ĐỒ ÁN TỐT NGHIỆP            Thiết Kế Kỹ Thuật Bến Căn Cứ Đóng Mới Giàn Jacket Độ Sâu
                        .     Đến 95.7M Nước Hạ Thủy Bằng Phương Pháp Kéo Trượt


                                         LỜI CẢM ƠN



   Với đƣờng bờ biển trải dài khắp đất nƣớc,Việt Nam có tiềm năng vô cùng to lớn cho
việc phát triển ngành kinh tế biển,tiêu biểu là lĩnh vực dầu khí.Trong những năm gần
đây,nhà nƣớc ta đã chú trọng xây dựng nhiều công trình phụ trợ cho việc phát triển ngành
kinh tế này,hệ thống các cảng biển phục vụ cho công nghiệp dầu khí là một trong số đó
   Đề tài tốt nghiệp của em là : "Thiết kế Kỹ Thuật Bến Căn Cứ Đóng Mới Giàn
Jacket Độ Sâu Đến 95.7M Nƣớc Hạ Thủy Bằng Phƣơng Pháp Kéo Trƣợt ”. Công
trình khi đƣa vào khai thác sử dụng không chỉ bảo đảm an toàn giao thông biển mà còn là
công trình phục vụ khai thác kinh tế trên vùng biển . Đóng góp vào sự phát triển kinh tế
của Đất nƣớc.
   Thời gian qua, với lỗ lực của bản thân và sự chỉ bảo tận tình của giáo viên hƣớng dẫn,
em đã hoàn thành đồ án tốt nghiệp của mình . Tuy nhiên, do những hạn chế về kiến thức
của bản thân, thời gian làm đồ án...nên đồ án của em không tránh khỏi những thiếu xót
nhất định. Vì vậy, em rất mong đƣợc sự đóng góp ý kiến quý báu của thầy cô để em có
thêm những kiến thức cũng nhƣ kinh nghiệm bổ ích phục vụ cho công việc sau này của
bản thân.
   Qua đây, em xin gửi lời cảm ơn chân thành tới gia đình, thày cô và bạn bè; những
ngƣời đã giúp em trƣởng thành hơn trong học tập và cuộc sống suốt những năm học vừa
qua. Đặc biệt em gửi lời cảm ơn sâu sắc và luôn ghi nhớ sự chỉ bảo tận tình, hƣớng dẫn
kịp thời của giáo viên hƣớng dẫn, thầy Th.S: Dƣơng Thanh Quỳnh đã giúp em hoàn
thành đồ án này.


                                                      Hà Nội, Ngày 12 tháng 06 năm 2012
                                                                 SV thực hiện



                                                                 Vũ Trọng Chung




     GVHD: Th.S. Dƣơng Thanh Quỳnh
     SVTH : Vũ Trọng Chung     -   MSSV : 273352             -    Lớp 52CB3        1
ĐỒ ÁN TỐT NGHIỆP                         Thiết Kế Kỹ Thuật Bến Căn Cứ Đóng Mới Giàn Jacket Độ Sâu
                                     .     Đến 95.7M Nước Hạ Thủy Bằng Phương Pháp Kéo Trượt


                                                         MỤC LỤC

CHƢƠNG 1 5
MỞ ĐẦU              5
1.TÌNH HÌNH PHÁT TRIỂN CỦA NGÀNH DẦU KHÍ VIỆT NAM……………………..5
2. ĐỊNH HƢỚNG PHÁT TRIỂN CHẾN LƢỚC 2015-2025……………………………….5
3.MỤC TIÊU XÂY DỰNG CÔNG TRÌNH………………………………………………..6
4. ĐIỀU KIỆN TỰ NHIÊN KHU VỰC XÂY DỰNG CÔNG TRÌNH……………………..7
4.1. Điều kiện địa hình................................................................................................ 7
4.3. Điều kiện địa chất công trình............................................................................... 7
4.4 Khí tƣợng, thủy văn, hải văn .............................................................................. 20
4.4.1 Gió ................................................................................................................... 20
4.4.2 Mực nƣớc và thủy triều ................................................................................... 21
4.4.3 Dòng chảy ........................................................................................................ 22
4.4.4 Sóng…………………………………………………………………………...23

CHƢƠNG 2 24
QUY HOẠCH MẶT BẰNG CĂN CỨ BẾN ........................................................... 24
1. CƠ SỞ THIẾT KẾ TỔNG MẶT BẰNG………………………………………………..24
2. PHƢƠNG ÁN THIẾT KẾ TỔNG MẶT BẰNG………………………………………..24
3.THIẾT KẾ CƠ SỞ HẠ TẦNG KỸ THUẬT BẾN……………………………………….26
3.1 Khu nƣớc trƣớc bến ......................................................................................... 26
3.2 Mặt bằng nạo vét ............................................................................................. 27
3.3 Hệ thống cấp nƣớc ........................................................................................... 27
3.4 Hệ thống thoát nƣớc và xử lý nƣớc thải .......................................................... 28
3.5 Hệ thống hào công nghệ .................................................................................. 28
3.6 Hệ thống cấp điện và chiếu sáng ..................................................................... 28
3.7 Hệ thống trạm cấp khí nén, oxy, khí CO2, khí gas (LPG) .............................. 29
3.8 Đƣờng giao thông ............................................................................................ 29
3.9 Bãi các loại ...................................................................................................... 29
3.10 Phân xƣởng các loại......................................................................................... 30
3.11 Khu điều hành sản xuất ................................................................................... 32
3.12 Nhà khách ........................................................................................................ 32
3.13 Căng tin............................................................................................................ 32
3.14 Khu trung tâm đào tạo ..................................................................................... 32
3.15 Tƣờng rào, cổng, nhà bảo vệ, nhà WC và khu vực hút thuốc lá ...................... 32
4       PHƢƠNG ÁN HẠ THỦY…………………………………………………………...34

        GVHD: Th.S. Dƣơng Thanh Quỳnh
        SVTH : Vũ Trọng Chung     -   MSSV : 273352                                       -      Lớp 52CB3                  2
ĐỒ ÁN TỐT NGHIỆP                        Thiết Kế Kỹ Thuật Bến Căn Cứ Đóng Mới Giàn Jacket Độ Sâu
                                    .     Đến 95.7M Nước Hạ Thủy Bằng Phương Pháp Kéo Trượt


4.1 Thiết bị hạ thủy ................................................................................................. 34
4.2 Quy trình hạ thủy .............................................................................................. 51
CHƢƠNG 3 54
THIẾT KẾ KỸ THUẬT BẾN .................................................................................. 54
1. PHẦN MỀM THIẾT KẾ………………………………………………………………..54
2. TÍNH TOÁN CÁC THÔNG SỐ CƠ BẢN CỦA BẾN………………………………….54
2.1         Số liệu tính toán .......................................................................................... 54
2.2         Tính toán các thông số cơ bản của bến....................................................... 56
2.3         Xây dựng phƣơng án kết cấu bến................................................................ 59
2.3.1       Phƣơng án 1: Bệ cọc cao đài mềm trên nền cọc khoan nhồi ...................... 59
2.3.2       Phƣơng án 2: Bệ cọc cao đài mềm trên nền cọc bê tông cốt thép thƣờng . 61
2.3.3       So sánh lựa chọn phƣơng án....................................................................... 64
3. TÍNH TOÁN TẢI TRỌNG TÁC DỤNG LÊN BẾN …………………………...............68
4.TÍNH TOÁN KẾT CẤU…………………………………………………………………82
4.1           Chiều dài tính toán của cọc ...................................................................... 82
4.2           Tổ hợp tải trọng ........................................................................................ 86
5. TÍNH TOÁN CÁC CẤU KIỆN…………………………………………………………88
5.1           Phân đoạn không đƣờng trƣợt .................................................................. 88
5.1.1         Kết quả nội lực ......................................................................................... 88
5.1.2         Tính toán bê tông côt thép cấu kiện.......................................................... 88
5.1.2.1       Tài liệu tính toán và tiêu chuẩn thiết kế ................................................... 88
5.1.2.2       Nguyên tắc tính toán ................................................................................. 89
5.1.2.2.1     Tính toán cấu kiện BTCT theo TTGH I: Độ bền ..................................... 89
5.1.2.2.2     Tính toán cấu kiện BTCT theo TTGH II: Độ mở rộng vết nứt ................ 93
5.1.3         Tính toán và kiểm tra ổn định ................................................................... 94
5.1.3.1       Xác định lực cắt cọc ................................................................................. 95
5.1.3.2       Xác định vị trí tâm trƣợt nguy hiểm ......................................................... 96
5.1.3.3       Kiểm tra ổn định trƣợt sâu ........................................................................ 96
5.1.3.4       Kết quả kiểm tra ổn định .......................................................................... 97
5.1.4         Kiểm tra sức chịu tải của cọc ................................................................... 97
5.1.4.1       Xác định sức chịu tải cho phép của cọc ................................................... 97
5.1.4.2       Xác định lực nén trong cọc ...................................................................... 98
5.2           Thiết kế phân đoạn có đƣờng trƣợt ........................................................... 98
5.2.1         Kết quả nội lực ......................................................................................... 98
5.2.2         Tính toán cấu kiện bê tông cốt thép.......................................................... 98
5.2.3         Tính toán và kiểm tra ổn định................................................................... 98
5.2.4          Kiểm tra sức chịu tải của cọc................................................................... 99
5.3           Thiết kế phân đoạn tƣờng góc sau bến ..................................................... 99
5.3.1         Tính toán nội lực....................................................................................... 99
        GVHD: Th.S. Dƣơng Thanh Quỳnh
        SVTH : Vũ Trọng Chung     -   MSSV : 273352                                     -      Lớp 52CB3                 3
ĐỒ ÁN TỐT NGHIỆP                      Thiết Kế Kỹ Thuật Bến Căn Cứ Đóng Mới Giàn Jacket Độ Sâu
                                  .     Đến 95.7M Nước Hạ Thủy Bằng Phương Pháp Kéo Trượt


5.4          Thiết Kế Phân Đoạn Đƣờng Trƣợt ........................................................ 101
CHƢƠNG 4 104
THI CÔNG CÔNG TRÌNH BẾN........................................................................... 104
4.1 MỤC ĐỊCH CỦA VIỆC THIẾT KẾ THI CÔNG…………………………………….104
4.2 ĐẶC ĐIỂM CÔNG TRÌNH THI CÔNG……………………………………………..104
4.3 TÍNH TOÁN KHỐI LƢỢNG………………………………………………………...104
4.3.1        Khối lƣợng đất nạo vét ........................................................................... 105
4.3.2        Tổng khối lƣợng nạo vét là : 9.146.163 (m3) ......................................... 105
4.3.3        Khối lƣợng vật liệu thi công sàn đạo ...................................................... 105
4.3.4        Khối lƣợng vật liệu thi công bến ............................................................ 106
4.4 TRÌNH TỰ THI CÔNG………………………………………………………………108
4.4.1   Chuẩn bị công trƣờng ............................................................................. 108
4.4.2   Công tác làm kho bãi, lán trại ................................................................. 110
4.4.3   Hoàn thiện công trình ............................................................................. 110
4.4.4   Thi công nạo vét ..................................................................................... 110
4.4.5   Công tác cốt pha ..................................................................................... 111
4.4.6   Công tác đổ bêtông tại chỗ ..................................................................... 119
4.4.7   Thiết kế thi công tổng mặt bằng công trƣờng ........................................ 121
4.4.8   Công tác hoàn thiện công trình ............................................................... 121
4.4.9   An toàn lao động .................................................................................... 121
4.4.10  Các loại cần trục tự hành ....................................................................... 124
4.4.11  Đánh giá tác động của môi trƣờng ......................................................... 124
TÀI LIỆU THAM KHẢO ...................................................................................... 128
PHỤ LỤC           129
PHỤ LỤC 1 : PHÂN ĐOẠN KHÔNG ĐƢỜNG TRUỢT……………………………….130
PHỤ LỤC 2 : PHÂN ĐOẠN CÓ ĐƢỜNG TRƢỢT……………………………………..154
PHỤ LỤC 3 : PHÂN ĐOẠN TƢỜNG GÓC SAU BẾN ………………………………..175
PHỤ LỤC 4 : PHÂN ĐOẠN ĐƢỜNG TRƢỢT…………………………………………193
PHỤ LỤC 5 : NỘI LỰC TRONG SAP………….…………………………………........204
DANH MỤC BẢN VẼ…………………………………...................................................246




        GVHD: Th.S. Dƣơng Thanh Quỳnh
        SVTH : Vũ Trọng Chung     -   MSSV : 273352                               -     Lớp 52CB3                4
ĐỒ ÁN TỐT NGHIỆP            Thiết Kế Kỹ Thuật Bến Căn Cứ Đóng Mới Giàn Jacket Độ Sâu
                        .     Đến 95.7M Nước Hạ Thủy Bằng Phương Pháp Kéo Trượt


                                        CHƢƠNG 1

                                       MỞ ĐẦU
1.TÌNH HÌNH PHÁT TRIỂN CỦA NGÀNH DẦU KHÍ VIỆT NAM

   Ở Việt Nam hiện có khoảng 50 – 60 giếng khoan đƣợc thi công trong chƣơng trình
khoan thăm dò, khai thác của các công ty dầu khí nhƣ Petronas, JVPC, Cửu Long JOC,
Hoàng Long JOC, Vietsopetro, Premier Oil … Tình hình thăm dò khai thác dầu khí ngày
càng đƣợc đẩy mạnh, sản lƣợng hiện nay khoảng 22 triệu tấn dầu mỗi năm và dự báo sẽ
gia tăng sản lƣợng hàng năm đến khoảng 35 triệu tấn dầu trong thời gian tới, khi các nhà
thầu dầu khí triển khai phát triển các mỏ Rạng Đông, Bạch Hổ, Đại Hùng… Dự kiến
trong thời gian tới có trung bình khoảng 40 – 60 giếng khoan đƣợc thi công hàng năm và
do đó thị trƣờng Việt Nam cần có khoảng 7 – 10 giàn khoan biển phục vụ hàng năm.

   Tại Việt Nam, với số lƣợng ngày càng đông các nhà thầu dầu khí tham gia thăm dò
các mỏ mới ngoài khơi, nhu cầu sử dụng giàn khoan cũng đang tăng. Trong công tác
khoan thăm dò, khai thác dầu khí tại Việt Nam hiện nay mới chỉ có 03 giàn khoan biển
thuộc sở hữu của các công ty trong nƣớc. Đó là hai giàn khoan Tam Đảo, Cửu Long của
VietsovPetro và giàn PV Drilling 1 của PV Drilling (không kể 1 giàn khoan đất liền là
giàn PV Drilling 11 của PV Drilling). Các giàn khoan trên đều là các giàn đƣợc mua theo
hình thức đóng mới hoặc hoán cải từ các nhà thầu nƣớc ngoài. Còn lại toàn bộ các nhà
thầu dầu khí đang hoạt động thăm dò và khai thác tại Việt Nam đều phải đi thuê giàn
khoan của nƣớc ngoài.
   Bên cạnh công tác đóng mới giàn khoan, các công việc bảo dƣỡng sửa chữa và cải tạo
giàn khoan phục vụ cho việc thăm dò và khai thác dầu khí tại biển Việt Nam và khu vực
cũng đang bị bỏ ngỏ do trong nƣớc chƣa có đơn vị nào đủ điều kiện vật chất, nhân lực
thực hiện. Các công việc sửa chữa, hoán cải này hiện nay đều đƣợc thực hiện bởi các nhà
thầu nƣớc ngoài.



     GVHD: Th.S. Dƣơng Thanh Quỳnh
     SVTH : Vũ Trọng Chung     -   MSSV : 273352             -    Lớp 52CB3        5
ĐỒ ÁN TỐT NGHIỆP               Thiết Kế Kỹ Thuật Bến Căn Cứ Đóng Mới Giàn Jacket Độ Sâu
                           .     Đến 95.7M Nước Hạ Thủy Bằng Phương Pháp Kéo Trượt


2. ĐỊNH HƢỚNG PHÁT TRIỂN CHIẾN LƢỢC CHO GIAI ĐOẠN 2015 -2025

      Lĩnh vực cơ khí lắp đặt, chế tạo thiết bị dầu khí, phát triểncăn cứ dịch vụ. Tập trung
đầu tƣ cơ sở vật chất để đẩy mạnh phát triển cơ khí lắp đặt, chế tạo thiết bị dầu khí, trở
thành ngành nghề kinh doanh chiếm tỷ trọng lớn trong doanh thu hàng năm của PVC.
Mục tiêu cụ thể đối với lĩnh vực cơ khí chế tạo dầu khí nhƣ sau:
-     Xây dựng cảng biển gắn liền với căn cứ dịch vụ và chế tạo thiết bị dầu khí tại Khu
công nghiệp dịch vụ Dầu khí Tiền Giang.
-     Từng bƣớc làm chủ công nghệ chế tạo giàn khoan, giàn khai thác, đặc biệt là chế tạo
chân đế giàn khoan
-     Xây dựng cơ sở vật chất và con ngƣời để phát triển công nghiệp đóng tàu và sửa chữa
tàu phục vụ cho các hoạt động dầu khí. Đến 2015 đóng đƣợc các tàu dầu khí loại lớn (tàu
chở sản phẩm dầu trên 30.000DWT, tàu chở dầu thô trên 100.000DWT).
-     Đủ năng lực để chế tạo các thiết bị chịu áp lực theo tiêu chuẩn ASEM.
-     Có sản phẩm cuốn ống, bọc ống, các thiết bị cắt nối…để cung cấp cho các công trình
dầu khí tại Việt Nam.
3.MỤC TIÊU XÂY DỰNG CÔNG TRÌNH

      Dự án đầu tƣ xây dựng Căn cứ đóng mới và sửa chữa giàn khoan Dầu khí là dự án
xây dựng cơ sở hạ tầng đầu tiên của PV Shipyard nhằm các mục tiêu dƣới đây:
    - Xây dựng một khu căn cứ đóng mới và sửa chữa giàn khoan dầu khí, với hệ thống cơ
sở hạ tầng, thiết bị kỹ thuật đồng bộ và hiện đại, đảm bảo đáp ứng các yêu cầu đóng mới,
sửa chữa, lắp dựng giàn khoan, cung cấp thiết bị, dịch vụ kỹ thuật dầu khí trong nƣớc tiến
đến mở rộng dịch vụ sang sửa chữa, đóng mới tầu biển, mở rộng thị trƣờng ra nƣớc
ngoài.




       GVHD: Th.S. Dƣơng Thanh Quỳnh
       SVTH : Vũ Trọng Chung     -   MSSV : 273352              -    Lớp 52CB3        6
ĐỒ ÁN TỐT NGHIỆP                  Thiết Kế Kỹ Thuật Bến Căn Cứ Đóng Mới Giàn Jacket Độ Sâu
                              .     Đến 95.7M Nước Hạ Thủy Bằng Phương Pháp Kéo Trượt


4. ĐIỀU KIỆN TỰ NHIÊN KHU VỰC XÂY DỰNG CÔNG TRÌNH
4.1. Điều kiện địa hình
    Theo kế t quả khảo sát gầ n đây cho thấ y điạ hình khu vƣ̣c xây dƣ̣ng đã có nhiề u thay
đổ i do công tác xây dƣ̣ng các công trinh lân câ ̣n của dƣ̣ án mở rô ̣ng giai đ oạn III cảng –
                                          ̀
căn cƣ́ dich vu ̣ kỹ thuâ ̣t dầ u khí Vũng Tàu . Phầ n trên bai – khu vƣ̣c xây dƣ̣ng đƣờng trƣơ ̣t
           ̣                                                        ̃
20000 tấ n, mô ̣t phầ n mă ̣t bai hiê ̣n ta ̣i có cố t khoảng +5.5 m (Hê ̣ cao đô ̣ hải đồ khu vƣ̣c
                                  ̃
Vũng Tàu), phầ n còn la ̣i là bai nghiêng ha ̣ thủy sà lan.
                                   ̃
    Theo luồ ng sông Dinh          , đô ̣ sâu trên luồ ng chỉ đa ̣t       -7.2 m, đáp ƣ́ng cho tầ u
10000 tấ n DWT ra vào . Với tầ u 15000 tấ n DWT có thể ra vào với tầ n suấ t thấ p hơn hoă ̣c
phải giảm tải.

4.2. Đặc điểm địa chất thủy văn
    Nƣớc ở tại vị trí khảo sát chủ yếu là nƣớc mặt. Nƣớc mặt là nƣớc mặn của biển, chịu
ảnh hƣởng của thuỷ triều (chế độ nhật triều).
   Từ tài liệu khảo sát địa chất, nƣớc ngầm đƣợc cung cấp chủ yếu từ nƣớc mặt và nƣớc
nằm trong các lớp cát hạt.
   Theo yêu cầu của đề cƣơng, quan sát mực nƣớc ngầm tại hai lỗ khoan HK36 và
HK22. Hai lỗ khoan này nằm dƣới nƣớc và thuộc khu vực bán ngập, với chiều sâu
30m/lỗ địa chất là các lớp đất sét không chứa nƣớc. Sau khi nƣớc triều rút quan sát mực
nƣớc ngầm hai lỗ khoan trên không thấy có sự biến đổi, mặt mƣớc bằng mặt đất tự nhiên
4.3. Điều kiện địa chất công trình
1/ Lớp 1a: Đất lấp - đất, đá, gạch vỡ......;
    Lớp 1 chỉ gặp trong lỗ khoan HK43, nằm ngay trên bề mặt. Cao độ mặt lớp biến đổi
+4.08m, cao độ đáy lớp +3.08m. Chiều dày lớp xác định đƣợc là 1.0m.
   Do lớp 1 nằm ngay trên bề mặt, thành phần không đồng nhất, chiều dày nhỏ nên
không lấy mẫu thí nghiệm.
2/ Lớp 1b: Cát bồi tích - màu xám vàng, kết cấu kém chặt;
    Lớp 1b gặp trong một số lỗ khoan dƣới nƣớc và phân bố cục bộ, gặp trong các lỗ khoan
(HK3, HK4, HK11, HK32), nằm ngay trên bề mặt. Cao độ mặt lớp biến đổi từ +2.13m
(HK3) đến +3.65m (HK32), đáy lớp từ +1.78m (HK11) đến +3.05m (HK32). Chiều dày lớp
nhỏ và biến đổi từ 0.3m (HK3) đến 0.6m (HK32).

      GVHD: Th.S. Dƣơng Thanh Quỳnh
      SVTH : Vũ Trọng Chung     -   MSSV : 273352                        -      Lớp 52CB3          7
ĐỒ ÁN TỐT NGHIỆP             Thiết Kế Kỹ Thuật Bến Căn Cứ Đóng Mới Giàn Jacket Độ Sâu
                         .     Đến 95.7M Nước Hạ Thủy Bằng Phương Pháp Kéo Trượt


    Do lớp 1b có chiều dày nhỏ nên không lẫy mẫu thí nghiệm.
 3/ Lớp 2: Cát hạt mịn trạng thái chặt vừa
    Lớp 2 có diện phân bố rộng, gặp trong tất cả các lỗ khoan, nằm dƣới lớp 1a, 1b và
ngay trên bề mặt. Cao độ mặt lớp biến đổi từ +1.57m (HK13) đến +3.95m (HK37), đáy
lớp từ -9.65m (HK55) đến -3.15m (HK41). Chiều dày lớp: nhỏ nhất 2.9m (HK24), lớn
nhất 13.0m (HK55).

    Lớp 2 có sức chịu tải quy ƣớc R0 < 1.0 kG/cm2.

4/ Lớp 3: Cát hạt trung - thô, màu xám xanh, kết cấu kém chặt - chặt vừa;
 Lớp 3 gặp trong các lỗ khoan (HK6, HK44, HK47, HK50, HK51, HK53, HK59, HK61),
nằm dƣới lớp 2. Cao độ mặt lớp biến đổi từ -9.05m (HK61) đến +2.21m (HK50), cao độ
đáy lớp từ -11.75m (HK61) đến -7.53m (HK6). Chiều dày lớp: nhỏ nhất 2.2m (HK59),
lớn nhất 10.7m (HK50).
Lớp 3 có sức chịu tải quy ƣớc R0 = 1.5 kG/cm2.
5/ Lớp 4: Cát pha, màu xám xanh, trạng thái dẻo;
   Lớp 4 gặp trong các lỗ khoan (HK:7, 8, 22, 41 43, 54  61), nằm dƣới lớp 2 và 3.
Cao độ mặt lớp biến đổi từ -11.75m (HK61) đến -3.15m (HK41), cao độ đáy lớp từ -
18.55m (HK58) đến -6.80m (HK42). Chiều dày lớp: nhỏ nhất 1.6m (HK61), lớn nhất
7.6m (HK59).
   Thí nghiệm xuyên tiêu chuẩn (SPT) có giá trị: nhỏ nhất N = 8, lớn nhất N = 11.
   Lớp 4 có sức chịu tải quy ƣớc R0 = 1.0 kG/cm2.
6/ Lớp 5a: Sét pha, màu xám xanh, trạng thái dẻo mềm;
  Lớp 5a có diện phân bố rất rộng, gặp hầu hết các lỗ khoan, nằm dƣới lớp 2, 3 và 4.
Cao độ mặt lớp biến đổi từ -15.88m (HK60) đến -3.55m (HK46), đáy lớp từ -26.54m
(HK17) đến -11.41m (HK9). Chiều dày lớp: nhỏ nhất 2.0m (HK7) lớn nhất 16.1m
(HK49).
   Thí nghiệm xuyên tiêu chuẩn (SPT) có giá trị: nhỏ nhất N = 6, lớn nhất N = 12.
    Lớp 5a có sức chịu tải quy ƣớc R0 = 1.2 kG/cm2.
7/ Lớp 5b: Sét pha, màu xám xanh, xám nâu, trạng thái dẻo cứng;
   Lớp 5b gặp trong các lỗ khoan (HK: 9,13,16,21,25,35,36,39,40,55,56,61), nằm dƣới
lớp 3 và 4. Cao độ mặt lớp biến đổi từ -16.15m (HK55) đến -4.89m (HK39), đáy lớp từ -
19.65m (HK21) đến -13.30m (HK40). Chiều dày lớp: nhỏ nhất 2.0m (HK55), lớn nhất
10.4 m (HK55).
    Thí nghiệm xuyên tiêu chuẩn (SPT) có giá trị: nhỏ nhất N = 9, lớn nhất N = 17.
     GVHD: Th.S. Dƣơng Thanh Quỳnh
     SVTH : Vũ Trọng Chung     -   MSSV : 273352              -    Lớp 52CB3        8
ĐỒ ÁN TỐT NGHIỆP            Thiết Kế Kỹ Thuật Bến Căn Cứ Đóng Mới Giàn Jacket Độ Sâu
                        .     Đến 95.7M Nước Hạ Thủy Bằng Phương Pháp Kéo Trượt


 Lớp 5b có sức chịu tải quy ƣớc R0 = 1.5 kG/cm2.
8 Lớp 6: Sét, màu xám nâu, xám đen, trạng thái dẻo cứng;
 Lớp 6 có diện phân bố rất rộng, gặp ở tất cả các lỗ khoan, nằm dƣới lớp 2,3, 4. Cao độ
mặt lớp biến đổi từ -26.54m (HK17) đến -13.30m (HK40).
 Lớp 6 có sức chịu tải quy ƣớc R0 = 1.8 kG/cm2.
9/ Lớp 7: Đá kết phong hóa vỡ dăm tảng màu vàng, xám trắng

  Trọng lƣợng riêng                        :   1,72 g / cm 3

   Ma sát trong                            :   40 0

  Tại các lỗ khoan (HK56,58,60), khoan sâu vào lớp từ 1.0m (HK56) đến 3.0m (HK58)
nhƣng chƣa xác định đƣợc đáy lớp.
  Tại các lỗ khoan còn lại, cao độ đáy lớp biến đổi từ -42.82m (HK27) đến -32.88m
(HK38). Chiều dày lớp: nhỏ nhất 2.2m (HK29), lớn nhất 8.1m (HK30).
10/Lớp 8: Sét, màu xám xanh, trạng thái dẻo cứng - nửa cứng;
    Lớp 8 gặp trong các lỗ khoan (HK: 18, 1012, 1618, 25, 26, 29, 30, 39, 48, 52),
nằm dƣới lớp 6 và 7. Cao độ mặt lớp biến đổi từ -46.59m (HK5) đến -33.34m (HK48),
đáy lớp từ -49.05m (HK10) đến -35.34m (HK48). Chiều dày lớp: nhỏ nhất 1.5m (HK5),
lớn nhất 13.3m (HK39).
   Thí nghiệm xuyên tiêu chuẩn (SPT) có giá trị: nhỏ nhất N = 13, lớn nhất N = 29.
    Lớp 8 có sức chịu tải quy ƣớc R0 = 2.1 kG/cm2.
11/ Lớp 9a: Sét pha, màu xám xanh, trạng thái dẻo mềm;
    Lớp 9a gặp trong 02 lỗ khoan (HK7, HK18), nằm dƣới lớp 8. Cao độ mặt lớp biến
đổi từ -40.55m (HK18) đến -43.65m (HK7), đáy lớp -47.45m (HK7) đến -45.55m
(HK18). Chiều dày lớp xác định đƣợc là 4.1m (HK7), 5.0m (HK18).
   Thí nghiệm xuyên tiêu chuẩn (SPT) có giá trị: nhỏ nhất N = 8, lớn nhất N = 13.
   Lớp 9a có sức chịu tải quy ƣớc R0 = 1.1 kG/cm2.
12/ Lớp 9b: Sét pha, màu xám xanh, xám nâu, trạng thái dẻo cứng;
    Lớp 9b gặp trong các lỗ khoan (HK:3,4,817,1921,24,34,35,38,39,45,48), nằm
dƣới lớp 7 và 8. Cao độ mặt lớp biến đổi từ -31.46m (HK34) đến -45.82m (HK24), đáy
lớp -36.84m (HK48) đến -50.99m (HK39). Chiều dày lớp: nhỏ nhất 1.5m (HK48), lớn
nhất 11.0m (HK9).

     GVHD: Th.S. Dƣơng Thanh Quỳnh
     SVTH : Vũ Trọng Chung     -   MSSV : 273352                 -   Lớp 52CB3      9
ĐỒ ÁN TỐT NGHIỆP             Thiết Kế Kỹ Thuật Bến Căn Cứ Đóng Mới Giàn Jacket Độ Sâu
                         .     Đến 95.7M Nước Hạ Thủy Bằng Phương Pháp Kéo Trượt


    Thí nghiệm xuyên tiêu chuẩn (SPT) có giá trị: nhỏ nhất N = 15, lớn nhất N = 39.
   Lớp 9b có sức chịu tải quy ƣớc R0 = 1.6 kG/cm2.

13/ Lớp 10: Cát pha, màu xám xanh, xám nâu, trạng thái dẻo;
    Lớp 10 gặp trong các lỗ khoan (HK38, HK45, HK48), nằm dƣới lớp 6, 7 và 8. Cao
độ mặt lớp biến đổi từ -36.92m (HK45) đến -36.84m (HK48), đáy lớp -40.92m (HK45)
đến -40.24m (HK48). Chiều dày lớp: nhỏ nhất 3.4m (HK48), lớn nhất 6.5m (HK38).
   Thí nghiệm xuyên tiêu chuẩn (SPT) có giá trị: nhỏ nhất N = 20, lớn nhất N = 24.
   Lớp 10 có sức chịu tải quy ƣớc R0 = 1.4 kG/cm2.
14/ Lớp Đ: Kết vón dạng đá thành phần gồm cát, sạn sỏi, sét, màu xám đen, cứng chắc;
   Lớp đất gặp trong các lỗ khoan (HK:29,34,45,48,49,51,52), nằm dƣới lớp 9 và 10.
Cao độ mặt lớp biến đổi từ -40.42m (HK45) đến -38.20m (HK51), đáy lớp -42.92m
(HK45) đến -40.09m (HK29). Chiều dày lớp: nhỏ nhất 0.5m (HK29), lớn nhất 2.5m
(HK45).
   Cƣờng độ kháng nén của lớp đất xem cụ thể từng kết quả mẫu thí nghiệm.
15/ Lớp 11: Cát hạt trung - mịn, màu xám xanh, kết cấu chặt;
    Lớp 11 gặp trong 02 lỗ khoan (HK51, HK52), nằm ngay dƣới lớp Đ. Cao độ mặt lớp
biến đổi từ -41.05m (HK52) đến -40.40m (HK51), đáy lớp -46.35m (HK52) đến -46.20m
(HK51). Chiều dày lớp xác định đƣợc 5.8m (HK51), lớn nhất 11.3m (HK52).
   Thí nghiệm xuyên tiêu chuẩn (SPT) có giá trị: nhỏ nhất N = 20, lớn nhất N = 24.
    Lớp 11 có sức chịu tải quy ƣớc R0 = 2.5 kG/cm2.
16/ Lớp 12: Cát pha, màu xám xanh, trạng thái cứng - rất cứng;
    Lớp 12 gặp trong các lỗ khoan (HK: 1, 817, 1921,23, 2527, 2931, 34,35,
38,39,45,46,48,49,51,52), nằm ngay dƣới lớp 8, 9b, đất và 11. Cao độ mặt lớp biến đổi từ
-50.99m (HK39) đến -40.09m (HK29), khoan sâu vào từ 2.5m (HK9) đến 13.0m (HK29)
nhƣng chƣa xác định đƣợc đáy lớp.
    Thí nghiệm xuyên tiêu chuẩn (SPT) có giá trị: nhỏ nhất N = 37, lớn nhất N = 68.
    Lớp 12 có sức chịu tải quy ƣớc R0 = 3.0 kG/cm2.
17/ Lớp 13: Cát hạt trung - thô, màu xám xanh, kết cấu chặt - rất chặt;
    Lớp 13 gặp trong các lỗ khoan (HK2HK7, HK18, HK24), nằm ngay dƣới lớp đất.
Cao độ mặt lớp biến đổi từ -49.22m (HK4) đến -45.55m (HK51), khoan sâu vào lớp từ
3.5m (HK4) đến 7.0m (HK18) nhƣng chƣa xác định đƣợc đáy lớp.
    Thí nghiệm xuyên tiêu chuẩn (SPT) có giá trị: nhỏ nhất N = 29, lớn nhất N = 68.

     GVHD: Th.S. Dƣơng Thanh Quỳnh
     SVTH : Vũ Trọng Chung     -   MSSV : 273352              -    Lớp 52CB3        10
ĐỒ ÁN TỐT NGHIỆP             Thiết Kế Kỹ Thuật Bến Căn Cứ Đóng Mới Giàn Jacket Độ Sâu
                         .     Đến 95.7M Nước Hạ Thủy Bằng Phương Pháp Kéo Trượt


    Lớp 13 có sức chịu tải quy ƣớc R0 = 3.5 kG/cm2.
18/ Lớp TK1: Cát pha, màu xám xanh, trạng thái dẻo;
    Lớp TK1 nằm trong lỗ khoan HK35 và HK38 của báo cáo địa chất của Căn cứ dịch
vụ hàng hải dầu khí Sao Mai - Bến Đình. Các lỗ khoan này chỉ sử dụng tham khảo.
19/ Lớp TK2: Sét pha, màu xám xanh, trạng thái dẻo mềm;
    Lớp TK2 gặp trong các lỗ khoan (HK46, HK49), nằm trong lớp 6.
    Tại HK46, cao độ mặt lớp -29.15m, đáy lớp -34.15m, chiều dày là 5.0m.
    Tại HK49, cao độ mặt lớp -29.65m, đáy lớp -31.15m, chiều dày là 1.5m.
    Thí nghiệm xuyên tiêu chuẩn (SPT) có giá trị: N = 11.
    Lớp TK2 có sức chịu tải quy ƣớc R0 = 1.1 kG/cm2.


                       Bảng 1.1a. Tổng hợp chỉ tiêu cơ lý các lớp đất

                                Kí                                          Lớp     Lớp
TT Chỉ tiêu cơ lý                       Đơn vị     Lớp 2 Lớp 3 Lớp 4
                                hiệu                                        5a      5b

1   Thành phần hạt (m)          P             %

    20,0-10,0                                                      0,9

    10,0-5,0                                                       0,4      0,1

    5,0-2,0                                        0,1     1,4     0,9      0,2

    2,0-1,0                                        0,2     6,8     2,5      0,7     0,8

    1,0-0,5                                        0,4     16,5    4,3      1,8     1,3

    0,5-0,25                                       0,9     26,6    10,2     2,9     2,8

    0,25-0,10                                      6,9     39,0    49,1     18,0    14,7

    0,10-0,05                                      19      5,6     11,5     23,1    21,9




     GVHD: Th.S. Dƣơng Thanh Quỳnh
     SVTH : Vũ Trọng Chung     -   MSSV : 273352              -    Lớp 52CB3        11
ĐỒ ÁN TỐT NGHIỆP            Thiết Kế Kỹ Thuật Bến Căn Cứ Đóng Mới Giàn Jacket Độ Sâu
                        .     Đến 95.7M Nước Hạ Thủy Bằng Phương Pháp Kéo Trượt


                               Kí                                          Lớp     Lớp
TT Chỉ tiêu cơ lý                      Đơn vị      Lớp 2 Lớp 3 Lớp 4
                               hiệu                                        5a      5b

     0,05-0,01                                     31,8    1,3    6,5      24,7    26,7

     0,01-0,005                                    8,8     1,7    3,1      6,1     6,6

     <0,005                                        31,9    1,1    11,2     22,4    25,2

2    Độ ẩm tự nhiên            W               %   68,5    19,1   21,3     26,3    26,4

3    Giới hạn chảy             LL              %   56,0           23,0     32,6    35,6

4    Giới hạn dẻo              PL              %   31,4           16,3     18,5    1,98

5    Chỉ số dẻo                PI              %   24,6           6,8      14,1    15,9

6    Độ sệt                    LI                  1,51           0,75     0,55    0,42

7    Dung trọng tự nhiên       w      g/cm3       1,54           1,19     1,88    1,89

8    Dung trọng khô            k      g/cm3       0,93           0,98     1,49    1,49

9    Tỷ trọng                         g/cm3       2,62    2,66   2,66     2,67    2,68

10   Độ lỗ rỗng                n       %           65             41       44      44

11   Hệ số rỗng                0                  1,866          0,693    0,794   0,791

12   Độ bão hòa                G       %           96             82       89      89

13   Lực dính kết              C       kG/cm2      0,067          0,094    0,161   0,189

14   Góc ma sát trong                 Độ          4045'          22016'   16002' 16028'

15   Hệ số nén lún             a1-2    cm2/kG      0,113          0,021    0,032   0,027


     GVHD: Th.S. Dƣơng Thanh Quỳnh
     SVTH : Vũ Trọng Chung     -   MSSV : 273352             -    Lớp 52CB3        12
ĐỒ ÁN TỐT NGHIỆP               Thiết Kế Kỹ Thuật Bến Căn Cứ Đóng Mới Giàn Jacket Độ Sâu
                           .     Đến 95.7M Nước Hạ Thủy Bằng Phương Pháp Kéo Trượt


                                  Kí                                           Lớp     Lớp
TT Chỉ tiêu cơ lý                         Đơn vị      Lớp 2 Lớp 3 Lớp 4
                                  hiệu                                         5a      5b

16   Thí nghiệm nén cố Pc                 kG/cm2                               1,02
                                                      0,35
     kết

                                  Cc                  0,722                    0,234

                                  CR                  0,230                    0,126

                                  Cv      10-3                                 0,297
                                                      0,152
                                          cm2/kG

                                  k       10-7 cm/s   0,074                    0,035

17   Thí nghiệm nén ba
     trục

     Sơ đồ UU                     Cu      kG/cm2      0,121

     Sơ đồ CU                     Cu      kG/cm2      0,187

                                  Cu'     kG/cm2      0,175

                                  u      Độ          13057'

                                  u'     Độ          16053'

18   TN nén 1 trục nở Qu                  kG/cm2
     hông

19   Hệ số rỗng lớn nhất          max                         0,786

20   Hệ số rỗng nhỏ nhất          min                         0,577



     GVHD: Th.S. Dƣơng Thanh Quỳnh
     SVTH : Vũ Trọng Chung     -   MSSV : 273352                 -     Lớp 52CB3       13
ĐỒ ÁN TỐT NGHIỆP              Thiết Kế Kỹ Thuật Bến Căn Cứ Đóng Mới Giàn Jacket Độ Sâu
                          .     Đến 95.7M Nước Hạ Thủy Bằng Phương Pháp Kéo Trượt


                                 Kí                                           Lớp    Lớp
TT Chỉ tiêu cơ lý                        Đơn vị       Lớp 2 Lớp 3 Lớp 4
                                 hiệu                                         5a     5b

21   Góc nghỉ của cát khi k             Độ                  39039'
     khô

22   Góc nghỉ của cát khi w             Độ                  36017'
     ƣớt

23   Cƣờng độ quy ƣớc            R       kG/cm2       <1,0   1,5      1,0     1,2    1,5




                    Bảng 1.1b: Tổng hợp chỉ tiêu cơ lý các lớp đất (tiếp theo)

                                 Kí                                           Lớp    Lớp
TT Chỉ tiêu cơ lý                        Đơn vị       Lớp 6 Lớp 7 Lớp 8
                                 hiệu                                         9a     9b

1    Thành phần hạt (m)          P                %

     20,0-10,0                                                                1,7    0,4

     10,0-5,0                                         0,1              0,3    4,3    0,9

     5,0-2,0                                          0,1     0,6      0,7    4,7    2,1

     2,0-1,0                                          0,2     1,9      0,6    4,3    2,4

     1,0-0,5                                          0,2     3,3      1,5    10     4,4

     0,5-0,25                                         0,4     9,1      2,2    12,7   5,5

     0,25-0,10                                        2,2     58,2     6,1    15,3   12,5



     GVHD: Th.S. Dƣơng Thanh Quỳnh
     SVTH : Vũ Trọng Chung     -   MSSV : 273352               -      Lớp 52CB3      14
ĐỒ ÁN TỐT NGHIỆP            Thiết Kế Kỹ Thuật Bến Căn Cứ Đóng Mới Giàn Jacket Độ Sâu
                        .     Đến 95.7M Nước Hạ Thủy Bằng Phương Pháp Kéo Trượt


                               Kí                                            Lớp     Lớp
TT Chỉ tiêu cơ lý                      Đơn vị      Lớp 6 Lớp 7 Lớp 8
                               hiệu                                          9a      9b

     0,10-0,05                                     10,4     8,3      14,8    9,7     21,5

     0,05-0,01                                     27,8     5,2      28,1    16,0    23,7

     0,01-0,005                                    12,8     3,0      10,5    5,0     6,6

     <0,005                                        45,8     10,4     35,2    16,3    20,0

2    Độ ẩm tự nhiên            W               %   40,1     22,0     36,8    24,0    26,1

3    Giới hạn chảy             LL              %   59,2     22,7     57,3    27,9    34,9

4    Giới hạn dẻo              PL              %   31,4     16,3     31,1    17,5    20,4

5    Chỉ số dẻo                PI              %   27,7     6,4      26,2    10,4    14,5

6    Độ sệt                    LI                  0,31     0,89     0,22    0,62    0,39

7    Dung trọng tự nhiên       w      g/cm3       1,70     1,72     1,81    1,86    1,89

8    Dung trọng khô            k      g/cm3       1,27     1,56     1,32    1,50    1,50

9    Tỷ trọng                         g/cm3       2,67     2,66     2,67    2,66    2,67

10   Độ lỗ rỗng                n       %           52       41       50      44      44

11   Hệ số rỗng                0                  1,100    0,709    1,017   0,772   0,780

12   Độ bão hòa                G       %           97       83       97      83      89

13   Lực dính kết              C       kG/cm2      0,234    0,104    0,264   0,136   0,172

14   Góc ma sát trong                 Độ          36000'   25014' 40000' 18053' 18031'


     GVHD: Th.S. Dƣơng Thanh Quỳnh
     SVTH : Vũ Trọng Chung     -   MSSV : 273352             -      Lớp 52CB3        15
ĐỒ ÁN TỐT NGHIỆP               Thiết Kế Kỹ Thuật Bến Căn Cứ Đóng Mới Giàn Jacket Độ Sâu
                           .     Đến 95.7M Nước Hạ Thủy Bằng Phương Pháp Kéo Trượt


                                  Kí                                           Lớp     Lớp
TT Chỉ tiêu cơ lý                         Đơn vị      Lớp 6 Lớp 7 Lớp 8
                                  hiệu                                         9a      9b

15   Hệ số nén lún                a1-2    Cm2/kG      0,025   0,020    0,021   0,030   0,025

16   Thí nghiệm nén cố Pc                 kG/cm2      1,56
     kết

                                  Cc                  0,204

                                  CR                  0,095

                                  Cv      10-3        0,368
                                          cm2/kG

                                  k       10-7 cm/s   0,023

17   Thí nghiệm nén ba
     trục

            Sơ đồ UU              Cu      kG/cm2

            Sơ đồ CU              Cu      kG/cm2

                                  Cu'     kG/cm2

                                  u      Độ

                                  u'     Độ

18   TN nén 1 trục nở Qu                  kG/cm2      1,534   0,648
     hông

19   Hệ số rỗng lớn nhất          max



     GVHD: Th.S. Dƣơng Thanh Quỳnh
     SVTH : Vũ Trọng Chung     -   MSSV : 273352                -     Lớp 52CB3        16
ĐỒ ÁN TỐT NGHIỆP              Thiết Kế Kỹ Thuật Bến Căn Cứ Đóng Mới Giàn Jacket Độ Sâu
                          .     Đến 95.7M Nước Hạ Thủy Bằng Phương Pháp Kéo Trượt


                                 Kí                                          Lớp     Lớp
TT Chỉ tiêu cơ lý                           Đơn vị   Lớp 6 Lớp 7 Lớp 8
                                 hiệu                                        9a      9b

20   Hệ số rỗng nhỏ nhất         min

21   Góc nghỉ của cát khi k                Độ
     khô

22   Góc nghỉ của cát khi w                Độ
     ƣớt

23   Cƣờng độ quy ƣớc            R          kG/cm2                   2,1     1,1     1,6



                    Bảng 1.1c Tổng hợp chỉ tiêu cơ lý các lớp đất (tiếp theo)

                                 Kí                  Lớp     Lớp     Lớp     Lớp     Lớp
TT Chỉ tiêu cơ lý                           Đơn vị
                                 hiệu                10      11      12      13      TK2

1    Thành phần hạt (m)                 P        %

     20,0-10,0                                                               1,5

     10,0-5,0                                        3,3     0,3     0,5     2,4

     5,0-2,0                                         5,3     0,7     0,9     4,0

     2,0-1,0                                         14,1    1,3     1,9     6,1     2,5

     1,0-0,5                                         27,6    2,7     3,7     18,0    3,5

     0,5-0,25                                        11,3    33,0    25,6    26,4    10,0

     0,25-0,10                                       10,7    50,7    35,7    29,3    46,0



     GVHD: Th.S. Dƣơng Thanh Quỳnh
     SVTH : Vũ Trọng Chung     -   MSSV : 273352               -    Lớp 52CB3        17
ĐỒ ÁN TỐT NGHIỆP            Thiết Kế Kỹ Thuật Bến Căn Cứ Đóng Mới Giàn Jacket Độ Sâu
                        .     Đến 95.7M Nước Hạ Thủy Bằng Phương Pháp Kéo Trượt


                               Kí                  Lớp      Lớp     Lớp    Lớp     Lớp
TT Chỉ tiêu cơ lý                      Đơn vị
                               hiệu                10       11      12     13      TK2

     0,10-0,05                                     6,0      4,3     10,7   5,0     7,5

     0,05-0,01                                     8,7      3,7     8,1    2,5     7,5

     0,01-0,005                                    3,0      1,0     3,4    1,1     4,0

     <0,005                                        10,0     2,3     9,5    3,7     19,0

2    Độ ẩm tự nhiên            W               %   20,0     20,4    21,2   14,5    26,7

3    Giới hạn chảy             LL              %   18,8             22,3           32,1

4    Giới hạn dẻo              PL              %   15,0             16,2           18,6

5    Chỉ số dẻo                PI              %   3,8              6,1            13,5

6    Độ sệt                    LI                  1,32             0,82           0,60

7    Dung trọng tự nhiên       w      g/cm3       1,88                            1,81

8    Dung trọng khô            k      g/cm3       1,51                            1,42

9    Tỷ trọng                         g/cm3       2,66     2,68    2,66   2,66    2,66

10   Độ lỗ rỗng                n       %           44                              46

11   Hệ số rỗng                0                  0,771                           0,867

12   Độ bão hòa                G       %           69                              82

13   Lực dính kết              C       kG/cm2      0,144                           0,145

14   Góc ma sát trong                 Độ          18028'                          16056'


     GVHD: Th.S. Dƣơng Thanh Quỳnh
     SVTH : Vũ Trọng Chung     -   MSSV : 273352             -     Lớp 52CB3       18
ĐỒ ÁN TỐT NGHIỆP               Thiết Kế Kỹ Thuật Bến Căn Cứ Đóng Mới Giàn Jacket Độ Sâu
                           .     Đến 95.7M Nước Hạ Thủy Bằng Phương Pháp Kéo Trượt


                                  Kí                  Lớp     Lớp      Lớp    Lớp     Lớp
TT Chỉ tiêu cơ lý                         Đơn vị
                                  hiệu                10      11       12     13      TK2

15   Hệ số nén lún                a1-2    Cm2/kG      0,029                           0,032

16   Thí nghiệm nén cố Pc                 kG/cm2
     kết

                                  Cc

                                  CR

                                  Cv      10-3
                                          cm2/kG

                                  k       10-7 cm/s

17   Thí nghiệm nén ba
     trục

     Sơ đồ UU                     Cu      kG/cm2

     Sơ đồ CU                     Cu      kG/cm2

                                  Cu'     kG/cm2

                                  u      Độ

                                  u'     Độ

18   TN nén 1 trục nở Qu                  kG/cm2
     hông

19   Hệ số rỗng lớn nhất          max                        0,791           0,789



     GVHD: Th.S. Dƣơng Thanh Quỳnh
     SVTH : Vũ Trọng Chung     -   MSSV : 273352                -     Lớp 52CB3       19
ĐỒ ÁN TỐT NGHIỆP                 Thiết Kế Kỹ Thuật Bến Căn Cứ Đóng Mới Giàn Jacket Độ Sâu
                             .     Đến 95.7M Nước Hạ Thủy Bằng Phương Pháp Kéo Trượt


                                    Kí                    Lớp        Lớp         Lớp        Lớp         Lớp
TT Chỉ tiêu cơ lý                           Đơn vị
                                    hiệu                  10         11          12         13          TK2

20   Hệ số rỗng nhỏ nhất            min                             0,565                  0,576

21   Góc nghỉ của cát khi k                Độ                       41018'                 40027'
     khô

22   Gócnghỉ của cát khi ƣớt w             Độ                       38005'                 37010'

23   Cƣờng độ quy ƣớc               R       kG/cm2        1,4        2,5         3,0        3,5         1,1



4.4 Khí tƣợng, thủy văn, hải văn

4.4.1 Gió

    Vũng Tàu thuộc vùng gió mùa nhiệt đới. Theo số liệu trạm khí tƣợng Vũng Tàu cho
thấy:
    - Về mùa khô, hƣớng gió chủ yếu là Đông và Đông Bắc, tốc độ gió trung bình là 4,7
m/s (biến động từ 4,0 đến 5,7 m/s); lớn nhất là vào tháng 7 (5,7 m/s).
    - Về mùa mƣa, hƣớng gió chủ yếu là Tây-Nam và Tây-Tây Nam, tốc độ gió trung
bình mùa mƣa đạt 3,6 m/s (biến động từ 3,5 đến 4,2 m/s).
    -Tốc độ gió lớn nhất theo tháng qua các năm quan trắc đƣợc tập hợp trong Bảng
1.3.3.5.
                     Bảng 1.2: Tốc độ gió tại Vũng Tàu 1986 - 2000 (Đ/vị: m/s)

Tháng       I   II     III   IV       V      VI      VII VIII IX             X         XI   XII Cả năm

Vt/b        3   4      4     4        3      3       3          3    3       2         2            2

Vmax        14 14      14    14       20     20      22         20   20      14        20   14      22

Hƣớng E         E      E     E        SWN SW.W SW                    W       WE W            E      SW



     GVHD: Th.S. Dƣơng Thanh Quỳnh
     SVTH : Vũ Trọng Chung     -   MSSV : 273352                         -    Lớp 52CB3                 20
ĐỒ ÁN TỐT NGHIỆP                   Thiết Kế Kỹ Thuật Bến Căn Cứ Đóng Mới Giàn Jacket Độ Sâu
                               .     Đến 95.7M Nước Hạ Thủy Bằng Phương Pháp Kéo Trượt


                           Bảng 1.3 : Tần suất gió 1986 - 2000

           Tốc độ         Lặng        0,1 - 3,9   4,0 - 8,9      9,0 - 14,9       > 15      Toàn bộ
         % Hƣớng           %             %            %              %             %            %
              N                         1,76                        0,01            -         2,03
                                                     0,26
            NNE                         0,32                -         -             -         0,32
             NE                         6,95                        0,08            -         14,12
                                                     7,08
            ENE                         0,49                          -             -         0,64
                                                     0,15

              E                         7,81                        0,27            -         19,37
                                                    11,28
            ESE                         0,64        1,12            0,01            -         1,79
             SE                         5,03        4,36            0,02            -         9,42
            SSE                         0,47        0,29            0,0             -         0,76
              S                         3,10        2,57            0,08            -         5,74
            SSW                         0,46        0,24              -             -         0,7
             SW                         8,13                        0,41          0,01        20,49
                                                    11,94
            WW                          0,39        0,19              -             -         0,58
             W                          5,10        3,54            0,11            -         8,76
              WNW                       0,33         0,07             -             -          0,4
            NW                          2,74         1,43           0,03          0,01        4,21
              NNW                       0,42         0,02             -             -         0,45
           Lặng                                                                               10,22
          Tổng %         10,22         44,15        44,56           1,03          0,04         100


4.4.2 Mực nƣớc và thủy triều

    Vũng Tàu thuộc vùng bán nhật triều , mỗi ngày có 2 lầ n nƣớc lớn và 2 lầ n nƣớc ròng.
Mƣ̣c nƣớc thủy triề u Vũng Tàu (theo hê ̣ hải đồ ) đƣơ ̣c đă ̣c trƣng bởi các tri ̣số sau:
    + Mƣ̣c nƣớc triề u cao nhấ t (HAT)         :+3.87 m.

      GVHD: Th.S. Dƣơng Thanh Quỳnh
      SVTH : Vũ Trọng Chung     -   MSSV : 273352                          -   Lớp 52CB3               21
ĐỒ ÁN TỐT NGHIỆP                 Thiết Kế Kỹ Thuật Bến Căn Cứ Đóng Mới Giàn Jacket Độ Sâu
                             .     Đến 95.7M Nước Hạ Thủy Bằng Phương Pháp Kéo Trượt


    + Trung bình cao của mƣ̣c nƣớc thủy triề u cao (MHHW) : +3.50 m.
    + Trung binh thấ p của mƣ̣c nƣớc thủy triề u cao (HLHW) : +3.30 m.
              ̀
    + Mƣ̣c nƣớc triề u trung bình (MSL)                                 : +2.77 m.
    + Trung binh cao của mƣ̣c nƣớc thủy triề u thấ p (MHHW): +2.20 m.
              ̀
    + Trung binh thấ p của mƣ̣c nƣớc thủy triề u thấ p (HLHW): +0.90 m
              ̀
    + Mƣ̣c nƣớc triề u thấ p nhấ t ( ghi nhâ ̣n) (LAT):- 0.40 m.
      + Gió thổi liên tục trong thời kỳ gió mùa tạo ra hiện tƣợng nƣớc dâng ở vùng gần
        bờ biển. Tại vị trí dự kiến xây dựng Căn cứ có khả năng xuất hiện mực nƣớc cao
        nhất trong thời kỳ gió mùa Tây Nam.
      + Theo số liệu thống kê mực nƣớc tại trạm hải văn Vũng Tàu, đƣờng tần suất mực
        nƣớc (cao độ Hải Hồ) đƣợc tập hợp trong Bảng 1.3.4.1
                     Bảng 1.4 : Cao độ mực nƣớc tại Vũng Tàu (cm)

Đặc trƣng mực                                              Tần suất (%)
nƣớc          1             2         5      10      25       50     75      90     95      98      99
Giờ                 387     377       362    352     322      277    207     132    97      62      42
Đỉnh triều          407     402       392    384     372      354    340     327    319     310     304
Chân triều          232     218       192    174     142      105    68      37     18      -2      -13

    + Lưu ý: Độ chênh cao giữa hệ Nhà nước và cao độ Hải đồ khu vực là 2,891 m, và
      giữa hệ Hải đồ với hệ Mũi Nai là 2,72 m
    + Mức độ biến đổi mực nƣớc điển hình của thuỷ triều tại Vũng Tàu cho thấy rằng
      độ chênh cao giữa 2 đỉnh triều trong ngày không nhiều lắm. Đặc điểm thuỷ triều
      này tạo điều kiện thuận lợi cho việc chạy tàu có lợi dụng sự biến động của mực
      nƣớc.
4.4.3 Dòng chảy
    + Dòng chảy do thủy triều : Dòng chảy do thủy triều chiếm 90% dòng chảy tổng hợp
tại khu vực nghiên cứu. Theo số liê ̣u quan trắ c , tố c đô ̣ dòng triề u trong vinh Gành Rái đa ̣t
                                                                                        ̣
trung bình 100 cm/s, lớn nhấ t có thể vƣơ ̣t 200 cm/s.
    + Dòng chảy do gió :Dòng chảy trong vịnh Gành Rái cũng nhƣ ven bờ                       có chịu ảnh
hƣởng của gió mùa đông bắ c và tây nam.



       GVHD: Th.S. Dƣơng Thanh Quỳnh
       SVTH : Vũ Trọng Chung     -   MSSV : 273352                     -     Lớp 52CB3            22
ĐỒ ÁN TỐT NGHIỆP                   Thiết Kế Kỹ Thuật Bến Căn Cứ Đóng Mới Giàn Jacket Độ Sâu
                               .     Đến 95.7M Nước Hạ Thủy Bằng Phương Pháp Kéo Trượt


     + Dòng chảy do gió mùa đông bắc có hƣớng về phía Cần Giờ, tố c đô ̣ dòng chảy theo
     tính toán đạt 27.3 cm/s.
     + Dòng chảy do gió mùa tây nam có hƣớng tây bắc – đông nam, với lƣu tố c khoảng
     10 cm/s.
     + Dòng chảy do địa hình :Dòng chảy do độ d ốc của lòng sông và vinh chiế m 5% -
                                                                          ̣
     10% tổ ng dòng chảy khu vƣ̣c. Lƣu tố c dòng chảy do điạ hình khá bé , thƣờng thấ p hơn
     20 cm/s.

           Bảng 1.5 : Lƣu hƣớng và lƣu tốc dòng chảy khu vực Vũng Tàu

Thứ                                                           Hƣớng Dòng                           Lƣu tốc*
                Khu vực khảo sát
Tự                                                  Triều lên                  Triều rút             (cm/s)

       1 Mũi Nghinh Phong ra biển                          N - NW               S-E         128~144 (250)
       2 Sao Mai đến Cửa Cái Mép                           N - NW               S-E         100~120
       3 Cửa sông Cái Mép                                  N - NW               S-E         88~166 (>200)
       4 Vùng Bến Đình                              N-NE, E-SE                  W, E        60~70
       5 Cảng PTSC                                            NE                 SW         120 (150)


4.4.4 Sóng
Nhìn chung, khu nƣớc đƣơ ̣c che chắ n tố t khi có gi ó đông bắc . Trong mùa gió tây nam ,
với cấ p gió 7 ở ngoài khơi thì sóng tại vị trí cực tây của căn cứ có thể đạt tới 0.6m- 0.7m,
còn đa phần sóng không quá 0.5m.
     + Sóng trên biển đông ít ảnh hƣởng đến phía đông khu vực xây dƣ̣ng bế n.
     + Ảnh hƣớng chủ yếu đáng xem xét là sóng do gió tại chỗ gây ra.
     + Dƣới tác đô ̣ng của gió ta ̣i chỗ , đô ̣ cao sóng ta ̣i các vi ̣trí khác nhau có chênh lê ̣ch
khác nhau đáng kể.
     + Theo hƣớng đông nam , sóng cực trị tại chỗ gâ y ra ta ̣i trung tâm vinh Gành Rái có
                                                                              ̣
thể đa ̣t tới 5m, sóng tại khu vực xây dựng bến chỉ khoảng 0.5m.
     + Theo hƣớng tây nam, sóng do gió cực trị gây ra tại khu trƣớc bến nhỏ hơn 1.1m.

