการวิจัยพบว%า ตัวพยากรณ4ทั้ง 7 ตัว ไดแก% ตัวแปรในกลุ%ม
ลักษณะสถานการณ4 3 ตัวแปร คือ การไดรับแบบอย%างการพัฒนาตนใหรอบรู การไดรับการสนับสนุน
จากคนรอบดานและบรรยากาศในโรงเรียน ตัวแปรในกลุ%มจิตลักษณะเดิม 3 ตัวแปร คือลักษณะมุ%ง
อนาคตและการควบคุมตน แรงจูงใจใฝ:สัมฤทธิ์ และความเชื่ออํานาจในตน และตัวแปรในกลุ%มจิต
ลักษณะตามสถานการณ4อีก 1 ตัวแปร คือ เจตคติต%อการพัฒนาตนใหรอบรู มีความสัมพันธ4ในเชิง
เสนตรงทางบวกกับพฤติกรรม การพัฒนาตนใหรอบรู ของนักเรียนช%วงชั้นที่ 2 อย%างมีนัยสําคัญทางสถิติ
ที่ระดับ .05 โดยมีค%า สัมประสิทธิ์สหสัมพันธ4พหุคูณเท%ากับ .775 แสดงว%าตัวแปรพยากรณ4ชุดนี้ร%วมกัน
สามารถพยากรณ4 พฤติกรรมการพัฒนาตนใหรอบรูของนักเรียน ไดรอยละ 60.1 และมีความ
คลาดเคลื่อนมาตรฐาน ในการพยากรณ4เท%ากับ 8.202 โดยที่แรงจูงใจใฝ:สัมฤทธิ์พยากรณ4ไดมากที่สุด
ตัวแปรพยากรณ4ที่ดีของพฤติกรรมการพัฒนาตนใหรอบรูของนักเรียนมีทั้งหมด 5 ตัวแปร เรียง
ตามลําดับความสําคัญ ดังนี้ แรงจูงใจใฝ:สัมฤทธิ์ ( X5 ) ความเชื่ออํานาจในตน ( X6 ) ลักษณะมุ%งอนาคต
และการควบคุมตน ( X4 ) บรรยากาศในโรงเรียน ( X3 ) และการไดรับแบบอย%าง การพัฒนาตนใหรอบรู
( X1 ) ซึ่งตัวแปรพยากรณ4ชุดนี้ร%วมกันสามารถพยากรณ4พฤติกรรมการพัฒนา ตนใหรอบรูของนักเรียนได
รอยละ 59.9 และมีความคลาดเคลื่อนมาตรฐานในการพยากรณ4เท%ากับ 8.206
59
ศิวกานต4 ธิมาชัย (2552 : 88-94) ไดศึกษาความสัมพันธ4ของป6จจัยทางจิตสังคมที่
เกี่ยวของกับพฤติกรรรมการพัฒนาตนใหรอบรูของขาราชการครู สังกัดสํานักงานเขตพื้นที่การศึกษา
ยโสธร เขต 2 การวิจัยครั้งนี้มีวัตถุประสงค4เพื่อ 1) ศึกษาความสัมพันธ4ระหว%างตัวแปร ในกลุ%มลักษณะ
สถานการณ4 คือ การไดรับการสนับสนุนจากคนรอบดานบรรยากาศในโรงเรียน การไดรับแบบอย%าง
การพัฒนาตนใหรอบรู กลุ%มจิตลักษณะเดิมคือ แรงจูงใจใฝ:สัมฤทธิ์ ลักษณะมุ%งอนาคตและการควบคุมตน
และความเชื่ออํานาจในตน และกลุ%มจิตลักษณะตามสถานการณ4คือ เจตคติต%อพฤติกรรมการพัฒนาตน
ใหรอบรูของขาราชการครูกับพฤติกรรมการพัฒนาตนใหรอบรูของขาราชการครู 2) วิเคราะห4ตัว
พยากรณ4ที่ดีของพฤติกรรรมการพัฒนาตนใหรอบรูของขาราการครู และ 3) สรางสมการพยากรณ4พฤติ
กรรรมการพัฒนาตนใหรอบรูของขาราชการครูกลุ%มตัวอย%างที่ใชในการวิจัยครั้งนี้เปHนขาราชการครู
สังกัดสํานักงานเขตพื้นที่การศึกษายโสธร เขต 2 จํานวน 350 คน ซึ่งไดมาโดยการสุ%มแบบแบ%งชั้น
เครื่องมือที่ใชวัดตัวแปร ประกอบดวยแบบวัด 8 ฉบับ มีลักษณะเปHนแบบมาตราส%วนประมาณค%า 6
ระดับ คือ จริงที่สุดจริง ค%อนขางจริง ค%อนขางไม%จริง ไม%จริง และไม%จริงเลย โดยที่ฉบับที่ 1 เปHนแบบวัด
การไดรับการไดรับการสนับสนุนจากคนรอบดาน จํานวน 26 ขอ มีค%าอํานาจจําแนกตั้งแต% .304
ถึง .715 ค%าความเชื่อถือไดเท%ากับ .901 ฉบับที่ 2 แบบวัดบรรยากาศในโรงเรียน จํานวน 16 ขอ
มีค%าอํานาจจําแนกตั้งแต% .231 ถึง .796 ค%าความเชื่อถือไดเท%ากับ .898 ฉบับที่ 3 แบบวัดการไดรับ
แบบอย%างการพัฒนาตนใหรอบรู จํานวน 26 ขอ มีค%าอํานาจจําแนกตั้งแต% .327 ถึง .810
ค%าความเชื่อถือไดเท%ากับ .942 ฉบับที่ 4 แบบวัดแรงจูงใจใฝ:สัมฤทธิ์ จํานวน 24 ขอ มีค%าอํานาจจําแนก
ตั้งแต% .338 ถึง .739 ค%าความเชื่อถือไดเท%ากับ .932 ฉบับที่ 5 แบบวัดลักษณะมุ%งอนาคตและ
การควบคุมตน จํานวน 22 ขอ มีค%าอํานาจจําแนกตั้งแต% .304 ถึง .673 ค%าความเชื่อถือไดเท%ากับ .868
ฉบับที่ 6 แบบวัดความเชื่ออํานาจในตน จํานวน 11ขอ มีค%าอํานาจจําแนกตั้งแต% .257 ถึง .663
ค%าความเชื่อถือไดเท%ากับ .772 ฉบับที่ 7 แบบวัดเจตคติต%อพฤติกรรมการพัฒนาตนใหรอบรู
จํานวน 18 ขอ มีค%าอํานาจจําแนกตั้งแต% .285 ถึง .724 ค%าความเชื่อถือไดเท%ากับ .864 และฉบับที่ 8
แบบพฤติกรรมการพัฒนาตนใหรอบรูของขาราชการครู จํานวน 34 ขอ มีค%าอํานาจจําแนกตั้งแต% .342
ถึง .710 ค%าความเชื่อถือไดเท%ากับ .936 สถิติที่ใชในการวิเคราะห4ขอมูล ไดแก% ค%าเฉลี่ย ส%วนเบี่ยงเบน
มาตรฐาน การทดสอบค%า t การทดสอบค%า F ค%า Tolerance ค%า VIF และวิเคราะห4การถดถอยพหุคูณ
ผลการวิจัยพบว%า ตัวแปรในกลุ%มลักษณะสถานการณ4 คือ การไดรับการสนับสนุนจากคนรอบดาน
บรรยากาศในโรงเรียน การไดรับแบบอย%างการพัฒนาตนใหรอบรู กลุ%มจิตลักษณะเดิม คือ แรงจูงใจใฝ:
สัมฤทธิ์ ลักษณะมุ%งอนาคตและการควบคุมตน และความเชื่ออํานาจในตน และกลุ%มจิตลักษณะตาม
สถานการณ4คือ เจตคติต%อพฤติกรรมการพัฒนาตนใหรอบรูของขาราชการครูกับพฤติกรรมการพัฒนาตน
ใหรอบรูของขาราชการครู มีความสัมพันธ4ในเชิงเสนตรงทางบวกกับพฤติกรรม การพัฒนาตนใหรอบรู
ของขาราชการครู อย%างมีนัยสําคัญทางสถิติที่ระดับ .01 โดยมีค%าสัมประสิทธิ์สหสัมพันธ4พหุคูณเท%ากับ
0.876 แสดงว%าตัวแปรพยากรณ4ชุดนี้ร%วมกันสามารถพยากรณ4พฤติกรรมการพัฒนาตนใหรอบรูของ
ขาราชการครู ไดรอยละ 76.8 และมีความคลาดเคลื่อนมาตรฐานในการพยากรณ4เท%ากับ .257
โดยที่ลักษณะมุ%งอนาคตและการควบคุมตน พยาการณ4ไดมากที่สุด ตัวแปรพยากรณ4ที่ดีของพฤติกรรม
การพัฒนาตนใหรอบรูของราชการครูมีทั้งหมด 3 ตัวแปร เรียงตามลําดับความสําคัญ ดังนี้ ลักษณะมุ%ง
อนาคตและการควบคุม (X5 ) เจตคติต%อพฤติกรรมการพัฒนาตนใหรอบรู (X7 ) แรงจูงใจใฝ:สัมฤทธิ์ (X4)
60
ซึ่งตัวแปรพยากรณ4ชุดนี้ร%วมกันสามารถพยากรณ4พฤติกรรมการพัฒนาตนใหรอบรูของขาราชการครูได
รอยละ 76.2 และมีความคลาดเคลื่อนมาตรฐานในการพยากรณ4เท%ากับ .259
ประภาพร คนซื่อ (2552 : 70-72) ไดศึกษาความสัมพันธ4ของป6จจัยดานลักษณะมุ%ง
อนาคต ความเชื่อมั่นในตนเอง สัมพันธภาพระหว%างนักเรียนกับเพื่อน และอิทธิพลของตัวแบบสัญลักษณ4
ที่ส%งผลต%อความสามารถในการควบคุมตนเองดานอารมณ4และดานพฤติกรรม กลุ%มตัวอย%างที่ใชใน
การศึกษาครั้งนี้เปHนนักเรียนมัธยมศึกษาป…ที่ 3 ภาคเรียนที่ 1 ป…การศึกษา 2551ในเขตพื้นที่การศึกษา
ลพบุรี เขต 2 จํานวนทั้งสิ้น 217 คน ไดมาจากการสุ%มแบบสองขั้นตอน เครื่องมือที่ใชในการวิจัย
ประกอบดวย แบบสอบถามวัดความสามารถในการควบคุมตนเองดานอารมณ4 และดานพฤติกรรม
ลักษณะมุ%งอนาคต ความเชื่อมั่นในตนเอง สัมพันธภาพระหว%างนักเรียนกับเพื่อน และอิทธิพลของตัว
แบบสัญลักษณ4 มีค%าความเชื่อมั่นแต%ละฉบับเท%ากับ .844 .870 .810 .899 และ .888 ตามลําดับ
วิเคราะห4ขอมูลดวยการวิเคราะห4ถดถอยพหุคูณแบบตัวแปรตามหลายตัว (Multivariate Multiple
Regression Analysis : MMR) ผลการวิจัยพบว%า1. ค%าสัมประสิทธิ์การถดถอยระหว%างตัวแปรป6จจัยกับ
ความสามารถในการควบคุมตนเองดานอารมณ4 และดานพฤติกรรม มีค%าวิลค4แลมดา เท%ากับ .414 และ
ค%าสัมประสิทธิ์สหสัมพันธ4พหุคูณระหว%างตัวแปรป6จจัยกับตัวแปรตามแต%ละตัวมีค%า .596 และ .705
ซึ่งมีนัยสําคัญทางสถิติที่ระดับ .01 ทุกค%า และมีความแปรผันร%วมกัน 35.6% และ 49.8% 2.
ค%าน้ําหนักความสําคัญของป6จจัยที่ส%งผลต%อความสามารถในการควบคุมตนเอง ดังนี้ ป6จจัยที่ส%งผลต%อ
ความสามารถในการควบคุมตนเองดานอารมณ4 ไดแก% สัมพันธภาพระหว%างนักเรียนกับเพื่อน (.234)
อิทธิพลของตัวแบบสัญลักษณ4 (.229) และ ความเชื่อมั่นในตนเอง (.197) ส%งผลทางบวกอย%างมีนัยสําคัญ
ทางสถิติที่ระดับ .01 ป6จจัยที่ส%งผลต%อความสามารถในการควบคุมตนเองดานพฤติกรรม ไดแก%
ลักษณะมุ%งอนาคต (.421) และอิทธิพลของตัวแบบสัญลักษณ4 ( .368) ส%งผลทางบวกอย%างมีนัยสําคัญ
ทางสถิติที่ระดับ .01 และความเชื่อมั่นในตนเอง (.159) ส%งผลทางบวกอย%างมีนัยสําคัญ
ทางสถิติที่ระดับ .05
จิราภรณ4 ธรรมวงษ4 (2553 : 75-92) ไดศึกษาความสัมพันธ4ของป6จจัยที่มีอิทธิพลต%อ
การรับรูความสามารถของตนเองในวิชาคอมพิวเตอร4ของนักเรียน และตรวจสอบความตรงของโมเดล
ป6จจัยที่มีอิทธิพลต%อการรับรูความสามารถของตนเองในวิชาคอมพิวเตอร4ของนักเรียนสังกัดสํานักงาน
เขตพื้นที่การศึกษา ภาคตะวันออกเฉียงเหนือตอนบน กลุ%มตัวอย%างในการวิจัยครั้งนี้คือ นักเรียน
มัธยมศึกษาป…ที่ 4 สังกัดสํานักงานเขตพื้นที่การศึกษา ภาคตะวันออกเฉียงเหนือตอนบน จํานวน 6
จังหวัด ไดแก% กาฬสินธุ4 ขอนแก%น มหาสารคาม เลย หนองบัวลําภู และอุดรธานี จํานวน 680 คน
ไดมาโดยการสุ%มแบบหลายขั้นตอน (Multi-stage Random Sampling) เครื่องมือที่ใชในการวิจัย คือ
แบบวัดป6จจัยที่มีอิทธิพลต%อการรับรูความสามารถของตนเองในวิชาคอมพิวเตอร4 จํานวน 72 ขอ
มีค%าอํานาจจําแนก ตั้งแต% .20 ถึง .75 มีค%าความเชื่อมั่น เท%ากับ .95 วิเคราะห4ขอมูลโดยใชสถิติเชิง
บรรยาย สัมประสิทธิ์สหสัมพันธ4 และการวิเคราะห4โมเดลสมการโครงสรางผลการวิจัยปรากฏดังนี้ 1.
ป6จจัยที่มีอิทธิพลทางตรงต%อการรับรูความสามารถของตนเองในวิชาคอมพิวเตอร4 คือ พฤติกรรมใฝ:รู
ป6จจัยที่มีอิทธิพลทั้งทางตรงและทางออมต%อการรับรูความสามารถของตนเอง ในวิชาคอมพิวเตอร4
ไดแก% แรงจูงใจใฝ:สัมฤทธิ์ ป6จจัยที่มีอิทธิพลทางออมต%อการรับรูความสามารถของตนเองในวิชา
คอมพิวเตอร4 คือ เจตคติต%อการวิจัย และความเชื่อมั่นในตนเอง 2. โมเดลป6จจัยที่มีอิทธิพลต%อการรับรู
ความสามารถของตนเองในวิชาคอมพิวเตอร4ของนักเรียน มีความสอดคลองกับขอมูลเชิงประจักษ4
61
(
2
χ = 4.00, df = 5, p = 0.55) ดัชนีวัดระดับความกลมกลืน (GFI) เท%ากับ 1.00 และดัชนีวัด
ระดับความกลมกลืนที่ปรับแกแลว (AGFI) เท%ากับ 0.98 ดัชนีรากของค%าเฉลี่ยกําลังสองของส%วนที่เหลือ
(RMR) เท%ากับ 0.007 โมเดลอธิบายความแปรปรวนของการรับรูความสามารถของตนเองในการวิจัยได
รอยละ 50.00 (R2 = .50) โดยสรุป ป6จจัยหลายประการที่มีอิทธิพลต%อการรับรูความสามารถของตนเอง
ในวิชาคอมพิวเตอร4ของนักเรียนระดับมัธยมศึกษาป…ที่ 4 สังกัดสํานักงานเขตพื้นที่การศึกษาภาค
ตะวันออกเฉียงเหนือตอนบน ไดแก% การรับรูความสามารถของตนเอง พฤติกรรมใฝ:รู เจตคติต%อ
วิชาคอมพิวเตอร4 แรงจูงใจใฝ:สัมฤทธิ์ และความเชื่อมั่นในตนเอง
นิตยา กัณณิกาภรณ4 (2553 : 120 - 127) ไดศึกษาความสัมพันธ4ของป6จจัยบางประการ
ที่ส%งผลต%อการพัฒนาตนเองตามจรรยาบรรณวิชาชีพของขาราชการครูสังกัดกรุงเทพมหานคร
จุดประสงค4เพื่อศึกษาความสัมพันธ4และค%าน้ํา หนักความสําคัญของตัวป6จจัย ไดแก% การรับรูใน
ความสามารถของตนเอง ความทะเยอทะยาน เจตคติต%ออาชีพครู และการสนับสนุนของผูบริหาร
สถานศึกษา ที่ส%งผลต%อการพัฒนาตนเองตามจรรยาบรรณวิชาชีพครู ในดานวิชาชีพ ดานวิสัยทัศน4
ดานบุคลิกภาพ ประชากรใชในการวิจัยครั้งนี้คือ ครูในกลุ%มกรุงเทพเหนือสังกัดกรุงเทพมหานคร
ภาคเรียนที่ 2 ป…การศึกษา 2552 จํานวน 46 โรงเรียน มีครูทั้งสิ้น 2,332 คน กลุ%มตัวอย%างที่ใชใน
การวิจัยในครั้งนี้ คือ ครูในโรงเรียนกลุ%มกรุงเทพเหนือ สังกัดกรุงเทพมหานคร ภาคเรียนที่ 2 ป…การศึกษา
2552 จํานวน 8 โรงเรียน มีครูทั้งสิ้น 334 คนซึ่งไดมาดวยวิธีการสุ%มหลายขั้น (Multi-Stage Random
Sampling) เครื่องมือใชรวบรวมขอมูลประกอบดวย แบบสอบถามวัดการพัฒนาตนเองตามแนว
จรรยาบรรณวิชาชีพครู แบบสอบถามวัดการรับรูในความสามารถของตน แบบสอบถามวัดความ
ทะเยอทะยาน แบบสอบถามวัดเจตคติต%ออาชีพครู และแบบสอบถามวัดการสนับสนุนของผูบริหาร
สถานศึกษา มีความเชื่อมั่นกับ .928, .860, .840, .924และ .918 ตามลําดับ การวิเคราะห4ขอมูล
โดยใชสถิติการวิเคราะห4การถดถอยพหุคูณแบบตัวแปรพหุนาม (Multivariate Multiple Regression :
MMR) และการวิเคราะห4การถดถอยพหุคูณแบบตัวแปรแบบเอกนาม (Univariate Multiple
Regression: MR) ผลการศึกษาพบว%า สัมประสิทธิ์สหสัมพันธ4ระหว%างกลุ%มตัวแปรป6จจัย ไดแก%
การรับรูในความสามารถของตนเอง ความทะเยอทะยาน เจตคติต%ออาชีพครู และการสนับสนุนของ
ผูบริหารสถานศึกษา กับ การพัฒนาตนเองตามแนวจรรยาบรรณวิชาชีพครู ทั้ง 3 ดาน มีค%าเท%ากับ .299
(Wilks’s Lambda =.299) มีนัยสําคัญทางสถิติที่ระดับ .01 และค%าสหสัมพันธ4พหุคูณระหว%างตัวแปร
ป6จจัยดังกล%าวกับการพัฒนาตนเองตามแนวจรรยาบรรณวิชาชีพครูในแต%ละดาน มีค%าเท%ากับ .651 ,
.721 และ .764 ตามลําดับอย%างมีนัยสําคัญทางสถิติที่ระดับ .01 ค%าน้ําหนักความสําคัญของกลุ%มตัวแปร
ป6จจัยที่ส%งผลต%อการพัฒนาตนเองตามจรรยาบรรณวิชาชีพครูในแต%ละดาน พบว%า ตัวแปรการรับรูใน
ความสามารถของตนเอง ส%งผลต%อการพัฒนาตนเองตามจรรยาบรรณวิชาชีพครู ในดานวิชาชีพ
ดานวิสัยทัศน4 และดานบุคลิกภาพ อย%างมีนัยสําคัญทางสถิติที่ระดับ .01 ตัวแปรความทะเยอทะยาน
และตัวแปรการสนับสนุนของผูบริหารสถานศึกษา ส%งผลการพัฒนาตนเองตามจรรยาบรรณวิชาชีพครู
ในดานวิชาชีพ และดานวิสัยทัศน4 อย%างมีนัยสําคัญทางสถิติที่ระดับ .01 และ .05 ตามลําดับ ส%วนตัวแปร
เจตคติต%ออาชีพครู ส%งผลต%อการพัฒนาตนเองตามจรรยาบรรณวิชาชีพครู ในดานวิสัยทัศน4 และ
ดานบุคลิกภาพ อย%างมีนัยสําคัญทางสถิติที่ระดับ .01
62
วาสนา จันทร4จ%าย (2553 : 80-86) ไดศึกษาความสัมพันธ4ของป6จจัยบางประการที่ส%งผล
ต%อการพัฒนาตนเองของนักศึกษามหาวิทยาลัยราชภัฏสวนดุสิต มีวัตถุประสงค4เพื่อหาความสัมพันธ4
ระหว%างป6จจัยบางประการ ไดแก% แรงจูงใจใฝ:สัมฤทธิ์ ความเชื่ออํานาจภายในตน การรับรูความสามารถ
ของตนเอง การควบคุมตนเองและการปรับตัว กับการพัฒนาตนเองของนักศึกษามหาวิทยาลัยราชภัฏ
สวนดุสิต และเพื่อศึกษาค%าน้ําหนักความสําคัญของป6จจัยบางประการดังกล%าวที่ส%งผลต%อการพัฒนา
ตนเองของนักศึกษา โดยมีกลุ%มตัวอย%างเปHนนักศึกษามหาวิทยาลัยราชภัฏสวนดุสิต ภาคเรียนที่ 2 ป…
การศึกษา 2552 จํานวน 899 คน จากจํานวนประชากร 14,719 คน ซึ่งไดมาจากการสุ%มแบบสอง
ขั้นตอน (Two – Stage Random Sampling) เครื่องมือที่ใชในการวิจัย ไดแก% แบบสอบถามวัดการรับรู
ความสามารถของตนเอง แบบสอบถามวัดความเชื่ออํานาจภายในตน แบบสอบถามวัดการควบคุม
ตนเองแบบสอบถามวัดการปรับตัว แบบสอบถามวัดแรงจูงใจใฝ:สัมฤทธิ์ และแบบสอบถามวัดการพัฒนา
ตนเอง มีค%าความเชื่อมั่นเท%ากับ .892, .905, .932, .932, .934 และ .946 ตามลําดับ สถิติที่ใช
วิเคราะห4ขอมูล คือ สหสัมพันธ4พหุคูณ (Multiple Correlation) และการถดถอยพหุคูณ (Multiple
Regression) ผลการวิจัยสรุปได ดังนี้ ป6จจัยบางประการ ไดแก% แรงจูงใจใฝ:สัมฤทธิ์ ความเชื่ออํานาจ
ภายในตน การรับรูความสามารถของตนเอง การควบคุมตนเอง และการปรับตัว มีความสัมพันธ4กับ
การพัฒนาตนเองอย%างมีนัยสําคัญทางสถิติที่ระดับ .01 โดยมีค%าสัมประสิทธิ์สหสัมพันธ4พหุคูณ เท%ากับ
0.798 กําลังสองของสัมประสิทธิ์สหสัมพันธ4พหุคูณ มีค%าเท%ากับ .637 ป6จจัยทั้ง 5 ป6จจัย ร%วมกันอธิบาย
ความแปรปรวนของการพัฒนาตนเอง ไดรอยละ 63.70 ป6จจัยทั้งหาประการ ส%งผลทางบวกต%อการ
พัฒนาตนเอง อย%างมีนัยสําคัญทางสถิติที่ระดับ .01 โดยแรงจูงใจใฝ:สัมฤทธิ์ ส%งผลมากที่สุดต%อการพัฒนา
ตนเอง รองลงมาไดแก% การรับรูความสามารถของตนเอง การควบคุมตนเอง ความเชื่ออํานาจภายในตน
และการปรับตัว ซึ่งมีค%าน้ําหนักความสําคัญในรูปคะแนนมาตรฐาน เท%ากับ .502 , .143 , .127 , .118
และ .084 ตามลําดับ
สมใจ ธนเกียรติมงคล (2553 : 110-137) ไดศึกษาความสัมพันธ4ของสาเหตุต%อ
การรับรูความสามารถของตนเองในการทําปริญญานิพนธ4ตามทฤษฎีการรับรูความสามารถของตนเอง
ของนิสิตระดับบัณฑิตศึกษา คณะศึกษาศาสตร4 มหาวิทยาลัยศรีนครินทรวิโรฒ ผลกระทบ
ทางตรง ผลกระทบทางออม และผลกระทบรวม ของตัวแปรสาเหตุภายใตกรอบทฤษฎีการรับรู
ความสามารถของตนเอง ศึกษาพฤติกรรมการทําปริญญานิพนธ4ของนิสิตระดับบัณฑิตศึกษา
คณะศึกษาศาสตร4 มหาวิทยาลัยศรีนครินทรวิโรฒ ในลักษณะกรณีศึกษาจํานวน 5 คน กลุ%มตัวอย%าง
แบ%งออกเปHน 2 กลุ%ม คือ กลุ%มที่ 1 เปHนนิสิตระดับบัณฑิตศึกษาที่กําลังศึกษาในคณะศึกษาศาสตร4
มหาวิทยาลัยศรีนครินทรวิโรฒ ประจําภาคเรียนที่ 1 ป…การศึกษา 2552 มีจํานวน 208 คนโดยการสุ%ม
ตัวอย%างแบบหลายขั้นตอน และกลุ%มที่ 2 คือ นิสิตระดับบัณฑิตศึกษาจํานวน 5 คนโดยการเลือกแบบ
เจาะจง เครื่องมือที่ใชในการวิจัยเปHนแบบสอบถาม และแบบสัมภาษณ4อย%างมีโครงสราง ทําการ
วิเคราะห4ขอมูลโดยใชเทคนิคการวิเคราะห4โมเดลสมการโครงสรางเชิงเสน ประกอบกับการวิเคราะห4
ขอมูลเชิงพรรณนาเพื่ออธิบาย ผลการศึกษาพบว%า1. โมเดลเชิงสาเหตุของการรับรูความสามารถของ
ตนเองในการทําปริญญานิพนธ4ที่สรางขึ้นตามทฤษฎีที่เกี่ยวของกับพฤติกรรมการทํางานในองค4การ
เฉพาะส%วนที่สามารถนํามาประยุกต4ใชในทางการศึกษาได ทฤษฎีทางจิตวิทยาที่เกี่ยวกับพฤติกรรม
การทํางานและพฤติกรรมจริยธรรมและทฤษฎีการรับรู ความสามารถของตนเองของ Bandura
63
มีความสอดคลองกับขอมูลเชิงประจักษ4 (
2
χ = 104.064,df = 103, p > 0.05,
2
χ /df = 1.010,
RMSEA = 0.007, SRMR = 0.050, GFI = 0.952, AGFI = 0.902, CN = 271.904) 2) การรับรู
ความสามารถของตนเองในการทําปริญญานิพนธ4 ไดรับผลกระทบรวมสูงสุดจากแรงจูงใจใฝ:สัมฤทธิ์
รองลงมาคือ การสนับสนุนทางสังคม มีค%าอิทธิพลเท%ากับ 0.675 และ 0.271ตามลําดับ และไดรับ
ผลกระทบทางตรงจากแรงจูงใจใฝ:สัมฤทธิ์สูงสุด รองลงมาคือการสนับสนุนทางสังคม มีค%าอิทธิพลเท%ากับ
0.987 และ -0.372 ตามลําดับ นอกจากนี้ยังไดรับผลกระทบทางออมจากลักษณะมุ%งอนาคต-ควบคุมตน
สูงสุด โดยส%งผลกระทบทางออมมายังการรับรูความสามารถของตนเองในการทําปริญญานิพนธ4ผ%าน
การสนับสนุนทางสังคมและความวิตกกังวลในสถิติเพื่อการวิจัย มีค%าสัมประสิทธิ์เสนทางเท%ากับ -0.143
โดยที่ตัวแปรแฝงเชิงสาเหตุทั้งหมดร%วมกันอธิบายความแปรปรวนของการรับรูความสามารถของตนเอง
ในการทําปริญญานิพนธ4ไดรอยละ 59.503. ผลการศึกษาพฤติกรรมการทําปริญญานิพนธ4ของนิสิตระดับ
บัณฑิตศึกษาดวยการสัมภาษณ4อย%างมีโครงสรางพบตัวแปรป6จจัยที่มีอิทธิพลต%อการรับรูความสามารถ
ของตนเองในการทําปริญญานิพนธ4คือ แรงจูงใจใฝ:สัมฤทธิ์ การสนับสนุนทางสังคม บทบาทอาจารย4ที่
ปรึกษาปริญญานิพนธ4 และลักษณะมุ%ง อนาคต-ควบคุมตน ตามลําดับ
นิศากร ลอกไธสง (2553 : 91-111) ไดศึกษาความสัมพันธ4ของป6จจัยที่มีอิทธิพลต%อ
การรับรูความสามารถของตนเองในการวิจัยของขาราชการครู สังกัดสํานักงานเขตพื้นที่การศึกษา
ภาคตะวันออกเฉียงเหนือตอนบนและ เพื่อตรวจสอบความตรงของโมเดลป6จจัยที่มีอิทธิพลต%อการรับรู
ความสามารถของตนเองในการวิจัยของขาราชการครู สังกัดสํานักงานเขตพื้นที่การศึกษาภาค
ตะวันออกเฉียงเหนือตอนบน กลุ%มตัวอย%างในการวิจัยครั้งนี้ คือ ขาราชการครู สังกัดสํานักงานเขตพื้นที่
การศึกษาภาคตะวันออกเฉียงเหนือตอนบน จํานวน 7 จังหวัด ไดแก% กาฬสินธุ4 ขอนแก%น มหาสารคาม
รอยเอ็ด เลย หนองบัวลําภู และอุดรธานี จํานวน 918 คน ไดมาโดยการสุ%มแบบหลายขั้นตอน
เครื่องมือที่ใชในการวิจัย คือแบบวัดป6จจัยที่มีอิทธิพลต%อการรับรูความสามารถของตนเองในการวิจัย
จํานวน 90 ขอ มีค%าอํานาจจําแนก ตั้งแต% 0.20 ถึง 0.77 มีค%าความเชื่อมั่นเท%ากับ 0.96 วิเคราะห4ขอมูล
โดยใชสถิติเชิงบรรยาย สัมประสิทธิ์สหสัมพันธ4 การวิเคราะห4องค4ประกอบเชิงยืนยัน และการวิเคราะห4
โมเดลสมการโครงสราง ผลการวิจัยปรากฏดังนี้1) ป6จจัยที่มีอิทธิพลทางตรงต%อการรับรูความสามารถ
ของตนเองในการวิจัย คือ พฤติกรรมใฝ:รู ป6จจัยที่มีอิทธิพลทั้งทางตรงและทางออมต%อการรับรู
ความสามารถของตนเองในการวิจัย ไดแก% การถ%ายทอดทางสังคมขององค4การ แรงจูงใจใฝ:สัมฤทธิ์ใน
การวิจัย และบรรยากาศองค4การ ป6จจัยที่มีอิทธิพลทางออมต%อการรับรูความสามารถของตนเอง
ในการวิจัย คือ เจตคติต%อการวิจัย 2) โมเดลป6จจัยที่มีอิทธิพลต%อการรับรูความสามารถของตนเอง
ในการวิจัยของขาราชการครู สังกัดสํานักงานเขตพื้นที่การศึกษาภาคตะวันออกเฉียงเหนือตอนบน
มีความสอดคลองกับขอมูลเชิงประจักษ4 (
2
χ = 45.40, df = 48, p = 0.58) พบว%าดัชนีวัดระดับ
ความกลมกลืน (GFI) เท%ากับ 1.00 และดัชนีวัดระดับความกลมกลืนที่ปรับแกแลว (AGFI) เท%ากับ 0.97
ดัชนีรากของค%าเฉลี่ยกําลังสองของส%วนที่เหลือ (RMR) เท%ากับ 0.062 โมเดลสามารถอธิบายความ
แปรปรวนของการรับรูความสามารถของตนเองในการวิจัยไดรอยละ 66.00 (R2
= 0.66) โดยสรุป
ป6จจัยที่มีอิทธิพลต%อการรับรูความสามารถของตนเองในการวิจัย แต%ละป6จจัยมีความสัมพันธ4เชื่อมโยงกัน
64
จากเอกสารและงานวิจัยทั้งในประเทศ พบว%า ป6จจัยที่ส%งผลต%อการพัฒนาตนเอง
ประกอบดวย แรงจูงใจใฝ:สัมฤทธิ์ การรับรูความสามารถของตนเอง การควบคุมตนเอง ความเชื่อมั่น
ในตนเอง การมองโลกในแง%ดี กับการพัฒนาตนเอง ต%างก็มีความสัมพันธ4ซึ่งกันและกัน ในทั้งนี้จะเห็นได
ว%างานวิจัยที่กล%าวมาจะเนนกลุ%มตัวอย%างที่เปHนนักเรียน ครู นักศึกษา รวมไปถึงเปHนความสัมพันธ4ของ
ป6จจัยกับการพัฒนาตนเองของนักเรียน เพื่อพัฒนาใหเด็กเหล%านี้เปHนผูใหญ%ที่ดีในอนาคตต%อไป แต%ใน
ส%วนการพัฒนาตนเองในนักเรียนมัธยมศึกษาป…ที่ 6 เนื่องจากนักเรียนในระดับชั้นนี้จะตองไปศึกษาต%อใน
ระดับมหาวิทยาลัยและตองใชผลสัมฤทธิ์ทางการเรียนในการสอบเขาศึกษาต%อ จากผลการวิจัยที่พบจะ
ทําใหผูที่เกี่ยวของสามารถหาทางพัฒนาและส%งเสริมใหนักเรียนมีการพัฒนาตนเองเพิ่มขึ้น อันจะส%งผล
ถึงผลสัมฤทธิ์ทางการเรียนและนิสัยในการทํางานต%อไป จึงทําใหผูวิจัยสนใจและตองการที่จะศึกษาว%า
ป6จจัยที่ส%งผลต%อการพัฒนาตนเองของนักเรียน มัธยมศึกษาป…ที่ 6 เพื่อนําไปเปHนขอสนเทศใหครู
ผูปกครองและหน%วยงานที่เกี่ยวของ ใชเปHนขอมูลพื้นฐานในการพัฒนาโปรแกรมหรือเทคนิคการสอน
เพื่อพัฒนาผูเรียนใหสามารถพัฒนาตนเอง ซึ่งจะส%งผลใหประสบความสําเร็จทั้งในดานการเรียน
การประกอบอาชีพ และการดําเนินชีวิตต%อไป
2. งานวิจัยต%างประเทศ
Schunk (1982 : Web Site) ไดศึกษาวิจัยเรื่อง แรงจูงใจใฝ:สัมฤทธิ์ของ
พฤติกรรมในแง%มุมความมีประสิทธิภาพของตนเอง ซึ่งจากผลการวิจัย พบว%า ความสัมพันธ4
ระหว%างประสิทธิภาพของตนเองกับแรงจูงใจใฝ:สัมฤทธิ์มีอิทธิพลต%อการแสดงพฤติกรรมใน
สถานการณ4ต%าง ๆ ทั้งในประสิทธิภาพที่มาจากความสําเร็จในการทํางาน การพัฒนาความสามารถ
ของตนเอง ซึ่งในการวิจัยไดทําการศึกษาโดยการมุ%งเนนกระบวนการในการพัฒนาตนเอง
ประสิทธิภาพทักษะ การทดสอบการประเมินประสิทธิภาพและความสามารถของตนเอง
Kelly และคณะ (2008 : 49-76) ไดทําการศึกษาเกี่ยวกับการส%งเสริมการพัฒนาตนเอง
และการตัดสินใจ โดยการประเมินผลในชั้นเรียน เปHนการเชื่อมโยงระหว%างการเรียนการสอน
เพื่อความยุติธรรมและการประเมินในชั้นเรียน โดยการประเมินเปHนชุดกระบวนการพัฒนาตนเอง
วิเคราะห4 1) หาวิธีการสอนของครูผ%านการประเมินผลการปฏิบัติต%างๆทั้งภายในและภายนอกหองเรียน
2) มาตรฐานการปฏิบัติงานที่มุ%งช%วยใหครูผูสอนประเมินความกาวหนาของนักเรียนที่มีต%อ
ความรับผิดชอบต%อสังคม เพื่อพิจารณาตัวเองมากขึ้น ผลการศึกษาสรุปไดว%า การประเมินการปฏิบัติทาง
สังคมจะตองมีการติดต%อสื่อสารอย%างชัดเจนกับ นักเรียนและผูปกครองเกี่ยวกับการปฏิบัติตน
หากพบป6ญหาก็ตองจัดลําดับความสําคัญ และจัดการแกป6ญหาอย%างเปHนระบบ เพื่อใหการประเมินผล
เปHนไปอย%างถูกตอง
Louys และคณะ (2009 : 70-81) ไดทําการศึกษาเกี่ยวกับการพัฒนาตนเอง
โดยใชโครงสรางพื้นฐานทางสังคม เนนการเพิ่มประสิทธิภาพโดยการพัฒนาตนเอง เปHนการเรียนรูตลอด
ชีวิต จากการทดลองศึกษาโดยใหมีการวางแผนการพัฒนาตนเอง การใชเทคโนโลยีนวัตกรรม และ
การเรียนรูจากสังคม การจัดการฝ~กอบรมดวยตนเองเพื่อช%วยใหผูเรียนสรางและวางแผนงานดวยตนเอง
ตามความสนใจ รวมถึงประสบการณ4จากการศึกษานอกระบบ ซึ่งเปHนแนวทางบ%งชี้สําหรับการพัฒนา
ตนเองในอนาคต โดยตนเองเปHนผูวางแผน
65
Mercer และ Jenny (2010 : 24-36) ไดทําการศึกษาเกี่ยวกับขั้นตอนของการพัฒนา
ตนเองของผูใหญ% ในมุมมองยอนกลับ เปHนการศึกษาลักษณะของการพัฒนาตนเอง และประสบการณ4
การขัดแยง กลุ%มตัวอย%าง จํานวน 20 คน โดยใชวิธีการสัมภาษณ4ใชทฤษฎีระบุความขัดแยงระหว%าง
การกลัวความลมเหลวและการประสบความสําเร็จ บานและสภาพแวดลอมภายนอก พบว%า การพัฒนา
ตนเอง ถือเปHนวิธีการต%อรองตนเองอีกวิธีหนึ่ง ซึ่งวิธีการนี้ใหผลทางดานบวกมากกว%าดานลบ และยัง
สามารถสรางความเขาใจเมื่อตองเผชิญป6ญหาในแบบเดียวกัน ก็ใชวิธีการเอาชนะเพื่อใหการเจริญเติบโต
ของร%างกายเปHนไปพรอมกับการพัฒนาตนเอง
Grootenboer (2012 : Web Site) ทําการศึกษาเรื่องการพัฒนาตนเอง ของอาจารย4
ผูเชี่ยวชาญ โดยการใชวิธี การวิจัยเชิงปฏิบัติการ โดยมีอาจารย4ที่รับผิดชอบ หลักสูตรวิทยาศาสตร4
ที่มีประสบการณ4ในวิชาชีพโดยเฉลี่ย 24 ป… (ระหว%าง 5-26) ประกอบดวยอาจารย4ที่รับผิดชอบ
ในฐานะหัวหนาแผนคณิตศาสตร4ของโรงเรียน และผูมีส%วนร%วมอีก 2 คน สรุปผลการพัฒนาตนเองของ
ผูเชี่ยวชาญใหประสบผลสําเร็จ เปHนสิ่งที่ทุกฝ:ายยอมรับการดูแล การเอาใจใส%ผูเรียนและสิ่งที่พบคือ
การนิเทศ (เยี่ยมชม) และการสังเกตกันและกัน การปรึกษาจากผูเชี่ยวชาญที่มีประสบการณ4
การวิเคราะห4หาจุดอ%อน จุดแข็งของผูมีส%วนร%วม กระบวนการพัฒนาตนเองของผูเชี่ยวชาญ ตองแสดงกล
ยุทธ4 และประกาศใหคนส%วนใหญ%ร%วมดําเนินการต%อ เปHนการปรับปรุงพัฒนา ก%อกําเนิดความรู และ
ความชํานาญ ในวงการศึกษาและการสอน แกป6ญหาจากขอมูลที่คนพบดวยตนเอง
จากเอกสารและงานวิจัยในต%างประเทศ พบว%า มีการศึกษาเกี่ยวกับการพัฒนาตนเองการ
ในดาน การศึกษา ลักษณะของการพัฒนาตนเอง ประสบการณ4การขัดแยง การพัฒนาตนเองของผูใหญ%
การพัฒนาตนเองโดยใชโครงสรางพื้นฐานทางสังคม การประเมินผลในชั้นเรียน ชุดกระบวนการพัฒนา
ตนเอง เพื่อส%งเสริมการพัฒนาตนเองและการตัดสินใจ เพื่อเปHนการเชื่อมโยงระหว%าง การเรียนการสอน
รวมถึงประสบการณ4จากการศึกษานอกระบบ ซึ่งเปHนแนวทางบ%งชี้สําหรับการพัฒนาตนเองในอนาคต
กรอบแนวคิดในการวิจัย
ในการวิจัยครั้งนี้ ผูวิจัยมีจุดมุ%งหมายเพื่อพัฒนารูปแบบเชิงสมมุติฐานความสัมพันธ4เชิงสาเหตุ
ของป6จจัยที่ส%งผลต%อการพัฒนาตนเอง ของนักเรียนมัธยมศึกษาป…ที่ 6 สํานักงานเขตพื้นที่การศึกษา
มัธยมศึกษา เขต 19 (เลย - หนองบัวลําภู) โดยไดทําการศึกษาเอกสาร และงานวิจัยที่เกี่ยวของ
สังเคราะห4ตัวแปรที่ส%งผลต%อการพัฒนาตนเอง ดัง ตาราง 1
66
ตาราง 1 สังเคราะห4ตัวแปรที่ส%งผลต%อการพัฒนาตนเอง
ตัวแปร
ตาม
ตัวแปรตน ทฤษฏี/แนวคิด ผูวิจัย ป…ที่วิจัย กลุ%มตัวอย%าง
ผลการศึกษา
(ระดับนัยสําคัญ)
การ
พัฒนา
ตนเอง
(E3)
การควบคุม
ตนเอง (E1)
ทฤษฎีเชาว4อารมณ4
- Bandura (1977)
ทฤษฎีจิตวิเคราะห4
วาสนา จันทร4จ%าย 2553 นักศึกษา ส%งผลทางบวก
(.01)
การรับรู
ความสามาร
ถของตนเอง
(E2)
ทฤษฎีการรับรู
ความสามารถของ
ตนเอง -
Bandura
(1986)
อรอุษา จันทคร
นิตยา กัณณิกาภรณ4
วาสนา จันทร4จ%าย
2551
2553
2553
ครู
ครู
นักศึกษา
ส%งผลทางบวก
(.01)
ส%งผลทางบวก
(.01)
ส%งผลทางบวก
(.01)
การมองโลก
ในแง%ดี (K1)
Seligman (2006)
Goleman (1995)
ทฤษฎี X และ
ทฤษฎี Y
- แมกแกรเกอร4
สุภมาส จินะราช
กาญจนา บุบผัน
2549
2551
นักศึกษา
ครู
ส%งผลทางบวก
(.01)
ส%งผลทางบวก
(.05)
การ
พัฒนา
ตนเอง
(E3)
ความเชื่อมั่น
ในตนเอง
(K2)
ทฤษฎีErikson
ทฤษฎีของ Maslow
ทฤษฎีบุคลิกภาพ
- Eysenck (1954)
สุภมาส จินะราช
กาญจนา บุบผัน
2549
2551
นักศึกษา
ครู
ส%งผลทางบวก
(.01)
ส%งผลทางบวก
(.05)
แรงจูงใจใฝ:
สัมฤทธิ์
(K3)
ทฤษฎีแรงจูงใจใฝ:
สัมฤทธิ์
- McCelland (1969)
- Atkinson (1974)
ทฤษฎีบุคลิกภาพ
- Eysenck (1952)
สุภมาส จินะราช
เนาวรัตน4 ไตรยงค4
ศิวกานต4 ธิมาชัย
วาสนา จันทร4จ%าย
2549
2552
2552
2553
นักศึกษา
ช%วงชั้นที่2
ครู
นักศึกษา
ส%งผลทางบวก
(.01)
ส%งผลทางบวก
(.05)
ส%งผลทางบวก
(.01)
ส%งผลทางบวก
(.01)
การ
ควบคุม
ตนเอง
(E1)
ความเชื่อมั่น
ในตนเอง
(K2)
ทฤษฎีเชาว4อารมณ4
Bandura (1977)
ทฤษฎีจิตวิเคราะห4
ประภาพร คนซื่อ 2552 ม.4 ส%งผลทางบวก
(.05)
การรับรู
ความ
สามารถ
ของ
ตนเอง
(E2)
แรงจูงใจใฝ:
สัมฤทธิ์
(K3)
ทฤษฎีการรับรู
ความสามารถของ
ตนเอง
- Bandura (1986)
สมใจ ธนเกียรติมงคล
นิศากร ลอกไธสง
จิราภรณ4 ธรรมวงษ4
2553
2553
2553
บัณฑิตศึกษา
ครู
ม.4
ส%งผลทางบวก
(.05)
ส%งผลทางบวก
(.05)
ส%งผลทางบวก
(.05)
67
SDE
PDE
LDE
SDL
UOCPLAMRTENEASP
AMO
PEM
PEV
PES
OPT
GOA STE PATRES
SCT
EAT PVE PSTVEX
SEF
SRE
COU
EST
AUT
ADA
SCF กาญจนา บุบผัน, 2551
หมายเหตุ ความหมายของสัญลักษณ4ที่ใชแทนตัวแปร ดังนี้
แทน ตัวแปรสังเกตได
แทน ตัวแปรแฝง
แทน ความสัมพันธ4เชิงสาเหตุระหว%างตัวแปรแฝง โดยตัวแปรที่อยู%หัวลูกศรจะ
เปHนตัวแปรที่ไดรับอิทธิพลจากตัวแปรสาเหตุ
ภาพประกอบ 4 โมเดลเชิงสมมติฐานป6จจัยที่ส%งผลต%อการพัฒนาตนเอง ของนักเรียนมัธยมศึกษาป…ที่ 6
สํานักงานเขตพื้นที่การศึกษามัธยมศึกษา เขต 19 ( เลย - หนองบัวลําภู )
OPT(K1) = การมองโลกในแงดี, PEM = ความคงทนถาวร, PEV = ความครอบคลุม, PES = ความเปHนตนเอง
SCF(K2) = ความเชื่อมั่นในตนเอง, EST= ความมั่นคงทางจิตใจ, COU = ความกลา, SRE = การพึ่งตนเอง,
AUT = ความเปHนตัวของตัวเอง, ADA = ความสามารถในการปรับตัว
AMO (K3) = แรงจูงใจใฝ@สัมฤทธิ์, ASP = ความทะเยอทะยาน, ENE = ความกระตือรือรน, MRT = ความกลาเสี่ยง,
PLA = การรูจักวางแผน, UOC = ความมีเอกลักษณ4
SCT (E1) = การควบคุมตนเอง, GOA = การตั้งเปKาหมาย, RES = การยับยั้งตนเอง, STE= การควบคุมอารมณ4, PAT = ความอดทน
SEF(E2) = การรับรูความสามารถของตนเอง, EAT=ประสบการณ4จากความสําเร็จ, VEX = การไดเห็นตัวแบบประสบความสําเร็จ,
PVE = การพูดชักจูงจากผูอื่น, PST = สภาวะทางกาย
SDL (E3) = การพัฒนาตนเอง, PDE = ตนเอง, SDE = สังคม, LDE = การเรียน
68
บทที่ 3
วิธีดําเนินการศึกษาควา
การวิจัยเรื่อง ปจจัยที่สงผลตอการพัฒนาตนเอง ของนักเรียนมัธยมศึกษาป#ที่ 6
สํานักงานเขตพื้นที่การศึกษามัธยมศึกษา เขต 19 (เลย - หนองบัวลําภู) ผู/วิจัยได/ดําเนินการศึกษา
ค/นคว/า ดังนี้
1. ประชากรและกลุมตัวอยาง
2. เครื่องมือที่ใช/ในการเก็บรวบรวมข/อมูล
3. การเก็บรวบรวมข/อมูล
4. การจัดกระทํากับข/อมูลและวิเคราะห=ข/อมูล
5. สถิติที่ใช/ในการวิเคราะห=ข/อมูล
ประชากรและกลุมตัวอยาง
1. ประชากร
ประชากรที่ใช/ในการวิจัย คือ นักเรียนมัธยมศึกษาป#ที่ 6 ภาคเรียนที่ 1 ป#การศึกษา
2555 โรงเรียนในสังกัดสํานักงานเขตพื้นที่การศึกษามัธยมศึกษา เขต 19 (เลย-หนองบัวลําภู)
มีโรงเรียนจํานวน 52 โรงเรียน และมีนักเรียนจํานวนทั้งสิ้น 5,870 คน (ศูนย=ปฏิบัติการ GPA
สํานักทดสอบทางการศึกษา. 2555 : เว็บไซต=)
ตาราง 2 จํานวนประชากรนักเรียนมัธยมศึกษาป#ที่ 6 ภาคเรียนที่ 1 ป#การศึกษา 2555
โรงเรียนในสังกัดสํานักงานเขตพื้นที่การศึกษามัธยมศึกษา เขต 19 (เลย-หนองบัวลําภู)
จังหวัด จํานวนโรงเรียน จํานวนนักเรียน (คน)
เลย 31 3,257
หนองบัวลําภู 21 2,613
รวม 52 5,870
2. กลุมตัวอยาง
กลุมตัวอยางที่ใช/ในการวิจัย คือ นักเรียนมัธยมศึกษาป#ที่ 6 ภาคเรียนที่ 1 ป#การศึกษา
2555 โรงเรียนในสังกัดสํานักงานเขตพื้นที่การศึกษามัธยมศึกษา เขต 19 (เลย-หนองบัวลําภู)
จํานวน 807 คน จาก 52 โรงเรียน กลุมตัวอยางได/มาโดยการสุมแบบชั้นภูมิและแตละชั้นภูมิสุม
อยางงาย (Stratified Random Sampling) มีวิธีดําเนินการดังนี้
69
การกําหนดขนาดของกลุมตัวอยาง ผู/วิจัยใช/วิธีการคํานวณหาขนาดของ
กลุมตัวอยาง โดยใช/สูตรการกําหนดขนาดกลุมตัวอยางในกรณีทราบจํานวนประชากร
(สมบัติ ท/ายเรือคํา. 2553 ก : 52) ซึ่งได/ดําเนินการตามขั้นตอนดังนี้
ผู/วิจัยกําหนดสัดสวนของประชากรเทากับ .50 กรณีทราบประชากร จํานวน 5,870
คน โดยกําหนดระดับความเชื่อมั่น (Level of Confidence) ของการสุมกลุมตัวอยางเทากับ 95%
หรือ α = .05 (Z = 1.96) และยอมให/เกิดความคลาดเคลื่อนได/ 5%
(l = .05) ได/กลุมตัวอยาง 361 คน
การได/มาของกลุมตัวอยาง ใช/วิธีการสุมแบบชั้นภูมิและแตละชั้นภูมิสุมอยางงาย
(Stratified Random Sampling) โดยมีรายละเอียดตังนี้
แบงโรงเรียนในสังกัดสํานักงานเขตพื้นที่การศึกษามัธยมศึกษา
เขต 19 (เลย-หนองบัวลําภู) ที่เปaดสอนระดับมัธยมศึกษาตอนปลาย ตามขนาดของโรงเรียน ใช/เกณฑ=
ของกรมสามัญศึกษากระทรวงศึกษาธิการ (2545) ดังนี้ คือ
โรงเรียนขนาดใหญพิเศษ ตั้งแต 2,500 คนขึ้นไป
โรงเรียนขนาดใหญ ตั้งแต 1,500 - 2,499 คน
โรงเรียนขนาดกลาง ตั้งแต 501 - 1,499 คน
โรงเรียนขนาดเล็ก น/อยกวา 500 คน
พบวา มีโรงเรียนขนาดเล็ก 26 โรงเรียน ขนาดกลาง 20 โรงเรียน ขนาดใหญ 2
โรงเรียนขนาดใหญพิเศษ 4 โรงเรียน รวม 52 โรงเรียน มีประชากรทั้งสิ้น 5,870 คน
ใช/ขนาดของโรงเรียนที่ได/เปdนชั้นภูมิ (Strata) ในการสุม และใช/ห/องเรียนเปdนหนวยสุม
แตละขนาดมาร/อยละ 20 ถ/าห/องเรียนใดมีโดยการสุมอยางงาย ( Simple Random Sampling)
ได/กลุมตัวอยาง ดังนี้ โรงเรียนขนาดใหญพิเศษ 8 ห/องเรียน นักเรียน 248 คน โรงเรียนขนาดใหญ
4 ห/องเรียน นักเรียน 120 คน โรงเรียนขนาดกลาง 14 ห/องเรียน นักเรียน 310 คน โรงเรียนขนาด
เล็ก 9 ห/องเรียน นักเรียน 129 คน โดยทุกห/องเรียนเก็บข/อมูลนักเรียนทุกคน ได/ขนาดกลุมตัวอยาง
รวมทั้งหมด 807 คน ดังตาราง 3
ตาราง 3 จํานวนนักเรียนทั้งหมดที่เปdนกลุมตัวอยางของแตละโรงเรียนจําแนกตามขนาดโรงเรียน
ขนาด
โรงเรียน
(ชั้นภูมิ)
ขนาดประชากร ขนาดกลุมตัวอยาง
เทคนิคการสุม
แตละชั้นภูมิ
ประชากร
(คน)
โรงเรียน
ทั้งหมด
(โรงเรียน)
ห/องเรียน
(ห/อง)
ห/องเรียน
(ห/อง)
ขั้นต่ํา
(คน)
เก็บจริง
(คน)
ใหญพิเศษ 1,760 4 42 8 ≥108 248 สุมอยางงาย
ใหญ 541 2 18 4 ≥ 33 120 สุมอยางงาย
กลาง 2,558 20 72 14 ≥157 310 สุมอยางงาย
เล็ก 1,011 26 43 9 ≥ 62 129 สุมอยางงาย
รวม 5,870 52 175 35 ≥361 807
70
จากขนาดของกลุมตัวอยางต่ําสุดเทากับ 361 คน ได/กลุมตัวอยางทั้งหมดจํานวน 807 คน
ซึ่งมีจํานวนมากกวากลุมตัวอยางที่ได/คํานวณไว/ และการวิเคราะห=แบบจําลองสมการโครงสร/างเชิงเส/น
(Structural Equation Model: SEM) ซึ่งจําเปdนต/องใช/กลุมตัวอยางขนาดใหญพอสมควร และ
ในการพัฒนาและตรวจสอบความตรงของโมเดล โดยจํานวนกลุมตัวอยางประมาณ 5 - 10 เทาของ
จํานวนพารามิเตอร=ที่ประมาณคาในโมเดล Kelloway (สุนทรพจน= ดํารงค=พานิช. 2550 : 94 ;
อ/างอิงมาจาก Kelloway. 1998) โดยเส/นอิทธิพลที่ต/องการประมาณคาพารามิเตอร=ในโมเดล
มีจํานวน 59 เส/น กลุมตัวอยางที่ใช/จึงต/องการอยางต่ํา จํานวน 590 คน สรุปได/วาขนาดของกลุม
ตัวอยางในการวิจัยครั้งนี้มีความเหมาะสมและเพียงพอตอการนําไปใช/ในการวิเคราะห=ข/อมูล จึงถือได/วา
ขนาดกลุมตัวอยางในการวิจัยครั้งนี้มีขนาดที่เพียงพอ ได/มาโดยการสุมแบบชั้นภูมิและแตละชั้นภูมิสุม
อยางงาย (Stratified Random Sampling)
เครื่องมือที่ใชในการวิจัย
ในการวิจัยครั้งนี้ ใช/เครื่องมือวิจัยจํานวน 2 ฉบับ ดังตอไปนี้
ฉบับที่ 1 แบบวัดการพัฒนาตนเอง เปdนแบบวัดผู/วิจัยสร/างขึ้น โดยอาศัยทฤษฎี กรอบ
แนวคิดของ Maslow (ปราณี รามสูตร. 2548 : 213-218 ), เรียม ศรีทอง (2542 : 165) ,
รุงฤดี กิจควร, (2548 : 173-195), สงวน สุทธิเลิศอรุณ (2545 : 49) ,สํานักงานปลัดกระทรวง
สาธารณสุข (ปรีชา พรมบุตร. 2555 : เว็บไซต= ; อ/างอิงมาจาก สํานักงานปลัดกระทรวง
สาธารณสุข. ม.ป.ป.) เปdนแบบมาตราสวนประมาณคา (Rating Scale) 5 ระดับ จํานวน 21 ข/อ
จําแนกตามองค=ประกอบ 3 ด/าน ประกอบด/วย
1. ตนเอง (Personal Development) จํานวน 7 ข/อ
2. สังคม (Social Development) จํานวน 7 ข/อ
3. การเรียน (Learning Development) จํานวน 7 ข/อ
ฉบับที่ 2 แบบวัดปจจัยที่สงผลตอการพัฒนาตนเอง เปdนแบบวัดผู/วิจัยสร/างขึ้น แบงเปdน
5 ด/าน ดังนี้
1. การมองโลกในแงดี โดยอาศัยทฤษฎี กรอบแนวคิด Seligman (อรพินทร= ชูชม.
2544 : 43 ; อ/างอิงมาจาก Seligman. 1998) เปdนแบบมาตราสวนประมาณคา (Rating Scale)
5 ระดับ จํานวน 15 ข/อ จําแนกตามองค=ประกอบ 3 ด/าน ประกอบด/วย
1. ความคงทนถาวร (Permanence) จํานวน 5 ข/อ
2. ความครอบคลุม (Pervasiveness) จํานวน 5 ข/อ
3. ความเปdนตนเอง (Personalization) จํานวน 5 ข/อ
2. ความเชื่อมั่นในตนเอง โดยอาศัยทฤษฎี กรอบแนวคิดของ Symonds
(ธนัญญา คนอยู. 2547 : 13 ; อ/างอิงมาจาก Symonds. 1964 : 85 - 86), ชูชีพ ออนโคกสูง
(ธนัญญา คนอยู. 2547 : 13 ; อ/างอิงมาจาก ชูชีพ ออนโคกสูง. 2516 : 27), ธีรภาพ วัฒน
วิจารณ= (2545 : 127) เปdนแบบมาตราสวนประมาณคา (Rating Scale) 5 ระดับ จํานวน 20 ข/อ
จําแนกตามองค=ประกอบ 5 ด/าน ประกอบด/วย
71
1. ความมั่นคงทางจิตใจ (Emotional Stability) จํานวน 5 ข/อ
2. ความกล/า (Courage) จํานวน 5 ข/อ
3. การพึ่งตนเอง (Self – Reliance) จํานวน 5 ข/อ
4. ความเปdนตัวของตัวเอง (Autonomy) จํานวน 5 ข/อ
3. แรงจูงใจใฝwสัมฤทธิ์ โดยอาศัยทฤษฎี กรอบแนวคิดของ Guilford (จิราวดี ชุมพล.
2549 : 26 ; อ/างอิงมาจาก Guilford. 1967 : 437-439), McClelland (ศิวพร ไชยพยอม.
2550 : 59 ; อ/างอิงมาจาก McClelland. 1969 : 207-256), Herman (ปราณี เพ็ชรศิริ.
2549 : 28 ; อ/างอิงมาจาก Herman. 1970 : 53), สุพจน= สินสุวงศ=วัฒนา (สมใจ จุฑาผาด,
2549 : 38 ; อ/างอิงมาจาก สุพจน= สินสุวงศ=วัฒนา. 2527 : 29-31) เปdนแบบมาตราสวน
ประมาณคา (Rating Scale) 5 ระดับ จํานวน 25 ข/อ จําแนกตามองค=ประกอบ 5 ด/าน
ประกอบด/วย
1. ความทะเยอทะยาน (Aspiration) จํานวน 5 ข/อ
2. ความกระตือรือร/น (Energetic) จํานวน 5 ข/อ
3. ความกล/าเสี่ยง (Moderate Risk Taking ) จํานวน 5 ข/อ
4. การรู/จักวางแผน (Planning ) จํานวน 5 ข/อ
5. ความมีเอกลักษณ= (Unique of Characteristic) จํานวน 5 ข/อ
4. การรับรู/ความสามารถของตนเอง เปdนแบบวัดผู/วิจัยสร/างขึ้น โดยอาศัยทฤษฎี
กรอบแนวคิดของ Bandura (ภัทราภรณ= สังข=ทอง, 2550 : 35 ; อ/างอิงมาจาก Bandura. 1986 :
399-401) เปdนแบบมาตราสวนประมาณคา (Rating Scale) 5 ระดับ จํานวน 20 ข/อ จําแนกตาม
องค=ประกอบ 4 ด/าน ประกอบด/วย
1. ประสบการณ=จากความสําเร็จ (Enactive Attainment) จํานวน 5 ข/อ
2. การได/เห็นตัวแบบประสบความสําเร็จ(Vicarious Experience)
จํานวน 5 ข/อ
3. การพูดชักจูงจากผู/อื่น (Verbal Persuasion) จํานวน 5 ข/อ
4. สภาวะทางกาย (Physiological State) จํานวน 5 ข/อ
5. การควบคุมตนเอง โดยอาศัยทฤษฎี กรอบแนวคิดของ Thoresen and Mahoney
(อรพลอย เกษมสันต= ณ อยุธยา. 2546 : 21-22 ; อ/างอิงมาจาก Thoresen and Mahoney.
1974 : 45), Skinner (สมโภชน= เอี่ยมสุภาษิต. 2541 : 328 – 329 ; อ/างอิงมาจาก Skinner.
1953), ทฤษฎีเชาว=อารมณ= (พรรณทิพย= ศิริวรรณบุศย=. 2551 : 80-82), Reckless (จรรจา
สุวรรณทัต และคณะ. 2533 : 16-17 ; อ/างอิงมาจาก Reckless. n.d.) เปdนแบบมาตราสวน
ประมาณคา (Rating Scale) 5 ระดับ จํานวน 20 ข/อ จําแนกตามองค=ประกอบ 5 ด/าน ประกอบด/วย
1. ตั้งเป•าหมาย (Goal) จํานวน 5 ข/อ
2. ยับยั้งตนเอง (Restraint) จํานวน 5 ข/อ
3. ควบคุมอารมณ= (Self-Temper) จํานวน 5 ข/อ
4. ความอดทน (Patience) จํานวน 5 ข/อ
72
เกณฑ(การตรวจใหคะแนนของแบบวัด
แบบวัดที่ใช/ในงานวิจัยนี้จํานวน 2 ฉบับ ประกอบด/วยแบบวัดการพัฒนาตนเอง และแบบวัด
ปจจัยที่สงผลตอการพัฒนาตนเอง เปdนแบบมาตราสวนประมาณคา (Rating Scale) 5 ระดับ
ตามวิธีของ Likert โดยกําหนดเกณฑ=การตรวจให/คะแนนของแบบวัด ดังนี้ (บุญชม ศรีสะอาด.
2551 : 103)
คําถามเชิงนิมานหรือเชิงบวก (Positives Scale)
มากที่สุด เทากับ 5 คะแนน
มาก เทากับ 4 คะแนน
ปานกลาง เทากับ 3 คะแนน
น/อย เทากับ 2 คะแนน
น/อยที่สุด เทากับ 1 คะแนน
คําถามเชิงนิเสธหรือเชิงลบ (Negative Scale)
มากที่สุด เทากับ 1 คะแนน
มาก เทากับ 2 คะแนน
ปานกลาง เทากับ 3 คะแนน
น/อย เทากับ 4 คะแนน
น/อยที่สุด เทากับ 5 คะแนน
การแปลความหมายของคาเฉลี่ยได/กําหนดเกณฑ=ดังนี้
คาเฉลี่ย ความหมาย
4.51 - 5.00 มากที่สุด
3.51 - 4.50 มาก
2.51 - 3.50 ปานกลาง
1.51 - 2.50 น/อย
1.00 - 1.50 น/อยที่สุด
การสรางและหาคุณภาพของเครื่องมือที่ใชในการวิจัย
1. แบบวัดการพัฒนาตนเอง
การสร/างแบบวัดการพัฒนาตนเอง มีรายละเอียด ในการสร/าง ดังนี้
1.1 กําหนดจุดมุงหมายในการสร/างแบบวัด เพื่อสร/างแบบวัดการการพัฒนาตนเอง
สําหรับใช/ในการวิจัย
1.2 ศึกษาทฤษฎี แนวคิด เอกสาร และงานวิจัยที่เกี่ยวข/องกับการพัฒนาตนเอง
จากโดยอาศัยทฤษฎี กรอบแนวคิดของ Maslow (ปราณี รามสูตร. 2548 : 213-218),
เรียม ศรีทอง (2542 : 165) , รุงฤดี กิจควร, (2548 : 173-195), สงวน สุทธิเลิศอรุณ (2545 : 49),
สํานักงานปลัดกระทรวงสาธารณสุข (ปรีชา พรมบุตร. 2555 : เว็บไซต= ; อ/างอิงมาจาก
สํานักงานปลัดกระทรวงสาธารณสุข. ม.ป.ป.) เพื่อเปdนแนวการสร/างแบบวัดการพัฒนาตนเอง
73
1.3 เขียนนิยามปฏิบัติการของการพัฒนาตนเอง ศึกษาจากทฤษฎี กรอบแนวคิด
แบงเปdน 3 ด/าน คือ ตนเอง สังคม การเรียน
1.4 เขียนข/อคําถามตามคํานิยามของการพัฒนาตนเอง เปdนแบบมาตราสวนประมาณ
คา (Rating Scale) 5 ระดับ แยกตามองค=ประกอบ 3 ด/าน ต/องการจริงจํานวน 15 ข/อ
1.5 นําแบบวัดการพัฒนาตนเอง ที่สร/างขึ้นให/ผู/เชี่ยวชาญ ตรวจสอบความเที่ยงตรง
เชิงพินิจ (Face Validity) เพื่อพิจารณาความเหมาะสมของเนื้อหา ความสอดคล/องและครอบคลุมตาม
นิยามเชิงปฏิบัติการของตัวแปร ผู/เชี่ยวชาญที่ให/ความอนุเคราะห=ตรวจสอบเครื่องมือ ประกอบด/วย
1.5.1 อาจารย= ดร.สุนทรพจน= ดํารงพานิช อาจารย=ประจําภาควิชาวิจัย
มหาวิทยาลัยมหาสารคาม ค.ด. (วิธีวิทยาการวิจัยการศึกษา)
1.5.2 นางกัญจ=กมล มาลี ครูชํานาญการ โรงเรียนฝ„งแดงวิทยาสรรค=
จังหวัดหนองบัวลําภู กศ.ม (การวิจัยและสถิติทางการศึกษา)
1.5.3 นางสาวศิริชนก จุลนาง ครู โรงเรียนคําแสนวิทยาสรรค=
จังหวัดหนองบัวลําภู กศ.ม (การวิจัยการศึกษา)
1.5.4 นายเล็ก ขมิ้นเขียว ผู/อํานวยการ โรงเรียนนาวังศึกษาวิช
จังหวัดหนองบัวลําภู ค.ม (การวัดและประเมินผลการศึกษา)
1.5.5 นายกิตติศักดิ์ กล/าแข็ง นักจิตวิทยา โรงเรียนหนองพอกวิทยาลัย
จังหวัดร/อยเอ็ด วท.บ (จิตวิทยาคลีนิคและชุมชน)
โดยให/ผู/เชี่ยวชาญทั้ง 5 ทาน ตรวจสอบความเที่ยงตรงเชิงโครงสร/างโดยพิจารณา
ความสอดคล/องระหวางนิยามเชิงปฏิบัติการของการพัฒนาตนเอง แตละด/านกับข/อคําถาม
คําถามโดยมีเกณฑ=การให/คะแนน ดังนี้
ให/คะแนน +1 เมื่อแนใจวาข/อคําถามนั้นสอดคล/องกับนิยามศัพท=
ให/คะแนน 0 เมื่อไมแนใจวาข/อคําถามนั้นสอดคล/องกับนิยามศัพท=
ให/คะแนน -1 เมื่อแนใจวาข/อคําถามนั้นไมสอดคล/องกับนิยามศัพท=
1.6 วิเคราะห=ข/อมูลการหาคาดัชนีความสอดคล/องระหวางข/อคําถามกับนิยามศัพท=
เฉพาะโดยใช/สูตร IOC (Index of Item Objective Congruence) (สมบัติ ท/ายเรือคํา. 2551 :
101 - 102) เพื่อหาคาดัชนีความสอดคล/องและพิจารณาคัดเลือกข/อคําถามที่มีคะแนนเฉลี่ยตั้งแต 0.50
- 1.00 ไว/ พบวา ข/อคําถามบางข/อไมชัดเจน ไมสอดคล/องกับนิยามศัพท= เปลี่ยนข/อความ เพิ่มเชื่อมคํา
ผู/วิจัยปรับปรุงข/อความที่ไมชัดเจนให/เหมาะสม ตามคําแนะนําของผู/เชี่ยวชาญ แล/วเสนอตอผู/เชี่ยวชาญ
อีกครั้งหนึ่ง แล/วนํามาหาคุณภาพ ผลการประเมินความสอดคล/องมีคาเฉลี่ยตั้งแต 0.60 ถึง 1.00 เปdน
ข/อสอบที่มีความเที่ยงตรงตามเกณฑ=จํานวน 21 ข/อ
1.7 นําแบบวัดไปทดลองใช/ (Try out) โดยทดลองกับนักเรียนมัธยมศึกษา
ป#ที่ 6 ที่ไมใช กลุมตัวอยางจํานวน 3 โรงเรียน โรงเรียนขนาดใหญ ได/แก โรงเรียนหนองบัวพิทยาคาร
จํานวน 60 คน โรงเรียนขนาดกลาง ได/แก โรงเรียนฝ„งแดงวิทยาสรรค= จํานวน 40 คน และ
โรงเรียนขนาดเล็ก ได/แก โรงเรียนนาแกวิทยา จํานวน 20 คน สังกัดสํานักงานเขตพื้นที่การศึกษา
มัธยมศึกษาเขต 19 (เลย-หนองบัวลําภู) แล/วนําผลทดลองมาหาคุณภาพแล/วนําผลที่ได/มาวิเคราะห=
คุณภาพโดยใช/วิธีการทางสถิติ ดังนี้
74
1.7.1 หาคาอํานาจจําแนกรายข/อ ( xyr ) โดยใช/สูตร สหสัมพันธ=ของเพียร=สัน
(Pearson’s Correlation) ระหวางคะแนนรายข/อกับคะแนนรวมทั้งหมด (Item – Total
Correlation) แล/วพิจารณาข/อที่เข/าเกณฑ=ที่ระดับนัยสําคัญทางสถิติที่ระดับ .05 (df = 98)
มีคาตั้งแต 0.147 คัดเลือกไว/ 15 ข/อ พบวา แบบวัดการพัฒนาตนเอง มีคาอํานาจจําแนกรายข/อ
( xyr ) ตั้งแต 0.58 ถึง 0.82
1.7.2 หาคาความเชื่อมั่นของแบบวัดทั้งฉบับ โดยนําแบบวัดที่คัดเลือกไว/ จํานวน 63
ข/อ มาหาคาความเชื่อมั่น (α ) ทั้งฉบับ โดยใช/วิธี Cronbach คือ การหาคาสัมประสิทธิ์แอลฟา
(Alpha Coefficient) (สมบัติ ท/ายเรือคํา. 2553 : 98) พบวา แบบวัดการพัฒนาตนเองมีคา
ความเชื่อมั่นทั้งฉบับเทากับ 0.89
1.8 นําแบบวัดการพัฒนาตนเอง ที่มีคุณภาพแล/วไปจัดพิมพ=ฉบับจริง
2. แบบวัดปจจัยที่สงผลตอการพัฒนาตนเองประกอบด/วย 5 ด/าน มีขั้นตอนการหาคุณภาพ
ดังนี้
2.1 การมองโลกในแงดี
2.1.1 กําหนดจุดมุงหมายในการสร/างด/านการมองโลกในแงดี สําหรับใช/ในการวิจัย
2.1.2 ศึกษาทฤษฎี แนวคิด เอกสาร และงานวิจัยที่เกี่ยวข/องกับการมองโลกในแงดี
โดยโดยอาศัยทฤษฎี กรอบแนวคิด Seligman (อรพินทร= ชูชม. 2544 : 43 ; อ/างอิงมาจาก
Seligman. 1998)
2.1.3 เขียนนิยามปฏิบัติการของการมองโลกในแงดี ศึกษาจากทฤษฎี
กรอบแนวคิด Seligman (อรพินทร= ชูชม. 2544 : 43 ; อ/างอิงมาจาก Seligman. 1998)
แบงเปdน 3 ด/าน คือ ความคงทนถาวร ความครอบคลุมความเปdนตนเอง
2.1.4 เขียนข/อคําถามตามคํานิยามของการมองโลกในแงดี เปdนแบบมาตราสวน
ประมาณคา (Rating Scale) 5 ระดับ แยกตามองค=ประกอบ 3 ด/าน ต/องการจริง จํานวน 9 ข/อ
2.2 ความเชื่อมั่นในตนเอง
2.2.1 กําหนดจุดมุงหมายในการสร/างด/านความเชื่อมั่นในตนเอง สําหรับใช/ในการวิจัย
2.2.2 ศึกษาทฤษฎี แนวคิด เอกสาร และงานวิจัยที่เกี่ยวข/องกับความเชื่อมั่นในตนเอง
โดยโดยอาศัยทฤษฎี กรอบแนวคิดของ Symonds (ธนัญญา คนอยู. 2547 : 13 ; อ/างอิงมาจาก
Symonds. 1964 : 85 - 86), ชูชีพ ออนโคกสูง (ธนัญญา คนอยู. 2547 : 13 ; อ/างอิงมาจาก
ชูชีพ ออนโคกสูง. 2516 : 27), ธีรภาพ วัฒนวิจารณ= (2545 : 127)
2.2.3 เขียนนิยามปฏิบัติการของความเชื่อมั่นในตนเอง ศึกษาจากทฤษฎีกรอบ
แนวคิด แบงเปdน 4 ด/าน คือ ความมั่นคงทางจิตใจ ความกล/า การพึ่งตนเอง ความเปdนตัวของตนเอง
2.2.4 เขียนข/อคําถามตามคํานิยามของความเชื่อมั่นในตนเอง เปdนแบบมาตราสวน
ประมาณคา (Rating Scale) 5 ระดับ แยกตามองค=ประกอบ 5 ด/าน ต/องการจริงจํานวน 15 ข/อ
2.3 แรงจูงใจใฝwสัมฤทธิ์
2.3.1 กําหนดจุดมุงหมายในการสร/าง ด/านแรงจูงใจใฝwสัมฤทธิ์ สําหรับใช/ในการวิจัย
2.3.3. ศึกษาทฤษฎี แนวคิด เอกสาร และงานวิจัยที่เกี่ยวข/องกับแรงจูงใจใฝwสัมฤทธิ์
โดยโดยอาศัยทฤษฎี กรอบแนวคิดของ Guilford (จิราวดี ชุมพล. 2549 : 26 ; อ/างอิงมาจาก
75
Guilford. 1967 : 437-439), McClelland (ศิวพร ไชยพยอม. 2550 : 59 ; อ/างอิงมาจาก
McClelland. 1969 : 207-256), Herman (ปราณี เพ็ชรศิริ. 2549 : 28 ; อ/างอิงมาจาก
Herman. 1970 : 53), สุพจน= สินสุวงศ=วัฒนา (สมใจ จุฑาผาด. 2549 : 38 ; อ/างอิงมาจาก
สุพจน= สินสุวงศ=วัฒนา. 2527 : 29-31)
2.3.4 เขียนนิยามปฏิบัติการของแรงจูงใจใฝwสัมฤทธิ์ ศึกษาจากทฤษฎี กรอบแนวคิด
แบงเปdน 5 ด/าน คือ ความทะเยอทะยาน ความกระตือรือร/น ความกล/าเสี่ยง การรู/จักวางแผน
ความมีเอกลักษณ=
2.3.5 เขียนข/อคําถามตามคํานิยามของแรงจูงใจใฝwสัมฤทธิ์ เปdนแบบมาตราสวน
ประมาณคา (Rating Scale) 5 ระดับ แยกตามองค=ประกอบ 5 ด/าน ต/องการจริงจํานวน 15 ข/อ
2.4 การรับรู/ความสามารถของตนเอง
2.4.1 กําหนดจุดมุงหมายในการสร/าง ด/านการรับรู/ความสามารถของตนเอง สําหรับใช/
ในการวิจัย
2.4.2 ศึกษาทฤษฎี แนวคิด เอกสาร และงานวิจัยที่เกี่ยวข/องกับการรับรู/
ความสามารถของตนเอง จากโดยโดยอาศัยทฤษฎี กรอบแนวคิด การรับรู/ความสามารถของตนเอง
(ประสาท อิศรปรีดา. 2552 : 288-292 ; อ/างอิงมาจาก Bandura. 1986 : 208)
2.4.3 เขียนนิยามปฏิบัติการของการรับรู/ความสามารถของตนเอง ศึกษาจากทฤษฎี
กรอบแนวคิด แบงเปdน 4 ด/าน คือ ประสบการณ=จากความสําเร็จ การได/เห็นตัวแบบ
ประสบความสําเร็จ การพูดชักจูงจากผู/อื่น สภาวะทางกาย
2.4.4 เขียนข/อคําถามตามคํานิยามของการรับรู/ความสามารถของตนเอง
เปdนแบบมาตราสวนประมาณคา (Rating Scale) 5 ระดับ แยกตามองค=ประกอบ 4 ด/าน ต/องการจริง
จํานวน 12 ข/อ
2.5 การควบคุมตนเอง
2.5.1 กําหนดจุดมุงหมายในการสร/างด/านการควบคุมตนเอง สําหรับใช/ในการวิจัย
2.5.2 ศึกษาทฤษฎี แนวคิด เอกสาร และงานวิจัยที่เกี่ยวข/องกับการควบคุมตนเอง
โดยโดยอาศัยทฤษฎี กรอบแนวคิด Thoresen และ Mahoney (อรพลอย เกษมสันต= ณ อยุธยา.
2546 : 21-22 ; อ/างอิงมาจาก Thoresen and Mahoney. 1974 : 45), Skinner (สมโภชน=
เอี่ยมสุภาษิต. 2541 : 328 – 329 ; อ/างอิงมาจาก Skinner. 1953), ทฤษฎีเชาว=อารมณ=
(พรรณทิพย= ศิริวรรณบุศย=. 2551 : 80-82), Reckless (จรรจา สุวรรณทัต และคณะ. 2533 :
16-17 ; อ/างอิงมาจาก Reckless. n.d.) เพื่อเปdนแนวการสร/างด/านการควบคุมตนเอง
2.5.3 เขียนนิยามปฏิบัติการของการควบคุมตนเอง ศึกษาจากทฤษฎีกรอบแนวคิด
แบงเปdน 4 ด/าน คือ การตั้งเป•าหมาย การยับยั้งตนเอง ควบคุมอารมณ= ความอดทน
2.5.4 เขียนข/อคําถามตามคํานิยามของการควบคุมตนเอง เปdนแบบมาตราสวน
ประมาณคา (Rating Scale) 5 ระดับ แยกตามองค=ประกอบ 4 ด/าน ต/องการจริงจํานวน 12 ข/อ
3. นําแบบปจจัยที่สงผลตอการพัฒนาตนเอง จํานวน 100 ข/อ ที่สร/างขึ้นให/ผู/เชี่ยวชาญ
ตรวจสอบความเที่ยงตรงเชิงพินิจ (Face Validity) เพื่อพิจารณาความเหมาะสมของเนื้อหา
ความสอดคล/องและครอบคลุมตามนิยามเชิงปฏิบัติการของตัวแปร ผู/เชี่ยวชาญที่ให/ความอนุเคราะห=
ตรวจสอบเครื่องมือ ประกอบด/วย
76
3.1 อาจารย= ดร.สุนทรพจน= ดํารงพานิช อาจารย=ประจําภาควิชาวิจัย มหาวิทยาลัย
มหาสารคาม ค.ด. (วิธีวิทยาการวิจัยการศึกษา)
3.2 นางกัญจ=กมล มาลี ครูชํานาญการ โรงเรียนฝ„งแดงวิทยาสรรค= จังหวัดหนองบัวลําภู
กศ.ม (การวิจัยและสถิติทางการศึกษา)
3.3 นางสาวศิริชนก จุลนาง ครู โรงเรียนคําแสนวิทยาสรรค= จังหวัดหนองบัวลําภู
กศ.ม (การวิจัยการศึกษา)
3.4 นายเล็ก ขมิ้นเขียว ผู/อํานวยการ โรงเรียนนาวังศึกษาวิช จังหวัดหนองบัวลําภู
ค.ม (การวัดและประเมินผลการศึกษา)
3.5 นายกิตติศักดิ์ กล/าแข็ง นักจิตวิทยา โรงเรียนหนองพอกวิทยาลัย จังหวัดร/อยเอ็ด
วท.บ (จิตวิทยาคลีนิคและชุมชน)
โดยให/ผู/เชี่ยวชาญทั้ง 5 ทาน ตรวจสอบความเที่ยงตรงเชิงโครงสร/างโดยพิจารณา
ความสอดคล/องระหวางนิยามเชิงปฏิบัติการ แตละด/านกับข/อคําถาม
คําถามโดยมีเกณฑ=การให/คะแนน ดังนี้
ให/คะแนน +1 เมื่อแนใจวาข/อคําถามนั้นสอดคล/องกับนิยามศัพท=
ให/คะแนน 0 เมื่อไมแนใจวาข/อคําถามนั้นสอดคล/องกับนิยามศัพท=
ให/คะแนน -1 เมื่อแนใจวาข/อคําถามนั้นไมสอดคล/องกับนิยามศัพท=
4. วิเคราะห=ข/อมูลการหาคาดัชนีความสอดคล/องระหวางข/อคําถามกับนิยามศัพท=
เฉพาะโดยใช/สูตร IOC (Index of Item Objective Congruence) (สมบัติ ท/ายเรือคํา. 2551 :
101 - 102) เพื่อหาคาดัชนีความสอดคล/องและพิจารณาคัดเลือกข/อคําถามที่มีคะแนนเฉลี่ยตั้งแต 0.50
- 1.00 ไว/ พบวา ข/อคําถามบางข/อไมชัดเจน ไมสอดคล/องกับนิยามศัพท= เปลี่ยนข/อความ เพิ่มเชื่อมคํา
ผู/วิจัยปรับปรุงข/อความที่ไมชัดเจนให/เหมาะสม ตามคําแนะนําของผู/เชี่ยวชาญ แล/วเสนอตอผู/เชี่ยวชาญ
อีกครั้งหนึ่ง แล/วนํามาหาคุณภาพ ผลการประเมินความสอดคล/องมีคาเฉลี่ยตั้งแต 0.60 ถึง 1.00
เปdนข/อสอบที่มีความเที่ยงตรงตามเกณฑ=จํานวน 100 ข/อ
5. นําแบบวัดไปทดลองใช/ (Try - out) โดยทดลองกับนักเรียนมัธยมศึกษา
ป#ที่ 6 ที่ไมใช กลุมตัวอยางจํานวน 3 โรงเรียน โรงเรียนขนาดใหญ ได/แก โรงเรียนหนองบัวพิทยาคาร
จํานวน 60 คน โรงเรียนขนาดกลาง ได/แก โรงเรียนฝ„งแดงวิทยาสรรค= จํานวน 40 คน และ
โรงเรียนขนาดเล็ก ได/แก โรงเรียนนาแกวิทยา จํานวน 20 คน สังกัดสํานักงานเขตพื้นที่การศึกษา
มัธยมศึกษาเขต 19 (เลย-หนองบัวลําภู) แล/วนําผลทดลองมาหาคุณภาพแล/วนําผลที่ได/มาวิเคราะห=
คุณภาพโดยใช/วิธีการทางสถิติ ดังนี้
5.1 หาคาอํานาจจําแนกรายข/อ ( xyr ) โดยใช/สูตร สหสัมพันธ=ของ Pearson
(Pearson’s Correlation) ระหวางคะแนนรายข/อกับคะแนนรวมทั้งหมด (Item – Total
Correlation) แล/วพิจารณาข/อที่เข/าเกณฑ=ที่ระดับนัยสําคัญทางสถิติที่ระดับ .05 (df = 98)
มีคาตั้งแต 0.147 คัดเลือกไว/ 63 ข/อ พบวา แบบวัดปจจัยที่สงผลตอการพัฒนาตนเอง
มีคาอํานาจจําแนกรายข/อ ( xyr ) ตั้งแต 0.40 ถึง 0.94
77
5.2 หาคาความเชื่อมั่นของแบบวัดทั้งฉบับ โดยนําแบบวัดที่คัดเลือกไว/ จํานวน 63 ข/อ
มาหาคาความเชื่อมั่น (α ) ทั้งฉบับ โดยใช/วิธีของ Cronbach คือ การหาคาสัมประสิทธิ์แอลฟา
(Alpha Coefficient ) (สมบัติ ท/ายเรือคํา. 2553 : 98) พบวา แบบวัดปจจัยที่สงผลตอการพัฒนา
ตนเองมีคาความเชื่อมั่นทั้งฉบับเทากับ 0.76
6. นําแบบวัดปจจัยที่สงผลตอการพัฒนาตนเอง ที่มีคุณภาพแล/วไปจัดพิมพ=ฉบับจริง
การเก็บรวบรวมขอมูล
ผู/วิจัยได/ดําเนินการเก็บรวบรวมข/อมูล ดังตอไปนี้
1. ติดตอขอรับหนังสือจากบัณฑิตวิทยาลัย มหาวิทยาลัยมหาสารคาม เพื่อขอความ
อนุเคราะห=เก็บรวบรวมข/อมูลจากผู/บริหารโรงเรียนกลุมตัวอยาง สังกัดสํานักงานเขตพื้นที่การศึกษา
มัธยมศึกษาเขต 19 (เลย-หนองบัวลําภู)
2. ผู/วิจัยนํา หนังสือขอความอนุเคราะห=ในการเก็บรวบรวมข/อมูลไปติดตอผู/บริหาร
สถานศึกษาเพื่อขอความรวมมือในการเก็บรวบรวมข/อมูล พร/อมทั้งนัดหมายวัน เวลา ที่ดําเนินการ
เก็บรวบรวมข/อมูล ซึ่งผู/วิจัยได/เก็บรวบรวมข/อมูลในเดือน พฤษภาคม - มิถุนายน พ.ศ. 2555
3. เตรียมเครื่องมือเก็บรวบรวมข/อมูล ประกอบด/วย แบบวัด 2 ฉบับ ประกอบด/วย
แบบวัดการพัฒนาตนเอง และแบบปจจัยที่สงผลตอการพัฒนาตนเอง ให/เพียงพอกับนักเรียนกลุม
ตัวอยาง
4. ผู/วิจัยดําเนินการเก็บรวบรวมข/อมูลด/วยตนเองตามวันเวลาที่นัดหมายในแตละโรงเรียน
ที่เปdนกลุมตัวอยาง กอนที่นักเรียนตอบแบบสอบถาม ผู/วิจัยเปdนผู/ชี้แจงให/นักเรียนทราบวาไมมี
ผลกระทบตอนักเรียน เพื่อลดความตึงเครียด และนักเรียนได/ให/ข/อมูลที่ถูกต/องและเปdนจริงมากที่สุด
และรับแบบวัดภายในวันที่ไปเก็บข/อมูล แบบวัดทั้ง 2 ฉบับ ไปเก็บรวบรวมข/อมูลกับนักเรียนที่เปdนกลุม
ตัวอยาง 850 ฉบับ และได/แบบวัดคืนมาทั้งหมด 850 ฉบับจากนั้นนําแบบวัดที่ได/จากการเก็บรวบรวม
ข/อมูลจากกลุมตัวอยางมาตรวจให/คะแนนตามเกณฑ=ที่กําหนดไว/ โดยคัดเลือกเฉพาะแบบวัดฉบับที่
สมบูรณ= จึงได/แบบวัดจํานวนทั้งหมด 807 ฉบับ คิดเปdนร/อยละ 94.70 ของแบบวัดทั้งหมด
5. นําคะแนนที่ได/ไปทําการทดสอบตามข/อตกลงเบื้องต/น และวิเคราะห=ข/อมูลทางสถิติ
เพื่อทําการทดสอบโมเดลตามสมมติฐานที่ตั้งไว/และรายงานผลการวิจัยตอไป
78
ตาราง 4 สรุปเครื่องมือที่ใช/ในการวิจัย
การวิเคราะห(ขอมูล
การวิเคราะห=ข/อมูลในการวิจัยครั้งนี้ ผู/วิจัยนําข/อมูลที่รวบรวมมาวิเคราะห=ตามระเบียบ
วิธีทางสถิติ โดยใช/โปรแกรมสําเร็จรูป ซึ่งมีขั้นตอนการวิเคราะห=ข/อมูลดังนี้
ตอนที่ 1 วิเคราะห=หาคุณภาพเครื่องมือ
เครื่องมือที่ใช/ในการวิจัยครั้งนี้คือ แบบวัดการพัฒนาตนเองและแบบวัดปจจัยที่
สงผลตอการพัฒนาตนเอง โดยใช/โปรแกรมสําเร็จรูปวิเคราะห=หาคุณภาพเครื่องมือดังนี้
1. ความตรงเชิงเนื้อหา (Content Validity) ของข/อคําถามแตละข/อกับ
วัตถุประสงค=ที่ต/องการถามหรือวัด โดยใช/สูตร IOC หาคาเฉลี่ยดัชนีความสอดคล/องของผู/เชี่ยวชาญ
ทั้งหมด
เครื่องมือ
การตรวจสอบความตรง
(IOC) จากผู/เชี่ยวชาญ
(n=5)
ผลการTry out สรุปคุณภาพ
อํานาจจําแนก(r)
จํานวนข/อที่
ใช/จริง
อํานาจจําแนก ความเชื่อมั่น
ฉบับที่ 1 แบบวัดการพัฒนาตนเอง
การพัฒนาตนเอง
0.60 ถึง 1.00 ผาน
เกณฑ=จํานวน 21 ข/อ
0.54 ถึง 0.82
คัดเลือกไว/ 21 ข/อ 15
0.58 ถึง
0.82
0.89
ฉบับที่ 2 แบบวัดปจจัยที่สงผลตอการพัฒนาตนเอง ประกอบด/วย 5 ด/าน ดังนี้
การมองโลกในแงดี 0.60 ถึง 1.00 ผาน
เกณฑ=จํานวน 15 ข/อ
0.24 ถึง 0.88
คัดเลือกไว/ 15 ข/อ
9
0.54 ถึง
0.88
0.70
ความเชื่อมั่นใน
ตนเอง
0.80 ถึง 1.00 ผาน
เกณฑ=จํานวน 20 ข/อ
0.25 ถึง 0.92
คัดเลือกไว/ 20 ข/อ 15
0.40 ถึง
0.84
0.77
แรงจูงใจใฝwสัมฤทธิ์
0.60 ถึง 1.00 ผาน
เกณฑ=จํานวน 25 ข/อ
0.28 ถึง 0.94
คัดเลือกไว/ 25 ข/อ 15
0.40 ถึง
0.94
0.87
การรับรู/
ความสามารถของ
ตนเอง
0.60 ถึง 1.00 ผาน
เกณฑ=จํานวน 20 ข/อ
0.26 ถึง 0.79
คัดเลือกไว/ 20 ข/อ
12
0.38 ถึง
0.79
0.82
การควบคุมตนเอง
0.60 ถึง 1.00 ผาน
เกณฑ=จํานวน 20 ข/อ
0.24 ถึง 0.86
คัดเลือกไว/ 20 ข/อ 12
0.46 ถึง
0.86
0.75
รวมทั้งฉบับ
0.60 ถึง 1.00 ผาน
เกณฑ=จํานวน 100
ข/อ
0.24 ถึง 0.94
คัดเลือกไว/ 100 ข/อ
63
0.40 ถึง
0.94
0.78
79
2. ความเชื่อมั่น (Reliability) ของเครื่องมือทั้งฉบับ โดยใช/สูตรสัมประสิทธิ์
แอลฟา (Alpha Coefficient) ของ Cronbach
3. อํานาจจําแนก (Discrimination) โดยใช/วิธีการหาคาสหสัมพันธ=ระหวาง
คะแนนรายข/อกับคะแนนรวมของข/ออื่น ๆ ที่เหลือทั้งหมด (Item Total Correlation) โดยใช/สูตร
สหสัมพันธ=แบบ Pearson (Pearson Product Moment Correlation)
4. การวิเคราะห=ความตรงเชิงโครงสร/าง (Construct Validity) ด/วยการวิเคราะห=
เชิงยืนยัน (Confirm Factor Analysis) ด/วยโปรแกรมสําเร็จรูป
ตอนที่ 2 วิเคราะห=ข/อมูลเบื้องต/น (Preliminary Data Analysis) เพื่อให/ทราบลักษณะของ
กลุมตัวอยางและลักษณะการแจกแจงของตัวแปรแตโดยวิเคราะห=คาสถิติพื้นฐาน ประกอบด/วย คาเฉลี่ย
สวนเบี่ยงเบนมาตรฐาน คาความเบ/ และคาความโดง และการกระจายนอกกลุม (outliers) ของข/อมูล
โดยใช/โปรแกรมสําเร็จรูป
ตอนที่ 3 วิเคราะห=เพื่อตอบปญหาการวิจัย
การตรวจสอบข/อมูลเบื้องต/นกอนการวิเคราะห=องค=ประกอบ โดยผู/วิจัยได/
1. วิเคราะห=หาคาสัมประสิทธิ์สหสัมพันธ=ระหวางตัวแปรตางๆ โดยใช/สูตรสัมประสิทธิ์
สหสัมพันธ=ของ Pearson (Pearson Product – Moment Correlation Coefficient) เพื่อใช/เปdน
ข/อมูลนําไปวิเคราะห=ตรวจสอบความสอดคล/องของรูปแบบความสัมพันธ=โครงสร/างเชิงสาเหตุตอไป
2. ทําการตรวจสอบข/อมูลโดยภาพรวม กอนที่จะทําการวิเคราะห=องค=ประกอบ วา
ข/อมูลที่ได/มานั้นมีความสัมพันธ=อยางเพียงพอตอการวิเคราะห=องค=ประกอบหรือไม โดยพิจารณา
คาความเหมาะสมของข/อมูล คือ คาสถิติ Bartlett (Bartlett's test Sphericity) และคาสถิติ
Kaiser-Meyer-Olkin Measure of sampling adequacy : KMO เปdนการวัดความเหมือนกันของ
ตัวแปร โดยการเปรียบเทียบขนาดของผลรวมของคาสัมประสิทธิ์สหสัมพันธ= และผลรวมของคา
สัมประสิทธิ์สหสัมพันธ=เชิงสวน คา KMO มีคาตั้งแต 0 - 1 คา KMO ควรมีคามากกวา .50 ถือวายอมรับ
ได/ (Tolerable) ในการวิเคราะห=องค=ประกอบ พบวา KMO มีคาเทากับ 0.932
3. วิเคราะห=องค=ประกอบเชิงยืนยัน (Confirmatory factor analysis) เพื่อตรวจสอบ
ความตรงของโมเดลการวัด (Measurement model) ของตัวแปรแฝงแตละตัว เพื่อให/แนใจวาตัวแปร
สังเกตได/แตละกลุมนั้น เปdนตัวบงชี้ที่เหมาะสมสําหรับตัวแปรแฝงที่กําหนดไว/ โดยใช/โปรแกรมสําเร็จรูป
4. วิเคราะห=รูปแบบโครงสร/างความสัมพันธ=เชิงสาเหตุของปจจัยที่สงผลตอการพัฒนา
ตนเอง โดยใช/โปรแกรมสําเร็จรูป เพื่อตรวจสอบความสอดคล/องระหวางโมเดลตามสมมติฐานกับข/อมูล
เชิงประจักษ= วิเคราะห=อิทธิพลทางตรงและทางอ/อมขององค=ประกอบของปจจัยที่สงผลตอการพัฒนา
ตนเอง ประมาณคาพารามิเตอร=โดยวิธีภาวะนาจะเปdนสูงสุด (Maximum Likelihood Estimate : ML)
เพื่อวิเคราะห=โมเดลตามสมมติฐานที่กําหนดไว/ ถ/าผลการวิเคราะห=พบวาโมเดลตามสมมติฐานที่เลือกไว/
ไมสอดคล/องกับข/อมูลเชิงประจักษ= ผู/วิจัยจะดําเนินการปรับแตงโมเดลใหมโดยอาศัยเหตุผลเชิงทฤษฎี
และคาดัชนีปรับแตงโมเดล (Model Modification Indices) เพื่อให/ได/โมเดลที่สอดคล/องกลมกลืนกับ
ข/อมูลเชิงประจักษ=ที่ดีที่สุดและคาสถิติที่ใช/ในการตรวจสอบความกลมกลืนของโมเดลตามสมมติฐานกับ
ข/อมูลเชิงประจักษ= มีดังนี้
80
4.1 คาไคกําลังสอง (Chi - Square : 2
χ ) เปdนคาสถิติที่ใช/ทดสอบสมมุติฐาน
ทางสถิติวาฟงชั่นความกลมกลืนมีคาเปdนศูนย= การคํานวณคาไคกําลังสองสามารถคํานวณได/จากผลคูณ
ของคาองศาเสรีกับคาของฟงชั่นความกลมกลืน ถ/าคาสถิติคาไคกําลังสองมีคาสูงมาก แสดงวาฟงชั่น
ความกลมกลืนมีคาแตกตางจากศูนย=อยางมีนัยสําคัญทางสถิติ นั่นคือ โมเดลตามสมมุติฐานไมมีความ
กลมกลืนกับข/อมูลเชิงประจักษ= ถ/าคาสถิติคาไคกําลังสองมีคาต่ํามาก ยิ่งมีคาใกล/ศูนย=มากเทาไร แสดง
วา โมเดลตามสมมุติฐานมีความกลมกลืนกับข/อมูลเชิงประจักษ= (นงลักษณ= วิรัชชัย. 2542 : 45)
นอกจากนั้น สมบัติ ท/ายเรือคํา (2553 ข : 231) ได/เสนอวา โมเดลที่มีความกลมกลืน คือ โมเดล
ที่มีคาไคกําลังสองใกล/เคียงกับคาองศาเสรี (df) ซึ่งตัวบงชี้ คือ คาความนาจะเปdน (prob หรือ sig)
จะต/องไมมีนัยสําคัญ (p > .05)
4.2 ดัชนีอัตราสวนคาไคกําลังสองสัมพัทธ= (Relative Chi-Square Ratio)
เปdนอัตราสวนระหวางคาสถิติคาไคกําลังสองกับจํานวนองศาเสรี (คาไคกําลังสองหารองศาเสรี : 2
χ
/df) ซึ่งควรมีคาอยูระหวาง 2 - 5 โดย Mueller (เสรี ชัดแช/ม. 2547 : 29 ; อ/างอิงมาจาก
Mueller. 1996) เสนอวา ควรมีคาน/อยกวา 3
4.3 ดัชนีรากกําลังสองเฉลี่ยของความคลาดเคลื่อนในการประมาณคา (Root
Mean Squared Error of Approximation : RMSEA) เปdนคาที่บงบอกความไมกลมกลืนของโมเดล
ตามสมมุติฐานกับเมทริกซ=ความแปรปรวนรวมของประชากร ซึ่งถ/าดัชนี RMSEA มีคาน/อยกวา .08
แสดงวาโมเดลมีความกลมกลืนแล/ว (สมบัติ ท/ายเรือคํา. 2553 ข : 267)
4.4 ดัชนีวัดความกลมกลืนเชิงเปรียบเทียบ (Comparative Fit Index : CFI)
เปdนดัชนีที่มาปรับแก/ของ RFI เพื่อให/ดัชนีมีคาอยูระหวาง 0 - 1 ดัชนีนี้จึงเปdนดัชนีที่มาจากฐานของ
คาไคกําลังสอง แบบ Noncentrality ด/วยเชนกัน และเปdนดัชนีหนึ่งที่ได/รับความนิยมสูง เนื่องจาก
เปdนอีกดัชนีที่ไมได/รับผลกระทบจากขนาดของกลุมตัวอยาง โดยเกณฑ=การตัดสินที่นิยมใช/ก็คือ
ต/องมีคามากกวา .90 (ฉัตรศิริ ปaยะพิมลสิทธิ์. 2543 : 30-31 ; อ/างอิงมาจาก Bentler. 1990)
จากคาสถิติหรือดัชนีที่ใช/ตรวจสอบความกลมกลืนของโมเดลตามสมมติฐาน
กับข/อมูลเชิงประจักษ=ข/างต/น สามารถสรุปได/ดังตาราง 5
81
ตาราง 5 สรุปคาสถิติหรือดัชนีที่ใช/ตรวจสอบความกลมกลืนของโมเดลตามสมมติฐานกับข/อมูล
เชิงประจักษ=
ดัชนีที่ใช/ตรวจสอบความกลมกลืนของโมเดล เกณฑ=การพิจารณา
คาไคกําลังสอง (Chi - Square : 2
χ ) คาไคกําลังสอง ที่ไมมีนัยสําคัญทางสถิติ
หรือคาความนาจะเปdน (p > x ;
โดยที่ x คือ ระดับนัยสําคัญทางสถิติที่
กําหนดขึ้น)
ดัชนีอัตราสวนไคกําลังสองสัมพัทธ=
(Relative Chi-Square Ratio : 2
χ /df)
มีคาน/อยกวา 2 (ถ/า df มีคามากๆ
หรือ ขนาดกลุมตัวอยาง (n) มีคามากๆ
จําทําให/ 2
χ /df มีคาน/อย จึงทําให/มี
โอกาสในการยอมรับ H0 มากยิ่งขึ้น)
คาดัชนี RMSEA (Root Mean Squared Error
of Approximation)
มีคาน/อยกวา .05
คาดัชนี TLI (Tucker-Lewis Index) มีคามากกวา .90
คาดัชนี CFI (Comparative Fit Index) มีคามากกวา .90
สถิติที่ใช/ตรวจสอบความสอดคล/องของโมเดลตามสมมติฐานกับข/อมูลเชิงประจักษ=ดังแสดง
ในตาราง 5 นั้น ใช/พิจารณาโมเดลตามสมมติฐานที่ตั้งไว/ หากคาสถิติที่คํานวณได/ไมเปdนไปตามเกณฑ=ที่
กําหนดก็จะต/องทําการปรับโมเดลใหม โดยอาศัยเหตุผลเชิงทฤษฎี และคาดัชนีปรับโมเดล (Model
modification indices : MI) ซึ่งเปdนคาสถิติเฉพาะของพารามิเตอร=แตละตัวมีคาเทากับ คาไคกําลังสอง
ที่ลดลง เมื่อกําหนดให/พารามิเตอร=ตัวนั้นเปdนพารามิเตอร=อิสระ หรือมีการผอนคลายข/อกําหนดเงื่อนไข
บังคับของพารามิเตอร=นั้น ข/อมูลที่ได/นั้นนําไปใช/ในการปรับโมเดลจนได/โมเดลที่มีความสอดคล/องกับ
ข/อมูลเชิงประจักษ=และได/คาสถิติตามเกณฑ=ที่กําหนด
5. นําเสนอคาอิทธิพลของตัวแปรในโมเดล โดยแสดงอิทธิพลทางตรง–ทางอ/อม
(Direct-Indirect effect) และอิทธิพลรวม (Total effect) ของตัวแปรปจจัยที่สงผลตอการพัฒนา
ตนเอง
สถิติที่ใชในการวิเคราะห(ขอมูล
1. สถิติที่ใช/ในการวิเคราะห=หาคุณภาพของเครื่องมือ
1.1 หาคุณภาพของแบบวัดทั้งหมด ประกอบด/วย แบบวัดการพัฒนาตนเอง
แบบวัดปจจัยที่สงผลตอการพัฒนาตนเอง ใช/สถิติในการตรวจคุณภาพของเครื่องมือ ดังนี้
1.1.1 การตรวจสอบความเที่ยงตรงเชิงเนื้อหา (Content Validity) โดยวิธีหาคา
ดัชนี ความสอดคล/อง (Index of Congruence : IOC) ของแบบใช/สูตรดังนี้ (สมบัติ ท/ายเรือคํา.