       GVHD: Th.S. Dƣơng Thanh Quỳnh
       SVTH : Vũ Trọng Chung     -   MSSV : 273352                         -     Lớp 52CB3             23
ĐỒ ÁN TỐT NGHIỆP             Thiết Kế Kỹ Thuật Bến Căn Cứ Đóng Mới Giàn Jacket Độ Sâu
                         .     Đến 95.7M Nước Hạ Thủy Bằng Phương Pháp Kéo Trượt


                                         CHƢƠNG 2

             QUY HOẠCH MẶT BẰNG CĂN CỨ BẾN
1. CƠ SỞ THIẾT KẾ TỔNG MẶT BẰNG
   Mặt bằng xây dựng: phải đủ rộng để có thể bố trí đƣợc các công trình, thiết bị của căn
cứ, có xét đến khả năng phát triển trong tƣơng lai, kết nối giao thông và giáp lai với các
dự án liền kề. Cao độ mặt bằng đảm bảo không bị ngập khi triều cao, mƣa lớn hoặc nƣớc
dâng.
   Các hạng mục công trình của căn cứ đƣợc bố trí đảm bảo sự liên hệ chặt chẽ theo
công nghệ lựa chọn, phù hợp với mọi dây chuyền sản xuất, đảm bảo vệ sinh môi trƣờng
và cảnh quan, vệ sinh công nghiệp…
   Căn cứ vào mặt bằng công nghệ lựa chọn và quy trình đóng mới giàn khoan, căn cứ
đƣợc phân thành 7 khu chức năng nhƣ sau:
   + Khu tiền xử lí vật liệu kết cấu thép, sản xuất chi tiết kết cấu và phân đoạn phẳng.
   + Khu chế tạo các phân đoạn khối và cấu kiện chuyên dùng, làm sạch và sơn.
   + Khu sản xuất, lắp đặt phần ống - ống chuyên dùng, máy, các phần điện – thông tin
   liên lạc – đƣợc bố trí ở vị trí thuận lợi cho cung cấp đầu vào vật tƣ, thiết bị cũng nhƣ
   chuyển giao sản phẩm cho khu vực chế tạo phân đoạn khối và đấu tổng thành.
   + Khu phân xƣởng phụ: trang trí nội thất, phân xƣởng sơn.
   + Khu phục vụ sản xuất: khu kho bãi, bãi chứa vật tƣ, thiết bị, bãi để xe,
   maintenance – kho chứa nhiên liệu dầu, kho chứa giàn giáo, khu cung cấp các nguồn
   năng lƣợng.
   + Khu văn phòng: văn phòng căn cứ, khu dịch vụ ( câu lạc bộ, căng tin, nhà khách,
   đào tạo, văn phòng nhà thầu phụ, hải quan, biên phòng…




     GVHD: Th.S. Dƣơng Thanh Quỳnh
     SVTH : Vũ Trọng Chung     -   MSSV : 273352              -    Lớp 52CB3        24
ĐỒ ÁN TỐT NGHIỆP              Thiết Kế Kỹ Thuật Bến Căn Cứ Đóng Mới Giàn Jacket Độ Sâu
                          .     Đến 95.7M Nước Hạ Thủy Bằng Phương Pháp Kéo Trượt


   2.PHƢƠNG ÁN THIẾT KẾ TỔNG MẶT BẰNG
     Trên cơ sở mặt bằng khu đất hình chữ nhật với tổng diện tích là 71200m2 cách
luồng vào sông Dinh từ 160m đến 235m. Phía Đông giáp cảng Vietsopetro, Phía Nam
giáp đất liền, phía Bắc giáp biển.
     Phƣơng án quy hoạch tổng mặt bằng căn cứ là chọn đƣờng ranh giới giữa khu đất
của dự án với khu đất của Cảng Vietsopetro làm trục dọc và là ranh giới phân chia khu
đất của căn cứ ra làm 2 khu, khu A (phần giáp Cảng Vietsopetro), khu B (phần còn lại
của khu đất đối xứng qua trục dọc) để bố trí quy hoạch các hạng mục công trình trên mặt
bằng tổng thể nhƣ sau:
   - Bến trang trí thiết kế dạng bến liền bờ hình chữ nhật và đƣợc bố trí trong khu B,
cạnh dài bến 186m vuông góc với trục dọc, bắt đầu từ điểm số 2 (No2) của khu đất (giáp
Vietsopetro), cạnh ngắn bến 87m song song với trục.
   - Đƣờng giao thông trong căn cứ: 2 tuyến dọc và 4 tuyến ngang
   - Bãi phẳng đấu tổng thành có kích thƣớc 65x90m đƣợc bố trí trong khu B ngay sau
tuyến bến trang trí để thuận tiện cho việc hạ thủy giàn khoan.
   - Đƣờng hoạt động của cần trục bánh xích có sức cẩu max là 750 tấn có 2 tuyến.
   - Bãi chế tạo phân đoạn khối (dự trữ) đƣợc bố trí trong khu B.
   - Hệ thống các trạm khí nén số 1 (48x10m), oxygen (18x10m), khí gas (18x10m), khí
oxy (18x10m), 4 kho vật tƣ (20x30m) đƣợc bố trí trong khu A, sát ranh giới đất của dự án
với PTSC và vuông góc với trục dọc.
   - Bãi tiếp nhận nguyên vật liệu (48x280m), bãi đỗ thiết bị sản xuất, trạm cung cấp
nhiên liệu (6x10m) đƣợc bố trí trong khu A, sát ranh giới đất của dự án với PTSC và song
song với trục dọc.
   - Phân xƣởng cắt, phân xƣởng chế tạo No1 và No2, phân xƣởng lốc tôn và phân
xƣởng chế tạo ống đƣợc bố trí liền nhau tạo thành một khối ở cuối bãi tiếp nhận vật tƣ
trong khu A.




     GVHD: Th.S. Dƣơng Thanh Quỳnh
     SVTH : Vũ Trọng Chung     -   MSSV : 273352               -    Lớp 52CB3        25
ĐỒ ÁN TỐT NGHIỆP             Thiết Kế Kỹ Thuật Bến Căn Cứ Đóng Mới Giàn Jacket Độ Sâu
                         .     Đến 95.7M Nước Hạ Thủy Bằng Phương Pháp Kéo Trượt


   - Bãi chứa phân đoạn phẳng, phân xƣởng điện tự động, phân xƣởng trang trí nội thất
và thông gió đƣợc bố trí trong khu A, sát với một đầu của phân xƣởng panel và gần hệ
thống kho chứa vật tƣ.
   - Phân xƣởng máy thiết bị và phân xƣởng ống đƣợc bố trí liền nhau tạo thành một
khối ở cuối bãi đỗ thiết bị trong khu A, nằm cạnh bãi tiếp nhận vật tƣ và phân xƣởng lốc
tôn.
   - Bãi công nghệ trung tâm, phân xƣởng ống đƣợc bố trí liền nhau tạo thành một khối
ở cuối bãi đặt thiết bị trong khu A, nằm cạnh bãi tiếp nhận vật tƣ và phân xƣởng lốc tôn.
   - Bãi công nghệ trung tâm, phân xƣởng sơn ống và giá đỡ đƣợc bố trí trong giữa khu
A, sát đƣờng từ cổng số 1 vào phân xƣởng chế tạo ống.
   - Khu văn phòng chính (40x25m), bãi đỗ xe ô tô con (5x50m), nhà để xe máy
2x(15x50m), căng tin (15x37,5m), nhà khách (32x20,5m), trung tâm đào tạo (20x45m).
   - Hệ thống hàng rào, nhà vệ sinh công cộng và phòng hút thuốc lá, cây xanh cách ly
đƣợc bố trí xung quanh khu đất của dự án.
   - Các phần đất còn lại của nhà máy đƣợc bố trí làm đƣờng giao thông và các bãi dự
trữ phục vụ sản xuất.
3.THIẾT KẾ CƠ SỞ HẠ TẦNG KỸ THUẬT BẾN
3.1 Khu nƣớc trƣớc bến
   Kích thƣớc chiều dài khu nƣớc là 200m, chiều rộng khu nƣớc khoảng 120m. Để đảm
bảo an toàn giao thông và hƣớng dẫn phƣơng tiện thủy ra vào khu nƣớc của căn cứ cần
phải bố trí hệ thống phao báo hiệu. Bố trí hai phao báo hiệu hình trụ có đƣờng kính Φ =
1,7m các thông số chính của phao báo hiệu nhƣ sau:
   + Đƣờng kính phao: Φ = 1,7m
   + Chiều cao thân phao trụ: Φ = 1,8m
   + Mớn nƣớc: T = 1,2m
   + Chiều cao tâm sáng: Z = 2,8m
   Mỗi phao đƣợc trang bị một đèn chớp Φ = 90mm có ánh sáng trắng ở chế độ chớp
một, nguồn năng lƣợng dùng ắc qui.

       GVHD: Th.S. Dƣơng Thanh Quỳnh
       SVTH : Vũ Trọng Chung     -   MSSV : 273352            -    Lớp 52CB3        26
ĐỒ ÁN TỐT NGHIỆP             Thiết Kế Kỹ Thuật Bến Căn Cứ Đóng Mới Giàn Jacket Độ Sâu
                         .     Đến 95.7M Nước Hạ Thủy Bằng Phương Pháp Kéo Trượt


   Phao đƣợc neo giữ bằng rùa bê tông cốt thép có trọng lƣợng 3 tấn, xích neo rùa Φ22
và xích neo phao Φ16.
3.2 Mặt bằng nạo vét
   Nạo vét khu nƣớc trƣớc bến đảm bảo theo độ sâu yêu cầu của thƣợng tầng và các
phƣơng tiện ra vào bến làm công tác hoàn thiện, sửa chữa máy hoặc bốc xếp nguyên vật
liệu phục vụ cho căn cứ. Phạm vi nạo vét khu nƣớc từ mép bến ra 100m, cao độ đáy nạo
vét khu nƣớc trƣớc bến là - 9,2m (theo tính toán cao độ đáy bến).
   Nạo vét luồng vào bến, phạm vi nạo vét luồng ra vào bến tính từ mép ngoài khu nƣớc
trƣớc bến ra đến luồng sông Dinh, cao độ đáy nạo vét bằng cao độ đáy luồng sông Dinh
hiện hữu là -7m ( hệ cao độ hải đồ khu vực Vũng Tàu).
3.3 Hệ thống cấp nƣớc
   -    Nhu cầu cấp nƣớc sinh hoạt
   -    Nhu cầu cấp nƣớc phục vụ sản xuất
   -    Nhu cầu cấp nƣớc phục vụ tƣới cây, tƣới đƣờng
   -    Nhu cầu cấp nƣớc cứu hỏa
                        Bảng 2.1 - Nhu cầu dùng nước của căn cứ

 TT                               Mô tả                           Đơn vị    Khối lƣợng
   1          Nhu cầu cấp nƣớc sinh hoạt                          m3/ngày         585,0

   2          Nhu cầu cấp nƣớc sản xuất                           m3/ngày         875,6

   3          Nhu cầu cấp nƣớc tƣới cây, tƣới đƣờng               m3/ngày         58,7

   4          Nƣớc thất thoát 5%(1+2+3)                           m3/ngày         80,0

         Nhu cầu trữ nƣớc cứu hỏa cho một đám cháy
   5                                                                m3/h          72,0
         với lƣu lƣợng 20lít/s
   -    Nguồn nƣớc: Dự kiến sử dụng nguồn nƣớc sạch của thành phố Vũng Tàu, họng
cấp nƣớc sát hàng rào phía đƣờng quy hoạch vào căn cứ dịch vụ hàng hải dầu khí Sao
Mai – Bến Đình.


       GVHD: Th.S. Dƣơng Thanh Quỳnh
       SVTH : Vũ Trọng Chung     -   MSSV : 273352            -    Lớp 52CB3        27
ĐỒ ÁN TỐT NGHIỆP             Thiết Kế Kỹ Thuật Bến Căn Cứ Đóng Mới Giàn Jacket Độ Sâu
                         .     Đến 95.7M Nước Hạ Thủy Bằng Phương Pháp Kéo Trượt


3.4 Hệ thống thoát nƣớc và xử lý nƣớc thải
     Trên toàn căn cứ bố trí hai mạng lƣới độc lập kiểu mạng lƣới cụt, mỗi mạng thoát
nƣớc cho nửa khu vực, gồm 1 trục chính đƣờng kính D1000 tại đoạn cuối và D800 tại
đoạn đầu đều đƣợc chôn ngầm trong đất, các tuyến nhánh đƣợc thiết kế kiểu mƣơng hở.
Độ dốc dọc cống thiết kế tƣơng ứng là 1% đối với tuyến cống D1000; 1,5% đối với tuyến
cống D800 và 2% đối với tuyến rãnh hở B = 600mm.
3.5 Hệ thống hào công nghệ
   Hệ thống hào công nghệ dùng để lắp đặt cáp cấp điện hạ thế, các đƣờng ống cấp nƣớc
và cấp khí các loại đến toàn bộ các công trình trong căn cứ. Do đó cần thiết kế loại hào
công nghệ có 2 ngăn, một ngăn rộng 95cm và sâu 97,5cm để lắp đặt các đƣờng ống dẫn
khí các loại và đƣờng ống dẫn nƣớc, một ngăn rộng 40cm và sâu 97,5cm để lắp đặt hệ
thống cáp điện hạ thế. Tổng chiều dài tuyến hào công nghệ là 3369,5m.
3.6 Hệ thống cấp điện và chiếu sáng
   Nhu cầu tiêu thụ điện năng: Theo kết quả tính toán (trong phần phụ lục kèm theo)
công suất tiêu thụ điện năng của toàn căn cứ đóng mới và sửa chữa giàn khoan dầu khí là
12.000KW
   Hệ thống điện trung thế: Hệ thống điện nhà máy đóng mới và sửa chữa giàn khoan
dầu khí có tổng công suất tính toán là 12 MW, lấy nguồn từ lƣới điện trung thế 22KV tới
tủ phân phối trung thế đặt sát tƣờng rào nhà máy.
   Hệ thống điện hạ thế: Tại mỗi phân xƣởng hoặc khu vực đều có tủ điện phân phối lấy
nguồn từ các tủ điện hạ áp của các nhà máy biến áp khu vực qua đƣờng cáp hạ thế đi
trong hào công nghệ, các tủ điện phân phối này sẽ tiếp tục cấp điện tới các tủ điện động
lực của phân xƣởng, các máy điện hoặc các tủ điện nhỏ hơn.
   Hệ thống đèn chiếu sáng: Hệ thống chiếu sáng ngoài trời của nhà máy bao gồm 4 hệ
thống chiếu sáng là hệ thống chiếu sáng bảo vệ, hệ thống chiếu sáng đƣờng, hệ thống
chiếu sáng các bãi sản xuất và hệ thống chiếu sáng tổng thể.




     GVHD: Th.S. Dƣơng Thanh Quỳnh
     SVTH : Vũ Trọng Chung     -   MSSV : 273352               -   Lớp 52CB3        28
ĐỒ ÁN TỐT NGHIỆP            Thiết Kế Kỹ Thuật Bến Căn Cứ Đóng Mới Giàn Jacket Độ Sâu
                        .     Đến 95.7M Nước Hạ Thủy Bằng Phương Pháp Kéo Trượt


3.7 Hệ thống trạm cấp khí nén, oxy, khí CO2, khí gas (LPG)
3.8 Đƣờng giao thông
   Hệ thống đƣờng giao thông trong căn cứ phải đáp ứng đƣợc yêu cầu giao thông thuận
lợi giữa các phân xƣởng sản xuất, hệ thống các kho bãi với nhau. Ngoài ra còn phải đáp
ứng nhu cầu nhập nguyên vật liệu cho căn cứ bằng đƣờng bộ cũng nhƣ đƣờng thủy.
   Theo yêu cầu sản xuất của căn cứ, các cấu kiện bán thành phẩm cần vận chuyển giữa
các phân xƣởng, bãi chế tạo thông qua hệ thống đƣờng giao thông có kích thƣớc lớn. Ví
dụ nhƣ kích thƣớc phân đoạn phẳng lớn nhất lên tới 15x12m, do vậy mặt cắt ngang các
trục đƣờng chính trong căn cứ cần đƣợc thiết kế có quy mô rộng tối thiểu là 15m.
   Tổng chiều dài các tuyến đƣờng trong căn cứ là 2116m bao gồm 2 tuyến dọc và 4
tuyến ngang.
    Đƣờng cho cần trục xích LR1750 có sức nâng 750 tấn hoạt động xung quanh bãi chế
tạo Block và bãi đấu lắp tổng thành. Chiều dài từ đầu bãi chế tạo Block ra đến mép trong
của bãi đấu lắp tổng thành là 675m, chiều rộng mỗi bên là 30m.
3.9 Bãi các loại
   Bãi tiếp nhận vật liệu: Đảm bảo công tác dỡ hàng, cất giữ, phân loại, bảo quản và
cung ứng thép hình và thép tấm cho phân xƣởng tiền xử lí.
   Bãi tập kết phƣơng tiện: Đƣợc bố trí để cho các phƣơng tiện nhƣ cần cẩu, ô tô, xe
nâng hàng... đỗ khi không phục vụ sản xuất. Qui mô bãi tập kết phƣơng tiện dự kiến chọn
6440m2.
   Bãi công nghệ trung tâm: Có chức năng chế tạo sàn công nghệ trung tâm và dự trữ.
Qui mô bãi dự kiến chọn: 10127m2
   Bãi chứa các phân đoạn phẳng: Đƣợc thiết kế để chứa bán thành phẩm của căn cứ và
cũng là thành phẩm của phân xƣởng Panel khi chƣa đƣợc vận chuyển đến bãi gia công
chế tạo Block, có diện tích dự kiến 10715m2.
   Bãi gia công giàn khoan: Đƣợc bố trí để chế tạo các cấu kiện của giàn khoan. Qui mô
bãi dự kiến chọn 4495m2.


     GVHD: Th.S. Dƣơng Thanh Quỳnh
     SVTH : Vũ Trọng Chung     -   MSSV : 273352             -    Lớp 52CB3        29
ĐỒ ÁN TỐT NGHIỆP              Thiết Kế Kỹ Thuật Bến Căn Cứ Đóng Mới Giàn Jacket Độ Sâu
                          .     Đến 95.7M Nước Hạ Thủy Bằng Phương Pháp Kéo Trượt


3.10 Phân xƣởng các loại
 Phân xƣởng sơ chế vật tƣ
   Nhiệm vụ: Đảm nhận công việc xử lý sẵn thép tấm và thép hình nhƣ gia nhiệt trƣớc
đánh gỉ, phun sơn và sấy khô.
   Nguyên tắc công nghệ chủ yếu: Tất cả thép nguyên liệu đều phải tiến hành xử lý bề
mặt.
 Phân xƣởng cắt thép, chế tạo vật tƣ
   Có chức năng cắt thép và chế tạo các phân đoạn phẳng kích thƣớc đến 15x12m.
 Phân xƣởng lốc, ép tôn
   Có chức năng nhận các chi tiết sau khi cắt, sử dụng máy chấn tôn, máy lốc để tạo hình
các bán thành phẩm theo yêu cầu thiết kế. Các chi tiết sau các công nghệ gia công này sẽ
sử dụng cho kết cấu thân phao (ponton), cho các dạng kết cấu bằng thép tấm uốn nhƣ: kết
cấu dạng ống (tubular), các chi tiết với hình bao có độ cong hai chiều hoặc ba chiều...
 Phân xƣởng chế tạo kết cấu ống
   Có chức năng nhận các chi tiết từ phần cắt, phân xƣởng uốn số 5 để chế tạo kết cấu
ống. Kiểm tra sắp xếp đồng bộ để phục vụ cho việc chế tạo chân đế của giàn khoan. Phối
hợp theo tiến độ để lắp ráp các cụm chi tiết khác để lắp ráp phần chân đế của giàn khoan.
 Phân xƣởng máy, thiết bị
   Có chức năng lắp đặt các loại thiết bị boong của giàn khoan, có trang bị một số máy
công cụ để gia công chế tạo cơ khí hỗ trợ cho việc lắp đặt – máy tiện, máy khoan, các
thiết bị cầm tay (máy mài, máy khoan), sử dụng một số máy hàn, mỏ cắt hơi cầm tay để
điều chỉnh trong khi lắp đặt.
 Phân xƣởng ống
   Gia công, chế tạo ống từ vật liệu ống
   Thử áp lực và các yêu cầu thử nghiệm khác theo quy trình thử ống và hệ thống.
   Phối hợp theo tiến độ để lắp ráp các hệ thống trong buồng máy, hệ điều khiển thủy
lực, các trang thiết bị sau khi lắp đặt phần lớn các bộ trên, giàn khoan đƣợc hạ thủy để
tiếp tục lắp và hoàn thiện tại bến căn cứ.

       GVHD: Th.S. Dƣơng Thanh Quỳnh
       SVTH : Vũ Trọng Chung     -   MSSV : 273352             -    Lớp 52CB3        30
ĐỒ ÁN TỐT NGHIỆP             Thiết Kế Kỹ Thuật Bến Căn Cứ Đóng Mới Giàn Jacket Độ Sâu
                         .     Đến 95.7M Nước Hạ Thủy Bằng Phương Pháp Kéo Trượt


 Phân xƣởng sơn và giá đỡ ống
    Chuyên làm sạch, sơn ống
    Trang bị các thiết bị làm sạch bằng khí nén, sử dụng bình chứa hạt mài.
    Sử dụng các thiết bị sơn yếm khí, áp lực cao.
    Trong môi trƣờng làm việc này, phân xƣởng đƣợc quan tâm đến vấn đề môi trƣờng
làm việc: bụi, khí sơn  cần có trang bị quần áo bảo hộ chuyên dùng.
 Phân xƣởng điện tự động
    Qui mô phân xƣởng dự kiến có kích thƣớc 20 x 30m, cao 7m, chiều ngang phân
xƣởng thiết kế 1 nhịp 20m, chiều dọc đƣợc chia làm 4 gian, mỗi bƣớc gian là 7,5m. Bên
trên bố trí 2 Monorail sức nâng max=5T chạy dọc hai bên nhà.
 Kho chứa vật tƣ
    Nhiệm vụ chủ yếu của kho là nhập kho, nghiệm thu, chỉnh lý phân loại, bảo quản và
chuyển đi các sản phẩm trong danh mục chế tạo nhƣ, chi tiết van và phụ kiện ống mua
ngoài, đèn, công tắc, dụng cụ đo, chi tiết vặn chặt, chi tiết neo buộc, chi tiết tiêu chuẩn,
thiết bị phòng cháy chữa cháy, thiết bị cứu sinh, thiết bị vệ sinh, cửa, cửa sổ, nắp, sản
phẩm chi tiết dự phòng, sản phẩm cung ứng của chủ đầu tƣ, đồ kim khí...
    Trong kho chỉ xếp những vật tƣ lắp đặt thiết bị trên tàu ở dạng chi tiết nhỏ - thiết bị
lớn (nhƣ cần cẩu) không để trong kho.
    Trang bị hệ thống giá kê và trang bị cẩu chuyển và xe vận chuyển trong kho đảm bảo
thuận lợi cho sử dụng.
 Phân xƣởng phục vụ sản xuất
    Nhiệm vụ chủ yếu của phân xƣởng ngoài việc sửa chữa hệ thống giàn giáo phục vụ
sản xuất ngoài ra còn có tính chất nhƣ một kho cất giữ chuyên về giàn giáo.
 Phân xƣởng làm sạch và sơn tổng đoạn
    Phân xƣởng làm sạch và sơn bố trí phần cuối của bãi chế tạo Block để làm sạch và
sơn lại phân đoạn – phân đoạn khối lớn trƣớc khi cẩu lắp tổng thành


.

      GVHD: Th.S. Dƣơng Thanh Quỳnh
      SVTH : Vũ Trọng Chung     -   MSSV : 273352             -    Lớp 52CB3        31
ĐỒ ÁN TỐT NGHIỆP             Thiết Kế Kỹ Thuật Bến Căn Cứ Đóng Mới Giàn Jacket Độ Sâu
                         .     Đến 95.7M Nước Hạ Thủy Bằng Phương Pháp Kéo Trượt


3.11 Khu điều hành sản xuất
   Nhà văn phòng chính: yêu cầu về tổ chức quản lý điều hành sản xuất kinh doanh của
căn cứ đóng mới và sửa chữa giàn khoan dầu khí về cơ bản cũng giống nhƣ một nhà máy
đóng tàu.
   Bãi đỗ xe ô tô: Đƣợc bố trí đỗ xe ô tô con của khách.
   Nhà để xe máy cho CBCNV: Đƣợc bố trí phục vụ để xe cho CBCNV đến căn cứ làm
việc.
3.12 Nhà khách
   Đƣợc quy hoạch xây dựng với mục đích phục vụ nghỉ ngơi của cán bộ công ty và
khách hàng khi đến công ty cổ phần chế tạo giàn khoan dầu khí làm việc.
3.13 Căng tin
   Nhà căng tin phục vụ công nhân có các chức năng: là nhà nghỉ ca, thay quần áo, tắm
rửa và vệ sinh, có kết hợp phục vụ ăn uống cho cán bộ CNV trong căn cứ.
3.14 Khu trung tâm đào tạo
   Khu trung tâm đào tạo có chức năng dạy nghề với mục đích đào tạo thực hành cho
công nhân kỹ thuật đảm bảo yêu cầu phục vụ sản xuất của căn cứ đóng mới và sửa chữa
giàn khoan dầu khí. Khu trung tâm đào tạo dự kiến đƣợc thiết kế nhƣ một nhà xƣởng
trong đó có trang bị các loại thiết bị phục vụ cho việc học tập của công nhân.
3.15 Tƣờng rào, cổng, nhà bảo vệ, nhà WC và khu vực hút thuốc lá
   Có nhiệm vụ quản lý bảo vệ an ninh công trƣờng, đáp ứng nhu cầu sinh hoạt của cán
bộ công nhân viên.




        GVHD: Th.S. Dƣơng Thanh Quỳnh
        SVTH : Vũ Trọng Chung     -   MSSV : 273352           -    Lớp 52CB3        32
ĐỒ ÁN TỐT NGHIỆP        Thiết Kế Kỹ Thuật Bến Căn Cứ Đóng Mới Giàn Jacket Độ Sâu
                    .     Đến 95.7M Nước Hạ Thủy Bằng Phương Pháp Kéo Trượt




            Hình2.1 - Tổng mặt bằng khu căn cứ đóng mới giàn khoan



    GVHD: Th.S. Dƣơng Thanh Quỳnh
    SVTH : Vũ Trọng Chung     -   MSSV : 273352          -    Lớp 52CB3        33
ĐỒ ÁN TỐT NGHIỆP             Thiết Kế Kỹ Thuật Bến Căn Cứ Đóng Mới Giàn Jacket Độ Sâu
                         .     Đến 95.7M Nước Hạ Thủy Bằng Phương Pháp Kéo Trượt


4 .PHƢƠNG ÁN HẠ THỦY
4.1 Thiết bị hạ thủy

 - Khối chân đế đƣợc chế tạo đƣợc chế tạo nằm luôn trên đƣờng trƣợt. Bộ phận để đƣa
khối chân đế di chuyển trên đƣờng trƣợt là Launch truss. Đây là một khung không gian
nằm bên trong lòng của kcđ, hai ống chính của khung làm nhiệm vụ trƣợt trên đƣờng
trƣợt.




               Hình 2.2 : Ống chính Launch Truss trên đường trượt

  - Cấu tạo của đƣờng trƣợt :

 + Gồm có các khối bê tông đƣợc ghép lại tạo thành đƣờng trƣợt, đƣờng trƣợt đƣợc đặt
trên nền đã đƣợc gia cố bởi các hàng cọc khoan nhồi chạy theo suốt đƣờng trƣợt. trên mặt
khối bê tông là ray trƣợt, trên ray trƣợt là các khối gỗ hộp đƣợc liên kết với nhau bởi các
bulong. Cuối cùng là đến máng trƣợt để đỡ ống trƣợt của Launch Truss. Khi hạ thủy các
khối gỗ làm nhiệm vụ trƣợt trên đƣờng trƣợt.

 + Cấu tạo máng trƣợt:


     GVHD: Th.S. Dƣơng Thanh Quỳnh
     SVTH : Vũ Trọng Chung     -   MSSV : 273352              -    Lớp 52CB3        34
ĐỒ ÁN TỐT NGHIỆP             Thiết Kế Kỹ Thuật Bến Căn Cứ Đóng Mới Giàn Jacket Độ Sâu
                         .     Đến 95.7M Nước Hạ Thủy Bằng Phương Pháp Kéo Trượt


 + Máng trƣợt đƣợc chế tạo ngay tại công trƣờng. Khi chế tạo thì chia ra làm nhiều đoạn
ngắn. Sau đó đƣợc vận chuyển ra đƣờng trƣợt và hàn lại với nhau.




                                         Hình 2.3 : Máng trượt

   - Cấu tạo các khối bê tông :

    Các khối bê tông đƣợc chế tạo thành từng khối rồi sau đó đƣợc lắp ghép lại thành
một khối.




     GVHD: Th.S. Dƣơng Thanh Quỳnh
     SVTH : Vũ Trọng Chung     -   MSSV : 273352              -    Lớp 52CB3        35
ĐỒ ÁN TỐT NGHIỆP        Thiết Kế Kỹ Thuật Bến Căn Cứ Đóng Mới Giàn Jacket Độ Sâu
                    .     Đến 95.7M Nước Hạ Thủy Bằng Phương Pháp Kéo Trượt




                                 Hình 2.4 : Đường trượt.




                             Hình 2.5 : Đường trượt trên sà lan




    GVHD: Th.S. Dƣơng Thanh Quỳnh
    SVTH : Vũ Trọng Chung     -   MSSV : 273352          -    Lớp 52CB3        36
ĐỒ ÁN TỐT NGHIỆP             Thiết Kế Kỹ Thuật Bến Căn Cứ Đóng Mới Giàn Jacket Độ Sâu
                         .     Đến 95.7M Nước Hạ Thủy Bằng Phương Pháp Kéo Trượt


       - Trên đƣờng trƣợt đƣợc trải một lớp vải Teflon rồi dải mỡ lên trên để nhằm giảm
ma sát tĩnh giữa gỗ và ray trƣợt.




                             Hình 2.6 : Công tác rải mỡ trên đường trượt

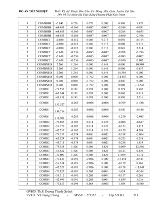
       - Hai panel ngoài cùng của kcđ đƣợc đặt hai thiết bị tời kéo là Strand jack, thiết bị
này đƣợc hàn cố định vào kcđ. Strand Jack kết hợp với bộ phận cố định cáp đƣợc bố trí
trên sà lan thông qua hệ thống dây cáp để tạo thành hệ thống thu nhỏ cáp phục vụ quá
trình kéo trƣợt khối chân đế.




     GVHD: Th.S. Dƣơng Thanh Quỳnh
     SVTH : Vũ Trọng Chung     -   MSSV : 273352              -    Lớp 52CB3        37
ĐỒ ÁN TỐT NGHIỆP             Thiết Kế Kỹ Thuật Bến Căn Cứ Đóng Mới Giàn Jacket Độ Sâu
                         .     Đến 95.7M Nước Hạ Thủy Bằng Phương Pháp Kéo Trượt




                                     Hình 2.7 : Strand Jack

        - Mô tả về Strand Jack:

       + Strand Jack là thiết bị kéo sử dụng hệ thống thủy lực và cáp để đi chuyển một vật
nặng theo phƣơng nằm ngang hoặc thẳng đứng. Cấu tạo cơ bản của Strand Jack gồm 01
xilanh (cố định) và 01 pittông (chuyển động), cả xi lanh và pit tông đều có bộ phận kẹp
cáp.




       GVHD: Th.S. Dƣơng Thanh Quỳnh
       SVTH : Vũ Trọng Chung     -   MSSV : 273352            -    Lớp 52CB3        38
ĐỒ ÁN TỐT NGHIỆP            Thiết Kế Kỹ Thuật Bến Căn Cứ Đóng Mới Giàn Jacket Độ Sâu
                        .     Đến 95.7M Nước Hạ Thủy Bằng Phương Pháp Kéo Trượt




     - Cơ chế hoạt động của Strand Jack nhƣ sau:

       Trong một chu trình, đầu tiên bộ phận kẹp cáp của xilanh mở ra, pittông kẹp cáp,
sau đó dầu thủy lực đƣợc bơm vào, pittông chuyển động về phía sau đẩy khối chân đế di
chuyển về phía trƣớc. Sau khi pittông chuyển động hết về phía sau thì pittông nhả cáp và
xi lanh kẹp cáp, pittông di chuyển về phía trƣớc. Sau đó pittông lại kẹp cáp, xi lanh nhả
cáp và bắt đầu một chu trình mới.Có nhiều loại strand jacks với sức kéo khác nhau nhƣ
Strand Jack 15t, Strand Jack 185t, Strand Jack 294t, Strand Jack 418t, Strand Jack 588t,



     GVHD: Th.S. Dƣơng Thanh Quỳnh
     SVTH : Vũ Trọng Chung     -   MSSV : 273352             -    Lớp 52CB3        39
ĐỒ ÁN TỐT NGHIỆP             Thiết Kế Kỹ Thuật Bến Căn Cứ Đóng Mới Giàn Jacket Độ Sâu
                         .     Đến 95.7M Nước Hạ Thủy Bằng Phương Pháp Kéo Trượt


Strand Jack 1022t. Dây cáp dùng cho Strand Jacks có đƣờng kính 18mm và lực kéo đứt
380kN.

     - Strand Jack đƣợc gắn trên một bệ đỡ, bệ đỡ này đƣợc hàn cố định trên ống chính
nằm trên đƣờng trƣợt của Lauch Truss.




                                  Hình 2.8 : Bệ đỡ Strand Jack

 - Mỗi khoảng tiến đƣợc của KCĐ đúng bằng một hành trình Pitton của Strand Jack.

  - Quá trình load out sẽ có 2 Strand Jack chính thực hiện quá trình load out đƣợc gắn
trên Jacket, 2 Strand Jack phụ đƣợc lắp đặt trên sà lan và đối xứng với 2 Strand Jack trên
Jacket. Trong trƣờng hợp Strand Jack chính không hoạt động đƣợc thì sử dụng 2 Strand
Jack phụ để thay thế.


     GVHD: Th.S. Dƣơng Thanh Quỳnh
     SVTH : Vũ Trọng Chung     -   MSSV : 273352              -    Lớp 52CB3        40
ĐỒ ÁN TỐT NGHIỆP             Thiết Kế Kỹ Thuật Bến Căn Cứ Đóng Mới Giàn Jacket Độ Sâu
                         .     Đến 95.7M Nước Hạ Thủy Bằng Phương Pháp Kéo Trượt




                              Hình 2.9 : Strand Jack phụ trên sà lan

       - Cáp kéo đƣợc luồn qua Strand Jack chính rồi tới Strand Jack phụ và đƣợc cuốn
vào bộ phận thu cáp đƣợc bố trí trên sà lan.

      - Sà lan đƣợc cập sát vào cảng, hệ thống neo chằng cố định giúp sà lan ổn định vị
trí, không xô lệch và bị đẩy ra ngoài trong quá trình hạ thuỷ.




                             Hình 2.10 : Hệ thống cáp neo giữ sà lan



     GVHD: Th.S. Dƣơng Thanh Quỳnh
     SVTH : Vũ Trọng Chung     -   MSSV : 273352                 -   Lớp 52CB3      41
ĐỒ ÁN TỐT NGHIỆP           Thiết Kế Kỹ Thuật Bến Căn Cứ Đóng Mới Giàn Jacket Độ Sâu
                       .     Đến 95.7M Nước Hạ Thủy Bằng Phương Pháp Kéo Trượt


      - Công tác hàn khung giảm chấn cho Rocker arm :




             Hình 2.11 : Công tác chuẩn bị cho hàn khung giảm chấn

     + khung giảm chấn của sà lan gồm 2 phần : stiffener và fender.




     Hình 2.12 : Chi tiết Stiffender của khung giảm chấn cho Rocker arm

    GVHD: Th.S. Dƣơng Thanh Quỳnh
    SVTH : Vũ Trọng Chung     -   MSSV : 273352             -    Lớp 52CB3        42
ĐỒ ÁN TỐT NGHIỆP             Thiết Kế Kỹ Thuật Bến Căn Cứ Đóng Mới Giàn Jacket Độ Sâu
                         .     Đến 95.7M Nước Hạ Thủy Bằng Phương Pháp Kéo Trượt




                 Hình 2.13 : Chi tiết Fender của khung giảm chấn Rocker arm

      - Thời điểm thích hợp để hạ thuỷ là khi có thuỷ triều lên khi này cao độ của mặt sà
lan và mặt cảng sẽ đạt yêu cầu mà công việc bơm hút nƣớc trong các khoang của sà lan
đƣợc giảm bớt.

      - Sà lan Saipem45 đƣợc sử dụng để phục vụ hạ thuỷ KCĐ Mộc Tinh.




                                    Hình 2.14 : Sà lan SAIPEM 45




     GVHD: Th.S. Dƣơng Thanh Quỳnh
     SVTH : Vũ Trọng Chung     -   MSSV : 273352              -    Lớp 52CB3        43
ĐỒ ÁN TỐT NGHIỆP             Thiết Kế Kỹ Thuật Bến Căn Cứ Đóng Mới Giàn Jacket Độ Sâu
                         .     Đến 95.7M Nước Hạ Thủy Bằng Phương Pháp Kéo Trượt


      - Các thông số của sà lan :

        + Sà lan có 28 khoang

        + Kích thƣớc:

                     L= 180m,           B= 22m,         D=11,5m

        - Lƣợng nƣớc trong các khoang

               2P:             1982,3 (MT)

               2S:             1861,8 (MT)

               4P:             1690,4(MT)

               4S:             1690,4(MT)

               5P:             1690,4(MT)

               5S:             1690,4(MT)

               8P:             1552,4 (MT)

               8S:             1552,4 (MT)

               9P:             1690,4(MT)

               9S:             1690(MT)

               10S:            1923,6(MT)

               10P:            1923,6(MT)

      + Các khoang còn lại lƣợng nƣớc chiếm 2% của khoang.

      - Lƣợng nƣớc trong các khoang đƣợc bơm rằn nhƣ trên khi này mặt bằng của khối
chân đế và mặt cảng sẽ đƣợc cân bằng nhau.

     GVHD: Th.S. Dƣơng Thanh Quỳnh
     SVTH : Vũ Trọng Chung     -   MSSV : 273352              -    Lớp 52CB3        44
ĐỒ ÁN TỐT NGHIỆP              Thiết Kế Kỹ Thuật Bến Căn Cứ Đóng Mới Giàn Jacket Độ Sâu
                          .     Đến 95.7M Nước Hạ Thủy Bằng Phương Pháp Kéo Trượt


       - Khi hoàn tất các công tác chuẩn bị quá trình load out đƣợc tiến hành.

       - Cáp đƣợc hệ thống pittong thuỷ lực thu vào một đoạn đồng thời hệ thống giữ cáp
ở bên sà lan thu lấy rồi chốt chặt, độ dài đoạn cáp bị thu chính bằng độ dài của pittong và
cũng là quảng đƣờng KCĐ đi đƣợc trong một lần thu nhả cáp. Quá trình đƣợc tiến hành
liên tục nhƣ vậy.

       - Khi khối chân đế tiến lên sà lan, sà lan sẽ bị chìm xuống do tải trọng của phần
KCĐ nằm trên sà lan khi này mặt của sà lan thấp hơn mặt cảng do vậy mà phải có quá
trình bơm nƣớc từ các khoang của sà lan ra bên ngoài nhằm giảm trọng lƣợng của sà lan,
trƣờng hợp quá trình bơm hút không kịp thì phải dừng quá trình load out và đợi đến khi
sà lan nổi lên và đảm bảo mặt sà lan luôn bằng mặt cảng hoặc trênh lệch trong phạm vi
cho phép thì mơi tiếp tục. Ngoài ra còn phải chú ý chế độ lên xuống của thủy triều để tiến
hành công tác bơm rằn.




                         Hình 2.15 : Khối chân đế di chuyển lên sà lan

       - Công việc đƣợc thực hiện cho đến khi KCĐ nằm đúng vị trí thiết kế trên sà lan
thì dừng và tiến hành cố định KCĐ


     GVHD: Th.S. Dƣơng Thanh Quỳnh
     SVTH : Vũ Trọng Chung     -   MSSV : 273352               -    Lớp 52CB3        45
ĐỒ ÁN TỐT NGHIỆP            Thiết Kế Kỹ Thuật Bến Căn Cứ Đóng Mới Giàn Jacket Độ Sâu
                        .     Đến 95.7M Nước Hạ Thủy Bằng Phương Pháp Kéo Trượt


      + Thiết bị kiểm soát cân bằng cho sà lan (Barge monitoring):
      - Trong suốt quá trình hạ thủy, công tác quan trọng nhất dẫn đến thành công là
kiểm soát sự cân bằng của sà lan. Công việc này bao gồm giữ cho mặt sà lan luôn cân
bằng và bằng mặt cảng. Nhất là khi hạ thủy các khối chân đế thì rất khó để có thể xác
định một cách chính xác bao nhiêu khối lƣợng đã di chuyển lên sà lan và còn bao nhiêu ở
trên cầu cảng. Cách giải quyết vấn đề này là sử dụng một hệ thống kiểm soát chiều cao,
mớn nƣớc và góc nghiêng của sà lan.
      - Hệ thống kiểm soát cân bằng của sà lan bao gồm một số cảm biến đo áp lực. Các
bộ cảm biến này đƣợc bố trí tại các góc của sà lan và trên cầu cảng và cho phép xác định
chính xác chiều cao nƣớc bên trên các bộ cảm biến. Các thông tin đƣợc xử lý và hiển thị
dƣới dạng biểu đồ, giúp ngƣời quản lý xác định đƣợc xu hƣớng di chuyển của sà lan, từ
đó có thể điều hành công tác dằn nƣớc một cách hợp lý.




               Hình 5.4: Hệ thống kiểm soát cân bằng cho sà lan




     GVHD: Th.S. Dƣơng Thanh Quỳnh
     SVTH : Vũ Trọng Chung     -   MSSV : 273352             -    Lớp 52CB3        46
ĐỒ ÁN TỐT NGHIỆP           Thiết Kế Kỹ Thuật Bến Căn Cứ Đóng Mới Giàn Jacket Độ Sâu
                       .     Đến 95.7M Nước Hạ Thủy Bằng Phương Pháp Kéo Trượt


  + Hệ thống dằn nƣớc (Barge ballasting systems):
       - Hệ thống dằn nƣớc trên sà lan bao gồm các hệ thống bơm và ống nối, thực
          hiện công tác bơm nƣớc ra hoặc vào các khoang của sà lan, đảm bảo cho sà
          lan cân bằng và đƣờng trƣợt trên sà lan bằng đƣờng trƣợt trên cầu cảng trong
          suốt quá trình hạ thủy. Trong một số trƣờng hợp công tác dằn nƣớc của sà
          lan cần hệ thống bơm dằn nƣớc bên ngoài. Kích thƣớc và khả năng của hệ
          thống này phụ thuộc vào kích thƣớc của sà lan. Hệ thống này cùng với hệ
          thống dằn nƣớc trên sà lan giữ cho đƣờng trƣợt trên sà lan luôn bằng đƣờng
          trƣợt trên cầu cảng trong suốt quá trình hạ thủy. Hiện nay có 03 loại bơm
          đƣợc sử dụng là:


         6” Diesel engine driven pump

                Loại bơm này dễ điều khiển và di chuyển trong quá trình hạ thủy. Lƣu
           lƣợng tối đa của loại bơm này là 400m3/h.
         8” Diesel engine driven pump

                Loại bơm này đƣợc đặt cố định trong suốt quá trình hạ thủy và thƣờng
           đƣợc sử dụng cùng với bơm 6”. Lƣu lƣợng tối đa của loại bơm này là
           1000m3/h.
         14” Ring main system

                Hệ thống bơm này có lƣu lƣợng cao và đƣợc đặt ở phía xa cuối sà lan.
           Một ống thép 8” chạy dọc theo cạnh sà lan với các liên kết chữ “T” tại các
           khoang dằn nƣớc mà nó chạy qua. Một nhánh của các liên kết chữ “T” này
           đƣợc nối với ống cao su bọc thép 6”, một đầu ống nối với các khoang của
           sà lan. Lƣu lƣợng tối đa của hệ thống này là 2500m3/h.




    GVHD: Th.S. Dƣơng Thanh Quỳnh
    SVTH : Vũ Trọng Chung     -   MSSV : 273352             -    Lớp 52CB3        47
ĐỒ ÁN TỐT NGHIỆP            Thiết Kế Kỹ Thuật Bến Căn Cứ Đóng Mới Giàn Jacket Độ Sâu
                        .     Đến 95.7M Nước Hạ Thủy Bằng Phương Pháp Kéo Trượt




                               Hình 2.16: Hệ thống bơm dằn nước




                              Hình 2.17: Bơm đặt trên sàn của sà lan
   + Hệ thống neo giữ sà lan (Barge mooring systems)
      Hệ thống neo giữ sà lan có nhiệm vụ giữ cho sà lan không bị dịch chuyển dƣới tác
dụng của sóng, gió và dòng chảy trong khu cảng (chủ yếu là dòng chảy vì sóng trong
cảng rất nhỏ). Hệ thống này bao gồm các tời neo đặt trên cầu cảng, hệ thống dây neo, hệ

     GVHD: Th.S. Dƣơng Thanh Quỳnh
     SVTH : Vũ Trọng Chung     -   MSSV : 273352             -    Lớp 52CB3        48
ĐỒ ÁN TỐT NGHIỆP            Thiết Kế Kỹ Thuật Bến Căn Cứ Đóng Mới Giàn Jacket Độ Sâu
                        .     Đến 95.7M Nước Hạ Thủy Bằng Phương Pháp Kéo Trượt


puli giảm lực và các chi tiết liên kết nhƣ ma ní. Tời neo đƣợc đặt cách mép cảng khoảng
10m và đƣợc gia cố bằng các khối bê tông.




                               Hình 2.18: Tời neo đặt trên cầu cảng




                               Hình 2.19: Bố trí hệ thống neo sà lan



     GVHD: Th.S. Dƣơng Thanh Quỳnh
     SVTH : Vũ Trọng Chung     -   MSSV : 273352              -   Lớp 52CB3        49
ĐỒ ÁN TỐT NGHIỆP             Thiết Kế Kỹ Thuật Bến Căn Cứ Đóng Mới Giàn Jacket Độ Sâu
                         .     Đến 95.7M Nước Hạ Thủy Bằng Phương Pháp Kéo Trượt


   +Thiết bị neo cáp trên sà lan
     Thiết bị neo cáp trên sà lan có nhiệm vụ cố định đầu cáp trên sà lan trong suốt quá
trình hạ thủy.




                                  Hình 2.20: Tời neo đặt trên sà lan
       Để đề phòng trƣờng hợp Strand jack trên khối chân đế bị hỏng trong quá trình hạ
thủy, tời neo trên sà lan cũng đƣợc lắp Strand jack.




                              Hình 2.21: Bệ lắp Strand jack trên sà lan

     GVHD: Th.S. Dƣơng Thanh Quỳnh
     SVTH : Vũ Trọng Chung     -   MSSV : 273352              -    Lớp 52CB3        50
ĐỒ ÁN TỐT NGHIỆP                   Thiết Kế Kỹ Thuật Bến Căn Cứ Đóng Mới Giàn Jacket Độ Sâu
                               .     Đến 95.7M Nước Hạ Thủy Bằng Phương Pháp Kéo Trượt


4.2         Quy trình hạ thủy
4.2.1       Công tác chuẩn bị
           Khi sà lan cập Cảng, bộ phận an toàn phải kiểm tra nồng độ khí độc hại trong
            các khoang của sà lan bằng các thiết bị chuyên dụng.
           Sà lan cập Cảng đƣợc neo song song với cầu Cảng, sau đó các thiết bị bơm, tời
            neo… phục vụ hạ thủy đƣợc đƣa lên sà lan và lắp đặt vào vị trí thiết kế.
           Với strand jacks cần thiết kết và hàn bệ neo vào các vị trí vách cứng và dầm
            cứng trên sà lan, cáp đƣợc cắt đúng kích thƣớc. Cao trình của điểm neo trên sà
            lan phải bằng cao trình của Strand Jack đặt trên chân đế. Đƣờng dây cáp kéo
            phải song song với đƣờng trƣợt.
           Với hệ thống dằn nƣớc, tất cả các bơm phải đƣợc bảo dƣỡng và kiểm tra cẩn
            thận, lắp đặt hệ thống bơm và ống trên sà lan
           Tất cả các thiết bị phục vụ công tác hạ thủy phải đƣợc đƣa tới khoảng 2 tuần
            trƣớc khi hạ thủy để chạy thử. Tất cả các thiết bị không liên quan đến công tác
            hạ thủy đƣợc di chuyển ra khỏi khu vực hạ thủy.
           Trong vòng 4 - 5 ngày kể từ khi sà lan cập Cảng, strand jacks sẽ đƣợc lắp đặt
            lên kết cấu, nguồn điện đƣợc đặt đúng vị trí thiết kế và neo đƣợc cố định vào bệ
            neo trên sà lan.
            .




                      Hình 2.22: Lắp đặt Strand jack và cáp lên khối chân đế.

        GVHD: Th.S. Dƣơng Thanh Quỳnh
        SVTH : Vũ Trọng Chung     -   MSSV : 273352                 -    Lớp 52CB3        51
ĐỒ ÁN TỐT NGHIỆP                Thiết Kế Kỹ Thuật Bến Căn Cứ Đóng Mới Giàn Jacket Độ Sâu
                            .     Đến 95.7M Nước Hạ Thủy Bằng Phương Pháp Kéo Trượt


           Công tác kiểm tra hệ thống bơm đƣợc thực hiện bằng cách luân chuyển các
            bơm trong suốt một chu kì đã biết, thƣờng là 15 phút, và đo hiệu số mực nƣớc
            trong các khoang trong suốt chu kì đó. Với kích thƣớc các khoang đã biết trƣớc
            dễ dàng tính đƣợc lƣu lƣợng nƣớc.
           Tháo dỡ các kết cấu đỡ khối chân đế (các gối đỡ và các liên kết khác). Lắp đặt
            và điều chỉnh chiều cao đƣờng trƣợt trên cầu cảng sao cho mặt đƣờng trƣợt trên
            cầu cảng bằng với mặt đƣờng trƣợt trên bãi lắp ráp.
4.2.2       Tiến hành hạ thủy
           Bơm dằn nƣớc vào sà lan đến khi mặt đƣờng trƣợt trên sà lan bằng với mặt
            đƣờng trƣợt trên bãi lắp ráp.
           Phát động khối chân đế chuyển động bằng 04 kích đẩy đặt phía sau chân đế,
            đồng thời khi đó Strand Jack cũng căng tải. Theo kinh nghiệm, lực phát động
            tối đa khoảng 20% trọng lƣợng chân đế.
           Sau khi phát động khối chân đế dịch chuyển, lực ma sát sẽ giảm xuống, theo
            kinh nghiệm, hệ số ma sát khi kéo trƣợt tối đa khoảng 12% khối lƣợng chân đế
            (480 tấn)
           Quá trình kéo trƣợt khối chân đế đƣợc chia thành nhiều bƣớc nhỏ. Tốc độ di
            chuyển khoảng 30m/h.
           Trong quá trình di chuyển khối chân đế có thể dừng lại để chờ cho hệ thống dằn
            nƣớc đảm bảo cho sà lan luôn tiếp xúc với cầu cảng và mặt sà lan bằng mặt
            cảng (mức độ chênh lệch tối đa giữa mặt sà lan và mặt cảng là 25mm).
           Quá trình kéo trƣợt kết thúc khi khối chân đế nằm hoàn toàn trên sà lan. Tiến
            hành gia cố 10% so với thiết kế gia cố cho điều kiện vận chuyển chân đế. Sau
            đó xoay sà lan và cập sà lan song song với mặt cảng.
           Tháo dỡ các thiết bị phục vụ hạ thủy, điều chỉnh lƣợng nƣớc dằn trong các
            khoang của sà lan bằng thiết bị bơm tự động của sà lan đến mớn nƣớc vận
            chuyển.


        GVHD: Th.S. Dƣơng Thanh Quỳnh
        SVTH : Vũ Trọng Chung     -   MSSV : 273352              -    Lớp 52CB3        52
ĐỒ ÁN TỐT NGHIỆP               Thiết Kế Kỹ Thuật Bến Căn Cứ Đóng Mới Giàn Jacket Độ Sâu
                           .     Đến 95.7M Nước Hạ Thủy Bằng Phương Pháp Kéo Trượt


          Gia cố khối chân đế trên sà lan 100% và tháo các thiết bị phục vụ thi công hạ
           thủy, sẵn sàng ra biển…

      4.2.3 Công tác quản lý an toàn trong quá trình hạ thủy
  -       Những ngƣời tham gia thi công phải học qua khóa học an toàn, có cấp chứng chỉ.
          Các công tác thi công đều cần có giấy phép làm việc, chỉ có những ngƣời có phận
          sự hoặc có giấy phép mới đƣợc phép ở khu vực hạ thuỷ để đảm bảo an toàn.
  -       Kiểm soát ngƣời lên, xuống sà lan bằng T-card. Những ngƣời làm việc trên sà lan
          ở các khu vực nguy hiểm phải mặc áo phao.
  -       Cần phân tích, ngăn ngừa rủi ro của công việc với các tải trọng đặc biệt, hoặc sự
          cố ngẫu nhiên dễ xảy ra. Đồng thời đề ra các giải pháp khắc phục, sẵn sàng ứng
          phó nếu sự cố xảy ra.
  -       Cần kiểm tra trang thiết bị khi hạ thuỷ: strand jack, cáp, bộ phận cung cấp năng
          lƣợng, bơm… đều đƣợc kiểm tra bởi các chuyên gia và chỉ khi có chứng nhận và
          cấp phép mới đƣợc tiến hành hoạt động hạ thuỷ.
  -       Luôn có một bộ phận sẵn sàng cho nhiệm vụ cứu hộ khi xảy ra hiện tƣợng mất an
          toàn.
  -       Di chuyển toàn bộ các vật liệu có tính chất nguy hiểm, dễ cháy nổ ra khỏi khu
          vực hạ thủy.




      GVHD: Th.S. Dƣơng Thanh Quỳnh
      SVTH : Vũ Trọng Chung     -   MSSV : 273352               -    Lớp 52CB3        53
ĐỒ ÁN TỐT NGHIỆP              Thiết Kế Kỹ Thuật Bến Căn Cứ Đóng Mới Giàn Jacket Độ Sâu
                          .     Đến 95.7M Nước Hạ Thủy Bằng Phương Pháp Kéo Trượt


                                          CHƢƠNG 3

                        THIẾT KẾ KỸ THUẬT BẾN
1. PHẦN MỀM THIẾT KẾ
   SAP2000 version 7.42, Autocad, một số phần mềm hỗ trợ khác…
2. TÍNH TOÁN CÁC THÔNG SỐ CƠ BẢN CỦA BẾN
2.1 Số liệu tính toán
   -    Số liệu thủy văn (mục 4.3.2 chƣơng 1)
   -    Số liệu sàn lan tính toán (mục 4.1 chƣơng 2)
   -    Khối chân đế

   - Giàn Chim Sáo đƣợc xây dựng ở khu vực có độ sâu nƣớc trung bình (MSL) 95.7m,
mực nƣớc triều kiệt (LAT) 93.51m. Khối chân đế của giàn Chim Sáo có kích thƣớc
đƣờng biên là: dài x rộng x cao = 106.8 x 38 x 31.2m, khối lƣợng 3950 tấn, có cấu tạo 4
ống chính (gồm 1 mặt đứng và 3 mặt nghiêng) và có thêm kết cấu Launch Truss nhằm
phục vụ thi công hạ thủy. Khoảng cách giữa các đỉnh ống chính theo hai phƣơng là
12.192m và 18.288m. Khối chân đế có 6 mặt ngang với cao độ nhƣ sau:

        - Mặt D1 ở cao độ (+) 6.000 m
        - Mặt D2 ở cao độ (-) 10.000 m
        - Mặt D3 ở cao độ (-) 30.000 m
        - Mặt D4 ở cao độ (-) 50.000 m
        - Mặt D5 ở cao độ (-) 71.000 m
        - Mặt D6 ở cao độ (-) 90.540 m

       Khối chân đế đƣợc liên kết với đất nền thông qua móng cọc, bao gồm 6 cọc váy.
Ngoài ra, KCĐ còn có các kết cấu phụ nhƣ giá cập tàu, sàn chống lún, anodes,…




       GVHD: Th.S. Dƣơng Thanh Quỳnh
       SVTH : Vũ Trọng Chung     -   MSSV : 273352             -    Lớp 52CB3        54
ĐỒ ÁN TỐT NGHIỆP               Thiết Kế Kỹ Thuật Bến Căn Cứ Đóng Mới Giàn Jacket Độ Sâu
                           .     Đến 95.7M Nước Hạ Thủy Bằng Phương Pháp Kéo Trượt




                      Hình 3.1: Khối chân đế Chim Sáo trong giai đoạn chế tạo

  -     Số liệu tàu tính toán đƣợc cho trong bảng 3.1


                     Bảng 3.1: Các đặc trưng kĩ thuật của tàu thiết kế.

                                                                          Chiều dài đoạn thẳng
                  Chiều dài                   Chiều       Mớn nƣớc
                                    Chiều                                 thành tầu
      Tải trọng                               cao
                                    rộng                Đầy      Không    Đầy        Không
                    Lmax                      mạn
                                                        hàng     hàng     hàng       hàng
      14.000T       160 m           21.2m     12.3m     9.0m     3.5m       62m      46m




      GVHD: Th.S. Dƣơng Thanh Quỳnh
      SVTH : Vũ Trọng Chung     -   MSSV : 273352               -    Lớp 52CB3        55
ĐỒ ÁN TỐT NGHIỆP             Thiết Kế Kỹ Thuật Bến Căn Cứ Đóng Mới Giàn Jacket Độ Sâu
                         .     Đến 95.7M Nước Hạ Thủy Bằng Phương Pháp Kéo Trượt


                          Bảng 3.2: Diện tích cản gió của tàu.

                                            Diện tích cản gió (m2)
                      Ngang tầu, Aq                                    Dọc tầu ,An
            Đầy hàng               Không hàng              Đầy hàng              Không hàng
               1650                    2560                   430                    540



2.2 Tính toán các thông số cơ bản của bến
 Chiều dài bến xác định theo 22TCN 207-92
                                Lb = Lt,max + d + ld
Trong đó:
    Lb: Chiều dài bến cần tính toán
    Lt,max: Chiều dài tàu cập bến tính toán.
    ld: Chiều dài dịch chuyển công nghệ tàu (Bảng 8 – 22TCN207 – 92)
    d: Khoảng cách dự phòng cho 1 tuyến bến
       (Bảng 8 – 22TCN207 – 92) d = 20m
                                 Lb = 160 + 10 + 2*8 = 186m
   Nhƣng do địa hình bến ta chọn chiều dài bến: Lb = 186m. Chia bến là 3 phân đoạn, 1
phân đoạn 65m,còn 2 phân đoạn 60,5m
   Nhƣ vậy khi tính toán cao độ đáy bến sẽ lấy số liệu mớn nƣớc đầy tải của tàu 10000
DWT.
 Chiều rộng bến
   Chiều rộng bến phụ thuộc vào công nghệ bốc xếp trên bến, điều kiện địa chất công
trình và mái dốc gầm bến.

   Chiều rộng bến cầu tầu dọc bờ đƣợc xác định theo công thức sau:

                                B = m.H

   Trong đó:

     GVHD: Th.S. Dƣơng Thanh Quỳnh
     SVTH : Vũ Trọng Chung     -   MSSV : 273352               -     Lớp 52CB3       56
ĐỒ ÁN TỐT NGHIỆP               Thiết Kế Kỹ Thuật Bến Căn Cứ Đóng Mới Giàn Jacket Độ Sâu
                           .     Đến 95.7M Nước Hạ Thủy Bằng Phương Pháp Kéo Trượt


            H - Chiều cao bến. H = 15,7 (m).

            m - độ dốc ổn định của mái đất dƣới gầm cầu tầu,m= cotg =2

            => B = 2,0 x15.7 = 31,4 m. Chọn B = 30 (m)

 Xác định các cao trình bến.


                                                                           a
                                   mnctk

                                  mnttk


                                                                                h
                                           t
                                 hct
                  h0


                                        Z0+Z1+Z2+Z3

                                       ct®b                        Z4


                C¸c cao tr×nh vµ c¸c chiÒu s©u, chiÒu cao tr-íc bÕn.

                           Hình 3.2 - Sơ đồ xác định cao trình bến
 Cao trình mặt bến:
                                       ∇ CTMB = ∇ MNCTK + a
Trong đó: a = 1 – 2m ( độ vƣợt cao dự trữ cho bảo quản và quá trình bốc xếp).
Chọn a = 1,63m
                                 ∇ CTMB = +3,87 + 1,63 = 5,5m
 Độ sâu chạy tàu đƣợc xác định:
                                Hct = T + Z1 + Z2 + Z3 + Z0
Trong đó:
   T – mớn nƣớc của tàu tính toán, T = 9,0 m
   Z1 – dự phòng chạy tàu tối thiểu (đảm bảo an toàn và độ lái tốt của tàu khi chuyển
động), bảng 3 – 22TCN222-95:

     GVHD: Th.S. Dƣơng Thanh Quỳnh
     SVTH : Vũ Trọng Chung     -   MSSV : 273352                       -   Lớp 52CB3   57
ĐỒ ÁN TỐT NGHIỆP             Thiết Kế Kỹ Thuật Bến Căn Cứ Đóng Mới Giàn Jacket Độ Sâu
                         .     Đến 95.7M Nước Hạ Thủy Bằng Phương Pháp Kéo Trượt


   Z1 = 0,06.T = 0,06.9,0 = 0,54 m
   Z2 – dự phòng cho sóng, bảng 4 – 22TCN222-95:
   Z2 = 0
   Z3 – dự phòng về vận tốc (tính đến sự thay đổi mớn nƣớc của tàu khi chạy so với mớn
nƣớc tàu neo đậu khi nƣớc tĩnh), bảng 5 – 22TCN222-95:
   Z3 = 0,2m
   Zo = dự phòng cho sự nghiêng lệch của tàu do xếp hàng hóa lên tàu không đều, do
hàng hóa bị xê dịch… bảng 6 – 22TCN222-95:
   Z0 = 0,026B = 0,026.21,2 = 0,55m ( B :Bề rộng bến )
                        Hct = 9,0 + 0,54 + 0 + 0,2 + 0,55 = 10,29m
 Độ sâu thiết kế xác định:
                                   Ho = Hct + Z4
   Trong đó:
   Z4 – dự phòng cho sa bồi, bảng 5 – 22TCN222-95:
   Z4 = 0,4m
                                   Ho = 10,29 + 0,4 = 10,69 m
 Cao trình đáy bến:
                ∇ CTDB = ∇ MNTTK – Ho = - 0,42 – 10,69 = -10,27m
   Chọn ∇ CTDB = -10,2m
 Chiều cao trƣớc bến:
                       H = ∇ CTMB - ∇ CTDB = 5,5 - (-10,2) = 15,7m
   Theo mục 2.3/22TCN222-95: H = 15,7m < 20m  Công trình thuộc cấp III.




     GVHD: Th.S. Dƣơng Thanh Quỳnh
     SVTH : Vũ Trọng Chung     -   MSSV : 273352              -    Lớp 52CB3        58
ĐỒ ÁN TỐT NGHIỆP            Thiết Kế Kỹ Thuật Bến Căn Cứ Đóng Mới Giàn Jacket Độ Sâu
                        .     Đến 95.7M Nước Hạ Thủy Bằng Phương Pháp Kéo Trượt


2.3 Xây dựng phƣơng án kết cấu bến

2.3.1 Phƣơng án 1: Bệ cọc cao đài mềm trên nền cọc khoan nhồi

2.3.1.1 Kết cấu bến cầu tàu
  - Chiều dài bến: 186 m
  - Chiều rộng bến: 30 m
  - Bến đƣợc chia làm 3 phân đoạn 2 phân đoạn dài 60.5 m và phân đoạn hạ thủy dài
65m , mỗi phân đoạn cách có khe cách nhau 2cm.
  - Bản cầu tàu dày 300mm, vị trí đặt cẩu dày 1600mm.
   - Dùng cát có  = 1,8 T/m3, = 25 để lấp nền.
2.3.1.2 Kết cấu 1 phân đoạn
    - Nền cọc: Kết cấu dạng bệ cọc cao đài mềm gồm hệ dầm, bản BTCT trên nền cọc
khoan nhồi BTCT.
    - Kết cấu cọc khoan nhồi BTCT M400, đƣờng kính D = 1000mm theo phƣơng ngang
cầu tàu gồm 7 hàng cọc với bƣớc cọc a = 4.5 m, cọc ngoài cùng cách mép bến 1,5m.
Theo phƣơng dọc bến mỗi phân đoạn gồm 15 hàng cọc, bƣớc cọc là a = 4.1 m .

                                       MÆT C¾T II-II




                      Hình 3.3 – Mặt cắt ngang bến Phương án 1

     GVHD: Th.S. Dƣơng Thanh Quỳnh
     SVTH : Vũ Trọng Chung     -   MSSV : 273352             -    Lớp 52CB3        59
ĐỒ ÁN TỐT NGHIỆP            Thiết Kế Kỹ Thuật Bến Căn Cứ Đóng Mới Giàn Jacket Độ Sâu
                        .     Đến 95.7M Nước Hạ Thủy Bằng Phương Pháp Kéo Trượt


    - Chiều dài cọc Ltb = 40m.
    - Cọc ngàm sâu vào trong lớp đá gốc  3m.
    - Cọc nhồi đƣợc chôn các ống thép D110mm và D50mm khi thi công đổ bê tông để
phục vụ công tác khoan lấy lõi, siêu âm kiểm tra chất lƣợng cọc.
    - Thi công cọc khoan nhồi sử dụng ống vách bằng tôn  =6mm đƣờng kính 1100m
đƣợc hạ sâu hơn mặt đất 3m, phía trên cao hơn đáy đài  3m, sau khi bê tông cọc đủ
cƣờng độ đục tẩy đoạn trên 25cm, giữ nguyên cốt thép chủ của cọc để liên kết với đài, bê
tông cọc nằm sâu trong đài 5cm.
    - Dầm ngang: Kết cấu bằng BTCT M400 đá 2x4 đổ tại chỗ,tiết diện bxh = 90x160cm,
chiều dài 30m.
    - Dầm dọc: Kết cấu bầng BTCT M400 đá 2x4 đổ tại chỗ, tiết diện dầm bxh =
90x160cm, chiều dài 60,5m.
    - Bản mặt cầu: Kết cấu BTCT M300 đá 1x2 đổ tại chỗ, bản dầy 30cm
    - Lớp phủ mặt cầu: Bằng bê tông B15 dày trung bình 20cm
    - Hào công nghệ: để lắp đặt mạng kỹ thuật nhƣ : cấp điện, cấp nƣớc cho tàu, cấp nƣớc
cứu hỏa, mạng thong tin liên lạc..đƣợc bố trí dọc theo mép ngoài cầu tầu ,kích thƣớc: sâu
1.0m , rộng 1.2m .Nắp hào bằng tấm đan BTCT đúc sẵn dày 20cm
    - Bích neo tàu: Trên cầu chính bố trí 11 bích neo bằng gang đúc loại 70T. Bích neo có
đƣờng kính ngoài 381mm, chiều cao 600mm, liên kết giữa bích neo tàu với đầu dầm
ngang bằng 5 bu lông d = 70mm, chiều dài 850mm chôn sẵn khi đổ bê tông dầm bản.
    - Đệm tàu: Bến sử dụng bộ đệm tàu loại V-1000H . Đệm tàu đƣợc treo cách quãng và
trùng với vị trí đầu dầm ngang, liên kết giữa đệm và bản tựa tàu bằng các bu lông M60
đặt sẵn trong quá trình đổ bê tông.
    - Phân đoạn hạ thủy Kết cấu cọc khoan nhồi BTCT M400, đƣờng kính D = 1000mm
theo phƣơng ngang cầu tàu gồm 20 hàng cọc, cọc ngoài cùng cách mép bến 1,5m. Theo
phƣơng dọc bến mỗi phân đoạn gồm 7 hàng cọc, bƣớc cọc là a = 4.5m, cọc ngoài cùng
cách mép 1,5m.
2.3.1.3.Kè sau bến (kè gầm bến)
  - Kết cấu kè mái nghiêng bằng đá hộc kết hợp tƣờng góc BTCT mác 400 đá 1x2 trên
nền cọc BTCT 40x40 đóng hoa mai .Bƣớc cọc theo phƣơng dọc kè 2m , theo phƣơng
ngang kè: có 4 hàng cọc cách nhau 2.0m , hai hàng cọc ngoài đóng thẳng, hai hàng trong
đóng xiên 1 : 10 .Đóng cừ PU18 hoặc loại tƣơng đƣơng , dài 12m dọc theo mép ngoài
tƣờng góc đƣợc để ngăn nƣớc và chống xói chân tƣờng góc khi thi công u tầu .Chiều dài
cọc dự kiến 30m, chiều dìa chính thức sẽ đƣợc quyết định trong bƣớc thiết kế BVTC sau


     GVHD: Th.S. Dƣơng Thanh Quỳnh
     SVTH : Vũ Trọng Chung     -   MSSV : 273352             -    Lớp 52CB3        60
ĐỒ ÁN TỐT NGHIỆP           Thiết Kế Kỹ Thuật Bến Căn Cứ Đóng Mới Giàn Jacket Độ Sâu
                       .     Đến 95.7M Nước Hạ Thủy Bằng Phương Pháp Kéo Trượt


khi có kết quả thử cọc. Bản đáy tƣờng góc rộng 5.5m dầy 1m, tƣờng mặt cao 2.5m , trên
đỉnh dầy 0.4m chân tƣờng tiếp giáp với bản đáy dầy 0.7m
- Phần kè mái nghiêng bằng đá hộc G>60kg/viên dầy 2m , mái kè m=1.5 , bên trong là
tầng lọc ngƣợc bằng đá dăm kết hợp vải địa kỹ thuật dầy 20cm . Chân khay bằng đá hộc
G>60kg/viên , đỉnh chân khay rộng 3m ,mái chân khay m=2

     Bảng 3.3: Bảng tổng hợp khối lƣợng chính bến Căn cứ phƣơng án 1

TT                      Hạng mục công trình                     Đ.vị         Khối luợng

 1             Cọc BTCT D1000cm, ; L=40m                               m        21600

 2             BTCT bản mặt cầu tầu mác 400, đá 1x2                    m3       1771

 3             Dầm BTCT tiết diện 0,9x1,6m                             m3       5718

 4             BTCT tƣờng góc mác 400, đá 1x2                          m3      1.703,0

 5             Cọc BTCT 40cm x 40cm, L=30m                             m       11.880,0

 6             Cừ PU 25, L=18m                                         tấn      84,2

 7             Cừ PU 18, L12m                                          tấn      161,5

 8             Kè gầm bến (phần mái nghiêng)                           m        290,0



2.3.2Phƣơng án 2: Bệ cọc cao đài mềm trên nền cọc bê tông cốt thép thƣờng
2.3.2.1.Kết cấu bến cầu
    Chiều dài cầu chính : 186m
    Chiều rộng cầu chính : 30m
    Bến đƣợc chia làm 3 phân đoạn mỗi phân đoạn hạ thủy 65m , 2 phân đoạn hàng hóa
60,5m
    Dùng cát có  = 1,8 T/m3, = 25 để lấp nền.
2.3.2.2.Kết cấu 1 Phân đoạn
    - Nền cọc: Kết cấu dạng bệ cọc cao đài mềm gồm hệ dầm, bản BTCT trên nền cọc bê
tông cốt thép thƣờng.
     GVHD: Th.S. Dƣơng Thanh Quỳnh
     SVTH : Vũ Trọng Chung     -   MSSV : 273352            -      Lớp 52CB3        61
ĐỒ ÁN TỐT NGHIỆP            Thiết Kế Kỹ Thuật Bến Căn Cứ Đóng Mới Giàn Jacket Độ Sâu
                        .     Đến 95.7M Nước Hạ Thủy Bằng Phương Pháp Kéo Trượt


- Kết cấu cọc bê tông cốt thép thƣờng M400, có tiết diện 50x50cm.Bƣớc cọc theo
phƣơng ngang 2.75m, mỗi khung ngang có 9 hàng cọc trong đó 5 hàng cọc đóng thẳng
đứng , 2 hàng cọc đóng xiên âm 1/8, 2 cọc đóng xiên dƣơng 1/8, các cọc đƣợc đóng so le
xoay không gian từ 150 -250 đảm bảo không đụng nhau .Bƣớc cọc theo phƣơng dọc trung
bình 3.1m, riêng dƣới đƣờng trƣợt giữa của phân đoạn 2 đƣợc đóng bổ sung 2 hàng cọc.


                                       MÆT C¾T II-II




                    Hình 3.4 – Mặt cắt ngang bến Phương án 2

   - Dầm ngang: Kết cấu bằng BTCT M400,đá 2x4 đổ tại chỗ, dầm ngang tiết diện bxh =
90x160cm, chiều dài 30m.
   - Dầm dọc: Kết cấu bằng BTCT M400 đá 2x4 đổ tại chỗ, dầm dọc tiết diện dầm bxh =
90x160cm, chiều dài 60.5m
     GVHD: Th.S. Dƣơng Thanh Quỳnh
     SVTH : Vũ Trọng Chung     -   MSSV : 273352             -    Lớp 52CB3        62
ĐỒ ÁN TỐT NGHIỆP            Thiết Kế Kỹ Thuật Bến Căn Cứ Đóng Mới Giàn Jacket Độ Sâu
                        .     Đến 95.7M Nước Hạ Thủy Bằng Phương Pháp Kéo Trượt



   - Bản mặt cầu: Kết cấu BTCT M300 đá 1x2 đổ tại chỗ, bản dầy 30cm
   - Lớp phủ mặt cầu: Bằng bê tông B15 dày trung bình 20cm

   - Hào công nghệ: để lắp đặt mạng kỹ thuật nhƣ : cấp điện, cấp nƣớc cho tàu , cấp
nƣớc cứu hỏa , mạng thong tin liên lạc…đƣợc bố trí dọc theo mép ngoài cầu tàu , kích
thƣớc : sâu 1.0m , rộng 1.2m .Nắp hào bằng các tấm đan BTCT đúc sẵn dày 20 cm.

    - Để đảm bảo an toàn cho ngƣời và phƣơng tiện hoạt động trên mặt cầu tàu , dọc theo
mép bến có bố trí gờ chắn xe bằng BTCT .Gờ chắn xe cao 30cm và rộng 30cm , đƣợc vát
góc và thân gờ đƣợc sơn phủ bằng 2 màu sơn phản quang tạo vạch an toàn.

   - Bích neo tàu: Bố trí 11 bích neo bằng gang đúc loại 70T. Bích neo có đƣờng kính
ngoài 381mm, chiều cao 600mm, liên kết giữa bích neo tàu với đầu dầm ngang bằng 5 bu
lông d = 72mm, chiều dài 850mm chôn sẵn khi đổ bê tông dầm bản.

    - Đệm tàu: Bến sử dụng bộ đệm tàu loại V- 1000H. Đệm tàu đƣợc treo cách quãng và
trùng với vị trí đầu dầm ngang, liên kết giữa đệm và bản tựa tàu bằng các bulông M42 đặt
sẵn trong quá trình đổ bê tông.
2.3.2.3.Kè sau bến (kè gầm bến)
- Kết cấu kè mái nghiêng bằng đá hộc m=2 kết hợp tƣờng góc BTCT mác 400 đá 1x2
trên nền cọc BTCT 40cmx40cm đóng hoa mai. Bƣớc cọc theo phƣơng dọc kè : 2m thep
phƣơng ngang kè : có 4 hàng cọc cách nhau 2.0m , hai hàng cọc ngoài đóng thẳng, hai
hàng trong đóng xiên 1:10 .Đóng cừ PU18 hoặc loại tƣơng đƣơng dài 12m dọc theo mép
ngoài tƣờng góc để ngăn nƣớc và chống xói chân tƣờng góc khi thi công u tầu .Chiều dài
cọc dự kiến là 30m , chiều dài cọ chính thức sẽ đƣợc quyết định trong bƣớc thiết kế
BVTC sau khi có kết quả thử cọc .Bản đáy tƣờng góc rộng 5.5m dầy 1m , tƣờng mặt cao
2.5m , trên đỉnh dầy 0.4m chân tƣờng tiếp ráp với bản đáy dầy 0.7




     GVHD: Th.S. Dƣơng Thanh Quỳnh
     SVTH : Vũ Trọng Chung     -   MSSV : 273352             -    Lớp 52CB3        63
ĐỒ ÁN TỐT NGHIỆP             Thiết Kế Kỹ Thuật Bến Căn Cứ Đóng Mới Giàn Jacket Độ Sâu
                         .     Đến 95.7M Nước Hạ Thủy Bằng Phương Pháp Kéo Trượt


       Bảng 3.4: Bảng tổng hợp khối lƣợng chính bến Căn cứ phƣơng án 2

 TT              Hạng mục công trình                                Đ.vị       Khối lƣợng

   1            Cọc BTCT 50cmx 50cm L=40m                              m          36.200,0

   2            BTCT dầm bản cầu tầu mác 400, đá 1x2                   m3         13.567,0

   3            BTCT tƣờng góc mác 400, đá 1x2                         m3               703,0

   4            Cọc BTCT 40cm x 40cm, L=30m                            m           4.830,0

   5            Cừ thép PU 25, L=18m                                   tấn               84,2

   6            Cừ thép PU 18, L12m                                    tấn              121,5

   7            Kè gầm bến (phần mái nghiêng)                          m                134,0

   8            Thay cát lòng bến                                      m3         47.700,0

   9            Các hạng mục khác                                     t.bộ                 1


2.3.3 So sánh lựa chọn phƣơng án
2.3.3.1Phƣơng án 1 cọc khoan nhồi
- Ưu điểm:
    + Cọc khoan nhồi có sức chịu tải lớn.
    + Có thể ngàm sâu vào trong đất cứng.
    + Phù hợp địa chất có lớp đá gốc gần với mặt đất, vì nó có thể ngàm vào trong đá.
- Nhược điểm :
    + Chi phí tốn kém
    + Cần chặt chẽ trong công tác kiểm tra chất lƣợng cọc.
2.3.3.2 Phƣơng án 2 cọc BTCT thƣờng
- Ưu điểm :
    + Dễ chế tạo
    + Dễ kiểm tra chất lƣợng cọc khi đúc
    + Gía thành rẻ hơn so với cọc khoan nhồi
- Nhược điểm :
       GVHD: Th.S. Dƣơng Thanh Quỳnh
       SVTH : Vũ Trọng Chung     -   MSSV : 273352            -    Lớp 52CB3        64
ĐỒ ÁN TỐT NGHIỆP             Thiết Kế Kỹ Thuật Bến Căn Cứ Đóng Mới Giàn Jacket Độ Sâu
                         .     Đến 95.7M Nước Hạ Thủy Bằng Phương Pháp Kéo Trượt


    + Chiều dài cọc co giới hạn, khi chiều dài cọc lớn phải nối cọc, khi đó không đảm bảo
chất lƣợng cọc
    + Khi lớp địa chất có lớp đá gốc thi cọc không thể ngàm sâu vào đƣợc
2.3.3.3Lựa chọn phương án kết cấu hợp lý

                    Bảng3.5 : Đánh giá phƣơng án.

TT                     Tiêu chí                         PA1         PA2

 1                  Chi phí xây dựng                       x

 2                     Dễ thi công                         x

      Khả năng tìm kiếm và lựa chọn nhà thầu trong
 3                                                        xx         xx
                         nƣớc

 4                  Thời gian thi công                     x         x

 5        Thuận lợi trong vận hành và khai thác           xx         xx

 6         Khả năng giáp nối với giai đoạn sau            xx         xx

 7        Khả năng tận dụng vật liệu địa phƣơng            x         x

 8         Mức khả thi theo điều kiện địa chất            xx         xx

 9                    Sức chịu tải.                       xx         xx

10          Kinh nghiệm xây dựng trong nƣớc               xx         xx

                       Cộng điểm                          15x       14x

      Ghi chú x: Trội hơn theo hƣớng thuận lợi.
     Từ kết quả so sánh trên cho thấy phƣơng án 1 có nhiều thuận lợi hơn, kiến nghị lựa
chọn phƣơng án 1 làm phƣơng án thiết kế cho dự án.




      GVHD: Th.S. Dƣơng Thanh Quỳnh
      SVTH : Vũ Trọng Chung     -   MSSV : 273352               -    Lớp 52CB3      65
ĐỒ ÁN TỐT NGHIỆP        Thiết Kế Kỹ Thuật Bến Căn Cứ Đóng Mới Giàn Jacket Độ Sâu
                    .     Đến 95.7M Nước Hạ Thủy Bằng Phương Pháp Kéo Trượt




                                     MÆT C¾T II-II




              Hình 3.5 - Mặt cắt ngang Phân đoạn 1- phướng án đã chọn




    GVHD: Th.S. Dƣơng Thanh Quỳnh
    SVTH : Vũ Trọng Chung     -   MSSV : 273352          -    Lớp 52CB3        66
ĐỒ ÁN TỐT NGHIỆP         Thiết Kế Kỹ Thuật Bến Căn Cứ Đóng Mới Giàn Jacket Độ Sâu
                     .     Đến 95.7M Nước Hạ Thủy Bằng Phương Pháp Kéo Trượt




           Hình 3.6 - Mặt bằng và mặt cắt dọc bến – phương án đã chọn




    GVHD: Th.S. Dƣơng Thanh Quỳnh
    SVTH : Vũ Trọng Chung     -   MSSV : 273352           -    Lớp 52CB3        67
ĐỒ ÁN TỐT NGHIỆP              Thiết Kế Kỹ Thuật Bến Căn Cứ Đóng Mới Giàn Jacket Độ Sâu
                          .     Đến 95.7M Nước Hạ Thủy Bằng Phương Pháp Kéo Trượt


3. TÍNH TOÁN TẢI TRỌNG TÁC DỤNG LÊN BẾN

3.1 Tải trọng trên mặt bến
3.1.1.Tải trọng do hàng hóa: Tải trọng hàng hóa phân bố đều: q = 4T/m2




                    Hình 3.7 : Sơ đồ khai thác tải trọng hàng hóa

3.1.2.Tải trọng do cần trục 750T: Áp lực dƣới vệt bánh xích là 25T/m2



                                     2
                          25 T/m




                25 T/m2


                    Hình 3.8 : Sơ đồ phân bố tải trọng của cẩu bánh xích
3.1.3.Tải trọng KCĐ xuống đƣờng trƣợt
      - G: Trọng lƣợng KCĐ , G = 3950 T.

      - Fms:Lực ma sát.

      - H: Tải trọng tập trung theo phƣơng ngang

      - P: Tải trọng tác dụng lên từng gối đỡ

     GVHD: Th.S. Dƣơng Thanh Quỳnh
     SVTH : Vũ Trọng Chung     -   MSSV : 273352               -    Lớp 52CB3        68
ĐỒ ÁN TỐT NGHIỆP                  Thiết Kế Kỹ Thuật Bến Căn Cứ Đóng Mới Giàn Jacket Độ Sâu
                              .     Đến 95.7M Nước Hạ Thủy Bằng Phương Pháp Kéo Trượt




                       Hình 3.9 : Sơ đồ phân bố tải trọng lên đƣờng trƣợt
 Tải trọng tác động lên gối đỡ P1 và P2:
             P1,2 = k1.G/2

      trong đó:

             k1: Hệ số phân phối không đồng đều, k=1,4

             G: Trọng lƣợng khối chân đế, G = 3950 T

      thay số có P1,2 = 1,4 3950/ 2 = 2765T

     Tại gối P1/P2 có 2 máng trƣợt có chiều dài 12 m. áp lực lên một đƣờng trƣợt đƣợc
xác định theo công thức.
                      P1, 2
             p  k2            Gg
                      2.l

      trong đó:

             k2: Hệ số vƣợt tải, k2 = 1,2

             Gg: Trọng lƣợng, xác định sơ bộ Gg = 1,8T/m

             l: Chiều dài gối đỡ
                                                 2765
                                       p  1,2         1,8  140T / m
                                                 2.12

   Lực tác dụng do khối chân đế lên đƣờng trƣợt trong quá trình trƣợt là tải trọng di
động phân bố đều trên chiều dài bằng với chiều dài của gối đỡ.

     GVHD: Th.S. Dƣơng Thanh Quỳnh
     SVTH : Vũ Trọng Chung     -   MSSV : 273352                         -   Lớp 52CB3   69
ĐỒ ÁN TỐT NGHIỆP            Thiết Kế Kỹ Thuật Bến Căn Cứ Đóng Mới Giàn Jacket Độ Sâu
                        .     Đến 95.7M Nước Hạ Thủy Bằng Phương Pháp Kéo Trượt


 Lực ma sát
    Lực ma sát xuất hiện khi khối chân đế di chuyển, lực ma sát đƣợc xác định nhƣ sau:
             Fms = (G + 4.l.Gg).kms

      trong đó:

             kms: Hệ số ma sát, kms = 0,05

      thay số có:

             Fms = (3950+ 4.12.1.8)0,05 = 202 T

      Lực ma sát tác dụng dƣới một gối đỡ bằng:

             fms = 202/ 4 =50.5 T
    Lực ma sát tác dụng lên đƣờng trƣợt trong quá trình trƣợt là tải trọng phân bố đều
dƣới gối đỡ và có chiều theo chiều chuyển động của khối chân đế.Quy đổ từ lực tập trung
thành phân bố để nhập vào sơ đồ tính.
 Tải trọng ngang
    Lực kéo KCĐ phải có giá trị:
                              H  P.k
   Với k là hệ số ma sát giữa máng trƣợt và đƣờng trƣợt .
    Do ban đầu KCĐ chƣa chuyển động nên nó có sức ì với k = 0.16  0.2 nên lực kéo
để thắng đƣợc sức ì ban đầu là (Chọn k = 0.2):
                                H0 = 3950 x 0,2 =790T
    Khi KCĐ đã có chuyển động thì cần duy trì lực kéo tối thiểu là (Chọn k =0.05):

                                H = 3950 x 0,05 = 197.5T
    Vậy tải trọng tập trung theo phƣơng ngang dọc một trục dầm đƣờng trƣợt khi kéo cấu
kiện:
    Tại mép ngoài bến : H = 790/2 = 395T

    Tại mép trong bến : H‟ = (790 -Fms) = (790 -202)/2 = 294T

    Khi cấu kiện nằm trên toàn bộ chiều rộng bến và phần còn lại nằm trên phao.

     GVHD: Th.S. Dƣơng Thanh Quỳnh
     SVTH : Vũ Trọng Chung     -   MSSV : 273352             -    Lớp 52CB3        70
ĐỒ ÁN TỐT NGHIỆP               Thiết Kế Kỹ Thuật Bến Căn Cứ Đóng Mới Giàn Jacket Độ Sâu
                           .     Đến 95.7M Nước Hạ Thủy Bằng Phương Pháp Kéo Trượt


   -Tải trọng phân bố thẳng đứng :140T/m

   - Tải trọng phân bố theo phƣơng ngang do ma sát giữa gối trƣợt đỡ cấu kiện và đƣờng
    trƣợt

                               Fms = 50.5/12 = 4,3T/m
   -Tải trọng tập trung theo phƣơng ngang dọc trục dầm đƣờng trƣợt khi kéo cấu kiện:

         Tại mép ngoài bến : H =197.5T

         Tại mép trong bến : H‟ = 0 T

 Tải trọng do khối chân đế
   Đƣờng trƣợt đƣợc dùng để hạ thuỷ đƣợc dàn cố định bằng thép có tổng tải trọng
4968 T. Tải trọng tác dụng lên đƣờng trƣợt đƣợc xác định nhƣ sau:

    Tại gối P1/P2 có 2 máng trƣợt có chiều dài 12 m. áp lực lên một đƣờng trƣợt
                                              2765
                                    p  1,2         1,8  140T / m
                                              2.12

      Lực ma sát tác dụng dƣới một gối đỡ bằng:

                                    fms = 202/ 4 =50.5 T
     Lực tác dụng do khối chân đế lên đƣờng trƣợt trong quá trình trƣợt là tải trọng di
động phân bố đều trên chiều dài bằng với chiều dài của gối đỡ.

     Tại mép ngoài bến : H = 790/2 = 395 T

     Tại mép trong bến : H‟ = (790 -Fms) = (790 -202)/2 = 294T

3.2 Tải trọng do tàu tác dụng lên công trình
Điều kiện khai thác bến
   - Chiều cao sóng :           hs  0,5m
   - Vận tốc dòng chảy : Vdc  0,81m/s
   - Vận tốc gió cấp 8 :        Vgió  20,7m/s, khi có bão (tốc độ gió trên cấp 8) tàu phải rời
bến và tìm nơi an toàn
   - Tốc độ cập :               Vcập  0,15m/s
     GVHD: Th.S. Dƣơng Thanh Quỳnh
     SVTH : Vũ Trọng Chung     -   MSSV : 273352                      -   Lớp 52CB3    71
ĐỒ ÁN TỐT NGHIỆP               Thiết Kế Kỹ Thuật Bến Căn Cứ Đóng Mới Giàn Jacket Độ Sâu
                           .     Đến 95.7M Nước Hạ Thủy Bằng Phương Pháp Kéo Trượt


3.3.1. Tải trọng do tàu tác dụng lên bến:

3.3.1.1. Tải trọng gió tác dụng lên tàu :

 - Theo tiêu chuẩn nghành 22TCN 222 – 1995 ta có:

  +)Thành phần lực dọc: Wn  49.0 x105 xAn xVn2 xdoc

  +)Thành phần lực ngang: Wq  73.6 x105 xAq xVq2 xngang

    Trong đó:

         Aq và An : diện tích cản gió theo hƣớng ngang và theo hƣớng dọc của vật nổi, m2.

         Vq và Vn : thành phần vận tốc gió ngang và thành phần dọc tàu

          : là hệ số lấy theo Bảng 26 quyển tiêu chuẩn nghành 22TCN 222 – 1995

- Tàu có thông số:

         Bề rộng tàu: Bt = 21.2m ta có  doc = 1

                       L              
         Chiều dài tàu: t = 160m ta có ngang = 0.57

 - Ta có Bảng kết quả tính toán tải trọng gió nhƣ sau:

                     Bảng 3.6: Kết quả tính toán tải trọng gió tác dụng lên tàu


                                                    Vq , Vn (m/s) Wq(KN)               Wn(KN)
             Trƣờng Hợp
    TT                            Aq (m2) An (m2)
                Tính
                                                    Khai Thác         Khai Thác     Khai Thác

     1      Tàu đầy hàng          1650      430              20         284.41         84.280
     2      Tàu không hàng        2560      540              20         441.27         105.84




     GVHD: Th.S. Dƣơng Thanh Quỳnh
     SVTH : Vũ Trọng Chung     -   MSSV : 273352                  -     Lớp 52CB3       72
ĐỒ ÁN TỐT NGHIỆP             Thiết Kế Kỹ Thuật Bến Căn Cứ Đóng Mới Giàn Jacket Độ Sâu
                         .     Đến 95.7M Nước Hạ Thủy Bằng Phương Pháp Kéo Trượt


3.3.1.2. Tải trọng do dòng chảy tác dụng lên tàu:

      Theo tiêu chuẩn nghành 22TCN 222 – 1995 ta có:

                                    Qw  0,59. AL .Vt 2


                                    N w  0,59. At .VL2

      Trong đó :

             Qw ; Nw : Thành phần ngang và dọc của lực dòng chảy (KN)

             Vt ; VL : Thành phần ngang và dọc của vận tốc dòng chảy tính toán (m/s)

             AL ; At : Diện tích chắn nƣớc theo hƣớng ngang và hƣớng dọc tàu (m2)

       Với : AL ; At đƣợc xác định nhƣ sau:

                                    AL = T. Lw

                                     At = T. Bt

      Trong đó :

             T : là độ mớn nƣớc của tàu

             Lw : là chiều dài hai đƣờng vuông góc

             Bt : là bề rộng tàu

      Ta có Bảng kết quả tính toán tải trọng dòng chảy nhƣ sau:




     GVHD: Th.S. Dƣơng Thanh Quỳnh
     SVTH : Vũ Trọng Chung     -   MSSV : 273352              -    Lớp 52CB3        73
ĐỒ ÁN TỐT NGHIỆP                 Thiết Kế Kỹ Thuật Bến Căn Cứ Đóng Mới Giàn Jacket Độ Sâu
                             .     Đến 95.7M Nước Hạ Thủy Bằng Phương Pháp Kéo Trượt


             Bảng 3.7: Bảng kết quả tính toán tải trọng dòng chảy tác dụng lên tàu


            Trƣờng Hợp
       TT                          AL (m2)         At (m2)     VL(m/s)       Vt (m/s) Qw(KN) N(KN)
               Tính

       1    Tàu đầy tải             1296           190.8        1.5           1.5      1720.44       253.287

       2    Tàu không tải             504          74.2         1.5           1.5      669.06        98.500



3.3.1.3. Tổng hợp lực do gió và dòng chảy tác dụng lên tàu :

-   Thành phần ngang :            Q = W q + Qω
-   Thành phần dọc :              N = Wn + N ω
                          Bảng 3.8: Tổng hợp lực do gió và dòng chảy

                                       Thành phần ngang                             Thành phần dọc
    Trƣờng hợp tính
                                 Wq           Qω           Q           Wn            Nω          N

    Tàu đầy hàng           284.41           1720.44       2004.85     84.28         253.287 337.567

    Tàu không hàng         441.27           669.06        1110.33     105.84        98.500   204.34



    3.3.1.4. Tải trọng do sóng
       Trị số lớn nhất của thành phần nằm ngang Q và của thành phần dọc N của lực nằm
ngang do sóng tác động lên ụ nổi hoặc bến phao có tàu đang neo cập ở bến đƣợc xác định
theo công thức sau:
                      Q   . 1..g.h. Angang

                      N   ..g.h. Adoc

Trong đó:      Angang, Adoc - đƣợc xác định nhƣ phần diện tích cản gió trên.
                - Hệ số lấy Theo 22 TCN 222 – 95 – Hình 32 trang 521 [2]
                1 - Hệ số lấy Theo 22 TCN 222 – 95 – Bảng 27 trang 522 [2]

      GVHD: Th.S. Dƣơng Thanh Quỳnh
      SVTH : Vũ Trọng Chung     -   MSSV : 273352                        -      Lớp 52CB3            74
ĐỒ ÁN TỐT NGHIỆP                 Thiết Kế Kỹ Thuật Bến Căn Cứ Đóng Mới Giàn Jacket Độ Sâu
                               .     Đến 95.7M Nước Hạ Thủy Bằng Phương Pháp Kéo Trượt


                    1 phụ thuộc vào tỉ số at/ trong đó :
                 at : Kích thƣớc nằm ngang lớn nhất của bề mặt chắn nƣớc theo chiều dọc
          của vật thể nổi, đƣợc xác định nhƣ hình dƣới đây:


                                                                  Lt=
                                                           160 m



       Ht=12                                                       a
,3 m                                                         t                                           T


                                                                 Lq=
                                                146m
                  Bảng 3.9: Bảng kết quả tính toán tải trọng sóng tác dụng lên tàu


  Trƣờng hợp           T       at (m)            ngang          doc          1     Q (kN)    N(kN)

       Đầy hàng        9       190.8               0,55          0,55     0,415      1485.71    527.06

   Không hàng         3,5          74.2            0,77          0,77     0,415       808.89    286.96



  3.3.1.4. Tải trọng do tựa tàu:
         - Theo tiêu chuẩn nghành 22TCN 222 – 1995 thì tải trọng phân bố q (KN/m) do tàu neo
  đậu ở bến tựa lên công trình dƣới tác động của song gió và dòng chảy đƣợc xác định theo công
  thức sau:

                                                 Qtot        Wngang  Q  Q
                                      q  1,1.         1,1.
                                                 Ld                 Ld

          Trong đó :

           Qtot : là lực ngang do tác động tổng hợp của sóng, gió, dòng chảy.

         GVHD: Th.S. Dƣơng Thanh Quỳnh
         SVTH : Vũ Trọng Chung     -   MSSV : 273352                           -    Lớp 52CB3     75
ĐỒ ÁN TỐT NGHIỆP                Thiết Kế Kỹ Thuật Bến Căn Cứ Đóng Mới Giàn Jacket Độ Sâu
                            .     Đến 95.7M Nước Hạ Thủy Bằng Phương Pháp Kéo Trượt


         Ld : là chiều dài đoạn tiếp xúc giữa tàu và công trình

      - Theo tiêu chuẩn nghành 22TCN 222 – 1995 thì chiều dài đoạn tiếp xúc giữa tàu và công
trình Ld chính là chiều dài đoạn thẳng tàu trong bảng số liệu các thông số về tàu.

        - Nhận thấy Lbến = 186 (m) > ld = 62 (m)suy ra:

        +) Tàu đầy hàng :          Ld = 62m

        +) Tàu không hàng : Ld = Ldk = 46m

        - Ta có Bảng tính toán tải trọng tựa tàu nhƣ sau:

                      Bảng 3.10: Kết quả tính toán tải trọng tựa tàu


                                                 Ld                  Qtot                 q
   TT          Trƣờng Hợp Tính
                                                (m)             (KN)                    (KN)
    1          Tàu đầy hàng                     62                2004.85               35.57
    2          Tàu không hàng                   46                1110.33               26.55


3.3.1.5. Tải trọng va tàu khi cập bến :

      - Theo tiêu chuẩn nghành 22TCN 222 – 1995. Khi tàu cập vào công trình bến cảng thì
động năng va của tàu Eq ( KJ) đƣợc xác định theo công thức:

                                                        Dv 2
                                               Eq  
                                                         2

   Trong đó:

               D : là lƣợng rẽ nƣớc của tàu tính toán (T), D = 20000T .

             v : là thành phần vuông góc ( với mặt trƣớc công trình) của tốc độ cập tàu, m/s, lấy
theo Bảng 29 Tiêu chuẩn nghành 22TCN 222 – 1995. Vói lƣợng rẽ nƣớc D = 20000T tra Bảng
29 ta có v = 0.12m/s.



     GVHD: Th.S. Dƣơng Thanh Quỳnh
     SVTH : Vũ Trọng Chung     -   MSSV : 273352                 -          Lớp 52CB3       76
ĐỒ ÁN TỐT NGHIỆP             Thiết Kế Kỹ Thuật Bến Căn Cứ Đóng Mới Giàn Jacket Độ Sâu
                         .     Đến 95.7M Nước Hạ Thủy Bằng Phương Pháp Kéo Trượt


              : là hệ số, lấy theo Bảng 30, trong đó nếu tàu cập bến là tàu rỗng hoặc tàu chỉ có
nƣớc đối trọng thì các giá trị của  lấy giảm đi 15%. Tra Bảng 30 ta đƣợc :  = 0.55

                                    20000.(0,11) 2
                  Vậy : Eq  0,55.                 66,55( KJ )
                                         2

   - Chọn loại đệm tàu V-1000H có các đặc điểm sau:

                    - Vật liệu và hình dạng : Cao su hình thang rỗng

                    - Phƣơng pháp treo : Liên kết cứng

                    - Chiều dài tiêu chuẩn : L = 3m

                    - Chiều cao : H = 1000 mm

                    - Trị số biến dạng giới hạn : x = 450mm

                    - Dung năng biến dạng : Ee = 78 kJ

                    - Phản lực : Fq = 225 kN

       - Theo quy tắc tra đồ thị: Tiêu chuẩn nghành 22TCN 222 – 1995. Hình 33: Sơ đồ dựng
đồ thị quan hệ giữa đọ biến dạng của thiết bị đệm (và công trình bến) ft với năng lượng va tàu
Eq và lực va tàu Fq .




       - Tra theo hƣớng của đƣờng nét đứt ở đồ thị trên với loại đệm V-1000H ta tra theo đồ
thị hình 9, phụ lục 6, chuẩn nghành 22TCN 222 – 1995. Ta có:

             +) Lực va tàu theo phƣơng vuông góc với mép bến là : Fq = 175 kN

             +) Thành phần lực song song với mép bến Fn của lực va khi tàu cập vào công trình
đƣợc xác định theo công thức:

     GVHD: Th.S. Dƣơng Thanh Quỳnh
     SVTH : Vũ Trọng Chung     -   MSSV : 273352              -    Lớp 52CB3        77
ĐỒ ÁN TỐT NGHIỆP             Thiết Kế Kỹ Thuật Bến Căn Cứ Đóng Mới Giàn Jacket Độ Sâu
                         .     Đến 95.7M Nước Hạ Thủy Bằng Phương Pháp Kéo Trượt


                                           Fn =  Fq

                  Fn = 0.5x175 = 87.5kN

    ( Với  là hệ số ma sát phụ thuộc vào vật liệu làm đệm tàu, cao su  = 0.5

                                                       260




                                     100
                               120                             120




                                                                        400
                      A
                                  220                  360   220
                                                       800



                                     Hình 3.10: Đệm Tàu V-1000H

3.3.1.6. Tải trọng neo tàu :

         - Theo tiêu chuẩn nghành 22TCN 222 – 1995 thì Lực neo đƣợc xác định bằng cách
phân phối thành phần vuông góc với mép bến của lực Q (kN). Lực Q bao gồm lực do gió và do
dòng chảy tác động lên một tàu tính toán.

         - Lực neo S (kN) tác động lên một bích neo không phụ thuộc vào số lƣợng tàu buộc
dây neo vào bích neo đó và đƣợc xác định theo công thức :

                                                    Qwt
                                           S
                                                nSin Cos

Trong đó:    Qwt : là hợp lực của lực gió và dòng chảy,

             n : là số bích neo chịu lực, đƣợc xác định theo Bảng 31- Tiêu chuẩn nghành
22TCN 222 – 1995, tra bảng ta có n = 4

             ,  : là góc nghiêng của dây neo, đƣợc xác định theo Bảng 32- Tiêu chuẩn
nghành 22TCN 222 – 1995 ta có:
     GVHD: Th.S. Dƣơng Thanh Quỳnh
     SVTH : Vũ Trọng Chung     -   MSSV : 273352                   -   Lớp 52CB3    78
ĐỒ ÁN TỐT NGHIỆP                 Thiết Kế Kỹ Thuật Bến Căn Cứ Đóng Mới Giàn Jacket Độ Sâu
                             .     Đến 95.7M Nước Hạ Thủy Bằng Phương Pháp Kéo Trượt

                                                                                        Sv
                       S




                                         sn                                                 BÝch
                                                                                            neo
                                                                              Sq



                                                    TuyÕn mÐp bÕn



                       Hình 3.11: Sơ đồ phân bố lực neo trên một bích neo

      Lực neo song song với mép bến : Sn = S.cos.cos

      Lực neo vuông góc với mép bến : Sq = S.sin.cos

      Lực nhổ của dây neo: Sv =S.sin

             Bảng 3.11: Tính giá trị hình chiếu các ngoại lực lên dây neo

                                                           Góc nghiêng của dây neo, độ.
 Loại tàu     Vị trí bích neo
                                                                                     β, độ
                                         α, độ
                                                        Tàu đầy hàng                     Tàu không hàng
 Tàu biển      Tại mép bến                30                     20                                 40


             Bảng 3.12 : Tính giá trị hình chiếu các ngoại lực lên dây neo
                                          TẢI TRỌNG NEO TÀU
  Trƣờng hợp          α(˚)        β(˚)           Qt, (kN)        S (kN)       Sn (kN)        Sq (kN)     Sv (kN)
                                          n
   Đầy hàng          30            40     4      2004.85         1066.8       868.12         501.21       364.85
  Không hàng         30            20     4      1110.33         724.71       480.78         277.58       465.83

Nhận xét :

 Tải trọng neo tàu khi chƣa có hàng (S=27,76 (Tấn)) nhỏ hơn tải trọng neo tàu khi đầy
hàng (S=50,1 (Tấn)), do đó dùng giá trị S = 50,1 (Tấn) để chọn bích neo tàu.

     GVHD: Th.S. Dƣơng Thanh Quỳnh
     SVTH : Vũ Trọng Chung     -   MSSV : 273352                          -        Lớp 52CB3             79
ĐỒ ÁN TỐT NGHIỆP               Thiết Kế Kỹ Thuật Bến Căn Cứ Đóng Mới Giàn Jacket Độ Sâu
                           .     Đến 95.7M Nước Hạ Thủy Bằng Phương Pháp Kéo Trượt


Tra bảng 11.3 công trình bến cảng, chọn loại bích neo HW70 để bố trí trên bến.

                       Bảng 3.13: Thông số neo HW70

                                                                                           Lực
              A        B           C       D       E       F       G       H         Số
    Loại                                                                                   căng
                                                                                    hiệu
    bích           m           m       m       m       m       m       m         m bulon
                                                                                           Tấn
              m        m           m       m       m       m       m       m

   HW70      629    990          990    712    381     534     305         95       7      70




                                       Hình 3.12: Bích Neo HW 70



     GVHD: Th.S. Dƣơng Thanh Quỳnh
     SVTH : Vũ Trọng Chung     -   MSSV : 273352                       -       Lớp 52CB3    80
ĐỒ ÁN TỐT NGHIỆP             Thiết Kế Kỹ Thuật Bến Căn Cứ Đóng Mới Giàn Jacket Độ Sâu
                         .     Đến 95.7M Nước Hạ Thủy Bằng Phương Pháp Kéo Trượt


3.4 Tổng hợp kết quả tính toán tải trọng lớn nhất do tàu tác dụng
   Tải trọng lớn nhất do tàu tác dụng lên công trình ghi theo bảng sau :
   Tải trọng do tàu tác dụng lên công trình
             Bảng 3.13 - Tổng hợp kết quả lớn nhất do tàu tác dụng

        TT                         Hạng mục                       Đơn vị   Kết quả

         1      Tải trọng tựa tàu                                  T/m       3.56

         2      Tải trọng neo tàu

                Lực căng dây neo S                                  T       106.67

                Thành phần vuông góc với mép bến Sq                 T        50.1

                Thành phần song song với mép bến Sn                 T       86.81

                Thành phần thẳng đứng với mặt bến Sv                T       36.48

         3      Tải trọng va tàu

                Thành phần vuông góc với mép bên Fq                 T           175

                Thành phần song song với mép bến Fn                 T        87.5




     GVHD: Th.S. Dƣơng Thanh Quỳnh
     SVTH : Vũ Trọng Chung     -   MSSV : 273352              -     Lớp 52CB3         81
ĐỒ ÁN TỐT NGHIỆP            Thiết Kế Kỹ Thuật Bến Căn Cứ Đóng Mới Giàn Jacket Độ Sâu
                        .     Đến 95.7M Nước Hạ Thủy Bằng Phương Pháp Kéo Trượt


4.TÍNH TOÁN KẾT CẤU

4.1 Chiều dài tính toán của cọc
- Sơ đồ tính là sơ đồ dầm, bản không gian trên nền cọc




                                   Hình 4.1: Sơ đồ tính toán bến

   Chiều dài cọc tính toán,theo tiêu chuẩn thiết kế cảng biển 22-TCN207-92
                                     l = Ho ± hgd + hz
   ptc hƣớng vào bến nên hgd lấy dấu „-„




     GVHD: Th.S. Dƣơng Thanh Quỳnh
     SVTH : Vũ Trọng Chung     -   MSSV : 273352             -     Lớp 52CB3       82
ĐỒ ÁN TỐT NGHIỆP             Thiết Kế Kỹ Thuật Bến Căn Cứ Đóng Mới Giàn Jacket Độ Sâu
                         .     Đến 95.7M Nước Hạ Thủy Bằng Phương Pháp Kéo Trượt



                             P

                                                      Ho

                                                               

                                           ltt
                                                     hgd


                                                      hz




                   Hình 3.12 – Sơ đồ tính Chiều dài tính toán của cọc


                                       l = Ho − hgd + hz
  Với
  Ho: Chiều dài từ tâm dầm ngang đến mái dốc
  hgd : Chiều cao từ mái dốc đến mặt phẳng nằm ngang giả định.
  hz : Độ sâu tính toán của điểm ngàm giả định
                                         hz = 0,82h′z +hz
  h′z : Độ sâu điểm ngàm giả định
  hz: Gia số độ sâu, trƣờng hợp này, hz=0

                                       2K n . nc . n. mđ . P
                              h′ z =                         + co − c o
                                                                2
                                        γtc . m . D. mn

  Kn: Hệ số đảm bảo, xét đến tầm quan trọng và cấp công trình, kn =1,25
  nc: Hệ số tổ hợp tải trọng, nc=1
  n: hệ số vƣợt tải, với công trình bến cảng lấy n=1,25
  mđ : Hệ số phụ thuộc điều kiện làm việc, mđ = 1,15
  P : Lực ngang tác dụng lên cọc
  γtc : dung trọng đất
  m : Hiệu số các hệ số áp lực bị động và áp lực chủ động khi mặt đất nằm ngang.
    GVHD: Th.S. Dƣơng Thanh Quỳnh
    SVTH : Vũ Trọng Chung     -   MSSV : 273352                     -     Lớp 52CB3   83
ĐỒ ÁN TỐT NGHIỆP            Thiết Kế Kỹ Thuật Bến Căn Cứ Đóng Mới Giàn Jacket Độ Sâu
                        .     Đến 95.7M Nước Hạ Thủy Bằng Phương Pháp Kéo Trượt


                m = p − n = tg2 450 + 0,5φ − tg2 (450 − 0,5φ)
  D: Đƣờng kính ngoài của cọc
  φ : Góc ma sát trong của đất nền
  c: Lực dính đơn vị của đất nền
                                                   c
                                      co =
                                             mn . γtc . tgφ
  mn : Hệ số tăng lực kháng của đất do sự chịu lực theo không gian của cọc
  Chọn hz = 2 ÷ 3 D
                                              8h3 − (2hz + D − L)3
                                                z
                        mn = 1 + 0,041
                                                      Dh2z

  L: Khoảng cách giữa tim hai cọc gần nhất

                                                       m
                                    hgd = hz 1 −
                                                       mθ

  mθ : Hiệu số các hệ số áp lực bị động và áp lực chủ động với mặt đất nằm nghiêng.
                                                        1                  1
                 mθ = pθ − nθ = cos 2 φ                     2 −              2
                                                   1− z              1+ z
                                        sinφsin⁡ + θp )
                                               (φ
                                   z=
                                             cosθp
  θ: Góc nghiêng mái dốc
                                        θp = θcosφ
*Phân đoạn không đƣờng trƣợt :
          Bảng 4.1 –Chiều dài cọc tính toán phân đoạn không đường trượt
            Hàng A     Hàng B        Hàng C       Hàng D       Hàng E          Hàng F     Hàng G
   H0        14,49      12,51         10,97          9,26           6,16           3,05    2,2
    ltt      20,49      18,51         16,97         15,26       12,16              9,05    8,2




    GVHD: Th.S. Dƣơng Thanh Quỳnh
    SVTH : Vũ Trọng Chung     -   MSSV : 273352                     -      Lớp 52CB3        84
ĐỒ ÁN TỐT NGHIỆP          Thiết Kế Kỹ Thuật Bến Căn Cứ Đóng Mới Giàn Jacket Độ Sâu
                      .     Đến 95.7M Nước Hạ Thủy Bằng Phương Pháp Kéo Trượt




*Phân đoạn có đƣờng trƣợt :




    GVHD: Th.S. Dƣơng Thanh Quỳnh
    SVTH : Vũ Trọng Chung     -   MSSV : 273352            -    Lớp 52CB3        85
ĐỒ ÁN TỐT NGHIỆP                 Thiết Kế Kỹ Thuật Bến Căn Cứ Đóng Mới Giàn Jacket Độ Sâu
                             .     Đến 95.7M Nước Hạ Thủy Bằng Phương Pháp Kéo Trượt


                 Bảng 4.2 –Chiều dài cọc tính toán phân đoạn có đường trượt


           Hàng      Hàng    Hàng        Hàng    Hàng    Hàng    Hàng     Hàng    Hàng       Hàng
             A        B           C       D       E        F       G        H         I          K
 H0        17.09     15.78   14.45      13.57    12.89   10.83   8.76      6.69      4.80    4.8
  ltt      20.09     18.78   17.45      16.57    15.89   13.83   11.76     9.69      7.80    7.80



4.2 Tổ hợp tải trọng
    Phần mềm sử dụng là SAP2000
    Để xác định nội lực của các cấu kiện, sử dụng chƣơng trình SAP2000 Nonlinear
Version 7.42, phần mềm này dùng phƣơng pháp phần tử hữu hạn giải quyết các bài toán
tĩnh, động, tuyến tính, phi tuyến, phẳng và không gian.
    Công trình đƣợc mô hình hóa là hệ không gian kể đến sự làm việc đồng thời của cọc,
dầm, bản. Các cấu kiện đƣợc mô tả nhƣ sau:
    Cọc đƣợc mô tả bằng phần tử FRAME với tiết diện hình tròn
    Dầm đƣợc mô tả bằng phân tử FRAME với tiết diện hình chữ nhật
    Bản đƣợc mô tả bằng phần tử SHELL

   * Tổ hợp tải trọng cơ bản :
      Bao gồm tải trọng thƣờng xuyên , tải trọng tạm thời tác động kéo dài , cùng với một
trong số các tải trọng tạm thời tác động nhanh. Căn cứ vào tổ hợp tải trọng cơ bản ta có
hai tổ hợp tải trọng tính toán nhƣ sau :
             Tổ hợp 1: Tải trọng bản thân cầu tàu + tải do hàng hoá xếp trên bến + tải trọng
        do cần trục + tải do neo tàu.
             Tổ hợp 2: Tải trọng bản thân cầu tàu + tải do hàng hoá xếp trên bến + tải trọng
        do cần trục + tải do va tàu.
             Tổ hợp 3: Tải trọng bản thân cầu tàu + tải do hàng hoá xếp trên bến + tải
        trọng do cần trục + tải do tựa tàu.
             Tổ hợp 4: Bao gồm tổ hợp của 3 tổ hợp tải trọng trên.

        GVHD: Th.S. Dƣơng Thanh Quỳnh
        SVTH : Vũ Trọng Chung     -   MSSV : 273352               -      Lớp 52CB3          86
ĐỒ ÁN TỐT NGHIỆP               Thiết Kế Kỹ Thuật Bến Căn Cứ Đóng Mới Giàn Jacket Độ Sâu
                           .     Đến 95.7M Nước Hạ Thủy Bằng Phương Pháp Kéo Trượt

  TH    1    2    3    4        5    6    7    8    9    10   11   12       13    14   15   16   17   18    19   20

  BT    X    X    X    X        X    X    X    X    X    X    X    X        X     X    X    X    X     X    X    X

 NEO    X         X    X        X    X    X    X    X    X    X    X        X     X    X    X    X     X    X    X

  VA         X

 CT1                                                               X        X     X    X    X    X     X    X    X

 CT2                                                               X        X     X    X    X    X     X    X    X

 HH1                   X        X    X    X    X                            X     X    X    X    X

 HH2                                 X         X         X    X                   X              X          X    X

 HH3                                 X    X         X                                  X    X          X

 HH4                                                X    X    X                                        X    X    X

 HH5                                      X    X                                            X    X

 HH6                                           X              X                                  X               X

 HH7                                      X         X                                       X          X

 HH8                                                X         X                                        X         X




  TH    21   22   23   24       25   26   27   28   29   30   31   32       33    34   35   36   37    38   39   40

  BT    X    X    X    X         X   X    X    X    X    X    X    X        X     X    X     X   X     X    X    X

 NEO

  VA

MOVING X     X    X    X         X   X    X    X    X

  CT1                                                    X    X    X        X     X    X     X   X     X    X    X

  CT2                                                    X    X    X        X     X    X     X   X     X    X    X


    GVHD: Th.S. Dƣơng Thanh Quỳnh
    SVTH : Vũ Trọng Chung     -   MSSV : 273352                         -        Lớp 52CB3            87
ĐỒ ÁN TỐT NGHIỆP                Thiết Kế Kỹ Thuật Bến Căn Cứ Đóng Mới Giàn Jacket Độ Sâu
                            .     Đến 95.7M Nước Hạ Thủy Bằng Phương Pháp Kéo Trượt

  HH1         X    X    X         X   X                    X   X       X    X   X                       X

  HH2              X                  X       X    X           X                X               X   X   X

  HH3                   X         X       X                            X    X          X                X

  HH4                                     X   X    X                                            X   X   X

  HH5                             X   X                                     X   X                           X

  HH6                                 X            X                            X                   X       X

  HH7                                 X       X                                 X          X                X

  HH8                                     X        X                                       X        X       X




5. TÍNH TOÁN CÁC CẤU KIỆN

5.1 Phân đoạn không đƣờng trƣợt

5.1.1 Kết quả nội lực
- Kết quả nội lực đƣợc thể hiện phụ lục 1

5.1.2Tính toán bê tông côt thép cấu kiện

5.1.2.1 Tài liệu tính toán và tiêu chuẩn thiết kế
    -Tính toán BTCT các kết cấu công trình tuân theo TCVN-4116-85,TCXDVN327-
2005,TCXDVN356-2005.
    -Bản dùng bêtông M400, cốt thép AI,AII
    -Cọc dùng cọc khoan nhồi D1000
    -TCVN 222-92
    -Chiều rộng mở rộng vết nứt cho phép [ a] = 0,08mm



     GVHD: Th.S. Dƣơng Thanh Quỳnh
     SVTH : Vũ Trọng Chung     -   MSSV : 273352                   -       Lớp 52CB3           88
ĐỒ ÁN TỐT NGHIỆP                Thiết Kế Kỹ Thuật Bến Căn Cứ Đóng Mới Giàn Jacket Độ Sâu
                            .     Đến 95.7M Nước Hạ Thủy Bằng Phương Pháp Kéo Trượt


5.1.2.2 Nguyên tắc tính toán

 Tính toán cấu kiện BTCT theo TTGH I: Độ bền
-   Tính toán trên tiết diện thẳng góc
     Cấu kiện chịu uốn, tiết diện chữ nhật, chiều cao vùng BT chịu nén X là:

                                                          2.k n .n c .M
                                 X = h0 -      h0 
                                                2

                                                           m b .R n .b

      Trong đó:

          mb : Hệ số điều kiện làm việc của bê tông.

               Cấu kiện có chiều cao sƣờn nhỏ hơn 60cm, mb = 1,0

               Cấu kiện có chiều cao sƣờn lớn hơn hoặc bằng 60cm, mb = 1,15

          ho : Chiều cao làm việc của tiết diện, ho = h - a

          h : Chiều cao tiết diện tính toán

          a : Khoảng cách từ trọng tâm cốt thép chịu kéo đến cạnh gần nhất của tiết
          diện tính toán.

          b : Chiều rộng của tiết diện tính toán.

          M : Mômen tính toán tại tiết diện, M = n.Mo

               Với Mo là giá trị mômen nội lực trong cấu kiện.

    Nếu X < 2a' và <R: Tính toán với tiết diện đặt cốt đơn, diện tích thép chịu kéo Fa là
:

                                        mb .Rnp .b
                                 Fa =                .X
                                         ma .Ra



      GVHD: Th.S. Dƣơng Thanh Quỳnh
      SVTH : Vũ Trọng Chung     -   MSSV : 273352                         -   Lớp 52CB3   89
ĐỒ ÁN TỐT NGHIỆP              Thiết Kế Kỹ Thuật Bến Căn Cứ Đóng Mới Giàn Jacket Độ Sâu
                          .     Đến 95.7M Nước Hạ Thủy Bằng Phương Pháp Kéo Trượt


     Trong đó :

            a' : Khoảng cách từ trọng tâm cốt thép chịu nén đến cạnh gần nhất của tiết
              diện tính toán .

               , R: Chiều cao tƣơng đối vùng chịu nén của bê tông .

              ma :Hệ số điều kiện làm việc của cốt thép.

              Khi số thanh thép nhỏ hơn 10, ma = 1.1.

              Khi số thanh thép lớn hơn hoặc bằng 10, ma = 1.15.

  Nếu 2a'  X R . ho: Tính với tiết diện cốt kép.

  Khi biết Fa':

                                         2.k n .n c .M  m a .R an .Fa' h 0  a '
                      X = h0 -       h 
                                       2
                                       0
                                                        m b .R n .b

                               m b .R np .b.X  m a .R an .Fa'
                       Fa =
                                           m a .R a

  Nếu chƣa biết Fa' , bố trí thép đối xứng thì:

                                           k n .n c .M
                       Fa = Fa' =
                                      m a .R a .(h 0  a ' )

  Nếu X >R.ho: Tăng kích thƣớc tiết diện, hoặc tăng Mác bê tông và tính lại.

- Tính toán trên tiết diện nghiêng

   Kiểm tra điều kiện đảm bảo BT không bị phá hoại trên tiết diện nghiêng:

                                      kn.nc.Q  0,25.mb3.Rnp.b.ho

   Trong đó
     GVHD: Th.S. Dƣơng Thanh Quỳnh
     SVTH : Vũ Trọng Chung     -   MSSV : 273352                       -     Lớp 52CB3   90
ĐỒ ÁN TỐT NGHIỆP             Thiết Kế Kỹ Thuật Bến Căn Cứ Đóng Mới Giàn Jacket Độ Sâu
                         .     Đến 95.7M Nước Hạ Thủy Bằng Phương Pháp Kéo Trượt


          Q là lực cắt tính toán.

          Q = n . Qo (với Qo là lực cắt trong kết cấu).

  Nếu không thoả mãn phải tăng kích thƣớc tiết diện hoặc tăng mác bê tông.

  Nếu thoả mãn thì tính kiểm tra điều kiện làm việc trên tiết diện nghiêng.

  Kiểm tra điều kiện bê tông đủ khả năng chịu lực cắt, không cần phải tính toán cốt
ngang

                                                       2
                                            k.R k .b.h 0
                              kn.nc.Q  mb.
                                                C

   Trong đó:

                                     h0                         2.R a .Fa
                              C=        ; k = 0,5 + 2. = 0,5 +
                                    tg                         b.h 0 .R np

                                         2
                              tg =                và 0,5  1,5
                                          M tt
                                      1
                                         Q tt .h 0

  Nếu không thoả mãn điều kiện trên, phải tính toán cấu kiện đặt cốt ngang.

  Tính toán cốt đai khi không đặt cốt xiên:

                                                             2
                              Qxb = 2 k . m b . R p . b . h 0 . q x


                                               2.R a .Fa
               với   k = 0,5 + 2. = 0,5 +
                                               b.h 0 .R np

                                                                            2
                                  m a . R ax . Fx           m b .k.R k .b.h 0
                             qx =                 và Umax =
                                        u                      k n .n c .Q

    GVHD: Th.S. Dƣơng Thanh Quỳnh
    SVTH : Vũ Trọng Chung     -   MSSV : 273352                       -   Lớp 52CB3   91
ĐỒ ÁN TỐT NGHIỆP                Thiết Kế Kỹ Thuật Bến Căn Cứ Đóng Mới Giàn Jacket Độ Sâu
                            .     Đến 95.7M Nước Hạ Thủy Bằng Phương Pháp Kéo Trượt


    Tính toán cốt ngang:

                      kn . nc . Q1 ma . Rax . Fx + ma . Rax . Fo . sin  + mb . Qb

                Q1 = Q - Qo + W . Cos

-   Tính toán cấu kiện chịu nén cục bộ
    Điều kiện tính toán:

                                 kn. nc . N cm . mb . Rem . Fem

      Trong đó:

          N : Tải trọng nén cục bộ.

          em: Hệ số, cm = 1: Khi tải trọng cụ bộ là phân bố đều trên diện chịu nén.

           cm = 0,75 :Khi tải trọng cục bộ phân bố không đều trên diện chịu ép.

          Rem: Cƣờng độ chịu ép mặt của bê tông.

                                                        Ft
                                        Rem = R np .3
                                                        Fem

          Fem : Diện tích ép mặt, chân đế cần trục 30 x 30cm.

-   Tính toán ép lõm (chọc thủng)
    Kết cấu bản bê tông cốt thép không có cốt ngang, điều kiện tính toán:

                           kn . nc . P  mb . Rk . btb . h0

    Trong đó:

            P : Lực ép lõm (chọc chủng tính toán), P = n . P0

            btb: Trị số trung bình của chu vi phía trên và phía dƣới tháp ép lõm trong
            phạm vi chiều cao h0, góc nghiêng của mặt hông tháp ép lõm là = 450.
      GVHD: Th.S. Dƣơng Thanh Quỳnh
      SVTH : Vũ Trọng Chung     -   MSSV : 273352                   -   Lớp 52CB3       92
ĐỒ ÁN TỐT NGHIỆP             Thiết Kế Kỹ Thuật Bến Căn Cứ Đóng Mới Giàn Jacket Độ Sâu
                         .     Đến 95.7M Nước Hạ Thủy Bằng Phương Pháp Kéo Trượt


 Tính toán cấu kiện BTCT theo TTGH II: Độ mở rộng vết nứt

  Độ mở rộng vết nứt cho phép [an] = 0.08mm

  Chiều dày lớp bảo vệ cốt thép ao:

             ao 50 mm đối với cốt chịu lực.

             ao 30 mm đối với cốt phân bố và cốt đai.