2551 : 107)
82
IOC =
N
R∑
เมื่อ IOC แทน ดัชนีความสอดคล/องระหวางข/อสอบกับจุดประสงค=
∑R แทน ผลรวมคะแนนความคิดเห็นของผู/เชี่ยวชาญทั้งหมด
N แทน จํานวนผู/เชี่ยวชาญทั้งหมด
1.1.2 วิเคราะห=หาคาอํานาจจําแนก (Discriminating Power) รายข/อโดยใช/คา
สัมประสิทธิ์สหสัมพันธ=อยางงายแบบ Pearson ระหวางคะแนนของแตละข/อกับ
คะแนนรวม (Item-Total Correlation) โดยใช/สูตรดังนี้ (สมบัติ ท/ายเรือคํา. 2553ก : 97)
rxy =
( )( )
[ ( ) ] [ ( ) ]2222
nn
ΣΥΣΧn
ΣΥ−ΣΥΣΧ−ΣΧ
−ΧΥ∑
เมื่อ rxy แทน สัมประสิทธิ์สหสัมพันธ=ระหวาง X กับ Y
Σ X แทน ผลรวมของคะแนนชุด X
Σ Y แทน ผลรวมของคะแนนชุด Y
Σ X 2
แทน ผลรวมของกําลังสองของคะแนนชุด X
Σ Y 2
แทน ผลรวมของกําลังสองของคะแนนชุด Y
Σ XY แทน ผลรวมของผลคูณระหวาง X กับ Y
n แทน จํานวนสมาชิกในกลุม
1.1.3 วิเคราะห=หาความเชื่อมั่น (Reliability) ของแบบวัด โดยวิธีหาคาสัมประสิทธิ์
สหสัมพันธ=แอลฟา (Alpha - Coeficient) ของ Cronbach (สมบัติ ท/ายเรือคํา. 2553ก : 98)
โดยใช/สูตรดังนี้
α =






−
− 2
t
2
i
S
ΣS
1
1k
k
เมื่อ α แทน คาสัมประสิทธิ์ความเชื่อมั่น
k แทน จํานวนข/อของเครื่องมือ
Σ 2
iS แทน ผลรวมของความแปรปรวนแตละข/อ
2
tS แทน ความแปรปรวนของคะแนนรวม
83
2. สถิติพื้นฐาน
2.1 ร/อยละ (Percentage) (สมบัติ ท/ายเรือคํา. 2551 : 199-123)
100×=
N
f
P
เมื่อ P แทน ร/อยละ
f แทน ความถี่ที่ต/องการแปลงให/เปdนร/อยละ
N แทน จํานวนความถี่ทั้งหมด
2.2 คาเฉลี่ย (Means) (สมบัติ ท/ายเรือคํา. 2551 : 125)
Χ =
n
fx∑
เมื่อ Χ แทน คาเฉลี่ยของกลุมตัวอยาง
Σ x แทน ผลรวมของข/อมูลในกลุมตัวอยาง
n แทน จํานวนข/อมูลในกลุมตัวอยาง
2.3 สวนเบี่ยงเบนมาตรฐาน (Standard Deviation) (สมบัติ ท/ายเรือคํา. 2552 :
140)
S =
( )
)1(
22
−
−∑ ∑
nn
fxfxn
เมื่อ S แทน สวนเบี่ยงเบนมาตรฐานของกลุมตัวอยาง
Χ แทน คาของข/อมูลแตละตัว
Χ แทน คาเฉลี่ยของกลุมตัวอยาง
n แทน จํานวนข/อมูลทั้งหมดของกลุมตัวอยาง
f แทน คาความถี่ของข/อมูล
2.3 การตรวจสอบข/อมูลกอนการวิเคราะห=ข/อมูลด/วยโปรแกรมคํานวณทาง
คอมพิวเตอร=สําเร็จรูป ดังนี้
คาความเบ/ (Skewness) และคาความโดง (Kurtosis) มีสูตรดังนี้
( )
∑
∑ −
==
f
xxf
m
m
3
33
3
3 ;
σ
α
( )
N
xxf
m
m ∑ −
== 44
4
4 ;
σ
α
84
เมื่อ แทน โมเมนต=ที่ 3 รอบมัชฌิมเลขคณิต
แทน โมเมนต=ที่ 4 รอบมัชฌิมเลขคณิต
3. สถิติที่ใช/ในการวิเคราะห=ข/อมูลการวิจัย
3.1 สัมประสิทธิ์สหสัมพันธ=อยางงาย (Simple Correlation Coefficient) หรือ
สัมประสิทธิ์สหสัมพันธ=แบบ Pearson (Pearson’s Product Moment Correlation Coefficient)
โดยใช/สูตรดังนี้ (บุญชม ศรีสะอาด. 2542 : 106-107)
เมื่อ แทน สัมประสิทธิ์สหสัมพันธ=ระหวาง X และ Y
แทน ผลรวมของคาตัวแปร X
แทน ผลรวมของคาตัวแปร Y
N แทน จํานวนสมาชิกในกลุม
แทน ผลรวมของผลคูณระหวาง X และ Y
แทน ผลรวมของกําลังสองของคาตัวแปร X
แทน ผลรวมของกําลังสองของคาตัวแปร Y
3.2 คํานวณคาสัมประสิทธิ์สหสัมพันธ=เส/นทาง โดยวิเคราะห=สหสัมพันธ=พหุคูณ
และวิเคราะห=สมการด/วยวิธีความเปdนไปได/สูงสุด (Maximum Likelihood : ML) มีฟงก=ชันเปdนดังนี้
(นงลักษณ= วิรัชชัย. 2542 : 49)
kSlog)tr(SlogF 1
+−∑+∑= −
เมื่อ S แทน เมตริกซ=ความแปรปรวน – ความแปรปรวนรวมจากกลุม
ตัวอยาง
∑ แทน เมตริกซ=ความแปรปรวน - ความแปรปรวนรวมที่ได/จาก
คาประมาณพารามิเตอร=
k แทน จํานวนตัวแปรที่สังเกตได/ทั้งหมดในโมเดลสมการโครงสร/าง
(NX + NY)
tr แทน ผลรวมสมาชิกในแนวทแยงของเมตริกซ= (trace)
3.3 การวิเคราะห=ความตรงเชิงโครงสร/างของโมเดลการวัด โดยการวิเคราะห=องค=ประกอบ
เชิงยืนยัน ด/วยโปรแกรมคํานวณทางคอมพิวเตอร=สําเร็จรูป
3.4 ทดสอบความกลมกลืนของโมเดลสมการโครงสร/างตามสมมุติฐานกับข/อมูล
เชิงประจักษ=โดยใช/สถิติวัดระดับความกลมกลืน ดังนี้
( ){ } ( ){ }∑ ∑∑∑
∑ ∑ ∑
−−
−
=
2222
YYNXXN
YXXYN
rxy
XYr
∑X
∑Y
∑XY
∑ 2
X
∑ 2
Y
3m
4m
85
3.4.1 คาไคกําลังสอง (Chi - Square : 2
χ ) เปdนคาสถิติที่ใช/ทดสอบสมมติฐาน
ทางสถิติวาฟงก=ชันความกลมกลืนมีคาเปdนศูนย= คาสถิติ คาไคกําลังสองมีคาต่ํามากยิ่งมีคาใกล/ศูนย=มาก
เทาไร หรือคาใกล/เคียงกับจํานวนองศาเสรี (Degree of Freedom : df) แสดงวา โมเดลทางทฤษฏีมี
ความสอดคล/องกับข/อมูล เชิงประจักษ=โดยใช/สูตรดังนี้ (นงลักษณ= วิรัชชัย. 2542 : 56)
2
χ t1)/2k(kd;θ)(S,1)F(n −+=∑−=
เมื่อ n แทน ขนาดของกลุมตัวอยาง
F θ)(S,∑ แทน คาต่ําสุดของฟงก=ชันความกลมกลืนของโมเดลจาก
พารามิเตอร= θ
k แทน จํานวนตัวแปรที่สังเกตได/
d แทน องศาเสรี (Degrees of Freedom)
t แทน จํานวนพารามิเตอร=อิสระ
3.4.2 ดัชนีรากกําลังสองเฉลี่ยของความคลาดเคลื่อนในการประมาณ (Root Mean
Squared Error of Approximation : RMSEA) โดยใช/สูตรดังนี้ (นงลักษณ= วิรัชชัย. 2542 :
56)
RMSEA = FO/d
เมื่อ FO/d แทน Max. 0(d/n),-F
FO แทน คาต่ําสุดของฟงก=ชันความกลมกลืนของโมเดล
จากพารามิเตอร= θ
n แทน ขนาดของกลุมตัวอยาง
d แทน คาองศาเสรี
3.4.5 CFI (comparative fit index) Bentler (1990) ได/เสนอ CFI ซึ่งอยูบนพื้นฐาน
ของ Noncentral 2
χ Distribution) เปdนดัชนีที่ใช/เปรียบเทียบโมเดลพื้นฐาน (Baseline) กับโมเดล
ตามทฤษฎีหรือโมเดลตามสมมติฐาน ซึ่งโมเดลพื้นฐานจะถูกเรียกวา “Null” หรือ Independence”
เปdนโมเดลที่ไมมีความสัมพันธ=ระหวางตัวแปรทั้งหมด คือ ไมมีเส/นทางเชื่อมโยงระหวางตัวแปรหรือ
โมเดลที่เมตริกซ=ความแปรปรวนรวมมีคาเปdน 0 ดัชนี ดัชนี CFI มีพิสัยอยูระหวาง 0 ถึง 1 หากมีคาสูงถึง
0.9 แปลได/วาโมเดลตามสมมติฐานมีความสอดคล/องกับข/อมูล มีสูตรดังนี้
elnull
elnull
df
CFI
mod
2
mod
22
1
−
−
−=
χ
χχ
86
บทที่ 4
ผลการวิเคราะหขอมูล
การวิจัยครั้งนี้เปนการศึกษาปจจัยที่สงผลตอการพัฒนาตนเอง ของนักเรียนมัธยมศึกษาป%ที่ 6
สํานักงานเขตพื้นที่การศึกษามัธยมศึกษา เขต 19 (เลย - หนองบัวลําภู) ได3นําเสนอผลการวิเคราะห5
ข3อมูลตามลําดับดังนี้
1. สัญลักษณ5ที่ใช3ในการเสนอผลการวิเคราะห5ข3อมูล
2. ลําดับขั้นในการเสนอผลการวิเคราะห5ข3อมูล
3. ผลการวิเคราะห5ข3อมูล
สัญลักษณที่ใชในการเสนอผลการวิเคราะหขอมูล
เพื่อให3การนําเสนอผลการวิเคราะห5ข3อมูลมีความสะดวกและเข3าใจงาย ผู3วิจัยใช3อักษรยอและ
สัญลักษณ5แทนตัวแปรและคาสถิติตางๆ ที่ใช3ในการวิเคราะห5ข3อมูล ดังนี้
X หมายถึง คาเฉลี่ย (Mean)
S หมายถึง สวนเบี่ยงเบนมาตรฐาน (Standard Deviation)
MAX หมายถึง คาสูงสุด
MIN หมายถึง คาต่ําสุด
CV หมายถึง สัมประสิทธิ์การกระจาย
SK หมายถึง คาความเบ3 (Skewness)
KU หมายถึง คาความโดง (Kurtosis)
2
χ หมายถึง ดัชนีตรวจสอบความกลมกลืนประเภทคาสถิติไคกําลังสอง
(Chi-Square)
df หมายถึง องศาเสรี (Degree of Freedom)
TE หมายถึง ขนาดอิทธิพลรวม (Total Effect)
DE หมายถึง ขนาดอิทธิพลทางตรง (Direct Effect)
IE หมายถึง ขนาดอิทธิพลทางอ3อม (Indirect Effect)
R2
หมายถึง สัมประสิทธิ์การตัดสินใจ (Coefficient of Determination)
p หมายถึง ระดับนัยสําคัญทางสถิติ
CFI หมายถึง ดัชนีดัชนีเปรียบเทียบโมเดล (Comparative Fit Index)
RMSEA หมายถึง ดัชนีรากกําลังสองเฉลี่ยของความคลาดเคลื่อนในการประมาณ (Root
Mean Squared Error of Approximation)
87
สัญลักษณ5ที่ใช3แทนตัวแปรแฝง
OPT หมายถึง การมองโลกในแงดี
SCT หมายถึง ความเชื่อมั่นในตนเอง
AMO หมายถึง แรงจูงใจใฝnสัมฤทธิ์
SEF หมายถึง การรับรู3ความสามารถของตนเอง
SCT หมายถึง การควบคุมตนเอง
SDL หมายถึง การพัฒนาตนเอง
สัญลักษณ5ที่ใช3แทนตัวแปรสังเกตได3
การควบคุมตนเอง (SCT)
GOA หมายถึง การตั้งเปrาหมาย
RES หมายถึง การยับยั้งตนเอง
STE หมายถึง การควบคุมอารมณ5
PAT หมายถึง ความอดทน
การรับรู3ความสามารถของตนเอง (SEF)
EAT หมายถึง ประสบการณ5จากความสําเร็จ
VEX หมายถึง การได3เห็นตัวแบบประสบความสําเร็จ
VPE หมายถึง การพูดชักจูงจากผู3อื่น
PST หมายถึง สภาวะทางกาย
PAT หมายถึง ความอดทน
การพัฒนาตนเอง (SDL)
PDE หมายถึง ตนเอง
SDE หมายถึง สังคม
LDE หมายถึง การเรียน
การมองโลกในแงดี (OPT)
PEM หมายถึง ความคงทนถาวร
PEV หมายถึง ความครอบคลุม
PES หมายถึง ความเปนตนเอง
ความเชื่อมั่นในตนเอง (SCF)
EST หมายถึง ความมั่นคงทางจิตใจ
COU หมายถึง ความกล3า
SRE หมายถึง การพึ่งตนเอง
AUT หมายถึง ความเปนตัวของตัวเอง
ADA หมายถึง ความสามารถในการปรับตัว
แรงจูงใจใฝnสัมฤทธิ์ (AMO)
ASP หมายถึง ความทะเยอทะยาน
ENE หมายถึง ความกระตือรือร3น
MRT หมายถึง ความกล3าเสี่ยง
88
PLA หมายถึง การรู3จักวางแผน
UOC หมายถึง ความมีเอกลักษณ5
ลําดับขั้นในการนําเสนอผลการวิเคราะหขอมูล
ในการวิจัยครั้งนี้ ผู3วิจัยได3นําเสนอผลการวิเคราะห5ตามลําดับ ดังนี้
ตอนที่ 1 การวิเคราะห5ข3อมูลเบื้องต3น (Preliminary Data Analysis)
1.1 การตรวจสอบลักษณะการแจกแจงของตัวแปร
1.2 การตรวจสอบความสัมพันธ5เชิงเส3นตรง (Linearity) ของตัวแปร
1.3 การตรวจสอบข3อมูลสุดโตง (Extremes or Outliers)
1.4 ผลการวิเคราะห5คาสถิติพื้นฐานของตัวแปร
ตอนที่ 2 การวิเคราะห5คาสัมประสิทธิ์สหสัมพันธ5แบบ Pearson ของตัวแปร
ตอนที่ 3 การวิเคราะห5องค5ประกอบเชิงยืนยันของโมเดลการวัด
ตอนที่ 4 การวิเคราะห5รูปแบบความสัมพันธ5โครงสร3างเชิงสาเหตุของปจจัยที่สงผลตอการ
พัฒนาตนเอง
4.1 การตรวจสอบความสอดคล3องของรูปแบบผลการวิเคราะห5แสดงคาสัมประสิทธิ์
สหสัมพันธ5ระหวางตัวแปร และคาสัมประสิทธิ์อิทธิพลของปจจัยที่สงผลตอการพัฒนาตนเอง ของ
นักเรียนมัธยมศึกษาป%ที่ 6 สํานักงานเขตพื้นที่การศึกษามัธยมศึกษา เขต 19 (เลย - หนองบัวลําภู)
ตามสมมติฐาน
4.2 โมเดลของปจจัยที่สงผลตอการพัฒนาตนเอง ของนักเรียนมัธยมศึกษาป%ที่ 6
สํานักงานเขตพื้นที่การศึกษามัธยมศึกษา เขต 19 (เลย - หนองบัวลําภู) ที่ปรับแก3แล3ว
ผลการวิเคราะหขอมูล
ตอนที่ 1 การวิเคราะห5ข3อมูลเบื้องต3น (Preliminary Data Analysis)
ในการวิจัยที่มีการวิเคราะห5ข3อมูลด3วยสถิติขั้นสูง เชน การวิจัยที่ใช3การวิเคราะห5โมเดล
นักวิจัยควรรู3ธรรมชาติของข3อมูลและมีความเข3าใจในลักษณะความสัมพันธ5ของตัวแปรอยางดี เพื่อให3
การวิเคราะห5ข3อมูลถูกต3องสมเหตุสมผล ดังนั้นในการวิเคราะห5ข3อมูล ควรมีการตรวจสอบข3อมูลเพื่อให3
ทราบถึงลักษณะธรรมชาติของข3อมูล ซึ่งวิธีการตรวจสอบข3อมูลที่นักวิจัยต3องดําเนินการกอนการ
วิเคราะห5ข3อมูลมี 4 สวน ได3แกการตรวจสอบลักษณะการแจกแจงของตัวแปร การตรวจสอบลักษณะ
ความสัมพันธ5ระหวางตัวแปร การตรวจสอบคาสุดโตง และการตรวจสอบข3อตกลงเบื้องต3นของตัวแปร
ซึ่งการตรวจสอบข3อมูลทั้งหมดนี้ ถ3ามีการตรวจสอบและแก3ไขกอนการวิเคราะห5ข3อมูล จะชวยให3
การวิเคราะห5ข3อมูลได3ผลดี ไมมีปญหายุงยากในการวิเคราะห5ข3อมูล เพราะในการวิเคราะห5ข3อมูลที่มีตัว
แปรหลายตัว ถ3าตัวแปรมีคุณสมบัติไมสอดคล3องกับข3อตกลงเบื้องต3นจะทําให3ผลการวิเคราะห5เบี่ยงเบน
และลําเอียงได3มากกวาเมื่อมีตัวแปรน3อยตัว และในการวิเคราะห5ทางสถิติขั้นสูงมีความยุงยากซับซ3อน
ถ3าข3อมูลไมเปนไปตามข3อตกลงเบื้องต3นผลการวิเคราะห5ข3อมูลด3วยสถิติขั้นสูงจะแสดงผลการวิเคราะห5
โดยพรางลักษณะที่ไมสอดคล3องกับข3อตกลงเบื้องต3น ซึ่งถ3าใช3สถิติวิเคราะห5เบื้องต3นจะเห็นลักษณะที่ไม
89
สอดคล3องกับข3อตกลงเบื้องต3นได3ชัดเจน หากนักวิจัยไมตรวจสอบข3อมูลกอนอาจจะได3ผลการวิเคราะห5
ข3อมูลจากสถิติวิเคราะห5ขั้นสูงที่มีอันตรายจากการที่ข3อมูลไมเปนไปตามข3อตกลงเบื้องต3น (นงลักษณ5
วิรัชชัย. 2542 : 12-18) ดังนั้นผู3วิจัยจึงทําการวิเคราะห5ข3อมูลเบื้องต3นเพื่อตรวจสอบลักษณะของ
ข3อมูล ดังรายละเอียดตอไปนี้
1.1 การตรวจสอบลักษณะการแจกแจงของตัวแปร
ในการวิเคราะห5โมเดลสมการโครงสร3าง (Structural Equation Model : SEM)
มีข3อตกลงเบื้องต3นวา การแจกแจงของตัวแปรโดยเฉพาะตัวแปรตามต3องเปนการแจกแจงแบบโค3งปกติ
จากการทดสอบการแจกแจงเปนโค3งปกติของตัวแปรสังเกตได3ทั้ง 24 ตัวแปร พบวา ตัวแปรสังเกตได3
สวนใหญไมมีนัยสําคัญทางสถิติที่ระดับ .05 แสดงวาตัวแปรเหลานี้มีการแจกแจงเปนโค3งปกติ ตรวจสอบ
ตัวแปรที่มีการแจกแจงแบบปกติ ผู3วิจัยทําการตรวจสอบโดยใช3 Normal Probability Plot ซึ่งเปน
กราฟที่ใช3ตรวจสอบการแจกแจงแบบปกติของข3อมูลโดยถ3าข3อมูลมีการแจกแจงแบบปกติ คาของข3อมูล
จะอยูรอบๆ เส3นตรง (กัลยา วานิชย5บัญชา. 2551 : 35) ผลการวิเคราะห5คาของข3อมูลอยูรอบๆ
เส3นตรงทุกตัวแปร (ภาคผนวก ฉ ) จึงสรุปได3วาคาความคลาดเคลื่อนมีการแจกแจงเข3าใกล3ปกติ
ซึ่งเปนไปตามเงื่อนไขของการวิเคราะห5ข3อมูล
1.2 การตรวจสอบความสัมพันธ5เชิงเส3นตรง (Linearity) ของตัวแปร
สถิติวิเคราะห5ทุกประเภทที่มีพื้นฐานมาจากการวิเคราะห5คาสหสัมพันธ5มีข3อตกลง
เบื้องต3นวาความสัมพันธ5ระหวางตัวแปร (Inter–Correlation) แตละคูต3องเปนเส3นตรง จากการทดสอบ
นัยสําคัญของคาสัมประสิทธิ์สหสัมพันธ5ระหวางตัวแปรสังเกตได3 พบวาตัวแปรสวนใหญมีความสัมพันธ5
กันอยางมีนัยสําคัญทางสถิติที่ระดับ .01 (รายละเอียดในตาราง 7) แสดงวาตัวแปรมีความสัมพันธ5เชิง
เส3นตรง
1.3 การตรวจสอบข3อมูลสุดโตง (Extremes or Outliers)
ตัวแปรที่มีคาของตัวแปรคาหนึ่งคาใดสูงมาก หรือต่ํามากผิดปกติ แสดงวามีข3อมูล
สุดโตง วิธีการตรวจสอบข3อมูลสุดโตงอาจทําไปพร3อมกับการตรวจสอบลักษณะการแจกแจงของตัวแปร
และการตรวจสอบลักษณะความสัมพันธ5ของตัวแปร ตรวจสอบโดยใช3แผนภาพ Box Plot จากการ
ตรวจสอบข3อมูลสุดโตงในภาพประกอบ 13 (รายละเอียดในภาคผนวก ช) ซึ่งเปนตัวแปรที่มีลักษณะ
ข3อมูลสุดโตงมากที่สุด และจากการวิเคราะห5ข3อมูลเปรียบเทียบเมื่อมีและไมมีข3อมูลสุดโตงผลการ
วิเคราะห5ไมแตกตางกันมากนักจึงคงข3อมูลสุดโตงนั้นไว3
1.4 ผลการวิเคราะห5คาสถิติพื้นฐานของตัวแปร
การวิเคราะห5คาสถิติพื้นฐานของตัวแปรที่ใช3ในโมเดล มีจุดมุงหมายเพื่อให3ทราบ
ลักษณะการกระจายและการแจกแจงของตัวแปรสังเกตได3แตละตัว โดยคาสถิติที่ใช3ได3แก คาเฉลี่ย
คาสวนเบี่ยงเบนมาตรฐาน คาความเบ3 และคาความโดง เนื่องจากผลการตรวจสอบลักษณะการแจกแจง
ของตัวแปรกอนนําไปวิเคราะห5ด3วยโปรแกรมสําเร็จรูป ปรากฏดังตาราง 6
90
ตาราง 6 ผลการวิเคราะห5คาสถิติพื้นฐานของตัวแปรสังเกตได3ที่ใช3ในการศึกษาปจจัยที่สงผลตอ
การพัฒนาตนเอง ของนักเรียนมัธยมศึกษาป%ที่ 6 สํานักงานเขตพื้นที่การศึกษามัธยมศึกษา
เขต 19 (เลย - หนองบัวลําภู) (n=807)
ตัวแปร ตัวแปรสังเกตได3 MIN MAX X S CV SK KU
การควบคุมตนเอง
(SCT)
GOA 3.000 5.000 4.229 .497 0.118 -.306 -.501
RES 3.000 5.000 4.254 .533 0.125 -.466 -.438
STE 3.000 5.000 4.213 .538 0.128 -.352 -.391
PAT 3.000 5.000 4.450 .505 0.113 -.773 -.012
การรับรู3ความสามารถ
ของตนเอง
(SEF)
EAT 3.000 5.000 4.333 .489 0.113 -.178 -.606
VEX 3.000 5.000 4.233 .486 0.115 -.265 -.354
VPE 3.000 5.000 4.422 .629 0.142 -.822 -.282
PST 3.000 5.000 4.284 .634 0.148 -.475 -.687
การพัฒนาตนเอง
(SDL)
PDE 3.000 5.000 4.288 .565 0.132 -.460 -.476
SDE 3.000 5.000 4.354 .511 0.117 -.457 -.476
LDE 3.330 5.000 4.452 .487 0.109 -.391 -.931
การมองโลกในแงดี
(OPT)
PEM 3.000 5.000 4.273 .555 0.130 -.280 -.718
PEV 2.330 5.000 4.060 .638 0.157 -.525 .126
PES 3.000 5.000 4.164 .580 0.139 -.194 -.736
ความเชื่อมั่นในตนเอง
(SCF)
EST 3.000 5.000 4.185 .665 0.159 -.379 -.921
COU 2.670 5.000 4.210 .697 0.166 -.578 -.597
SRE 2.670 5.000 4.314 .656 0.152 -.709 -.385
AUT 2.670 5.000 4.222 .679 0.161 -.618 -.384
ADA 3.000 5.000 4.107 .641 0.156 -.152 -.884
แรงจูงใจใฝnสัมฤทธิ์
(AMO)
ASP 3.000 5.000 4.338 .515 0.119 -.598 -.125
ENE 3.000 5.000 3.916 .554 0.141 -.005 -.481
MRT 3.000 5.000 4.259 .517 0.121 -.362 -.269
PLA 3.000 5.000 4.117 .547 0.133 -.186 -.620
UOC 3.000 5.000 4.401 .510 0.116 -.585 -.261
ตาราง 6 พบวา ตัวแปรสังเกตได3 ผลการวิเคราะห5พบวาคาเฉลี่ยอยูในระดับมาก และ
สวนเบี่ยงเบนมาตรฐานมีคาใกล3เคียงกัน โดยตัวแปรที่มีคาเฉลี่ยสูงสุด คือ การเรียน (LDE) (X =4.454)
รองลงมา คือตัวแปร ความมีเอกลักษณ5 (UOC) (X =4.401) สวนตัวแปรที่มีคาเฉลี่ย ต่ําสุดคือ
ความกระตือรือร3น (ENE) (X =3.916) รองลงมาคือ ความครอบคลุม (PEV) (X =4.060)
เมื่อพิจารณาผลการวิเคราะห5สวนเบี่ยงเบนมาตรฐาน พบวา มีคาตั้งแต .486 ถึง .697 คือ
มีคาน3อยกวา 1 (บุญชม ศรีสะอาด. 2542 : 94) อยูในเกณฑ5ที่เหมาะสม กลาวคือ ข3อมูลที่ได3มี
การกระจายใกล3เคียงกัน โดยตัวแปรที่มีสวนเบี่ยงเบนมาตรฐานสูงสุด คือ ความกล3า (COU) (S=.697)
91
รองลงมา คือ ความเปนตัวของตัวเอง (AUT) (S=.679) สวนตัวแปรที่มีสวนเบี่ยงเบนมาตรฐาน ต่ําสุดคือ
การได3เห็นตัวแบบประสบความสําเร็จ (VEX) (S=.486) รองลงมาคือ ประสบการณ5จากความสําเร็จ
(EAT) (S=.489)
สําหรับการแจกแจงของตัวแปร พบวา ตัวแปรโดยสวนใหญมีความเบ3 (Skewness) และ
ความโดง (Kurtosis) เข3าใกล3 (0) โดยคาความเบ3ของตัวแปรสังเกตได3มีคาอยูระหวาง -.822 ถึง -.005
และความโดง มีคาอยูระหวาง -.931 ถึง .126 ซึ่งอยูในเกณฑ5ยอมรับได3 แสดงวาข3อมูลมีลักษณะ
การแจกแจงใกล3เคียงกับโค3งปกติ โดย West, Finch และ Curran (1995) และ (Kline. 2005 :
50) ให3ข3อแนะนําเกี่ยวกับการพิจารณาคาความเบ3และความโดงของตัวแปรวา คาความเบ3ที่มากกวา
2.00 และคาความโดงที่มากกวา 7.00 ลักษณะการแจกแจงข3อมูลไมเปนโค3งปกติ และการเก็บข3อมูล
กลุมตัวอยางในการวิจัยในครั้งนี้มีขนาดที่ใหญเพียงพอให3ข3อมูลมีแนวโน3มการแจกแจงเขาใกล3การแจก
แจงของโค3งปกติ จึงสรุปได3วา ข3อมูลมีลักษณะการแจกแจงใกล3เคียงกับโค3งปกติ ซึ่งเปนไปตามข3อตกลง
เบื้องต3น
ตอนที่ 2 การวิเคราะห5คาสัมประสิทธิ์สหสัมพันธ5แบบ Pearson ของตัวแปร
วิเคราะห5หาคาสัมประสิทธิ์สหสัมพันธ5ภายใน (Inter Correlation) ระหวางตัวแปรสังเกตได3จํานวน 24
ตัวแปร ซึ่งผลการวิเคราะห5หาคาสัมประสิทธิ์สหสัมพันธ5ภายในปรากฏ ดังตาราง 7
ตาราง 7 ผลการวิเคราะห5ความสัมพันธ5ระหวางตัวแปรสังเกตได3ทั้งหมดที่ใช3ในการวิจัย (n = 807)
ตัวแปร GOA RES STE PAT EAT VEX VPE PST PDE SDE LDE PEM
GOA 1.000
RES .683** 1.000
STE .582** .632** 1.000
PAT .499** .595** .473** 1.000
EAT .341** .399** .387** .426** 1.000
VEX .294** .363** .353** .384** .521** 1.000
VPE .145** .214** .130** .214** .222** .478** 1.000
PST .119** .167** .082** .195** .224** .470** .760** 1.000
PDE .298** .340** .308** .370** .445** .459** .226** .397** 1.000
SDE .400** .446** .367** .486** .501** .447** .249** .310** .594** 1.000
LDE .469** .568** .464** .566** .536** .454** .274** .225** .450** .644** 1.000
PEM .426** .440** .403** .480** .466** .491** .213** .255** .527** .588** .659** 1.000
PEV .365** .423** .356** .405** .394** .458** .166** .251** .464** .460** .495** .624**
PES .437** .485** .443** .471** .485** .526** .231** .270** .537** .589** .616** .710**
EST .267** .232** .259** .293** .367** .419** .169** .266** .529** .394** .333** .429**
COU .300** .273** .305** .274** .394** .428** .224** .265** .598** .429** .417** .476**
SRE .300** .268** .306** .327** .381** .422** .223** .245** .557** .459** .468** .463**
AUT .213** .173** .227** .224** .288** .404** .186** .236** .544** .382** .316** .380**
92
ตาราง 7 (ตอ)
ตัวแปร GOA RES STE PAT EAT VEX VPE PST PDE SDE LDE PEM
ADA .266** .276** .284** .351** .382** .570** .174** .269** .572** .481** .380** .500**
ASP .513** .657** .555** .628** .394** .396** .179** .193** .397** .487** .561** .532**
ENE .465** .519** .562** .356** .373** .330** .076** .117** .261** .266** .305** .306**
MRT .539** .584** .538** .544** .502** .417** .195** .172** .389** .519** .536** .470**
PLA .448** .427** .399** .373** .507** .423** .182** .183** .312** .397** .413** .320**
UOC .368** .477** .458** .497** .612** .499** .272** .257** .435** .564** .538** .462**
ตัวแปร PEV PES EST COU SRE AUT ADA ASP ENE MRT PLA UOC
PEV 1.000
PES .738** 1.000
EST .427** .510** 1.000
COU .437** .531** .806** 1.000
SRE .379** .487** .739** .741** 1.000
AUT .328** .410** .701** .791** .755** 1.000
ADA .514** .593** .607** .600** .562** .631** 1.000
ASP .489** .507** .306** .301** .296** .254** .388** 1.000
ENE .358** .402** .230** .227** .209** .153** .268** .465** 1.000
MRT .404** .504** .299** .292** .312** .252** .341** .621** .575** 1.000
PLA .341** .390** .325** .328** .307** .245** .345** .389** .482** .550** 1.000
UOC .416** .524** .344** .369** .340** .279** .406** .506** .331** .574** .554** 1.000
Bartlett’s test of sphericity = 13532.50 df = 276
Kaiser-Meyer-Olkin Measure of sampling adequacy = 0.932 , * p< .05 , ** p < .01
จากตาราง 5 ผลการตรวจสอบคาสัมประสิทธิ์สหสัมพันธ5ระหวางตัวแปร พบวา ตัวแปรสวน
ใหญมีความสัมพันธ5กันอยางมีนัยสําคัญทางสถิติที่ระดับ .01 โดยมีความสัมพันธ5ทางบวก การวิเคราะห5
เปนสวนหนึ่งในการศึกษาความสอดคล3องกลมกลืนของโมเดลสมมุติฐานกับข3อมูลเชิงประจักษ5โดยศึกษา
ความสัมพันธ5ระหวางตัวแปรสังเกตได3 จํานวน 24 ตัว วามีความสัมพันธ5กันหรือไม มีทิศทางและ
ขนาดของความสัมพันธ5อยางไรโดยใช3สถิติในการวิเคราะห5 คือ คาสัมประสิทธิ์สหสัมพันธ5แบบ
Pearson (Pearson’s Product Moment Correlation)
ผลการวิเคราะห5พบวา ความสัมพันธ5ของตัวแปรทั้งหมด มีคาแตกตางจากศูนย5อยางมี
นัยสําคัญทางสถิติที่ระดับ .01 มีคาแตกตางจากศูนย5อยางมี มีคา Bartlett's Test มีคา Approx.
Chi – Square = 13532.50, df = 276, p = 0.000, Kaiser – Meyer - Olkin Measure of
sampling adequacy : KMO = 0.932 แสดงวาข3อมูลมีลักษณะเปนกลุมสามารถนํามาวิเคราะห5ได3
93
ตอนที่ 3 การวิเคราะห5องค5ประกอบเชิงยืนยันของโมเดลการวัด
โมเดลการวัด (Measurement Model) และโมเดลสมการโครงสร3าง (Structural
equation model) ซึ่งโมเดลการวัดจะทําให3โปรแกรมสําเร็จรูปสามารถแก3ปญหาความคลาดเคลื่อนใน
การวัด (Measurement error) ได3 โดยใช3หลักการวิเคราะห5องค5ประกอบเชิงยืนยัน หรือการวิเคราะห5
ยืนยันองค5ประกอบ (Confirmatory Factor Analysis) ในการประมาณคาตัวแปรแฝงตามโมเดลแสดง
ความสัมพันธ5โครงสร3างเชิงเส3นระหวางตัวแปรสังเกตได3กับตัวแปรแฝง แล3วใช3ตัวแปรแฝงไปวิเคราะห5
ข3อมูล
นอกจากนั้นการวิเคราะห5องค5ประกอบยังเปนวิธีการทางสถิติที่ใช3ศึกษาความสัมพันธ5
ระหวางตัวแปรสังเกตได3ชุดหนึ่งวาเกิดจากตัวแปรแฝงหรือคุณลักษณะแฝงที่เปนองค5ประกอบอยางไร
แตในการวิเคราะห5องค5ประกอบนั้นนักวิจัยจะต3องมีสมมติฐานการวิจัยที่แนนอนวามีองค5ประกอบใดสง
อิทธิพลไปยังตัวแปรสังเกตได3 หรือนักวิจัยต3องทราบโครงสร3างความสัมพันธ5ระหวางตัวแปรและ
กําหนดเปนโมเดลการวิจัยไว3 ดังนั้นการวิเคราะห5องค5ประกอบก็คือ การตรวจสอบวาข3อมูลเชิงประจักษ5
สอดคล3องกับโมเดลการวิจัย และการวิเคราะห5องค5ประกอบเชิงยืนยันยังเปนการวิเคราะห5ที่มีประโยชน5
มากในการตรวจสอบความตรงเชิงโครงสร3าง (Construct Validity) (นงลักษณ5 วิรัชชัย. 2542 : 10,
37-39)
ดังนั้นในการวิจัยครั้งนี้ผู3วิจัยจึงทําการวิเคราะห5องค5ประกอบเชิงยืนยันของโมเดลการวัด
เพื่อตรวจสอบวาข3อมูลเชิงประจักษ5สอดคล3องกับโมเดลการวัดหรือไม และตรวจสอบความตรงเชิง
โครงสร3าง (Construct Validity) ของตัวแปรแฝง เพื่อให3แนใจวาตัวแปรสังเกตได3ในแตละตัวแปรแฝง
นั้นเปนตัวบงชี้หรือตัวชี้วัดที่เหมาะสมสําหรับการวัดตัวแปรแฝงที่กําหนดไว3 โดยคาที่ใช3ในการตรวจสอบ
ความตรงเชิงโครงสร3าง คือ คาน้ําหนักองค5ประกอบควรมีคามากกวา .30 (ล3วน สายยศ และ
อังคณา สายยศ. 2543 : 264)
ผู3วิจัยใช3การวิเคราะห5องค5ประกอบเชิงยืนยัน (Confirmatory Factory Analysis)
วิเคราะห5ความตรงเชิงโครงสร3างของตัวแปรองค5ประกอบในโมเดลการวิจัย (รายละเอียดเพิ่มเติม
ภาคผนวก ง)
94
ตาราง 8 คาสถิติผลการวิเคราะห5องค5ประกอบเชิงยืนยันของโมเดลการวัดตัวแปรแฝง
ตัวแปรแฝง
ตัวแปรสังเกต
ได3
น้ําหนัก
องค5ประกอบ
(SC)
ความคลาดเคลื่อน
มาตรฐาน
(SE)
สัมประสิทธิ์
การตัดสินใจ
(R2
)
การควบคุมตนเอง
(SCT)
GOA 0.636 20.230 0.636
RES 0.709 31.118 0.709
STE 0.932 44.908 0.932
PAT 0.674 28.489 0.674
การรับรู3ความสามารถ
ของตนเอง
(SEF)
EAT 0.696 32.914 0.696
VEX 0.671 30.103 0.671
VPE 0.814 40.924 0.814
PST 0.744 33.832 0.744
การพัฒนาตนเอง
(SDL)
PDE 0.826 70.089 0.826
SDE 0.911 49.204 0.911
LDE 0.597 24.421 0.597
การมองโลก
ในแงดี
(OPT)
PEM 0.826 70.089 0.826
PEV 0.911 49.204 0.911
PES 0.597 24.421 0.597
ความเชื่อมั่นในตนเอง
(SCF)
EST 0.536 19.836 0.536
COU 0.441 14.810 0.441
SRE 0.962 68.805 0.962
AUT 0.769 46.543 0.769
ADA 0.652 30.918 0.652
แรงจูงใจใฝnสัมฤทธิ์
(AMO)
ASP 0.799 41.460 0.799
ENE 0.840 47.694 0.840
MRT 0.628 24.155 0.628
PLA 0.688 30.153 0.688
UOC 0.449 14.970 0.449
จากตาราง 8 พบวา โมเดลการวัดตัวแปรแฝง ได3แก การวัดการควบคุมตนเอง
การวัดการรับรู3ความสามารถของตนเอง การวัดการพัฒนาตนตนเอง การวัดการมองโลกในแงดี
การวัดความเชื่อมั่นในตนเอง การวัดแรงจูงใจใฝnสัมฤทธิ์ โดยมีคาสัมประสิทธิ์น้ําหนักองค5ประกอบของ
ตัวแปรสังเกตได3ของตัวแปรแฝงทุกตัวมีนัยสําคัญทางสถิติที่ระดับ .01 โดยน้ําหนักองค5ประกอบของ
ตัวแปรสังเกตได3โมเดลการวัดการควบคุมตนเอง มีคาตั้งแต 0.636 ถึง 0.932 โมเดลการวัดการรับรู3
ความสามารถของตนเอง มีคาตั้งแต 0.671 ถึง 0.814 โมเดลการวัดการพัฒนาตนตนเอง มีคาตั้งแต
95
0.597 ถึง 0.911 โมเดลการวัดการมองโลกในแงดี มีคาตั้งแต 0.597 ถึง 0.911 โมเดลการวัดความ
เชื่อมั่นในตนเอง มีคาตั้งแต 0.441 ถึง 0.962 โมเดลการวัดแรงจูงใจใฝnสัมฤทธิ์ มีคาตั้งแต 0.449 ถึง
0.799 โดยคาน้ําหนักองค5ประกอบควรมีคามากกวา .30 (ล3วน สายยศ และ อังคณา สายยศ. 2543 :
264) ทุกตัวแปร แสดงวามีความตรงเชิงโครงสร3างเหมาะสมกับข3อมูลเชิงประจักษ5สอดคล3องกับโมเดล
การวัด สําหรับคาสัมประสิทธิ์ความเที่ยงของตัวแปรสังเกตได3ทุกคา ซึ่งวัดจากคา สัมประสิทธิ์การ
ตัดสินใจ (R2
) แสดงให3เห็นถึงความแปรปรวนรวมของตัวแปรสังเกตได3กับตัวแปรแฝงอยูในระดับสูง
สําหรับการตรวจสอบความตรงของโมเดลการวัดในแตละโมเดล สามารถพิจารณา
ได3จากดัชนีความสอดคล3องของโมเดลกับข3อมูลเชิงประจักษ5 ดังตาราง 9
ตาราง 9 ดัชนีที่ใช3ตรวจสอบความตรงของโมเดลการวัดตัวแปรแฝง
โมเดลการวัด 2
χ df 2
χ /df p CFI TLI RMSEA
SCT 1.667 1 1.667 0.196 0.999 0.996 0.029
SEF 3.314 2 1.657 0.190 0.999 0.997 0.029
OPT 0.880 1 0.880 0.348 1.000 1.001 0.000
SCF 5.876 4 1.469 0.208 0.999 0.997 0.024
AMO 7.542 4 1.885 0.109 0.998 0.993 0.033
SDL 0.667 1 0.667 0.414 1.000 1.002 0.000
จากตาราง 9 เมื่อ คา
2
χ / df ที่ใช3พิจารณาความสอดคล3องของข3อมูลเชิงประจักษ5
ตามสมมุติฐานหลัก หรือความตรงของโมเดล พบวา โมเดลการวัดการควบคุมตนเอง โมเดลการวัด
การรับรู3ความสามารถของตนเอง โมเดลการวัดการพัฒนาตนตนเอง โมเดลการวัดการมองโลกในแงดี
โมเดลการวัดความเชื่อมั่นในตนเอง โมเดลการวัดแรงจูงใจใฝnสัมฤทธิ์ มีคาน3อยกวา 2 ทุกโมเดล
แสดงวา ทุกโมเดลมีความตรงเชิงโครงสร3าง หรือมีความสอดคล3องของข3อมูลเชิงประจักษ5
96
ตอนที่ 4 การวิเคราะห5รูปแบบความสัมพันธ5โครงสร3างเชิงสาเหตุของปจจัยที่สงผลตอ
การพัฒนาตนเอง
4.1 การตรวจสอบความสอดคล3องของรูปแบบผลการวิเคราะห5แสดงคาสัมประสิทธิ์
สหสัมพันธ5ระหวางตัวแปร และคาสัมประสิทธิ์อิทธิพลของปจจัยที่สงผลตอการพัฒนาตนเอง ของ
นักเรียนมัธยมศึกษาป%ที่ 6 สํานักงานเขตพื้นที่การศึกษามัธยมศึกษา เขต 19 (เลย - หนองบัวลําภู)
ตามสมมติฐาน ผลการวิเคราะห5ปรากฏดังตาราง 10
ตาราง 10 คาสถิติความสอดคล3องของโมเดลตามสมมติฐานกับข3อมูลเชิงประจักษ5ในภาพรวม
ดัชนี เกณฑ5 คาสถิติ การพิจารณา
2
χ /df < 2 3281.861/242=13.561 ไมผานเกณฑ5
p value >.05 0.000 ไมผานเกณฑ5
RMSEA <.05 0.125 ไมผานเกณฑ5
TLI >.90 0.777 ไมผานเกณฑ5
CFI >.90 0.804 ไมผานเกณฑ5
2
χ =3281.861, df=242, 2
χ /df=13.561, p =0.000, CFI=0.804,TLI=777, RMSEA=0.125
ภาพประกอบ 5 โมเดลเชิงสาเหตุของปจจัยที่สงผลตอการพัฒนาตนเอง ของนักเรียนมัธยมศึกษาป%ที่ 6
สํานักงานเขตพื้นที่การศึกษามัธยมศึกษา เขต 19 (เลย - หนองบัวลําภู)
ตามสมมติฐาน
97
ผลการวิเคราะห5แสดงคาสัมประสิทธิ์สหสัมพันธ5ระหวางตัวแปร และคาสัมประสิทธิ์
อิทธิพลของโมเดลเชิงสาเหตุของปจจัยที่สงผลตอการพัฒนาตนเอง ของนักเรียนมัธยมศึกษาป%ที่ 6
สํานักงานเขตพื้นที่การศึกษามัธยมศึกษา เขต 19 (เลย - หนองบัวลําภู) ตามสมมติฐาน
แสดงดังตาราง 11
ตาราง 11 ผลการวิเคราะห5แสดงคาสัมประสิทธิ์สหสัมพันธ5ระหวางตัวแปร และคาสัมประสิทธิ์
อิทธิพลของปจจัยที่สงผลตอการพัฒนาตนเอง ของนักเรียนมัธยมศึกษาป%ที่ 6
สํานักงานเขตพื้นที่การศึกษามัธยมศึกษา เขต 19 (เลย - หนองบัวลําภู) ตามสมมติฐาน
ตัวแปรตาม SCT (E1) SEF (E2) SDL (E3)
ตัวแปรอิสระ TE IE DE TE IE DE TE IE DE
OPT (K1) - - - - - - 0.322 - 0.322
SCF (K2) 0.442 - 0.442 - - - 0.347 0.085 0.263
AMO (K3) - - - 0.814 - 0.814 0.389 0.129 0.560
SCT (E1) - - - - - - 0.191 - 0.191
SEF (E2) - - - - - - 0.158 - 0.158
2
χ =3281.861, df=242, 2
χ /df=13.561, RMSEA=0.125
จากตาราง 11 พบวา ผลการวิเคราะห5เพื่อตรวจสอบความกลมกลืนของปจจัยที่สงผลตอ
การพัฒนาตนเอง ของนักเรียนมัธยมศึกษาป%ที่ 6 สํานักงานเขตพื้นที่การศึกษามัธยมศึกษา เขต 19
(เลย - หนองบัวลําภู) ตามสมมติฐานกับข3อมูลเชิงประจักษ5 โดยมีตัวแปรตาม คือ การพัฒนาตนเอง
(SDL) ตัวแปรอิสระ ได3แก การมองโลกในแงดี (OPT) ความเชื่อมั่นในตนเอง (SCF) แรงจูงใจใฝnสัมฤทธิ์
(AMO) การรับรู3ความสามารถของตนเอง (SEF) การควบคุมตนเอง (SCT) เมื่อพิจารณาคาสถิติที่ใช3
ตัวแปร GOA RES STE PAT EAT VEX VPE PST PDE SDE
R2
0.690 0.784 0.586 0.523 0.489 0.706 0.340 0.339 0.530 0.626
ตัวแปร LDE PEM PEV PES EST COU SRE AUT ADA ASP
R2
0.615 0.656 0.658 0.819 0.753 0.902 0.824 0.751 0.500 0.586
ตัวแปร ENE MRT PLA UOC
R2
0.332 0.615 0.506 0.638
ตัวแปร SCT SEF SDL
R2
0.195 0.662 0.896
เมทริกซ5สหสัมพันธ5ระหวางตัวแปรแฝง
SDL SCT SEF OPT SCF AMO
SDL 1.000
SCT 0.489 1.000
SEF 0.730 0.197 1.000
OPT 0.841 0.273 0.638 1.000
SCF 0.759 0.442 0.445 0.617 1.000
AMO 0.831 0.242 0.814 0.784 0.547 1.000
98
ตรวจสอบความกลมกลืนระหวางโมเดลกับข3อมูลเชิงประจักษ5 พบวา โมเดลไมมีความกลมกลืนกับ
ข3อมูลเชิงประจักษ5 โดยพิจารณาจากคาไคกําลังสอง ( 2
χ ) ซึ่งมีคาเทากับ 3281.861 ที่คาองศาเสรี
(df) เทากับ 242 มีคาใกล3เคียงกัน คาความนาจะเปน (p) เทากับ 0.000 ดัชนีอัตราสวนคาไค
กําลังสองสัมพันธ5 ( 2
χ / df) เทากับ 13.561 และดัชนีรากกําลังสองเฉลี่ยของความคลาดเคลื่อนใน
การประมาณคา (RMSEA) เทากับ 0.125 แสดงวาโมเดลตามสมมุติฐานไมมีความกลมกลืนกับข3อมูล
เชิงประจักษ5
ผู3วิจัยจึงดําเนินการปรับโมเดลโดยพิจารณาความเปนไปได3ในเชิงทฤษฎี และอาศัยดัชนี
ปรับโมเดล (Model Modification Indices: MI) โดยดัชนี MI จะทําให3ทราบวาหากเพิ่มพารามิเตอร5ใน
โมเดลแล3วทําการวิเคราะห5ใหม คาไคกําลังสอง จะลดลงเทากับคา MI โดยปรับคาที่โปรแกรมเสนอแนะ
หรือคาที่มากที่สุดกอนเปนแนวทางในการปรับโมเดลจนกวาจะได3ข3อมูลที่สอดคล3องกับข3อมูลเชิง
ประจักษ5 และเนื่องจากในการวิเคราะห5ความสัมพันธ5โครงสร3างเชิงสาเหตุในการวิจัยครั้งนี้เปนการ
วิเคราะห5อิทธิพลที่มีความคลาดเคลื่อนในการวัดตัวแปร และความคลาดเคลื่อนมีความสัมพันธ5กันได3
(นงลักษณ5 วิรัชชัย. 2542 : 208) ผู3วิจัยจึงปรับโมเดลโดยกําหนดให3ความคลาดเคลื่อน (Error) ของ
ตัวแปรสังเกตได3มีความสัมพันธ5กัน เชน กําหนดให3ความคลาดเคลื่อนของตัวแปร PST และ VPE, PDE
และ PST, LDE และ PDE ,EAT และ UOC มีความสัมพันธ5กัน เปนต3น (ภาคผนวก ซ)
2. โมเดลเชิงสาเหตุของปจจัยที่สงผลตอการพัฒนาตนเอง ของนักเรียนมัธยมศึกษาป%ที่ 6
สํานักงานเขตพื้นที่การศึกษามัธยมศึกษา เขต 19 (เลย - หนองบัวลําภู) ที่ปรับแก3แล3ว
แสดงได3ดังภาพประกอบ 6
ตาราง 12 คาสถิติความสอดคล3องของโมเดลตามสมมติฐานกับข3อมูลเชิงประจักษ5
ในภาพรวม (หลังปรับโมเดล)
ดัชนี เกณฑ5 คาสถิติ การพิจารณา
2
χ /df < 2 273.172/240= 1.138 ผานเกณฑ5
p value >.05 0.069 ผานเกณฑ5
RMSEA <.05 0.013 ผานเกณฑ5
TLI >.90 0.998 ผานเกณฑ5
CFI >.90 0.998 ผานเกณฑ5
99
SDE
PDE
LDE
SDL
0.960**
0.852**
0.201**
0.146**
0.300**
0.098
0.185** (0.902)
0.727
0.801
0.845
0.437
0.359
0.321
UOCPLAMRTENEASP
AMO
0.364 0.675 0.408 0.593 0.405
0.7710.6380.7700.5700.797
PEM
PEV
PES
OPT
0.816
0.753
0.861
0.259
0.433
0.333
0.503**
GOA STE PATRES
SCT
0.429 0.311 0.374 0.424
0.747
(0.253)
0.756 0.830 0.7590.791
EAT VPE PSTVEX
SEF
(0.725)
0.275
0.477 0.406 0.844 0.846
0.3930.3950.7710.723
0.255**
SRE
COU
EST
AUT
ADA
SCF
0.846
0.919
0.942
0.857
0.914
0.248
0.113
0.155
0.265
0.457
2
χ =273.172, df=240, 2
χ /df=1.138, p=0.069, CFI=0.998,TLI=0.998,RMSEA=0.013
ภาพประกอบ 6โมเดลเชิงสาเหตุของปจจัยที่สงผลตอการพัฒนาตนเอง ของนักเรียนมัธยมศึกษา
ป%ที่ 6 สํานักงานเขตพื้นที่การศึกษามัธยมศึกษา เขต 19 (เลย - หนองบัวลําภู)
ที่ปรับแก3แล3ว
100
ตาราง 13 ผลการวิเคราะห5แสดงคาสัมประสิทธิ์สหสัมพันธ5ระหวางตัวแปร และคาสัมประสิทธิ์
อิทธิพลของโมเดลเชิงสาเหตุของปจจัยที่สงผลตอการพัฒนาตนเอง ของนักเรียน
มัธยมศึกษาป%ที่ 6 สํานักงานเขตพื้นที่การศึกษามัธยมศึกษา เขต 19
(เลย - หนองบัวลําภู) ที่ปรับแก3แล3ว
ตัวแปรตาม SCT (E1) SEF (E2) SDL (E3)
ตัวแปรอิสระ TE IE DE TE IE DE TE IE DE
OPT (K1) - - - - - - 0.185 - 0.185
SCF (K2) 0.503 - 0.503 - - - 0.328 0.073 0.255
AMO (K3) - - - 0.852 - 0.825 0.457 0.255 0.201
SCT (E1) - - - - - - 0.146 - 0.146
SEF (E2) - - - - - - 0.300 - 0.300
2
χ =273.172, df=240, 2
χ /df=1.138, p=0.069, RMSEA=0.013
จากตาราง 13 การตรวจสอบความกลมกลืนของโมเดลอิทธิพลของปจจัยที่สงผลตอ
การพัฒนาตนเอง ของนักเรียนมัธยมศึกษาป%ที่ 6 สํานักงานเขตพื้นที่การศึกษามัธยมศึกษา เขต 19
(เลย - หนองบัวลําภู) ที่สร3างขึ้นกับข3อมูลเชิงประจักษ5 พบวา โมเดลมีความกลมกลืนกับข3อมูล
เชิงประจักษ5 โดยพิจารณาจากคาไคกําลังสอง ( 2
χ ) ซึ่งมีคาเทากับ 273.172 ที่คาองศาเสรี (df)
เทากับ 240 มีคาใกล3เคียงกัน คาความนาจะเปน (p) เทากับ 0.069 ดัชนีอัตราสวนคาไคกําลังสอง
สัมพันธ5 ( 2
χ / df) เทากับ 1.138 และดัชนีรากกําลังสองเฉลี่ยของความคลาดเคลื่อนในการประมาณ
คา (RMSEA) เทากับ 0.013 แสดงวาโมเดลตามสมมุติฐานมีความกลมกลืนกับข3อมูลเชิงประจักษ5
ตัวแปร GOA RES STE PAT EAT VEX VPE PST PDE SDE
R2
0.571 0.589 0.626 0.576 0.523 0.594 0.156 0.154 0.563 0.641
ตัวแปร LDE PEM PEV PES EST COU SRE AUT ADA ASP
R2
0.679 0.667 0.567 0.741 0.716 0.887 0.804 0.735 0.543 0.636
ตัวแปร ENE MRT PLA UOC
R2
0.325 0.592 0.407 0.595
ตัวแปร SCT SEF SDL
R2
0.253 0.725 0.902
เมทริกซ5สหสัมพันธ5ระหวางตัวแปรแฝง
SDL SCT SEF OPT SCF AMO
SDL 1.000
SCT 0.814 1.000
SEF 0.881 0.746 1.000
OPT 0.847 0.705 0.807 1.000
SCF 0.732 0.503 0.594 0.630 1.000
AMO 0.874 0.921 0.852 0.781 0.542 1.000
101
เมื่อพิจารณาสัมประสิทธิ์การตัดสินใจในวัดตัวแปรสังเกตได3 มีคาอยูระหวาง 0.154 ถึง
0.887 ตัวแปรที่มีสัมประสิทธิ์การตัดสินใจสูงสุด ได3แก ความกล3า (COU) เทากับ 0.887 ตัวแปรที่มี
สัมประสิทธิ์การตัดสินใจต่ําสุด ได3แก สภาวะทางกาย (PST) เทากับ 0.154
เมื่อพิจารณาคาสัมประสิทธิ์การพยากรณ5 (R2
) พบวา การพัฒนาตนเอง (SDL)
มีคาเทากับ 0.902 แสดงวา การควบคุมตนเอง (SCT) การรับรู3ความสามารถของตนเอง (SEF) การมอง
โลกในแงดี (OPT) ความเชื่อมั่นในตนเอง (SCF) แรงจูงใจใฝnสัมฤทธิ์ (AMO) สามารถรวมกันอธิบาย
ความแปรปรวนของการพัฒนาตนเอง (SDL) ได3ร3อยละ 90.20
เมื่อพิจารณาเมตริกซ5สัมประสิทธิ์สหสัมพันธ5ระหวางตัวแปรแฝง พบวามีคาความสัมพันธ5
เปนบวกทั้งหมด มีคาระหวาง 0.542 ถึง 0.921 โดยความสัมพันธ5ระหวางตัวแปร แรงจูงใจใฝnสัมฤทธิ์
(AMO) กับ การควบคุมตนเอง (SCT) มีคาสูงสุด เทากับ 0.921 รองลงมา คือความสัมพันธ5ระหวางตัว
แปรการรับรู3ความสามารถของตนเอง (SEF) กับ การพัฒนาตนเอง (SDL) มีคาเทากับ 0.881
ผลการศึกษาตัวแปรสาเหตุที่มีอิทธิพลทั้งทางตรงและทางอ3อมตอกับการพัฒนาตนเอง
ของนักเรียนมัธยมศึกษาป%ที่ 6 สํานักงานเขตพื้นที่การศึกษามัธยมศึกษา เขต 19 (เลย - หนองบัวลําภู)
ได3รับอิทธิพลรวมสูงสุดเรียงจากมากไปหาน3อย แรงจูงใจใฝnสัมฤทธิ์ (AMO) (0.457) ความเชื่อมั่นใน
ตนเอง (SCF) (0.328) การรับรู3ความสามารถของตนเอง (SEF) (0.300) การมองโลกในแงดี (OPT)
(0.185) การควบคุมตนเอง (SCT) (0.146) ตามลําดับ โดยตัวแปรเชิงสาเหตุทั้งหมดรวมอธิบาย
ความแปรปรวนของตัวแปรแฝงการพัฒนาตนเอง ได3ประมาณร3อยละ 90.2
เมื่อพิจารณาอิทธิพลของปจจัย พบวา การพัฒนาตนเอง ได3รับอิทธิพลทางตรงจาก
การรับรู3ความสามารถของตนเอง (SEF) (0.300) มากที่สุด รองลงมา ได3แก ความเชื่อมั่นในตนเอง (SCF)
(0.255) แรงจูงใจใฝnสัมฤทธิ์ (AMO) (0.201) การมองโลกในแงดี (OPT) (0.185) การควบคุมตนเอง
(SCT) (0.146) ตามลําดับ และได3รับอิทธิพลทางอ3อมแรงจูงใจใฝnสัมฤทธิ์ (AMO) ผาน การรับรู3
ความสามารถของตนเอง (SEF) (0.255) ได3รับอิทธิพลทางอ3อมความเชื่อมั่นในตนเอง (SCF)
ผานการควบคุมตนเอง (SCT) (0.073) มีนัยสําคัญทางสถิติที่ระดับ .01
บทที่ 5
สรุปผล อภิปรายผล และขอเสนอแนะ
การวิจัยครั้งนี้เปนการศึกษาปจจัยที่สงผลตอการพัฒนาตนเอง ของนักเรียนมัธยมศึกษาป#ที่ 6
สํานักงานเขตพื้นที่การศึกษามัธยมศึกษา เขต 19 (เลย - หนองบัวลําภู) สามารถสรุปผลการวิจัย
ตามลําดับหัวข3อดังตอไปนี้
1. ความมุงหมายของการวิจัย
2. เครื่องมือที่ใช3ในการวิจัย
3. การเก็บรวบรวมข3อมูล
4. การวิเคราะห=ข3อมูล
5. สรุปผล
6. อภิปรายผล
7. ข3อเสนอแนะ
ความมุงหมายของการวิจัย
1. เพื่อศึกษาความสัมพันธ=ระหวางการมองโลกในแงดี ความเชื่อมั่นในตนเอง
แรงจูงใจใฝCสัมฤทธิ์ การรับรู3ความสามารถของตนเอง การควบคุมตนเองกับการพัฒนาตนเอง ของ
นักเรียนมัธยมศึกษาป#ที่ 6 สํานักงานเขตพื้นที่การศึกษามัธยมศึกษา เขต 19 (เลย - หนองบัวลําภู)
2. เพื่อศึกษาอิทธิพลของปจจัยที่สงผลตอการพัฒนาตนเอง ของนักเรียนมัธยมศึกษาป#ที่ 6
สํานักงานเขตพื้นที่การศึกษามัธยมศึกษา เขต 19 (เลย - หนองบัวลําภู)
เครื่องมือที่ใชในการวิจัย
ในการวิจัยครั้งนี้ ใช3เครื่องมือวิจัยจํานวน 2 ฉบับ ดังตอไปนี้
ฉบับที่ 1 แบบวัดการพัฒนาตนเอง เปนแบบมาตราสวนประมาณคา (Rating Scale) 5
ระดับ จําแนกตามองค=ประกอบ 3 ด3านๆละ 5 ข3อ ประกอบด3วย ตนเอง สังคม การเรียน
รวม จํานวน 15 ข3อ มีคาอํานาจจําแนกตั้งแต 0.58 ถึง 0.82 ความเชื่อมั่น 0.89
ฉบับที่ 2 แบบวัดปจจัยที่สงผลตอการพัฒนาตนเอง เปนแบบมาตราสวนประมาณคา
(Rating Scale) 5 ระดับ จํานวน 63 ข3อ มีคาอํานาจจําแนกตั้งแต 0.40 ถึง 0.94 ความเชื่อมั่นทั้ง
ฉบับ เทากับ 0.78 แบงเปน 5 ด3าน ประกอบด3วย
1. การมองโลกในแงดี จําแนกตามองค=ประกอบ 3 ด3านๆ ละ 3 ข3อประกอบด3วย
ความคงทนถาวร ความครอบคลุม ความเปนตนเอง รวม จํานวน 9 ข3อ มีคาอํานาจจําแนกตั้งแต 0.54
ถึง 0.88 ความเชื่อมั่น 0.70
103
2. ความเชื่อมั่นในตนเอง จําแนกตามองค=ประกอบ 5 ด3านๆละ 3 ข3อ ประกอบด3วย
ความมั่นคงทางจิตใจ ความกล3า การพึ่งตนเอง ความเปนตัวของตัวเอง รวม จํานวน 15 ข3อ มีคา
อํานาจจําแนกตั้งแต 0.40 ถึง 0.84 ความเชื่อมั่น 0.77
3. แรงจูงใจใฝCสัมฤทธิ์ จําแนกตามองค=ประกอบ 5 ด3านๆ ละ 3 ข3อ ประกอบด3วย
ความทะเยอทะยาน ความกระตือรือร3น ความกล3าเสี่ยง การรู3จักวางแผน ความมีเอกลักษณ= จํานวน
15 ข3อ มีคาอํานาจจําแนกตั้งแต 0.40 ถึง 0.94 ความเชื่อมั่น 0.87
4. การรับรู3ความสามารถของตนเอง จําแนกตามองค=ประกอบ 4 ด3านๆ ละ 3 ข3อ
ประกอบด3วย ประสบการณ=จากความสําเร็จ การได3เห็นตัวแบบประสบความสําเร็จ การพูดชักจูง
จากผู3อื่น สภาวะทางกาย รวม จํานวน 12 ข3อ มีคาอํานาจจําแนกตั้งแต 0.38 ถึง 0.79
ความเชื่อมั่น 0.82
5. การควบคุมตนเอง จําแนกตามองค=ประกอบ 4 ด3านๆ ละ 3 ข3อ ประกอบด3วย
ตั้งเปUาหมาย ยับยั้งตนเอง ควบคุมอารมณ= ความอดทน รวม จํานวน 12 ข3อ มีคาอํานาจจําแนก
ตั้งแต 0.46 ถึง 0.86 ความเชื่อมั่น 0.75
การเก็บรวบรวมขอมูล
ผู3วิจัยได3ดําเนินการเก็บรวบรวมข3อมูล ดังตอไปนี้
1. ติดตอขอรับหนังสือจากบัณฑิตวิทยาลัย มหาวิทยาลัยมหาสารคาม เพื่อขอความ
อนุเคราะห=เก็บรวบรวมข3อมูลจากผู3บริหารโรงเรียนกลุมตัวอยาง สังกัดสํานักงานเขตพื้นที่การศึกษา
มัธยมศึกษาเขต 19 (เลย-หนองบัวลําภู)
2. ผู3วิจัยนํา หนังสือขอความอนุเคราะห=ในการเก็บรวบรวมข3อมูลไปติดตอผู3บริหาร
สถานศึกษาเพื่อขอความรวมมือในการเก็บรวบรวมข3อมูล พร3อมทั้งนัดหมายวัน เวลา ที่ดําเนินการ
เก็บรวบรวมข3อมูล ซึ่งผู3วิจัยได3เก็บรวบรวมข3อมูลในเดือน พฤษภาคม - มิถุนายน พ.ศ. 2555
3. เตรียมเครื่องมือเก็บรวบรวมข3อมูล ประกอบด3วย แบบวัด 2 ฉบับ ประกอบด3วย
แบบวัดการพัฒนาตนเองและแบบปจจัยที่สงผลตอการพัฒนาตนเอง ให3เพียงพอกับนักเรียนกลุม
ตัวอยาง
4. ผู3วิจัยดําเนินการเก็บรวบรวมข3อมูลด3วยตนเองตามวันเวลาที่นัดหมายในแตละโรงเรียน
ที่เปนกลุมตัวอยาง กอนที่นักเรียนตอบแบบสอบถาม ผู3วิจัยเปนผู3ชี้แจงให3นักเรียนทราบวาไมมี
ผลกระทบตอนักเรียน เพื่อลดความตึงเครียด และนักเรียนได3ให3ข3อมูลที่ถูกต3องและเปนจริงมากที่สุด
และรับแบบวัดภายในวันที่ไปเก็บข3อมูล แบบวัดทั้ง 2 ฉบับ ไปเก็บรวบรวมข3อมูลกับนักเรียนที่เปนกลุม
ตัวอยาง 850 ฉบับ และได3แบบวัดคืนมาทั้งหมด 850 ฉบับจากนั้นนําแบบวัดที่ได3จากการเก็บรวบรวม
ข3อมูลจากกลุมตัวอยางมาตรวจให3คะแนนตามเกณฑ=ที่กําหนดไว3 โดยคัดเลือกเฉพาะแบบวัดฉบับที่
สมบูรณ= จึงได3แบบวัดจํานวนทั้งหมด 807 ฉบับ คิดเปนร3อยละ 94.70 ของแบบวัดทั้งหมด
5. นําคะแนนที่ได3ไปทําการทดสอบตามข3อตกลงเบื้องต3น และวิเคราะห=ข3อมูลทางสถิติ
เพื่อทําการทดสอบโมเดลตามสมมติฐานที่ตั้งไว3และรายงานผลการวิจัยตอไป
104
การวิเคราะห&ขอมูล
การวิเคราะห=ข3อมูลในการวิจัยครั้งนี้ ผู3วิจัยนําข3อมูลที่รวบรวมมาวิเคราะห=ตามระเบียบ
วิธีทางสถิติ โดยใช3โปรแกรมสําเร็จรูป ซึ่งมีขั้นตอนการวิเคราะห=ข3อมูลดังนี้
ตอนที่ 1 วิเคราะห=หาคุณภาพเครื่องมือ เครื่องมือที่ใช3ในการวิจัยครั้งนี้คือ แบบวัดการ
พัฒนาตนเองและแบบวัดปจจัยที่สงผลตอการพัฒนาตนเอง โดยใช3โปรแกรมสําเร็จรูปวิเคราะห=หา
คุณภาพเครื่องมือดังนี้ความตรงเชิงเนื้อหา (Content Validity) อํานาจจําแนก (Discrimination)
การวิเคราะห=ความตรงเชิงโครงสร3าง (Construct Validity)
ตอนที่ 2 วิเคราะห=ข3อมูลเบื้องต3น (Preliminary Data Analysis) วิเคราะห=คาสถิติ
พื้นฐาน ประกอบด3วย คาเฉลี่ย สวนเบี่ยงเบนมาตรฐาน คาความเบ3และคาความโดง และการกระจาย
นอกกลุม (outliers) ของข3อมูล โดยใช3โปรแกรมสําเร็จรูป
ตอนที่ 3 วิเคราะห=เพื่อตอบปญหาการวิจัย วิเคราะห=หาคาสัมประสิทธิ์สหสัมพันธ=
ระหวางตัวแปรตางๆ ทําการตรวจสอบข3อมูลโดยภาพรวมของข3อมูล คือ คาสถิติ Bartlett (Bartlett's
test sphericity) และคาสถิติ Kaiser-Meyer-Olkin Measure of sampling adequacy : KMO
วิเคราะห=องค=ประกอบเชิงยืนยัน (Confirmatory factor analysis) เพื่อตรวจสอบความตรงของโมเดล
การวัด (Measurement model) วิเคราะห=รูปแบบโครงสร3างความสัมพันธ=เชิงสาเหตุของปจจัยที่สงผล
ตอการพัฒนาตนเอง โดยใช3โปรแกรมสําเร็จรูป เพื่อตรวจสอบความสอดคล3องระหวางโมเดลตาม
สมมติฐานกับข3อมูลเชิงประจักษ= ด3วย คาไคกําลังสอง (Chi - Square : 2
χ ) ดัชนีอัตราสวนคาไค
กําลังสองสัมพัทธ= (Relative Chi-Square Ratio) ดัชนีรากกําลังสองเฉลี่ยของความคลาดเคลื่อนใน
การประมาณคา (Root Mean Squared Error of Approximation : RMSEA) ดัชนีวัดความ
กลมกลืนเชิงเปรียบเทียบ (Comparative Fit Index : CFI)
สรุปผล
ผลการวิเคราะห=ข3อมูลเพื่อตอบสมมติฐานการวิจัย มีดังนี้
1. ผลการศึกษาความสัมพันธ= การมองโลกในแงดี ความเชื่อมั่นในตนเอง แรงจูงใจใฝC
สัมฤทธิ์ การรับรู3ความสามารถของตนเอง การควบคุมตนเอง กับการพัฒนาตนเอง ของนักเรียน
มัธยมศึกษาป#ที่ 6 สํานักงานเขตพื้นที่การศึกษามัธยมศึกษา เขต 19 (เลย - หนองบัวลําภู) พบวา
ตัวแปรปจจัยทุกตัวมีความสัมพันธ=ทางบวกกับการพัฒนาตนเอง อยางมีนัยสําคัญทางสถิติที่ระดับ .01
และมีคาอยูระหวาง 0.732 – 0.881 ซึ่งถือได3วามีความสัมพันธ=กันอยูในระดับสูง โดยตัวแปรที่มี
ความสัมพันธ=กับการพัฒนาตนเอง จากมากไปหาน3อย ได3ดังนี้ การรับรู3ความสามารถของตนเอง
แรงจูงใจใฝCสัมฤทธิ์ การมองโลกในแงดี การควบคุมตนเอง ความเชื่อมั่นในตนเอง เทากับ 0.881,
0.874, 0.847, 0.814 และ 0.732 ตามลําดับ
2. ผลการตรวจสอบความสอดคล3องของโมเดลความสัมพันธ=เชิงสาเหตุที่สงผลตอ
การพัฒนาตนเอง ของนักเรียนมัธยมศึกษาป#ที่ 6 สํานักงานเขตพื้นที่การศึกษามัธยมศึกษา เขต 19
(เลย - หนองบัวลําภู) พบวาโมเดลความสัมพันธ=เชิงสาเหตุที่สร3างขึ้นยังไมสอดคล3องกลมกลืนกับข3อมูล
105
เชิงประจักษ= 2
χ =3281.861, df=242, 2
χ /df=13.561, p =0.000, CFI=0.804,TLI=777,
RMSEA=0.125 ดังนั้นผู3วิจัยจึงดําเนินการปรับโมเดลให3มีความสอดคล3องกลมกลืนมากขึ้น โดยปรับให3
ความคลาดเคลื่อนของตัวแปรสังเกตได3มีความสัมพันธ=กัน เพื่อให3ได3ข3อมูลที่สอดคล3องกับสภาพความเปน
จริงที่ตัวแปรตาง ๆ มีความสัมพันธ=กันได3 โดยในการปรับโมเดลจะพิจารณาคาเสนอแนะจากโปรแกรม
หรือดัชนีปรับโมเดล (Model Modification Indices: MI) และคาการเปลี่ยนแปลงพารามิเตอร=ที่
คาดหวังมาตรฐาน (Standardized Expected Parameter Change: SE) จนได3โมเดลที่มีความ
สอดคล3องกลมกลืนกับข3อมูลเชิงประจักษ= ผลการวิเคราะห=โมเดลที่ปรับแล3วมี 2
χ =273.172, df=240,
2
χ /df=1.138, p=0.069, CFI=0.998,TLI=0.998, RMSEA=0.013 โดยดัชนีทุกคาอยูในเกณฑ=ที่
กําหนด จึงสรุปได3วารูปแบบความสัมพันธ=เชิงสาเหตุตามภาวะสันนิษฐานมีความสอดคล3องกลมกลืนกับ
ข3อมูลเชิงประจักษ=
3. ปจจัยที่มีอิทธิพลตอการการพัฒนาตนเอง มากที่สุด คือ แรงจูงใจใฝCสัมฤทธิ์ ความ
เชื่อมั่นในตนเอง การรับรู3ความสามารถของตนเอง การมองโลกในแงดี การควบคุมตนเอง มีขนาด
น้ําหนักความสําคัญ .457, .328, .300, .185 และ .146 ตามลําดับ ปจจัยที่มีอิทธิพลทางตรงตอการ
พัฒนาตนเอง คือ การรับรู3ความสามารถของตนเอง รองลงมา ความเชื่อมั่นในตนเอง แรงจูงใจใฝCสัมฤทธิ์
การมองโลกในแงดี ควบคุมตนเอง มีขนาดน้ําหนักความสําคัญ .300, .255, .201, .185, .146
ตามลําดับ และปจจัยมีอิทธิพลทางตรงและอ3อม คือ การรับรู3ความสามารถของตนเอง มีคาเทากับ .300
แรงจูงใจใฝCสัมฤทธิ์ มีคาเทากับ .201 โดยปจจัยทั้งหมดสามารถรวมกันอธิบายความแปรปรวนของ
การพัฒนาตนเอง ของนักเรียนมัธยมศึกษาป#ที่ 6 สํานักงานเขตพื้นที่การศึกษามัธยมศึกษา เขต 19
(เลย - หนองบัวลําภู) ได3ร3อยละ 90.2
อภิปรายผล
พิจารณาอิทธิพลของปจจัยที่มีอิทธิพลรวมตอการพัฒนาตนเองสูงสุด มากไปน3อย คือ
แรงจูงใจใฝCสัมฤทธิ์ ความเชื่อมั่นในตนเอง การรับรู3ความสามารถของตนเอง การมองโลกในแงดี
การควบคุมตนเอง ตามลําดับ อภิปรายผลการวิจัยนี้
แรงจูงใจใฝCสัมฤทธิ์ เปนปจจัยที่มีอิทธิพลรวมสูงสุด ตอการพัฒนาตนเองของนักเรียน
มัธยมศึกษาป#ที่ 6 สํานักงานเขตพื้นที่การศึกษามัธยมศึกษา เขต 19 (เลย - หนองบัวลําภู) มีขนาด
อิทธิพล เทากับ .457 โดยสงผลในเชิงบวก อยางมีนัยสําคัญทางสถิติที่ระดับ .01 ซึ่งเปนไปตามสมติฐาน
ที่ตั้งไว3 เนื่องจาก นักเรียนที่มีแรงจูงใจใฝCสัมฤทธิ์ ความปรารถนาที่จะกระทําสิ่งตางๆ ทั้งในหน3าที่
การงาน และเรื่องราวสวนตัวให3ประสบความสําเร็จไปได3 ด3วยดีตามเปUาหมายที่วางไว3 ยอมทําให3การ
พัฒนาตนเองสูงหรือต่ําได3 ทั้งนี้ขึ้นอยูกับอิทธิพลทางตรงที่สงผานการรับรู3ความสามารถตนเอง
สอดคล3องกับ McCelland (ศิวพร ไชยพยอม. 2550 ; อ3างอิงมาจาก McCelland. 1969) ได3สรุป
ทฤษฎีแรงจูงใจใฝCสัมฤทธิ์ไว3วา คนเรามีความต3องการอยู 3 ประการ คือ 1) ความต3องการสัมฤทธิผล
(Need for Achievement : nach) 2) ความต3องการความผูกพัน (Need for Affiliation : naff)
3) ความต3องการมีอํานาจบารมี (Need for Power : npow) และสอดคล3องกับ Atkinson
(พินกาน ภัทเศรษฐ=. 2551 ; อ3างอิงมาจาก Atkinson. 1974) ได3กลาวถึง แรงจูงใจใฝCสัมฤทธิ์วา
106
ในสถานการณ=หนึ่งผู3ที่มีแรงจูงใจใฝCสัมฤทธิ์จะพยายามที่จะทํางานนั้นให3สําเร็จ สอดคล3องกับ สุภมาส จิ
นะราช (2549) ได3ศึกษาความสัมพันธ=ระหวางปจจัยบางประการกับการพัฒนาตนเองของนิสิตภาคพิเศษ
ระดับบัณฑิตศึกษา คณะศึกษาศาสตร= มหาวิทยาลัยศรีนครินทรวิโรฒ ผลการศึกษาพบวา แรงจูงใจใฝC
สัมฤทธิ์ มีความสัมพันธ=ทางบวกกับการพัฒนาตนเองอยางมีนัยสําคัญทางสถิติที่ระดับ .01 และเนาวรัตน=
ไตรยงค= (2552) ได3ศึกษา ปจจัยทางจิตสังคมที่เกี่ยวข3องกับพฤติกรรรมการพัฒนาตนให3รอบรู3ของ
นักเรียนชวงชั้นที่ 2 สังกัดสํานักงานเขตพื้นที่การศึกษาศรีสะเกษ เขต 3 ผลการศึกษาพบวา แรงจูงใจ
ใฝCสัมฤทธิ์ มีความสัมพันธ=ทางบวกกับการพัฒนาตนเองอยางมีนัยสําคัญทางสถิติที่ระดับ .05 สงผลมาก
ที่สุดตอการพัฒนาตนเอง สอดคล3องกับ ศิวกานต= ธิมาชัย (2552) ได3ศึกษาปจจัยทางจิตสังคมที่
เกี่ยวข3องกับพฤติกรรรมการพัฒนาตนให3รอบรู3ของข3าราชการครู สังกัดสํานักงานเขตพื้นที่การศึกษา
ยโสธร เขต 2 ผลการศึกษาพบวา แรงจูงใจใฝCสัมฤทธิ์ มีความสัมพันธ=ทางบวกกับการพัฒนาตนเองอยาง
มีนัยสําคัญทางสถิติที่ระดับ .01 และวาสนา จันทร=จาย (2553) ได3ศึกษาปจจัยบางประการที่สงผลตอ
การพัฒนาตนเองของนักศึกษามหาวิทยาลัยราชภัฏสวนดุสิต ผลการศึกษาพบวา แรงจูงใจใฝCสัมฤทธิ์ มี
ความสัมพันธ=ทางบวกกับการพัฒนาตนเองอยางมีนัยสําคัญทางสถิติที่ระดับ .01 สงผลมากที่สุดตอการ
พัฒนาตนเอง แสดงวา หากนักเรียนมีแรงจูงใจใฝCสัมฤทธิ์สูง ทําให3การพัฒนาตนเองสูงได3
ความเชื่อมั่นในตนเอง เปนปจจัยที่มีอิทธิพลรวมเปนอันดับสอง ตอการพัฒนาตนเอง
ของนักเรียนมัธยมศึกษาป#ที่ 6 สํานักงานเขตพื้นที่การศึกษามัธยมศึกษา เขต 19 (เลย - หนองบัวลําภู)
มีขนาดอิทธิพล เทากับ .328 โดยสงผลในเชิงบวก อยางมีนัยสําคัญทางสถิติที่ระดับ .01 ซึ่งเปนไปตาม
สมติฐานที่ตั้งไว3 เนื่องจาก นักเรียนที่มีความเชื่อมั่นในตนเองสูง มีลักษณะ ในการที่จะทําสิ่งตางๆ ให3
สําเร็จ มีความมั่นใจ เพียรพยายาม กล3าหาญ มีความเปนตัวของตัวเอง มีความคิดริเริ่มสร3างสรรค=
กล3าแสดงออก และยอมรับในความสามารถของตน ไมท3อถอยเมื่อ ทําอะไรไมสําเร็จ สงผลตอการ
พัฒนาตนเองด3วย สอดคล3องกับ ทฤษฎีพัฒนาการของErikson เปนทฤษฎีที่เกี่ยวข3องกับความเชื่อมั่น
ในตนเอง พัฒนาการทางบุคลิกภาพเกิดขึ้นได3 เนื่องจากการที่คนมีการติดตอสัมพันธ=กับสังคม สอดคล3อง
กับ ทฤษฎีความต3องการของ Maslaw (Maslaw’s Theory) มนุษย=มีคุณภาพนั้นเนื่องมาจากมีความคิด
ความรู3สึกความรู3ตระหนักและการแสวงหาสิ่งที่ดี สอดคล3องกับ งานวิจัยของกาญจนา บุบผัน (2551) ได3
ศึกษาปจจัยบางประการที่สงผลตอการพัฒนาตนเองตามจรรยาบรรณวิชาชีพครูด3านวิชาชีพ วิสัยทัศน=
และบุคลิกภาพ ของครูมัธยมศึกษาสังกัดสํานักงานเขตพื้นที่การศึกษานครศรีธรรมราช เขต 1 ผล
การศึกษาพบวา ความเชื่อมั่นในตนเอง มีความสัมพันธ=ทางบวกกับการพัฒนาตนเองอยางมีนัยสําคัญ
ทางสถิติที่ระดับ .05 และสอดคล3องกับ สุภมาส จินะราช (2549) ได3ศึกษาความสัมพันธ=ระหวางปจจัย
บางประการกับการพัฒนาตนเองของนิสิตภาคพิเศษ ระดับบัณฑิตศึกษา คณะศึกษาศาสตร=
มหาวิทยาลัยศรีนครินทรวิโรฒ ผลการศึกษาพบวา ความเชื่อมั่นในตนเอง มีความสัมพันธ=ทางบวกกับ
การพัฒนาตนเองอยางมีนัยสําคัญทางสถิติที่ระดับ .01
การับรู3ความสามารถตนเอง เปนปจจัยที่มีอิทธิพลรวมเปนอันดับสาม มีขนาดอิทธิพล
เทากับ .300 ตอการพัฒนาตนเองของนักเรียนมัธยมศึกษาป#ที่ 6 สํานักงานเขตพื้นที่การศึกษา
มัธยมศึกษา เขต 19 (เลย - หนองบัวลําภู) โดยสงผลในเชิงบวก อยางมีนัยสําคัญทางสถิติที่ระดับ .01
ซึ่งเปนไปตามสมติฐานที่ตั้งไว3 เนื่องจาก นักเรียนที่มีการรับรู3ความสามารถตนเอง มีความสามารถที่จะ
กระทําเรื่องตางๆ ได3บรรลุเปUาหมายมากน3อย เพียงไร และจะทําอยางไรตอไปให3บรรลุเปUาหมายนั้นๆ
(ประสาท อิศรปรีดา. 2552 ; อ3างอิงมาจาก Bandura. 1986) ทฤษฎีการรับรู3ความสามารถของ
107
ตนเอง (Self-Efficacy Theory) ซึ่งอธิบายวาการเรียนรู3จะเกี่ยวข3องกับปจจัยหลัก 3 ประการ คือ
1) ความคิดหรือการคาดหวัง หรือความเชื่อและองค=ประกอบสวนบุคคล (P) 2) พฤติกรรม (B)
3) สิ่งแวดล3อม (E) สอดคล3องกับ วาสนา จันทร=จาย (2553) ได3ศึกษาปจจัยบางประการที่สงผลตอ
การพัฒนาตนเองของนักศึกษามหาวิทยาลัยราชภัฏสวนดุสิต ผลการศึกษาพบวา การรับรู3ความสามารถ
ตนเอง มีความสัมพันธ=ทางบวกกับการพัฒนาตนเองอยางมีนัยสําคัญทางสถิติที่ระดับ .01 และ อรอุษา
จันทคร (2551) ได3ศึกษาความสัมพันธ=ระหวางปจจัยบางประการกับการพัฒนาตนเองตามเกณฑ=
มาตรฐานวิชาชีพครู ของครูในเขตพื้นที่การศึกษานครปฐม เขต 2 พบวาการรับรู3ความสามารถของ
ตนเอง มีความสัมพันธ=ทางบวกกับการพัฒนาตนเองอยางมีนัยสําคัญทางสถิติที่ระดับ .01 และมี
ความสัมพันธ=สูงสุด นิตยา กัณณิกาภรณ= (2553) ได3ศึกษาปจจัยบางประการที่สงผลตอการพัฒนาตนเอง
ตามจรรยาบรรณวิชาชีพของข3าราชการครูสังกัดกรุงเทพมหานคร ผลการศึกษาพบวา สัมประสิทธิ์
สหสัมพันธ=ระหวางกลุมตัวแปรปจจัย การรับรู3ในความสามารถของตนเอง กับการพัฒนาตนเอง
มีนัยสําคัญทางสถิติที่ระดับ .01 แสดงวา หากนักเรียนมีการรับรู3ความสามารถตนเองสูง ทําให3การ
พัฒนาตนเองสูงได3 ทั้งนี้ขึ้นอยูกับอิทธิพลทางอ3อมที่สงผานแรงจูงใจใฝCสัมฤทธิ์เปนปจจัยสําคัญ
การมองโลกในแงดี เปนปจจัยที่มีอิทธิพลรวมอันดับสี่ ตอการพัฒนาตนเอง ของนักเรียน
มัธยมศึกษาป#ที่ 6 สํานักงานเขตพื้นที่การศึกษามัธยมศึกษา เขต 19 (เลย - หนองบัวลําภู) มีขนาด
อิทธิพล เทากับ .185 โดยสงผลทางตรงในเชิงบวกอยางมีนัยสําคัญทางสถิติที่ระดับ .01 ซึ่งเปนไปตาม
สมติฐานที่ตั้งไว3 เนื่องจาก นักเรียนที่มีการมองโลกในแงดี มีความเชื่อในเหตุผลทางบวกตอเหตุการณ=ที่
ไมพึงปรารถนาที่ผานเข3ามาในชีวิต เลือกโต3ตอบตามสถานการณ=ตางๆที่เกิดขึ้น โดยปรับเปลี่ยนความคิด
ความเชื่อดังกลาวไปในทางที่ควบคุมตนเอง และพึงพอใจในสิ่งที่เกิดขึ้นนั้น มีผลทําให3การพัฒนาตนเอง
สูง สอดคล3องกับ ทฤษฏี Seligman (อรพินทร= ชูชม. 2544 ; อ3างอิงจาก Seligman. 1998)
เสนอรูปแบบการอธิบายตนเอง (Explanatory Style) บุคคล จากการบรรยายตนเองสามารถบงบอกได3
วาบุคคลนั้นมีมุมมองชีวิตในลักษณะไหนเปนการมองโลกในแงดี หรือการมองโลกในแงร3าย ซึ่งเปนสิ่ง
สําคัญในการกําหนดพฤติกรรมของบุคคล สอดคล3องกับงานวิจัยของกาญจนา บุบผัน (2551) ได3ศึกษา
ปจจัยบางประการที่สงผลตอการพัฒนาตนเองตามจรรยาบรรณวิชาชีพครูด3านวิชาชีพ วิสัยทัศน= และ
บุคลิกภาพ ของครูมัธยมศึกษาสังกัดสํานักงานเขตพื้นที่การศึกษานครศรีธรรมราช เขต 1 ผลการศึกษา
พบวา การมองโลกในแงดี มีความสัมพันธ=ทางบวกกับการพัฒนาตนเองอยางมีนัยสําคัญทางสถิติที่ระดับ
.05 และสุภมาส จินะราช (2549) ได3ศึกษาความสัมพันธ=ระหวางปจจัยบางประการกับการพัฒนาตนเอง
ของนิสิตภาคพิเศษ ระดับบัณฑิตศึกษา คณะศึกษาศาสตร= มหาวิทยาลัยศรีนครินทรวิโรฒ ผลการศึกษา
พบวา มองโลกในแงดี มีความสัมพันธ=ทางบวกกับการพัฒนาตนเองอยางมีนัยสําคัญทางสถิติที่ระดับ .01
การควบคุมตนเอง เปนปจจัยที่มีอิทธิพลรวมอันดับห3า ตอการพัฒนาตนเองของนักเรียน
มัธยมศึกษาป#ที่ 6 สํานักงานเขตพื้นที่การศึกษามัธยมศึกษา เขต 19 (เลย - หนองบัวลําภู) มีขนาด
อิทธิพล เทากับ .146 โดยสงผลในเชิงบวก อยางมีนัยสําคัญทางสถิติที่ระดับ .01 ซึ่งเปนไปตามสมติฐาน
ที่ตั้งไว3 เนื่องจาก นักเรียนที่มีการควบคุมตนเอง บังคับตนเองให3ละเว3นการกระทําบางอยาง โดยการ
กําหนดความคิด อารมณ= ความรู3สึก การเปลี่ยนแปลงการตอบสนองทางอารมณ= การกระทําพฤติกรรม
ด3วยเหตุผล และความอดทน การจัดสภาพแวดล3อมให3หลีกเลี่ยงการกระทําพฤติกรรม สามารถเผชิญ
สิ่งยั่วยุ ปญหาอุปสรรค และสถานการณ=กดดันแม3อยูในภาวะที่เกิดปญหาความขัดแย3งในจิตใจ เพื่อให3
เกิดพฤติกรรมเปUาหมายที่ดีตามที่มุงหวังไว3 ทําให3การพัฒนาตนเองสูงหรือต่ําได3 ทั้งนี้ขึ้นอยูกับอิทธิพล
108
ทางตรงที่สงผานความเชื่อมั่นในตนเอง สอดคล3องกับทฤษฎี ทฤษฎีเชาว=อารมณ= (Emotional
Intelligent Theory) พรรณทิพย= ศิริวรรณบุศย= (2551) ทฤษฎีเชาว=อารมณ=มิใชทฤษฎีทางพัฒนาการ
มนุษย=โดยตรง แตเปนการเสนอรูปแบบการควบคุมอารมณ=ให3เกิดตามวุฒิภาวะของบุคคล ความฉลาด
ทางอารมณ=มีความสัมพันธ=ใกล3ชิดกับสติปญญา สอดคล3องกับ วาสนา จันทร=จาย (2553) ได3ศึกษาปจจัย
บางประการที่สงผลตอการพัฒนาตนเองของนักศึกษามหาวิทยาลัยราชภัฏสวนดุสิต ผลการศึกษาพบวา
การควบคุมตนเอง มีความสัมพันธ=ทางบวกกับการพัฒนาตนเองอยางมีนัยสําคัญทางสถิติที่ระดับ .01
ขอเสนอแนะ
1. ข3อเสนอแนะในการนําผลการวิจัยไปใช3
จากผลการศึกษาพบวา ปจจัยที่มีอิทธิพลตอการการพัฒนาตนเอง มากที่สุด คือ แรงจูงใจ
ใฝCสัมฤทธิ์ การรับรู3ความเชื่อมั่นในตนเอง การรับรู3ความสามารถของตนเอง การมองโลกในแงดี
การควบคุมตนเอง ตามลําดับ ปจจัยที่มีอิทธิพลทางตรงตอการพัฒนาตนเอง คือ การรับรู3
ความสามารถของตนเอง รองลงมา ความเชื่อมั่นในตนเอง แรงจูงใจใฝCสัมฤทธิ์ การมองโลกในแงดี
ควบคุมตนเอง มีขนาดน้ําหนักความสําคัญ ตามลําดับ และปจจัยมีอิทธิพลทางตรงและอ3อม คือ
การรับรู3ความสามารถของตนเอง และแรงจูงใจใฝCสัมฤทธิ์ โดยปจจัยทั้งหมดสามารถรวมกันอธิบายความ
แปรปรวนของการพัฒนาตนเอง ของนักเรียนมัธยมศึกษาป#ที่ 6 สํานักงานเขตพื้นที่การศึกษา
มัธยมศึกษา เขต 19 (เลย - หนองบัวลําภู) ได3ร3อยละ 90.2 ข3อเสนอแนะนําไปใช3 ดังนี้
1.1 ผลการวิจัยนี้พบวา แรงจูงใจใฝCสัมฤทธิ์ มีอิทธิพลตอการพัฒนาตนเองสูงที่สุด
ดังนั้นในการจัดกิจกรรมการเรียนรู3สําหรับครูผู3สอน ควรจัดกิจกรรมสงเสริมและมีเทคนิคการสร3าง
แรงจูงใจใฝCสัมฤทธิ์ให3กับนักเรียน ดังนี้
1.1.1 สร3างเงื่อนไขการเรียนให3เปนบวก พยายามลบความเชื่อที่ผิดและทัศนะ
เชิงลบในด3านตางๆ ลดองค=ประกอบที่คุกคามและอาจสร3างความล3มเหลวในการเรียน จัดกิจกรรม เชน
ให3ความรู3ในเรื่องการใช3ชีวิตวันรุน จัดติวข3อสอบ กิจกรรมรวมกับสังคม แนะแนวการศึกษา เปนต3น
ที่ทําให3นักเรียนสามารถบรรลุถึงความต3องการขั้นสูงสุดได3
1.1.2 เปลี่ยนเทคนิคการจัดการเรียนรู3และเนื้อหาที่กําลังสอนให3นักเรียนมีสวนรวม
และตอบสนองในสวนสําคัญๆ ของกระบวนการเรียนการสอน ให3เรียนจัดระเบียบของเนื้อหาวิชาและ
สร3างประเด็นของเนื้อหาที่อยูในกระบวนการสอน ให3มีการรวมมือกันสร3างเปUาหมายของการเรียน
1.1.3 การเสริมแรงด3วยการให3รางวัล การชมเชยทั้งในรูปของสิ่งที่จับต3องได3และ
สิ่งที่เปนนามธรรม ให3นักเรียนรับทราบผลการเรียนและความสําเร็จในแตละขั้นของตนเปนระยะๆ และ
ตอเนื่อง ถ3าการเรียนมีผลพวงที่เกิดขึ้นตามมาให3นักเรียนได3เผชิญกับผลพวงนั้นอยางเปนจริง เปƒดโอกาส
ให3นักเรียนได3แสดงความคิดเห็นหรือชี้แจงทัศนะของตนเองได3อยางกว3างขวาง และให3การจบ
บทเรียนหรือการสอนเปนการจบด3วยดีหรือเปนการจบอยางมีความสุข
1.2 ผลการวิจัยนี้พบวา การรับรู3ความสามารถของตนเอง มีอิทธิพลทางตรงตอ
การพัฒนาตนเองสูงที่สุด ดังนั้น ผู3ปกครอง ครู ผู3เกี่ยวข3องกับนักเรียน ควรจัดกิจกรรมที่สงเสริมใน
เรื่อง ดังนี้
109
1.2.1 การรับรู3เกี่ยวกับตนเองทางด3านลักษณะทางกาย คือ ให3นักเรียนรู3จักตนเอง
ในทางกาย รูปราง หน3าตา สัดสวน มีสติปญญา รู3คิดรู3พิจารณาในเรื่องตางๆ ได3 มีความรู3ความสามารถ
ที่จะดํารงชีวิตอยูได3 ลักษณะ ลักษณะทางกายของเราอาจบอก บุคลิกภาพของบุคคล ในเรื่องการเรียน
การประกอบอาชีพในอนาคต
1.2.2 การรับรู3เกี่ยวกับตนเองทางด3านลักษณะทางจิต เปนการรับรู3ที่เกี่ยวข3องกับ
เรื่องอารมณ= ความสนใจ ความถนัด อาชีพ หรือการรับรู3ในเรื่อง ลักษณะนิสัยของตนเอง ในความเปน
บุคคล โดยกําหนดพฤติกรรมตางๆของบุคคลและทําหน3าที่สงเสริมให3เกิดพฤติกรรม อุปนิสัยบางอยาง
ทําหน3าที่เปนสิ่งเร3า หรือแรงจูงใจ ให3นักเรียนแสดงพฤติกรรมตางๆ โดยสิ่งเร3าตางๆ จะกระตุ3นให3เกิด
อุปนิสัย หรือเจตคติที่ดี ทําหน3าที่ตามบทบาท ตางๆของตนเอง อยางเหมาะสม
1.2.3 การรับรู3เกี่ยวกับตนเองทางด3านสิ่งแวดล3อม โดยเริ่มตั้งแตระบบครอบครัว
ไปจนถึงระบบสังคมใหญ เชน สังคมโรงเรียน สังคมเพื่อน ที่มีมีอิทธิพลตอนักเรียนมาก เปน จะเปน
ตัวกําหนดบุคลิกภาพของนักเรียน และต3องเรียนรู3วา ตนเองอยูใน สภาพสิ่งแวดล3อมอยางไร พึงปฏิบัติ
ตนอยางไรจึงจะเหมาะสม และพลเมืองที่ดีของสังคม
2. ข3อเสนอแนะในการวิจัยครั้งตอไป
2.1 จากการวิจัยในครั้งนี้ ตัวแปรที่ผู3วิจัยได3ศึกษาได3รวมกันพยากรณ=การพัฒนาตนเอง
ของนักเรียนมัธยมศึกษาป#ที่ 6 สํานักงานเขตพื้นที่การศึกษามัธยมศึกษา เขต 19 (เลย - หนองบัวลําภู)
ได3ร3อยละ 90.2 ที่เหลือเปนอิทธิพลของตัวแปรอื่นที่ไมได3นํามาศึกษาวิจัยในครั้งนี้ ดังนั้นการพัฒนา
โมเดลปจจัยเชิงสาเหตุที่สงตอการพัฒนาตนเอง ในครั้งตอไปจึงควรพิจารณานําตัวแปรอื่นที่มีอิทธิพลมา
ศึกษาเพิ่มเติมตามที่ผู3วิจัยได3ทําการศึกษาไว3แล3ว เชน การอบรมเลี้ยงดูของบิดามารดา ฐานะเศรษฐกิจ
ของครอบครัว หรือความสัมพันธ=กับผู3อื่น ความฉลาดทางเชาว=ปญญา ความฉลาดทางอารมณ=
ความฉลาดทางศีลธรรมและจริยธรรม ความฉลาดในการเผชิญและฟนฝCาอุปสรรคและความสามารถใน
การคิดวิเคราะห=เปนต3น เพื่อให3โมเดลสามารถอธิบายความแปรปรวนของการพัฒนาตนเองได3มากขึ้น
2.2 การวิจัยในครั้งนี้เปนการพัฒนาและตรวจสอบความตรงของปจจัยเชิงสาเหตุ
ที่สงตอการพัฒนาตนเอง ของนักเรียนมัธยมศึกษาป#ที่ 6 สํานักงานเขตพื้นที่การศึกษามัธยมศึกษา
เขต 19 (เลย - หนองบัวลําภู) เทานั้น ในการวิจัยครั้งตอไป จึงควรทําการศึกษากับกลุมตัวอยางที่มี
ขนาดใหญกวาในการวิจัยครั้งนี้ ซึ่งจะทําให3เกิดประโยชน=สําหรับการพัฒนาตนเองของนักเรียน
นักศึกษา ตอไป ในการวิจัยครั้งตอไปควรทําการทดสอบความไมแปรเปลี่ยนของรูปแบบและ
พารามิเตอร=ในโมเดลระหวาง เพศ ป# หรือนักเรียนตางสังกัดเข3ารวมศึกษาด3วยเพื่อให3ได3สารสนเทศที่
ชัดเจนขึ้น
2.3 จากงานวิจัยที่ศึกษาปจจัยที่สงผลตอการพัฒนาตนเอง พบวา มีการศึกษาตัวแปรใน
ระดับที่แตกตางกัน ระดับชั้นป#ของกลุมตัวอยางแตกตางกัน ดังนั้นในการวิจัยครั้งตอไปควรมีการศึกษา
ตัวแปรโดยการวิเคราะห=โมเดลสมการพหุระดับ (Multilevel Structural Equation Model)
บรรณานุกรม
111
บรรณานุกรม
กระทรวงศึกษาธิการ. พระราชบัญญัติการศึกษาแหงชาติ พ.ศ. 2542 และที่แกไขเพิ่มเติม
(ฉบับที่ 2) พ.ศ. 2545. กรุงเทพฯ : องค,การรับสงสินคาและพัสดุภัณฑ,, 2545.
กนกรัตน, สุขะตุงคะ และคณะ. “การพัฒนาเกณฑ,มาตรฐานแบบทดสอบบุคลิกภาพคนไทย,”
วารสารจิตวิทยาคลีนิค. 5(2) : 10-12 ; กรกฎาคม- ธันวาคม, 2547.
กาญจนา บุบผัน. การศึกษาปAจจัยบางประการที่สงผลตอการพัฒนาตนเองตามจรรยาบรรณ
วิชาชีพครู ดานวิชาชีพวิสัยทัศน, และบุคลิกภาพ ของครูมัธยมศึกษาสังกัดสํานักงานเขตพื้นที่
การศึกษา นครศรีธรรมราช เขต 1. ปริญญานิพนธ, กศ.ม. กรุงเทพฯ : มหาวิทยาลัย
ศรีนครินทรวิโรฒ, 2551.
กาญจนา พูลสุข. “การควบคุมตัวเอง (Self Control),” การแนะแนวและจิตวิทยาการศึกษา.
1(1) : 46-54 ; กรกฎาคม - ธันวาคม, 2544.
กัลยา วานิชย,บัญชา. การวิเคราะห,ขอมูลหลายตัวแปร. กรุงเทพฯ : โรงพิมพ,แหง
จุฬาลงกรณ,มหาวิทยาลัย, 2551.
ขัตติยา น้ํายาทอง. การศึกษารูปแบบความสัมพันธ,เชิงสาเหตุของปAจจัยที่สงผลตอ
ความสามารถในการฝUาฟAนอุปสรรคของนิสิตนักศึกษาระดับปริญญาตรี คณะศึกษาศาสตร,
มหาวิทยาลัยรัฐบาลในเขตกรุงเทพมหานคร. ปริญญานิพนธ, กศ.ม. กรุงเทพฯ :
มหาวิทยาลัยศรีนครินทรวิโรฒ, 2551.
จรรจา สุวรรณทัต และคณะ. ความสามารถในการควบคุมตนเองของเด็กไทยในแงของ
ความสัมพันธ,องค,ประกอบทางการศึกษา การฝXกทักษะ และการพัฒนาจิตลักษณ,
เพื่อการสรางพลเมืองที่มีประสิทธิภาพ. รายงานการวิจัย. กรุงเทพฯ :
สถาบันวิจัยพฤติกรรมศาสตร, มหาวิทยาลัยศรีนครินทรวิโรฒ, 2533.
. ความสามารถในการควบคุมตนเองของเด็กไทยในแงของความสัมพันธ,องค,ประกอบ
ทางการศึกษา การฝXกทักษะ และการพัฒนาจิตลักษณ,เพื่อการสรางพลเมืองที่มีประสิทธิภาพ.
รายงานการวิจัย. กรุงเทพฯ : สถาบันวิจัยพฤติกรรมศาสตร, มหาวิทยาลัย
ศรีนครินทรวิโรฒ, 2533.
จันทรา เชาว,วิทยา. การเปรียบเทียบของการปรับสินไหมการควบคุมตัวเองและการเสริมแรง
แบบดี อาร, เอ ที่มีตอพฤติกรรมการกอกวนชั้นเรียนของนักเรียนชั้นมัธยมศึกษาป[ที่ 3
โรงเรียนวรราชาทินัดดามาตุวิทยา อําเภอลาดหลุมแกว จังหวัดปทุมธานี. ปริญญานิพนธ,
กศ.ม. กรุงเทพฯ : มหาวิทยาลัยศรีนครินทรวิโรฒ, 2545.
จิตรฎายิน เอี่ยมอุย. ปAจจัยที่สงผลตอพฤติกรรมการควบคุมตนเองไมใหเกี่ยวของกับอบายมุข
ของนักเรียนชั้นมัธยมศึกษาป[ที่ 4 อําเภอเมือง จังหวัดราชบุรี. วิทยานิพนธ, ศศ.ม.
กรุงเทพฯ : มหาวิทยาลัยศิลปากร, 2549.
จิราวดี ชุมพล. การศึกษาระหวางปAจจัยบางประการที่สงผลตอการพึ่งตนเองของนักเรียน
ชั้นมัธยมศึกษาป[ที่ 3 เขตพื้นที่การศึกษาลพบุรี เขต 1. ปริญญานิพนธ, กศ.ม. กรุงเทพฯ :
มหาวิทยาลัยศรีนครินทรวิโรฒ, 2549.
112
จิราภรณ, ธรรมวงษ,. ปAจจัยที่มีอิทธิพลตอการรับรูความสามารถของตนเองในวิชาคอมพิวเตอร,
ของนักเรียนชั้นมัธยมศึกษาป[ที่ 4 สังกัดสํานักงานเขตพื้นที่การศึกษา
ภาคตะวันออกเฉียงเหนือตอนบน. วิทยานิพนธ, กศ.ม. มหาสารคาม : มหาวิทยาลัย
มหาสารคาม, 2553.
เจริญพร ตรีเนตร. ประสบการณ,การพัฒนาตนเองของพยาบาลหองผาตัดไทยที่ไดรับการ
ฝXกอบรมในประเทศฝรั่งเศส. วิทยานิพนธ, วท.ม. กรุงเทพฯ : จุฬาลงกรณ,มหาวิทยาลัย,
2543.
ฉัตรศิริ ป]ยะพิมลสิทธิ์. บทความสถิติ. เมษายน-กุมภาพันธ, 2544. 2554.
<http://www.watpon.com> 10 มีนาคม 2555.
ชัยพัฒน, พันธุ,วัฒนสกุล. การสรางสมการจําแนกกลุมผูเรียนตามแผนการเรียนในชวงชั้นที่ 4ระดับชั้น
มัธยมศึกษาป[ที่ 4-6. ปริญญานิพนธ, กศ.ม. กรุงเทพฯ : มหาวิทยาลัยศรีนครินทรวิโรฒ,
2547.
ณรงค, รอดพันธ,. “ครูกับการพัฒนาตนเอง,” ขาราชการครู. 19(3) : 37-39 ; กุมภาพันธ, –
มีนาคม, 2542.
ทองทิพภา วิริยะพันธุ,. มนุษยสัมพันธ,กับการบริหาร. กรุงเทพฯ : ม.ป.พ., 2549.
ธนัญญา คนอยู. ปAจจัยเชิงสาเหตุที่สงผลตอความเชื่อมั่นในตนเอง ของนักเรียนชั้นมัธยมศึกษา
ป[ที่ 3 ในเขตพื้นที่การศึกษากรุงเทพมหานคร เขต 3. ปริญญานิพนธ, กศ.ม.
กรุงเทพฯ : มหาวิทยาลัยศรีนครินทรวิโรฒ, 2547.
ธีรภาพ วัฒนวิจารณ,. “ความเชื่อมั่น,” นิตยสารผูจัดการ. หนา 127. 19 มกราคม 2545.
นงนุช โรจนเลิศ. การศึกษาตัวแปรที่เกี่ยวของกับการควบคุมตนเองของนักเรียนวัยรุน.
ปริญญานิพนธ, กศ.ม. กรุงเทพฯ : มหาวิทยาลัยศรีนครินทรวิโรฒ, 2533.
นงลักษณ, วิรัชชัย. ความสัมพันธ,โครงสรางเชิงเสน (LISREL) สถิติวิเคราะห,สําหรับการวิจัยทาง
สังคมและพฤติกรรมศาสตร,. กรุงเทพฯ : โรงพิมพ,จุฬาลงกรณ,มหาวิทยาลัย, 2542.
. เป]ดโลกวิจัยการศึกษา รวมการบรรยายและอภิปรายเรื่องการวิจัย : เสนทางสูความสําเร็จ
ของการปฏิรูปการศึกษา. กรุงเทพฯ : คณะครุศาสตร,จุฬาลงกรณ,มหาวิทยาลัย, 2545.
นฤมล สุนสวัสดิ์. การพัฒนาประสิทธิภาพในการทํางาน. กรุงเทพฯ : สํานักพิมพ,วันทิพย,, 2549.
นวรินทร, ตากอนทอง. การศึกษาเปรียบเทียบการอางสาเหตของความสําเร็จและความลมเหลว
ในการเรียนของนักเรียนระดับชั้นมัธยมศึกษา ในสังกัดสํานักงานเขตพื้นที่การศึกษา
นครสวรรค, เขต 1 ที่มีระดับการรับรูความสามารถของตนเองในการเรียนแตกตางกัน.
ปริญญานิพนธ, กศ.ม. กรุงเทพฯ : มหาวิทยาลัยศรีนครินทรวิโรฒ, 2549.
นิตยา กัณณิกาภรณ,. การศึกษาปAจจัยบางประการทีสงผลตอการพัฒนาตนเองตาม
จรรยาบรรณวิชาชีพครูของขาราชการครู สังกัดกรุงเทพมหานคร. ปริญญานิพนธ, กศ.ม.
กรุงเทพฯ : มหาวิทยาลัยศรีนครินทรวิโรฒ, 2553.
นิตยา คชภักดี. “การสงเสริมสุขภาพและอนามัยสิ่งแวดลอม, ไข 10 ขดของใจ,” พัฒนา E.Q.
คู I.Q. 2(22) : 4 ; ตุลาคม-ธันวาคม, 2542.
113
นิตยา วรรณรัตน,. ผลของโปรแกรมการปรับพฤติกรรมทางปAญญาเพื่อพัฒนาการควบคุมตนเอง
ของนักเรียนชั้นมัธยมศึกษาป[ที่ 3 โรงเรียนบานแชฟoา จังหวัดแพร. วิทยานิพนธ, ศษ.ม.
เชียงใหม : มหาวิทยาลัยเชียงใหม, 2546.
นิศากร ลอกไธสง. ปAจจัยที่มีอิทธิพลตอการรับรูความสามารถของตนเองในการวิจัยของขาราชการครู
สังกัดสํานักงานเขตพื้นที่การศึกษาภาคตะวันออกเฉียงเหนือตอนบน. วิทยานิพนธ, กศ.ม.
มหาสารคาม : มหาวิทยาลัยมหาสารคาม, 2553.
เนาวรัตน, ไตรยงค,. ปAจจัยทางจิตสังคมที่เกี่ยวของกับพฤติกรรมการพัฒนาตนใหรอบรูของนักเรียน
ชวง ชั้นที่ 2 สังกัดสํานักงานเขตพื้นที่การศึกษาศรีสะเกษ เขต 3. วิทยานิพนธ, ค.ม
อุบลราชธานี : มหาวิทยาลัยราชภัฏอุบลราชธานี, 2552.
บุญชม ศรีสะอาด. วิธีการทางสถิติสําหรับการวิจัย. กรุงเทพฯ : สุวีริยสาส,น, 2542.
ประภาพร คนซื่อ. การศึกษาความสัมพันธ,ระหวางปAจจัยบางประการกับความสามารถใน
การควบคุมตนเอง ของนักเรียนชั้นมัธยมศึกษาป[ที่ 3 ในเขตพื้นที่การศึกษาลพบุรี
เขต 2. ปริญญานิพนธ, กศ.ม. กรุงเทพฯ : มหาวิทยาลัยศรีนครินทรวิโรฒ, 2552.
ประเวศ วะสี. คุยกันเรื่องความคิด. พิมพ,ครั้งที่ 4. กรุงเทพฯ : มูลนิธิโกมลคีมทอง, 2541.
ประสาท อิศรปรีดา. จิตวิทยาการศึกษา. มหาสารคาม : อภิชาตการพิมพ,, 2523.
. สารัตถะจิตวิทยาการศึกษา. พิมพ,ครั้งที่ 7. มหาสารคาม : โครงการตํารา
คณะศึกษาศาสตร, มหาวิทยาลัยมหาสารคาม, 2552.
ปราณี เพ็ชรศิริ. การศึกษาความสัมพันธ,ระหวางปAจจัยบางประการกับผลสัมฤทธิ์ทางการเรียนของ
นักศึกษาระดับประกาศนียบัตรวิชาชีพชั้นสูง โรงเรียนกรุงเทพการบัญชีวิทยาลัย.
ปริญญานิพนธ, กศ.ม. กรุงเทพฯ : มหาวิทยาลัยศรีนครินทรวิโรฒ, 2549.
ปราณี รามสูต. จิตวิทยาในองค,กร. กรุงเทพฯ : มหาวิทยาลัยราชภัฏธนบุรี, 2548.
ปราณี รามสูตร และจํารัส ดวงสุวรรณ. พฤติกรรมมนุษย,กับการพัฒนาตน. พิมพ,ครั้งที่ 3.
กรุงเทพฯ : โรงพิมพ,ธนะการพิมพ,, 2545.
ปรีชา พรมบุตร. การพัฒนาตนเอง. 2555 <http://promboot2011.
blogspot.com/2011/05/self-development.html> 7 มีนาคม 2555.
ป]ยะวดี ลีฬหบํารุง. การพัฒนาการมองโลกในแงดีดวยโปรแกรมการฝXกทักษะการคิดของนิสิต
มหาวิทยาลัยศรีนครินทรวิโรฒ. ปริญญานิพนธ, กศ.ม. กรุงเทพฯ : มหาวิทยาลัย
ศรีนครินทรวิโรฒ, 2547.
พงษ,พันธ, พงษ,โสภา. จิตวิทยาการศึกษา. กรุงเทพฯ : พัฒนาศึกษา, 2542.
พรรณทิพย, ศิริวรรณบุศย,. ทฤษฎีจิตวิทยาพัฒนาการ. พิมพ,ครั้งที่ 4. กรุงเทพฯ :
สํานักพิมพ,แหงจุฬาลงกรณ,มหาวิทยาลัย, 2551.
“พระราชบัญญัติการศึกษาแหงชาติ,” 2542 <http://kormor.obec.go.th/act/act002.pdf >
วันที่ 12 มีนาคม 2555.
พนม เกตุมาน. ปAญหาการเรียน. 2550. <http://www.psyclin.co.th/
new_page_37.htm > วันที่ 12 มีนาคม 2555.
114
พินกาน ภัทเศรษฐ,. การแสดงหลักฐานความเที่ยงตรงตามโครงสรางและความเชื่อมั่นของมาตรวัด
แรงจูงใจใฝUสัมฤทธิ์ที่มีรูปแบบตางกัน สําหรับนักเรียนระดับชวงชั้นที่ 3 ในโรงเรียนสังกัด
สํานักงานเขตพื้นที่การศึกษากรุงเทพมหานคร เขต 1. ปริญญานิพนธ, กศ.ม. กรุงเทพฯ :
มหาวิทยาลัยศรีนครินทรวิโรฒ, 2551.
ภัทราภรณ, สังข,ทอง. พัฒนาการของการเรียนรูโดยการกํากับตนเองของนักเรียนชวงชั้นที่ 2
ที่มีการรับรูความสามารถของตนเองตางกัน สังกัดสํานักงานเขตพื้นที่การศึกษานนทบุรี
เขต 1. ปริญญานิพนธ, กศ.ม. กรุงเทพฯ : มหาวิทยาลัยศรีนครินทรวิโรฒ, 2550.
เมธาวดี สังขะมาน. ตัวแปรคัดสรรที่สัมพันธ,กับความสามารถในการเผชิญปAญหาและฝUาฟAน
อุปสรรค ของนักเรียนชวงชั้นที่ 4 จังหวัดหนองคาย ป[การศึกษา 2547. วิทยานิพนธ,
กศ.ม. มหาสารคาม : มหาวิทยาลัยมหาสารคาม, 2548.
รังสรรค, โฉมยา. รวมศัพท,ที่สําคัญทางจิตวิทยา. มหาสารคาม : มหาวิทยาลัยมหาสารคาม,
2553.
รุงฤดี กิจควร. “การพัฒนาทรัพยากรมนุษย,คืออะไร: พัฒนาทําไม ทําไมตองพัฒนา,”
วารสารการพัฒนาทรัพยากรมนุษย,. 1(1) : 173-195 ; ต.ค.-ธ.ค., 2548
เรียม ศรีทอง. พฤติกรรมมนุษย,กับการพัฒนาตน. กรุงเทพฯ : เธิร,ดเวฟ เอ็ดดูเคชั่น, 2542.
ลวน สายยศ และอังคณา สายยศ. การวัดดานจิตพิสัย. กรุงเทพฯ : สุวีริยาสาส,น, 2543.
. เทคนิคการการวัดผลการเรียนรู. พิมพ,ครั้งที่ 2. กรุงเทพฯ : สุวีริยาสาสน,, 2543.
วันทนา กิติทรัพย,กาญจนา. ปAจจัยที่มีอิทธิพลตอแรงจูงใจใฝUสัมฤทธิ์ทางการเรียนวิชาฟ]สิกส,
ของนักเรียนชั้นมัธยมศึกษาตอนปลาย กรุงเทพมหานคร. วิทยานิพนธ, วท.ม.
กรุงเทพฯ : สถาบันเทคโนโลยีพระจอมเกลาเจาคุณทหารลาดกระบัง, 2546.
วาสนา จันทร,จาย. การศึกษาปAจจัยบางประการที่สงผลตอการพัฒนาตนเองของนักศึกษา
มหาวิทยาลัยราชภัฏสวนดุสิต. ปริญญานิพนธ, กศ.ม. กรุงเทพฯ : มหาวิทยาลัย
ศรีนครินทรวิโรฒ, 2553.
วินิรณี ทัศนะเทพ. พฤติกรรมมนุษย,กับการพัฒนาตน. บุรีรัมย, : มหาวิทยาลัยราชภัฏบุรีรัมย,,
2549.
วิลาสลักษณ, ชัววัลลี. “การรับรูความสามารถของตนเองในเรื่องอาชีพ,” วารสารจิตวิทยา. 1(1) :
97-109, 2538.
วิทยากร เชียงกูล. ปAญหาการจัดการศึกษาของไทยเปรียบเทียบกับประเทศอื่น. 2555.
<http://webcache.googleusercontent.com/ search?q=cache:5MnedFxnrIEJ:
witayakornclub.wordpress.com/2012/03/14> วันที่ 12 มีนาคม 2555.
วีรฉัตร สุปAญโญ. การรักษาสภาพองค,กรใหมีประสิทธิภาพ. สงขลา : มหาวิทยาลัยทักษิณ,
2548.
ศรีแพร ทวิลาภกุล. การพัฒนาตนเองของขาราชการสํานักขาวกรองแหงชาติ. กรุงเทพฯ :
มหาวิทยาลัยเกษตรศาสตร,, 2549.
115
ศิริชนก จุลนาง. การพัฒนาโมเดลปAจจัยเชิงสาเหตุที่สงผลตอความสามารถในการเผชิญปAญหา
และฝUาฟAนอุปสรรค (AQ) ของนิสิตระดับปริญญาตรีมหาวิทยาลัยมหาสารคาม :
การ วิเคราะห,กลุมพหุ. วิทยานิพนธ, กศ.ม. มหาสารคาม : มหาวิทยาลัยมหาสารคาม,
2552.
ศิริชัย กาญจนวาสี. “โมเดลเชิงสาเหตุ : การสรางและการวิเคราะห,,” ใน รวมบทความทางวิธี
วิทยาการวิจัย เลม 1. หนา 50. กรุงเทพฯ : จุฬาลงกรณ,มหาวิทยาลัย, 2541.
ศิวกานต, ธิมาชัย. ปAจจัยทางจิตสังคมที่เกี่ยวของกับพฤติกรรมการพัฒนาตนใหรอบรูของ
ขาราชการครูสังกัดสํานักงานเขตพื้นที่การศึกษายโสธร เขต 2. วิทยานิพนธ, ค.ม
มหาวิทยาลัยราชภัฏอุบลราชธานี, 2552.
ศิวพร ไชยพยอม. ความสัมพันธ,เชิงสาเหตุของปAจจัยดานคุณลักษณะทางจิตพิสัย ที่สงผลตอ
ความสามารถดานตัวเลขของนักเรียนระดับมัธยมศึกษาป[ที่ 3 ในเขตพื้นที่การศึกษา
เพชรบุรี เขต 1. ปริญญานิพนธ, กศ.ม. กรุงเทพฯ : มหาวิทยาลัยศรีนครินทรวิโรฒ,
2550.
“ศูนย,ปฏิบัติการ GPA สํานักทดสอบทางการศึกษา,” 2555
<http://gpa.moe.go.th/studentinfo/> วันที่ 7 มีนาคม 2555.
สงวน สุทธิเลิศอรุณ. พฤติกรรมมนุษย,กับการพัฒนาตน. กรุงเทพฯ : อักษราพิพัฒน,, 2545.
สมจินตนา คุปตสุนทร. การศึกษาความเชื่อมั่นในตนเองของเด็กปฐมวัยที่ไดรับการจัด
ประสบการณ,การละเลนพื้นบานของไทย. ปริญญานิพนธ, กศ.ม. กรุงเทพฯ :
มหาวิทยาลัยศรีนครินทรวิโรฒ, 2547.
สมใจ จุฑาผาด. ปAจจัยเชิงที่สัมพันธ,กับความสามารถในการเผชิญปAญหาและฝUาฟAนอุปสรรค (AQ)
ของนักเรียนชั้นมัธยมศึกษาป[ที่ 6 ในจังหวัดกาฬสินธุ,. วิทยานิพนธ, กศ.ม. มหาสารคาม :
มหาวิทยาลัยมหาสารคาม, 2549.
สมใจ ธนเกียรติมงคล. การศึกษาโมเดลความสัมพันธ,เชิงสาเหตุของปAจจัยที่มีอิทธิพลตอการ
รับรูความสามารถของตนเองในการทําปริญญานิพนธ, ของนิสิตระดับบัณฑิตศึกษา
คณะศึกษาศาสตร, กรณีศึกษามหาวิทยาลัยศรีนครินทรวิโรฒ. ปริญญานิพนธ,
กศ.ม. กรุงเทพฯ : มหาวิทยาลัยศรีนครินทรวิโรฒ, 2553.
สมบัติ ทายเรือคํา. การวิจัยการศึกษาเบื้องตน. มหาสารคาม : คณะศึกษาศาสตร, มหาวิทยาลัย
มหาสารคาม, 2546.
. ระเบียบวิธีวิจัยสําหรับมนุษย,ศาสตร,และสังคมศาสตร,. กาฬสินธุ, : ประสาน
การพิมพ,, 2551.
. ระเบียบวิธีวิจัยสําหรับมนุษยศาสตร,และสังคมศาสตร,. พิมพ,ครั้งที่ 4. มหาสารคาม :
สํานักพิมพ,มหาวิทยาลัยมหาสารคาม, 2553 ก.
. สถิติขั้นสูงสําหรับการวิจัยทางการศึกษา. มหาสารคาม : สํานักพิมพ,มหาวิทยาลัย
มหาสารคาม, 2553 ข.
. สถิติชั้นสูง สําหรับการวิจัยทางการศึกษา. กาฬสินธุ, : ประสารการพิมพ,, 2552.
สมโภชน, เอี่ยมสุภาษิต. ทฤษฏีและเทคนิคการปรับพฤติกรรม. พิมพ,ครั้งที่ 3.
กรุงเทพฯ : โรงพิมพ,จุฬาลงกรณ,มหาวิทยาลัย, 2541.
116
สมิต อาชวนิจกุล. การพัฒนาตนเอง. พิมพ,ครั้งที่ 12. กรุงเทพฯ : ดอกหญา, 2543.
สํานักงานคณะกรรมการการอุดมศึกษา. เอกสารสาระการเรียนรู ประกอบชุดวิชาการพัฒนาการ
บริหารสถาบันการศึกษา. กรุงเทพฯ : สํานักงานคณะกรรมการการอุดมศึกษา, 2546.
สํานักงานคณะกรรมการพัฒนาการเศรษฐกิจ และสังคมแหงชาติ สํานักนายกรัฐมนตรี
แผนพัฒนา เศรษฐกิจและสังคมแหงชาติ ฉบับที่ 10 พ.ศ.2550-2554. กรุงเทพฯ :
สํานักพิมพ, สูตรไพศาล, 2550.
สํานักงานคณะกรรมการการอุดมศึกษา. เอกสารสาระการเรียนรู ประกอบชุดวิชาการ
พัฒนาการบริหารสถาบันการศึกษา. กรุงเทพฯ : ม.ป.พ., 2546.
สุนทรพจน, ดํารงค,พานิช. โมเดลการจัดลําดับความสัมพันธ,เชิงสาเหตุของอัตมโนทัศน,วิชาการอัตมโน
ทัศน,ไมใชวิชาการ และผลสัมฤทธิ์ทางการเรียน : การวิเคราะห,กลุมพหุ. วิทยานิพนธ, ค.ด.