  Độ mở rộng vết nứt an:

                                a   bd
                an = k.Cd..              .7(4 - 100). d (mm)
                                   Ea

  Điều kiện tính toán : an [ an ]

    Trong đó:

        k : Hệ số, đƣợc lấy nhƣ sau:

        Cấu kiện chịu uốn, nén lệch tâm, k = 1.0; Cấu kiện chịu kéo trung tâm và lệch
        tâm, k = 1.2; Cấu kiện bố trí nhiều lớp thép, k = 1.2.

        Cd : Hệ số tải trọng, với tải trọng tạm thời ngắn hạn lấy C d = 1.0; Với tải trọng
        thƣờng xuyên và tải trọng tạm thời dài hạn lấy Cd = 1.3.

         : Hệ số cốt thép: Đối với cốt thép thanh có gờ,  = 1.0; Đối với cốt thép
        thanh trơn,  = 1.4; Đối với cốt thép sợi có gờ,  = 1.2; sợi trơn  = 1.5.

        a : ứng suất kéo của cốt thép.
                               M                  x
                     a            với Z  h 0 
                              Fa .Z               2
        o : ứng suất kéo ban đầu của thép.
         : Hàm lƣợng cốt thép trong cấu kiện, =Fa/b.ho.

    GVHD: Th.S. Dƣơng Thanh Quỳnh
    SVTH : Vũ Trọng Chung     -   MSSV : 273352               -    Lớp 52CB3          93
ĐỒ ÁN TỐT NGHIỆP              Thiết Kế Kỹ Thuật Bến Căn Cứ Đóng Mới Giàn Jacket Độ Sâu
                          .     Đến 95.7M Nước Hạ Thủy Bằng Phương Pháp Kéo Trượt


         d : Đƣờng kính cốt thép, trƣờng hợp có nhiều loại thép thì d đƣợc tính theo biểu
            thức sau:
                              m

                          n d
                          i 1
                                   i
                                       2
                                       i
                     d=    m

                          n d
                          i 1
                                   i   i



         di : Đƣờng kính của thanh thép thứ i

         ni : Số thanh thép có đƣờng kính là i

         m : Số đƣờng kính khác nhau của thanh thép trong tiết diện

5.1.3 Tính toán và kiểm tra ổn định
   Cũng nhƣ các loại công trình bến khác, bến đƣợc kiểm tra ổn định sâu theo 1 trong 2
phƣơng pháp: Phƣơng pháp trƣợt cung tròn và Mặt trƣợt gẫy khúc.
   Đối với cầu tàu ổn định đƣợc tạo bởi ma sát giữa các cọc với đất và trong thành phần
gây tạo ổn định bao giờ có lực cắt của cọc.
   Tính ổn định trƣợt sâu theo phƣơng pháp trƣợt cung tròn.
   Công thức kiểm tra:
                                  kn.nc.n.mđ.Mtr< m.Mg
   Trong đó:

     kn : Hệ số tin cậy phụ thuộc vào cấp công trình.
     Đối với công trình cấp III : kn = 1,15
     nc : Hệ số tổ hợp tải trọng,với tải trọng cơ bản,nc = 1
     mđ: Hệ số điều kiện làm việc bổ sung phụ thuộc vào đặc điểm khi tính trƣợt cung
tròn theo bài toán phẳng mđ = 0,75
     m: Hệ số điều kiện làm việc m = 1,15
     n: Hệ số vƣợt tải n = 1,25
     Mg Tổng mô men giữ (tổng mô men của các lực chống trƣợt)

     GVHD: Th.S. Dƣơng Thanh Quỳnh
     SVTH : Vũ Trọng Chung     -   MSSV : 273352               -    Lớp 52CB3        94
ĐỒ ÁN TỐT NGHIỆP              Thiết Kế Kỹ Thuật Bến Căn Cứ Đóng Mới Giàn Jacket Độ Sâu
                          .     Đến 95.7M Nước Hạ Thủy Bằng Phương Pháp Kéo Trượt


                       Mg = R[gicos itg i + cili + Qci]
     Mtr : Tổng mô men của các lực gây trƣợt
     Mtr = RgisinI
     ci : Lực dính của đất nền nằm ở đáy cung trƣợt của dải thứ i.
     Qi : Lực chống cắt của cấu kiện bị cắt qua
      li : Chiều dài đoạn cung ở đáy cột thứ i.
       i : Góc nghiêng của bán kính trƣợt qua điểm giữa đáy của dải thứ i.
     Ta đƣa công thức kiểm tra về dạng sau:
                              Kn< mMg./(Mtr.nc.mđ)
       Đặt kn* = mMg./(Mtr.nc.mđ)
      Tính kn* cho một số cung trƣợt khác nhau và so sánh để chọn ra kn*min để so sánh
mức độ ổn định của công trình.

5.1.3.1Xác định lực cắt cọc
   Xác định lực cắt cọc theo điều 13.20-22TCN 207-92:
                         Qi = (4Mc)/(tz.L)
   Trong đó:
               L: Khoảng cách cọc theo tuyến mép bến.
               Mc: Mô men uốn của cọc khi cọc bị cắt.

                         Mc= (p - a).lc.lz2/8
               tz : Nửa chiều dài đoạn cọc bị uốn giữa 2 mặt phẳng ngàm
               lc : Chiều dài đoạn thẳng mà trong phạm vi đó áp lực chủ động và áp lực bị
               động của đất của đất truyền lên cọc.
                        lc = L      khi L  3d
                        lc = 3dc khi L > 3d
               dc= 1m : đƣờng kính cọc.
                lc = 3.1 = 3 m.
     GVHD: Th.S. Dƣơng Thanh Quỳnh
     SVTH : Vũ Trọng Chung     -   MSSV : 273352               -    Lớp 52CB3        95
ĐỒ ÁN TỐT NGHIỆP               Thiết Kế Kỹ Thuật Bến Căn Cứ Đóng Mới Giàn Jacket Độ Sâu
                           .     Đến 95.7M Nước Hạ Thủy Bằng Phương Pháp Kéo Trượt


              p : áp lực bị động của đất.
              a : áp lực chủ động của đất.
                        tz = tn/1,25
              tn :Khoảng cách từ mặt trƣợt đến chân cọc.
     a = (qtc + tc.hi). a - c.ac
              c: Lực dính của đất.
   Lực cắt cọc đƣợc tính cùng với kiểm tra ổn định trƣợt sâu của đất.

5.1.3.2Xác định vị trí tâm trƣợt nguy hiểm

   + Đƣa cao trình mặt bến và cao trình đáy bến tƣơng ứng có điểm A và B.
   + Từ điểm A lấy xuống một đọan bằng cao trình đáy bến .
   + Kẻ tiếp 1 đƣờng thẳng có chiều dài 4,5H = 66,15 m. (điểm D).
   + Từ điểm D kẻ 1 đƣờng thẳng nối với điểm A . Khi đó các tâm trƣợt sẽ nằm trên
đƣờng thẳng này.
   + Từ C (trung điểm của AB) kẻ đƣờng thẳng đứng cắt BD kéo dài tại O1 ta đƣợc 1
tâm trƣợt
   + Từ O1 kẻ một cung tròn có bán kính O1B ta đƣợc cung trƣợt nguy hiểm
   Vậy: R = 30 m

5.1.3.3Kiểm tra ổn định trƣợt sâu
   Kiểm tra ổn định trƣợt sâu theo công thức:
                                        m
                     Nc.n.Mtr.mđ<          .Mg
                                        Kn

   Tiến hànhkiểm tra ổn định với tâm trƣợt O1 :




     GVHD: Th.S. Dƣơng Thanh Quỳnh
     SVTH : Vũ Trọng Chung     -   MSSV : 273352                -    Lớp 52CB3        96
ĐỒ ÁN TỐT NGHIỆP            Thiết Kế Kỹ Thuật Bến Căn Cứ Đóng Mới Giàn Jacket Độ Sâu
                        .     Đến 95.7M Nước Hạ Thủy Bằng Phương Pháp Kéo Trượt



                                          O2
                                           x
                                      O


                                     O1   y




5.1.3.4Kết quả kiểm tra ổn định
    Kết quả tính toán đƣợc thể hiện ở phần Phụ Lục 1

        Mg = R[Σ gicosa itgj i + Σ cili + Σ Qci] =2321.1

        Mtr = R Σ gisinaI =674.55

        kn = Mg/ Mtr =3.4

        Kết luận:kết cấu đảm bảo ổn định


5.1.4 Kiểm tra sức chịu tải của cọc
   Sức chịu tải của cọc đƣợc kiểm tra theo điều kiện :

                         P≥Q.a

   Trong đó : Q.a - Sức chịu tải cho phép của cọc (T)

                P - Lực nén trong cọc lớn nhất tại mũi cọc (T)

5.1.4.1Xác định sức chịu tải cho phép của cọc
   Sức chịu tải cho phép của cọc theo vật liệu làm cọc và theo đất nền.


     GVHD: Th.S. Dƣơng Thanh Quỳnh
     SVTH : Vũ Trọng Chung     -   MSSV : 273352             -    Lớp 52CB3        97
ĐỒ ÁN TỐT NGHIỆP                Thiết Kế Kỹ Thuật Bến Căn Cứ Đóng Mới Giàn Jacket Độ Sâu
                            .     Đến 95.7M Nước Hạ Thủy Bằng Phương Pháp Kéo Trượt


      Kết quả thể hiện trong phần Phụ Lục 1 sức chịu tải của cọc.

5.1.4.2Xác định lực nén trong cọc
      Lực nén trong cọc lớn nhất tại mũi cọc đƣợc tính toán :
                P=P1 +P2 (T)
      Với : P1- Lực nén lớn nhất trong cọc tính theo phần mềm SAP 2000(T).
            P2- Trọng lƣợng bản thân cọc
      Kết quả Tính toán lực nén trong cọc đƣợc thể hiện trong bảng phụ lục1.
      Sức chịu nén của cọc theo đất nền
                Pn =Ф/ Ktc =469.10T
      Sức chịu tải cọc theo vật liệu làm cọc
                P =Ra.Fa+ Rnp.Fb =1482.50T
       Nội lực tính toán:
                N max = 246,70T
                N tt = kn.nc.n.mđ.Nmax + G= 386,875T
       Kết luận: cọc đảm bảo sức chịu tải theo đất nền
5.2      Thiết kế phân đoạn có đƣờng trƣợt
5.2.1 Kết quả nội lực
- Kết quả nội lực đƣợc thể hiện phụ lục 2

5.2.2 Tính toán cấu kiện bê tông cốt thép
- Kết quả tính toán đƣợc thể hiện ở phần phụ lục 2.

5.2.3Tính toán và kiểm tra ổn định
      Kết quả tính toán đƣợc thể hiện ở phần phụ lục 2.

           Mg = R[Σ gicosa itgj i + Σ cili + Σ Qci] =2321.1 Tm

           Mtr = R Σ gisinaI = 674.55 Tm


       GVHD: Th.S. Dƣơng Thanh Quỳnh
       SVTH : Vũ Trọng Chung     -   MSSV : 273352               -    Lớp 52CB3        98
ĐỒ ÁN TỐT NGHIỆP                Thiết Kế Kỹ Thuật Bến Căn Cứ Đóng Mới Giàn Jacket Độ Sâu
                            .     Đến 95.7M Nước Hạ Thủy Bằng Phương Pháp Kéo Trượt


           kn = Mg/ Mtr= 3.4

      Kết luận: Đảm bảo ổn định trƣợt sâu

5.2.4Kiểm tra sức chịu tải của cọc
      Kết quả kiểm tra đƣợc thể hiện ở phần phụ lục 2 sức chịu tải của cọc.
      Sức chịu nén của cọc theo đất nền
                Pn =Ф/ Ktc = 315.14T
      Sức chịu tải cọc theo vật liệu làm cọc
                P =Ra.Fa+ Rnp.Fb = 543.004 T
      Nội lực tính toán:
                N max = 146,910T
                N tt = kn.nc.n.mđ.Nmax + G= 189,61T
      Kết luận: Cọc đảm bảo sức chịu tải theo đất nền
5.3      Thiết kế phân đoạn tƣờng góc sau bến
5.3.1 Tính toán nội lực
5.3.1.1.Sơ đồ và phƣơng pháp tính

- Sơ đồ tính là sơ đồ bản không gian trên nền cọc

- Phần mềm sử dụng SAP2000

5.3.1.2 Tải trọng lựa chọn tính toán

- Tải trọng bản thân ( Do phần mềm tự tính )

- Tải trọng do cần trục 750T

 Khi cần trục chạy vuông góc với mép bến
   + Tải trọng tác dụng lên bản mặt tƣờng góc :

                     1 = q.tg2(450-/2)

        Trong đó :
        GVHD: Th.S. Dƣơng Thanh Quỳnh
        SVTH : Vũ Trọng Chung     -   MSSV : 273352              -    Lớp 52CB3        99
ĐỒ ÁN TỐT NGHIỆP                 Thiết Kế Kỹ Thuật Bến Căn Cứ Đóng Mới Giàn Jacket Độ Sâu
                             .     Đến 95.7M Nước Hạ Thủy Bằng Phương Pháp Kéo Trượt


        q : Tải trọng phân bố do cần trục (q = 25T/m2)

         : Góc ma sát trong của lớp cát lấp ( =30 0)

     Khi đó :        1 = q.tg2(450-/2) =25.tg2(450-30/2) = 8,32T/m2




     + Tải trọng tác động lên bản đáy tƣờng góc :

                                            25.10.1,5
                    2                                                    6.7T / m2
                           1,5  2.2,5.tg (30 )  . 10  2,5.tg (30 ) 
                           
                                              0
                                                  
                                                                     0
                                                                        

 Khi cần trục chạy song song với mép bến
       + TH1 : Khi cần trục chạy sát mép tƣờng góc :

                     1 = q.tg2(450-/2)

        Trong đó :

                     q : Tải trọng phân bố do cần trục (q = 15 T/m2)

                      : Góc ma sát trong của lớp cát lấp ( =30 0)

            Khi đó : 1 = q.tg2(450-/2) =15.tg2(450-30/2) = 5,00 T/m2

        -     Tải trọng tác động lên bản đáy tƣờng góc :
                                             15.10.1,5
                     2                                                    4.1T / m2
                            1,5  2.2,5.tg (30 )  . 10  2,5.tg (30 ) 
                            
                                               0
                                                   
                                                                      0
                                                                         

        + TH2 : Khi cần trục không chạy sát mép tƣờng góc :

        -     Tải trọng tác động lên bản đáy tƣờng góc :

                                              25.10.1,5
                     2                                                      6.7T / m2
                            1,5  2.2,5.tg (30 )  . 10  2.2,5.tg (30 ) 
                            
                                               0
                                                   
                                                                        0
                                                                           
     GVHD: Th.S. Dƣơng Thanh Quỳnh
     SVTH : Vũ Trọng Chung     -   MSSV : 273352                        -     Lớp 52CB3    100
ĐỒ ÁN TỐT NGHIỆP              Thiết Kế Kỹ Thuật Bến Căn Cứ Đóng Mới Giàn Jacket Độ Sâu
                          .     Đến 95.7M Nước Hạ Thủy Bằng Phương Pháp Kéo Trượt


       + Áp lực đất

         Xem phụ lục áp lực đất tác dụng lên tường góc

 5.3.1.1.2Tính toán cấu kiện bê tông cốt thép
      - Kết quả tính toán đƣợc thể hiện ở phần phụ lục 3
5.3.1.2.Kết quả nội lực

      - Kết quả nội lực đƣợc thể hiện ở phần phụ lục 3

 5.3.2. Tính toán cấu kiện bê tông cốt thép

      - Kết quả tính toán đƣợc thể hiện ở phần phụ lục 3

  5.3.3.Kiểm tra sức chịu tải của cọc

       - Kết quả kiểm tra đƣợc thể hiện ở phụ lục 3 sức chịu tải của cọc

5.4    Thiết Kế Phân Đoạn Đƣờng Trƣợt
5.4.1.Sơ đồ và phƣơng pháp tính

- Sơ đồ tính là sơ đồ bản không gian trên nền cọc.

- Đƣờng trƣợt đƣợc thiết kế dƣới dạng bản trên nền cọc.

- Cọc BTCT tiết diện tròn D1000 mm , chiều dài 40m .Cọc đƣợc đóng thành 2 hàng với
bƣớc cọc 3.0m

- Bản đƣờng trƣợt bằng BTCT ,dày 160cm .Trên mặt đƣờng trƣợt có bản thép 12mm

5.4.2. Tải trọng tác dụng và tổ hợp tải trọng

a)Tải trọng bản thân

- Tải trọng bản thân đƣợc phần mềm phân tích kết cấu tự động tính toán

b)Tải trọng do khối chân đế




      GVHD: Th.S. Dƣơng Thanh Quỳnh
      SVTH : Vũ Trọng Chung     -   MSSV : 273352              -    Lớp 52CB3        101
ĐỒ ÁN TỐT NGHIỆP            Thiết Kế Kỹ Thuật Bến Căn Cứ Đóng Mới Giàn Jacket Độ Sâu
                        .     Đến 95.7M Nước Hạ Thủy Bằng Phương Pháp Kéo Trượt


- Đƣờng trƣợt đƣợc dùng để hạ thủy đƣợc dàn cố định bằng thép có tổng tải trọng
3950T. Tải trọng tác dụng lên đƣờng trƣợt đƣợc xác định nhƣ sau :

- Tại gối P1/P2 có 2 máng trƣợt có chiều dài 12 m. Áp lực lên một đƣờng trƣợt

                                  p=140T/m

- Lực ma sát tác dụng dƣới mỗi đƣờng trƣợt bằng :

                                fms = 202/ 4 =50.5 T

- Lực tác dụng do khối chân đế lên đƣờng trƣợt trong quá trình trƣợt là tải trọng di động
phân bố đều trên chiều dài bằng với chiều dài của máng trƣợt :

+ Tại mép ngoài mép bến : H =790/2 =395T

+ Tại mép trong bến : H‟ = (790 -Fms) = (790 -202)/2 = 294T

c)Tổ hợp tải trọng

-Các trƣờng hợp tác động lên đƣờng trƣợt gồm :

      + Tải trọng bản thân (BT)

      + Tải trọng do khối chân đế (KCĐ)

      + Lực ma sát (MS)

-Phần mền sử dụng SAP2000

     Để xác định nội lực của các cấu kiện, sử dụng chƣơng trình SAP2000 Nonlinear
Version 7.42 của Mỹ, phần mềm này dùng phƣơng pháp phần tử hữu hạn giải quyết các
bài toán tĩnh, động, tuyến tính, phi tuyến, phẳng và không gian.
   Công trình đƣợc mô hình hóa là hệ không gian kể đến sự làm việc đồng thời của cọc,
dầm, bản. Các cấu kiện đƣợc mô tả nhƣ sau:

    Cọc đƣợc mô tả bằng phần tử FRAME với tiết diện hình tròn

     GVHD: Th.S. Dƣơng Thanh Quỳnh
     SVTH : Vũ Trọng Chung     -   MSSV : 273352             -    Lớp 52CB3        102
ĐỒ ÁN TỐT NGHIỆP             Thiết Kế Kỹ Thuật Bến Căn Cứ Đóng Mới Giàn Jacket Độ Sâu
                         .     Đến 95.7M Nước Hạ Thủy Bằng Phương Pháp Kéo Trượt


     Dầm đƣợc mô tả bằng phân tử FRAME với tiết diện hình chữ nhật

     Bản đƣợc mô tả bằng phần tử SHELL

5.4.3.Kết quả nội lực

Kết quả nội lực đƣợc thể hiện ở phụ lục 4

5.4.4.Tính toán cấu kiện bê tông cốt thép

Kết quả tính toán cấu kiện BTCT đƣợc thể hiện ở phụ lục 4

5.4.5.Kiểm tra sức chịu tải của cọc

Kết quả kiểm tra sức chịu tải của cọc đƣợc thể hiện ở phụ lục 4




     GVHD: Th.S. Dƣơng Thanh Quỳnh
     SVTH : Vũ Trọng Chung     -   MSSV : 273352              -    Lớp 52CB3        103
ĐỒ ÁN TỐT NGHIỆP             Thiết Kế Kỹ Thuật Bến Căn Cứ Đóng Mới Giàn Jacket Độ Sâu
                         .     Đến 95.7M Nước Hạ Thủy Bằng Phương Pháp Kéo Trượt


                                       CHƢƠNG 4

                          THI CÔNG CÔNG TRÌNH BẾN

4.1 MỤC ĐỊCH CỦA VIỆC THIẾT KẾ THI CÔNG
    Thiết kế thi công là một phần không thể thiếu trong quá trình thiết kế xây dựng một
công trình, phần thiết kế thi công nhằm chỉ ra phƣơng pháp cách thức thực hiện để xây
dựng một công trình nhƣ thiết kế kỹ thuật đã đề ra. Yêu cầu thiết kế thi công phải đảm
bảo đúng kỹ thuật, thời gian nhanh và giá thành hợp lý.
    Quá trình thi công công trình cảng chịu rất nhiều ảnh hƣởng của các yếu tố tự nhiên,
cũng nhƣ yêu cầu kỹ thuật rất cao cho nên thiết kế thi công là phải chỉ ra những biện
pháp thi công hợp lý nhất. Các biện pháp thi công nhằm mục đích đảm bảo các yêu cầu
về kỹ thuật của công trình, tổ chức hợp lý để không gây lãng phí về nhân lực, vật tƣ, thiết
bị và hoàn thành thi công công trình đúng tiến độ.

4.2 ĐẶC ĐIỂM CÔNG TRÌNH THI CÔNG
 - Đặc điểm về tổ chức thi công công trình bến

    So với các công trình ở trên đất liền, công trìn bến còn nhiều đặc điểm nổi bật sau:

  - Thi công dƣới nƣớc nên cần có các thiết bị tàu hút bùn, tàu quốc, cần cẩu nổi dống
cọc , trạm trộn bê tông và các tàu thuyền vận chuyển.

  - Về các điều kiện tự nhiên nhƣ vị trí địa lý, điều kiện địa chất thuỷ văn của công trình
đã đƣợc trình bày ở phần trên.

  - Về biện ptháp thi công : thi công theo phƣơng pháp cuốn chiếu.

  - Trụ va, trụ neo, sàn công nghệ bao gồm:

  + Cọc đúc sẵn

  + Dầm ngang, dầm dọc, bản sàn - đổ bêtông liền khối tại chỗ

4.3 TÍNH TOÁN KHỐI LƢỢNG
   Khối lƣợng thi công cần tính toán cho công trình cầu tàu 14.0000 DWT bến xuất sản
phẩm dầu gồm các phần sau :

   - Khối lƣợng đất nạo vét.

     GVHD: Th.S. Dƣơng Thanh Quỳnh
     SVTH : Vũ Trọng Chung     -   MSSV : 273352              -    Lớp 52CB3        104
ĐỒ ÁN TỐT NGHIỆP               Thiết Kế Kỹ Thuật Bến Căn Cứ Đóng Mới Giàn Jacket Độ Sâu
                           .     Đến 95.7M Nước Hạ Thủy Bằng Phương Pháp Kéo Trượt


       - Khối lƣợng gỗ, thép, thi công sàn đạo.

       - Khối lƣợng cát, đá, ximăng, gỗ, thép, dùng cho xây dựng bến.

4.3.1 Khối lƣợng đất nạo vét
       - Cơ sở tính toán
        Khối lƣợng nạo vét là khu nƣớc trƣớc bến và luồng vào cảng.
        Cao trình đáy nạo vét luồng vào cảng: - 10,2 m

        Cao trình đáy nạo vét khu nƣớc cho tầu dầu 15.000DWT là: -9,0 m

        Chọn mái dốc nạo vét luồng m = 10 ( lớp đất nạo vét là bùn sét).

        Mực nƣớc tính toán nạo vét: Hp=95% = 2,1 m.

   -    Phƣơng pháp tính toán khối lƣợng nạo vét. Khối lƣợng nạo vét hình học đƣợc tính
        theo phƣơng pháp mặt cắt ngang.
        Công thức tính toán:   V =  Sitb . li

Trong đó:

         Sitb- diện tích trung bình của 2 mặt cắt kế tiếp nhau.

         li : khoảng cách giữa hai mặt cắt kế tiếp.

       Khối lƣợng nạo vét thực tế đƣợc xác định bằng khối lƣợng tính toán hình học cộng
với sai số nạo vét 20%.

      Do cảng đƣợc xây dựng ở khu vực có cao trình mặt đất tự nhiên cao (trung bình là
+2.5m), mặt khác cao trình đáy nạo vét lại sâu nên khối lƣợng nạo vét là rất lớn.

4.3.2 Tổng khối lƣợng nạo vét là : 9.146.163 (m3)

4.3.3 Khối lƣợng vật liệu thi công sàn đạo
     Khối lƣợng vật liệu thi công sàn đạo cho bến tầu trọng tải 15.000DWT bao gồm các
thép hình I400 làm dầm ngang dầm dọc gông các đầu cọc, thép hình I400 làm trụ tạm,
các loại thép tấm làm vai đỡ đầu cọc, các loại thép ống lan can, gỗ lát nền sàn đạo,

             +Khối lƣợng thép hình I400 làm dầm ngang, dầm dọc sàn công nghệ là:
        (6x34 + 15x22)x2 = 1068m

       GVHD: Th.S. Dƣơng Thanh Quỳnh
       SVTH : Vũ Trọng Chung     -   MSSV : 273352                -   Lớp 52CB3       105
ĐỒ ÁN TỐT NGHIỆP               Thiết Kế Kỹ Thuật Bến Căn Cứ Đóng Mới Giàn Jacket Độ Sâu
                           .     Đến 95.7M Nước Hạ Thủy Bằng Phương Pháp Kéo Trượt


              +Khối lƣợng thép hình I400 làm dầm ngang, dầm dọc 2 trụ va là :
         (10x8+6x6)x2 x2 =464m

              +Khối lƣợng thép hình I400 làm dầm ngang, dầm dọc 2 trụ neo ngoài là:
         (6x6+5x5)x2x2=244 m

              +Số lƣợng thép tấm (=10mm) làm vai đỡ là 562, tổng khối lƣợng là
         4885,6kg

             +Khối lƣợng gỗ (=5mm) làm ván lát là 45,4 m2.

4.3.4 Khối lƣợng vật liệu thi công bến

4.3.4.1 Khối lượng thép
           Bảng 4.1 :Tính toán khối lƣợng thép bản sàn phân đoạn, trụ va, vòi voi,cọc.

             Đƣờngkính                KL chƣa hao           Hao phí                 KL đã hao
  STT
                (mm)                     (Tấn)               (%)                      (Tấn)
   1                              457,9                1                      453,1
   2                              104,2                1                      103,16
   3                              26,33                1                      26,067
   4                          10,56                1                      10,45
   5                                    Tổng                                         596,21


                           Bảng 4.2 : Tính toán khối lƣợng thép đáy TG

              Đƣờng kính              KL chƣa hao             Hao phí               KL đã hao
  Loại
                (mm)                     (Tấn)                 (%)                   (Tấn)
 Trụ va                          10,54                  1                     9,63
  Trụ
                                  6,416                     1                  3,51
  neo
                                          Tổng                                        13,14




       GVHD: Th.S. Dƣơng Thanh Quỳnh
       SVTH : Vũ Trọng Chung     -   MSSV : 273352              -       Lớp 52CB3        106
ĐỒ ÁN TỐT NGHIỆP             Thiết Kế Kỹ Thuật Bến Căn Cứ Đóng Mới Giàn Jacket Độ Sâu
                         .     Đến 95.7M Nước Hạ Thủy Bằng Phương Pháp Kéo Trượt


                       Bảng 4.3: Tính toán khối lƣợng thép bản cạnh TG

            Đƣờng kính            KL chƣa hao             Hao phí                KL đã hao
 STT
              (mm)                   (Tấn)                 (%)                    (Tấn)
  1                          22,27                   1                    20,73
  2          >16 AII                8,195                   1                      7,9
  3                                   Tổng                                        28,63
                    Bảng 4.4 : Tính toán khối lƣợng thép 2ĐT

             Đƣờng kính                 KL chƣa hao                Hao phí         KL đã hao
 STT
               (mm)                        (Tấn)                    (%)              (Tấn)
  1                                  49,5                     1                 49
  2                                 45,25                     1               44,75
  3                                 12,23                     1                11,8
  4          L100X100                        8,9                     1                8,71
  5                                         Tổng                                    114.26

                    Bảng 4.5 : Tính toán khối lƣợng thép nắp HCN

                                  KL chƣa hao            Hao phí               KL đã hao
 STT         Loại thép
                                     (Tấn)                (%)                   (Tấn)
  1                              10,8                 1                     10.7
  2                               6.3                  1                     6,28
  3                                    Tổng

                   Bảng 4.6 :Tính toán khối lƣợng thép toàn bến


            Đƣờng kính            KL chƣa hao            Hao phí               KL đã hao
 STT
              (mm)                    (Tấn)                (%)                   (Tấn)
  1                              6,3                  1                     6,28
  2                            14,6                 1                    14,54
  3                           13,96                 1                     13,8
  4                           12,23                 1                    12,13
  5                           10,54                 1                    10,44
  6                            104                  1                     103
  7                          524,21                 1                   518,81
                                        Tổng                                      659
      GVHD: Th.S. Dƣơng Thanh Quỳnh
      SVTH : Vũ Trọng Chung     -   MSSV : 273352             -    Lớp 52CB3        107
ĐỒ ÁN TỐT NGHIỆP                Thiết Kế Kỹ Thuật Bến Căn Cứ Đóng Mới Giàn Jacket Độ Sâu
                            .     Đến 95.7M Nước Hạ Thủy Bằng Phương Pháp Kéo Trượt


4.3.4.2 Khối lượng xi măng, cát, đá
    Ta tính khối lƣơng bê tông toàn bến sau đó tra định mức ra khối lƣợng vật liệu.

                           Bảng 4.7 : Cấp phối vật liệu bê tông


  Mã                                                                    Mác BT
              Thành phần hao phí             Đơn vị
  hiệu
                                                                400            300
                    Xi măng                    Kg            439 PC40       354 PC40
                    Cát vàng                   m3              0,444          0.464
 C313
                     Đá dăm                    m3             0,856              0.87
                      Nƣớc                     Lít             174               175
                           Bảng 4.8 :Khối lƣợng xi măng, cát, đá

                       Khối lƣợng
                                                      KL vật liệu đã tính hao hụt
                             BT
  STT         Mác BT
                           đã hao
                                              X (T)          C (m3)           Đ (m3)
                            (m3)
   1           400         475,1               189            170             410,5
   2            Tổng khối lƣợng                189            170             410,5


4.4 TRÌNH TỰ THI CÔNG

4.4.1     Chuẩn bị công trƣờng
        Các công việc cần làm trong công tác chuẩn bị công trƣờng

         - Giải phóng mặt bằng

         - Xây dựng hệ thống đƣờng tạm

         - Xây dựng khu nhà tạm cho công trƣờng, các xƣởng sửa chữa máy móc, thiết

        bị, bố trí điện, nƣớc phục vụ thi công công trình.

         - Xây dựng kho bãi chứa thiết bị, vật liệu.


        GVHD: Th.S. Dƣơng Thanh Quỳnh
        SVTH : Vũ Trọng Chung     -   MSSV : 273352                 -   Lớp 52CB3       108
ĐỒ ÁN TỐT NGHIỆP            Thiết Kế Kỹ Thuật Bến Căn Cứ Đóng Mới Giàn Jacket Độ Sâu
                        .     Đến 95.7M Nước Hạ Thủy Bằng Phương Pháp Kéo Trượt


       - Bố trí bãi cho công tác chế tạo ống vách phụ, chế tạo lồng thép, công tác thép,
bãi cấu kiện đúc sẵn.

4.4.2. Thi công công trình

      Đổ cát đến cao trình định trƣớc để tiến hành đóng ống vách

       Vận chuyển vật liệu đến công trƣờng : Vật liệu đƣợc vận chuyển tới công trƣờng
theo từng giai đoạn .Trong mỗi giai đoạn vật liệu vận chuyển đến đủ để thi công một
phân đoạn. Công việc này đƣợc tiến hành song song với công tác chuẩn bị mặt bằng

      Thi công chế tạo ống vách

      Thi công cọc khoan nhồi :

       - Đóng ống vách phụ

       - Làm sàn đạo

       - Khoan tạo lỗ và thổi rửa lỗ khoan.

       - Lắp dựng cọc lồng thộp

       - Đổ bê tông cọc khoan nhồi, bảo dƣỡng, tháo dỡ cốp pha.

      Thi công bản bụng dầm :

       - Lắp dựng cốp pha .

       - Chế tạo cốt thộp.

       - Đổ bê tông, bảo dƣỡng.

       Nạo vét tạo độ sâu trƣớc bến

       Đổ đá tạo mái dốc gầm bến và thi công kè bờ.

       Thi công bản mặt cầu

       - Lắp dựng hệ đỡ cốp pha bản

       - Chế tạo lắp dựng cốp thộp cho bản

       - Đổ bê tông, bảo dƣỡng, tháo dỡ cốp pha.
     GVHD: Th.S. Dƣơng Thanh Quỳnh
     SVTH : Vũ Trọng Chung     -   MSSV : 273352             -    Lớp 52CB3        109
ĐỒ ÁN TỐT NGHIỆP              Thiết Kế Kỹ Thuật Bến Căn Cứ Đóng Mới Giàn Jacket Độ Sâu
                          .     Đến 95.7M Nước Hạ Thủy Bằng Phương Pháp Kéo Trượt


      Đổ bêtông tƣờng góc và lấp cát sau bến

      Đổ bờ tụng phủ mặt bến, lắp cỏc thiết bị phụ trợ kết hợp hoàn thiện mặt bói.

4.4.2 Công tác làm kho bãi, lán trại
    Lán trại dùng cho sinh hoạt của công nhân theo quy định của nhà nƣớc là 6m2 cho 1
công nhân. Căn cứ vào khối lƣợng công việc thì số công nhân trên công trƣờng dự định
150 ngƣời do đó diện tích lán trại là:

             F = 150 x 6 = 900 (m2)

    Các kho đƣợc làm ngay trên mặt bãi và làm bằng kết cấu lắp ghép tạm thời do đó
thời gian thi công nhanh, lấy thời gian 90 ngày và 50 ngƣời phục vụ.

    Số công lắp dựng là: 90.50 = 4500 (công)

4.4.3 Hoàn thiện công trình
      Bao gồm các công việc

      Dọn dẹp công trƣờng

      Bàn giao nghiệm thu

4.4.4 Thi công nạo vét
    - Khối lƣợng nạo vét kể cả phần luồng tầu là 9.146.162m3 nhƣng trong giới hạn đồ án
này em chỉ tính toán nạo vét cho khu nƣớc của cảng.

    - Khối lƣợng nạo vét: 6.329.175 (m3)- Lớp đất nạo vét 1 là cát nhỏ, cát mịn, màu
xám, xám xanh, đôi chỗ lẫn hữu cơ, kết cấu từ rời rạc đến chặt vừa. Lớp 2 là sét pha lẫn
bụi màu xám, xám đen, đôi chỗ lẫn vỏ sò hến, trạng thái từ dẻo chảy đến dẻo mềm.

    - Mực nƣớc nạo vét:         H = +2,0m.

    - Cao trình đáy nạo vét: -9m

    - Cao trình mặt đất tự nhiên trung bình nạo vét: +2.5 m

     Chọn thiết bị nạo vét:

     Nạo vét trƣớc bến bằng gầu ngoạm 1,5m3 có công suất N =500 m3/h


     GVHD: Th.S. Dƣơng Thanh Quỳnh
     SVTH : Vũ Trọng Chung     -   MSSV : 273352               -    Lớp 52CB3        110
ĐỒ ÁN TỐT NGHIỆP                Thiết Kế Kỹ Thuật Bến Căn Cứ Đóng Mới Giàn Jacket Độ Sâu
                            .     Đến 95.7M Nước Hạ Thủy Bằng Phương Pháp Kéo Trượt


     Tổ chức thi công: đất nạo vét đƣợc chở đi đổ bằng sà lan 250T và tàu kéo
175CV. Vị trí đổ đất phải đƣợc cảng vụ cho phép, đảm bảo không gây ô nhiễm môi
trƣờng. Dự kiến vị trí đổ đất nạo vét ở cự ly vận chuyển 12km.

     Tổng khối lƣợng bêtông mác 300 là: 617,1 m3

     Sử dụng cấp phối vật liệu cho 1m3 bêtông (độ sụt 2- 4 cm) mác 300 và 350

4.4.5 Công tác cốt pha
     Công tác cốp pha đổ bê tông tại chỗ rất phức tạp vì thi công ở chỗ nƣớc sâu, có sóng
gió. Công tác cốp pha cầu tầu không thể dùng các cột chống xuống đất nhƣ thông thƣờng
mà phải dùng các gông để chống các cốp pha.

4.4.5.1 Thiết kế cốp pha dầm
     Tải trọng tác dụng lên cốp pha dầm
     Tải trọng do bê tông tác dụng lên cốp pha dầm là
                       q1=b.h..k (T/m)

     Trong đó:
      b =1 m là chiều rộng dầm

      h= 1,6 là chiều cao dầm

      =2,5T/m3 trọng lƣợng riêng của bê tông

      k=1.2 là hệ số rung do đầm

      => q1=1x1,6 x 2,5x1,2= 4,8 (T/m)

4.4.5.2 Tính toán ván đáy dầm
                                               




                                                




      +Kiểm tra khả năng chịu lực của ván đáy

      Bố trí dầm phụ cách nhau 0.5 m

      Chọn ván đáy dày 5 cm . Mô men chống uốn của tiết diện ván đáy.
     GVHD: Th.S. Dƣơng Thanh Quỳnh
     SVTH : Vũ Trọng Chung     -   MSSV : 273352                     -   Lớp 52CB3     111
ĐỒ ÁN TỐT NGHIỆP             Thiết Kế Kỹ Thuật Bến Căn Cứ Đóng Mới Giàn Jacket Độ Sâu
                         .     Đến 95.7M Nước Hạ Thủy Bằng Phương Pháp Kéo Trượt


      W=b.h2/6=100x52/6=416.7( cm3 )

      Mô men uốn lớn nhất trong nhịp

      Mmax=q1.l2/12= 480x502/12= 100000 (Kgcm)

      ứng suất lớn nhất của thép là.

      max=Mmax/W= 100000/416,7 = 239,98 (Kg/cm2 )<   =2100(Kg/cm2)

      =>Ván đáy dầy 5 cm đủ khả năng chịu lực

4.4.5.3 Tính toán ván thành dầm
     Áp lực bê tông tác dụng lên thành dầm là.

      q = .h.k = 2,5x1,6 x1,2 = 4,8(T/m2 )

     Bố trí 50 cm có một thanh nẹp dọc và một thanh văng xiên. Coi ván thành làm việc
     liên tục trên các gối.
     Mô men lớn nhất:
      Mmax=q.l2/12=4,8x0,52/12= 0,1Tm.= 10000 (Kgcm)
      Chọn ván thành dầy 5cm (rộng 160cm).

      Mô men chống uốn của tiết diện ván thành là.

      W=b.h2/6= 160x52/6= 666,67 (cm3))

      ứng suất lớn nhất của gỗ là.

      max=Mmax/W= 10000/666,67 = 15 Kg/cm2 <   =120(Kg/cm2)

      =>Ván thành dầy 5cm đủ khả năng chịu lực.

      Kiểm tra nẹp ván thành.

      Tải trọng tác dụng lên nẹp.

      q1=q.l= 4,8x0,7= 3,36(T/m)

      Coi nẹp làm việc nhƣ một dầm đơn giản trên hai gối tựa.

      Mmax=q1.l2/8=3,36x0,52/8 = 0,105Tm = 10500 (Kgcm)
    GVHD: Th.S. Dƣơng Thanh Quỳnh
    SVTH : Vũ Trọng Chung     -   MSSV : 273352               -    Lớp 52CB3        112
ĐỒ ÁN TỐT NGHIỆP             Thiết Kế Kỹ Thuật Bến Căn Cứ Đóng Mới Giàn Jacket Độ Sâu
                         .     Đến 95.7M Nước Hạ Thủy Bằng Phương Pháp Kéo Trượt


      Chọn nẹp ván thành có tiết diện bxh=10x10 (cm )

      Có mô men chống uốn là W=b.h2/6=10x102/6 =166,67 (cm3)

      max=Mmax/W= 10500/166,67 = 70 Kg/cm2 <   =120(Kg/cm2)

      Vậy nẹp có tiết diện 10x10cm đủ khả năng chịu lực.

4.4.5.4 Tính toán bu lông dầm
      Chọn bu lông phải thoả mãn sao cho các gông đỡ của hệ thống dầm chính không bị

      trƣợt dƣới sức nặng của hệ thống cốp pha ở trên.

      Lực cắt của bu lông là: Q =Px4= 4,8x4=19,2T=19200(Kg)

      Trong đó : P là lực tác dụng lên dầm chính.

      Lực ma sát giữa cọc bê tông và sắt là : Fms=f.P

      Trong đó:

      f : là hệ số ma sát = 0,4

      P là áp lực của bê tông lên dầm đỡ

      Để gông không bị trƣợt thì Fms>Q =19200(Kg)

      =>f.P>19200 =>P>19200/0,4= 48000 (Kg)

      Chọn bu lông bằng thép AII có R=2800(Kg/cm2)

      Tiết diện bu lông cần chọn là.

      F=P/R=48000/2800=17,14cm2

      Chọn 3 bu lông 28 có Fa=18,47 cm2 làm bu lông bắt gông.

4.4.5.5 Thiết kế cốp pha bản
      Tải trọng do bê tông tác dụng lên bản

                  q1=h..k (T/m)

      Trong đó:


     GVHD: Th.S. Dƣơng Thanh Quỳnh
     SVTH : Vũ Trọng Chung     -   MSSV : 273352              -    Lớp 52CB3        113
ĐỒ ÁN TỐT NGHIỆP            Thiết Kế Kỹ Thuật Bến Căn Cứ Đóng Mới Giàn Jacket Độ Sâu
                        .     Đến 95.7M Nước Hạ Thủy Bằng Phương Pháp Kéo Trượt


         h=30cm là chiều cao bản

          =2.5T/m3 trọng lƣợng riêng của bê tông

          k=1.2 là hệ số rung do đầm

      => q1=0,3x2,5x1,2= 0,9 (T/m)

    Khi đổ đầy bê tông có ngƣời đứng và các phƣơng tiện vận chuyển với tải trọng lấy
bằng 0.25T/m2

      => q‟ = 0,9 + 0,25 = 1,15(T/m2)

   Cắt một dải bản rộng 1m vuông góc với hệ dầm phụ cốp pha (khoảng cách giữa các
dầm phụ là 0.5 m)

    Mô men tác dụng M=q‟.l2/8=1,15x0,52/8 = 0,036Tm= 3600 (Kg.cm)

a.Kiểm tra khả năng chịu lực của ván đáy bản
   Chọn ván đáy dầy 5 cm bề rộng ván 100 cm

    Mô men chống uốn của tiết diện ván đáy là:

       W=b.h2/6 = 100x52/6= 416,67(cm3)

    Ứng suất lớn nhất của gỗ là:

       max=Mmax/W = 3600/416,67=8,64 (Kg/cm2) <   =120(Kg/cm2)

   Ván đáy dầy 5cm đủ khả năng chịu lực

b.Tính toán hệ thống dầm cốp pha bản
   Tải trọng tác dụng lên dầm phụ là. q2=q‟.l=1,15x0,5 = 0,575 (T/m)
   Bố trí các dầm cách nhau 0,5 m. Để tính toán dầm phụ coi dầm phụ làm việc nhƣ
một dầm đơn giản kê trên các gối là dầm chữ I400.
   Mô men uốn lớn nhất trong nhịp Mmax=q2.l2/8

   Trong đó:

   L = 4.5 m là khoảng cách giữa 2 dầm chính.

    =>Mmax=0,575x4,52/8=1,455Tm = 145500 (Kgcm)

     GVHD: Th.S. Dƣơng Thanh Quỳnh
     SVTH : Vũ Trọng Chung     -   MSSV : 273352             -    Lớp 52CB3        114
ĐỒ ÁN TỐT NGHIỆP            Thiết Kế Kỹ Thuật Bến Căn Cứ Đóng Mới Giàn Jacket Độ Sâu
                        .     Đến 95.7M Nước Hạ Thủy Bằng Phương Pháp Kéo Trượt


   Chọn tiết diện dầm phụ là bxh=20x20(cm)

   Mô men chông uốn W=b.h2/6=20x202/6=1333.3(cm3)

   ứng suất lớn nhất của gỗ là.

   max=Mmax/W= 45500/1333.3 = 109,13 (Kg/cm2) <   =120(Kg/cm2)

   =>Tiết diện dầm 20x20 cm đủ chịu lực.

c. Tính toán ván thành bản
   Áp lực bê tông tác dụng lên thành bản là.

   q = .h.k = 2.5x0.3x1.2 = 0,9(T/m2)
     Bố trí 50 cm có một thanh nẹp dọc và một thanh văng xiên. Coi ván thành làm việc
liên tục trên các gối.

   Mômen lớn nhất:

   Mmax=q.l2/12= 0,9x0.52/12=0.01875Tm.= 1875(Kgcm)

   Chọn ván thành dầy 5 cm bề rộng 30cm.

   Mô men chống uốn của tiết diện ván thành là:

   W=b.h2/6=30x52/6= 125 cm3.

   ứng suất lớn nhất của gỗ là.

   max=Mmax/W=1875/125 = 15 (Kg/cm2) <   =120(Kg/cm2)

   =>Ván thành dầy 5cm đủ khả năng chịu lực.

   Kiểm tra nẹp ván thành.

   Tải trọng tác dụng lên nẹp.

               q1=q.l= 0,9x0.5=0,45 (T/m)

   Coi nẹp làm việc nhƣ một dầm đơn giản trên hai gối tựa.

               Mmax=q1.l2/8=0,45x0,52/8 = 0.014Tm = 1400 (Kgcm)

   Chọn nẹp ván thành có tiết diện bxh=10x10 (cm )
     GVHD: Th.S. Dƣơng Thanh Quỳnh
     SVTH : Vũ Trọng Chung     -   MSSV : 273352             -    Lớp 52CB3        115
ĐỒ ÁN TỐT NGHIỆP             Thiết Kế Kỹ Thuật Bến Căn Cứ Đóng Mới Giàn Jacket Độ Sâu
                         .     Đến 95.7M Nước Hạ Thủy Bằng Phương Pháp Kéo Trượt


    Có mô men chống uốn là W=b.h2/6=10.102/6 =166,67 (cm3)

                max=Mmax/W=1400/166,67= 8,4 Kg/cm2 <   =120Kg/cm2.

    Vậy nẹp có tiết diện 10x10cm đủ khả năng chịu lực.

4.4.5.6 Thiết kế cốp pha đài:
    Tải trọng do bê tông tác dụng lên đài.

                q1=h..k (T/m2)

    Trong đó:

      h=200 cm là chiều cao đài.

      =2,5T/m3 trọng lƣợng riêng của bê tông

      k=1,2 là hệ số rung do đầm

          => q1=2x2,5x1,2= 6 (T/m2)

    Khi đổ đầy bê tông có ngƣời đứng và các phƣơng tiện vận chuyển với tải trọng lấy
    bằng 0,25T/m2

          => q = 6 + 0,25 = 6,25 (T/m2)

    Cắt một dải đài rộng 1m vuông góc với hệ dầm phụ cốp pha (khoảng cách giữa các

    dầm phụ là 0,5 m )

    Mô men tác dụng M=q.l2/8=6,25x0,52/8 = 0,1953125Tm=19531,25 (Kgcm)

a.Kiểm tra khả năng chịu lực của ván đáy

    Chọn ván đáy dầy 5 cm bề rộng ván 40 cm

    Mô men chống uốn của tiết diện ván đáy là:

          W=b.h2/6=40x52/6=166,66cm3

    ứng suất lớn nhất của gỗ là:

          max=Mmax/W=19531,25/166,66 = 117,16 (Kg/cm2) <   =120(Kg/cm2)

     GVHD: Th.S. Dƣơng Thanh Quỳnh
     SVTH : Vũ Trọng Chung     -   MSSV : 273352              -    Lớp 52CB3        116
ĐỒ ÁN TỐT NGHIỆP            Thiết Kế Kỹ Thuật Bến Căn Cứ Đóng Mới Giàn Jacket Độ Sâu
                        .     Đến 95.7M Nước Hạ Thủy Bằng Phương Pháp Kéo Trượt


   Ván đáy dầy 5cm đủ khả năng chịu lực

b.Tính toán hệ thống dầm cốp pha đài

   Tải trọng tác dụng lên dầm phụ là. q2=q1.l=6,25x0,5=3,125(T/m)

   Bố trí các dầm cách nhau 0,5 m. Để tính toán dầm phụ coi dầm phụ làm việc nhƣ một
   dầm đơn giản kê trên các gối là dầm chữ I400

   Mô men uốn lớn nhất trong nhịp Mmax=q2.l2/8

   Trong đó:

             L = 1.6 m là khoảng cách giữa 2 dầm chính.

             =>Mmax=3,125x1,62/8=1Tm = 100000 (Kgcm)

   Chọn tiết diện dầm phụ là bxh=16x20cm

   Mô men chông uốn W=b.h2/6=15x202/6=1000(cm3)

   ứng suất lớn nhất của gỗ là:

            max=Mmax/W=100000/1000 =100 (Kg/cm2) <   =120(Kg/cm2)

             =>Tiết diện dầm 15x20 cm đủ chịu lực.

c.Tính toán ván thành đài

   Áp lực bê tông tác dụng lên thành bản là.

               q = .h.k = 2,5.2,0.1,2 = 6(T/m2)

     Bố trí 50 cm có một thanh nẹp dọc và một thanh văng xiên. Coi ván thành làm việc
liên tục trên các gối.

   Mô men lớn nhất Mmax=q.l2/12=6.0,52/12=0,125Tm.=12500 (Kgcm)

   Chọn ván thành dầy 5 cm. Mô men chống uốn của tiết diện ván thành là.

               W=b.h2/6=60x52/6= 250 (cm3)

   ứng suất lớn nhất của gỗ là.


     GVHD: Th.S. Dƣơng Thanh Quỳnh
     SVTH : Vũ Trọng Chung     -   MSSV : 273352             -    Lớp 52CB3        117
ĐỒ ÁN TỐT NGHIỆP            Thiết Kế Kỹ Thuật Bến Căn Cứ Đóng Mới Giàn Jacket Độ Sâu
                        .     Đến 95.7M Nước Hạ Thủy Bằng Phương Pháp Kéo Trượt


                 max=Mmax/W=12500/250 = 50 (Kg/cm2) <   =120(Kg/cm2)

   =>Ván thành dầy 5cm đủ khả năng chịu lực.

   Kiểm tra nẹp ván thành.

   Tải trọng tác dụng lên nẹp.

                q1=q.l=6.0,5=3(T/m)

   Coi nẹp làm việc nhƣ một dầm đơn giản trên hai gối tựa.

                Mmax=q1.l2/8=3x0,52/8 = 0,09375 Tm = 9375 (KG.cm)

   Chọn nẹp ván thành có tiết diện bxh=10x10 cm

   Có mô men chống uốn là W=b.h2/6=10x102/6 =166.7 (cm3)

                max=Mmax/W=9375/166.7 = 56.2 (Kg/cm2)<   =120(Kg/cm2)

   Vậy nẹp có tiết diện 10x10cm đủ khả năng chịu lực.

    d. Tính toán bu lông

    Chọn bu lông phải thoả mãn sao cho các gông đỡ của hệ thống thanh nẹp không bị
trƣợt dƣới sức nặng của hệ thông cốp pha ở trên.

    Lực cắt của bu lông là: Q=P.4=3.4=12 T =12000 (KG)

    Trong đó :P là lực tác dụng lên dầm chính.

    Lực ma sát giữa cọc bê tông và sắt là : Fms=f.P

    Trong đó:

    f là hệ số ma sát=0.4

     P là áp lực của bê tông lên dầm đỡ

   Để gông không bị trƣợt thì Fms>Q=12000

   =>f.P>13800 =>P>12000/0.4=30000(Kg)

   Chọn bu lông bằng thép AII có R=2700(Kg/cm2)

    GVHD: Th.S. Dƣơng Thanh Quỳnh
    SVTH : Vũ Trọng Chung     -   MSSV : 273352              -    Lớp 52CB3        118
ĐỒ ÁN TỐT NGHIỆP               Thiết Kế Kỹ Thuật Bến Căn Cứ Đóng Mới Giàn Jacket Độ Sâu
                           .     Đến 95.7M Nước Hạ Thủy Bằng Phương Pháp Kéo Trượt


    Tiết diện bu lông cần chọn là.

    F=P/R=30000/2700=11.1cm2

    Chọn 2 bu lông 30 có Fa=14.13 cm2 làm bu lông bắt gông.

4.4.6 Công tác đổ bêtông tại chỗ
     Chọn máy thi công, tính năng suất máy
   - Công tác bơm bêtông
   - Khối lƣợng bêtông thi công của một công việc lớn nhất (sàn công nghệ) là:210 m3

   - Do khối lƣợng công tác đổ bêtông lớn nên ta phải tiến hành càng nhanh càng tốt, để
tránh ảnh hƣởng xấu đến chất lƣợng của khối đổ. Khi tiến hành thi công ta tiến hành đổ
bêtông dầm trƣớc, sau đó mới làm thép bản và đổ bản.

   - Dự kiến thi công trong một ngày do đó :

    Chọn máy bơm bêtông loại: SB – 95A với các thông số kỹ thuật

     Năng suất kỹ thuật:        2030 m3/h.

     Năng suất thực tế: 13 m3/h.

     Đƣờng kính ống bơm: 150mm

     Tính năng suất của máy bơm Ntt =13 m3/h  năng suất máy bơm trong một ngày :

                Nngày = 3  8  13 = 312 m3/ngày

     Số máy bơm bêtông cần thiết là: một máy loại SB-95A

     Công tác trộn bêtông

     Để đảm bảo cho việc bơm bêtông đƣợc liên tục, năng suất của các máy trộn bêtông
(thực tế) = 1,2 1,5 lần năng suất của các máy bơm.

     Chọn máy trộn liên tục loại: SB-37

     Với năng suất kĩ thuật:           Nkt = 30 m3/h

       Năng suất thực tế:             Ntt = ktg.kxl.Nkt = 0,85 0,730 = 17,85 m3/h

       Năng suất một ngày:            Nngày= 3817,85 = 428.4 m3/ngày
     GVHD: Th.S. Dƣơng Thanh Quỳnh
     SVTH : Vũ Trọng Chung     -   MSSV : 273352                 -    Lớp 52CB3        119
ĐỒ ÁN TỐT NGHIỆP              Thiết Kế Kỹ Thuật Bến Căn Cứ Đóng Mới Giàn Jacket Độ Sâu
                          .     Đến 95.7M Nước Hạ Thủy Bằng Phương Pháp Kéo Trượt


     Số máy trộn bêtông cần thiết là:

                1,3  210
           n              0.6  chọn 1 máy trộn bêtông loại SB-37
                  428.4

     Công tác đầm bêtông

     Đầm bêtông sử dụng máy đầm loại I50 năng suất 7 m3/ h.

      Năng suất trong 1 ngày của một máy đầm là: 287 =112 m3/ngày

     Để đầm đƣợc 210m3/ngày thì phải cần 2 máy đầm dùi.

     Ngoài ra còn chọn thêm 2 máy đầm mặt

     Công tác bảo dƣỡng bêtông

     Chọn 2 máy bơm nƣớc loại nhỏ để tƣới nƣớc giữ độ ẩm cho bêtông

     Thời gian bảo dƣỡng nhƣ sau: thời gian hanh khô, thì tƣới nƣớc thƣờng xuyên trong
7 ngày đầu, ngày tƣới ít nhất 3 giờ một lần, ban đêm ít nhất 2 lần, còn lại từ ngày 8 mỗi
ngày tƣới ít nhất 3 lần tới ngày 28.

     Thống kê máy và nhân lực thi công bêtông

     Máy thi công:

     + 1 máy bơm bêtông loại: SB-95A với năng suất 13 m3/h.

     + 1 máy trộn bêtông liên tục loại: SB-37 với năng suất 17,85 m3/h.

     + 2 máy đầm I50 với năng suất 7 m3/h.

     + 2 máy đầm mặt.

     + 2 máy bơm nƣớc loại nhỏ phục vụ công tác bảo dƣỡng bêtông.



     GVHD: Th.S. Dƣơng Thanh Quỳnh
     SVTH : Vũ Trọng Chung     -   MSSV : 273352               -    Lớp 52CB3        120
ĐỒ ÁN TỐT NGHIỆP             Thiết Kế Kỹ Thuật Bến Căn Cứ Đóng Mới Giàn Jacket Độ Sâu
                         .     Đến 95.7M Nước Hạ Thủy Bằng Phương Pháp Kéo Trượt


4.4.7 Thiết kế thi công tổng mặt bằng công trƣờng
         Các công trình phụ trợ cho việc xây dựng

         Các mốc đo đạc để theo dõi và để xác định vị trí công trình bằng máy kinh vĩ và
    xác định cao độ công trình bằng máy thuỷ bình.

         Các kho bãi chứa vật liệu (cát, đá, xi măng)

         Các kho bãi chứa nhiên liệu

         Các kho chứa thiết bi máy móc thi công

         Các xƣởng sản xuất cốt thép, cốp pha

          Xƣởng sửa chữa thiết bị

          Nhà làm việc lãnh đạo công trƣờng, phòng kỹ thuật thi công.

          Nhà nghỉ cho công nhân

4.4.8 Công tác hoàn thiện công trình
       Trong công tác hoàn thiện công trình bao gồm các công việc nhƣ : Lắp đặt bích
neo, lắp đặt đệm tàu, đổ lớp phủ mặt cầu, lắp đặt hệ thống điện nƣớc, thu dọn mặt bằng
chuẩn bị bàn giao công trình.

       Dùng 1 cần trục loại 60T đặt trên phao nổi.

      4 ôtô IFA vận chuyển thiết bị

4.4.9 An toàn lao động
    -Mua sắm các trang thiết bị bảo hộ lao động: mũ, găng tay, giầy, quần áo, mặt nạ
hàn...

    -Các thiết bị trƣớc khi vận hành phải đƣợc kiểm tra kĩ lƣỡng các chỉ tiêu, các thông
số kỹ thuật. Công nhân phải có đủ trình độ, tay nghề, và kinh nghiệm khi điều khiển máy.

    -Khu vực hoạt động của cần trục cần hạn chế việc đi lại.

    -Không để công nhân vận hành máy trong tình trạng sức khoẻ yếu.

    -Ôtô chạy trong công trƣờng không đƣợc chạy quá nhanh.

    -Khi làm ca đêm phải có đèn chiếu sáng cho công nhân làm việc.
     GVHD: Th.S. Dƣơng Thanh Quỳnh
     SVTH : Vũ Trọng Chung     -   MSSV : 273352              -    Lớp 52CB3        121
ĐỒ ÁN TỐT NGHIỆP            Thiết Kế Kỹ Thuật Bến Căn Cứ Đóng Mới Giàn Jacket Độ Sâu
                        .     Đến 95.7M Nước Hạ Thủy Bằng Phương Pháp Kéo Trượt


   Những nội quy an toàn riêng trong từng công việc.

        An toàn trong công tác ván khuôn:
   -Ván khuôn phải đƣợc chế tạo và lắp dựng theo đúng yêu cầu trong thiết kế thi công.

   -Các tấm ván khuôn và các phần ván khuôn tấm lớn phải đƣợc bảo quản tại kho
chứa, bằng phẳng và có mái che xếp thành từng đống có chiều cao không lớn hơn 2,5m.

    -Các ván khuôn ghép thành khối hoặc thành tấm lớn phải đảm bảo vững chắc, khi
cẩu lắp tránh va chạm vào các kết cấu đã lắp dựng.

    -Khi di chuyển và dựng lắp các tấm ván khuôn phải kiểm tra các thiết bị buộc móc,
các thiết bị buộc nâng và các thiết bị di động.

   -Công nhân làm việc ở trên cao và công nhân làm việc ở dƣới khi lắp dựng ván
khuôn liên lạc với nhau bằng tín hiệu.

   -Không đƣợc để các thiết bị, vật liệu trên ván khuôn không có trong thiết kế.

    -Trƣớc khi đổ bêtông, phải kiểm tra lại ván khuôn cho chắc chắn nếu có biến dạng
lớn phải sửa ngay.

   -Chỉ đƣợc tháo dỡ ván khuôn sau khi bêtông dã đạt đến cƣờng độ qui định theo sự
hƣớng dẫn của cán bộ kỹ thuật thi công.

   -Khi tháo dỡ ván khuôn, phải tháo dỡ theo trình tự hợp lý, phải có các biện pháp đề
phòng ván khuôn rơi hoặc kết cấu công trình bị sập đổ bất ngờ.

   -Ngoài ra, trong công tác ván khuôn phải thực hiện nghiêm túc các quy định và
những biện pháp phòng cháy, vệ sinh công nghiệp.

        An toàn trong công tác cốt thép.
   -Công nhân hàn, cắt, uốn cốt thép khi làm việc phải có các trang bị bảo hộ lao động
nhƣ găng tay, mũ, giày, quần áo ...

   -Các dây điện, dây hàn phải đảm bảo cách điện tốt.

    -Khi làm việc ở những chỗ ẩm ƣớt, không đƣợc sờ vào vỏ hoặc các bộ phận của thiết
bị điện tránh hiện tƣợng điện rò rỉ.

   -Quanh chỗ hàn không đƣợc để các vật dễ cháy.

   -Hàn ở những chỗ khô ráo, thông thoáng.
     GVHD: Th.S. Dƣơng Thanh Quỳnh
     SVTH : Vũ Trọng Chung     -   MSSV : 273352             -    Lớp 52CB3        122
ĐỒ ÁN TỐT NGHIỆP             Thiết Kế Kỹ Thuật Bến Căn Cứ Đóng Mới Giàn Jacket Độ Sâu
                         .     Đến 95.7M Nước Hạ Thủy Bằng Phương Pháp Kéo Trượt


    -Khi sử dụng các thiết bị máy móc nhƣ tời điện, tời quay tay, máy uốn cắt thép... phải
nắm vững tính năng hoạt động của máy và các quy tắc vận hành máy, thực hiện đúng nội
quy an toàn lao động của từng loại máy.

    -Trƣớc khi lắp dựng khung dàn thép phải kiểm tra độ ổn định, vị trí móc cẩu, và các
nội quy an toàn khi sử dụng cần cẩu.

    -Khi làm ca đêm phải có đèn chiếu sáng.

        An toàn trong công tác sản xuất vữa bêtông.
    -Các thiết bị máy móc phục vụ cho công tác vữa bêtông phải đƣợc che chắn cẩn thận,
kiểm tra tính năng kỹ thuật của động cơ kỹ càng trƣớc khi vận hành và động cơ điện phải
đƣợc nối tiếp đất.

    -Không đƣợc dùng xẻng, các dụng cụ cầm tay khác để lấy vữa bêtông ra khỏi thùng
trộn khi đang vận hành.

   -Khu vực đi lại để vận chuyển cốt liệu cho công tác bêtông phải thuận lợi, không có
chƣớng ngại vật và đƣợc chiếu sáng đầy đủ.

    -Công nhân phải đƣợc trang bị đầy đủ các dụng cụ bảo hộ lao động.

        An toàn trong công tác vận chuyển vữa bêtông.
    -Khi dùng cần cẩu để vận chuyển vữa bêtông phải móc cẩu vào ben đựng vữa cẩn
thận, chắc chắn. Việc nâng ben chỉ đƣợc tiến hành khi có tín hiệu của ngƣời móc cẩu phía
dƣới. Thƣờng xuyên kiểm tra móc cẩu, dây cáp có bị hƣ hỏng không.

    -Trong trƣờng hợp vận chuyển vữa bằng máy bơm thì phải có hệ thống tín hiệu hoặc
thông tin giữa ngƣời vận hành máy với ngƣời ở nơi đổ bêtông.
    -Vận chuyển vữa phải đúng thời gian quy định, không đƣợc kéo dài thời gian ảnh
hƣởng tới chất lƣợng bêtông, do đó ngƣời vận chuyển phải bình tĩnh không vội vàng lái
xe nhanh dễ gây tai nạn.
        An toàn trong công tác đổ bêtông.
   -Đối với công nhân sử dụng máy đầm phải có trang bị đầy đủ các dụng cụ bảo hộ lao
động nhƣ gang tay, mũ...
    -Trƣớc khi đổ bê tông phải làm công tác kiểm tra ván khuôn, cốt thép có đúng theo
bản vẽ thiết kế không, nếu phát hiện sai phải sửa.


     GVHD: Th.S. Dƣơng Thanh Quỳnh
     SVTH : Vũ Trọng Chung     -   MSSV : 273352              -    Lớp 52CB3        123
ĐỒ ÁN TỐT NGHIỆP            Thiết Kế Kỹ Thuật Bến Căn Cứ Đóng Mới Giàn Jacket Độ Sâu
                        .     Đến 95.7M Nước Hạ Thủy Bằng Phương Pháp Kéo Trượt


    -Trong quá trình đổ phải kết hợp giữa ngƣời chỉ đạo và công nhân khi đổ, đầm bê
tông. Khi làm xong phải lau rửa máy sạch sẽ, cất giữ cẩn thận.
        An toàn trong công tác lắp ghép tƣờng góc.
    -Các cấu kiện bê tông đúc phải đƣợc sắp xếp hợp lý đảm bảo dễ dàng khi buộc móc,
vận chuyển không gây biến dạng thuận lợi khi xếp dỡ.
   -Những cấu kiện có khả năng xoay lắc khi nâng chuyển phải đƣợc buộc cẩn thận và
dùng dây mềm để neo hãm.
    -Đối với những cấu kiện dễ bị biến dạng, nứt gãy phải đƣợc gia cƣờng chắc chắn khi
cẩu lên, xếp dỡ.
    -Không đƣợc ngừng công việc khi chƣa lắp đặt cấu kiện xong vào vị trí ổn định. Các
cấu kiện lắp ghép phải đƣợc neo chắc chắn với nhau.
   -Không cho phép công nhân đi lại, làm việc cạnh các cấu kiện đúc lắp ghép chƣa
hoàn chỉnh xong.
        An toàn trong sử dụng cần cẩu.
    -Chỉ đƣợc nâng những vật có tải trọng nhỏ hơn hoặc bằng tải trọng nâng cho phép.
    -Các loại cáp giằng, cáp nâng phải đƣợc thử nghiệm và ghi rõ thời hạn sử dụng.

4.4.10 Các loại cần trục tự hành, khi làm việc phải đƣợc tỳ vững chắc trên các chân
      chống ở nền cứng.

4.4.11 Đánh giá tác động của môi trƣờng
     1. Kiểm tra môi trƣờng ban đầu

     - Luật bảo vệ môi trƣờng đƣợc Quốc Hội Việt Nam thông qua vào tháng 12/1993 và
có hiệu lực vào năm 1994. Do vậy hầu hết tất cả các dự án lớn đều phải đƣợc đánh giá tác
động môi trƣờng. Luật này yêu cầu các nhà đầu tƣ, chủ dự án hay giám đốc các cơ quan
phải tiến hành đánh giá tác động môi trƣờng. Điều 11 bộ luật môi trƣờng quy định đánh
giá tác động môi trƣờng phải đƣợc thực hiện làm hai giai đoạn, cụ thể là giai đoạn sơ bộ
và giai đoạn chi tiết.

    - Nguyên nhân ảnh hƣởng tiêu cực chủ yếu của việc triển khai dự án có thể đƣợc
phân thành 3 loại: (a) do vị trí; (b) do xây dựng; (c) do hoạt động; kể cả giao thông tàu
thuyền và chất thải, bốc xếp và vận tải đƣờng bộ. Về vị trí bao hàm việc tồn tại của các
công trình và vị trí phát triển. Xây dựng bao gồm các hoạt động xây dựng ở biển và trên
     GVHD: Th.S. Dƣơng Thanh Quỳnh
     SVTH : Vũ Trọng Chung     -   MSSV : 273352             -    Lớp 52CB3        124
ĐỒ ÁN TỐT NGHIỆP             Thiết Kế Kỹ Thuật Bến Căn Cứ Đóng Mới Giàn Jacket Độ Sâu
                         .     Đến 95.7M Nước Hạ Thủy Bằng Phương Pháp Kéo Trượt


đất liền, nạo vét, thanh thải vật liệu nạo vét và vận tải vật liệu xây dựng. Hoạt động của
vũng neo đậu gồm các yếu tố liên quan đến tàu thuyền nhƣ giao thông tàu thuyền chất
thải và khí thoát của tàu thuyền; các yếu tố liên quan đến hàng hoá nhƣ bốc xếp lƣu kho
hàng hoá.

     - Đối với sa bồi phát sinh do quá trình xây dựng các công trình, điều duy nhất có thể
thực hiện là hạn chế khối lƣợng sa bồi phát sinh bằng cách thực hiện những biện pháp
quản lý chặt chẽ, đặc biệt là tại các nơi đổ đất nạo vét và việc thực hiện những kỹ thuật
thi công gây ít ảnh hƣởng đến môi trƣờng nƣớc.

     - Các khía cạnh môi trƣờng cần xem xét liên quan đến việc phát triển đƣợc phân
thành 9 nhóm: (a) chất lƣợng nƣớc; (b) thuỷ văn ven biển; (c) ô nhiễm đáy; (d) sinh thái
biển và ven biển; (e) chất lƣợng không khí; (f) tiếng ồn và độ rung; (g) quản lý chất thải;
(h) chất lƣợng cảnh quan; (i) tác động văn hoá-xã hội.

    - Tác động trong giai đoạn thi công

    - Trong quá trình tiến hành thi công sẽ có những tác động sau đối với môi trƣờng:

a) Tác động đến chất lƣợng không khí:
      - Bụi sinh do các hoạt động thi công đƣờng, san lấp mặt bằng, vận chuyển vật liệu
và thiết bị....

    - Khói hàn, khí thải của các phƣơng tiện vận tải và thi công có chứa nhiều bụi, SO2;
NO2; CO2; Hydrocacbon và chì (Pb).

     - Tiếng ồn rung do các phƣơng tiện vận tải và thi công.

     - Các ảnh hƣởng này chỉ mang tính chất ngắn hạn sẽ giảm đi và triệt tiêu sau khi
công trình xây dựng xong.

b) Tác động đến chất lƣợng nƣớc
    - Làm tăng độ đục của nƣớc do công tác nạo vét khu nƣớc, và sự rơi vãi nhiên liệu,
nguyên liệu trong quá trình thi công.

     - Nƣớc mƣa chảy tràn cuốn theo đất cát, vật liệu và dầu mỡ rơi vãi trên mặt bằng thi
công xuống biển.

     - Nƣớc thải từ tàu thuyền xà lan chuyên chở nguyên vật liệu, nƣớc thải sinh hoạt của
công nhân xây dựng.

     GVHD: Th.S. Dƣơng Thanh Quỳnh
     SVTH : Vũ Trọng Chung     -   MSSV : 273352              -    Lớp 52CB3        125
ĐỒ ÁN TỐT NGHIỆP            Thiết Kế Kỹ Thuật Bến Căn Cứ Đóng Mới Giàn Jacket Độ Sâu
                        .     Đến 95.7M Nước Hạ Thủy Bằng Phương Pháp Kéo Trượt


     - Các ảnh hƣởng này đƣợc xem là nhỏ và ngắn hạn...

c) Các tác động gây ô nhiễm do chất rắn
     - Vật liệu xây dựng phế bỏ, rác thải từ tàu thuyền, rác thải sinh hoạt của công nhân
xây dựng.

     - Các sản phẩm nạo vét và san lấp.

     Đây là những tác động ở mức độ nhỏ, ngắn hạn có thể khắc phục bằng các biện
pháp hành chính và kỹ thuật.

d) Tác động đến môi trƣớng sinh học :
     Việc giải phóng mặt bằng, chuẩn bị công trƣờng xây dựng sẽ làm mất đi hệ sinh thái
tự nhiên trƣớc đó. Tuy nhiên thảm thực vật tại khu vực này rất nghèo ( chủ yếu là các bãi
cát ) do vậy, tác động này đƣợc xem là không đáng kể.

    Các hoạt động trong quá trình xây dựng sẽ tác động đến sinh thái khu vực, làm xáo
trộn môi trƣờng trầm tích và ảnh hƣởng đến sinh vật biển. Sự tăng hàm lƣơng chất lơ
lửng cũng nhƣ các chất bẩn sẽ làm giảm khả năng quang hợp của các loài tảo biển. Sự
lắng động của các loại hạt này sẽ gây hại đến quần thể san hô, động vật đáy, bãi đẻ trứng
của cá và khu vực đánh bắt cá.

  Những tác động này ở mức độ trung bình và ngắn hạn sẽ đƣợc phục hồi nhanh chóng.

2 Tác động trong quá trình khai thác
    Trong quá trình khai thác và sử dụng công trình sẽ gây ra các ảnh hƣởng sau đến môi
trƣờng:

   + Ảnh hƣởng đến chất lƣợng không khí

   + Tiếng ồn sinh ra từ các máy móc thiết bị

   + Mùi ôi thối của hải sản từ các thuyền đánh cá

   + Khí thải từ các động cơ

     Do vị trí của công trình đƣợc đặt ngoài cửa biển nên những tác độngnày chỉ ở mức
trung bình và có thể đƣợc khuếch tán bởi gió.

     Tác động đến chất lƣợng nƣớc:

     GVHD: Th.S. Dƣơng Thanh Quỳnh
     SVTH : Vũ Trọng Chung     -   MSSV : 273352             -    Lớp 52CB3        126
ĐỒ ÁN TỐT NGHIỆP             Thiết Kế Kỹ Thuật Bến Căn Cứ Đóng Mới Giàn Jacket Độ Sâu
                         .     Đến 95.7M Nước Hạ Thủy Bằng Phương Pháp Kéo Trượt


          + Rơi vãi xăng dầu xuống nƣớc từ nơi cấp phát, tàu và các xe cơ giới

          + Nƣớc thải sinh hoạt, nƣớc vệ sinh tàu thuyền

          + Nƣớc mƣa làm cuốn trôi các chất gây ô nhiễm ở trên bờ xuống biển

          + Các hoạt động nạo vét duy tu hàng năm

    Các tác động này là tất yếu nhƣng theo các chuyên gia chỉ là mức độ trung bình và
không đáng kể.

3.Tác động của các sự cố có thể xả nhiên liệu.
    Trong giai đoạn khai thác, những nguyên nhân chủ yếu có thể gây ra cháy nổ là do sự
cố từ các trạm cung cấp nhiên liệu và từ các tàu thuyền.

     Sự cố cháy nổ sẽ sinh ra một lƣợng lớn các khí NOx; SOx; COx; bụi, nƣớc chua sẽ
giải phóng H2S, làm ô nhiễm không khí, làm ảnh hƣởng đến sức khoẻ của con ngƣời. Sự
cố cháy nổ còn có thể dẫn đến làm tràn nhiên liệu, hoá chất.

    Để giảm thiểu các sự cố cháy nổ cần thiết phải có hệ thống phòng cháy trong khu
vực. Cần phải thành lập đội chữa cháy và có kế hoạch ứng cứu khẩn trƣơng để hạn chế
đến mức tối thiểu các tác động tiêu cực có thể xảy ra đối với môi trƣờng. Mặt khác, cần
phải thƣờng xuyên đào tạo, thực tập các biện pháp phòng chống cháy, nổ.




     GVHD: Th.S. Dƣơng Thanh Quỳnh
     SVTH : Vũ Trọng Chung     -   MSSV : 273352              -    Lớp 52CB3        127
ĐỒ ÁN TỐT NGHIỆP            Thiết Kế Kỹ Thuật Bến Căn Cứ Đóng Mới Giàn Jacket Độ Sâu
                        .     Đến 95.7M Nước Hạ Thủy Bằng Phương Pháp Kéo Trượt


                             TÀI LIỆU THAM KHẢO

  1. Công trình bến cảng biển - Tiêu chuẩn thiết kế. 22TCN 207 – 92
  2. Tải trọng và tác động (do sóng và do tầu) lên công trình thuỷ - Tiêu chuẩn thiết kế
     22 TCN 222 - 95.
  3. Tải trọng và tác động - Tiêu chuẩn thiết kế TCVN 2737-1995.
  4. Nền công trình thuỷ công - Tiêu chuẩn thiết kế TCVN 4253 - 86.
  5. Kết cấu bê tông và bê tông cốt thép thuỷ công - Tiêu chuẩn thiết kế TCVN 4116 -
     1985.
  6. Kết cấu bê tông và bê tông cốt thép - Yêu cầu bảo vệ chống ăn mòn trong môi
     trƣờng biển. TCVN 327: 2004.
  7. Kết cấu bê tông và bê tông cốt thép Tiêu chuẩn thiết kế-TCXDVN 356:2005
  8. Móng cọc - Tiêu chuẩn thiết kế TCXD 205-1998.
  9. Móng cọc tiết diện nhỏ - Tiêu chuẩn thiết kế TCXD 189-1996
  10. Hƣớng dẫn thiết kế kết cấu BT và BTCT công trình thuỷ.
  11. Kỹ thuật và tổ chức thi công công trình thuỷ lợi. Tập 1, 2
  12. Sổ tay chọn máy thi công xây dựng.
  13. Tiêu chuẩn thiết kế hệ thống đệm và neo tàu.
  14. Quy hoạch cảng.
  15. Nền và móng.
  16. Cơ học đất.




    GVHD: Th.S. Dƣơng Thanh Quỳnh
    SVTH : Vũ Trọng Chung     -   MSSV : 273352              -     Lớp 52CB3       128
ĐỒ ÁN TỐT NGHIỆP        Thiết Kế Kỹ Thuật Bến Căn Cứ Đóng Mới Giàn Jacket Độ Sâu
                    .     Đến 95.7M Nước Hạ Thủy Bằng Phương Pháp Kéo Trượt




                         PHỤ LỤC




    GVHD: Th.S. Dƣơng Thanh Quỳnh
    SVTH : Vũ Trọng Chung     -   MSSV : 273352          -    Lớp 52CB3        129
ĐỒ ÁN TỐT NGHIỆP        Thiết Kế Kỹ Thuật Bến Căn Cứ Đóng Mới Giàn Jacket Độ Sâu
                    .     Đến 95.7M Nước Hạ Thủy Bằng Phương Pháp Kéo Trượt




           PHỤ LỤC 1: PHÂN ĐOẠN KHÔNG ĐƢỜNG TRƢỢT

                            1.   Sơ đồ tính
                            2.   Tải trọng
                            3.   Chuyển vị
                            4.   Nội lực
                            5.   Kiểm tra sức chịu tải của cọc
                            6.   Tính thép
                            7.   Kiểm tra ổn định




    GVHD: Th.S. Dƣơng Thanh Quỳnh
    SVTH : Vũ Trọng Chung     -   MSSV : 273352          -    Lớp 52CB3        130
ĐỒ ÁN TỐT NGHIỆP        Thiết Kế Kỹ Thuật Bến Căn Cứ Đóng Mới Giàn Jacket Độ Sâu
                    .     Đến 95.7M Nước Hạ Thủy Bằng Phương Pháp Kéo Trượt


    1.Sơ đồ tính




    2. Tải trọng

       Neo




    GVHD: Th.S. Dƣơng Thanh Quỳnh
    SVTH : Vũ Trọng Chung     -   MSSV : 273352          -    Lớp 52CB3        131
ĐỒ ÁN TỐT NGHIỆP        Thiết Kế Kỹ Thuật Bến Căn Cứ Đóng Mới Giàn Jacket Độ Sâu
                    .     Đến 95.7M Nước Hạ Thủy Bằng Phương Pháp Kéo Trượt


    Va




    Tựa




    GVHD: Th.S. Dƣơng Thanh Quỳnh
    SVTH : Vũ Trọng Chung     -   MSSV : 273352          -    Lớp 52CB3        132
ĐỒ ÁN TỐT NGHIỆP        Thiết Kế Kỹ Thuật Bến Căn Cứ Đóng Mới Giàn Jacket Độ Sâu
                    .     Đến 95.7M Nước Hạ Thủy Bằng Phương Pháp Kéo Trượt


    Cần trục




    GVHD: Th.S. Dƣơng Thanh Quỳnh
    SVTH : Vũ Trọng Chung     -   MSSV : 273352          -    Lớp 52CB3        133
ĐỒ ÁN TỐT NGHIỆP        Thiết Kế Kỹ Thuật Bến Căn Cứ Đóng Mới Giàn Jacket Độ Sâu
                    .     Đến 95.7M Nước Hạ Thủy Bằng Phương Pháp Kéo Trượt




    - Hàng hóa 1




    - Hàng hóa 2




    GVHD: Th.S. Dƣơng Thanh Quỳnh
    SVTH : Vũ Trọng Chung     -   MSSV : 273352          -    Lớp 52CB3        134
ĐỒ ÁN TỐT NGHIỆP        Thiết Kế Kỹ Thuật Bến Căn Cứ Đóng Mới Giàn Jacket Độ Sâu
                    .     Đến 95.7M Nước Hạ Thủy Bằng Phương Pháp Kéo Trượt




    - Hàng hóa 3




    - Hàng hóa 4




    GVHD: Th.S. Dƣơng Thanh Quỳnh
    SVTH : Vũ Trọng Chung     -   MSSV : 273352          -    Lớp 52CB3        135
ĐỒ ÁN TỐT NGHIỆP        Thiết Kế Kỹ Thuật Bến Căn Cứ Đóng Mới Giàn Jacket Độ Sâu
                    .     Đến 95.7M Nước Hạ Thủy Bằng Phương Pháp Kéo Trượt


    - Hàng hóa 5




    3. Chuyển vị




    GVHD: Th.S. Dƣơng Thanh Quỳnh
    SVTH : Vũ Trọng Chung     -   MSSV : 273352          -    Lớp 52CB3        136
ĐỒ ÁN TỐT NGHIỆP            Thiết Kế Kỹ Thuật Bến Căn Cứ Đóng Mới Giàn Jacket Độ Sâu
                        .     Đến 95.7M Nước Hạ Thủy Bằng Phương Pháp Kéo Trượt


    3. Nội lực

    - Lực dọc cọc




    - Mômen dầm dọc




    - Lực cắt dầm dọc




    GVHD: Th.S. Dƣơng Thanh Quỳnh
    SVTH : Vũ Trọng Chung     -   MSSV : 273352              -    Lớp 52CB3        137
ĐỒ ÁN TỐT NGHIỆP         Thiết Kế Kỹ Thuật Bến Căn Cứ Đóng Mới Giàn Jacket Độ Sâu
                     .     Đến 95.7M Nước Hạ Thủy Bằng Phương Pháp Kéo Trượt


    - Mômen dầm ngang




    - Lực cắt dầm ngang




    GVHD: Th.S. Dƣơng Thanh Quỳnh
    SVTH : Vũ Trọng Chung     -   MSSV : 273352           -    Lớp 52CB3        138
ĐỒ ÁN TỐT NGHIỆP        Thiết Kế Kỹ Thuật Bến Căn Cứ Đóng Mới Giàn Jacket Độ Sâu
                    .     Đến 95.7M Nước Hạ Thủy Bằng Phương Pháp Kéo Trượt


    - Mômen M11




    - Mômen M22




    GVHD: Th.S. Dƣơng Thanh Quỳnh
    SVTH : Vũ Trọng Chung     -   MSSV : 273352          -    Lớp 52CB3        139
ĐỒ ÁN TỐT NGHIỆP             Thiết Kế Kỹ Thuật Bến Căn Cứ Đóng Mới Giàn Jacket Độ Sâu
                         .     Đến 95.7M Nước Hạ Thủy Bằng Phương Pháp Kéo Trượt


5.Kiểm tra sức chịu tải của cọc

 (Theo tiêu chuẩn móng cọc TCXDVN205-1998)

5.1.Tính toán sức chịu tải của cọc theo đất nền

   Công thức tính toán

    Ф =m.( mr.qp.F + U.Σmf.fi.li )

   Trong đó :

   Ф : Sức chịu tải của cọc theo đất nền

   m : Hệ số điều kiện làm việc trong đất      m = 1.0

   R : Sức chống tính toán của đất ở mũi cọc(T/m2) qp=430 T/m2

   F : Diện tích mặt cắt ngang cọc.

   Bề rộng cọc : 100 cm           => F = 0.875m2

   U : Chu vi tiết diện ngang cọc:      U =3.14

   mf,mr :Tƣơng ứng là các hệ số điều kiện làm việc của đất dƣới chân cọc và trên thành
cọc có xét đến ảnh hƣởng của phƣơng pháp hạ cọc : mf = mr = 1

    li : Chiều dày lớp đất thứ i mà mũi cọc đi qua .

   Chia lớp đất thành các lớp đồng nhất có chiều dày là 2m.

    fi : Sức chống tính toán của đất ở thân cọc (T/m2) , tra bảng 2-TCXD205-1998 ta có :




     GVHD: Th.S. Dƣơng Thanh Quỳnh
     SVTH : Vũ Trọng Chung     -   MSSV : 273352              -    Lớp 52CB3        140
ĐỒ ÁN TỐT NGHIỆP            Thiết Kế Kỹ Thuật Bến Căn Cứ Đóng Mới Giàn Jacket Độ Sâu
                        .     Đến 95.7M Nước Hạ Thủy Bằng Phương Pháp Kéo Trượt


 Tên        Cao      Độ         Bề                Độ
                                          li                B          fi     qp          fi.li
 lớp         độ     sâu         dày              sâu
  2          1.5     -5         6.5       0        0                    0      0          0
  4          -5     -7.5        2.5       0        0      1.51          0      0          0
  5a        -7.5   -10.2        2.7       0        2      0.55         1.5                0
           -10.2   -19.4        9.2       2        4      0.55         1.9              3.8
                                          2        6      0.55        2.15              4.3
                                          2        8      0.55         4.4              8.8
                                          2       10      0.55         4.6              9.2
                                         1.2      12      0.55         4.8              9.6
   6       -19.4   -34.4        15        2       14      0.31          5                10
                                          2       16      0.31         5.2              10.4
                                          2       18      0.31         5.4              10.8
                                          2       20      0.31         5.6    430       11.2
                                          2       22      0.31         5.8              11.6
                                          2       24      0.31          6               12
                                          2       26      0.31         6.2              12.4
                                          2       28      0.31         6.4             12.8
                                          1       30      0.31         6.6              6.6
   6       -34.4   -39.87                 2       32      0.31         6.8             13.6
                                          1       33      0.31         6.9              6.9
   7                                      2       35      0.22         9.8             19.6
                                          2       37      0.22         10               20
                                         0.5     37.5     0.22         10                5
                                          0      37.5     0.62                         153.58
  10                                      0      37.5     0.39
  11                                      0      37.5     1.32


Qua tính toán :                                 Σfi.li = 153.58T/m2

   Sức chịu nén của cọc theo đất nền :

   Ta có :                                          Ф = 614.80T

                                                    Pn = Ф/Ktc =469.10T


       GVHD: Th.S. Dƣơng Thanh Quỳnh
       SVTH : Vũ Trọng Chung     -   MSSV : 273352           -    Lớp 52CB3         141
ĐỒ ÁN TỐT NGHIỆP              Thiết Kế Kỹ Thuật Bến Căn Cứ Đóng Mới Giàn Jacket Độ Sâu
                          .     Đến 95.7M Nước Hạ Thủy Bằng Phương Pháp Kéo Trượt


    Ktc : Hệ số độ tin cậy                              Ktc = 1.4

5.2.Tính toán sức chịu nhổ của cọc theo đất nền

    Công thức tính toán: Ф = m.U.Σmf.fi.li

    Trong đó:

    Ф : Sức chịu tải của cọc theo đất nền

    m: Hệ số điều kiện làm việc trong đất lấy m = 0.8

     U: Chu vi tiết diện ngang cọc       U = 3.14

  mf,mr: Tƣơng ứng là các hệ số điều kiện làm việc của đất dƣới chân cọc và trên thành
cọc có xét đến ảnh hƣởng của phƣơng pháp hạ cọc : mf = mr = 1

      li: Chiều dày lớp đất thứ I mà mũi cọc đi qua.

      fi: Sức chống tính toán của đất ở thân cọc (T/m2)

     Sức chịu nhổ của cọc theo đất nền.

      Ta có :                            Ф = 343.10

                                          Pnh = Ф/Ktc = 245.07

      Ktc : Hệ số độ tin cậy Ktc = 1.4

5.3.Kiểm tra khả năng chịu nén của cọc :

   Nội lực tính toán :                     Nmax = 246.70T

                                           Ntt = nc.n.mđ. Nmax + G

   Trong đó :

    nc : Hệ số tổ hợp tải trọng :           nc = 1.00

     GVHD: Th.S. Dƣơng Thanh Quỳnh
     SVTH : Vũ Trọng Chung     -   MSSV : 273352                 -   Lớp 52CB3       142
ĐỒ ÁN TỐT NGHIỆP                Thiết Kế Kỹ Thuật Bến Căn Cứ Đóng Mới Giàn Jacket Độ Sâu
                            .     Đến 95.7M Nước Hạ Thủy Bằng Phương Pháp Kéo Trượt


       n : Hệ số vƣợt tải           :         n = 1.25

       mđ : Hệ số phụ điều kiện làm việc      mđ = 1.00

       G : Trọng lƣợng bản thân cọc            G = 78.5

       Chiều dài cọc                           L = 40

       Vậy                                     Ntt = 386.875T

Qua tính toán trên                              Ntt < Pn

=> Cọc đảm bảo chịu lực theo đất nền.

5.4.Sức chịu tải của cọc theo vật liệu làm cọc.

   Biểu thức tính toán :          Pn = Ra.Fa + Rnp.Fb

   Trong đó :

       Fa : Diện tích cốt thép chịu lực 12Ø20 => Fa = 37.680 cm2

       Ra : Cƣờng độ chịu nén của cốt thép                2800 kg/cm2

       Rnp: Cƣờng độ chịu nén của BT                       175 kg/cm2

       Vậy :                        P = 1482.50T

5.5.Chọn chiều dài cọc

   Chiều dài cọc đƣợc chọn theo các điều kiện sau:

   -     Sức chịu tải của cọc theo đất nền
   -     Sức chịu tải của cọc theo vật liệu làm cọc
   -     Ta thấy sức chịu tải của cọc theo đất nền nhỏ hơn sức chịu tải của cọc theo vật liệu
         làm cọc do đó ta chọn chiều dài cọc theo sức chịu tải của đất nền có chiều dài 40m
   -     ( Chiều dài thức tế của cọc sẽ đƣợc quyết định sau khi có kết quả thử cọc )
        GVHD: Th.S. Dƣơng Thanh Quỳnh
        SVTH : Vũ Trọng Chung     -   MSSV : 273352              -      Lớp 52CB3      143
ĐỒ ÁN TỐT NGHIỆP               Thiết Kế Kỹ Thuật Bến Căn Cứ Đóng Mới Giàn Jacket Độ Sâu
                           .     Đến 95.7M Nước Hạ Thủy Bằng Phương Pháp Kéo Trượt


6.Tính thép

6.1.Bản cầu tàu dày 1600 mm

Tiết diện và nội lực tính toán.

       Cấu kiện                 b(cm)     h(cm)     a(cm)       ho(cm) M(T.m) Qtu(T)
  Bản mặt CT (M11+)              100       160        7          153    28.89 18.58
  Bản mặt CT (M11-)              100       160        7          153    21.65 19.41
  Bản mặt CT (M22+)              100       160        7          153    29.51 21.25
  Bản mặt CT (M22-)              100       160        7          153    14.65 21.30


Các hệ số tham gia tính toán.

   kn         nc    mb3             ma       Rnp          Ra
  1.15        1     1.25           1.15      175         2800


Tính toán với mômen có giá trị lớn nhất.

       Cấu kiện        d(mm) số thanh Fa(cm2) F'a(cm2)
 Bản mặt CT (M11+)       28      10       5.90     61.58
 Bản mặt CT (M11-)       28      10       4.41     38.01
 Bản mặt CT (M22+)       28      10       6.03     61.58
 Bản mặt CT (M22-)       28      10       2.99     38.01
Tính toán các cấu kiện BTCT theo cƣờng độ chịu cắt

Kiểm tra điều kiện tiết diện chọn đủ nếu thỏa mãn điều kiện : kn.nc.n.Q <=
0.25.mb3.Rnp.b.ho

      Cấu kiện              kn          nc          n        Q(kg)       kn.nc.n.Q (kg)
 Bản mặt CT (M11+)         1.15         1         1.25      15483.33       22257.29
 Bản mặt CT (M11-)         1.15         1         1.25      16175.00       23251.56
 Bản mặt CT (M22+)         1.15         1         1.25      17708.33       25455.73
 Bản mặt CT (M22-)         1.15         1         1.25      17750.00       25515.63


     GVHD: Th.S. Dƣơng Thanh Quỳnh
     SVTH : Vũ Trọng Chung     -   MSSV : 273352                     -   Lớp 52CB3        144
ĐỒ ÁN TỐT NGHIỆP           Thiết Kế Kỹ Thuật Bến Căn Cứ Đóng Mới Giàn Jacket Độ Sâu
                       .     Đến 95.7M Nước Hạ Thủy Bằng Phương Pháp Kéo Trượt


      Cấu kiện         mb3    Rnp         b                   ho              0.25.mb3.Rnp.b.ho
                            (kg/cm2)    (cm)                 (cm)                    (kg)
 Bản mặt CT (M11+)      1      175       100                  153                  2686950
 Bản mặt CT (M11-)      1      175       100                  153                  2692550
 Bản mặt CT (M22+)      1      175       100                  153                  2686950
 Bản mặt CT (M22-)      1      175       100                  153                  2692550
=> kn.nc.n.Q <= 0.25.mb3.Rnp.b.ho => Thỏa mãn

Kiểm tra điều kiện khi không phải cốt ngang khi thỏa mãn điều kiện :
kn.nc.n.Q<=mb3.Qb

      Cấu kiện     b(cm) ho(cm)            a(cm)   M(kg.cm)          Qtu(kg)        Ra(kg/cm2)
 Bản mặt CT (M11+) 100 153.54               6.6    2889000          15483.30           2800
 Bản mặt CT (M11-)  100 153.11              6.25   2165000          16175.00           2800
 Bản mặt CT (M22+) 100 153.54               6.6     295100          17708.30           2800
 Bản mặt CT (M22-)  100 153.11              6.25   1465000          17750.00           2800


      Cấu kiện         Fa(cm2) Rnp(kg/cm2)            tgβ'             tgβ          k       b3
 Bản mặt CT (M11+)       5.9       175                0.9              0.9         0.51      1
 Bản mặt CT (M11-)       4.41      175                1.07             1.07        0.5       1
 Bản mặt CT (M22+)       6.03      175                0.96             0.96        0.51      1
 Bản mặt CT (M22-)       2.99      175                1.3              1.3         0.51      1


      Cấu kiện        b(cm) ho(cm) tgβ         Qb(kg)     kn.nc.n.Q(kg) mb3.Qb
 Bản mặt CT (M11+) 100         153     0.90 85218.49         2257.29      85218.4
 Bản mặt CT (M11-)      100    153     1.07 100548.80        23251.56     100548
 Bản mặt CT (M22+) 100         153     0.96 90573.04         25455.73     90573.0
 Bản mặt CT (M22-)      100    153     1.30 121661.6         25515.63     121661
Kiểm tra điều kiện khi không phải cốt đai không có cốt xiên: kn.nc.n.Q <= Qxb

      Cấu kiện             k   Rax(kg/cm2) Rnp(kg/cm2)            Rp      b(cm)       ho(cm)
 Bản mặt CT (M11+)         1      1700         175                12       100         153
 Bản mặt CT (M11-)         1      1700         175                12       100         153
 Bản mặt CT (M22+)         1      1700         175                12       100         153
 Bản mặt CT (M22-)         1      1700         175                12       100         153
     GVHD: Th.S. Dƣơng Thanh Quỳnh
     SVTH : Vũ Trọng Chung     -   MSSV : 273352              -        Lớp 52CB3          145
ĐỒ ÁN TỐT NGHIỆP           Thiết Kế Kỹ Thuật Bến Căn Cứ Đóng Mới Giàn Jacket Độ Sâu
                       .     Đến 95.7M Nước Hạ Thủy Bằng Phương Pháp Kéo Trượt


      Cấu kiện     cốt đai Fax    qx    kn.nc.n.Q                  Qxb       mb.Rb.b/2
                    (mm) (cm2) (kg/cm2)   (kg)                     (kg)      (kg/cm2)
 Bản mặt CT (M11+)   12     5    7921    22257                   1143325       600
 Bản mặt CT (M11-)   12     5    7921    23252                   3623047       600
 Bản mặt CT (M22+)   12     5    7921    25456                   3615512       600
 Bản mặt CT (M22-)   12     5    7921    25516                   3623047       600


Tính toán cấu kiện BTCT theo trạng thái giới hạn II

      Cấu kiện        mb         Ra      d    Fa    Rnp      b    X    ho
                              (kg/cm2) (cm) (cm2) (kg/cm2) (cm) (cm) (cm)
 Bản mặt CT (M11+)     1        2800    2.8  5.90   225     100 0.84 153.54
 Bản mặt CT (M11-)     1        2800    2.2  4.41   225     100 0.63 153.11
 Bản mặt CT (M22+)     1        2800    2.8  6.03   225     100 0.86 153.54
 Bản mặt CT (M22-)     1        2800    2.8  2.99   225     100 0.43 153.11


      Cấu kiện         F'a(cm2)        Z    δa(kg/cm2)
 Bản mặt CT (M11+)       61.58       153.12   306.42
 Bản mặt CT (M11-)       38.01       153.54   370.93
 Bản mặt CT (M22+)       61.58       153.15   313.01
 Bản mặt CT (M22-)       38.01       153.65   250.83


      Cấu kiện        Cd        d      Fa      F'a     η       δbd         Ea            μ
                              (cm)   (cm2)   (cm2)     1    (kg/cm2)    (kg/cm2)
 Bản mặt CT (M11+)     1       2.8    5.90    61.6     1        0       2100000       0.004
 Bản mặt CT (M11-)     1       2.2    4.41     38      1        0       2100000       0.002
 Bản mặt CT (M22+)     1       2.8    6.03    61.6     1        0       2100000       0.004
 Bản mặt CT (M22-)     1       2.2    2.99     38      1        0       2100000       0.002


=> Thảo mãn điều kiện vết nứt : a ≤ [a] = 0.08 mm




    GVHD: Th.S. Dƣơng Thanh Quỳnh
    SVTH : Vũ Trọng Chung     -   MSSV : 273352             -    Lớp 52CB3         146
ĐỒ ÁN TỐT NGHIỆP             Thiết Kế Kỹ Thuật Bến Căn Cứ Đóng Mới Giàn Jacket Độ Sâu
                         .     Đến 95.7M Nước Hạ Thủy Bằng Phương Pháp Kéo Trượt


6.2.Bản cầu tàu dày 300mm

Tiết diện và nội lực tính toán :

      Cấu kiện        b(cm)        h(cm)     a(cm)    ho(cm)     M(T.m)       Qtu(T)
 Bản mặt CT (M11+) 100               30       5.7      24.3       0.74         1.62
 Bản mặt CT (M11-)     100           30       5.7      24.3       0.36         1.54
 Bản mặt CT (M22+) 100               30       5.7      24.3       0.68         1.42
 Bản mặt CT (M22-)     100           30       5.7      24.3       0.79         1.23
Các hệ số tính toán :

  kn    nc    mb3    ma     Rnp      Ra
 1.15 1       1.25  1.15 175        2800
Tính toán với mômen có giá trị lớn nhất :

       Cấu kiện        d(mm) số thanh Fa(cm2) F'a(cm2)
 Bản mặt CT (M11+)       14       7       0.95      10.78
 Bản mặt CT (M11-)       14       7       0.46      10.78
 Bản mặt CT (M22+)       14       7       0.88      10.78
 Bản mặt CT (M22-)       14       7       1.02      10.78
Tính toán các cấu kiện BTCT theo cƣờng độ chịu cắt:

Kiểm tra điều kiện tiết diện chọn đủ nếu thỏa mãn điều kiện: kn.nc.Q <=
0.25.mb3.Rnp.b.ho

      Cấu kiện            kn          nc         n       Q(kg)         kn.nc.n.Q (kg)
 Bản mặt CT (M11+)       1.15         1        1.25     1350.00           1940.63
 Bản mặt CT (M11-)       1.15         1        1.25     1283.33           1844.79
 Bản mặt CT (M22+)       1.15         1        1.25     1183.33           1701.04
 Bản mặt CT (M22-)       1.15         1        1.25     1025.00           1473.44

       Cấu kiện          mb3        Rnp         b         ho         0.25.mb3.Rnp.b.ho
                                  (kg/cm2)    (cm)       (cm)               (kg)
 Bản mặt CT (M11+)            1     175        100       24.37           106618.75
 Bản mặt CT (M11-)            1     175        100       24.37           106618.75
 Bản mặt CT (M22+)            1     175        100       24.37           106618.75
 Bản mặt CT (M22-)            1     175        100       24.37           106618.75
     GVHD: Th.S. Dƣơng Thanh Quỳnh
     SVTH : Vũ Trọng Chung     -   MSSV : 273352                 -   Lớp 52CB3          147
ĐỒ ÁN TỐT NGHIỆP           Thiết Kế Kỹ Thuật Bến Căn Cứ Đóng Mới Giàn Jacket Độ Sâu
                       .     Đến 95.7M Nước Hạ Thủy Bằng Phương Pháp Kéo Trượt


=> kn.nc.n.Q <= 0.25.mb3.Rnp.b.ho => Thỏa mãn

Kiểm tra điều kiện khi không phải cốt ngang khi thỏa mãn điều kiện :
kn.nc.n.Q<=mb3.Qb

      Cấu kiện     b(cm) ho(cm)            a(cm)   M(kg.cm)       Qtu(kg)      Ra(kg/cm2)
 Bản mặt CT (M11+) 100    24.37             5.7     74000         1350.00         2800
 Bản mặt CT (M11-)  100   24.37             5.7     36000         1283.30         2800
 Bản mặt CT (M22+) 100    24.37             5.7     68000         1183.30         2800
 Bản mặt CT (M22-)  100   24.37             5.7     79000         1025.00         2800


      Cấu kiện         Fa(cm2) Rnp(kg/cm2)          tgβ'        tgβ              k
 Bản mặt CT (M11+)       0.95      175              0.62        0.62           0.51
 Bản mặt CT (M11-)       0.46      175              0.93        0.93           0.51
 Bản mặt CT (M22+)       0.88      175              0.60        0.60           0.51
 Bản mặt CT (M22-)       1.02      175              0.48        0.48           0.51


      Cấu kiện          k   Rp b(cm) ho(cm) tgβ mb3 Qb(kg) kn.nc.n.Q(kg)
 Bản mặt CT (M11+)     0.51 2   100   24.4 0.62 1   9225.66   1940.63
 Bản mặt CT (M11-)     0.51 2   100   24.4 0.93 1 13760.70    1844.79
 Bản mặt CT (M22+)     0.51 2   100   24.4 0.60 1   8909.22   1701.04
 Bản mặt CT (M22-)     0.51 2   100   24.4 0.48 1   7213.29   1473.44


Kiểm tra điều kiện khi không phải cốt đai không có cốt xiên: kn.nc.n.Q <= Qxb

      Cấu kiện         Rax(kg/cm2) Rnp(kg/cm2)             Rp     b(cm) ho(cm)    ma    mb
 Bản mặt CT (M11+)        1700         175                 12      100    24      1      1
 Bản mặt CT (M11-)        1700         175                 12      100    24      1      1
 Bản mặt CT (M22+)        1700         175                 12      100    24      1      1
 Bản mặt CT (M22-)        1700         175                 12      100    24      1      1




    GVHD: Th.S. Dƣơng Thanh Quỳnh
    SVTH : Vũ Trọng Chung     -   MSSV : 273352             -     Lớp 52CB3       148
ĐỒ ÁN TỐT NGHIỆP             Thiết Kế Kỹ Thuật Bến Căn Cứ Đóng Mới Giàn Jacket Độ Sâu
                         .     Đến 95.7M Nước Hạ Thủy Bằng Phương Pháp Kéo Trượt


       Cấu kiện      U  cốt đai                Fax       qx    kn.nc.n.Q    Qxb         mb.Rb.b/2
                   (mm) (mm)                  (cm2)   (kg/cm2)   (kg)       (kg)        (kg/cm2)
 Bản mặt CT (M11+)   2   100                    5       7921     1941      181470         600
 Bản mặt CT (M11-)   2   100                    5       7921     1845      573857         600
 Bản mặt CT (M22+)   2   100                    5       7921     1701      573857         600
 Bản mặt CT (M22-)   2   100                    5       7921     1473      573857         600


Tính toán cấu kiện BTCT theo trạng thái giới hạn II

       Cấu kiện         ma        mb         Ra      d    Fa    Rnp      b          X       ho
                                          (kg/cm2) (cm) (cm2) (kg/cm2) (cm)       (cm)     (cm)
 Bản mặt CT (M11+)      1.15         1      2800    1.4 0.95    225     100       0.14     24.37
 Bản mặt CT (M11-)      1.15         1      2800    1.4 0.46    225     100       0.23     24.37
 Bản mặt CT (M22+)      1.15         1      2800    1.4 0.88    225     100       0.24     24.37
 Bản mặt CT (M22-)      1.15         1      2800    1.4 1.02    225     100       0.17     24.37


      Cấu kiện     M(kg.cm) F'a(cm2)   Z                    δa(kg/cm2)
 Bản mặt CT (M11+)  74000     10.78  24.30                    282.59
 Bản mặt CT (M11-)  36000     10.78  24.34                    137.28
 Bản mặt CT (M22+)  68000     10.78  24.31                    259.61
 Bản mặt CT (M22-)  79000     10.78  24.30                    301.74

       Cấu kiện         k       Cd         d    Fa    F'a      η      δbd      Ea    μ
                                         (cm) (cm2) (cm2)      1   (kg/cm2) (kg/cm2)
 Bản mặt CT (M11+)      1        1        1.4 0.95 10.78       1       0     2E+06 0.004
 Bản mặt CT (M11-)      1        1        1.4 0.46 10.78       1       0     2E+06 0.004
 Bản mặt CT (M22+)      1        1        1.4 0.88 10.78       1       0     2E+06 0.004
 Bản mặt CT (M22-)      1        1        1.4 1.02 10.78       1       0     2E+06 0.004


=> Thảo mãn điều kiện vết nứt : a ≤ [a] = 0.08 mm

6.3.Dầm cầu tầu:

Tiết diện và nội lực tính toán :

     GVHD: Th.S. Dƣơng Thanh Quỳnh
     SVTH : Vũ Trọng Chung     -   MSSV : 273352               -   Lớp 52CB3        149
ĐỒ ÁN TỐT NGHIỆP            Thiết Kế Kỹ Thuật Bến Căn Cứ Đóng Mới Giàn Jacket Độ Sâu
                        .     Đến 95.7M Nước Hạ Thủy Bằng Phương Pháp Kéo Trượt




      Cấu kiện          b(cm)     h(cm)    a(cm)     ho(cm) M(T.m)        Qtu(T)
  Dầm ngang (M+)          90       160      10.5      150    23.26        17.62
  Dầm ngang (M-)          90       160      10.5      150    34.25        15.40
  Dầm dọc (M+)            90       160      10.5      150    20.18        15.22
  Dầm dọc (M- )           90       160      10.5      150    32.61        15.32
Các hệ số tính toán :

  kn    nc    mb3    ma     Rnp      Ra
 1.15 1       1.25  1.15 175        2800
Tính toán với mômen có giá trị lớn nhất :

       Cấu kiện        d(mm) số thanh Fa(cm2) F'a(cm2)
   Dầm ngang (M+)        28      10       4.86      61.58
   Dầm ngang (M-)        28      12       7.15      73.89
   Dầm dọc (M+)          28      10       4.21      61.58
   Dầm dọc (M-)          28      12       6.81      73.89
Tính toán các cấu kiện BTCT theo cƣờng độ chịu cắt:

Kiểm tra điều kiện tiết diện chọn đủ nếu thỏa mãn điều kiện: kn.nc.Q <=
0.25.mb3.Rnp.b.ho

     Cấu kiện            kn          nc         n      Q(kg)        kn.nc.n.Q (kg)
  Dầm ngang (M+)        1.15         1        1.25    14683.33        21107.29
  Dầm ngang (M-)        1.15         1        1.25    12833.33        18447.92
  Dầm dọc (M+)          1.15         1        1.25    12683.33        18232.29
  Dầm dọc (M-)          1.15         1        1.25    12766.67        18352.08

       Cấu kiện         mb3   Rnp        b               ho       0.25.mb3.Rnp.b.ho
                            (kg/cm2) (cm)               (cm)            (kg)
  Dầm ngang (M+)        1      175      90             150.14          591176
  Dầm ngang (M-)        1      175      90             150.14          591176
  Dầm dọc (M+)          1      175      90             150.14          591176
  Dầm dọc (M-)          1      175      90             150.14          591176
=> kn.nc.n.Q <= 0.25.mb3.Rnp.b.ho => Thỏa mãn

     GVHD: Th.S. Dƣơng Thanh Quỳnh
     SVTH : Vũ Trọng Chung     -   MSSV : 273352             -    Lớp 52CB3          150
ĐỒ ÁN TỐT NGHIỆP          Thiết Kế Kỹ Thuật Bến Căn Cứ Đóng Mới Giàn Jacket Độ Sâu
                      .     Đến 95.7M Nước Hạ Thủy Bằng Phương Pháp Kéo Trượt


Kiểm tra điều kiện khi không phải cốt ngang khi thỏa mãn điều kiện :
kn.nc.n.Q<=mb3.Qb

    Cấu kiện         b(cm) ho(cm)         a(cm)   M(kg.cm)       Qtu(kg)        Ra(kg/cm2)
 Dầm ngang (M+)        90  150.14           10    2326000        14683.3           2800
 Dầm ngang (M-)        90  150.14           10    3425000        12833.3           2800
 Dầm dọc (M+)          90  150.14           10    2018000        12833.3           2800
 Dầm dọc (M-)          90  150.14           10    3261000        12766.7           2800

     Cấu kiện         Fa(cm2) Rnp(kg/cm2)            tgβ'            tgβ             k
  Dầm ngang (M+)        4.86      175                0.97            0.97          0.51
  Dầm ngang (M-)        7.15      175                0.72            0.72          0.52
  Dầm dọc (M+)          4.21      175                0.97            0.97          0.51
  Dầm dọc (M-)          6.81      175                0.74            0.74          0.52

      Cấu kiện         b(cm) ho(cm) tgβ mb3 Qb(kg) kn.nc.n.Q(kg) mb3.Qb
   Dầm ngang (M+)        90   150.14 0.97 1 80717.8           21107.29    80717.78
   Dầm ngang (M-)        90   150.14 0.72 1 60356.9           18447.92    60356.87
   Dầm dọc (M+)          90   150.14 0.97 1 80296.4           18232.29    80296.38
   Dầm dọc (M-)          90   150.14 0.74 1 61963.8           18352.08    61963.82
Kiểm tra điều kiện khi không phải cốt đai không có cốt xiên khi thỏa mãn điều kiện
:kn.nc.n.Q<= Qxb

     Cấu kiện             k   Rax(kg/cm2) Rnp(kg/cm2)           Rp      b(cm)      ho(cm)
  Dầm ngang (M+)          1      1700         175               12       100        150
  Dầm ngang (M-)          1      1700         175               12       100        150
  Dầm dọc (M+)            1      1700         175               12       100        150
  Dầm dọc (M-)            1      1700         175               12       100        150

                           cốt
                      U         Fax     qx    kn.nc.n.Q   Qxb   mb.Rb.b/2
      Cấu kiện             đai
                     (mm) (mm) (cm2) (kg/cm2)   (kg)      (kg)  (kg/cm2)
  Dầm ngang (M+)      100  12    5     7921    21107    1118007   600
  Dầm ngang (M-)      100  12    5     7921    18448    3535450   600
   Dầm dọc (M+)       100  12    5     7921    18232    3535450   600
  Dầm dọc (M-)        100  12    5     7921    18352    3535450   600

    GVHD: Th.S. Dƣơng Thanh Quỳnh
    SVTH : Vũ Trọng Chung     -   MSSV : 273352             -   Lớp 52CB3          151
ĐỒ ÁN TỐT NGHIỆP              Thiết Kế Kỹ Thuật Bến Căn Cứ Đóng Mới Giàn Jacket Độ Sâu
                          .     Đến 95.7M Nước Hạ Thủy Bằng Phương Pháp Kéo Trượt


Tính toán cấu kiện BTCT theo trạng thái giới hạn II

      Cấu kiện            ma       mb      Ra      d    Fa    Rnp      b             X       ho
                                        (kg/cm2) (cm) (cm2) (kg/cm2) (cm)          (cm)     (cm)
  Dầm ngang (M+)         1.15      1      2800    2.8 4.86    225     100          0.70    150.14
  Dầm ngang (M-)         1.15      1      2800    2.8 7.15    225     100          1.02    150.14
  Dầm dọc (M+)           1.15      1      2800    2.8 4.21    225     100          0.60    150.14
  Dầm dọc (M-)           1.15      1      2800    2.8 6.81    225     100          0.97    150.14

     Cấu kiện            M(kg.cm) F'a(cm2)   Z    δa(kg/cm2)
  Dầm ngang (M+)         2326000    61.58  149.79   252.18
  Dầm ngang (M-)         3425000    73.89  149.63   309.78
  Dầm dọc (M+)           2018000    61.58  149.84   218.72
  Dầm dọc (M-)           3261000    73.89  149.65    294.9

      Cấu kiện            Cd d       Fa      F'a           η      δbd      Ea    μ     at
                           (cm) (cm2) (cm2)                    (kg/cm2) (kg/cm2)     (mm)
 Bản mặt CT (M11+)    1     2.8 4.86 61.58                 1       0     2E+06 0.004 0.058
 Bản mặt CT (M11-)    1     2.8 7.15 73.89                 1       0     2E+06 0.005 0.069
 Bản mặt CT (M22+)    1     2.8 4.21 61.58                 1       0     2E+06 0.004 0.049
 Bản mặt CT (M22-)    1     2.8 6.81 73.89                 1       0     2E+06 0.005 0.068
=> Thảo mãn điều kiện vết nứt : a ≤ [a] = 0.08 mm

6.4.Tính cốt thép cọc

   Cọc là cấu kiện chịu nén và uốn đồng thời có tiết diện hình tròn. Theo tiêu chuẩn
TCXDVN 356-2005 tính toán cho cấu kiện tiết diện tròn chịu lực dọc và mômen.

      N=246,95 T
      M=16,58 T.m
   Các thông số của tiết diện:
           a   80
                0, 08
           D 1000
            N        271,95
      n                          0,198
           Rb . A 1750.(2 / 4)

     GVHD: Th.S. Dƣơng Thanh Quỳnh
     SVTH : Vũ Trọng Chung     -   MSSV : 273352               -    Lớp 52CB3        152
ĐỒ ÁN TỐT NGHIỆP                             Thiết Kế Kỹ Thuật Bến Căn Cứ Đóng Mới Giàn Jacket Độ Sâu
                                         .     Đến 95.7M Nước Hạ Thủy Bằng Phương Pháp Kéo Trượt

                  M          16,58
           m                            0, 024
                Rb . A.r 1750.0, 785.0,5

   Từ họ biểu đồ tƣơng tác tiết diện tròn với β = 0,06 ta tra đồ thị ta có α=0,1
   Vậy ta có diện tích cốt thép đƣợc tính
                    .Rb . A       0,1.1750.0, 785
           Ast                                    0, 0049
                      Rs                28000

   Chọn 1220 , Fa = 58,9cm2
   Bố trí cốt thép đối xứng trong tiết diện.
7.Kiểm tra ổn định R1 = 30m

  Phân tố              1            2            3      4      5      6      7       8       9     10     11     Tổng
      li               6           2.1         1.56   1.63    1.3    1.52   1.42   1.57     1.2     0      0
      Fi               3           2.2         2.16   2.37    2.1    2.1    1.94   1.66     1.5    1.5    1.56
      gi              10           3.9         3.84   4.22    3.8    3.74   3.45   2.95     2.6    2.6    2.78
      ri              27           22          19.2   16.5    14     10.8   7.9      5      2.3    3.6    7.44
      ai             1.1           0.8         0.69   0.58    0.5    0.37   0.27   0.17     0.1    0.1    0.25
   gi.sinai          9.2           2.8         2.45    2.3    1.7    1.34   0.9    0.49     0.2    0.3    0.69    22
gi.cosai.tgji        1.4           0.8         0.85   1.01     1      1     0.96   0.84     0.7    0.8    0.77    10
     ci.li            1            0.3         0.25   0.26    0.2    0.24   0.23   0.25     0.2     0      0     2.9
      hi             2.1           3.6         3.21   3.4     3.5    3.6    3.2    3.12     2.6    1.7    1.2
      sa               4           5.6         5.22   5.42    5.5    5.64   5.21   5.13     4.6    3.6    3.08
      sp              12           17          15.9   16.5    17     17.2   15.9   15.6     14     11     9.26
     tn              2.9           3.5         3.91   3.94    3.6    2.79   1.89   1.75     1.7    1.3    1.2
     M               8.1           17          19.6   20.7    18     10.8   4.57   3.85     3.1    1.3    1.07
     Qi              5.1           8.9         9.12   9.55    8.9    7.04   4.4      4      3.4     2     1.62    64
Ta có :

Mg = R[ Σgi.cosai.tgai + Σci.li + ΣQi ] =2321.11

Mtr = R.gisinai = 674.55

kn = 3.4

      GVHD: Th.S. Dƣơng Thanh Quỳnh
      SVTH : Vũ Trọng Chung     -   MSSV : 273352                             -    Lớp 52CB3        153
ĐỒ ÁN TỐT NGHIỆP        Thiết Kế Kỹ Thuật Bến Căn Cứ Đóng Mới Giàn Jacket Độ Sâu
                    .     Đến 95.7M Nước Hạ Thủy Bằng Phương Pháp Kéo Trượt




                PHỤ LỤC 2 : PHÂN ĐOẠN CÓ ĐƢỜNG TRƢỢT




                               1.   Sơ đồ tính
                               2.   Tải trọng
                               3.   Chuyển vị
                               4.   Nội lực
                               5.   Kiểm tra sức chịu tải của cọc
                               6.   Tính thép




    GVHD: Th.S. Dƣơng Thanh Quỳnh
    SVTH : Vũ Trọng Chung     -   MSSV : 273352          -    Lớp 52CB3        154
ĐỒ ÁN TỐT NGHIỆP        Thiết Kế Kỹ Thuật Bến Căn Cứ Đóng Mới Giàn Jacket Độ Sâu
                    .     Đến 95.7M Nước Hạ Thủy Bằng Phương Pháp Kéo Trượt


    1.Sơ đồ tính




    GVHD: Th.S. Dƣơng Thanh Quỳnh
    SVTH : Vũ Trọng Chung     -   MSSV : 273352          -    Lớp 52CB3        155
ĐỒ ÁN TỐT NGHIỆP        Thiết Kế Kỹ Thuật Bến Căn Cứ Đóng Mới Giàn Jacket Độ Sâu
                    .     Đến 95.7M Nước Hạ Thủy Bằng Phương Pháp Kéo Trượt


    2.Tải trọng

    - Neo , va tựa, hàng hóa giống phân đoạn 1

    - Cần trục




    3.Nội lực

    - Lực dọc cọc




    GVHD: Th.S. Dƣơng Thanh Quỳnh
    SVTH : Vũ Trọng Chung     -   MSSV : 273352          -    Lớp 52CB3        156
ĐỒ ÁN TỐT NGHIỆP        Thiết Kế Kỹ Thuật Bến Căn Cứ Đóng Mới Giàn Jacket Độ Sâu
                    .     Đến 95.7M Nước Hạ Thủy Bằng Phương Pháp Kéo Trượt


     Mômen dầm dọc




  - Lực cắt dầm dọc




    GVHD: Th.S. Dƣơng Thanh Quỳnh
    SVTH : Vũ Trọng Chung     -   MSSV : 273352          -    Lớp 52CB3        157
ĐỒ ÁN TỐT NGHIỆP        Thiết Kế Kỹ Thuật Bến Căn Cứ Đóng Mới Giàn Jacket Độ Sâu
                    .     Đến 95.7M Nước Hạ Thủy Bằng Phương Pháp Kéo Trượt


  - Mômen dầm ngang




  - Lực cắt dầm ngang




    GVHD: Th.S. Dƣơng Thanh Quỳnh
    SVTH : Vũ Trọng Chung     -   MSSV : 273352          -    Lớp 52CB3        158
ĐỒ ÁN TỐT NGHIỆP        Thiết Kế Kỹ Thuật Bến Căn Cứ Đóng Mới Giàn Jacket Độ Sâu
                    .     Đến 95.7M Nước Hạ Thủy Bằng Phương Pháp Kéo Trượt


    - Mômen M11




- Mômen M22




    GVHD: Th.S. Dƣơng Thanh Quỳnh
    SVTH : Vũ Trọng Chung     -   MSSV : 273352          -    Lớp 52CB3        159
ĐỒ ÁN TỐT NGHIỆP        Thiết Kế Kỹ Thuật Bến Căn Cứ Đóng Mới Giàn Jacket Độ Sâu
                    .     Đến 95.7M Nước Hạ Thủy Bằng Phương Pháp Kéo Trượt


    4.chuyển vị




    GVHD: Th.S. Dƣơng Thanh Quỳnh
    SVTH : Vũ Trọng Chung     -   MSSV : 273352          -    Lớp 52CB3        160
ĐỒ ÁN TỐT NGHIỆP             Thiết Kế Kỹ Thuật Bến Căn Cứ Đóng Mới Giàn Jacket Độ Sâu
                         .     Đến 95.7M Nước Hạ Thủy Bằng Phương Pháp Kéo Trượt


5.Kiểm tra sức chịu tải của cọc

 (Theo tiêu chuẩn móng cọc TCXDVN205-1998)

5.1.Tính toán sức chịu tải của cọc theo đất nền

   Công thức tính toán

    Ф =m.( mr.qp.F + U.Σmf.fi.li )

  Trong đó :

  Ф : Sức chịu tải của cọc theo đất nền

   m : Hệ số điều kiện làm việc trong đất               m = 1.0

   R : Sức chống tính toán của đất ở mũi cọc(T/m2) qp=430 T/m2

   F : Diện tích mặt cắt ngang cọc.

   Bề rộng cọc :       100 cm              =>            F = 0.875m2

   U : Chu vi tiết diện ngang cọc                        U =3.14

   mf,mr :Tƣơng ứng là các hệ số điều kiện làm việc của đất dƣới chân cọc và trên thành
cọc có xét đến ảnh hƣởng của phƣơng pháp hạ cọc :         mf = mr = 1

    li : Chiều dày lớp đất thứ i mà mũi cọc đi qua .

  Chia lớp đất thành các lớp đồng nhất có chiều dày là 2m.

    fi : Sức chống tính toán của đất ở thân cọc (T/m2) , tra bảng 2-TCXD205-1998 ta có :




     GVHD: Th.S. Dƣơng Thanh Quỳnh
     SVTH : Vũ Trọng Chung     -   MSSV : 273352              -    Lớp 52CB3        161
ĐỒ ÁN TỐT NGHIỆP              Thiết Kế Kỹ Thuật Bến Căn Cứ Đóng Mới Giàn Jacket Độ Sâu
                          .     Đến 95.7M Nước Hạ Thủy Bằng Phương Pháp Kéo Trượt


 Tên          Cao      Độ         Bề                Độ
                                            li                B        fi       qp          fi.li
 lớp           độ     sâu         dày              sâu
  2            1.5     -5         6.5       0        0                 0         0          0
  4            -5     -7.5        2.5       0        0      1.51       0         0          0
  5a          -7.5   -10.2        2.7       0        2      0.55      1.5                   0
             -10.2   -19.4        9.2       2        4      0.55      1.9                 3.8
                                            2        6      0.55     2.15                 4.3
                                            2        8      0.55      4.4                 8.8
                                            2       10      0.55      4.6                 9.2
                                           1.2      12      0.55      4.8                 9.6
     6       -19.4   -34.4        15        2       14      0.31       5                   10
                                            2       16      0.31      5.2                 10.4
                                            2       18      0.31      5.4                 10.8
                                            2       20      0.31      5.6       430       11.2
                                            2       22      0.31      5.8                 11.6
                                            2       24      0.31       6                  12
                                            2       26      0.31      6.2                 12.4
                                            2       28      0.31      6.4                12.8
                                            1       30      0.31      6.6                 6.6
     6       -34.4   -39.87                 2       32      0.31      6.8                13.6
                                            1       33      0.31      6.9                 6.9
     7                                      2       35      0.22      9.8                19.6
                                            2       37      0.22      10                  20
                                           0.5     37.5     0.22      10                   5
                                            0      37.5     0.62                         153.58
     10                                     0      37.5     0.39
     11                                     0      37.5     1.32
     12                                     0      37.5
     13                                     1      38.5     0.82


 .