กรุงเทพฯ : จุฬาลงกรณ,มหาวิทยาลัย, 2550.
สุภมาส จินะราช. การศึกษาความสัมพันธ,ระหวางปAจจัยบางประการกับการพัฒนาตนเองของนิสิต
ภาคพิเศษระดับบัณฑิตศึกษา คณะศึกษาศาสตร, มหาวิทยาลัยศรีนครินทรวิโรฒ.
ปริญญานิพนธ, กศ.ม. กรุงเทพฯ : มหาวิทยาลัยศรีนครินทรวิโรฒ, 2549.
สุภัทททา ป]ณฑะแพทย,. พฤติกรรมกับการพัฒนาตน. กรุงเทพฯ : สถาบันราชภัฏสวนสุนันทา,
2543.
สุภะ อภิญญาภิบาล. ความสัมพันธ,เชิงสาเหตุของปAจจัยบางประการกับความสามารถในการเผชิญ
อุปสรรค ของนิสิตระดับปริญญาตรี มหาวิทยาลัยศรีนครินทรวิโรฒ. ปริญญานิพนธ, กศ.ม.
กรุงเทพฯ : มหาวิทยาลัยศรีนครินทรวิโรฒ, 2550.
สุภา สุขวิบูลย,. การพัฒนาตนเองตามเกณฑ,มาตรฐานวิชาชีพครูของขาราชการโรงเรียนวัดราชคฤห,
สํานักงานเขตธนบุรี กรุงเทพมหานคร. กรุงเทพฯ : มหาวิทยาลัยราชภัฏธนบุรี, 2549.
สุมาลี พั่วชู. การศึกษาพัฒนาการความสามารถในการคิดสังเคราะห,และการมองโลกในแงดีของ
นักเรียนชั้นมัธยมศึกษาชวงชั้นที่ 3 ในเขตพื้นที่การศึกษากรุงเทพมหานคร เขต 3.
ปริญญานิพนธ, กศ.ม. กรุงเทพฯ : มหาวิทยาลัยศรีนครินทรวิโรฒ, 2547.
สุรินทร, บูสาลี. การพัฒนาตนเองตามเกณฑ,มาตรฐานวิชาชีพครูของขาราชการครูโรงเรียนวัดพรหม
สุวรรณสามัคคี. วิทยานิพนธ, กศ.ม กรุงเทพฯ : สถาบันราชภัฏบานสมเด็จเจาพระยา,
2545.
อรพลอย เกษมสันต, ณ อยุธยา. การศึกษาการเปรียบเทียบการควบคุมตนเอง และมโนภาพแหงตน
ของนักศึกษาวัยรุนที่อาศัยอยูในหอพักกับนักศึกษาวัยรุนที่อาศัยอยูตามบาน. ปริญญานิพนธ,
กศ.ม. กรุงเทพฯ : มหาวิทยาลัยศรีนครินทรวิโรฒ, 2546.
อรพินทร, ชูชม. “จากทฤษฎีสูแนวปฏิบัติในการมองโลกในแงดี,” พฤติกรรมศาสตร,. 7(1) :
43-53 ; พฤษภาคม, 2544.
อรอุษา จันทคร. การศึกษาความสัมพันธ,ระหวางปAจจัยบางประการกับการพัฒนาตนเองตาม
เกณฑ,มาตรฐานวิชาชีพครู ของครูในเขตพื้นที่การศึกษานครปฐม เขต 2. ปริญญานิพนธ,
กศ.ม. กรุงเทพฯ : มหาวิทยาลัยศรีนครินทรวิโรฒ, 2551.
อังคณา บุญสีสด. คูมือพัฒนาความรับผิดชอบของนักเรียนชวงชั้นที่ 1. ปริญญานิพนธ, กศ.ม.
กรุงเทพฯ : มหาวิทยาลัยศรีนครินทรวิโรฒ, 2551.
117
อัญชลี สุดเสนห,. การเปรียบเทียบลักษณะการมุงอนาคต และอัตมโนทัศน,ของนักเรียน
ชั้นมัธยมศึกษาป[ที่ 6 ระหวางนักเรียนที่มีการอบรมเลี้ยงดู แรงจูงใจใฝUสัมฤทธิ์
และบุคลิกภาพตางกัน. วิทยานิพนธ, กศ.ม. มหาสารคาม : มหาวิทยาลัยมหาสารคาม,
2548.
อารี พันธ,มณี. จิตวิทยาการเรียนการสอน. กรุงเทพฯ : เลิฟแอนด,สิฟเพรส, 2542.
Atkinson, John W. Motive in Fantasy Action and Society. New Delhi : Affiliated East
West Press, PVT.Ltd., 1964.
Bandura, A. Self-Efficacy : The Exercise of Control. New York : W.H. Freeman and
Company, 1997.
Comier, William H. & Comier , Sherilyn L. Interviewing Strategies for Helpers :
A Guilde for Assessment , Treatment and Evaluation. California :
Brooks/Cole, 1979.
Grootenboer, Peter. Self-directed Teacher Professinal Development. 2012.
<http://aare.due.au/99pap/gro99601.htm. > 9 April 2012.
James, B. Schrieber. Core Reporting Practices in Structural Equation Modeling.
S.l. : s.n., 2008.
Kelly, A.P. et al. Interchange: A Quarterly Review of Education. 2008.
<http://www.eric.ed.gov/ERICWebPortal/search> 9 April 2012.
Kline, R.B. Principles and Practice of Structural Equation Modeling. 2 rd
ed.
New York : Guilford, 2005.
Louys et al. Educational Technology & Society. 2009.
<http://www.eric.ed.gov/ERICWebPortal/search> 9 April 2012.
Mercer & Jenny. Psychology Teaching Review. 2010.
<http://www.eric.ed.gov/ERICWebPortal/search> 9 April 2012.
Pajares, F. “Current Directions in Self Research,” Self-Efficacy. 1996.
<http://www.emory.edu/EDUCATION/mfp/aeral.html> 2009.
Staples, D.S., J.M. Hylland and C.A. Higgins.(2009). A self-Efficacy Theory Explanation for
the Management of Remote Workers in Virtual Organization. 4 June
1998.< http://orgsci.journal.informs.org/content/10/6/758.short >
Schunk, Dale H. Self-Efficacy Perspective on Achievement Behavior. 1982.
<http://eric.ed.gov/ERICWebPortal> 9 April 2012.
Stevens, James. Applied Multivariate Statistics for the Social Science. 2nd
ed.
New Jersey : Lawrence Erlbaum, 1992.
West, S. G.; Finch, J. F. & Curran, P.J. “Structural equation models with non-
Narmalvariables : Problems and Remedies,” in Structural Equation Modeling :
ConcepteIssues and Applications. Edited by R.Hoyle. p. 56-57. Newbury
Park, CA : Sage, 1995.
ภาคผนวก
119
ภาคผนวก ก
รายชื่อผูเชี่ยวชาญในการประเมินเครื่องมือที่ใชในการวิจัย
120
รายชื่อผูเชี่ยวชาญ
1. อาจารย ดร.สุนทรพจน ดํารงพานิช อาจารยประจําภาควิชาวิจัย มหาวิทยาลัย
มหาสารคาม ค.ด. (วิธีวิทยาการวิจัยการศึกษา)
2. นางกัญจกมล มาลี ครูชํานาญการ รร.ฝ+,งแดงวิทยาสรรค จังหวัดหนองบัวลําภู
กศ.ม (การวิจัยและสถิติทางการศึกษา)
3. นางสาวศิริชนก จุลนาง ครู รร.คําแสนวิทยาสรรค จังหวัดหนองบัวลําภู
กศ.ม (การวิจัยการศึกษา)
4. นายเล็ก ขมิ้นเขียว ผู8อํานวยการ รร.นาวังศึกษาวิช จังหวัดหนองบัวลําภู
ค.ม (การวัดและประเมินผลการศึกษา)
5. นายกิตติศักดิ์ กล8าแข็ง นักจิตวิทยา รร.หนองพอกวิทยาลัย จังหวัดร8อยเอ็ด
วท.บ (จิตวิทยาคลีนิคและชุมชน)
121
ภาคผนวก ข
คุณภาพเครื่องมือที่ใชในการวิจัย
122
ตาราง 14 ดัชนีความสอดคล8องระหว;างข8อคําถามกับนิยามศัพทเฉพาะ ค;าอํานาจจําแนก และ
ค;าความเชื่อมั่นของแบบวัดการพัฒนาตนเอง
ข8อที่
ดัชนีความสอดคล8อง
(IOC)
สรุปผล ค;าอํานาจจําแนก (r) ฉบับจริงข8อที่
PDE
1 1.00 สอดคล8อง 0.80* 1
2 1.00 สอดคล8อง 0.76* 2
3 0.60 สอดคล8อง 0.68* 3
4 1.00 สอดคล8อง 0.64* -
5 0.60 สอดคล8อง 0.68* 4
6 0.60 สอดคล8อง 0.56* -
7 1.00 สอดคล8อง 0.70* 5
SDE
8 1.00 สอดคล8อง 0.62* -
9 0.60 สอดคล8อง 0.70* -
10 1.00 สอดคล8อง 0.70* 6
11 1.00 สอดคล8อง 0.72* 7
12 0.60 สอดคล8อง 0.74* 8
13 0.80 สอดคล8อง 0.76* 9
14 0.80 สอดคล8อง 0.76* 10
15 1.00 สอดคล8อง 0.74* 11
LDE
16 0.60 สอดคล8อง 0.58* 12
17 1.00 สอดคล8อง 0.82* 13
18 1.00 สอดคล8อง 0.60* 14
19 1.00 สอดคล8อง 0.54* -
20 1.00 สอดคล8อง 0.56* -
21 0.60 สอดคล8อง 0.76* 15
ค;าความเชื่อมั่น = .89
* มีนัยสําคัญทางสถิติที่ระดับ .05
123
ตาราง 15 ดัชนีความสอดคล8องระหว;างข8อคําถามกับนิยามศัพทเฉพาะ ค;าอํานาจจําแนก
และค;าความเชื่อมั่นของแบบวัดป+จจัยที่ส;งผลต;อการพัฒนาตนเองการมองโลกในแง;ดี
ข8อที่ ดัชนีความสอดคล8อง(IOC) สรุปผล ค;าอํานาจจําแนก (r) ฉบับจริงข8อที่
PEM
1 0.6 สอดคล8อง .66* 1
2 0.8 สอดคล8อง .54* 2
3 0.8 สอดคล8อง .28* -
4 0.8 สอดคล8อง .58* 3
5 0.6 สอดคล8อง .50* -
PEV
6 0.8 สอดคล8อง .56* -
7 0.8 สอดคล8อง .76* 4
8 0.6 สอดคล8อง .60* 5
9 0.8 สอดคล8อง .36* -
10 0.6 สอดคล8อง .82* 6
PES
11 0.8 สอดคล8อง .25* -
12 0.8 สอดคล8อง .68* 7
13 0.6 สอดคล8อง .62* 8
14 0.6 สอดคล8อง .24* -
15 0.8 สอดคล8อง .88* 9
ความเชื่อมั่นในตนเอง
EST
16 1.0 สอดคล8อง .34* -
17 1.0 สอดคล8อง .68* 10
18 1.0 สอดคล8อง .64* -
19 1.0 สอดคล8อง .74* 11
20 1.0 สอดคล8อง .56* 12
COU
21 0.8 สอดคล8อง .64* 13
22 1.0 สอดคล8อง .28* -
23 0.8 สอดคล8อง .92* 14
24 1.0 สอดคล8อง .26* -
25 0.8 สอดคล8อง .80* 15
SRE
26 0.8 สอดคล8อง .30* -
27 0.8 สอดคล8อง .56* -
28 1.0 สอดคล8อง .84* 16
29 1.0 สอดคล8อง .92* 17
124
ตาราง 15 (ต;อ)
ข8อที่ ดัชนีความสอดคล8อง (IOC) สรุปผล ค;าอํานาจจําแนก (r) ฉบับจริงข8อที่
SRE 30 1.0 สอดคล8อง .62* 18
AUT
31 1.0 สอดคล8อง .92* 19
32 1.0 สอดคล8อง .32* -
33 1.0 สอดคล8อง .40* 20
34 1.0 สอดคล8อง .70* 21
35 1.0 สอดคล8อง .32* -
ADA
36 1.0 สอดคล8อง .62* 22
37 0.8 สอดคล8อง .25* -
38 1.0 สอดคล8อง .64* 23
39 1.0 สอดคล8อง .70* 24
40 0.8 สอดคล8อง .53* -
แรงจูงใจใฝWสัมฤทธิ์
ASP
41 0.6 สอดคล8อง .80* 25
42 1.0 สอดคล8อง .78* 26
43 1.0 สอดคล8อง .66* -
44 1.0 สอดคล8อง .94* 27
45 1.0 สอดคล8อง .72* -
ENA
46 1.0 สอดคล8อง .64* -
48 1.0 สอดคล8อง .76* 28
48 0.6 สอดคล8อง .56* -
49 0.6 สอดคล8อง .74* 29
50 0.6 สอดคล8อง .90* 30
MRT
51 1.0 สอดคล8อง .78* 31
52 1.0 สอดคล8อง .60* 32
53 0.6 สอดคล8อง .28* -
54 1.0 สอดคล8อง .74* 33
55 0.6 สอดคล8อง .44* -
PLA
56 1.0 สอดคล8อง .62* -
57 0.8 สอดคล8อง .78* -
58 0.6 สอดคล8อง .84* 34
59 1.0 สอดคล8อง .82* 35
60 1.0 สอดคล8อง .78* 36
125
ตาราง 15 (ต;อ)
ข8อที่
ดัชนีความสอดคล8อง
(IOC)
สรุปผล ค;าอํานาจจําแนก (r) ฉบับจริงข8อที่
UOC
61 0.6 สอดคล8อง .40* 37
62 1.0 สอดคล8อง .34* -
63 1.0 สอดคล8อง .36* -
64 1.0 สอดคล8อง .62* 38
65 0.6 สอดคล8อง .40* 39
การรับรู8ความสามารถของตนเอง
EAT
66 1.0 สอดคล8อง .78 40
67 1.0 สอดคล8อง .42 -
68 1.0 สอดคล8อง .68 41
68 0.6 สอดคล8อง .40 -
70 0.6 สอดคล8อง .70 42
VEX
71 0.6 สอดคล8อง .62 -
72 0.6 สอดคล8อง .76 -
73 1.0 สอดคล8อง .84 43
74 1.0 สอดคล8อง .90 44
75 1.0 สอดคล8อง .76 45
PEV
76 1.0 สอดคล8อง .58 -
77 1.0 สอดคล8อง .70 46
78 1.0 สอดคล8อง .78 47
79 0.8 สอดคล8อง .68 48
80 1.0 สอดคล8อง .64 -
PST
81 1.0 สอดคล8อง .52 49
82 1.0 สอดคล8อง .46 50
83 1.0 สอดคล8อง .38 51
84 0.6 สอดคล8อง .26 -
85 1.0 สอดคล8อง .28 -
การควบคุมตนเอง
GOA
86 1.0 สอดคล8อง .58* 52
87 1.0 สอดคล8อง .60* 53
88 1.0 สอดคล8อง .40* -
89 0.6 สอดคล8อง .60* -
90 0.6 สอดคล8อง .84* 54
126
ตาราง 15 (ต;อ)
ข8อที่
ดัชนีความสอดคล8อง
(IOC)
สรุปผล ค;าอํานาจจําแนก (r) ฉบับจริงข8อที่
RES
91 1.0 สอดคล8อง .46* 55
92 1.0 สอดคล8อง .25* -
93 0.6 สอดคล8อง .28* -
94 1.0 สอดคล8อง .50* 56
95 0.6 สอดคล8อง .48* 57
STE
100 1.0 สอดคล8อง .24* -
101 0.6 สอดคล8อง .28* -
102 1.0 สอดคล8อง .50* 58
103 0.6 สอดคล8อง .46* 59
104 0.8 สอดคล8อง .60* 60
PAT
105 1.0 สอดคล8อง .80* 61
106 0.6 สอดคล8อง .68* -
107 0.6 สอดคล8อง .86* 62
108 1.0 สอดคล8อง .40* -
109 1.0 สอดคล8อง .92* 63
ค;าความเชื่อมั่นทั้งฉบับ = .78
* มีนัยสําคัญทางสถิติที่ระดับ .05
127
ภาคผนวก ค
เครื่องมือที่ใชในการวิจัย
128
แบบวัดการพัฒนาตนเอง ของนักเรียนมัธยมศึกษาป*ที่ 6
สํานักงานเขตพื้นที่การศึกษามัธยมศึกษา เขต 19 (เลย - หนองบัวลําภู)
คําชี้แจง
1. แบบวัดแบบวัดการพัฒนาตนเอง ของนักเรียนมัธยมศึกษาปที่ 6 เป]นเครื่องมือในการทําวิจัย
เพื่อทําวิทยานิพนธ เรื่อง “ป+จจัยที่ส;งผลต;อการพัฒนาตนเอง ของนักเรียนมัธยมศึกษา
ปที่ 6 สํานักงานเขตพื้นที่การศึกษามัธยมศึกษา เขต 19 (เลย - หนองบัวลําภู)”
2. แบบวัดนี้ มี 2 ตอน ได8แก;
ตอนที่ 1 ข8อมูลนักเรียน
ตอนที่ 2 การพัฒนาตนเอง ของนักเรียนมัธยมศึกษาปที่ 6 จํานวน 15 ข8อ
3. แบบวัดนี้ต8องการถามเกี่ยวกับข8อมูลทั่วไปของนักเรียน และการพัฒนาตนเอง ของนักเรียน
มัธยมศึกษาปที่ 6 สํานักงานเขตพื้นที่การศึกษามัธยมศึกษา เขต 19 (เลย - หนองบัวลําภู)
ขอให8นักเรียนตอบแบบวัดนี้ให8ตรงกับสภาพความเป]นจริง คําตอบของนักเรียนจะไม;มี
ผลกระทบต;อนักเรียนแต;อย;างใด คําถามแต;ละข8อไม;มีคําตอบที่ถูกหรือผิด คําตอบที่ดีที่สุดคือคําตอบที่
ตรงกับสภาพความเป]นจริงในป+จจุบันของนักเรียนมากที่สุดเท;าที่จะเป]นไปได8
ขอให8นักเรียนตอบให8ครบทุกข8อและขอขอบคุณนักเรียนที่ให8ความร;วมมือ
นายสุพร มูลศรี
นิสิตปริญญาโท สาขาการวิจัยการศึกษา
มหาวิทยาลัยมหาสารคาม
129
ตอนที่ 1 ขอมูลทั่วไปของผูตอบแบบสอบถาม
คําชี้แจง โปรดทําเครื่องหมายถูก ลงในช;องคําตอบที่นักเรียนเห็นว;าตรงกับข8อเท็จจริง
ของนักเรียน
1. โรงเรียน______________________________จังหวัด เลย หนองบัวลําภู
2. เพศ ชาย หญิง อายุ __________ ป
3. กําลังศึกษาอยู;ในระดับชั้น มัธยมศึกษาปที่ 6 ปการศึกษา 2555
ตอนที่ 2 แบบวัดการพัฒนาตนเอง ของนักเรียนมัธยมศึกษาป*ที่ 6
คําชี้แจง
1. แบบวัดแบบวัดการพัฒนาตนเอง ของนักเรียนมัธยมศึกษาปที่ 6 มีทั้งหมด 15 ข8อ
2. ให8นักเรียนอ;านข8อความแล8วพิจารณาว;าข8อความตรงกับความเป]นจริงของนักเรียนในระดับ
ใด แล8วทําเครื่องหมาย ลงในช;องว;างช;องใดช;องหนึ่งที่ตรงกับความรู8สึกนึกคิดหรือพฤติกรรมของนักเรียน
การพัฒนาตนเอง (Self-development)
ขอ ขอความ
ระดับพฤติกรรม
มากที่สุด มาก
ปาน
กลาง
นอย
นอย
ที่สุด
1. ข8าพเจ8าวางแผน กําหนดเปbาหมายในชีวิต
และพยายามดําเนินไปเพื่อให8บรรลุเปbาหมายที่ตั้งไว8
2. ข8าพเจ8ายอมรับฟ+งคําแนะนําเกี่ยวกับนิสัยของตนเองจากคน
อื่น แล8วนํามาพิจารณาปรับปรุงแก8ไขตนเอง
3. ข8าพเจ8ายอมรับความสามารถและความสําเร็จของเพื่อน
และใช8เป]นแนวทางในการพัฒนาตนเอง
4. ข8าพเจ8าคิดทบทวนการกระทําที่ผ;านมาของตนเอง
เพื่อพิจารณาปรับปรุงนิสัยให8ดีขึ้น
5. ข8าพเจ8ามีบุคคลที่ประสบผลสําเร็จเป]นแบบอย;างใน การ
ดําเนินชีวิตและเป]นแนวทางในการปรับปรุงพัฒนาตนเอง
6. ข8าพเจ8าพยายามพัฒนาตนเองให8มีความสามารถในหลายๆ
ด8าน เพื่อให8ตนเองเป]นที่ยอมรับของกลุ;มเพื่อน
7. ข8าพเจ8าตั้งใจทํางานกลุ;มเพื่อให8เป]นที่ยอมรับของสมาชิกใน
กลุ;ม
130
ขอ ขอความ
ระดับพฤติกรรม
มากที่สุด มาก
ปาน
กลาง
นอย
นอย
ที่สุด
8. ข8าพเจ8าพูดคุยและสังเกตพฤติกรรมของเพื่อนที่มีมนุษย
สัมพันธและการวางตัวที่ดี เพื่อเป]นแนวทางพัฒนาของ
ตนเอง
9. ข8าพเจ8าพยายามเข8าร;วมกิจกรรมบําเพ็ญประโยชนเพื่อ
ฝeกฝนให8ตนเองเป]นคนกล8าแสดงออก
11. ข8าพเจ8าตั้งใจทําแบบฝeกหัด และรายงานด8วยตนเองทุกครั้ง
ที่ได8รับมอบหมาย
12. ข8าพเจ8าอ;านหนังสือและทบทวนความรู8ในวิชาต;างๆ เป]น
ประจํา
13. ข8าพเจ8าหาเทคนิควิธีการเรียนเพื่อให8จดจํา และเข8าใจสิ่งที่
เรียนให8ง;ายขึ้น
14. ข8าพเจ8าฝeกให8ตนเองเป]นคนมีความรับผิดชอบในการเรียน
15. ข8าพเจ8าค8นคว8าข8อมูลอินเตอรเน็ต จากหนังสือ โทรทัศน
หนังสือพิมพ วิทยุ และสื่อมวลชนอื่น ๆ เพื่อหาความรู8ใหม;ๆ
มาใช8ในการเรียน
131
แบบวัดปFจจัยที่สGงผลตGอการพัฒนาตนเอง ของนักเรียนมัธยมศึกษาป*ที่ 6
สํานักงานเขตพื้นที่การศึกษามัธยมศึกษา เขต 19 (เลย - หนองบัวลําภู)
คําชี้แจง
1. แบบวัดแบบวัดป+จจัยที่ส;งผลต;อการพัฒนาตนเอง ของนักเรียนมัธยมศึกษาปที่ 6
เป]นเครื่องมือในการทําวิจัยเพื่อทําวิทยานิพนธ เรื่อง “ป+จจัยที่ส;งผลต;อการพัฒนาตนเอง ของนักเรียน
มัธยมศึกษาปที่ 6 สํานักงานเขตพื้นที่การศึกษามัธยมศึกษา เขต 19 (เลย - หนองบัวลําภู)”
2. แบบวัดนี้ มี 2 ตอน ได8แก;
ตอนที่ 1 ข8อมูลนักเรียน
ตอนที่ 2 ป+จจัยที่ส;งผลต;อการพัฒนาตนเอง ประกอบด8วย
การมองโลกในแง;ดี ความเชื่อมั่นในตนเอง แรงจูงใจใฝWสัมฤทธิ์ การรับรู8ความสามารถของตนเอง
การควบคุมตนเอง จํานวน 63 ข8อ
3. แบบวัดนี้ต8องการถามเกี่ยวกับข8อมูลทั่วไปของนักเรียน และป+จจัยการพัฒนาตนเอง
การพัฒนาตนเอง ของนักเรียนมัธยมศึกษาปที่ 6 สํานักงานเขตพื้นที่การศึกษามัธยมศึกษา เขต 19
(เลย - หนองบัวลําภู)
ขอให8นักเรียนตอบแบบวัดนี้ให8ตรงกับสภาพความเป]นจริง คําตอบของนักเรียนจะไม;มี
ผลกระทบต;อนักเรียนแต;อย;างใด คําถามแต;ละข8อไม;มีคําตอบที่ถูกหรือผิด คําตอบที่ดีที่สุดคือคําตอบ
ที่ตรงกับสภาพความเป]นจริงในป+จจุบันของนักเรียนมากที่สุดเท;าที่จะเป]นไปได8
ขอให8นักเรียนตอบให8ครบทุกข8อและขอขอบคุณนักเรียนที่ให8ความร;วมมือ
นายสุพร มูลศรี
นิสิตปริญญาโท สาขาการวิจัยการศึกษา
มหาวิทยาลัยมหาสารคาม
132
ตอนที่ 1 ขอมูลทั่วไปของผูตอบแบบสอบถาม
คําชี้แจง โปรดทําเครื่องหมายถูก ลงในช;องคําตอบที่นักเรียนเห็นว;าตรงกับข8อเท็จจริง
ของนักเรียน
1. โรงเรียน______________________________จังหวัด เลย หนองบัวลําภู
2. เพศ ชาย หญิง อายุ __________ ป
3. กําลังศึกษาอยู;ในระดับชั้น มัธยมศึกษาปที่ 6 ปการศึกษา 2555
ตอนที่ 2 ปFจจัยที่สGงผลตGอการพัฒนาตนเอง
คําชี้แจง
1. แบบวัดแบบวัดป+จจัยที่ส;งผลต;อการพัฒนา ของนักเรียนมัธยมศึกษาปที่ 6
มีทั้งหมด 63 ข8อ
2. ให8นักเรียนอ;านข8อความแล8วพิจารณาว;าข8อความตรงกับความเป]นจริงของนักเรียนในระดับใด
แล8วทําเครื่องหมาย ลงในช;องว;างช;องใดช;องหนึ่งที่ตรงกับความรู8สึกนึกคิดหรือพฤติกรรมของนักเรียน
การมองโลกในแงGดี (Optimism : OPT)
ขอ ขอความ
ระดับพฤติกรรม
มาก
ที่สุด
มาก
ปาน
กลาง
นอย
นอย
ที่สุด
1. ข8าพเจ8าคิดว;าสัมพันธภาพของข8าพเจ8ากับคนรอบข8าง สามารถ
เปลี่ยนแปลงและปรับปรุงได8
2. ข8าพเจ8าคิดอยู;เสมอว;า ทุกป+ญหาที่เกิดขึ้นมีทางออกเสมอ
3. ข8าพเจ8าคิดว;าอุปสรรคที่ผ;านเข8ามาในชีวิตเปรียบเสมือนโอกาสหรือ
บทเรียนที่จะเสริมสร8างความเข8มแข็งให8ชีวิต
4. การที่ข8าพเจ8าเข8ากับเพื่อนๆและทุกคนได8ดี ทําให8ข8าพเจ8าเข8ากับคน
อื่นได8ดีเช;นกัน ถึงแม8จะไม;เคยรู8จักกับคนๆ นั้นมาก;อน
5. เมื่อทํางานใดงานหนึ่งสําเร็จข8าพเจ8าจะหาวิธีการใหม;ๆ เพื่อจะได8
พัฒนาตนเองในชิ้นงานต;อไปได8ดีขึ้น
6. การที่ข8าพเจ8าได8คะแนนดีในวิชาใดวิชาหนึ่ง ทําให8ข8าพเจ8ามี
กําลังใจในการทําคะแนนวิชาอื่นๆ
7. สาเหตุที่ข8าพเจ8าเข8ากับเพื่อนๆได8ดี เพราะเพื่อนๆ เห็นว;าข8าพเจ8ามี
ความเป]นมิตร
8. สาเหตุที่ข8าพเจ8าได8คะแนนสอบออกมาไม;ดี เป]นเพราะตนเองไม;
ขยันเรียน และเตรียมตัวสอบน8อย
9. สาเหตุที่บุคคลที่มอบของขวัญให8ข8าพเจ8าเป]นเพราะมีความ
ภาคภูมิใจในตัวของข8าพเจ8า
133
ความเชื่อมั่นในตนเอง (Self - Confidence : SCF)
ขอ ขอความ
ระดับพฤติกรรม
มาก
ที่สุด
มาก
ปาน
กลาง
นอย
นอย
ที่สุด
10 ข8าพเจ8ากล8าตัดสินใจในสิ่งต;าง ๆ ที่คิดไว8อย;างรอบคอบ
11 ข8าพเจ8ารู8สึกลังเลเมื่อไปในสถานที่ที่ไม;มีคนรู8จัก
12 ข8าพเจ8ารู8สึกตื่นเต8น มือสั่น ขาสั่น เมื่อออกไปหน8าชั้น
13 ข8าพเจ8ากล8ายกมือถามครูในห8องเรียนเมื่อมีข8อสงสัย
14 ข8าพเจ8าแต;งกายถูกระเบียบแม8ว;าเพื่อนในกลุ;มจะว;าก็ตาม
15 ข8าพเจ8ากล8ายอมรับในผลของการกระทําที่ข8าพเจ8าทํา
16 ข8าพเจ8าจะอ;านหนังสือมากขึ้นเมื่อรู8ว;าสอบได8คะแนนน8อย
17 ข8าพเจ8าทําข8อสอบด8วยตนเอง โดยไม;ปรึกษา หรือลอกเพื่อน
18 ข8าพเจ8าพยามทําสิ่งต;างๆ ด8วยตนเองโดยไม;พึ่งพาผู8อื่น
19 ข8าพเจ8าจะภูมิใจและพอใจในผลการเรียนของตนเองว;าทําดีที่สุด
แล8ว
20 ข8าพเจ8ายอมรับฟ+งเมื่อมีใครชี้ข8อบกพร;องของข8าพเจ8า
21 ข8าพเจ8าชอบทําสิ่งต;างๆ ที่เป]นไปตามความคิดของตนเองมากกว;า
ทําตามผู8อื่น
22 ข8าพเจ8าสามารถทํางานร;วมกับเพื่อนในห8องได8ทุกคน
23 เมื่อถูกมอบหมายงานให8ทําข8าพเจ8าจะหลีกเลี่ยงเสมอ
24 ข8าเจ8าจะหนีเรียนในวิชาที่ไม;ชอบ
แรงจูงใจใฝSสัมฤทธิ์ (Achievement Motivation : AMO)
ขอ ขอความ
ระดับพฤติกรรม
มาก
ที่สุด
มาก
ปาน
กลาง
นอย
นอย
ที่สุด
25 เพื่อให8ถึงจุดมุ;งหมาย แม8จะใช8เวลามากข8าพเจ8าก็จะอดทน
26 ข8าพเจ8าพยายามอ;านหนังสือ เพื่อทําคะแนนให8ได8สูงกว;าเพื่อนใน
ชั้นเรียน
27 เมื่อมีการทํางานกลุ;ม ข8าพเจ8าต8องการเป]นผู8นํากลุ;ม
28 ข8าพเจ8ามักทํางานที่ได8รับมอบหมายเสร็จก;อนกําหนด
29 เมื่อเจอป+ญหาในการเรียนข8าพเจ8ายิ่งต8องการค8นคว8าให8รู8เรื่องนั้นๆ
มากขึ้น
30 เมื่อข8าพเจ8าถูกคนตําหนิว;า ไม;มีความสามารถในด8านใดด8านหนึ่ง
ข8าพเจ8าจะพยายามเรียนรู8ให8มากขึ้นในด8านนั้น
31 ข8าพเจ8าชอบทํางานหรือกิจกรรมที่ท8าทายความสามารถอยู;เสมอ
134
ขอ ขอความ
ระดับพฤติกรรม
มาก
ที่สุด
มาก
ปาน
กลาง
นอย
นอย
ที่สุด
32 ข8าพเจ8าพร8อมที่จะเลือกทําบางสิ่งแม8ไม;สามารถคาดการณได8
แน;นอนในอนาคต
33 แม8มีอุปสรรคในการทํางาน ข8าพเจ8าก็จะไม8ย;อท8อเพราะต8องการ
ให8ผลงานออกมาดี
34 ข8าพเจ8าสามารถจัดลําดับความสําคัญก;อนหลังได8หากมีงานที่ต8อง
ทําหลายอย;างในเวลาเดียวกัน
35 ข8าพเจ8าตั้งเปbาหมายในชีวิต และมีวางแผนการที่จะไปถึงเปbาหมาย
นั้น
36 ถ8าข8าพเจ8าทํางานได8ไม;ดี ครั้งต;อไปข8าพเจ8าจะวางแผนการทํางาน
ให8ดีขึ้น
37 ข8าพเจ8าทํางานด8วยความคิดของตนเองไม;ลอกเลียนแบบใคร
38 ข8าพเจ8าต8องการประสบความสําเร็จจากฝมือของตนเองมากกว;า
โชคช;วย
39 ข8าพเจ8ามีความรู8สึกว;า ตนเองมีความคิด ริเริ่ม ที่จะดัดแปลงสิ่ง
ต;างๆ ให8มีความแปลกใหม;และดีเด;นอยู;ตลอดเวลา
การรับรูความสามารถของตนเอง (Self-Efficacy : SEF)
ขอ ขอความ
ระดับพฤติกรรม
มากที่สุด มาก
ปาน
กลาง
นอย
นอย
ที่สุด
40 แม8ไม;มีพรสวรรคในด8านใดด8านหนึ่ง เช;น ศิลปะ ดนตรี กีฬา
ถ8าข8าพเจ8ามีความพยายาม ก็จะประสบความสําเร็จได8เช;นกัน
41 ข8าพเจ8านําข8อมูลจากประสบการณที่ผ;านมา มาใช8พิจารณาก;อน
ตัดสินใจทําอะไรเสมอ
42 เมื่อข8าพเจ8าทํางานผิดพลาด ข8าพเจ8าสามารถแก8ไขและปรับปรุงให8
ดีขึ้นได8ในครั้งต;อไป
43 ข8าพเจ8ามักเปรียบตัวเองกับเพื่อนที่มีความสามารถและเพื่อนที่
ประสบความสําเร็จ แล8วนํามาพัฒนาตนเองเพิ่มขึ้น
44 ข8าพเจ8ายินดีที่จะปรับปรุงพัฒนาตนเองตามคําแนะนําของผู8ใหญ;
เพราะถือว;าท;านมีประสบการการณมาก;อน
45 ครอบครัวของข8าพเจ8าเป]นแบบอย;างในการเรียน การใช8ชีวิตและ
ส;งเสริมสนับสนุนการศึกษาของข8าพเจ8า
46 ข8าพเจ8าตั้งใจเรียนมากขึ้นเมื่อได8รับคําชมจากคุณครู
47 เพื่อนๆบอกข8าพเจ8าเสมอว;าข8าพเจ8าสามารถเป]นผู8นําเพื่อนได8
135
ขอ ขอความ
ระดับพฤติกรรม
มากที่สุด มาก
ปาน
กลาง
นอย
นอย
ที่สุด
48 ข8าพเจ8าเชื่อมั่นว;าสามารถสอบเข8ามหาวิทยาลัยหรือเลือกประกอบ
อาชีพ ตามคําแนะนําของครูและเพื่อนๆได8
49 ข8าพเจ8าไม;มีสมาธิในการเรียนถ8าวันไหนถูกผู8ปกครองดุว;าหรือ
กล;าวตักเตือน
50 เวลาทําอะไรแล8วมีคนหัวเราะข8าพเจ8ารู8สึกไม;มั่นใจในการกระทํา
ของตนเอง
51 ข8าพเจ8ารู8สึกตื่นเต8น และไม;มีความมั่นใจเมื่อออกไปหน8าชั้นเรียน
การควบคุมตนเอง (Self-Control : SCT)
ขอ ขอความ
ระดับพฤติกรรม
มากที่สุด มาก
ปาน
กลาง
นอย
นอย
ที่สุด
52 ข8าพเจ8าจะเรียนต;อในระดับสูง เพื่อจะได8ทํางานที่มั่นคงในอนาคต
53 ข8าพเจ8าคิดว;าการเรียนต;อในระดับสูงๆ จะช;วยให8มีโอกาสทํางาน
แล8วก8าวหน8าอย;างรวดเร็ว
54 ข8าพเจ8าคิดว;าการตั้งใจเรียน จะทําให8ตนเองประสบความสําเร็จใน
อนาคต
55 เมื่อเกิดป+ญหา ข8าพเจ8าพยายามหาสาเหตุที่เกิดขึ้น โดยไม;คิดเอา
เองตามใจชอบ
56 ข8าพเจ8ายอมรับในสิ่งที่ผู8อื่นคิดต;างจากข8าพเจ8าแม8ข8าพเจ8าจะรู8สึก
ไม;เห็นด8วย
57 ข8าพเจ8าแก8ป+ญหาต;างๆ ด8วยเหตุผลมากกว;าใช8อารมณ
58 ข8าพเจ8าสามารถระงับอารมณโกรธได8ถึงแม8จะมีคนรบกวนขณะ
ทํางานก็ตาม
59 เวลาข8าพเจ8าทะเลาะกับเพื่อน ข8าพเจ8าจะพยายามข;มใจไม;ให8โกรธ
แม8เพื่อนจะเป]นฝWายผิด
60 เวลาโกรธข8าพเจ8าพยายามควบคุมสติให8ได8 ถ8าไม;ได8ผลก็หลีกหนี
ออกมา
61 ข8าพเจ8าจะพยายามทํางานจนสุดความสามารถเพื่อให8แล8วเสร็จไม;
ว;างานนั้นจะยากเพียงใด
136
ขอ ขอความ
ระดับพฤติกรรม
มากที่สุด มาก
ปาน
กลาง
นอย
นอย
ที่สุด
62 เมื่อได8รับการมอบหมายงานใด ๆ ข8าพเจ8าจะรีบทําให8เสร็จ
เรียบร8อยก;อนกําหนดส;งงาน
63 บางครั้งข8าพเจ8ารู8สึกว;าสิ่งที่เรียนนั้นน;าเบื่อหน;าย แต;ข8าพเจ8าก็
พยายามตั้งใจทําให8ดีที่สุด
ขอเสนอแนะเพิ่มเติม
............................................................................................................................................................................
............................................................................................................................................................................
............................................................................................................................................................................
............................................................................................................................................................................
ขอขอบคุณนักเรียนที่ให8ความร;วมมือ
137
ภาคผนวก ง
ผลการวิเคราะหองคประกอบเชิงยืนยัน
138
ผลการวิเคราะหองคประกอบเชิงยืนยัน (Confirmatory factor analysis : CFA)
เพื่อตรวจสอบความตรงเชิงโครงสร8างของโมเดลการวัดตัวแปรแฝง
ผลการวิเคราะหองคประกอบเชิงยืนยันโมเดลการวัดตัวแปรแฝงการรับรู8ความสามารถตนเอง
(SEF) ปรากฏผลดังตาราง 16 และภาพประกอบ 7
ตาราง 16 ผลการวิเคราะหองคประกอบเชิงยืนยันของตัวแปรแฝงการรับรู8ความสามารถตนเอง (SEF)
ตัวแปร
น้ําหนักองคประกอบ
(SC)
ความคลาดเคลื่อน
มาตรฐาน (SE)
t - values
สัมประสิทธิ์การ
ตัดสินใจ (R2
)
EAT 0.696 0.021 32.914 0.484
VEX 0.671 0.022 30.103 0.450
VPE 0.814 0.020 40.924 0.662
PST 0.744 0.022 33.832 0.553
χ
2
=3.314,df=2, P-value=0.190,RMSEA=0.029
VPE
VEX
EAT
1.000
0.696**
0.814**
0.516
0.550
0.338
(0.484)
(0.450)
(0.662)
PST
0.447
(0.553)
SEF
0.671**
0.744**
χ
2
=3.314, df=2, χ
2
/df=1.657, P-value=0.190,CFI=0.999,TLI=0.997, RMSEA=0.029
ภาพประกอบ 7 การวิเคราะหองคประกอบเชิงยืนยันโมเดลการวัดตัวแปรแฝง
การรับรู8ความสามารถตนเอง (SEF)
139
ผลการวิเคราะหองคประกอบเชิงยืนยันโมเดลการวัดตัวแปรแฝงการวัดตัวแปรแฝง
การควบคุมตนเอง (SCT) ปรากฏผลดังตาราง 17 และภาพประกอบ 8
ตาราง 17 ผลการวิเคราะหองคประกอบเชิงยืนยันของตัวแปรแฝงการวัดตัวแปรแฝง
การควบคุมตนเอง (SCT)
ตัวแปร
น้ําหนักองคประกอบ
(SC)
ความคลาดเคลื่อน
มาตรฐาน (SE)
t - values
สัมประสิทธิ์การ
ตัดสินใจ (R2
)
GOA 0.636 0.031 20.230 0.404
RES 0.709 0.023 31.118 0.502
STE 0.932 0.021 44.908 0.869
PAT 0.674 0.024 28.489 0.455
χ
2
=1.667,df=1, P-value=0.196,RMSEA=0.029
VPE
VEX
EAT
1.000
0.636**
0.932**
0.596
0.498
0.131
(0.404)
(0.502)
(0.869)
PST
0.545
(0.455 )
SCT
0.709**
0.674**
χ
2
=1.667, df=1, χ
2
/df=1.667, P-value=0.196,CFI=0.999,TLI=0.996, RMSEA=0.029
ภาพประกอบ 8 การวิเคราะหองคประกอบเชิงยืนยันโมเดลการควบคุมตนเอง (SCT)
140
ผลการวิเคราะหองคประกอบเชิงยืนยันโมเดลการวัดตัวแปรแฝงการวัดตัวแปรแฝง
การพัฒนาตนเอง (SDL) ปรากฏผลดังตาราง 18 และภาพประกอบ 9
ตาราง 18 ผลการวิเคราะหองคประกอบเชิงยืนยันของตัวแปรแฝงการวัดตัวแปรแฝง
การพัฒนาตนเอง (SDL)
ตัวแปร
น้ําหนักองคประกอบ
(SC)
ความคลาดเคลื่อน
มาตรฐาน (SE)
t - values
สัมประสิทธิ์การ
ตัดสินใจ (R2
)
PDE 0.826 0.012 70.089 0.682
SDE 0.911 0.019 49.204 0.829
LDE 0.597 0.024 24.421 0.357
2
χ =0.667, df = 1, p=0.4141, RMSEA = 0.000
2
χ =0.667, df = 1,
2
χ / df = 0.667, p=0.4141,CFI =1.000,TLI = 1.002 ,RMSEA = 0.000
ภาพประกอบ 9 การวิเคราะหองคประกอบเชิงยืนยันโมเดลการพัฒนาตนเอง (SDL)
ผลการวิเคราะหองคประกอบเชิงยืนยันโมเดลการวัดตัวแปรแฝงการวัดตัวแปรแฝง
การมองโลกในแง;ดี (OPT) ปรากฏผลดังตาราง 19 และภาพประกอบ 10
141
ตาราง 19 ผลการวิเคราะหองคประกอบเชิงยืนยันของตัวแปรแฝงการวัดตัวแปรแฝง
การมองโลกในแง;ดี (OPT)
ตัวแปร
น้ําหนักองคประกอบ
(SC)
ความคลาดเคลื่อน
มาตรฐาน (SE)
t - values
สัมประสิทธิ์การ
ตัดสินใจ (R2
)
PEM 0.735 0.013 57.235 0.540
PEV 0.628 0.028 22.038 0.394
PES 0.766 0.027 28.217 0.586
2
χ =0.880,df= 1,p = 0.3481,RMSEA = 0.000
2
χ =0.880,df= 1,
2
χ /df =0.880,p = 0.3481,CFI = 1.000,TLI = 1.001,RMSEA = 0.000
ภาพประกอบ 10 การวิเคราะหองคประกอบเชิงยืนยันโมเดลการมองโลกในแง;ดี (OPT)
142
ผลการวิเคราะหองคประกอบเชิงยืนยันโมเดลการวัดตัวแปรแฝงการวัดตัวแปรแฝง
ความเชื่อมั่นในตนเอง (SCF) ปรากฏผลดังตาราง 20 และภาพประกอบ 11
ตาราง 20 ผลการวิเคราะหองคประกอบเชิงยืนยันของตัวแปรแฝงการวัดตัวแปรแฝง
ความเชื่อมั่นในตนเอง (SCF)
ตัวแปร
น้ําหนักองคประกอบ
(SC)
ความคลาดเคลื่อน
มาตรฐาน (SE)
t - values
สัมประสิทธิ์การ
ตัดสินใจ (R2
)
EMS 0.536 0.027 19.836 0.288
COU 0.441 0.030 14.810 0.195
SRE 0.962 0.014 68.805 0.926
AUT 0.769 0.017 46.543 0.591
ADA 0.652 0.021 30.918 0.426
χ
2
=5.876,df=4, P-value=0.208,RMSEA=0.024
SRE
COU
EST
1.000
0.536**
0.962**
0.712
0.805
0.074
(0.288)
(0.195)
(0.926)
AUT 0.409
(0.591)
ADA 0.574
(0.426)
SCF
0.441**
0.769**
0.652**
χ
2
=5.876, df=4, χ
2
/df=1.469, P-value=0.208,CFI=0.999,TLI=0.997, RMSEA=0.024
ภาพประกอบ 11 การวิเคราะหองคประกอบเชิงยืนยันโมเดลความเชื่อมั่นในตนเอง (SCF)
143
ผลการวิเคราะหองคประกอบเชิงยืนยันโมเดลการวัดตัวแปรแฝงการวัดตัวแปรแฝง
แรงจูงใจใฝWสัมฤทธิ์ (AMO) ปรากฏผลดังตาราง 21 และภาพประกอบ 12
ตาราง 21 ผลการวิเคราะหองคประกอบเชิงยืนยันของตัวแปรแฝงการวัดตัวแปรแฝง
แรงจูงใจใฝWสัมฤทธิ์ (AMO)
ตัวแปร
น้ําหนักองคประกอบ
(SC)
ความคลาดเคลื่อน
มาตรฐาน (SE)
t - values
สัมประสิทธิ์การ
ตัดสินใจ (R2
)
ASP 0.799 0.019 41.460 0.639
ENE 0.840 0.018 47.694 0.705
MRT 0.628 0.026 24.155 0.394
PLA 0.688 0.023 30.153 0.473
UOC 0.449 0.030 14.970 0.201
χ
2
=7.542,df=4, P-value=0.109,RMSEA=0.033
MRT
ENE
ASP
1.000
0.799**
0.628**
0.361
0.295
0.606
(0.639)
(0.705)
( 0.394 )
PLA 0.527
(0.473)
UOC 0.799
(0.201 )
AMO
0.840**
0.688**
0.449**
χ
2
=7.542, df=4, χ
2
/df=1.885 P-value=0.109,CFI=0.998,TLI=0.993, RMSEA=0.033
ภาพประกอบ 12 การวิเคราะหองคประกอบเชิงยืนยันโมเดลแรงจูงใจใฝWสัมฤทธิ์ (AMO)
144
ภาคผนวก จ
หนังสือขอความอนุเคราะห
145
ที่ ศธ 0530.1 (32)/ว 374 ศูนยพัฒนาการศึกษาอุดรธานี
มหาวิทยาลัยมหาสารคาม
อําเภอเมือง จังหวัดอุดรธานี
4100
7 เมษายน 2555
เรื่อง ขดความอนุเคราะหเป]นผู8เชี่ยวชาญตรวจสอบเครื่องมือที่ใช8ในการทําวิทยานิพนธ
เรียน อาจารย ดร.สุนทรพจน ดํารงพานิช
ด8วยนายสุพร มูลศรี นิสิตระดับปริญญาโท สาขาวิชาการวิจัยการศึกษา รุ;น พ.23 ระบบ
พิเศษ ศูนยพัฒนาการศึกษาอุดรธานี มหาวิทยาลัยมหาสารคาม กําลังศึกษาและทําวิทยานิพนธเรื่อง
“ป+จจัยที่ส;งผลต;อการพัฒนาตนเอง ของนักเรียนมัธยมศึกษาปที่ 6 สํานักงานเขตพื้นที่การศึกษา
มัธยมศึกษา เขต 19 ( เลย - หนองบัวลําภู ) ” ซึ่งเป]นส;วนหนึ่งของการศึกษาหลักสูตรการศึกษา
มหาบัณฑิต (กศ.ม.) โดยมี รศ.ดร.ประวิต เอราวรรณ เป]นประธานกรรมการและ ผศ.ดร.ประเสริฐ
เรือนนะการ เป]นกรรมการควบคุมวิทยานิพนธในครั้งนี้
เพื่อให8การทําวิทยานิพนธเป]นไปด8วยความเรียบร8อยและบรรลุตามวัตถุประสงค ศูนยพัฒนา
การศึกษาอุดรธานี มหาวิทยาลัยมหาสารคาม พิจารณาแล8วเห็นว;าท;านเป]นผู8มีความรู8ความสามารถ
และมีประสบการณในเรื่องนี้เป]นอย;างดี จึงใคร;ขอความอนุเคราะหจากท;าน เป]นผู8เชี่ยวชาญตรวจ
เครื่องมือ ที่จะใช8ในการเก็บรวบรวมข8อมูลสําหรับการทําวิทยานิพนธในครั้งนี้ เพื่อที่นิสิตจะได8
ดําเนินการในขั้นตอนต;อไป
จึงเรียนมาเพื่อโปรดพิจารณา ศูนยพัฒนาการศึกษาอุดรธานี มหาวิทยาลัยมหาสารคาม
หวังเป]นอย;างยิ่งว;าคงได8รับความอนุเคราะหจากท;านด8วยดี และขอขอบพระคุณมา ณ โอกาสนี้
ขอแสดงความนับถือ
(ผู8ช;วยศาสตราจารย ดร.ชวลิต ชูกําแพง)
ผู8อํานวยการศูนยพัฒนาการศึกษาอุดรธานี
มหาวิทยาลัยมหาสารคาม
พิเศษศูนยพัฒนาการศึกษาอุดรธานี
โทรศัพท 0-4224-6363
146
ที่ ศธ 0530.1 (32)/ว 374 ศูนยพัฒนาการศึกษาอุดรธานี
มหาวิทยาลัยมหาสารคาม
อําเภอเมือง จังหวัดอุดรธานี
4100
7 เมษายน 2555
เรื่อง ขดความอนุเคราะหเป]นผู8เชี่ยวชาญตรวจสอบเครื่องมือที่ใช8ในการทําวิทยานิพนธ
เรียน คุณครูกัญจกมล มาลี
ด8วยนายสุพร มูลศรี นิสิตระดับปริญญาโท สาขาวิชาการวิจัยการศึกษา รุ;น พ.23 ระบบ
พิเศษ ศูนยพัฒนาการศึกษาอุดรธานี มหาวิทยาลัยมหาสารคาม กําลังศึกษาและทําวิทยานิพนธเรื่อง
“ป+จจัยที่ส;งผลต;อการพัฒนาตนเอง ของนักเรียนมัธยมศึกษาปที่ 6 สํานักงานเขตพื้นที่การศึกษา
มัธยมศึกษา เขต 19 ( เลย - หนองบัวลําภู ) ” ซึ่งเป]นส;วนหนึ่งของการศึกษาหลักสูตรการศึกษา
มหาบัณฑิต (กศ.ม.) โดยมี รศ.ดร.ประวิต เอราวรรณ เป]นประธานกรรมการและ ผศ.ดร.ประเสริฐ
เรือนนะการ เป]นกรรมการควบคุมวิทยานิพนธในครั้งนี้
เพื่อให8การทําวิทยานิพนธเป]นไปด8วยความเรียบร8อยและบรรลุตามวัตถุประสงค ศูนยพัฒนา
การศึกษาอุดรธานี มหาวิทยาลัยมหาสารคาม พิจารณาแล8วเห็นว;าท;านเป]นผู8มีความรู8ความสามารถ
และมีประสบการณในเรื่องนี้เป]นอย;างดี จึงใคร;ขอความอนุเคราะหจากท;าน เป]นผู8เชี่ยวชาญตรวจ
เครื่องมือ ที่จะใช8ในการเก็บรวบรวมข8อมูลสําหรับการทําวิทยานิพนธในครั้งนี้ เพื่อที่นิสิตจะได8
ดําเนินการในขั้นตอนต;อไป
จึงเรียนมาเพื่อโปรดพิจารณา ศูนยพัฒนาการศึกษาอุดรธานี มหาวิทยาลัยมหาสารคาม
หวังเป]นอย;างยิ่งว;าคงได8รับความอนุเคราะหจากท;านด8วยดี และขอขอบพระคุณมา ณ โอกาสนี้
ขอแสดงความนับถือ
(ผู8ช;วยศาสตราจารย ดร.ชวลิต ชูกําแพง)
ผู8อํานวยการศูนยพัฒนาการศึกษาอุดรธานี
มหาวิทยาลัยมหาสารคาม
พิเศษศูนยพัฒนาการศึกษาอุดรธานี
โทรศัพท 0-4224-6363
147
ที่ ศธ 0530.1 (32)/ว 374 ศูนยพัฒนาการศึกษาอุดรธานี
มหาวิทยาลัยมหาสารคาม
อําเภอเมือง จังหวัดอุดรธานี
4100
7 เมษายน 2555
เรื่อง ขดความอนุเคราะหเป]นผู8เชี่ยวชาญตรวจสอบเครื่องมือที่ใช8ในการทําวิทยานิพนธ
เรียน คุณครูศิริชนก จุลนาง
ด8วยนายสุพร มูลศรี นิสิตระดับปริญญาโท สาขาวิชาการวิจัยการศึกษา รุ;น พ.23 ระบบ
พิเศษ ศูนยพัฒนาการศึกษาอุดรธานี มหาวิทยาลัยมหาสารคาม กําลังศึกษาและทําวิทยานิพนธเรื่อง
“ป+จจัยที่ส;งผลต;อการพัฒนาตนเอง ของนักเรียนมัธยมศึกษาปที่ 6 สํานักงานเขตพื้นที่การศึกษา
มัธยมศึกษา เขต 19 ( เลย - หนองบัวลําภู ) ” ซึ่งเป]นส;วนหนึ่งของการศึกษาหลักสูตรการศึกษา
มหาบัณฑิต (กศ.ม.) โดยมี รศ.ดร.ประวิต เอราวรรณ เป]นประธานกรรมการและ ผศ.ดร.ประเสริฐ
เรือนนะการ เป]นกรรมการควบคุมวิทยานิพนธในครั้งนี้
เพื่อให8การทําวิทยานิพนธเป]นไปด8วยความเรียบร8อยและบรรลุตามวัตถุประสงค ศูนยพัฒนา
การศึกษาอุดรธานี มหาวิทยาลัยมหาสารคาม พิจารณาแล8วเห็นว;าท;านเป]นผู8มีความรู8ความสามารถ
และมีประสบการณในเรื่องนี้เป]นอย;างดี จึงใคร;ขอความอนุเคราะหจากท;าน เป]นผู8เชี่ยวชาญตรวจ
เครื่องมือ ที่จะใช8ในการเก็บรวบรวมข8อมูลสําหรับการทําวิทยานิพนธในครั้งนี้ เพื่อที่นิสิตจะได8
ดําเนินการในขั้นตอนต;อไป
จึงเรียนมาเพื่อโปรดพิจารณา ศูนยพัฒนาการศึกษาอุดรธานี มหาวิทยาลัยมหาสารคาม
หวังเป]นอย;างยิ่งว;าคงได8รับความอนุเคราะหจากท;านด8วยดี และขอขอบพระคุณมา ณ โอกาสนี้
ขอแสดงความนับถือ
(ผู8ช;วยศาสตราจารย ดร.ชวลิต ชูกําแพง)
ผู8อํานวยการศูนยพัฒนาการศึกษาอุดรธานี
มหาวิทยาลัยมหาสารคาม
พิเศษศูนยพัฒนาการศึกษาอุดรธานี
โทรศัพท 0-4224-6363
148
ที่ ศธ 0530.1 (32)/ว 374 ศูนยพัฒนาการศึกษาอุดรธานี
มหาวิทยาลัยมหาสารคาม
อําเภอเมือง จังหวัดอุดรธานี
4100
7 เมษายน 2555
เรื่อง ขดความอนุเคราะหเป]นผู8เชี่ยวชาญตรวจสอบเครื่องมือที่ใช8ในการทําวิทยานิพนธ
เรียน ผู8อํานวยการเล็ก ขมิ้นเขียว
ด8วยนายสุพร มูลศรี นิสิตระดับปริญญาโท สาขาวิชาการวิจัยการศึกษา รุ;น พ.23 ระบบ
พิเศษ ศูนยพัฒนาการศึกษาอุดรธานี มหาวิทยาลัยมหาสารคาม กําลังศึกษาและทําวิทยานิพนธเรื่อง
“ป+จจัยที่ส;งผลต;อการพัฒนาตนเอง ของนักเรียนมัธยมศึกษาปที่ 6 สํานักงานเขตพื้นที่การศึกษา
มัธยมศึกษา เขต 19 ( เลย - หนองบัวลําภู ) ” ซึ่งเป]นส;วนหนึ่งของการศึกษาหลักสูตรการศึกษา
มหาบัณฑิต (กศ.ม.) โดยมี รศ.ดร.ประวิต เอราวรรณ เป]นประธานกรรมการและ ผศ.ดร.ประเสริฐ
เรือนนะการ เป]นกรรมการควบคุมวิทยานิพนธในครั้งนี้
เพื่อให8การทําวิทยานิพนธเป]นไปด8วยความเรียบร8อยและบรรลุตามวัตถุประสงค ศูนยพัฒนา
การศึกษาอุดรธานี มหาวิทยาลัยมหาสารคาม พิจารณาแล8วเห็นว;าท;านเป]นผู8มีความรู8ความสามารถ
และมีประสบการณในเรื่องนี้เป]นอย;างดี จึงใคร;ขอความอนุเคราะหจากท;าน เป]นผู8เชี่ยวชาญตรวจ
เครื่องมือ ที่จะใช8ในการเก็บรวบรวมข8อมูลสําหรับการทําวิทยานิพนธในครั้งนี้ เพื่อที่นิสิตจะได8
ดําเนินการในขั้นตอนต;อไป
จึงเรียนมาเพื่อโปรดพิจารณา ศูนยพัฒนาการศึกษาอุดรธานี มหาวิทยาลัยมหาสารคาม
หวังเป]นอย;างยิ่งว;าคงได8รับความอนุเคราะหจากท;านด8วยดี และขอขอบพระคุณมา ณ โอกาสนี้
ขอแสดงความนับถือ
(ผู8ช;วยศาสตราจารย ดร.ชวลิต ชูกําแพง)
ผู8อํานวยการศูนยพัฒนาการศึกษาอุดรธานี
มหาวิทยาลัยมหาสารคาม
พิเศษศูนยพัฒนาการศึกษาอุดรธานี
โทรศัพท 0-4224-6363
149
ที่ ศธ 0530.1 (32)/ว 374 ศูนยพัฒนาการศึกษาอุดรธานี
มหาวิทยาลัยมหาสารคาม
อําเภอเมือง จังหวัดอุดรธานี
4100
7 เมษายน 2555
เรื่อง ขดความอนุเคราะหเป]นผู8เชี่ยวชาญตรวจสอบเครื่องมือที่ใช8ในการทําวิทยานิพนธ
เรียน คุณกิตติศักดิ์ กล8าแข็ง
ด8วยนายสุพร มูลศรี นิสิตระดับปริญญาโท สาขาวิชาการวิจัยการศึกษา รุ;น พ.23 ระบบ
พิเศษ ศูนยพัฒนาการศึกษาอุดรธานี มหาวิทยาลัยมหาสารคาม กําลังศึกษาและทําวิทยานิพนธเรื่อง
“ป+จจัยที่ส;งผลต;อการพัฒนาตนเอง ของนักเรียนมัธยมศึกษาปที่ 6 สํานักงานเขตพื้นที่การศึกษา
มัธยมศึกษา เขต 19 ( เลย - หนองบัวลําภู ) ” ซึ่งเป]นส;วนหนึ่งของการศึกษาหลักสูตรการศึกษา
มหาบัณฑิต (กศ.ม.) โดยมี รศ.ดร.ประวิต เอราวรรณ เป]นประธานกรรมการและ ผศ.ดร.ประเสริฐ
เรือนนะการ เป]นกรรมการควบคุมวิทยานิพนธในครั้งนี้
เพื่อให8การทําวิทยานิพนธเป]นไปด8วยความเรียบร8อยและบรรลุตามวัตถุประสงค ศูนยพัฒนา
การศึกษาอุดรธานี มหาวิทยาลัยมหาสารคาม พิจารณาแล8วเห็นว;าท;านเป]นผู8มีความรู8ความสามารถ
และมีประสบการณในเรื่องนี้เป]นอย;างดี จึงใคร;ขอความอนุเคราะหจากท;าน เป]นผู8เชี่ยวชาญตรวจ
เครื่องมือ ที่จะใช8ในการเก็บรวบรวมข8อมูลสําหรับการทําวิทยานิพนธในครั้งนี้ เพื่อที่นิสิตจะได8
ดําเนินการในขั้นตอนต;อไป
จึงเรียนมาเพื่อโปรดพิจารณา ศูนยพัฒนาการศึกษาอุดรธานี มหาวิทยาลัยมหาสารคาม
หวังเป]นอย;างยิ่งว;าคงได8รับความอนุเคราะหจากท;านด8วยดี และขอขอบพระคุณมา ณ โอกาสนี้
ขอแสดงความนับถือ
(ผู8ช;วยศาสตราจารย ดร.ชวลิต ชูกําแพง)
ผู8อํานวยการศูนยพัฒนาการศึกษาอุดรธานี
มหาวิทยาลัยมหาสารคาม
พิเศษศูนยพัฒนาการศึกษาอุดรธานี
โทรศัพท 0-4224-6363
150
ภาคผนวก ฉ
ผลการตรวจสอบขอมูลการแจกแจงแบบปกติของตัวแปร
โดยใช Normal Probability Plot
151
GOA⌧!" RES
#$
⌧!"
STE
$%
⌧!"
PAT
%
⌧!"
EAT
%
⌧!"
&
&
VEX
'
⌧!"
&
&
152
VEP

⌧!"
&
&
&
PST
$%
⌧!"
&
&
&
&
PDE
(
⌧!"
&
&
&
&
SDE
$(
⌧!"
&
&
&
&
LED
)(
⌧!"
&
&
&
&
PEM
)(
⌧!"
&
&
&
&
153
PEV

⌧!"
&
&
PES
$
⌧!"
&
&
&
&
EST
$%
⌧!"
&
&
&
&
COU
*+
⌧!"
&
&
&
&
SRE
*+
⌧!"
&
&
&
&
AUT
+%
⌧!"
&
&
&
&
154
ADA
+%
⌧!"
&
&
&
&
ASP
(
⌧!"
&
&
&
&
ENE
$
⌧!"
&
&
&
&
MRT
,#%
⌧!"
&
&
&
&
PLA
)
⌧!"
&
&
&
&
UOC
+*
⌧!"
&
&
&
&
ภาพประกอบ 13 ผลการตรวจสอบข8อมูลการแจกแจงแบบปกติโดยใช8 Normal Probability Plot
155
ภาคผนวก ช
ตัวอยGางการตรวจสอบขอมูลสุดโตGง (Extremes or Outliers)
156
GOA
-./
$
&&&0-11.0
RES
-./
#
1
& &1
STE
-./
%,
1
& &
EGT
-./
%
1
&
&.1&.
&&11
&0
&&
-
PAT
-./
%
1
&
ASP
-./
$
1
&
&
.
11
ภาพประกอบ 14 ตัวอย;างการตรวจสอบข8อมูลสุดโต;ง (Extremes or Outliers)
157
ภาคผนวก ซ
ตัวอยGางการเขียนคําสั่งการวิเคราะหขอมูล
158
ตัวอยGางการเขียนคําสั่งการวิเคราะหขอมูล
TITLE: Self_Development_MODEL
DATA:
FILE IS "D:suparAmodel.dat";
VARIABLE:
NAMES ARE goa res ste pat asp ene mrt pla uoc eat vex vpe pst
pde sde lde pem pev pes est cou sre aut ada ;
USEVARIABLES ARE goa res ste pat asp ene mrt pla uoc eat vex vpe pst
pde sde lde pem pev pes est cou sre aut ada ;
ANALYSIS:
TYPE IS GENERAL;
ESTIMATOR IS ML;
ITERATIONS = 1000;
CONVERGENCE = 0.00005;
MODEL:
SCT BY goa res ste pat;
SEF BY eat vex vpe pst;
SDL BY pde sde lde;
OPT BY pem pev pes;
SCF BY est cou sre aut ada;
AMO BY asp ene mrt pla uoc;
SDL ON AMO SEF SCT SCF OPT;
SEF ON AMO;
SCT ON SCF;
PST WITH VPE;
OPT WITH SCT@0.076;
PDE WITH PST@0.069;
LDE WITH PDE@-0.042;
EAT WITH UOC@0.037;
ADA WITH VEX@0.058;
PEM WITH LDE@0.033;
MRT WITH ENE@0.044;
ENE WITH STE@0.053;
LDE WITH PST@-0.029;
ADA WITH COU@-0.043;
ADA WITH SRE@-0.051;
RES WITH GOA@0.030;
PLA WITH ENE@0.043;
159
PES WITH PEV@0.039 ;
UOC WITH PLA@0.037;
EAT WITH PLA@0.040;
PLA WITH GOA@0.029;
COU WITH PAT@-0.019;
EST WITH LDE@-0.030;
EST WITH VPE@-0.027;
VPE WITH VEX@0.068 ;
UOC WITH ENE@-0.028;
SCT WITH SEF@-0.016;
SCF WITH SEF@0.030;
LDE WITH RES@0.016 ;
COU WITH SDE@-0.016;
ADA WITH ASP@0.023;
PEM WITH PLA@-0.020;
PAT WITH STE@-0.026;
SDE WITH UOC@0.016;
SDE WITH MRT@0.017;
COU WITH LDE@-0.019;
AUT WITH LDE@-0.019;
AUT WITH PDE@ 0.020;
PST WITH VEX@0.060;
SDE WITH PST@0.019;
EAT WITH ASP@-0.015;
ASP WITH RES@0.014;
ASP WITH PAT@ 0.018;
UOC WITH GOA@-0.022;
PLA WITH MRT@0.017;
VEX WITH PLA@0.016;
PEV WITH VPE@-0.019;
AUT WITH VEX@0.015;
COU WITH EST@ 0.017;
COU WITH MRT@-0.011;
ENE WITH PAT@-0.019;
SDE WITH PDE@0.017;
LDE WITH ENE@-0.026;
SDE WITH ENE@-0.020;
VPE WITH ENE@-0.021;
VPE WITH RES@0.013;
UOC WITH RES@-0.014;
ADA WITH PES@0.031;
160
ADA WITH PEV@0.039;
ADA WITH PEM@0.022;
PST WITH STE@-0.014;
ADA WITH PDE@0.015;
UOC WITH ASP@-0.012;
PEV WITH ASP@0.012;
LDE WITH PAT@0.019;
ADA WITH PAT@0.016;
ENE WITH RES@0.014;
PEM WITH PAT@0.012;
PEM WITH ENE@-0.015;
COU WITH ASP@-0.009;
SDE WITH STE@-0.013;
EST WITH STE@-0.014 ;
ENE WITH GOA@0.014;
VEX WITH ASP@-0.010;
VEX WITH MRT@-0.011;
EAT WITH PAT@0.012;
UOC WITH STE@-0.013;
SDE WITH VEX@-0.010;
LDE WITH VEX@-0.011 ;
EST WITH SDE@-0.011;
PEV WITH ENE@0.015;
ADA WITH PLA@0.014 ;
ADA WITH UOC@0.014;
PEM WITH UOC@-0.009;
PES WITH LDE@0.008;
SRE WITH ASP@-0.008;
SRE WITH PEV@-0.011;
VPE WITH ASP@-0.010;
PEV WITH SDE@-0.011;
AUT WITH EAT@-0.011;
AUT WITH PEV@-0.012;
AUT WITH PES@-0.013;
AUT WITH PEM@-0.013;
COU WITH PDE@0.009;
EST WITH RES@-0.009;
ADA WITH EST@-0.012 ;
AUT WITH COU@0.011;
SRE WITH PES@-0.008;
AUT WITH PAT@-0.010;
161
ADA WITH LDE@-0.009;
PEM WITH STE@-0.010;
SRE WITH ENE@-0.010;
EAT WITH MRT@0.008 ;
PLA WITH ASP@-0.009;
PES WITH ENE@0.009;
LDE WITH EAT@0.007;
SCT WITH AMO@0.011;
ADA WITH SCF@0.014;
OPT WITH SEF@0.024;
ADA WITH SCT@0.017;
ASP WITH SCT@0.013;
LDE WITH SCF@-0.021;
PDE WITH SCF@0.039;
PDE WITH SCT@-0.017;
PST WITH SCF@0.016;
UOC WITH SEF@0.009;
AUT WITH SCT@-0.008;
MODEL INDIRECT:
SDL ind SEF;
SDL ind AMO;
SDL ind SCT;
SDL ind OPT;
SDL ind SCF;
SEF ind AMO;
SCT ind SCF;
OUTPUT: SAMPSTAT MODINDICES RESIDUAL STANDARDIZED FSCOEFFICIENT;
SAVEDATA:
RESULTS IS D:mplussuparA;
THE MODEL ESTIMATION TERMINATED NORMALLY
MODEL FIT INFORMATION
Number of Free Parameters 84
Loglikelihood
H0 Value -10571.795
H1 Value -10435.209
162
Information Criteria
Akaike (AIC) 21311.591
Bayesian (BIC) 21705.830
Sample-Size Adjusted BIC 21439.081
(n* = (n + 2) / 24)
Chi-Square Test of Model Fit
Value 273.172
Degrees of Freedom 240
P-Value 0.0695
RMSEA (Root Mean Square Error Of Approximation)
Estimate 0.013
90 Percent C.I. 0.000 0.020
Probability RMSEA <= .05 1.000
CFI/TLI
CFI 0.998
TLI 0.998
Chi-Square Test of Model Fit for the Baseline Model
Value 15792.285
Degrees of Freedom 276
P-Value 0.0000
SRMR (Standardized Root Mean Square Residual)
Value 0.054
STANDARDIZED MODEL RESULTS
STDYX Standardization
Two-Tailed
Estimate S.E. Est./S.E. P-Value
SDL BY
PED 0.727 0.016 44.294 0.000
SOD 0.801 0.013 60.249 0.000
LED 0.845 0.012 69.411 0.000
SEF BY
ENA 0.723 0.019 38.942 0.000
VIC 0.771 0.017 45.634 0.000
VER 0.395 0.030 13.093 0.000
PHY 0.393 0.030 13.051 0.000
163
AMO BY
ASP 0.797 0.013 60.431 0.000
EGT 0.570 0.023 24.705 0.000
MRT 0.770 0.015 52.519 0.000
PLA 0.638 0.020 32.005 0.000
UOC 0.771 0.015 51.905 0.000
SCT BY
GOA 0.756 0.014 55.680 0.000
RES 0.830 0.011 73.761 0.000
TEM 0.791 0.015 52.289 0.000
PAT 0.759 0.016 47.301 0.000
OPT BY
PEM 0.816 0.013 62.064 0.000
PEV 0.753 0.016 47.821 0.000
PES 0.861 0.011 78.574 0.000
SCF BY
EMS 0.846 0.010 87.448 0.000
COU 0.942 0.005 191.832 0.000
SRL 0.919 0.007 136.417 0.000
AUT 0.857 0.009 91.880 0.000
ADP 0.914 0.022 41.314 0.000
SDL ON
AMO 0.201 0.009 22.195 0.000
SEF 0.300 0.055 5.487 0.000
SCT 0.146 0.036 4.069 0.000
SCF 0.255 0.025 10.297 0.000
OPT 0.185 0.049 3.803 0.000
SEF ON
AMO 0.852 0.017 51.235 0.000
SCT ON
SCF 0.503 0.027 18.781 0.000
Residual Variances
GOA 0.429 0.021 20.918 0.000
RES 0.311 0.019 16.664 0.000
TEM 0.374 0.024 15.596 0.000
PAT 0.424 0.024 17.427 0.000
ASP 0.364 0.021 17.302 0.000
EGT 0.675 0.026 25.601 0.000
MRT 0.408 0.023 18.067 0.000
PLA 0.593 0.025 23.336 0.000
UOC 0.405 0.023 17.660 0.000
164
ENA 0.477 0.027 17.744 0.000
VIC 0.406 0.026 15.600 0.000
VER 0.844 0.024 35.320 0.000
PHY 0.846 0.024 35.714 0.000
PED 0.437 0.024 18.387 0.000
SOD 0.359 0.021 16.856 0.000
LED 0.321 0.020 15.709 0.000
PEM 0.333 0.021 15.525 0.000
PEV 0.433 0.024 18.261 0.000
PES 0.259 0.019 13.699 0.000
EMS 0.284 0.016 17.328 0.000
COU 0.113 0.009 12.166 0.000
SRL 0.155 0.012 12.511 0.000
AUT 0.265 0.016 16.580 0.000
ADP 0.457 0.030 15.360 0.000
SDL 0.098 0.015 6.395 0.000
SEF 0.275 0.028 9.705 0.000
SCT 0.747 0.027 27.778 0.000
R-SQUARE
Observed Two-Tailed
Variable Estimate S.E. Est./S.E. P-Value
GOA 0.571 0.021 27.840 0.000
RES 0.689 0.019 36.880 0.000
TEM 0.626 0.024 26.145 0.000
PAT 0.576 0.024 23.651 0.000
ASP 0.636 0.021 30.215 0.000
EGT 0.325 0.026 12.353 0.000
MRT 0.592 0.023 26.259 0.000
PLA 0.407 0.025 16.003 0.000
UOC 0.595 0.023 25.952 0.000
ENA 0.523 0.027 19.471 0.000
VIC 0.594 0.026 22.817 0.000
VER 0.156 0.024 6.546 0.000
PHY 0.154 0.024 6.526 0.000
PED 0.563 0.024 23.692 0.000
SOD 0.641 0.021 30.124 0.000
LED 0.679 0.020 33.298 0.000
PEM 0.667 0.021 31.032 0.000
PEV 0.567 0.024 23.911 0.000
PES 0.741 0.019 39.287 0.000
165
EMS 0.716 0.016 43.724 0.000
COU 0.887 0.009 95.916 0.000
SRL 0.845 0.012 68.209 0.000
AUT 0.735 0.016 45.940 0.000
ADP 0.543 0.030 18.220 0.000
Latent Two-Tailed
Variable Estimate S.E. Est./S.E. P-Value
SDL 0.902 0.015 58.777 0.000
SEF 0.725 0.028 25.617 0.000
SCT 0.253 0.027 9.390 0.000
STANDARDIZED TOTAL, TOTAL INDIRECT, SPECIFIC INDIRECT, AND DIRECT EFFECTS
STDYX Standardization
Two-Tailed
Estimate S.E. Est./S.E. P-Value
Effects from SEF to SDL
Total 0.300 0.055 5.487 0.000
Total indirect 0.000 0.000 0.000 1.000
Direct
SDL
SEF 0.300 0.055 5.487 0.000
Effects from AMO to SDL
Total 0.457 0.048 9.538 0.000
Total indirect 0.255 0.048 5.351 0.000
Specific indirect
SDL
SEF
AMO 0.255 0.048 5.351 0.000
Direct
SDL
AMO 0.201 0.009 22.195 0.000
Effects from SCT to SDL
Total 0.146 0.036 4.069 0.000
Total indirect 0.000 0.000 0.000 1.000
Direct
SDL
SCT 0.146 0.036 4.069 0.000
166
Effects from OPT to SDL
Total 0.185 0.049 3.803 0.000
Total indirect 0.000 0.000 0.000 1.000
Direct
SDL
OPT 0.185 0.049 3.803 0.000
Effects from SCF to SDL
Total 0.328 0.032 10.263 0.000
Total indirect 0.073 0.018 4.002 0.000
Specific indirect
SDL
SCT
SCF 0.073 0.018 4.002 0.000
Direct
SDL
SCF 0.255 0.025 10.297 0.000
Effects from AMO to SEF
Total 0.852 0.017 51.235 0.000
Total indirect 0.000 0.000 0.000 1.000
Direct
SEF
AMO 0.852 0.017 51.235 0.000
Effects from SCF to SCT
Total 0.503 0.027 18.781 0.000
Total indirect 0.000 0.000 0.000 1.000
Direct
SCT
SCF 0.503 0.027 18.781 0.000
ประวัติยอของผูวิจัย
ประวัติยอของผูวิจัย
ชื่อ นายสุพร มูลศรี
วันเกิด วันที่ 11 กันยายน พ.ศ. 2527
สถานที่เกิด อําเภอหนองพอก จังหวัดรอยเอ็ด
สถานที่อยูปจจุบัน บานเลขที่ 148 หมู&ที่ 11 ตําบลกกโพธิ์ อําเภอหนองพอก
จังหวัดรอยเอ็ด รหัสไปรษณีย0 45210 โทรศัพท0 08-1055-2821
ตําแหนงหนาที่การงาน ครู อันดับ คศ.1
สถานที่ทํางานปจจุบัน โรงเรียนฝ56งแดงวิทยาสรรค0 อําเภอนากลาง จังหวัดหนองบัวลําภู
รหัสไปรษณีย0 39170
ประวัติการศึกษา
พ.ศ. 2543 มัธยมศึกษาป;ที่ 3 โรงเรียนโพนทองวิทยายน จังหวัดรอยเอ็ด
พ.ศ. 2546 มัธยมศึกษาป;ที่ 6 โรงเรียนโพนทองวิทยายน จังหวัดรอยเอ็ด
พ.ศ. 2550 ปริญญาวิทยาศาสตรบัณฑิต (วท.บ.) สาขาวิทยาการคอมพิวเตอร0
มหาวิทยาลัยราชภัฏมหาสารคาม
พ.ศ. 2551 ประกาศนียบัตรบัณฑิต (ป.บัณฑิต) สาขาวิชาชีพครู
มหาวิทยาลัยราชภัฏมหาสารคาม
พ.ศ. 2555 ปริญญาการศึกษามหาบัณฑิต (กศ.ม.) สาขาวิชาการวิจัยการศึกษา
มหาวิทยาลัยมหาสารคาม

TS

  • 1.
    ปจจัยที่สงผลตอการพัฒนาตนเอง ของนักเรียนมัธยมศึกษาปที่ 6 สํานักงานเขตพื้นที่การศึกษามัธยมศึกษาเขต 19 (เลย - หนองบัวลําภู) วิทยานิพนธ. ของ สุพร มูลศรี เสนอตอมหาวิทยาลัยมหาสารคาม เพื่อเป1นสวนหนึ่งของการศึกษาตามหลักสูตร ปริญญาการศึกษามหาบัณฑิต สาขาวิชาการวิจัยการศึกษา ตุลาคม 2555 ลิขสิทธิ์เป1นของมหาวิทยาลัยมหาสารคาม
  • 2.
    ปจจัยที่สงผลตอการพัฒนาตนเอง ของนักเรียนมัธยมศึกษาปที่ 6 สํานักงานเขตพื้นที่การศึกษามัธยมศึกษาเขต 19 (เลย - หนองบัวลําภู) วิทยานิพนธ. ของ สุพร มูลศรี เสนอตอมหาวิทยาลัยมหาสารคาม เพื่อเป1นสวนหนึ่งของการศึกษาตามหลักสูตร ปริญญาการศึกษามหาบัณฑิต สาขาวิชาการวิจัยการศึกษา ตุลาคม 2555 ลิขสิทธิ์เป1นของมหาวิทยาลัยมหาสารคาม
  • 4.
    วิทยานิพนธ.ฉบับนี้ ได<รับทุนอุดหนุนการวิจัยงบประมาณเงินรายได< ประจําปงบประมาณ2555 คณะศึกษาศาสตร. มหาวิทยาลัยมหาสารคาม และ วิทยานิพนธ.ฉบับนี้ ได<รับทุนอุดหนุนการวิจัยจากสถาบันสงเสริมการสอนวิทยาศาสตร. และเทคโนโลยี (สสวท.)
  • 5.
    ประกาศคุณูปการ วิทยานิพนธฉบับนี้สําเร็จไดดวยความกรุณาจาก รองศาสตราจารย ดร.ประวิตเอราวรรณ ประธานกรรมการควบคุมวิทยานิพนธ และผศ.ดร.ประเสริฐ เรือนนะการ กรรมการควบคุมวิทยานิพนธ รองศาสตราจารย ดร.พิสมัย ศรีอําไพ ประธานกรรมการสอบวิทยานิพนธ และพลอากาศตรี ดร.อนันต ศรีอําไพ ผูทรงคุณวุฒิ ที่กรุณาใหคําปรึกษาแนะนําและตรวจสอบแกไขขอบกพร2องจนวิทยานิพนธฉบับ นี้สมบูรณ ผูวิจัยขอขอบพระคุณเป3นอย2างสูงไว ณ ที่นี้ ขอขอบคุณ คณาจารยภาควิชาวิจัยและพัฒนาการศึกษา คณะศึกษาศาสตร มหาวิทยาลัยมหาสารคาม ทุกท2าน ที่ไดประสิทธิ์ประสาทวิชาความรูและประสบการณอันมีค2ายิ่ง ขอขอบคุณอาจารย ดร.สุนทรพจน ดํารงพานิช คุณครูกัญจกมล มาลี คุณครูศิริชนก จุลนาง ผูอํานวยการเล็ก ขมิ้นเขียว นายกิตติศักดิ์ กลาแข็ง ที่กรุณาเป3นผูเชี่ยวชาญ อุทิศเวลาอันมีค2า ถ2ายทอดพื้นฐานความเขาใจและความสําคัญของศาสตรทางจิตวิทยาไวอย2างละเอียด ลึกซึ้งในการตรวจ แกไขเครื่องมือที่ใชในการวิจัย อีกทั้งใหคําแนะนําที่มีคุณค2าต2อการพัฒนาเครื่องมือ ที่ใชในการวิจัยใหมี คุณภาพ จนสําเร็จลุล2วงดวยดี ขอขอบคุณอาจารย ดร.สุนทรพจน ดํารงพานิช และ ผูช2วยศาสตราจารยดร.ประเสริฐ เรือนนะการ ที่ไดแนะนําการวิเคระหขอมูล สถิติในการวิจัย ขอขอบคุณสถาบันส2งเสริมการสอนวิทยาศาสตรและเทคโนโลยี (สสวท.) ที่มอบโอกาสใหทุน ในการศึกษาต2อในระดับบัณฑิตศึกษา และคณะศึกษาศาสตร มหาวิทยาลัยมหาสารคาม ที่ใหทุน สนับสนุนในการทํางานวิจัยในครั้งนี้ ขอขอบคุณ ผูบริหารสถานศึกษา คณะครูในโรงเรียนที่มีส2วนเกี่ยวของ อํานวยความสะดวก ในการเก็บรวบรวมขอมูล รวมถึงวิทยานิพนธฉบับนี้จะสําเร็จไม2ไดเลยหากขาดนักเรียนผูให ความช2วยเหลือทุกท2านที่ใหขอมูลอันเป3นประโยชนอย2างยิ่ง ขอขอบคุณ ผูบริหารโรงเรียนฝ?@งแดงวิทยาสรรค คณะครูโรงเรียนฝ?@งแดงวิทยาสรรคทุกท2าน และเพื่อนนิสิต สาขาวิชาการวิจัยการศึกษา รุ2น พ. 23 ศูนย จังหวัดอุดรธานี และทุกท2านที่ไม2ไดกล2าว นามไว ณ ที่นี้ ที่ไดใหกําลังใจและมีส2วนช2วยใหวิทยานิพนธฉบับนี้สําเร็จลุล2วงไปดวยดี ขอกราบขอบพระคุณ คุณแม2ประครอง มูลศรี คุณพ2อทองสัน มูลศรี ที่เคารพยิ่ง ของขาพเจา ผูที่ผูวิจัยรูสึกถึงความยินดีเมื่อเวลามีความสุข และคอยเติมเต็มกําลังใจเมื่อมีความทุกข ตลอดจนญาติพี่นองทุกคนที่ใหการสนับสนุนช2วยเหลือและเป3นกําลังใจใหกับผูวิจัยดวยดีตลอดมา คุณค2า และประโยชนของวิทยานิพนธฉบับนี้ ผูวิจัยขอมอบบูชาและรําลึกถึงพระคุณของ บิดา มารดา ตลอดจนครูอาจารยและผูมีพระคุณทุกท2าน สุพร มูลศรี
  • 6.
    ชื่อเรื่อง ปจจัยที่สงผลตอการพัฒนาตนเอง ของนักเรียนมัธยมศึกษาปที่6 สํานักงานเขตพื้นที่การศึกษามัธยมศึกษา เขต 19 (เลย - หนองบัวลําภู) ผูวิจัย นายสุพร มูลศรี กรรมการควบคุม รองศาสตราจารย. ดร.ประวิต เอราวรรณ. ผู4ชวยศาสตราจารย. ดร.ประเสริฐ เรือนนะการ ปริญญา กศ.ม. สาขาวิชา การวิจัยการศึกษา มหาวิทยาลัย มหาวิทยาลัยมหาสารคาม ปที่พิมพ! 2555 บทคัดย#อ การวิจัยในครั้งนี้มีความมุงหมายเพื่อ ศึกษาความสัมพันธ.ระหวาง การมองโลกในแงดี ความเชื่อมั่นในตนเอง แรงจูงใจใฝ>สัมฤทธิ์ การรับรู4ความสามารถของตนเอง การควบคุมตนเอง กับการพัฒนาตนเอง และ ศึกษาอิทธิพลของปจจัยที่สงผลตอการพัฒนาตนเอง ของนักเรียนมัธยมศึกษา ปที่ 6 สํานักงานเขตพื้นที่การศึกษามัธยมศึกษา เขต 19 (เลย-หนองบัวลําภู) กลุมตัวอยางที่ใช4ใน การวิจัย คือนักเรียนชั้นมัธยมศึกษาปที่ 6 โรงเรียนในสังกัดสํานักงานเขตพื้นที่การศึกษามัธยมศึกษา เขต 19 (เลย-หนองบัวลําภู) จํานวน 807 คน โดยการสุมแบบชั้นภูมิและแตละชั้นภูมิสุมอยางงาย (Stratified Random Sampling) เครื่องมือที่ใช4 ประกอบด4วย แบบวัดการพัฒนาตนเอง จํานวน 15 ข4อ คาอํานาจจําแนกตั้งแต .58 ถึง .82 คาความเชื่อมั่นเทากับ .89 2) และแบบวัดปจจัยที่สงผลตอ การพัฒนาตนเอง แบงเปTน 5 ด4าน ประกอบด4วยแรงจูงใจใฝ>สัมฤทธิ์ การรับรู4ความสามารถของตนเอง ความเชื่อมั่นในตนเอง การควบคุมตนเอง การมองโลกในแงดี จํานวน 63 ข4อ คาอํานาจจําแนกตั้งแต .40 ถึง .94 คาความเชื่อมั่นเทากับ 0.78 วิเคราะห.ข4อมูลโดยใช4สถิติบรรยาย คือ การวิเคราะห. สหสัมพันธ. Pearson และ วิเคราะห.ข4อมูลโดยใช4สถิติเชิงอ4างอิงเพื่อทดสอบ สมการโครงสร4างเชิงเส4น (Structural Equation Model) ผลการวิจัยปรากฏดังนี้ 1. ปจจัยที่มีความสัมพันธ.กับการพัฒนาตนเองมากที่สุด คือ การรับรู4ความสามารถของ ตนเอง รองลงมาแรงจูงใจใฝ>สัมฤทธิ์ การมองโลกในแงดี การควบคุมตนเอง ความเชื่อมั่นในตนเอง มีคาสัมประสิทธิ์สหสัมพันธ.เทากับ 0.881, 0.874, 0.847, 0.814 และ 0.732 ตามลําดับ ทุกปจจัย มีความสัมพันธ.ทางบวกกับการพัฒนาตนเอง อยางมีนัยสําคัญทางสถิติ ที่ระดับ .01 2. ปจจัยที่มีอิทธิพลตอการการพัฒนาตนเองมากที่สุด คือ แรงจูงใจใฝ>สัมฤทธิ์ รองลงมา ความเชื่อมั่นในตนเอง การรับรู4ความสามารถของตนเอง การมองโลกในแงดี การควบคุมตนเอง มีขนาดน้ําหนักความสําคัญ .457, .328, .300, .185 และ .146 ตามลําดับ ปจจัยที่มีอิทธิพลทางตรงตอ การพัฒนาตนเอง คือ การรับรู4ความสามารถของตนเอง รองลงมา ความเชื่อมั่นในตนเอง แรงจูงใจใฝ> สัมฤทธิ์ การมองโลกในแงดี ควบคุมตนเอง มีขนาดน้ําหนักความสําคัญ .300, .255, .201, .185, .146 ตามลําดับ และปจจัยมีอิทธิพลทางตรงและอ4อม คือ การรับรู4ความสามารถของตนเอง มีคาเทากับ .300 แรงจูงใจใฝ>สัมฤทธิ์ มีคาเทากับ .201 โดยปจจัยทั้งหมดสามารถรวมกันอธิบายความแปรปรวนของ การพัฒนาตนเอง ของนักเรียนมัธยมศึกษาปที่ 6 สํานักงานเขตพื้นที่การศึกษามัธยมศึกษา เขต 19 (เลย - หนองบัวลําภู) ได4ร4อยละ 90.2
  • 7.
    โดยสรุป การรับรู4ความสามารถของตนเอง แรงจูงใจใฝ>สัมฤทธิ์การมองโลกในแงดี การควบคุมตนเอง ความเชื่อมั่นในตนเอง สงผลตอการพัฒนาตนเองของนักเรียนมัธยมศึกษาปที่ 6 สํานักงานเขตพื้นที่การศึกษามัธยมศึกษา เขต 19 (เลย - หนองบัวลําภู) สามารถนําสารสนเทศ ไปรวม ในการตัดสินใจ หรือวางแผน ในการจัดกิจกรรมการเรียนการสอน เพื่อเปTนการกระตุ4น สงเสริมให4เกิด การพัฒนาตนเองตอไป ได4แก การจัดกิจกรรมชุมนุม กิจกรรมคาย อบรม และการจัดทําโครงการ ดังกลาวควรได4รับการสนับสนุนการพัฒนาตนเองของนักเรียนจากครอบครัว ครูผู4สอน
  • 8.
    TITLE The FactorsInfluencing Self-Development of Matayom 6 Students Under The Secondary Educational Service Area Office 19 (Loei – Nong Bua Lamphu) AUTHOR Mr. Suporn Moonsri ADVISORS Assoc.Prof Dr.Prawit Erawan and Assist.Prof Dr. Prasert Ruannakarn DEGREE M.Ed. MAJOR Educational Research UNIVERSITY Mahasarakham University DATE 2012 ABSTRACT This study aimed to examine relationships among Optimism , Self – Confidence, Achievement Motivation, Self-Efficacy, Self-Control influencing Self- Development and to examine Factors influences to the variables on Self - Development of Matayom 6 Students Under The Secondary Educational Service Area Office 19 (Loei – Nong Bua Lamphu). The sample used in this study consisted of 807 of Matayom 6 Students Under The Secondary Educational Service Area Office 19 (Loei – Nong Bua Lamphu) ; obtained using the Stratified Random Sampling technique. The research instruments used for collecting data were 1) a 15-item scale for Self- Development with discrimination powers ranging from 0.58 to 0.82 and the reliability of 0.89 2) a 63-item scale for questionnaire on factors affecting Self-Development as divided into these 5 aspects : Achievement Motivation, Self-Efficacy, Self-Control, Self - Confidence, Optimism with discrimination powers ranging from 0.40 to 0.94 and the reliability of 0.78 . Data analyzed by using a descriptive statistics as Pearson’s product moment correlation and an inferential statistics for testing the structural equation modeling analysis. The research findings were as follows : 1. That causal factor that having the most positive relationship with Self-Development were Self-Efficacy , Achievement Motivation, Optimism , Self- Control, Self – Confidence on Self-Development with a statistical significance of .01. Their correlation coefficients were 0.881, 0.874, 0.847, 0.814 and 0.732 respectively. 2. The causal factor with the most influence on Self-Development were Self - Confidence, Self-Efficacy, Achievement Motivation, Optimism, Self-Control with the beta weights of .457, .328, .300, .185 and .146 respectively. All revealed with statistical significance of .01 . The factor with the most direct influence on Self- Development were Self-Efficacy, Self - Confidence, Achievement Motivation, Optimism and Self-Control with the beta weights of .300, .255, .201, .185, .146 respectively. The factors with direct and indirect influence ranked by beta weight
  • 9.
    values were Self-Efficacywith the beta weight of .300 and a Achievement Motivation with the beta weight of .201.All causal Factors could together explained the variation of Self-Development 90.2 % of Matayom 6 Students Under The Secondary Educational Service Area Office 19 (Loei – Nong Bua Lamphu). In conclusion, the Self-Efficacy, Achievement Motivation, Optimism, Self-Control and Self - Confidence affected on Self-Development of learners of Matayom 6 Students Under The Secondary Educational Service Area Office 19 (Loei – Nong Bua Lamphu). These information can be used for decision or plan in the learning management to encourage and support self-Development such as club activity organization, camp activity and seminar. The parents and teachers should encourage and support those activities.
  • 10.
    สารบัญ บทที่ หนา 1 บทนํา............................................................................................................................... 1 ภูมิหลัง ........................................................................................................................ 1 ความมุงหมายของการวิจัย .......................................................................................... 4 ความสําคัญของการวิจัย .............................................................................................. 4 สมมติฐานของการวิจัย ................................................................................................ 5 ขอบเขตของการวิจัย ................................................................................................... 5 นิยามศัพท$เฉพาะ ........................................................................................................ 6 2 เอกสารและงานวิจัยที่เกี่ยวข,อง .................................................................................….. 10 เอกสารที่เกี่ยวข,องกับการพัฒนาตนเอง ....................................................................... 10 ป1จจัยที่สงผลตอการพัฒนาตนเอง ................................................................................ 25 การรับรู,ความสามารถตนเอง .................................................................................. 25 แรงจูงใจใฝ6สัมฤทธิ์ ................................................................................................... 30 การควบคุมตนเอง ................................................................................................... 34 ความเชื่อมั่นในตนเอง ............................................................................................. 46 การมองโลกในแงดี.................................................................................................... 53 งานวิจัยที่เกี่ยวข,อง .................................................................................................... 55 งานวิจัยในประเทศ ............................................................................................... 55 งานวิจัยตางประเทศ ............................................................................................ 64 กรอบแนวคิดในการวิจัย ................................................................................................ 65 3 วิธีดําเนินการศึกษาค,นคว,า .............................................................................................. 68 ประชากรและกลุมตัวอยาง ........................................................................................ 68 เครื่องมือที่ใช,ในการวิจัย ............................................................................................ 70 เกณฑ$การตรวจให,คะแนนของแบบวัด ........................................................................ 72 การสร,างและหาคุณภาพเครื่องมือ ............................................................................. 72 การเก็บรวบรวมข,อมูล ............................................................................................... 77 การวิเคราะห$ข,อมูล .................................................................................................... 78 สถิติที่ใช,ในการวิเคราะห$ข,อมูล .................................................................................. 81
  • 11.
    บทที่ หนา 4 ผลการวิเคราะห$ข,อมูล..................................................................................................... 86 สัญลักษณ$ที่ใช,ในการเสนอผลการวิเคราะห$ข,อมูล ...................................................... 86 ลําดับขั้นตอนในการนําเสนอผลการวิเคราะห$ข,อมูล ................................................... 88 ผลการวิเคราะห$ข,อมูล ............................................................................................... 88 ตอนที่ 1 การวิเคราะห$ข,อมูลเบื้องต,น (Preliminary Data Analysis) .................. 88 ตอนที่ 2 การวิเคราะห$คาสัมประสิทธิ์สหสัมพันธ$แบบ Pearson ของตัวแปร ....... 91 ตอนที่ 3 การวิเคราะห$องค$ประกอบเชิงยืนยันของโมเดลการวัด ........................... 93 ตอนที่ 4 การวิเคราะห$รูปแบบความสัมพันธ$โครงสร,างเชิงสาเหตุของป1จจัย ที่สงผลตอการพัฒนาตนเอง ............................................................................. 96 5 สรุปผล อภิปรายผล และข,อเสนอแนะ …..................................................................... 102 ความมุงหมายของการวิจัย ..................................................................................... 102 เครื่องมือที่ใช,ในการวิจัย ......................................................................................... 102 การเก็บรวบรวมข,อมูล .............................................................................................. 103 การวิเคราะห$ข,อมูล ................................................................................................. 104 สรุปผล ................................................................................................................... 104 อภิปรายผล ............................................................................................................ 105 ข,อเสนอแนะ .......................................................................................................... 108 บรรณานุกรม .......................................................................................................................... 110 ภาคผนวก ............................................................................................................................... 118 ภาคผนวก ก รายชื่อผู,เชี่ยวชาญในการประเมินเครื่องมือที่ใช,ในการวิจัย ......................... 119 ภาคผนวก ข คุณภาพเครื่องมือที่ใช,ในการวิจัย ............................................................... 121 ภาคผนวก ค เครื่องมือที่ใช,ในการวิจัย ............................................................................ 127 ภาคผนวก ง ผลการวิเคราะห$องค$ประกอบเชิงยืนยัน ...................................................... 137 ภาคผนวก จ หนังสือขอความอนุเคราะห$ ………………………………………………………………… 144 ภาคผนวก ฉ ผลการตรวจสอบข,อมูลการแจกแจงแบบปกติของตัวแปร โดยใช, Normal Probability Plot ………………………………………………………………………. 150 ภาคผนวก ช ตัวอยางการตรวจสอบข,อมูลสุดโตง (Extremes or Outliers) ……………….. 155 ภาคผนวก ซ ตัวอยางการเขียนคําสั่งการวิเคราะห$ข,อมูล …………………………………………… 157 ประวัติยอของผู,วิจัย ................................................................................................................ 167
  • 12.
    บัญชีตาราง ตาราง หนา 1 สังเคราะห$ตัวแปรที่สงผลตอการพัฒนาตนเอง.................................................................. 66 2 จํานวนประชากรนักเรียนชั้นมัธยมศึกษาป_ที่ 6 ภาคเรียนที่ 1 ป_การศึกษา 2555 โรงเรียนในสังกัดสํานักงานเขตพื้นที่การศึกษามัธยมศึกษา เขต 19 (เลย-หนองบัวลําภู) ..................................................................................................... 68 3 จํานวนนักเรียนทั้งหมดที่เปaนกลุมตัวอยางของแตละโรงเรียน จําแนกตามขนาดโรงเรียน ……………………………………………………………………………….. 69 4 สรุปเครื่องมือที่ใช,ในการวิจัย ............................................................................................ 78 5 สรุปคาสถิติหรือดัชนีที่ใช,ตรวจสอบความกลมกลืนของโมเดลตามสมมติฐานกับข,อมูล เชิงประจักษ$ ……………………………………………………………………………………..………..….. 81 6 ผลการวิเคราะห$คาสถิติพื้นฐานของตัวแปรสังเกตได,ที่ใช,ในการศึกษาป1จจัยที่สงผลตอ การพัฒนา ตนเอง ของนักเรียนมัธยมศึกษาป_ที่ 6 สํานักงานเขตพื้นที่การศึกษา มัธยมศึกษาเขต 19 (เลย - หนองบัวลําภู) ................................................................... 90 7 ผลการวิเคราะห$ความสัมพันธ$ระหวางตัวแปรสังเกตได,ทั้งหมด ที่ใช,ในการวิจัย (n = 807) .…………………………………………………………………………….. 91 8 คาสถิติผลการวิเคราะห$องค$ประกอบเชิงยืนยันของโมเดลการวัดตัวแปรแฝง ………….……. 94 9 ดัชนีที่ใช,ตรวจสอบความตรงของโมเดลการวัดตัวแปรแฝง ………………………………………… 95 10 คาสถิติความสอดคล,องของโมเดลตามสมมติฐานกับข,อมูลเชิงประจักษ$ในภาพรวม ……… 96 11 ผลการวิเคราะห$แสดงคาสัมประสิทธิ์สหสัมพันธ$ระหวางตัวแปร และคาสัมประสิทธิ์ อิทธิพลของป1จจัยที่สงผลตอการพัฒนาตนเอง ของนักเรียนมัธยมศึกษาป_ที่ 6 สํานักงานเขตพื้นที่การศึกษามัธยมศึกษา เขต 19 (เลย - หนองบัวลําภู) ตามสมมติฐาน ………….……………………………………………………………………………………. 97 12 คาสถิติความสอดคล,องของโมเดลตามสมมติฐานกับข,อมูลเชิงประจักษ$ในภาพรวม (หลังปรับโมเดล) …………………………………………………………………………………………….. 98 13 ผลการวิเคราะห$แสดงคาสัมประสิทธิ์สหสัมพันธ$ระหวางตัวแปร และคาสัมประสิทธิ์ อิทธิพลของโมเดลเชิงสาเหตุของป1จจัยที่สงผลตอการพัฒนาตนเอง ของนักเรียนมัธยมศึกษาป_ที่ 6 สํานักงานเขตพื้นที่การศึกษามัธยมศึกษา เขต 19 (เลย - หนองบัวลําภู) ที่ปรับแก,แล,ว .......................................................................... 100 14 ดัชนีความสอดคล,องระหวางข,อคําถามกับนิยามศัพท$เฉพาะ คาอํานาจจําแนก และคาความเชื่อมั่นของแบบวัดการพัฒนาตนเอง ……………………………………………… 122 15 ดัชนีความสอดคล,องระหวางข,อคําถามกับนิยามศัพท$เฉพาะ คาอํานาจจําแนก และคาความเชื่อมั่นของแบบวัดป1จจัยที่สงผลตอการพัฒนาตนเอง ........................... 123 16 ผลการวิเคราะห$องค$ประกอบเชิงยืนยันของตัวแปรแฝงการรับรู,ความสามารตนเอง (SEF) ......................................................................................................................... 138
  • 13.
    ตาราง หนา 17 ผลการวิเคราะห$องค$ประกอบเชิงยืนยันของตัวแปรแฝงการวัดตัวแปรแฝง การควบคุมตนเอง(SCT) ............................................................................................ 139 18 ผลการวิเคราะห$องค$ประกอบเชิงยืนยันของตัวแปรแฝงการวัดตัวแปรแฝง การพัฒนาตนเอง (SDL) ........................................................................................... 140 19 ผลการวิเคราะห$องค$ประกอบเชิงยืนยันของตัวแปรแฝงการวัดตัวแปรแฝง การมองโลกในแงดี (OPT) ........................................................................................ 141 20 ผลการวิเคราะห$องค$ประกอบเชิงยืนยันของตัวแปรแฝงการวัดตัวแปรแฝง ความเชื่อมั่นในตนเอง (SCF) ..................................................................................... 142 21 ผลการวิเคราะห$องค$ประกอบเชิงยืนยันของตัวแปรแฝงการวัดตัวแปรแฝง แรงจูงใจใฝ6สัมฤทธิ์ (AMO) ……………………………………………………………………………… 143
  • 14.
    บัญชีภาพประกอบ ภาพประกอบ หนา 1 ความสัมพันธ$ระหวางบุคคล(P) พฤติกรรม (B) และสิ่งแวดล,อม (E) ซึ่งเปaนป1จจัย กําหนดซึ่งกันและกัน (Reciprocal Determinism) ………………………………………….… 26 2 ความแตกตางระหวางการรับรู,ความสามารถของตนเอง และความคาดหวัง ในผลที่จะเกิดขึ้น ............................................................................................................ 27 3 การความสัมพันธ$ระหวางการรับรู,ความสามารถของตนเองและความคาดหวัง ในผลที่เกิดขึ้น ……..……………………….…………………………………………………………………… 28 4 โมเดลเชิงสมมติฐานป1จจัยที่สงผลตอการพัฒนาตนเอง ของนักเรียนมัธยมศึกษาป_ที่ 6 สํานักงานเขตพื้นที่การศึกษามัธยมศึกษา เขต 19 (เลย - หนองบัวลําภู) ………………… 67 5 โมเดลเชิงสาเหตุของป1จจัยที่สงผลตอการพัฒนาตนเอง ของนักเรียนมัธยมศึกษาป_ที่ 6 สํานักงานเขตพื้นที่การศึกษามัธยมศึกษา เขต 19 (เลย - หนองบัวลําภู) ตามสมมติฐาน ……………………………………………………………………………………………….. 96 6 โมเดลเชิงสาเหตุของป1จจัยที่สงผลตอการพัฒนาตนเอง ของนักเรียนมัธยมศึกษาป_ที่ 6 สํานักงานเขตพื้นที่การศึกษามัธยมศึกษา เขต 19 (เลย - หนองบัวลําภู) ที่ปรับแก,แล,ว .................................................................................................................. 99 7 การวิเคราะห$องค$ประกอบเชิงยืนยันโมเดลการวัดตัวแปรแฝง การรับรู,ความสามารถตนเอง (SEF) ........................................................................ 138 8 การวิเคราะห$องค$ประกอบเชิงยืนยันโมเดลการควบคุมตนเอง (SCT) ............................. 139 9 การวิเคราะห$องค$ประกอบเชิงยืนยันโมเดลการพัฒนาตนเอง (SDE) ............................... 140 10 การวิเคราะห$องค$ประกอบเชิงยืนยันโมเดลการมองโลกในแงดี (OPT) ……………………….. 141 11 การวิเคราะห$องค$ประกอบเชิงยืนยันโมเดลความเชื่อมั่นในตนเอง (SCF) ....................... 142 12 การวิเคราะห$องค$ประกอบเชิงยืนยันโมเดลความเชื่อมั่นในตนเอง (AMO) ..................... 143 13 ผลการตรวจสอบข,อมูลการแจกแจงแบบปกติโดยใช, Normal Probability Plot ......... 154 14 ตัวอยางการตรวจสอบข,อมูลสุดโตง (Extremes or Outliers) ………………………………… 156
  • 15.
    บทที่ 1 บทนํา ภูมิหลัง การศึกษาเปนกระบวนการอยางหนึ่งที่ชวยพัฒนาบุคคลใหเจริญกาวหนา มีความรูและ ความสามารถในการเขาใจป)ญหาตางๆในชีวิตไดอยางถูกตอง และสามารถนําความรูความเขาใจ เหลานั้นในการแกไขป)ญหาที่เกิดขึ้นไดอยางมีระบบและอยางมีประสิทธิภาพ การศึกษามีสวน สําคัญอยางยิ่งในการสงเสริมความกาวหนาของบุคคล และการจัดการศึกษาตองยึดหลักวาผูเรียนทุกคน มีความสามารถเรียนรูและพัฒนาตนเองได (พระราชบัญญัติการศึกษาแหงชาติ. 2542 : 7) การพัฒนาตนเอง จัดเปนคุณลักษณะหนึ่งใน แผนพัฒนาเศรษฐกิจและสังคมแหงชาติ ฉบับที่ 10 (พ.ศ. 2550 – 2554) ในดานแนวคิดที่ยึด “คนเปนศูนยBกลางของการพัฒนา” สาระสําคัญ คือ การเปนสังคมแหงภูมิป)ญญาและการเรียนรู การคิดเปนทําเปน การมีเหตุมีผลสามารถเรียนรูและ พัฒนาตนเองไดอยางตอเนื่องตลอดชีวิตซึ่งถาบุคคลมีพฤติกรรมสนใจใฝHรูอุตสาหะ มีความ ขยันหมั่นเพียร กระตือรือรนในการแสวงหาความรู และมีความสนใจที่จะพัฒนาตนเองอยางตอเนื่องแลว ก็จะพัฒนาไปสูสังคมแหงภูมิป)ญญาและการเรียนรูดังนั้นการสรางกระบวนการที่มีประสิทธิภาพใน การพัฒนาใหบุคคลมีความขยันหมั่นเพียรจึงมีความสําคัญยิ่ง (สํานักงานคณะกรรมการพัฒนาการ เศรษฐกิจ และสังคมแหงชาติ, 2550: 47) มนุษยBมีคุณภาพนั้นเนื่องมาจากมีความคิด ความรูสึกความรู ตระหนักและการแสวงหาสิ่งที่ดีงาม คนหาเปKาหมายของชีวิตใหไดรับสิ่งที่มีความหมายตอตน ซึ่งสิ่งเหลานี้เปนความสามารถในการเรียนรูที่มีอยูในตัวของมนุษยBทําใหสามารถดํารงชีวิตอยูรอดได (Existence) และมนุษยBทุกคนมีความตองการแสวงหาสิ่งแปลกใหมที่จะสนองความตองการใหแกตนเอง ทั้งสิ้น ลักษณะที่มีคุณภาพของมนุษยBลักษณะนี้จัดเปนความตองการของมนุษยBเรียงเปนลําดับขั้น เรียงลําดับเปนขั้นตอนตามความสําคัญ กลาวคือ ในขณะที่ความตองการที่รุนแรงกวาไดรับการ ตอบสนองใหเกิดความพึงพอใจแลว ความตองการอื่นๆก็จะเกิดตามขึ้นมาแทนที่ขณะที่มนุษยBเกิด ความตองการ มนุษยBจะกระทําการหลายรูปแบบ เพื่อหาทางสนองความตองการของตนเอง การพัฒนาตนเองหรือการปรับปรุงเปลี่ยนแปลงตนเองก็เปนอีกรูปแบบหนึ่งเพื่อใหไดมาซึ่ง ความตองการดังกลาว ซึ่งหลักการของทฤษฎีนี้สามารถใชเปนแนวทางในการสรางแรงจูงใจในการพัฒนา ตนเองของนักเรียน (ปราณี รามสูต. 2548 : 213-218) เมื่อนํามาทําความเขาใจในการพัฒนาตนเอง ของนักเรียนวา ขณะที่เรียนไดรับความสําเร็จ ตองการการยอมรับวาเปนสวนหนึ่งของเพื่อน ตองการ ประสบผลสําเร็จเรื่องการเรียน การทํางาน ซึ่งเมื่อนักเรียนมีพื้นฐานความตองการเหลานี้อยูแลว จึงอาจไมยากนักที่จะเสริมสรางแรงจูงใจใหนักเรียนพัฒนาตนเองเติมเต็มความตองการดังกลาว (สํานักงานคณะกรรมการการอุดมศึกษา. 2546 : 156) การพัฒนาของตัวเอง และการที่จะประสบ ผลสําเร็จไดก็ตองใชกระบวนการที่เกี่ยวของกับการพัฒนาดวยตัวเองเทานั้น ซึ่งกระบวนการพัฒนา ตนเองของ Boydell ก็สามารถอธิบายไดอยางสอดคลองและชัดเจน โดยกระบวนการพัฒนาตนเองมี ลําดับขั้น 4 ขั้นตอน ดังนี้ 1) ตระหนักป)ญหา โดยนึกถึงความจําเปนและมีความตองการที่จะปรับปรุง ตนเอง 2) วินิจฉัยตนเอง วามีขอดีขอเสียหรือจุดเดนจุดดอยอยางไร รูวาตนเองมีสภาพเปนอยางไร
  • 16.
    2 3) วางแผนการพัฒนาตนและตั้งเปKาหมาย โดยการวางแผนการดําเนินการพัฒนาตนเองได4) ปฏิบัติ ตามแผนและประเมินผลตนเอง ปฏิบัติตามแผนการที่ไดวางเอาไวดวยการสงเสริมความรู ความสามารถ คุณลักษณะตาง ๆ ในการพัฒนาตน โดยการกระทําหลายรูปแบบตาง ๆ กัน โดยตองทําครบทั้ง 4 ขั้นตอน จึงทําใหการพัฒนาตนเองสามารถประสบความสําเร็จตามเปKาหมายที่วางไว และในบางกรณี อาจจะเริ่มตน กระบวนการพัฒนาตนเองดวยขั้นตอน 3 ก็สามารถทําใหเกิดการพัฒนาตนเองไดเชนกัน (สุภมาส จินะราช. 2549 : 13-15 ; อางอิงมาจาก Boydell. 1985 : 21, 25) หลักการพัฒนาตนเอง เพื่อเพิ่มความสมบูรณBในชีวิตของบุคคล โดยมุงพัฒนาการรักษาดุลย ภาพของชีวิต 3 ดาน ประกอบดวย ดานรางกาย (Physical Component) ดานจิตใจ ความคิด (Psychological Component) และดานจิตวิญญาณ (Spiritual Component) (เรียม ศรีทอง. 2542 : 145-155) คนที่จะพัฒนาตนเองจะเริ่มดวยการสํารวจและพิจารณาตนเองวามีขอดีและ ขอบกพรองอะไรบาง เปนกระบวนการพัฒนาตนที่เปนระบบ แตการพัฒนาตนจะสัมฤทธิ์ผล ผูนั้นจะตองตระหนักถึงความจําเปนและมีความตองการที่จะปรับปรุงตนเองอยางจริงจัง กระบวนการ ดังกลาวจึงจะถูกนํามาใชเพื่อการพัฒนาตน (ปราณี รามสูต และจํารัส ดวงสุวรรณ. 2545 : 123) แรงจูงใจใฝHสัมฤทธิ์ (เมธาวดี สังขะมาน. 2548 : 30 ; อางอิงมาจาก McCelland. 1961 : 260 - 265) เนนความสําคัญในเรื่องแรงจูงใจใฝHสัมฤทธิ์มากกวาแรงจูงใจทางดานอื่น ๆ เพราะเห็นวา แรงจูงใจใฝHสัมฤทธิ์นั้นสําคัญมากที่สุดสําหรับความสําเร็จทางการศึกษาของนักเรียน กลาวคือ นักเรียนที่ มีแรงจูงใจใฝHสัมฤทธิ์สูงจะตั้งใจเรียน และประสบความสําเร็จในการเรียน ในทางตรงกันขามกับนักเรียน ที่มีแรงจูงใจใฝHสัมฤทธิ์ต่ําจะขาดความสนใจ ไมมีความตั้งใจเรียน และจะประสบความลมเหลวใน การเรียนในที่สุด ซึ่งสอดคลองกับทฤษฎีแรงจูงใจของ Murray (วันทนา กิติทรัพยBกาญจนา. 2546 : 15 ; อางอิงมาจาก Murray. 1982 : 244-246) ไดรวบรวมความตองการทางจิตของมนุษยBไว 20 ชนิด และในจํานวนนี้มีความตองการเอาชนะ และความตองการที่จะประสบความสําเร็จ (Need for Achievement) รวมอยูดวย เขาไดกลาวถึงความตองการทางจิตที่มีอยูในมนุษยBทุกคนไววาเนื่องมาจาก มนุษยBตองการเปนผูที่มีความสามารถ มีพลังจิต (Will Power) ที่จะเอาชนะอุปสรรค ดังนั้นมนุษยB จึงมีความมุงมั่นที่จะกระทําในสิ่งที่ยากใหประสบความสําเร็จโดยอาศัยแรงจูงใจของตนเปนแรงผลักดัน ใหบุคคลแสดงพฤติกรรมเพื่อไปสูความสําเร็จ ( Atkinson. 1964 : 240-268) สอดคลองกับแนวคิด ของ Goleman (1998 : 97-101) ไดกําหนดใหการมองโลกในแงดีเปนสวนหนึ่งที่สําคัญในการจูงใจ ตนเอง โดยคนที่มองโลกในแงดีจะ ไมยอทอตออุปสรรคที่ขวางกั้น จึงสามารถจูงใจตนเอง เชนเดียวกับ Seligman (อรพินทรB ชูชม. 2544 : 43 ; อางอิงมาจาก Seligman. 1998) เห็นวา คนที่มอง โลกในแงดี มีความยืดหยุน (Resilience) ทําใหบุคคลที่มองโลกในแงดีประสบความสําเร็จในชีวิต การทํางาน การเรียนและการแขงขัน ตลอดจนมีสุขภาพกายและจิตที่ดี และยังสงผลไปถึงบุคลิกภาพ ซึ่งเปนลักษณะเฉพาะของแตละบุคคล เนื่องจากบุคลิกภาพเปนผลรวมของพฤติกรรมทั้งหมดที่เปน ลักษณะเฉพาะของบุคคล (อัญชลี สุดเสนหB. 2548 : 2 ; อางอิงมาจาก Gordon. 1961) และ ผูที่มีความเชื่อมั่นในตนเองสูง เปนบุคคลมีความเพียรพยายามในการพัฒนาตนเอง และกลาหาญ ในการที่จะกระทําสิ่งใดใหประสบความสําเร็จตามจุดมุงหมายที่ตั้งไว โดยไมหวาดหวั่นตออุปสรรค กลาที่จะเผชิญสถานการณBใด ๆ โดยไมกลัว (ขัตติยา น้ํายาทอง. 2551 : 47 ; อางอิงจาก Blair. 1968) การพัฒนาตนเองเปนสิ่งสําคัญและมีความจําเปนสําหรับทุกคนอยางหลีกเลี่ยงไมได Maslow (ปราณี รามสูต. 2548 : 213-218) ศึกษาความตองการของมนุษยBของ Maslow สภาวะของ
  • 17.
    3 มนุษยBที่จะสามารถพัฒนาตนเองใหถึงระดับสูงสุด คือ เปนมนุษยBที่สมบูรณBและเห็นวาการพัฒนาเต็มที่ และสมบูรณBแบบของมนุษยB จะเกิดจากตัวมนุษยBมากกวาป)จจัยภายนอกและ Bandura การรับรู ความสามารถของตนเองเปนพื้นฐานของแรงจูงใจ กลาวคือบุคคลที่รับรูความสามารถของตนเองและ ตั้งเปKาหมายไวสูงจะมีแรงจูงใจในการกระทําและจะปฏิบัติงานไดดีกวาคนที่สงสัยในความสามารถของ ตนเอง และคนที่ประเมินตนเองไดตรงกับความสามารถก็จะมีแนวโนมที่จะประสบความสําเร็จในการทํา กิจกรรมสูงยอมเปนบุคคลที่สามารถเลือกตัดสินใจในการดํารงตนใหเปนที่ยอมรับของสังคมไดเปนอยาง ดี (วิลาสลักษณB ชัววัลลี. 2547 : 89-95 ; อางอิงมาจาก Bandura. 1977 : 191-193) การพัฒนาตนเองตนเอง บุคคลสามารถควบคุมตนเองได เปนคนมีเหตุผล รูจักคิดไตรตรองถึงสิ่งที่ควร กระทํา หรือควรหลีกเลี่ยงสิ่งที่ควรหลีกเลี่ยง มีสติยั้งคิด รูจักกําหนดเปKาหมายและการวางแผน ดําเนินงาน การควบคุมตนเอง เปนกระบวนการที่บุคคลใชวิธีการใดหรือหลาย วิธีรวมกัน เพื่อเปลี่ยนแปลงพฤติกรรมของตนเองจากพฤติกรรมที่ไมพึงประสงคBโดยบุคคลนั้นเปนผูกําหนด พฤติกรรมเปKาหมาย และกระบวนการที่จะนําไปสูเปKาหมายดวยตนเอง (Cormier. 1979 : 476) การควบคุมตนเอง เปนการปรับพฤติกรรมที่มีพื้นฐานมาจากทฤษฎีการเรียนรู ซึ่งตามทฤษฎีการเรียนรู นั้นเชื่อวา พฤติกรรมเปนผลจากการมีปฏิสัมพันธBกับสิ่งแวดลอม ทั้งนี้เพราะสิ่งแวดลอมเปนตัวการ ควบคุมพฤติกรรม เมื่อสิ่งแวดลอมเปลี่ยนไปพฤติกรรมก็เปลี่ยนไปดวย การควบคุมตนเองจึงเปนการ ประยุกตBหลักพฤติกรรมเพื่อปรับปฏิสัมพันธBระหวางพฤติกรรมและสิ่งแวดลอมของบุคคลโดยบุคคล นั้นเอง ซึ่งเปนการเปwดโอกาสใหบุคคลไดควบคุมพฤติกรรมของตนเอง เปนการลดความสําคัญของ อิทธิพลภายนอกลง และทําใหบุคคลมีอิสระที่จะกําหนดพฤติกรรมของตนเองไดมากขึ้น (จันทรา เชาวB วิทยาม. 2545 : 13 ; อางอิงมาจาก Watson and Tarp. 1972 : 73) การแขงขันทางการ เรียนที่มีมากในป)จจุบัน เด็กที่มีป)ญหาการเรียนมักจะเกิดป)ญหาพฤติกรรมอื่นตามมา เชน เกเร กาวราว ดื้อ ซน เครียด วิตกกังวล หงุดหงิด ซึ่งเกิดจากความรูสึกที่ไมดีตอตนเองที่ตามมาจากการขาด ความสําเร็จในการเรียน การถูกตําหนิจากพอแม ความรูสึกตนเองลมเหลว และขาดความภาคภูมิใจ ในตนเอง ทําใหเปนป)ญหาอารมณBและกลายเปนป)ญหาบุคลิกภาพ (พนม เกตุมาน. 2550 : เว็บไซตB) ในระดับมัธยมศึกษาอัตราการเขาเรียนคอนขางสูง แตอัตราจบการศึกษาต่ําลงเพราะสภาพ ป)ญหาของชีวิตและสังคมที่อัตคัด ขาดแคลนและป)ญหาอื่นๆ ทําใหมีเยาวชนที่เรียนไมจบมัธยมศึกษา อยูมาก (วิทยากร เชียงกูล. 2555 : เว็บไซตB) ในการแสวงหาขอสรุปเกี่ยวกับความสัมพันธBเชิงสาเหตุที่นาเชื่อถือที่สุดและดีที่สุดคือ การวิจัย เชิงทดลอง เพราะเปนกระบวนการคนหาความจริงที่มีการจัดกระทําตัวแปรตน มีการควบคุมตัวแปร แทรกซอนเพื่อใหผลที่เกิดขึ้นมาจากการกระทําของตัวแปรตนเทานั้น ขจัดตัวแปรที่ไมตองการศึกษา ออกไป รวมทั้งขจัดความคลาดเคลื่อนของผลการทดลอง และการออกแบบการวิจัยจะเนนความตรง ภายในและความตรงภายนอกเปนหลัก เพื่อนําไปสูผลการวิจัยที่ตรงตามความเปนจริง (ศิริชัย กาญจนวาสี. 2541 : 45-47) แตในการวิจัยทางการศึกษาพฤติกรรมศาสตรBและสังคมศาสตรB การวิจัยเชิงทดลองคอนขางจะมีขอจํากัดในเรื่องการจัดใหเปนการทดลองอยางแทจริงและหลักการสุม ตัวอยางสมบูรณB ตอมาไดพัฒนารูปแบบการหาความสัมพันธBเชิงสาเหตุที่เหมาะสมสําหรับการวิจัยทาง การศึกษา พฤติกรรมศาสตรB และสังคมศาสตรB โดยเนนการศึกษาคนควาทฤษฎีแลวสรางเปนโมเดลที่ แสดงโครงสรางความสัมพันธBระหวางตัวแปร ผูวิจัยสามารถตรวจสอบความสัมพันธBเชิงสาเหตุของโมเดล ที่สรางขึ้นไดโดยการเก็บรวบรวมขอมูลแลวนํามาตรวจสอบระบบโครงสรางความสัมพันธBของตัวแปรนั้น
  • 18.
    4 (ศิริชัย กาญจนวาสี. 2541: 45-47) การตรวจสอบวาโมเดลการวิจัยที่ผูวิจัยสรางขึ้นตามทฤษฎีที่ ศึกษาสอดคลองกับขอมูลเชิงประจักษBหรือไม วิธีวิทยาการวิเคราะหBขอมูลที่ดีและเหมาะสมที่สุดใน ขณะนี้คือ การวิเคราะหBโครงสรางความสัมพันธBเชิงเสน (Structural Equation Modeling: SEM) (นงลักษณB วิรัชชัย. 2545 : 19) โมเดลที่มีลักษณะเดนที่ทําใหผลการวิจัยมีความถูกตองและมีความ นาเชื่อถือ สามารถใชศึกษาความสัมพันธBเชิงสาเหตุไดทั้งการวิจัยที่เปนการวิจัยเชิงทดลองและการวิจัยที่ ไมใชการวิจัยเชิงทดลอง เทคนิคการวิเคราะหBขอมูลดวยโปรแกรมสําเร็จรูป ครอบคลุมเทคนิคการ วิเคราะหBขอมูลทางสถิติขั้นสูงเกือบทุกประเภท อีกทั้งยังใชเปนเครื่องมือในการตรวจสอบทฤษฎีที่ผูวิจัย ตองการศึกษาทั้งในดานการตรวจสอบความตรงเชิงโครงสรางและการตรวจสอบความตรงของโมเดลได อีกดวย การพัฒนาและสงเสริมใหนักเรียนเกิดการพัฒนาตนเองนั้น จําเปนตองทราบป)จจัยใดบางที่ สงผลตอการพัฒนาตนเองของนักเรียน ซึ่งการวิเคราะหBความสัมพันธBเชิงสาเหตุอธิบายไดวามีป)จจัยที่ สงผลทางตรงและทางออมตอการพัฒนาตนเองและสงผลมากนอยระดับใด ดวยการวิเคราะหBโครงสราง ความสัมพันธBเชิงเสน (Structural Equation Modeling: SEM) ผูวิจัยจึงสนใจที่จะศึกษาถึงป)จจัยที่ สงผลตอการพัฒนาตนเองของนักเรียน มัธยมศึกษาปzที่ 6 เนื่องจากนักเรียนในระดับชั้นนี้จะตองไป ศึกษาตอในระดับมหาวิทยาลัยและตองใชผลสัมฤทธิ์ทางการเรียนในการสอบเขาศึกษาตอ จากผลการวิจัยที่พบจะทําใหผูที่เกี่ยวของทราบป)จจัยที่สงผลทางตรงและทางออมนําไปพัฒนาตนเอง และสงเสริมใหนักเรียนมีการพัฒนาตนเองเพิ่มขึ้น อันจะสงผลถึงผลสัมฤทธิ์ทางการเรียนและนิสัยใน การทํางานตอไป ความมุงหมายของการวิจัย 1. เพื่อศึกษาความสัมพันธBระหวางการมองโลกในแงดี ความเชื่อมั่นในตนเอง แรงจูงใจใฝHสัมฤทธิ์ การรับรูความสามารถของตนเอง การควบคุมตนเองกับการพัฒนาตนเอง ของ นักเรียนมัธยมศึกษาปzที่ 6 สํานักงานเขตพื้นที่การศึกษามัธยมศึกษา เขต 19 (เลย - หนองบัวลําภู) 2. เพื่อศึกษาอิทธิพลของป)จจัยที่สงผลตอการพัฒนาตนเอง ของนักเรียนมัธยมศึกษาปzที่ 6 สํานักงานเขตพื้นที่การศึกษามัธยมศึกษา เขต 19 (เลย - หนองบัวลําภู ) ความสําคัญของการวิจัย การวิจัยครั้งนี้ทําใหทราบป)จจัยที่มีอิทธิพลตอการพัฒนาตนเอง ของนักเรียนมัธยมศึกษา ปzที่ 6 สํานักงานเขตพื้นที่การศึกษามัธยมศึกษา เขต 19 (เลย - หนองบัวลําภู) โดยขอมูลที่ไดสามารถ นําไปเปนขอสนเทศใหครู ผูปกครองและหนวยงานที่เกี่ยวของ ใชเปนขอมูลพื้นฐานในการพัฒนา โปรแกรมหรือเทคนิคการสอน เพื่อพัฒนาผูเรียนใหสามารถพัฒนาตนเอง ซึ่งจะสงผลให ประสบความสําเร็จทั้งในดานการเรียน การประกอบอาชีพ และการดําเนินชีวิตตอไป
  • 19.
    5 สมมติฐานของการวิจัย 1. ป)จจัยที่มีอิทธิพลตอการพัฒนาตนเอง ประกอบดวยการควบคุมตนเอง การรับรู ความสามารถของตนเอง การมองโลกในแงดี ความเชื่อมั่นในตนเอง แรงจูงใจใฝHสัมฤทธิ์ 2. โมเดลความสัมพันธBเชิงสาเหตุของป)จจัยที่สงผลตอการพัฒนาตนเอง ของนักเรียน มัธยมศึกษาปzที่ 6 สํานักงานเขตพื้นที่การศึกษามัธยมศึกษา เขต 19 (เลย - หนองบัวลําภู) มีความสอดคลองกับขอมูลเชิงประจักษB ขอบเขตของการวิจัย การวิจัยครั้งนี้ไดกําหนดขอบเขตไว ดังนี้ 1. ประชากร ประชากรที่ใชในการวิจัย คือ นักเรียนมัธยมศึกษาปzที่ 6 ภาคเรียนที่ 1 ปzการศึกษา 2555 โรงเรียนในสังกัดสํานักงานเขตพื้นที่การศึกษามัธยมศึกษา เขต 19 (เลย-หนองบัวลําภู) มีโรงเรียนจํานวน 52 โรงเรียน และมีนักเรียนจํานวนทั้งสิ้น 5,870 คน (ศูนยBปฏิบัติการ GPA สํานักทดสอบทางการศึกษา. 2555 : เว็บไซตB) 2. กลุมตัวอยาง กลุมตัวอยางที่ใชในการวิจัย คือ นักเรียนมัธยมศึกษาปzที่ 6 ภาคเรียนที่ 1 ปz การศึกษา 2555 โรงเรียนในสังกัดสํานักงานเขตพื้นที่การศึกษามัธยมศึกษา เขต 19 (เลย- หนองบัวลําภู) จํานวน 807 คน จาก 52 โรงเรียน ซึ่งไดมาโดยการการสุมแบบชั้นภูมิและแตละ ชั้นภูมิสุมอยางงาย (Stratified Random Sampling) 3. ตัวแปรที่ใชในการศึกษา การวิจัยครั้งนี้ผูวิจัยมีตัวแปรที่สงผลตอการพัฒนาตนเอง ของนักเรียนมัธยมศึกษา ปzที่ 6 ชนิดที่เปนตัวแปรแฝง จํานวน 6 ตัว ที่ไดจากตัวแปรสังเกตไดจํานวน 24 ตัวดังนี้ 3.1 ตัวแปรแฝงภายใน ประกอบดวย 3.1.1 การพัฒนาตนเอง (Self-Development : SDL) ประกอบดวย ตัวแปรสังเกตได 3 ตัว คือ 3.1.1.1 ตนเอง (Personal Development : PDE) 3.1.1.2 สังคม (Social Development : SDE) 3.1.1.3 การเรียน (Learning Development : LDE) 3.1.2 การรับรูความสามารถของตนเอง (Self-Efficacy : SEF) ประกอบดวย ตัวแปรสังเกตได 4 ตัว คือ 3.1.2.1 ประสบการณBจากความสําเร็จ (Enactive Attainment : EAT) 3.1.2.2 การไดเห็นตัวแบบประสบความสําเร็จ (Vicarious Experience : VEX) 3.1.2.3 การพูดชักจูงจากผูอื่น (Verbal Persuasion : VPE) 3.1.2.4 สภาวะทางกาย (Physiological State : PST)
  • 20.
    6 3.1.3 การควบคุมตนเอง (Self-Control: SCT) ประกอบดวย ตัวแปรสังเกตได 4 ตัว คือ 3.1.3.1 การตั้งเปKาหมาย (Goal : GOA) 3.1.3.2 การยับยั้งตนเอง (Restraint : RES) 3.1.3.3 การควบคุมอารมณB (Control - Temper : CTE) 3.1.3.4 ความอดทน (Patience : PAT) 3.2 ตัวแปรแฝงภายนอก ประกอบดวย 3.2.1 การมองโลกในแงดี (Optimism : OPT) ประกอบดวย ตัวแปรสังเกตได 3 ตัว คือ 3.1.2.1 ความคงทนถาวร (Permanence : PEM) 3.1.2.2 ความครอบคลุม (Pervasiveness : PEV) 3.1.2.3 ความเปนตนเอง (Personalization : PES) 3.2.2 ความเชื่อมั่นในตนเอง (Self - Confidence : SCF) ประกอบดวย ตัวแปรสังเกตได 5 ตัว คือ 3.2.2.1 ความมั่นคงทางจิตใจ (Emotional Stability : EST) 3.2.2.2 ความกลา (Courage : COU) 3.2.2.3 การพึ่งตนเอง (Self - Reliance : SRE) 3.2.2.4 ความเปนตัวของตัวเอง (Autonomy : AUT) 3.2.2.5 ความสามารถในการปรับตัว (Adaptability : ADA) 3.2.3 แรงจูงใจใฝHสัมฤทธิ์ (Achievement Motivation : AMO) ประกอบดวย ตัวแปรสังเกตได 5 ตัว คือ 3.2.3.1 ความทะเยอทะยาน (Aspiration : ASP) 3.2.3.2 ความกระตือรือรน (Energetic : EGE) 3.2.3.3 ความกลาเสี่ยง (Moderate Risk Taking : MRT) 3.2.3.4 การรูจักวางแผน (Planning : PLA) 3.2.3.5 ความมีเอกลักษณB (Unique of Characteristic : UOC) นิยามศัพท#เฉพาะ 1. การพัฒนาตนเอง (Self-Development : SDL) หมายถึง คุณลักษณะของนักเรียนที่ แสดงถึงการปรับปรุง เปลี่ยนแปลง แกไข พฤติกรรมของตนเองไปสูสิ่งที่ดีขึ้น รูจักการคิดพิจารณาสิ่ง ตางๆ ดวยตนเอง ความมีวินัย ความกระตือรือรนใฝHรู ใฝHสรางสรรคB เพื่อใหชีวิตของตนเองมีความ เจริญกาวหนา และประสบความสําเร็จ วัดไดจากตัวแปรสังเกตได 3 ดาน คือ 1.1 ตนเอง (Personal Development : PDE) หมายถึง การสํารวจปรับปรุง อุปนิสัยของตนเองใหดีขึ้น โดยการกําหนดเปKาหมายในชีวิต สรางความเชื่อมั่นในตนเอง ยอมรับในความ แตกตางระหวางบุคคล สรางความมั่นคงทางจิตใจ เพื่อใหสามารถแกไขป)ญหาตางๆ ที่ผานเขามาในชีวิต ไดอยางราบรื่น และมีการจัดระเบียบตนเองเพื่อใหบรรลุตามเปKาประสงคBที่ตั้งไว
  • 21.
    7 1.2 สังคม (SocialDevelopment : SDE) หมายถึง คุณลักษณะของนักเรียนสามารถ ปฏิบัติตัวเขากับกลุมตางๆ ได โดยกลาแสดงออก การวางตัวที่เหมาะสม รูวาสิ่งใดที่ดีควรปฏิบัติและ สิ่งใดไมดีไมควรปฏิบัติ มีความรับผิดชอบ เปนที่ยอมรับของกลุมไมวาจะเปนผูใหญกวา หรือเพื่อนๆ โดยสามารถทํางานรวมกับกลุมไดอยางราบรื่นและทําคุณประโยชนBใหกับสังคม 1.3 การเรียน (Learning Development : LDE) หมายถึง การเพิ่มพูนความรู ความสามารถทางดานการเรียนโดยแสดงความกระตือรือรนตั้งใจ การมีวินัยในการเรียน ความ ขยันหมั่นเพียร การมีจิตสํานึกที่จะฝ„กฝนสนใจใฝHรูและศึกษาหาความรูตางๆ เพื่อเพิ่มพูนใหกับตนเอง และมีการทดลองใชวิธีการใหมๆ ที่เปนประโยชนBตอการเรียน เพื่อใหการเรียนประสบความสําเร็จ 2. การรับรูความสามารถของตนเอง (Self-Efficacy : SEF) หมายถึง คุณลักษณะ ของนักเรียนที่จะรับรูวาตนเองมีความสามารถที่จะกระทําเรื่องตางๆ ไดบรรลุเปKาหมายมากนอย เพียงไร และจะทําอยางไรตอไปใหบรรลุเปKาหมายนั้นๆ วัดไดจากตัวแปรสังเกตได 4 ดาน คือ 2.1 ประสบการณBจากความสําเร็จ (Enactive Attainment : EAT) หมายถึง การรับรูความสําเร็จหรือจากการกระทําเปนประสบการณBที่ไดรับโดยตรงและเปนขอมูลที่มี ความเที่ยงตรงสูง ไดรับความสําเร็จจากการทํางานซ้ํากันหลายๆ ครั้ง 2.2 การไดเห็นตัวแบบประสบความสําเร็จ (Vicarious Experience : VEX) หมายถึง การรับรูความสามารถผูอื่นประสบความสําเร็จเปนแบบอยางในการรับรูความสามารถของตนเองเพิ่มขึ้น 2.3 การพูดชักจูงจากผูอื่น (Verbal Persuasion :VPE) หมายถึง การที่ผูอื่นใชคําพูด ชักจูงใหเชื่อวาเขามีความสามารถที่จะกระทําพฤติกรรมอยางใดอยางหนึ่งไดสําเร็จ และมีกําลังใจ มีความเชื่อมั่นในการกระทําพฤติกรรมตางๆ มากขึ้น 2.4 สภาวะทางกาย (Physiological State : PST) หมายถึง รางกายเกิดการตื่นตัว เชน เครียด วิตกกังวล ตื่นเตน ออนเพลีย เมื่อยลา หรืออยูในสภาพการณBที่ถูกดุวากลาวตักเตือน หรือในสภาวะที่รางกาย ถูกกระตุนมากๆ มักจะทําใหนักเรียนกระทําพฤติกรรมตางๆ ได 3. การควบคุมตนเอง (Self-Control : SCT) หมายถึง คุณลักษณะของนักเรียนที่จะบังคับ ตนเองใหละเวนการกระทําบางอยาง โดยการกําหนดความคิด อารมณB ความรูสึก การเปลี่ยนแปลง การตอบสนองทางอารมณB การกระทําพฤติกรรมดวยเหตุผล และความอดทน การจัดสภาพแวดลอม ใหหลีกเลี่ยงการกระทําพฤติกรรม สามารถเผชิญสิ่งยั่วยุ ป)ญหาอุปสรรค และสถานการณBกดดัน แมอยูในภาวะที่เกิดป)ญหาความขัดแยงในจิตใจ เพื่อใหเกิดพฤติกรรมเปKาหมายที่ดีตามที่มุงหวังไว วัดไดจากตัวแปรสังเกตได 4 ดาน คือ 3.1 ตั้งเปKาหมาย (Goal : GOA) หมายถึง ลักษณะของนักเรียนที่มองไปสูอนาคต ที่นักเรียนสามารถคาดการณBกวางไกล การวางแผนเพื่อบรรลุงานที่ตองการใหไดในอนาคต 3.2 ยับยั้งตนเอง (Restraint : RES) หมายถึง การระงับหรือหยุดพฤติกรรม ที่ไมเปนที่ยอมรับ หรือขัดแยงกับสิ่งที่นักเรียนตองการ 3.3 ควบคุมอารมณB (Self-Temper : STE) หมายถึง ความสามารถในการเก็บความรูสึก ของนักเรียนภายในกับสิ่งรบกวนจากสภาวะแวดลอมภายนอก ที่เปนป)ญหา อุปสรรคหรือ อยูในสภาวะที่เกิดความขัดแยงในจิตใจ
  • 22.
    8 3.4 ความอดทน (Patience: PAT) หมายถึง นักเรียนทีมีความสามารถทางรางกาย ความคิด จิตใจที่จะทนตอการปฏิบัติกิจกรรมตาง ๆ ใหสําเร็จ โดยไมคํานึงถึงอุปสรรคใด ๆ และ บังคับตนเองเมื่อเกิดความเหนื่อยออนและเกียจคราน 4. การมองโลกในแงดี (Optimism : OPT) หมายถึง คุณลักษณะของนักเรียนในการคิด มีความเชื่อในเหตุผลทางบวกตอเหตุการณBที่ไมพึงปรารถนาที่ผานเขามาในชีวิต เลือกโตตอบตาม สถานการณBตางๆ ที่เกิดขึ้น โดยปรับเปลี่ยนความคิด ความเชื่อดังกลาวไปในทางที่ควบคุมตนเอง และ พึงพอใจในสิ่งที่เกิดขึ้นนั้น ซึ่งมุงวัดการมองโลกในแงดีจากองคBประกอบตามแนวคิดของ SELIGMAN วัดไดจาก ตัวแปรสังเกตได 3 ดานคือ 4.1 ความคงทนถาวร (Permanence : PEM) หมายถึง รูปแบบการอธิบายตนเอง โดยมองวาเหตุการณBที่ดีมาจากสาเหตุที่คงทนถาวรสามารถเกิดขึ้นไดเสมอ สวนเหตุการณBทางลบ เปนสิ่งที่เกิดขึ้นเฉพาะเหตุการณBนี้เทานั้น ไมไดเกิดกับตนเปนประจํา 4.2 ความครอบคลุม (Pervasiveness : PEV) หมายถึง รูปแบบการอธิบายตนเองวา สาเหตุที่ทําใหเหตุการณBที่ดีเกิดขึ้นได ก็สามารถที่จะเกิดกับเหตุการณBอื่นๆ หรือกรณีอื่นๆ ไดอีก สวนสาเหตุที่ทําใหเกิดเหตุการณBทางลบที่เกิดขึ้นเกิดเฉพาะกรณีนี้เทานั้น 4.3 ความเปนตนเอง (Personalization : PES) หมายถึง รูปแบบการอธิบายตนเองวา เหตุการณBที่ดีที่เกิดขึ้นเกิดมาจากตนเอง สวนเกิดเหตุการณBทางลบเกิดจากสาเหตุภายนอก หรือ บุคคลอื่น 5. ความเชื่อมั่นในตนเอง (Self - Confidence : SCF) หมายถึง ลักษณะของนักเรียน ในการที่จะทําสิ่งตางๆ ใหสําเร็จ มีความมั่นใจ เพียรพยายาม กลาหาญ มีความเปนตัวของตัวเอง มีความคิดริเริ่มสรางสรรคB กลาแสดงออก และยอมรับในความสามารถของตน ไมทอถอยเมื่อ ทําอะไรไมสําเร็จ ซึ่งมุงวัดความเชื่อมั่นในตนเอง วัดไดจากตัวแปรสังเกตได 5 ดาน คือ 5.1 ความมั่นคงทางจิตใจ (Emotional Stability : EST) หมายถึง คุณลักษณะ ของนักเรียนที่มีจิตใจหนักแนนไมลังเล มีการควบคุมอารมณBใหอยูในสภาวะปกติ ไมวิตกกังวลเกินไป และไมหวั่นไหวตอคําติชม 5.2 ความกลา (Courage : COU) หมายถึง คุณลักษณะของนักเรียนที่กลาพูด กลาแสดงออก กลากระทํา กลาซักถามขอสงสัย กลาเผชิญความจริง กลารับผิดในสิ่งที่ตนทํา กลาเปนผูนํา ชอบตอสูแขงขัน ไมประหมาหรือไมเคอะเขิน 5.3 การพึ่งตนเอง (Self - Reliance : SRE) หมายถึง คุณลักษณะของนักเรียนที่สามารถ ชวยเหลือตนเอง โดยใชความรูความสามารถที่มีอยู แกไขอุปสรรคหรือการกระทําใด ๆ ไดสําเร็จ ดวยความมั่นใจในตนเอง และไมทําตัวใหเปนป)ญหา เปนภาระแกผูอื่น หรือหมูคณะ 5.4 ความเปนตัวของตัวเอง (Autonomy : AUT) หมายถึง คุณลักษณะของนักเรียน ที่มีความพอใจและภูมิใจในตนเอง สามารถตัดสินใจไดดวยตัวเอง ไมคลอยตามผูอื่นโดยไมมีเหตุผล มีความคิดสรางสรรคB 5.5 ความสามารถในการปรับตัว (Adaptability : ADA) หมายถึง คุณลักษณะของ นักเรียนที่มีความสามารถในการรวมกิจกรรมกับผูอื่น ชอบชวยเหลือและใหความรวมมือกับหมูคณะ ยอมรับสิ่งใหม ๆ มองโลกในแงดี และมีความรับผิดชอบ
  • 23.
    9 6. แรงจูงใจใฝHสัมฤทธิ์ (AchievementMotivation : AMO) คือ ความปรารถนาของ นักเรียนที่จะกระทําสิ่งตางๆ ทั้งในหนาที่การงาน และเรื่องราวสวนตัวใหประสบความสําเร็จไปได ดวยดี ตามเปKาหมายที่วางไวซึ่งวัดไดจากตัวแปรสังเกตได 5 ดาน คือ 6.1 ความทะเยอทะยาน (Aspiration : ASP) หมายถึง การตั้งระดับความคาดหวัง ไวสูง ตองการใหงานของตนสําเร็จในระดับสูง ตองการชัยชนะเมื่อมีการแขงขัน ตองการดีเดนเหนือ คนอื่น ตองการความกาวหนาในการทํางาน เลือกกิจกรรมที่เกี่ยวของกับการแขงขันหรือ ฝ„กความชํานาญ 6.2 ความกระตือรือรน (Energetic : ENE) หมายถึง ความขยันขันแข็ง มีความเอาใจใสเต็มใจและตั้งใจจริงในการทํางาน มีความอดทนสูง ทํางานที่ไดรับมอบหมายทันที ไมผัดวันประกันพรุง มานะพยายามที่จะทํางานใหสําเร็จอยางมีประสิทธิภาพ สนุกสนาน ในการทํางาน เห็นคุณคาของเวลา อาสาทํางานที่ตนถนัด ไมยอทอตองานที่ยุงยาก 6.3 ความกลาเสี่ยง (Moderate Risk Taking : MRT) หมายถึง ความกลาตัดสินใจ ในการกระทําสิ่งตาง ๆ มุงความสําเร็จมากกวาหลีกเลี่ยงความลมเหลว กลาไดกลาเสีย เลือกทํา สิ่งที่เปนไปได เลือกงานที่ยากและทาทายความสามารถ 6.4 การรูจักวางแผน (Planning : PLA) หมายถึง การมีแบบแผนในการทํางาน มีจุดประสงคBในการทํางานที่เดนชัด มองเห็นลูทางในการทํางานอยางเปนขั้นตอน เล็งเห็นการณBไกล มีความมุงหวังที่ยาวนานเกี่ยวกับความสําเร็จในชีวิต มีความรอบคอบ และรวบรวมรายละเอียด กอนตัดสินใจ ทํางานอยางรัดกุม ประณีต และเปนระเบียบ 6.5 ความมีเอกลักษณB (Unique of Characteristic : UOC) หมายถึง การริเริ่ม ทําสิ่งตางๆ ดวยความคิดของตนเองสูง มีอิสระในการแสดงออก สนใจเหตุการณBหรือสิ่งใหม ๆ การใชความคิดหรือวิธีการใหม ๆ ในการแกป)ญหา การกระทําที่ไมซ้ําแบบใคร
  • 24.
    บทที่ 2 เอกสารและงานวิจัยที่เกี่ยวของ เอกสารและงานวิจัยที่เกี่ยวของกับการศึกษาครั้งนี้ ผูวิจัยไดทําการศึกษาเนื้อหาต%างๆ ตามหัวขอดังต%อไปนี้ 1. เอกสารที่เกี่ยวของกับการพัฒนาตนเอง 1.1 ความหมายของการพัฒนาตนเอง 1.2 แนวคิดและทฤษฎีที่เกี่ยวของกับการพัฒนาตนเอง 1.3 หลักการพัฒนาตนเอง 1.4 ความสําคัญของการพัฒนาตนเอง 1.5 องค4ประกอบการพัฒนาตนเอง 1.6 การวัดการพัฒนาตนเอง 2. ป6จจัยที่ส%งผลต%อการพัฒนาตนเอง 2.1 การรับรูความสามารถของตนเอง 2.2 แรงจูงใจใฝ:สัมฤทธิ์ 2.3 การควบคุมตนเอง 2.4 ความเชื่อมั่นในตนเอง 2.5 การมองโลกในแง%ดี 3. งานวิจัยที่เกี่ยวของ 3.1 งานวิจัยภายในประเทศ 3.2 งานวิจัยต%างประเทศ เอกสารที่เกี่ยวของกับการพัฒนาตนเอง 1. การพัฒนาตนเอง 1.1 ความหมายของการพัฒนาตนเอง ณรงค4 รอดพันธ4 (2542 : 38) ใหความหมาย การพัฒนาตนเอง หมายถึง การจุด ประการความคิด ในตัวเอง ดวยการปลูกจิตสํา นึก ใหบุคคลเห็นคุณค%าในตัวตน เกิดความตระหนักและ สรางความพยายามที"จะปรับปรุงเปลี่ยนแปลงตนเองไปในทางที่ดี ปราณี รามสูต และจํารัส ดวงสุวรรณ (2545 : 3) ใหความหมาย การพัฒนาตนเอง ในความหมายเชิงจิตวิทยา หมายถึง การกระทําเพื่อการเจริญส%วนตน เปHนการเปลี่ยนแปลงในทางที่ ดีขึ้น ดานความมุ%งมั่นปรารถนาและค%านิยมอันเปHนพฤติกรรมภายใน ซึ่งส%งผลต%อพฤติกรรมภายนอก ดานการกระทําที่ดีเพื่อนําพาชีวิตสู%ความเจริญกาวหนา วีรฉัตร สุป6ญโญ (2548 : 65) ใหความหมาย การพัฒนาตนเอง หมายถึง การแสวงหาความเจริญเติบโต ความกาวหนาใหแก%ตนเอง เพื่อบรรลุเปKาหมายในการดํารงชีวิต อย%างมีความสุขและสรางสรรค4ประโยชน4แก%สังคม ทั้งที่เกิดจากกระบวนการทางการศึกษา อบรม
  • 25.
    11 หรือที่เกิดจากแรงจูงใจภายในของตนเอง นฤมล สุ%นสวัสดิ์ (2549: 1) ใหความหมาย การพัฒนาตนเอง หมายถึง การเพิ่มขีด ความสามารถ ขยายความเฉลียวฉลาด สติป6ญญาเพื่อใหมีความกาวหนาในชีวิตส%วนตัว และการงาน ใหชีวิตมีความหมายและความพึงพอใจ อาจพัฒนาโดยตนเองนําตนเอง หรือมีคนอื่นมาทําใหพัฒนาดวย การใหการกระตุนจูงใจใหการสนับสนุน แต%ในทายที่สุดก็คือเพิ่มความสามารถใหแก%ตน วินิรนี ทัศนะเทพ (2549 : 89) ใหความหมาย การพัฒนาตนเอง หมายถึง การทําให เจริญขึ้นหรือดีขึ้น ซึ่งในการพัฒนาตนเองนั้นหากดําเนินการอย%างเปHนระบบและมีหลักการ ก็จะสามารถ ช%วยใหผูปฏิบัติมีโอกาสประสบความสําเร็จไดไม%ยากนัก Megginson และ Pedler (อรอุษา จันทคร. 2551 : 11 ; อางอิงมาจาก Megginson and Pedler. 1992 : 3) ใหความหมาย การพัฒนาตนเอง หมายถึง การที่ผูเรียนมี ความตองการเปลี่ยนแปลงภาพของตนเองไปสู%สิ่งใหม% ๆ ผูเรียนเปHนผูตองรับผิดชอบในการเลือกสิ่งที่ ตนเองตองการเรียน ผูเรียนเปHนผูกําหนดว%าตองการเรียนเมื่อไหร% และมีวิธีการเรียนรูอย%างไรหรือ อาจกล%าวไดว%าผูเรียนมีความอิสระในการเรียนรูและเลือกสิ่งที่ตองการเรียนรู Miller (สุรินทร4 บู%สาลี. 2545 : 9 ; อางอิงมาจาก Miller. 1979 : 55) ใหความหมายการพัฒนาตนเองเปHนการเรียนรูของตนเอง เพื่อสะสมความรูและประสบการณ4ใหมากขึ้น ถือไดว%าบุคคลเมื่อเติบโตขึ้นเรื่อยๆและในที่สุดก็กลายเปHนเรื่องของการพัฒนาของแต%ละคน บุคคลมักจะ เรียนรูโดยผ%านการกระทําและการใชทักษะความสามารถต%างๆ ซึ่งเปHนผลทําใหเกิดประสบการณ4 และ กลายเปHนบทเรียนสําหรับการปฏิบัติครั้งต%อไปในอนาคตยิ่งกว%านั้นบุคคลมักจะเรียนรูเพราะคิดว%า การเรียนรูทําใหอนาคตของเขาดีกว%าอดีตที่ผ%านมา ในบางครั้ง บุคคลจะเรียนรูก็ต%อเมื่อกระบวนการ เรียนรูไดดีหรือไม%ขึ้นอยู%กับความพึงพอใจและความตองการที่จะเรียนรู สรุปไดว%า การพัฒนาตนเอง หมายถึง คุณลักษณะของบุคคลที่แสดงถึงการเปลี่ยนแปลง ปรับปรุง แกไข พฤติกรรมของตนเองไปสู%สิ่งที่ดีขึ้น รูจักคิดพิจารณาสิ่งต%างๆ ดวยตนเอง มีวินัย มีความกระตือรือรนใฝ:รู ใฝ:สรางสรรค4 เพื่อใหชีวิตของตนเองมีความเจริญกาวหนา และประสบ ความสําเร็จ 1.2 แนวคิดและทฤษฎีที่เกี่ยวของกับการพัฒนาตนเอง จากการศึกษาเอกสารและงานวิจัยต%างๆ พบว%า การพัฒนาตนเองเปHนเรื่องที่ นักวิชาการและนักบริหารที่มีชื่อเสียงในองค4การต%างๆ ใหความสนใจหลายท%านในการศึกษางานวิจัยครั้ง นี้ ผูวิจัยไดคัดเลือกแนวคิดและทฤษฎีเกี่ยวกับการพัฒนาตนเองที่น%าสนใจ มากล%าวถึงไว ดังนี้ 1.2.1 ทฤษฎีลําดับขั้นความตองการของ Maslow (Maslow’s Hierachy of Needs) ลําดับขั้น ในยุคแรกๆ ที่ Maslowทําการศึกษา เขาแบ%งความตองการของมนุษย4ไวเปHน 5 ลําดับ ลําดับที่ 1- 4 เปHนความตองการระดับตน ส%วนลําดับที่ 5 เปHนความตองการระดับสูง ในยุค ต%อมา Maslowไดทําการศึกษาเพิ่มเติมและแบ%งความตองการลําดับที่ 5 ใหละเอียดออกไปอีก 3 ระดับ รวมใหม%ทั้งหมดเปHน 7 ลําดับขั้นของความตองการของมนุษย4 (ปราณี รามสูตร. 2548 : 213-218) ซึ่งมีลําดับขั้นดังนี้
  • 26.
    12 ลําดับขั้นที่ 1 ความตองการทางดานร%างกาย(Physical needs) เปHนความ ตองการเบื้องตนเพื่อความอยู%รอดของชีวิต ไดแก% อาหาร อากาศ น้ํา ที่อยู%อาศัย ความตองการทาง เพศ ความตองการทางดานร%างกายเปHนความตองการที่มีพลังผลักดันสูงต%อพฤติกรรมของมนุษย4 เปHนความตองการที่จําเปHนเพื่อความอยู%รอดของชีวิต ลําดับขั้นที่ 2 ความตองการความปลอดภัย (Safety needs) เปHนความ ตองการดานความมั่นคงปลอดภัยในตนเอง รวมถึงความรูสึกกาวหนาและความอบอุ%นทางดานจิตใจ ลําดับขั้นที่ 3 ความตองการความรัก ความเปHนเจาของ (Love and belongingness) เปHนความตองการที่จะไดเขาร%วมเปHนส%วนหนึ่งและไดรับการยอมรับในสังคม ความเปHนมิตรและความรักจากเพื่อนหรือผูแวดลอม ลําดับขั้นที่ 4 ความตองการที่จะไดรับการยกย%องนับถือหรือมีชื่อเสียง (Esteem needs) เปHนความตองการระดับสูง ไดแก% ความตองการเด%นในสังคม ความสําเร็จ ความรู ความสามารถ ความเปHนอิสระและเสรีภาพ และการเปHนที่ยอมรับนับถือ ลําดับขั้นที่ 5 ความตองการตระหนักรู เขาใจสรรพสิ่ง (Need to know and Understand) คือการอยากรู อยากเขาใจ อยากมีความสามารถ อยากมีทักษะและประสบการณ4 ลําดับขั้นที่ 6 ความตองการทางสุนทรียะ ความดีงาม (Aesthetic needs) ไดแก% ความตองการบรรลุดานความดี ความงาม คุณธรรม และความละเอียดอ%อนทางจิตใจ ลําดับขั้นที่ 7 ความตองการที่จะไดรับความสําเร็จในชีวิต (Self- actualization needs) เปHนความตองการระดับสูงสุดของมนุษย4 ซึ่งจะแตกต%างกันไปตามความคิดของ ตนและถือเปHนความฝ6นสูงสุดของแต%ละคน ทฤษฎีความตองการตามลําดับขั้นของ Maslow ชี้ใหเห็นว%า บุคคลถูกกระตุน จากความปรารถนาที่จะสนองความตองการเฉพาะอย%าง เช%น 1. บุคคลย%อมมีความตองการอยู%เสมอและไม%สิ้นสุด ขณะที่ความตองการใด ตอบสนองแลว ความตองการอื่นก็เกิดขึ้นอีกไม%มีวันจบสิ้น 2. ความตองการที่ไดรับการตอบสนองแลวจะไม%เปHนสิ่งจูงใจของพฤติกรรมต%อไป ความตองการที่ไม%ไดรับการตอบสนองจึงเปHนสิ่งจูงในพฤติกรรมของคนนั้น 3. ความตองการของบุคคลจะเรียงลําดับขั้นตอนความสําคัญ เมื่อความตองการ ระดับต่ําไดรับการสนองแลวบุคคลก็จะพอใจและใหความสนใจและปฏิบัติเพื่อสนองความตองการ ระดับสูงต%อไป จากทฤษฎีของ Maslow จะเห็นไดว%ามนุษย4พยายามที่จะตอบสนองความตองการ ของตนอย%างต%อเนื่องเรียงลําดับเปHนขั้นตอนตามความสําคัญ กล%าวคือ ในขณะที่ความตองการที่รุนแรง กว%าไดรับการตอบสนองใหเกิดความพึงพอใจแลว ความตองการอื่นๆก็จะเกิดตามขึ้นมาแทนที่ ขณะที่มนุษย4เกิดความตองการ มนุษย4จะกระทําการหลายรูปแบบ เพื่อหาทางสนองความตองการ ของตนเอง การพัฒนาตนเองหรือการปรับปรุงเปลี่ยนแปลงตนเองก็เปHนอีกรูปแบบหนึ่งเพื่อใหไดมา ซึ่งความตองการดังกล%าว ซึ่งหลักการของทฤษฎีนี้สามารถใชเปHนแนวทางในการสรางแรงจูงใจใน การพัฒนาตนเองของนักเรียน
  • 27.
    13 1.2.2 ทฤษฎีความตองการของ Murray(Murray’sManifest Needs) อธิบาย ความตองการของมนุษย4ไวในทฤษฎีของเขาว%าในขณะหนึ่งๆ บุคคลอาจมีความตองการดานใดดานหนึ่ง หรือหลายดานสูง และความตองการดานอื่นต่ําก็ได ตามทฤษฎีของ Murray ความตองการที่จําเปHน และสําคัญของคนมีอยู% 4 ประการ คือ ความตองการความสําเร็จ (Needs for achievement) ความตองการมิตรสัมพันธ4 (Needs for affiliation) ความตองการมีอํานาจ (Needs for power) และ ความตองการอิสระ (Needs for autonomy) (สํานักงานคณะกรรมการการอุดมศึกษา. 2546 : 156) ซึ่งอาจนํามาใชในการอธิบาย ความตองการของบุคคลในการทํางานไดว%า ในการทํางานใดๆ บุคคลส%วนใหญ%มักตองการความสําเร็จในการทํางาน ตองการมีอํานาจหรือตําแหน%งงาน และตองการ เปHนอิสระ เปHนตัวของตัวเองในการตัดสินใจใน เรื่องงาน จากทฤษฎีความตองการของ Murray เมื่อนํามาทําความเขาใจในการพัฒนา ตนเองของนักเรียนว%า ขณะที่เรียนไดรับความสําเร็จ ตองการการยอมรับว%าเปHนส%วนหนึ่งของเพื่อน ตองการประสบผลสําเร็จเรื่องการเรียน การทํางาน ซึ่งเมื่อนักเรียนมีพื้นฐานความตองการเหล%านี้อยู%แลว จึงอาจไม%ยากนักที่จะเสริมสรางแรงจูงใจใหนักเรียนพัฒนาตนเองเติมเต็มความตองการดังกล%าว 1.2.3 ทฤษฎี X ทฤษฎี Y ของ McGrego ทฤษฎี X ทฤษฎี Y เปHนผลงานของ Douglas McGregor เขาแยกอธิบายเปHน 2 เรื่อง หรือ 2 ทฤษฎี คือ ทฤษฎี X กับ ทฤษฎี Y (อรอุษา จันทคร. 2551 : 14-15 ; อางอิงมาจาก สมควร ทรัพย4บํารุง. 2534 : 28-29) สรุปแนวคิดที่สําคัญไดดังนี้ 1.2.3.1. ทฤษฎี X McGrego ไดตั้งสมมติฐานเกี่ยวกับลักษณะในเชิงลบของคน ตามทฤษฎี X ว%าคนมีลักษณะที่ไม%ดี ดังนี้ 1) คนโดยทั่วๆ ไป ไม%ชอบการทํางาน ถามีโอกาสหลีกเลี่ยงบิดพลิ้วไดจะทํา หนาที่ เพื่อจะไดไม%ตองเหน็ดเหนื่อยในการทํางานนั้นๆ 2) คนไม%ชอบการทํางาน ถาใหทํางานตองมีการบังคับควบคุม ดูแลอย%างใกลชิด มีรางวัลเมื่อทําดี และทําโทษถาไม%ทํางาน 3) โดยทั่วๆ ไปคนจะหลีกเลี่ยงความรับผิดชอบ ไม%กระตือรือรนที่จะทํางาน แต%อยากมีความมั่นคง สรุปโดยทั่วไปแลว ทฤษฎี X เปHน ทฤษฎีที่มองคนบางส%วนในแง%รายและคิดว%า คนมีความตองการดานร%างกายแต%อย%างเดียว ไม%มีความตองการสูงขึ้นไป ดังนั้น ผูที่เชื่อในทฤษฎีนี้จึงมัก ดูแลการทํางานของผูอื่น ดวยการบังคับควบคุมลงโทษมากกว%าที่จะจูงใจใหคนมองเปKาหมายอัน สูงส%งทางสังคม หรือความสําเร็จสูงสุดในชีวิต 1.2.3.2. ทฤษฎี Y เปHนแนวความคิดที่ยุคใหม%ใหการยอมรับมาก มีความเชื่อ เกี่ยวกับคนในทางตรงขามกับ ทฤษฎี X ดังนี้ 1) คนโดยทั่วๆ ไปไม%ใช%หลีกเลี่ยงงานตลอดเวลา เพราะถาเขาไดงานที่ชอบ ทํางานร%วมกับคนที่ถูกใจ และอยู%ในสภาพแวดลอมที่เหมาะสม คนเราก็ปรารถนาที่จะทํา แต%ถาทํางานเพราะถูกบังคับควบคุม ก็ไม%อยากทํางานนั้น 2) การควบคุมบังคับบัญชา บทลงโทษใดๆ ไม%ใช%ทางเลือกที่ดีในการทํางาน ของมนุษย4 ทางที่ดีควรเปwดโอกาสใหเขาทํางานที่ชอบ ใหรูจักรับผิดชอบในงานเพื่อทําใหบุคคลเกิด ความพอใจและสามารถทํางานใหบรรลุเปKาหมายได
  • 28.
    14 3) การที่จะกล%าวว%าคนป6ดความรับผิดชอบ ไม%กระตือรือรนนั้นในการทํางาน แต%ชอบความมั่นคงผูที่กล%าวเช%นนั้นอาจเปHนความรูสึกที่เกิดขึ้นจากประสบการณ4เก%าๆ มากกว%า คนไม%ไดมีลักษณะดังกล%าวเพียงอย%างเดียว เพราะถามีการบริหารที่ถูกตองเหมาะสมสอดคลองกับ ความตองการแลว คนก็อยากทํางานและอยากมีความรับผิดชอบเพิ่มขึ้น จะเห็นไดว%าทฤษฎี Y มีแนวคิดตรงขามกับทฤษฎี X และใชความเขาใจมนุษย4ใน เชิงจิตวิทยามาอธิบายกล%าวคือแนวคิดของทฤษฎี Y เปHนการมองพฤติกรรมของมนุษย4ในองค4การจาก สภาพจริง องค4การจะบรรลุเปKาหมายตองไดรับความร%วมมือจากบุคคลในองค4การ โดยมีการบริหารที่ ถูกตองเหมาะสมสอดคลองกับความตองการ และอยู%ในสภาพแวดลอมที่เหมาะสม คนก็อยากทํางาน และอยากมีความรับผิดชอบในงาน ซึ่งแนวคิดดังกล%าวนี้สามารถนํามาเปHนแนวทางเสริมสรางพัฒนา นักเรียนใหมีการพัฒนาตนเองได จากทฤษฎีที่กล%าวมา สรุปไดว%า คนหรือที่เรียกว%าทรัพยากรมนุษย4นับว%าเปHนป6จจัย สําคัญในการที่จะนําความสําเร็จมาสู%องค4การ ถือไดว%าเปHนทรัพยากรที่มีคุณค%าสามารถสรางสรรค4 ประโยชน4และประสิทธิภาพใหกับองค4การไดอย%างมหาศาลภายใตสภาวการณ4และสภาพแวดลอม ต%างๆ โดยความเปHนจริงแลวมนุษย4ทุกคนมีความปรารถนาจะกาวไปสู%ความสําเร็จและตองการที่จะ ปรับปรุงตนเองใหกาวหนาอยู%เสมอ การพัฒนาตนเองจึงเปHนพื้นฐานของการพัฒนาทั้งมวลและถือ เปHนกระบวนการต%อเนื่องที่ตองดําเนินการต%อไปตราบใดที่ยังไม%หยุดทํางาน เพราะเปKาหมายหลักคือ ความสุข การกินดีอยู%ดี ความสําเร็จในหนาที่การงานและการไดรับการยกย%องจากสังคม จากแนวคิด และทฤษฎีที่กล%าวมาแลวจึงสามารถชี้ใหเห็นว%า การพัฒนาตนเองเปHนสิ่งที่ทุกคนรวมทั้งนักเรียนตองการ การที่บุคคลเรียนรูและปรับปรุงตนเองใหมีความเจริญงอกงามประสิทธิภาพในการเรียนและพยายาม ปรับปรุงเปลี่ยนแปลงตนเองอยู%เสมอนั้นก็เพื่อความสําเร็จและความกาวหนาในการเรียน ของตนเอง และเพื่อใหบรรลุจุดมุ%งหมายในสิ่งที่ตองการนั่นเอง 1.2.4 Boydell (สุภมาส จินะราช. 2549 : 13-15 ; อางอิงมาจาก Boydell. 1985 : 21, 25) ไดสรางทฤษฎีการพัฒนาตนเอง ซึ่งเปHนแนวคิดที่สําคัญอย%างหนึ่งของการเรียนรู โดยการพัฒนาจะเกิดขึ้นไดดวยการที่เราสามารถทําใหประสบการณ4จริงที่เกิดขึ้นบางอย%างของเรามี ความหมาย และหรือดวยการแกป6ญหาสําคัญบางอย%างที่มีผลกระทบต%อหนาที่การงานหรือชีวิตของเรา โดยตรง โดยการพยายามทําสิ่งต%าง ๆ ใหสําเร็จดวยตนเอง และอาจสําเร็จไดง%ายขึ้นหากมีบุคคลอื่นคอย ช%วยเหลือการพัฒนาตนเอง รวมถึงบรรยากาศและระบบค%านิยมอื่น ๆ ในองค4กร ที่ส%งเสริมการพัฒนา ตนเอง ซึ่งการพัฒนาตนเองควรทําใหทฤษฎีเปHนกฎเกณฑ4ส%วนตัว ทฤษฎีจะมีบทบาทที่ดีมีชีวิตชีวาได ก็ต%อเมื่อนําไปใชกับประสบการณ4ส%วนตัวเท%านั้น ซึ่งประกอบดวยกระบวนการดังต%อไปนี้ 1.2.4.1 ตระหนักป6ญหา วงจรของการพัฒนาเริ่มตนดวยความวิตกกังวลอย%างแทจริง ซึ่งอาจเปHนป6ญหาหรืองานการที่เกิดขึ้น สิ่งที่น%าประหลาดใจหรืองุนงงสงสัย หรือแมแต%สรางความตกอก ตกใจ เมื่อมีสิ่งที่ไม%คาดคิดเกิดขึ้นอย%างไม%สมเหตุสมผล หรือในที่นี้อาจเปรียบไดกับการปรารถนาใน การเรียนรู (Desire to learn) นั่นคือ การพัฒนาตนเองเริ่มจากตัวของบุคคลเองที่มีความตองการที่จะ เรียนรูเกี่ยวกับงานและตองการเขาใจในองค4การ ซึ่งเปHนการยากในการทําใหเกิดความกาวหนาใน การทํางานหากปราศจากความตองการหรือความตั้งใจของบุคคล บุคคลที่ตองการในการเรียนรูจะตองรู ว%าอะไรเปHนสิ่งที่ตนเองตองการเรียนรู (ดังนั้น จึงเปHนสิ่งสําคัญที่บุคคลที่ตองการจะพัฒนาตนเองจะตอง
  • 29.
    15 วินิจฉัยถึงความตองการของตนเอง) ซึ่งบุคคลที่ตองการจะพัฒนาตนเองนั้นจะตองไม%พอใจหรือ มีความรูสึกไม%สะดวกสบายกับสภาพของตนเองที่เปHนอยู%ในป6จจุบัน 1.2.4.2 วินิจฉัยตนเองการใชความคิดอ%านต%อป6ญหาหรือประสบการณ4ที่เกิดขึ้นเปHน การคนหาคําอธิบายและลู%ทางที่อาจเปHนไปไดและอาจตองนําไปถกป6ญหากับคนอื่นดวย ผลที่ไดรับก็คือ วิธีการใหม%ในการมองสิ่งต%าง ๆ รวมทั้งลักษณะการมองตัวเองและโลกรอบตัว ความแปลกใหม%เหล%านี้ อาจเกิดขึ้นไดกับแง%มุมชีวิต 3 อย%าง คือ ความคิด ความรูสึกและความมุ%งมั่น โดยอาจเกิดขึ้นไดกับอย%าง ใดอย%างหนึ่งหรือทั้งสามอย%างพรอมกัน บุคคลที่ตองการพัฒนาตนเอง จําเปHนตองเขาใจว%าทําไมถึงไม% พอใจในสภาพที่ตนเปHนอยู% ทําไมอยากมีความกาวหนา โดยการสํารวจวิเคราะห4ตนเอง เพื่อทราบถึง จุดเด%นและขอ บกพร%องของตนเองและนําขอบกพร%องนั้นมาปรับปรุงแกไข ไม%มีความพอใจกับสิ่งที่ เปHนอยู%ในป6จจุบัน เพราะว%าการสํารวจวิเคราะห4ตนเองนั้นมีหลายแนวทาง เช%น การอ%านหนังสือ การสนทนากับเพื่อนกับ ผูร%วมงาน เกี่ยวกับการทํางาน หลังจากนั้นตองคิดวิเคราะห4หรือการไปสนทนา กับผูรู หรือผูที่มีความเชี่ยวชาญเพื่อใหคําแนะนํา เพื่อช%วยในการวิเคราะห4ตนเอง ยอมรับเพื่อที่จะหา ขอบกพร%องของตนเอง เพื่อการปรับปรุงและพัฒนาตนเองต%อไป 1.2.4.3 วางแผนการพัฒนาตนและตั้งเปKาหมาย การใชความคิดความสามารถนําไปสู% วิธีการใหม% ๆ ในการสรางความหมาย ทฤษฎี ทัศนคติ แนวคิด ความเชื่อ ค%านิยม ฯลฯ มีการพัฒนา ความรับรูและตระหนักในความรูสึกดังกล%าวรวมทั้งความสามารถในการแสดงออก หรืออาจมีความรูสึก แตกต%างไปเกี่ยวกับบางสิ่งบางอย%างหรือคนบางคน ซึ่งทําใหไดผลลัพธ4คือ แรงกระตุน ทักษะ นิสัย ความมุ%งมั่นหรือความตั้งใจใหม%เกิดขึ้น และการกําหนดเปKาหมาย (Set goals) ก็เปHนส%วนประกอบใหญ% ของการวางแผนการพัฒนาตน คือ เมื่อไดมีการวินิจฉัยตนเองแลวก็จะทราบถึงเปKาหมายในการที่จะ พัฒนาตนเองว%าอยากที่จะกาวหนาขึ้นจากเดิมอย%างไรบาง ความคิดที่อยากจะทําต%อไปคืออะไร เขียน เปKาหมายไว ถาเปHนไปไดควรกําหนดระยะเวลาในการประเมินผลหรือวัดความกาวหนาของตนเอง ในการที่จะทําใหบรรลุเปKาหมายของตนเองที่ตั้งไวบางครั้งจะตองเผชิญกับความเสี่ยง แต%เปHนความเสี่ยง เล็ก ๆ นอย ๆ ที่ตนเองพิจารณาแลวว%าไม%เปHนอันตรายต%อชีวิตตนเองและผูอื่น เปHนความเสี่ยงที่ตนเอง คิดว%าไม%เกินความรูความสามารถของตนเอง และบางครั้งจะตองมีความเชื่อมั่นในตนเองเพื่อใหบรรลุผล สําเร็จตามที่ตั้ง เปKาหมายไว 1.2.4.4 ปฏิบัติตามแผนและประเมินผล ผลของการพัฒนาจะปรากฏขึ้นในขั้นตอนนี้ ซึ่งตองนําผลลัพธ4ดังกล%าวไปใชปรับปรุงตนเองใหมีความเขมแข็งเพิ่มขึ้นดวย การลองนําความคิดเห็น ใหม% ๆ ไปใชทํางานดวยความรูสึกนึกคิดและมีจุดมุ%งหมายเมื่อเหตุการณ4ดําเนินไปดวยดี จึงหมายความ ว%ามีการพัฒนาเพิ่มพูนมั่นคงขึ้น ซึ่งกระทําไดหลายวิธี โดยการแสวงหาแหล%งสนับสนุนที่เหมาะสม (Finding appropriate resources) คือ การศึกษาหาความรูในรูปแบบต%าง ๆ กัน และการคนหา แหล%งขอมูลที่เปHนประโยชน4ที่เหมาะสมสําหรับตนเอง จากทฤษฎีที่กล%าวมาแลว สรุปไดว%า ผลของการพัฒนาตนนั้นคือการพัฒนาของตัวเอง และการที่จะประสบผลสําเร็จไดก็ตองใชกระบวนการที่เกี่ยวของกับการพัฒนาดวยตัวเองเท%านั้น ซึ่งกระบวนการพัฒนาตนเองของ Boydell ก็สามารถอธิบายไดอย%างสอดคลองและชัดเจน จึงมีความ เหมาะสมที่จะนํามาใชในงานวิจัยครั้งนี้ โดยกระบวนการพัฒนาตนเองมีลําดับขั้น 4 ขั้นตอน ดังนี้ 1) ตระหนักป6ญหา โดยนึกถึงความจําเปHนและมีความตองการที่จะปรับปรุงตนเอง 2) วินิจฉัยตนเอง ว%ามีขอดีขอเสียหรือจุดเด%นจุดดอยอย%างไร รูว%าตนเองมีสภาพเปHนอย%างไร 3) วางแผนการพัฒนาตนและ
  • 30.
    16 ตั้งเปKาหมาย โดยการวางแผนการดําเนินการพัฒนาตนเองได 4)ปฏิบัติตามแผนและประเมินผลตนเอง ปฏิบัติตามแผนการที่ไดวางเอาไวดวยการส%งเสริมความรู ความสามารถ คุณลักษณะต%าง ๆ ในการพัฒนาตน โดยการกระทําหลายรูปแบบต%าง ๆ กัน โดยตองทําครบทั้ง 4 ขั้นตอน จึงทําให การพัฒนาตนเองสามารถประสบความสําเร็จตามเปKาหมายที่วางไว และในบางกรณีอาจจะเริ่มตน กระบวนการพัฒนาตนเองดวยขั้นตอน 3 ก็สามารถทําใหเกิดการพัฒนาตนเองไดเช%นกัน 1.3 หลักการพัฒนาตนเอง เรียม ศรีทอง (2542 : 145-155) อาศัยหลักการสรางความเจริญงอกงามในชีวิต เพื่อเพิ่มความสมบูรณ4ในชีวิตของบุคคล โดยมุ%งพัฒนาการรักษาดุลยภาพของชีวิต 3 ดาน ประกอบดวย ดานร%างกาย (Physical Component) ดานจิตใจ ความคิด (Psychological Component) และดาน จิตวิญญาณ (Spiritual Component) ซึ่งจะเสนอหลักการสําคัญ 3 แนวทาง ไดแก% หลักการพัฒนา ตนเองเชิงการแพทย4และจิตวิทยาสุขภาพ หลักการพัฒนาตนเองเชิงจิตวิทยา และหลักการพัฒนาตนเอง เชิงพุทธศาสตร4 ดังนี้ 1.3.1 หลักการพัฒนาตนเองเชิงการแพทย4และจิตวิทยาสุขภาพ เปHนกระบวนการ ปฏิบัติตัวของบุคคลเพื่อส%งเสริมใหระบบการควบคุมความสมดุลในร%างกายใหทํางานไดตามปกติเปHน ผลใหบุคคลดํารงชีวิตไดอย%างปกติสุข ตัวบ%งชี้ความสมดุลในร%างกาย ไดแก% ผลการประเมินการทํา หนาที่ของทุกระบบในร%างกายดวยกระบวนการทางวิทยาศาสตร4ที่เปHนปกติ ส%วนจิตวิทยาสุขภาพมี รูปแบบการรักษาที่เรียกว%า ชีวจิตวิทยาแห%งสุขภาพ (Biopsychological Model of Health) เชื่อมโยง ระหว%างร%างกาย สภาวะจิตใจ และสิ่งแวดลอมรอบตัวโดยมองสุขภาพเปHนการเคลื่อนไหวและ มีการเรียนรูหลายมิติทั้งดานร%างกายสติป6ญญา อารมณ4 จิตวิญญาณ สังคม และสิ่งแวดลอม 1.3.2 หลักการพัฒนาตนเองตามแนวคิดจิตวิทยาพฤติกรรมนิยม เปHนการเรียนรู อันเนื่องมาจากผลกรรมหรือเงื่อนไขของการกระทํา ซึ่งมีผลกรรมเชิงบวก ไดแก% การเสริมแรง และ ผลกรรมเชิงลบ คือ การลงโทษ และการเรียนรูทางสังคม โดยมีตัวแบบที่ไดจากประสบการณ4ตรงและ ประสบการณ4โดยออมเปHนสําคัญ นอกจากนี้กระบวนการทางป6ญญา ซึ่งมีส%วนสําคัญที่เอื้อต%อ ความสําเร็จในการพัฒนาตน โดยมีเทคนิคการพัฒนาตน ไดแก% การควบคุมตนเอง (Self control) 1.3.3 หลักการพัฒนาตนเองตามแนวพุทธศาสตร4 เปHนการพัฒนาตนเพื่อชีวิตที่ เปHนสุขทั้งของตนและของผูอื่น อยู%ร%วมกันภายใตธรรมชาติที่กลมกลืนกัน พระธรรมปwฎก ไดใหแนว ทางการพัฒนาชีวิตที่ยั่งยืน ไดแก% ความเชื่อในการฝ~กฝนพัฒนาตน การมีศีลและปฏิบัติตาม กฎเกณฑ4ของสังคม ฝ~กการเพิ่มภาวะอิสระจากวิกฤตภายนอก บริจาคและสงเคราะห4ซึ่งกันและกัน ฝ~กการสรางสมาธิเพื่อการสรางพลังจิตที่เขมแข็ง ฝ~กพัฒนาป6ญหาใหมีความเขาใจชีวิตและโลกที่ แทจริง เพื่อนําไปสู%ความเปHนอิสระเหนือความสุขและความทุกข4 คือ การฝ~กวิป6สสนากรรมฐาน ปราณี รามสูต และจํารัส ดวงสุวรรณ (2545 : 123) คนที่จะพัฒนาตนเองจะเริ่ม ดวยการสํารวจและพิจารณาตนเองว%ามีขอดีและขอบกพร%องอะไรบาง เปHนกระบวนการพัฒนาตนที่เปHน ระบบ แต%การพัฒนาตนจะสัมฤทธิ์ผล ผูนั้นจะตองตระหนักถึงความจําเปHนและมีความตองการที่จะ ปรับปรุงตนเองอย%างจริงจัง กระบวนการดังกล%าวจึงจะถูกนํามาใชเพื่อการพัฒนาตน แลวย%อมเกิดผลดี ต%อผูนั้นหลักการพัฒนาตนเอง ควรมีลําดับขั้นตอนดังนี้
  • 31.
    17 ขั้นที่ 1 ตระหนักถึงความจําเปHนในการปรับปรุงตนเองถือเปHนหัวใจสําคัญ คือ เจาตัวมองเห็นประโยชน4ของการพัฒนาตนเสียก%อน หากภูมิใจในตนเองมากไปจนมองไม%เห็นความ บกพร%องบางดานของตนเองเลย หรือบางคนอาจทราบว%าตนเองบกพร%องตองแกไขบางส%วน แต%ไม% สนใจ ไม%ตองการที่จะปรับปรุงตนเอง เพราะคิดว%าไม%จําเปHน การพัฒนาตนย%อมเกิดขึ้นไดยากกับ คนๆ นั้น ที่จริงแลวการพัฒนาตนใหดีขึ้นนับว%าเปHนตนทุนอันสูงที่จะทําใหไดรับผลกําไรทางอื่นๆ อันเปHนความตองการพื้นฐานของคนเรา คือ ความรัก ความชอบพอ การเปHนที่ยกย%องในสังคมทั่วไป เปHนตน ดังนั้นก%อนอื่น ถาตองการชีวิตที่ประสบความสําเร็จ นอกจากจะพัฒนาตนเองในแง%ความรู แลว จะตองตั้งมั่นที่จะพัฒนาตนเองในทุกดานใหดีขึ้นมากที่สุดเท%าที่จะทําได ขั้นที่ 2 การวิเคราะห4ตนเอง เปHนการวิเคราะห4ตนเองว%ามีขอดีขอเสียอย%างไร เหมาะสมมากนอยเพียงไรนั้น เราตองอาศัยทั้งการสังเกตตนเอง ประเมินตนเอง และสังเกต พฤติกรรมของผูอื่นที่แสดงต%อเราว%าเขาชอบเราและไม%ชอบเราในเรื่องใดบาง และใชการเปรียบเทียบ บุคลิกภาพของตนที่สังคมตองการ ต%อป6ญหาที่ว%าทําไมเราตองใหคนอื่นมาตัดสินเราว%าเปHนอย%างไร เราตัดสินตนเองคนเดียวไม%ไดหรือ ตอบไดว%า คนแต%ละคนโดยทั่วไปย%อมมีทั้งลักษณะที่ดีและไม%ดีอยู% ในตนเอง ลักษณะที่ดีและไม%ดีเหล%านั้นบางอย%างเรารู คนอื่นก็รู บางอย%างเราไม%รูแต%คนอื่นรู และ บางอย%างเราก็ไม%รูและคนอื่นก็ไม%รูเหมือนกัน ขั้นที่ 3 การวางแผนพัฒนาตนและการตั้งเปKาหมาย เมื่อไดพิจารณาตนเองว%า มีลักษณะประจําตัวอย%างไร และไดทราบลักษณะบุคลิกภาพที่ดีของตนในขั้นที่ 2 แลว ต%อไปเรา จะตองวางแผนการสําหรับตนเองในการพัฒนาตน แลวปฏิบัติใหเปHนไปตามแผนนั้น ขอเสนอแนะบางประการเพื่อช%วยใหบรรลุเปKาหมาย 1. เขียน และเขียนทุกสิ่งทุกอย%าง บันทึกของคุณจะช%วยคุณไดมากกว%าเครื่องมือ ชนิดอื่นใด ทั้งนี้เพราะบันทึกจะแสดงถึงความกาวหนา คุณไม%ตองเสียเวลาจดจําว%าคุณไปไดไกล แค%ไหนแลว 2. ติดตามความกาวหนาอย%างใกลชิด คุณอาจจะตองขีดเสนตายใหตนเอง หากคุณทํางานไดทันตามกําหนดเวลา คุณจะไดถือโอกาสฉลองความสําเร็จเปHนคราวๆ ไป 3. ลงมือดําเนินการเพื่อใหบรรลุเปKาหมายแทนการปล%อยใหทุกอย%างเกิดขึ้นเอง ลงมือทําเสียวันนี้เลย 4. ขอความช%วยเหลือเฉพาะเท%าที่จําเปHน จําไวเสมอว%า คุณตองรับผิดชอบต%อ ความสําเร็จของตนเอง 5. เตรียมรับมือกับอุปสรรคและทางตัน แต%อย%าไดยอมแพ อย%าย%อทอ มีบางครั้ง ที่จะเกิดป6ญหา ถายึดติดกับกําหนดการมากเกินไป ถาวัตถุประสงค4ของคุณยากเกินไปทําใหมันง%าย ขึ้น แต%อย%าไดรามือ ถาขามสิ่งกีดขวางไม%ไดหาทางออมดานขาง และหาทางเรียนรูจากป6ญหาจุดสําคัญ คือ เล%นไม%ยอมเลิก 6. ประเมินผลซ้ํา และพิจารณาเปKาหมายใหม%ทุกครึ่งเดือน บางทีความตองการ ของคุณอาจเปลี่ยนไปแลว จําไวเสมอว%าเปKาหมายเปHนของคุณ และคุณพยายามทุกวิถีทางที่จะทําให เกิดผลสําเร็จ ตรวจดูใหแน%ว%าเปKาหมายนั้นเปHนสิ่งที่คุณตองการจริงๆ ไม%ใช%เปKาหมายที่พ%อแม%หรือเพื่อน เปHนผูกําหนดแทนคุณ
  • 32.
    18 7. อย%าเปHนมนุษย4สมบูรณ4แบบ พยายามทําใหดีที่สุดเท%าที่จะทําได อย%าไปเสียเวลากังวลว%างานชิ้นนั้นยังไม%สมบูรณ4แบบการเขียนรายงานสมบูรณ4แบบไม%มีประโยชน4อะไร เลยถาคุณทํางานชากว%ากําหนด 8. การเตรียมใจใหพรอมว%า คุณอาจจะรูสึกผิดหวังบาง เมื่อบรรลุถึงเปKาหมาย แลวเรื่องนี้เปHนเรื่องปกติธรรมดา บางคราวอาจรูสึกอางวางว%างเปล%า บ%อยครั้งที่การบรรลุเปKาหมายไม%ได ใหความสุขอย%างที่คิด ถาเปHนเช%นนั้นควรหาเปKาหมายใหม% เปKาหมายที่จะใหคุณไดรับในสิ่งที่คุณตองการ สมิต อาชวนิจกุล (2543 : 21-22) ไดเสนอขั้นตอนวิธีการมองตนเพื่อการพัฒนาตนเอง มีดังนี้ 1. ทุกครั้งที่ท%านทําอะไรผิดพลาด ลมเหลว หรือพ%ายแพต%อชีวิต ก%อนอื่นขอให ท%านหันเขามองตนเอง และตรวจสอบความบกพร%องของตนเอง มองดูว%า เรายังมีขวัญหรือกําลังใจ อยู%หรือไม% และเราจะลุกขึ้นสูกับวิถีชีวิตใหม%ไดอย%างไร 2. จงหมั่นสํารวจตัวเองเปHนครั้งคราว อย%างนอยสัปดาห4ละหนึ่งครั้ง แลวดูว%าตน เองพัฒนาตนเองไปไดดีเพียงใด ใชเวลาเปHนประโยชน4หรือไม% ทําคุณงามความดีอะไรบาง ทําคุณ ใหแก%สังคมหรือครอบครัวบางหรือไม% 3. ในการมองตนที่ดีนั้น นั่นคือ การสํารวจอุปนิสัยที่ดีและไม%ดีของตนเองจงทํา เปHนตารางสองช%อง เขียนอุปนิสัย บุคลิกลักษณะและความสามารถของตน แลวเปรียบเทียบดูว%า ระหว%างนิสัยที่ดีกับไม%ดี สิ่งไหนมากกว%ากัน แลวหมั่นแกไขไปทุกๆ ครั้งที่มองตนเอง 4. จงมีเศษกระดาษเล็กๆ สักแผ%นหนึ่ง ก%อนนอนเขียนกิจที่ตองทํา หรือพึงทํา เรียงลําดับความสําคัญ แลววันต%อมาดูว%าเราทําหมดในวันนั้นหรือไม% และในกระดาษแผ%นนี้เขียนดวย ว%า เรามีอุปนิสัยที่อยากจะแกไขอะไรบาง เช%น ควรตื่นเชา ควรออกกําลังกายเพื่อสุขภาพ ตรงต%อ เวลา อ%านหนังสือเรียนใหได 1 บท มีความเพียรพยายามเพียงพอหรือยัง ฯลฯ 5. สุขภาพกาย สุขภาพใจ เปHนอย%างไร ดีขึ้นหรือเลวลง ละสิ่งที่ไม%เปHนประโยชน4 ลงบางหรือไม% อาทิ งดสุรา งดบุหรี่ งดพูดเพอเจอ หรือฟุKงซ%าน ฯลฯ เราจะทําอะไรในทางที่ใหเกิด สุขภาพกายและสุขภาพจิตแข็งแรงดีขึ้น ใหเท%าเทียมกับคนที่เราเห็นเปHนแบบอย%างในทางที่ดี 6. วันหนึ่งๆ เราอ%านหนังสือหรือฟ6งการอภิปรายหรือรับการฝ~กอบรมไปได เพียงใด เราหาความรูดวยตนเองไปไดมากยิ่งขึ้นหรือไม% คนที่ไม%เรียนรูอะไรเลย ในที่สุดก็จะลาหลัง เพื่อนฝูง 7. ในสายตาของคนใกลชิด เช%น คนในครอบครัวมีทัศนะต%อเราอย%างไร เรามีการ ปรับปรุงตัวเองเพื่อใหตนเปHนที่พึ่งแก%คนในครอบครัวหรือไม% เราเปHนพ%อหรือเปHนแม% หรือเปHนลูกที่ดี หรือไม% มีอะไรที่เราควรทําใหดีกว%าหรือดียิ่งขึ้น ชีวิตในครอบครัวเปHนสุขหรือทุกข4 มีการทะเลาะกัน บางหรือไม% เราเปHนสาเหตุใหคนรอบขางตองเดือดรอนเพราะเราหรือไม% 8. ก%อนนอน เราควรสวดมนต4ไหวพระบางหรือไม% หรือเราทําจิตใจใหผ%องใสดวย การฝ~กสมาธิบางหรือไม% เราแผ%เมตตาใหแก%สรรพสัตว4หรือไม% เราเปHนคนเห็นแก%ตัวเพียงใด ลดละ ความเห็นแก%ตัวลงมากกว%านี้ไดหรือไม% 9. ชีวิตในแต%ละวัน เราเปHนสุขหรือทุกข4เกิดจากเหตุอะไร เราสันโดษและหา ความสุขจากสิ่งที่เรามีอยู%หรือไม% เรากําลังเดินทางไปสู%จุดหมายชีวิตหรือไม%
  • 33.
    19 10. เราลดละ “อัตตา”หรือ “ตัวกู – ของกู” ลงไดบางเพียงใด เรารับฟ6งต%อคํานินทา หรือคําติฉินต%อตัวเราหรือไม% เราโกรธเคือง หรืองอนต%อคนที่เรารักหรือไม% ชาญชัย อาจินสมาจาร (2549 : 32-38) ไดเสนอแนวทางการพัฒนาภาวะผูนํา ส%วนบุคคล ซึ่งก็คือการพัฒนาตนเองในลักษณะของภาวะผูนําส%วนบุคคล คือ ความสามารถใน การทําใหความคิดของคุณแน%ชัดขึ้น เพื่อวางทิศทางที่แน%นอนเพื่อชีวิตของคุณเอง ปฏิญาณกับ ตัวคุณเองเพื่อเคลื่อนไหวไปยังทิศทางนั้น และลงมือกระทําเพื่อใหไดมาซึ่งความสําเร็จหรืออะไรก็ได ที่เปHนเปKาประสงค4ที่ตองการ และไดเสนอขั้นตอนของแผนพัฒนาภาวะผูนําส%วนบุคคล ดังนี้ ขั้นตอนที่ 1 พัฒนาวิสัยทัศน4และโฟกัสความคิดของคุณ ผูนําที่ประสบความสําเร็จ ไม%ว%าเขาจะเปHนผูนําของคนอื่น หรือเพียงแต%เปHนผูนําที่มีประสิทธิผลของชีวิตเขาเองลวนแลวแต%มีสิ่ง หนึ่งที่เหมือนกัน นั่นคือ “วิสัยทัศน4” (Vision) คือ ความสามารถในการมีภาพที่ชัดเจนในสิ่งที่คุณ ตองการใหบรรลุวิสัยทัศน4 ใหทิศทางปลายทางที่มีคุณค%า แรงจูงใจ ความกระตือรือรน ความรูสึกใน ผลสัมฤทธิ์ และการตอบสนองต%อวัตถุประสงค4ของบุคคลในชีวิตของเขา ขั้นตอนที่ 2 ตั้งเปKาประสงค4 เมื่อคุณมีวิสัยทัศน4ของคุณแลว ใหตั้งเปKาประสงค4 การตั้งเปKาประสงค4คือ กุญแจสู%ความสําเร็จ พัฒนาแผนการแลวปฏิบัติตาม คุณตองการจะเปHนอย%างไร 5 , 10 และ 20 ป…จากนี้ไป จงจําไวว%า มีคนบางคนวางแผนที่จะลมเหลว นั่นคือเขาลมเหลวใน การวางแผน ตั้งเปKาประสงค4ในขอบข%ายต%อไปนี้ ทางกาย ครอบครัว สังคม การเงิน การศึกษา จริยธรรม และอาชีพ ขั้นตอนที่ 3 พัฒนาความริเริ่ม จงตื่นตัวและอดทนเพื่อทําใหเปKาประสงค4ของคุณบรรลุ ความสําเร็จ ใหริเริ่ม ขั้นตอนที่ 4 พัฒนาความมั่นใจในตนเอง หนทางเดียวที่เราจะไดความมั่นใจในตนเองก็ คือ การเอาตัวเราเขาเสี่ยง โดยการเสี่ยงตัวเราเราจะไดรับประสบการณ4อย%าทิ้งไป ขั้นตอนที่ 5 พัฒนาความรับผิดชอบส%วนตัว เราตองมีความรับผิดชอบส%วนตัวต%อ ความคิด การกระทําและความรูสึกของเรา ถาเราทําผิดพลาด เราตองยอมรับมัน เรายังตองเต็มใจที่ จะแกไขโดยไม%ปกปKองตัวเอง การปกปKองตัวเองคือสัญญาณของความรูสึกไม%มั่นคง ขั้นตอนที่ 6 พัฒนาภาพลักษณ4ตัวตนที่สมบูรณ4 ภาพลักษณ4ตัวตน คือภาพทาง ความคิดของบุคคลที่เราคิดว%าคือเรา นั่นคือ เราจะไม%อยู%เหนือภาพที่เราสรางขึ้นสําหรับตัวเรา ปล%อยให ภาพลักษณ4ตัวตนของคุณเปHนอิสระ ใหมันมีความริเริ่ม เปHนนวัตกรรม พาคุณไปสู%ความสําเร็จ ถาคุณสามารถฝ6นถึงมัน คุณก็จะทําใหสําเร็จได ขั้นตอนที่ 7 พัฒนาการจัดระเบียบตัวเอง หนึ่งในคุณลักษณะที่ดีที่สุดของภาวะผูนํา ส%วนบุคคลก็คือ การจัดระเบียบตัวเอง คุณตองรูว%าจะทําอะไรต%อไปเพื่อใหบรรลุผลเปKาประสงค4 ขั้นตอนที่ 8 กําจัดการผัดวันประกันพรุ%ง การผัดวันประกันพรุ%ง คือ แนวโนมใน การเลื่อนภารกิจ แทนที่จะลงมือปฏิบัติเดี๋ยวนี้ เพื่อเอาชนะการผัดวันประกันพรุ%ง ใหพัฒนาอุปนิสัย เชิงสรางสรรค4เพื่อทดแทนอุปนิสัยที่ไม%สรางสรรค4 ดังนี้ 1. ยอมรับว%าคุณเลื่อนการทําสิ่งต%างๆ การยอมรับสิ่งดังกล%าวคือพันธะที่จะ แกไขมัน
  • 34.
    20 2. เรียนรูเกี่ยวกับการผัดวันประกันพรุ%ง ใหเขาใจว%าทําไมคุณจึงทําสิ่งดังกล%าว เหตุผลสําคัญที่คนเลื่อนการทําสิ่งต%างๆไดแก% ความไม%มั่นคง (กลัวต%อผลสัมฤทธิ์) ความสับสน (ตัดสินใจไม%ไดว%าทําอะไรต%อไป) การลืม (ความจําไม%ดี) กลัวการเปลี่ยนแปลง (ชอบอยู%อย%างสบาย) เปHนตน 3. เลือกแผนการปฏิบัติการที่แน%นอน ทํารายการขั้นตอนที่คุณตั้งใจจะนําออกใช เพื่อใหไดการตอบสนองที่พึงประสงค4 4. นําแผนปฏิบัติการออกใช ทําตัวใหเปHนบุคคลที่ทําเดี๋ยวนี้ ขั้นตอนที่ 9 ศึกษา คนที่ตองการเก%งในงานตองศึกษา ถาคุณตองการเปHนนักศึกษาที่ดี คุณตองศึกษา ถาคุณตองการเปHนหมอที่ดี คุณตองศึกษาการแพทย4 ผูประสบความสําเร็จในชีวิตคือ นักศึกษาที่กระตือรือรนที่จะเรียนรูมากขึ้น ขั้นตอนที่ 10 เพิ่มจุดแข็งของคุณ ขั้นตอนแรกสู%ความสําเร็จก็คือการบรรลุจุดแข็ง ดานภาวะผูนําของคุณเองไม%ว%าคุณจะมีจุดแข็งอะไร ความอดทน จินตนาการที่ยอดเยี่ยม เจตคติใน ทางบวก หรือความรูสึกที่หนักแน%นต%อคุณค%า ใหมันงอกงามสู%ภาวะผูนํา จงจําไวว%า การกระทํามีพลัง เหนือกว%าคําพูด 1.4 ความสําคัญของการพัฒนาตนเอง การพัฒนาตนเองถือเปHนกระบวนการสําคัญเพื่อนําไปสู%ความสําเร็จในการเรียน การงานรวมถึงการดําเนินชีวิต ดังนั้นจึงมีผูกล%าวถึงความสําคัญของการพัฒนาตนเองไวหลากหลาย ดังนี้ สงวน สุทธิเลิศอรุณ (2545 : 172-174) กล%าวว%า เมื่อบุคคลไดพัฒนาตนเองแลว จะก%อใหเกิดผลต%อการปรับปรุงและเปลี่ยนแปลง ความคิด ความเขาใจ ทักษะ และความรูสึกของ บุคคลใน 3 ดาน ดังนี้ 1. ดานความคิดและความเขาใจ ผลของการพัฒนาตนเอง จะทําใหบุคคลรูจัก และเขาใจตนเองว%าตนเองคือใคร มีบุคลิกอย%างไร ยอมรับในตนเองและผูอื่น รูและเขาใจว%า ผูอื่นมอง ตนเองอย%างไร 2. ทักษะและการปฏิบัติงาน ผลของการพัฒนาตน จะทําใหบุคคลเปHนผูมี เหตุผลความจําดี มีน้ําใจและเสียสละ ประพฤติปฏิบัติในการดําเนินชีวิตไดอย%างเหมาะสม 3. ความรูสึก ผลของการพัฒนาตน จะทําใหบุคคลมีความรูสึกในลักษณะต%างๆ เช%น ยอมรับในความแตกต%างระหว%างบุคคล ยอมรับจุดเด%นและจุดดอยของตน มีสายตาแหลมคม มีความกระตือรือรน มีแรงจูงใจในเปKาหมายและจุดประสงค4ของชีวิต เรียม ศรีทอง (2542 : 165) สรุปความสําคัญของการพัฒนาตนเองมี 3 ประการ ดังนี้ 1. ดานต%อตนเอง ส%งเสริมความรูสึกในคุณค%าแห%งตนใหสูงขึ้น และมีชีวิตอยู%ใน สังคมและโลกอย%างมีคุณค%า การที่ไดปรับปรุงสิ่งที่บกพร%อง และพัฒนาพฤติกรรมดานต%างๆ ใหดี ยิ่งขึ้น ช%วยส%งเสริมการเขาใจตนเองช%วยใหตนเองสามารถทําหนาที่ที่เหมาะสมกับบทบาทของตนได อย%างเต็มศักยภาพ 2. ดานต%อคนอื่น เนื่องจากพฤติกรรมของบุคคลแต%ละคนมีอิทธิพลซึ่งกันและกัน เสมอ เช%น การประพฤติของลูก มีผลต%อความรูสึกของพ%อแม% การกระทําของครู-อาจารย4มีผลกระทบ ต%อพฤติกรรมของลูกศิษย4 การตั้งใจทํางานหรือไม%ตั้งใจทํางานของพนักงาน ก็ส%งผลกระทบต%อ
  • 35.
    21 ความรูสึกของผูควบคุมและเพื่อนร%วมงาน เปHนตน ฉะนั้นการปรับปรุงและพัฒนาตนเองนับไดว%า เปHนการเตรียมตนใหเปHนสิ่งแวดลอมที่ดีของผูอื่น เปHนตัวอย%างหรือเปHนแหล%งอางอิงใหเกิดการพัฒนา ต%อไป เปHนการกระทําเพื่อยังประโยชน4สุขร%วมกันทั้งดานชีวิตการทํางาน ชีวิตส%วนตัวและการอยู% ร%วมกันในสังคม การที่แต%ละบุคคลอันเปHนหน%วยที่เล็กที่สุดในสังคม มีการดําเนินชีวิตที่เขมแข็งย%อม ส%งผลต%อความเขมแข็งของชุมชนและสังคม อันสอดคลองกับแผนพัฒนาคนของประเทศโดยตรง 3. ดานต%อหน%วยงาน การปรับปรุงและพัฒนาตนเองนอกจากจะเปHน การส%งเสริมการเพิ่มคุณภาพชีวิตแด%สมาชิกของหน%วยงานและสังคมแลวขณะเดียวกันก็ส%งผลกระทบถึง ทั้งประสิทธิภาพและประสิทธิผลของงานดวย ศรีแพร ทวิลาภากุล (2549 : 7) ไดกล%าวว%า เทคโนโลยีที่มีการพัฒนาอย%างรวดเร็วจึง จําเปHนตองพัฒนาตัวคนเปHนสําคัญก%อนเพื่อนําศักยภาพที่มีอยู%ในแต%ละบุคคลมาใชใหเกิดประโยชน4 สูงสุด เพื่อการดํารงอยู%ในสังคมมีความสุขและเปHนการพัฒนาอย%างยั่งยืน สรุปไดว%า ความสําคัญของการพัฒนาตนเอง ส%งเสริมใหตนเองรูสึกมีคุณค%า ปรับปรุง ส%วนที่บกพร%อง พัฒนาพฤติกรรมต%างๆ ไปสูประสบผลสําเร็จในชีวิต ส%งเสริมตนเอง ผูอื่น และ หน%วยงาน 1.5 องค4ประกอบของการพัฒนาตนเอง เนื่องจากตัวของบุคคลประกอบดวยองค4ประกอบหลายดาน ซึ่งความสําคัญของแต%ละ องค4ประกอบ ทําใหตองมีการพัฒนาเกิดขึ้นพรอม ๆ กัน ดังนี้ (รุ%งฤดี กิจควร. 2548 : 173-195) 1. องค4ประกอบทางร%างกาย หมายถึง รูปร%างหนาตาการแสดงออกดวยสีหนา ท%าทาง น้ําเสียงในการเจรจาและการสื่อความหมาย การแต%งกาย การรักษาความสะอาดของร%างกาย รวมไปถึงสุขภาพและสุขอนามัยของร%างกาย 2. องค4ประกอบทางดานจิตใจ หมายถึง สภาพของจิตที่มีความรูสึกที่ดีต%อตนเอง และสิ่งแวดลอม มีความสงบเยือกเย็น มีคุณธรรมและมีความยุติธรรม เปHนตน 3. องค4ประกอบทางดานอารมณ4 หมายถึง ความสามารถในการควบคุมความรูสึก และการแสดงออกซึ่งเปHนหลักสําคัญในการพัฒนาตน เช%น ไม%แสดงอาการทางอารมณ4อย%างรุนแรง จนเกินไปฝ~กการควบคุมอารมณ4ที่เปHนโทษต%อตนเองและผูอื่น 4. องค4ประกอบทางดานสังคม หมายถึง ท%าทีและการปฏิบัติต%อสิ่งแวดลอม เช%น รูสึกว%าตนเองเปHนส%วนหนึ่งของสังคม ขจัดพฤติกรรมเห็นแก%ตัว มีจรรยามารยาททางสังคม ประพฤติตน ตามสังคม เปHนตน 5. องค4ประกอบทางดานทักษะและสติป6ญญา หมายถึง การรอบรูศิลปะ และ ศาสตร4ต%าง ๆ การมีความฉลาดและไหวพริบในการวิเคราะห4และตัดสินใจ ความสามารถในการแสวงหา ความรู และฝ~กทักษะใหม% ๆ และมีความสามารถในการเรียนรูแนวทางในการดําเนินชีวิตที่ดี สงวน สุทธิเลิศอรุณ (2545 : 49) กล%าวว%า องค4ประกอบในการพัฒนาตนเองมี องค4ประกอบ 6 ดาน ที่สําคัญดังนี้ 1. การพัฒนาดานสติป6ญญาและความเฉลียวฉลาดทางอารมณ4 2. การพัฒนาดานร%างกาย 3. การพัฒนาดานจิตใจ 4. การพัฒนาดานสังคม
  • 36.
    22 5. การพัฒนาดานศึกษา 6. การพัฒนาตนเองสู%ความตองการของตลาด เรียมศรีทอง (2542 : 165) ไดสรุปองค4ประกอบความสําคัญของการพัฒนาตนเอง มี 3 ประการดังนี้ 1. ดานต%อตนเอง ส%งเสริมความรูสึกในคุณค%าแห%งตนใหสูงขึ้น และมีชีวิตอยู%ใน สังคมและโลกอย%างมีคุณค%า การที่ไดปรับปรุงสิ่งที่บกพร%อง และพัฒนาพฤติกรรมดานต%างๆ ใหดี ยิ่งขึ้น ช%วยส%งเสริมการเขาใจตนเองช%วยใหตนเองสามารถทําหนาที่ที่เหมาะสมกับบทบาทของตนได อย%างเต็มศักยภาพ 2. ดานต%อคนอื่น เนื่องจากพฤติกรรมของบุคคลแต%ละคนมีอิทธิพลซึ่งกันและกัน เสมอ เช%น การประพฤติของลูก มีผลต%อความรูสึกของพ%อแม% การกระทําของครู-อาจารย4มีผลกระทบ ต%อพฤติกรรมของลูกศิษย4 การตั้งใจทํางานหรือไม%ตั้งใจทํางานของพนักงาน ก็ส%งผลกระทบต%อ ความรูสึกของผูควบคุมและเพื่อนร%วมงาน เปHนตน ฉะนั้นการปรับปรุงและพัฒนาตนเอง นับไดว%า เปHนการเตรียมตนใหเปHนสิ่งแวดลอมที่ดีของผูอื่น เปHนตัวอย%างหรือเปHนแหล%งอางอิงใหเกิดการพัฒนา ต%อไป เปHนการกระทําเพื่อยังประโยชน4สุขร%วมกันทั้งดานชีวิตการทํางาน ชีวิตส%วนตัวและการอยู% ร%วมกันในสังคม การที่แต%ละบุคคลอันเปHนหน%วยที่เล็กที่สุดในสังคม มีการดําเนินชีวิตที่เขมแข็งย%อม ส%งผลต%อความเขมแข็งของชุมชนและสังคม อันสอดคลองกับแผนพัฒนาคนของประเทศโดยตรง 3. ดานต%อหน%วยงาน การปรับปรุงและพัฒนาตนเองนอกจากจะเปHนการส%งเสริม การเพิ่มคุณภาพชีวิตแด%สมาชิกของหน%วยงานและสังคมแลวขณะเดียวกันก็ส%งผลกระทบถึงทั้ง ประสิทธิภาพและประสิทธิผลของงานดวย ปรีชา พรมบุตร (ปรีชา พรมบุตร. 2555 : เว็บไซต4 ; อางอิงมาจาก สํานักงาน ปลัดกระทรวงสาธารณสุข. ม.ป.ป.) การพัฒนาตนเอง (Self Development) คนเราถาจะเก%งตอง ประกอบดวย 3 เก%ง คือ เก%งตน (Self Ability) หมายถึง เปHนผูที่ชอบศึกษาหาความรูอยู%ตลอดเวลา เพื่อใหทันโลกทันคน โดยเริ่มจากการพัฒนาตนเองก%อน การพัฒนาตนเองนั้นพัฒนาได 3 ทางคือ ทางกาย องค4ประกอบที่สําคัญคือ รูปร%าง พัฒนาใหดีขึ้นโดยใชการแต%งกายช%วยลด จุดดอยหรือเสริมจุดเด%น หนาตาสดชื่นแจ%มใส สะอาดหมดจด อากัปกิริยา การแสดงออกเขมแข็งแต%ไม% แข็งกระดาง อ%อนโยนแต%ไม%อ%อนแอ การยืน การเดิน การนั่ง ตองมั่นคง เรียบรอย การแต%งกายตอง สะอาดเหมาะสมกับกาลเทศะ เหมาะสมกับรูปร%างและผิวพรรณ ทางวาจา การพูดดีตองมีองค4ประกอบ 4 ประการคือ พูดแต%ดี มีประโยชน4 ผูฟ6งชอบ และทุกคนปลอดภัย ก%อนพูดทุกครั้งตองคิดก%อนพูด คนที่พูดดี มีปwยะวาจา เปHนลมปากที่หวาน หูไม%รูหาย เปHนที่รักใคร%ชอบพอแก%ทุก ๆ ฝ:ายที่ไดยินไดฟ6ง ทางใจ การพัฒนาทางใจก็มีองค4ประกอบหลายประการ เช%น ความมั่นใจ ถามีความมั่นใจในตนเอง จะทําอะไรก็สําเร็จ ความจริงใจ คือ เปHนคนปากกับใจตรงกัน ความกระตือรือรน กระฉับกระเฉง แจ%มใส มีชีวิตชีวา ความมานะพยายามไม%ยอมแพต%ออุปสรรค ความซื่อสัตย4สุจริต ความสุขใจ ความอดกลั้น ความมีเหตุผล การมีสมรรถภาพในการจําและมีความคิด สรางสรรค4
  • 37.
    23 เก%งคน (Social Ability)หมายถึง มีความสามารถที่จะทําตัวใหเขาไหนเขาได เปHนที่รักใคร%ชอบพอแก%ทุกฝ:าย มีมนุษยสัมพันธ4ในครอบครัว พ%อแม%ควรรูหลักจิตวิทยาในการปกครองลูก ใหความรัก ความอบอุ%นแก%ลูก ลูกก็ไม%ทําตนใหเปHนป6ญหาใหพ%อแม% และมีมนุษยสัมพันธ4ในการทํางาน สามารถทําตนใหเขากับคนไดกับทุกคน หากมีผูบังคับบัญชา ผูบังคับบัญชาก็รัก หากมีลูกนอง ลูกนองก็ รัก เพื่อนร%วมงานก็รัก บุคคลภายนอกหรือลูกคาก็รัก ซึ่งจะก%อใหเกิดประโยชน4กับตนเองและธุรกิจเปHน อย%างยิ่ง เก%งงาน (Task Ability) หมายถึง ผูที่รักงาน ขยันทํางาน และรูวิธีทํางาน มีความขยันหมั่นเพียร มานะ อดทน ไม%ยอมแพต%ออุปสรรค สรุปไดว%า การพัฒนาตนเอง เปHนการเปลี่ยนแปลง ปรับปรุง แกไข พฤติกรรมของ บุคคลไปสู%สิ่งที่ดีขึ้น รูจักคิดพิจารณาสิ่งต%างๆ ดวยตนเอง ทําตนเองใหมีวินัย มีความกระตือรือรน ใฝ:รู ใฝ:สรางสรรค4 เพื่อใหชีวิตของตนเองมีความเจริญกาวหนา และประสบความสําเร็จ โดยมีการ พัฒนาตนเองใน 3 องค4ประกอบ ดังนี้ ตนเอง หมายถึง การสํารวจปรับปรุงอุปนิสัยของตนเองใหดีขึ้น โดยการกําหนด เปKาหมายในชีวิต สรางความเชื่อมั่นในตนเอง ยอมรับในความแตกต%างระหว%างบุคคล สรางความมั่นคง ทางจิตใจ เพื่อใหสามารถแกไขป6ญหาต%างๆ ที่ผ%านเขามาในชีวิตไดอย%างราบรื่น และมีการจัดระเบียบ ตนเองเพื่อใหบรรลุตามเปKาประสงค4ที่ตั้งไว สังคม หมายถึง คุณลักษณะของบุคคลสามารถปฏิบัติตัวเขากับกลุ%มต%างๆ ได โดยมีการกลาแสดงออก การวางตัวที่เหมาะสม รูว%าสิ่งใดที่ดีควรปฏิบัติและสิ่งใดไม%ดีไม%ควรปฏิบัติ มีความรับผิดชอบ เปHนที่ยอมรับของกลุ%มไม%ว%าจะเปHนผูใหญ%กว%า หรือเพื่อนๆ โดยสามารถทํางานร%วมกับ กลุ%มไดอย%างราบรื่น และทําคุณประโยชน4ใหกับสังคม การเรียน หมายถึง การเพิ่มพูนความรูความสามารถทางดานการเรียนโดยแสดง ความกระตือรือรน ตั้งใจ มีวินัยในการเรียน ขยันหมั่นเพียร อดทน มีจิตสํานึกที่จะฝ~กฝนสนใจใฝ:รูและ ศึกษาหาความรูต%างๆ เพื่อเพิ่มพูนใหกับตนเอง และทดลองใชวิธีการใหม%ๆ ที่เปHนประโยชน4ต%อการเรียน เพื่อใหการเรียนประสบความสําเร็จ 1.6 การวัดการพัฒนาตนเอง วิธีหลักที่นิยมใชในการสรางแบบวัดมี 3 วิธีการ คือ (กนกรัตน4 สุขะตุงคะ และคณะ. 2547 : 56) 1. Rational-Construct Approach ซึ่งเริ่มตนโดยการนิยามตัวแปรในเชิงทฤษฎี ซึ่งในแต%ละนิยามจะกล%าวถึงพฤติกรรมที่สัมพันธ4กับลักษณะของตัวแปรนั้น แลวจึงนํากลุ%ม ของพฤติกรรมนั้นมาสรางขอคําถาม 2. Empirical Criterion Approach เปHนการรวบรวมกลุ%มพฤติกรรมจากบุคคล ที่สรางเครื่องมือ และเชื่อว%ามีบุคลิกภาพหรือลักษณะของตัวแปรที่ตองการวัดแลวจึงสรางขอคําถาม ตามพฤติกรรมที่รวบรวมได 3. Factor Analytic Approach เปHนวิธีการที่สอดคลองกับเทคนิคทางสถิติที่ เรียกว%าการวิเคราะห4องค4ประกอบ (Factor Analysis) โดยการใชขอคําถามจํานวนมากที่ตรวจสอบ เบื้องตนว%าวัดลักษณะตามที่ตองการแลวไปทดสอบกับตัวอย%างจํานวนมาก แลวนําผลการวัดที่ไดมา จัดกลุ%มเพื่อลดจํานวนตัวแปร และขอคําถามโดยใชเทคนิคการวิเคราะห4องค4ประกอบ
  • 38.
    24 มีนักวิจัยที่ทําการศึกษาเกี่ยวกับการพัฒนาตนเอง และสรางเครื่องมือวัดการพัฒนาตนเอง ดังนี้ สุภมาส จินะราช(2549 : 57) ไดสรางแบบสอบถามวัดการพัฒนาตนเอง ซึ่งเปHนแบบสอบถามมาตรประมาณค%า (Rating Scale) 3 ระดับ จํานวน 25 ขอ การตรวจใหคะแนน คือ ขอคําถามทางบวก จริง ให 3 คะแนน ค%อนขางจริง ให 2 คะแนน ค%อนจางไม%จริง ให 2 คะแนน ไม%จริง ให 1 คะแนน ขอคําถามทางลบ จริง ให 0 คะแนน ค%อนขางจริง ให 1 คะแนน ค%อนจางไม% จริง ให 2 คะแนน ไม%จริง ให 3 คะแนน กาญจนา บุบผัน (2551 : 70) ไดสรางแบบสอบถามวัดการพัฒนาตนเองตาม จรรยาบรรณวิชาชีพครู ซึ่งเปHนแบบสอบถามมาตรประมาณค%า (Rating Scale) 4 ระดับจํานวน 45 ขอ ไดแก% ดานวิชาชีพ 15 ขอ ดานวิสัยทัศน4 15 ขอ ดานบุคลิกภาพ 15 ขอ การตรวจใหคะแนนคือ ขอคําถามทางบวก เปHนประจํา ให 4 คะแนน เปHนส%วนใหญ% ให 3 คะแนน เปHนบางครั้ง ให 2 คะแนน ไม%เคยเลย 1 คะแนน ขอคําถามทางลบ เปHนประจํา ให 1 คะแนน เปHนส%วนใหญ% ให 2 คะแนน เปHนบางครั้ง ให 3 คะแนน ไม%เคยเลย ให 4 คะแนน อรอุษา จันทคร (2551 : 54) ไดสรางแบบสอบถามวัดการพัฒนาตนเองตามเกณฑ4 มาตรฐานวิชาชีพครู 12 มาตรฐานๆ ละ 7 ขอ มาตรฐานละ 7 ขอ รวมทั้งหมด 84 ขอ ดังนี้ มาตรฐานที่ 1 ปฏิบัติกิจกรรมทางวิชาการเกี่ยวกับการพัฒนาวิชาชีพครูอยู%เสมอ มาตรฐานที่ 2 ตัดสินใจปฏิบัติ กิจกรรมต%าง ๆ โดยคํานึงถึงผลที่จะเกิดกับผูเรียน มาตรฐานที่ 3 มุ%งมั่นพัฒนาผูเรียนใหเต็มตามศักยภาพ มาตรฐานที่ 4 พัฒนาแผนการสอนใหสามารถปฏิบัติไดเกิดผลจริง มาตรฐานที่ 5 พัฒนาสื่อการเรียน การสอนใหมีประสิทธิภาพอยู%เสมอ มาตรฐานที่ 6 จัดกิจกรรมการเรียนการสอนโดยเนนผลถาวรที่เกิด แก%ผูเรียน มาตรฐานที่ 7 รายงานผลการพัฒนาคุณภาพของผูเรียนไดอย%างมีระบบ มาตรฐานที่ 8 ปฏิบัติตนเปHนแบบอย%างที่ดีแก%ผูเรียน มาตรฐานที่ 9 ร%วมมือกับผูอื่นในสถานศึกษาอย%างสรางสรรค4 10 มาตรฐานที่ 10 ร%วมมือกับผูอื่นอย%างสรางสรรค4ในชุมชน มาตรฐานที่ 11 แสวงหาและใชขอมูล ข%าวสารในการพัฒนา มาตรฐานที่ 12 สรางโอกาสในการพัฒนาไดทุกสถานการณ4 โดยมีลักษณะเปHน แบบมาตราส%วนประมาณค%า (Rating Scale) ชนิด 4 ระดับ การตรวจใหคะแนนคือ ขอคําถามทางบวก เห็นดวยอย%างยิ่ง ให 4 คะแนน เห็นดวย ให 3 คะแนน ไม%เห็นดวย ให 2 คะแนน ไม%เห็นดวยอย%างยิ่ง ให 1 คะแนน ขอคําถามทางลบ เห็นดวยอย%างยิ่ง ให 1 คะแนน เห็นดวย ให 2 คะแนน ไม%เห็นดวย ให 3 คะแนน ไม%เห็นดวยอย%างยิ่ง ให 4 คะแนน นิตยา กัณณิกาภรณ4 (2553 : 90) ไดสรางแบบสอบถามวัดการพัฒนาตนเองตาม จรรยาบรรณวิชาชีพครู มีลักษณะเปHนมาตราส%วนประมาณค%า (Rating Scale) 5 ระดับ จํานวน 40 ขอ จําแนกเปHน 3 ดาน คือ ดานที่ 1 การพัฒนาตนเองดานวิชาชีพ จํานวน 14 ขอ ดานที่ 2 การพัฒนา ตนเองดานวิสัยทัศน4 จํานวน 13 ขอ ดานที่ 3 การพัฒนาตนเองดานบุคลิกภาพ จํานวน 13 ขอ การตรวจใหคะแนนคือ ปฏิบัติเปHนประจํา ให 5 คะแนน ปฏิบัติบ%อยๆ ให 4 คะแนน ปฏิบัติบาง ให 3 คะแนน ไม%ค%อยได ให 2 คะแนน ปฏิบัติ ให 1 คะแนน ไม%ปฏิบัติเลย ให 1 คะแนน วาสนา จันทร4จ%าย (2553 : 56) ไดสรางแบบสอบถามวัดการพัฒนาตนเอง มีลักษณะเปHนมาตราส%วนประมาณค%า (Rating Scale) 5 ระดับ ไดแก% จริงมากที่สุด จริงมาก จริงปานกลาง จริงนอย และจริงนอยที่สุด จํานวน 30 ขอ การตรวจใหคะแนน จริงมากที่สุด
  • 39.
    25 ให 5 คะแนนจริงมาก ให 4 คะแนน จริงปานกลาง ให 3 คะแนน จริงนอย ให 2 คะแนน และ จริงนอยที่สุด ให 1 คะแนน สําหรับงานวิจัยนี้ผูวิจัยสนใจที่จะศึกษาการพัฒนาตนเอง โดยใชกรอบแนวคิดของ Maslow (ปราณี รามสูตร. 2548 : 213-218), เรียม ศรีทอง (2542 : 165) , รุ%งฤดี กิจควร, (2548 : 173-195), สงวน สุทธิเลิศอรุณ (2545 : 49), สํานักงานปลัดกระทรวงสาธารณสุข (ปรีชา พรมบุตร. 2555 : เว็บไซต4 ; อางอิงมาจาก สํานักงานปลัดกระทรวงสาธารณสุข. ม.ป.ป.) คือแยกเปHน ตัวแปรสังเกตได 3 ตัว ประกอบดวย ตนเอง สังคม การเรียน ปจจัยที่สงผลตอการพัฒนาตนเอง 1. การรับรูความสามารถของตนเอง 1.1 ความหมายของการรับรูความสามารถของตนเอง (Self–efficacy) วิลาสลักษณ4 ชัววัลลี (2538 : 89) ใหความหมาย การรับรูความสามารถของตนเอง หมายถึง ความเชื่อของบุคคลว%าตนมีความสามารถที่จะจัดระบบและกระทํา เพื่อใหบรรลุผลตามที่ กําหนดไว รังสรรค4 โฉมยา (2553 : 199) ใหความหมาย การรับรูความสามารถของตนเอง หมายถึง ความคาดหวังเกี่ยวกับความสามารถของตน ในลักษณะเฉพาะเจาะจง และความคาดหวัง ที่เปHนตัวกําหนดการแสดงออกของพฤติกรรม เปHนการตัดสินใจเกี่ยวกับความสามารถของตนเอง ที่จะจัดการและดําเนินการกระทําพฤติกรรมใหบรรลุเปKาหมายที่กําหนดไว Staples และคณะ (1992 : 5) ใหความหมาย การรับรูความสามารถของตนเองว%า การรับรูความสามารถของตนเองเปHนบทบาทหลักในกระบวนการควบคุมโดยผ%านแรงจูงใจ และ การประสบความสําเร็จในการกระทําของบุคคล นอกจากนี้การรับรูความสามารถของตนเองยังรวมถึง ความพยายามที่บุคคลทุ%มเทลงไป และระยะเวลาที่บุคคลยืนหยัดต%อสิ่งนั้น บุคคลที่มีการรับรู ความสามารถของตนเองสูงจะมีความพยายามที่จะกระทําใหสําเร็จมากกว%าบุคคลที่มีการรับรู ความสามารถของตนเองต่ํา Bandura (1997 : 3) ใหความหมาย การรับรูความสามารถของตนเอง หมายถึง การที่บุคคลตัดสินใจเกี่ยวกับความสามารถของตนเอง ที่จะจัดการและดําเนินการกระทําพฤติกรรมให บรรลุเปKาหมายที่กําหนดไว และยังกล%าวอีกว%าการรับรูความสามารถของตนเอง คือ การตัดสินของ บุคคลถึงความสามารถของตนในการจัดระบบ และกระทํากิจกรรมที่ตองทําเพื่อใหไดผลการปฏิบัติตาม แบบที่กําหนดได Pajares (2009 : 1) ใหความหมาย การรับรูความสามารถของตนเอง หมายถึง ความสามารถของบุคคลในการจัดระเบียบ และวางระบบรูปแบบการกระทําที่เหมาะสม เพื่อตอบสนองต%อสถานการณ4ที่กําลังจะเกิดขึ้น สรุปไดว%า การรับรูความสามารถของตนเอง หมายถึง คุณลักษณะของบุคคลที่จะรับรู ว%าตนเองมีความสามารถที่จะกระทําเรื่องต%างๆ ไดบรรลุเปKาหมายมากนอย เพียงไรและจะทําอย%างไร ต%อไปใหบรรลุเปKาหมายนั้นๆ
  • 40.
    26 1.2 แนวคิด ทฤษฎีการรับรูความสามารถของตนเอง Bandura (ประสาท อิศรปรีดา. 2523 : 288-292 ; อางอิงจาก Bandura. 1986 : 208) ทฤษฎีการรับรูความสามารถของตนเอง (Self-Efficacy Theory) เปHนทฤษฎีการ เรียนรูป6ญญาสังคมของ Bandura ซึ่งอธิบายว%าการเรียนรูจะเกี่ยวของกับป6จจัยหลัก 3 ประการ คือ 1. ความคิดหรือการคาดหวัง หรือความเชื่อและองค4ประกอบส%วนบุคคล (P) 2. พฤติกรรม (B) 3. สิ่งแวดลอม (E) ประสาท อิศรปรีดา (2523 : 281) กล%าวถึงป6จจัยทั้ง 3 นี้ มีความสัมพันธ4กันแบบ 2 ทาง คือ ต%างก็มีอิทธิพลซึ่งกันและกัน เรียกความสัมพันธ4ลักษณะนี้ว%า ป6จจัยกําหนดซึ่งกันและกัน (Reciprocal Determinism) ดังแสดงในภาพประกอบ 1 ความคาดหวัง ความคิด (P) องค4ประกอบทางการ เช%น ค%านิยม ฯลฯ ของบุคคล หนาตา เชื้อชาติ ขนาด เพศ มีอิทธิพลต%อการแสดงออก และคุณลักษณะทางความคิด หรือพฤติกรรม ค%านิยม ฯลฯ เปHนสิ่งเราที่ก%อใหเกิด ปฏิกิริยาจากผูคนรอบขาง พฤติกรรมที่แสดงออกจะถูก ประเมินอย%างอิสระจากการ การกระทําของกลุ%มคน เสริมแรงทางสังคมและจะมี รอบขางมีอิทธิพลต%อการ อิทธิพลต%อความหวัง ความ รับรูตนเองของบุคคล คิด ความเชื่อ ของบุคคล (B) (E) พฤติกรรมหรือการกระทํา แบบอย%างของผลการ ของบุคคล มีอิทธิพลต%อ กระทําหรือผลกรรมที่ผูอื่น ป6จจัยแวดลอมหรือบุคคล ไดรับ เปHนป6จจัยแวดลอม รอบขาง ที่มีอิทธิพลต%อพฤติกรรม ของบุคคล ภาพประกอบ 1ความสัมพันธ4ระหว%างบุคคล (P) พฤติกรรม (B) และสิ่งแวดลอม (E) ซึ่งเปHนป6จจัยกําหนดซึ่งกันและกัน (Reciprocal Determinism)
  • 41.
    27 จากภาพประกอบ 1 แสดงใหเห็นว%าความสัมพันธ4ระหว%างบุคคล พฤตจิกรรม และสิ่งแวดลอมต%างเปHนตัวกําหนดที่มีอิทธิพลเชิงเหตุ-ผล ซึ่งกันและกัน ซึ่งหมายความว%า ถาองค4ประกอบใดองค4ประกอบหนึ่งเปลี่ยนแปลงไป ก็จะส%งผลต%อองค4ประกอบที่เหลือใหเปลี่ยนแปลง ไปดวย บุคคลจะตัดสินใจว%าจะกระทําพฤติกรรมใดพฤติกรรมหนึ่งหรือไม%นั้น ส%วนหนึ่งขึ้นอยู% กับการรับรูความสามารถของตนเอง และอีกส%วนหนึ่งขึ้นอยู%กับความคาดหวังเกี่ยวกับผลกรรม ซึ่งการรับรูความสามารถของตนเอง เปHนการตัดสินความสามารถของตนเองว%าจะสามารถทํางานไดใน ระดับใดในขณะที่ความคาดหวังเกี่ยวกับผลกรรม เปHนการตัดสินว%าผลกรรมใดจะเกิดขึ้นจากการกระทํา ดังกล%าว ดังภาพประกอบ 2 (นวรินทร4 ตากอนทอง. 2549 : 23 ; อางอิงมาจาก Bandura. 1977 : 79) บุคคล พฤติกรรม ผลที่เกิดขึ้น (Person) (Behavior) (Outcome) ความคาดหวังในความสามารถของตนเอง ความคาดหวังในผลที่จะเกิดขึ้น (Efficacy Expectation) (Outcome Expectation) ภาพประกอบ 2 ความแตกต%างระหว%างการรับรูความสามารถของตนเอง และความคาดหวัง ในผลที่จะเกิดขึ้น การรับรูความสามารถของตนเอง และความคาดหวังเกี่ยวกับผลกรรมที่เกิดขึ้น มีความสัมพันธ4กันมาก ความสัมพันธ4ระหว%างตัวแปรทั้งสองมีผลต%อการตัดสินใจที่จะกระทําพฤติกรรม ของบุคคลถาบุคคลมีการรับรูความสามารถของตนเองสูงและมีความคาดหวังเกี่ยวกับผลกรรมที่เกิดขึ้น สูง บุคคลนั้นจะมีแนวโนมที่จะตัดสินใจกระทําพฤติกรรมอย%างแน%นอน แต%ถาบุคคลมีการรับรู ความสามารถของตนเองต่ําและความคาดหวังเกี่ยวกับผลกรรมต่ําดวย หรือการรับรูความสามารถของ ตนเองและความคาดหวังเกี่ยวกับผลกรรมที่เกิดขึ้นเปHนไปในทางตรงกันขามกัน บุคคลก็จะมีแนวโนมที่ จะตัดสินใจไม%กระทําพฤติกรรมนั้นดังภาพประกอบ 3 (สมโภชน4 เอี่ยมสุภาษิต. 2541 : 59)
  • 42.