 Qua tính toán :                                    Σfi.li = 153.58T/m2

     Sức chịu nén của cọc theo đất nền :


         GVHD: Th.S. Dƣơng Thanh Quỳnh
         SVTH : Vũ Trọng Chung     -   MSSV : 273352           -    Lớp 52CB3         162
ĐỒ ÁN TỐT NGHIỆP             Thiết Kế Kỹ Thuật Bến Căn Cứ Đóng Mới Giàn Jacket Độ Sâu
                         .     Đến 95.7M Nước Hạ Thủy Bằng Phương Pháp Kéo Trượt


    Ta có :                                          Ф = 614.80T

                                                     Pn = Ф/Ktc =469.10T

    Ktc : Hệ số độ tin cậy                            Ktc = 1.4

5.2.Tính toán sức chịu nhổ của cọc theo đất nền

    Công thức tính toán: Ф = m.U.Σmf.fi.li

    Trong đó:

    Ф : Sức chịu tải của cọc theo đất nền

    m: Hệ số điều kiện làm việc trong đất lấy m = 0.8

     U: Chu vi tiết diện ngang cọc                U = 3.14

  mf,mr: Tƣơng ứng là các hệ số điều kiện làm việc của đất dƣới chân cọc và trên thành
cọc có xét đến ảnh hƣởng của phƣơng pháp hạ cọc : mf = mr = 1

     li: Chiều dày lớp đất thứ i mà mũi cọc đi qua.

     fi: Sức chống tính toán của đất ở thân cọc (T/m2)

     Sức chịu nhổ của cọc theo đất nền.

     Ta có :                            Ф = 343.10

                                        Pnh = Ф/Ktc = 245.07

       Ktc : Hệ số độ tin cậy Ktc = 1.4

5.3.Kiểm tra khả năng chịu nén của cọc :

   Nội lực tính toán :                    Nmax = 297.740T

                                          Ntt = nc.n.mđ. Nmax + G

     GVHD: Th.S. Dƣơng Thanh Quỳnh
     SVTH : Vũ Trọng Chung     -   MSSV : 273352               -    Lớp 52CB3       163
ĐỒ ÁN TỐT NGHIỆP                 Thiết Kế Kỹ Thuật Bến Căn Cứ Đóng Mới Giàn Jacket Độ Sâu
                             .     Đến 95.7M Nước Hạ Thủy Bằng Phương Pháp Kéo Trượt


   Trong đó :

       nc : Hệ số tổ hợp tải trọng :           nc = 1.00

       n : Hệ số vƣợt tải            :         n = 1.25

       mđ : Hệ số phụ điều kiện làm việc       mđ = 1.00

       G : Trọng lƣợng bản thân cọc             G = 78.5

       Chiều dài cọc                            L = 40

       Vậy                                      Ntt = 452.24T

Qua tính toán trên                               Ntt < Pn

=> Cọc đảm bảo chịu lực theo đất nền.

5.4.Sức chịu tải của cọc theo vật liệu làm cọc.

   Biểu thức tính toán :           Pn = Ra.Fa + Rnp.Fb

   Trong đó :

       Fa : Diện tích cốt thép chịu lực 12Ø20 => Fa = 37.680 cm2

       Ra : Cƣờng độ chịu nén của cốt thép                 2800 kg/cm2

       Rnp: Cƣờng độ chịu nén của BT                        175 kg/cm2

       Vậy :                         P = 1482.50T

5.5.Chọn chiều dài cọc

   Chiều dài cọc đƣợc chọn theo các điều kiện sau:

   -     Sức chịu tải của cọc theo đất nền
   -     Sức chịu tải của cọc theo vật liệu làm cọc

        GVHD: Th.S. Dƣơng Thanh Quỳnh
        SVTH : Vũ Trọng Chung     -   MSSV : 273352               -      Lớp 52CB3      164
ĐỒ ÁN TỐT NGHIỆP              Thiết Kế Kỹ Thuật Bến Căn Cứ Đóng Mới Giàn Jacket Độ Sâu
                          .     Đến 95.7M Nước Hạ Thủy Bằng Phương Pháp Kéo Trượt


   -    Ta thấy sức chịu tải của cọc theo đất nền nhỏ hơn sức chịu tải của cọc theo vật liệu
        làm cọc do đó ta chọn chiều dài cọc theo sức chịu tải của đất nền có chiều dài 40m
   -    ( Chiều dài thức tế của cọc sẽ đƣợc quyết định sau khi có kết quả thử cọc )

6.Tính thép

6.1.Bản cầu tàu dày 1600 mm

Tiết diện và nội lực tính toán.

        Cấu kiện         b(cm)         h(cm)     a(cm)       ho(cm) M(T.m) Qtu(T)
  Bản mặt CT (M11+)       100           160        7          153    32.63  26.76
  Bản mặt CT (M11-)       100           160        7          153    -7.86 -26.74
  Bản mặt CT (M22+)       100           160        7          153    33.99  24.13
  Bản mặt CT (M22-)       100           160        7          153   -37.87 -24.51
Các hệ số tham gia tính toán.

   kn      nc    mb3       ma       Rnp                Ra
  1.15      1    1.25     1.15      175               2800
Tính toán với mômen có giá trị lớn nhất.

       Cấu kiện        d(mm) số thanh Fa(cm2)                         F'a(cm2)
 Bản mặt CT (M11+)       28      10         6.61                           61.58
 Bản mặt CT (M11-)       28      10         6.61                           38.01
 Bản mặt CT (M22+)       28      10         6.61                           61.58
 Bản mặt CT (M22-)       28      10         6.61                           38.01
Tính toán các cấu kiện BTCT theo cƣờng độ chịu cắt

Kiểm tra điều kiện tiết diện chọn đủ nếu thỏa mãn điều kiện : kn.nc.n.Q <=
0.25.mb3.Rnp.b.ho

      Cấu kiện             kn         nc         n       Q(kg)        kn.nc.n.Q (kg)
 Bản mặt CT (M11+)        1.15        1        1.25     12791.7          38463.19
 Bản mặt CT (M11-)        1.15        1        1.25     12833.3          -3843.56
 Bản mặt CT (M22+)        1.15        1        1.25     12683.3          34691.19
 Bản mặt CT (M22-)        1.15        1        1.25     12766.7         -35237.44

       GVHD: Th.S. Dƣơng Thanh Quỳnh
       SVTH : Vũ Trọng Chung     -   MSSV : 273352                -      Lớp 52CB3     165
ĐỒ ÁN TỐT NGHIỆP           Thiết Kế Kỹ Thuật Bến Căn Cứ Đóng Mới Giàn Jacket Độ Sâu
                       .     Đến 95.7M Nước Hạ Thủy Bằng Phương Pháp Kéo Trượt


      Cấu kiện         mb3    Rnp        b              ho        0.25.mb3.Rnp.b.ho
                            (kg/cm2) (cm)              (cm)              (kg)
 Bản mặt CT (M11+)      1      175      100             153            669987.5
 Bản mặt CT (M11-)      1      175      100             153            669987.5
 Bản mặt CT (M22+)      1      175      100             153            669987.5
 Bản mặt CT (M22-)      1      175      100             153            669987.5
=> kn.nc.n.Q <= 0.25.mb3.Rnp.b.ho => Thỏa mãn

Kiểm tra điều kiện khi không phải cốt ngang khi thỏa mãn điều kiện :
kn.nc.n.Q<=mb3.Qb

      Cấu kiện     b(cm) ho(cm)            a(cm)   M(kg.cm)        Qtu(kg)     Ra(kg/cm2)
 Bản mặt CT (M11+) 100 153.14               6.6     3263437        26757          2800
 Bản mặt CT (M11-)  100 153.11              6.25    -786476        -26735         2800
 Bản mặt CT (M22+) 100 153.14               6.6     3399193        24133          2800
 Bản mặt CT (M22-)  100 153.11              6.25   -3787482        -24513         2800


      Cấu kiện         Fa(cm2) Rnp(kg/cm2)          tgβ'          tgβ          k    b3
 Bản mặt CT (M11+)       6.61      175              1.11          0.76       0.51    1
 Bản mặt CT (M11-)       2.31      175              1.27          1.27       0.5     1
 Bản mặt CT (M22+)       6.82      175              0.74          0.74       0.51    1
 Bản mặt CT (M22-)       2.08      175              1.32          1.32       0.51    1


      Cấu kiện        b(cm) ho(cm) tgβ         Qb(kg) kn.nc.n.Q(kg) mb3.Qb
 Bản mặt CT (M11+) 100         153     0.76 71332.98        18388.02     71332.8
 Bản mặt CT (M11-)      100    153     1.27 117813.8        18447.92     117814
 Bản mặt CT (M22+) 100         153     0.74 69604.09        18232.29     69604.1
 Bản mặt CT (M22-)      100    153     1.32 121865.7        18352.08     121866
Kiểm tra điều kiện khi không phải cốt đai không có cốt xiên: kn.nc.n.Q <= Qxb

      Cấu kiện        Rax(kg/cm2)        Rnp(kg/cm2)       Rp      b(cm) ho(cm) ma mb
 Bản mặt CT (M11+)       1700                175           12       100   153   1   1
 Bản mặt CT (M11-)       1700                175           12       100   153   1   1
 Bản mặt CT (M22+)       1700                175           12       100   153   1   1
 Bản mặt CT (M22-)       1700                175           12       100   153   1   1
     GVHD: Th.S. Dƣơng Thanh Quỳnh
     SVTH : Vũ Trọng Chung     -   MSSV : 273352              -     Lớp 52CB3         166
ĐỒ ÁN TỐT NGHIỆP             Thiết Kế Kỹ Thuật Bến Căn Cứ Đóng Mới Giàn Jacket Độ Sâu
                         .     Đến 95.7M Nước Hạ Thủy Bằng Phương Pháp Kéo Trượt




       Cấu kiện      cốt đai Fax        qx      kn.nc.n.Q             Qxb       mb.Rb.b/2
                      (mm) (cm2) (kg/cm2)           (kg)              (kg)       (kg/cm2)
 Bản mặt CT (M11+)     12      5        792       18388             1140347        600
 Bản mặt CT (M11-)     12      5        792       18448             3605387        600
 Bản mặt CT (M22+)     12      5        792       18232             3606093        600
 Bản mặt CT (M22-)     12      5        792       18352             3605387        600
Tính toán cấu kiện BTCT theo trạng thái giới hạn II

       Cấu kiện       Ra      d    Fa    Rnp      b    X    ho     Z
                   (kg/cm2) (cm) (cm2) (kg/cm2) (cm) (cm) (cm)    (cm)
 Bản mặt CT (M11+)   2800    2.8  6.61   225     100 0.95 153.14 152.67
 Bản mặt CT (M11-)   2800    2.8  2.31   225     100 0.33 153.11 152.94
 Bản mặt CT (M22+)   2800    2.8  6.82   225     100 0.98 153.14 152.65
 Bản mặt CT (M22-)   2800    2.8  2.08   225     100 0.3 153.11 152.96


      Cấu kiện           F'a(cm2)        Z    δa(kg/cm2)
 Bản mặt CT (M11+)         61.58       152.67   343.28
 Bản mặt CT (M11-)         38.01       152.94   194.19
 Bản mặt CT (M22+)         61.58       152.65   354.48
 Bản mặt CT (M22-)         38.01       152.96   175.08


       Cấu kiện         Cd  d      Fa        F'a         η       δbd         Ea            μ
                          (cm) (cm2) (cm2)               1    (kg/cm2)    (kg/cm2)
 Bản mặt CT (M11+) 1 2.8          6.61      61.6         1        0       2100000       0.004
 Bản mặt CT (M11-) 1 2.8          2.31       38          1        0       2100000       0.002
 Bản mặt CT (M22+) 1 2.8          6.82      61.6         1        0       2100000       0.004
 Bản mặt CT (M22-) 1 2.8          2.08       38          1        0       2100000       0.002
=> Thảo mãn điều kiện vết nứt : a ≤ [a] = 0.08 mm

6.2.Bản cầu tàu dày 300mm

Tiết diện và nội lực tính toán :


     GVHD: Th.S. Dƣơng Thanh Quỳnh
     SVTH : Vũ Trọng Chung     -   MSSV : 273352              -    Lớp 52CB3         167
ĐỒ ÁN TỐT NGHIỆP           Thiết Kế Kỹ Thuật Bến Căn Cứ Đóng Mới Giàn Jacket Độ Sâu
                       .     Đến 95.7M Nước Hạ Thủy Bằng Phương Pháp Kéo Trượt


      Cấu kiện        b(cm)      h(cm)     a(cm)   ho(cm) M(T.m) Qtu(T)
 Bản mặt CT (M11+) 100             30       5.7     24.3   0.78   1.6
 Bản mặt CT (M11-)     100         30       5.7     24.3   1.25   1.83
 Bản mặt CT (M22+) 100             30       5.7     24.3   1.3    0.98
 Bản mặt CT (M22-)     100         30       5.7     24.3   0.92   1.23
Các hệ số tính toán :

  kn    nc    mb3    ma    Rnp       Ra
 1.15 1       1.25  1.15 175        2800
Tính toán với moomen có giá trị lớn nhất :

       Cấu kiện        d(mm) số thanh Fa(cm2) F'a(cm2)
 Bản mặt CT (M11+)       14       7       1.01      10.78
 Bản mặt CT (M11-)       14       7       1.61      10.78
 Bản mặt CT (M22+)       14       7       1.68      10.78
 Bản mặt CT (M22-)       14       7       1.19      10.78
Tính toán các cấu kiện BTCT theo cƣờng độ chịu cắt:

Kiểm tra điều kiện tiết diện chọn đủ nếu thỏa mãn điều kiện: kn.nc.Q <=
0.25.mb3.Rnp.b.ho

      Cấu kiện          kn         nc        n      Q(kg)          kn.nc.n.Q (kg)
 Bản mặt CT (M11+)     1.15        1       1.25    1333.33            1916.67
 Bản mặt CT (M11-)     1.15        1       1.25    1525.00            2192.19
 Bản mặt CT (M22+)     1.15        1       1.25    816.67             1173.96
 Bản mặt CT (M22-)     1.15        1       1.25    1025.00            1473.44


       Cấu kiện        mb3        Rnp         b        ho         0.25.mb3.Rnp.b.ho
                                (kg/cm2)    (cm)      (cm)               (kg)
 Bản mặt CT (M11+)          1     175        100      24.37           106618.75
 Bản mặt CT (M11-)          1     175        100      24.37           106618.75
 Bản mặt CT (M22+)          1     175        100      24.37           106618.75
 Bản mặt CT (M22-)          1     175        100      24.37           106618.75


=> kn.nc.n.Q <= 0.25.mb3.Rnp.b.ho => Thỏa mãn
     GVHD: Th.S. Dƣơng Thanh Quỳnh
     SVTH : Vũ Trọng Chung     -   MSSV : 273352              -    Lớp 52CB3          168
ĐỒ ÁN TỐT NGHIỆP          Thiết Kế Kỹ Thuật Bến Căn Cứ Đóng Mới Giàn Jacket Độ Sâu
                      .     Đến 95.7M Nước Hạ Thủy Bằng Phương Pháp Kéo Trượt


Kiểm tra điều kiện khi không phải cốt ngang khi thỏa mãn điều kiện :
kn.nc.n.Q<=mb3.Qb

      Cấu kiện     b(cm) ho(cm)           a(cm)   M(kg.cm)        Qtu(kg)     Ra(kg/cm2)
 Bản mặt CT (M11+) 100    24.37            5.7     7800           1333.3         2800
 Bản mặt CT (M11-)  100   24.37            5.7     7800           1525.0         2800
 Bản mặt CT (M22+) 100    24.37            5.7     7800            816.7         2800
 Bản mặt CT (M22-)  100   24.37            5.7     7800           1025.0         2800


      Cấu kiện        Fa(cm2) Rnp(kg/cm2)            tgβ'         tgβ             k
 Bản mặt CT (M11+)      1.01      175                0.59         0.59          0.51
 Bản mặt CT (M11-)      1.61      175                0.46         0.46          0.52
 Bản mặt CT (M22+)      1.68      175                0.27         0.27          0.51
 Bản mặt CT (M22-)      1.19      175                0.43         0.43          0.52


      Cấu kiện         b(cm) ho(cm) tgβ mb3 Qb(kg) kn.nc.n.Q(kg) mb3.Qb
 Bản mặt CT (M11+)      100    24.4 0.59 1 8827.05              1916.67    8827.05
 Bản mặt CT (M11-)      100    24.4 0.46 1 6985.68              2192.19    6985.68
 Bản mặt CT (M22+)      100    24.4 0.27 1 4053.55              1173.96    4053.55
 Bản mặt CT (M22-)      100    24.4 0.43 1 6439.15              1473.44    6439.15
Kiểm tra điều kiện khi không phải cốt đai không có cốt xiên: kn.nc.n.Q <= Qxb

      Cấu kiện        Rax(kg/cm2) Rnp(kg/cm2)           Rp      b(cm) ho(cm) ma mb
 Bản mặt CT (M11+)       1700         175               12       100    24   1   1
 Bản mặt CT (M11-)       1700         175               12       100    24   1   1
 Bản mặt CT (M22+)       1700         175               12       100    24   1   1
 Bản mặt CT (M22-)       1700         175               12       100    24   1   1


      Cấu kiện        cốt đai      Fax       qx       kn.nc.n.Q      Qxb       mb.Rb.b/2
                       (mm)       (cm2)   (kg/cm2)      (kg)         (kg)      (kg/cm2)
 Bản mặt CT (M11+)      100         5       792        18388       1140347       600
 Bản mặt CT (M11-)      100         5       792        18448       3605387       600
 Bản mặt CT (M22+)      100         5       792        18232       3606093       600
 Bản mặt CT (M22-)      100         5       792        18352       3605387       600
    GVHD: Th.S. Dƣơng Thanh Quỳnh
    SVTH : Vũ Trọng Chung     -   MSSV : 273352             -     Lớp 52CB3       169
ĐỒ ÁN TỐT NGHIỆP             Thiết Kế Kỹ Thuật Bến Căn Cứ Đóng Mới Giàn Jacket Độ Sâu
                         .     Đến 95.7M Nước Hạ Thủy Bằng Phương Pháp Kéo Trượt


Tính toán cấu kiện BTCT theo trạng thái giới hạn II

       Cấu kiện               Ra        d     Fa       Rnp         b       X        ho       Z
                        (kg/cm2) (cm) (cm2) (kg/cm2) (cm)                 (cm)     (cm)
                                                                                            (cm)
 Bản mặt CT (M11+)           2800      1.4   1.01      225        100     0.14     24.37    24.3
 Bản mặt CT (M11-)           2800      1.4   1.61      225        100     0.23     24.37    24.3
 Bản mặt CT (M22+)           2800      1.4   1.68      225        100     0.24     24.37    24.3
 Bản mặt CT (M22-)           2800      1.4   1.19      225        100     0.17     24.37    24.3


      Cấu kiện     M(kg.cm) F'a(cm2)   Z                  δa(kg/cm2)
 Bản mặt CT (M11+)  78000     10.78  24.3                   297.91
 Bản mặt CT (M11-)  125000    10.78  24.25                  478.27
 Bản mặt CT (M22+)  130000    10.78  24.25                  497.49
 Bản mặt CT (M22-)  92000     10.78  24.29                  351.56

       Cấu kiện        d     Fa       F'a      η    δbd      Ea    μ     at
                     (cm) (cm2) (cm2)          1 (kg/cm2) (kg/cm2)     (mm)
 Bản mặt CT (M11+) 1.4 1.01 10.78              1     0     2E+06 0.004 0.05
 Bản mặt CT (M11-) 1.4 1.61 10.78              1     0     2E+06 0.004 0.08
 Bản mặt CT (M22+) 1.4 1.68 10.78              1     0     2E+06 0.004 0.08
 Bản mặt CT (M22-) 1.4 1.19 10.78              1     0     2E+06 0.004 0.06
=> Thảo mãn điều kiện vết nứt : a ≤ [a] = 0.08 mm

6.3.Dầm cầu tầu:

Tiết diện và nội lực tính toán :

       Cấu kiện         b(cm)       h(cm)    a(cm)   ho(cm) M(T.m) Qtu(T)
  Dầm ngang (M+)          90         160      10.5    149.5 129.57 12.05
  Dầm ngang (M-)          90         160      10.5    149.5 151.67 35.92
  Dầm dọc (M+)            90         160      10.5    149.5 127.62 58.64
  Dầm dọc (M- )           90         160      10.5    149.5 150.55  2.83


Các hệ số tính toán :

     GVHD: Th.S. Dƣơng Thanh Quỳnh
     SVTH : Vũ Trọng Chung     -   MSSV : 273352              -        Lớp 52CB3           170
ĐỒ ÁN TỐT NGHIỆP           Thiết Kế Kỹ Thuật Bến Căn Cứ Đóng Mới Giàn Jacket Độ Sâu
                       .     Đến 95.7M Nước Hạ Thủy Bằng Phương Pháp Kéo Trượt


  kn    nc    mb3    ma     Rnp      Ra            ν
 1.15 1       1.25  1.15 175        2800         0.95
Tính toán với mômen có giá trị lớn nhất :

       Cấu kiện        d(mm) số thanh Fa(cm2) F'a(cm2)
   Dầm ngang (M+)        28      15      27.15      92.36
   Dầm ngang (M-)        28      16      31.78      98.52
   Dầm dọc (M+)          28      15      26.74      92.36
   Dầm dọc (M-)          28      16      31.55      98.52
Tính toán các cấu kiện BTCT theo cƣờng độ chịu cắt:

Kiểm tra điều kiện tiết diện chọn đủ nếu thỏa mãn điều kiện: kn.nc.Q <=
0.25.mb3.Rnp.b.ho

     Cấu kiện           kn         nc       n       Q(kg)              kn.nc.n.Q (kg)
  Dầm ngang (M+)       1.15        1      1.25     10041.67              14434.90
  Dầm ngang (M-)       1.15        1      1.25     29933.33              43029.17
  Dầm dọc (M+)         1.15        1      1.25     48866.67              70245.83
  Dầm dọc (M-)         1.15        1      1.25     2358.33                3390.10

       Cấu kiện        mb3    Rnp        b                ho         0.25.mb3.Rnp.b.ho
                            (kg/cm2) (cm)                (cm)              (kg)
  Dầm ngang (M+)        1      175      90              149.64            589208
  Dầm ngang (M-)        1      175      90              149.64            589208
  Dầm dọc (M+)          1      175      90              149.64            589208
  Dầm dọc (M-)          1      175      90              149.64            589208
=> kn.nc.n.Q <= 0.25.mb3.Rnp.b.ho => Thỏa mãn

Kiểm tra điều kiện khi không phải cốt ngang khi thỏa mãn điều kiện :
kn.nc.n.Q<=mb3.Qb

    Cấu kiện          b(cm) ho(cm)         a(cm)   M(kg.cm)           Qtu(kg)     Ra(kg/cm2)
 Dầm ngang (M+)         90  149.64           10    12957000          10441.70        2800
 Dầm ngang (M-)         90  149.64           10    15167000          29933.30        2800
 Dầm dọc (M+)           90  149.64           10    12762000          48866.70        2800
 Dầm dọc (M-)           90  149.64           10    1505500           2358.30         2800

     GVHD: Th.S. Dƣơng Thanh Quỳnh
     SVTH : Vũ Trọng Chung     -   MSSV : 273352                 -    Lớp 52CB3          171
ĐỒ ÁN TỐT NGHIỆP           Thiết Kế Kỹ Thuật Bến Căn Cứ Đóng Mới Giàn Jacket Độ Sâu
                       .     Đến 95.7M Nước Hạ Thủy Bằng Phương Pháp Kéo Trượt


     Cấu kiện          Fa(cm2) Rnp(kg/cm2)          tgβ'        tgβ             k
  Dầm ngang (M+)        27.15      175              0.21        0.21           0.56
  Dầm ngang (M-)        31.78      175              0.46        0.46           0.58
  Dầm dọc (M+)          26.74      175              0.73        0.73           0.56
  Dầm dọc (M-)          31.55      175              0.05        0.05           0.57


      Cấu kiện       b(cm) ho(cm)          tgβ mb3       Qb(kg)        kn.nc.n.Q(kg) mb3.Qb
   Dầm ngang (M+)      90   149.64         0.21 1       19961.52         14434.90    18916.52
   Dầm ngang (M-)      90   149.64         0.46 1       42411.60         43029.17    42411.60
   Dầm dọc (M+)        90   149.64         0.73 1       66350.92         70245.83    66350.92
   Dầm dọc (M-)        90   149.64         0.05 1       4256.468          3390.10    4256.47
Vậy kn.nc.n.Q<= mb3.Qb => Thỏa mãn.

Kiểm tra điều kiện khi không phải cốt đai không có cốt xiên khi thỏa mãn điều kiện
:kn.nc.n.Q<= Qxb

     Cấu kiện          Rax(kg/cm2) Rnp(kg/cm2)             Rp    b(cm) ho(cm)         ma       mb
  Dầm ngang (M+)          1700         175                 12     100   150           1         1
  Dầm ngang (M-)          1700         175                 12     100   150           1         1
  Dầm dọc (M+)            1700         175                 12     100   150           1         1
  Dầm dọc (M-)            1700         175                 12     100   150           1         1

      Cấu kiện         U   cốt đai    Fax        qx kn.nc.n.Q   Qxb   mb.Rb.b/2
                     (mm) (mm) (cm2) (kg/cm2)         (kg)      (kg)  (kg/cm2)
  Dầm ngang (M+)      100     12       5       7921  14435    1114284   600
   Dầm ngang (M-)     100     12       5       7921  43029    3523676   600
   Dầm dọc (M+)       100     12       5       7921  70246    3523676   600
   Dầm dọc (M-)       100     12       5       7921  33900    3523676   600
Tính toán cấu kiện BTCT theo trạng thái giới hạn II

      Cấu kiện           Ra      d    Fa    Rnp      b                    X       ho          Z
                      (kg/cm2) (cm) (cm2) (kg/cm2) (cm)                 (cm)     (cm)        (cm)
  Dầm ngang (M+)        2800    2.8 27.15   225     100                 3.89    149.64      147.70
  Dầm ngang (M-)        2800    2.8 31.78   225     100                 4.55    149.64      147.37
  Dầm dọc (M+)          2800    2.8 26.74   225     100                 3.83    149.64      147.73
  Dầm dọc (M-)          2800    2.8 31.55   225     100                 4.51    149.64      147.38
    GVHD: Th.S. Dƣơng Thanh Quỳnh
    SVTH : Vũ Trọng Chung     -   MSSV : 273352             -     Lớp 52CB3           172
ĐỒ ÁN TỐT NGHIỆP              Thiết Kế Kỹ Thuật Bến Căn Cứ Đóng Mới Giàn Jacket Độ Sâu
                          .     Đến 95.7M Nước Hạ Thủy Bằng Phương Pháp Kéo Trượt




     Cấu kiện            M(kg.cm) F'a(cm2)   Z    δa(kg/cm2)
  Dầm ngang (M+)         12957000 92.36    147.70   949.81
  Dầm ngang (M-)         15167000 98.52    147.37  1044.67
  Dầm dọc (M+)           12762000 92.36    147.73   935.33
  Dầm dọc (M-)           15055000 98.52    147.38  1036.83


      Cấu kiện            Cd d       Fa      F'a           η      δbd      Ea    μ     at
                           (cm) (cm2) (cm2)                    (kg/cm2) (kg/cm2)     (mm)
 Bản mặt CT (M11+)    1     2.8 27.15 92.36                1       0     2E+06 0.006 0.067
 Bản mặt CT (M11-)    1     2.8 31.78 98.52                1       0     2E+06 0.007 0.074
 Bản mặt CT (M22+)    1     2.8 26.74 92.36                1       0     2E+06 0.006 0.066
 Bản mặt CT (M22-)    1     2.8 31.55 98.52                1       0     2E+06 0.007 0.073
=> Thảo mãn điều kiện vết nứt : a ≤ [a] = 0.08 mm

6.4.Tính cốt thép cọc

   Cọc là cấu kiện chịu nén và uốn đồng thời có tiết diện hình tròn. Theo tiêu chuẩn
TCXDVN 356-2005 tính toán cho cấu kiện tiết diện tròn chịu lực dọc và mômen.

      N=297,30T
      M=26,58 T.m
   Các thông số của tiết diện:
           a   80
                0, 08
           D 1000
            N        271,95
      n                          0,198
           Rb . A 1750.(2 / 4)

             M          16,58
      m                            0, 024
           Rb . A.r 1750.0, 785.0,5

   Từ họ biểu đồ tƣơng tác tiết diện tròn với β = 0,06 ta tra đồ thị ta có α=0,1
   Vậy ta có diện tích cốt thép đƣợc tính


     GVHD: Th.S. Dƣơng Thanh Quỳnh
     SVTH : Vũ Trọng Chung     -   MSSV : 273352               -    Lớp 52CB3        173
ĐỒ ÁN TỐT NGHIỆP                     Thiết Kế Kỹ Thuật Bến Căn Cứ Đóng Mới Giàn Jacket Độ Sâu
                                 .     Đến 95.7M Nước Hạ Thủy Bằng Phương Pháp Kéo Trượt

                         .Rb . A        0,1.1750.0, 785
                Ast                                     0, 0049
                           Rs                 28000

                Ast= 49cm2
   Chọn 1220 , Fa = 58,9cm2
   Bố trí cốt thép đối xứng trong tiết diện.
7.Kiểm tra ổn định R1 = 30m

  Phân tố        1           2             3       4       5         6    7       8     9    10    11     Tổng
      li         6         2.1           1.56    1.63     1.3    1.52    1.42   1.57   1.2   0      0
      Fi         3         2.2           2.16    2.37     2.1    2.1     1.94   1.66   1.5   1.5   1.56
      gi         10        3.9           3.84    4.22     3.8    3.74    3.45   2.95   2.6   2.6   2.78
      ri         27         22           19.2    16.5     14     10.8    7.9      5    2.3   3.6   7.44
      ai        1.1        0.8           0.69    0.58     0.5    0.37    0.27   0.17   0.1   0.1   0.25
   gi.sinai     9.2        2.8           2.45     2.3     1.7    1.34    0.9    0.49   0.2   0.3   0.69    22
gi.cosai.tgji   1.4        0.8           0.85    1.01      1         1   0.96   0.84   0.7   0.8   0.77    10
     ci.li       1         0.3           0.25    0.26     0.2    0.24    0.23   0.25   0.2    0     0     2.9
      hi        2.1        3.6           3.21    3.4      3.5    3.6     3.2    3.12   2.6   1.7   1.2
      sa         4         5.6           5.22    5.42     5.5    5.64    5.21   5.13   4.6   3.6   3.08
      sp         12         17           15.9    16.5     17     17.2    15.9   15.6    14   11    9.26
     tn         2.9        3.5           3.91    3.94     3.6    2.79    1.89   1.75   1.7   1.3   1.2
     M          8.1        17            19.6    20.7     18     10.8    4.57   3.85   3.1   1.3   1.07
     Qi         5.1        8.9           9.12    9.55     8.9    7.04    4.4      4    3.4   2     1.62    64
Ta có :

Mg = R[ Σgi.cosai.tgai + Σci.li + ΣQi ] =2321.11

Mtr = R.gisinai = 674.55

kn = 3.4




      GVHD: Th.S. Dƣơng Thanh Quỳnh
      SVTH : Vũ Trọng Chung     -   MSSV : 273352                         -     Lớp 52CB3    174
ĐỒ ÁN TỐT NGHIỆP        Thiết Kế Kỹ Thuật Bến Căn Cứ Đóng Mới Giàn Jacket Độ Sâu
                    .     Đến 95.7M Nước Hạ Thủy Bằng Phương Pháp Kéo Trượt




               PHỤ LỤC 3 : PHÂN ĐOẠN TƢỜNG GÓC SAU BẾN




                               1.   Sơ đồ tính
                               2.   Tải trọng
                               3.   Chuyển vị
                               4.   Nội lực
                               5.   Kiểm tra sức chịu tải của cọc
                               6.   Tính thép




    GVHD: Th.S. Dƣơng Thanh Quỳnh
    SVTH : Vũ Trọng Chung     -   MSSV : 273352          -    Lớp 52CB3        175
ĐỒ ÁN TỐT NGHIỆP        Thiết Kế Kỹ Thuật Bến Căn Cứ Đóng Mới Giàn Jacket Độ Sâu
                    .     Đến 95.7M Nước Hạ Thủy Bằng Phương Pháp Kéo Trượt


    1. Sơ đồ tính




    2. Tải trọng

    -Áp lực đất




    GVHD: Th.S. Dƣơng Thanh Quỳnh
    SVTH : Vũ Trọng Chung     -   MSSV : 273352          -    Lớp 52CB3        176
ĐỒ ÁN TỐT NGHIỆP          Thiết Kế Kỹ Thuật Bến Căn Cứ Đóng Mới Giàn Jacket Độ Sâu
                      .     Đến 95.7M Nước Hạ Thủy Bằng Phương Pháp Kéo Trượt




      - Cần trục1




  -
      GVHD: Th.S. Dƣơng Thanh Quỳnh
      SVTH : Vũ Trọng Chung     -   MSSV : 273352          -    Lớp 52CB3        177
ĐỒ ÁN TỐT NGHIỆP           Thiết Kế Kỹ Thuật Bến Căn Cứ Đóng Mới Giàn Jacket Độ Sâu
                       .     Đến 95.7M Nước Hạ Thủy Bằng Phương Pháp Kéo Trượt


  -    Cần trục 2




  -    Áp lực đất nên bản đáy




  -
      GVHD: Th.S. Dƣơng Thanh Quỳnh
      SVTH : Vũ Trọng Chung     -   MSSV : 273352           -    Lớp 52CB3        178
ĐỒ ÁN TỐT NGHIỆP          Thiết Kế Kỹ Thuật Bến Căn Cứ Đóng Mới Giàn Jacket Độ Sâu
                      .     Đến 95.7M Nước Hạ Thủy Bằng Phương Pháp Kéo Trượt


  -
  -    Cần trục 1 nên bản đáy




      3Nội lực

      - Lực dọc:




      GVHD: Th.S. Dƣơng Thanh Quỳnh
      SVTH : Vũ Trọng Chung     -   MSSV : 273352          -    Lớp 52CB3        179
ĐỒ ÁN TỐT NGHIỆP        Thiết Kế Kỹ Thuật Bến Căn Cứ Đóng Mới Giàn Jacket Độ Sâu
                    .     Đến 95.7M Nước Hạ Thủy Bằng Phương Pháp Kéo Trượt


    - Mômen M11 bản mặt




    - Mômen M22 bản mặt




    GVHD: Th.S. Dƣơng Thanh Quỳnh
    SVTH : Vũ Trọng Chung     -   MSSV : 273352          -    Lớp 52CB3        180
ĐỒ ÁN TỐT NGHIỆP        Thiết Kế Kỹ Thuật Bến Căn Cứ Đóng Mới Giàn Jacket Độ Sâu
                    .     Đến 95.7M Nước Hạ Thủy Bằng Phương Pháp Kéo Trượt


    - Mômen M11 bản đáy




    -Mômen M22 bản dáy




    GVHD: Th.S. Dƣơng Thanh Quỳnh
    SVTH : Vũ Trọng Chung     -   MSSV : 273352          -    Lớp 52CB3        181
ĐỒ ÁN TỐT NGHIỆP        Thiết Kế Kỹ Thuật Bến Căn Cứ Đóng Mới Giàn Jacket Độ Sâu
                    .     Đến 95.7M Nước Hạ Thủy Bằng Phương Pháp Kéo Trượt


    4.Chuyển vị




    GVHD: Th.S. Dƣơng Thanh Quỳnh
    SVTH : Vũ Trọng Chung     -   MSSV : 273352          -    Lớp 52CB3        182
ĐỒ ÁN TỐT NGHIỆP             Thiết Kế Kỹ Thuật Bến Căn Cứ Đóng Mới Giàn Jacket Độ Sâu
                         .     Đến 95.7M Nước Hạ Thủy Bằng Phương Pháp Kéo Trượt


5.Kiểm tra sức chịu tải của cọc

 (Theo tiêu chuẩn móng cọc TCXDVN205-1998)

5.1.Tính toán sức chịu tải của cọc theo đất nền

   Công thức tính toán

    Ф =m.( mr.qp.F + U.Σmf.fi.li )

   Trong đó :

   Ф : Sức chịu tải của cọc theo đất nền

   m : Hệ số điều kiện làm việc trong đất               m = 1.0

   R : Sức chống tính toán của đất ở mũi cọc(T/m2) qp=430 T/m2

   F : Diện tích mặt cắt ngang cọc.

   Bề rộng cọc :       40 cm             =>            F = 0.16m2

   U : Chu vi tiết diện ngang cọc                      U =1.6

   mf,mr :Tƣơng ứng là các hệ số điều kiện làm việc của đất dƣới chân cọc và trên thành
cọc có xét đến ảnh hƣởng của phƣơng pháp hạ cọc : mf = mr = 1

    li : Chiều dày lớp đất thứ i mà mũi cọc đi qua .

   Chia lớp đất thành các lớp đồng nhất có chiều dày là 2m.

    fi : Sức chống tính toán của đất ở thân cọc (T/m2) , tra bảng 2-TCXD205-1998 ta có :




     GVHD: Th.S. Dƣơng Thanh Quỳnh
     SVTH : Vũ Trọng Chung     -   MSSV : 273352                -   Lớp 52CB3       183
ĐỒ ÁN TỐT NGHIỆP              Thiết Kế Kỹ Thuật Bến Căn Cứ Đóng Mới Giàn Jacket Độ Sâu
                          .     Đến 95.7M Nước Hạ Thủy Bằng Phương Pháp Kéo Trượt


 Tên          Cao      Độ         Bề                Độ
                                            li                B          fi     qp          fi.li
 lớp           độ     sâu         dày              sâu
  2            1.5     -5         6.5       0        0                 0         0         0
  4            -5     -7.5        2.5       0        0      1.51       0         0         0
  5a          -7.5   -10.2        2.7       0        2      0.55      1.5                  0
             -10.2   -19.4        9.2       2        4      0.55      1.9                3.8
                                            2        6      0.55     2.15                4.3
                                            2        8      0.55      4.4                8.8
                                            2       10      0.55      4.6                9.2
                                           1.2      12      0.55      4.8                9.6
     6       -19.4   -34.4        15        2       14      0.31       5                  10
                                            2       16      0.31      5.2                10.4
                                            2       18      0.31      5.4                10.8
                                            2       20      0.31      5.6       430      11.2
                                            2       22      0.31      5.8                81.1
                                            2       24      0.31       6
                                            2       26      0.31      6.2
                                            2       28      0.31      6.4
                                            1       30      0.31      6.6
     6       -34.4   -39.87                 2       32      0.31      6.8
                                            1       33      0.31      6.9
     7                                      2       35      0.22      9.8
                                            2       37      0.22      10
                                           0.5     37.5     0.22      10
                                            0      37.5     0.62
     10                                     0      37.5     0.39
     11                                     0      37.5     1.32
     12                                     0      37.5
     13                                     1      38.5     0.82


 .

 Qua tính toán :                                    Σfi.li = 81.10T/m2

     Sức chịu nén của cọc theo đất nền :


         GVHD: Th.S. Dƣơng Thanh Quỳnh
         SVTH : Vũ Trọng Chung     -   MSSV : 273352           -    Lớp 52CB3         184
ĐỒ ÁN TỐT NGHIỆP             Thiết Kế Kỹ Thuật Bến Căn Cứ Đóng Mới Giàn Jacket Độ Sâu
                         .     Đến 95.7M Nước Hạ Thủy Bằng Phương Pháp Kéo Trượt


    Ta có :                                          Ф = 125.42T

                                                     Pn = Ф/Ktc =89.586T

    Ktc : Hệ số độ tin cậy                             Ktc = 1.4

5.2.Tính toán sức chịu nhổ của cọc theo đất nền

    Công thức tính toán: Ф = m.U.Σmf.fi.li

    Trong đó:

    Ф : Sức chịu tải của cọc theo đất nền

    m: Hệ số điều kiện làm việc trong đất lấy m = 0.8

     U: Chu vi tiết diện ngang cọc               U = 1.60

  mf,mr: Tƣơng ứng là các hệ số điều kiện làm việc của đất dƣới chân cọc và trên thành
cọc có xét đến ảnh hƣởng của phƣơng pháp hạ cọc : mf = mr = 1

      li: Chiều dày lớp đất thứ I mà mũi cọc đi qua.

      fi: Sức chống tính toán của đất ở thân cọc (T/m2)

     Sức chịu nhổ của cọc theo đất nền.

      Ta có :                            Ф = 17.92

                                          Pnh = Ф/Ktc = 12.80

    Ktc : Hệ số độ tin cậy Ktc = 1.4

5.3.Kiểm tra khả năng chịu nén của cọc :

   Nội lực tính toán :                    Nmax = 73.74T

                                          Ntt = nc.n.mđ. Nmax + G

     GVHD: Th.S. Dƣơng Thanh Quỳnh
     SVTH : Vũ Trọng Chung     -   MSSV : 273352                -   Lớp 52CB3       185
ĐỒ ÁN TỐT NGHIỆP                 Thiết Kế Kỹ Thuật Bến Căn Cứ Đóng Mới Giàn Jacket Độ Sâu
                             .     Đến 95.7M Nước Hạ Thủy Bằng Phương Pháp Kéo Trượt


   Trong đó :

       nc : Hệ số tổ hợp tải trọng :            nc = 1.00

       n : Hệ số vƣợt tải            :          n = 1.25

       mđ : Hệ số phụ điều kiện làm việc       mđ = 1.00

       G : Trọng lƣợng bản thân cọc             G = 78.5

       Chiều dài cọc                            L = 30

       Vậy                                      Ntt = 92.49T

Qua tính toán trên                              Ntt < Pn

=> Cọc đảm bảo chịu lực theo đất nền.

5.4.Sức chịu tải của cọc theo vật liệu làm cọc.

   Biểu thức tính toán :           Pn = Ra.Fa + Rnp.Fb

   Trong đó :

       Fa : Diện tích cốt thép chịu lực 12Ø20 => Fa = 37.680 cm2

       Ra : Cƣờng độ chịu nén của cốt thép                  2800 kg/cm2

       Rnp: Cƣờng độ chịu nén của BT                        175 kg/cm2

       Vậy :                         P = 543.004T

5.5.Chọn chiều dài cọc

   Chiều dài cọc đƣợc chọn theo các điều kiện sau:

   -     Sức chịu tải của cọc theo đất nền
   -     Sức chịu tải của cọc theo vật liệu làm cọc

        GVHD: Th.S. Dƣơng Thanh Quỳnh
        SVTH : Vũ Trọng Chung     -   MSSV : 273352               -       Lớp 52CB3     186
ĐỒ ÁN TỐT NGHIỆP                 Thiết Kế Kỹ Thuật Bến Căn Cứ Đóng Mới Giàn Jacket Độ Sâu
                             .     Đến 95.7M Nước Hạ Thủy Bằng Phương Pháp Kéo Trượt


   -     Ta thấy sức chịu tải của cọc theo đất nền nhỏ hơn sức chịu tải của cọc theo vật liệu
         làm cọc do đó ta chọn chiều dài cọc theo sức chịu tải của đất nền có chiều dài 40m
   -     ( Chiều dài thức tế của cọc sẽ đƣợc quyết định sau khi có kết quả thử cọc )

6.Tính thép

6.1.Bản mặt

Tiết diện và nội lực tính toán.

        Cấu kiện         b(cm)              h(cm)      a(cm)    ho(cm) M(T.m) Qtu(T)
  Bản mặt CT (M11+)       100                 70        6.25     63.75  6.93   0.42
  Bản mặt CT (M11-)       100                 70        6.25     63.75  0.11   1.56
  Bản mặt CT (M22+)       100                 70        6.25     63.75  31.44 15.42
  Bản mặt CT (M22-)       100                 70        6.25     63.75  0.16   0.15
Các hệ số tham gia tính toán.

   Kn         nc      mb3             ma        Rnp       Ra
  1.15        1       1.25           1.15       175      2800


Tính toán với mômen có giá trị lớn nhất.

      Cấu kiện               d(mm)          số thanh   Fa(cm2) F'a(cm2)
 Bản mặt CT (M11+)             16               5        3.41    10.05
 Bản mặt CT (M11-)             16               5        0.05    10.05
 Bản mặt CT (M22+)             20              10       15.45    31.42
 Bản mặt CT (M22-)             16               5        0.08    10.05


Tính toán các cấu kiện BTCT theo cƣờng độ chịu cắt

Kiểm tra điều kiện tiết diện chọn đủ nếu thỏa mãn điều kiện : kn.nc.n.Q <=
0.25.mb3.Rnp.b.ho




       GVHD: Th.S. Dƣơng Thanh Quỳnh
       SVTH : Vũ Trọng Chung     -   MSSV : 273352                   -   Lớp 52CB3      187
ĐỒ ÁN TỐT NGHIỆP          Thiết Kế Kỹ Thuật Bến Căn Cứ Đóng Mới Giàn Jacket Độ Sâu
                      .     Đến 95.7M Nước Hạ Thủy Bằng Phương Pháp Kéo Trượt


      Cấu kiện         kn         nc        n         Q(kg)           kn.nc.n.Q (kg)
 Bản mặt CT (M11+)    1.15        1        1.25        350                503.13
 Bản mặt CT (M11-)    1.15        1        1.25        1300              1868.75
 Bản mặt CT (M22+)    1.15        1        1.25       12850             18471.81
 Bản mặt CT (M22-)    1.15        1        1.25        125                179.69


      Cấu kiện        mb3     Rnp        b              ho          0.25.mb3.Rnp.b.ho
                            (kg/cm2) (cm)              (cm)               (kg)
 Bản mặt CT (M11+)      1      175      100            68.83           1117025.00
 Bản mặt CT (M11-)      1      175      100            68.83           1117025.00
 Bản mặt CT (M22+)      1      175      100            68.83           1117025.00
 Bản mặt CT (M22-)      1      175      100            68.83           1117025.00
=> kn.nc.n.Q <= 0.25.mb3.Rnp.b.ho => Thỏa mãn

Kiểm tra điều kiện khi không phải cốt ngang khi thỏa mãn điều kiện :
kn.nc.n.Q<=mb3.Qb

      Cấu kiện     b(cm) ho(cm) a(cm) M(kg.cm) Qtu(kg) Ra(kg/cm2)
 Bản mặt CT (M11+) 100    63.83  6.25  693000  350.00     2800
 Bản mặt CT (M11-)  100   63.83  6.25  11000   1300.00    2800
 Bản mặt CT (M22+) 100    63.83  6.25 3144000 12850.00    2800
 Bản mặt CT (M22-)  100   63.83  6.25  16000   125.00     2800


      Cấu kiện        Fa(cm2) Rnp(kg/cm2)             tgβ'         tgβ            k
 Bản mặt CT (M11+)      3.41      175                 0.9          0.06         0.52
 Bản mặt CT (M11-)      0.05      175                 1.07         1.50         0.50
 Bản mặt CT (M22+)     15.45      175                 0.96         0.41         0.58
 Bản mặt CT (M22-)      0.08      175                 1.3          0.67         0.50


      Cấu kiện       Rp b(cm) ho(cm)           tgβ       b3         Qb(kg)    mb3.Qb
 Bản mặt CT (M11+)   12 100    63.83           0.06      1         2473.82    2473.82
 Bản mặt CT (M11-)   12 100    63.83           1.50      1         57478.14   57478.14
 Bản mặt CT (M22+)   12 100    63.83           0.41      1         18312.71   18312.71
 Bản mặt CT (M22-)   12 100    63.83           0.67      1         25506.84   25506.84
    GVHD: Th.S. Dƣơng Thanh Quỳnh
    SVTH : Vũ Trọng Chung     -   MSSV : 273352                -    Lớp 52CB3          188
ĐỒ ÁN TỐT NGHIỆP           Thiết Kế Kỹ Thuật Bến Căn Cứ Đóng Mới Giàn Jacket Độ Sâu
                       .     Đến 95.7M Nước Hạ Thủy Bằng Phương Pháp Kéo Trượt


Kiểm tra điều kiện khi không phải cốt đai không có cốt xiên: kn.nc.n.Q <= Qxb

      Cấu kiện          k Rax(kg/cm2) Rnp(kg/cm2)               Rp    b(cm) ho(cm) ma mb
 Bản mặt CT (M11+)     1.15  1700         175                   12     100   63.83 1   1
 Bản mặt CT (M11-)     1.15  1700         175                   12     100   63.83 1   1
 Bản mặt CT (M22+)     1.15  1700         175                   12     100   63.83 1   1
 Bản mặt CT (M22-)     1.15  1700         175                   12     100   63.83 1   1


      Cấu kiện         U   cốt đai    Fax        qx kn.nc.n.Q    Qxb    mb.Rb.b/2
                     (mm) (mm) (cm2) (kg/cm2)          (kg)      (kg)   (kg/cm2)
 Bản mặt CT (M11+) 100        12     4.52      7921  503.13   475305.81   600
 Bản mặt CT (M11-) 100        12     4.52      7921  1868.75 1503048.93   600
 Bản mặt CT (M22+) 100        12     4.52      7921 18471.88 1503519.89   600
 Bản mặt CT (M22-) 100        12     4.52      7921  179.69 1503048.93    600
Tính toán cấu kiện BTCT theo trạng thái giới hạn II

      Cấu kiện        mb         Ra      d    Fa    Rnp      b    X               ho            Z
                              (kg/cm2) (cm) (cm2) (kg/cm2) (cm) (cm)             (cm)          (cm)
 Bản mặt CT (M11+)     1        2800    1.6  3.41   225     100 0.49             63.83        63.59
 Bản mặt CT (M11-)     1        2800    1.6  0.05   225     100 0.01             63.83        63.83
 Bản mặt CT (M22+)     1        2800     2  15.45   225     100 2.21             63.85        62.74
 Bản mặt CT (M22-)     1        2800    1.6  0.08   225     100 0.01             63.83        63.82


      Cấu kiện         F'a(cm2)        Z      δa(kg/cm2)
 Bản mặt CT (M11+)       10.05       63.59      1084.10
 Bản mặt CT (M11-)       10.05       63.83       17.14
 Bản mặt CT (M22+)       31.42       62.74      1594.99
 Bản mặt CT (M22-)       10.05       63.82       24.94

      Cấu kiện        Cd        d      Fa      F'a     η       δbd      Ea              μ        at
                              (cm)   (cm2)   (cm2)     1    (kg/cm2) (kg/cm2)                  (mm)
 Bản mặt CT (M11+)     1       1.6    3.41   10.05     1        0    2100000          0.002    0.056
 Bản mặt CT (M11-)     1       1.6    0.05   10.05     1        0    2100000          0.002    0.001
 Bản mặt CT (M22+)     1       2.0   15.45   31.42     1        0    2100000          0.005    0.079
 Bản mặt CT (M22-)     1       1.6    0.08   10.05     1        0    2100000          0.002    0.001
    GVHD: Th.S. Dƣơng Thanh Quỳnh
    SVTH : Vũ Trọng Chung     -   MSSV : 273352             -    Lớp 52CB3        189
ĐỒ ÁN TỐT NGHIỆP             Thiết Kế Kỹ Thuật Bến Căn Cứ Đóng Mới Giàn Jacket Độ Sâu
                         .     Đến 95.7M Nước Hạ Thủy Bằng Phương Pháp Kéo Trượt


=> Thảo mãn điều kiện vết nứt : a ≤ [a] = 0.08 mm

6.2.Bản đáy

Tiết diện và nội lực tính toán :

      Cấu kiện     b(cm)           h(cm)     a(cm)   ho(cm) M(T.m) Qtu(T)
 Bản mặt CT (M11+) 100              100       6.25    93.75  10.06 38.02
 Bản mặt CT (M11-)  100             100       6.25    93.75  20.48 36.45
 Bản mặt CT (M22+) 100              100       6.25    93.75  44.79 46.30
 Bản mặt CT (M22-)  100             100       6.25    93.75  36.98 56.72


Các hệ số tính toán :

  Kn      nc    mb3      ma       Rnp       Ra
 1.15     1     1.25    1.15      175      2800


Tính toán với mômen có giá trị lớn nhất :

       Cấu kiện        d(mm) số thanh Fa(cm2) F'a(cm2)
 Bản mặt CT (M11+)       20       7       3.36      21.99
 Bản mặt CT (M11-)       20       7       6.84      21.99
 Bản mặt CT (M22+)       22      10      14.97      38.01
 Bản mặt CT (M22-)       22       8      12.36      30.41
Tính toán các cấu kiện BTCT theo cƣờng độ chịu cắt:

Kiểm tra điều kiện tiết diện chọn đủ nếu thỏa mãn điều kiện: kn.nc.Q <=
0.25.mb3.Rnp.b.ho

      Cấu kiện            kn         nc        n      Q(kg)   kn.nc.n.Q (kg)
 Bản mặt CT (M11+)       1.15        1       1.25    31683.33   45544.79
 Bản mặt CT (M11-)       1.15        1       1.25    30375.00   43664.06
 Bản mặt CT (M22+)       1.15        1       1.25    38583.33   55463.54
 Bản mặt CT (M22-)       1.15        1       1.25    47266.67   67945.83


        GVHD: Th.S. Dƣơng Thanh Quỳnh
        SVTH : Vũ Trọng Chung     -   MSSV : 273352           -    Lớp 52CB3        190
ĐỒ ÁN TỐT NGHIỆP          Thiết Kế Kỹ Thuật Bến Căn Cứ Đóng Mới Giàn Jacket Độ Sâu
                      .     Đến 95.7M Nước Hạ Thủy Bằng Phương Pháp Kéo Trượt


      Cấu kiện        mb3     Rnp        b              ho         0.25.mb3.Rnp.b.ho
                            (kg/cm2) (cm)              (cm)              (kg)
 Bản mặt CT (M11+)      1      175      100            93.85          1642375.00
 Bản mặt CT (M11-)      1      175      100            93.85          1642375.00
 Bản mặt CT (M22+)      1      175      100            93.86          1642550.00
 Bản mặt CT (M22-)      1      175      100            93.86          1642550.00
=> kn.nc.n.Q <= 0.25.mb3.Rnp.b.ho => Thỏa mãn

Kiểm tra điều kiện khi không phải cốt ngang khi thỏa mãn điều kiện :
kn.nc.n.Q<=mb3.Qb

      Cấu kiện     b(cm) ho(cm)           a(cm)   M(kg.cm)       Qtu(kg)    Ra(kg/cm2)
 Bản mặt CT (M11+) 100    93.85            6.25   1006000       31683.33       2800
 Bản mặt CT (M11-)  100   93.85            6.25   2048000       30375.00       2800
 Bản mặt CT (M22+) 100    93.86            6.25   4479000       38583.33       2800
 Bản mặt CT (M22-)  100   93.86            6.25   3698000       47266.67       2800


      Cấu kiện        Fa(cm2) Rnp(kg/cm2)            tgβ'         tgβ          k
 Bản mặt CT (M11+)     3.362      175               1.494        1.494        0.51
 Bản mặt CT (M11-)     6.844      175               1.164        1.164        0.52
 Bản mặt CT (M22+)     14.967     175               0.984        0.984        0.55
 Bản mặt CT (M22-)     12.358     175               1.091        1.091        0.54


      Cấu kiện         b(cm) ho(cm) tgβ mb3 Qb(kg) kn.nc.n.Q(kg) mb3.Qb
 Bản mặt CT (M11+)      100   93.85 1.49 1 86079.79              45544.7     392045
 Bản mặt CT (M11-)      100   93.85 1.16 1 68595.52              43664.0     299518
 Bản mặt CT (M22+)      100   93.86 0.89 1 55493.01              55463.5     307783
 Bản mặt CT (M22-)      100   93.86 1.09 1 66604.48              67945.8    4525496
Kiểm tra điều kiện khi không phải cốt đai không có cốt xiên: kn.nc.n.Q <= Qxb

      Cấu kiện        Rax(kg/cm2) Rnp(kg/cm2)           Rp      b(cm) ho(cm) ma mb
 Bản mặt CT (M11+)       1700         175               12       100   93.85 1   1
 Bản mặt CT (M11-)       1700         175               12       100   93.85 1   1
 Bản mặt CT (M22+)       1700         175               12       100   93.86 1   1
 Bản mặt CT (M22-)       1700         175               12       100   93.86 1   1
    GVHD: Th.S. Dƣơng Thanh Quỳnh
    SVTH : Vũ Trọng Chung     -   MSSV : 273352             -   Lớp 52CB3        191
ĐỒ ÁN TỐT NGHIỆP           Thiết Kế Kỹ Thuật Bến Căn Cứ Đóng Mới Giàn Jacket Độ Sâu
                       .     Đến 95.7M Nước Hạ Thủy Bằng Phương Pháp Kéo Trượt




      Cấu kiện       cốt đai   Fax       qx      kn.nc.n.Q   Qxb     mb.Rb.b/2
                      (mm) (cm2) (kg/cm2)           (kg)     (kg)    (kg/cm2)
 Bản mặt CT (M11+)     12      4.52     7921     45544.79 698847.72    600
 Bản mặt CT (M11-)     12      4.52     7921     43664.06 2209950.53   600
 Bản mặt CT (M22+)     12      4.52     7921     55463.54 2210186.01   600
 Bản mặt CT (M22-)     12      4.52     7921     67945.83 2210186.01   600
Tính toán cấu kiện BTCT theo trạng thái giới hạn II

      Cấu kiện        Ra      d    Fa    Rnp      b                    X      ho        Z
                   (kg/cm2) (cm) (cm2) (kg/cm2) (cm)                 (cm)    (cm)      (cm)
 Bản mặt CT (M11+)   2800    2.0 3.36    225     100                 0.48    93.85    93.61
 Bản mặt CT (M11-)   2800    2.0 6.84    225     100                 0.98    93.85    93.36
 Bản mặt CT (M22+)   2800    2.2 14.97   225     100                 2.14    93.86    92.79
 Bản mặt CT (M22-)   2800    2.2 12.36   225     100                 1.77    93.86    92.98


      Cấu kiện     M(kg.cm) F'a(cm2)   Z                δa(kg/cm2)
 Bản mặt CT (M11+) 1006000    21.99  93.16                488.69
 Bản mặt CT (M11-) 2048000    21.99  93.36                997.52
 Bản mặt CT (M22+) 4479000    38.01  92.79               1269.84
 Bản mặt CT (M22-) 3698000    30.41  92.98               1307.89

      Cấu kiện        Cd         d    Fa    F'a         η      δbd      Ea    μ
                               (cm) (cm2) (cm2)         1   (kg/cm2) (kg/cm2)
 Bản mặt CT (M11+)         1    2.0 3.36 21.99          1       0     2E+06 0.002
 Bản mặt CT (M11-)         1    2.0 6.84 21.99          1       0     2E+06 0.002
 Bản mặt CT (M22+)         1    2.2 14.97 38.01         1       0     2E+06 0.004
 Bản mặt CT (M22-)         1    2.2 12.36 30.41         1       0     2E+06 0.003


=> Thảo mãn điều kiện vết nứt : a ≤ [a] = 0.08 mm




    GVHD: Th.S. Dƣơng Thanh Quỳnh
    SVTH : Vũ Trọng Chung     -   MSSV : 273352             -    Lớp 52CB3           192
ĐỒ ÁN TỐT NGHIỆP        Thiết Kế Kỹ Thuật Bến Căn Cứ Đóng Mới Giàn Jacket Độ Sâu
                    .     Đến 95.7M Nước Hạ Thủy Bằng Phương Pháp Kéo Trượt




                   PHỤ LỤC 4 : PHÂN ĐOẠN ĐƢỜNG TRƢỢT




                               1.   Sơ đồ tính
                               2.   Tải trọng
                               3.   Chuyển vị
                               4.   Nội lực
                               5.   Kiểm tra sức chịu tải của cọc
                               6.   Tính thép




    GVHD: Th.S. Dƣơng Thanh Quỳnh
    SVTH : Vũ Trọng Chung     -   MSSV : 273352          -    Lớp 52CB3        193
ĐỒ ÁN TỐT NGHIỆP         Thiết Kế Kỹ Thuật Bến Căn Cứ Đóng Mới Giàn Jacket Độ Sâu
                     .     Đến 95.7M Nước Hạ Thủy Bằng Phương Pháp Kéo Trượt


     1. Sơ đồ tính




2. Tải trọng

- Tải trọng kéo




     GVHD: Th.S. Dƣơng Thanh Quỳnh
     SVTH : Vũ Trọng Chung     -   MSSV : 273352          -    Lớp 52CB3        194
ĐỒ ÁN TỐT NGHIỆP          Thiết Kế Kỹ Thuật Bến Căn Cứ Đóng Mới Giàn Jacket Độ Sâu
                      .     Đến 95.7M Nước Hạ Thủy Bằng Phương Pháp Kéo Trượt




  -    Lực ma sát




        3. Nội lực

      GVHD: Th.S. Dƣơng Thanh Quỳnh
      SVTH : Vũ Trọng Chung     -   MSSV : 273352          -    Lớp 52CB3        195
ĐỒ ÁN TỐT NGHIỆP        Thiết Kế Kỹ Thuật Bến Căn Cứ Đóng Mới Giàn Jacket Độ Sâu
                    .     Đến 95.7M Nước Hạ Thủy Bằng Phương Pháp Kéo Trượt


   - Mômen M11




    - Mômen M22




    GVHD: Th.S. Dƣơng Thanh Quỳnh
    SVTH : Vũ Trọng Chung     -   MSSV : 273352          -    Lớp 52CB3        196
ĐỒ ÁN TỐT NGHIỆP             Thiết Kế Kỹ Thuật Bến Căn Cứ Đóng Mới Giàn Jacket Độ Sâu
                         .     Đến 95.7M Nước Hạ Thủy Bằng Phương Pháp Kéo Trượt


5.Kiểm tra sức chịu tải của cọc

 (Theo tiêu chuẩn móng cọc TCXDVN205-1998)

5.1.Tính toán sức chịu tải của cọc theo đất nền

   Công thức tính toán

    Ф =m.( mr.qp.F + U.Σmf.fi.li )

   Trong đó :

   Ф : Sức chịu tải của cọc theo đất nền

   m : Hệ số điều kiện làm việc trong đất               m = 1.0

   R : Sức chống tính toán của đất ở mũi cọc(T/m2) qp=430 T/m2

   F : Diện tích mặt cắt ngang cọc.

   Bề rộng cọc :     100 cm              =>            F = 0.875m2

   U : Chu vi tiết diện ngang cọc                      U =3.14

   mf,mr :Tƣơng ứng là các hệ số điều kiện làm việc của đất dƣới chân cọc và trên thành
cọc có xét đến ảnh hƣởng của phƣơng pháp hạ cọc : mf = mr = 1

    li : Chiều dày lớp đất thứ i mà mũi cọc đi qua .

   Chia lớp đất thành các lớp đồng nhất có chiều dày là 2m.

    fi : Sức chống tính toán của đất ở thân cọc (T/m2) , tra bảng 2-TCXD205-1998 ta có :




     GVHD: Th.S. Dƣơng Thanh Quỳnh
     SVTH : Vũ Trọng Chung     -   MSSV : 273352              -    Lớp 52CB3        197
ĐỒ ÁN TỐT NGHIỆP            Thiết Kế Kỹ Thuật Bến Căn Cứ Đóng Mới Giàn Jacket Độ Sâu
                        .     Đến 95.7M Nước Hạ Thủy Bằng Phương Pháp Kéo Trượt


 Tên       Cao       Độ         Bề                Độ
                                          li                B        fi       qp          fi.li
 lớp        độ      sâu         dày              sâu
  2         1.5      -5         6.5       0        0                 0         0          0
  4         -5      -7.5        2.5       0        0      1.51       0         0          0
  5a       -7.5    -10.2        2.7       0        2      0.55      1.5                   0
          -10.2    -19.4        9.2       2        4      0.55      1.9                 3.8
                                          2        6      0.55     2.15                 4.3
                                          2        8      0.55      4.4                 8.8
                                          2       10      0.55      4.6                 9.2
                                         1.2      12      0.55      4.8                 9.6
  6       -19.4    -34.4        15        2       14      0.31       5                   10
                                          2       16      0.31      5.2                 10.4
                                          2       18      0.31      5.4                 10.8
                                          2       20      0.31      5.6       430       11.2
                                          2       22      0.31      5.8                 11.6
                                          2       24      0.31       6                  12
                                          2       26      0.31      6.2                 12.4
                                          2       28      0.31      6.4                12.8
                                          1       30      0.31      6.6                 6.6
  6       -34.4    -39.87                 2       32      0.31      6.8                13.6
                                          1       33      0.31      6.9                 6.9
  7                                       2       35      0.22      9.8                19.6
                                          2       37      0.22      10                  20
                                         0.5     37.5     0.22      10                   5
                                          0      37.5     0.62                         153.58
  10                                      0      37.5     0.39
  11                                      0      37.5     1.32
  12                                      0      37.5
  13                                      1      38.5     0.82




 Qua tính toán :                                  Σfi.li = 153.58T/m2

  Sức chịu nén của cọc theo đất nền :


      GVHD: Th.S. Dƣơng Thanh Quỳnh
      SVTH : Vũ Trọng Chung     -   MSSV : 273352            -    Lớp 52CB3         198
ĐỒ ÁN TỐT NGHIỆP             Thiết Kế Kỹ Thuật Bến Căn Cứ Đóng Mới Giàn Jacket Độ Sâu
                         .     Đến 95.7M Nước Hạ Thủy Bằng Phương Pháp Kéo Trượt


    Ta có :                                          Ф = 614.80T

                                                      Pn = Ф/Ktc =469.10T

    Ktc : Hệ số độ tin cậy                             Ktc = 1.4

5.2.Tính toán sức chịu nhổ của cọc theo đất nền

    Công thức tính toán: Ф = m.U.Σmf.fi.li

    Trong đó:

    Ф : Sức chịu tải của cọc theo đất nền

    m: Hệ số điều kiện làm việc trong đất lấy m = 0.8

     U: Chu vi tiết diện ngang cọc                U = 3.14

  mf,mr: Tƣơng ứng là các hệ số điều kiện làm việc của đất dƣới chân cọc và trên thành
cọc có xét đến ảnh hƣởng của phƣơng pháp hạ cọc : mf = mr = 1

      li: Chiều dày lớp đất thứ I mà mũi cọc đi qua.

      fi: Sức chống tính toán của đất ở thân cọc (T/m2)

     Sức chịu nhổ của cọc theo đất nền.

      Ta có :                            Ф = 343.10

                                          Pnh = Ф/Ktc = 245.07

      Ktc : Hệ số độ tin cậy Ktc = 1.4

5.3.Kiểm tra khả năng chịu nén của cọc :

   Nội lực tính toán :                    Nmax = 264.70T

                                          Ntt = nc.n.mđ. Nmax + G

     GVHD: Th.S. Dƣơng Thanh Quỳnh
     SVTH : Vũ Trọng Chung     -   MSSV : 273352                 -   Lớp 52CB3      199
ĐỒ ÁN TỐT NGHIỆP                 Thiết Kế Kỹ Thuật Bến Căn Cứ Đóng Mới Giàn Jacket Độ Sâu
                             .     Đến 95.7M Nước Hạ Thủy Bằng Phương Pháp Kéo Trượt


   Trong đó :

       nc : Hệ số tổ hợp tải trọng :           nc = 1.00

       n : Hệ số vƣợt tải            :         n = 1.25

       mđ : Hệ số phụ điều kiện làm việc       mđ = 1.00

       G : Trọng lƣợng bản thân cọc             G = 78.5

       Chiều dài cọc                            L = 40

       Vậy                                      Ntt = 396.875T

Qua tính toán trên                               Ntt < Pn

=> Cọc đảm bảo chịu lực theo đất nền.

5.4.Sức chịu tải của cọc theo vật liệu làm cọc.

   Biểu thức tính toán :           Pn = Ra.Fa + Rnp.Fb

   Trong đó :

       Fa : Diện tích cốt thép chịu lực 12Ø20 => Fa = 37.680 cm2

       Ra : Cƣờng độ chịu nén của cốt thép                 2800 kg/cm2

       Rnp: Cƣờng độ chịu nén của BT                        175 kg/cm2

       Vậy :                         P = 1482.50T

5.5.Chọn chiều dài cọc

   Chiều dài cọc đƣợc chọn theo các điều kiện sau:

   -     Sức chịu tải của cọc theo đất nền
   -     Sức chịu tải của cọc theo vật liệu làm cọc

        GVHD: Th.S. Dƣơng Thanh Quỳnh
        SVTH : Vũ Trọng Chung     -   MSSV : 273352               -      Lớp 52CB3      200
ĐỒ ÁN TỐT NGHIỆP                 Thiết Kế Kỹ Thuật Bến Căn Cứ Đóng Mới Giàn Jacket Độ Sâu
                             .     Đến 95.7M Nước Hạ Thủy Bằng Phương Pháp Kéo Trượt


   -     Ta thấy sức chịu tải của cọc theo đất nền nhỏ hơn sức chịu tải của cọc theo vật liệu
         làm cọc do đó ta chọn chiều dài cọc theo sức chịu tải của đất nền có chiều dài 40m
   -     ( Chiều dài thức tế của cọc sẽ đƣợc quyết định sau khi có kết quả thử cọc )

6.Tính thép

6.1.Đƣờng trƣợt biên

Tiết diện và nội lực tính toán.

        Cấu kiện         b(cm)              h(cm)      a(cm)    ho(cm) M(T.m) Qtu(T)
  Bản mặt CT (M11+)       100                200         7       193    6.35  10.76
  Bản mặt CT (M11-)       100                200         7       193    4.95  10.76
  Bản mặt CT (M22+)       100                200         7       193    6.70  11.52
  Bản mặt CT (M22-)       100                200         7       193    4.52  11.52
Các hệ số tham gia tính toán.

   kn         nc      mb3             ma        Rnp       Ra
  1.15        1       1.25           1.15       175      2800


Tính toán với mômen có giá trị lớn nhất.

      Cấu kiện               d(mm)          số thanh   Fa(cm2) F'a(cm2)
 Bản mặt CT (M11+)             22               7        1.07    26.61
 Bản mặt CT (M11-)             22               7        0.84    26.61
 Bản mặt CT (M22+)             22               7       1.127    26.61
 Bản mặt CT (M22-)             22               7       0.761    26.61


Tính toán các cấu kiện BTCT theo cƣờng độ chịu cắt

Kiểm tra điều kiện tiết diện chọn đủ nếu thỏa mãn điều kiện : kn.nc.n.Q <=
0.25.mb3.Rnp.b.ho




       GVHD: Th.S. Dƣơng Thanh Quỳnh
       SVTH : Vũ Trọng Chung     -   MSSV : 273352                   -   Lớp 52CB3      201
ĐỒ ÁN TỐT NGHIỆP          Thiết Kế Kỹ Thuật Bến Căn Cứ Đóng Mới Giàn Jacket Độ Sâu
                      .     Đến 95.7M Nước Hạ Thủy Bằng Phương Pháp Kéo Trượt


      Cấu kiện         kn          nc         n          Q(kg)         kn.nc.n.Q (kg)
 Bản mặt CT (M11+)    1.15         1        1.25        8966.67          12889.583
 Bản mặt CT (M11-)    1.15         1        1.25        8966.67          12889.583
 Bản mặt CT (M22+)    1.15         1        1.25        9600.00            13800
 Bản mặt CT (M22-)    1.15         1        1.25        9600.00            13800


      Cấu kiện        mb3     Rnp        b                ho         0.25.mb3.Rnp.b.ho
                            (kg/cm2) (cm)                (cm)               (kg)
 Bản mặt CT (M11+)      1      175      100               193             3379425
 Bản mặt CT (M11-)      1      175      100               193             3379425
 Bản mặt CT (M22+)      1      175      100               193             3379425
 Bản mặt CT (M22-)      1      175      100               193             3379425
=> kn.nc.n.Q <= 0.25.mb3.Rnp.b.ho => Thỏa mãn

Kiểm tra điều kiện khi không phải cốt ngang khi thỏa mãn điều kiện :
kn.nc.n.Q<=mb3.Qb

      Cấu kiện     b(cm) ho(cm) a(cm) M(kg.cm)                    Qtu(kg)   Ra(kg/cm2)
 Bản mặt CT (M11+) 100    193    6.1   635000                     8966.67      2800
 Bản mặt CT (M11-)  100   193    6.1   495000                     8966.67      2800
 Bản mặt CT (M22+) 100    193    6.1   670000                      9600        2800
 Bản mặt CT (M22-)  100   193    6.1   452000                      9600        2800


      Cấu kiện        Fa(cm2) Rnp(kg/cm2)            tgβ'           tgβ          k
 Bản mặt CT (M11+)     1.069      175               1.463          1.463       0.502
 Bản mặt CT (M11-)     0.833      175               1.555          1.55        0.501
 Bản mặt CT (M22+)     1.128      175               1.496          1.496       0.502
 Bản mặt CT (M22-)     0.761      175               1.068          1.068       0.501


      Cấu kiện     b(cm) ho(cm) tgβ                b3       Qb(kg)   kn.nc.n.Q(kg)
 Bản mặt CT (M11+) 100    193   1.463              1      170132.241   12889.58
 Bản mặt CT (M11-)  100   193   1.55               1      174261.815   12889.58
 Bản mặt CT (M22+) 100    193   1.469              1      170828.363     13800
 Bản mặt CT (M22-)  100   193   1.55               1      174221.611     13800
    GVHD: Th.S. Dƣơng Thanh Quỳnh
    SVTH : Vũ Trọng Chung     -   MSSV : 273352             -      Lớp 52CB3       202
ĐỒ ÁN TỐT NGHIỆP           Thiết Kế Kỹ Thuật Bến Căn Cứ Đóng Mới Giàn Jacket Độ Sâu
                       .     Đến 95.7M Nước Hạ Thủy Bằng Phương Pháp Kéo Trượt


Kiểm tra điều kiện khi không phải cốt đai không có cốt xiên: kn.nc.n.Q <= Qxb

      Cấu kiện         Rax(kg/cm2) Rnp(kg/cm2)           Rp     b(cm) ho(cm) ma mb
 Bản mặt CT (M11+)        1700         175               12      100   193   1   1
 Bản mặt CT (M11-)        1700         175               12      100   193   1   1
 Bản mặt CT (M22+)        1700         175               12      100   193   1   1
 Bản mặt CT (M22-)        1700         175               12      100   193   1   1


      Cấu kiện       cốt đai   Fax       qx      kn.nc.n.Q          Qxb     mb.Rb.b/2
                      (mm) (cm2) (kg/cm2)           (kg)            (kg)    (kg/cm2)
 Bản mặt CT (M11+)     12      4.52     7921     12889.58        1437980.64   600
 Bản mặt CT (M11-)     12      4.52     7921     12889.58        4547294.06   600
 Bản mặt CT (M22+)     12      4.52     7921       13800         4547294.06   600
 Bản mặt CT (M22-)     12      4.52     7921       13800         4547294.06   600
Tính toán cấu kiện BTCT theo trạng thái giới hạn II

      Cấu kiện        Ra      d    Fa    Rnp      b    X                      ho       Z
                   (kg/cm2) (cm) (cm2) (kg/cm2) (cm) (cm)                    (cm)     (cm)
 Bản mặt CT (M11+)   2800    2.2  1.07   225     100 0.15                     193     193
 Bản mặt CT (M11-)   2800    2.2  0.83   225     100 0.12                     193     193
 Bản mặt CT (M22+)   2800    2.2  1.13   225     100 0.16                     193     193
 Bản mặt CT (M22-)   2800    2.2  0.76   225     100 0.11                     193     193

      Cấu kiện         F'a(cm2)        Z    δa(kg/cm2)
 Bản mặt CT (M11+)       26.61       193.03   123.63
 Bản mặt CT (M11-)       26.61       193.05    96.36
 Bản mặt CT (M22+)       26.61       193.03   130.44
 Bản mặt CT (M22-)       26.61       193.06    87.99

      Cấu kiện        Cd    d      Fa        F'a δbd                 Ea         μ           at
                          (cm) (cm2) (cm2) (kg/cm2)               (kg/cm2)                (mm)
 Bản mặt CT (M11+) 1 2.2 1.069 26.609             0               2100000    0.0014       0.024
 Bản mặt CT (M11-) 1 2.2 0.833 26.609             0               2100000    0.0014       0.019
 Bản mặt CT (M22+) 1 2.2 1.128 26.609             0               2100000    0.0014       0.026
 Bản mặt CT (M22-) 1 2.2 0.761 26.609             0               2100000    0.0014       0.017
=> Thảo mãn điều kiện vết nứt : a ≤ [a] = 0.08 m
    GVHD: Th.S. Dƣơng Thanh Quỳnh
    SVTH : Vũ Trọng Chung     -   MSSV : 273352             -    Lớp 52CB3          203
ĐỒ ÁN TỐT NGHIỆP        Thiết Kế Kỹ Thuật Bến Căn Cứ Đóng Mới Giàn Jacket Độ Sâu
                    .     Đến 95.7M Nước Hạ Thủy Bằng Phương Pháp Kéo Trượt




                           PHỤ LỤC 5: NỘI LỰC SAP

                            1. Nội lực trong dầm
                            2. Nội lực bản sàn
                            3. Nội lực bản sàn cần trục




    GVHD: Th.S. Dƣơng Thanh Quỳnh
    SVTH : Vũ Trọng Chung     -   MSSV : 273352          -    Lớp 52CB3        204
ĐỒ ÁN TỐT NGHIỆP          Thiết Kế Kỹ Thuật Bến Căn Cứ Đóng Mới Giàn Jacket Độ Sâu
                      .     Đến 95.7M Nước Hạ Thủy Bằng Phương Pháp Kéo Trượt


1.Nội lực trong Dầm

  Frame      LOAD             P        V2         V3         T             M2           M3
   Text       Text           Ton       Ton        Ton     Ton-m          Ton-m        Ton-m
    1      COMBHH          -0.800     0.052      0.051     0.000          0.307        0.326
    1      COMBHH          -0.800     0.052      0.051     0.000          0.350        0.388
    1      COMBHH          -0.800     0.052      0.051     0.000          1.529        1.530
    1      COMBHH         -53.892    -0.111     -0.117    -0.006         -0.859       -0.753
    1      COMBHH         -53.892    -0.111     -0.117    -0.006         -0.220       -0.204
    1      COMBHH         -53.892    -0.111     -0.117    -0.006         -0.747       -0.735
    1       COMBCT          2.497    -0.011      0.003     0.014          0.034       -0.117
    1       COMBCT          2.497    -0.011      0.003     0.014          0.149        0.178
    1       COMBCT          2.497    -0.011      0.003     0.014          0.848        0.587
    1       COMBCT         -0.026    -0.040     -0.068    -0.014         -0.551       -0.232
    1       COMBCT         -0.026    -0.040     -0.068    -0.014          0.000       -0.002
    1       COMBCT         -0.026    -0.040     -0.068    -0.014         -0.033        0.113
    1      COMBNEO         12.144     1.121      0.000     0.791          0.000      11.067
    1      COMBNEO         12.144     1.121      0.000     0.791          0.066        0.000
    1      COMBNEO         12.144     1.121      0.000     0.791        10.329         0.000
    1      COMBNEO          0.000     0.000     -1.002     0.000        -10.197        0.000
    1      COMBNEO          0.000     0.000     -1.002     0.000          0.000       -0.414
    1      COMBNEO          0.000     0.000     -1.002     0.000          0.000      -11.896
    1        COMB1        -77.207     0.028      0.026     0.000          0.055        0.162
    1        COMB1        -56.907     0.028      0.026     0.000          0.469        0.583
    1        COMB1        -36.606     0.028      0.026     0.000          2.246        2.300
                              -
    1       COMB1                    -0.168     -0.175    -0.007        -1.343       -1.134
                          140.918
                              -
    1       COMB1                    -0.168     -0.175    -0.007        -0.215       -0.128
                          120.618
                              -
    1       COMB1                    -0.168     -0.175    -0.007        -0.486       -0.417
                          100.317
    1       COMB2         -73.251    -0.047     -0.031     0.017         -0.272      -0.370
    1       COMB2         -52.950    -0.047     -0.031     0.017          0.227       0.330
    1       COMB2         -32.650    -0.047     -0.031     0.017          1.428       1.169
    1       COMB2         -76.279    -0.082     -0.117    -0.017         -0.974      -0.508
    1       COMB2         -55.978    -0.082     -0.117    -0.017          0.050       0.115
    1       COMB2         -35.678    -0.082     -0.117    -0.017          0.371       0.601
    1       COMB3         -61.674     1.311     -0.035     0.949         -0.313      13.051
    1       COMB3         -41.373     1.311     -0.035     0.949          0.129       0.117
    1       COMB3         -21.073     1.311     -0.035     0.949        12.806        0.465
    1       COMB3         -76.247    -0.034     -1.237     0.000        -12.549      -0.230

    GVHD: Th.S. Dƣơng Thanh Quỳnh
    SVTH : Vũ Trọng Chung     -   MSSV : 273352            -       Lớp 52CB3      205
ĐỒ ÁN TỐT NGHIỆP        Thiết Kế Kỹ Thuật Bến Căn Cứ Đóng Mới Giàn Jacket Độ Sâu
                    .     Đến 95.7M Nước Hạ Thủy Bằng Phương Pháp Kéo Trượt

    1       COMB3       -55.947    -0.034     -1.237     0.000         0.049        -0.380
    1       COMB3       -35.646    -0.034     -1.237     0.000         0.411       -13.811
    1       COMB4       -75.884    -0.035      0.076    -0.007         0.843        -0.239
    1       COMB4       -55.584    -0.035      0.076    -0.007         0.065         0.117
    1       COMB4       -35.283    -0.035      0.076    -0.007        -0.712         0.473
    1       COMB5       -76.003    -0.051      0.057    -0.027         0.646        -0.405
    1       COMB5       -55.703    -0.051      0.057    -0.027         0.062         0.115
    1       COMB5       -35.402    -0.051      0.057    -0.027        -0.522         0.636
    1       COMB6       -74.211     0.015      0.030     0.017         0.096         0.021
    1       COMB6       -53.910     0.015      0.030     0.017         0.647         0.796
    1       COMB6       -33.610     0.015      0.030     0.017         3.264         3.004
                           -
    1       COMB6                  -0.216     -0.257    -0.024        -2.004       -1.412
                        140.949
                           -
    1       COMB6                  -0.216     -0.257    -0.024        -0.215       -0.130
                        120.649
                           -
    1       COMB6                  -0.216     -0.257    -0.024        -0.526       -0.281
                        100.349
    1       COMB7       -62.634    1.373      0.026     0.949          0.055       13.442
    1       COMB7       -42.333    1.373      0.026     0.949          0.548        0.583
    1       COMB7       -22.033    1.373      0.026     0.949         14.641        2.300
                           -
    1       COMB7                  -0.168     -1.377    -0.007        -13.579      -1.134
                        140.918
                           -
    1       COMB7                  -0.168     -1.377    -0.007        -0.215       -0.625
                        120.618
                           -
    1       COMB7                  -0.168     -1.377    -0.007        -0.486       -14.693
                        100.317
    1       COMB8       -76.844    0.027      0.138     -0.007        1.211        0.153
    1       COMB8       -56.544    0.027      0.138     -0.007        0.485        0.583
    1       COMB8       -36.243    0.027      0.138     -0.007        1.123        2.309
                           -
    1       COMB8                  -0.168     -0.064    -0.014        -0.187       -1.142
                        140.555
                           -
    1       COMB8                  -0.168     -0.064    -0.014        -0.199       -0.128
                        120.254
    1       COMB8       -99.954    -0.168     -0.064    -0.014        -1.609       -0.409
    1       COMB9       -76.963     0.011      0.119    -0.027         1.014       -0.013
    1       COMB9       -56.663     0.011      0.119    -0.027         0.482        0.582
    1       COMB9       -36.362     0.011      0.119    -0.027         1.313        2.471
                           -
    1       COMB9                  -0.184     -0.083    -0.034        -0.384       -1.308
                        140.674
                           -
    1       COMB9                  -0.184     -0.083    -0.034        -0.202       -0.130
                        120.374
                           -
    1       COMB9                  -0.184     -0.083    -0.034        -1.419       -0.246
                        100.073
    1      COMB10       -73.007    -0.064     0.061     -0.010        0.687        -0.545

    GVHD: Th.S. Dƣơng Thanh Quỳnh
    SVTH : Vũ Trọng Chung     -   MSSV : 273352          -       Lớp 52CB3      206
ĐỒ ÁN TỐT NGHIỆP        Thiết Kế Kỹ Thuật Bến Căn Cứ Đóng Mới Giàn Jacket Độ Sâu
                    .     Đến 95.7M Nước Hạ Thủy Bằng Phương Pháp Kéo Trượt

    1      COMB10       -52.706    -0.064      0.061    -0.010          0.240        0.328
    1      COMB10       -32.406    -0.064      0.061    -0.010          0.495        1.340
    1      COMB10       -76.035    -0.099     -0.025    -0.044         -0.015       -0.683
    1      COMB10       -55.734    -0.099     -0.025    -0.044          0.063        0.113
    1      COMB10       -35.434    -0.099     -0.025    -0.044         -0.562        0.772
    1      COMB11       -72.888    -0.048      0.080     0.010          0.884       -0.379
    1      COMB11       -52.587    -0.048      0.080     0.010          0.244        0.330
    1      COMB11       -32.287    -0.048      0.080     0.010          0.305        1.177
    1      COMB11       -75.916    -0.083     -0.006    -0.024          0.182       -0.517
    1      COMB11       -55.615    -0.083     -0.006    -0.024          0.066        0.115
    1      COMB11       -35.315    -0.083     -0.006    -0.024         -0.752        0.610
    1      COMB12       -58.677     1.297     -0.031     0.966         -0.272      12.911
    1      COMB12       -38.377     1.297     -0.031     0.966          0.307        0.330
    1      COMB12       -18.077     1.297     -0.031     0.966        13.823         1.169
    1      COMB12       -76.279    -0.082     -1.319    -0.017        -13.210       -0.508
    1      COMB12       -55.978    -0.082     -1.319    -0.017          0.050       -0.382
    1      COMB12       -35.678    -0.082     -1.319    -0.017          0.371      -13.675
    1      COMB13       -59.637     1.360      0.030     0.966          0.096      13.302
    1      COMB13       -39.337     1.360      0.030     0.966          0.727        0.796
    1      COMB13       -19.037     1.360      0.030     0.966        15.658         3.004
                           -
    1      COMB13                  -0.216     -1.459    -0.024        -14.240      -1.412
                        140.949
                           -
    1      COMB13                  -0.216     -1.459    -0.024        -0.215       -0.627
                        120.649
                           -
    1      COMB13                  -0.216     -1.459    -0.024        -0.526       -14.557
                        100.349
    1      COMB14       -73.848    0.014      0.142     0.010         1.252        0.013
    1      COMB14       -53.547    0.014      0.142     0.010         0.663        0.796
    1      COMB14       -33.247    0.014      0.142     0.010         2.140        3.013
                           -
    1      COMB14                  -0.216     -0.146    -0.031        -0.848       -1.420
                        140.586
                           -
    1      COMB14                  -0.216     -0.146    -0.031        -0.199       -0.130
                        120.286
    1      COMB14       -99.986    -0.216     -0.146    -0.031        -1.649       -0.272
    1      COMB15       -73.967    -0.002      0.123    -0.010         1.055       -0.153
    1      COMB15       -53.666    -0.002      0.123    -0.010         0.660        0.795
    1      COMB15       -33.366    -0.002      0.123    -0.010         2.330        3.175
                           -
    1      COMB15                  -0.232     -0.165    -0.051        -1.045       -1.586
                        140.705
                           -
    1      COMB15                  -0.232     -0.165    -0.051        -0.202       -0.132
                        120.405
                           -
    1      COMB15                  -0.232     -0.165    -0.051        -1.459       -0.110
                        100.105

    GVHD: Th.S. Dƣơng Thanh Quỳnh
    SVTH : Vũ Trọng Chung     -   MSSV : 273352          -       Lớp 52CB3      207
ĐỒ ÁN TỐT NGHIỆP        Thiết Kế Kỹ Thuật Bến Căn Cứ Đóng Mới Giàn Jacket Độ Sâu
                    .     Đến 95.7M Nước Hạ Thủy Bằng Phương Pháp Kéo Trượt

    2     COMBHH         -3.059     0.133      0.096     0.000          0.626        0.787
    2     COMBHH         -3.059     0.133      0.096     0.000          0.376        0.451
    2     COMBHH         -3.059     0.133      0.096     0.000          1.659        1.771
    2     COMBHH        -63.057    -0.143     -0.139    -0.006         -0.907       -0.870
    2     COMBHH        -63.057    -0.143     -0.139    -0.006         -0.266       -0.441
    2     COMBHH        -63.057    -0.143     -0.139    -0.006         -1.158       -1.669
    2      COMBCT        -0.033    -0.012      0.005     0.016          0.042       -0.116
    2      COMBCT        -0.033    -0.012      0.005     0.016          0.049        0.690
    2      COMBCT        -0.033    -0.012      0.005     0.016          0.508        2.628
    2      COMBCT        -3.899    -0.209     -0.050    -0.016         -0.410       -1.248
    2      COMBCT        -3.899    -0.209     -0.050    -0.016          0.000       -0.002
    2      COMBCT        -3.899    -0.209     -0.050    -0.016         -0.042        0.112
    2     COMBNEO         5.010     1.176      0.000     0.886          0.000      10.905
    2     COMBNEO         5.010     1.176      0.000     0.886          0.043        0.020
    2     COMBNEO         5.010     1.176      0.000     0.886        12.476         0.000
    2     COMBNEO         0.000     0.000     -1.343     0.000        -12.389        0.000
    2     COMBNEO         0.000     0.000     -1.343     0.000          0.000        0.000
    2     COMBNEO         0.000     0.000     -1.343     0.000          0.000      -10.864
    2       COMB1       -82.986     0.078      0.106     0.000          0.603        0.449
    2       COMB1       -64.647     0.078      0.106     0.000          0.393        0.793
    2       COMB1       -46.309     0.078      0.106     0.000          2.022        3.125
                            -
    2       COMB1                  -0.252     -0.176    -0.007        -1.236       -1.539
                        154.983
                            -
    2       COMB1                  -0.252     -0.176    -0.007        -0.378       -0.277
                        136.645
                            -
    2       COMB1                  -0.252     -0.176    -0.007        -1.358       -1.003
                        118.306
    2       COMB2       -79.355    -0.096     -0.004     0.019         -0.097       -0.635
    2       COMB2       -61.016    -0.096     -0.004     0.019          0.000        1.080
    2       COMB2       -42.677    -0.096     -0.004     0.019          0.641        4.154
    2       COMB2       -83.994    -0.332     -0.069    -0.019         -0.640       -1.993
    2       COMB2       -65.656    -0.332     -0.069    -0.019         -0.058        0.250
    2       COMB2       -47.317    -0.332     -0.069    -0.019         -0.019        1.134
    2       COMB3       -73.303     1.330     -0.010     1.063         -0.148      12.589
    2       COMB3       -54.964     1.330     -0.010     1.063         -0.006        0.276
    2       COMB3       -36.625     1.330     -0.010     1.063        15.002         1.000
    2       COMB3       -79.315    -0.081     -1.622     0.000        -15.015       -0.496
    2       COMB3       -60.976    -0.081     -1.622     0.000         -0.058        0.252
    2       COMB3       -42.638    -0.081     -1.622     0.000          0.031      -12.037
    2       COMB4       -79.313    -0.081      0.144    -0.003          1.281       -0.499
    2       COMB4       -60.974    -0.081      0.144    -0.003         -0.051        0.251

    GVHD: Th.S. Dƣơng Thanh Quỳnh
    SVTH : Vũ Trọng Chung     -   MSSV : 273352          -       Lớp 52CB3      208
ĐỒ ÁN TỐT NGHIỆP        Thiết Kế Kỹ Thuật Bến Căn Cứ Đóng Mới Giàn Jacket Độ Sâu
                    .     Đến 95.7M Nước Hạ Thủy Bằng Phương Pháp Kéo Trượt

    2       COMB4       -42.635    -0.081     0.144     -0.003        -1.384        1.002
    2       COMB5       -79.349    -0.094     0.116     -0.062         1.023       -0.621
    2       COMB5       -61.010    -0.094     0.116     -0.062        -0.053        0.250
    2       COMB5       -42.672    -0.094     0.116     -0.062        -1.129        1.120
    2       COMB6       -83.026     0.064     0.111      0.019         0.654        0.310
    2       COMB6       -64.687     0.064     0.111      0.019         0.452        1.621
    2       COMB6       -46.349     0.064     0.111      0.019         2.631        6.278
                           -
    2       COMB6                  -0.503     -0.236    -0.026        -1.728       -3.037
                        159.663
                           -
    2       COMB6                  -0.503     -0.236    -0.026        -0.377       -0.279
                        141.324
                           -
    2       COMB6                  -0.503     -0.236    -0.026        -1.408       -0.869
                        122.985
    2       COMB7       -76.974    1.490      0.106     1.063          0.603       13.534
    2       COMB7       -58.635    1.490      0.106     1.063          0.445        0.817
    2       COMB7       -40.297    1.490      0.106     1.063         16.992        3.125
                           -
    2       COMB7                  -0.252     -1.788    -0.007        -16.103      -1.539
                        154.983
                           -
    2       COMB7                  -0.252     -1.788    -0.007        -0.378       -0.277
                        136.645
                           -
    2       COMB7                  -0.252     -1.788    -0.007        -1.358       -14.040
                        118.306
    2       COMB8       -82.984    0.078      0.260     -0.003        2.032        0.446
    2       COMB8       -64.645    0.078      0.260     -0.003        0.400        0.792
    2       COMB8       -46.306    0.078      0.260     -0.003        0.606        3.127
                           -
    2       COMB8                  -0.252     -0.022    -0.011        0.193        -1.543
                        154.981
                           -
    2       COMB8                  -0.252     -0.022    -0.011        -0.371       -0.278
                        136.642
                           -
    2       COMB8                  -0.252     -0.022    -0.011        -2.773       -1.001
                        118.304
    2       COMB9       -83.020    0.065      0.232     -0.062        1.774        0.324
    2       COMB9       -64.681    0.065      0.232     -0.062        0.398        0.790
    2       COMB9       -46.343    0.065      0.232     -0.062        0.861        3.245
                           -
    2       COMB9                  -0.265     -0.050    -0.069        -0.065       -1.664
                        155.017
                           -
    2       COMB9                  -0.265     -0.050    -0.069        -0.372       -0.279
                        136.679
                           -
    2       COMB9                  -0.265     -0.050    -0.069        -2.518       -0.883
                        118.340
    2      COMB10       -79.389    -0.109     0.122     -0.043         1.074       -0.759
    2      COMB10       -61.050    -0.109     0.122     -0.043         0.006        1.078
    2      COMB10       -42.711    -0.109     0.122     -0.043        -0.519        4.274
    2      COMB10       -84.028    -0.345     0.057     -0.081         0.531       -2.118

    GVHD: Th.S. Dƣơng Thanh Quỳnh
    SVTH : Vũ Trọng Chung     -   MSSV : 273352          -       Lớp 52CB3      209
ĐỒ ÁN TỐT NGHIỆP        Thiết Kế Kỹ Thuật Bến Căn Cứ Đóng Mới Giàn Jacket Độ Sâu
                    .     Đến 95.7M Nước Hạ Thủy Bằng Phương Pháp Kéo Trượt

    2      COMB10       -65.690    -0.345      0.057    -0.081         -0.053        0.248
    2      COMB10       -47.351    -0.345      0.057    -0.081         -1.179        1.254
    2      COMB11       -79.352    -0.096      0.149     0.016          1.332       -0.638
    2      COMB11       -61.014    -0.096      0.149     0.016          0.007        1.080
    2      COMB11       -42.675    -0.096      0.149     0.016         -0.774        4.156
    2      COMB11       -83.992    -0.332      0.084    -0.022          0.789       -1.996
    2      COMB11       -65.653    -0.332      0.084    -0.022         -0.051        0.249
    2      COMB11       -47.315    -0.332      0.084    -0.022         -1.434        1.136
    2      COMB12       -73.343     1.316     -0.004     1.081         -0.097      12.451
    2      COMB12       -55.004     1.316     -0.004     1.081          0.052        1.105
    2      COMB12       -36.665     1.316     -0.004     1.081        15.612         4.154
    2      COMB12       -83.994    -0.332     -1.681    -0.019        -15.507       -1.993
    2      COMB12       -65.656    -0.332     -1.681    -0.019         -0.058        0.250
    2      COMB12       -47.317    -0.332     -1.681    -0.019         -0.019      -11.903
    2      COMB13       -77.014     1.475      0.111     1.082          0.654      13.396
    2      COMB13       -58.675     1.475      0.111     1.082          0.503        1.645
    2      COMB13       -40.336     1.475      0.111     1.082        17.602         6.278
                            -
    2      COMB13                  -0.503     -1.847    -0.026        -16.595      -3.037
                        159.663
                            -
    2      COMB13                  -0.503     -1.847    -0.026        -0.377       -0.279
                        141.324
                            -
    2      COMB13                  -0.503     -1.847    -0.026        -1.408       -13.905
                        122.985
    2      COMB14       -83.024    0.063      0.265     0.016         2.083        0.307
    2      COMB14       -64.685    0.063      0.265     0.016         0.459        1.620
    2      COMB14       -46.346    0.063      0.265     0.016         1.216        6.281
                            -
    2      COMB14                  -0.504     -0.082    -0.030        -0.299       -3.040
                        159.660
                            -
    2      COMB14                  -0.504     -0.082    -0.030        -0.370       -0.280
                        141.322
                            -
    2      COMB14                  -0.504     -0.082    -0.030        -2.824       -0.866
                        122.983
    2      COMB15       -83.060    0.050      0.237     -0.043        1.825        0.186
    2      COMB15       -64.721    0.050      0.237     -0.043        0.457        1.619
    2      COMB15       -46.383    0.050      0.237     -0.043        1.471        6.399
                            -
    2      COMB15                  -0.516     -0.110    -0.088        -0.557       -3.161
                        159.697
                            -
    2      COMB15                  -0.516     -0.110    -0.088        -0.372       -0.281
                        141.358
                            -
    2      COMB15                  -0.516     -0.110    -0.088        -2.569       -0.748
                        123.019
    3      COMBHH        -2.841    0.226      0.070     0.000         0.331        1.246
    3      COMBHH        -2.841    0.226      0.070     0.000         0.153        0.465

    GVHD: Th.S. Dƣơng Thanh Quỳnh
    SVTH : Vũ Trọng Chung     -   MSSV : 273352          -       Lớp 52CB3      210
ĐỒ ÁN TỐT NGHIỆP        Thiết Kế Kỹ Thuật Bến Căn Cứ Đóng Mới Giàn Jacket Độ Sâu
                    .     Đến 95.7M Nước Hạ Thủy Bằng Phương Pháp Kéo Trượt

    3     COMBHH         -2.841     0.226      0.070     0.000          0.890        1.820
    3     COMBHH        -64.483    -0.160     -0.087    -0.007         -0.584       -0.891
    3     COMBHH        -64.483    -0.160     -0.087    -0.007         -0.264       -0.675
    3     COMBHH        -64.483    -0.160     -0.087    -0.007         -0.860       -2.596
    3      COMBCT        -0.030    -0.012      0.006     0.017          0.050       -0.105
    3      COMBCT        -0.030    -0.012      0.006     0.017          0.000        0.710
    3      COMBCT        -0.030    -0.012      0.006     0.017          0.041        2.714
    3      COMBCT        -2.658    -0.236     -0.015    -0.017         -0.208       -1.294
    3      COMBCT        -2.658    -0.236     -0.015    -0.017         -0.083       -0.002
    3      COMBCT        -2.658    -0.236     -0.015    -0.017         -0.050        0.102
    3     COMBNEO         2.260     1.264      0.000     0.941          0.000      10.880
    3     COMBNEO         2.260     1.264      0.000     0.941          0.000        0.157
    3     COMBNEO         2.260     1.264      0.000     0.941        14.394         0.000
    3     COMBNEO         0.000     0.000     -1.702     0.000        -14.487        0.000
    3     COMBNEO         0.000     0.000     -1.702     0.000         -0.047        0.000
    3     COMBNEO         0.000     0.000     -1.702     0.000          0.000      -10.566
    3       COMB1       -79.557     0.181      0.091     0.000          0.329        0.985
    3       COMB1       -62.744     0.181      0.091     0.000          0.060        0.818
    3       COMB1       -45.931     0.181      0.091     0.000          0.890        3.216
                            -
    3       COMB1                  -0.283     -0.098    -0.008        -0.769       -1.580
                        153.527
                            -
    3       COMB1                  -0.283     -0.098    -0.008        -0.441       -0.550
                        136.714
                            -
    3       COMB1                  -0.283     -0.098    -0.008        -1.210       -2.085
                        119.901
    3       COMB2       -76.183    -0.105      0.014     0.020         -0.008       -0.637
    3       COMB2       -59.370    -0.105      0.014     0.020         -0.123        1.112
    3       COMB2       -42.557    -0.105      0.014     0.020         -0.129        4.288
    3       COMB2       -79.337    -0.374     -0.011    -0.021         -0.318       -2.064
    3       COMB2       -62.524    -0.374     -0.011    -0.021         -0.223        0.258
    3       COMB2       -45.711    -0.374     -0.011    -0.021         -0.238        1.153
    3       COMB3       -73.435     1.426      0.006     1.129         -0.069      12.546
    3       COMB3       -56.622     1.426      0.006     1.129         -0.123        0.449
    3       COMB3       -39.809     1.426      0.006     1.129        17.095         1.031
    3       COMB3       -76.147    -0.091     -2.036     0.000        -17.454       -0.511
    3       COMB3       -59.334    -0.091     -2.036     0.000         -0.179        0.260
    3       COMB3       -42.522    -0.091     -2.036     0.000         -0.178      -11.648
    3       COMB4       -76.125    -0.091      0.205    -0.001          1.624       -0.514
    3       COMB4       -59.312    -0.091      0.205    -0.001         -0.117        0.261
    3       COMB4       -42.499    -0.091      0.205    -0.001         -1.859        1.036
    3       COMB5       -76.137    -0.094      0.168    -0.065          1.308       -0.540

    GVHD: Th.S. Dƣơng Thanh Quỳnh
    SVTH : Vũ Trọng Chung     -   MSSV : 273352          -       Lớp 52CB3      211
ĐỒ ÁN TỐT NGHIỆP        Thiết Kế Kỹ Thuật Bến Căn Cứ Đóng Mới Giàn Jacket Độ Sâu
                    .     Đến 95.7M Nước Hạ Thủy Bằng Phương Pháp Kéo Trượt

    3       COMB5       -59.324    -0.094     0.168     -0.065        -0.119       0.260
    3       COMB5       -42.512    -0.094     0.168     -0.065        -1.546       1.061
    3       COMB6       -79.593     0.166     0.098      0.021         0.389       0.859
    3       COMB6       -62.780     0.166     0.098      0.021         0.061       1.670
    3       COMB6       -45.967     0.166     0.098      0.021         0.940       6.473
                           -
    3       COMB6                  -0.566     -0.115    -0.029        -1.019       -3.133
                        156.716
                           -
    3       COMB6                  -0.566     -0.115    -0.029        -0.541       -0.552
                        139.903
                           -
    3       COMB6                  -0.566     -0.115    -0.029        -1.270       -1.963
                        123.091
    3       COMB7       -76.845    1.697      0.091     1.129          0.329       14.041
    3       COMB7       -60.032    1.697      0.091     1.129          0.060        1.007
    3       COMB7       -43.219    1.697      0.091     1.129         18.163        3.216
                           -
    3       COMB7                  -0.283     -2.140    -0.008        -18.154      -1.580
                        153.527
                           -
    3       COMB7                  -0.283     -2.140    -0.008        -0.497       -0.550
                        136.714
                           -
    3       COMB7                  -0.283     -2.140    -0.008        -1.210       -14.764
                        119.901
    3       COMB8       -79.535    0.180      0.289     -0.001         2.022       0.981
    3       COMB8       -62.722    0.180      0.289     -0.001         0.067       0.818
    3       COMB8       -45.909    0.180      0.289     -0.001        -0.790       3.220
                           -
    3       COMB8                  -0.283     0.101     -0.009        0.924        -1.583
                        153.504
                           -
    3       COMB8                  -0.283     0.101     -0.009        -0.434       -0.550
                        136.692
                           -
    3       COMB8                  -0.283     0.101     -0.009        -2.890       -2.080
                        119.879
    3       COMB9       -79.547    0.177      0.252     -0.065         1.706       0.955
    3       COMB9       -62.734    0.177      0.252     -0.065         0.065       0.818
    3       COMB9       -45.921    0.177      0.252     -0.065        -0.478       3.245
                           -
    3       COMB9                  -0.286     0.064     -0.073        0.608        -1.609
                        153.517
                           -
    3       COMB9                  -0.286     0.064     -0.073        -0.436       -0.550
                        136.704
                           -
    3       COMB9                  -0.286     0.064     -0.073        -2.578       -2.055
                        119.891
    3      COMB10       -76.173    -0.109     0.175     -0.045         1.369       -0.666
    3      COMB10       -59.360    -0.109     0.175     -0.045        -0.119        1.112
    3      COMB10       -42.548    -0.109     0.175     -0.045        -1.497        4.318
    3      COMB10       -79.327    -0.378     0.151     -0.086         1.059       -2.093
    3      COMB10       -62.514    -0.378     0.151     -0.086        -0.219        0.258
    3      COMB10       -45.701    -0.378     0.151     -0.086        -1.606        1.183

    GVHD: Th.S. Dƣơng Thanh Quỳnh
    SVTH : Vũ Trọng Chung     -   MSSV : 273352          -       Lớp 52CB3      212
ĐỒ ÁN TỐT NGHIỆP        Thiết Kế Kỹ Thuật Bến Căn Cứ Đóng Mới Giàn Jacket Độ Sâu
                    .     Đến 95.7M Nước Hạ Thủy Bằng Phương Pháp Kéo Trượt

    3      COMB11       -76.161    -0.106      0.212     0.019          1.685       -0.641
    3      COMB11       -59.348    -0.106      0.212     0.019         -0.117        1.113
    3      COMB11       -42.535    -0.106      0.212     0.019         -1.809        4.293
    3      COMB11       -79.315    -0.375      0.188    -0.022          1.375       -2.068
    3      COMB11       -62.502    -0.375      0.188    -0.022         -0.217        0.258
    3      COMB11       -45.689    -0.375      0.188    -0.022         -1.919        1.158
    3      COMB12       -73.471     1.411      0.014     1.150         -0.008      12.419
    3      COMB12       -56.658     1.411      0.014     1.150         -0.123        1.301
    3      COMB12       -39.845     1.411      0.014     1.150        17.144         4.288
    3      COMB12       -79.337    -0.374     -2.053    -0.021        -17.703       -2.064
    3      COMB12       -62.524    -0.374     -2.053    -0.021         -0.279        0.258
    3      COMB12       -45.711    -0.374     -2.053    -0.021         -0.238      -11.526
    3      COMB13       -76.881     1.683      0.098     1.150          0.389      13.915
    3      COMB13       -60.068     1.683      0.098     1.150          0.061        1.859
    3      COMB13       -43.255     1.683      0.098     1.150        18.213         6.473
                            -
    3      COMB13                  -0.566     -2.158    -0.029        -18.403      -3.133
                        156.716
                            -
    3      COMB13                  -0.566     -2.158    -0.029        -0.596       -0.552
                        139.903
                            -
    3      COMB13                  -0.566     -2.158    -0.029        -1.270       -14.642
                        123.091
    3      COMB14       -79.571    0.166      0.297     0.019          2.082       0.855
    3      COMB14       -62.758    0.166      0.297     0.019          0.067       1.670
    3      COMB14       -45.945    0.166      0.297     0.019         -0.741       6.477
                            -
    3      COMB14                  -0.567     0.083     -0.030        0.675        -3.137
                        156.694
                            -
    3      COMB14                  -0.567     0.083     -0.030        -0.534       -0.552
                        139.881
                            -
    3      COMB14                  -0.567     0.083     -0.030        -2.951       -1.958
                        123.068
    3      COMB15       -79.583    0.163      0.260     -0.045         1.766       0.829
    3      COMB15       -62.770    0.163      0.260     -0.045         0.065       1.670
    3      COMB15       -45.957    0.163      0.260     -0.045        -0.428       6.502
                            -
    3      COMB15                  -0.570     0.046     -0.094        0.359        -3.162
                        156.706
                            -
    3      COMB15                  -0.570     0.046     -0.094        -0.536       -0.552
                        139.894
                            -
    3      COMB15                  -0.570     0.046     -0.094        -2.638       -1.933
                        123.081
    4      COMBHH        -1.543     0.281      0.135     0.000         0.732        1.392
    4      COMBHH        -1.543     0.281      0.135     0.000         0.163        0.471
    4      COMBHH        -1.543     0.281      0.135     0.000         0.881        1.905
    4      COMBHH       -64.014    -0.188     -0.094    -0.007        -0.556       -0.963

    GVHD: Th.S. Dƣơng Thanh Quỳnh
    SVTH : Vũ Trọng Chung     -   MSSV : 273352          -       Lớp 52CB3      213
ĐỒ ÁN TỐT NGHIỆP        Thiết Kế Kỹ Thuật Bến Căn Cứ Đóng Mới Giàn Jacket Độ Sâu
                    .     Đến 95.7M Nước Hạ Thủy Bằng Phương Pháp Kéo Trượt

    4     COMBHH        -64.014    -0.188     -0.094    -0.007         -0.317       -0.753
    4     COMBHH        -64.014    -0.188     -0.094    -0.007         -1.329       -2.899
    4      COMBCT         1.291    -0.012      0.008     0.019          0.062       -0.090
    4      COMBCT         1.291    -0.012      0.008     0.019          0.000        0.362
    4      COMBCT         1.291    -0.012      0.008     0.019          0.376        1.343
    4      COMBCT        -0.024    -0.129     -0.052    -0.019         -0.418       -0.619
    4      COMBCT        -0.024    -0.129     -0.052    -0.019         -0.021       -0.002
    4      COMBCT        -0.024    -0.129     -0.052    -0.019         -0.062        0.087
    4     COMBNEO         1.966     1.440      0.000     1.039          0.000      11.194
    4     COMBNEO         1.966     1.440      0.000     1.039          0.000        0.207
    4     COMBNEO         1.966     1.440      0.000     1.039        17.655         0.000
    4     COMBNEO         0.000     0.000     -2.323     0.000        -17.800        0.000
    4     COMBNEO         0.000     0.000     -2.323     0.000         -0.072        0.000
    4     COMBNEO         0.000     0.000     -2.323     0.000          0.000      -10.780
    4       COMB1       -72.422     0.269      0.175     0.000          0.816        1.325
    4       COMB1       -57.303     0.269      0.175     0.000          0.031        0.743
    4       COMB1       -42.185     0.269      0.175     0.000          0.793        2.987
                            -
    4       COMB1                  -0.294     -0.100    -0.009        -0.730       -1.501
                        147.387
                            -
    4       COMB1                  -0.294     -0.100    -0.009        -0.544       -0.726
                        132.268
                            -
    4       COMB1                  -0.294     -0.100    -0.009        -1.859       -2.778
                        117.149
    4       COMB2       -69.020    -0.083      0.023     0.023          0.011       -0.454
    4       COMB2       -53.902    -0.083      0.023     0.023         -0.164        0.612
    4       COMB2       -38.783    -0.083      0.023     0.023          0.187        2.312
    4       COMB2       -70.599    -0.223     -0.049    -0.023         -0.565       -1.088
    4       COMB2       -55.480    -0.223     -0.049    -0.023         -0.189        0.176
    4       COMB2       -40.361    -0.223     -0.049    -0.023         -0.339        0.806
    4       COMB3       -68.211     1.659      0.013     1.246         -0.063      13.087
    4       COMB3       -53.092     1.659      0.013     1.246         -0.164        0.426
    4       COMB3       -37.974     1.659      0.013     1.246        20.922         0.701
    4       COMB3       -70.570    -0.069     -2.775     0.000        -21.423       -0.346
    4       COMB3       -55.451    -0.069     -2.775     0.000         -0.251        0.178
    4       COMB3       -40.333    -0.069     -2.775     0.000         -0.264      -12.234
    4       COMB4       -70.418    -0.069      0.285    -0.001          2.019       -0.348
    4       COMB4       -55.300    -0.069      0.285    -0.001         -0.156        0.178
    4       COMB4       -40.181    -0.069      0.285    -0.001         -2.332        0.703
    4       COMB5       -70.411    -0.056      0.233    -0.069          1.622       -0.244
    4       COMB5       -55.292    -0.056      0.233    -0.069         -0.159        0.180
    4       COMB5       -40.173    -0.056      0.233    -0.069         -1.939        0.604

    GVHD: Th.S. Dƣơng Thanh Quỳnh
    SVTH : Vũ Trọng Chung     -   MSSV : 273352          -       Lớp 52CB3      214
ĐỒ ÁN TỐT NGHIỆP        Thiết Kế Kỹ Thuật Bến Căn Cứ Đóng Mới Giàn Jacket Độ Sâu
                    .     Đến 95.7M Nước Hạ Thủy Bằng Phương Pháp Kéo Trượt

    4       COMB6       -70.873    0.255      0.185     0.023         0.890        1.217
    4       COMB6       -55.754    0.255      0.185     0.023         0.031        1.177
    4       COMB6       -40.635    0.255      0.185     0.023         1.244        4.598
                           -
    4       COMB6                  -0.448     -0.162    -0.032        -1.232       -2.244
                        147.416
                           -
    4       COMB6                  -0.448     -0.162    -0.032        -0.569       -0.728
                        132.297
                           -
    4       COMB6                  -0.448     -0.162    -0.032        -1.933       -2.673
                        117.178
    4       COMB7       -70.063    1.997      0.175     1.247          0.816       14.758
    4       COMB7       -54.945    1.997      0.175     1.247          0.031        0.992
    4       COMB7       -39.826    1.997      0.175     1.247         21.979        2.987
                           -
    4       COMB7                  -0.294     -2.888    -0.009        -22.090      -1.501
                        147.387
                           -
    4       COMB7                  -0.294     -2.888    -0.009        -0.631       -0.726
                        132.268
                           -
    4       COMB7                  -0.294     -2.888    -0.009        -1.859       -15.714
                        117.149
    4       COMB8       -72.271    0.269      0.447     -0.001         2.898       1.323
    4       COMB8       -57.152    0.269      0.447     -0.001         0.039       0.743
    4       COMB8       -42.033    0.269      0.447     -0.001        -1.274       2.989
                           -
    4       COMB8                  -0.294     0.172     -0.010        1.352        -1.504
                        147.235
                           -
    4       COMB8                  -0.294     0.172     -0.010        -0.536       -0.727
                        132.116
                           -
    4       COMB8                  -0.294     0.172     -0.010        -3.926       -2.776
                        116.998
    4       COMB9       -72.263    0.282      0.395     -0.069         2.501       1.427
    4       COMB9       -57.144    0.282      0.395     -0.069         0.036       0.745
    4       COMB9       -42.026    0.282      0.395     -0.069        -0.882       2.890
                           -
    4       COMB9                  -0.281     0.120     -0.078        0.955        -1.400
                        147.227
                           -
    4       COMB9                  -0.281     0.120     -0.078        -0.539       -0.724
                        132.109
                           -
    4       COMB9                  -0.281     0.120     -0.078        -3.534       -2.875
                        116.990
    4      COMB10       -68.861    -0.070     0.243     -0.046         1.697       -0.353
    4      COMB10       -53.742    -0.070     0.243     -0.046        -0.159        0.614
    4      COMB10       -38.624    -0.070     0.243     -0.046        -1.488        2.215
    4      COMB10       -70.440    -0.210     0.171     -0.092         1.120       -0.987
    4      COMB10       -55.321    -0.210     0.171     -0.092        -0.184        0.178
    4      COMB10       -40.202    -0.210     0.171     -0.092        -2.014        0.709
    4      COMB11       -68.869    -0.083     0.295      0.022         2.093       -0.457
    4      COMB11       -53.750    -0.083     0.295      0.022        -0.156        0.612

    GVHD: Th.S. Dƣơng Thanh Quỳnh
    SVTH : Vũ Trọng Chung     -   MSSV : 273352          -       Lớp 52CB3      215
ĐỒ ÁN TỐT NGHIỆP        Thiết Kế Kỹ Thuật Bến Căn Cứ Đóng Mới Giàn Jacket Độ Sâu
                    .     Đến 95.7M Nước Hạ Thủy Bằng Phương Pháp Kéo Trượt

    4      COMB11       -38.631    -0.083      0.295     0.022         -1.880        2.315
    4      COMB11       -70.447    -0.223      0.223    -0.024          1.517       -1.091
    4      COMB11       -55.328    -0.223      0.223    -0.024         -0.182        0.176
    4      COMB11       -40.210    -0.223      0.223    -0.024         -2.406        0.808
    4      COMB12       -66.661     1.645      0.023     1.269          0.011      12.979
    4      COMB12       -51.543     1.645      0.023     1.269         -0.164        0.861
    4      COMB12       -36.424     1.645      0.023     1.269        21.374         2.312
    4      COMB12       -70.599    -0.223     -2.837    -0.023        -21.925       -1.088
    4      COMB12       -55.480    -0.223     -2.837    -0.023         -0.276        0.176
    4      COMB12       -40.361    -0.223     -2.837    -0.023         -0.339      -12.130
    4      COMB13       -68.514     1.983      0.185     1.269          0.890      14.650
    4      COMB13       -53.395     1.983      0.185     1.269          0.031        1.426
    4      COMB13       -38.276     1.983      0.185     1.269        22.431         4.598
                            -
    4      COMB13                  -0.448     -2.950    -0.032        -22.592      -2.244
                        147.416
                            -
    4      COMB13                  -0.448     -2.950    -0.032        -0.656       -0.728
                        132.297
                            -
    4      COMB13                  -0.448     -2.950    -0.032        -1.933       -15.609
                        117.178
    4      COMB14       -70.721    0.255      0.457     0.022          2.972       1.214
    4      COMB14       -55.602    0.255      0.457     0.022          0.039       1.177
    4      COMB14       -40.483    0.255      0.457     0.022         -0.823       4.600
                            -
    4      COMB14                  -0.449     0.110     -0.033        0.850        -2.246
                        147.264
                            -
    4      COMB14                  -0.449     0.110     -0.033        -0.562       -0.728
                        132.145
                            -
    4      COMB14                  -0.449     0.110     -0.033        -4.000       -2.671
                        117.026
    4      COMB15       -70.713    0.268      0.405     -0.046         2.576       1.318
    4      COMB15       -55.595    0.268      0.405     -0.046         0.037       1.180
    4      COMB15       -40.476    0.268      0.405     -0.046        -0.431       4.501
                            -
    4      COMB15                  -0.435     0.058     -0.101        0.453        -2.142
                        147.256
                            -
    4      COMB15                  -0.435     0.058     -0.101        -0.564       -0.726
                        132.138
                            -
    4      COMB15                  -0.435     0.058     -0.101        -3.608       -2.770
                        117.019
    5      COMBHH        -1.947     0.375      0.135     0.000         0.418        1.468
    5      COMBHH        -1.947     0.375      0.135     0.000         0.197        0.551
    5      COMBHH        -1.947     0.375      0.135     0.000         1.325        2.234
    5      COMBHH       -64.047    -0.277     -0.185    -0.009        -0.930       -1.132
    5      COMBHH       -64.047    -0.277     -0.185    -0.009        -0.404       -0.812
    5      COMBHH       -64.047    -0.277     -0.185    -0.009        -1.226       -3.093

    GVHD: Th.S. Dƣơng Thanh Quỳnh
    SVTH : Vũ Trọng Chung     -   MSSV : 273352          -       Lớp 52CB3      216
ĐỒ ÁN TỐT NGHIỆP        Thiết Kế Kỹ Thuật Bến Căn Cứ Đóng Mới Giàn Jacket Độ Sâu
                    .     Đến 95.7M Nước Hạ Thủy Bằng Phương Pháp Kéo Trượt

    5      COMBCT        -0.010    -0.013      0.016     0.023          0.097       -0.080
    5      COMBCT        -0.010    -0.013      0.016     0.023          0.059        0.673
    5      COMBCT        -0.010    -0.013      0.016     0.023          0.954        2.576
    5      COMBCT        -0.965    -0.313     -0.147    -0.024         -0.836       -1.230
    5      COMBCT        -0.965    -0.313     -0.147    -0.024          0.000       -0.001
    5      COMBCT        -0.965    -0.313     -0.147    -0.024         -0.097        0.077
    5     COMBNEO         0.343     2.276      0.000     1.286          0.000      14.145
    5     COMBNEO         0.343     2.276      0.000     1.286          0.000        0.307
    5     COMBNEO         0.343     2.276      0.000     1.286        27.557         0.000
    5     COMBNEO         0.000     0.000     -4.552     0.000        -27.794        0.000
    5     COMBNEO         0.000     0.000     -4.552     0.000         -0.119        0.000
    5     COMBNEO         0.000     0.000     -4.552     0.000          0.000      -13.532
    5       COMB1       -68.061     0.324      0.168     0.000          0.321        1.257
    5       COMB1       -56.013     0.324      0.168     0.000          0.020        0.923
    5       COMB1       -43.966     0.324      0.168     0.000          1.339        3.710
                            -
    5       COMB1                  -0.458     -0.217    -0.012        -1.298       -1.863
                        142.581
                            -
    5       COMB1                  -0.458     -0.217    -0.012        -0.701       -0.713
                        130.533
                            -
    5       COMB1                  -0.458     -0.217    -0.012        -1.723       -2.682
                        118.486
    5       COMB2       -65.736    -0.142      0.025     0.028         -0.065       -0.601
    5       COMB2       -53.689    -0.142      0.025     0.028         -0.146        1.069
    5       COMB2       -41.641    -0.142      0.025     0.028          0.893        4.120
    5       COMB2       -66.882    -0.502     -0.171    -0.029         -1.184       -1.982
    5       COMB2       -54.835    -0.502     -0.171    -0.029         -0.216        0.260
    5       COMB2       -42.788    -0.502     -0.171    -0.029         -0.367        1.121
    5       COMB3       -65.313     2.605      0.006     1.543         -0.181      16.469
    5       COMB3       -53.265     2.605      0.006     1.543         -0.216        0.630
    5       COMB3       -41.218     2.605      0.006     1.543        32.817         1.029
    5       COMB3       -65.724    -0.126     -5.456     0.000        -33.534       -0.505
    5       COMB3       -53.677    -0.126     -5.456     0.000         -0.359        0.262
    5       COMB3       -41.630    -0.126     -5.456     0.000         -0.251      -15.209
    5       COMB4       -65.231    -0.126      0.537    -0.002          3.065       -0.505
    5       COMB4       -53.184    -0.126      0.537    -0.002         -0.203        0.260
    5       COMB4       -41.137    -0.126      0.537    -0.002         -3.471        1.026
    5       COMB5       -65.200    -0.066      0.435    -0.088          2.440       -0.133
    5       COMB5       -53.152    -0.066      0.435    -0.088         -0.207        0.270
    5       COMB5       -41.105    -0.066      0.435    -0.088         -2.854        0.673
    5       COMB6       -68.073     0.308      0.187     0.028          0.437        1.161
    5       COMB6       -56.025     0.308      0.187     0.028          0.091        1.731