    28 ความคาดหวังในผลที่เกิดขึ้น สูง ต่ํา สูง มีแนวโนมที่จะทํา แน%นอน มีแนวโนมที่จะไม%ทํา ต่ํามีแนวโนมที่จะไม%ทํา มีแนวโนมที่จะไม%ทํา แน%นอน ภาพประกอบ 3 ความสัมพันธ4ระหว%างการรับรูความสามารถของตนเองและความคาดหวัง ในผลที่เกิดขึ้น จากภาพจะเห็นความสําคัญระหว%างการรับรูความสามารถของตนเองกับความคาดหวัง เกี่ยวกับผลของการกระทําที่จะเกิดขึ้นไดว%า ถาหากบุคคลมีการรับรูเกี่ยวกับความสามารถของตนเองสูง และมีความคาดหวังเกี่ยวกับผลของการกระทําที่จะเกิดขึ้นสูงเช%นเดี่ยวกัน บุคคลก็มีแนวโนมที่จะกระทํา พฤติกรรมนั้นแน%นอน ในทางตรงกันขาม ถาบุคคลมีการรับรูเกี่ยวกับความสามารถของตนเองต่ําและมี ความคาดหวังเกี่ยวกับผลของการกระทําที่จะเกิดขึ้นต่ําดวย ก็มีแนวโนมที่จะไม%กระทําพฤติกรรมนั้น แน%นอน หรือการรับรูความสามารถของตนเองเปHนไปในทางตรงกันขามกับความคาดหวังเกี่ยวกับผลที่จะ เกิดขึ้น บุคคลก็จะมีแนวโนมที่จะตัดสินใจไม%กระทําพฤติกรรมนั้น Bandura (ภัทราภรณ4 สังข4ทอง. 2550 : 35 ; อางอิงมาจาก Bandura. 1986 : 399-401) กล%าวว%า การรับรูความสามารถของบุคคลพัฒนามาจากป6จจัยหลัก 4 ประการ คือ 1. ประสบการณ4จากความสําเร็จ (Enactive Attainment) เปHนป6จจัยที่มีอิทธิพล ต%อการรับรูความสามารถของบุคคลมากที่สุด เนื่องจากความสําเร็จจากการกระทําเปHนประสบการณ4 ที่ บุคคลไดรับโดยตรง และเปHนขอมูลที่มีความเที่ยงตรงสูง การที่บุคคลไดรับความสําเร็จจากการทํางานซ้ํา กันหลายๆ ครั้ง ทําใหบุคคลรับรูความสามารถของตนเองมากยิ่งขึ้น ถึงแมว%าในบางครั้งจะประสบ ความลมเหลวบาง แต%ก็ไม%มีผลมากนัก เพราะบุคคลจะมองว%าความลมเหลวที่เกิด มาจากสาเหตุอื่นๆ 2. การไดเห็นตัวแบบประสบความสําเร็จ (Vicarious Experience) การรับรู ความสามารถของบุคคลส%วนหนึ่งไดรับอิทธิพลจากการไดเห็นผูอื่นประสบความสําเร็จ การไดเห็นบุคคล อื่นกระทําพฤติกรรมที่มีลักษณะคลายคลึงกันแลวประสบความสําเร็จ จะทําใหบุคคลรับรูความสามารถ ของตนเองเพิ่มขึ้น หากแต%ว%าบุคคลจะตองมีความสามารถในการทํากิจกรรมนั้นได เมื่อเปรียบเทียบกับ บุคคลอื่น ถามีความตั้งใจและมีความพยายาม เขาจะสามารถทํางานนั้นได และประสบความสําเร็จ เช%นเดียวกัน 3. การพูดชักจูงจากผูอื่น (Verbal Persuasion) การที่ผูอื่นใชคําพูดชักจูงให บุคคลเชื่อว%าเขามีความสามารถที่จะกระทําพฤติกรรมอย%างใดอย%างหนึ่งไดสําเร็จ จะช%วยใหบุคคล มีกําลังใจ มีความเชื่อมั่นในการกระทําพฤติกรรมต%างๆ มากขึ้น ซึ่งจะทําใหบุคคลเกิดความพยายามที่จะ กระทําพฤติกรรมต%างๆ ใหสําเร็จ มีการรับรูความสามารถของตนเองเพิ่มขึ้น ทั้งนี้ขึ้นอยู%กับบุคคลที่ชักจูง ดวยบุคคลที่มีอิทธิพลต%อการพูดชักจูงใหผูอื่นคลอยตามนั้นจะตองเปHนบุคคลที่ผูถูกชักจูงใหความเชื่อถือ ไววางใจ และมีความสําคัญต%อตัวเขา เช%น พ%อ แม% ครู เพื่อน หรือบุคคลที่มีอิทธิพลต%อเขา เปHนตน การรับรูความสามารถ ของตนเอง
  • 43.
    29 4. สภาวะทางกาย (PhysiologicalState) เปHนป6จจัยที่สําคัญอีกประการหนึ่งที่ มีผลต%อการตัดสินความสามารถของบุคคล การรับรูความสามารถของบุคคลจะสูงหรือต่ํา ส%วนหนึ่งมา จากสภาวะทางกายของเขาเอง กล%าวคือ ในสภาวะที่ร%างกายเกิดการตื่นตัว เช%น เครียด วิตกกังวล ตื่นเตน อ%อนเพลีย เมื่อยลา หรืออยู%ในสภาพการณ4ที่ถูกดุ ถูกว%ากล%าวตักเตือน หรือในสภาวะที่ ร%างกาย ถูกกระตุนมากๆ มักจะทําใหบุคคลกระทําพฤติกรรมไดไม%ดีเท%าที่ควร ซึ่งจะส%งผลใหบุคคล รับรูความสามารถของตนเองต่ํา สรุปไดว%า การรับรูความสามารถของบุคคลนั้นสามารถเกิดขึ้นไดจากป6จจัยต%างๆ อันไดแก% ประสบการณ4จากความสําเร็จ การไดเห็นตัวแบบประสบความสําเร็จ การพูดชักจูงจากผูอื่น และสภาวะทางกาย ถึงแมว%ามีป6จจัยที่มีผลต%อการรับรูความสามารถของบุคคล ส%วนหนึ่งเกิดจาก สิ่งแวดลอมภายนอก แต%กระบวนการรับรูความสามารถของบุคคลเกิดจากภายในตัวบุคคลเอง การส%งเสริมใหผูเรียนมีการรับรูความสามารถของตนเองในระดับที่พอดีจะส%งผลต%อความสําเร็จ ในการกระทําพฤติกรรม มากกว%าการรับรูความสามารถของตนเองสูงหรือต่ําเกินไป 1.3 การวัดการรับรูความสามารถของตนเอง การวัดการรับรูความสามารถของตนเองแบ%งออกเปHน 3 มิติ คือ (1) ระดับ ความยากของงานหรือกิจกรรมที่บุคคลเชื่อว%า ตนมีความสามารถที่จะปฏิบัติได (Level of Job Difficulties) (2) ความมั่นใจของบุคคลที่จะปฏิบัติกิจกรรมที่ระดับความยากหรือเมื่อมีอุปสรรคต%างๆ (Strength of Confidence) (3) การตัดสินว%าตนมีความสามารถในกิจกรรมอื่นๆ ดวยหรือมี ความสามารถเฉพาะในขอบเขตของกิจกรรมนั้น (Generality of Ability) โดย Bandura ไดกล%าวว%า แบบวัดความรับรูความสามารถของตนควรวัดความเชื่อในความสามารถที่จะทํากิจกรรมที่ระดับความ ยากต%างๆ ภายใตขอบเขตเรื่องที่จะศึกษา ทั้งนี้ผลการวิจัยไดแสดงว%าการวัดความมั่นใจมีความเที่ยงตรง เชิงเอกนัย (Convergent Validity) และใหอํานาจในการอธิบายตัวแปรตามไดสูงที่สุด (วิลาสลักษณ4 ชัววัลลี. 2538 : 178) มิติที่ 1 ระดับหรือขนาดความยากของงานที่บุคคลเชื่อว%าตนสามารถปฏิบัติได เปHนความคาดหวังเกี่ยวกับความสามารถของตนซึ่งจะแตกต%างไปในแต%ละบุคคลในการกระทําพฤติกรรม หนึ่ง หรือแตกต%างกันในบุคคลเดียวกัน เมื่อตองทําพฤติกรรมที่มีความยากง%ายแตกต%างกัน เปHนการ คาดหวังของบุคคลว%าตนจะทํางานสําเร็จถึงระดับไหน เมื่อถูกเสนองานที่มีระดับความยากแตกต%างกัน บุคคลที่มีความคาดหวังในความสามารถของตนเองต่ําหรือมีขีดความสามารถจํากัด ทํางานไดเฉพาะเรื่องที่ง%ายๆ ถาไดรับมอบหมายใหกระทําสิ่งที่ยากเกินความสามารถก็จะพบความ ลมเหลว ดังนั้นการมอบหมายงานตองพิจารณาไม%ใหยากเกินความสามารถ ควรเปHนงานที่มีความยาก ระดับปานกลาง มิติที่ 2 ความเขม หรือ ความมั่นใจ ที่จะปฏิบัติไดมนระดับความยากต%างๆ ถาความคาดหวังเกี่ยวกับความสามารถของตนมีความเขมนอย คือ บุคคลไม%มั่นใจในความสามารถของ ตนเมื่อประสบเหตุการณ4ที่ไม%เปHนไปตามที่คาดหวังจะทําใหความคาดหวังเกี่ยวกับความสามารถของตน ลดลง แต%ถามีความเขม หรือความมั่นใจมาก บุคคลจะมีความบากบั่นมานะพยายามมาก แมว%าจะประสบเหตุการณ4ที่ไม%สอดคลองกับความคาดหวังบางก็ตาม
  • 44.
    30 มิติที่ 3 การแผ%ขยายความสามารถหรือการนําไปใช เปHนการแผ%ขยายความ คาดหวังเกี่ยวกับความสามารถของตนเองไปในสถานการณ4อื่น ประสบการณ4การปฏิบัติงานบางอย%าง ก%อใหเกิดความสามารถในการนําไปปฏิบัติในสภาพการณ4อื่นที่คลายกันแต%ในปริมาณที่แตกต%างกัน ไดประสบการณ4บางอย%างอาจไม%ทําใหความคาดหวังเกี่ยวกับความสามารถของตนเองนําไปใช ในสถานการณ4อื่นได สําหรับงานวิจัยนี้ผูวิจัยสนใจที่จะศึกษาการรับรูความสามารถของตนเอง โดยใชกรอบ แนวคิดของ Bandura (ภัทราภรณ4 สังข4ทอง. 2550 : 35 ; อางอิงมาจาก Bandura. 1986 : 399-401) คือแยกเปHน ตัวแปรสังเกตได 4 ตัว ประกอบดวย ประสบการณ4จากความสําเร็จ การไดเห็นตัวแบบประสบความสําเร็จ การพูดชักจูงจากผูอื่น สภาวะทางกาย 2. แรงจูงใจใฝ:สัมฤทธิ์ 2.1 ความหมายของแรงจูงใจใฝ:สัมฤทธิ์ นักวิชาการและนักการศึกษาหลายท%านไดใหความหมายของแรงจูงใจใฝ:สัมฤทธิ์ไวดังต%อไปนี้ อารี พันธ4มณี (2542 : 182) ใหความหมาย แรงจูงใจใฝ:สัมฤทธิ์ว%า เปHนความปรารถนาของบุคคลที่จะทํากิจกรรมต%างๆ ใหดี และประสบความสําเร็จ พงษ4พันธ4 พงษ4โสภา (2542 : 140) ใหความหมาย แรงจูงใจใฝ:สัมฤทธิ์ ว%า เปHนแรงจูงใจที่ทําใหบุคคลมีความตองการที่จะกระทําสิ่งต%างๆ ทั้งในหนาที่การงาน และเรื่องราว ส%วนตัวใหสําเร็จลุล%วง McCelland (เมธาวดี สังขะมาน. 2548 : 30 ; อางอิงจาก McCelland. 1961 : 260 - 265) ใหความหมาย แรงจูงใจใฝ:สัมฤทธิ์ หมายถึง เปHนความปรารถนาที่จะทําสิ่งหนึ่ง สิ่งใดใหสําเร็จลุล%วงไปดวยดีแข%งขันกับมาตรฐานอันดีเยี่ยม หรือทําใหดีกว%าบุคคลอื่นที่เกี่ยวของ พยายามเอาชนะอุปสรรคต%างๆ มีความรูสึกสบายใจเมื่อประสบความสําเร็จ และมีความวิตกกังวล เมื่อทําไม%สําเร็จหรือประสบความลมเหลว Atkinson (จิราวดี ชุมพล. 2549 : 26 ; อางอิงมาจาก Atkinson. 1966 : 240 - 241) ใหความหมาย แรงจูงใจใฝ:สัมฤทธิ์เปHนแรงผลักดันที่เกิดขึ้นเมื่อบุคคลรูตัวว%า การกระทําของตนจะตองไดรับการประเมินจากตนเองหรือบุคคลอื่น โดยเทียบกับมาตรฐานอันดีเยี่ยม ผลจากการประเมินอาจเปHนสิ่งที่พอใจเมื่อกระทําจนสําเร็จหรือไม%น%าพอใจเมื่อกระทําไม%สําเร็จก็ได Spafford, Pesce และ Grosser (เมธาวดี สังขะมาน. 2548 : 30 ; อางอิงมาจาก Spafford Pesce and Grosser. 1997 : 3) ใหความหมาย แรงจูงใจใฝ:สัมฤทธิ์ หมายถึง ความตั้งใจของบุคคลแต%ละคนที่จะกระทําสิ่งต%าง ๆ ใหดี เพื่อบรรลุความสําเร็จ สรุปความหมายของ แรงจูงใจใฝ:สัมฤทธิ์ คือ ความปรารถนาของบุคคลที่จะกระทํา สิ่งต%างๆ ทั้งในหนาที่การงาน และเรื่องราวส%วนตัวใหประสบความสําเร็จไปไดดวยดีตามเปKาหมาย ที่วางไว
  • 45.
    31 2.2 แนวคิดและทฤษฎีเกี่ยวกับแรงจูงใจสัมฤทธิ์ McCelland (ศิวพรไชยพยอม. 2550 : 54 ; อางอิงมาจาก McCelland, 1969) ไดสรุปทฤษฎีแรงจูงใจใฝ:สัมฤทธิ์ไวว%า คนเรามีความตองการอยู% 3 ประการ คือ 1. ความตองการสัมฤทธิผล (Need for Achievement : nach) เปHนความ ปรารถนาจะทําสิ่งใดสิ่งหนึ่งใหลุล%วงไปดวยดี พยายามเอาชนะอุปสรรคต%างๆ มีความสบายใจเมื่อประสบ ความสําเร็จ และมีความวิตกกังวลเมื่อทําไม%สําเร็จหรือประสบความลมเหลว 2. ความตองการความผูกพัน (Need for Affiliation : naff) เปHนความตองการกับ ผูอื่นในสังคม ตองการความเปHนมิตรและสัมพันธภาพที่อบอุ%น สิ่งเหล%านี้จะทําใหบุคคลแสดง พฤติกรรมเพื่อใหไดมาซึ่งการยอมรับจากคนอื่น 3. ความตองการมีอํานาจบารมี (Need for Power : npow) ไดแก% ความตองการ รับผิดชอบบุคคลอื่น ตองการควบคุมและใหโทษแก%ผูอื่นได ทําใหบุคคลแสวงหาอํานาจเพราะจะเกิด ความรูสึกว%าหากทําอะไรไดเหนือคนอื่นจะเปHนความภาคภูมิใจ ผูมีแรงจูงใจใฝ:อํานาจสูงจะเปHนผู พยายามควบคุมสิ่งต%างๆ เพื่อใหตนเองบรรลุความตองการที่จะมีอิทธิพลเหนือกว%าผูอื่นสาระสําคัญ ประการหนึ่งของทฤษฎีแรงจูงใจใฝ:สัมฤทธิ์ของแมคเคนแลนด4 คือ ผูที่จะทํางานไดอย%างประสบ ความสําเร็จ จะตองมีแรงจูงใจดานความตองการสัมฤทธิผลอยู%ในระดับสูง หรือกล%าวไดว%า ความสําเร็จ ของงานจะทําไดโดยการกระตุนความตองการดาน nach เปHนสําคัญ บุคคลแต%ละคนเมื่อมี nach สูง ก็จะสามารถทํางานไดสําเร็จและช%วยใหงานของหน%วยงานสําเร็จไดดวย Atkinson (พินกาน ภัทเศรษฐ4. 2551 : 17-18 ; อางอิงมาจาก Atkinson. 1974) ไดกล%าวถึง แรงจูงใจใฝ:สัมฤทธิ์ว%า ในสถานการณ4หนึ่งผูที่มีแรงจูงใจใฝ:สัมฤทธิ์จะพยายามที่จะ ทํางานนั้นใหสําเร็จ โดยการเปรียบเทียบกับมาตรฐาน ถาผลงานสูงกว%าหรือเท%าเกณฑ4มาตรฐานก็ถือว%า ประสบผลสําเร็จตามความคิดของเขา แรงจูงใจใฝ:สัมฤทธิ์จะขึ้นอยู%กับ 3 องค4ประกอบ คือ 1. ความคาดหวัง (Expectation) หมายถึง การคาดล%วงหนาถึงผลการกระทําของ ตน คนที่มีแรงจูงใจใฝ:สัมฤทธิ์สูงจะคาดล%วงหนาถึงความสําเร็จของงาน 2. สิ่งล%อใจ (Incentive) หมายถึง ความพึงพอใจที่ไดรับจากการทํางาน เช%น เปHนงานที่ตนสนใจหรือถนัดมีผลตอบแทนสูง ถามีสิ่งล%อใจเปHนที่พอใจของบุคคลก็จะทําใหมีแรงจูงใจใฝ: สัมฤทธิ์สูงดวย 3. แรงจูงใจจากความพึงพอใจในการแสวงหาความสุข และหลีกเลี่ยงความผิดหวัง หมายถึง คนเรากระทําการใดก็ย%อมหวังไดรับความสุขความพอใจกับการกระทําตองการความสําเร็จ และกลัวความลมเหลว คนที่ตองการความสําเร็จมากจะมีแรงจูงใจใฝ:สัมฤทธิ์สูง และคนที่กลัวความ ลมเหลวมากก็จะพยายามหลีกเลี่ยงงานที่ตนคิดว%าทําไม%ได ซึ่งจะเปHนผูมีแรงจูงใจใฝ:สัมฤทธิ์ต่ํา การสรางแรงจูงใจใฝ:สัมฤทธิ์ใหเกิดขึ้นจึงอยู%ที่ 3.1 เพิ่มความตองการความสําเร็จ และลดความกลัวความลมเหลวซึ่งจําเปHน ที่ผูปกครองหรือครูตองจัดประสบการณ4ใหนักเรียน ไดรับประสบความสําเร็จซ้ํา ๆ ติดต%อกัน เปHนเวลานาน 3.2 ช%วยใหนักเรียนรูสึกว%าบทเรียนไม%ยากจนเกินไป จะทําใหนักเรียนคิด และเชื่อว%า เขาจะมีโอกาสประสบความสําเร็จได โดยครูใชวิธีแบ%งงาน หรือบทเรียนออกเปHนตอนเปHน หน%วยและใหฝ~กหัดทําทีละหน%วย เมื่อเสร็จขั้นตอนหนึ่งแลวจึงฝ~กขั้นต%อไป วิธีนี้นักเรียนจะไม%เกิด
  • 46.
    32 ความรูสึกว%างานยุ%งยากซับซอน ส%วนการฝ~กทักษะนั้นตองสรางความมั่นใจใหนักเรียน มีกําลังใจและ มีแรงจูงใจในการฝ~กเพิ่มมากขึ้นการฝ~กหัดทักษะควรฝ~กหลาย ๆ อย%างที่จําเปHนสําหรับการเรียน รวมทั้งครูควรจะใหคําปรึกษาและชี้แนะช%องทางที่จะช%วยใหนักเรียนไดทํางานใหสําเร็จไดง%าย และ สะดวกกว%าที่นักเรียนคิด 2.3 ลักษณะของผูมีแรงจูงใจใฝ:สัมฤทธิ์ ลักษณะของผูมีแรงจูงใจใฝ:สัมฤทธิ์ ไดมีการรวบรวมลักษณะของผูมีแรงจูงใจใฝ:สัมฤทธิ์ไว โดยบุคคล จากศาสตร4สาขาต%าง ๆ เช%น Guilford (จิราวดี ชุมพล. 2549 : 26 ; อางอิงมาจาก Guilford. 1967 : 437-439) สรุปลักษณะของผูที่มีแรงจูงใจใฝ:สัมฤทธิ์ว%าประดวย 1. ความทะเยอทะยานทั่ว ๆ ไป คือ ปรารถนาที่จะทํากิจการนั้นใหสําเร็จ 2. มีความเพียรพยายาม ไดแก% ความอดทนมีมานะที่จะทํางานใหเปHนผลสําเร็จ 3. มีความเต็มใจที่จะลําบากแมงานจะยากเพียงใดก็ตาม ก็มุ%งมั่นที่จะทําใหสําเร็จ ดวยดี McClelland (ศิวพร ไชยพยอม. 2550 : 59 ; อางอิงมาจาก McClelland. 1969 : 207-256) สรุปลักษณะของผูที่มีแรงจูงใจใฝ:สัมฤทธิ์สูงไวดังนี้ 1. กลาเสี่ยงอย%างเหมาะสม (Moderate Risk - Taking) มีการตัดสินใจ ที่เด็ดเดี่ยว 2. ไม%ชอบงานที่ตองอาศัยโชคหรือดวงชะตา ไม%ชอบทําสิ่งที่ง%ายๆ หรือไม%ตองใช ความสามารถ แต%จะเลือกทําสิ่งที่ยากและเหมาะสมกับความสามารถของตนเอง 3. มีความกระตือรือรน (Energetic) หรือความขยันขันแข็งในการกระทําสิ่ง แปลกๆ ใหม% ๆ ผูที่มีแรงจูงใจใฝ:สัมฤทธิ์สูงไม%ไดขยันไปทุกกรณี แต%จะเอาใจใส%มานะพากเพียรต%อสิ่งที่ทา ทาย ซึ่งเปHนงานที่ตองใชสมองคิด และจะทําใหตนเองเกิดความรูสึกไดว%าทํางานสําคัญสําเร็จลุล%วงไปได 4. มีความรับผิดชอบต%อตนเอง (Individual Responsibility) ผูที่มีแรงจูงใจใฝ: สัมฤทธิ์สูงจะพยายามทํางานใหสําเร็จเพื่อความพึงพอใจของตนเองมิใช%จะหวังใหคนอื่นยกย%องตน แต%ตองการปรับปรุงตัวเองใหดีขึ้น ไม%ชอบใหผูอื่นมาบงการ ว%าตนควรจะทําอย%างนั้นอย%างนี้ 5. ตองการทราบผลของการตัดสินใจ (Knowledge of result Decision) ผูที่มีแรงจูงใจ ใฝ:สัมฤทธิ์สูงจะติดตามผลของการกระทําของตนว%ามีผลอย%างไร ไม%ใช%คาดคะเนว%าเปHน อย%างนั้นอย%างนี้และเมื่อทราบผลของการกระทําแลวก็ยังพยายามปรับปรุงใหดีกว%าเดิมอีก 6. คาดการณ4ล%วงหนา (Anticipation of Future Possibilities) ผูที่มีแรงจูงใจใฝ: สัมฤทธิ์สูงเปHนผูที่มีการวางแผนระยะยาวเพราะเล็งเห็นการณ4ไกลกว%าผูที่มีแรงจูงใจใฝ:สัมฤทธิ์ต่ํา 7. มีทักษะในการจัดระบบงาน (Organizational Skill) ใหเกิดประสิทธิภาพใน การทํางานอย%างเปHนระบบ Herman (ปราณี เพ็ชรศิริ. 2549 : 28 ; อางอิงมาจาก Herman. 1970 : 53) ไดรวบรวมลักษณะของผูที่มีแรงจูงใฝ:สัมฤทธิ์ไว 10 ประการ ดังนี้ 1. บุคคลที่มีระดับความทะเยอทะยานสูง 2. ตองเปHนผูมีความหวังอย%างมากกว%าตนเองจะประสบผลสําเร็จ ถึงแมการกระทํา นั้นจะขึ้นอยู%กับโอกาสก็ตาม
  • 47.
    33 3. มีความพยายามไปที่จะมุ%งสู%สถานะที่สูงขึ้นไปเปHนลําดับ 4. มีความอดทนทํางานที่ยากไดเปHนเวลานาน 5.ถึงแมงานที่ทําถูกขัดจังหวะ หรือถูกรบกวนจะพยายามทําต%อไปใหสําเร็จ 6. รูสึกว%าเวลาเปHนสิ่งที่ไม%หยุดนิ่งและสิ่งต%าง ๆ เกิดขึ้นอย%างรวดเร็ว 7. คิดคํานึงถึงเหตุการณ4ในอนาคตมากกว%าอดีตและป6จจุบัน 8. มีความคิดพิจารณาเลือกเพื่อนร%วมงานที่มีความสามารถเปHนอันดับแรก 9. ตองการใหเปHนที่รูจักแก%ผูอื่น โดยพยายามปรับปรุงงานของตนเองใหดีขึ้น 10. พยายามปฏิบัติสิ่งต%าง ๆ ของตนเองใหดีเสมอ สุพจน4 สินสุวงศ4วัฒนา (สมใจ จุฑาผาด. 2549 : 38 ; อางอิงมาจาก สุพจน4 สินสุวงศ4วัฒนา. 2527 : 29-31) ไดศึกษาทฤษฎีการจัดระบบบุคลิกภาพของ Eysenck มาเปHน แนวทางจําลองทฤษฎีบุคลิกภาพของผูที่มีแรงจูงใจใฝ:สัมฤทธิ์ โดยไดกําหนดลักษณะผูที่มีแรงจูงใจใฝ: สัมฤทธิ์ออกเปHน 6 ดาน ดังนี้ 1. ความทะเยอทะยาน (Aspiration) เปHนการตั้งระดับความคาดหวังไวสูง การพยายามไปสู%สถานะที่สูงขึ้น ใหคนอื่นรูจักดวยผลงาน ตองการชัยชนะเมื่อมีการแข%งขัน ตองการ ดีเด%นเหนือคนอื่น ตองการใหงานของตนสําเร็จในระดับสูง ตองการความกาวหนาในการทํางานเลือก กิจกรรมที่เกี่ยวของกับการแข%งขัน หรือฝ~กความชํานาญ 2. ความกระตือรือรน (Energetic) มีความขยันขันแข็ง มีความเอาใจใส%เต็มใจ และตั้งใจจริงในการทํางาน มีความอดทนสูง ทํางานที่ไดรับมอบหมายทันที ไม%ผัดวันประกันพรุ%ง มานะ พยายามที่จะทํางานใหสําเร็จอย%างมีประสิทธิภาพ สนุกสนานในการทํางานเห็นคุณค%าของเวลา อาสาทํางานที่ตนถนัด ไม%ย%อทอต%องานที่ยุ%งยาก 3. ความกลาเสี่ยง (Moderate Risk Taking) กลาตัดสินใจในการกระทําสิ่งต%างๆ เลือกทําสิ่งที่เปHนไปได มีความยากเหมาะสมกับความสามารถ มุ%งความสําเร็จมากกว%าหลีกเลี่ยง ความลมเหลว ทําทุกสิ่งดวยความมั่นใจ ไม%เชื่อโชคลาง หรือสิ่งมหัศจรรย4 กลาไดกลาเสีย เลือกงานที่ยาก และทาทายความสามารถ 4. ความรับผิดชอบต%อตนเอง (Individual Responsibility) การทํางานมุ%งใหสําเร็จ เพื่อความพึงพอใจของตน การปรับปรุงตนเองใหดีเสมอ แมถูกรบกวนในขณะทํางานก็จะทํางานนั้นให สําเร็จได มีความผูกพันกับงานที่ไดรับมอบหมาย กลารับผิดชอบในผลงานของตน 5. การรูจักวางแผน (Planning) การมีแบบแผนในการทํางาน มีจุดประสงค4ใน การทํางานที่เด%นชัด มองเห็นลู%ทางในการทํางานอย%างเปHนขั้นตอน เล็งเห็นการณ4ไกล มีความมุ%งหวังที่ ยาวนานเกี่ยวกับความสําเร็จในชีวิต มีความรอบคอบ และรวบรวมรายละเอียดก%อนตัดสินใจการทํางาน อย%างรัดกุม ประณีต และเปHนระเบียบ การแสดงออกของความคิดที่กลั่นกรองแลว ผูกพันกับ อนาคตมากกว%าอดีต หรือป6จจุบัน เลือกเพื่อนร%วมงานที่มีความสามารถเปHนอันดับแรก 6. ความมีเอกลักษณ4 (Unique of Characteristic) การริเริ่มทําสิ่งต%างๆ ดวย ความคิดของตนเองสูง มีอิสระในการแสดงออก สนใจเหตุการณ4หรือสิ่งใหม% ๆ การใชความคิดหรือ ทฤษฎีใหม% ๆ ในการแกป6ญหาการกระทําที่ไม%ซ้ําแบบใคร
  • 48.
    34 2.4 การวัดแรงจูงใจใฝ:สัมฤทธิ์ สุพจน4 สินสุวงศ4วัฒน4(สมใจ จุฑาผาด. 2549 : 38 ; อางอิงมาจาก สุพจน4 สินสุวงศ4วัฒน4. 2527 : 31) กล%าวว%า การวัดแรงจูงใจใฝ:สัมฤทธิ์เปHนการวัดบุคลิกภาพดานหนึ่ง นักจิตวิทยาไดพยายามสรางเครื่องมือขึ้นมาเพื่อวัดแรงจูงใจใฝ:สัมฤทธิ์ซึ่งมีอยู% 5 วิธี คือ 1. วิธีการสังเกต การสังเกตเปHนรากฐานของวิทยาศาสตร4ทุกแขนง 2. วิธีการทดสอบ การทดสอบประกอบดวยขอความหลายสิบขอที่ผูทดสอบ ตั้งขึ้นโดยถือเอาปกติวิสัยของคนทั่วๆ ไปเปHนมาตรฐานซึ่งบางขอเปHนขอคําถามเกี่ยวกับความกลัว ความวิตกกังวล หรือเศรษฐกิจ ความสนใจในสิ่งต%างๆ หรือปฏิกิริยาที่ตนทําอยู%เสมอๆ เมื่อตกอยู%ใน สภาพนั้นๆ เปHนตน 3. การประมาณค%าโดยการเลือกคุณลักษณะ บุคลิกภาพที่เปHนเครื่องเชิดชูให บุคลิกภาพเด%นสะดุดตา เช%น ความสงบเสงี่ยม แลวใหหลายๆคนช%วยกันประมาณค%าว%าบุคลิกภาพของ ผูถูกประมาณค%านั้นตกอยู%ในขั้นไหน คือ มีความสงบเสงี่ยมมากนอยเพียงใด 4. การวิเคราะห4ตัวเอง คือ การประมาณค%าตัวเองแบบวิเคราะห4ตัวเอง เปHนคําถาม แบบปรนัย จะเปHนประโยชน4ในการเลือกอาชีพใหเหมาะสมกับบุคลิกภาพของตน 5. การสัมภาษณ4 มีหลักคลายๆ กับการวิเคราะห4ตนเอง ผูสัมภาษณ4เปHนผูจด บันทึกและประมาณค%าบุคลิกภาพของเรา ผูถูกสัมภาษณ4จะไม%รูตัวว%าถูกสอบบุคลิกภาพ สําหรับงานวิจัยนี้ผูวิจัยสนใจที่จะศึกษาแรงจูงใจใฝ:สัมฤทธิ์ โดยใชกรอบแนวคิดของ Guilford (จิราวดี ชุมพล. 2549 : 26 ; อางอิงมาจาก Guilford. 1967 : 437-439), McClelland (ศิวพร ไชยพยอม. 2550 : 59 ; อางอิงมาจาก McClelland. 1969 : 207- 256), Herman (ปราณี เพ็ชรศิริ. 2549 : 28 ; อางอิงมาจาก Herman. 1970 : 53, สุพจน4 สินสุวงศ4วัฒนา (สมใจ จุฑาผาด. 2549 : 38 ; อางอิงมาจาก สุพจน4 สินสุวงศ4วัฒนา. 2527 : 29-31) คือแยกเปHนตัวแปรสังเกตได ตัวแปรสังเกตได 5 ตัว ประกอบดวย ความ ทะเยอทะยาน ความกระตือรือรน ความกลาเสี่ยง การรูจักวางแผน ความมีเอกลักษณ4 3. การควบคุมตนเอง 3.1 ความหมายของการควบคุมตนเอง Bandura (อรพลอย เกษมสันต4 ณ อยุธยา. 2546 : 11 ; อางอิงมาจาก Bandura. 1977 : 140) ใหความหมาย การควบคุมตนเองว%า เปHนความสามารถในการกําหนด ตนเองของบุคคล ดานความคิด อารมณ4 ความรูสึก และการกระทําใหเปHนไปในทิศทางที่บุคคลตองการ ไม%ว%าจะเผชิญป6ญหาหรืออุปสรรคใด ๆ หรืออยู%ในสถานการณ4ที่เกิดป6ญหาความขัดแยงในใจ Rosenbaum (นงนุช โรจนเลิศ. 2533 : 18 ; อางอิงมาจาก Rosenbaum. 1980 : 109-121) ใหความหมาย การควบคุมตนเอง เปHนความสามารถของบุคคลที่จะละเวน การกระทําบางชนิดหรือความสามารถที่จะกระทําพฤติกรรมดวยเหตุผล และความอดทนเพื่อใหเกิดผลดี ตามที่ตองการหรือหลีกเลี่ยงสิ่งไม%ดีที่อาจเกิดขึ้น ตลอดจนความสามารถในการจัดสภาพแวดลอม เพื่อใหเกิดพฤติกรรมตามที่บุคคลมุ%งหวังไว แมเมื่อบุคคลนั้นตองเผชิญกับป6ญหา อุปสรรค หรืออยู%ใน ภาวะที่เกิดป6ญหาความขัดแยงในจิตใจ ความสามารถดังกล%าว ประกอบดวย
  • 49.
    35 1. การใชความคิดอย%างมีเหตุผล และคําพูดบอกตนเองในการควบคุมการ แสดงออกทางอารมณ4และการกระทํา 2.การประยุกต4วิธีการมาใชแกป6ญหาอย%างเปHนลําดับขั้น เช%น การวางแผนการให คําจํากัดความของป6ญหา การประเมินตัวเลือก การคาดหมายถึงสิ่งที่จะเกิดตามมา 3. ความสามารถที่จะยับยั้งการกระทําตามอําเภอใจ 4. การรับรูถึงประสิทธิภาพในผลการกระทําของตนเอง (Self Efficiency) เช%น สามารถสังเกตเห็นถึงคุณสมบัติ และความสามารถของตนในการควบคุมสิ่งแวดลอม หรือ ควบคุมผลการกระทําดวยตนเอง การควบคุมตนเอง (Self - Control) คือ กระบวนการที่บุคคลใชวิธีการใดหรือหลาย วิธีรวมกัน เพื่อเปลี่ยนแปลงพฤติกรรมของตนเองจากพฤติกรรมที่ไม%พึงประสงค4โดยบุคคลนั้นเปHน ผูกําหนดพฤติกรรมเปKาหมาย และกระบวนการที่จะนําไปสู%เปKาหมายดวยตนเอง ส%วนผูบําบัดหรือ ผูใหคําปรึกษานั้นมีบทบาทเปHนเพียงผูฝ~กวิธีการเหมาะสมใหเท%านั้น (พิมผะกา อัคคะพู. 2543 : 18 ; อางอิงมาจาก Cormier and Cormier. 1979 : 476) การควบคุมตนเอง เปHนการปรับพฤติกรรม ที่มีพื้นฐานมาจากทฤษฎีการเรียนรู ซึ่งตามทฤษฎีการเรียนรูนั้นเชื่อว%า พฤติกรรมเปHนผลจากการมี ปฏิสัมพันธ4กับสิ่งแวดลอม ทั้งนี้เพราะสิ่งแวดลอมเปHนตัวการควบคุมพฤติกรรม เมื่อสิ่งแวดลอม เปลี่ยนไปพฤติกรรมก็เปลี่ยนไปดวย แต%ในขณะเดียวกันเมื่อพฤติกรรมของบุคคลที่เปลี่ยนแปลงไป ก็จะเปHนตัวกําหนดสิ่งแวดลอมใหม%เช%นเดียวกัน ดังนั้นจึงเปHนไปไดว%าพฤติกรรมของบุคคล และ สิ่งแวดลอมต%างมีอิทธิพลซึ่งกันและกัน (พิมผะกา อัคคะพู. 2543 : 20 ; อางอิงมาจาก Kalish. 1981 : 294) การควบคุมตนเองจึงเปHนการประยุกต4หลักพฤติกรรมเพื่อปรับปฏิสัมพันธ4ระหว%าง พฤติกรรมและสิ่งแวดลอมของบุคคลโดยบุคคลนั้นเอง ซึ่งเปHนการเปwดโอกาสใหบุคคลไดควบคุม พฤติกรรมของตนเอง เปHนการลดความสําคัญของอิทธิพลภายนอกลง และทําใหบุคคลมีอิสระ ที่จะกําหนดพฤติกรรมของตนเองไดมากขึ้น ซึ่ง Watson และ Tarp (จันทรา เชาว4วิทยาม. 2545 : 13 ; อางอิงมาจาก Watson and Tarp. 1972 : 73) ไดใหแนวคิดว%า การควบคุมตนเองมิได หมายความว%า บุคคลอื่นจะเกี่ยวของไม%ไดแมว%าบุคคลสามารถควบคุมสิ่งแวดลอมได ก็มิใช%ตัดขาด จากอิทธิพลภายนอกโดยสิ้นเชิงในทางปฏิบัตินั้นการควบคุมตนเอง บุคคลอื่น ก็สามารถเขาไปใหความ ช%วยเหลือได โดยผูที่เปHนนักปรับพฤติกรรมจะทําหนาที่ใหความแนะนํา และใหคําปรึกษาในกรณีที่ผูถูก ปรับพฤติกรรมตนเองเกิดป6ญหาเกี่ยวกับขั้นตอนการดําเนินการของกระบวนการควบคุมตนเอง การควบคุมตนเอง เปHนวิธีการที่สามารถนํามาใชในการลดพฤติกรรมที่ ไม%พึงประสงค4หรือเพิ่มพฤติกรรมที่พึงประสงค4 หรือต%อตานพฤติกรรมที่เบี่ยงเบน เพราะฉะนั้น การควบคุมตนเองจึงตองใชความพยายาม พฤติกรรมใดที่ทําไดยาก ก็จะตองใชความพยายาม มากกว%าพฤติกรรมที่ทําไดง%าย (จิตรฎายิน เอี่ยมอุย. 2549 : 26 ; อางอิงมาจาก Wilson and O’leary. 1980 : 214) และการควบคุมตนเองยังเปHนผลมาจากการเรียนรูทางสังคม โดยที่บุคคล พยายามปรับตัวเพื่อใหเปHนที่ยอมรับของสังคม (จันทรา เชาว4วิทยา. 2545 : 13 ; อางอิงมาจาก Kanfer and Phillips. 1970 : 416)
  • 50.
    36 Skinner (สมโภชน4 เอี่ยมสุภาษิต.2541 : 328 – 329 ; อางอิงมาจาก Skinner. 1953) ใหความหมาย การควบคุมตนเองมิใช%เรื่องใหม%แต%อย%างใด เปHนวิธีการที่คนส%วนใหญ%ไดเคยกระทํา มาแลวในชีวิตประจําวันแทบทั้งสิ้น และไดเสนอวิธีการที่คนเราใชในการควบคุมตนเองดังต%อไปนี้ 1. ใชวิธีการยับยั้งทางร%างกาย เช%น การกัดริมฝ…ปากตนเองเพื่อไม%ใหหัวเราะ หรือปwดตาตนเองเพื่อไม%ใหเห็นบางสิ่งบางอย%างที่ไม%ตองการจะเห็น เปHนตน การกระทําดังกล%าว ทําใหบุคคลนั้นสามารถหลีกเลี่ยงจากผลกรรมที่ไม%พึงพอใจได 2. เปลี่ยนแปลงเงื่อนไขสิ่งเราหรือสัญญาณต%างๆ ที่ควบคุมพฤติกรรมที่ตองการ จะหลีกหนี เช%น การเลือกสถานที่ตากอากาศ เพื่อที่จะหลีกหนีสัญญาณต%างๆ ที่เกี่ยวกับการทํางาน จดรายการนัดหรือจดวันที่สําคัญ ลงในปฏิทินจะเปHนสิ่งเราใหแสดงพฤติกรรมบางอย%างในเวลาต%อมา อันเปHนผลทําใหสามารถหลีกหนีจากสภาพการณ4ที่ไม%พึงพอใจอันจะเกิดขึ้นไดจากการลืม ที่จะแสดง พฤติกรรมบางอย%างในเวลาดังกล%าว ดังนั้นการเปลี่ยนเงื่อนไขสิ่งเราหรือสัญญาณต%าง ๆ จะช%วยให คนเราแสดงพฤติกรรมที่พึงปรารถนามากยิ่งขึ้น 3. ยุติการกระทําบางอย%าง เช%น การที่คนเรางดการรับประทานอาหารกลางวัน เพื่อที่จะไดรับประทานอาหารเย็นที่แสนจะอร%อยมากขึ้น หรืองดอาหารก%อนการแข%งขันกีฬาเปHนตน 4. เปลี่ยนแปลงการตอบสนองทางอารมณ4 บางครั้งเราอาจจะพบว%า การแสดง พฤติกรรมตามอารมณ4ที่เกิดขึ้นกับตนเองนั้นอาจนําไปสู%ผลกรรมที่ไม%พึงพอใจได จึงเปลี่ยนแปลง การตอบสนองทางอารมณ4เสียใหม% โดยการแสดงพฤติกรรมที่ขัดกับพฤติกรรมที่เคยแสดงออก เมื่อมีอารมณ4ดังกล%าว เช%น การเห็นหัวหนางานของตนตกบันไดแลวรูสึกขบขันจนถึงขั้นหัวเราะออกมา แต%ก็รูว%าถาหัวเราะออกมาอาจจะถูกหัวหนางานลงโทษได ดังนั้นจึงตองเปลี่ยนแปลงการสนองตอบ ใหม% โดยการเอาฟ6นกัดลิ้นของตนเองหรือหยิกขาตนเอง เปHนตน 5. ใชเหตุการณ4ที่ไม%พึงพอใจในสภาพแวดลอม เพื่อควบคุมพฤติกรรมของ ตนเองเช%น การตั้งนาฬิกาปลุก โดยที่เสียงนาฬิกาปลุกจะเปHนเหตุการณ4ที่ไม%พึงพอใจ ทั้งนี้เพื่อที่ จะทําใหสามารถไปทํางานใหตรงเวลา 6. ใชยาแอลกอฮอล4 หรือสิ่งกระตุนต%างๆ เพื่อควบคุมพฤติกรรมของตนเอง เช%น การดื่มสุรา เพื่อที่จะใหลืมความทุกข4 หรือดื่มกาแฟเพื่อที่จะไดไม%เกิดอาการง%วงนอนในขณะ ที่อ%านหนังสือหรือขับรถ เปHนตน 7. การใหการเสริมแรงหรือการลงโทษตนเอง บุคคลอาจจะสัญญากับตนเอง ว%า ถาอ%านหนังสือจิตวิทยาจบแลวจะไปดูโทรทัศน4 หรือถาทําคะแนนสอบไม%ไดดี ก็อาจจะลงโทษ ตนเองโดยการไม%ดูภาพยนตร4เปHนเวลา 1 เดือน 8. ทําสิ่งอื่นแทนสิ่งที่กําลังทําอยู% โดยบุคคลจะเปลี่ยนไปแสดงพฤติกรรมอื่น แทนที่จะแสดงพฤติกรรมที่จะนําตนเองไปสู%การไดรับผลกรรมที่ไม%พึงพอใจ เช%น การเปลี่ยนหัวขอ สนทนาเพื่อที่ว%าจะไดหลีกเลี่ยงการโตเถียง เปHนตน กาญจนา พูนสุข (2544 : 54) ใหความหมาย การควบคุมตนเอง (Self - Control) คือ การที่บุคคลหนึ่งพยายามที่จะทําพฤติกรรมใดพฤติกรรมหนึ่ง พฤติกรรมที่จะถูกควบคุมนี้มักจะ เกี่ยวของกับผลที่ตามมาทั้งในดานที่พึงปรารถนา และไม%พึงปรารถนา พฤติกรรมที่ไม%ตองการ ควบคุมนั้นจะเกี่ยวของกับผลลัพธ4ในป6จจุบันที่มีความสุข ความพอใจ แต%ผลในระยะหลังแลวจะเปHน ผลลัพธ4ที่ไม%พึงปรารถนา รูปแบบของการควบคุมตนเองนั้นเกิดจากกระบวนการในทางสัญลักษณ4
  • 51.
    37 และพฤติกรรมในการควบคุมตนเองนี้จะถูกรักษาไวโดยตัวแปรภายนอก มียุทธวิธีในการควบคุม ตนเองแบบพื้นฐานอยู% 2ประการดวยกันคือ 1. พฤติกรรมที่เกิดจากการควบคุมจากสิ่งแวดลอมภายนอก (Environmental Planning) วิธีการนี้ผูที่ตองการควบคุมตนเอง จะจัดเตรียมสิ่งแวดลอมภายนอกที่เกี่ยวของใหมี อิทธิพลต%อการเกิดพฤติกรรมที่ปรารถนา หรือพฤติกรรมที่ตองการ 2. การตั้งโปรแกรมการควบคุมพฤติกรรมดวยตนเอง (Behavioral programming) วิธีการนี้จะใชเมื่อผูควบคุมตนเองไดกําหนดสิ่งต%าง ๆ ที่เกิดขึ้น หลังจากที่ประสบ ความสําเร็จในการกระทําพฤติกรรมเปKาหมาย หรือพฤติกรรมที่ปรารถนาโดยสรุปแลวการควบคุมตนเอง หมายถึง การกระทําของบุคคลที่จะบังคับตนเองใหละเวนการกระทําบางอย%าง โดยการกําหนดความคิด อารมณ4 ความรูสึก การเปลี่ยนแปลงการตอบสนองทางอารมณ4 การกระทําพฤติกรรมดวยเหตุผล และ ความอดทน การจัดสภาพแวดลอมใหหลีกเลี่ยงการกระทําพฤติกรรม สามารถเผชิญสิ่งยั่วยุ ป6ญหา อุปสรรค และสถานการณ4กดดันแมอยู%ในภาวะที่เกิดป6ญหาความขัดแยงในจิตใจ เพื่อใหเกิดพฤติกรรม เปKาหมายที่ดีตามที่มุ%งหวังไว สรุปไดว%า การควบคุมตนเอง หมายถึง คุณลักษณะของบุคคลที่จะบังคับตนเองใหละเวน การกระทําบางอย%าง โดยการกําหนดความคิด อารมณ4 ความรูสึก การเปลี่ยนแปลง การตอบสนอง ทางอารมณ4 การกระทําพฤติกรรมดวยเหตุผล และความอดทน การจัดสภาพแวดลอม ใหหลีกเลี่ยงการกระทําพฤติกรรม สามารถเผชิญสิ่งยั่วยุ ป6ญหาอุปสรรค และสถานการณ4 กดดันแมอยู%ในภาวะที่เกิดป6ญหาความขัดแยงในจิตใจ เพื่อใหเกิดพฤติกรรมเปKาหมายที่ดีตามที่มุ%งหวังไว 3.2 ทฤษฎีเกี่ยวกับการควบคุมตนเอง ทฤษฎีเชาว4อารมณ4 (Emotional Intelligent Theory) (พรรณทิพย4 ศิริวรรณบุศย4. 2551 : 80-82) ทฤษฎีเชาว4อารมณ4มิใช%ทฤษฎีทางพัฒนาการมนุษย4โดยตรง แต%เปHนการเสนอรูปแบบ การควบคุมอารมณ4ใหเกิดตามวุฒิภาวะของบุคคล ความฉลาดทางอารมณ4มีความสัมพันธ4ใกลชิดกับ สติป6ญญา Cooper and Sawaf ไดเสนอ The Four Cornerstone Model ของเชาว4อารมณ4 ไวดังนี้ เสาตนที่หนึ่ง ความสามารถประเมินอารมณ4และการแสดงออกของอารมณ4 (Emotional Literacy) ประกอบดวย 1. ความซื่อสัตย4ต%ออารมณ4 (Emotional Honesty) 2. มีพลังอารมณ4 (Emotional Energy) 3. หยั่งรูอารมณ4 (Practical Intuition) 4. สามารถที่จะปKอนกลับอารมณ4 (Emotional Feedback) เสาตนที่สอง สามารถควบคุมอารมณ4ไดและแสดงออกอย%างเหมาะสม (Emotional Fitness) ประกอบดวย 1. เรียนรูอารมณ4ที่เกิดขึ้น (Authentic Presence) 2. ควบคุมอารมณ4ควบคุมการแผ%ขยายของอารมณ4ได (Trust Radius) 3. จัดโครงสรางอารมณ4ที่ไม%ดี (Constructive Discontent) 4. ปรับแกและสรางอารมณ4ใหม%ได (Resilience and Renewal)
  • 52.
    38 เสาตนที่สาม รูความลึกของอารมณ4 และใชอารมณ4ใหเกิดประโยชน4(Emotional Depth) ประกอบดวย 1. รูศักยภาพและจุดมุ%งหมายเฉพาะของอารมณ4 (Unique Potential and Purpose) 2. รูอารมณ4ผูกพันและเขาใจลึกซึ้ง (Commitment, Accountability and Conscience) 3. ประยุกต4รวมอารมณ4 (Applied Integrity) 4. มีอิทธิพลแต%ไม%ใชอํานาจ (Influence without Authority) เสาตนที่สี่ ความอดกลั้น อดทน รูจักการรออย%างมีความพากเพียร (Emotional Alchemy) ประกอบดวย 1. หยั่งรูการเกิดอารมณ4 (Intuitive Flow) 2. ปรับตามเวลาที่เปลี่ยนไป (Reflective Time-shifting) 3. รูโอกาสที่เหมาะสม (Opportunity Sensing) 4. กําหนออนาคต (Creating the Future) ป6จจัยที่มีอิทธิพลต%ออารมณ4 ลักษณะการแสดงออกของอารมณ4ของแต%ละคนนั้นไม%เหมือนกัน และแต%บุคคล จะมีลักษณะอารมณ4ประจําตัว (Emotional Style) เช%นบางคนโมโหง%าย บางคนใจรอน บางคนใจ เย็น และบางคนก็ชอบสนุก สิ่งที่ทําใหคนเรามีลักษณะอารมณ4ต%างกันคือ 1. พันธุกรรม (Heredity) Vandenberg และ Gottesman ไดศึกษาเด็กฝาแฝด เหมือน (Identical twins) พบขอที่น%าสนใจว%า เด็กฝาแฝดเหมือนจะมีลักษณะอารมณ4ประจะตนที่ คลายกันมากกว%าเด็กฝาแฝดคลาย ละนอกจากนี้ไดมีการพิสูจน4คนพบว%า เด็กชายที่ไดรับการกําหนดทาง พันธุกรรมเปHน xyy จะมีความกาวราวมากกว%าปกติ แต%ยังไม%มีการวิจัยที่ยืนยันแน%ชัดว%า อารมณ4มี การถ%ายทอดทางพันธุกรรม 2. ประสบการณ4เดิม (Early Experience) ประสบการณ4เดิมที่คนเราไดรับ จากการเลี้ยงดูอบรมก%อนนั้นเปHนอิทธิพลสําคัญที่ทําใหเราสรางลักษณะอารมณ4ประจําตนขึ้น นักจิตวิทยาไดศึกษาวิจัยและพบว%า เด็กๆ ที่ไดรับการอุมทะนุถนอม ไกวเปลเห%กล%อมเสมอๆ จะเปHน เด็กที่อารมณ4สุข รื่นเริง และมีความคงที่ทางอารมณ4มากกว%าเด็กที่ไดรับสิ่งเหล%านี้ตามตารางเวลาที่ มารดากําหนดขึ้น เด็กพวกหลังจะเปHนเด็กที่ชอบรองไห กวนบ%อย มีอารมณ4หงุดหงิด และอารมณ4 ไม%คงที่ 3. สังคม (Society) สังคมมีอิทธิพลอย%างยิ่งต%อพัฒนาการทางอารมณ4ของเด็ก สังคมที่เด็กเจริญเติบโตขึ้นก็มีส%วนสรางแบบอย%างทางอารมณ4 เช%น Margaret Mead ไดศึกษาชนสอง เผ%าในเกาะนิวกินี คือชนเผ%า Arapesh และเผ%า Mundugumor พบว%า ชาวเผ%าอราเพชเปHนพวกที่มี อารมณ4สนุกสนาน มีความสุข รื่นเริง รักสงบเชื่อว%าชีวิตเปรียบเสมือนดอกไม ชีวิตในครอบครัวจึงเต็มไป ดวยความรัก ความอบอุ%น แต%ชาวเผ%ามันดูกูมัวมีอารมณ4แข็งกระดาง กาวราว รุกราน ชอบทําลาย ชอบการต%อสูผจญภัย เด็กๆ ที่เติบโตมาก็จะถ%ายทอดลักษณะหรือรูปแบบของสังคมนั้นๆ ไว
  • 53.
    39 4. ยาหลอนประสาท (HallucinogenicDrugs) ยาหลอนประสาทและ ยาเสพติดบางชนิดมีส%วนทําใหคนเกิดอารมณ4บางอย%างได เช%น เฮโลอีนและฝw“น ทําใหผูใชยามีอารมณ4 สงบเงียบ ส%วนคนที่สูบกัญชานี้จะมีอารมณ4หวาดกลัวโดยไม%มีเหตุผล และในขณะเดียวกัน ก็จะมีอารมณ4รื่นเริง หัวเราะง%าย อารมณ4ของผูกินยาจะแปรปรวนไดง%ายการแสดงออกของอารมณ4 เมื่อเกิดอารมณ4ขึ้นตองมีการแสดงออก การแสดงออกของอารมณ4จะผ%านอินทรีย4ของบุคคล ฉะนั้น คนเราเมื่อเกิดอารมณ4จะแสดงออกได 2 ทาง คือ 4.1. แสดงดวยวาจา (Verbal Response) เช%นส%งเสียงดัง กล%าวคําสบถ พูดเสียงดัง หัวเราะ เปHนตน 4.2. แสดงดวยท%าทาง (Bodily Expression) อาจทําไดดังต%อไปนี้ 4.2.1 การแสดงออกทางใบหนา (Facial Expression) เช%น เมมปาก ขมวดคิ้ว ตาเบิ่งกวาง ฯลฯ 4.2.2 การแสดงออกทางกิริยาการเคลื่อนไหวร%างกาย (Bodily Movement) เช%น ชูมือ กําหมัด ปรบมือ เตะขาไปมา ฯลฯ 4.2.3 การแสดงท%าทางต%างๆ (Posture) เช%น นั่งตัวงอ ไหล%งุม ฯลฯ ส%วนการแสดงออกจะเปHนเช%นไรนั้นขึ้นอยู%กับกระบวนการสังคมประกิตของบุคคลนั้น อันไดแก% การอบรมเลี้ยงดู ค%านิยมในสังคม Albert Bandura (นงนุช โรจนเลิศ. 2533 : 19 ; อางอิงมาจาก Albert Bandura. 1977) กล%าวว%า การที่มนุษย4มีวิถีหรือแนวทางปฏิบัติหรือพฤติกรรมในรูปแบบต%างๆ ไม%ไดติดตัวมาตาม ธรรมชาติ แต%มนุษย4ตองมีการเรียนรูสิ่งเหล%านี้ดวยตนเอง การเรียนรูของมนุษย4เกิดขึ้น 2 ลักษณะคือ 1. การเรียนรูจากประสบการณ4ตรง หมายถึง การที่มนุษย4นั้นไดมีโอกาสประสบ เหตุการณ4ที่นําไปสู%การกระทํานั้นในฐานะผูกระทําหรือผูถูกกระทําดวยตนเอง 2. การเรียนรูจากการสังเกต (Observational Learning) หรือการเรียนรูจาก การเลียนแบบ (Learning by Imitation) หรือการเรียนรูโดยผ%านรูปแบบ (Learning through Modeling) หมายถึง การที่มนุษย4นั้นไดพบเห็นเหตุการณ4การกระทํานั้น จากบุคคลอื่นซึ่ง Bandura เรียกว%าตัวแบบ (Model) และมนุษย4จะเลือกหรือไม%เลือกกระทําเพื่อตอบสนองต%อสิ่งหนึ่งสิ่งใดขึ้นอยู% กับผลทางการกระทําของตัวแบบนั้น โดยไดอธิบายแนวคิดที่สําคัญในการเรียนรูทางสังคมไว ดังนี้ (นิตยา วรรณรัตน4. 2546 : 30 ; อางอิงมาจาก Bandura. 1977 : 16-22) 1) พฤติกรรมทุกอย%างของมนุษย4 (รวมทั้งพฤติกรรมต%อตนเอง) ที่นอกเหนือจากปฏิกิริยาสะทอน (Elementary Reflexes) ลวนเปHนผลจากการเรียนรู 2) สิ่งที่มนุษย4เรียนรู คือ ความสัมพันธ4ระหว%างสิ่งต%าง ๆ โดยเรียนรูจากผลที่จะเกิด ตามมา (Response Consequence) คือ เรียนรูเมื่อเหตุการณ4หนึ่งเกิดขึ้นเหตุการณ4ใดจะเกิดตามมา เปHนความสัมพันธ4ระหว%างเหตุการณ4กับเหตุการณ4 หรือเมื่อกระทําพฤติกรรมใดแลวผลกรรมที่จะตามมา เปHนเช%นไร เปHนความสัมพันธ4ระหว%างพฤติกรรมและผลที่เกิดจากพฤติกรรมความรูที่มนุษย4เรียนรู เหล%านั้นจะกลายเปHนความเชื่อที่มีผลในการควบคุมพฤติกรรมมนุษย4 3) การเรียนรูความสัมพันธ4ดังกล%าวเกิดจากการเรียนรูดวยประสบการณ4ตรง (Direct Experience) และเรียนรูจากการสังเกต (Observational Learning)
  • 54.
    40 4) การเรียนรูทางสังคมที่ Banduraเนน คือ การเรียนรูจากแบบอย%าง (Learning Through Modeling) โดยเฉพาะตัวแบบใกลชิด ไดแก% พ%อแม% และพฤติกรรมของพ%อแม%ในการอบรม เลี้ยงดูบุตร และการเรียนรูโดยกระบวนการสังเกต (Process of Observational Learning) ไดแก%การ สังเกตพฤติกรรมและผลรวมที่ตามมาจากการกระทําของผูอื่น การไดอ%านข%าวสาร บันทึกของผูอื่น ซึ่งเปHนการเรียนรูทางออม และเปHนขอมูลที่บุคคลนํามาพิจารณาสําหรับการกระทําพฤติกรรมในอนาคต ต%อไป 5) ผลของการเรียนรูของมนุษย4จะพัฒนาเปHนความเชื่อ ความเชื่อมนุษย4 มีบทบาทในการกําหนดพฤติกรรม และควบคุมพฤติกรรมของมนุษย4ใหสอดคลองกับความเชื่อ 6) การควบคุมพฤติกรรมดวยความคิด (Cognitive Control) ไดแก% การคิด ในเชิงประเมินโดยตั้งอยู%บนสมมติฐานความเชื่อที่เกิดจากการเรียนรูของมนุษย4 การคิดในเชิงประเมิน เช%นนี้นําไปสู%การตัดสินใจที่จะกระทําหรือไม%กระทําพฤติกรรมหนึ่งพฤติกรรมใด และนําไปสู% การควบคุมตนเองใหประพฤติปฏิบัติตามที่ตนตั้งใจไว 7) ภายหลังการเรียนรู มนุษย4จะเลือกเลียนแบบเฉพาะพฤติกรรมที่เขาเห็น คุณค%ามากกว%าพฤติกรรมที่ถูกลงโทษ หรือมีการรับรางวัล การเห็นผลกรรมที่ไดรับย%อมมีผลจูงใจให มนุษย4กระทําหรือไม%กระทําพฤติกรรม และเกิดความคาดหวังต%อแรงเสริมที่จะไดรับ (Anticipation of Reinforcement) ความคาดหวังนี้เองทําใหมนุษย4ตัดสินใจทําหรือไม%ทําพฤติกรรม เพื่อใหเกิดผล ตามที่ตนปรารถนานั่นคือมนุษย4จะตองมีการควบคุมตนเอง และประเมินตนเอง นั่นเอง 8) พฤติกรรมส%วนใหญ%ของบุคคลถูกควบคุมโดยผลที่ตามมาจากการประเมิน ตนเองซึ่งมีทั้งดีและไม%ดี ทําใหเกิดการรับรูตนเองในแต%ละดานแตกต%างกันออกไป การประเมินตนเอง จะทําใหบุคคลสามารถควบคุมตนเองใหกระทําพฤติกรรมที่เหมาะสมได 9) พฤติกรรมหรือการกระทําที่บุคคลกระทําต%อตนเองอันเนื่องมาจากการประเมิน และจากปฏิกิริยาต%อตนเองทั้งทางบวกและลบ ลวนเปHนผลมาจากการเรียนรูประสบการณ4ตรงและมี ตนแบบหรือแบบอย%าง การใหแรงเสริมต%อตนเองเปHนเรื่องสําคัญเพราะมีผลต%อการพยายามของบุคคลที่ จะกระทํามาตรฐานที่ตนตั้งไว และทําใหสามารถพัฒนาทักษะการควบคุมตนเอง สามารถปรับปรุงและ คงรักษาพฤติกรรมนั้นต%อไปไวได (จรรจา สุวรรณทัต และคณะ,2533 : 18-22) โดยสรุปตามความเชื่อของ Bandura พฤติกรรมของบุคคลรวมทั้งพฤติกรรมต%อตนเอง เปHนผลมาจากการมีปฏิสัมพันธ4ระหว%างความรูความเขาใจ (Cognition) พฤติกรรม (Behavior) และ สิ่งแวดลอมภายนอก (External Environment) โดยมิใช%เกิดขึ้นจากองค4ประกอบอย%างใดอย%างหนึ่ง เพียงอย%างเดียว องค4ประกอบทั้ง 3 จะมีผลกระทบซึ่งกันและกัน และสามารถอธิบายไดถึงเหตุและ ผล พฤติกรรมจะเกิดขึ้นเนื่องจากบุคคลไดรับการตอบสนองต%อสิ่งแวดลอมภายหลังที่ไดประเมินถึงผล กรรมที่ไดรับจากการตอบสนองนั้นแลว มนุษย4จึงตัดสินใจทําหรือไม%ทําพฤติกรรม เพื่อใหเกิดผลตามที่ ตนปรารถนานั่นคือมนุษย4จะตองมีการควบคุมตนเองและประเมินตนเอง นั่นเอง ทฤษฎีจิตวิเคราะห4 (Psychoanalytic Theory) ซึ่ง Freud จิตแพทย4 ชาวออสเตรีย (นิตยา วรรณรัตน4. 2546 : 27 ; อางอิงมาจาก Vernon and Calvin. 1974 : 43) เปHนผูสรางขึ้นนั้น มีสาระสําคัญที่เกี่ยวของกับการควบคุมตนเองของบุคคลก็คือ Freud อธิบายว%า มนุษย4เกิดมาพรอมกับแรงกระตุน หรือแรงขับตามธรรมชาติ ซึ่งสามารถทําลายบุคคล และสังคมได
  • 55.
    41 หากไม%มีการควบคุมที่ดี ซึ่งก็จะนําไปสู%พฤติกรรมเบี่ยงเบนออกนอกกรอบของสังคม Freudไดแบ%ง บุคลิกภาพของบุคคลออกเปHน 3 ส%วน ไดแก% จิตไรสํานึก (Id หรือ Libido) ตัวเราที่อยู%ในจิตสํานึก (Ego) หรือ Self และมโนธรรม (Supper Ego) ในส%วนที่เปHนจิตไรสํานึก Freud อธิบายว%า คนเราเกิดมาพรอมดวยจิตไรสํานึกที่เต็มไปดวย กิเลสหรือความปรารถนา ซึ่งจัดว%าเปHนแรงผลักดันภายในตัวสําคัญที่ชี้นําใหบุคคลกระทําสิ่งที่ตน ปรารถนา ซึ่งอาจเปHนอันตรายต%อตนเองและสังคมได ถาสิ่งที่ปรารถนานั้นไม%ไดอยู%ในทํานองคลองธรรม สําหรับส%วนที่เปHนตัวเราที่ไดรับการขัดเกลา ใหพนจากสภาพที่อยู%ในจิตไรสํานึกนั้น จัดเปHนส%วนที่ไดผ%าน การอบรมขัดเกลาใหเรียนรูที่จะคิด และประพฤติปฏิบัติอยู%ในกรอบทางสังคม การเรียนรู ศีลธรรม ค%านิยม ตลอดจนเรียนรูว%าสิ่งใดผิดสิ่งใดถูก อะไรควรทําไม%ควรทํา ผูที่ไดรับการอบรมขัดเกลามาอย%างดี จนเขาใจเปKาหมายของทางสังคมย%อมจะไม%กระทําผิดหรือออกนอกลู%นอกทาง ทั้งต%อหนาและลับหลัง สรุปไดว%า ทฤษฎีจิตวิเคราะห4ในส%วนที่เกี่ยวของกับการควบคุมตนเอง ไดใหสาระสําคัญ ที่ว%าบุคคลทั่วไปจะมีแรงขับที่อยู%ภายในตัวเอง ซึ่งมีลักษณะเปHนจิตไรสํานึก ซึ่งพรอมจะแสดงออกมาตาม ความตองการเสมอ ถาขาดการควบคุมยับยั้งเมื่อใด มนุษย4จึงจําเปHนตองไดรับการอบรม เพื่อจะทําให เกิดการควบคุมตนเองไดในระดับทั่วไป และอยู%ในสังคมไดอย%างปกติสุขแต%การพัฒนาตัวเราใหเปHนผูที่ได ชื่อว%าเปHนผูมีจิตใจสูง สู%ภาวะเปHนมนุษย4อย%างสมบูรณ4นั้น จําเปHนที่จะตองพัฒนามโนธรรมใหเกิดขึ้นใน จิตใจ เพื่อควบคุมจิตไรสํานึกบุคคลนั้น จึงจะสามารถพัฒนาตัวเองใหเปHนผูมีคุณภาพทางจิตใจสูงได Reckless (จรรจา สุวรรณทัต และคณะ. 2533 : 16-17 ; อางอิงมาจาก Reckless. n.d.) เชื่อว%าคนเรามีพลังที่ผลักดันจากภายในใหพฤติกรรมเบี่ยงเบน ซึ่งอาจจะเกิดจากป6จจัยต%าง ๆ ภายนอก เช%น ความยากจน หรือถูกจํากัดสิทธิ เสรีภาพ ความขัดแยง การเขากันไม%ได การถูก ควบคุม การอยู%ในสถานภาพของชนกลุ%มนอย การถูกกีดกันจากโอกาสที่ตนพึงมีความกระวน กระวายใจความผิดหวัง ความรูสึกทาทาย ความรูสึกเปHนปรป6กษ4ต%อกัน และความรูสึกมีปมดวย เปHนตน เมื่อคนเราตองเผชิญกับสถานการณ4 และป6ญหาต%าง ๆ อันเปHนป6จจัยผลักดันทั้งภายในและ ภายนอกดังกล%าว คนเราก็จะมีแนวโนมที่จะมีพฤติกรรมเบี่ยงเบนไปจากของสังคม อย%างไรก็ตามเมื่อ เผชิญสถานการณ4อย%างเดียวกัน บางคนก็มีพฤติกรรมเบี่ยงเบนไป แต%บางคนสามารถควบคุมตนเองได อย%างดี และจากการวิจัยเชื่อว%า เด็กดีมีความสามารถในการควบคุมจากภายในตนเองสูง เช%น ความเคารพตนเอง ความสํานึกในความรับผิดชอบของตน แต%เด็กเกเรส%วนมากจะมีความสามารถใน การควบคุมจากภายในตนเองต่ํา เช%น ไม%มีความเคารพต%อตนเอง หรือมีนอย และมีความรับผิดชอบใน ตนเองนอย สภาพแวดลอมภายนอกก็มีส%วนในการควบคุมพฤติกรรมของเด็ก ไดแก%การแนะนําสั่งสอน จากพ%อแม% กิจกรรมที่มีประโยชน4และเพื่อนฝูงที่ดี เปHนตน ซึ่งมีส%วนทําใหเด็กดีไม%กระทําพฤติกรรม เบี่ยงเบนซึ่งตรงกันขามกับเด็กเกเร ผูมักจะขาดสภาพแวดลอมที่ดีดังกล%าว ดังนั้นในการควบคุมตนเอง Reckless จึงไดวางหลักทฤษฎีดังนี้ 1. การควบคุมจากภายใน เปHนพลังภายในจิตใจของแต%ละคน ซึ่งอาจจะมีมาก นอยต%างกันไดแก% 1.1 การยับยั้งควบคุมตนเองได ความสํานึกที่ดีงาม 1.2 ความเคารพตนเอง
  • 56.
    42 1.3 มโนธรรมที่ไดรับการพัฒนาอย%างดี 1.4 ความอดกลั้นต%อความคับของใจ 1.5ความสามารถในการต%อสูกับอารมณ4ฝ:ายต่ํา 1.6 ความสํานึกรับผิดชอบสูง 1.7 ความมุ%งมั่นต%อเปKาหมาย 1.8 การหาความพึงพอใจอย%างอื่นชดเชย 1.9 การใหเหตุผลในการถ%ายโยงความเครียด เปHนตน 2. การควบคุมจากภายนอก เปHนพลังผลักดันใหเกิดการควบคุมตนเองมาจาก ภายนอก ซึ่งเปHนป6จจัยทางสังคมที่ควบคุมตัวบุคคลอย%างใกลชิด ไดแก% ความยึดมั่นในจารีตประเพณี ความคาดหวัง ของสังคม ภาระผูกพันที่จะตองปฏิบัติตามของสถาบันและตามเปKา หมายความรับผิดชอบที่ไดรับมอบหมาย โอกาสที่จะไดรับการยอมรับ และความสํานึกเปHนส%วนหนึ่ง ของกลุ%มที่ตนสังกัดอยู%สภาพแวดลอมดังที่กล%าวมา จะเปHนพลังและสรางความผูกพันใหเกิดขึ้นกับ สมาชิกในสังคม ซึ่งถาพิจารณาใหลึกซึ้งแลวเปHนพลังและภารกิจที่เกิดจากกระบวนการอบรมบ%มนิสัย ทั้งสิ้น สรุปไดว%าการควบคุมจากภายนอกเกิดขึ้น ในลักษณะที่เกิดจากความยึดมั่นผูกพันที่จะปฏิบัติ ตามกรอบของสังคมและความคาดหวังของสังคม Nye (จรรจา สุวรรณทัต และคณะ. 2533 : 18 ; อางอิงมาจาก Nye. n.d.) เห็นว%าสังคมเปHนองค4กรสําคัญในการควบคุม และสรางความสํานึกความผูกพันใหเกิดแก%สมาชิก ของสังคม ซึ่งแบ%งออกเปHน 4 อย%างคือ 1. การควบคุมในสังคมโดยผ%านสถาบันต%าง ๆ ไดอบรมบ%มนิสัยสมาชิกของสถาบัน โดยเฉพาะสถาบันครอบครัว พ%อแม%อบรมบ%มนิสัยลูกใหเกิดความสํานึก ยึดมั่นอยู%ในค%านิยมและของ สังคม จนทําใหค%านิยมและของสังคมฝ6งลึกเขาไปอยู%ในจิตสํานึกของลูกและจิตสํานึกนี้เองที่เปHนพลัง ภายในที่ควบคุมไม%ใหมีพฤติกรรมเบี่ยงเบน 2. การควบคุมโดยตรง พ%อแม%เปHนตัวแทนสถาบันครอบครัว ตํารวจเปHนตัวแทน ของสถาบันการปกครอง เพื่อนเปHนตัวแทนของกลุ%มปฐมภูมิ เปHนผูหามปราม ไม%ใหบุคคลกระทํา พฤติกรรมเบี่ยงเบน ออกนอกกรอบ ถือว%าเปHนการควบคุมโดยตรงจากบุคคลภายนอก 3. การควบคุมโดยทางออมการที่คนเราอยู%ในสถาบันครอบครัวมานาน ทําใหเกิด ความผูกพันความรักตอบสนองพ%อแม%ซึ่งเปHนตัวแทนสถาบัน ช%วยใหบุคคลไม%ทําอะไรนอกลู%นอกทางดวย กลัวพ%อแม%จะเสียใจ นอกจากนั้นก็ยังมีความผูกพันต%อบุคคลภายนอกเปHนพลังยับยั้งพฤติกรรมนอก รูปแบบของคนเราไดอีกดวย 4. ความตองการที่จะไดรับความพึงพอใจที่ชอบธรรมในสังคม คนเราตองการ ดําเนินชีวิตที่ชอบธรรมเพื่อจะไดมาซึ่งสิ่งที่ตนเองปรารถนา เช%น ความรัก ความยอมรับนับถือ ความมั่นคงในชีวิต ความตองการดังกล%าวจะเปHนพลังควบคุมปKองกันไม%ใหคนเรามีพฤติกรรมเบี่ยงเบน Nye (จรรจา สุวรรณทัต และคณะ. 2533 : 20 ; อางอิงมาจาก Neill. n.d.) นักการศึกษาชาวอังกฤษ ไดพยายามสรางและอธิบายพฤติกรรมการดูแลตนเองของบุคคล เขาย้ําว%าการดูแลตนเองนี้ไม%ไดหมายความว%าเด็กไดรับอนุญาตใหทําอะไรก็ไดที่เขาตองการ หากมี ความแตกต%างระหว%างอิสรภาพ กับใบอนุญาต Nye กล%าวไวว%า “ในบานที่มีระเบียบวินัย เด็กไม%มีสิทธิ์ มีเสียง ในบานที่ตามใจเด็กจนเสียคน เด็กมีสิทธิทุกอย%าง แต%บานที่เหมาะสมคือที่ซึ่งเด็กๆ และผูใหญ%
  • 57.
    43 มีสิทธิเท%าเทียมกัน” Nye ไดอธิบายเพิ่มเติมในแนวความคิดเรื่องอิสรภาพว%าไม%ใช%ใบอนุญาตไวว%า “จะตองมีการเนนกันครั้งแลวครั้งเล%าว%าอิสรภาพไม%ใช%การตามใจเด็ก ถาเด็กเล็กคนหนึ่งในสามคน ตองการเดินไปบนโต”ะรับประทานอาหาร ก็เพียงแต%บอกเด็กนั้นง%าย ๆ ว%าจะตองไม%ทําเช%นนั้นเด็ก จะตองเชื่อฟ6ง ตรงขามถาเด็ก ๆ บอกผูใหญ%ใหออกไปจากหองของแก ก็จะตองเชื่อฟ6งและออกไป จากหองของเด็กแต%โดยดี” ในการปฏิบัติจริงจะมีผูมีอํานาจ การใชอํานาจอาจไดรับการเรียกชื่อต%างๆ ไดเช%น การคุมครองปKองกัน การดูแล และการรับผิดชอบของผูใหญ% ผูมีอํานาจบางครั้งตองการ ความเชื่อฟ6ง และบางครั้งก็ตองใหความเชื่อฟ6งดวย จากแนวคิดของ Nye จะเห็นไดว%า ถาผูปฏิบัติไดนําแนวคิดนี้ไปใชอย%างถูกตอง ก็จะส%งผลต%อการมีระเบียบวินัย และรูจักการควบคุมตนเองไดดวย หลักการและแนวคิดการควบคุมตนเองตามหลักพุทธศาสนาธรรมเปHนโลกบาล คือ ธรรม คุมครองโลก 2 อย%างคือ หิริ โอตัปปะ หิริ คือความละอายแก%ใจ หมายถึงความละอายต%อบาป ทุจริต ความไม%เหมาะไม%ควรต%าง ๆ ที่ตนจะกระทําลงไป แต%ก็เกิดความละอายไม%กระทําสิ่งเหล%านั้น เช%น การลักขโมย เปHนเรื่องที่น%าละอายก็ไม%ทําการด%าว%ากันดวยคําหยาบ เปHนเรื่องที่น%าละอายก็ไม%ทํา เรื่อง ของความละอายเปHนตัวการสําคัญที่แยกคนใหห%างไกลจากสัตว4เดรัจฉาน เพราะสัตว4เดรัจฉานจะทําอะไร ไม%มีความละอาย แต%คนรูจักว%าอะไรควรทํา อะไรไม%ควรทํา ความละอายนั้น หมายถึง การละอายต%อ บาป ต%อโทษทุจริตต%าง ๆ ความละอายจะเกิดขึ้นไดโดย หิริ เปHนมโนธรรม คือธรรมะที่เกิดขึ้นภายใน จิตใจคนค%อย ๆ เติบโตเจริญขึ้นโดยลําดับ โดยอาศัย 1. ชาติสกุล คือ ถาเกิดในชาติตระกูลที่ดี ไดรับการอบรมฝ~กปรือกิริยามารยาทมา ในทางที่ดีจากพ%อแม%และญาติผูใหญ% ก็จะทําใหจิตใจมีความละเอียดอ%อน รูจักละอาย สูงขึ้น 2. วัย ไดแก%ความเจริญเติบโตของวัยของชีวิต จะทําใหรูจักคิดมีเหตุมีผลขึ้นบางเรื่องที่ เคยทําสมัยเปHนเด็ก แต%พอโตขึ้นก็ไม%กระทําสิ่งเหล%านั้น เพราะเห็นว%าเปHนเรื่องที่ไม%เหมาะ ไม%ควร 3. การศึกษาเล%าเรียน ไดเขาใจเหตุผลมากขึ้น ก็จะทําใหละเวนไม%กระทําเรื่องที่เปHน บาป 4. จิตใจที่มีความเขมแข็ง คือ คนที่ทําทุจริตนั้นเปHนคนอ%อนแอสุดแต%ว%ากิเลสจะ ผลักดันใหทําอะไรก็ทําไป สํานึกตนว%าเรามีจิตใจเขมแข็งไม%ควรอ%อนแอตามอํานาจของกิเลสจึงงดเวนไม% กระทําสิ่งเหล%านั้น เหล%านี้เปHน ป6จจัยที่ช%วยทําใหคนเรามีหิริเพิ่มขึ้นตัปปะ ความสะดุงกลัวต%อบาป ขอนี้ตองแยกใหออกใหไดระหว%างความละอายกับความกลัว ความละอาย เช%น เราเดินหกลมใน ท%ามกลางสายตาของคนอื่น เรารูสึกละอาย ความกลัว เช%น มีเสือวิ่งมาเรากลัว อย%างนี้เรียกว%าความกลัว แต%ความละอายและความกลัวในที่นี้ เปHนเรื่องของความกลัวและความละอายต%อบาปซึ่งเกิดขึ้นจาก ความคิดที่มีเหตุผลของบุคคลสํานึกว%าบางอย%างที่ทําไปแลว 4.1 แมว%าตนเองก็ติเตียนตนเองได พอนึกขึ้นไดก็ไม%ทําสิ่งเหล%านั้น 4.2 การกระทําของเราแลวจะโดนตําหนิ ก็ละเวนไม%ทํา 4.3 กลัวถูกอาชญากรรมของบานเมือง ถูกจับขังไปลงโทษ แลวไม%กระทํา เปHนตน 4.4 กลัวภัยในนรก คือตองรับผลบาปกรรมที่ตนเองกระทําไวในนรกจึงงดเวน
  • 58.
    44 ไม%กระทําบาปเหล%านี้ เปHนเครื่องเสริมส%งใหมีโอตตัปปะขึ้นภายในจิตใจหิริ ความละอายแก%ใจและ โอตตัปปะ ความสะดุงกลัวต%อบาปเปHนโลกบาลคือธรรมะที่คุมครองโลก โดยจะเห็นว%าไม%ว%าในสมัยก%อน หรือสมัยป6จจุบันก็ตาม คนเราจะพยายามควบคุมไม%ใหคนเบียดเบียนข%มแหง ประทุษราย ลางผลาญ ฆ%าฟ6นกัน แต%ก็ควบคุมไม%ได ในทํานองตรงกันขาม ถาหากว%าคนแต%ละคนมีความละอายต%อการกระทํา บาป มีความสะดุงกลัวต%อบาปและผลแห%งบาป การเบียดเบียน การประทุษรายกันก็ไม%เกิดขึ้น และ การประพฤติที่ไม%เหมาะไม%ควรต%างๆ ซึ่งมีใหเห็นกันอยู%นั้นก็จะไม%มี เพราะคนแต%ละคนในสังคมจะสํานึก ถึงสิ่งที่เปHนบาป และงดเวนไม%กระทําเพราะว%าความเดือดรอนต%างๆ ที่เกิดขึ้นในโลกสังคมนั้นคือสิ่งที่เปHน บาปนั่นเอง เมื่อคนกลัวบาปกันแลวก็ไม%กระทํา การอยู%ร%วมกันในโลกจะเต็มไปดวยความสุข (นิตยา วรรณรัตน4. 2546 : 33 ; อางอิงมาจาก พระราชธรรมนิเทศ. 2538) หิริ โอตตัปปะ เปHนธรรมะที่พุทธศาสนิกชน มีไวปฏิบัติ เพื่อใชในการควบคุมตนเอง เพื่อที่จะสามารถดํารงตนใหอยู%ในสังคมไดอย%างมีความสุขโดยสรุปตามแนวคิดหรือทฤษฎีการควบคุม ตนเองที่ไดกล%าวมาขางตนพอที่จะกล%าวไดว%าการควบคุมตนเองนั้นเปHนสิ่งที่มีอยู%ในตัวของมนุษย4 และ สามารถที่จะสรางหรือพัฒนาใหมีมากยิ่งขึ้นไดถาหากรูวิธีและมีการฝ~กปฏิบัติ การควบคุมตนเอง เกิดขึ้นและเปลี่ยนแปลงไปเช%นเดียวกับพฤติกรรมอื่น ๆ ของมนุษย4 คือเกิดจากการเรียนรูตาม กระบวนการถ%ายทอดทางสังคม เกิดการเรียนรูเงื่อนไขต%าง ๆ ของสังคมโดยเรียนรูจากประสบการณ4การ ทํางานของตน การเรียนจากตัวอย%างที่พบเห็น เรียนจากคําบอกเล%า และอื่น ๆ ในชีวิตประจําวัน ซึ่ง แตกต%างกันไปตามความเชื่อของแต%ละทฤษฎี Thoresen และ Mahoney (อรพลอย เกษมสันต4 ณ อยุธยา. 2546 : 21-22 ; อางอิงมาจาก Thoresen and Mahoney. 1974 : 45) ไดสรุปวิธีการเพื่อพัฒนาการควบคุมตนเอง ไวดังนี้ 1. การตั้งเปKาหมาย (Goal Setting) คือ การกําหนดเกณฑ4ในการควบคุม พฤติกรรมหนึ่งดวยตนเอง ซึ่งการตั้งเปKาหมายนี้จะช%วยใหผูแสดงพฤติกรรมรูถึงพฤติกรรมที่ตองการ กระทําอย%างชัดเจน ตัวอย%างของการตั้งเปKาหมายของพฤติกรรม เช%น “ฉันจะทําการบานใหเสร็จ คืนนี้” ในกรณีที่บุคคลยังไม%สามารถตั้งเปKาหมายไดอย%างชัดเจน ก็ใหคนอื่นช%วยจนกว%าเขาจะสามารถ ตั้งเปKาหมายไดดวยตนเอง อย%างไรก็ตามเปKาหมายที่ตั้งควรเปHนเปKาหมายที่แทจริงและสามารถทําได เพราะถาเปHนเปKาหมายที่บุคคลไม%สามารถทําไดจะทําใหเกิดความผิดหวังก%อใหเกิดพฤติกรรมที่ เบี่ยงเบนได 2. การสังเกตตนเอง (Self - Monitoring) เปHนกระบวนการที่บุคคลสังเกตตนเอง หรือจําแนกลักษณะพฤติกรรมของตนเอง พิจารณาว%าตนเองไดทําพฤติกรรมตามเปKาหมายแลวหรือยัง การสังเกตตนเองมักทําควบคู%ไปกับการบันทึกพฤติกรรม ขั้นตอนในการสังเกตตนเอง 2.1 จําแนกพฤติกรรมเปKาหมายว%า พฤติกรรมที่ตองการใดตองการสังเกต 2.2 กําหนดเวลาที่จะสังเกตและบันทึกพฤติกรรม 2.3 กําหนดวิธีการบันทึกและเครื่องมือที่ใชในการบันทึก 2.4 ทําการสังเกตและบันทึกพฤติกรรม 2.5 ทําแผนภาพหรือกราฟแสดงการบันทึก
  • 59.
    45 2.6 วิเคราะห4ขอมูลที่บันทึก เพื่อที่จะไดขอมูลยอนกลับซึ่งจะมีผลต%อ การเปลี่ยนแปลงพฤติกรรม 3. การประเมินผล (Self - Evaluation) คือ การที่บุคคลตองตัดสินพฤติกรรม ของตน โดยการประเมินคุณค%าของพฤติกรรมจากขอมูลที่ไดจากการบันทึกดวยตนเอง ซึ่งทําใหได พิจารณาพฤติกรรมที่ทําอยู%อย%างถี่ถวน 4. การเสริมแรงตนเอง (Self - Reinforcement) คือ การจัดผลกรรมที่เปHนแรง เสริมใหแก%พฤติกรรมที่พึงประสงค4ดวยตนเองเพื่อทําใหพฤติกรรมนั้นเพิ่มขึ้น โดยที่เจาของ พฤติกรรมเปHนผูดําเนินการเพื่อใหไดแรงเสริมนั้นดวยตนเองจะเห็นไดว%า การพัฒนาการควบคุม ตนเอง เปHนผลจากการเรียนรูทางสังคม ซึ่งสามารถปลูกฝ6งไดตั้งแต%วัยเด็ก สําหรับวิธีการฝ~กควบคุม ตนเองนั้นเปHนสิ่งที่ตองใชความพยายามและใชเวลา แต%เปHนสิ่งที่บุคคลสามารถพัฒนาได ทองทิพภา วิริยะพันธุ4 (2546 : 105-106) สรุปลักษณะของบุคคลที่ควบคุมตนเอง ไดจะมีลักษณะดังนี้ 1. ไม%หวั่นไหวต%อคําวิจารณ4 เยาะเยยถากถางของผูอื่น สรางจินตนาการใกลเคียง ความเปHนจริง และมีความกระตือรือรนที่จะนําจินตนาการไปสู%การปฏิบัติในขอบเขตที่ สามารถควบคุมตนเองได 2. ไม%พยายามสบประมาทหรือดูถูกเหยียดหยามบุคคลอื่น ไม%ว%ากรณีใดๆ 3. ไม%เกลียดชัง ไม%โกรธผูที่ไม%เห็นดวยกับตน แต%พยายามทําความเขาใจเหตุผล ที่เขาไม%เห็นดวย 4. แสดงความคิดเห็นบนพื้นฐานของ “ขอเท็จจริง” มากกว%าความปรารถนาที่ “อยากใหมันเปHนเช%นนั้น” 5. ไม%เปHนทาสของค%านิยม หรือแฟชั่นของสังคม ไม%เปHนคนสุรุ%ยสุร%ายฟุ:มเฟ–อย 6. ไม%ขัดแยงหรือโตเถียงผูอื่น ระมัดระวังคําพูด ยับยั้งชั่งใจในการพูดซึ่งตรงกับ คําสอนในเรื่อง “วาจาสุภาษิต” ของพระพุทธเจาที่ว%า “กล%าวถูกตองตามกาล กล%าวตามจริง” ใชวาจา อ%อนหวาน ใชวาจาที่เต็มไปดวยประโยชน4และกล%าววาจาออกจากจิตที่มีเมตตา 7. เปHนผูฟ6งมากกว%าผูพูด ไม%แย%งพูดเสียคนเดียว รูจักประหยัดคําพูด มีสติใน การพูดและการกระทํา ซึ่งวิธีการที่จะควบคุมตนเองใหมีลักษณะดังกล%าวนั้น จะตองปฏิบัติดังนี้ 7.1 พอใจในสิ่งที่มีอยู% จะทําใหควบคุมความอยากได 7.2 มีเมตตา คือ รูจักรักผูอื่น มีใจเอื้อเฟ–—อเผื่อแผ%ต%อผูอื่น คนที่มีเมตตา เอื้อเฟ–—อจะไม%ทําการใด ๆ เพื่อสนองความตองการของตนแต%ฝ:ายเดียว 7.3 ตองยอมรับว%า คนอื่นแตกต%างจากเรา การตระหนักในขอนี้จะทําใหลด ความโกรธลงไดเมื่อผูอื่นทําอะไรไม%ไดดังใจสําหรับความสามารถควบคุมตนเองไดนั้น Zolie, Stone และ Lehr (นิตยา วรรณรัตน4. 2546 : 15 ; อางอิงจาก Zolie, Stone and Lehr. n.d.) ไดอธิบายว%าควรเปHนผูที่มีลักษณะดังนี้ 1. มองหรือรับรูตนเอง และสิ่งแวดลอมอย%างเปHนจริง 2. คิดถึงความคิดที่อาจจะนําตนเองไปในทิศทางที่ตนเลือกและกระทําในทิศทางที่เขา เลือกที่จะกระทํา
  • 60.
    46 3. กระทําเพื่อใหไดมาซึ่งสิ่งที่ตนตองการดวยวิธีการที่มีประสิทธิภาพ และปราศจากความขัดแยงต%อบุคคลหรือสภาพแวดลอมที่มีอิทธิพลต%อตนเอง สรุปไดว%า การควบคุมตนเองคือ คุณลักษณะของบุคคลที่จะบังคับตนเองใหละเวน การกระทําบางอย%างโดยการกําหนดความคิด อารมณ4 ความรูสึก การเปลี่ยนแปลงการตอบสนองทาง อารมณ4 การกระทําพฤติกรรมดวยเหตุผล และความอดทน การจัดสภาพแวดลอมใหหลีกเลี่ยงการ กระทําพฤติกรรมสามารถเผชิญสิ่งยั่วยุ ป6ญหาอุปสรรค และสถานการณ4กดดัน แมอยู%ในภาวะที่เกิด ป6ญหาความขัดแยงในจิตใจ เพื่อใหเกิดพฤติกรรมเปKาหมายที่ดีตามที่มุ%งหวังไว การควบคุมตนเองเปHน สิ่งที่มีอยู%ในตัวของมนุษย4 และสามารถที่จะสรางหรือพัฒนาใหมีมากยิ่งขึ้นไดโดยอาจใชกลวิธีและ เทคนิคต%าง ๆ ในการควบคุมตนเอง สําหรับงานวิจัยนี้ผูวิจัยสนใจที่จะศึกษาการควบคุมตนเอง โดยใชกรอบแนวคิดของ Thoresen และ Mahoney (อรพลอย เกษมสันต4 ณ อยุธยา. 2546 : 21-22 ; อางอิงมาจาก Thoresen and Mahoney. 1974 : 45), Skinner (สมโภชน4 เอี่ยมสุภาษิต. 2541 : 328 – 32 9 ; อางอิงมาจาก Skinner. 1953), ทฤษฎีเชาว4อารมณ4 (พรรณทิพย4 ศิริวรรณบุศย4. 2551 : 80-82), Reckless (จรรจา สุวรรณทัต และคณะ. 2533 : 16-17 ; อางอิงมาจาก Reckless. n.d.) คือแยกเปHน ตัวแปรสังเกตได 4 ตัว ประกอบดวย การตั้งเปKาหมาย การยับยั้งตนเอง การควบคุมอารมณ4 ความอดทน 4. ความเชื่อมั่นในตนเอง 4.1 ความหมายของความเชื่อมั่นในตนเอง Smith (ขัตติยา น้ํายาทอง. 2551 : 47 ; อางอิงมาจาก Smith. 1961) ใหความหมาย ความเชื่อมั่นในตนเอง หมายถึง การพึงพอใจในตนเอง ความภาคภูมิใจในตนเอง หรือ การยอมรับตนเอง บุคคลใดมีความเชื่อมั่นในตนเองมากนอยเพียงใดนั้น สามารถพิจารณาไดจากความ ขัดแยงระหว%างตนตามความเปHนจริง (Real Self) กับตนตามอุดมคติ (Ideal Self) ถาความขัดแยง เกิดขึ้นมากจะเปHนเหตุทําใหตนมีความรูสึกไม%มีคุณค%า ไม%พึงพอใจ ซึ่งหมายถึงขาดความเชื่อมั่นในตนเอง Blair (ขัตติยา น้ํายาทอง. 2551 : 47 ; อางอิงมาจาก Blair. 1968) ให ความหมาย ความเชื่อมั่นในตนเอง หมายถึง การที่บุคคลมีความมั่นใจ มีความเพียรพยายาม และกลา หาญ ในการที่จะกระทําสิ่งใดใหประสบความสําเร็จตามจุดมุ%งหมายที่ตั้งไว โดยไม%หวาดหวั่นต%ออุปสรรค กลาที่จะเผชิญสถานการณ4ใด ๆ โดยไม%กลัว สมิต อาชวนิจกุล (2543 : 94) ใหความหมาย ความเชื่อมั่นในตนเองเปHน ความสามารถของบุคคลในการที่จะทําสิ่งต%างๆ ใหสําเร็จในดานการกลาแสดงออก การพึ่งตนเองการ รูจักนับถือตนเอง มีความคิดอ%านเปHนของตน ไม%ตกเปHนทาสความคิดผูอื่น มีความกลาหาญ ไม%ทอถอย เมื่อทําอะไรไม%สําเร็จ ธีรภาพ วัฒนวิจารณ4 (2545 : 127) ใหความหมาย ความเชื่อมั่นในตนเอง ว%าเปHน สิ่งที่อยู%ภายในตัวเรา โดยจะทําหนาที่กํากับความคิดและความรูสึกของเราในป6ญหาต%าง ๆ และจะแสดง ออกมาในลักษณะของพฤติกรรมที่ปรากฏต%อบุคคลภายนอก ซึ่งก็คือสิ่งที่เรียกกันว%าบุคลิกภาพสรุปไดว%า ความเชื่อมั่นในตนเอง หมายถึง ความสามารถของบุคคลในการที่จะทําสิ่งต%างๆ ใหสําเร็จ มีความมั่นใจ เพียรพยายาม กลาหาญ มีความเปHนตัวของตัวเอง มีความคิดริเริ่มสรางสรรค4 กลาแสดงออก และ ยอมรับในความสามารถของตน ไม%ทอถอยเมื่อทําอะไรไม%สําเร็จ
  • 61.
    47 สรุปไดว%า ความเชื่อมั่นในตนเอง หมายถึงลักษณะของบุคคลในการที่จะทําสิ่งต%างๆ ใหสําเร็จ มีความมั่นใจ เพียรพยายาม กลาหาญ มีความเปHนตัวของตัวเองมีความคิดริเริ่มสรางสรรค4 กลาแสดงออกและยอมรับในความสามารถของตน ไม%ทอถอยเมื่อทําอะไรไม%สําเร็จ 4.2 ทฤษฎีที่เกี่ยวของกับความเชื่อมั่นในตนเอง ทฤษฎีพัฒนาการของ Erikson (Erik H. Erikson’s Neo-Freudian Analysis) ทฤษฎีพัฒนาการทางบุคลิกภาพของ Erikson เปHนทฤษฎีที่เกี่ยวของกับความเชื่อมั่นในตนเอง Eriksonมี ความเห็นว%า พัฒนาการทางบุคลิกภาพเกิดขึ้นได เนื่องจากการที่คนมีการติดต%อสัมพันธ4กับสังคม และ ในแต%ละขั้นจะมีช%วงวิกฤติสําหรับที่จะพัฒนาการเรื่องนั้น ๆ โดยเฉพาะในชีวิตถาช%วงชีวิตใดพัฒนาการ เปHนไปไดดวยดี มีลักษณะทางบวกมากกว%าทางลบพัฒนาการทางบุคลิกภาพก็จะเปHนไปในทางที่ดีผูที่มี สุขภาพจิตดีย%อมสามารถเผชิญป6ญหาหรือแกป6ญหาและสามารถตัดสินใจได ในทางตรงกันขามถาช%วง ชีวิตใดพัฒนาการเปHนไปในทางลบมากกว%าทางบวก ผูนั้นจะมีพัฒนาการทางบุคลิกภาพไม%สมบูรณ4 ซึ่งจะนําไปสู%การเปHนผูที่มีป6ญหาในการปรับตัวและ Erikson ชี้ใหเห็นถึงอิทธิพลที่แต%ละขั้นตอนมีต%อกัน โดยที่พัฒนาการในขั้นหลังจะไดรับอิทธิพลจากขั้นก%อนหนานั้น และพัฒนาการของบุคคลมี 8 ขั้นตอน ดังนี้ (ขัตติยา น้ํายาทอง. 2551 : 49 ; อางอิงมาจาก Erikson. n.d.) ขั้นที่ 1 วัยแห%งความไววางใจ และความไม%ไววางใจผูอื่น (Trust Versus Mistrust) อยู%ในระหว%างป…แรกของชีวิต หรือ อายุ 0 - 2 ป… ทารกขึ้นอยู%กับการดูแลของผูอื่น แม%ของ เด็กจะเลี้ยงดู อุมชูแต%งตัว และแสดงการกระตุนใหม% ๆ ใหแก%ทารกอยู%เสมอ ทั้งพ%อและแม%จะกอด ทารกไว พูดและเล%นกับลูก การปฏิสัมพันธ4 (Interactive) ทางสังคมนี้เปHนเครื่องกําหนดทัศนคติของ เขาในเวลาต%อมาถาเด็กทารกไดรับการอบรมเลี้ยงดูดวยความรัก จะไดรับการตอบสนองความตองการ ทางร%างกายอย%างเพียงพอ เด็กก็จะเรียนรูถึงความไววางใจในสิ่งแวดลอมของเขา ถาเขาไม%ไดรับ การเลี้ยงดูอย%างเหมาะสม หรือถาพ%อแม%ไม%มีความคงเสนคงวาหรือไม%มีความมั่นคงในการเลี้ยงดูลูก ทารกก็จะกลายเปHนคนขลาดกลัว ขี้ตกใจและขาดความเชื่อมั่นและไม%ไววางใจตนเอง เช%นเดียวกับที่ไม% ไววางใจในตัวผูอื่น ขั้นที่ 2 วัยแห%งความเปHนอิสระ และความสงสัยไม%แน%ใจ (Autonomy Versus Doubt) อยู%ในระหว%างอายุ 2 - 3 ป… เด็กจะเรียนรูเพื่อที่จะเดิน พูดและแสดงออกอย%างอิสระ เขาสามารถจะเรียนรูไดในอัตราที่รวดเร็ว และทําการสํารวจโลกดวยตนเอง ถาพ%อแม%ของเด็กไม%คงเสน คงวาในวิธีการส%งเสริมระเบียบวินัย มีแนวโนมในการปกปKองเด็กมากเกินไป (Over Protection) หรือ แสดงความไม%เห็นดวยเมื่อเด็กแสดงออกถึงความคิดริเริ่มของเขา เด็กจะมีพฤติกรรมที่ไม%มั่นคง เกิดความสงสัยไม%แน%ใจ ขาดความเชื่อมั่น มีความละอายแก%ใจตนเอง ในทางตรงกันขามถาพ%อแม% สนับสนุนความคิดริเริ่ม มีการแสดงออกที่คงเสนคงวา มีความมั่นคง และปล%อยใหเด็กมีอิสระอย%าง เพียงพอ เด็กจะมีความสามารถดีขึ้น ในการที่จะเลือกเขาไปมีบทบาทในสถานการณ4ต%าง ๆ ที่ตองการ รูจักควบคุมและปกครองตนเองได ขั้นที่ 3 วัยแห%งความริเริ่ม และความรูสึกผิด (Initiative Versus Guilt) อยู%ในระหว%างอายุ 4–5 ป… เริ่มพัฒนาทักษะในการเคลื่อนไหว เด็กจะเขาสู%ความเจริญงอกงามเพิ่มพูน ประสบการณ4ต%าง ๆ รวมทั้งความสัมพันธ4กับเพื่อน ๆ ที่โรงเรียน เพื่อนบาน และญาติพี่นอง ถาบิดา
  • 62.
    48 มารดาใหการส%งเสริมในกิจกรรมต%าง ๆ คําถามต%างๆ และการเล%นในการสรางสรรค4ทั่วไป เด็กก็จะพบ ทางออกดวยตัวเขาเองไดง%ายขึ้น ประสบการณ4ต%าง ๆ ที่เพิ่มพูนขึ้นนั้นเปHนสิ่งที่เด็กยอมรับ และ ยิ่งพยายามเพิ่มพูนประสบการณ4ดวยตนเอง แต%ถากิจกรรมของเด็กและความอยากเห็นถูกพ%อแม%จํากัด หวงหามอยู%เสมอแลว เมื่อไหร%ก็ตามที่เด็กพยายามเปลี่ยนแปลงไปดวยตัวเขาเอง เขาก็จะเกิดความรูสึก ผิด และเปHนการพัฒนาความรูสึกผิดที่เกิดขึ้นในตัวเขา ขั้นที่ 4 วัยแห%งความขยันหมั่นเพียร และความรูสึกมีปมดอย (Industry Versus Inferiority) อยู%ในระหว%างอายุ 6–11 ป… เด็กมีคุณสมบัติเพียงพอที่จะทํางานเกี่ยวกับที่เปHน การสรางสรรค4กิจกรรมต%างๆดวยตนเอง บทบาทของเด็กชายจะสอนใหใชความสามารถที่พบใหม%ใน การทํางาน หรือการสรางสิ่งต%าง ๆ และบทบาทของเด็กหญิงก็คือการทําอาหารและเย็บผา เด็กในวัยนี้ ทั้งสองเพศ มีอิสรเสรีในการศึกษาเท%า ๆ กันโดยการอ%าน และการเรียนรูสิ่งอื่น ๆ ที่เขาสนใจ ถาเขา ไดรับการสนับสนุนจากพ%อแม%และครู เด็กจะพัฒนาความรูสึกขยันหมั่นเพียร มีความอยากรูอยากเห็น และพยายามเสาะแสวงหาการกระตุนทางสติป6ญญา ถาพ%อแม%รบกวนหรือขัดขวางความขยันหมั่นเพียร ในความพยายามคนควาหาในครั้งแรกของเด็กแลว เด็กจะพัฒนาความรูสึกมีปมดอย และจะไม%เต็มใจ ขั้นที่ 5 วัยแห%งการรูจักตนเองและความสับสนไม%เขาใจตนเอง (Identity Versus Role Confusion) อยู%ในวัยรุ%นอายุระหว%าง 12 - 13 ป… ในระยะนี้มีลักษณะทางเพศปรากฏชัด พวกเขาจะใหความสนใจและเกี่ยวของกับเพื่อนต%างเพศมากขึ้น เด็กจะตองทําการรวบรวมประสบการณ4 ที่เคยไดรับมาก%อนทั้งหมดนั้น มารวมกันเพื่อพัฒนาความรูสึกเขาใจสภาพความเปHนจริง ของตนเอง ซึ่งจะทําใหเขามีพฤติกรรมที่สอดคลองกับความเปHนจริง และพฤติกรรมที่สังคมยอมรับ นอกจากนี้เขายังมีการกําหนดสิ่งที่ชีวิตเขาตองการ เขาว%าเขาเชื่ออะไรและใครที่เชื่อเขา ถาเขาไม% สามารถทําการรวบรวมประสบการณ4ต%างๆ ที่เคยไดรับมาในตอนตนเขาก็จะไม%สามารถพัฒนาการรูจัก ตนเอง และเกิดความสับสนในบทบาท ที่เขาควรจะเปHนมากขึ้น ขั้นที่ 6 วัยแห%งความใกลชิดสนิทสนม และความรูสึกอางวางเปล%าเปลี่ยว (Intimacy Versus Isolation) เปHนวัยที่มี่การนัดพบ การแต%งงาน และการเริ่มมีครอบครัว มีบุตรและ เลี้ยงบุตรดวยความรักเอาใจใส%เรื่องต%าง ๆ ทั้งหมดนี้รวมอยู%ในวัยฉกรรจ4หรือวัยผูใหญ%ตอนตน ถาบุคคลมีความสําเร็จในความใกลชิดสนิทเสน%หาแลวเขาก็สามารถสรางความสัมพันธ4อันใกลชิดได เขาจึงมีส%วนที่จะเปHนเจาของตัวเองและมีส%วนที่จะเปHนเจาของคนอื่นดวย ถาบุคคลไม%สามารถที่จะให ความสัมพันธ4อันคุนเคยใกลชิดแกผูอื่น หรือไม%ไดรับความสําเร็จอย%างสมบูรณ4ในการรูจักตนเอง เขาก็จะพัฒนาความรูสึกแยกตนเองออกจากผูอื่น และรูสึกโดดเดี่ยวเดียวดายในโลก ขั้นที่ 7 วัยแห%งความสนใจบํารุงคนอื่นและการใฝ:ใจหมกมุ%นแต%เรื่องของตนเอง (Generativity Versus Self - absorption) อยู%ในวัยกลางคนเปHนเวลาที่แต%ละคนจะทําใหความ ขัดแยง ระหว%างตนเองกับโลกภายนอกหมดสิ้นไป ความตั้งใจที่จะสนับสนุนผูอื่นใหเลื่อนฐานะดีขึ้น Eriksonใหความหมายของความสนใจบํารุงคนอื่นว%าคือ ความสามารถของแต%ละบุคคลที่มองสิ่ง ภายนอกตัว และสามารถเกี่ยวของสัมพันธ4กับบุคคลอื่น ถาบุคคลอื่นไม%สามารถมีความสัมพันธ4กับ ผูอื่น อาจเพราะเขาไม%สามารถตัดสินใจในความขัดแยงต%าง ๆ ที่เกิดขึ้นกับตัวเขามาก%อนได เขาก็มี แนวโนมที่จะทําตนเปHนศูนย4กลาง คือสนใจแต%เรื่องตนเองและใฝ:หาความสุขเฉพาะตนมากกว%าที่จะทํา ประโยชน4ต%อผูอื่น
  • 63.
    49 ขั้นที่ 8 วัยแห%งความมั่นคงสมบูรณ4และความสิ้นหวังทอดอาลัย(Integrity Versus Despair) อยู%ในระยะของบุคคลที่เขาสู%วัยชราเปHนระยะที่สะทอนใหเห็นความเปHนมาในอดีตถา เขาประสบความสําเร็จในการงานที่ผ%านมา และคิดถึงชีวิตของตนดวยความชื่นชมยินดี เขาก็จะมีชีวิต บั้นปลายที่เปHนสุขสามารถอยู%ร%วมกับผูอื่นไดอย%างราบรื่น แต%ถาบุคคลรูสึกว%าชีวิตของเขามีแต% ความผิดหวัง และความลมเหลวเขาก็จะเขาสู%วัยชราดวยความไม%มั่นใจ และพัฒนาความรูสึกสิ้นหวัง ทอดอาลัยในชีวิตตน จากทฤษฎีพัฒนาการทางบุคลิกภาพของอีริคสันที่กล%าวมาขางตนนี้ จะเห็นว%า พัฒนาการในขั้นที่ 2 วัยแห%งความเปHนอิสระ และความสงสัยไม%แน%ใจ เปHนขั้นที่ส%งผลต%อพัฒนาการใน เรื่องการพึ่งตนเองของเด็ก ในวัยนี้เด็กจะคนพบว%าเขาสามารถทําสิ่งต%างๆ ไดดวยตนเอง ซึ่งถือว%าเปHน การคนพบความรูสึกเปHนตัวของตัวเอง ในขณะเดียวกันก็ยังมีความรูสึกลังเล ไม%แน%ใจในความเปHน อิสระของเขา ความไม%แน%ใจนี้จะมีผลต%อการจะเปHนตัวของตัวเอง และทําใหตองคอยพึ่งพาผูอื่นเสมอ ทําใหเกิดความขัดแยงขึ้นในตัวเด็ก ในการคนหาถึงสิทธิและความสามารถของตนเอง ซึ่งเด็กตองการ คําแนะนํา และความเขาใจจากผูใหญ%เพื่อการคนหาตัวเองต%อไป ทฤษฎีความตองการของ Maslaw (Maslaw’s Theory of Need Hierarchy) อับราฮัม Maslow นักจิตวิทยาคนหนึ่งในกลุ%มทฤษฎีที่เนนการมองความเปHนมนุษย4 หรือมนุษย4มี ศักยภาพ (Human Potential Theory) เขาเชื่อว%ามนุษย4มีคุณภาพนั้นเนื่องมาจากมีความคิด ความรูสึก ความรูตระหนักและการแสวงหาสิ่งที่ดีงาม คนหาเปKาหมายของชีวิตใหไดรับสิ่งที่มีความหมายต%อตน ซึ่งสิ่งเหล%านี้เปHนความสามารถในการเรียนรูที่มีอยู%ในตัวของมนุษย4ทําใหสามารถดํารงชีวิตอยู%รอดได (Existence) และมนุษย4ทุกคนมีความตองการแสวงหาสิ่งแปลกใหม%ที่จะสนองความตองการใหแก%ตนเอง ทั้งสิ้น ลักษณะที่มีคุณภาพของมนุษย4ลักษณะนี้จัดเปHนความตองการของมนุษย4เรียงเปHนลําดับขั้นจาก ขั้นต่ําสุดไปขั้นสูงสุด แบ%งเปHน 5 ขั้น ดังนี้ (สมจินตนา คุปตสุนทร. 2547 : 13-14 ; อางอิงมาจาก Maslaw. 1987) ขั้นที่ 1 ความตองการตอบสนองร%างกาย (Physiological Needs) ไดแก% อาหาร น้ํา อากาศอุณหภูมิ การนอนหลับ การขับถ%าย เปHนตน ขั้นที่ 2 ความตองการความปลอดภัย (Safety Needs) ไดแก% ความรูสึกมั่นคง การไดรับการปกปKอง ความมั่นคงจากครอบครัว ปลอดภัยจากความวิตกกังวล การหลีกเลี่ยง อันตราย ความเจ็บป:วยต%าง ๆ ความตองการกฎหมายคุมครอง ขั้นที่ 3 ความตองการความรัก (Love Needs) ไดแก% ความตองการความรัก อยากใหตนเปHนที่รัก มีการยอมรับตนเอง ตั้งแต%กลุ%มครอบครัว กลุ%มเพื่อน กลุ%มสังคม กลุ%มทํางาน เปHนตน ขั้นที่ 4 ความตองการไดรับการยอมรับจากผูอื่น (Esteem Needs) ไดแก% ความตองการใหผูอื่นมายกย%อง การไดรับการยอมรับจากเพื่อน กลุ%มคน และความภาคภูมิใจ ขั้นที่ 5 ความเขาใจตนเองอย%างแทจริง (Self-Actualization Needs) ไดแก% ความตองการสูงสุดของบุคคล กระทําสิ่งต%าง ๆ ไดตามจุดมุ%งหมายที่ตั้งไว และตามความสามารถ พิเศษของตน
  • 64.
    50 Maslaw แบ%งความตองการของมนุษย4ออกเปHน 2อย%าง คือ 1. ความตองการขั้นต่ําที่ตองไดรับการตอบสนอง ขาดไม%ได ตองการ ตอบสนองจากป6จจัยภายนอก ประกอบดวย ความตองการดานร%างกาย ความตองการความปลอดภัย และมั่นคง ความตองการความรักและเปHนเจาของ และความตองการไดรับการยอมรับจากผูอื่น สําหรับเด็กปฐมวัยเปHนวัยตองไดรับการดูแล เอาใจใส% ตองการใหพ%อแม% ดูแลทั้งทางดานร%างกาย จิตใจ อารมณ4 สังคม และสติป6ญญา ซึ่งเด็กช%วงนี้ตองการขั้นนี้มาก 2. ความตองการขั้นสูงเพื่อพัฒนาตน คือ ความตองการที่จะเจริญเติบโตหรือพัฒนา เต็มที่ตามศักยภาพของตน เปHนคนที่สมบูรณ4ทั้งดานร%างกาย อารมณ4-จิตใจ สังคม และสติป6ญญา ดังนั้น มนุษย4เราจะมีความตองการขั้นสูงไดก็ตองมีความตองการขั้นต่ําครบเสียก%อน Maslaw (สมจินตนา คุปตสุนทร. 2547 : 13-14 ; อางอิงมาจาก Maslaw. 1987) มองเห็นว%าความตองการที่จะ พัฒนาความตองการในขั้นสูงจะเกิดขึ้นถาความตองการขั้นต่ําไดรับ การตอบสนอง และการที่คนตระหนักถึงความสามารถของตนเองว%าสามารถทําอะไรได หรือไม%ได จะนําไปสู%ความมั่นใจในตนเอง และนําไปสู%การกลาตัดสินใจ และกลาเสี่ยงเมื่อใหอิสระใน การเลือกเขาจะเลือกเดินไปขางหนา ซึ่งผูมีบทบาทสําคัญในการตอบสนองความตองการเพื่อพัฒนาให เด็กเปHนมนุษย4ที่สมบูรณ4คือ พ%อแม% ครู สําหรับในโรงเรียนซึ่งเปHนสถานที่จัดการเรียนการสอนนั้น การพัฒนาความเชื่อมั่นในตนเองของเด็ก ควรจัดบรรยากาศในหองเรียนใหมีลักษณะผ%อนปรนไม%ตึง เครียดใหเด็กมีความรูสึกว%าเปHนสถานที่ปลอดภัย แสดงใหเด็กเห็นว%าไดรับความสนใจและเปHนส%วนหนึ่ง ของหองเรียน กระตุนใหเด็กมีส%วนร%วมในการเรียนโดยเปwดโอกาสใหเด็กไดพูดแสดงความคิดเห็นจัด ประสบการณ4เรียนเพื่อช%วยใหเด็กประสบความสําเร็จ ทฤษฎีการจัดระบบบุคลิกภาพของ Esenck ลวน สายยศ และอังคณา สายยศ (2543 : 228 -229) Esenck เปHนนักจิตวิทยาชื่อ ดังมากคนหนึ่ง เสนอลําดับความรูสึกของมนุษย4อีกแบบหนึ่ง คือ เริ่มจากความเชื่อ (Beliefs) เมื่อเกิด จากความเชื่อหลาย ๆ อย%างจากสิ่งหนึ่งเปHนผลใหเกิดเจตคติ (Attitude) จากความรูสึกแบบเจตคติ หลาย ๆ อย%างรวมกันแลวจะเกิดเปHนค%านิยม (Value) และจากความรูสึกที่เปHนค%านิยมหลาย ๆ อย%าง รวมกันแลวส%งผลใหเกิดบุคลิกภาพ (Personality) Esenck แบ%งมิติของบุคลิกภาพออกเปHน 3 มิติ คือ ดาน Extroversion (E) ซึ่งเปHนคนที่มีลักษณะชอบแสดงออก สังคมดี เปHนกันเอง มีพลังชักนําผูอื่น ดาน Neuroticism (N) เปHนคนลักษณะวิตกกังวล จิตใจหดหู% มีความอาย ขาดความเชื่อมั่นในตนเอง และดาน Psychoticism (P) เปHนลักษณะคนที่มีความกาวราว เห็นแก%ตัว ต%อตานสังคม ขาดความเห็น อกเห็นใจ ไม%มีความเมตตาปราณี Esenck จะเอามิติใหญ% 3 อย%างเปHนหลัก และยกใหเปHนระดับแบบ (Type Level) จากระดับนี้ก็จะแยกย%อยออกเปHนระดับคุณลักษณะ (Trait Level) จะมีกี่คุณลักษณะก็ ขึ้นอยู%กับระดับแบบ จากระดับคุณลักษณะนี้ไปสู%ระดับนิสัยตอบสนอง (Habitual Response) ซึ่งเขียน ย%อว%า ระดับ HR ต%อจากระดับ HR ซึ่งจะมีจํานวน Observation Responses (การตอบสนองเฉพาะ)
  • 65.
    51 4.3 ลักษณะของบุคคลที่มีความเชื่อมั่นในตนเอง Symonds (ธนัญญาคนอยู%. 2547 : 13 ; อางอิงมาจาก Symonds. 1964 : 85 - 86) มีความเห็นว%า ลักษณะของบุคคลที่มีความเชื่อมั่นในตนเองว%าไม%ยอมจํานนต%อสิ่งใดโดยสิ้นเชิง ทีเดียว และความเชื่อมั่นในตนเองจะเกิดขึ้นดวยองค4ประกอบ 4 อย%าง คือ 1. ทราบในสิ่งที่ตองการ 2. คิดในสิ่งที่เห็นว%าจะประสบความสําเร็จ 3. สามารถตัดสินใจได 4. ลงมือกระทํากับสิ่งที่ไดตัดสินใจแลว ชูชีพ อ%อนโคกสูง (ธนัญญา คนอยู%. 2547 : 13 ; อางอิงมาจาก ชูชีพ อ%อนโคกสูง. 2516 : 27) ไดสรุปลักษณะของบุคคลที่มีความเชื่อมั่นในตนเองไวดังนี้ 1. กลาในการคิด การพูด และการกระทํา 2. ใจคอมั่นคง ไม%เชื่อคนง%าย มีเหตุผล 3. รอบคอบ มีแผนงาน 4. มีความคิดริเริ่มสรางสรรค4 ชอบทําสิ่งแปลกๆ ใหม%ๆ 5. กลาเสี่ยง 6. ชอบแสดงตัว 7. ไม%วิตกกังวลเกินไป 8. เปHนผูนํา 9. รักความยุติธรรม 10. ชอบช%วยเหลือหมู%คณะ 11. ชอบอิสระ ไม%โออวด 12. ตั้งจุดมุ%งหมายไวสูง และคิดว%าจะทําไดสําเร็จ 13. มีความเกรงใจและเห็นใจผูอื่น ธีรภาพ วัฒนวิจารณ4 (2545 : 127) กล%าวว%า คนที่มีความเชื่อมั่นในตนเองจะเปHนคน ที่มีลักษณะมั่นคง ไม%ลังเลในการตัดสินใจ ไม%วิตกกังวลต%อสิ่งที่ยังไม%เกิดขึ้น ในขณะเดียวกันก็ไม%ฟูมฟาย หรือกังวลต%อสิ่งที่เกิดขึ้นไปแลว สามารถปรับตัวเขากับสถานการณ4ใหม% และเมื่อประเมินว%าตนเอง ไม%พรอมก็กลาและมั่นใจที่จะขอความช%วยเหลือจากผูอื่น สรุปไดว%า บุคคลที่มีความเชื่อมั่นในตนเอง เปHนคนที่มีลักษณะมั่นคง ไม%ลังเลใน การตัดสินใจ ทราบในสิ่งที่ตองการ ไม%วิตกกังวลต%อสิ่งที่ยังไม%เกิดขึ้น คิดในสิ่งที่เห็นว%าจะประสบ ความสําเร็จ สามารถตัดสินใจไดและลงมือกระทํากับสิ่งที่ไดตัดสินใจแลวได 4.4 การวัดความเชื่อมั่นในตนเอง การวัดความเชื่อมั่นในตนเองเปHนเรื่องที่วัดไดยากและซับซอน นักจิตวิทยาไดพยายาม สรางเครื่องมือขึ้นมาเพื่อวัดความเชื่อมั่นในตนเองซึ่งสามารถใชวัดบุคลิกภาพดานความเชื่อมั่นในตนเอง ตามลักษณะที่ตองการจะวัดเปHนมาตรฐาน ถูกตอง แม%นยํา และเชื่อถือได วิธีการวัดความเชื่อมั่นใน ตนเองมีหลายวิธีดวยกัน เช%น การสังเกต การบันทึก การสนทนา การสัมภาษณ4 เปHนตน
  • 66.
    52 ทวี ท%อแกว และอบรมสินภิบาล (อังคณา บุญสีสด. 2551 : 36-37 ; อางอิงมา จาก ทวี ท%อแกว และอบรม สินภิบา. 2517 : 121) กล%าวว%า ถาจะใหเครื่องมือมีความเที่ยงตรงสูง ควรจะใชหลายๆ วิธีประกอบกัน ซึ่งโดยทั่วๆ ไปวิธีที่ใชวัดมีอยู% 5 วิธี คือ 1. วิธีการสังเกต เปHนวิธีการที่ใชการสังเกตพฤติกรรมและลักษณะทั่วๆ ไป ที่บุคคล แสดงออกซึ่งแบ%งออกเปHน 2 แบบดวยกัน คือ 1.1 การสังเกตแบบควบคุม เปHนการสังเกตพฤติกรรมของบุคคลใน สถานการณ4ใดสถานการณ4หนึ่งที่จัดไวโดยเฉพาะ 1.2 การสังเกตโดยทั่วไปในชีวิตประจําวันที่บุคคลแสดงออกวิธีการสังเกต ทั้งสองแบบที่กล%าวไวขางตนตองบันทึกผลตามที่เห็นจริง โดยไม%นําความรูสึกส%วนตัวเขาไปเกี่ยวของ ที่สําคัญผูสังเกตควรจะไดรับการฝ~กฝนมาเปHนที่เรียบรอยก%อนจึงจะไดผลดี 2. วิธีการรายงานตนเอง แบ%งออกเปHน 2 ลักษณะ คือ 2.1 การวิเคราะห4ตนเอง เปHนวิธีการใหบุคคลประเมินค%าตนเอง แบบวิเคราะห4 ตนเองโดยใชลักษณะคําถามเปHนแบบปรนัยที่เปHนนามธรรม เช%น ความสนใจในวิชาต%างๆ เจตคติต%อสิ่งเราแลวแปลผลเขาสู%มาตรฐานการวัด 2.2 การสัมภาษณ4 เปHนวิธีการสนทนาระหว%างบุคคล 2 คนอย%างมีจุดหมาย โดยผูสัมภาษณ4เตรียมคําถามมา และจดบันทึกประมาณค%า ทั้งนี้ผูถูกสัมภาษณ4จะตองไม%รูตัวว%าถูก ทดสอบลักษณะนิสัย 3. วิธีการศึกษาความคิดเห็นจากคนอื่น เปHนวิธีการที่ผูวัดจะตองสราง แบบทดสอบเพื่อใชถามบุคคลอื่นว%ามีความรูสึกเกี่ยวกับบุคคลนั้นๆ อย%างไร เช%น ครู ผูปกครอง และเพื่อน เปHนตน 4. วิธีการใชแบบทดสอบ เปHนวิธีการที่นิยมใชกันมาก โดยมีการสรางแบบทดสอบ ประกอบดวยคําถามหรือขอความหลายขอ ซึ่งผูทดสอบสรางขึ้นโดยยึดถือปกติวิสัยของคนโดยทั่วๆ ไป เปHนเกณฑ4มาตรฐาน ขอคําถามหรือสถานการณ4ที่สรางขึ้นมักจะเกี่ยวของกับความรูสึกของผูถูกทดสอบ เองหรือสอดคลองเกี่ยวของกับสิ่งแวดลอม หรือพฤติกรรมที่ปฏิบัติอยู%เปHนประจําเมื่อตกอยู%ใน สภาพการณ4นั้นๆ ทั้งนี้ผูถูกทดสอบตองร%วมมือกับผูทดสอบในการตอบแบบทดสอบ เพื่อใหไดผลที่ น%าเชื่อถือหรือเปHนไปตามวัตถุประสงค4 5. วิธีการฉายภาพ (Projective Technique) เปHนวิธีการที่ผูวัดไดจัดสิ่งเราขึ้นมา ใหบุคคลไดแสดงพฤติกรรมการตอบสนอง เช%น เล%าเรื่องจากรูปที่นํามาใหดูตัวอย%าง ไดแก% แบบทดสอบ รอร4ชาคและรูปภาพที่เกิดจากการหยดหมึก ใหสรางความสัมพันธ4ต%อเนื่องจากคําที่ กําหนดให ใหเติมขอความที่ไม%สมบูรณ4 ใหแสดงออกดวยการวาดภาพ เปHนตน ซึ่งเทคนิคเหล%านี้ จะตองใชผูทดสอบที่ไดรับการฝ~กฝนมาเปHนอย%างดีทั้งสิ้น การเลือกวิธีการวัดความความเชื่อมั่นใน ตนเองขึ้นอยู%กับความเหมาะสมทั้งผูทดสอบ และผูถูกทดสอบ สภาพการณ4ที่ใชทดสอบ และสิ่งที่ใช วัดเพื่อทําการศึกษา
  • 67.
    53 สําหรับงานวิจัยนี้ผูวิจัยสนใจที่จะศึกษาความเชื่อมั่นในตนเอง โดยใชกรอบแนวคิดของ ไซมอนด4ส (ธนัญญาคนอยู%. 2547 : 13 ; อางอิงมาจาก Symonds. 1964 : 85 - 86), ชูชีพ อ%อนโคกสูง (ธนัญญา คนอยู%. 2547 : 13 ; อางอิงมาจาก ชูชีพ อ%อนโคกสูง. 2516 : 27), ธีรภาพ วัฒนวิจารณ4 (2545 : 127) คือ แยกเปHน ตัวแปรสังเกตได 5 ตัว ประกอบดวย ความมั่นคงทางจิตใจ ความกลา การพึ่งตนเอง ความเปHนตัวของตัวเอง ความสามารถในการปรับตัว 5. การมองโลกในแง%ดี 5.1 ความหมายของการมองโลกในแง%ดี Seligman (สุมาลี พั่วชู. 2547 : 26 ; อางอิงมาจาก Seligman. 1998) ใหความหมายการมองโลกในแง%ดีว%า หมายถึง ความคิดความเชื่อในเหตุผลทางบวกต%อเหตุการณ4 ที่ไม%พึงปรารถนาที่ผ%านเขามาในชีวิต โดยใชรูปแบบการอธิบายใหเหตุผลตนเอง แบ%งออกเปHน 3 มิติ คือ 1. ความคงทนถาวรของเหตุการณ4ว%าเหตุการณ4นั้นเกิดแบบชั่วคราวหรือถาวร 2. ความเปHนตนเอง ซึ่งเปHนรูปแบบการอธิบายตนเองที่บุคคลเชื่อว%า เหตุการณ4 นั้นเกิดขึ้นเพราะตนเองหรือบุคคลอื่น 3. ความครอบคลุมของเหตุการณ4ว%าเหตุการณ4นั้นเกิดขึ้นเฉพาะบุคคล หรือเกิด กับคนทั่วไป ประเวศ วะสี (2541 : 12-15) ใหความหมาย ของการมองโลกในแง%ดีว%า หมายถึง การมองโลกแบบทวิลักษณ4 คือ การมอง 2 ดาน นั่นคือการมองลักษณะของสิ่งต%าง ๆ ทั้งดานที่เปHนคุณและดานที่เปHนโทษ การมองโลกในแง%ดีนั้นเปHนการมองสิ่งต%าง ๆ ในดานที่เปHนคุณ นิตยา คชภักดี (2542 : 90-95) ใหความหมาย การมองโลกในแง%ดี คือ การที่ คนเราสามารถยอมรับและรูจักตนเอง ซึ่งทําใหสามารถตั้งความคาดหวังที่เปHนจริงเหมาะสมสําหรับตนได ทักษะทางพฤติกรรม English (ปwยะวดี ลีฬหบํารุง. 2547 : 10 ; อางอิงมาจาก English. 1992 : 75) ใหความหมาย การมองโลกในแง%ดี คือ เจตคติในทางส%วนบุคคลที่จะเลือกโตตอบตามสถานการณ4 ต%างๆ ในแต%ละวันโดยปรับเปลี่ยน เจตคติในทางที่ควบคุมตนเองไดและมีความพึงพอใจในสิ่งที่เกิดขึ้น สรุปไดว%า การมองโลกในแง%ดี หมายถึง คุณลักษณะของบุคคล ในการคิด มีความเชื่อ ในเหตุผลทางบวกต%อเหตุการณ4ที่ไม%พึงปรารถนาที่ผ%านเขามาในชีวิต เลือกโตตอบตามสถานการณ4ต%างๆ ที่เกิดขึ้น โดยปรับเปลี่ยนความคิด ความเชื่อดังกล%าวไปในทางที่ควบคุมตนเอง และพึงพอใจใน สิ่งที่เกิดขึ้นนั้น 5.2 แนวคิดและทฤษฎีเกี่ยวกับการมองโลกในแง%ดี Seligman (อรพินทร4 ชูชม. 2544 : 43 ; อางอิงมาจาก Seligman. 1998) ไดเสนอรูปแบบการอธิบายตนเอง (Explanatory Style) ในสถานการณ4ต%าง ๆ ที่เกิดขึ้นในชีวิตของ บุคคล จากการบรรยายตนเองสามารถบ%งบอกไดว%าบุคคลนั้นมีมุมมองชีวิตในลักษณะไหนเปHนการมอง โลกในแง%ดี หรือการมองโลกในแง%ราย ซึ่งเปHนสิ่งสําคัญในการกําหนดพฤติกรรมของบุคคล ซึ่งรูปแบบการอธิบายตนเองของบุคคลต%าง ๆ ประกอบดวยมิติที่สําคัญ 3 มิติ ดังนี้
  • 68.
    54 5.2.1 ความคงทนถาวร (Permanence)เปHนรูปแบบการอธิบายตนเองโดยบุคคล มีความเชื่อว%า สาเหตุของเหตุการณ4ต%าง ๆ ที่เกิดขึ้นนั้น เปHนสาเหตุที่เกิดขึ้นถาวร (Permanence) หรือ เปHนสาเหตุที่เกิดขึ้นชั่วคราว (Temporary) ลักษณะการอธิบายในรูปความเชื่อว%า สิ่งที่เปHนสาเหตุตาม มิตินี้เปHนเรื่องกาลเวลาว%า มีความคงทนถาวรหรือไม% ซึ่งจะแตกต%างกันระหว%างคนที่มองโลกในแง%ดี และคนที่มองโลกในแง%ราย ตามลักษณะเหตุการณ4ดังนี้ เหตุการณ4ที่ดี : คนที่มองโลกในแง%ดี จะเชื่อว%าสิ่งที่ดีๆ ที่เกิดขึ้นกับตนเอง มาจากสาเหตุที่คงทนถาวร เช%น คุณลักษณะและความสามารถ แต%คนที่มองโลกในแง%รายจะเชื่อว%า สิ่งที่ดี ๆ ที่เกิดขึ้นกับตนเองนั้น เปHนสิ่งที่เกิดขึ้นชั่วคราว เช%น สภาวะอารมณ4และความพยายาม ดังนั้น บุคคลกลุ%มที่มองโลกในแง%ราย อาจจะลมเลิกเมื่อประสบความสําเร็จ เนื่องจากเชื่อว%าความสําเร็จเปHน เรื่องของความบังเอิญ เหตุการณ4ที่ไม%ดี : คนที่มองโลกในแง%ดีจะเชื่อว%าสาเหตุที่เกิดสิ่งไม%ดีกับ ตนเองนั้นเปHนสิ่งที่เกิดขึ้นชั่วคราว ทําใหบุคคลกลุ%มนี้ไม%ย%อทอต%ออุปสรรค แต%คนที่มองโลกในแง%ราย จะยอมแพต%ออุปสรรคไดอย%างง%ายดายเพราะเชื่อว%าสิ่งที่ไม%ดีที่เกิดขึ้นกับตนเองนั้น จะเกิดขึ้นถาวร ตลอดไป 5.2.2 ความครอบคลุม (Pervasiveness) เปHนรูปแบบการอธิบายตนเองที่บุคคล เชื่อว%า สาเหตุของสิ่งที่ เกิดขึ้นกับตนเองนั้นมีความเฉพาะ (Specific) หรือเปHนสิ่งสากลทั่วไป (Universal)โดยที่ลักษณะการอธิบายสาเหตุของเหตุการณ4ต%าง ๆ ตามมิตินี้จะแตกต%างกันระหว%างคนที่ มองโลกในแง%ดีและคนที่มองโลกในแง%ราย ดังนี้ เหตุการณ4ที่ดี : คนที่มองโลกในแง%ดีจะเชื่อว%าสิ่งดี ๆ ที่เกิดขึ้นกับตนเอง เปHนสิ่งสากลทั่วไป แต%คนที่มองโลกในแง%รายจะเชื่อว%าสิ่งดีๆที่เกิดขึ้นนั้นมีสาเหตุที่เกิดขึ้นจากป6จจัยที่มี ความเฉพาะ เหตุการณ4ที่ไม%ดี : คนที่มองโลกในแง%ดี จะเชื่อว%าสิ่งที่เลวรายที่เกิดขึ้นกับ ตนเอง นั้นเปHนสาเหตุที่เกิดขึ้นเฉพาะกับเหตุการณ4นั้นเท%านั้น แต%คนที่มองโลกในแง%รายจะเชื่อว%าสิ่งที่ เลวรายที่เกิดขึ้นนั้นเปHนสาเหตุที่สากลทั่วไป เกิดขึ้นทุกโอกาส 5.2.3 ความเปHนตนเอง (Personalization) เปHนรูปแบบการอธิบายตนเอง ที่บุคคล เชื่อว%าสาเหตุของเหตุการณ4ที่เกิดขึ้นกับตนเองนั้นเกิดมาจากตนเอง (Internal) หรือเกิดมาจากสาเหตุ ภายนอกตนเอง (External) หรือบุคคลอื่น โดยที่ลักษณะการอธิบายสาเหตุของเหตุการณ4ต%าง ๆ ตาม มิตินี้จะแตกต%างกันระหว%างคนที่มองโลกในแง%ดีและคนที่มองโลกในแง%ราย ดังนี้ เหตุการณ4ที่ดี : คนที่มองโลกในแง%ดีจะเชื่อว%าตนเองเปHนสาเหตุที่ทําใหเกิด เหตุการณ4ดี แต%คนที่มองโลกในแง%รายจะเชื่อว%าเหตุการณ4ที่ดีเกิดจากคนอื่นหรือ สถานการณ4อื่น เหตุการณ4ที่ไม%ดี : คนที่มองโลกในแง%ดีจะเชื่อว%าสาเหตุที่ทําใหเกิด เหตุการณ4ไม%ดีกับตนเองนั้นเปHนสิ่งที่เกิดขึ้นจากบุคคลอื่นหรือสถานการณ4ภายนอกอื่น เพื่อที่บุคคลนั้นจะ ไดไม% สูญเสียความภาคภูมิใจในตนเอง แต%คนที่มองโลกในแง%รายจะตําหนิตนเองว%าสาเหตุที่เกิดสิ่งไม%ดี ขึ้นนั้นมาจากตนเอง ดังนั้น เมื่อประสบความลมเหลวจะก%อใหเกิดความรูสึกดอยคุณค%าในตนเอง
  • 69.
    55 5.3 การวัดการมองโลกในแง%ดี การวัดการมองโลกในแง%ดี สามารถวัดไดจากรูปแบบการอธิบายสาเหตุ ซึ่งมีวิธีการวัด2 วิธี (อรพินทร4 ชูชม. 2544 : 43 ; อางอิงมาจาก Seligman. 1998) คือ 5.3.1. ใชแบบสอบถามการอธิบายสาเหตุ (The Attribution Style Questionnaire : ASQ) 5.3.1.1 แบบสอบถามการอธิบายสาเหตุ เปHนแบบสอบถามที่สรางขึ้นเพื่อใชวัด การอธิบายในสถานการณ4ที่หลากหลาย มากกว%าที่จะใชวัดรูปแบบการอธิบายสาเหตุในสถานการณ4 เฉพาะ ประกอบดวย เหตุการณ4สมมุติ 12 สถานการณ4 แบ%งเปHนสถานการณ4ทางบวกและสถานการณ4 ทางลบอย%างละ 6 สถานการณ4 แต%ละสถานการณ4ประกอบดวย 3 มาตรวัดย%อย ซึ่งใชวัด 3 มิติ คือ มิติแหล%งกําเนิดของสาเหตุ มิติแห%งความคงทนถาวรของสาเหตุ และมิติแห%งความสามารถในการ ควบคุมสาเหตุ ในแต%ละสถานการณ4จะมีคําถามใหตอบ 4 ขอย%อย ขอแรกถามถึงสาเหตุหลักที่ทําให เกิดสถานการณ4นั้น ซึ่งไม%ไดนํามาคิดคะแนน ส%วนอีก 3 ขอหลังถามเกี่ยวกับสาเหตุของเหตุการณ4นั้น ใน 3 มิติ การคิดคะแนนจะแยกกันระหว%างสถานการณ4ทางบวก และสถานการณ4ทางลบ โดยแบ%ง ออกเปHนคะแนนเฉลี่ยในแต%ละมิติ คะแนนรวมทางบวก คะแนนรวมทางลบ และคะแนนรวม 5.3.1.2 มาตรวัดการมองโลกในแง%ดี ใชสําหรับวัดคุณลักษณะนิสัยการมองโลก จากรูปแบบการอธิบายสถานการณ4ทางบวกและทางลบ ประกอบดวยคําถามเกี่ยวกับสถานการณ4 ประจําวัน 48 ขอ แบ%งเปHนสถานการณ4ทางบวกและสานการณ4ทางลบอย%างละ 24 ขอ โดยแบ%งเปHน ขอที่วัดในมิติแห%งแหล%งกําเนิดของสาเหตุมิติแห%งคามคงทนถาวรของสาเหตุ และมิติแห%งความสามารถใน การควบคุมสาเหตุอย%างละ 16 ขอ ลักษณะการตอบคําถามเปHนลักษณะบังคับใหเลือกตอบ แต%ละ สถานการณ4ประกอบดวย 2 ตัวเลือก ใหผูตอบทําเครื่องหมายกากบาทลงในขอที่ตรงกับความรูสึกของ ตนมากที่สุด การใหคะแนนรายขอ แต%ละขอจะมีคะแนนเปHน 0 - 1 คะแนน ขึ้นอยู%กับว%าผูตอบจะ เลือกตอบขอใด คะแนนจะถูกรวมเปHนรายมิติ 5.3.2. ใชการวิเคราะห4เนื้อหาคําพูด (The Content Analysis of Verbatim Explanation : CAVE) เปHนวิธีการศึกษายอนเวลา เหมาะสําหรับผูที่ไม%ตองการตอบ หรือไม%สามารถ ตอบแบบสอบถามได การใชการวิเคราะห4เนื้อหาของคําพูดในการศึกษารูปแบบการอธิบายของบุคคล สําหรับงานวิจัยนี้ผูวิจัยสนใจที่จะศึกษาการมองโลกในแง%ดี โดยใชกรอบแนวคิดของ Seligman (อรพินทร4 ชูชม. 2544 : 43 ; อางอิงมาจาก Seligman. 1998) คือ แยกเปHน ตัวแปรสังเกตได 3 ตัว ประกอบดวย ความคงทนถาวร ความครอบคลุม ความเปHนตนเอง งานวิจัยที่เกี่ยวของ 1. งานวิจัยในประเทศ สุภมาส จินะราช (2549 : 70-80) ไดศึกษาความสัมพันธ4ของป6จจัยบางประการกับ การพัฒนาตนเองของนิสิตภาคพิเศษ ระดับบัณฑิตศึกษา คณะศึกษาศาสตร4 มหาวิทยาลัย ศรีนครินทรวิโรฒ การศึกษาคนควาครั้งนี้ มีจุดมุ%งหมายเพื่อศึกษาความสัมพันธ4ระหว%างป6จจัย ดานความเชื่อมั่นในตนเอง บุคลิกภาพเปwดรับประสบการณ4 การมองโลกในแง%ดี ความชัดเจนในเปKาหมาย แรงจูงใจใฝ:สัมฤทธิ์ ความผูกพันต%อองค4กร และบรรยากาศขององค4กรกับการพัฒนาตนเอง และหาค%า
  • 70.
    56 น้ําหนักความสําคัญของป6จจัยแต%ละป6จจัยที่ส%งผลต%อการพัฒนาตนเอง กลุ%มตัวอย%างที่ใชในการศึกษาครั้ง นี้เปHนนิสิตภาคพิเศษ ระดับบัณฑิตศึกษาคณะศึกษาศาสตร4 มหาวิทยาลัยศรีนครินทรวิโรฒ ที่ประกอบ อาชีพครู ชั้นป…ที่ 1 และป…ที่ 2 ป…การศึกษา 2548 จํานวน 296 คน ดวยวิธีการสุ%มอย%างง%าย (Simple Random Sampling) เครื่องมือที่ใชในการศึกษา ไดแก% แบบสอบถามวัดการพัฒนาตนเอง ความเชื่อมั่น ในตนเองบุคลิกภาพการเปwดรับประสบการณ4 การมองโลกในแง%ดี ความชัดเจนในเปKาหมาย แรงจูงใจใฝ: สัมฤทธิ์ ความผูกพันต%อองค4กร และบรรยากาศขององค4กร ซึ่งมีค%าความเชื่อมั่น .88, .75,.83, .83, .90, .89, .82 และ .90 ตามลําดับ สถิติที่ใชในการวิเคราะห4ขอมูล คือ สหสัมพันธ4พหุคูณและการวิเคราะห4 การถดถอยพหุคูณ (Multiple Regression Analysis) ผลการศึกษาพบว%า ป6จจัยดานความเชื่อมั่นใน ตนเอง บุคลิกภาพการเปwดรับประสบการณ4 การมองโลกในแง%ดีความชัดเจนในเปKาหมาย แรงจูงใจใฝ: สัมฤทธิ์ ความผูกพันต%อองค4กร และบรรยากาศขององค4กร มีความสัมพันธ4ทางบวกกับการพัฒนาตนเอง อย%างมีนัยสําคัญทางสถิติที่ระดับ .01 และค%าสัมประสิทธิ์สหสัมพันธ4พหุคูณระหว%างตัวแปรป6จจัยดาน ความเชื่อมั่นในตนเอง บุคลิกภาพการเปwดรับประสบการณ4 การมองโลกในแง%ดี ความชัดเจนในเปKาหมาย และความผูกพันต%อองค4กร มีค%าเท%ากับ.719 ซึ่งมีนัยสําคัญทางสถิติที่ระดับ .01 โดยตัวแปรป6จจัยทั้ง 5 ตัวแปร ร%วมกันอธิบายความแปรปรวนของการพัฒนาตนเองรอยละ 51.8 ป6จจัยดานความเชื่อมั่นใน ตนเอง บุคลิกภาพการเปwดรับประสบการณ4 ความชัดเจนในเปKาหมาย และความผูกพันต%อองค4กร ส%งผลทางบวกต%อการพัฒนาตนเองอย%างมีนัยสําคัญทางสถิติที่ระดับ .01 โดยที่ป6จจัยดานบุคลิกภาพ การเปwดรับประสบการณ4ส%งผลต%อการพัฒนาตนเองมากที่สุด มีค%าน้ําหนักความสําคัญในรูปคะแนน มาตรฐาน .378 รองลงมาคือ ป6จจัยดานความผูกพันต%อองค4กร ความชัดเจนในเปKาหมาย และ ความเชื่อมั่นในตนเอง มีค%าน้ําหนักความสําคัญในรูปคะแนนมาตรฐาน.321 .281 และ .143 ตามลําดับ อรอุษา จันทคร (2551 : 90-98) ไดศึกษาความสัมพันธ4ของป6จจัยบางประการกับ การพัฒนาตนเองตามเกณฑ4มาตรฐานวิชาชีพครู ของครูในเขตพื้นที่การศึกษานครปฐม เขต 2 มีวัตถุประสงค4เพื่อศึกษา ความสัมพันธ4ระหว%างป6จจัยบางประการกับการพัฒนาตนเองตามเกณฑ4 มาตรฐานวิชาชีพครู โดยรวมและแยกรายดาน รวมทั้งหาค%าน้ําหนักความสําคัญของป6จจัยบางประการที่ ส%งผลต%อการพัฒนาตนเองตามเกณฑ4มาตรฐานวิชาชีพครูโดยรวมและแยกรายดาน กลุ%มตัวอย%างที่ใชใน การวิจัยครั้งนี้เปHนครูที่ปฏิบัติการสอนในภาคเรียนที่ 2 ป…การศึกษา 2551 ของเขตพื้นที่การศึกษา นครปฐมเขต 2 จํานวน 360 คนซึ่งไดมาโดยวิธีการสุ%มแบบแบ%งชั้น เครื่องมือที่ใชในการวิจัยครั้งนี้เปHน แบบสอบถาม ซึ่งแบ%งเปHน 5 ตอน 1) สถานภาพส%วนบุคคลของผูตอบแบบสอบถามเกี่ยวกับภาระงาน สอน ประสบการณ4การทํางานในตําแหน%งและระดับการศึกษา 2) แบบสอบถามวัดเจตคติต%อวิชาชีพครู 3) แบบสอบถามวัดการรับรูในความสามารถของตนเอง 4) แบบสอบถามวัดการสนับสนุนการพัฒนา ตนเองของผูบริหาร5 ) การพัฒนาตนเองตามเกณฑ4มาตรฐานวิชาชีพครู มีความเชื่อมั่นเท%ากับ .858, .907, .950, .877, .920,.872, .926, .917, .933, .917, .908, .866, .911, .953 และ .904 ตามลําดับ สถิติที่ใชในการวิเคราะห4ขอมูลไดแก% การวิเคราะห4ถดถอยพหุคูณแบบตัวแปรพหุนามและการวิเคราะห4 แบบตัวแปรเอกนาม ผลการศึกษาพบว%า ค%าสัมประสิทธิ์สหสัมพันธ4ของคะแนนระหว%างป6จจัยแต%ละดาน กับการพัฒนาตนเองตามเกณฑ4มาตรฐานวิชาชีพครูโดยรวม มีค%าอยู%ระหว%าง .151 ถึง .643 โดยป6จจัยที่ มีความสัมพันธ4สูงสุด คือ การรับรูความสามารถของตนเอง มีค%าเท%ากับ .643 รองลงมาคือ การสนับสนุนการพัฒนาตนเองของผูบริหาร มีค%าเท%ากับ .428 สัมพันธ4กันอย%างมีนัยสําคัญทางสถิติที่ ระดับ .01 ค%าน้ําหนักความสําคัญในรูปคะแนนมาตรฐาน โดยมีป6จจัยที่ส%งผลต%อการพัฒนาตนเองตาม
  • 71.
    57 เกณฑ4มาตรฐานวิชาชีพครู คือ 1)ภาระงานสอนส%งผลต%อการพัฒนาตนเองตามเกณฑ4 มาตรฐานวิชาชีพ ครู มาตรฐานที่ 2 ตัดสินใจปฏิบัติกิจกรรมต%าง ๆ โดยคํานึงถึงผลที่จะเกิดกับผูเรียน 2) ประสบการณ4 ทํางานในตําแหน%งครู ส%งผลต%อการพัฒนาตนเองตามเกณฑ4มาตรฐานวิชาชีพครู มาตรฐานที่ 11 แสวงหา และใชขอมูลข%าวสารในการพัฒนา 3)ระดับการศึกษา ส%งผลต%อการพัฒนาตนเองตามเกณฑ4มาตรฐาน วิชาชีพครู มาตรฐานที่ 3 มุ%งมั่นพัฒนาผูเรียนใหเต็มตามศักยภาพ มาตรฐานที่ 5 พัฒนาสื่อการเรียน การสอนใหมีประสิทธิภาพอยู%เสมอ มาตรฐานที่ 11 แสวงหาและใชขอมูลข%าวสารในการพัฒนา 4) การรับรูความสามารถในตนเอง ส%งผลส%งผลทางบวกต%อการพัฒนาตนเองตามเกณฑ4มาตรฐานวิชาชีพ ครู ทั้ง 12 มาตรฐาน 5)การสนับสนุนการพัฒนาตนเองของผูบริหาร ส%งผลทางบวกต%อการพัฒนาตนเอง ตามเกณฑ4มาตรฐานวิชาชีพครู มาตรฐานที่ 1 ปฏิบัติกิจกรรมทางวิชาการเกี่ยวกับการพัฒนาวิชาชีพครู อยู%เสมอ มาตรฐานที่ 2 ตัดสินใจปฏิบัติกิจกรรมต%าง ๆ โดยคํานึงถึงผลที่จะเกิดกับผูเรียน มาตรฐานที่ 10 ร%วมมือกับผูอื่นอย%างสรางสรรค4ในชุมชนมาตรฐานที่ 12 สรางโอกาสในการพัฒนาไดทุกสถานการณ4 โดยส%งผลอย%างมีนัยสําคัญทางสถิติที่ระดับ .01 กาญจนา บุบผัน (2551 : 99-104) ไดศึกษาความสัมพันธ4ของป6จจัยบางประการที่ ส%งผลต%อการพัฒนาตนเองตามจรรยาบรรณวิชาชีพครูดานวิชาชีพ วิสัยทัศน4 และบุคลิกภาพ ของครู มัธยมศึกษาสังกัดสํานักงานเขตพื้นที่การศึกษานครศรีธรรมราช เขต 1 การศึกษาความสัมพันธ4และ ค%าน้ําหนักความสําคัญที่ส%งผลของตัวแปรป6จจัย ไดแก% ความเชื่อมั่นในตนเอง การมองโลกในแง%ดี การเปwดรับประสบการณ4 และความชัดเจนในเปKาหมาย กับการพัฒนาตนเองตามจรรยาบรรณวิชาชีพครู ดานวิชาชีพครู ดานวิสัยทัศน4และบุคลิกภาพ กลุ%มตัวอย%าง เปHนครูระดับมัธยมศึกษา ภาคเรียนที่ 2 ป… การศึกษา 2550 ของโรงเรียนในสังกัดสํานักงานเขตพื้นที่การศึกษานครศรีธรรมราช เขต 1 จํานวนครู 425 คน ซึ่งไดมาดวยวิธีการสุ%มอย%าง%าย (Sample Random Sampling) เครื่องมือที่ใชในการศึกษา คนควาในครั้งนี้ประกอบดวยแบบสอบถามการพัฒนาตนเองตามจรรยาบรรณวิชาชีพครูดานวิชาชีพ ดานวิสัยทัศน4 และดานบุคลิกภาพ แบบสอบถามความเชื่อมั่นในตนเอง แบบสอบถามการมองโลกในแง% ดี แบบสอบถามการเปwดรับประสบการณ4และแบบสอบถามความชัดเจนในเปKาหมาย ที่มีความเชื่อมั่น เท%ากับ .84, .88, .81, .90, .70 และ .78 ตามลําดับ ใชการวิเคราะห4แบบถดถอยพหุนาม (Multivariate Multiple Regression :MMR) และการวิเคราะห4การถดถอยพหุคูณแบบตัวแปรเอกนาม (Univariate Multiple Regression :MR) ผลการศึกษาพบว%า สัมประสิทธิ์ระหว%างกลุ%มตัวแปรป6จจัยที่ ส%งผลต%อการพัฒนาตนเองตามจรรณยาบรรณวิชาชีพครู พบว%าดานวิชาชีพ ตัวแปรที่ส%งผลอย%างมี นัยสําคัญทางสถิติที่ระดับ .05 ไดแก% ความชัดเจนในเปKาหมายและการปwดรับประสบการณ4 ดานวิสัยทัศน4 ตัวแปรที่ส%งผลอย%างมีนัยสําคัญทางสถิติที่ระดับ .05 ไดแก%ความชัดเจนที่เปKาหมายและ ความเชื่อมั่นในตนเอง ดานบุคลิกภาพ กลุ%มตัวแปรป6จจัยที่ส%งผลอย%างมีนัยสําคัญทางสถิติที่ระดับ .05 ไดแก% ความชัดเจนในเปKาหมาย ความเชื่อมั่นในตนเอง การมองโลกในแง%ดี และการเปwดรับ ประสบการณ4 เนาวรัตน4 ไตรยงค4 (2552 : 92-99) ไดศึกษาความสัมพันธ4ของป6จจัยทางจิตสังคม ที่เกี่ยวของกับพฤติกรรรมการพัฒนาตนใหรอบรูของนักเรียนช%วงชั้นที่ 2 สังกัดสํานักงานเขตพื้นที่ การศึกษาศรีสะเกษ เขต 3 การวิจัยครั้งนี้มีวัตถุประสงค4เพื่อ 1) ศึกษาความสัมพันธ4ระหว%างตัวแปร ในกลุ%มลักษณะสถานการณ4 คือ การไดรับแบบอย%างการพัฒนาตนใหรอบรู การไดรับการสนับสนุน จากคนรอบดานบรรยากาศในโรงเรียน กลุ%มจิตลักษณะเดิมคือ ลักษณะมุ%งอนาคตและการควบคุมตน
  • 72.
    58 แรงจูงใจใฝ:สัมฤทธิ์ และความเชื่ออํานาจในตน และกลุ%มจิตลักษณะตามสถานการณ4คือเจตคติต%อ พฤติกรรม การพัฒนาตนใหรอบรูกับพฤติกรรมการพัฒนาตนใหรอบรูของนักเรียนช%วงชั้นที่ 2 2) วิเคราะห4ตัวพยากรณ4ที่ดีของพฤติกรรรมการพัฒนาตนใหรอบรูของนักเรียนช%วงชั้นที่ 2 และ 3) สรางสมการพยากรณ4พฤติกรรรมการพัฒนาตนใหรอบรูของนักเรียนช%วงชั้นที่ 2 กลุ%มตัวอย%าง ที่ใชในการวิจัยครั้งนี้เปHนนักเรียนช%วงชั้นที่ 2 สังกัดสํานักงานเขตพื้นที่การศึกษาศรีสะเกษ เขต 3 จํานวน 459 คน ซึ่งไดมาโดยการสุ%มแบบแบ%งชั้น เครื่องมือที่ใชวัดตัวแปรประกอบดวยแบบวัด 8 ฉบับ มีลักษณะเปHนแบบมาตราส%วนประมาณค%า 6 ระดับ คือ จริงที่สุดจริง ค%อนขางจริง ค%อนขางไม%จริง ไม% จริง และไม%จริงเลย โดยที่ฉบับที่ 1 เปHนแบบวัดการไดรับแบบอย%างการพัฒนาตนใหรอบรู จํานวน 10 ขอ มีค%าอํานาจจําแนกตั้งแต% .363 ถึง .492 ค%าความเชื่อถือไดเท%ากับ .760 ฉบับที่ 2 เปHนแบบวัดการ ไดรับการสนับสนุนจากคนรอบดาน จํานวน 10 ขอ มีค%าอํานาจจําแนกตั้งแต% .497 ถึง .631 ค%าความ เชื่อถือไดเท%ากับ .842 ฉบับที่ 3 เปHนแบบวัดบรรยากาศในโรงเรียน จํานวน 10 ขอ มีค%าอํานาจจําแนก ตั้งแต% .493 ถึง .665 ค%าความเชื่อถือไดเท%ากับ 0.867 ฉบับที่ 4 เปHนแบบวัดลักษณะมุ%งอนาคตและ การควบคุมตน จํานวน 10 ขอ มีค%าอํานาจจําแนกตั้งแต% .495 ถึง .572 ค%าความเชื่อถือไดเท%ากับ .841 ฉบับที่ 5 เปHนแบบวัดแรงจูงใจใฝ:สัมฤทธิ์ จํานวน 10 ขอ มีค%าอํานาจจําแนกตั้งแต% .527 ถึง .650 ค%าความเชื่อถือไดเท%ากับ .829 ฉบับที่ 6 เปHนแบบวัดความเชื่ออํานาจในตน จํานวน 10 ขอ มีค%าอํานาจ จําแนกตั้งแต% .436 ถึง .660 ค%าความเชื่อถือไดเท%ากับ .853 ฉบับที่ 7 เปHนแบบวัดเจตคติต%อพฤติกรรม การพัฒนาตนใหรอบรู จํานวน 10 ขอ มีค%าอํานาจจําแนกตั้งแต% .594 ถึง .714 ค%าความเชื่อถือได เท%ากับ 0.881 และฉบับที่ 8 เปHนแบบวัดพฤติกรรมการพัฒนาตนใหรอบรูของนักเรียน จํานวน 20 ขอ มีค%าอํานาจจําแนกตั้งแต% .521 ถึง .745 และค%าความเชื่อถือไดเท%ากับ .930 สถิติที่ใชในการวิเคราะห4 ขอมูล ไดแก% ค%าเฉลี่ย ส%วนเบี่ยงเบนมาตรฐาน การทดสอบค%า t การทดสอบค%า F ค%า Tolerance ค%า VIF และวิเคราะห4การถดถอยพหุคูณ ผลการวิจัยพบว%า ตัวพยากรณ4ทั้ง 7 ตัว ไดแก% ตัวแปรในกลุ%ม ลักษณะสถานการณ4 3 ตัวแปร คือ การไดรับแบบอย%างการพัฒนาตนใหรอบรู การไดรับการสนับสนุน จากคนรอบดานและบรรยากาศในโรงเรียน ตัวแปรในกลุ%มจิตลักษณะเดิม 3 ตัวแปร คือลักษณะมุ%ง อนาคตและการควบคุมตน แรงจูงใจใฝ:สัมฤทธิ์ และความเชื่ออํานาจในตน และตัวแปรในกลุ%มจิต ลักษณะตามสถานการณ4อีก 1 ตัวแปร คือ เจตคติต%อการพัฒนาตนใหรอบรู มีความสัมพันธ4ในเชิง เสนตรงทางบวกกับพฤติกรรม การพัฒนาตนใหรอบรู ของนักเรียนช%วงชั้นที่ 2 อย%างมีนัยสําคัญทางสถิติ ที่ระดับ .05 โดยมีค%า สัมประสิทธิ์สหสัมพันธ4พหุคูณเท%ากับ .775 แสดงว%าตัวแปรพยากรณ4ชุดนี้ร%วมกัน สามารถพยากรณ4 พฤติกรรมการพัฒนาตนใหรอบรูของนักเรียน ไดรอยละ 60.1 และมีความ คลาดเคลื่อนมาตรฐาน ในการพยากรณ4เท%ากับ 8.202 โดยที่แรงจูงใจใฝ:สัมฤทธิ์พยากรณ4ไดมากที่สุด ตัวแปรพยากรณ4ที่ดีของพฤติกรรมการพัฒนาตนใหรอบรูของนักเรียนมีทั้งหมด 5 ตัวแปร เรียง ตามลําดับความสําคัญ ดังนี้ แรงจูงใจใฝ:สัมฤทธิ์ ( X5 ) ความเชื่ออํานาจในตน ( X6 ) ลักษณะมุ%งอนาคต และการควบคุมตน ( X4 ) บรรยากาศในโรงเรียน ( X3 ) และการไดรับแบบอย%าง การพัฒนาตนใหรอบรู ( X1 ) ซึ่งตัวแปรพยากรณ4ชุดนี้ร%วมกันสามารถพยากรณ4พฤติกรรมการพัฒนา ตนใหรอบรูของนักเรียนได รอยละ 59.9 และมีความคลาดเคลื่อนมาตรฐานในการพยากรณ4เท%ากับ 8.206
  • 73.
    59 ศิวกานต4 ธิมาชัย (2552: 88-94) ไดศึกษาความสัมพันธ4ของป6จจัยทางจิตสังคมที่ เกี่ยวของกับพฤติกรรรมการพัฒนาตนใหรอบรูของขาราชการครู สังกัดสํานักงานเขตพื้นที่การศึกษา ยโสธร เขต 2 การวิจัยครั้งนี้มีวัตถุประสงค4เพื่อ 1) ศึกษาความสัมพันธ4ระหว%างตัวแปร ในกลุ%มลักษณะ สถานการณ4 คือ การไดรับการสนับสนุนจากคนรอบดานบรรยากาศในโรงเรียน การไดรับแบบอย%าง การพัฒนาตนใหรอบรู กลุ%มจิตลักษณะเดิมคือ แรงจูงใจใฝ:สัมฤทธิ์ ลักษณะมุ%งอนาคตและการควบคุมตน และความเชื่ออํานาจในตน และกลุ%มจิตลักษณะตามสถานการณ4คือ เจตคติต%อพฤติกรรมการพัฒนาตน ใหรอบรูของขาราชการครูกับพฤติกรรมการพัฒนาตนใหรอบรูของขาราชการครู 2) วิเคราะห4ตัว พยากรณ4ที่ดีของพฤติกรรรมการพัฒนาตนใหรอบรูของขาราการครู และ 3) สรางสมการพยากรณ4พฤติ กรรรมการพัฒนาตนใหรอบรูของขาราชการครูกลุ%มตัวอย%างที่ใชในการวิจัยครั้งนี้เปHนขาราชการครู สังกัดสํานักงานเขตพื้นที่การศึกษายโสธร เขต 2 จํานวน 350 คน ซึ่งไดมาโดยการสุ%มแบบแบ%งชั้น เครื่องมือที่ใชวัดตัวแปร ประกอบดวยแบบวัด 8 ฉบับ มีลักษณะเปHนแบบมาตราส%วนประมาณค%า 6 ระดับ คือ จริงที่สุดจริง ค%อนขางจริง ค%อนขางไม%จริง ไม%จริง และไม%จริงเลย โดยที่ฉบับที่ 1 เปHนแบบวัด การไดรับการไดรับการสนับสนุนจากคนรอบดาน จํานวน 26 ขอ มีค%าอํานาจจําแนกตั้งแต% .304 ถึง .715 ค%าความเชื่อถือไดเท%ากับ .901 ฉบับที่ 2 แบบวัดบรรยากาศในโรงเรียน จํานวน 16 ขอ มีค%าอํานาจจําแนกตั้งแต% .231 ถึง .796 ค%าความเชื่อถือไดเท%ากับ .898 ฉบับที่ 3 แบบวัดการไดรับ แบบอย%างการพัฒนาตนใหรอบรู จํานวน 26 ขอ มีค%าอํานาจจําแนกตั้งแต% .327 ถึง .810 ค%าความเชื่อถือไดเท%ากับ .942 ฉบับที่ 4 แบบวัดแรงจูงใจใฝ:สัมฤทธิ์ จํานวน 24 ขอ มีค%าอํานาจจําแนก ตั้งแต% .338 ถึง .739 ค%าความเชื่อถือไดเท%ากับ .932 ฉบับที่ 5 แบบวัดลักษณะมุ%งอนาคตและ การควบคุมตน จํานวน 22 ขอ มีค%าอํานาจจําแนกตั้งแต% .304 ถึง .673 ค%าความเชื่อถือไดเท%ากับ .868 ฉบับที่ 6 แบบวัดความเชื่ออํานาจในตน จํานวน 11ขอ มีค%าอํานาจจําแนกตั้งแต% .257 ถึง .663 ค%าความเชื่อถือไดเท%ากับ .772 ฉบับที่ 7 แบบวัดเจตคติต%อพฤติกรรมการพัฒนาตนใหรอบรู จํานวน 18 ขอ มีค%าอํานาจจําแนกตั้งแต% .285 ถึง .724 ค%าความเชื่อถือไดเท%ากับ .864 และฉบับที่ 8 แบบพฤติกรรมการพัฒนาตนใหรอบรูของขาราชการครู จํานวน 34 ขอ มีค%าอํานาจจําแนกตั้งแต% .342 ถึง .710 ค%าความเชื่อถือไดเท%ากับ .936 สถิติที่ใชในการวิเคราะห4ขอมูล ไดแก% ค%าเฉลี่ย ส%วนเบี่ยงเบน มาตรฐาน การทดสอบค%า t การทดสอบค%า F ค%า Tolerance ค%า VIF และวิเคราะห4การถดถอยพหุคูณ ผลการวิจัยพบว%า ตัวแปรในกลุ%มลักษณะสถานการณ4 คือ การไดรับการสนับสนุนจากคนรอบดาน บรรยากาศในโรงเรียน การไดรับแบบอย%างการพัฒนาตนใหรอบรู กลุ%มจิตลักษณะเดิม คือ แรงจูงใจใฝ: สัมฤทธิ์ ลักษณะมุ%งอนาคตและการควบคุมตน และความเชื่ออํานาจในตน และกลุ%มจิตลักษณะตาม สถานการณ4คือ เจตคติต%อพฤติกรรมการพัฒนาตนใหรอบรูของขาราชการครูกับพฤติกรรมการพัฒนาตน ใหรอบรูของขาราชการครู มีความสัมพันธ4ในเชิงเสนตรงทางบวกกับพฤติกรรม การพัฒนาตนใหรอบรู ของขาราชการครู อย%างมีนัยสําคัญทางสถิติที่ระดับ .01 โดยมีค%าสัมประสิทธิ์สหสัมพันธ4พหุคูณเท%ากับ 0.876 แสดงว%าตัวแปรพยากรณ4ชุดนี้ร%วมกันสามารถพยากรณ4พฤติกรรมการพัฒนาตนใหรอบรูของ ขาราชการครู ไดรอยละ 76.8 และมีความคลาดเคลื่อนมาตรฐานในการพยากรณ4เท%ากับ .257 โดยที่ลักษณะมุ%งอนาคตและการควบคุมตน พยาการณ4ไดมากที่สุด ตัวแปรพยากรณ4ที่ดีของพฤติกรรม การพัฒนาตนใหรอบรูของราชการครูมีทั้งหมด 3 ตัวแปร เรียงตามลําดับความสําคัญ ดังนี้ ลักษณะมุ%ง อนาคตและการควบคุม (X5 ) เจตคติต%อพฤติกรรมการพัฒนาตนใหรอบรู (X7 ) แรงจูงใจใฝ:สัมฤทธิ์ (X4)
  • 74.
    60 ซึ่งตัวแปรพยากรณ4ชุดนี้ร%วมกันสามารถพยากรณ4พฤติกรรมการพัฒนาตนใหรอบรูของขาราชการครูได รอยละ 76.2 และมีความคลาดเคลื่อนมาตรฐานในการพยากรณ4เท%ากับ.259 ประภาพร คนซื่อ (2552 : 70-72) ไดศึกษาความสัมพันธ4ของป6จจัยดานลักษณะมุ%ง อนาคต ความเชื่อมั่นในตนเอง สัมพันธภาพระหว%างนักเรียนกับเพื่อน และอิทธิพลของตัวแบบสัญลักษณ4 ที่ส%งผลต%อความสามารถในการควบคุมตนเองดานอารมณ4และดานพฤติกรรม กลุ%มตัวอย%างที่ใชใน การศึกษาครั้งนี้เปHนนักเรียนมัธยมศึกษาป…ที่ 3 ภาคเรียนที่ 1 ป…การศึกษา 2551ในเขตพื้นที่การศึกษา ลพบุรี เขต 2 จํานวนทั้งสิ้น 217 คน ไดมาจากการสุ%มแบบสองขั้นตอน เครื่องมือที่ใชในการวิจัย ประกอบดวย แบบสอบถามวัดความสามารถในการควบคุมตนเองดานอารมณ4 และดานพฤติกรรม ลักษณะมุ%งอนาคต ความเชื่อมั่นในตนเอง สัมพันธภาพระหว%างนักเรียนกับเพื่อน และอิทธิพลของตัว แบบสัญลักษณ4 มีค%าความเชื่อมั่นแต%ละฉบับเท%ากับ .844 .870 .810 .899 และ .888 ตามลําดับ วิเคราะห4ขอมูลดวยการวิเคราะห4ถดถอยพหุคูณแบบตัวแปรตามหลายตัว (Multivariate Multiple Regression Analysis : MMR) ผลการวิจัยพบว%า1. ค%าสัมประสิทธิ์การถดถอยระหว%างตัวแปรป6จจัยกับ ความสามารถในการควบคุมตนเองดานอารมณ4 และดานพฤติกรรม มีค%าวิลค4แลมดา เท%ากับ .414 และ ค%าสัมประสิทธิ์สหสัมพันธ4พหุคูณระหว%างตัวแปรป6จจัยกับตัวแปรตามแต%ละตัวมีค%า .596 และ .705 ซึ่งมีนัยสําคัญทางสถิติที่ระดับ .01 ทุกค%า และมีความแปรผันร%วมกัน 35.6% และ 49.8% 2. ค%าน้ําหนักความสําคัญของป6จจัยที่ส%งผลต%อความสามารถในการควบคุมตนเอง ดังนี้ ป6จจัยที่ส%งผลต%อ ความสามารถในการควบคุมตนเองดานอารมณ4 ไดแก% สัมพันธภาพระหว%างนักเรียนกับเพื่อน (.234) อิทธิพลของตัวแบบสัญลักษณ4 (.229) และ ความเชื่อมั่นในตนเอง (.197) ส%งผลทางบวกอย%างมีนัยสําคัญ ทางสถิติที่ระดับ .01 ป6จจัยที่ส%งผลต%อความสามารถในการควบคุมตนเองดานพฤติกรรม ไดแก% ลักษณะมุ%งอนาคต (.421) และอิทธิพลของตัวแบบสัญลักษณ4 ( .368) ส%งผลทางบวกอย%างมีนัยสําคัญ ทางสถิติที่ระดับ .01 และความเชื่อมั่นในตนเอง (.159) ส%งผลทางบวกอย%างมีนัยสําคัญ ทางสถิติที่ระดับ .05 จิราภรณ4 ธรรมวงษ4 (2553 : 75-92) ไดศึกษาความสัมพันธ4ของป6จจัยที่มีอิทธิพลต%อ การรับรูความสามารถของตนเองในวิชาคอมพิวเตอร4ของนักเรียน และตรวจสอบความตรงของโมเดล ป6จจัยที่มีอิทธิพลต%อการรับรูความสามารถของตนเองในวิชาคอมพิวเตอร4ของนักเรียนสังกัดสํานักงาน เขตพื้นที่การศึกษา ภาคตะวันออกเฉียงเหนือตอนบน กลุ%มตัวอย%างในการวิจัยครั้งนี้คือ นักเรียน มัธยมศึกษาป…ที่ 4 สังกัดสํานักงานเขตพื้นที่การศึกษา ภาคตะวันออกเฉียงเหนือตอนบน จํานวน 6 จังหวัด ไดแก% กาฬสินธุ4 ขอนแก%น มหาสารคาม เลย หนองบัวลําภู และอุดรธานี จํานวน 680 คน ไดมาโดยการสุ%มแบบหลายขั้นตอน (Multi-stage Random Sampling) เครื่องมือที่ใชในการวิจัย คือ แบบวัดป6จจัยที่มีอิทธิพลต%อการรับรูความสามารถของตนเองในวิชาคอมพิวเตอร4 จํานวน 72 ขอ มีค%าอํานาจจําแนก ตั้งแต% .20 ถึง .75 มีค%าความเชื่อมั่น เท%ากับ .95 วิเคราะห4ขอมูลโดยใชสถิติเชิง บรรยาย สัมประสิทธิ์สหสัมพันธ4 และการวิเคราะห4โมเดลสมการโครงสรางผลการวิจัยปรากฏดังนี้ 1. ป6จจัยที่มีอิทธิพลทางตรงต%อการรับรูความสามารถของตนเองในวิชาคอมพิวเตอร4 คือ พฤติกรรมใฝ:รู ป6จจัยที่มีอิทธิพลทั้งทางตรงและทางออมต%อการรับรูความสามารถของตนเอง ในวิชาคอมพิวเตอร4 ไดแก% แรงจูงใจใฝ:สัมฤทธิ์ ป6จจัยที่มีอิทธิพลทางออมต%อการรับรูความสามารถของตนเองในวิชา คอมพิวเตอร4 คือ เจตคติต%อการวิจัย และความเชื่อมั่นในตนเอง 2. โมเดลป6จจัยที่มีอิทธิพลต%อการรับรู ความสามารถของตนเองในวิชาคอมพิวเตอร4ของนักเรียน มีความสอดคลองกับขอมูลเชิงประจักษ4
  • 75.
    61 ( 2 χ = 4.00,df = 5, p = 0.55) ดัชนีวัดระดับความกลมกลืน (GFI) เท%ากับ 1.00 และดัชนีวัด ระดับความกลมกลืนที่ปรับแกแลว (AGFI) เท%ากับ 0.98 ดัชนีรากของค%าเฉลี่ยกําลังสองของส%วนที่เหลือ (RMR) เท%ากับ 0.007 โมเดลอธิบายความแปรปรวนของการรับรูความสามารถของตนเองในการวิจัยได รอยละ 50.00 (R2 = .50) โดยสรุป ป6จจัยหลายประการที่มีอิทธิพลต%อการรับรูความสามารถของตนเอง ในวิชาคอมพิวเตอร4ของนักเรียนระดับมัธยมศึกษาป…ที่ 4 สังกัดสํานักงานเขตพื้นที่การศึกษาภาค ตะวันออกเฉียงเหนือตอนบน ไดแก% การรับรูความสามารถของตนเอง พฤติกรรมใฝ:รู เจตคติต%อ วิชาคอมพิวเตอร4 แรงจูงใจใฝ:สัมฤทธิ์ และความเชื่อมั่นในตนเอง นิตยา กัณณิกาภรณ4 (2553 : 120 - 127) ไดศึกษาความสัมพันธ4ของป6จจัยบางประการ ที่ส%งผลต%อการพัฒนาตนเองตามจรรยาบรรณวิชาชีพของขาราชการครูสังกัดกรุงเทพมหานคร จุดประสงค4เพื่อศึกษาความสัมพันธ4และค%าน้ํา หนักความสําคัญของตัวป6จจัย ไดแก% การรับรูใน ความสามารถของตนเอง ความทะเยอทะยาน เจตคติต%ออาชีพครู และการสนับสนุนของผูบริหาร สถานศึกษา ที่ส%งผลต%อการพัฒนาตนเองตามจรรยาบรรณวิชาชีพครู ในดานวิชาชีพ ดานวิสัยทัศน4 ดานบุคลิกภาพ ประชากรใชในการวิจัยครั้งนี้คือ ครูในกลุ%มกรุงเทพเหนือสังกัดกรุงเทพมหานคร ภาคเรียนที่ 2 ป…การศึกษา 2552 จํานวน 46 โรงเรียน มีครูทั้งสิ้น 2,332 คน กลุ%มตัวอย%างที่ใชใน การวิจัยในครั้งนี้ คือ ครูในโรงเรียนกลุ%มกรุงเทพเหนือ สังกัดกรุงเทพมหานคร ภาคเรียนที่ 2 ป…การศึกษา 2552 จํานวน 8 โรงเรียน มีครูทั้งสิ้น 334 คนซึ่งไดมาดวยวิธีการสุ%มหลายขั้น (Multi-Stage Random Sampling) เครื่องมือใชรวบรวมขอมูลประกอบดวย แบบสอบถามวัดการพัฒนาตนเองตามแนว จรรยาบรรณวิชาชีพครู แบบสอบถามวัดการรับรูในความสามารถของตน แบบสอบถามวัดความ ทะเยอทะยาน แบบสอบถามวัดเจตคติต%ออาชีพครู และแบบสอบถามวัดการสนับสนุนของผูบริหาร สถานศึกษา มีความเชื่อมั่นกับ .928, .860, .840, .924และ .918 ตามลําดับ การวิเคราะห4ขอมูล โดยใชสถิติการวิเคราะห4การถดถอยพหุคูณแบบตัวแปรพหุนาม (Multivariate Multiple Regression : MMR) และการวิเคราะห4การถดถอยพหุคูณแบบตัวแปรแบบเอกนาม (Univariate Multiple Regression: MR) ผลการศึกษาพบว%า สัมประสิทธิ์สหสัมพันธ4ระหว%างกลุ%มตัวแปรป6จจัย ไดแก% การรับรูในความสามารถของตนเอง ความทะเยอทะยาน เจตคติต%ออาชีพครู และการสนับสนุนของ ผูบริหารสถานศึกษา กับ การพัฒนาตนเองตามแนวจรรยาบรรณวิชาชีพครู ทั้ง 3 ดาน มีค%าเท%ากับ .299 (Wilks’s Lambda =.299) มีนัยสําคัญทางสถิติที่ระดับ .01 และค%าสหสัมพันธ4พหุคูณระหว%างตัวแปร ป6จจัยดังกล%าวกับการพัฒนาตนเองตามแนวจรรยาบรรณวิชาชีพครูในแต%ละดาน มีค%าเท%ากับ .651 , .721 และ .764 ตามลําดับอย%างมีนัยสําคัญทางสถิติที่ระดับ .01 ค%าน้ําหนักความสําคัญของกลุ%มตัวแปร ป6จจัยที่ส%งผลต%อการพัฒนาตนเองตามจรรยาบรรณวิชาชีพครูในแต%ละดาน พบว%า ตัวแปรการรับรูใน ความสามารถของตนเอง ส%งผลต%อการพัฒนาตนเองตามจรรยาบรรณวิชาชีพครู ในดานวิชาชีพ ดานวิสัยทัศน4 และดานบุคลิกภาพ อย%างมีนัยสําคัญทางสถิติที่ระดับ .01 ตัวแปรความทะเยอทะยาน และตัวแปรการสนับสนุนของผูบริหารสถานศึกษา ส%งผลการพัฒนาตนเองตามจรรยาบรรณวิชาชีพครู ในดานวิชาชีพ และดานวิสัยทัศน4 อย%างมีนัยสําคัญทางสถิติที่ระดับ .01 และ .05 ตามลําดับ ส%วนตัวแปร เจตคติต%ออาชีพครู ส%งผลต%อการพัฒนาตนเองตามจรรยาบรรณวิชาชีพครู ในดานวิสัยทัศน4 และ ดานบุคลิกภาพ อย%างมีนัยสําคัญทางสถิติที่ระดับ .01
  • 76.
    62 วาสนา จันทร4จ%าย (2553: 80-86) ไดศึกษาความสัมพันธ4ของป6จจัยบางประการที่ส%งผล ต%อการพัฒนาตนเองของนักศึกษามหาวิทยาลัยราชภัฏสวนดุสิต มีวัตถุประสงค4เพื่อหาความสัมพันธ4 ระหว%างป6จจัยบางประการ ไดแก% แรงจูงใจใฝ:สัมฤทธิ์ ความเชื่ออํานาจภายในตน การรับรูความสามารถ ของตนเอง การควบคุมตนเองและการปรับตัว กับการพัฒนาตนเองของนักศึกษามหาวิทยาลัยราชภัฏ สวนดุสิต และเพื่อศึกษาค%าน้ําหนักความสําคัญของป6จจัยบางประการดังกล%าวที่ส%งผลต%อการพัฒนา ตนเองของนักศึกษา โดยมีกลุ%มตัวอย%างเปHนนักศึกษามหาวิทยาลัยราชภัฏสวนดุสิต ภาคเรียนที่ 2 ป… การศึกษา 2552 จํานวน 899 คน จากจํานวนประชากร 14,719 คน ซึ่งไดมาจากการสุ%มแบบสอง ขั้นตอน (Two – Stage Random Sampling) เครื่องมือที่ใชในการวิจัย ไดแก% แบบสอบถามวัดการรับรู ความสามารถของตนเอง แบบสอบถามวัดความเชื่ออํานาจภายในตน แบบสอบถามวัดการควบคุม ตนเองแบบสอบถามวัดการปรับตัว แบบสอบถามวัดแรงจูงใจใฝ:สัมฤทธิ์ และแบบสอบถามวัดการพัฒนา ตนเอง มีค%าความเชื่อมั่นเท%ากับ .892, .905, .932, .932, .934 และ .946 ตามลําดับ สถิติที่ใช วิเคราะห4ขอมูล คือ สหสัมพันธ4พหุคูณ (Multiple Correlation) และการถดถอยพหุคูณ (Multiple Regression) ผลการวิจัยสรุปได ดังนี้ ป6จจัยบางประการ ไดแก% แรงจูงใจใฝ:สัมฤทธิ์ ความเชื่ออํานาจ ภายในตน การรับรูความสามารถของตนเอง การควบคุมตนเอง และการปรับตัว มีความสัมพันธ4กับ การพัฒนาตนเองอย%างมีนัยสําคัญทางสถิติที่ระดับ .01 โดยมีค%าสัมประสิทธิ์สหสัมพันธ4พหุคูณ เท%ากับ 0.798 กําลังสองของสัมประสิทธิ์สหสัมพันธ4พหุคูณ มีค%าเท%ากับ .637 ป6จจัยทั้ง 5 ป6จจัย ร%วมกันอธิบาย ความแปรปรวนของการพัฒนาตนเอง ไดรอยละ 63.70 ป6จจัยทั้งหาประการ ส%งผลทางบวกต%อการ พัฒนาตนเอง อย%างมีนัยสําคัญทางสถิติที่ระดับ .01 โดยแรงจูงใจใฝ:สัมฤทธิ์ ส%งผลมากที่สุดต%อการพัฒนา ตนเอง รองลงมาไดแก% การรับรูความสามารถของตนเอง การควบคุมตนเอง ความเชื่ออํานาจภายในตน และการปรับตัว ซึ่งมีค%าน้ําหนักความสําคัญในรูปคะแนนมาตรฐาน เท%ากับ .502 , .143 , .127 , .118 และ .084 ตามลําดับ สมใจ ธนเกียรติมงคล (2553 : 110-137) ไดศึกษาความสัมพันธ4ของสาเหตุต%อ การรับรูความสามารถของตนเองในการทําปริญญานิพนธ4ตามทฤษฎีการรับรูความสามารถของตนเอง ของนิสิตระดับบัณฑิตศึกษา คณะศึกษาศาสตร4 มหาวิทยาลัยศรีนครินทรวิโรฒ ผลกระทบ ทางตรง ผลกระทบทางออม และผลกระทบรวม ของตัวแปรสาเหตุภายใตกรอบทฤษฎีการรับรู ความสามารถของตนเอง ศึกษาพฤติกรรมการทําปริญญานิพนธ4ของนิสิตระดับบัณฑิตศึกษา คณะศึกษาศาสตร4 มหาวิทยาลัยศรีนครินทรวิโรฒ ในลักษณะกรณีศึกษาจํานวน 5 คน กลุ%มตัวอย%าง แบ%งออกเปHน 2 กลุ%ม คือ กลุ%มที่ 1 เปHนนิสิตระดับบัณฑิตศึกษาที่กําลังศึกษาในคณะศึกษาศาสตร4 มหาวิทยาลัยศรีนครินทรวิโรฒ ประจําภาคเรียนที่ 1 ป…การศึกษา 2552 มีจํานวน 208 คนโดยการสุ%ม ตัวอย%างแบบหลายขั้นตอน และกลุ%มที่ 2 คือ นิสิตระดับบัณฑิตศึกษาจํานวน 5 คนโดยการเลือกแบบ เจาะจง เครื่องมือที่ใชในการวิจัยเปHนแบบสอบถาม และแบบสัมภาษณ4อย%างมีโครงสราง ทําการ วิเคราะห4ขอมูลโดยใชเทคนิคการวิเคราะห4โมเดลสมการโครงสรางเชิงเสน ประกอบกับการวิเคราะห4 ขอมูลเชิงพรรณนาเพื่ออธิบาย ผลการศึกษาพบว%า1. โมเดลเชิงสาเหตุของการรับรูความสามารถของ ตนเองในการทําปริญญานิพนธ4ที่สรางขึ้นตามทฤษฎีที่เกี่ยวของกับพฤติกรรมการทํางานในองค4การ เฉพาะส%วนที่สามารถนํามาประยุกต4ใชในทางการศึกษาได ทฤษฎีทางจิตวิทยาที่เกี่ยวกับพฤติกรรม การทํางานและพฤติกรรมจริยธรรมและทฤษฎีการรับรู ความสามารถของตนเองของ Bandura
  • 77.
    63 มีความสอดคลองกับขอมูลเชิงประจักษ4 ( 2 χ =104.064,df = 103, p > 0.05, 2 χ /df = 1.010, RMSEA = 0.007, SRMR = 0.050, GFI = 0.952, AGFI = 0.902, CN = 271.904) 2) การรับรู ความสามารถของตนเองในการทําปริญญานิพนธ4 ไดรับผลกระทบรวมสูงสุดจากแรงจูงใจใฝ:สัมฤทธิ์ รองลงมาคือ การสนับสนุนทางสังคม มีค%าอิทธิพลเท%ากับ 0.675 และ 0.271ตามลําดับ และไดรับ ผลกระทบทางตรงจากแรงจูงใจใฝ:สัมฤทธิ์สูงสุด รองลงมาคือการสนับสนุนทางสังคม มีค%าอิทธิพลเท%ากับ 0.987 และ -0.372 ตามลําดับ นอกจากนี้ยังไดรับผลกระทบทางออมจากลักษณะมุ%งอนาคต-ควบคุมตน สูงสุด โดยส%งผลกระทบทางออมมายังการรับรูความสามารถของตนเองในการทําปริญญานิพนธ4ผ%าน การสนับสนุนทางสังคมและความวิตกกังวลในสถิติเพื่อการวิจัย มีค%าสัมประสิทธิ์เสนทางเท%ากับ -0.143 โดยที่ตัวแปรแฝงเชิงสาเหตุทั้งหมดร%วมกันอธิบายความแปรปรวนของการรับรูความสามารถของตนเอง ในการทําปริญญานิพนธ4ไดรอยละ 59.503. ผลการศึกษาพฤติกรรมการทําปริญญานิพนธ4ของนิสิตระดับ บัณฑิตศึกษาดวยการสัมภาษณ4อย%างมีโครงสรางพบตัวแปรป6จจัยที่มีอิทธิพลต%อการรับรูความสามารถ ของตนเองในการทําปริญญานิพนธ4คือ แรงจูงใจใฝ:สัมฤทธิ์ การสนับสนุนทางสังคม บทบาทอาจารย4ที่ ปรึกษาปริญญานิพนธ4 และลักษณะมุ%ง อนาคต-ควบคุมตน ตามลําดับ นิศากร ลอกไธสง (2553 : 91-111) ไดศึกษาความสัมพันธ4ของป6จจัยที่มีอิทธิพลต%อ การรับรูความสามารถของตนเองในการวิจัยของขาราชการครู สังกัดสํานักงานเขตพื้นที่การศึกษา ภาคตะวันออกเฉียงเหนือตอนบนและ เพื่อตรวจสอบความตรงของโมเดลป6จจัยที่มีอิทธิพลต%อการรับรู ความสามารถของตนเองในการวิจัยของขาราชการครู สังกัดสํานักงานเขตพื้นที่การศึกษาภาค ตะวันออกเฉียงเหนือตอนบน กลุ%มตัวอย%างในการวิจัยครั้งนี้ คือ ขาราชการครู สังกัดสํานักงานเขตพื้นที่ การศึกษาภาคตะวันออกเฉียงเหนือตอนบน จํานวน 7 จังหวัด ไดแก% กาฬสินธุ4 ขอนแก%น มหาสารคาม รอยเอ็ด เลย หนองบัวลําภู และอุดรธานี จํานวน 918 คน ไดมาโดยการสุ%มแบบหลายขั้นตอน เครื่องมือที่ใชในการวิจัย คือแบบวัดป6จจัยที่มีอิทธิพลต%อการรับรูความสามารถของตนเองในการวิจัย จํานวน 90 ขอ มีค%าอํานาจจําแนก ตั้งแต% 0.20 ถึง 0.77 มีค%าความเชื่อมั่นเท%ากับ 0.96 วิเคราะห4ขอมูล โดยใชสถิติเชิงบรรยาย สัมประสิทธิ์สหสัมพันธ4 การวิเคราะห4องค4ประกอบเชิงยืนยัน และการวิเคราะห4 โมเดลสมการโครงสราง ผลการวิจัยปรากฏดังนี้1) ป6จจัยที่มีอิทธิพลทางตรงต%อการรับรูความสามารถ ของตนเองในการวิจัย คือ พฤติกรรมใฝ:รู ป6จจัยที่มีอิทธิพลทั้งทางตรงและทางออมต%อการรับรู ความสามารถของตนเองในการวิจัย ไดแก% การถ%ายทอดทางสังคมขององค4การ แรงจูงใจใฝ:สัมฤทธิ์ใน การวิจัย และบรรยากาศองค4การ ป6จจัยที่มีอิทธิพลทางออมต%อการรับรูความสามารถของตนเอง ในการวิจัย คือ เจตคติต%อการวิจัย 2) โมเดลป6จจัยที่มีอิทธิพลต%อการรับรูความสามารถของตนเอง ในการวิจัยของขาราชการครู สังกัดสํานักงานเขตพื้นที่การศึกษาภาคตะวันออกเฉียงเหนือตอนบน มีความสอดคลองกับขอมูลเชิงประจักษ4 ( 2 χ = 45.40, df = 48, p = 0.58) พบว%าดัชนีวัดระดับ ความกลมกลืน (GFI) เท%ากับ 1.00 และดัชนีวัดระดับความกลมกลืนที่ปรับแกแลว (AGFI) เท%ากับ 0.97 ดัชนีรากของค%าเฉลี่ยกําลังสองของส%วนที่เหลือ (RMR) เท%ากับ 0.062 โมเดลสามารถอธิบายความ แปรปรวนของการรับรูความสามารถของตนเองในการวิจัยไดรอยละ 66.00 (R2 = 0.66) โดยสรุป ป6จจัยที่มีอิทธิพลต%อการรับรูความสามารถของตนเองในการวิจัย แต%ละป6จจัยมีความสัมพันธ4เชื่อมโยงกัน
  • 78.
    64 จากเอกสารและงานวิจัยทั้งในประเทศ พบว%า ป6จจัยที่ส%งผลต%อการพัฒนาตนเอง ประกอบดวยแรงจูงใจใฝ:สัมฤทธิ์ การรับรูความสามารถของตนเอง การควบคุมตนเอง ความเชื่อมั่น ในตนเอง การมองโลกในแง%ดี กับการพัฒนาตนเอง ต%างก็มีความสัมพันธ4ซึ่งกันและกัน ในทั้งนี้จะเห็นได ว%างานวิจัยที่กล%าวมาจะเนนกลุ%มตัวอย%างที่เปHนนักเรียน ครู นักศึกษา รวมไปถึงเปHนความสัมพันธ4ของ ป6จจัยกับการพัฒนาตนเองของนักเรียน เพื่อพัฒนาใหเด็กเหล%านี้เปHนผูใหญ%ที่ดีในอนาคตต%อไป แต%ใน ส%วนการพัฒนาตนเองในนักเรียนมัธยมศึกษาป…ที่ 6 เนื่องจากนักเรียนในระดับชั้นนี้จะตองไปศึกษาต%อใน ระดับมหาวิทยาลัยและตองใชผลสัมฤทธิ์ทางการเรียนในการสอบเขาศึกษาต%อ จากผลการวิจัยที่พบจะ ทําใหผูที่เกี่ยวของสามารถหาทางพัฒนาและส%งเสริมใหนักเรียนมีการพัฒนาตนเองเพิ่มขึ้น อันจะส%งผล ถึงผลสัมฤทธิ์ทางการเรียนและนิสัยในการทํางานต%อไป จึงทําใหผูวิจัยสนใจและตองการที่จะศึกษาว%า ป6จจัยที่ส%งผลต%อการพัฒนาตนเองของนักเรียน มัธยมศึกษาป…ที่ 6 เพื่อนําไปเปHนขอสนเทศใหครู ผูปกครองและหน%วยงานที่เกี่ยวของ ใชเปHนขอมูลพื้นฐานในการพัฒนาโปรแกรมหรือเทคนิคการสอน เพื่อพัฒนาผูเรียนใหสามารถพัฒนาตนเอง ซึ่งจะส%งผลใหประสบความสําเร็จทั้งในดานการเรียน การประกอบอาชีพ และการดําเนินชีวิตต%อไป 2. งานวิจัยต%างประเทศ Schunk (1982 : Web Site) ไดศึกษาวิจัยเรื่อง แรงจูงใจใฝ:สัมฤทธิ์ของ พฤติกรรมในแง%มุมความมีประสิทธิภาพของตนเอง ซึ่งจากผลการวิจัย พบว%า ความสัมพันธ4 ระหว%างประสิทธิภาพของตนเองกับแรงจูงใจใฝ:สัมฤทธิ์มีอิทธิพลต%อการแสดงพฤติกรรมใน สถานการณ4ต%าง ๆ ทั้งในประสิทธิภาพที่มาจากความสําเร็จในการทํางาน การพัฒนาความสามารถ ของตนเอง ซึ่งในการวิจัยไดทําการศึกษาโดยการมุ%งเนนกระบวนการในการพัฒนาตนเอง ประสิทธิภาพทักษะ การทดสอบการประเมินประสิทธิภาพและความสามารถของตนเอง Kelly และคณะ (2008 : 49-76) ไดทําการศึกษาเกี่ยวกับการส%งเสริมการพัฒนาตนเอง และการตัดสินใจ โดยการประเมินผลในชั้นเรียน เปHนการเชื่อมโยงระหว%างการเรียนการสอน เพื่อความยุติธรรมและการประเมินในชั้นเรียน โดยการประเมินเปHนชุดกระบวนการพัฒนาตนเอง วิเคราะห4 1) หาวิธีการสอนของครูผ%านการประเมินผลการปฏิบัติต%างๆทั้งภายในและภายนอกหองเรียน 2) มาตรฐานการปฏิบัติงานที่มุ%งช%วยใหครูผูสอนประเมินความกาวหนาของนักเรียนที่มีต%อ ความรับผิดชอบต%อสังคม เพื่อพิจารณาตัวเองมากขึ้น ผลการศึกษาสรุปไดว%า การประเมินการปฏิบัติทาง สังคมจะตองมีการติดต%อสื่อสารอย%างชัดเจนกับ นักเรียนและผูปกครองเกี่ยวกับการปฏิบัติตน หากพบป6ญหาก็ตองจัดลําดับความสําคัญ และจัดการแกป6ญหาอย%างเปHนระบบ เพื่อใหการประเมินผล เปHนไปอย%างถูกตอง Louys และคณะ (2009 : 70-81) ไดทําการศึกษาเกี่ยวกับการพัฒนาตนเอง โดยใชโครงสรางพื้นฐานทางสังคม เนนการเพิ่มประสิทธิภาพโดยการพัฒนาตนเอง เปHนการเรียนรูตลอด ชีวิต จากการทดลองศึกษาโดยใหมีการวางแผนการพัฒนาตนเอง การใชเทคโนโลยีนวัตกรรม และ การเรียนรูจากสังคม การจัดการฝ~กอบรมดวยตนเองเพื่อช%วยใหผูเรียนสรางและวางแผนงานดวยตนเอง ตามความสนใจ รวมถึงประสบการณ4จากการศึกษานอกระบบ ซึ่งเปHนแนวทางบ%งชี้สําหรับการพัฒนา ตนเองในอนาคต โดยตนเองเปHนผูวางแผน
  • 79.
    65 Mercer และ Jenny(2010 : 24-36) ไดทําการศึกษาเกี่ยวกับขั้นตอนของการพัฒนา ตนเองของผูใหญ% ในมุมมองยอนกลับ เปHนการศึกษาลักษณะของการพัฒนาตนเอง และประสบการณ4 การขัดแยง กลุ%มตัวอย%าง จํานวน 20 คน โดยใชวิธีการสัมภาษณ4ใชทฤษฎีระบุความขัดแยงระหว%าง การกลัวความลมเหลวและการประสบความสําเร็จ บานและสภาพแวดลอมภายนอก พบว%า การพัฒนา ตนเอง ถือเปHนวิธีการต%อรองตนเองอีกวิธีหนึ่ง ซึ่งวิธีการนี้ใหผลทางดานบวกมากกว%าดานลบ และยัง สามารถสรางความเขาใจเมื่อตองเผชิญป6ญหาในแบบเดียวกัน ก็ใชวิธีการเอาชนะเพื่อใหการเจริญเติบโต ของร%างกายเปHนไปพรอมกับการพัฒนาตนเอง Grootenboer (2012 : Web Site) ทําการศึกษาเรื่องการพัฒนาตนเอง ของอาจารย4 ผูเชี่ยวชาญ โดยการใชวิธี การวิจัยเชิงปฏิบัติการ โดยมีอาจารย4ที่รับผิดชอบ หลักสูตรวิทยาศาสตร4 ที่มีประสบการณ4ในวิชาชีพโดยเฉลี่ย 24 ป… (ระหว%าง 5-26) ประกอบดวยอาจารย4ที่รับผิดชอบ ในฐานะหัวหนาแผนคณิตศาสตร4ของโรงเรียน และผูมีส%วนร%วมอีก 2 คน สรุปผลการพัฒนาตนเองของ ผูเชี่ยวชาญใหประสบผลสําเร็จ เปHนสิ่งที่ทุกฝ:ายยอมรับการดูแล การเอาใจใส%ผูเรียนและสิ่งที่พบคือ การนิเทศ (เยี่ยมชม) และการสังเกตกันและกัน การปรึกษาจากผูเชี่ยวชาญที่มีประสบการณ4 การวิเคราะห4หาจุดอ%อน จุดแข็งของผูมีส%วนร%วม กระบวนการพัฒนาตนเองของผูเชี่ยวชาญ ตองแสดงกล ยุทธ4 และประกาศใหคนส%วนใหญ%ร%วมดําเนินการต%อ เปHนการปรับปรุงพัฒนา ก%อกําเนิดความรู และ ความชํานาญ ในวงการศึกษาและการสอน แกป6ญหาจากขอมูลที่คนพบดวยตนเอง จากเอกสารและงานวิจัยในต%างประเทศ พบว%า มีการศึกษาเกี่ยวกับการพัฒนาตนเองการ ในดาน การศึกษา ลักษณะของการพัฒนาตนเอง ประสบการณ4การขัดแยง การพัฒนาตนเองของผูใหญ% การพัฒนาตนเองโดยใชโครงสรางพื้นฐานทางสังคม การประเมินผลในชั้นเรียน ชุดกระบวนการพัฒนา ตนเอง เพื่อส%งเสริมการพัฒนาตนเองและการตัดสินใจ เพื่อเปHนการเชื่อมโยงระหว%าง การเรียนการสอน รวมถึงประสบการณ4จากการศึกษานอกระบบ ซึ่งเปHนแนวทางบ%งชี้สําหรับการพัฒนาตนเองในอนาคต กรอบแนวคิดในการวิจัย ในการวิจัยครั้งนี้ ผูวิจัยมีจุดมุ%งหมายเพื่อพัฒนารูปแบบเชิงสมมุติฐานความสัมพันธ4เชิงสาเหตุ ของป6จจัยที่ส%งผลต%อการพัฒนาตนเอง ของนักเรียนมัธยมศึกษาป…ที่ 6 สํานักงานเขตพื้นที่การศึกษา มัธยมศึกษา เขต 19 (เลย - หนองบัวลําภู) โดยไดทําการศึกษาเอกสาร และงานวิจัยที่เกี่ยวของ สังเคราะห4ตัวแปรที่ส%งผลต%อการพัฒนาตนเอง ดัง ตาราง 1
  • 80.
    66 ตาราง 1 สังเคราะห4ตัวแปรที่ส%งผลต%อการพัฒนาตนเอง ตัวแปร ตาม ตัวแปรตนทฤษฏี/แนวคิด ผูวิจัย ป…ที่วิจัย กลุ%มตัวอย%าง ผลการศึกษา (ระดับนัยสําคัญ) การ พัฒนา ตนเอง (E3) การควบคุม ตนเอง (E1) ทฤษฎีเชาว4อารมณ4 - Bandura (1977) ทฤษฎีจิตวิเคราะห4 วาสนา จันทร4จ%าย 2553 นักศึกษา ส%งผลทางบวก (.01) การรับรู ความสามาร ถของตนเอง (E2) ทฤษฎีการรับรู ความสามารถของ ตนเอง - Bandura (1986) อรอุษา จันทคร นิตยา กัณณิกาภรณ4 วาสนา จันทร4จ%าย 2551 2553 2553 ครู ครู นักศึกษา ส%งผลทางบวก (.01) ส%งผลทางบวก (.01) ส%งผลทางบวก (.01) การมองโลก ในแง%ดี (K1) Seligman (2006) Goleman (1995) ทฤษฎี X และ ทฤษฎี Y - แมกแกรเกอร4 สุภมาส จินะราช กาญจนา บุบผัน 2549 2551 นักศึกษา ครู ส%งผลทางบวก (.01) ส%งผลทางบวก (.05) การ พัฒนา ตนเอง (E3) ความเชื่อมั่น ในตนเอง (K2) ทฤษฎีErikson ทฤษฎีของ Maslow ทฤษฎีบุคลิกภาพ - Eysenck (1954) สุภมาส จินะราช กาญจนา บุบผัน 2549 2551 นักศึกษา ครู ส%งผลทางบวก (.01) ส%งผลทางบวก (.05) แรงจูงใจใฝ: สัมฤทธิ์ (K3) ทฤษฎีแรงจูงใจใฝ: สัมฤทธิ์ - McCelland (1969) - Atkinson (1974) ทฤษฎีบุคลิกภาพ - Eysenck (1952) สุภมาส จินะราช เนาวรัตน4 ไตรยงค4 ศิวกานต4 ธิมาชัย วาสนา จันทร4จ%าย 2549 2552 2552 2553 นักศึกษา ช%วงชั้นที่2 ครู นักศึกษา ส%งผลทางบวก (.01) ส%งผลทางบวก (.05) ส%งผลทางบวก (.01) ส%งผลทางบวก (.01) การ ควบคุม ตนเอง (E1) ความเชื่อมั่น ในตนเอง (K2) ทฤษฎีเชาว4อารมณ4 Bandura (1977) ทฤษฎีจิตวิเคราะห4 ประภาพร คนซื่อ 2552 ม.4 ส%งผลทางบวก (.05) การรับรู ความ สามารถ ของ ตนเอง (E2) แรงจูงใจใฝ: สัมฤทธิ์ (K3) ทฤษฎีการรับรู ความสามารถของ ตนเอง - Bandura (1986) สมใจ ธนเกียรติมงคล นิศากร ลอกไธสง จิราภรณ4 ธรรมวงษ4 2553 2553 2553 บัณฑิตศึกษา ครู ม.4 ส%งผลทางบวก (.05) ส%งผลทางบวก (.05) ส%งผลทางบวก (.05)
  • 81.
    67 SDE PDE LDE SDL UOCPLAMRTENEASP AMO PEM PEV PES OPT GOA STE PATRES SCT EATPVE PSTVEX SEF SRE COU EST AUT ADA SCF กาญจนา บุบผัน, 2551 หมายเหตุ ความหมายของสัญลักษณ4ที่ใชแทนตัวแปร ดังนี้ แทน ตัวแปรสังเกตได แทน ตัวแปรแฝง แทน ความสัมพันธ4เชิงสาเหตุระหว%างตัวแปรแฝง โดยตัวแปรที่อยู%หัวลูกศรจะ เปHนตัวแปรที่ไดรับอิทธิพลจากตัวแปรสาเหตุ ภาพประกอบ 4 โมเดลเชิงสมมติฐานป6จจัยที่ส%งผลต%อการพัฒนาตนเอง ของนักเรียนมัธยมศึกษาป…ที่ 6 สํานักงานเขตพื้นที่การศึกษามัธยมศึกษา เขต 19 ( เลย - หนองบัวลําภู ) OPT(K1) = การมองโลกในแงดี, PEM = ความคงทนถาวร, PEV = ความครอบคลุม, PES = ความเปHนตนเอง SCF(K2) = ความเชื่อมั่นในตนเอง, EST= ความมั่นคงทางจิตใจ, COU = ความกลา, SRE = การพึ่งตนเอง, AUT = ความเปHนตัวของตัวเอง, ADA = ความสามารถในการปรับตัว AMO (K3) = แรงจูงใจใฝ@สัมฤทธิ์, ASP = ความทะเยอทะยาน, ENE = ความกระตือรือรน, MRT = ความกลาเสี่ยง, PLA = การรูจักวางแผน, UOC = ความมีเอกลักษณ4 SCT (E1) = การควบคุมตนเอง, GOA = การตั้งเปKาหมาย, RES = การยับยั้งตนเอง, STE= การควบคุมอารมณ4, PAT = ความอดทน SEF(E2) = การรับรูความสามารถของตนเอง, EAT=ประสบการณ4จากความสําเร็จ, VEX = การไดเห็นตัวแบบประสบความสําเร็จ, PVE = การพูดชักจูงจากผูอื่น, PST = สภาวะทางกาย SDL (E3) = การพัฒนาตนเอง, PDE = ตนเอง, SDE = สังคม, LDE = การเรียน
  • 82.
    68 บทที่ 3 วิธีดําเนินการศึกษาควา การวิจัยเรื่อง ปจจัยที่สงผลตอการพัฒนาตนเองของนักเรียนมัธยมศึกษาป#ที่ 6 สํานักงานเขตพื้นที่การศึกษามัธยมศึกษา เขต 19 (เลย - หนองบัวลําภู) ผู/วิจัยได/ดําเนินการศึกษา ค/นคว/า ดังนี้ 1. ประชากรและกลุมตัวอยาง 2. เครื่องมือที่ใช/ในการเก็บรวบรวมข/อมูล 3. การเก็บรวบรวมข/อมูล 4. การจัดกระทํากับข/อมูลและวิเคราะห=ข/อมูล 5. สถิติที่ใช/ในการวิเคราะห=ข/อมูล ประชากรและกลุมตัวอยาง 1. ประชากร ประชากรที่ใช/ในการวิจัย คือ นักเรียนมัธยมศึกษาป#ที่ 6 ภาคเรียนที่ 1 ป#การศึกษา 2555 โรงเรียนในสังกัดสํานักงานเขตพื้นที่การศึกษามัธยมศึกษา เขต 19 (เลย-หนองบัวลําภู) มีโรงเรียนจํานวน 52 โรงเรียน และมีนักเรียนจํานวนทั้งสิ้น 5,870 คน (ศูนย=ปฏิบัติการ GPA สํานักทดสอบทางการศึกษา. 2555 : เว็บไซต=) ตาราง 2 จํานวนประชากรนักเรียนมัธยมศึกษาป#ที่ 6 ภาคเรียนที่ 1 ป#การศึกษา 2555 โรงเรียนในสังกัดสํานักงานเขตพื้นที่การศึกษามัธยมศึกษา เขต 19 (เลย-หนองบัวลําภู) จังหวัด จํานวนโรงเรียน จํานวนนักเรียน (คน) เลย 31 3,257 หนองบัวลําภู 21 2,613 รวม 52 5,870 2. กลุมตัวอยาง กลุมตัวอยางที่ใช/ในการวิจัย คือ นักเรียนมัธยมศึกษาป#ที่ 6 ภาคเรียนที่ 1 ป#การศึกษา 2555 โรงเรียนในสังกัดสํานักงานเขตพื้นที่การศึกษามัธยมศึกษา เขต 19 (เลย-หนองบัวลําภู) จํานวน 807 คน จาก 52 โรงเรียน กลุมตัวอยางได/มาโดยการสุมแบบชั้นภูมิและแตละชั้นภูมิสุม อยางงาย (Stratified Random Sampling) มีวิธีดําเนินการดังนี้
  • 83.
    69 การกําหนดขนาดของกลุมตัวอยาง ผู/วิจัยใช/วิธีการคํานวณหาขนาดของ กลุมตัวอยาง โดยใช/สูตรการกําหนดขนาดกลุมตัวอยางในกรณีทราบจํานวนประชากร (สมบัติท/ายเรือคํา. 2553 ก : 52) ซึ่งได/ดําเนินการตามขั้นตอนดังนี้ ผู/วิจัยกําหนดสัดสวนของประชากรเทากับ .50 กรณีทราบประชากร จํานวน 5,870 คน โดยกําหนดระดับความเชื่อมั่น (Level of Confidence) ของการสุมกลุมตัวอยางเทากับ 95% หรือ α = .05 (Z = 1.96) และยอมให/เกิดความคลาดเคลื่อนได/ 5% (l = .05) ได/กลุมตัวอยาง 361 คน การได/มาของกลุมตัวอยาง ใช/วิธีการสุมแบบชั้นภูมิและแตละชั้นภูมิสุมอยางงาย (Stratified Random Sampling) โดยมีรายละเอียดตังนี้ แบงโรงเรียนในสังกัดสํานักงานเขตพื้นที่การศึกษามัธยมศึกษา เขต 19 (เลย-หนองบัวลําภู) ที่เปaดสอนระดับมัธยมศึกษาตอนปลาย ตามขนาดของโรงเรียน ใช/เกณฑ= ของกรมสามัญศึกษากระทรวงศึกษาธิการ (2545) ดังนี้ คือ โรงเรียนขนาดใหญพิเศษ ตั้งแต 2,500 คนขึ้นไป โรงเรียนขนาดใหญ ตั้งแต 1,500 - 2,499 คน โรงเรียนขนาดกลาง ตั้งแต 501 - 1,499 คน โรงเรียนขนาดเล็ก น/อยกวา 500 คน พบวา มีโรงเรียนขนาดเล็ก 26 โรงเรียน ขนาดกลาง 20 โรงเรียน ขนาดใหญ 2 โรงเรียนขนาดใหญพิเศษ 4 โรงเรียน รวม 52 โรงเรียน มีประชากรทั้งสิ้น 5,870 คน ใช/ขนาดของโรงเรียนที่ได/เปdนชั้นภูมิ (Strata) ในการสุม และใช/ห/องเรียนเปdนหนวยสุม แตละขนาดมาร/อยละ 20 ถ/าห/องเรียนใดมีโดยการสุมอยางงาย ( Simple Random Sampling) ได/กลุมตัวอยาง ดังนี้ โรงเรียนขนาดใหญพิเศษ 8 ห/องเรียน นักเรียน 248 คน โรงเรียนขนาดใหญ 4 ห/องเรียน นักเรียน 120 คน โรงเรียนขนาดกลาง 14 ห/องเรียน นักเรียน 310 คน โรงเรียนขนาด เล็ก 9 ห/องเรียน นักเรียน 129 คน โดยทุกห/องเรียนเก็บข/อมูลนักเรียนทุกคน ได/ขนาดกลุมตัวอยาง รวมทั้งหมด 807 คน ดังตาราง 3 ตาราง 3 จํานวนนักเรียนทั้งหมดที่เปdนกลุมตัวอยางของแตละโรงเรียนจําแนกตามขนาดโรงเรียน ขนาด โรงเรียน (ชั้นภูมิ) ขนาดประชากร ขนาดกลุมตัวอยาง เทคนิคการสุม แตละชั้นภูมิ ประชากร (คน) โรงเรียน ทั้งหมด (โรงเรียน) ห/องเรียน (ห/อง) ห/องเรียน (ห/อง) ขั้นต่ํา (คน) เก็บจริง (คน) ใหญพิเศษ 1,760 4 42 8 ≥108 248 สุมอยางงาย ใหญ 541 2 18 4 ≥ 33 120 สุมอยางงาย กลาง 2,558 20 72 14 ≥157 310 สุมอยางงาย เล็ก 1,011 26 43 9 ≥ 62 129 สุมอยางงาย รวม 5,870 52 175 35 ≥361 807
  • 84.
    70 จากขนาดของกลุมตัวอยางต่ําสุดเทากับ 361 คนได/กลุมตัวอยางทั้งหมดจํานวน 807 คน ซึ่งมีจํานวนมากกวากลุมตัวอยางที่ได/คํานวณไว/ และการวิเคราะห=แบบจําลองสมการโครงสร/างเชิงเส/น (Structural Equation Model: SEM) ซึ่งจําเปdนต/องใช/กลุมตัวอยางขนาดใหญพอสมควร และ ในการพัฒนาและตรวจสอบความตรงของโมเดล โดยจํานวนกลุมตัวอยางประมาณ 5 - 10 เทาของ จํานวนพารามิเตอร=ที่ประมาณคาในโมเดล Kelloway (สุนทรพจน= ดํารงค=พานิช. 2550 : 94 ; อ/างอิงมาจาก Kelloway. 1998) โดยเส/นอิทธิพลที่ต/องการประมาณคาพารามิเตอร=ในโมเดล มีจํานวน 59 เส/น กลุมตัวอยางที่ใช/จึงต/องการอยางต่ํา จํานวน 590 คน สรุปได/วาขนาดของกลุม ตัวอยางในการวิจัยครั้งนี้มีความเหมาะสมและเพียงพอตอการนําไปใช/ในการวิเคราะห=ข/อมูล จึงถือได/วา ขนาดกลุมตัวอยางในการวิจัยครั้งนี้มีขนาดที่เพียงพอ ได/มาโดยการสุมแบบชั้นภูมิและแตละชั้นภูมิสุม อยางงาย (Stratified Random Sampling) เครื่องมือที่ใชในการวิจัย ในการวิจัยครั้งนี้ ใช/เครื่องมือวิจัยจํานวน 2 ฉบับ ดังตอไปนี้ ฉบับที่ 1 แบบวัดการพัฒนาตนเอง เปdนแบบวัดผู/วิจัยสร/างขึ้น โดยอาศัยทฤษฎี กรอบ แนวคิดของ Maslow (ปราณี รามสูตร. 2548 : 213-218 ), เรียม ศรีทอง (2542 : 165) , รุงฤดี กิจควร, (2548 : 173-195), สงวน สุทธิเลิศอรุณ (2545 : 49) ,สํานักงานปลัดกระทรวง สาธารณสุข (ปรีชา พรมบุตร. 2555 : เว็บไซต= ; อ/างอิงมาจาก สํานักงานปลัดกระทรวง สาธารณสุข. ม.ป.ป.) เปdนแบบมาตราสวนประมาณคา (Rating Scale) 5 ระดับ จํานวน 21 ข/อ จําแนกตามองค=ประกอบ 3 ด/าน ประกอบด/วย 1. ตนเอง (Personal Development) จํานวน 7 ข/อ 2. สังคม (Social Development) จํานวน 7 ข/อ 3. การเรียน (Learning Development) จํานวน 7 ข/อ ฉบับที่ 2 แบบวัดปจจัยที่สงผลตอการพัฒนาตนเอง เปdนแบบวัดผู/วิจัยสร/างขึ้น แบงเปdน 5 ด/าน ดังนี้ 1. การมองโลกในแงดี โดยอาศัยทฤษฎี กรอบแนวคิด Seligman (อรพินทร= ชูชม. 2544 : 43 ; อ/างอิงมาจาก Seligman. 1998) เปdนแบบมาตราสวนประมาณคา (Rating Scale) 5 ระดับ จํานวน 15 ข/อ จําแนกตามองค=ประกอบ 3 ด/าน ประกอบด/วย 1. ความคงทนถาวร (Permanence) จํานวน 5 ข/อ 2. ความครอบคลุม (Pervasiveness) จํานวน 5 ข/อ 3. ความเปdนตนเอง (Personalization) จํานวน 5 ข/อ 2. ความเชื่อมั่นในตนเอง โดยอาศัยทฤษฎี กรอบแนวคิดของ Symonds (ธนัญญา คนอยู. 2547 : 13 ; อ/างอิงมาจาก Symonds. 1964 : 85 - 86), ชูชีพ ออนโคกสูง (ธนัญญา คนอยู. 2547 : 13 ; อ/างอิงมาจาก ชูชีพ ออนโคกสูง. 2516 : 27), ธีรภาพ วัฒน วิจารณ= (2545 : 127) เปdนแบบมาตราสวนประมาณคา (Rating Scale) 5 ระดับ จํานวน 20 ข/อ จําแนกตามองค=ประกอบ 5 ด/าน ประกอบด/วย
  • 85.
    71 1. ความมั่นคงทางจิตใจ (EmotionalStability) จํานวน 5 ข/อ 2. ความกล/า (Courage) จํานวน 5 ข/อ 3. การพึ่งตนเอง (Self – Reliance) จํานวน 5 ข/อ 4. ความเปdนตัวของตัวเอง (Autonomy) จํานวน 5 ข/อ 3. แรงจูงใจใฝwสัมฤทธิ์ โดยอาศัยทฤษฎี กรอบแนวคิดของ Guilford (จิราวดี ชุมพล. 2549 : 26 ; อ/างอิงมาจาก Guilford. 1967 : 437-439), McClelland (ศิวพร ไชยพยอม. 2550 : 59 ; อ/างอิงมาจาก McClelland. 1969 : 207-256), Herman (ปราณี เพ็ชรศิริ. 2549 : 28 ; อ/างอิงมาจาก Herman. 1970 : 53), สุพจน= สินสุวงศ=วัฒนา (สมใจ จุฑาผาด, 2549 : 38 ; อ/างอิงมาจาก สุพจน= สินสุวงศ=วัฒนา. 2527 : 29-31) เปdนแบบมาตราสวน ประมาณคา (Rating Scale) 5 ระดับ จํานวน 25 ข/อ จําแนกตามองค=ประกอบ 5 ด/าน ประกอบด/วย 1. ความทะเยอทะยาน (Aspiration) จํานวน 5 ข/อ 2. ความกระตือรือร/น (Energetic) จํานวน 5 ข/อ 3. ความกล/าเสี่ยง (Moderate Risk Taking ) จํานวน 5 ข/อ 4. การรู/จักวางแผน (Planning ) จํานวน 5 ข/อ 5. ความมีเอกลักษณ= (Unique of Characteristic) จํานวน 5 ข/อ 4. การรับรู/ความสามารถของตนเอง เปdนแบบวัดผู/วิจัยสร/างขึ้น โดยอาศัยทฤษฎี กรอบแนวคิดของ Bandura (ภัทราภรณ= สังข=ทอง, 2550 : 35 ; อ/างอิงมาจาก Bandura. 1986 : 399-401) เปdนแบบมาตราสวนประมาณคา (Rating Scale) 5 ระดับ จํานวน 20 ข/อ จําแนกตาม องค=ประกอบ 4 ด/าน ประกอบด/วย 1. ประสบการณ=จากความสําเร็จ (Enactive Attainment) จํานวน 5 ข/อ 2. การได/เห็นตัวแบบประสบความสําเร็จ(Vicarious Experience) จํานวน 5 ข/อ 3. การพูดชักจูงจากผู/อื่น (Verbal Persuasion) จํานวน 5 ข/อ 4. สภาวะทางกาย (Physiological State) จํานวน 5 ข/อ 5. การควบคุมตนเอง โดยอาศัยทฤษฎี กรอบแนวคิดของ Thoresen and Mahoney (อรพลอย เกษมสันต= ณ อยุธยา. 2546 : 21-22 ; อ/างอิงมาจาก Thoresen and Mahoney. 1974 : 45), Skinner (สมโภชน= เอี่ยมสุภาษิต. 2541 : 328 – 329 ; อ/างอิงมาจาก Skinner. 1953), ทฤษฎีเชาว=อารมณ= (พรรณทิพย= ศิริวรรณบุศย=. 2551 : 80-82), Reckless (จรรจา สุวรรณทัต และคณะ. 2533 : 16-17 ; อ/างอิงมาจาก Reckless. n.d.) เปdนแบบมาตราสวน ประมาณคา (Rating Scale) 5 ระดับ จํานวน 20 ข/อ จําแนกตามองค=ประกอบ 5 ด/าน ประกอบด/วย 1. ตั้งเป•าหมาย (Goal) จํานวน 5 ข/อ 2. ยับยั้งตนเอง (Restraint) จํานวน 5 ข/อ 3. ควบคุมอารมณ= (Self-Temper) จํานวน 5 ข/อ 4. ความอดทน (Patience) จํานวน 5 ข/อ
  • 86.
    72 เกณฑ(การตรวจใหคะแนนของแบบวัด แบบวัดที่ใช/ในงานวิจัยนี้จํานวน 2 ฉบับประกอบด/วยแบบวัดการพัฒนาตนเอง และแบบวัด ปจจัยที่สงผลตอการพัฒนาตนเอง เปdนแบบมาตราสวนประมาณคา (Rating Scale) 5 ระดับ ตามวิธีของ Likert โดยกําหนดเกณฑ=การตรวจให/คะแนนของแบบวัด ดังนี้ (บุญชม ศรีสะอาด. 2551 : 103) คําถามเชิงนิมานหรือเชิงบวก (Positives Scale) มากที่สุด เทากับ 5 คะแนน มาก เทากับ 4 คะแนน ปานกลาง เทากับ 3 คะแนน น/อย เทากับ 2 คะแนน น/อยที่สุด เทากับ 1 คะแนน คําถามเชิงนิเสธหรือเชิงลบ (Negative Scale) มากที่สุด เทากับ 1 คะแนน มาก เทากับ 2 คะแนน ปานกลาง เทากับ 3 คะแนน น/อย เทากับ 4 คะแนน น/อยที่สุด เทากับ 5 คะแนน การแปลความหมายของคาเฉลี่ยได/กําหนดเกณฑ=ดังนี้ คาเฉลี่ย ความหมาย 4.51 - 5.00 มากที่สุด 3.51 - 4.50 มาก 2.51 - 3.50 ปานกลาง 1.51 - 2.50 น/อย 1.00 - 1.50 น/อยที่สุด การสรางและหาคุณภาพของเครื่องมือที่ใชในการวิจัย 1. แบบวัดการพัฒนาตนเอง การสร/างแบบวัดการพัฒนาตนเอง มีรายละเอียด ในการสร/าง ดังนี้ 1.1 กําหนดจุดมุงหมายในการสร/างแบบวัด เพื่อสร/างแบบวัดการการพัฒนาตนเอง สําหรับใช/ในการวิจัย 1.2 ศึกษาทฤษฎี แนวคิด เอกสาร และงานวิจัยที่เกี่ยวข/องกับการพัฒนาตนเอง จากโดยอาศัยทฤษฎี กรอบแนวคิดของ Maslow (ปราณี รามสูตร. 2548 : 213-218), เรียม ศรีทอง (2542 : 165) , รุงฤดี กิจควร, (2548 : 173-195), สงวน สุทธิเลิศอรุณ (2545 : 49), สํานักงานปลัดกระทรวงสาธารณสุข (ปรีชา พรมบุตร. 2555 : เว็บไซต= ; อ/างอิงมาจาก สํานักงานปลัดกระทรวงสาธารณสุข. ม.ป.ป.) เพื่อเปdนแนวการสร/างแบบวัดการพัฒนาตนเอง
  • 87.
    73 1.3 เขียนนิยามปฏิบัติการของการพัฒนาตนเอง ศึกษาจากทฤษฎีกรอบแนวคิด แบงเปdน 3 ด/าน คือ ตนเอง สังคม การเรียน 1.4 เขียนข/อคําถามตามคํานิยามของการพัฒนาตนเอง เปdนแบบมาตราสวนประมาณ คา (Rating Scale) 5 ระดับ แยกตามองค=ประกอบ 3 ด/าน ต/องการจริงจํานวน 15 ข/อ 1.5 นําแบบวัดการพัฒนาตนเอง ที่สร/างขึ้นให/ผู/เชี่ยวชาญ ตรวจสอบความเที่ยงตรง เชิงพินิจ (Face Validity) เพื่อพิจารณาความเหมาะสมของเนื้อหา ความสอดคล/องและครอบคลุมตาม นิยามเชิงปฏิบัติการของตัวแปร ผู/เชี่ยวชาญที่ให/ความอนุเคราะห=ตรวจสอบเครื่องมือ ประกอบด/วย 1.5.1 อาจารย= ดร.สุนทรพจน= ดํารงพานิช อาจารย=ประจําภาควิชาวิจัย มหาวิทยาลัยมหาสารคาม ค.ด. (วิธีวิทยาการวิจัยการศึกษา) 1.5.2 นางกัญจ=กมล มาลี ครูชํานาญการ โรงเรียนฝ„งแดงวิทยาสรรค= จังหวัดหนองบัวลําภู กศ.ม (การวิจัยและสถิติทางการศึกษา) 1.5.3 นางสาวศิริชนก จุลนาง ครู โรงเรียนคําแสนวิทยาสรรค= จังหวัดหนองบัวลําภู กศ.ม (การวิจัยการศึกษา) 1.5.4 นายเล็ก ขมิ้นเขียว ผู/อํานวยการ โรงเรียนนาวังศึกษาวิช จังหวัดหนองบัวลําภู ค.ม (การวัดและประเมินผลการศึกษา) 1.5.5 นายกิตติศักดิ์ กล/าแข็ง นักจิตวิทยา โรงเรียนหนองพอกวิทยาลัย จังหวัดร/อยเอ็ด วท.บ (จิตวิทยาคลีนิคและชุมชน) โดยให/ผู/เชี่ยวชาญทั้ง 5 ทาน ตรวจสอบความเที่ยงตรงเชิงโครงสร/างโดยพิจารณา ความสอดคล/องระหวางนิยามเชิงปฏิบัติการของการพัฒนาตนเอง แตละด/านกับข/อคําถาม คําถามโดยมีเกณฑ=การให/คะแนน ดังนี้ ให/คะแนน +1 เมื่อแนใจวาข/อคําถามนั้นสอดคล/องกับนิยามศัพท= ให/คะแนน 0 เมื่อไมแนใจวาข/อคําถามนั้นสอดคล/องกับนิยามศัพท= ให/คะแนน -1 เมื่อแนใจวาข/อคําถามนั้นไมสอดคล/องกับนิยามศัพท= 1.6 วิเคราะห=ข/อมูลการหาคาดัชนีความสอดคล/องระหวางข/อคําถามกับนิยามศัพท= เฉพาะโดยใช/สูตร IOC (Index of Item Objective Congruence) (สมบัติ ท/ายเรือคํา. 2551 : 101 - 102) เพื่อหาคาดัชนีความสอดคล/องและพิจารณาคัดเลือกข/อคําถามที่มีคะแนนเฉลี่ยตั้งแต 0.50 - 1.00 ไว/ พบวา ข/อคําถามบางข/อไมชัดเจน ไมสอดคล/องกับนิยามศัพท= เปลี่ยนข/อความ เพิ่มเชื่อมคํา ผู/วิจัยปรับปรุงข/อความที่ไมชัดเจนให/เหมาะสม ตามคําแนะนําของผู/เชี่ยวชาญ แล/วเสนอตอผู/เชี่ยวชาญ อีกครั้งหนึ่ง แล/วนํามาหาคุณภาพ ผลการประเมินความสอดคล/องมีคาเฉลี่ยตั้งแต 0.60 ถึง 1.00 เปdน ข/อสอบที่มีความเที่ยงตรงตามเกณฑ=จํานวน 21 ข/อ 1.7 นําแบบวัดไปทดลองใช/ (Try out) โดยทดลองกับนักเรียนมัธยมศึกษา ป#ที่ 6 ที่ไมใช กลุมตัวอยางจํานวน 3 โรงเรียน โรงเรียนขนาดใหญ ได/แก โรงเรียนหนองบัวพิทยาคาร จํานวน 60 คน โรงเรียนขนาดกลาง ได/แก โรงเรียนฝ„งแดงวิทยาสรรค= จํานวน 40 คน และ โรงเรียนขนาดเล็ก ได/แก โรงเรียนนาแกวิทยา จํานวน 20 คน สังกัดสํานักงานเขตพื้นที่การศึกษา มัธยมศึกษาเขต 19 (เลย-หนองบัวลําภู) แล/วนําผลทดลองมาหาคุณภาพแล/วนําผลที่ได/มาวิเคราะห= คุณภาพโดยใช/วิธีการทางสถิติ ดังนี้
  • 88.
    74 1.7.1 หาคาอํานาจจําแนกรายข/อ (xyr ) โดยใช/สูตร สหสัมพันธ=ของเพียร=สัน (Pearson’s Correlation) ระหวางคะแนนรายข/อกับคะแนนรวมทั้งหมด (Item – Total Correlation) แล/วพิจารณาข/อที่เข/าเกณฑ=ที่ระดับนัยสําคัญทางสถิติที่ระดับ .05 (df = 98) มีคาตั้งแต 0.147 คัดเลือกไว/ 15 ข/อ พบวา แบบวัดการพัฒนาตนเอง มีคาอํานาจจําแนกรายข/อ ( xyr ) ตั้งแต 0.58 ถึง 0.82 1.7.2 หาคาความเชื่อมั่นของแบบวัดทั้งฉบับ โดยนําแบบวัดที่คัดเลือกไว/ จํานวน 63 ข/อ มาหาคาความเชื่อมั่น (α ) ทั้งฉบับ โดยใช/วิธี Cronbach คือ การหาคาสัมประสิทธิ์แอลฟา (Alpha Coefficient) (สมบัติ ท/ายเรือคํา. 2553 : 98) พบวา แบบวัดการพัฒนาตนเองมีคา ความเชื่อมั่นทั้งฉบับเทากับ 0.89 1.8 นําแบบวัดการพัฒนาตนเอง ที่มีคุณภาพแล/วไปจัดพิมพ=ฉบับจริง 2. แบบวัดปจจัยที่สงผลตอการพัฒนาตนเองประกอบด/วย 5 ด/าน มีขั้นตอนการหาคุณภาพ ดังนี้ 2.1 การมองโลกในแงดี 2.1.1 กําหนดจุดมุงหมายในการสร/างด/านการมองโลกในแงดี สําหรับใช/ในการวิจัย 2.1.2 ศึกษาทฤษฎี แนวคิด เอกสาร และงานวิจัยที่เกี่ยวข/องกับการมองโลกในแงดี โดยโดยอาศัยทฤษฎี กรอบแนวคิด Seligman (อรพินทร= ชูชม. 2544 : 43 ; อ/างอิงมาจาก Seligman. 1998) 2.1.3 เขียนนิยามปฏิบัติการของการมองโลกในแงดี ศึกษาจากทฤษฎี กรอบแนวคิด Seligman (อรพินทร= ชูชม. 2544 : 43 ; อ/างอิงมาจาก Seligman. 1998) แบงเปdน 3 ด/าน คือ ความคงทนถาวร ความครอบคลุมความเปdนตนเอง 2.1.4 เขียนข/อคําถามตามคํานิยามของการมองโลกในแงดี เปdนแบบมาตราสวน ประมาณคา (Rating Scale) 5 ระดับ แยกตามองค=ประกอบ 3 ด/าน ต/องการจริง จํานวน 9 ข/อ 2.2 ความเชื่อมั่นในตนเอง 2.2.1 กําหนดจุดมุงหมายในการสร/างด/านความเชื่อมั่นในตนเอง สําหรับใช/ในการวิจัย 2.2.2 ศึกษาทฤษฎี แนวคิด เอกสาร และงานวิจัยที่เกี่ยวข/องกับความเชื่อมั่นในตนเอง โดยโดยอาศัยทฤษฎี กรอบแนวคิดของ Symonds (ธนัญญา คนอยู. 2547 : 13 ; อ/างอิงมาจาก Symonds. 1964 : 85 - 86), ชูชีพ ออนโคกสูง (ธนัญญา คนอยู. 2547 : 13 ; อ/างอิงมาจาก ชูชีพ ออนโคกสูง. 2516 : 27), ธีรภาพ วัฒนวิจารณ= (2545 : 127) 2.2.3 เขียนนิยามปฏิบัติการของความเชื่อมั่นในตนเอง ศึกษาจากทฤษฎีกรอบ แนวคิด แบงเปdน 4 ด/าน คือ ความมั่นคงทางจิตใจ ความกล/า การพึ่งตนเอง ความเปdนตัวของตนเอง 2.2.4 เขียนข/อคําถามตามคํานิยามของความเชื่อมั่นในตนเอง เปdนแบบมาตราสวน ประมาณคา (Rating Scale) 5 ระดับ แยกตามองค=ประกอบ 5 ด/าน ต/องการจริงจํานวน 15 ข/อ 2.3 แรงจูงใจใฝwสัมฤทธิ์ 2.3.1 กําหนดจุดมุงหมายในการสร/าง ด/านแรงจูงใจใฝwสัมฤทธิ์ สําหรับใช/ในการวิจัย 2.3.3. ศึกษาทฤษฎี แนวคิด เอกสาร และงานวิจัยที่เกี่ยวข/องกับแรงจูงใจใฝwสัมฤทธิ์ โดยโดยอาศัยทฤษฎี กรอบแนวคิดของ Guilford (จิราวดี ชุมพล. 2549 : 26 ; อ/างอิงมาจาก
  • 89.
    75 Guilford. 1967 :437-439), McClelland (ศิวพร ไชยพยอม. 2550 : 59 ; อ/างอิงมาจาก McClelland. 1969 : 207-256), Herman (ปราณี เพ็ชรศิริ. 2549 : 28 ; อ/างอิงมาจาก Herman. 1970 : 53), สุพจน= สินสุวงศ=วัฒนา (สมใจ จุฑาผาด. 2549 : 38 ; อ/างอิงมาจาก สุพจน= สินสุวงศ=วัฒนา. 2527 : 29-31) 2.3.4 เขียนนิยามปฏิบัติการของแรงจูงใจใฝwสัมฤทธิ์ ศึกษาจากทฤษฎี กรอบแนวคิด แบงเปdน 5 ด/าน คือ ความทะเยอทะยาน ความกระตือรือร/น ความกล/าเสี่ยง การรู/จักวางแผน ความมีเอกลักษณ= 2.3.5 เขียนข/อคําถามตามคํานิยามของแรงจูงใจใฝwสัมฤทธิ์ เปdนแบบมาตราสวน ประมาณคา (Rating Scale) 5 ระดับ แยกตามองค=ประกอบ 5 ด/าน ต/องการจริงจํานวน 15 ข/อ 2.4 การรับรู/ความสามารถของตนเอง 2.4.1 กําหนดจุดมุงหมายในการสร/าง ด/านการรับรู/ความสามารถของตนเอง สําหรับใช/ ในการวิจัย 2.4.2 ศึกษาทฤษฎี แนวคิด เอกสาร และงานวิจัยที่เกี่ยวข/องกับการรับรู/ ความสามารถของตนเอง จากโดยโดยอาศัยทฤษฎี กรอบแนวคิด การรับรู/ความสามารถของตนเอง (ประสาท อิศรปรีดา. 2552 : 288-292 ; อ/างอิงมาจาก Bandura. 1986 : 208) 2.4.3 เขียนนิยามปฏิบัติการของการรับรู/ความสามารถของตนเอง ศึกษาจากทฤษฎี กรอบแนวคิด แบงเปdน 4 ด/าน คือ ประสบการณ=จากความสําเร็จ การได/เห็นตัวแบบ ประสบความสําเร็จ การพูดชักจูงจากผู/อื่น สภาวะทางกาย 2.4.4 เขียนข/อคําถามตามคํานิยามของการรับรู/ความสามารถของตนเอง เปdนแบบมาตราสวนประมาณคา (Rating Scale) 5 ระดับ แยกตามองค=ประกอบ 4 ด/าน ต/องการจริง จํานวน 12 ข/อ 2.5 การควบคุมตนเอง 2.5.1 กําหนดจุดมุงหมายในการสร/างด/านการควบคุมตนเอง สําหรับใช/ในการวิจัย 2.5.2 ศึกษาทฤษฎี แนวคิด เอกสาร และงานวิจัยที่เกี่ยวข/องกับการควบคุมตนเอง โดยโดยอาศัยทฤษฎี กรอบแนวคิด Thoresen และ Mahoney (อรพลอย เกษมสันต= ณ อยุธยา. 2546 : 21-22 ; อ/างอิงมาจาก Thoresen and Mahoney. 1974 : 45), Skinner (สมโภชน= เอี่ยมสุภาษิต. 2541 : 328 – 329 ; อ/างอิงมาจาก Skinner. 1953), ทฤษฎีเชาว=อารมณ= (พรรณทิพย= ศิริวรรณบุศย=. 2551 : 80-82), Reckless (จรรจา สุวรรณทัต และคณะ. 2533 : 16-17 ; อ/างอิงมาจาก Reckless. n.d.) เพื่อเปdนแนวการสร/างด/านการควบคุมตนเอง 2.5.3 เขียนนิยามปฏิบัติการของการควบคุมตนเอง ศึกษาจากทฤษฎีกรอบแนวคิด แบงเปdน 4 ด/าน คือ การตั้งเป•าหมาย การยับยั้งตนเอง ควบคุมอารมณ= ความอดทน 2.5.4 เขียนข/อคําถามตามคํานิยามของการควบคุมตนเอง เปdนแบบมาตราสวน ประมาณคา (Rating Scale) 5 ระดับ แยกตามองค=ประกอบ 4 ด/าน ต/องการจริงจํานวน 12 ข/อ 3. นําแบบปจจัยที่สงผลตอการพัฒนาตนเอง จํานวน 100 ข/อ ที่สร/างขึ้นให/ผู/เชี่ยวชาญ ตรวจสอบความเที่ยงตรงเชิงพินิจ (Face Validity) เพื่อพิจารณาความเหมาะสมของเนื้อหา ความสอดคล/องและครอบคลุมตามนิยามเชิงปฏิบัติการของตัวแปร ผู/เชี่ยวชาญที่ให/ความอนุเคราะห= ตรวจสอบเครื่องมือ ประกอบด/วย
  • 90.
    76 3.1 อาจารย= ดร.สุนทรพจน=ดํารงพานิช อาจารย=ประจําภาควิชาวิจัย มหาวิทยาลัย มหาสารคาม ค.ด. (วิธีวิทยาการวิจัยการศึกษา) 3.2 นางกัญจ=กมล มาลี ครูชํานาญการ โรงเรียนฝ„งแดงวิทยาสรรค= จังหวัดหนองบัวลําภู กศ.ม (การวิจัยและสถิติทางการศึกษา) 3.3 นางสาวศิริชนก จุลนาง ครู โรงเรียนคําแสนวิทยาสรรค= จังหวัดหนองบัวลําภู กศ.ม (การวิจัยการศึกษา) 3.4 นายเล็ก ขมิ้นเขียว ผู/อํานวยการ โรงเรียนนาวังศึกษาวิช จังหวัดหนองบัวลําภู ค.ม (การวัดและประเมินผลการศึกษา) 3.5 นายกิตติศักดิ์ กล/าแข็ง นักจิตวิทยา โรงเรียนหนองพอกวิทยาลัย จังหวัดร/อยเอ็ด วท.บ (จิตวิทยาคลีนิคและชุมชน) โดยให/ผู/เชี่ยวชาญทั้ง 5 ทาน ตรวจสอบความเที่ยงตรงเชิงโครงสร/างโดยพิจารณา ความสอดคล/องระหวางนิยามเชิงปฏิบัติการ แตละด/านกับข/อคําถาม คําถามโดยมีเกณฑ=การให/คะแนน ดังนี้ ให/คะแนน +1 เมื่อแนใจวาข/อคําถามนั้นสอดคล/องกับนิยามศัพท= ให/คะแนน 0 เมื่อไมแนใจวาข/อคําถามนั้นสอดคล/องกับนิยามศัพท= ให/คะแนน -1 เมื่อแนใจวาข/อคําถามนั้นไมสอดคล/องกับนิยามศัพท= 4. วิเคราะห=ข/อมูลการหาคาดัชนีความสอดคล/องระหวางข/อคําถามกับนิยามศัพท= เฉพาะโดยใช/สูตร IOC (Index of Item Objective Congruence) (สมบัติ ท/ายเรือคํา. 2551 : 101 - 102) เพื่อหาคาดัชนีความสอดคล/องและพิจารณาคัดเลือกข/อคําถามที่มีคะแนนเฉลี่ยตั้งแต 0.50 - 1.00 ไว/ พบวา ข/อคําถามบางข/อไมชัดเจน ไมสอดคล/องกับนิยามศัพท= เปลี่ยนข/อความ เพิ่มเชื่อมคํา ผู/วิจัยปรับปรุงข/อความที่ไมชัดเจนให/เหมาะสม ตามคําแนะนําของผู/เชี่ยวชาญ แล/วเสนอตอผู/เชี่ยวชาญ อีกครั้งหนึ่ง แล/วนํามาหาคุณภาพ ผลการประเมินความสอดคล/องมีคาเฉลี่ยตั้งแต 0.60 ถึง 1.00 เปdนข/อสอบที่มีความเที่ยงตรงตามเกณฑ=จํานวน 100 ข/อ 5. นําแบบวัดไปทดลองใช/ (Try - out) โดยทดลองกับนักเรียนมัธยมศึกษา ป#ที่ 6 ที่ไมใช กลุมตัวอยางจํานวน 3 โรงเรียน โรงเรียนขนาดใหญ ได/แก โรงเรียนหนองบัวพิทยาคาร จํานวน 60 คน โรงเรียนขนาดกลาง ได/แก โรงเรียนฝ„งแดงวิทยาสรรค= จํานวน 40 คน และ โรงเรียนขนาดเล็ก ได/แก โรงเรียนนาแกวิทยา จํานวน 20 คน สังกัดสํานักงานเขตพื้นที่การศึกษา มัธยมศึกษาเขต 19 (เลย-หนองบัวลําภู) แล/วนําผลทดลองมาหาคุณภาพแล/วนําผลที่ได/มาวิเคราะห= คุณภาพโดยใช/วิธีการทางสถิติ ดังนี้ 5.1 หาคาอํานาจจําแนกรายข/อ ( xyr ) โดยใช/สูตร สหสัมพันธ=ของ Pearson (Pearson’s Correlation) ระหวางคะแนนรายข/อกับคะแนนรวมทั้งหมด (Item – Total Correlation) แล/วพิจารณาข/อที่เข/าเกณฑ=ที่ระดับนัยสําคัญทางสถิติที่ระดับ .05 (df = 98) มีคาตั้งแต 0.147 คัดเลือกไว/ 63 ข/อ พบวา แบบวัดปจจัยที่สงผลตอการพัฒนาตนเอง มีคาอํานาจจําแนกรายข/อ ( xyr ) ตั้งแต 0.40 ถึง 0.94
  • 91.
    77 5.2 หาคาความเชื่อมั่นของแบบวัดทั้งฉบับ โดยนําแบบวัดที่คัดเลือกไว/จํานวน 63 ข/อ มาหาคาความเชื่อมั่น (α ) ทั้งฉบับ โดยใช/วิธีของ Cronbach คือ การหาคาสัมประสิทธิ์แอลฟา (Alpha Coefficient ) (สมบัติ ท/ายเรือคํา. 2553 : 98) พบวา แบบวัดปจจัยที่สงผลตอการพัฒนา ตนเองมีคาความเชื่อมั่นทั้งฉบับเทากับ 0.76 6. นําแบบวัดปจจัยที่สงผลตอการพัฒนาตนเอง ที่มีคุณภาพแล/วไปจัดพิมพ=ฉบับจริง การเก็บรวบรวมขอมูล ผู/วิจัยได/ดําเนินการเก็บรวบรวมข/อมูล ดังตอไปนี้ 1. ติดตอขอรับหนังสือจากบัณฑิตวิทยาลัย มหาวิทยาลัยมหาสารคาม เพื่อขอความ อนุเคราะห=เก็บรวบรวมข/อมูลจากผู/บริหารโรงเรียนกลุมตัวอยาง สังกัดสํานักงานเขตพื้นที่การศึกษา มัธยมศึกษาเขต 19 (เลย-หนองบัวลําภู) 2. ผู/วิจัยนํา หนังสือขอความอนุเคราะห=ในการเก็บรวบรวมข/อมูลไปติดตอผู/บริหาร สถานศึกษาเพื่อขอความรวมมือในการเก็บรวบรวมข/อมูล พร/อมทั้งนัดหมายวัน เวลา ที่ดําเนินการ เก็บรวบรวมข/อมูล ซึ่งผู/วิจัยได/เก็บรวบรวมข/อมูลในเดือน พฤษภาคม - มิถุนายน พ.ศ. 2555 3. เตรียมเครื่องมือเก็บรวบรวมข/อมูล ประกอบด/วย แบบวัด 2 ฉบับ ประกอบด/วย แบบวัดการพัฒนาตนเอง และแบบปจจัยที่สงผลตอการพัฒนาตนเอง ให/เพียงพอกับนักเรียนกลุม ตัวอยาง 4. ผู/วิจัยดําเนินการเก็บรวบรวมข/อมูลด/วยตนเองตามวันเวลาที่นัดหมายในแตละโรงเรียน ที่เปdนกลุมตัวอยาง กอนที่นักเรียนตอบแบบสอบถาม ผู/วิจัยเปdนผู/ชี้แจงให/นักเรียนทราบวาไมมี ผลกระทบตอนักเรียน เพื่อลดความตึงเครียด และนักเรียนได/ให/ข/อมูลที่ถูกต/องและเปdนจริงมากที่สุด และรับแบบวัดภายในวันที่ไปเก็บข/อมูล แบบวัดทั้ง 2 ฉบับ ไปเก็บรวบรวมข/อมูลกับนักเรียนที่เปdนกลุม ตัวอยาง 850 ฉบับ และได/แบบวัดคืนมาทั้งหมด 850 ฉบับจากนั้นนําแบบวัดที่ได/จากการเก็บรวบรวม ข/อมูลจากกลุมตัวอยางมาตรวจให/คะแนนตามเกณฑ=ที่กําหนดไว/ โดยคัดเลือกเฉพาะแบบวัดฉบับที่ สมบูรณ= จึงได/แบบวัดจํานวนทั้งหมด 807 ฉบับ คิดเปdนร/อยละ 94.70 ของแบบวัดทั้งหมด 5. นําคะแนนที่ได/ไปทําการทดสอบตามข/อตกลงเบื้องต/น และวิเคราะห=ข/อมูลทางสถิติ เพื่อทําการทดสอบโมเดลตามสมมติฐานที่ตั้งไว/และรายงานผลการวิจัยตอไป
  • 92.
    78 ตาราง 4 สรุปเครื่องมือที่ใช/ในการวิจัย การวิเคราะห(ขอมูล การวิเคราะห=ข/อมูลในการวิจัยครั้งนี้ผู/วิจัยนําข/อมูลที่รวบรวมมาวิเคราะห=ตามระเบียบ วิธีทางสถิติ โดยใช/โปรแกรมสําเร็จรูป ซึ่งมีขั้นตอนการวิเคราะห=ข/อมูลดังนี้ ตอนที่ 1 วิเคราะห=หาคุณภาพเครื่องมือ เครื่องมือที่ใช/ในการวิจัยครั้งนี้คือ แบบวัดการพัฒนาตนเองและแบบวัดปจจัยที่ สงผลตอการพัฒนาตนเอง โดยใช/โปรแกรมสําเร็จรูปวิเคราะห=หาคุณภาพเครื่องมือดังนี้ 1. ความตรงเชิงเนื้อหา (Content Validity) ของข/อคําถามแตละข/อกับ วัตถุประสงค=ที่ต/องการถามหรือวัด โดยใช/สูตร IOC หาคาเฉลี่ยดัชนีความสอดคล/องของผู/เชี่ยวชาญ ทั้งหมด เครื่องมือ การตรวจสอบความตรง (IOC) จากผู/เชี่ยวชาญ (n=5) ผลการTry out สรุปคุณภาพ อํานาจจําแนก(r) จํานวนข/อที่ ใช/จริง อํานาจจําแนก ความเชื่อมั่น ฉบับที่ 1 แบบวัดการพัฒนาตนเอง การพัฒนาตนเอง 0.60 ถึง 1.00 ผาน เกณฑ=จํานวน 21 ข/อ 0.54 ถึง 0.82 คัดเลือกไว/ 21 ข/อ 15 0.58 ถึง 0.82 0.89 ฉบับที่ 2 แบบวัดปจจัยที่สงผลตอการพัฒนาตนเอง ประกอบด/วย 5 ด/าน ดังนี้ การมองโลกในแงดี 0.60 ถึง 1.00 ผาน เกณฑ=จํานวน 15 ข/อ 0.24 ถึง 0.88 คัดเลือกไว/ 15 ข/อ 9 0.54 ถึง 0.88 0.70 ความเชื่อมั่นใน ตนเอง 0.80 ถึง 1.00 ผาน เกณฑ=จํานวน 20 ข/อ 0.25 ถึง 0.92 คัดเลือกไว/ 20 ข/อ 15 0.40 ถึง 0.84 0.77 แรงจูงใจใฝwสัมฤทธิ์ 0.60 ถึง 1.00 ผาน เกณฑ=จํานวน 25 ข/อ 0.28 ถึง 0.94 คัดเลือกไว/ 25 ข/อ 15 0.40 ถึง 0.94 0.87 การรับรู/ ความสามารถของ ตนเอง 0.60 ถึง 1.00 ผาน เกณฑ=จํานวน 20 ข/อ 0.26 ถึง 0.79 คัดเลือกไว/ 20 ข/อ 12 0.38 ถึง 0.79 0.82 การควบคุมตนเอง 0.60 ถึง 1.00 ผาน เกณฑ=จํานวน 20 ข/อ 0.24 ถึง 0.86 คัดเลือกไว/ 20 ข/อ 12 0.46 ถึง 0.86 0.75 รวมทั้งฉบับ 0.60 ถึง 1.00 ผาน เกณฑ=จํานวน 100 ข/อ 0.24 ถึง 0.94 คัดเลือกไว/ 100 ข/อ 63 0.40 ถึง 0.94 0.78
  • 93.
    79 2. ความเชื่อมั่น (Reliability)ของเครื่องมือทั้งฉบับ โดยใช/สูตรสัมประสิทธิ์ แอลฟา (Alpha Coefficient) ของ Cronbach 3. อํานาจจําแนก (Discrimination) โดยใช/วิธีการหาคาสหสัมพันธ=ระหวาง คะแนนรายข/อกับคะแนนรวมของข/ออื่น ๆ ที่เหลือทั้งหมด (Item Total Correlation) โดยใช/สูตร สหสัมพันธ=แบบ Pearson (Pearson Product Moment Correlation) 4. การวิเคราะห=ความตรงเชิงโครงสร/าง (Construct Validity) ด/วยการวิเคราะห= เชิงยืนยัน (Confirm Factor Analysis) ด/วยโปรแกรมสําเร็จรูป ตอนที่ 2 วิเคราะห=ข/อมูลเบื้องต/น (Preliminary Data Analysis) เพื่อให/ทราบลักษณะของ กลุมตัวอยางและลักษณะการแจกแจงของตัวแปรแตโดยวิเคราะห=คาสถิติพื้นฐาน ประกอบด/วย คาเฉลี่ย สวนเบี่ยงเบนมาตรฐาน คาความเบ/ และคาความโดง และการกระจายนอกกลุม (outliers) ของข/อมูล โดยใช/โปรแกรมสําเร็จรูป ตอนที่ 3 วิเคราะห=เพื่อตอบปญหาการวิจัย การตรวจสอบข/อมูลเบื้องต/นกอนการวิเคราะห=องค=ประกอบ โดยผู/วิจัยได/ 1. วิเคราะห=หาคาสัมประสิทธิ์สหสัมพันธ=ระหวางตัวแปรตางๆ โดยใช/สูตรสัมประสิทธิ์ สหสัมพันธ=ของ Pearson (Pearson Product – Moment Correlation Coefficient) เพื่อใช/เปdน ข/อมูลนําไปวิเคราะห=ตรวจสอบความสอดคล/องของรูปแบบความสัมพันธ=โครงสร/างเชิงสาเหตุตอไป 2. ทําการตรวจสอบข/อมูลโดยภาพรวม กอนที่จะทําการวิเคราะห=องค=ประกอบ วา ข/อมูลที่ได/มานั้นมีความสัมพันธ=อยางเพียงพอตอการวิเคราะห=องค=ประกอบหรือไม โดยพิจารณา คาความเหมาะสมของข/อมูล คือ คาสถิติ Bartlett (Bartlett's test Sphericity) และคาสถิติ Kaiser-Meyer-Olkin Measure of sampling adequacy : KMO เปdนการวัดความเหมือนกันของ ตัวแปร โดยการเปรียบเทียบขนาดของผลรวมของคาสัมประสิทธิ์สหสัมพันธ= และผลรวมของคา สัมประสิทธิ์สหสัมพันธ=เชิงสวน คา KMO มีคาตั้งแต 0 - 1 คา KMO ควรมีคามากกวา .50 ถือวายอมรับ ได/ (Tolerable) ในการวิเคราะห=องค=ประกอบ พบวา KMO มีคาเทากับ 0.932 3. วิเคราะห=องค=ประกอบเชิงยืนยัน (Confirmatory factor analysis) เพื่อตรวจสอบ ความตรงของโมเดลการวัด (Measurement model) ของตัวแปรแฝงแตละตัว เพื่อให/แนใจวาตัวแปร สังเกตได/แตละกลุมนั้น เปdนตัวบงชี้ที่เหมาะสมสําหรับตัวแปรแฝงที่กําหนดไว/ โดยใช/โปรแกรมสําเร็จรูป 4. วิเคราะห=รูปแบบโครงสร/างความสัมพันธ=เชิงสาเหตุของปจจัยที่สงผลตอการพัฒนา ตนเอง โดยใช/โปรแกรมสําเร็จรูป เพื่อตรวจสอบความสอดคล/องระหวางโมเดลตามสมมติฐานกับข/อมูล เชิงประจักษ= วิเคราะห=อิทธิพลทางตรงและทางอ/อมขององค=ประกอบของปจจัยที่สงผลตอการพัฒนา ตนเอง ประมาณคาพารามิเตอร=โดยวิธีภาวะนาจะเปdนสูงสุด (Maximum Likelihood Estimate : ML) เพื่อวิเคราะห=โมเดลตามสมมติฐานที่กําหนดไว/ ถ/าผลการวิเคราะห=พบวาโมเดลตามสมมติฐานที่เลือกไว/ ไมสอดคล/องกับข/อมูลเชิงประจักษ= ผู/วิจัยจะดําเนินการปรับแตงโมเดลใหมโดยอาศัยเหตุผลเชิงทฤษฎี และคาดัชนีปรับแตงโมเดล (Model Modification Indices) เพื่อให/ได/โมเดลที่สอดคล/องกลมกลืนกับ ข/อมูลเชิงประจักษ=ที่ดีที่สุดและคาสถิติที่ใช/ในการตรวจสอบความกลมกลืนของโมเดลตามสมมติฐานกับ ข/อมูลเชิงประจักษ= มีดังนี้
  • 94.
    80 4.1 คาไคกําลังสอง (Chi- Square : 2 χ ) เปdนคาสถิติที่ใช/ทดสอบสมมุติฐาน ทางสถิติวาฟงชั่นความกลมกลืนมีคาเปdนศูนย= การคํานวณคาไคกําลังสองสามารถคํานวณได/จากผลคูณ ของคาองศาเสรีกับคาของฟงชั่นความกลมกลืน ถ/าคาสถิติคาไคกําลังสองมีคาสูงมาก แสดงวาฟงชั่น ความกลมกลืนมีคาแตกตางจากศูนย=อยางมีนัยสําคัญทางสถิติ นั่นคือ โมเดลตามสมมุติฐานไมมีความ กลมกลืนกับข/อมูลเชิงประจักษ= ถ/าคาสถิติคาไคกําลังสองมีคาต่ํามาก ยิ่งมีคาใกล/ศูนย=มากเทาไร แสดง วา โมเดลตามสมมุติฐานมีความกลมกลืนกับข/อมูลเชิงประจักษ= (นงลักษณ= วิรัชชัย. 2542 : 45) นอกจากนั้น สมบัติ ท/ายเรือคํา (2553 ข : 231) ได/เสนอวา โมเดลที่มีความกลมกลืน คือ โมเดล ที่มีคาไคกําลังสองใกล/เคียงกับคาองศาเสรี (df) ซึ่งตัวบงชี้ คือ คาความนาจะเปdน (prob หรือ sig) จะต/องไมมีนัยสําคัญ (p > .05) 4.2 ดัชนีอัตราสวนคาไคกําลังสองสัมพัทธ= (Relative Chi-Square Ratio) เปdนอัตราสวนระหวางคาสถิติคาไคกําลังสองกับจํานวนองศาเสรี (คาไคกําลังสองหารองศาเสรี : 2 χ /df) ซึ่งควรมีคาอยูระหวาง 2 - 5 โดย Mueller (เสรี ชัดแช/ม. 2547 : 29 ; อ/างอิงมาจาก Mueller. 1996) เสนอวา ควรมีคาน/อยกวา 3 4.3 ดัชนีรากกําลังสองเฉลี่ยของความคลาดเคลื่อนในการประมาณคา (Root Mean Squared Error of Approximation : RMSEA) เปdนคาที่บงบอกความไมกลมกลืนของโมเดล ตามสมมุติฐานกับเมทริกซ=ความแปรปรวนรวมของประชากร ซึ่งถ/าดัชนี RMSEA มีคาน/อยกวา .08 แสดงวาโมเดลมีความกลมกลืนแล/ว (สมบัติ ท/ายเรือคํา. 2553 ข : 267) 4.4 ดัชนีวัดความกลมกลืนเชิงเปรียบเทียบ (Comparative Fit Index : CFI) เปdนดัชนีที่มาปรับแก/ของ RFI เพื่อให/ดัชนีมีคาอยูระหวาง 0 - 1 ดัชนีนี้จึงเปdนดัชนีที่มาจากฐานของ คาไคกําลังสอง แบบ Noncentrality ด/วยเชนกัน และเปdนดัชนีหนึ่งที่ได/รับความนิยมสูง เนื่องจาก เปdนอีกดัชนีที่ไมได/รับผลกระทบจากขนาดของกลุมตัวอยาง โดยเกณฑ=การตัดสินที่นิยมใช/ก็คือ ต/องมีคามากกวา .90 (ฉัตรศิริ ปaยะพิมลสิทธิ์. 2543 : 30-31 ; อ/างอิงมาจาก Bentler. 1990) จากคาสถิติหรือดัชนีที่ใช/ตรวจสอบความกลมกลืนของโมเดลตามสมมติฐาน กับข/อมูลเชิงประจักษ=ข/างต/น สามารถสรุปได/ดังตาราง 5
  • 95.
    81 ตาราง 5 สรุปคาสถิติหรือดัชนีที่ใช/ตรวจสอบความกลมกลืนของโมเดลตามสมมติฐานกับข/อมูล เชิงประจักษ= ดัชนีที่ใช/ตรวจสอบความกลมกลืนของโมเดลเกณฑ=การพิจารณา คาไคกําลังสอง (Chi - Square : 2 χ ) คาไคกําลังสอง ที่ไมมีนัยสําคัญทางสถิติ หรือคาความนาจะเปdน (p > x ; โดยที่ x คือ ระดับนัยสําคัญทางสถิติที่ กําหนดขึ้น) ดัชนีอัตราสวนไคกําลังสองสัมพัทธ= (Relative Chi-Square Ratio : 2 χ /df) มีคาน/อยกวา 2 (ถ/า df มีคามากๆ หรือ ขนาดกลุมตัวอยาง (n) มีคามากๆ จําทําให/ 2 χ /df มีคาน/อย จึงทําให/มี โอกาสในการยอมรับ H0 มากยิ่งขึ้น) คาดัชนี RMSEA (Root Mean Squared Error of Approximation) มีคาน/อยกวา .05 คาดัชนี TLI (Tucker-Lewis Index) มีคามากกวา .90 คาดัชนี CFI (Comparative Fit Index) มีคามากกวา .90 สถิติที่ใช/ตรวจสอบความสอดคล/องของโมเดลตามสมมติฐานกับข/อมูลเชิงประจักษ=ดังแสดง ในตาราง 5 นั้น ใช/พิจารณาโมเดลตามสมมติฐานที่ตั้งไว/ หากคาสถิติที่คํานวณได/ไมเปdนไปตามเกณฑ=ที่ กําหนดก็จะต/องทําการปรับโมเดลใหม โดยอาศัยเหตุผลเชิงทฤษฎี และคาดัชนีปรับโมเดล (Model modification indices : MI) ซึ่งเปdนคาสถิติเฉพาะของพารามิเตอร=แตละตัวมีคาเทากับ คาไคกําลังสอง ที่ลดลง เมื่อกําหนดให/พารามิเตอร=ตัวนั้นเปdนพารามิเตอร=อิสระ หรือมีการผอนคลายข/อกําหนดเงื่อนไข บังคับของพารามิเตอร=นั้น ข/อมูลที่ได/นั้นนําไปใช/ในการปรับโมเดลจนได/โมเดลที่มีความสอดคล/องกับ ข/อมูลเชิงประจักษ=และได/คาสถิติตามเกณฑ=ที่กําหนด 5. นําเสนอคาอิทธิพลของตัวแปรในโมเดล โดยแสดงอิทธิพลทางตรง–ทางอ/อม (Direct-Indirect effect) และอิทธิพลรวม (Total effect) ของตัวแปรปจจัยที่สงผลตอการพัฒนา ตนเอง สถิติที่ใชในการวิเคราะห(ขอมูล 1. สถิติที่ใช/ในการวิเคราะห=หาคุณภาพของเครื่องมือ 1.1 หาคุณภาพของแบบวัดทั้งหมด ประกอบด/วย แบบวัดการพัฒนาตนเอง แบบวัดปจจัยที่สงผลตอการพัฒนาตนเอง ใช/สถิติในการตรวจคุณภาพของเครื่องมือ ดังนี้ 1.1.1 การตรวจสอบความเที่ยงตรงเชิงเนื้อหา (Content Validity) โดยวิธีหาคา ดัชนี ความสอดคล/อง (Index of Congruence : IOC) ของแบบใช/สูตรดังนี้ (สมบัติ ท/ายเรือคํา. 2551 : 107)
  • 96.
    82 IOC = N R∑ เมื่อ IOCแทน ดัชนีความสอดคล/องระหวางข/อสอบกับจุดประสงค= ∑R แทน ผลรวมคะแนนความคิดเห็นของผู/เชี่ยวชาญทั้งหมด N แทน จํานวนผู/เชี่ยวชาญทั้งหมด 1.1.2 วิเคราะห=หาคาอํานาจจําแนก (Discriminating Power) รายข/อโดยใช/คา สัมประสิทธิ์สหสัมพันธ=อยางงายแบบ Pearson ระหวางคะแนนของแตละข/อกับ คะแนนรวม (Item-Total Correlation) โดยใช/สูตรดังนี้ (สมบัติ ท/ายเรือคํา. 2553ก : 97) rxy = ( )( ) [ ( ) ] [ ( ) ]2222 nn ΣΥΣΧn ΣΥ−ΣΥΣΧ−ΣΧ −ΧΥ∑ เมื่อ rxy แทน สัมประสิทธิ์สหสัมพันธ=ระหวาง X กับ Y Σ X แทน ผลรวมของคะแนนชุด X Σ Y แทน ผลรวมของคะแนนชุด Y Σ X 2 แทน ผลรวมของกําลังสองของคะแนนชุด X Σ Y 2 แทน ผลรวมของกําลังสองของคะแนนชุด Y Σ XY แทน ผลรวมของผลคูณระหวาง X กับ Y n แทน จํานวนสมาชิกในกลุม 1.1.3 วิเคราะห=หาความเชื่อมั่น (Reliability) ของแบบวัด โดยวิธีหาคาสัมประสิทธิ์ สหสัมพันธ=แอลฟา (Alpha - Coeficient) ของ Cronbach (สมบัติ ท/ายเรือคํา. 2553ก : 98) โดยใช/สูตรดังนี้ α =       − − 2 t 2 i S ΣS 1 1k k เมื่อ α แทน คาสัมประสิทธิ์ความเชื่อมั่น k แทน จํานวนข/อของเครื่องมือ Σ 2 iS แทน ผลรวมของความแปรปรวนแตละข/อ 2 tS แทน ความแปรปรวนของคะแนนรวม
  • 97.
    83 2. สถิติพื้นฐาน 2.1 ร/อยละ(Percentage) (สมบัติ ท/ายเรือคํา. 2551 : 199-123) 100×= N f P เมื่อ P แทน ร/อยละ f แทน ความถี่ที่ต/องการแปลงให/เปdนร/อยละ N แทน จํานวนความถี่ทั้งหมด 2.2 คาเฉลี่ย (Means) (สมบัติ ท/ายเรือคํา. 2551 : 125) Χ = n fx∑ เมื่อ Χ แทน คาเฉลี่ยของกลุมตัวอยาง Σ x แทน ผลรวมของข/อมูลในกลุมตัวอยาง n แทน จํานวนข/อมูลในกลุมตัวอยาง 2.3 สวนเบี่ยงเบนมาตรฐาน (Standard Deviation) (สมบัติ ท/ายเรือคํา. 2552 : 140) S = ( ) )1( 22 − −∑ ∑ nn fxfxn เมื่อ S แทน สวนเบี่ยงเบนมาตรฐานของกลุมตัวอยาง Χ แทน คาของข/อมูลแตละตัว Χ แทน คาเฉลี่ยของกลุมตัวอยาง n แทน จํานวนข/อมูลทั้งหมดของกลุมตัวอยาง f แทน คาความถี่ของข/อมูล 2.3 การตรวจสอบข/อมูลกอนการวิเคราะห=ข/อมูลด/วยโปรแกรมคํานวณทาง คอมพิวเตอร=สําเร็จรูป ดังนี้ คาความเบ/ (Skewness) และคาความโดง (Kurtosis) มีสูตรดังนี้ ( ) ∑ ∑ − == f xxf m m 3 33 3 3 ; σ α ( ) N xxf m m ∑ − == 44 4 4 ; σ α
  • 98.
    84 เมื่อ แทน โมเมนต=ที่3 รอบมัชฌิมเลขคณิต แทน โมเมนต=ที่ 4 รอบมัชฌิมเลขคณิต 3. สถิติที่ใช/ในการวิเคราะห=ข/อมูลการวิจัย 3.1 สัมประสิทธิ์สหสัมพันธ=อยางงาย (Simple Correlation Coefficient) หรือ สัมประสิทธิ์สหสัมพันธ=แบบ Pearson (Pearson’s Product Moment Correlation Coefficient) โดยใช/สูตรดังนี้ (บุญชม ศรีสะอาด. 2542 : 106-107) เมื่อ แทน สัมประสิทธิ์สหสัมพันธ=ระหวาง X และ Y แทน ผลรวมของคาตัวแปร X แทน ผลรวมของคาตัวแปร Y N แทน จํานวนสมาชิกในกลุม แทน ผลรวมของผลคูณระหวาง X และ Y แทน ผลรวมของกําลังสองของคาตัวแปร X แทน ผลรวมของกําลังสองของคาตัวแปร Y 3.2 คํานวณคาสัมประสิทธิ์สหสัมพันธ=เส/นทาง โดยวิเคราะห=สหสัมพันธ=พหุคูณ และวิเคราะห=สมการด/วยวิธีความเปdนไปได/สูงสุด (Maximum Likelihood : ML) มีฟงก=ชันเปdนดังนี้ (นงลักษณ= วิรัชชัย. 2542 : 49) kSlog)tr(SlogF 1 +−∑+∑= − เมื่อ S แทน เมตริกซ=ความแปรปรวน – ความแปรปรวนรวมจากกลุม ตัวอยาง ∑ แทน เมตริกซ=ความแปรปรวน - ความแปรปรวนรวมที่ได/จาก คาประมาณพารามิเตอร= k แทน จํานวนตัวแปรที่สังเกตได/ทั้งหมดในโมเดลสมการโครงสร/าง (NX + NY) tr แทน ผลรวมสมาชิกในแนวทแยงของเมตริกซ= (trace) 3.3 การวิเคราะห=ความตรงเชิงโครงสร/างของโมเดลการวัด โดยการวิเคราะห=องค=ประกอบ เชิงยืนยัน ด/วยโปรแกรมคํานวณทางคอมพิวเตอร=สําเร็จรูป 3.4 ทดสอบความกลมกลืนของโมเดลสมการโครงสร/างตามสมมุติฐานกับข/อมูล เชิงประจักษ=โดยใช/สถิติวัดระดับความกลมกลืน ดังนี้ ( ){ } ( ){ }∑ ∑∑∑ ∑ ∑ ∑ −− − = 2222 YYNXXN YXXYN rxy XYr ∑X ∑Y ∑XY ∑ 2 X ∑ 2 Y 3m 4m
  • 99.
    85 3.4.1 คาไคกําลังสอง (Chi- Square : 2 χ ) เปdนคาสถิติที่ใช/ทดสอบสมมติฐาน ทางสถิติวาฟงก=ชันความกลมกลืนมีคาเปdนศูนย= คาสถิติ คาไคกําลังสองมีคาต่ํามากยิ่งมีคาใกล/ศูนย=มาก เทาไร หรือคาใกล/เคียงกับจํานวนองศาเสรี (Degree of Freedom : df) แสดงวา โมเดลทางทฤษฏีมี ความสอดคล/องกับข/อมูล เชิงประจักษ=โดยใช/สูตรดังนี้ (นงลักษณ= วิรัชชัย. 2542 : 56) 2 χ t1)/2k(kd;θ)(S,1)F(n −+=∑−= เมื่อ n แทน ขนาดของกลุมตัวอยาง F θ)(S,∑ แทน คาต่ําสุดของฟงก=ชันความกลมกลืนของโมเดลจาก พารามิเตอร= θ k แทน จํานวนตัวแปรที่สังเกตได/ d แทน องศาเสรี (Degrees of Freedom) t แทน จํานวนพารามิเตอร=อิสระ 3.4.2 ดัชนีรากกําลังสองเฉลี่ยของความคลาดเคลื่อนในการประมาณ (Root Mean Squared Error of Approximation : RMSEA) โดยใช/สูตรดังนี้ (นงลักษณ= วิรัชชัย. 2542 : 56) RMSEA = FO/d เมื่อ FO/d แทน Max. 0(d/n),-F FO แทน คาต่ําสุดของฟงก=ชันความกลมกลืนของโมเดล จากพารามิเตอร= θ n แทน ขนาดของกลุมตัวอยาง d แทน คาองศาเสรี 3.4.5 CFI (comparative fit index) Bentler (1990) ได/เสนอ CFI ซึ่งอยูบนพื้นฐาน ของ Noncentral 2 χ Distribution) เปdนดัชนีที่ใช/เปรียบเทียบโมเดลพื้นฐาน (Baseline) กับโมเดล ตามทฤษฎีหรือโมเดลตามสมมติฐาน ซึ่งโมเดลพื้นฐานจะถูกเรียกวา “Null” หรือ Independence” เปdนโมเดลที่ไมมีความสัมพันธ=ระหวางตัวแปรทั้งหมด คือ ไมมีเส/นทางเชื่อมโยงระหวางตัวแปรหรือ โมเดลที่เมตริกซ=ความแปรปรวนรวมมีคาเปdน 0 ดัชนี ดัชนี CFI มีพิสัยอยูระหวาง 0 ถึง 1 หากมีคาสูงถึง 0.9 แปลได/วาโมเดลตามสมมติฐานมีความสอดคล/องกับข/อมูล มีสูตรดังนี้ elnull elnull df CFI mod 2 mod 22 1 − − −= χ χχ
  • 100.
    86 บทที่ 4 ผลการวิเคราะหขอมูล การวิจัยครั้งนี้เปนการศึกษาปจจัยที่สงผลตอการพัฒนาตนเอง ของนักเรียนมัธยมศึกษาป%ที่6 สํานักงานเขตพื้นที่การศึกษามัธยมศึกษา เขต 19 (เลย - หนองบัวลําภู) ได3นําเสนอผลการวิเคราะห5 ข3อมูลตามลําดับดังนี้ 1. สัญลักษณ5ที่ใช3ในการเสนอผลการวิเคราะห5ข3อมูล 2. ลําดับขั้นในการเสนอผลการวิเคราะห5ข3อมูล 3. ผลการวิเคราะห5ข3อมูล สัญลักษณที่ใชในการเสนอผลการวิเคราะหขอมูล เพื่อให3การนําเสนอผลการวิเคราะห5ข3อมูลมีความสะดวกและเข3าใจงาย ผู3วิจัยใช3อักษรยอและ สัญลักษณ5แทนตัวแปรและคาสถิติตางๆ ที่ใช3ในการวิเคราะห5ข3อมูล ดังนี้ X หมายถึง คาเฉลี่ย (Mean) S หมายถึง สวนเบี่ยงเบนมาตรฐาน (Standard Deviation) MAX หมายถึง คาสูงสุด MIN หมายถึง คาต่ําสุด CV หมายถึง สัมประสิทธิ์การกระจาย SK หมายถึง คาความเบ3 (Skewness) KU หมายถึง คาความโดง (Kurtosis) 2 χ หมายถึง ดัชนีตรวจสอบความกลมกลืนประเภทคาสถิติไคกําลังสอง (Chi-Square) df หมายถึง องศาเสรี (Degree of Freedom) TE หมายถึง ขนาดอิทธิพลรวม (Total Effect) DE หมายถึง ขนาดอิทธิพลทางตรง (Direct Effect) IE หมายถึง ขนาดอิทธิพลทางอ3อม (Indirect Effect) R2 หมายถึง สัมประสิทธิ์การตัดสินใจ (Coefficient of Determination) p หมายถึง ระดับนัยสําคัญทางสถิติ CFI หมายถึง ดัชนีดัชนีเปรียบเทียบโมเดล (Comparative Fit Index) RMSEA หมายถึง ดัชนีรากกําลังสองเฉลี่ยของความคลาดเคลื่อนในการประมาณ (Root Mean Squared Error of Approximation)
  • 101.
    87 สัญลักษณ5ที่ใช3แทนตัวแปรแฝง OPT หมายถึง การมองโลกในแงดี SCTหมายถึง ความเชื่อมั่นในตนเอง AMO หมายถึง แรงจูงใจใฝnสัมฤทธิ์ SEF หมายถึง การรับรู3ความสามารถของตนเอง SCT หมายถึง การควบคุมตนเอง SDL หมายถึง การพัฒนาตนเอง สัญลักษณ5ที่ใช3แทนตัวแปรสังเกตได3 การควบคุมตนเอง (SCT) GOA หมายถึง การตั้งเปrาหมาย RES หมายถึง การยับยั้งตนเอง STE หมายถึง การควบคุมอารมณ5 PAT หมายถึง ความอดทน การรับรู3ความสามารถของตนเอง (SEF) EAT หมายถึง ประสบการณ5จากความสําเร็จ VEX หมายถึง การได3เห็นตัวแบบประสบความสําเร็จ VPE หมายถึง การพูดชักจูงจากผู3อื่น PST หมายถึง สภาวะทางกาย PAT หมายถึง ความอดทน การพัฒนาตนเอง (SDL) PDE หมายถึง ตนเอง SDE หมายถึง สังคม LDE หมายถึง การเรียน การมองโลกในแงดี (OPT) PEM หมายถึง ความคงทนถาวร PEV หมายถึง ความครอบคลุม PES หมายถึง ความเปนตนเอง ความเชื่อมั่นในตนเอง (SCF) EST หมายถึง ความมั่นคงทางจิตใจ COU หมายถึง ความกล3า SRE หมายถึง การพึ่งตนเอง AUT หมายถึง ความเปนตัวของตัวเอง ADA หมายถึง ความสามารถในการปรับตัว แรงจูงใจใฝnสัมฤทธิ์ (AMO) ASP หมายถึง ความทะเยอทะยาน ENE หมายถึง ความกระตือรือร3น MRT หมายถึง ความกล3าเสี่ยง
  • 102.
    88 PLA หมายถึง การรู3จักวางแผน UOCหมายถึง ความมีเอกลักษณ5 ลําดับขั้นในการนําเสนอผลการวิเคราะหขอมูล ในการวิจัยครั้งนี้ ผู3วิจัยได3นําเสนอผลการวิเคราะห5ตามลําดับ ดังนี้ ตอนที่ 1 การวิเคราะห5ข3อมูลเบื้องต3น (Preliminary Data Analysis) 1.1 การตรวจสอบลักษณะการแจกแจงของตัวแปร 1.2 การตรวจสอบความสัมพันธ5เชิงเส3นตรง (Linearity) ของตัวแปร 1.3 การตรวจสอบข3อมูลสุดโตง (Extremes or Outliers) 1.4 ผลการวิเคราะห5คาสถิติพื้นฐานของตัวแปร ตอนที่ 2 การวิเคราะห5คาสัมประสิทธิ์สหสัมพันธ5แบบ Pearson ของตัวแปร ตอนที่ 3 การวิเคราะห5องค5ประกอบเชิงยืนยันของโมเดลการวัด ตอนที่ 4 การวิเคราะห5รูปแบบความสัมพันธ5โครงสร3างเชิงสาเหตุของปจจัยที่สงผลตอการ พัฒนาตนเอง 4.1 การตรวจสอบความสอดคล3องของรูปแบบผลการวิเคราะห5แสดงคาสัมประสิทธิ์ สหสัมพันธ5ระหวางตัวแปร และคาสัมประสิทธิ์อิทธิพลของปจจัยที่สงผลตอการพัฒนาตนเอง ของ นักเรียนมัธยมศึกษาป%ที่ 6 สํานักงานเขตพื้นที่การศึกษามัธยมศึกษา เขต 19 (เลย - หนองบัวลําภู) ตามสมมติฐาน 4.2 โมเดลของปจจัยที่สงผลตอการพัฒนาตนเอง ของนักเรียนมัธยมศึกษาป%ที่ 6 สํานักงานเขตพื้นที่การศึกษามัธยมศึกษา เขต 19 (เลย - หนองบัวลําภู) ที่ปรับแก3แล3ว ผลการวิเคราะหขอมูล ตอนที่ 1 การวิเคราะห5ข3อมูลเบื้องต3น (Preliminary Data Analysis) ในการวิจัยที่มีการวิเคราะห5ข3อมูลด3วยสถิติขั้นสูง เชน การวิจัยที่ใช3การวิเคราะห5โมเดล นักวิจัยควรรู3ธรรมชาติของข3อมูลและมีความเข3าใจในลักษณะความสัมพันธ5ของตัวแปรอยางดี เพื่อให3 การวิเคราะห5ข3อมูลถูกต3องสมเหตุสมผล ดังนั้นในการวิเคราะห5ข3อมูล ควรมีการตรวจสอบข3อมูลเพื่อให3 ทราบถึงลักษณะธรรมชาติของข3อมูล ซึ่งวิธีการตรวจสอบข3อมูลที่นักวิจัยต3องดําเนินการกอนการ วิเคราะห5ข3อมูลมี 4 สวน ได3แกการตรวจสอบลักษณะการแจกแจงของตัวแปร การตรวจสอบลักษณะ ความสัมพันธ5ระหวางตัวแปร การตรวจสอบคาสุดโตง และการตรวจสอบข3อตกลงเบื้องต3นของตัวแปร ซึ่งการตรวจสอบข3อมูลทั้งหมดนี้ ถ3ามีการตรวจสอบและแก3ไขกอนการวิเคราะห5ข3อมูล จะชวยให3 การวิเคราะห5ข3อมูลได3ผลดี ไมมีปญหายุงยากในการวิเคราะห5ข3อมูล เพราะในการวิเคราะห5ข3อมูลที่มีตัว แปรหลายตัว ถ3าตัวแปรมีคุณสมบัติไมสอดคล3องกับข3อตกลงเบื้องต3นจะทําให3ผลการวิเคราะห5เบี่ยงเบน และลําเอียงได3มากกวาเมื่อมีตัวแปรน3อยตัว และในการวิเคราะห5ทางสถิติขั้นสูงมีความยุงยากซับซ3อน ถ3าข3อมูลไมเปนไปตามข3อตกลงเบื้องต3นผลการวิเคราะห5ข3อมูลด3วยสถิติขั้นสูงจะแสดงผลการวิเคราะห5 โดยพรางลักษณะที่ไมสอดคล3องกับข3อตกลงเบื้องต3น ซึ่งถ3าใช3สถิติวิเคราะห5เบื้องต3นจะเห็นลักษณะที่ไม
  • 103.
    89 สอดคล3องกับข3อตกลงเบื้องต3นได3ชัดเจน หากนักวิจัยไมตรวจสอบข3อมูลกอนอาจจะได3ผลการวิเคราะห5 ข3อมูลจากสถิติวิเคราะห5ขั้นสูงที่มีอันตรายจากการที่ข3อมูลไมเปนไปตามข3อตกลงเบื้องต3น (นงลักษณ5 วิรัชชัย.2542 : 12-18) ดังนั้นผู3วิจัยจึงทําการวิเคราะห5ข3อมูลเบื้องต3นเพื่อตรวจสอบลักษณะของ ข3อมูล ดังรายละเอียดตอไปนี้ 1.1 การตรวจสอบลักษณะการแจกแจงของตัวแปร ในการวิเคราะห5โมเดลสมการโครงสร3าง (Structural Equation Model : SEM) มีข3อตกลงเบื้องต3นวา การแจกแจงของตัวแปรโดยเฉพาะตัวแปรตามต3องเปนการแจกแจงแบบโค3งปกติ จากการทดสอบการแจกแจงเปนโค3งปกติของตัวแปรสังเกตได3ทั้ง 24 ตัวแปร พบวา ตัวแปรสังเกตได3 สวนใหญไมมีนัยสําคัญทางสถิติที่ระดับ .05 แสดงวาตัวแปรเหลานี้มีการแจกแจงเปนโค3งปกติ ตรวจสอบ ตัวแปรที่มีการแจกแจงแบบปกติ ผู3วิจัยทําการตรวจสอบโดยใช3 Normal Probability Plot ซึ่งเปน กราฟที่ใช3ตรวจสอบการแจกแจงแบบปกติของข3อมูลโดยถ3าข3อมูลมีการแจกแจงแบบปกติ คาของข3อมูล จะอยูรอบๆ เส3นตรง (กัลยา วานิชย5บัญชา. 2551 : 35) ผลการวิเคราะห5คาของข3อมูลอยูรอบๆ เส3นตรงทุกตัวแปร (ภาคผนวก ฉ ) จึงสรุปได3วาคาความคลาดเคลื่อนมีการแจกแจงเข3าใกล3ปกติ ซึ่งเปนไปตามเงื่อนไขของการวิเคราะห5ข3อมูล 1.2 การตรวจสอบความสัมพันธ5เชิงเส3นตรง (Linearity) ของตัวแปร สถิติวิเคราะห5ทุกประเภทที่มีพื้นฐานมาจากการวิเคราะห5คาสหสัมพันธ5มีข3อตกลง เบื้องต3นวาความสัมพันธ5ระหวางตัวแปร (Inter–Correlation) แตละคูต3องเปนเส3นตรง จากการทดสอบ นัยสําคัญของคาสัมประสิทธิ์สหสัมพันธ5ระหวางตัวแปรสังเกตได3 พบวาตัวแปรสวนใหญมีความสัมพันธ5 กันอยางมีนัยสําคัญทางสถิติที่ระดับ .01 (รายละเอียดในตาราง 7) แสดงวาตัวแปรมีความสัมพันธ5เชิง เส3นตรง 1.3 การตรวจสอบข3อมูลสุดโตง (Extremes or Outliers) ตัวแปรที่มีคาของตัวแปรคาหนึ่งคาใดสูงมาก หรือต่ํามากผิดปกติ แสดงวามีข3อมูล สุดโตง วิธีการตรวจสอบข3อมูลสุดโตงอาจทําไปพร3อมกับการตรวจสอบลักษณะการแจกแจงของตัวแปร และการตรวจสอบลักษณะความสัมพันธ5ของตัวแปร ตรวจสอบโดยใช3แผนภาพ Box Plot จากการ ตรวจสอบข3อมูลสุดโตงในภาพประกอบ 13 (รายละเอียดในภาคผนวก ช) ซึ่งเปนตัวแปรที่มีลักษณะ ข3อมูลสุดโตงมากที่สุด และจากการวิเคราะห5ข3อมูลเปรียบเทียบเมื่อมีและไมมีข3อมูลสุดโตงผลการ วิเคราะห5ไมแตกตางกันมากนักจึงคงข3อมูลสุดโตงนั้นไว3 1.4 ผลการวิเคราะห5คาสถิติพื้นฐานของตัวแปร การวิเคราะห5คาสถิติพื้นฐานของตัวแปรที่ใช3ในโมเดล มีจุดมุงหมายเพื่อให3ทราบ ลักษณะการกระจายและการแจกแจงของตัวแปรสังเกตได3แตละตัว โดยคาสถิติที่ใช3ได3แก คาเฉลี่ย คาสวนเบี่ยงเบนมาตรฐาน คาความเบ3 และคาความโดง เนื่องจากผลการตรวจสอบลักษณะการแจกแจง ของตัวแปรกอนนําไปวิเคราะห5ด3วยโปรแกรมสําเร็จรูป ปรากฏดังตาราง 6
  • 104.
    90 ตาราง 6 ผลการวิเคราะห5คาสถิติพื้นฐานของตัวแปรสังเกตได3ที่ใช3ในการศึกษาปจจัยที่สงผลตอ การพัฒนาตนเองของนักเรียนมัธยมศึกษาป%ที่ 6 สํานักงานเขตพื้นที่การศึกษามัธยมศึกษา เขต 19 (เลย - หนองบัวลําภู) (n=807) ตัวแปร ตัวแปรสังเกตได3 MIN MAX X S CV SK KU การควบคุมตนเอง (SCT) GOA 3.000 5.000 4.229 .497 0.118 -.306 -.501 RES 3.000 5.000 4.254 .533 0.125 -.466 -.438 STE 3.000 5.000 4.213 .538 0.128 -.352 -.391 PAT 3.000 5.000 4.450 .505 0.113 -.773 -.012 การรับรู3ความสามารถ ของตนเอง (SEF) EAT 3.000 5.000 4.333 .489 0.113 -.178 -.606 VEX 3.000 5.000 4.233 .486 0.115 -.265 -.354 VPE 3.000 5.000 4.422 .629 0.142 -.822 -.282 PST 3.000 5.000 4.284 .634 0.148 -.475 -.687 การพัฒนาตนเอง (SDL) PDE 3.000 5.000 4.288 .565 0.132 -.460 -.476 SDE 3.000 5.000 4.354 .511 0.117 -.457 -.476 LDE 3.330 5.000 4.452 .487 0.109 -.391 -.931 การมองโลกในแงดี (OPT) PEM 3.000 5.000 4.273 .555 0.130 -.280 -.718 PEV 2.330 5.000 4.060 .638 0.157 -.525 .126 PES 3.000 5.000 4.164 .580 0.139 -.194 -.736 ความเชื่อมั่นในตนเอง (SCF) EST 3.000 5.000 4.185 .665 0.159 -.379 -.921 COU 2.670 5.000 4.210 .697 0.166 -.578 -.597 SRE 2.670 5.000 4.314 .656 0.152 -.709 -.385 AUT 2.670 5.000 4.222 .679 0.161 -.618 -.384 ADA 3.000 5.000 4.107 .641 0.156 -.152 -.884 แรงจูงใจใฝnสัมฤทธิ์ (AMO) ASP 3.000 5.000 4.338 .515 0.119 -.598 -.125 ENE 3.000 5.000 3.916 .554 0.141 -.005 -.481 MRT 3.000 5.000 4.259 .517 0.121 -.362 -.269 PLA 3.000 5.000 4.117 .547 0.133 -.186 -.620 UOC 3.000 5.000 4.401 .510 0.116 -.585 -.261 ตาราง 6 พบวา ตัวแปรสังเกตได3 ผลการวิเคราะห5พบวาคาเฉลี่ยอยูในระดับมาก และ สวนเบี่ยงเบนมาตรฐานมีคาใกล3เคียงกัน โดยตัวแปรที่มีคาเฉลี่ยสูงสุด คือ การเรียน (LDE) (X =4.454) รองลงมา คือตัวแปร ความมีเอกลักษณ5 (UOC) (X =4.401) สวนตัวแปรที่มีคาเฉลี่ย ต่ําสุดคือ ความกระตือรือร3น (ENE) (X =3.916) รองลงมาคือ ความครอบคลุม (PEV) (X =4.060) เมื่อพิจารณาผลการวิเคราะห5สวนเบี่ยงเบนมาตรฐาน พบวา มีคาตั้งแต .486 ถึง .697 คือ มีคาน3อยกวา 1 (บุญชม ศรีสะอาด. 2542 : 94) อยูในเกณฑ5ที่เหมาะสม กลาวคือ ข3อมูลที่ได3มี การกระจายใกล3เคียงกัน โดยตัวแปรที่มีสวนเบี่ยงเบนมาตรฐานสูงสุด คือ ความกล3า (COU) (S=.697)
  • 105.
    91 รองลงมา คือ ความเปนตัวของตัวเอง(AUT) (S=.679) สวนตัวแปรที่มีสวนเบี่ยงเบนมาตรฐาน ต่ําสุดคือ การได3เห็นตัวแบบประสบความสําเร็จ (VEX) (S=.486) รองลงมาคือ ประสบการณ5จากความสําเร็จ (EAT) (S=.489) สําหรับการแจกแจงของตัวแปร พบวา ตัวแปรโดยสวนใหญมีความเบ3 (Skewness) และ ความโดง (Kurtosis) เข3าใกล3 (0) โดยคาความเบ3ของตัวแปรสังเกตได3มีคาอยูระหวาง -.822 ถึง -.005 และความโดง มีคาอยูระหวาง -.931 ถึง .126 ซึ่งอยูในเกณฑ5ยอมรับได3 แสดงวาข3อมูลมีลักษณะ การแจกแจงใกล3เคียงกับโค3งปกติ โดย West, Finch และ Curran (1995) และ (Kline. 2005 : 50) ให3ข3อแนะนําเกี่ยวกับการพิจารณาคาความเบ3และความโดงของตัวแปรวา คาความเบ3ที่มากกวา 2.00 และคาความโดงที่มากกวา 7.00 ลักษณะการแจกแจงข3อมูลไมเปนโค3งปกติ และการเก็บข3อมูล กลุมตัวอยางในการวิจัยในครั้งนี้มีขนาดที่ใหญเพียงพอให3ข3อมูลมีแนวโน3มการแจกแจงเขาใกล3การแจก แจงของโค3งปกติ จึงสรุปได3วา ข3อมูลมีลักษณะการแจกแจงใกล3เคียงกับโค3งปกติ ซึ่งเปนไปตามข3อตกลง เบื้องต3น ตอนที่ 2 การวิเคราะห5คาสัมประสิทธิ์สหสัมพันธ5แบบ Pearson ของตัวแปร วิเคราะห5หาคาสัมประสิทธิ์สหสัมพันธ5ภายใน (Inter Correlation) ระหวางตัวแปรสังเกตได3จํานวน 24 ตัวแปร ซึ่งผลการวิเคราะห5หาคาสัมประสิทธิ์สหสัมพันธ5ภายในปรากฏ ดังตาราง 7 ตาราง 7 ผลการวิเคราะห5ความสัมพันธ5ระหวางตัวแปรสังเกตได3ทั้งหมดที่ใช3ในการวิจัย (n = 807) ตัวแปร GOA RES STE PAT EAT VEX VPE PST PDE SDE LDE PEM GOA 1.000 RES .683** 1.000 STE .582** .632** 1.000 PAT .499** .595** .473** 1.000 EAT .341** .399** .387** .426** 1.000 VEX .294** .363** .353** .384** .521** 1.000 VPE .145** .214** .130** .214** .222** .478** 1.000 PST .119** .167** .082** .195** .224** .470** .760** 1.000 PDE .298** .340** .308** .370** .445** .459** .226** .397** 1.000 SDE .400** .446** .367** .486** .501** .447** .249** .310** .594** 1.000 LDE .469** .568** .464** .566** .536** .454** .274** .225** .450** .644** 1.000 PEM .426** .440** .403** .480** .466** .491** .213** .255** .527** .588** .659** 1.000 PEV .365** .423** .356** .405** .394** .458** .166** .251** .464** .460** .495** .624** PES .437** .485** .443** .471** .485** .526** .231** .270** .537** .589** .616** .710** EST .267** .232** .259** .293** .367** .419** .169** .266** .529** .394** .333** .429** COU .300** .273** .305** .274** .394** .428** .224** .265** .598** .429** .417** .476** SRE .300** .268** .306** .327** .381** .422** .223** .245** .557** .459** .468** .463** AUT .213** .173** .227** .224** .288** .404** .186** .236** .544** .382** .316** .380**
  • 106.
    92 ตาราง 7 (ตอ) ตัวแปรGOA RES STE PAT EAT VEX VPE PST PDE SDE LDE PEM ADA .266** .276** .284** .351** .382** .570** .174** .269** .572** .481** .380** .500** ASP .513** .657** .555** .628** .394** .396** .179** .193** .397** .487** .561** .532** ENE .465** .519** .562** .356** .373** .330** .076** .117** .261** .266** .305** .306** MRT .539** .584** .538** .544** .502** .417** .195** .172** .389** .519** .536** .470** PLA .448** .427** .399** .373** .507** .423** .182** .183** .312** .397** .413** .320** UOC .368** .477** .458** .497** .612** .499** .272** .257** .435** .564** .538** .462** ตัวแปร PEV PES EST COU SRE AUT ADA ASP ENE MRT PLA UOC PEV 1.000 PES .738** 1.000 EST .427** .510** 1.000 COU .437** .531** .806** 1.000 SRE .379** .487** .739** .741** 1.000 AUT .328** .410** .701** .791** .755** 1.000 ADA .514** .593** .607** .600** .562** .631** 1.000 ASP .489** .507** .306** .301** .296** .254** .388** 1.000 ENE .358** .402** .230** .227** .209** .153** .268** .465** 1.000 MRT .404** .504** .299** .292** .312** .252** .341** .621** .575** 1.000 PLA .341** .390** .325** .328** .307** .245** .345** .389** .482** .550** 1.000 UOC .416** .524** .344** .369** .340** .279** .406** .506** .331** .574** .554** 1.000 Bartlett’s test of sphericity = 13532.50 df = 276 Kaiser-Meyer-Olkin Measure of sampling adequacy = 0.932 , * p< .05 , ** p < .01 จากตาราง 5 ผลการตรวจสอบคาสัมประสิทธิ์สหสัมพันธ5ระหวางตัวแปร พบวา ตัวแปรสวน ใหญมีความสัมพันธ5กันอยางมีนัยสําคัญทางสถิติที่ระดับ .01 โดยมีความสัมพันธ5ทางบวก การวิเคราะห5 เปนสวนหนึ่งในการศึกษาความสอดคล3องกลมกลืนของโมเดลสมมุติฐานกับข3อมูลเชิงประจักษ5โดยศึกษา ความสัมพันธ5ระหวางตัวแปรสังเกตได3 จํานวน 24 ตัว วามีความสัมพันธ5กันหรือไม มีทิศทางและ ขนาดของความสัมพันธ5อยางไรโดยใช3สถิติในการวิเคราะห5 คือ คาสัมประสิทธิ์สหสัมพันธ5แบบ Pearson (Pearson’s Product Moment Correlation) ผลการวิเคราะห5พบวา ความสัมพันธ5ของตัวแปรทั้งหมด มีคาแตกตางจากศูนย5อยางมี นัยสําคัญทางสถิติที่ระดับ .01 มีคาแตกตางจากศูนย5อยางมี มีคา Bartlett's Test มีคา Approx. Chi – Square = 13532.50, df = 276, p = 0.000, Kaiser – Meyer - Olkin Measure of sampling adequacy : KMO = 0.932 แสดงวาข3อมูลมีลักษณะเปนกลุมสามารถนํามาวิเคราะห5ได3
  • 107.
    93 ตอนที่ 3 การวิเคราะห5องค5ประกอบเชิงยืนยันของโมเดลการวัด โมเดลการวัด(Measurement Model) และโมเดลสมการโครงสร3าง (Structural equation model) ซึ่งโมเดลการวัดจะทําให3โปรแกรมสําเร็จรูปสามารถแก3ปญหาความคลาดเคลื่อนใน การวัด (Measurement error) ได3 โดยใช3หลักการวิเคราะห5องค5ประกอบเชิงยืนยัน หรือการวิเคราะห5 ยืนยันองค5ประกอบ (Confirmatory Factor Analysis) ในการประมาณคาตัวแปรแฝงตามโมเดลแสดง ความสัมพันธ5โครงสร3างเชิงเส3นระหวางตัวแปรสังเกตได3กับตัวแปรแฝง แล3วใช3ตัวแปรแฝงไปวิเคราะห5 ข3อมูล นอกจากนั้นการวิเคราะห5องค5ประกอบยังเปนวิธีการทางสถิติที่ใช3ศึกษาความสัมพันธ5 ระหวางตัวแปรสังเกตได3ชุดหนึ่งวาเกิดจากตัวแปรแฝงหรือคุณลักษณะแฝงที่เปนองค5ประกอบอยางไร แตในการวิเคราะห5องค5ประกอบนั้นนักวิจัยจะต3องมีสมมติฐานการวิจัยที่แนนอนวามีองค5ประกอบใดสง อิทธิพลไปยังตัวแปรสังเกตได3 หรือนักวิจัยต3องทราบโครงสร3างความสัมพันธ5ระหวางตัวแปรและ กําหนดเปนโมเดลการวิจัยไว3 ดังนั้นการวิเคราะห5องค5ประกอบก็คือ การตรวจสอบวาข3อมูลเชิงประจักษ5 สอดคล3องกับโมเดลการวิจัย และการวิเคราะห5องค5ประกอบเชิงยืนยันยังเปนการวิเคราะห5ที่มีประโยชน5 มากในการตรวจสอบความตรงเชิงโครงสร3าง (Construct Validity) (นงลักษณ5 วิรัชชัย. 2542 : 10, 37-39) ดังนั้นในการวิจัยครั้งนี้ผู3วิจัยจึงทําการวิเคราะห5องค5ประกอบเชิงยืนยันของโมเดลการวัด เพื่อตรวจสอบวาข3อมูลเชิงประจักษ5สอดคล3องกับโมเดลการวัดหรือไม และตรวจสอบความตรงเชิง โครงสร3าง (Construct Validity) ของตัวแปรแฝง เพื่อให3แนใจวาตัวแปรสังเกตได3ในแตละตัวแปรแฝง นั้นเปนตัวบงชี้หรือตัวชี้วัดที่เหมาะสมสําหรับการวัดตัวแปรแฝงที่กําหนดไว3 โดยคาที่ใช3ในการตรวจสอบ ความตรงเชิงโครงสร3าง คือ คาน้ําหนักองค5ประกอบควรมีคามากกวา .30 (ล3วน สายยศ และ อังคณา สายยศ. 2543 : 264) ผู3วิจัยใช3การวิเคราะห5องค5ประกอบเชิงยืนยัน (Confirmatory Factory Analysis) วิเคราะห5ความตรงเชิงโครงสร3างของตัวแปรองค5ประกอบในโมเดลการวิจัย (รายละเอียดเพิ่มเติม ภาคผนวก ง)
  • 108.
    94 ตาราง 8 คาสถิติผลการวิเคราะห5องค5ประกอบเชิงยืนยันของโมเดลการวัดตัวแปรแฝง ตัวแปรแฝง ตัวแปรสังเกต ได3 น้ําหนัก องค5ประกอบ (SC) ความคลาดเคลื่อน มาตรฐาน (SE) สัมประสิทธิ์ การตัดสินใจ (R2 ) การควบคุมตนเอง (SCT) GOA0.636 20.230 0.636 RES 0.709 31.118 0.709 STE 0.932 44.908 0.932 PAT 0.674 28.489 0.674 การรับรู3ความสามารถ ของตนเอง (SEF) EAT 0.696 32.914 0.696 VEX 0.671 30.103 0.671 VPE 0.814 40.924 0.814 PST 0.744 33.832 0.744 การพัฒนาตนเอง (SDL) PDE 0.826 70.089 0.826 SDE 0.911 49.204 0.911 LDE 0.597 24.421 0.597 การมองโลก ในแงดี (OPT) PEM 0.826 70.089 0.826 PEV 0.911 49.204 0.911 PES 0.597 24.421 0.597 ความเชื่อมั่นในตนเอง (SCF) EST 0.536 19.836 0.536 COU 0.441 14.810 0.441 SRE 0.962 68.805 0.962 AUT 0.769 46.543 0.769 ADA 0.652 30.918 0.652 แรงจูงใจใฝnสัมฤทธิ์ (AMO) ASP 0.799 41.460 0.799 ENE 0.840 47.694 0.840 MRT 0.628 24.155 0.628 PLA 0.688 30.153 0.688 UOC 0.449 14.970 0.449 จากตาราง 8 พบวา โมเดลการวัดตัวแปรแฝง ได3แก การวัดการควบคุมตนเอง การวัดการรับรู3ความสามารถของตนเอง การวัดการพัฒนาตนตนเอง การวัดการมองโลกในแงดี การวัดความเชื่อมั่นในตนเอง การวัดแรงจูงใจใฝnสัมฤทธิ์ โดยมีคาสัมประสิทธิ์น้ําหนักองค5ประกอบของ ตัวแปรสังเกตได3ของตัวแปรแฝงทุกตัวมีนัยสําคัญทางสถิติที่ระดับ .01 โดยน้ําหนักองค5ประกอบของ ตัวแปรสังเกตได3โมเดลการวัดการควบคุมตนเอง มีคาตั้งแต 0.636 ถึง 0.932 โมเดลการวัดการรับรู3 ความสามารถของตนเอง มีคาตั้งแต 0.671 ถึง 0.814 โมเดลการวัดการพัฒนาตนตนเอง มีคาตั้งแต
  • 109.
    95 0.597 ถึง 0.911โมเดลการวัดการมองโลกในแงดี มีคาตั้งแต 0.597 ถึง 0.911 โมเดลการวัดความ เชื่อมั่นในตนเอง มีคาตั้งแต 0.441 ถึง 0.962 โมเดลการวัดแรงจูงใจใฝnสัมฤทธิ์ มีคาตั้งแต 0.449 ถึง 0.799 โดยคาน้ําหนักองค5ประกอบควรมีคามากกวา .30 (ล3วน สายยศ และ อังคณา สายยศ. 2543 : 264) ทุกตัวแปร แสดงวามีความตรงเชิงโครงสร3างเหมาะสมกับข3อมูลเชิงประจักษ5สอดคล3องกับโมเดล การวัด สําหรับคาสัมประสิทธิ์ความเที่ยงของตัวแปรสังเกตได3ทุกคา ซึ่งวัดจากคา สัมประสิทธิ์การ ตัดสินใจ (R2 ) แสดงให3เห็นถึงความแปรปรวนรวมของตัวแปรสังเกตได3กับตัวแปรแฝงอยูในระดับสูง สําหรับการตรวจสอบความตรงของโมเดลการวัดในแตละโมเดล สามารถพิจารณา ได3จากดัชนีความสอดคล3องของโมเดลกับข3อมูลเชิงประจักษ5 ดังตาราง 9 ตาราง 9 ดัชนีที่ใช3ตรวจสอบความตรงของโมเดลการวัดตัวแปรแฝง โมเดลการวัด 2 χ df 2 χ /df p CFI TLI RMSEA SCT 1.667 1 1.667 0.196 0.999 0.996 0.029 SEF 3.314 2 1.657 0.190 0.999 0.997 0.029 OPT 0.880 1 0.880 0.348 1.000 1.001 0.000 SCF 5.876 4 1.469 0.208 0.999 0.997 0.024 AMO 7.542 4 1.885 0.109 0.998 0.993 0.033 SDL 0.667 1 0.667 0.414 1.000 1.002 0.000 จากตาราง 9 เมื่อ คา 2 χ / df ที่ใช3พิจารณาความสอดคล3องของข3อมูลเชิงประจักษ5 ตามสมมุติฐานหลัก หรือความตรงของโมเดล พบวา โมเดลการวัดการควบคุมตนเอง โมเดลการวัด การรับรู3ความสามารถของตนเอง โมเดลการวัดการพัฒนาตนตนเอง โมเดลการวัดการมองโลกในแงดี โมเดลการวัดความเชื่อมั่นในตนเอง โมเดลการวัดแรงจูงใจใฝnสัมฤทธิ์ มีคาน3อยกวา 2 ทุกโมเดล แสดงวา ทุกโมเดลมีความตรงเชิงโครงสร3าง หรือมีความสอดคล3องของข3อมูลเชิงประจักษ5
  • 110.
    96 ตอนที่ 4 การวิเคราะห5รูปแบบความสัมพันธ5โครงสร3างเชิงสาเหตุของปจจัยที่สงผลตอ การพัฒนาตนเอง 4.1การตรวจสอบความสอดคล3องของรูปแบบผลการวิเคราะห5แสดงคาสัมประสิทธิ์ สหสัมพันธ5ระหวางตัวแปร และคาสัมประสิทธิ์อิทธิพลของปจจัยที่สงผลตอการพัฒนาตนเอง ของ นักเรียนมัธยมศึกษาป%ที่ 6 สํานักงานเขตพื้นที่การศึกษามัธยมศึกษา เขต 19 (เลย - หนองบัวลําภู) ตามสมมติฐาน ผลการวิเคราะห5ปรากฏดังตาราง 10 ตาราง 10 คาสถิติความสอดคล3องของโมเดลตามสมมติฐานกับข3อมูลเชิงประจักษ5ในภาพรวม ดัชนี เกณฑ5 คาสถิติ การพิจารณา 2 χ /df < 2 3281.861/242=13.561 ไมผานเกณฑ5 p value >.05 0.000 ไมผานเกณฑ5 RMSEA <.05 0.125 ไมผานเกณฑ5 TLI >.90 0.777 ไมผานเกณฑ5 CFI >.90 0.804 ไมผานเกณฑ5 2 χ =3281.861, df=242, 2 χ /df=13.561, p =0.000, CFI=0.804,TLI=777, RMSEA=0.125 ภาพประกอบ 5 โมเดลเชิงสาเหตุของปจจัยที่สงผลตอการพัฒนาตนเอง ของนักเรียนมัธยมศึกษาป%ที่ 6 สํานักงานเขตพื้นที่การศึกษามัธยมศึกษา เขต 19 (เลย - หนองบัวลําภู) ตามสมมติฐาน
  • 111.
    97 ผลการวิเคราะห5แสดงคาสัมประสิทธิ์สหสัมพันธ5ระหวางตัวแปร และคาสัมประสิทธิ์ อิทธิพลของโมเดลเชิงสาเหตุของปจจัยที่สงผลตอการพัฒนาตนเอง ของนักเรียนมัธยมศึกษาป%ที่6 สํานักงานเขตพื้นที่การศึกษามัธยมศึกษา เขต 19 (เลย - หนองบัวลําภู) ตามสมมติฐาน แสดงดังตาราง 11 ตาราง 11 ผลการวิเคราะห5แสดงคาสัมประสิทธิ์สหสัมพันธ5ระหวางตัวแปร และคาสัมประสิทธิ์ อิทธิพลของปจจัยที่สงผลตอการพัฒนาตนเอง ของนักเรียนมัธยมศึกษาป%ที่ 6 สํานักงานเขตพื้นที่การศึกษามัธยมศึกษา เขต 19 (เลย - หนองบัวลําภู) ตามสมมติฐาน ตัวแปรตาม SCT (E1) SEF (E2) SDL (E3) ตัวแปรอิสระ TE IE DE TE IE DE TE IE DE OPT (K1) - - - - - - 0.322 - 0.322 SCF (K2) 0.442 - 0.442 - - - 0.347 0.085 0.263 AMO (K3) - - - 0.814 - 0.814 0.389 0.129 0.560 SCT (E1) - - - - - - 0.191 - 0.191 SEF (E2) - - - - - - 0.158 - 0.158 2 χ =3281.861, df=242, 2 χ /df=13.561, RMSEA=0.125 จากตาราง 11 พบวา ผลการวิเคราะห5เพื่อตรวจสอบความกลมกลืนของปจจัยที่สงผลตอ การพัฒนาตนเอง ของนักเรียนมัธยมศึกษาป%ที่ 6 สํานักงานเขตพื้นที่การศึกษามัธยมศึกษา เขต 19 (เลย - หนองบัวลําภู) ตามสมมติฐานกับข3อมูลเชิงประจักษ5 โดยมีตัวแปรตาม คือ การพัฒนาตนเอง (SDL) ตัวแปรอิสระ ได3แก การมองโลกในแงดี (OPT) ความเชื่อมั่นในตนเอง (SCF) แรงจูงใจใฝnสัมฤทธิ์ (AMO) การรับรู3ความสามารถของตนเอง (SEF) การควบคุมตนเอง (SCT) เมื่อพิจารณาคาสถิติที่ใช3 ตัวแปร GOA RES STE PAT EAT VEX VPE PST PDE SDE R2 0.690 0.784 0.586 0.523 0.489 0.706 0.340 0.339 0.530 0.626 ตัวแปร LDE PEM PEV PES EST COU SRE AUT ADA ASP R2 0.615 0.656 0.658 0.819 0.753 0.902 0.824 0.751 0.500 0.586 ตัวแปร ENE MRT PLA UOC R2 0.332 0.615 0.506 0.638 ตัวแปร SCT SEF SDL R2 0.195 0.662 0.896 เมทริกซ5สหสัมพันธ5ระหวางตัวแปรแฝง SDL SCT SEF OPT SCF AMO SDL 1.000 SCT 0.489 1.000 SEF 0.730 0.197 1.000 OPT 0.841 0.273 0.638 1.000 SCF 0.759 0.442 0.445 0.617 1.000 AMO 0.831 0.242 0.814 0.784 0.547 1.000
  • 112.
    98 ตรวจสอบความกลมกลืนระหวางโมเดลกับข3อมูลเชิงประจักษ5 พบวา โมเดลไมมีความกลมกลืนกับ ข3อมูลเชิงประจักษ5โดยพิจารณาจากคาไคกําลังสอง ( 2 χ ) ซึ่งมีคาเทากับ 3281.861 ที่คาองศาเสรี (df) เทากับ 242 มีคาใกล3เคียงกัน คาความนาจะเปน (p) เทากับ 0.000 ดัชนีอัตราสวนคาไค กําลังสองสัมพันธ5 ( 2 χ / df) เทากับ 13.561 และดัชนีรากกําลังสองเฉลี่ยของความคลาดเคลื่อนใน การประมาณคา (RMSEA) เทากับ 0.125 แสดงวาโมเดลตามสมมุติฐานไมมีความกลมกลืนกับข3อมูล เชิงประจักษ5 ผู3วิจัยจึงดําเนินการปรับโมเดลโดยพิจารณาความเปนไปได3ในเชิงทฤษฎี และอาศัยดัชนี ปรับโมเดล (Model Modification Indices: MI) โดยดัชนี MI จะทําให3ทราบวาหากเพิ่มพารามิเตอร5ใน โมเดลแล3วทําการวิเคราะห5ใหม คาไคกําลังสอง จะลดลงเทากับคา MI โดยปรับคาที่โปรแกรมเสนอแนะ หรือคาที่มากที่สุดกอนเปนแนวทางในการปรับโมเดลจนกวาจะได3ข3อมูลที่สอดคล3องกับข3อมูลเชิง ประจักษ5 และเนื่องจากในการวิเคราะห5ความสัมพันธ5โครงสร3างเชิงสาเหตุในการวิจัยครั้งนี้เปนการ วิเคราะห5อิทธิพลที่มีความคลาดเคลื่อนในการวัดตัวแปร และความคลาดเคลื่อนมีความสัมพันธ5กันได3 (นงลักษณ5 วิรัชชัย. 2542 : 208) ผู3วิจัยจึงปรับโมเดลโดยกําหนดให3ความคลาดเคลื่อน (Error) ของ ตัวแปรสังเกตได3มีความสัมพันธ5กัน เชน กําหนดให3ความคลาดเคลื่อนของตัวแปร PST และ VPE, PDE และ PST, LDE และ PDE ,EAT และ UOC มีความสัมพันธ5กัน เปนต3น (ภาคผนวก ซ) 2. โมเดลเชิงสาเหตุของปจจัยที่สงผลตอการพัฒนาตนเอง ของนักเรียนมัธยมศึกษาป%ที่ 6 สํานักงานเขตพื้นที่การศึกษามัธยมศึกษา เขต 19 (เลย - หนองบัวลําภู) ที่ปรับแก3แล3ว แสดงได3ดังภาพประกอบ 6 ตาราง 12 คาสถิติความสอดคล3องของโมเดลตามสมมติฐานกับข3อมูลเชิงประจักษ5 ในภาพรวม (หลังปรับโมเดล) ดัชนี เกณฑ5 คาสถิติ การพิจารณา 2 χ /df < 2 273.172/240= 1.138 ผานเกณฑ5 p value >.05 0.069 ผานเกณฑ5 RMSEA <.05 0.013 ผานเกณฑ5 TLI >.90 0.998 ผานเกณฑ5 CFI >.90 0.998 ผานเกณฑ5
  • 113.
    99 SDE PDE LDE SDL 0.960** 0.852** 0.201** 0.146** 0.300** 0.098 0.185** (0.902) 0.727 0.801 0.845 0.437 0.359 0.321 UOCPLAMRTENEASP AMO 0.364 0.6750.408 0.593 0.405 0.7710.6380.7700.5700.797 PEM PEV PES OPT 0.816 0.753 0.861 0.259 0.433 0.333 0.503** GOA STE PATRES SCT 0.429 0.311 0.374 0.424 0.747 (0.253) 0.756 0.830 0.7590.791 EAT VPE PSTVEX SEF (0.725) 0.275 0.477 0.406 0.844 0.846 0.3930.3950.7710.723 0.255** SRE COU EST AUT ADA SCF 0.846 0.919 0.942 0.857 0.914 0.248 0.113 0.155 0.265 0.457 2 χ =273.172, df=240, 2 χ /df=1.138, p=0.069, CFI=0.998,TLI=0.998,RMSEA=0.013 ภาพประกอบ 6โมเดลเชิงสาเหตุของปจจัยที่สงผลตอการพัฒนาตนเอง ของนักเรียนมัธยมศึกษา ป%ที่ 6 สํานักงานเขตพื้นที่การศึกษามัธยมศึกษา เขต 19 (เลย - หนองบัวลําภู) ที่ปรับแก3แล3ว
  • 114.
    100 ตาราง 13 ผลการวิเคราะห5แสดงคาสัมประสิทธิ์สหสัมพันธ5ระหวางตัวแปรและคาสัมประสิทธิ์ อิทธิพลของโมเดลเชิงสาเหตุของปจจัยที่สงผลตอการพัฒนาตนเอง ของนักเรียน มัธยมศึกษาป%ที่ 6 สํานักงานเขตพื้นที่การศึกษามัธยมศึกษา เขต 19 (เลย - หนองบัวลําภู) ที่ปรับแก3แล3ว ตัวแปรตาม SCT (E1) SEF (E2) SDL (E3) ตัวแปรอิสระ TE IE DE TE IE DE TE IE DE OPT (K1) - - - - - - 0.185 - 0.185 SCF (K2) 0.503 - 0.503 - - - 0.328 0.073 0.255 AMO (K3) - - - 0.852 - 0.825 0.457 0.255 0.201 SCT (E1) - - - - - - 0.146 - 0.146 SEF (E2) - - - - - - 0.300 - 0.300 2 χ =273.172, df=240, 2 χ /df=1.138, p=0.069, RMSEA=0.013 จากตาราง 13 การตรวจสอบความกลมกลืนของโมเดลอิทธิพลของปจจัยที่สงผลตอ การพัฒนาตนเอง ของนักเรียนมัธยมศึกษาป%ที่ 6 สํานักงานเขตพื้นที่การศึกษามัธยมศึกษา เขต 19 (เลย - หนองบัวลําภู) ที่สร3างขึ้นกับข3อมูลเชิงประจักษ5 พบวา โมเดลมีความกลมกลืนกับข3อมูล เชิงประจักษ5 โดยพิจารณาจากคาไคกําลังสอง ( 2 χ ) ซึ่งมีคาเทากับ 273.172 ที่คาองศาเสรี (df) เทากับ 240 มีคาใกล3เคียงกัน คาความนาจะเปน (p) เทากับ 0.069 ดัชนีอัตราสวนคาไคกําลังสอง สัมพันธ5 ( 2 χ / df) เทากับ 1.138 และดัชนีรากกําลังสองเฉลี่ยของความคลาดเคลื่อนในการประมาณ คา (RMSEA) เทากับ 0.013 แสดงวาโมเดลตามสมมุติฐานมีความกลมกลืนกับข3อมูลเชิงประจักษ5 ตัวแปร GOA RES STE PAT EAT VEX VPE PST PDE SDE R2 0.571 0.589 0.626 0.576 0.523 0.594 0.156 0.154 0.563 0.641 ตัวแปร LDE PEM PEV PES EST COU SRE AUT ADA ASP R2 0.679 0.667 0.567 0.741 0.716 0.887 0.804 0.735 0.543 0.636 ตัวแปร ENE MRT PLA UOC R2 0.325 0.592 0.407 0.595 ตัวแปร SCT SEF SDL R2 0.253 0.725 0.902 เมทริกซ5สหสัมพันธ5ระหวางตัวแปรแฝง SDL SCT SEF OPT SCF AMO SDL 1.000 SCT 0.814 1.000 SEF 0.881 0.746 1.000 OPT 0.847 0.705 0.807 1.000 SCF 0.732 0.503 0.594 0.630 1.000 AMO 0.874 0.921 0.852 0.781 0.542 1.000
  • 115.
    101 เมื่อพิจารณาสัมประสิทธิ์การตัดสินใจในวัดตัวแปรสังเกตได3 มีคาอยูระหวาง 0.154ถึง 0.887 ตัวแปรที่มีสัมประสิทธิ์การตัดสินใจสูงสุด ได3แก ความกล3า (COU) เทากับ 0.887 ตัวแปรที่มี สัมประสิทธิ์การตัดสินใจต่ําสุด ได3แก สภาวะทางกาย (PST) เทากับ 0.154 เมื่อพิจารณาคาสัมประสิทธิ์การพยากรณ5 (R2 ) พบวา การพัฒนาตนเอง (SDL) มีคาเทากับ 0.902 แสดงวา การควบคุมตนเอง (SCT) การรับรู3ความสามารถของตนเอง (SEF) การมอง โลกในแงดี (OPT) ความเชื่อมั่นในตนเอง (SCF) แรงจูงใจใฝnสัมฤทธิ์ (AMO) สามารถรวมกันอธิบาย ความแปรปรวนของการพัฒนาตนเอง (SDL) ได3ร3อยละ 90.20 เมื่อพิจารณาเมตริกซ5สัมประสิทธิ์สหสัมพันธ5ระหวางตัวแปรแฝง พบวามีคาความสัมพันธ5 เปนบวกทั้งหมด มีคาระหวาง 0.542 ถึง 0.921 โดยความสัมพันธ5ระหวางตัวแปร แรงจูงใจใฝnสัมฤทธิ์ (AMO) กับ การควบคุมตนเอง (SCT) มีคาสูงสุด เทากับ 0.921 รองลงมา คือความสัมพันธ5ระหวางตัว แปรการรับรู3ความสามารถของตนเอง (SEF) กับ การพัฒนาตนเอง (SDL) มีคาเทากับ 0.881 ผลการศึกษาตัวแปรสาเหตุที่มีอิทธิพลทั้งทางตรงและทางอ3อมตอกับการพัฒนาตนเอง ของนักเรียนมัธยมศึกษาป%ที่ 6 สํานักงานเขตพื้นที่การศึกษามัธยมศึกษา เขต 19 (เลย - หนองบัวลําภู) ได3รับอิทธิพลรวมสูงสุดเรียงจากมากไปหาน3อย แรงจูงใจใฝnสัมฤทธิ์ (AMO) (0.457) ความเชื่อมั่นใน ตนเอง (SCF) (0.328) การรับรู3ความสามารถของตนเอง (SEF) (0.300) การมองโลกในแงดี (OPT) (0.185) การควบคุมตนเอง (SCT) (0.146) ตามลําดับ โดยตัวแปรเชิงสาเหตุทั้งหมดรวมอธิบาย ความแปรปรวนของตัวแปรแฝงการพัฒนาตนเอง ได3ประมาณร3อยละ 90.2 เมื่อพิจารณาอิทธิพลของปจจัย พบวา การพัฒนาตนเอง ได3รับอิทธิพลทางตรงจาก การรับรู3ความสามารถของตนเอง (SEF) (0.300) มากที่สุด รองลงมา ได3แก ความเชื่อมั่นในตนเอง (SCF) (0.255) แรงจูงใจใฝnสัมฤทธิ์ (AMO) (0.201) การมองโลกในแงดี (OPT) (0.185) การควบคุมตนเอง (SCT) (0.146) ตามลําดับ และได3รับอิทธิพลทางอ3อมแรงจูงใจใฝnสัมฤทธิ์ (AMO) ผาน การรับรู3 ความสามารถของตนเอง (SEF) (0.255) ได3รับอิทธิพลทางอ3อมความเชื่อมั่นในตนเอง (SCF) ผานการควบคุมตนเอง (SCT) (0.073) มีนัยสําคัญทางสถิติที่ระดับ .01
  • 116.
    บทที่ 5 สรุปผล อภิปรายผลและขอเสนอแนะ การวิจัยครั้งนี้เปนการศึกษาปจจัยที่สงผลตอการพัฒนาตนเอง ของนักเรียนมัธยมศึกษาป#ที่ 6 สํานักงานเขตพื้นที่การศึกษามัธยมศึกษา เขต 19 (เลย - หนองบัวลําภู) สามารถสรุปผลการวิจัย ตามลําดับหัวข3อดังตอไปนี้ 1. ความมุงหมายของการวิจัย 2. เครื่องมือที่ใช3ในการวิจัย 3. การเก็บรวบรวมข3อมูล 4. การวิเคราะห=ข3อมูล 5. สรุปผล 6. อภิปรายผล 7. ข3อเสนอแนะ ความมุงหมายของการวิจัย 1. เพื่อศึกษาความสัมพันธ=ระหวางการมองโลกในแงดี ความเชื่อมั่นในตนเอง แรงจูงใจใฝCสัมฤทธิ์ การรับรู3ความสามารถของตนเอง การควบคุมตนเองกับการพัฒนาตนเอง ของ นักเรียนมัธยมศึกษาป#ที่ 6 สํานักงานเขตพื้นที่การศึกษามัธยมศึกษา เขต 19 (เลย - หนองบัวลําภู) 2. เพื่อศึกษาอิทธิพลของปจจัยที่สงผลตอการพัฒนาตนเอง ของนักเรียนมัธยมศึกษาป#ที่ 6 สํานักงานเขตพื้นที่การศึกษามัธยมศึกษา เขต 19 (เลย - หนองบัวลําภู) เครื่องมือที่ใชในการวิจัย ในการวิจัยครั้งนี้ ใช3เครื่องมือวิจัยจํานวน 2 ฉบับ ดังตอไปนี้ ฉบับที่ 1 แบบวัดการพัฒนาตนเอง เปนแบบมาตราสวนประมาณคา (Rating Scale) 5 ระดับ จําแนกตามองค=ประกอบ 3 ด3านๆละ 5 ข3อ ประกอบด3วย ตนเอง สังคม การเรียน รวม จํานวน 15 ข3อ มีคาอํานาจจําแนกตั้งแต 0.58 ถึง 0.82 ความเชื่อมั่น 0.89 ฉบับที่ 2 แบบวัดปจจัยที่สงผลตอการพัฒนาตนเอง เปนแบบมาตราสวนประมาณคา (Rating Scale) 5 ระดับ จํานวน 63 ข3อ มีคาอํานาจจําแนกตั้งแต 0.40 ถึง 0.94 ความเชื่อมั่นทั้ง ฉบับ เทากับ 0.78 แบงเปน 5 ด3าน ประกอบด3วย 1. การมองโลกในแงดี จําแนกตามองค=ประกอบ 3 ด3านๆ ละ 3 ข3อประกอบด3วย ความคงทนถาวร ความครอบคลุม ความเปนตนเอง รวม จํานวน 9 ข3อ มีคาอํานาจจําแนกตั้งแต 0.54 ถึง 0.88 ความเชื่อมั่น 0.70
  • 117.
    103 2. ความเชื่อมั่นในตนเอง จําแนกตามองค=ประกอบ5 ด3านๆละ 3 ข3อ ประกอบด3วย ความมั่นคงทางจิตใจ ความกล3า การพึ่งตนเอง ความเปนตัวของตัวเอง รวม จํานวน 15 ข3อ มีคา อํานาจจําแนกตั้งแต 0.40 ถึง 0.84 ความเชื่อมั่น 0.77 3. แรงจูงใจใฝCสัมฤทธิ์ จําแนกตามองค=ประกอบ 5 ด3านๆ ละ 3 ข3อ ประกอบด3วย ความทะเยอทะยาน ความกระตือรือร3น ความกล3าเสี่ยง การรู3จักวางแผน ความมีเอกลักษณ= จํานวน 15 ข3อ มีคาอํานาจจําแนกตั้งแต 0.40 ถึง 0.94 ความเชื่อมั่น 0.87 4. การรับรู3ความสามารถของตนเอง จําแนกตามองค=ประกอบ 4 ด3านๆ ละ 3 ข3อ ประกอบด3วย ประสบการณ=จากความสําเร็จ การได3เห็นตัวแบบประสบความสําเร็จ การพูดชักจูง จากผู3อื่น สภาวะทางกาย รวม จํานวน 12 ข3อ มีคาอํานาจจําแนกตั้งแต 0.38 ถึง 0.79 ความเชื่อมั่น 0.82 5. การควบคุมตนเอง จําแนกตามองค=ประกอบ 4 ด3านๆ ละ 3 ข3อ ประกอบด3วย ตั้งเปUาหมาย ยับยั้งตนเอง ควบคุมอารมณ= ความอดทน รวม จํานวน 12 ข3อ มีคาอํานาจจําแนก ตั้งแต 0.46 ถึง 0.86 ความเชื่อมั่น 0.75 การเก็บรวบรวมขอมูล ผู3วิจัยได3ดําเนินการเก็บรวบรวมข3อมูล ดังตอไปนี้ 1. ติดตอขอรับหนังสือจากบัณฑิตวิทยาลัย มหาวิทยาลัยมหาสารคาม เพื่อขอความ อนุเคราะห=เก็บรวบรวมข3อมูลจากผู3บริหารโรงเรียนกลุมตัวอยาง สังกัดสํานักงานเขตพื้นที่การศึกษา มัธยมศึกษาเขต 19 (เลย-หนองบัวลําภู) 2. ผู3วิจัยนํา หนังสือขอความอนุเคราะห=ในการเก็บรวบรวมข3อมูลไปติดตอผู3บริหาร สถานศึกษาเพื่อขอความรวมมือในการเก็บรวบรวมข3อมูล พร3อมทั้งนัดหมายวัน เวลา ที่ดําเนินการ เก็บรวบรวมข3อมูล ซึ่งผู3วิจัยได3เก็บรวบรวมข3อมูลในเดือน พฤษภาคม - มิถุนายน พ.ศ. 2555 3. เตรียมเครื่องมือเก็บรวบรวมข3อมูล ประกอบด3วย แบบวัด 2 ฉบับ ประกอบด3วย แบบวัดการพัฒนาตนเองและแบบปจจัยที่สงผลตอการพัฒนาตนเอง ให3เพียงพอกับนักเรียนกลุม ตัวอยาง 4. ผู3วิจัยดําเนินการเก็บรวบรวมข3อมูลด3วยตนเองตามวันเวลาที่นัดหมายในแตละโรงเรียน ที่เปนกลุมตัวอยาง กอนที่นักเรียนตอบแบบสอบถาม ผู3วิจัยเปนผู3ชี้แจงให3นักเรียนทราบวาไมมี ผลกระทบตอนักเรียน เพื่อลดความตึงเครียด และนักเรียนได3ให3ข3อมูลที่ถูกต3องและเปนจริงมากที่สุด และรับแบบวัดภายในวันที่ไปเก็บข3อมูล แบบวัดทั้ง 2 ฉบับ ไปเก็บรวบรวมข3อมูลกับนักเรียนที่เปนกลุม ตัวอยาง 850 ฉบับ และได3แบบวัดคืนมาทั้งหมด 850 ฉบับจากนั้นนําแบบวัดที่ได3จากการเก็บรวบรวม ข3อมูลจากกลุมตัวอยางมาตรวจให3คะแนนตามเกณฑ=ที่กําหนดไว3 โดยคัดเลือกเฉพาะแบบวัดฉบับที่ สมบูรณ= จึงได3แบบวัดจํานวนทั้งหมด 807 ฉบับ คิดเปนร3อยละ 94.70 ของแบบวัดทั้งหมด 5. นําคะแนนที่ได3ไปทําการทดสอบตามข3อตกลงเบื้องต3น และวิเคราะห=ข3อมูลทางสถิติ เพื่อทําการทดสอบโมเดลตามสมมติฐานที่ตั้งไว3และรายงานผลการวิจัยตอไป
  • 118.
    104 การวิเคราะห&ขอมูล การวิเคราะห=ข3อมูลในการวิจัยครั้งนี้ ผู3วิจัยนําข3อมูลที่รวบรวมมาวิเคราะห=ตามระเบียบ วิธีทางสถิติ โดยใช3โปรแกรมสําเร็จรูปซึ่งมีขั้นตอนการวิเคราะห=ข3อมูลดังนี้ ตอนที่ 1 วิเคราะห=หาคุณภาพเครื่องมือ เครื่องมือที่ใช3ในการวิจัยครั้งนี้คือ แบบวัดการ พัฒนาตนเองและแบบวัดปจจัยที่สงผลตอการพัฒนาตนเอง โดยใช3โปรแกรมสําเร็จรูปวิเคราะห=หา คุณภาพเครื่องมือดังนี้ความตรงเชิงเนื้อหา (Content Validity) อํานาจจําแนก (Discrimination) การวิเคราะห=ความตรงเชิงโครงสร3าง (Construct Validity) ตอนที่ 2 วิเคราะห=ข3อมูลเบื้องต3น (Preliminary Data Analysis) วิเคราะห=คาสถิติ พื้นฐาน ประกอบด3วย คาเฉลี่ย สวนเบี่ยงเบนมาตรฐาน คาความเบ3และคาความโดง และการกระจาย นอกกลุม (outliers) ของข3อมูล โดยใช3โปรแกรมสําเร็จรูป ตอนที่ 3 วิเคราะห=เพื่อตอบปญหาการวิจัย วิเคราะห=หาคาสัมประสิทธิ์สหสัมพันธ= ระหวางตัวแปรตางๆ ทําการตรวจสอบข3อมูลโดยภาพรวมของข3อมูล คือ คาสถิติ Bartlett (Bartlett's test sphericity) และคาสถิติ Kaiser-Meyer-Olkin Measure of sampling adequacy : KMO วิเคราะห=องค=ประกอบเชิงยืนยัน (Confirmatory factor analysis) เพื่อตรวจสอบความตรงของโมเดล การวัด (Measurement model) วิเคราะห=รูปแบบโครงสร3างความสัมพันธ=เชิงสาเหตุของปจจัยที่สงผล ตอการพัฒนาตนเอง โดยใช3โปรแกรมสําเร็จรูป เพื่อตรวจสอบความสอดคล3องระหวางโมเดลตาม สมมติฐานกับข3อมูลเชิงประจักษ= ด3วย คาไคกําลังสอง (Chi - Square : 2 χ ) ดัชนีอัตราสวนคาไค กําลังสองสัมพัทธ= (Relative Chi-Square Ratio) ดัชนีรากกําลังสองเฉลี่ยของความคลาดเคลื่อนใน การประมาณคา (Root Mean Squared Error of Approximation : RMSEA) ดัชนีวัดความ กลมกลืนเชิงเปรียบเทียบ (Comparative Fit Index : CFI) สรุปผล ผลการวิเคราะห=ข3อมูลเพื่อตอบสมมติฐานการวิจัย มีดังนี้ 1. ผลการศึกษาความสัมพันธ= การมองโลกในแงดี ความเชื่อมั่นในตนเอง แรงจูงใจใฝC สัมฤทธิ์ การรับรู3ความสามารถของตนเอง การควบคุมตนเอง กับการพัฒนาตนเอง ของนักเรียน มัธยมศึกษาป#ที่ 6 สํานักงานเขตพื้นที่การศึกษามัธยมศึกษา เขต 19 (เลย - หนองบัวลําภู) พบวา ตัวแปรปจจัยทุกตัวมีความสัมพันธ=ทางบวกกับการพัฒนาตนเอง อยางมีนัยสําคัญทางสถิติที่ระดับ .01 และมีคาอยูระหวาง 0.732 – 0.881 ซึ่งถือได3วามีความสัมพันธ=กันอยูในระดับสูง โดยตัวแปรที่มี ความสัมพันธ=กับการพัฒนาตนเอง จากมากไปหาน3อย ได3ดังนี้ การรับรู3ความสามารถของตนเอง แรงจูงใจใฝCสัมฤทธิ์ การมองโลกในแงดี การควบคุมตนเอง ความเชื่อมั่นในตนเอง เทากับ 0.881, 0.874, 0.847, 0.814 และ 0.732 ตามลําดับ 2. ผลการตรวจสอบความสอดคล3องของโมเดลความสัมพันธ=เชิงสาเหตุที่สงผลตอ การพัฒนาตนเอง ของนักเรียนมัธยมศึกษาป#ที่ 6 สํานักงานเขตพื้นที่การศึกษามัธยมศึกษา เขต 19 (เลย - หนองบัวลําภู) พบวาโมเดลความสัมพันธ=เชิงสาเหตุที่สร3างขึ้นยังไมสอดคล3องกลมกลืนกับข3อมูล
  • 119.
    105 เชิงประจักษ= 2 χ =3281.861,df=242, 2 χ /df=13.561, p =0.000, CFI=0.804,TLI=777, RMSEA=0.125 ดังนั้นผู3วิจัยจึงดําเนินการปรับโมเดลให3มีความสอดคล3องกลมกลืนมากขึ้น โดยปรับให3 ความคลาดเคลื่อนของตัวแปรสังเกตได3มีความสัมพันธ=กัน เพื่อให3ได3ข3อมูลที่สอดคล3องกับสภาพความเปน จริงที่ตัวแปรตาง ๆ มีความสัมพันธ=กันได3 โดยในการปรับโมเดลจะพิจารณาคาเสนอแนะจากโปรแกรม หรือดัชนีปรับโมเดล (Model Modification Indices: MI) และคาการเปลี่ยนแปลงพารามิเตอร=ที่ คาดหวังมาตรฐาน (Standardized Expected Parameter Change: SE) จนได3โมเดลที่มีความ สอดคล3องกลมกลืนกับข3อมูลเชิงประจักษ= ผลการวิเคราะห=โมเดลที่ปรับแล3วมี 2 χ =273.172, df=240, 2 χ /df=1.138, p=0.069, CFI=0.998,TLI=0.998, RMSEA=0.013 โดยดัชนีทุกคาอยูในเกณฑ=ที่ กําหนด จึงสรุปได3วารูปแบบความสัมพันธ=เชิงสาเหตุตามภาวะสันนิษฐานมีความสอดคล3องกลมกลืนกับ ข3อมูลเชิงประจักษ= 3. ปจจัยที่มีอิทธิพลตอการการพัฒนาตนเอง มากที่สุด คือ แรงจูงใจใฝCสัมฤทธิ์ ความ เชื่อมั่นในตนเอง การรับรู3ความสามารถของตนเอง การมองโลกในแงดี การควบคุมตนเอง มีขนาด น้ําหนักความสําคัญ .457, .328, .300, .185 และ .146 ตามลําดับ ปจจัยที่มีอิทธิพลทางตรงตอการ พัฒนาตนเอง คือ การรับรู3ความสามารถของตนเอง รองลงมา ความเชื่อมั่นในตนเอง แรงจูงใจใฝCสัมฤทธิ์ การมองโลกในแงดี ควบคุมตนเอง มีขนาดน้ําหนักความสําคัญ .300, .255, .201, .185, .146 ตามลําดับ และปจจัยมีอิทธิพลทางตรงและอ3อม คือ การรับรู3ความสามารถของตนเอง มีคาเทากับ .300 แรงจูงใจใฝCสัมฤทธิ์ มีคาเทากับ .201 โดยปจจัยทั้งหมดสามารถรวมกันอธิบายความแปรปรวนของ การพัฒนาตนเอง ของนักเรียนมัธยมศึกษาป#ที่ 6 สํานักงานเขตพื้นที่การศึกษามัธยมศึกษา เขต 19 (เลย - หนองบัวลําภู) ได3ร3อยละ 90.2 อภิปรายผล พิจารณาอิทธิพลของปจจัยที่มีอิทธิพลรวมตอการพัฒนาตนเองสูงสุด มากไปน3อย คือ แรงจูงใจใฝCสัมฤทธิ์ ความเชื่อมั่นในตนเอง การรับรู3ความสามารถของตนเอง การมองโลกในแงดี การควบคุมตนเอง ตามลําดับ อภิปรายผลการวิจัยนี้ แรงจูงใจใฝCสัมฤทธิ์ เปนปจจัยที่มีอิทธิพลรวมสูงสุด ตอการพัฒนาตนเองของนักเรียน มัธยมศึกษาป#ที่ 6 สํานักงานเขตพื้นที่การศึกษามัธยมศึกษา เขต 19 (เลย - หนองบัวลําภู) มีขนาด อิทธิพล เทากับ .457 โดยสงผลในเชิงบวก อยางมีนัยสําคัญทางสถิติที่ระดับ .01 ซึ่งเปนไปตามสมติฐาน ที่ตั้งไว3 เนื่องจาก นักเรียนที่มีแรงจูงใจใฝCสัมฤทธิ์ ความปรารถนาที่จะกระทําสิ่งตางๆ ทั้งในหน3าที่ การงาน และเรื่องราวสวนตัวให3ประสบความสําเร็จไปได3 ด3วยดีตามเปUาหมายที่วางไว3 ยอมทําให3การ พัฒนาตนเองสูงหรือต่ําได3 ทั้งนี้ขึ้นอยูกับอิทธิพลทางตรงที่สงผานการรับรู3ความสามารถตนเอง สอดคล3องกับ McCelland (ศิวพร ไชยพยอม. 2550 ; อ3างอิงมาจาก McCelland. 1969) ได3สรุป ทฤษฎีแรงจูงใจใฝCสัมฤทธิ์ไว3วา คนเรามีความต3องการอยู 3 ประการ คือ 1) ความต3องการสัมฤทธิผล (Need for Achievement : nach) 2) ความต3องการความผูกพัน (Need for Affiliation : naff) 3) ความต3องการมีอํานาจบารมี (Need for Power : npow) และสอดคล3องกับ Atkinson (พินกาน ภัทเศรษฐ=. 2551 ; อ3างอิงมาจาก Atkinson. 1974) ได3กลาวถึง แรงจูงใจใฝCสัมฤทธิ์วา
  • 120.
    106 ในสถานการณ=หนึ่งผู3ที่มีแรงจูงใจใฝCสัมฤทธิ์จะพยายามที่จะทํางานนั้นให3สําเร็จ สอดคล3องกับ สุภมาสจิ นะราช (2549) ได3ศึกษาความสัมพันธ=ระหวางปจจัยบางประการกับการพัฒนาตนเองของนิสิตภาคพิเศษ ระดับบัณฑิตศึกษา คณะศึกษาศาสตร= มหาวิทยาลัยศรีนครินทรวิโรฒ ผลการศึกษาพบวา แรงจูงใจใฝC สัมฤทธิ์ มีความสัมพันธ=ทางบวกกับการพัฒนาตนเองอยางมีนัยสําคัญทางสถิติที่ระดับ .01 และเนาวรัตน= ไตรยงค= (2552) ได3ศึกษา ปจจัยทางจิตสังคมที่เกี่ยวข3องกับพฤติกรรรมการพัฒนาตนให3รอบรู3ของ นักเรียนชวงชั้นที่ 2 สังกัดสํานักงานเขตพื้นที่การศึกษาศรีสะเกษ เขต 3 ผลการศึกษาพบวา แรงจูงใจ ใฝCสัมฤทธิ์ มีความสัมพันธ=ทางบวกกับการพัฒนาตนเองอยางมีนัยสําคัญทางสถิติที่ระดับ .05 สงผลมาก ที่สุดตอการพัฒนาตนเอง สอดคล3องกับ ศิวกานต= ธิมาชัย (2552) ได3ศึกษาปจจัยทางจิตสังคมที่ เกี่ยวข3องกับพฤติกรรรมการพัฒนาตนให3รอบรู3ของข3าราชการครู สังกัดสํานักงานเขตพื้นที่การศึกษา ยโสธร เขต 2 ผลการศึกษาพบวา แรงจูงใจใฝCสัมฤทธิ์ มีความสัมพันธ=ทางบวกกับการพัฒนาตนเองอยาง มีนัยสําคัญทางสถิติที่ระดับ .01 และวาสนา จันทร=จาย (2553) ได3ศึกษาปจจัยบางประการที่สงผลตอ การพัฒนาตนเองของนักศึกษามหาวิทยาลัยราชภัฏสวนดุสิต ผลการศึกษาพบวา แรงจูงใจใฝCสัมฤทธิ์ มี ความสัมพันธ=ทางบวกกับการพัฒนาตนเองอยางมีนัยสําคัญทางสถิติที่ระดับ .01 สงผลมากที่สุดตอการ พัฒนาตนเอง แสดงวา หากนักเรียนมีแรงจูงใจใฝCสัมฤทธิ์สูง ทําให3การพัฒนาตนเองสูงได3 ความเชื่อมั่นในตนเอง เปนปจจัยที่มีอิทธิพลรวมเปนอันดับสอง ตอการพัฒนาตนเอง ของนักเรียนมัธยมศึกษาป#ที่ 6 สํานักงานเขตพื้นที่การศึกษามัธยมศึกษา เขต 19 (เลย - หนองบัวลําภู) มีขนาดอิทธิพล เทากับ .328 โดยสงผลในเชิงบวก อยางมีนัยสําคัญทางสถิติที่ระดับ .01 ซึ่งเปนไปตาม สมติฐานที่ตั้งไว3 เนื่องจาก นักเรียนที่มีความเชื่อมั่นในตนเองสูง มีลักษณะ ในการที่จะทําสิ่งตางๆ ให3 สําเร็จ มีความมั่นใจ เพียรพยายาม กล3าหาญ มีความเปนตัวของตัวเอง มีความคิดริเริ่มสร3างสรรค= กล3าแสดงออก และยอมรับในความสามารถของตน ไมท3อถอยเมื่อ ทําอะไรไมสําเร็จ สงผลตอการ พัฒนาตนเองด3วย สอดคล3องกับ ทฤษฎีพัฒนาการของErikson เปนทฤษฎีที่เกี่ยวข3องกับความเชื่อมั่น ในตนเอง พัฒนาการทางบุคลิกภาพเกิดขึ้นได3 เนื่องจากการที่คนมีการติดตอสัมพันธ=กับสังคม สอดคล3อง กับ ทฤษฎีความต3องการของ Maslaw (Maslaw’s Theory) มนุษย=มีคุณภาพนั้นเนื่องมาจากมีความคิด ความรู3สึกความรู3ตระหนักและการแสวงหาสิ่งที่ดี สอดคล3องกับ งานวิจัยของกาญจนา บุบผัน (2551) ได3 ศึกษาปจจัยบางประการที่สงผลตอการพัฒนาตนเองตามจรรยาบรรณวิชาชีพครูด3านวิชาชีพ วิสัยทัศน= และบุคลิกภาพ ของครูมัธยมศึกษาสังกัดสํานักงานเขตพื้นที่การศึกษานครศรีธรรมราช เขต 1 ผล การศึกษาพบวา ความเชื่อมั่นในตนเอง มีความสัมพันธ=ทางบวกกับการพัฒนาตนเองอยางมีนัยสําคัญ ทางสถิติที่ระดับ .05 และสอดคล3องกับ สุภมาส จินะราช (2549) ได3ศึกษาความสัมพันธ=ระหวางปจจัย บางประการกับการพัฒนาตนเองของนิสิตภาคพิเศษ ระดับบัณฑิตศึกษา คณะศึกษาศาสตร= มหาวิทยาลัยศรีนครินทรวิโรฒ ผลการศึกษาพบวา ความเชื่อมั่นในตนเอง มีความสัมพันธ=ทางบวกกับ การพัฒนาตนเองอยางมีนัยสําคัญทางสถิติที่ระดับ .01 การับรู3ความสามารถตนเอง เปนปจจัยที่มีอิทธิพลรวมเปนอันดับสาม มีขนาดอิทธิพล เทากับ .300 ตอการพัฒนาตนเองของนักเรียนมัธยมศึกษาป#ที่ 6 สํานักงานเขตพื้นที่การศึกษา มัธยมศึกษา เขต 19 (เลย - หนองบัวลําภู) โดยสงผลในเชิงบวก อยางมีนัยสําคัญทางสถิติที่ระดับ .01 ซึ่งเปนไปตามสมติฐานที่ตั้งไว3 เนื่องจาก นักเรียนที่มีการรับรู3ความสามารถตนเอง มีความสามารถที่จะ กระทําเรื่องตางๆ ได3บรรลุเปUาหมายมากน3อย เพียงไร และจะทําอยางไรตอไปให3บรรลุเปUาหมายนั้นๆ (ประสาท อิศรปรีดา. 2552 ; อ3างอิงมาจาก Bandura. 1986) ทฤษฎีการรับรู3ความสามารถของ
  • 121.
    107 ตนเอง (Self-Efficacy Theory)ซึ่งอธิบายวาการเรียนรู3จะเกี่ยวข3องกับปจจัยหลัก 3 ประการ คือ 1) ความคิดหรือการคาดหวัง หรือความเชื่อและองค=ประกอบสวนบุคคล (P) 2) พฤติกรรม (B) 3) สิ่งแวดล3อม (E) สอดคล3องกับ วาสนา จันทร=จาย (2553) ได3ศึกษาปจจัยบางประการที่สงผลตอ การพัฒนาตนเองของนักศึกษามหาวิทยาลัยราชภัฏสวนดุสิต ผลการศึกษาพบวา การรับรู3ความสามารถ ตนเอง มีความสัมพันธ=ทางบวกกับการพัฒนาตนเองอยางมีนัยสําคัญทางสถิติที่ระดับ .01 และ อรอุษา จันทคร (2551) ได3ศึกษาความสัมพันธ=ระหวางปจจัยบางประการกับการพัฒนาตนเองตามเกณฑ= มาตรฐานวิชาชีพครู ของครูในเขตพื้นที่การศึกษานครปฐม เขต 2 พบวาการรับรู3ความสามารถของ ตนเอง มีความสัมพันธ=ทางบวกกับการพัฒนาตนเองอยางมีนัยสําคัญทางสถิติที่ระดับ .01 และมี ความสัมพันธ=สูงสุด นิตยา กัณณิกาภรณ= (2553) ได3ศึกษาปจจัยบางประการที่สงผลตอการพัฒนาตนเอง ตามจรรยาบรรณวิชาชีพของข3าราชการครูสังกัดกรุงเทพมหานคร ผลการศึกษาพบวา สัมประสิทธิ์ สหสัมพันธ=ระหวางกลุมตัวแปรปจจัย การรับรู3ในความสามารถของตนเอง กับการพัฒนาตนเอง มีนัยสําคัญทางสถิติที่ระดับ .01 แสดงวา หากนักเรียนมีการรับรู3ความสามารถตนเองสูง ทําให3การ พัฒนาตนเองสูงได3 ทั้งนี้ขึ้นอยูกับอิทธิพลทางอ3อมที่สงผานแรงจูงใจใฝCสัมฤทธิ์เปนปจจัยสําคัญ การมองโลกในแงดี เปนปจจัยที่มีอิทธิพลรวมอันดับสี่ ตอการพัฒนาตนเอง ของนักเรียน มัธยมศึกษาป#ที่ 6 สํานักงานเขตพื้นที่การศึกษามัธยมศึกษา เขต 19 (เลย - หนองบัวลําภู) มีขนาด อิทธิพล เทากับ .185 โดยสงผลทางตรงในเชิงบวกอยางมีนัยสําคัญทางสถิติที่ระดับ .01 ซึ่งเปนไปตาม สมติฐานที่ตั้งไว3 เนื่องจาก นักเรียนที่มีการมองโลกในแงดี มีความเชื่อในเหตุผลทางบวกตอเหตุการณ=ที่ ไมพึงปรารถนาที่ผานเข3ามาในชีวิต เลือกโต3ตอบตามสถานการณ=ตางๆที่เกิดขึ้น โดยปรับเปลี่ยนความคิด ความเชื่อดังกลาวไปในทางที่ควบคุมตนเอง และพึงพอใจในสิ่งที่เกิดขึ้นนั้น มีผลทําให3การพัฒนาตนเอง สูง สอดคล3องกับ ทฤษฏี Seligman (อรพินทร= ชูชม. 2544 ; อ3างอิงจาก Seligman. 1998) เสนอรูปแบบการอธิบายตนเอง (Explanatory Style) บุคคล จากการบรรยายตนเองสามารถบงบอกได3 วาบุคคลนั้นมีมุมมองชีวิตในลักษณะไหนเปนการมองโลกในแงดี หรือการมองโลกในแงร3าย ซึ่งเปนสิ่ง สําคัญในการกําหนดพฤติกรรมของบุคคล สอดคล3องกับงานวิจัยของกาญจนา บุบผัน (2551) ได3ศึกษา ปจจัยบางประการที่สงผลตอการพัฒนาตนเองตามจรรยาบรรณวิชาชีพครูด3านวิชาชีพ วิสัยทัศน= และ บุคลิกภาพ ของครูมัธยมศึกษาสังกัดสํานักงานเขตพื้นที่การศึกษานครศรีธรรมราช เขต 1 ผลการศึกษา พบวา การมองโลกในแงดี มีความสัมพันธ=ทางบวกกับการพัฒนาตนเองอยางมีนัยสําคัญทางสถิติที่ระดับ .05 และสุภมาส จินะราช (2549) ได3ศึกษาความสัมพันธ=ระหวางปจจัยบางประการกับการพัฒนาตนเอง ของนิสิตภาคพิเศษ ระดับบัณฑิตศึกษา คณะศึกษาศาสตร= มหาวิทยาลัยศรีนครินทรวิโรฒ ผลการศึกษา พบวา มองโลกในแงดี มีความสัมพันธ=ทางบวกกับการพัฒนาตนเองอยางมีนัยสําคัญทางสถิติที่ระดับ .01 การควบคุมตนเอง เปนปจจัยที่มีอิทธิพลรวมอันดับห3า ตอการพัฒนาตนเองของนักเรียน มัธยมศึกษาป#ที่ 6 สํานักงานเขตพื้นที่การศึกษามัธยมศึกษา เขต 19 (เลย - หนองบัวลําภู) มีขนาด อิทธิพล เทากับ .146 โดยสงผลในเชิงบวก อยางมีนัยสําคัญทางสถิติที่ระดับ .01 ซึ่งเปนไปตามสมติฐาน ที่ตั้งไว3 เนื่องจาก นักเรียนที่มีการควบคุมตนเอง บังคับตนเองให3ละเว3นการกระทําบางอยาง โดยการ กําหนดความคิด อารมณ= ความรู3สึก การเปลี่ยนแปลงการตอบสนองทางอารมณ= การกระทําพฤติกรรม ด3วยเหตุผล และความอดทน การจัดสภาพแวดล3อมให3หลีกเลี่ยงการกระทําพฤติกรรม สามารถเผชิญ สิ่งยั่วยุ ปญหาอุปสรรค และสถานการณ=กดดันแม3อยูในภาวะที่เกิดปญหาความขัดแย3งในจิตใจ เพื่อให3 เกิดพฤติกรรมเปUาหมายที่ดีตามที่มุงหวังไว3 ทําให3การพัฒนาตนเองสูงหรือต่ําได3 ทั้งนี้ขึ้นอยูกับอิทธิพล
  • 122.
    108 ทางตรงที่สงผานความเชื่อมั่นในตนเอง สอดคล3องกับทฤษฎี ทฤษฎีเชาว=อารมณ=(Emotional Intelligent Theory) พรรณทิพย= ศิริวรรณบุศย= (2551) ทฤษฎีเชาว=อารมณ=มิใชทฤษฎีทางพัฒนาการ มนุษย=โดยตรง แตเปนการเสนอรูปแบบการควบคุมอารมณ=ให3เกิดตามวุฒิภาวะของบุคคล ความฉลาด ทางอารมณ=มีความสัมพันธ=ใกล3ชิดกับสติปญญา สอดคล3องกับ วาสนา จันทร=จาย (2553) ได3ศึกษาปจจัย บางประการที่สงผลตอการพัฒนาตนเองของนักศึกษามหาวิทยาลัยราชภัฏสวนดุสิต ผลการศึกษาพบวา การควบคุมตนเอง มีความสัมพันธ=ทางบวกกับการพัฒนาตนเองอยางมีนัยสําคัญทางสถิติที่ระดับ .01 ขอเสนอแนะ 1. ข3อเสนอแนะในการนําผลการวิจัยไปใช3 จากผลการศึกษาพบวา ปจจัยที่มีอิทธิพลตอการการพัฒนาตนเอง มากที่สุด คือ แรงจูงใจ ใฝCสัมฤทธิ์ การรับรู3ความเชื่อมั่นในตนเอง การรับรู3ความสามารถของตนเอง การมองโลกในแงดี การควบคุมตนเอง ตามลําดับ ปจจัยที่มีอิทธิพลทางตรงตอการพัฒนาตนเอง คือ การรับรู3 ความสามารถของตนเอง รองลงมา ความเชื่อมั่นในตนเอง แรงจูงใจใฝCสัมฤทธิ์ การมองโลกในแงดี ควบคุมตนเอง มีขนาดน้ําหนักความสําคัญ ตามลําดับ และปจจัยมีอิทธิพลทางตรงและอ3อม คือ การรับรู3ความสามารถของตนเอง และแรงจูงใจใฝCสัมฤทธิ์ โดยปจจัยทั้งหมดสามารถรวมกันอธิบายความ แปรปรวนของการพัฒนาตนเอง ของนักเรียนมัธยมศึกษาป#ที่ 6 สํานักงานเขตพื้นที่การศึกษา มัธยมศึกษา เขต 19 (เลย - หนองบัวลําภู) ได3ร3อยละ 90.2 ข3อเสนอแนะนําไปใช3 ดังนี้ 1.1 ผลการวิจัยนี้พบวา แรงจูงใจใฝCสัมฤทธิ์ มีอิทธิพลตอการพัฒนาตนเองสูงที่สุด ดังนั้นในการจัดกิจกรรมการเรียนรู3สําหรับครูผู3สอน ควรจัดกิจกรรมสงเสริมและมีเทคนิคการสร3าง แรงจูงใจใฝCสัมฤทธิ์ให3กับนักเรียน ดังนี้ 1.1.1 สร3างเงื่อนไขการเรียนให3เปนบวก พยายามลบความเชื่อที่ผิดและทัศนะ เชิงลบในด3านตางๆ ลดองค=ประกอบที่คุกคามและอาจสร3างความล3มเหลวในการเรียน จัดกิจกรรม เชน ให3ความรู3ในเรื่องการใช3ชีวิตวันรุน จัดติวข3อสอบ กิจกรรมรวมกับสังคม แนะแนวการศึกษา เปนต3น ที่ทําให3นักเรียนสามารถบรรลุถึงความต3องการขั้นสูงสุดได3 1.1.2 เปลี่ยนเทคนิคการจัดการเรียนรู3และเนื้อหาที่กําลังสอนให3นักเรียนมีสวนรวม และตอบสนองในสวนสําคัญๆ ของกระบวนการเรียนการสอน ให3เรียนจัดระเบียบของเนื้อหาวิชาและ สร3างประเด็นของเนื้อหาที่อยูในกระบวนการสอน ให3มีการรวมมือกันสร3างเปUาหมายของการเรียน 1.1.3 การเสริมแรงด3วยการให3รางวัล การชมเชยทั้งในรูปของสิ่งที่จับต3องได3และ สิ่งที่เปนนามธรรม ให3นักเรียนรับทราบผลการเรียนและความสําเร็จในแตละขั้นของตนเปนระยะๆ และ ตอเนื่อง ถ3าการเรียนมีผลพวงที่เกิดขึ้นตามมาให3นักเรียนได3เผชิญกับผลพวงนั้นอยางเปนจริง เปƒดโอกาส ให3นักเรียนได3แสดงความคิดเห็นหรือชี้แจงทัศนะของตนเองได3อยางกว3างขวาง และให3การจบ บทเรียนหรือการสอนเปนการจบด3วยดีหรือเปนการจบอยางมีความสุข 1.2 ผลการวิจัยนี้พบวา การรับรู3ความสามารถของตนเอง มีอิทธิพลทางตรงตอ การพัฒนาตนเองสูงที่สุด ดังนั้น ผู3ปกครอง ครู ผู3เกี่ยวข3องกับนักเรียน ควรจัดกิจกรรมที่สงเสริมใน เรื่อง ดังนี้
  • 123.
    109 1.2.1 การรับรู3เกี่ยวกับตนเองทางด3านลักษณะทางกาย คือให3นักเรียนรู3จักตนเอง ในทางกาย รูปราง หน3าตา สัดสวน มีสติปญญา รู3คิดรู3พิจารณาในเรื่องตางๆ ได3 มีความรู3ความสามารถ ที่จะดํารงชีวิตอยูได3 ลักษณะ ลักษณะทางกายของเราอาจบอก บุคลิกภาพของบุคคล ในเรื่องการเรียน การประกอบอาชีพในอนาคต 1.2.2 การรับรู3เกี่ยวกับตนเองทางด3านลักษณะทางจิต เปนการรับรู3ที่เกี่ยวข3องกับ เรื่องอารมณ= ความสนใจ ความถนัด อาชีพ หรือการรับรู3ในเรื่อง ลักษณะนิสัยของตนเอง ในความเปน บุคคล โดยกําหนดพฤติกรรมตางๆของบุคคลและทําหน3าที่สงเสริมให3เกิดพฤติกรรม อุปนิสัยบางอยาง ทําหน3าที่เปนสิ่งเร3า หรือแรงจูงใจ ให3นักเรียนแสดงพฤติกรรมตางๆ โดยสิ่งเร3าตางๆ จะกระตุ3นให3เกิด อุปนิสัย หรือเจตคติที่ดี ทําหน3าที่ตามบทบาท ตางๆของตนเอง อยางเหมาะสม 1.2.3 การรับรู3เกี่ยวกับตนเองทางด3านสิ่งแวดล3อม โดยเริ่มตั้งแตระบบครอบครัว ไปจนถึงระบบสังคมใหญ เชน สังคมโรงเรียน สังคมเพื่อน ที่มีมีอิทธิพลตอนักเรียนมาก เปน จะเปน ตัวกําหนดบุคลิกภาพของนักเรียน และต3องเรียนรู3วา ตนเองอยูใน สภาพสิ่งแวดล3อมอยางไร พึงปฏิบัติ ตนอยางไรจึงจะเหมาะสม และพลเมืองที่ดีของสังคม 2. ข3อเสนอแนะในการวิจัยครั้งตอไป 2.1 จากการวิจัยในครั้งนี้ ตัวแปรที่ผู3วิจัยได3ศึกษาได3รวมกันพยากรณ=การพัฒนาตนเอง ของนักเรียนมัธยมศึกษาป#ที่ 6 สํานักงานเขตพื้นที่การศึกษามัธยมศึกษา เขต 19 (เลย - หนองบัวลําภู) ได3ร3อยละ 90.2 ที่เหลือเปนอิทธิพลของตัวแปรอื่นที่ไมได3นํามาศึกษาวิจัยในครั้งนี้ ดังนั้นการพัฒนา โมเดลปจจัยเชิงสาเหตุที่สงตอการพัฒนาตนเอง ในครั้งตอไปจึงควรพิจารณานําตัวแปรอื่นที่มีอิทธิพลมา ศึกษาเพิ่มเติมตามที่ผู3วิจัยได3ทําการศึกษาไว3แล3ว เชน การอบรมเลี้ยงดูของบิดามารดา ฐานะเศรษฐกิจ ของครอบครัว หรือความสัมพันธ=กับผู3อื่น ความฉลาดทางเชาว=ปญญา ความฉลาดทางอารมณ= ความฉลาดทางศีลธรรมและจริยธรรม ความฉลาดในการเผชิญและฟนฝCาอุปสรรคและความสามารถใน การคิดวิเคราะห=เปนต3น เพื่อให3โมเดลสามารถอธิบายความแปรปรวนของการพัฒนาตนเองได3มากขึ้น 2.2 การวิจัยในครั้งนี้เปนการพัฒนาและตรวจสอบความตรงของปจจัยเชิงสาเหตุ ที่สงตอการพัฒนาตนเอง ของนักเรียนมัธยมศึกษาป#ที่ 6 สํานักงานเขตพื้นที่การศึกษามัธยมศึกษา เขต 19 (เลย - หนองบัวลําภู) เทานั้น ในการวิจัยครั้งตอไป จึงควรทําการศึกษากับกลุมตัวอยางที่มี ขนาดใหญกวาในการวิจัยครั้งนี้ ซึ่งจะทําให3เกิดประโยชน=สําหรับการพัฒนาตนเองของนักเรียน นักศึกษา ตอไป ในการวิจัยครั้งตอไปควรทําการทดสอบความไมแปรเปลี่ยนของรูปแบบและ พารามิเตอร=ในโมเดลระหวาง เพศ ป# หรือนักเรียนตางสังกัดเข3ารวมศึกษาด3วยเพื่อให3ได3สารสนเทศที่ ชัดเจนขึ้น 2.3 จากงานวิจัยที่ศึกษาปจจัยที่สงผลตอการพัฒนาตนเอง พบวา มีการศึกษาตัวแปรใน ระดับที่แตกตางกัน ระดับชั้นป#ของกลุมตัวอยางแตกตางกัน ดังนั้นในการวิจัยครั้งตอไปควรมีการศึกษา ตัวแปรโดยการวิเคราะห=โมเดลสมการพหุระดับ (Multilevel Structural Equation Model)
  • 124.
  • 125.
    111 บรรณานุกรม กระทรวงศึกษาธิการ. พระราชบัญญัติการศึกษาแหงชาติ พ.ศ.2542 และที่แกไขเพิ่มเติม (ฉบับที่ 2) พ.ศ. 2545. กรุงเทพฯ : องค,การรับสงสินคาและพัสดุภัณฑ,, 2545. กนกรัตน, สุขะตุงคะ และคณะ. “การพัฒนาเกณฑ,มาตรฐานแบบทดสอบบุคลิกภาพคนไทย,” วารสารจิตวิทยาคลีนิค. 5(2) : 10-12 ; กรกฎาคม- ธันวาคม, 2547. กาญจนา บุบผัน. การศึกษาปAจจัยบางประการที่สงผลตอการพัฒนาตนเองตามจรรยาบรรณ วิชาชีพครู ดานวิชาชีพวิสัยทัศน, และบุคลิกภาพ ของครูมัธยมศึกษาสังกัดสํานักงานเขตพื้นที่ การศึกษา นครศรีธรรมราช เขต 1. ปริญญานิพนธ, กศ.ม. กรุงเทพฯ : มหาวิทยาลัย ศรีนครินทรวิโรฒ, 2551. กาญจนา พูลสุข. “การควบคุมตัวเอง (Self Control),” การแนะแนวและจิตวิทยาการศึกษา. 1(1) : 46-54 ; กรกฎาคม - ธันวาคม, 2544. กัลยา วานิชย,บัญชา. การวิเคราะห,ขอมูลหลายตัวแปร. กรุงเทพฯ : โรงพิมพ,แหง จุฬาลงกรณ,มหาวิทยาลัย, 2551. ขัตติยา น้ํายาทอง. การศึกษารูปแบบความสัมพันธ,เชิงสาเหตุของปAจจัยที่สงผลตอ ความสามารถในการฝUาฟAนอุปสรรคของนิสิตนักศึกษาระดับปริญญาตรี คณะศึกษาศาสตร, มหาวิทยาลัยรัฐบาลในเขตกรุงเทพมหานคร. ปริญญานิพนธ, กศ.ม. กรุงเทพฯ : มหาวิทยาลัยศรีนครินทรวิโรฒ, 2551. จรรจา สุวรรณทัต และคณะ. ความสามารถในการควบคุมตนเองของเด็กไทยในแงของ ความสัมพันธ,องค,ประกอบทางการศึกษา การฝXกทักษะ และการพัฒนาจิตลักษณ, เพื่อการสรางพลเมืองที่มีประสิทธิภาพ. รายงานการวิจัย. กรุงเทพฯ : สถาบันวิจัยพฤติกรรมศาสตร, มหาวิทยาลัยศรีนครินทรวิโรฒ, 2533. . ความสามารถในการควบคุมตนเองของเด็กไทยในแงของความสัมพันธ,องค,ประกอบ ทางการศึกษา การฝXกทักษะ และการพัฒนาจิตลักษณ,เพื่อการสรางพลเมืองที่มีประสิทธิภาพ. รายงานการวิจัย. กรุงเทพฯ : สถาบันวิจัยพฤติกรรมศาสตร, มหาวิทยาลัย ศรีนครินทรวิโรฒ, 2533. จันทรา เชาว,วิทยา. การเปรียบเทียบของการปรับสินไหมการควบคุมตัวเองและการเสริมแรง แบบดี อาร, เอ ที่มีตอพฤติกรรมการกอกวนชั้นเรียนของนักเรียนชั้นมัธยมศึกษาป[ที่ 3 โรงเรียนวรราชาทินัดดามาตุวิทยา อําเภอลาดหลุมแกว จังหวัดปทุมธานี. ปริญญานิพนธ, กศ.ม. กรุงเทพฯ : มหาวิทยาลัยศรีนครินทรวิโรฒ, 2545. จิตรฎายิน เอี่ยมอุย. ปAจจัยที่สงผลตอพฤติกรรมการควบคุมตนเองไมใหเกี่ยวของกับอบายมุข ของนักเรียนชั้นมัธยมศึกษาป[ที่ 4 อําเภอเมือง จังหวัดราชบุรี. วิทยานิพนธ, ศศ.ม. กรุงเทพฯ : มหาวิทยาลัยศิลปากร, 2549. จิราวดี ชุมพล. การศึกษาระหวางปAจจัยบางประการที่สงผลตอการพึ่งตนเองของนักเรียน ชั้นมัธยมศึกษาป[ที่ 3 เขตพื้นที่การศึกษาลพบุรี เขต 1. ปริญญานิพนธ, กศ.ม. กรุงเทพฯ : มหาวิทยาลัยศรีนครินทรวิโรฒ, 2549.
  • 126.
    112 จิราภรณ, ธรรมวงษ,. ปAจจัยที่มีอิทธิพลตอการรับรูความสามารถของตนเองในวิชาคอมพิวเตอร, ของนักเรียนชั้นมัธยมศึกษาป[ที่4 สังกัดสํานักงานเขตพื้นที่การศึกษา ภาคตะวันออกเฉียงเหนือตอนบน. วิทยานิพนธ, กศ.ม. มหาสารคาม : มหาวิทยาลัย มหาสารคาม, 2553. เจริญพร ตรีเนตร. ประสบการณ,การพัฒนาตนเองของพยาบาลหองผาตัดไทยที่ไดรับการ ฝXกอบรมในประเทศฝรั่งเศส. วิทยานิพนธ, วท.ม. กรุงเทพฯ : จุฬาลงกรณ,มหาวิทยาลัย, 2543. ฉัตรศิริ ป]ยะพิมลสิทธิ์. บทความสถิติ. เมษายน-กุมภาพันธ, 2544. 2554. <http://www.watpon.com> 10 มีนาคม 2555. ชัยพัฒน, พันธุ,วัฒนสกุล. การสรางสมการจําแนกกลุมผูเรียนตามแผนการเรียนในชวงชั้นที่ 4ระดับชั้น มัธยมศึกษาป[ที่ 4-6. ปริญญานิพนธ, กศ.ม. กรุงเทพฯ : มหาวิทยาลัยศรีนครินทรวิโรฒ, 2547. ณรงค, รอดพันธ,. “ครูกับการพัฒนาตนเอง,” ขาราชการครู. 19(3) : 37-39 ; กุมภาพันธ, – มีนาคม, 2542. ทองทิพภา วิริยะพันธุ,. มนุษยสัมพันธ,กับการบริหาร. กรุงเทพฯ : ม.ป.พ., 2549. ธนัญญา คนอยู. ปAจจัยเชิงสาเหตุที่สงผลตอความเชื่อมั่นในตนเอง ของนักเรียนชั้นมัธยมศึกษา ป[ที่ 3 ในเขตพื้นที่การศึกษากรุงเทพมหานคร เขต 3. ปริญญานิพนธ, กศ.ม. กรุงเทพฯ : มหาวิทยาลัยศรีนครินทรวิโรฒ, 2547. ธีรภาพ วัฒนวิจารณ,. “ความเชื่อมั่น,” นิตยสารผูจัดการ. หนา 127. 19 มกราคม 2545. นงนุช โรจนเลิศ. การศึกษาตัวแปรที่เกี่ยวของกับการควบคุมตนเองของนักเรียนวัยรุน. ปริญญานิพนธ, กศ.ม. กรุงเทพฯ : มหาวิทยาลัยศรีนครินทรวิโรฒ, 2533. นงลักษณ, วิรัชชัย. ความสัมพันธ,โครงสรางเชิงเสน (LISREL) สถิติวิเคราะห,สําหรับการวิจัยทาง สังคมและพฤติกรรมศาสตร,. กรุงเทพฯ : โรงพิมพ,จุฬาลงกรณ,มหาวิทยาลัย, 2542. . เป]ดโลกวิจัยการศึกษา รวมการบรรยายและอภิปรายเรื่องการวิจัย : เสนทางสูความสําเร็จ ของการปฏิรูปการศึกษา. กรุงเทพฯ : คณะครุศาสตร,จุฬาลงกรณ,มหาวิทยาลัย, 2545. นฤมล สุนสวัสดิ์. การพัฒนาประสิทธิภาพในการทํางาน. กรุงเทพฯ : สํานักพิมพ,วันทิพย,, 2549. นวรินทร, ตากอนทอง. การศึกษาเปรียบเทียบการอางสาเหตของความสําเร็จและความลมเหลว ในการเรียนของนักเรียนระดับชั้นมัธยมศึกษา ในสังกัดสํานักงานเขตพื้นที่การศึกษา นครสวรรค, เขต 1 ที่มีระดับการรับรูความสามารถของตนเองในการเรียนแตกตางกัน. ปริญญานิพนธ, กศ.ม. กรุงเทพฯ : มหาวิทยาลัยศรีนครินทรวิโรฒ, 2549. นิตยา กัณณิกาภรณ,. การศึกษาปAจจัยบางประการทีสงผลตอการพัฒนาตนเองตาม จรรยาบรรณวิชาชีพครูของขาราชการครู สังกัดกรุงเทพมหานคร. ปริญญานิพนธ, กศ.ม. กรุงเทพฯ : มหาวิทยาลัยศรีนครินทรวิโรฒ, 2553. นิตยา คชภักดี. “การสงเสริมสุขภาพและอนามัยสิ่งแวดลอม, ไข 10 ขดของใจ,” พัฒนา E.Q. คู I.Q. 2(22) : 4 ; ตุลาคม-ธันวาคม, 2542.
  • 127.
    113 นิตยา วรรณรัตน,. ผลของโปรแกรมการปรับพฤติกรรมทางปAญญาเพื่อพัฒนาการควบคุมตนเอง ของนักเรียนชั้นมัธยมศึกษาป[ที่3 โรงเรียนบานแชฟoา จังหวัดแพร. วิทยานิพนธ, ศษ.ม. เชียงใหม : มหาวิทยาลัยเชียงใหม, 2546. นิศากร ลอกไธสง. ปAจจัยที่มีอิทธิพลตอการรับรูความสามารถของตนเองในการวิจัยของขาราชการครู สังกัดสํานักงานเขตพื้นที่การศึกษาภาคตะวันออกเฉียงเหนือตอนบน. วิทยานิพนธ, กศ.ม. มหาสารคาม : มหาวิทยาลัยมหาสารคาม, 2553. เนาวรัตน, ไตรยงค,. ปAจจัยทางจิตสังคมที่เกี่ยวของกับพฤติกรรมการพัฒนาตนใหรอบรูของนักเรียน ชวง ชั้นที่ 2 สังกัดสํานักงานเขตพื้นที่การศึกษาศรีสะเกษ เขต 3. วิทยานิพนธ, ค.ม อุบลราชธานี : มหาวิทยาลัยราชภัฏอุบลราชธานี, 2552. บุญชม ศรีสะอาด. วิธีการทางสถิติสําหรับการวิจัย. กรุงเทพฯ : สุวีริยสาส,น, 2542. ประภาพร คนซื่อ. การศึกษาความสัมพันธ,ระหวางปAจจัยบางประการกับความสามารถใน การควบคุมตนเอง ของนักเรียนชั้นมัธยมศึกษาป[ที่ 3 ในเขตพื้นที่การศึกษาลพบุรี เขต 2. ปริญญานิพนธ, กศ.ม. กรุงเทพฯ : มหาวิทยาลัยศรีนครินทรวิโรฒ, 2552. ประเวศ วะสี. คุยกันเรื่องความคิด. พิมพ,ครั้งที่ 4. กรุงเทพฯ : มูลนิธิโกมลคีมทอง, 2541. ประสาท อิศรปรีดา. จิตวิทยาการศึกษา. มหาสารคาม : อภิชาตการพิมพ,, 2523. . สารัตถะจิตวิทยาการศึกษา. พิมพ,ครั้งที่ 7. มหาสารคาม : โครงการตํารา คณะศึกษาศาสตร, มหาวิทยาลัยมหาสารคาม, 2552. ปราณี เพ็ชรศิริ. การศึกษาความสัมพันธ,ระหวางปAจจัยบางประการกับผลสัมฤทธิ์ทางการเรียนของ นักศึกษาระดับประกาศนียบัตรวิชาชีพชั้นสูง โรงเรียนกรุงเทพการบัญชีวิทยาลัย. ปริญญานิพนธ, กศ.ม. กรุงเทพฯ : มหาวิทยาลัยศรีนครินทรวิโรฒ, 2549. ปราณี รามสูต. จิตวิทยาในองค,กร. กรุงเทพฯ : มหาวิทยาลัยราชภัฏธนบุรี, 2548. ปราณี รามสูตร และจํารัส ดวงสุวรรณ. พฤติกรรมมนุษย,กับการพัฒนาตน. พิมพ,ครั้งที่ 3. กรุงเทพฯ : โรงพิมพ,ธนะการพิมพ,, 2545. ปรีชา พรมบุตร. การพัฒนาตนเอง. 2555 <http://promboot2011. blogspot.com/2011/05/self-development.html> 7 มีนาคม 2555. ป]ยะวดี ลีฬหบํารุง. การพัฒนาการมองโลกในแงดีดวยโปรแกรมการฝXกทักษะการคิดของนิสิต มหาวิทยาลัยศรีนครินทรวิโรฒ. ปริญญานิพนธ, กศ.ม. กรุงเทพฯ : มหาวิทยาลัย ศรีนครินทรวิโรฒ, 2547. พงษ,พันธ, พงษ,โสภา. จิตวิทยาการศึกษา. กรุงเทพฯ : พัฒนาศึกษา, 2542. พรรณทิพย, ศิริวรรณบุศย,. ทฤษฎีจิตวิทยาพัฒนาการ. พิมพ,ครั้งที่ 4. กรุงเทพฯ : สํานักพิมพ,แหงจุฬาลงกรณ,มหาวิทยาลัย, 2551. “พระราชบัญญัติการศึกษาแหงชาติ,” 2542 <http://kormor.obec.go.th/act/act002.pdf > วันที่ 12 มีนาคม 2555. พนม เกตุมาน. ปAญหาการเรียน. 2550. <http://www.psyclin.co.th/ new_page_37.htm > วันที่ 12 มีนาคม 2555.
  • 128.
    114 พินกาน ภัทเศรษฐ,. การแสดงหลักฐานความเที่ยงตรงตามโครงสรางและความเชื่อมั่นของมาตรวัด แรงจูงใจใฝUสัมฤทธิ์ที่มีรูปแบบตางกันสําหรับนักเรียนระดับชวงชั้นที่ 3 ในโรงเรียนสังกัด สํานักงานเขตพื้นที่การศึกษากรุงเทพมหานคร เขต 1. ปริญญานิพนธ, กศ.ม. กรุงเทพฯ : มหาวิทยาลัยศรีนครินทรวิโรฒ, 2551. ภัทราภรณ, สังข,ทอง. พัฒนาการของการเรียนรูโดยการกํากับตนเองของนักเรียนชวงชั้นที่ 2 ที่มีการรับรูความสามารถของตนเองตางกัน สังกัดสํานักงานเขตพื้นที่การศึกษานนทบุรี เขต 1. ปริญญานิพนธ, กศ.ม. กรุงเทพฯ : มหาวิทยาลัยศรีนครินทรวิโรฒ, 2550. เมธาวดี สังขะมาน. ตัวแปรคัดสรรที่สัมพันธ,กับความสามารถในการเผชิญปAญหาและฝUาฟAน อุปสรรค ของนักเรียนชวงชั้นที่ 4 จังหวัดหนองคาย ป[การศึกษา 2547. วิทยานิพนธ, กศ.ม. มหาสารคาม : มหาวิทยาลัยมหาสารคาม, 2548. รังสรรค, โฉมยา. รวมศัพท,ที่สําคัญทางจิตวิทยา. มหาสารคาม : มหาวิทยาลัยมหาสารคาม, 2553. รุงฤดี กิจควร. “การพัฒนาทรัพยากรมนุษย,คืออะไร: พัฒนาทําไม ทําไมตองพัฒนา,” วารสารการพัฒนาทรัพยากรมนุษย,. 1(1) : 173-195 ; ต.ค.-ธ.ค., 2548 เรียม ศรีทอง. พฤติกรรมมนุษย,กับการพัฒนาตน. กรุงเทพฯ : เธิร,ดเวฟ เอ็ดดูเคชั่น, 2542. ลวน สายยศ และอังคณา สายยศ. การวัดดานจิตพิสัย. กรุงเทพฯ : สุวีริยาสาส,น, 2543. . เทคนิคการการวัดผลการเรียนรู. พิมพ,ครั้งที่ 2. กรุงเทพฯ : สุวีริยาสาสน,, 2543. วันทนา กิติทรัพย,กาญจนา. ปAจจัยที่มีอิทธิพลตอแรงจูงใจใฝUสัมฤทธิ์ทางการเรียนวิชาฟ]สิกส, ของนักเรียนชั้นมัธยมศึกษาตอนปลาย กรุงเทพมหานคร. วิทยานิพนธ, วท.ม. กรุงเทพฯ : สถาบันเทคโนโลยีพระจอมเกลาเจาคุณทหารลาดกระบัง, 2546. วาสนา จันทร,จาย. การศึกษาปAจจัยบางประการที่สงผลตอการพัฒนาตนเองของนักศึกษา มหาวิทยาลัยราชภัฏสวนดุสิต. ปริญญานิพนธ, กศ.ม. กรุงเทพฯ : มหาวิทยาลัย ศรีนครินทรวิโรฒ, 2553. วินิรณี ทัศนะเทพ. พฤติกรรมมนุษย,กับการพัฒนาตน. บุรีรัมย, : มหาวิทยาลัยราชภัฏบุรีรัมย,, 2549. วิลาสลักษณ, ชัววัลลี. “การรับรูความสามารถของตนเองในเรื่องอาชีพ,” วารสารจิตวิทยา. 1(1) : 97-109, 2538. วิทยากร เชียงกูล. ปAญหาการจัดการศึกษาของไทยเปรียบเทียบกับประเทศอื่น. 2555. <http://webcache.googleusercontent.com/ search?q=cache:5MnedFxnrIEJ: witayakornclub.wordpress.com/2012/03/14> วันที่ 12 มีนาคม 2555. วีรฉัตร สุปAญโญ. การรักษาสภาพองค,กรใหมีประสิทธิภาพ. สงขลา : มหาวิทยาลัยทักษิณ, 2548. ศรีแพร ทวิลาภกุล. การพัฒนาตนเองของขาราชการสํานักขาวกรองแหงชาติ. กรุงเทพฯ : มหาวิทยาลัยเกษตรศาสตร,, 2549.
  • 129.
    115 ศิริชนก จุลนาง. การพัฒนาโมเดลปAจจัยเชิงสาเหตุที่สงผลตอความสามารถในการเผชิญปAญหา และฝUาฟAนอุปสรรค(AQ) ของนิสิตระดับปริญญาตรีมหาวิทยาลัยมหาสารคาม : การ วิเคราะห,กลุมพหุ. วิทยานิพนธ, กศ.ม. มหาสารคาม : มหาวิทยาลัยมหาสารคาม, 2552. ศิริชัย กาญจนวาสี. “โมเดลเชิงสาเหตุ : การสรางและการวิเคราะห,,” ใน รวมบทความทางวิธี วิทยาการวิจัย เลม 1. หนา 50. กรุงเทพฯ : จุฬาลงกรณ,มหาวิทยาลัย, 2541. ศิวกานต, ธิมาชัย. ปAจจัยทางจิตสังคมที่เกี่ยวของกับพฤติกรรมการพัฒนาตนใหรอบรูของ ขาราชการครูสังกัดสํานักงานเขตพื้นที่การศึกษายโสธร เขต 2. วิทยานิพนธ, ค.ม มหาวิทยาลัยราชภัฏอุบลราชธานี, 2552. ศิวพร ไชยพยอม. ความสัมพันธ,เชิงสาเหตุของปAจจัยดานคุณลักษณะทางจิตพิสัย ที่สงผลตอ ความสามารถดานตัวเลขของนักเรียนระดับมัธยมศึกษาป[ที่ 3 ในเขตพื้นที่การศึกษา เพชรบุรี เขต 1. ปริญญานิพนธ, กศ.ม. กรุงเทพฯ : มหาวิทยาลัยศรีนครินทรวิโรฒ, 2550. “ศูนย,ปฏิบัติการ GPA สํานักทดสอบทางการศึกษา,” 2555 <http://gpa.moe.go.th/studentinfo/> วันที่ 7 มีนาคม 2555. สงวน สุทธิเลิศอรุณ. พฤติกรรมมนุษย,กับการพัฒนาตน. กรุงเทพฯ : อักษราพิพัฒน,, 2545. สมจินตนา คุปตสุนทร. การศึกษาความเชื่อมั่นในตนเองของเด็กปฐมวัยที่ไดรับการจัด ประสบการณ,การละเลนพื้นบานของไทย. ปริญญานิพนธ, กศ.ม. กรุงเทพฯ : มหาวิทยาลัยศรีนครินทรวิโรฒ, 2547. สมใจ จุฑาผาด. ปAจจัยเชิงที่สัมพันธ,กับความสามารถในการเผชิญปAญหาและฝUาฟAนอุปสรรค (AQ) ของนักเรียนชั้นมัธยมศึกษาป[ที่ 6 ในจังหวัดกาฬสินธุ,. วิทยานิพนธ, กศ.ม. มหาสารคาม : มหาวิทยาลัยมหาสารคาม, 2549. สมใจ ธนเกียรติมงคล. การศึกษาโมเดลความสัมพันธ,เชิงสาเหตุของปAจจัยที่มีอิทธิพลตอการ รับรูความสามารถของตนเองในการทําปริญญานิพนธ, ของนิสิตระดับบัณฑิตศึกษา คณะศึกษาศาสตร, กรณีศึกษามหาวิทยาลัยศรีนครินทรวิโรฒ. ปริญญานิพนธ, กศ.ม. กรุงเทพฯ : มหาวิทยาลัยศรีนครินทรวิโรฒ, 2553. สมบัติ ทายเรือคํา. การวิจัยการศึกษาเบื้องตน. มหาสารคาม : คณะศึกษาศาสตร, มหาวิทยาลัย มหาสารคาม, 2546. . ระเบียบวิธีวิจัยสําหรับมนุษย,ศาสตร,และสังคมศาสตร,. กาฬสินธุ, : ประสาน การพิมพ,, 2551. . ระเบียบวิธีวิจัยสําหรับมนุษยศาสตร,และสังคมศาสตร,. พิมพ,ครั้งที่ 4. มหาสารคาม : สํานักพิมพ,มหาวิทยาลัยมหาสารคาม, 2553 ก. . สถิติขั้นสูงสําหรับการวิจัยทางการศึกษา. มหาสารคาม : สํานักพิมพ,มหาวิทยาลัย มหาสารคาม, 2553 ข. . สถิติชั้นสูง สําหรับการวิจัยทางการศึกษา. กาฬสินธุ, : ประสารการพิมพ,, 2552. สมโภชน, เอี่ยมสุภาษิต. ทฤษฏีและเทคนิคการปรับพฤติกรรม. พิมพ,ครั้งที่ 3. กรุงเทพฯ : โรงพิมพ,จุฬาลงกรณ,มหาวิทยาลัย, 2541.
  • 130.
    116 สมิต อาชวนิจกุล. การพัฒนาตนเอง.พิมพ,ครั้งที่ 12. กรุงเทพฯ : ดอกหญา, 2543. สํานักงานคณะกรรมการการอุดมศึกษา. เอกสารสาระการเรียนรู ประกอบชุดวิชาการพัฒนาการ บริหารสถาบันการศึกษา. กรุงเทพฯ : สํานักงานคณะกรรมการการอุดมศึกษา, 2546. สํานักงานคณะกรรมการพัฒนาการเศรษฐกิจ และสังคมแหงชาติ สํานักนายกรัฐมนตรี แผนพัฒนา เศรษฐกิจและสังคมแหงชาติ ฉบับที่ 10 พ.ศ.2550-2554. กรุงเทพฯ : สํานักพิมพ, สูตรไพศาล, 2550. สํานักงานคณะกรรมการการอุดมศึกษา. เอกสารสาระการเรียนรู ประกอบชุดวิชาการ พัฒนาการบริหารสถาบันการศึกษา. กรุงเทพฯ : ม.ป.พ., 2546. สุนทรพจน, ดํารงค,พานิช. โมเดลการจัดลําดับความสัมพันธ,เชิงสาเหตุของอัตมโนทัศน,วิชาการอัตมโน ทัศน,ไมใชวิชาการ และผลสัมฤทธิ์ทางการเรียน : การวิเคราะห,กลุมพหุ. วิทยานิพนธ, ค.ด. กรุงเทพฯ : จุฬาลงกรณ,มหาวิทยาลัย, 2550. สุภมาส จินะราช. การศึกษาความสัมพันธ,ระหวางปAจจัยบางประการกับการพัฒนาตนเองของนิสิต ภาคพิเศษระดับบัณฑิตศึกษา คณะศึกษาศาสตร, มหาวิทยาลัยศรีนครินทรวิโรฒ. ปริญญานิพนธ, กศ.ม. กรุงเทพฯ : มหาวิทยาลัยศรีนครินทรวิโรฒ, 2549. สุภัทททา ป]ณฑะแพทย,. พฤติกรรมกับการพัฒนาตน. กรุงเทพฯ : สถาบันราชภัฏสวนสุนันทา, 2543. สุภะ อภิญญาภิบาล. ความสัมพันธ,เชิงสาเหตุของปAจจัยบางประการกับความสามารถในการเผชิญ อุปสรรค ของนิสิตระดับปริญญาตรี มหาวิทยาลัยศรีนครินทรวิโรฒ. ปริญญานิพนธ, กศ.ม. กรุงเทพฯ : มหาวิทยาลัยศรีนครินทรวิโรฒ, 2550. สุภา สุขวิบูลย,. การพัฒนาตนเองตามเกณฑ,มาตรฐานวิชาชีพครูของขาราชการโรงเรียนวัดราชคฤห, สํานักงานเขตธนบุรี กรุงเทพมหานคร. กรุงเทพฯ : มหาวิทยาลัยราชภัฏธนบุรี, 2549. สุมาลี พั่วชู. การศึกษาพัฒนาการความสามารถในการคิดสังเคราะห,และการมองโลกในแงดีของ นักเรียนชั้นมัธยมศึกษาชวงชั้นที่ 3 ในเขตพื้นที่การศึกษากรุงเทพมหานคร เขต 3. ปริญญานิพนธ, กศ.ม. กรุงเทพฯ : มหาวิทยาลัยศรีนครินทรวิโรฒ, 2547. สุรินทร, บูสาลี. การพัฒนาตนเองตามเกณฑ,มาตรฐานวิชาชีพครูของขาราชการครูโรงเรียนวัดพรหม สุวรรณสามัคคี. วิทยานิพนธ, กศ.ม กรุงเทพฯ : สถาบันราชภัฏบานสมเด็จเจาพระยา, 2545. อรพลอย เกษมสันต, ณ อยุธยา. การศึกษาการเปรียบเทียบการควบคุมตนเอง และมโนภาพแหงตน ของนักศึกษาวัยรุนที่อาศัยอยูในหอพักกับนักศึกษาวัยรุนที่อาศัยอยูตามบาน. ปริญญานิพนธ, กศ.ม. กรุงเทพฯ : มหาวิทยาลัยศรีนครินทรวิโรฒ, 2546. อรพินทร, ชูชม. “จากทฤษฎีสูแนวปฏิบัติในการมองโลกในแงดี,” พฤติกรรมศาสตร,. 7(1) : 43-53 ; พฤษภาคม, 2544. อรอุษา จันทคร. การศึกษาความสัมพันธ,ระหวางปAจจัยบางประการกับการพัฒนาตนเองตาม เกณฑ,มาตรฐานวิชาชีพครู ของครูในเขตพื้นที่การศึกษานครปฐม เขต 2. ปริญญานิพนธ, กศ.ม. กรุงเทพฯ : มหาวิทยาลัยศรีนครินทรวิโรฒ, 2551. อังคณา บุญสีสด. คูมือพัฒนาความรับผิดชอบของนักเรียนชวงชั้นที่ 1. ปริญญานิพนธ, กศ.ม. กรุงเทพฯ : มหาวิทยาลัยศรีนครินทรวิโรฒ, 2551.
  • 131.
    117 อัญชลี สุดเสนห,. การเปรียบเทียบลักษณะการมุงอนาคตและอัตมโนทัศน,ของนักเรียน ชั้นมัธยมศึกษาป[ที่ 6 ระหวางนักเรียนที่มีการอบรมเลี้ยงดู แรงจูงใจใฝUสัมฤทธิ์ และบุคลิกภาพตางกัน. วิทยานิพนธ, กศ.ม. มหาสารคาม : มหาวิทยาลัยมหาสารคาม, 2548. อารี พันธ,มณี. จิตวิทยาการเรียนการสอน. กรุงเทพฯ : เลิฟแอนด,สิฟเพรส, 2542. Atkinson, John W. Motive in Fantasy Action and Society. New Delhi : Affiliated East West Press, PVT.Ltd., 1964. Bandura, A. Self-Efficacy : The Exercise of Control. New York : W.H. Freeman and Company, 1997. Comier, William H. & Comier , Sherilyn L. Interviewing Strategies for Helpers : A Guilde for Assessment , Treatment and Evaluation. California : Brooks/Cole, 1979. Grootenboer, Peter. Self-directed Teacher Professinal Development. 2012. <http://aare.due.au/99pap/gro99601.htm. > 9 April 2012. James, B. Schrieber. Core Reporting Practices in Structural Equation Modeling. S.l. : s.n., 2008. Kelly, A.P. et al. Interchange: A Quarterly Review of Education. 2008. <http://www.eric.ed.gov/ERICWebPortal/search> 9 April 2012. Kline, R.B. Principles and Practice of Structural Equation Modeling. 2 rd ed. New York : Guilford, 2005. Louys et al. Educational Technology & Society. 2009. <http://www.eric.ed.gov/ERICWebPortal/search> 9 April 2012. Mercer & Jenny. Psychology Teaching Review. 2010. <http://www.eric.ed.gov/ERICWebPortal/search> 9 April 2012. Pajares, F. “Current Directions in Self Research,” Self-Efficacy. 1996. <http://www.emory.edu/EDUCATION/mfp/aeral.html> 2009. Staples, D.S., J.M. Hylland and C.A. Higgins.(2009). A self-Efficacy Theory Explanation for the Management of Remote Workers in Virtual Organization. 4 June 1998.< http://orgsci.journal.informs.org/content/10/6/758.short > Schunk, Dale H. Self-Efficacy Perspective on Achievement Behavior. 1982. <http://eric.ed.gov/ERICWebPortal> 9 April 2012. Stevens, James. Applied Multivariate Statistics for the Social Science. 2nd ed. New Jersey : Lawrence Erlbaum, 1992. West, S. G.; Finch, J. F. & Curran, P.J. “Structural equation models with non- Narmalvariables : Problems and Remedies,” in Structural Equation Modeling : ConcepteIssues and Applications. Edited by R.Hoyle. p. 56-57. Newbury Park, CA : Sage, 1995.
  • 132.
  • 133.
  • 134.
    120 รายชื่อผูเชี่ยวชาญ 1. อาจารย ดร.สุนทรพจนดํารงพานิช อาจารยประจําภาควิชาวิจัย มหาวิทยาลัย มหาสารคาม ค.ด. (วิธีวิทยาการวิจัยการศึกษา) 2. นางกัญจกมล มาลี ครูชํานาญการ รร.ฝ+,งแดงวิทยาสรรค จังหวัดหนองบัวลําภู กศ.ม (การวิจัยและสถิติทางการศึกษา) 3. นางสาวศิริชนก จุลนาง ครู รร.คําแสนวิทยาสรรค จังหวัดหนองบัวลําภู กศ.ม (การวิจัยการศึกษา) 4. นายเล็ก ขมิ้นเขียว ผู8อํานวยการ รร.นาวังศึกษาวิช จังหวัดหนองบัวลําภู ค.ม (การวัดและประเมินผลการศึกษา) 5. นายกิตติศักดิ์ กล8าแข็ง นักจิตวิทยา รร.หนองพอกวิทยาลัย จังหวัดร8อยเอ็ด วท.บ (จิตวิทยาคลีนิคและชุมชน)
  • 135.
  • 136.
    122 ตาราง 14 ดัชนีความสอดคล8องระหว;างข8อคําถามกับนิยามศัพทเฉพาะค;าอํานาจจําแนก และ ค;าความเชื่อมั่นของแบบวัดการพัฒนาตนเอง ข8อที่ ดัชนีความสอดคล8อง (IOC) สรุปผล ค;าอํานาจจําแนก (r) ฉบับจริงข8อที่ PDE 1 1.00 สอดคล8อง 0.80* 1 2 1.00 สอดคล8อง 0.76* 2 3 0.60 สอดคล8อง 0.68* 3 4 1.00 สอดคล8อง 0.64* - 5 0.60 สอดคล8อง 0.68* 4 6 0.60 สอดคล8อง 0.56* - 7 1.00 สอดคล8อง 0.70* 5 SDE 8 1.00 สอดคล8อง 0.62* - 9 0.60 สอดคล8อง 0.70* - 10 1.00 สอดคล8อง 0.70* 6 11 1.00 สอดคล8อง 0.72* 7 12 0.60 สอดคล8อง 0.74* 8 13 0.80 สอดคล8อง 0.76* 9 14 0.80 สอดคล8อง 0.76* 10 15 1.00 สอดคล8อง 0.74* 11 LDE 16 0.60 สอดคล8อง 0.58* 12 17 1.00 สอดคล8อง 0.82* 13 18 1.00 สอดคล8อง 0.60* 14 19 1.00 สอดคล8อง 0.54* - 20 1.00 สอดคล8อง 0.56* - 21 0.60 สอดคล8อง 0.76* 15 ค;าความเชื่อมั่น = .89 * มีนัยสําคัญทางสถิติที่ระดับ .05
  • 137.
    123 ตาราง 15 ดัชนีความสอดคล8องระหว;างข8อคําถามกับนิยามศัพทเฉพาะค;าอํานาจจําแนก และค;าความเชื่อมั่นของแบบวัดป+จจัยที่ส;งผลต;อการพัฒนาตนเองการมองโลกในแง;ดี ข8อที่ ดัชนีความสอดคล8อง(IOC) สรุปผล ค;าอํานาจจําแนก (r) ฉบับจริงข8อที่ PEM 1 0.6 สอดคล8อง .66* 1 2 0.8 สอดคล8อง .54* 2 3 0.8 สอดคล8อง .28* - 4 0.8 สอดคล8อง .58* 3 5 0.6 สอดคล8อง .50* - PEV 6 0.8 สอดคล8อง .56* - 7 0.8 สอดคล8อง .76* 4 8 0.6 สอดคล8อง .60* 5 9 0.8 สอดคล8อง .36* - 10 0.6 สอดคล8อง .82* 6 PES 11 0.8 สอดคล8อง .25* - 12 0.8 สอดคล8อง .68* 7 13 0.6 สอดคล8อง .62* 8 14 0.6 สอดคล8อง .24* - 15 0.8 สอดคล8อง .88* 9 ความเชื่อมั่นในตนเอง EST 16 1.0 สอดคล8อง .34* - 17 1.0 สอดคล8อง .68* 10 18 1.0 สอดคล8อง .64* - 19 1.0 สอดคล8อง .74* 11 20 1.0 สอดคล8อง .56* 12 COU 21 0.8 สอดคล8อง .64* 13 22 1.0 สอดคล8อง .28* - 23 0.8 สอดคล8อง .92* 14 24 1.0 สอดคล8อง .26* - 25 0.8 สอดคล8อง .80* 15 SRE 26 0.8 สอดคล8อง .30* - 27 0.8 สอดคล8อง .56* - 28 1.0 สอดคล8อง .84* 16 29 1.0 สอดคล8อง .92* 17
  • 138.
    124 ตาราง 15 (ต;อ) ข8อที่ดัชนีความสอดคล8อง (IOC) สรุปผล ค;าอํานาจจําแนก (r) ฉบับจริงข8อที่ SRE 30 1.0 สอดคล8อง .62* 18 AUT 31 1.0 สอดคล8อง .92* 19 32 1.0 สอดคล8อง .32* - 33 1.0 สอดคล8อง .40* 20 34 1.0 สอดคล8อง .70* 21 35 1.0 สอดคล8อง .32* - ADA 36 1.0 สอดคล8อง .62* 22 37 0.8 สอดคล8อง .25* - 38 1.0 สอดคล8อง .64* 23 39 1.0 สอดคล8อง .70* 24 40 0.8 สอดคล8อง .53* - แรงจูงใจใฝWสัมฤทธิ์ ASP 41 0.6 สอดคล8อง .80* 25 42 1.0 สอดคล8อง .78* 26 43 1.0 สอดคล8อง .66* - 44 1.0 สอดคล8อง .94* 27 45 1.0 สอดคล8อง .72* - ENA 46 1.0 สอดคล8อง .64* - 48 1.0 สอดคล8อง .76* 28 48 0.6 สอดคล8อง .56* - 49 0.6 สอดคล8อง .74* 29 50 0.6 สอดคล8อง .90* 30 MRT 51 1.0 สอดคล8อง .78* 31 52 1.0 สอดคล8อง .60* 32 53 0.6 สอดคล8อง .28* - 54 1.0 สอดคล8อง .74* 33 55 0.6 สอดคล8อง .44* - PLA 56 1.0 สอดคล8อง .62* - 57 0.8 สอดคล8อง .78* - 58 0.6 สอดคล8อง .84* 34 59 1.0 สอดคล8อง .82* 35 60 1.0 สอดคล8อง .78* 36
  • 139.
    125 ตาราง 15 (ต;อ) ข8อที่ ดัชนีความสอดคล8อง (IOC) สรุปผลค;าอํานาจจําแนก (r) ฉบับจริงข8อที่ UOC 61 0.6 สอดคล8อง .40* 37 62 1.0 สอดคล8อง .34* - 63 1.0 สอดคล8อง .36* - 64 1.0 สอดคล8อง .62* 38 65 0.6 สอดคล8อง .40* 39 การรับรู8ความสามารถของตนเอง EAT 66 1.0 สอดคล8อง .78 40 67 1.0 สอดคล8อง .42 - 68 1.0 สอดคล8อง .68 41 68 0.6 สอดคล8อง .40 - 70 0.6 สอดคล8อง .70 42 VEX 71 0.6 สอดคล8อง .62 - 72 0.6 สอดคล8อง .76 - 73 1.0 สอดคล8อง .84 43 74 1.0 สอดคล8อง .90 44 75 1.0 สอดคล8อง .76 45 PEV 76 1.0 สอดคล8อง .58 - 77 1.0 สอดคล8อง .70 46 78 1.0 สอดคล8อง .78 47 79 0.8 สอดคล8อง .68 48 80 1.0 สอดคล8อง .64 - PST 81 1.0 สอดคล8อง .52 49 82 1.0 สอดคล8อง .46 50 83 1.0 สอดคล8อง .38 51 84 0.6 สอดคล8อง .26 - 85 1.0 สอดคล8อง .28 - การควบคุมตนเอง GOA 86 1.0 สอดคล8อง .58* 52 87 1.0 สอดคล8อง .60* 53 88 1.0 สอดคล8อง .40* - 89 0.6 สอดคล8อง .60* - 90 0.6 สอดคล8อง .84* 54
  • 140.
    126 ตาราง 15 (ต;อ) ข8อที่ ดัชนีความสอดคล8อง (IOC) สรุปผลค;าอํานาจจําแนก (r) ฉบับจริงข8อที่ RES 91 1.0 สอดคล8อง .46* 55 92 1.0 สอดคล8อง .25* - 93 0.6 สอดคล8อง .28* - 94 1.0 สอดคล8อง .50* 56 95 0.6 สอดคล8อง .48* 57 STE 100 1.0 สอดคล8อง .24* - 101 0.6 สอดคล8อง .28* - 102 1.0 สอดคล8อง .50* 58 103 0.6 สอดคล8อง .46* 59 104 0.8 สอดคล8อง .60* 60 PAT 105 1.0 สอดคล8อง .80* 61 106 0.6 สอดคล8อง .68* - 107 0.6 สอดคล8อง .86* 62 108 1.0 สอดคล8อง .40* - 109 1.0 สอดคล8อง .92* 63 ค;าความเชื่อมั่นทั้งฉบับ = .78 * มีนัยสําคัญทางสถิติที่ระดับ .05
  • 141.
  • 142.
    128 แบบวัดการพัฒนาตนเอง ของนักเรียนมัธยมศึกษาป*ที่ 6 สํานักงานเขตพื้นที่การศึกษามัธยมศึกษาเขต 19 (เลย - หนองบัวลําภู) คําชี้แจง 1. แบบวัดแบบวัดการพัฒนาตนเอง ของนักเรียนมัธยมศึกษาปที่ 6 เป]นเครื่องมือในการทําวิจัย เพื่อทําวิทยานิพนธ เรื่อง “ป+จจัยที่ส;งผลต;อการพัฒนาตนเอง ของนักเรียนมัธยมศึกษา ปที่ 6 สํานักงานเขตพื้นที่การศึกษามัธยมศึกษา เขต 19 (เลย - หนองบัวลําภู)” 2. แบบวัดนี้ มี 2 ตอน ได8แก; ตอนที่ 1 ข8อมูลนักเรียน ตอนที่ 2 การพัฒนาตนเอง ของนักเรียนมัธยมศึกษาปที่ 6 จํานวน 15 ข8อ 3. แบบวัดนี้ต8องการถามเกี่ยวกับข8อมูลทั่วไปของนักเรียน และการพัฒนาตนเอง ของนักเรียน มัธยมศึกษาปที่ 6 สํานักงานเขตพื้นที่การศึกษามัธยมศึกษา เขต 19 (เลย - หนองบัวลําภู) ขอให8นักเรียนตอบแบบวัดนี้ให8ตรงกับสภาพความเป]นจริง คําตอบของนักเรียนจะไม;มี ผลกระทบต;อนักเรียนแต;อย;างใด คําถามแต;ละข8อไม;มีคําตอบที่ถูกหรือผิด คําตอบที่ดีที่สุดคือคําตอบที่ ตรงกับสภาพความเป]นจริงในป+จจุบันของนักเรียนมากที่สุดเท;าที่จะเป]นไปได8 ขอให8นักเรียนตอบให8ครบทุกข8อและขอขอบคุณนักเรียนที่ให8ความร;วมมือ นายสุพร มูลศรี นิสิตปริญญาโท สาขาการวิจัยการศึกษา มหาวิทยาลัยมหาสารคาม
  • 143.
    129 ตอนที่ 1 ขอมูลทั่วไปของผูตอบแบบสอบถาม คําชี้แจงโปรดทําเครื่องหมายถูก ลงในช;องคําตอบที่นักเรียนเห็นว;าตรงกับข8อเท็จจริง ของนักเรียน 1. โรงเรียน______________________________จังหวัด เลย หนองบัวลําภู 2. เพศ ชาย หญิง อายุ __________ ป 3. กําลังศึกษาอยู;ในระดับชั้น มัธยมศึกษาปที่ 6 ปการศึกษา 2555 ตอนที่ 2 แบบวัดการพัฒนาตนเอง ของนักเรียนมัธยมศึกษาป*ที่ 6 คําชี้แจง 1. แบบวัดแบบวัดการพัฒนาตนเอง ของนักเรียนมัธยมศึกษาปที่ 6 มีทั้งหมด 15 ข8อ 2. ให8นักเรียนอ;านข8อความแล8วพิจารณาว;าข8อความตรงกับความเป]นจริงของนักเรียนในระดับ ใด แล8วทําเครื่องหมาย ลงในช;องว;างช;องใดช;องหนึ่งที่ตรงกับความรู8สึกนึกคิดหรือพฤติกรรมของนักเรียน การพัฒนาตนเอง (Self-development) ขอ ขอความ ระดับพฤติกรรม มากที่สุด มาก ปาน กลาง นอย นอย ที่สุด 1. ข8าพเจ8าวางแผน กําหนดเปbาหมายในชีวิต และพยายามดําเนินไปเพื่อให8บรรลุเปbาหมายที่ตั้งไว8 2. ข8าพเจ8ายอมรับฟ+งคําแนะนําเกี่ยวกับนิสัยของตนเองจากคน อื่น แล8วนํามาพิจารณาปรับปรุงแก8ไขตนเอง 3. ข8าพเจ8ายอมรับความสามารถและความสําเร็จของเพื่อน และใช8เป]นแนวทางในการพัฒนาตนเอง 4. ข8าพเจ8าคิดทบทวนการกระทําที่ผ;านมาของตนเอง เพื่อพิจารณาปรับปรุงนิสัยให8ดีขึ้น 5. ข8าพเจ8ามีบุคคลที่ประสบผลสําเร็จเป]นแบบอย;างใน การ ดําเนินชีวิตและเป]นแนวทางในการปรับปรุงพัฒนาตนเอง 6. ข8าพเจ8าพยายามพัฒนาตนเองให8มีความสามารถในหลายๆ ด8าน เพื่อให8ตนเองเป]นที่ยอมรับของกลุ;มเพื่อน 7. ข8าพเจ8าตั้งใจทํางานกลุ;มเพื่อให8เป]นที่ยอมรับของสมาชิกใน กลุ;ม
  • 144.
    130 ขอ ขอความ ระดับพฤติกรรม มากที่สุด มาก ปาน กลาง นอย นอย ที่สุด 8.ข8าพเจ8าพูดคุยและสังเกตพฤติกรรมของเพื่อนที่มีมนุษย สัมพันธและการวางตัวที่ดี เพื่อเป]นแนวทางพัฒนาของ ตนเอง 9. ข8าพเจ8าพยายามเข8าร;วมกิจกรรมบําเพ็ญประโยชนเพื่อ ฝeกฝนให8ตนเองเป]นคนกล8าแสดงออก 11. ข8าพเจ8าตั้งใจทําแบบฝeกหัด และรายงานด8วยตนเองทุกครั้ง ที่ได8รับมอบหมาย 12. ข8าพเจ8าอ;านหนังสือและทบทวนความรู8ในวิชาต;างๆ เป]น ประจํา 13. ข8าพเจ8าหาเทคนิควิธีการเรียนเพื่อให8จดจํา และเข8าใจสิ่งที่ เรียนให8ง;ายขึ้น 14. ข8าพเจ8าฝeกให8ตนเองเป]นคนมีความรับผิดชอบในการเรียน 15. ข8าพเจ8าค8นคว8าข8อมูลอินเตอรเน็ต จากหนังสือ โทรทัศน หนังสือพิมพ วิทยุ และสื่อมวลชนอื่น ๆ เพื่อหาความรู8ใหม;ๆ มาใช8ในการเรียน
  • 145.
    131 แบบวัดปFจจัยที่สGงผลตGอการพัฒนาตนเอง ของนักเรียนมัธยมศึกษาป*ที่ 6 สํานักงานเขตพื้นที่การศึกษามัธยมศึกษาเขต 19 (เลย - หนองบัวลําภู) คําชี้แจง 1. แบบวัดแบบวัดป+จจัยที่ส;งผลต;อการพัฒนาตนเอง ของนักเรียนมัธยมศึกษาปที่ 6 เป]นเครื่องมือในการทําวิจัยเพื่อทําวิทยานิพนธ เรื่อง “ป+จจัยที่ส;งผลต;อการพัฒนาตนเอง ของนักเรียน มัธยมศึกษาปที่ 6 สํานักงานเขตพื้นที่การศึกษามัธยมศึกษา เขต 19 (เลย - หนองบัวลําภู)” 2. แบบวัดนี้ มี 2 ตอน ได8แก; ตอนที่ 1 ข8อมูลนักเรียน ตอนที่ 2 ป+จจัยที่ส;งผลต;อการพัฒนาตนเอง ประกอบด8วย การมองโลกในแง;ดี ความเชื่อมั่นในตนเอง แรงจูงใจใฝWสัมฤทธิ์ การรับรู8ความสามารถของตนเอง การควบคุมตนเอง จํานวน 63 ข8อ 3. แบบวัดนี้ต8องการถามเกี่ยวกับข8อมูลทั่วไปของนักเรียน และป+จจัยการพัฒนาตนเอง การพัฒนาตนเอง ของนักเรียนมัธยมศึกษาปที่ 6 สํานักงานเขตพื้นที่การศึกษามัธยมศึกษา เขต 19 (เลย - หนองบัวลําภู) ขอให8นักเรียนตอบแบบวัดนี้ให8ตรงกับสภาพความเป]นจริง คําตอบของนักเรียนจะไม;มี ผลกระทบต;อนักเรียนแต;อย;างใด คําถามแต;ละข8อไม;มีคําตอบที่ถูกหรือผิด คําตอบที่ดีที่สุดคือคําตอบ ที่ตรงกับสภาพความเป]นจริงในป+จจุบันของนักเรียนมากที่สุดเท;าที่จะเป]นไปได8 ขอให8นักเรียนตอบให8ครบทุกข8อและขอขอบคุณนักเรียนที่ให8ความร;วมมือ นายสุพร มูลศรี นิสิตปริญญาโท สาขาการวิจัยการศึกษา มหาวิทยาลัยมหาสารคาม
  • 146.
    132 ตอนที่ 1 ขอมูลทั่วไปของผูตอบแบบสอบถาม คําชี้แจงโปรดทําเครื่องหมายถูก ลงในช;องคําตอบที่นักเรียนเห็นว;าตรงกับข8อเท็จจริง ของนักเรียน 1. โรงเรียน______________________________จังหวัด เลย หนองบัวลําภู 2. เพศ ชาย หญิง อายุ __________ ป 3. กําลังศึกษาอยู;ในระดับชั้น มัธยมศึกษาปที่ 6 ปการศึกษา 2555 ตอนที่ 2 ปFจจัยที่สGงผลตGอการพัฒนาตนเอง คําชี้แจง 1. แบบวัดแบบวัดป+จจัยที่ส;งผลต;อการพัฒนา ของนักเรียนมัธยมศึกษาปที่ 6 มีทั้งหมด 63 ข8อ 2. ให8นักเรียนอ;านข8อความแล8วพิจารณาว;าข8อความตรงกับความเป]นจริงของนักเรียนในระดับใด แล8วทําเครื่องหมาย ลงในช;องว;างช;องใดช;องหนึ่งที่ตรงกับความรู8สึกนึกคิดหรือพฤติกรรมของนักเรียน การมองโลกในแงGดี (Optimism : OPT) ขอ ขอความ ระดับพฤติกรรม มาก ที่สุด มาก ปาน กลาง นอย นอย ที่สุด 1. ข8าพเจ8าคิดว;าสัมพันธภาพของข8าพเจ8ากับคนรอบข8าง สามารถ เปลี่ยนแปลงและปรับปรุงได8 2. ข8าพเจ8าคิดอยู;เสมอว;า ทุกป+ญหาที่เกิดขึ้นมีทางออกเสมอ 3. ข8าพเจ8าคิดว;าอุปสรรคที่ผ;านเข8ามาในชีวิตเปรียบเสมือนโอกาสหรือ บทเรียนที่จะเสริมสร8างความเข8มแข็งให8ชีวิต 4. การที่ข8าพเจ8าเข8ากับเพื่อนๆและทุกคนได8ดี ทําให8ข8าพเจ8าเข8ากับคน อื่นได8ดีเช;นกัน ถึงแม8จะไม;เคยรู8จักกับคนๆ นั้นมาก;อน 5. เมื่อทํางานใดงานหนึ่งสําเร็จข8าพเจ8าจะหาวิธีการใหม;ๆ เพื่อจะได8 พัฒนาตนเองในชิ้นงานต;อไปได8ดีขึ้น 6. การที่ข8าพเจ8าได8คะแนนดีในวิชาใดวิชาหนึ่ง ทําให8ข8าพเจ8ามี กําลังใจในการทําคะแนนวิชาอื่นๆ 7. สาเหตุที่ข8าพเจ8าเข8ากับเพื่อนๆได8ดี เพราะเพื่อนๆ เห็นว;าข8าพเจ8ามี ความเป]นมิตร 8. สาเหตุที่ข8าพเจ8าได8คะแนนสอบออกมาไม;ดี เป]นเพราะตนเองไม; ขยันเรียน และเตรียมตัวสอบน8อย 9. สาเหตุที่บุคคลที่มอบของขวัญให8ข8าพเจ8าเป]นเพราะมีความ ภาคภูมิใจในตัวของข8าพเจ8า
  • 147.
    133 ความเชื่อมั่นในตนเอง (Self -Confidence : SCF) ขอ ขอความ ระดับพฤติกรรม มาก ที่สุด มาก ปาน กลาง นอย นอย ที่สุด 10 ข8าพเจ8ากล8าตัดสินใจในสิ่งต;าง ๆ ที่คิดไว8อย;างรอบคอบ 11 ข8าพเจ8ารู8สึกลังเลเมื่อไปในสถานที่ที่ไม;มีคนรู8จัก 12 ข8าพเจ8ารู8สึกตื่นเต8น มือสั่น ขาสั่น เมื่อออกไปหน8าชั้น 13 ข8าพเจ8ากล8ายกมือถามครูในห8องเรียนเมื่อมีข8อสงสัย 14 ข8าพเจ8าแต;งกายถูกระเบียบแม8ว;าเพื่อนในกลุ;มจะว;าก็ตาม 15 ข8าพเจ8ากล8ายอมรับในผลของการกระทําที่ข8าพเจ8าทํา 16 ข8าพเจ8าจะอ;านหนังสือมากขึ้นเมื่อรู8ว;าสอบได8คะแนนน8อย 17 ข8าพเจ8าทําข8อสอบด8วยตนเอง โดยไม;ปรึกษา หรือลอกเพื่อน 18 ข8าพเจ8าพยามทําสิ่งต;างๆ ด8วยตนเองโดยไม;พึ่งพาผู8อื่น 19 ข8าพเจ8าจะภูมิใจและพอใจในผลการเรียนของตนเองว;าทําดีที่สุด แล8ว 20 ข8าพเจ8ายอมรับฟ+งเมื่อมีใครชี้ข8อบกพร;องของข8าพเจ8า 21 ข8าพเจ8าชอบทําสิ่งต;างๆ ที่เป]นไปตามความคิดของตนเองมากกว;า ทําตามผู8อื่น 22 ข8าพเจ8าสามารถทํางานร;วมกับเพื่อนในห8องได8ทุกคน 23 เมื่อถูกมอบหมายงานให8ทําข8าพเจ8าจะหลีกเลี่ยงเสมอ 24 ข8าเจ8าจะหนีเรียนในวิชาที่ไม;ชอบ แรงจูงใจใฝSสัมฤทธิ์ (Achievement Motivation : AMO) ขอ ขอความ ระดับพฤติกรรม มาก ที่สุด มาก ปาน กลาง นอย นอย ที่สุด 25 เพื่อให8ถึงจุดมุ;งหมาย แม8จะใช8เวลามากข8าพเจ8าก็จะอดทน 26 ข8าพเจ8าพยายามอ;านหนังสือ เพื่อทําคะแนนให8ได8สูงกว;าเพื่อนใน ชั้นเรียน 27 เมื่อมีการทํางานกลุ;ม ข8าพเจ8าต8องการเป]นผู8นํากลุ;ม 28 ข8าพเจ8ามักทํางานที่ได8รับมอบหมายเสร็จก;อนกําหนด 29 เมื่อเจอป+ญหาในการเรียนข8าพเจ8ายิ่งต8องการค8นคว8าให8รู8เรื่องนั้นๆ มากขึ้น 30 เมื่อข8าพเจ8าถูกคนตําหนิว;า ไม;มีความสามารถในด8านใดด8านหนึ่ง ข8าพเจ8าจะพยายามเรียนรู8ให8มากขึ้นในด8านนั้น 31 ข8าพเจ8าชอบทํางานหรือกิจกรรมที่ท8าทายความสามารถอยู;เสมอ
  • 148.
    134 ขอ ขอความ ระดับพฤติกรรม มาก ที่สุด มาก ปาน กลาง นอย นอย ที่สุด 32 ข8าพเจ8าพร8อมที่จะเลือกทําบางสิ่งแม8ไม;สามารถคาดการณได8 แน;นอนในอนาคต 33แม8มีอุปสรรคในการทํางาน ข8าพเจ8าก็จะไม8ย;อท8อเพราะต8องการ ให8ผลงานออกมาดี 34 ข8าพเจ8าสามารถจัดลําดับความสําคัญก;อนหลังได8หากมีงานที่ต8อง ทําหลายอย;างในเวลาเดียวกัน 35 ข8าพเจ8าตั้งเปbาหมายในชีวิต และมีวางแผนการที่จะไปถึงเปbาหมาย นั้น 36 ถ8าข8าพเจ8าทํางานได8ไม;ดี ครั้งต;อไปข8าพเจ8าจะวางแผนการทํางาน ให8ดีขึ้น 37 ข8าพเจ8าทํางานด8วยความคิดของตนเองไม;ลอกเลียนแบบใคร 38 ข8าพเจ8าต8องการประสบความสําเร็จจากฝมือของตนเองมากกว;า โชคช;วย 39 ข8าพเจ8ามีความรู8สึกว;า ตนเองมีความคิด ริเริ่ม ที่จะดัดแปลงสิ่ง ต;างๆ ให8มีความแปลกใหม;และดีเด;นอยู;ตลอดเวลา การรับรูความสามารถของตนเอง (Self-Efficacy : SEF) ขอ ขอความ ระดับพฤติกรรม มากที่สุด มาก ปาน กลาง นอย นอย ที่สุด 40 แม8ไม;มีพรสวรรคในด8านใดด8านหนึ่ง เช;น ศิลปะ ดนตรี กีฬา ถ8าข8าพเจ8ามีความพยายาม ก็จะประสบความสําเร็จได8เช;นกัน 41 ข8าพเจ8านําข8อมูลจากประสบการณที่ผ;านมา มาใช8พิจารณาก;อน ตัดสินใจทําอะไรเสมอ 42 เมื่อข8าพเจ8าทํางานผิดพลาด ข8าพเจ8าสามารถแก8ไขและปรับปรุงให8 ดีขึ้นได8ในครั้งต;อไป 43 ข8าพเจ8ามักเปรียบตัวเองกับเพื่อนที่มีความสามารถและเพื่อนที่ ประสบความสําเร็จ แล8วนํามาพัฒนาตนเองเพิ่มขึ้น 44 ข8าพเจ8ายินดีที่จะปรับปรุงพัฒนาตนเองตามคําแนะนําของผู8ใหญ; เพราะถือว;าท;านมีประสบการการณมาก;อน 45 ครอบครัวของข8าพเจ8าเป]นแบบอย;างในการเรียน การใช8ชีวิตและ ส;งเสริมสนับสนุนการศึกษาของข8าพเจ8า 46 ข8าพเจ8าตั้งใจเรียนมากขึ้นเมื่อได8รับคําชมจากคุณครู 47 เพื่อนๆบอกข8าพเจ8าเสมอว;าข8าพเจ8าสามารถเป]นผู8นําเพื่อนได8
  • 149.
    135 ขอ ขอความ ระดับพฤติกรรม มากที่สุด มาก ปาน กลาง นอย นอย ที่สุด 48ข8าพเจ8าเชื่อมั่นว;าสามารถสอบเข8ามหาวิทยาลัยหรือเลือกประกอบ อาชีพ ตามคําแนะนําของครูและเพื่อนๆได8 49 ข8าพเจ8าไม;มีสมาธิในการเรียนถ8าวันไหนถูกผู8ปกครองดุว;าหรือ กล;าวตักเตือน 50 เวลาทําอะไรแล8วมีคนหัวเราะข8าพเจ8ารู8สึกไม;มั่นใจในการกระทํา ของตนเอง 51 ข8าพเจ8ารู8สึกตื่นเต8น และไม;มีความมั่นใจเมื่อออกไปหน8าชั้นเรียน การควบคุมตนเอง (Self-Control : SCT) ขอ ขอความ ระดับพฤติกรรม มากที่สุด มาก ปาน กลาง นอย นอย ที่สุด 52 ข8าพเจ8าจะเรียนต;อในระดับสูง เพื่อจะได8ทํางานที่มั่นคงในอนาคต 53 ข8าพเจ8าคิดว;าการเรียนต;อในระดับสูงๆ จะช;วยให8มีโอกาสทํางาน แล8วก8าวหน8าอย;างรวดเร็ว 54 ข8าพเจ8าคิดว;าการตั้งใจเรียน จะทําให8ตนเองประสบความสําเร็จใน อนาคต 55 เมื่อเกิดป+ญหา ข8าพเจ8าพยายามหาสาเหตุที่เกิดขึ้น โดยไม;คิดเอา เองตามใจชอบ 56 ข8าพเจ8ายอมรับในสิ่งที่ผู8อื่นคิดต;างจากข8าพเจ8าแม8ข8าพเจ8าจะรู8สึก ไม;เห็นด8วย 57 ข8าพเจ8าแก8ป+ญหาต;างๆ ด8วยเหตุผลมากกว;าใช8อารมณ 58 ข8าพเจ8าสามารถระงับอารมณโกรธได8ถึงแม8จะมีคนรบกวนขณะ ทํางานก็ตาม 59 เวลาข8าพเจ8าทะเลาะกับเพื่อน ข8าพเจ8าจะพยายามข;มใจไม;ให8โกรธ แม8เพื่อนจะเป]นฝWายผิด 60 เวลาโกรธข8าพเจ8าพยายามควบคุมสติให8ได8 ถ8าไม;ได8ผลก็หลีกหนี ออกมา 61 ข8าพเจ8าจะพยายามทํางานจนสุดความสามารถเพื่อให8แล8วเสร็จไม; ว;างานนั้นจะยากเพียงใด
  • 150.
    136 ขอ ขอความ ระดับพฤติกรรม มากที่สุด มาก ปาน กลาง นอย นอย ที่สุด 62เมื่อได8รับการมอบหมายงานใด ๆ ข8าพเจ8าจะรีบทําให8เสร็จ เรียบร8อยก;อนกําหนดส;งงาน 63 บางครั้งข8าพเจ8ารู8สึกว;าสิ่งที่เรียนนั้นน;าเบื่อหน;าย แต;ข8าพเจ8าก็ พยายามตั้งใจทําให8ดีที่สุด ขอเสนอแนะเพิ่มเติม ............................................................................................................................................................................ ............................................................................................................................................................................ ............................................................................................................................................................................ ............................................................................................................................................................................ ขอขอบคุณนักเรียนที่ให8ความร;วมมือ
  • 151.
  • 152.
    138 ผลการวิเคราะหองคประกอบเชิงยืนยัน (Confirmatory factoranalysis : CFA) เพื่อตรวจสอบความตรงเชิงโครงสร8างของโมเดลการวัดตัวแปรแฝง ผลการวิเคราะหองคประกอบเชิงยืนยันโมเดลการวัดตัวแปรแฝงการรับรู8ความสามารถตนเอง (SEF) ปรากฏผลดังตาราง 16 และภาพประกอบ 7 ตาราง 16 ผลการวิเคราะหองคประกอบเชิงยืนยันของตัวแปรแฝงการรับรู8ความสามารถตนเอง (SEF) ตัวแปร น้ําหนักองคประกอบ (SC) ความคลาดเคลื่อน มาตรฐาน (SE) t - values สัมประสิทธิ์การ ตัดสินใจ (R2 ) EAT 0.696 0.021 32.914 0.484 VEX 0.671 0.022 30.103 0.450 VPE 0.814 0.020 40.924 0.662 PST 0.744 0.022 33.832 0.553 χ 2 =3.314,df=2, P-value=0.190,RMSEA=0.029 VPE VEX EAT 1.000 0.696** 0.814** 0.516 0.550 0.338 (0.484) (0.450) (0.662) PST 0.447 (0.553) SEF 0.671** 0.744** χ 2 =3.314, df=2, χ 2 /df=1.657, P-value=0.190,CFI=0.999,TLI=0.997, RMSEA=0.029 ภาพประกอบ 7 การวิเคราะหองคประกอบเชิงยืนยันโมเดลการวัดตัวแปรแฝง การรับรู8ความสามารถตนเอง (SEF)
  • 153.
    139 ผลการวิเคราะหองคประกอบเชิงยืนยันโมเดลการวัดตัวแปรแฝงการวัดตัวแปรแฝง การควบคุมตนเอง (SCT) ปรากฏผลดังตาราง17 และภาพประกอบ 8 ตาราง 17 ผลการวิเคราะหองคประกอบเชิงยืนยันของตัวแปรแฝงการวัดตัวแปรแฝง การควบคุมตนเอง (SCT) ตัวแปร น้ําหนักองคประกอบ (SC) ความคลาดเคลื่อน มาตรฐาน (SE) t - values สัมประสิทธิ์การ ตัดสินใจ (R2 ) GOA 0.636 0.031 20.230 0.404 RES 0.709 0.023 31.118 0.502 STE 0.932 0.021 44.908 0.869 PAT 0.674 0.024 28.489 0.455 χ 2 =1.667,df=1, P-value=0.196,RMSEA=0.029 VPE VEX EAT 1.000 0.636** 0.932** 0.596 0.498 0.131 (0.404) (0.502) (0.869) PST 0.545 (0.455 ) SCT 0.709** 0.674** χ 2 =1.667, df=1, χ 2 /df=1.667, P-value=0.196,CFI=0.999,TLI=0.996, RMSEA=0.029 ภาพประกอบ 8 การวิเคราะหองคประกอบเชิงยืนยันโมเดลการควบคุมตนเอง (SCT)
  • 154.
    140 ผลการวิเคราะหองคประกอบเชิงยืนยันโมเดลการวัดตัวแปรแฝงการวัดตัวแปรแฝง การพัฒนาตนเอง (SDL) ปรากฏผลดังตาราง18 และภาพประกอบ 9 ตาราง 18 ผลการวิเคราะหองคประกอบเชิงยืนยันของตัวแปรแฝงการวัดตัวแปรแฝง การพัฒนาตนเอง (SDL) ตัวแปร น้ําหนักองคประกอบ (SC) ความคลาดเคลื่อน มาตรฐาน (SE) t - values สัมประสิทธิ์การ ตัดสินใจ (R2 ) PDE 0.826 0.012 70.089 0.682 SDE 0.911 0.019 49.204 0.829 LDE 0.597 0.024 24.421 0.357 2 χ =0.667, df = 1, p=0.4141, RMSEA = 0.000 2 χ =0.667, df = 1, 2 χ / df = 0.667, p=0.4141,CFI =1.000,TLI = 1.002 ,RMSEA = 0.000 ภาพประกอบ 9 การวิเคราะหองคประกอบเชิงยืนยันโมเดลการพัฒนาตนเอง (SDL) ผลการวิเคราะหองคประกอบเชิงยืนยันโมเดลการวัดตัวแปรแฝงการวัดตัวแปรแฝง การมองโลกในแง;ดี (OPT) ปรากฏผลดังตาราง 19 และภาพประกอบ 10
  • 155.
    141 ตาราง 19 ผลการวิเคราะหองคประกอบเชิงยืนยันของตัวแปรแฝงการวัดตัวแปรแฝง การมองโลกในแง;ดี(OPT) ตัวแปร น้ําหนักองคประกอบ (SC) ความคลาดเคลื่อน มาตรฐาน (SE) t - values สัมประสิทธิ์การ ตัดสินใจ (R2 ) PEM 0.735 0.013 57.235 0.540 PEV 0.628 0.028 22.038 0.394 PES 0.766 0.027 28.217 0.586 2 χ =0.880,df= 1,p = 0.3481,RMSEA = 0.000 2 χ =0.880,df= 1, 2 χ /df =0.880,p = 0.3481,CFI = 1.000,TLI = 1.001,RMSEA = 0.000 ภาพประกอบ 10 การวิเคราะหองคประกอบเชิงยืนยันโมเดลการมองโลกในแง;ดี (OPT)
  • 156.
    142 ผลการวิเคราะหองคประกอบเชิงยืนยันโมเดลการวัดตัวแปรแฝงการวัดตัวแปรแฝง ความเชื่อมั่นในตนเอง (SCF) ปรากฏผลดังตาราง20 และภาพประกอบ 11 ตาราง 20 ผลการวิเคราะหองคประกอบเชิงยืนยันของตัวแปรแฝงการวัดตัวแปรแฝง ความเชื่อมั่นในตนเอง (SCF) ตัวแปร น้ําหนักองคประกอบ (SC) ความคลาดเคลื่อน มาตรฐาน (SE) t - values สัมประสิทธิ์การ ตัดสินใจ (R2 ) EMS 0.536 0.027 19.836 0.288 COU 0.441 0.030 14.810 0.195 SRE 0.962 0.014 68.805 0.926 AUT 0.769 0.017 46.543 0.591 ADA 0.652 0.021 30.918 0.426 χ 2 =5.876,df=4, P-value=0.208,RMSEA=0.024 SRE COU EST 1.000 0.536** 0.962** 0.712 0.805 0.074 (0.288) (0.195) (0.926) AUT 0.409 (0.591) ADA 0.574 (0.426) SCF 0.441** 0.769** 0.652** χ 2 =5.876, df=4, χ 2 /df=1.469, P-value=0.208,CFI=0.999,TLI=0.997, RMSEA=0.024 ภาพประกอบ 11 การวิเคราะหองคประกอบเชิงยืนยันโมเดลความเชื่อมั่นในตนเอง (SCF)
  • 157.
    143 ผลการวิเคราะหองคประกอบเชิงยืนยันโมเดลการวัดตัวแปรแฝงการวัดตัวแปรแฝง แรงจูงใจใฝWสัมฤทธิ์ (AMO) ปรากฏผลดังตาราง21 และภาพประกอบ 12 ตาราง 21 ผลการวิเคราะหองคประกอบเชิงยืนยันของตัวแปรแฝงการวัดตัวแปรแฝง แรงจูงใจใฝWสัมฤทธิ์ (AMO) ตัวแปร น้ําหนักองคประกอบ (SC) ความคลาดเคลื่อน มาตรฐาน (SE) t - values สัมประสิทธิ์การ ตัดสินใจ (R2 ) ASP 0.799 0.019 41.460 0.639 ENE 0.840 0.018 47.694 0.705 MRT 0.628 0.026 24.155 0.394 PLA 0.688 0.023 30.153 0.473 UOC 0.449 0.030 14.970 0.201 χ 2 =7.542,df=4, P-value=0.109,RMSEA=0.033 MRT ENE ASP 1.000 0.799** 0.628** 0.361 0.295 0.606 (0.639) (0.705) ( 0.394 ) PLA 0.527 (0.473) UOC 0.799 (0.201 ) AMO 0.840** 0.688** 0.449** χ 2 =7.542, df=4, χ 2 /df=1.885 P-value=0.109,CFI=0.998,TLI=0.993, RMSEA=0.033 ภาพประกอบ 12 การวิเคราะหองคประกอบเชิงยืนยันโมเดลแรงจูงใจใฝWสัมฤทธิ์ (AMO)
  • 158.
  • 159.
    145 ที่ ศธ 0530.1(32)/ว 374 ศูนยพัฒนาการศึกษาอุดรธานี มหาวิทยาลัยมหาสารคาม อําเภอเมือง จังหวัดอุดรธานี 4100 7 เมษายน 2555 เรื่อง ขดความอนุเคราะหเป]นผู8เชี่ยวชาญตรวจสอบเครื่องมือที่ใช8ในการทําวิทยานิพนธ เรียน อาจารย ดร.สุนทรพจน ดํารงพานิช ด8วยนายสุพร มูลศรี นิสิตระดับปริญญาโท สาขาวิชาการวิจัยการศึกษา รุ;น พ.23 ระบบ พิเศษ ศูนยพัฒนาการศึกษาอุดรธานี มหาวิทยาลัยมหาสารคาม กําลังศึกษาและทําวิทยานิพนธเรื่อง “ป+จจัยที่ส;งผลต;อการพัฒนาตนเอง ของนักเรียนมัธยมศึกษาปที่ 6 สํานักงานเขตพื้นที่การศึกษา มัธยมศึกษา เขต 19 ( เลย - หนองบัวลําภู ) ” ซึ่งเป]นส;วนหนึ่งของการศึกษาหลักสูตรการศึกษา มหาบัณฑิต (กศ.ม.) โดยมี รศ.ดร.ประวิต เอราวรรณ เป]นประธานกรรมการและ ผศ.ดร.ประเสริฐ เรือนนะการ เป]นกรรมการควบคุมวิทยานิพนธในครั้งนี้ เพื่อให8การทําวิทยานิพนธเป]นไปด8วยความเรียบร8อยและบรรลุตามวัตถุประสงค ศูนยพัฒนา การศึกษาอุดรธานี มหาวิทยาลัยมหาสารคาม พิจารณาแล8วเห็นว;าท;านเป]นผู8มีความรู8ความสามารถ และมีประสบการณในเรื่องนี้เป]นอย;างดี จึงใคร;ขอความอนุเคราะหจากท;าน เป]นผู8เชี่ยวชาญตรวจ เครื่องมือ ที่จะใช8ในการเก็บรวบรวมข8อมูลสําหรับการทําวิทยานิพนธในครั้งนี้ เพื่อที่นิสิตจะได8 ดําเนินการในขั้นตอนต;อไป จึงเรียนมาเพื่อโปรดพิจารณา ศูนยพัฒนาการศึกษาอุดรธานี มหาวิทยาลัยมหาสารคาม หวังเป]นอย;างยิ่งว;าคงได8รับความอนุเคราะหจากท;านด8วยดี และขอขอบพระคุณมา ณ โอกาสนี้ ขอแสดงความนับถือ (ผู8ช;วยศาสตราจารย ดร.ชวลิต ชูกําแพง) ผู8อํานวยการศูนยพัฒนาการศึกษาอุดรธานี มหาวิทยาลัยมหาสารคาม พิเศษศูนยพัฒนาการศึกษาอุดรธานี โทรศัพท 0-4224-6363
  • 160.
    146 ที่ ศธ 0530.1(32)/ว 374 ศูนยพัฒนาการศึกษาอุดรธานี มหาวิทยาลัยมหาสารคาม อําเภอเมือง จังหวัดอุดรธานี 4100 7 เมษายน 2555 เรื่อง ขดความอนุเคราะหเป]นผู8เชี่ยวชาญตรวจสอบเครื่องมือที่ใช8ในการทําวิทยานิพนธ เรียน คุณครูกัญจกมล มาลี ด8วยนายสุพร มูลศรี นิสิตระดับปริญญาโท สาขาวิชาการวิจัยการศึกษา รุ;น พ.23 ระบบ พิเศษ ศูนยพัฒนาการศึกษาอุดรธานี มหาวิทยาลัยมหาสารคาม กําลังศึกษาและทําวิทยานิพนธเรื่อง “ป+จจัยที่ส;งผลต;อการพัฒนาตนเอง ของนักเรียนมัธยมศึกษาปที่ 6 สํานักงานเขตพื้นที่การศึกษา มัธยมศึกษา เขต 19 ( เลย - หนองบัวลําภู ) ” ซึ่งเป]นส;วนหนึ่งของการศึกษาหลักสูตรการศึกษา มหาบัณฑิต (กศ.ม.) โดยมี รศ.ดร.ประวิต เอราวรรณ เป]นประธานกรรมการและ ผศ.ดร.ประเสริฐ เรือนนะการ เป]นกรรมการควบคุมวิทยานิพนธในครั้งนี้ เพื่อให8การทําวิทยานิพนธเป]นไปด8วยความเรียบร8อยและบรรลุตามวัตถุประสงค ศูนยพัฒนา การศึกษาอุดรธานี มหาวิทยาลัยมหาสารคาม พิจารณาแล8วเห็นว;าท;านเป]นผู8มีความรู8ความสามารถ และมีประสบการณในเรื่องนี้เป]นอย;างดี จึงใคร;ขอความอนุเคราะหจากท;าน เป]นผู8เชี่ยวชาญตรวจ เครื่องมือ ที่จะใช8ในการเก็บรวบรวมข8อมูลสําหรับการทําวิทยานิพนธในครั้งนี้ เพื่อที่นิสิตจะได8 ดําเนินการในขั้นตอนต;อไป จึงเรียนมาเพื่อโปรดพิจารณา ศูนยพัฒนาการศึกษาอุดรธานี มหาวิทยาลัยมหาสารคาม หวังเป]นอย;างยิ่งว;าคงได8รับความอนุเคราะหจากท;านด8วยดี และขอขอบพระคุณมา ณ โอกาสนี้ ขอแสดงความนับถือ (ผู8ช;วยศาสตราจารย ดร.ชวลิต ชูกําแพง) ผู8อํานวยการศูนยพัฒนาการศึกษาอุดรธานี มหาวิทยาลัยมหาสารคาม พิเศษศูนยพัฒนาการศึกษาอุดรธานี โทรศัพท 0-4224-6363
  • 161.
    147 ที่ ศธ 0530.1(32)/ว 374 ศูนยพัฒนาการศึกษาอุดรธานี มหาวิทยาลัยมหาสารคาม อําเภอเมือง จังหวัดอุดรธานี 4100 7 เมษายน 2555 เรื่อง ขดความอนุเคราะหเป]นผู8เชี่ยวชาญตรวจสอบเครื่องมือที่ใช8ในการทําวิทยานิพนธ เรียน คุณครูศิริชนก จุลนาง ด8วยนายสุพร มูลศรี นิสิตระดับปริญญาโท สาขาวิชาการวิจัยการศึกษา รุ;น พ.23 ระบบ พิเศษ ศูนยพัฒนาการศึกษาอุดรธานี มหาวิทยาลัยมหาสารคาม กําลังศึกษาและทําวิทยานิพนธเรื่อง “ป+จจัยที่ส;งผลต;อการพัฒนาตนเอง ของนักเรียนมัธยมศึกษาปที่ 6 สํานักงานเขตพื้นที่การศึกษา มัธยมศึกษา เขต 19 ( เลย - หนองบัวลําภู ) ” ซึ่งเป]นส;วนหนึ่งของการศึกษาหลักสูตรการศึกษา มหาบัณฑิต (กศ.ม.) โดยมี รศ.ดร.ประวิต เอราวรรณ เป]นประธานกรรมการและ ผศ.ดร.ประเสริฐ เรือนนะการ เป]นกรรมการควบคุมวิทยานิพนธในครั้งนี้ เพื่อให8การทําวิทยานิพนธเป]นไปด8วยความเรียบร8อยและบรรลุตามวัตถุประสงค ศูนยพัฒนา การศึกษาอุดรธานี มหาวิทยาลัยมหาสารคาม พิจารณาแล8วเห็นว;าท;านเป]นผู8มีความรู8ความสามารถ และมีประสบการณในเรื่องนี้เป]นอย;างดี จึงใคร;ขอความอนุเคราะหจากท;าน เป]นผู8เชี่ยวชาญตรวจ เครื่องมือ ที่จะใช8ในการเก็บรวบรวมข8อมูลสําหรับการทําวิทยานิพนธในครั้งนี้ เพื่อที่นิสิตจะได8 ดําเนินการในขั้นตอนต;อไป จึงเรียนมาเพื่อโปรดพิจารณา ศูนยพัฒนาการศึกษาอุดรธานี มหาวิทยาลัยมหาสารคาม หวังเป]นอย;างยิ่งว;าคงได8รับความอนุเคราะหจากท;านด8วยดี และขอขอบพระคุณมา ณ โอกาสนี้ ขอแสดงความนับถือ (ผู8ช;วยศาสตราจารย ดร.ชวลิต ชูกําแพง) ผู8อํานวยการศูนยพัฒนาการศึกษาอุดรธานี มหาวิทยาลัยมหาสารคาม พิเศษศูนยพัฒนาการศึกษาอุดรธานี โทรศัพท 0-4224-6363
  • 162.
    148 ที่ ศธ 0530.1(32)/ว 374 ศูนยพัฒนาการศึกษาอุดรธานี มหาวิทยาลัยมหาสารคาม อําเภอเมือง จังหวัดอุดรธานี 4100 7 เมษายน 2555 เรื่อง ขดความอนุเคราะหเป]นผู8เชี่ยวชาญตรวจสอบเครื่องมือที่ใช8ในการทําวิทยานิพนธ เรียน ผู8อํานวยการเล็ก ขมิ้นเขียว ด8วยนายสุพร มูลศรี นิสิตระดับปริญญาโท สาขาวิชาการวิจัยการศึกษา รุ;น พ.23 ระบบ พิเศษ ศูนยพัฒนาการศึกษาอุดรธานี มหาวิทยาลัยมหาสารคาม กําลังศึกษาและทําวิทยานิพนธเรื่อง “ป+จจัยที่ส;งผลต;อการพัฒนาตนเอง ของนักเรียนมัธยมศึกษาปที่ 6 สํานักงานเขตพื้นที่การศึกษา มัธยมศึกษา เขต 19 ( เลย - หนองบัวลําภู ) ” ซึ่งเป]นส;วนหนึ่งของการศึกษาหลักสูตรการศึกษา มหาบัณฑิต (กศ.ม.) โดยมี รศ.ดร.ประวิต เอราวรรณ เป]นประธานกรรมการและ ผศ.ดร.ประเสริฐ เรือนนะการ เป]นกรรมการควบคุมวิทยานิพนธในครั้งนี้ เพื่อให8การทําวิทยานิพนธเป]นไปด8วยความเรียบร8อยและบรรลุตามวัตถุประสงค ศูนยพัฒนา การศึกษาอุดรธานี มหาวิทยาลัยมหาสารคาม พิจารณาแล8วเห็นว;าท;านเป]นผู8มีความรู8ความสามารถ และมีประสบการณในเรื่องนี้เป]นอย;างดี จึงใคร;ขอความอนุเคราะหจากท;าน เป]นผู8เชี่ยวชาญตรวจ เครื่องมือ ที่จะใช8ในการเก็บรวบรวมข8อมูลสําหรับการทําวิทยานิพนธในครั้งนี้ เพื่อที่นิสิตจะได8 ดําเนินการในขั้นตอนต;อไป จึงเรียนมาเพื่อโปรดพิจารณา ศูนยพัฒนาการศึกษาอุดรธานี มหาวิทยาลัยมหาสารคาม หวังเป]นอย;างยิ่งว;าคงได8รับความอนุเคราะหจากท;านด8วยดี และขอขอบพระคุณมา ณ โอกาสนี้ ขอแสดงความนับถือ (ผู8ช;วยศาสตราจารย ดร.ชวลิต ชูกําแพง) ผู8อํานวยการศูนยพัฒนาการศึกษาอุดรธานี มหาวิทยาลัยมหาสารคาม พิเศษศูนยพัฒนาการศึกษาอุดรธานี โทรศัพท 0-4224-6363
  • 163.
    149 ที่ ศธ 0530.1(32)/ว 374 ศูนยพัฒนาการศึกษาอุดรธานี มหาวิทยาลัยมหาสารคาม อําเภอเมือง จังหวัดอุดรธานี 4100 7 เมษายน 2555 เรื่อง ขดความอนุเคราะหเป]นผู8เชี่ยวชาญตรวจสอบเครื่องมือที่ใช8ในการทําวิทยานิพนธ เรียน คุณกิตติศักดิ์ กล8าแข็ง ด8วยนายสุพร มูลศรี นิสิตระดับปริญญาโท สาขาวิชาการวิจัยการศึกษา รุ;น พ.23 ระบบ พิเศษ ศูนยพัฒนาการศึกษาอุดรธานี มหาวิทยาลัยมหาสารคาม กําลังศึกษาและทําวิทยานิพนธเรื่อง “ป+จจัยที่ส;งผลต;อการพัฒนาตนเอง ของนักเรียนมัธยมศึกษาปที่ 6 สํานักงานเขตพื้นที่การศึกษา มัธยมศึกษา เขต 19 ( เลย - หนองบัวลําภู ) ” ซึ่งเป]นส;วนหนึ่งของการศึกษาหลักสูตรการศึกษา มหาบัณฑิต (กศ.ม.) โดยมี รศ.ดร.ประวิต เอราวรรณ เป]นประธานกรรมการและ ผศ.ดร.ประเสริฐ เรือนนะการ เป]นกรรมการควบคุมวิทยานิพนธในครั้งนี้ เพื่อให8การทําวิทยานิพนธเป]นไปด8วยความเรียบร8อยและบรรลุตามวัตถุประสงค ศูนยพัฒนา การศึกษาอุดรธานี มหาวิทยาลัยมหาสารคาม พิจารณาแล8วเห็นว;าท;านเป]นผู8มีความรู8ความสามารถ และมีประสบการณในเรื่องนี้เป]นอย;างดี จึงใคร;ขอความอนุเคราะหจากท;าน เป]นผู8เชี่ยวชาญตรวจ เครื่องมือ ที่จะใช8ในการเก็บรวบรวมข8อมูลสําหรับการทําวิทยานิพนธในครั้งนี้ เพื่อที่นิสิตจะได8 ดําเนินการในขั้นตอนต;อไป จึงเรียนมาเพื่อโปรดพิจารณา ศูนยพัฒนาการศึกษาอุดรธานี มหาวิทยาลัยมหาสารคาม หวังเป]นอย;างยิ่งว;าคงได8รับความอนุเคราะหจากท;านด8วยดี และขอขอบพระคุณมา ณ โอกาสนี้ ขอแสดงความนับถือ (ผู8ช;วยศาสตราจารย ดร.ชวลิต ชูกําแพง) ผู8อํานวยการศูนยพัฒนาการศึกษาอุดรธานี มหาวิทยาลัยมหาสารคาม พิเศษศูนยพัฒนาการศึกษาอุดรธานี โทรศัพท 0-4224-6363
  • 164.
  • 165.
  • 166.
  • 167.
  • 168.
  • 169.
  • 170.
    156 GOA -./ $ &&&0-11.0 RES -./ # 1 & &1 STE -./ %, 1 & & EGT -./ % 1 & &.1&. &&11 &0 && - PAT -./ % 1 & ASP -./ $ 1 & & . 11 ภาพประกอบ14 ตัวอย;างการตรวจสอบข8อมูลสุดโต;ง (Extremes or Outliers)
  • 171.
  • 172.
    158 ตัวอยGางการเขียนคําสั่งการวิเคราะหขอมูล TITLE: Self_Development_MODEL DATA: FILE IS"D:suparAmodel.dat"; VARIABLE: NAMES ARE goa res ste pat asp ene mrt pla uoc eat vex vpe pst pde sde lde pem pev pes est cou sre aut ada ; USEVARIABLES ARE goa res ste pat asp ene mrt pla uoc eat vex vpe pst pde sde lde pem pev pes est cou sre aut ada ; ANALYSIS: TYPE IS GENERAL; ESTIMATOR IS ML; ITERATIONS = 1000; CONVERGENCE = 0.00005; MODEL: SCT BY goa res ste pat; SEF BY eat vex vpe pst; SDL BY pde sde lde; OPT BY pem pev pes; SCF BY est cou sre aut ada; AMO BY asp ene mrt pla uoc; SDL ON AMO SEF SCT SCF OPT; SEF ON AMO; SCT ON SCF; PST WITH VPE; OPT WITH SCT@0.076; PDE WITH PST@0.069; LDE WITH PDE@-0.042; EAT WITH UOC@0.037; ADA WITH VEX@0.058; PEM WITH LDE@0.033; MRT WITH ENE@0.044; ENE WITH STE@0.053; LDE WITH PST@-0.029; ADA WITH COU@-0.043; ADA WITH SRE@-0.051; RES WITH GOA@0.030; PLA WITH ENE@0.043;
  • 173.
    159 PES WITH PEV@0.039; UOC WITH PLA@0.037; EAT WITH PLA@0.040; PLA WITH GOA@0.029; COU WITH PAT@-0.019; EST WITH LDE@-0.030; EST WITH VPE@-0.027; VPE WITH VEX@0.068 ; UOC WITH ENE@-0.028; SCT WITH SEF@-0.016; SCF WITH SEF@0.030; LDE WITH RES@0.016 ; COU WITH SDE@-0.016; ADA WITH ASP@0.023; PEM WITH PLA@-0.020; PAT WITH STE@-0.026; SDE WITH UOC@0.016; SDE WITH MRT@0.017; COU WITH LDE@-0.019; AUT WITH LDE@-0.019; AUT WITH PDE@ 0.020; PST WITH VEX@0.060; SDE WITH PST@0.019; EAT WITH ASP@-0.015; ASP WITH RES@0.014; ASP WITH PAT@ 0.018; UOC WITH GOA@-0.022; PLA WITH MRT@0.017; VEX WITH PLA@0.016; PEV WITH VPE@-0.019; AUT WITH VEX@0.015; COU WITH EST@ 0.017; COU WITH MRT@-0.011; ENE WITH PAT@-0.019; SDE WITH PDE@0.017; LDE WITH ENE@-0.026; SDE WITH ENE@-0.020; VPE WITH ENE@-0.021; VPE WITH RES@0.013; UOC WITH RES@-0.014; ADA WITH PES@0.031;
  • 174.
    160 ADA WITH PEV@0.039; ADAWITH PEM@0.022; PST WITH STE@-0.014; ADA WITH PDE@0.015; UOC WITH ASP@-0.012; PEV WITH ASP@0.012; LDE WITH PAT@0.019; ADA WITH PAT@0.016; ENE WITH RES@0.014; PEM WITH PAT@0.012; PEM WITH ENE@-0.015; COU WITH ASP@-0.009; SDE WITH STE@-0.013; EST WITH STE@-0.014 ; ENE WITH GOA@0.014; VEX WITH ASP@-0.010; VEX WITH MRT@-0.011; EAT WITH PAT@0.012; UOC WITH STE@-0.013; SDE WITH VEX@-0.010; LDE WITH VEX@-0.011 ; EST WITH SDE@-0.011; PEV WITH ENE@0.015; ADA WITH PLA@0.014 ; ADA WITH UOC@0.014; PEM WITH UOC@-0.009; PES WITH LDE@0.008; SRE WITH ASP@-0.008; SRE WITH PEV@-0.011; VPE WITH ASP@-0.010; PEV WITH SDE@-0.011; AUT WITH EAT@-0.011; AUT WITH PEV@-0.012; AUT WITH PES@-0.013; AUT WITH PEM@-0.013; COU WITH PDE@0.009; EST WITH RES@-0.009; ADA WITH EST@-0.012 ; AUT WITH COU@0.011; SRE WITH PES@-0.008; AUT WITH PAT@-0.010;
  • 175.
    161 ADA WITH LDE@-0.009; PEMWITH STE@-0.010; SRE WITH ENE@-0.010; EAT WITH MRT@0.008 ; PLA WITH ASP@-0.009; PES WITH ENE@0.009; LDE WITH EAT@0.007; SCT WITH AMO@0.011; ADA WITH SCF@0.014; OPT WITH SEF@0.024; ADA WITH SCT@0.017; ASP WITH SCT@0.013; LDE WITH SCF@-0.021; PDE WITH SCF@0.039; PDE WITH SCT@-0.017; PST WITH SCF@0.016; UOC WITH SEF@0.009; AUT WITH SCT@-0.008; MODEL INDIRECT: SDL ind SEF; SDL ind AMO; SDL ind SCT; SDL ind OPT; SDL ind SCF; SEF ind AMO; SCT ind SCF; OUTPUT: SAMPSTAT MODINDICES RESIDUAL STANDARDIZED FSCOEFFICIENT; SAVEDATA: RESULTS IS D:mplussuparA; THE MODEL ESTIMATION TERMINATED NORMALLY MODEL FIT INFORMATION Number of Free Parameters 84 Loglikelihood H0 Value -10571.795 H1 Value -10435.209
  • 176.
    162 Information Criteria Akaike (AIC)21311.591 Bayesian (BIC) 21705.830 Sample-Size Adjusted BIC 21439.081 (n* = (n + 2) / 24) Chi-Square Test of Model Fit Value 273.172 Degrees of Freedom 240 P-Value 0.0695 RMSEA (Root Mean Square Error Of Approximation) Estimate 0.013 90 Percent C.I. 0.000 0.020 Probability RMSEA <= .05 1.000 CFI/TLI CFI 0.998 TLI 0.998 Chi-Square Test of Model Fit for the Baseline Model Value 15792.285 Degrees of Freedom 276 P-Value 0.0000 SRMR (Standardized Root Mean Square Residual) Value 0.054 STANDARDIZED MODEL RESULTS STDYX Standardization Two-Tailed Estimate S.E. Est./S.E. P-Value SDL BY PED 0.727 0.016 44.294 0.000 SOD 0.801 0.013 60.249 0.000 LED 0.845 0.012 69.411 0.000 SEF BY ENA 0.723 0.019 38.942 0.000 VIC 0.771 0.017 45.634 0.000 VER 0.395 0.030 13.093 0.000 PHY 0.393 0.030 13.051 0.000
  • 177.
    163 AMO BY ASP 0.7970.013 60.431 0.000 EGT 0.570 0.023 24.705 0.000 MRT 0.770 0.015 52.519 0.000 PLA 0.638 0.020 32.005 0.000 UOC 0.771 0.015 51.905 0.000 SCT BY GOA 0.756 0.014 55.680 0.000 RES 0.830 0.011 73.761 0.000 TEM 0.791 0.015 52.289 0.000 PAT 0.759 0.016 47.301 0.000 OPT BY PEM 0.816 0.013 62.064 0.000 PEV 0.753 0.016 47.821 0.000 PES 0.861 0.011 78.574 0.000 SCF BY EMS 0.846 0.010 87.448 0.000 COU 0.942 0.005 191.832 0.000 SRL 0.919 0.007 136.417 0.000 AUT 0.857 0.009 91.880 0.000 ADP 0.914 0.022 41.314 0.000 SDL ON AMO 0.201 0.009 22.195 0.000 SEF 0.300 0.055 5.487 0.000 SCT 0.146 0.036 4.069 0.000 SCF 0.255 0.025 10.297 0.000 OPT 0.185 0.049 3.803 0.000 SEF ON AMO 0.852 0.017 51.235 0.000 SCT ON SCF 0.503 0.027 18.781 0.000 Residual Variances GOA 0.429 0.021 20.918 0.000 RES 0.311 0.019 16.664 0.000 TEM 0.374 0.024 15.596 0.000 PAT 0.424 0.024 17.427 0.000 ASP 0.364 0.021 17.302 0.000 EGT 0.675 0.026 25.601 0.000 MRT 0.408 0.023 18.067 0.000 PLA 0.593 0.025 23.336 0.000 UOC 0.405 0.023 17.660 0.000
  • 178.
    164 ENA 0.477 0.02717.744 0.000 VIC 0.406 0.026 15.600 0.000 VER 0.844 0.024 35.320 0.000 PHY 0.846 0.024 35.714 0.000 PED 0.437 0.024 18.387 0.000 SOD 0.359 0.021 16.856 0.000 LED 0.321 0.020 15.709 0.000 PEM 0.333 0.021 15.525 0.000 PEV 0.433 0.024 18.261 0.000 PES 0.259 0.019 13.699 0.000 EMS 0.284 0.016 17.328 0.000 COU 0.113 0.009 12.166 0.000 SRL 0.155 0.012 12.511 0.000 AUT 0.265 0.016 16.580 0.000 ADP 0.457 0.030 15.360 0.000 SDL 0.098 0.015 6.395 0.000 SEF 0.275 0.028 9.705 0.000 SCT 0.747 0.027 27.778 0.000 R-SQUARE Observed Two-Tailed Variable Estimate S.E. Est./S.E. P-Value GOA 0.571 0.021 27.840 0.000 RES 0.689 0.019 36.880 0.000 TEM 0.626 0.024 26.145 0.000 PAT 0.576 0.024 23.651 0.000 ASP 0.636 0.021 30.215 0.000 EGT 0.325 0.026 12.353 0.000 MRT 0.592 0.023 26.259 0.000 PLA 0.407 0.025 16.003 0.000 UOC 0.595 0.023 25.952 0.000 ENA 0.523 0.027 19.471 0.000 VIC 0.594 0.026 22.817 0.000 VER 0.156 0.024 6.546 0.000 PHY 0.154 0.024 6.526 0.000 PED 0.563 0.024 23.692 0.000 SOD 0.641 0.021 30.124 0.000 LED 0.679 0.020 33.298 0.000 PEM 0.667 0.021 31.032 0.000 PEV 0.567 0.024 23.911 0.000 PES 0.741 0.019 39.287 0.000
  • 179.
    165 EMS 0.716 0.01643.724 0.000 COU 0.887 0.009 95.916 0.000 SRL 0.845 0.012 68.209 0.000 AUT 0.735 0.016 45.940 0.000 ADP 0.543 0.030 18.220 0.000 Latent Two-Tailed Variable Estimate S.E. Est./S.E. P-Value SDL 0.902 0.015 58.777 0.000 SEF 0.725 0.028 25.617 0.000 SCT 0.253 0.027 9.390 0.000 STANDARDIZED TOTAL, TOTAL INDIRECT, SPECIFIC INDIRECT, AND DIRECT EFFECTS STDYX Standardization Two-Tailed Estimate S.E. Est./S.E. P-Value Effects from SEF to SDL Total 0.300 0.055 5.487 0.000 Total indirect 0.000 0.000 0.000 1.000 Direct SDL SEF 0.300 0.055 5.487 0.000 Effects from AMO to SDL Total 0.457 0.048 9.538 0.000 Total indirect 0.255 0.048 5.351 0.000 Specific indirect SDL SEF AMO 0.255 0.048 5.351 0.000 Direct SDL AMO 0.201 0.009 22.195 0.000 Effects from SCT to SDL Total 0.146 0.036 4.069 0.000 Total indirect 0.000 0.000 0.000 1.000 Direct SDL SCT 0.146 0.036 4.069 0.000
  • 180.
    166 Effects from OPTto SDL Total 0.185 0.049 3.803 0.000 Total indirect 0.000 0.000 0.000 1.000 Direct SDL OPT 0.185 0.049 3.803 0.000 Effects from SCF to SDL Total 0.328 0.032 10.263 0.000 Total indirect 0.073 0.018 4.002 0.000 Specific indirect SDL SCT SCF 0.073 0.018 4.002 0.000 Direct SDL SCF 0.255 0.025 10.297 0.000 Effects from AMO to SEF Total 0.852 0.017 51.235 0.000 Total indirect 0.000 0.000 0.000 1.000 Direct SEF AMO 0.852 0.017 51.235 0.000 Effects from SCF to SCT Total 0.503 0.027 18.781 0.000 Total indirect 0.000 0.000 0.000 1.000 Direct SCT SCF 0.503 0.027 18.781 0.000
  • 181.
  • 182.
    ประวัติยอของผูวิจัย ชื่อ นายสุพร มูลศรี วันเกิดวันที่ 11 กันยายน พ.ศ. 2527 สถานที่เกิด อําเภอหนองพอก จังหวัดรอยเอ็ด สถานที่อยูปจจุบัน บานเลขที่ 148 หมู&ที่ 11 ตําบลกกโพธิ์ อําเภอหนองพอก จังหวัดรอยเอ็ด รหัสไปรษณีย0 45210 โทรศัพท0 08-1055-2821 ตําแหนงหนาที่การงาน ครู อันดับ คศ.1 สถานที่ทํางานปจจุบัน โรงเรียนฝ56งแดงวิทยาสรรค0 อําเภอนากลาง จังหวัดหนองบัวลําภู รหัสไปรษณีย0 39170 ประวัติการศึกษา พ.ศ. 2543 มัธยมศึกษาป;ที่ 3 โรงเรียนโพนทองวิทยายน จังหวัดรอยเอ็ด พ.ศ. 2546 มัธยมศึกษาป;ที่ 6 โรงเรียนโพนทองวิทยายน จังหวัดรอยเอ็ด พ.ศ. 2550 ปริญญาวิทยาศาสตรบัณฑิต (วท.บ.) สาขาวิทยาการคอมพิวเตอร0 มหาวิทยาลัยราชภัฏมหาสารคาม พ.ศ. 2551 ประกาศนียบัตรบัณฑิต (ป.บัณฑิต) สาขาวิชาชีพครู มหาวิทยาลัยราชภัฏมหาสารคาม พ.ศ. 2555 ปริญญาการศึกษามหาบัณฑิต (กศ.ม.) สาขาวิชาการวิจัยการศึกษา มหาวิทยาลัยมหาสารคาม