    GVHD: Th.S. Dƣơng Thanh Quỳnh
    SVTH : Vũ Trọng Chung     -   MSSV : 273352          -       Lớp 52CB3      217
ĐỒ ÁN TỐT NGHIỆP        Thiết Kế Kỹ Thuật Bến Căn Cứ Đóng Mới Giàn Jacket Độ Sâu
                    .     Đến 95.7M Nước Hạ Thủy Bằng Phương Pháp Kéo Trượt

    5       COMB6       -43.978    0.308      0.187     0.028         2.483        6.801
                           -
    5       COMB6                  -0.834     -0.393    -0.040        -2.301       -3.340
                        143.739
                           -
    5       COMB6                  -0.834     -0.393    -0.040        -0.701       -0.715
                        131.691
                           -
    5       COMB6                  -0.834     -0.393    -0.040        -1.839       -2.590
                        119.644
    5       COMB7       -67.649    3.055      0.168     1.543          0.321       18.231
    5       COMB7       -55.602    3.055      0.168     1.543          0.020        1.292
    5       COMB7       -43.554    3.055      0.168     1.543         34.407        3.710
                           -
    5       COMB7                  -0.458     -5.679    -0.012        -34.650      -1.863
                        142.581
                           -
    5       COMB7                  -0.458     -5.679    -0.012        -0.843       -0.713
                        130.533
                           -
    5       COMB7                  -0.458     -5.679    -0.012        -1.723       -18.920
                        118.486
    5       COMB8       -67.568    0.324      0.700     -0.001         3.567       1.257
    5       COMB8       -55.520    0.324      0.700     -0.001         0.034       0.922
    5       COMB8       -43.473    0.324      0.700     -0.001        -1.881       3.706
                           -
    5       COMB8                  -0.458     0.315     -0.013        1.948        -1.863
                        142.088
                           -
    5       COMB8                  -0.458     0.315     -0.013        -0.688       -0.714
                        130.040
                           -
    5       COMB8                  -0.458     0.315     -0.013        -4.942       -2.686
                        117.993
    5       COMB9       -67.536    0.384      0.598     -0.088         2.942       1.629
    5       COMB9       -55.489    0.384      0.598     -0.088         0.030       0.931
    5       COMB9       -43.441    0.384      0.598     -0.088        -1.264       3.354
                           -
    5       COMB9                  -0.398     0.213     -0.099        1.324        -1.491
                        142.056
                           -
    5       COMB9                  -0.398     0.213     -0.099        -0.692       -0.705
                        130.009
                           -
    5       COMB9                  -0.398     0.213     -0.099        -4.326       -3.039
                        117.961
    5      COMB10       -65.212    -0.082     0.455     -0.060         2.557       -0.228
    5      COMB10       -53.164    -0.082     0.455     -0.060        -0.136        1.077
    5      COMB10       -41.117    -0.082     0.455     -0.060        -1.710        3.764
    5      COMB10       -66.358    -0.442     0.259     -0.117         1.437       -1.609
    5      COMB10       -54.310    -0.442     0.259     -0.117        -0.207        0.268
    5      COMB10       -42.263    -0.442     0.259     -0.117        -2.970        0.765
    5      COMB11       -65.243    -0.141     0.557      0.026         3.181       -0.600
    5      COMB11       -53.196    -0.141     0.557      0.026        -0.132        1.068
    5      COMB11       -41.148    -0.141     0.557      0.026        -2.327        4.116
    5      COMB11       -66.389    -0.501     0.361     -0.030         2.062       -1.981

    GVHD: Th.S. Dƣơng Thanh Quỳnh
    SVTH : Vũ Trọng Chung     -   MSSV : 273352          -       Lớp 52CB3      218
ĐỒ ÁN TỐT NGHIỆP        Thiết Kế Kỹ Thuật Bến Căn Cứ Đóng Mới Giàn Jacket Độ Sâu
                    .     Đến 95.7M Nước Hạ Thủy Bằng Phương Pháp Kéo Trượt

    5      COMB11       -54.342    -0.501      0.361    -0.030         -0.203        0.259
    5      COMB11       -42.295    -0.501      0.361    -0.030         -3.587        1.118
    5      COMB12       -65.324     2.590      0.025     1.571         -0.065      16.374
    5      COMB12       -53.277     2.590      0.025     1.571         -0.146        1.438
    5      COMB12       -41.230     2.590      0.025     1.571        33.961         4.120
    5      COMB12       -66.882    -0.502     -5.633    -0.029        -34.537       -1.982
    5      COMB12       -54.835    -0.502     -5.633    -0.029         -0.358        0.260
    5      COMB12       -42.788    -0.502     -5.633    -0.029         -0.367      -15.117
    5      COMB13       -67.661     3.040      0.187     1.571          0.437      18.135
    5      COMB13       -55.613     3.040      0.187     1.571          0.091        2.099
    5      COMB13       -43.566     3.040      0.187     1.571        35.551         6.801
                           -
    5      COMB13                  -0.834     -5.856    -0.040        -35.653      -3.340
                        143.739
                           -
    5      COMB13                  -0.834     -5.856    -0.040        -0.843       -0.715
                        131.691
                           -
    5      COMB13                  -0.834     -5.856    -0.040        -1.839       -18.828
                        119.644
    5      COMB14       -67.580    0.309      0.719     0.027          3.683       1.162
    5      COMB14       -55.532    0.309      0.719     0.027          0.105       1.729
    5      COMB14       -43.485    0.309      0.719     0.027         -0.737       6.797
                           -
    5      COMB14                  -0.834     0.138     -0.042        0.946        -3.339
                        143.246
                           -
    5      COMB14                  -0.834     0.138     -0.042        -0.687       -0.716
                        131.198
                           -
    5      COMB14                  -0.834     0.138     -0.042        -5.058       -2.594
                        119.151
    5      COMB15       -67.548    0.368      0.617     -0.060         3.059       1.534
    5      COMB15       -55.501    0.368      0.617     -0.060         0.100       1.739
    5      COMB15       -43.453    0.368      0.617     -0.060        -0.120       6.445
                           -
    5      COMB15                  -0.774     0.036     -0.128        0.321        -2.967
                        143.214
                           -
    5      COMB15                  -0.774     0.036     -0.128        -0.692       -0.707
                        131.167
                           -
    5      COMB15                  -0.774     0.036     -0.128        -4.442       -2.947
                        119.119




    GVHD: Th.S. Dƣơng Thanh Quỳnh
    SVTH : Vũ Trọng Chung     -   MSSV : 273352          -       Lớp 52CB3      219
ĐỒ ÁN TỐT NGHIỆP         Thiết Kế Kỹ Thuật Bến Căn Cứ Đóng Mới Giàn Jacket Độ Sâu
                     .     Đến 95.7M Nước Hạ Thủy Bằng Phương Pháp Kéo Trượt


2.Nội lực bản sàn

 SHELL      LOAD         M11            M22          M12            V13         V23
  Text       Text     Ton-m/m        Ton-m/m      Ton-m/m         Ton/m       Ton/m
   1      COMBHH         4.889          0.248        4.523         0.720       0.722
   1      COMBHH       11.477          -0.319        2.404         0.720       1.846
   1      COMBHH         8.641          8.889        2.481         3.000       1.846
   1      COMBHH         1.972          7.996        4.453         3.000       0.722
   1      COMBHH        -7.362        -11.712      -10.510        -9.993     -12.611
   1      COMBHH        -6.911         -6.864       -7.451        -9.993      -4.605
   1       COMBCT       -3.323         -5.071       -2.309        -2.928      -4.605
   1       COMBCT       -3.751         -9.345       -5.369        -2.928     -12.611
   1       COMBCT       -0.027          0.593        3.659        -0.003      -0.001
   1       COMBCT      11.307           2.133        2.521        -0.003       0.000
   1       COMBCT      14.296         24.779         1.207        -0.002       0.000
   1       COMBCT       -0.007        23.234         2.345        -0.002      -0.001
   1      COMBNEO       -3.656          0.009       -0.008       -19.331     -24.468
   1      COMBNEO       -0.025          0.002        0.007       -19.331     -15.759
   1      COMBNEO       -0.005          0.003        0.001        -9.773     -15.759
   1      COMBNEO       -0.604          0.009       -0.014        -9.773     -24.468
   1      COMBNEO        3.769          0.000        0.000         0.000       0.000
   1      COMBNEO        3.982          0.000        0.000         0.000       0.000
   1        COMB1        1.361          0.000        1.016         0.437       0.000
   1        COMB1        0.973          0.000        3.464         0.437       0.000
   1        COMB1        0.000         -7.299       -0.626        -1.022      -2.961
   1        COMB1        0.000         -2.698       -3.073        -1.022      -1.632
   1        COMB1        0.000         -0.182        0.000         0.000      -1.632
   1        COMB1        0.000         -4.645        0.000         0.000      -2.961
   1        COMB2        1.069         -4.538        5.547       -12.056     -11.936
   1        COMB2      16.522          -2.344        3.886       -12.056      -0.422
   1        COMB2      16.003         17.381         5.218         1.836      -0.422
   1        COMB2        0.480        13.466         6.701         1.836     -11.936
   1        COMB2      -13.631        -18.890      -12.494       -24.912     -27.935
   1        COMB2       -5.543        -10.198       -7.940       -24.912      -8.164
   1        COMB3        1.646          0.629       -0.530        -5.277      -8.164
   1        COMB3       -6.388         -7.343       -5.084        -5.277     -27.935
   1        COMB3       -4.830         -4.123        4.510       -12.923     -12.803
   1        COMB3      16.318           0.599        4.027       -12.923      -2.638
   1        COMB3      22.789         36.449         3.688        -1.767      -2.638
   1        COMB3       -1.896        31.751         4.172        -1.767     -12.803

     GVHD: Th.S. Dƣơng Thanh Quỳnh
     SVTH : Vũ Trọng Chung     -   MSSV : 273352             -   Lớp 52CB3      220
ĐỒ ÁN TỐT NGHIỆP        Thiết Kế Kỹ Thuật Bến Căn Cứ Đóng Mới Giàn Jacket Độ Sâu
                    .     Đến 95.7M Nước Hạ Thủy Bằng Phương Pháp Kéo Trượt

   1      COMB4          -9.184       -4.825       0.110       -36.118      -42.163
   1      COMB4           2.720       -1.959       1.010       -36.118      -21.549
   1      COMB4           5.627        6.718       2.242       -13.492      -21.549
   1      COMB5          -2.611        3.881       1.342       -13.492      -42.163
   1      COMB5          -0.274       -4.836       0.119       -12.920      -12.802
   1      COMB5           7.528       -1.961       1.001       -12.920       -2.638
   1      COMB6           7.267        6.714       3.460        -1.241       -2.638
   1      COMB6          -0.719        3.870       5.515        -1.241      -12.802
   1      COMB6          -4.797      -13.595      -0.632       -14.147      -16.355
   1      COMB6           2.749       -5.199      -2.687       -14.147       -4.596
   1      COMB6           5.634        6.495       2.241        -1.764       -4.596
   1      COMB6          -1.887       -1.704       1.358        -1.764      -16.355
   1      COMB7          -4.603       -3.788       0.447       -12.531      -12.259
   1      COMB7           2.714       -1.570       1.331       -12.531       -2.384
   1      COMB7           5.504        6.662       2.019        -1.693       -2.384
   1      COMB7          -1.774        4.463       1.135        -1.693      -12.259
   1      COMB7          -4.516       -4.037       0.409       -12.560      -12.379
   1      COMB7           2.801       -1.671       1.235       -12.560       -2.455
   1      COMB8           5.539        6.668       2.057        -1.668       -2.455
   1      COMB8          -1.743        4.324       1.230        -1.668      -12.379
   1      COMB8           1.036       -3.825       9.938       -12.060      -11.937
   1      COMB8         30.090         0.216       6.912       -12.060       -0.423
   1      COMB8         33.158       47.116        6.666         1.834       -0.423
   1      COMB8           0.471      41.347        9.515         1.834      -11.937
   1      COMB9         -18.017      -18.880     -12.503       -48.110      -57.296
   1      COMB9          -5.573      -10.196      -7.931       -48.110      -27.075
   1      COMB9           1.640        0.632      -0.529       -17.005      -27.075
   1      COMB9          -7.112       -7.332      -5.101       -17.005      -57.296
   1      COMB9           5.593       -4.538       5.547       -12.056      -11.936
   1      COMB9         21.301        -2.344       3.886       -12.056       -0.422
   1      COMB10        17.637       17.381        6.438         2.360       -0.422
   1      COMB10          1.648      13.466       10.858         2.360      -11.936
   1      COMB10        -13.631      -27.650     -13.245       -26.139      -31.488
   1      COMB10         -5.543      -13.436     -11.628       -26.139      -10.122
   1      COMB10          1.646        0.410      -0.530        -5.277      -10.122
   1      COMB10         -6.388      -12.917      -5.084        -5.277      -31.488
   1      COMB11          1.263       -3.490       5.875       -11.668      -11.393
   1      COMB11        16.487        -1.954       4.216       -11.668       -0.169
   1      COMB11        15.873       17.329        4.996         1.907       -0.169
   1      COMB11          0.593      14.059        6.478         1.907      -11.393

    GVHD: Th.S. Dƣơng Thanh Quỳnh
    SVTH : Vũ Trọng Chung     -   MSSV : 273352            -   Lớp 52CB3       221
ĐỒ ÁN TỐT NGHIỆP        Thiết Kế Kỹ Thuật Bến Căn Cứ Đóng Mới Giàn Jacket Độ Sâu
                    .     Đến 95.7M Nước Hạ Thủy Bằng Phương Pháp Kéo Trượt

   1      COMB11        -13.437      -17.843     -12.165       -24.524      -27.392
   1      COMB11         -5.578       -9.808      -7.610       -24.524       -7.910
   1      COMB12          1.517        0.577      -0.752        -5.207       -7.910
   1      COMB12         -6.275       -6.750      -5.307        -5.207      -27.392
   1      COMB12          1.350       -3.739       5.837       -11.696      -11.513
   1      COMB12        16.574        -2.054       4.121       -11.696       -0.239
   1      COMB12        15.908       17.334        5.034         1.932       -0.239
   1      COMB12          0.624      13.919        6.573         1.932      -11.513
   1      COMB13        -13.350      -18.092     -12.204       -24.552      -27.512
   1      COMB13         -5.492       -9.908      -7.706       -24.552       -7.981
   1      COMB13          1.552        0.582      -0.714        -5.181       -7.981
   1      COMB13         -6.244       -6.890      -5.212        -5.181      -27.512
   1      COMB13         -4.549       -3.325       4.800       -12.563      -12.380
   1      COMB13        16.370         0.889       4.261       -12.563       -2.455
   1      COMB14        22.694       36.403        3.505        -1.670       -2.455
   1      COMB14         -1.751      32.205        4.044        -1.670      -12.380
   1      COMB14         -8.903       -4.026       0.400       -35.758      -41.740
   1      COMB14          2.772       -1.669       1.244       -35.758      -21.366
   1      COMB14          5.532        6.671       2.058       -13.396      -21.366
   1      COMB14         -2.467        4.335       1.213       -13.396      -41.740
   1      COMB15         -4.636       -3.076       4.838       -12.535      -12.260
   1      COMB15        16.283         0.990       4.356       -12.535       -2.384
   1      COMB15        22.659       36.398        3.466        -1.696       -2.384
   1      COMB15         -1.783      32.344        3.948        -1.696      -12.260
   1      COMB15         -8.990       -3.778       0.438       -35.729      -41.620
   1      COMB15          2.685       -1.568       1.340       -35.729      -21.295
   2     COMBHH           5.498        6.666       2.020       -13.421      -21.295
   2     COMBHH          -2.498        4.474       1.118       -13.421      -41.620
   2     COMBHH          -0.307       -4.123       4.510       -12.923      -12.803
   2     COMBHH         21.097         0.599       4.027       -12.923       -2.638
   2     COMBHH         24.422       36.449        4.908        -1.243       -2.638
   2     COMBHH          -0.727      31.751        8.329        -1.243      -12.803
   2      COMBCT         -9.184      -13.585      -0.641       -37.345      -45.716
   2      COMBCT          2.720       -5.197      -2.678       -37.345      -23.507
   2      COMBCT          5.627        6.499       2.242       -13.492      -23.507
   2      COMBCT         -2.611       -1.693       1.342       -13.492      -45.716
   2      COMBCT          5.560       -3.825       9.938       -12.060      -11.937
   2      COMBCT        34.869         0.216       6.912       -12.060       -0.423
   2     COMBNEO        34.792       47.116        7.886         2.358       -0.423
   2     COMBNEO          1.639      41.347       13.672         2.358      -11.937

    GVHD: Th.S. Dƣơng Thanh Quỳnh
    SVTH : Vũ Trọng Chung     -   MSSV : 273352            -   Lớp 52CB3       222
ĐỒ ÁN TỐT NGHIỆP        Thiết Kế Kỹ Thuật Bến Căn Cứ Đóng Mới Giàn Jacket Độ Sâu
                    .     Đến 95.7M Nước Hạ Thủy Bằng Phương Pháp Kéo Trượt

   2     COMBNEO        -18.017      -27.639     -13.254       -49.337      -60.850
   2     COMBNEO         -5.573      -13.434     -11.619       -49.337      -29.033
   2     COMBNEO          1.640        0.414      -0.529       -17.005      -29.033
   2     COMBNEO         -7.112      -12.906      -5.101       -17.005      -60.850
   2      COMB1           1.230       -2.778      10.266       -11.671      -11.394
   2      COMB1         30.055         0.606       7.242       -11.671       -0.169
   2      COMB1         33.028       47.064        6.444         1.905       -0.169
   2      COMB1           0.584      41.940        9.292         1.905      -11.394
   2      COMB1         -17.823      -17.833     -12.174       -47.721      -56.753
   2      COMB1          -5.608       -9.805      -7.602       -47.721      -26.821
   2      COMB2           1.510        0.581      -0.751       -16.934      -26.821
   2      COMB2          -6.999       -6.739      -5.324       -16.934      -56.753
   2      COMB2           1.317       -3.027      10.228       -11.700      -11.514
   2      COMB2         30.142         0.506       7.146       -11.700       -0.240
   2      COMB2         33.063       47.069        6.482         1.930       -0.240
   2      COMB2           0.615      41.800        9.387         1.930      -11.514
   2      COMB3         -17.737      -18.081     -12.213       -47.750      -56.873
   2      COMB3          -5.521       -9.906      -7.697       -47.750      -26.892
   2      COMB3           1.545        0.586      -0.713       -16.909      -26.892
   2      COMB3          -6.968       -6.879      -5.229       -16.909      -56.873
   2      COMB3           3.884        9.578       3.608         2.880        0.678
   2      COMB3           6.784        7.037       2.387         2.880        0.315
   2      COMB4           5.485      10.612       -0.136         3.349        0.315
   2      COMB4           2.574      13.175        1.079         3.349        0.678
   2      COMB4          -2.319       -6.975      -3.883        -3.357       -3.896
   2      COMB5          -4.693       -6.753      -3.805        -3.357       -2.474
   2      COMB5          -5.405       -6.800      -2.863        -2.306       -2.474
   2      COMB5          -2.947       -7.029      -2.942        -2.306       -3.896
   2      COMB6           1.146      23.927        2.046        -0.002        0.000
   2      COMB6         12.740       25.051        1.507        -0.002        0.000
   2      COMB6         14.237       36.050        0.413        -0.002        0.000
   2      COMB6           2.621      34.933        0.952        -0.002        0.000
   2      COMB6          -0.008       -0.001      -0.009       -10.217       -8.777
   2      COMB6          -0.006        0.004      -0.004       -10.217      -10.769
   2      COMB7           0.000        0.004       0.000       -12.404      -10.769
   2      COMB7          -0.003       -0.001      -0.005       -12.404       -8.777
   2      COMB7           1.619        0.000       2.727         0.431        0.000
   2      COMB7           0.879        0.000       1.735         0.431        0.000
   2      COMB7           0.209        0.481       0.870         0.955        0.000
   2      COMB7           0.891        1.593       1.862         0.955        0.000

    GVHD: Th.S. Dƣơng Thanh Quỳnh
    SVTH : Vũ Trọng Chung     -   MSSV : 273352            -   Lớp 52CB3       223
ĐỒ ÁN TỐT NGHIỆP        Thiết Kế Kỹ Thuật Bến Căn Cứ Đóng Mới Giàn Jacket Độ Sâu
                    .     Đến 95.7M Nước Hạ Thủy Bằng Phương Pháp Kéo Trượt

   2      COMB8          0.000       -1.472        0.000         0.000       -2.941
   2      COMB8          0.000       -2.537        0.000         0.000       -2.463
   2      COMB8          0.000        0.000        0.000         0.000       -2.463
   2      COMB8          0.000        0.000        0.000         0.000       -2.941
   2      COMB8          5.732       17.724        6.375         1.001       -2.373
   2      COMB8         10.898       13.203        4.417         1.001       -1.325
   2      COMB9          9.236       20.243       -0.266         3.193       -1.325
   2      COMB9          4.063       24.794        1.684         3.193       -2.373
   2      COMB9         -1.712       -2.140       -2.615        -6.484       -7.862
   2      COMB9         -2.875       -3.345       -3.014        -6.484       -4.672
   2      COMB9         -3.831       -0.652       -3.539        -3.593       -4.672
   2      COMB9         -2.562        0.549       -3.140        -3.593       -7.862
   2      COMB10         2.446       34.943        4.500        -2.458       -3.187
   2      COMB10        18.044       34.819        3.361        -2.458       -1.702
   2      COMB10        19.739       50.768        0.393        -0.829       -1.702
   2      COMB10         4.119       50.904        1.532        -0.829       -3.187
   2      COMB10         1.061        6.229        2.035       -14.716      -13.720
   2      COMB10         2.749        4.763        1.548       -14.716      -14.626
   2      COMB11         2.654        7.513       -0.103       -15.710      -14.626
   2      COMB11         0.971        8.983        0.384       -15.710      -13.720
   2      COMB11         3.014        6.230        5.318        -1.938       -3.187
   2      COMB11         3.811        4.758        3.635        -1.938       -1.703
   2      COMB11         2.906        8.086        0.942         0.320       -1.703
   2      COMB11         2.043       10.895        2.624         0.320       -3.187
   2      COMB12         1.071        4.463        2.045        -2.455       -6.716
   2      COMB12         2.756        1.714        1.553        -2.455       -4.658
   2      COMB12         2.655        7.508       -0.102        -0.826       -4.658
   2      COMB12         0.974        8.984        0.390        -0.826       -6.716
   2      COMB12         1.077        6.461        1.789        -2.374       -2.768
   2      COMB12         2.724        5.020        1.365        -2.374       -1.358
   2      COMB13         2.624        7.343       -0.253        -0.827       -1.358
   2      COMB13         0.987        8.783        0.171        -0.827       -2.768
   2      COMB13         1.126        6.403        1.867        -2.349       -2.893
   2      COMB13         2.738        4.927        1.420        -2.349       -1.465
   2      COMB13         2.633        7.381       -0.223        -0.782       -1.465
   2      COMB13         1.032        8.855        0.224        -0.782       -2.893
   2      COMB14         7.107       46.437        8.830         0.998       -2.373
   2      COMB14        26.185       43.263        6.226         0.998       -1.324
   2      COMB14        26.320       63.503        0.230         3.190       -1.324
   2      COMB14         7.208       66.714        2.827         3.190       -2.373

    GVHD: Th.S. Dƣơng Thanh Quỳnh
    SVTH : Vũ Trọng Chung     -   MSSV : 273352            -   Lớp 52CB3       224
ĐỒ ÁN TỐT NGHIỆP        Thiết Kế Kỹ Thuật Bến Căn Cứ Đóng Mới Giàn Jacket Độ Sâu
                    .     Đến 95.7M Nước Hạ Thủy Bằng Phương Pháp Kéo Trượt

   2      COMB14        -1.722       -2.141       -2.625       -18.744      -18.395
   2      COMB14        -2.882       -3.341       -3.019       -18.744      -17.595
   2      COMB15        -3.832       -0.647       -3.539       -18.478      -17.595
   2      COMB15        -2.565        0.548       -3.145       -18.478      -18.395
   2      COMB15         7.675       17.724        9.647         1.518       -2.373
   2      COMB15        11.953       13.203        6.500         1.518       -1.325
   2      COMB15         9.487       20.821        0.779         4.339       -1.325
   2      COMB15         5.132       26.705        3.919         4.339       -2.373
   3     COMBHH         -1.712       -3.907       -2.615        -6.484      -11.391
   3     COMBHH         -2.875       -6.390       -3.014        -6.484       -7.628
   3     COMBHH         -3.831       -0.652       -3.539        -3.593       -7.628
   3     COMBHH         -2.562        0.549       -3.140        -3.593      -11.391
   3     COMBHH          5.738       17.955        6.119         1.082       -1.954
   3     COMBHH         10.866       13.464        4.230         1.082       -0.981
   3      COMBCT         9.206       20.078       -0.416         3.191       -0.981
   3      COMBCT         4.077       24.593        1.466         3.191       -1.954
   3      COMBCT        -1.706       -1.909       -2.871        -6.403       -7.443
   3      COMBCT        -2.907       -3.084       -3.201        -6.403       -4.328
   3      COMBCT        -3.861       -0.817       -3.689        -3.595       -4.328
   3      COMBCT        -2.549        0.348       -3.359        -3.595       -7.443
   3     COMBNEO         5.787       17.897        6.197         1.107       -2.079
   3     COMBNEO        10.879       13.371        4.284         1.107       -1.087
   3     COMBNEO         9.215       20.115       -0.386         3.236       -1.087
   3     COMBNEO         4.121       24.665        1.519         3.236       -2.079
   3     COMBNEO        -1.657       -1.968       -2.793        -6.378       -7.568
   3     COMBNEO        -2.894       -3.177       -3.147        -6.378       -4.434
   3       COMB1        -3.853       -0.779       -3.659        -3.550       -4.434
   3       COMB1        -2.504        0.420       -3.306        -3.550       -7.568
   3       COMB1         2.501       35.116        4.322        -2.352       -2.893
   3       COMB1        18.026       34.987        3.228        -2.352       -1.465
   3       COMB1        19.717       50.641        0.273        -0.785       -1.465
   3       COMB1         4.177       50.775        1.366        -0.785       -2.893
   3       COMB2         1.116        6.402        1.856       -14.610      -13.426
   3       COMB2         2.731        4.931        1.414       -14.610      -14.388
   3       COMB2         2.633        7.385       -0.223       -15.667      -14.388
   3       COMB2         1.029        8.854        0.219       -15.667      -13.426
   3       COMB2         2.451       35.174        4.244        -2.377       -2.768
   3       COMB2        18.012       35.080        3.173        -2.377       -1.358
   3       COMB3        19.708       50.603        0.243        -0.830       -1.358
   3       COMB3         4.133       50.703        1.313        -0.830       -2.768

    GVHD: Th.S. Dƣơng Thanh Quỳnh
    SVTH : Vũ Trọng Chung     -   MSSV : 273352            -   Lớp 52CB3       225
ĐỒ ÁN TỐT NGHIỆP        Thiết Kế Kỹ Thuật Bến Căn Cứ Đóng Mới Giàn Jacket Độ Sâu
                    .     Đến 95.7M Nước Hạ Thủy Bằng Phương Pháp Kéo Trượt

   3      COMB3          1.066        6.460        1.778       -14.635      -13.301
   3      COMB3          2.717        5.024        1.360       -14.635      -14.282
   3      COMB3          2.624        7.347       -0.253       -15.711      -14.282
   3      COMB3          0.984        8.782        0.166       -15.711      -13.301
   3      COMB4          4.389       34.943        7.772        -1.940       -3.187
   3      COMB4         19.099       34.819        5.443        -1.940       -1.702
   3      COMB4         19.990       51.346        1.437         0.318       -1.702
   3      COMB5          5.189       52.815        3.766         0.318       -3.187
   3      COMB5          1.061        4.462        2.035       -14.716      -17.249
   3      COMB5          2.749        1.718        1.548       -14.716      -17.582
   3      COMB6          2.654        7.513       -0.103       -15.710      -17.582
   3      COMB6          0.971        8.983        0.384       -15.710      -17.249
   3      COMB6          9.050       46.437       12.102         1.516       -2.373
   3      COMB6         27.240       43.263        8.308         1.516       -1.324
   3      COMB6         26.571       64.081        1.274         4.336       -1.324
   3      COMB6          8.278       68.625        5.061         4.336       -2.373
   3      COMB7         -1.722       -3.908       -2.625       -18.744      -21.924
   3      COMB7         -2.882       -6.385       -3.019       -18.744      -20.551
   3      COMB7         -3.832       -0.647       -3.539       -18.478      -20.551
   3      COMB7         -2.565        0.548       -3.145       -18.478      -21.924
   3      COMB7          7.112       46.668        8.573         1.079       -1.954
   3      COMB7         26.153       43.525        6.038         1.079       -0.980
   3      COMB8         26.290       63.338        0.080         3.189       -0.980
   3      COMB8          7.222       66.513        2.608         3.189       -1.954
   3      COMB8         -1.716       -1.910       -2.882       -18.663      -17.976
   3      COMB8         -2.914       -3.079       -3.207       -18.663      -17.251
   3      COMB8         -3.862       -0.813       -3.689       -18.479      -17.251
   3      COMB8         -2.552        0.347       -3.364       -18.479      -17.976
   3      COMB9          7.162       46.610        8.652         1.104       -2.079
   3      COMB9         26.167       43.432        6.093         1.104       -1.087
   3      COMB9         26.299       63.375        0.109         3.234       -1.087
   3      COMB9          7.267       66.585        2.661         3.234       -2.079
   3      COMB9         -1.667       -1.968       -2.804       -18.638      -18.101
   3      COMB9         -2.901       -3.172       -3.152       -18.638      -17.358
   3      COMB10        -3.853       -0.775       -3.659       -18.434      -17.358
   3      COMB10        -2.507        0.419       -3.311       -18.434      -18.101
   3      COMB10         2.565       13.236       -0.025         3.394        3.165
   3      COMB10         5.473       10.686        0.957         3.394        1.869
   3      COMB10         6.436        7.858        0.427         2.109        1.869
   3      COMB10         3.526       10.397       -0.149         2.109        3.165

    GVHD: Th.S. Dƣơng Thanh Quỳnh
    SVTH : Vũ Trọng Chung     -   MSSV : 273352            -   Lớp 52CB3       226
ĐỒ ÁN TỐT NGHIỆP        Thiết Kế Kỹ Thuật Bến Căn Cứ Đóng Mới Giàn Jacket Độ Sâu
                    .     Đến 95.7M Nước Hạ Thủy Bằng Phương Pháp Kéo Trượt

   3      COMB11        -2.960       -7.070       -3.222        -2.310       0.427
   3      COMB11        -5.287       -6.835       -2.581        -2.310      -0.409
   3      COMB11        -4.708       -6.993       -2.882        -3.360      -0.409
   3      COMB11        -2.372       -7.222       -3.685        -3.360       0.427
   3      COMB11         2.558       34.491        0.431        -0.002       9.143
   3      COMB11        14.141       35.700        0.919        -0.002      11.193
   3      COMB12        12.490       24.255        0.000        -0.003      11.193
   3      COMB12         0.925       23.043       -0.001        -0.003       9.143
   3      COMB12        -0.004       -0.006       -0.003       -12.405       0.002
   3      COMB12        -0.001       -0.004       -0.002       -12.405       0.001
   3      COMB12         0.000       -0.005       -0.087       -10.155       0.001
   3      COMB12        -0.003       -0.008       -0.575       -10.155       0.002
   3      COMB13         1.317        2.024        1.464         0.859       0.000
   3      COMB13         0.000        1.118        1.263         0.859       0.000
   3      COMB13         0.467        4.718        0.662         1.686       0.000
   3      COMB13         1.759        5.648        0.863         1.686       0.000
   3      COMB13         0.000        0.000        0.000         0.000      -3.585
   3      COMB13        -0.003        0.000        0.000         0.000      -2.832
   3      COMB14         0.000        0.000        0.000         0.000      -2.832
   3      COMB14         0.000        0.000        0.000         0.000      -3.585
   3      COMB14         4.007       24.712       -0.156         3.252       7.492
   3      COMB14         9.209       20.198        1.560         3.252       4.389
   3      COMB14        10.418       13.521       -0.715         0.012       4.389
   3      COMB14         5.212       18.014       -1.945         0.012       7.492
   3      COMB15        -2.623        0.344       -3.993        -3.593       4.206
   3      COMB15        -3.703       -0.827       -2.685        -3.593       1.656
   3      COMB15        -2.955       -4.301       -4.687        -6.551       1.656
   3      COMB15        -1.866       -3.128       -6.187        -6.551       4.206
   3      COMB15         3.999       50.219        0.391        -0.824      14.665
   3      COMB15        19.611       50.214        1.515        -0.824      15.578
   4      COMBHH        17.683       33.197       -1.228        -2.523      15.578
   4      COMBHH         2.091       33.189       -1.767        -2.523      14.665
   4      COMBHH         0.924        8.822       -0.130       -15.708       3.696
   4      COMBHH         2.640        7.370        0.409       -15.708       2.148
   4      COMBHH         2.694        4.085       -1.332       -14.705       2.148
   4      COMBHH         0.977        5.529       -2.455       -14.705       3.696
   4      COMBCT         2.509       11.258        1.631         0.210       3.693
   4      COMBCT         2.642        8.716        1.928         0.210       2.146
   4      COMBCT         3.255        9.752       -0.434        -0.496       2.146
   4      COMBCT         3.092       12.316       -0.731        -0.496       3.693

    GVHD: Th.S. Dƣơng Thanh Quỳnh
    SVTH : Vũ Trọng Chung     -   MSSV : 273352            -   Lớp 52CB3       227
ĐỒ ÁN TỐT NGHIỆP        Thiết Kế Kỹ Thuật Bến Căn Cứ Đóng Mới Giàn Jacket Độ Sâu
                    .     Đến 95.7M Nước Hạ Thủy Bằng Phương Pháp Kéo Trượt

   4      COMBCT         0.929        8.829       -0.126        -0.821      -0.609
   4      COMBCT         2.639        7.374        0.412        -0.821      -1.252
   4     COMBNEO         2.695        4.091       -1.228        -2.519      -1.252
   4     COMBNEO         0.981        5.538       -1.766        -2.519      -0.609
   4     COMBNEO         0.890        8.576       -0.365        -0.811       4.105
   4     COMBNEO         2.633        7.108        0.282        -0.811       2.491
   4     COMBNEO         2.743        3.401       -1.372        -2.583       2.491
   4     COMBNEO         1.005        4.857       -2.020        -2.583       4.105
   4       COMB1         0.943        8.635       -0.330        -0.769       3.949
   4       COMB1         2.626        7.120        0.329        -0.769       2.367
   4       COMB1         2.782        3.570       -1.357        -2.505       2.367
   4       COMB1         1.105        5.073       -2.016        -2.505       3.949
   4       COMB1         7.077       66.101        0.362         3.249      18.463
   4       COMB1        26.178       63.038        2.663         3.249      17.820
   4       COMB2        25.406       42.627       -0.715         0.008      17.820
   4       COMB2         6.322       45.665       -1.947         0.008      18.463
   4       COMB2        -2.628        0.337       -3.996       -18.480       4.208
   4       COMB2        -3.704       -0.832       -2.687       -18.480       1.657
   4       COMB2        -2.956       -4.307       -4.791       -18.737       1.657
   4       COMB2        -1.870       -3.137       -6.877       -18.737       4.208
   4       COMB3         5.587       27.141        1.601         4.283       7.492
   4       COMB3         9.209       21.539        3.076         4.283       4.389
   4       COMB3        10.978       19.182        0.079         2.035       4.389
   4       COMB3         7.323       24.792       -0.910         2.035       7.492
   4       COMB3        -2.623        0.344       -3.993        -3.593      -0.096
   4       COMB3        -3.706       -0.827       -2.685        -3.593      -1.742
   4       COMB4        -2.955       -4.301       -4.687        -6.551      -1.742
   4       COMB4        -1.866       -3.128       -6.187        -6.551      -0.096
   4       COMB4         3.968       24.458       -0.395         3.262       7.904
   4       COMB5         9.200       19.932        1.430         3.262       4.733
   4       COMB5        10.466       12.831       -0.859        -0.052       4.733
   4       COMB5         5.236       17.332       -2.199        -0.052       7.904
   4       COMB6        -2.662        0.091       -4.232        -3.583       4.618
   4       COMB6        -3.712       -1.094       -2.814        -3.583       2.001
   4       COMB6        -2.907       -4.991       -4.831        -6.614       2.001
   4       COMB6        -1.842       -3.810       -6.442        -6.614       4.618
   4       COMB6         4.021       24.518       -0.360         3.304       7.748
   4       COMB6         9.193       19.943        1.477         3.304       4.609
   4       COMB7        10.504       13.000       -0.844         0.025       4.609
   4       COMB7         5.336       17.549       -2.196         0.025       7.748

    GVHD: Th.S. Dƣơng Thanh Quỳnh
    SVTH : Vũ Trọng Chung     -   MSSV : 273352            -   Lớp 52CB3       228
ĐỒ ÁN TỐT NGHIỆP        Thiết Kế Kỹ Thuật Bến Căn Cứ Đóng Mới Giàn Jacket Độ Sâu
                    .     Đến 95.7M Nước Hạ Thủy Bằng Phương Pháp Kéo Trượt

   4      COMB7         -2.609        0.150       -4.196        -3.541       4.462
   4      COMB7         -3.719       -1.082       -2.767        -3.541       1.877
   4      COMB7         -2.869       -4.821       -4.816        -6.537       1.877
   4      COMB7         -1.742       -3.594       -6.438        -6.537       4.462
   4      COMB8          4.013       50.025        0.188        -0.771      14.921
   4      COMB8         19.595       49.959        1.432        -0.771      15.799
   4      COMB8         17.769       32.676       -1.358        -2.509      15.799
   4      COMB8          2.215       32.724       -2.018        -2.509      14.921
   4      COMB8          0.938        8.628       -0.334       -15.655       3.952
   4      COMB8          2.624        7.115        0.327       -15.655       2.368
   4      COMB9          2.781        3.564       -1.461       -14.691       2.368
   4      COMB9          1.101        5.064       -2.706       -14.691       3.952
   4      COMB9          3.960       49.965        0.152        -0.813      15.077
   4      COMB9         19.603       49.948        1.385        -0.813      15.923
   4      COMB9         17.731       32.507       -1.372        -2.586      15.923
   4      COMB9          2.115       32.508       -2.022        -2.586      15.077
   4      COMB10         0.885        8.569       -0.369       -15.697       4.108
   4      COMB10         2.632        7.104        0.280       -15.697       2.492
   4      COMB10         2.742        3.395       -1.476       -14.769       2.492
   4      COMB10         1.001        4.848       -2.709       -14.769       4.108
   4      COMB10         5.579       52.648        2.149         0.207      14.665
   4      COMB10        19.611       51.555        3.031         0.207      15.578
   4      COMB11        18.243       38.858       -0.434        -0.499      15.578
   4      COMB11         4.202       39.968       -0.732        -0.499      14.665
   4      COMB11         0.924        8.822       -0.130       -15.708      -0.607
   4      COMB11         2.637        7.370        0.409       -15.708      -1.251
   4      COMB11         2.694        4.085       -1.332       -14.705      -1.251
   4      COMB11         0.977        5.529       -2.455       -14.705      -0.607
   4      COMB12         8.657       68.531        2.119         4.280      18.463
   4      COMB12        26.178       64.379        4.179         4.280      17.820
   4      COMB12        25.966       48.288        0.079         2.031      17.820
   4      COMB12         8.434       52.443       -0.911         2.031      18.463
   4      COMB12        -2.628        0.337       -3.996       -18.480      -0.094
   4      COMB12        -3.708       -0.832       -2.687       -18.480      -1.741
   4      COMB13        -2.956       -4.307       -4.791       -18.737      -1.741
   4      COMB13        -1.870       -3.137       -6.877       -18.737      -0.094
   4      COMB13         7.038       65.848        0.122         3.260      18.875
   4      COMB13        26.170       62.771        2.533         3.260      18.165
   4      COMB13        25.454       41.937       -0.860        -0.056      18.165
   4      COMB13         6.346       44.984       -2.201        -0.056      18.875

    GVHD: Th.S. Dƣơng Thanh Quỳnh
    SVTH : Vũ Trọng Chung     -   MSSV : 273352            -   Lớp 52CB3       229
ĐỒ ÁN TỐT NGHIỆP        Thiết Kế Kỹ Thuật Bến Căn Cứ Đóng Mới Giàn Jacket Độ Sâu
                    .     Đến 95.7M Nước Hạ Thủy Bằng Phương Pháp Kéo Trượt

   4      COMB14        -2.667         0.084      -4.236       -18.469       4.620
   4      COMB14        -3.713        -1.098      -2.817       -18.469       2.002
   4      COMB14        -2.908        -4.997      -4.935       -18.800       2.002
   4      COMB14        -1.846        -3.819      -7.131       -18.800       4.620
   4      COMB14         7.091       65.907        0.158         3.302      18.719
   4      COMB14        26.163       62.783        2.580         3.302      18.041
   4      COMB15        25.492       42.106       -0.845         0.022      18.041
   4      COMB15         6.446       45.200       -2.197         0.022      18.719
   4      COMB15        -2.614         0.143      -4.200       -18.427       4.464
   4      COMB15        -3.720        -1.086      -2.770       -18.427       1.878
   4      COMB15        -2.869        -4.827      -4.920       -18.723       1.878
   4      COMB15        -1.746        -3.603      -7.127       -18.723       4.464
   5     COMBHH          1.555         9.609       1.296         2.445      11.670
   5     COMBHH          8.265         9.174      -0.999         2.445       4.166
   5     COMBHH          9.722         0.259       2.778        -2.729       4.166
   5     COMBHH          3.077         0.694       5.104        -2.729      11.670
   5     COMBHH         -3.878        -9.900      -3.068        -2.932       2.252
   5     COMBHH         -3.218        -5.144      -3.680        -2.932      -1.813
   5      COMBCT        -7.032        -6.943      -3.163       -10.085      -1.813
   5      COMBCT        -7.691       -11.886      -3.648       -10.085       2.252
   5      COMBCT        -0.006       20.498        0.001        -0.003      24.923
   5      COMBCT        13.930       24.003       -0.003        -0.003      15.981
   5      COMBCT         9.521         0.986       0.200        -0.007      15.981
   5      COMBCT        -0.012        -0.023       0.074        -0.007      24.923
   5     COMBNEO        -1.074        -0.020      -0.396        -9.735       0.005
   5     COMBNEO         0.000        -0.004      -0.269        -9.735       0.001
   5     COMBNEO        -0.007        -0.007       0.011       -19.550       0.001
   5     COMBNEO        -5.523        -2.532       0.015       -19.550       0.005
   5     COMBNEO         2.894         9.732       0.000         1.593       0.000
   5     COMBNEO         0.000         1.318       2.595         1.593       0.000
   5       COMB1         5.209         5.700       0.000         4.999       0.000
   5       COMB1         8.547       14.195        0.000         4.999       0.000
   5       COMB1         0.000         0.000      -1.060         0.000      -5.479
   5       COMB1        -0.531         0.000       0.000         0.000      -2.376
   5       COMB1         0.000         0.000      -4.520         0.000      -2.376
   5       COMB1         0.000         0.000      -8.174         0.000      -5.479
   5       COMB2        -0.299       13.748        0.700         1.108      27.469
   5       COMB2        15.555       17.404       -3.342         1.108       7.929
   5       COMB2        13.768        -2.498       3.609       -16.663       7.929
   5       COMB2        -2.013        -6.202       7.687       -16.663      27.469

    GVHD: Th.S. Dƣơng Thanh Quỳnh
    SVTH : Vũ Trọng Chung     -   MSSV : 273352            -   Lớp 52CB3       230
ĐỒ ÁN TỐT NGHIỆP        Thiết Kế Kỹ Thuật Bến Căn Cứ Đóng Mới Giàn Jacket Độ Sâu
                    .     Đến 95.7M Nước Hạ Thủy Bằng Phương Pháp Kéo Trượt

   5      COMB2          -6.819       -9.663      -4.538        -5.343      16.168
   5      COMB2           1.776        0.222      -6.559        -5.343       0.754
   5      COMB3          -6.337      -11.141      -3.521       -25.490       0.754
   5      COMB3         -14.934      -21.298      -2.815       -25.490      16.168
   5      COMB3          -2.171      26.815       -0.854        -1.829      43.372
   5      COMB3         22.353       35.199       -2.147        -1.829      22.107
   5      COMB3         13.527        -1.626       0.515       -13.397      22.107
   5      COMB3          -5.719       -7.063       1.650       -13.397      43.372
   5      COMB4          -3.453        2.194      -1.331       -13.508      13.471
   5      COMB4           5.637        6.391      -2.466       -13.508       2.931
   5      COMB4           2.094       -2.818       0.287       -36.848       2.931
   5      COMB5         -12.333      -10.074       1.580       -36.848      13.471
   5      COMB5           1.308      13.896       -0.856         0.087      13.465
   5      COMB5           5.637        7.977       0.970         0.087       2.930
   5      COMB6           8.352        4.030       0.275        -7.389       2.930
   5      COMB6           4.551        9.998       1.562        -7.389      13.465
   5      COMB6          -2.165        2.217      -2.127        -1.825       6.890
   5      COMB6           5.000        6.395      -2.143        -1.825       0.078
   5      COMB6           2.102       -2.809      -5.149       -13.388       0.078
   5      COMB6          -5.705       -7.035      -8.246       -13.388       6.890
   5      COMB7          -2.253        0.961      -1.024        -1.889      13.985
   5      COMB7           5.769        6.139      -2.376        -1.889       3.196
   5      COMB7           2.049       -3.499       0.927       -13.730       3.196
   5      COMB7          -5.955       -8.744       2.279       -13.730      13.985
   5      COMB7          -2.114        1.272      -1.117        -1.817      13.745
   5      COMB7           5.759        6.163      -2.265        -1.817       3.092
   5      COMB8           2.345       -3.281       0.803       -13.510       3.092
   5      COMB8          -5.509       -8.238       1.951       -13.510      13.745
   5      COMB8          -0.306      38.345        0.701         1.105      57.377
   5      COMB8         32.270       46.208       -3.346         1.105      27.106
   5      COMB8         25.193        -1.315       3.849       -16.672      27.106
   5      COMB8          -2.028       -6.230       7.775       -16.672      57.377
   5      COMB9          -8.107       -9.686      -5.013       -17.026      16.174
   5      COMB9           1.776        0.218      -6.882       -17.026       0.756
   5      COMB9          -6.345      -11.150      -3.509       -48.949       0.756
   5      COMB9         -21.562      -24.337      -2.798       -48.949      16.174
   5      COMB9           3.174      25.426        0.700         3.020      27.469
   5      COMB9         15.555       18.985       -0.228         3.020       7.929
   5      COMB10        20.018         4.342       3.609       -10.664       7.929
   5      COMB10          8.243      10.831        7.687       -10.664      27.469

    GVHD: Th.S. Dƣơng Thanh Quỳnh
    SVTH : Vũ Trọng Chung     -   MSSV : 273352            -   Lớp 52CB3       231
ĐỒ ÁN TỐT NGHIỆP        Thiết Kế Kỹ Thuật Bến Căn Cứ Đóng Mới Giàn Jacket Độ Sâu
                    .     Đến 95.7M Nước Hạ Thủy Bằng Phương Pháp Kéo Trượt

   5      COMB10         -6.819       -9.663      -5.809        -5.343       9.593
   5      COMB10          1.139        0.222      -6.559        -5.343      -2.097
   5      COMB10         -6.337      -11.141      -8.945       -25.490      -2.097
   5      COMB10        -14.934      -21.298     -12.624       -25.490       9.593
   5      COMB11         -0.387      12.491        0.531         1.045      27.990
   5      COMB11        15.687       17.147       -3.575         1.045       8.196
   5      COMB11        13.715        -3.188       4.261       -17.005       8.196
   5      COMB11         -2.263       -7.911       8.404       -17.005      27.990
   5      COMB11         -6.907      -10.919      -4.707        -5.407      16.688
   5      COMB11          1.908       -0.034      -6.792        -5.407       1.021
   5      COMB12         -6.390      -11.831      -2.869       -25.832       1.021
   5      COMB12        -15.184      -23.007      -2.099       -25.832      16.688
   5      COMB12         -0.248      12.802        0.439         1.116      27.749
   5      COMB12        15.676       17.171       -3.464         1.116       8.091
   5      COMB12        14.011        -2.969       4.137       -16.785       8.091
   5      COMB12         -1.817       -7.406       8.076       -16.785      27.749
   5      COMB13         -6.768      -10.608      -4.799        -5.335      16.448
   5      COMB13          1.898       -0.010      -6.681        -5.335       0.916
   5      COMB13         -6.094      -11.612      -2.993       -25.611       0.916
   5      COMB13        -14.738      -22.502      -2.426       -25.611      16.448
   5      COMB13         -2.121      25.870       -1.115        -1.821      43.652
   5      COMB13        22.474       34.967       -2.269        -1.821      22.269
   5      COMB14        13.770        -2.098       1.043       -13.519      22.269
   5      COMB14         -5.523       -8.267       2.040       -13.519      43.652
   5      COMB14         -3.402        1.248      -1.591       -13.500      13.751
   5      COMB14          5.759        6.159      -2.588       -13.500       3.093
   5      COMB14          2.337       -3.289       0.815       -36.970       3.093
   5      COMB14        -12.137      -11.277       1.969       -36.970      13.751
   5      COMB15         -2.259      25.559       -1.023        -1.893      43.892
   5      COMB15        22.485       34.943       -2.380        -1.893      22.373
   5      COMB15        13.475        -2.316       1.167       -13.739      22.373
   5      COMB15         -5.969       -8.772       2.367       -13.739      43.892
   5      COMB15         -3.541        0.937      -1.499       -13.572      13.991
   5      COMB15          5.769        6.135      -2.699       -13.572       3.198




    GVHD: Th.S. Dƣơng Thanh Quỳnh
    SVTH : Vũ Trọng Chung     -   MSSV : 273352            -   Lớp 52CB3       232
ĐỒ ÁN TỐT NGHIỆP           Thiết Kế Kỹ Thuật Bến Căn Cứ Đóng Mới Giàn Jacket Độ Sâu
                       .     Đến 95.7M Nước Hạ Thủy Bằng Phương Pháp Kéo Trượt


3.Nội lực bản sàn cần trục

 SHELL       LOAD             M11         M22         M12           V13          V23
  Text        Text         Ton-m/m     Ton-m/m      Ton-m/m        Ton/m        Ton/m
   1       COMBHH            -6.032      -0.839       3.768       -27.012      -26.749
   1       COMBHH             6.227       3.811       4.197       -27.012      -15.439
   1       COMBHH            -4.385      11.426       7.517       -16.177      -26.749
   1       COMBHH             7.399      16.134       6.449       -16.177      -15.439
   1       COMBHH           -19.762     -26.875      -5.293       -54.184       -55.41
   1       COMBHH           -11.506     -17.373      -1.756       -54.184      -37.302
   1        COMBCT          -13.671     -18.411      -0.558       -36.075       -55.41
   1        COMBCT           -4.995      -9.024       2.899       -36.075      -37.302
   1        COMBCT           -3.555      -3.019       3.904       -26.494      -27.326
   1        COMBCT            8.492       3.25        2.964       -26.494      -16.016
   1        COMBCT           -3.576       9.475       8.977       -15.659      -27.326
   1        COMBCT            8.114      15.684        6.54       -15.659      -16.016
   1       COMBNEO          -17.285     -29.055      -5.157       -53.666      -55.988
   1       COMBNEO            -9.24     -17.934      -2.989       -53.666       -37.88
   1       COMBNEO          -12.862     -20.363       0.903       -35.558      -55.988
   1       COMBNEO            -4.28      -9.474       2.991       -35.558       -37.88
   1       COMBNEO           -2.456      -2.075       4.543       -26.178      -26.466
   1       COMBNEO            9.529       3.665       3.506       -26.178      -15.334
   1         COMB1           -2.634      10.189        9.19       -15.521      -26.466
   1         COMB1            8.985      15.876       6.656       -15.521      -15.334
   1         COMB1          -16.186      -28.11      -4.518        -53.35      -55.127
   1         COMB1           -8.204     -17.519      -2.447        -53.35      -37.197
   1         COMB1          -11.921     -19.649       1.115        -35.42      -55.127
   1         COMB1           -3.409      -9.282       3.106        -35.42      -37.197
   1         COMB2           -3.299      13.425       6.408       -16.261      -20.738
   1         COMB2            5.726      15.138       7.555       -16.261      -14.944
   1         COMB2            -0.14      24.798       5.866       -10.572      -20.738
   1         COMB2            9.335      26.272       7.151       -10.572      -14.944
   1         COMB2          -11.847      -15.65       0.088       -36.178      -45.364
   1         COMB2           -6.358     -13.025       2.238       -36.178      -39.079
   1         COMB3             -7.4      -8.177       1.289       -29.893      -45.364
   1         COMB3           -2.479      -5.552       3.439       -29.893      -39.079
   1         COMB3           -2.471      12.115       7.358       -15.734      -21.441
   1         COMB3            6.37       13.785       8.147       -15.734      -15.641
   1         COMB3            0.27       23.722       6.783       -10.038      -21.441
   1         COMB3            9.617      25.097       7.709       -10.038      -15.641

     GVHD: Th.S. Dƣơng Thanh Quỳnh
     SVTH : Vũ Trọng Chung     -   MSSV : 273352              -   Lớp 52CB3       233
ĐỒ ÁN TỐT NGHIỆP        Thiết Kế Kỹ Thuật Bến Căn Cứ Đóng Mới Giàn Jacket Độ Sâu
                    .     Đến 95.7M Nước Hạ Thủy Bằng Phương Pháp Kéo Trượt

   1      COMB4         -11.019       -16.96      1.038       -35.651       -46.067
   1      COMB4          -5.715      -14.377       2.83       -35.651       -39.775
   1      COMB4           -6.99       -9.253      2.206       -29.358       -46.067
   1      COMB5          -2.196       -6.727      3.998       -29.358       -39.775
   1      COMB5          -1.567       12.623      7.631       -15.596       -20.618
   1      COMB5           7.249       14.036      8.201       -15.596       -14.892
   1      COMB6           0.872       23.993       6.85        -9.975       -20.618
   1      COMB6          10.185       25.122      7.558        -9.975       -14.892
   1      COMB6         -10.115      -16.452       1.31       -35.513       -45.244
   1      COMB6          -4.835      -14.127      2.884       -35.513       -39.026
   1      COMB6          -6.388       -8.981      2.273       -29.295       -45.244
   1      COMB6          -1.629       -6.703      3.847       -29.295       -39.026
   1      COMB7           0.594        25.25       7.64       -10.638       -16.248
   1      COMB7           9.081       28.302      5.484       -10.638       -12.512
   1      COMB7           0.677       34.633      8.948        -6.313       -16.248
   1      COMB7           8.587       37.719      6.682        -6.313       -12.512
   1      COMB7          -6.416       -7.558      1.911       -29.965       -36.858
   1      COMB7           -3.12        -5.38      2.816       -29.965       -33.901
   1      COMB8          -5.475       -1.095      2.646       -28.358       -36.858
   1      COMB8           -2.37        1.061      3.552       -28.358       -33.901
   1      COMB8           1.116       24.468      8.479       -10.108       -17.072
   1      COMB8           9.421       27.673      6.117       -10.108       -13.292
   1      COMB8           0.978       34.106      9.926         -5.74       -17.072
   1      COMB8           8.744       37.306      7.453         -5.74       -13.292
   1      COMB9          -5.895        -8.34       2.75       -29.435       -37.682
   1      COMB9           -2.78       -6.009      3.449       -29.435       -34.681
   1      COMB9          -5.175       -1.622      3.624       -27.785       -37.682
   1      COMB9          -2.213        0.648      4.323       -27.785       -34.681
   1      COMB9           1.693       24.663      8.437       -10.045       -16.266
   1      COMB9           9.986       27.643      6.078       -10.045       -12.538
   1      COMB10          1.513       34.072      9.697        -5.729       -16.266
   1      COMB10          9.27        37.046      7.228        -5.729       -12.538
   1      COMB10         -5.317       -8.145      2.707       -29.372       -36.876
   1      COMB10         -2.215       -6.038       3.41       -29.372       -33.927
   1      COMB10         -4.639       -1.655      3.395       -27.773       -36.876
   1      COMB10         -1.687        0.388      4.098       -27.773       -33.927
   1      COMB11          1.032       35.455      7.433        -6.352        -12.67
   1      COMB11          8.203       34.622      7.671        -6.352        -9.702
   1      COMB11          2.998       42.651      5.918        -1.173        -12.67
   1      COMB11         11.229       41.431      6.392        -1.173        -9.702

    GVHD: Th.S. Dƣơng Thanh Quỳnh
    SVTH : Vũ Trọng Chung     -   MSSV : 273352           -   Lớp 52CB3        234
ĐỒ ÁN TỐT NGHIỆP        Thiết Kế Kỹ Thuật Bến Căn Cứ Đóng Mới Giàn Jacket Độ Sâu
                    .     Đến 95.7M Nước Hạ Thủy Bằng Phương Pháp Kéo Trượt

   1      COMB11         -5.135        -0.65       2.917       -28.366      -28.963
   1      COMB11         -3.286       -1.899       3.286       -28.366      -24.622
   1      COMB12         -4.558        3.031       2.601       -26.877      -28.963
   1      COMB12         -3.275        3.167       2.971       -26.877      -24.622
   1      COMB12          1.382       35.138       8.297         -5.78      -13.627
   1      COMB12          8.351       34.198       8.556         -5.78      -10.544
   1      COMB12          3.408       42.616       6.709        -0.487      -13.627
   1      COMB12         11.471       41.254       7.203        -0.487      -10.544
   1      COMB13         -4.785       -0.967        3.78       -27.793      -29.919
   1      COMB13         -3.138       -2.323       4.171       -27.793      -25.465
   1      COMB13         -4.147        2.996       3.392       -26.191      -29.919
   1      COMB13         -3.033        2.99        3.782       -26.191      -25.465
   1      COMB13          1.915       35.082       8.144        -5.768      -12.822
   1      COMB13          8.893        34.03       8.252        -5.768       -9.791
   1      COMB14          3.72        42.326       6.466        -0.527      -12.822
   1      COMB14         11.782       40.862        6.81        -0.527       -9.791
   1      COMB14         -4.252       -1.023       3.628       -27.782      -29.115
   1      COMB14         -2.596       -2.491       3.868       -27.782      -24.712
   1      COMB14         -3.836        2.706       3.149       -26.231      -29.115
   1      COMB14         -2.721        2.598       3.389       -26.231      -24.712
   1      COMB15          5.924        5.176       5.536       -21.261      -15.526
   1      COMB15         16.805        6.401       5.128       -21.261       -9.482
   1      COMB15          8.088       14.493        4.81       -15.838      -15.526
   1      COMB15         19.184       15.461       5.676       -15.838       -9.482
   1      COMB15         -9.677      -15.841      -0.579       -43.964      -37.446
   1      COMB15         -3.269      -11.077       0.996       -43.964      -29.378
   2     COMBHH          -6.468      -10.475        1.72       -35.897      -37.446
   2     COMBHH          -0.874       -5.761       2.877       -35.897      -29.378
   2     COMBHH           7.483         4.6        4.711       -20.604      -16.114
   2     COMBHH          18.144        6.439        4.46       -20.604      -10.096
   2     COMBHH           9.84        14.124       4.503       -15.208      -16.114
   2     COMBHH          20.776       15.645       5.526       -15.208      -10.096
   2      COMBCT         -8.118      -16.417      -1.404       -43.308      -38.034
   2      COMBCT          -1.93      -11.039       0.328       -43.308      -29.993
   2      COMBCT         -4.716      -10.844       1.413       -35.266      -38.034
   2      COMBCT          0.719       -5.577       2.726       -35.266      -29.993
   2      COMBCT          8.502        4.994       5.151       -20.449       -15.43
   2      COMBCT         19.134        6.551       4.724       -20.449       -9.459
   2     COMBNEO         10.618       14.315       4.723         -15.1       -15.43
   2     COMBNEO         21.506       15.573       5.569         -15.1       -9.459

    GVHD: Th.S. Dƣơng Thanh Quỳnh
    SVTH : Vũ Trọng Chung     -   MSSV : 273352            -   Lớp 52CB3       235
ĐỒ ÁN TỐT NGHIỆP        Thiết Kế Kỹ Thuật Bến Căn Cứ Đóng Mới Giàn Jacket Độ Sâu
                    .     Đến 95.7M Nước Hạ Thủy Bằng Phương Pháp Kéo Trượt

   2     COMBNEO         -7.099      -16.023      -0.963       -43.153       -37.35
   2     COMBNEO          -0.94      -10.927       0.592       -43.153      -29.356
   2     COMBNEO         -3.938      -10.654       1.633       -35.158       -37.35
   2     COMBNEO          1.449       -5.649        2.77       -35.158      -29.356
   2      COMB1           8.887       15.382       6.085       -15.911      -14.996
   2      COMB1          18.148       19.711       4.846       -15.911       -9.707
   2      COMB1           7.299       25.197       8.505       -10.988      -14.996
   2      COMB1          16.604       29.604       6.399       -10.988       -9.707
   2      COMB1          -5.814      -12.142       2.283       -36.006      -39.108
   2      COMB1           -1.83       -9.399       1.605       -36.006      -32.565
   2      COMB2           -5.12       -6.651       3.387       -29.463      -39.108
   2      COMB2          -1.134       -3.956       3.828       -29.463      -32.565
   2      COMB2          10.538       14.151       6.233       -15.287      -15.685
   2      COMB2          19.589       19.498        4.24       -15.287        -10.4
   2      COMB2           8.059       24.197       9.507       -10.368      -15.685
   2      COMB2          17.209       29.565       6.648       -10.368        -10.4
   2      COMB3          -4.162      -13.373        2.43       -35.382      -39.796
   2      COMB3          -0.389       -9.613       0.999       -35.382      -33.258
   2      COMB3           -4.36       -7.651       4.389       -28.843      -39.796
   2      COMB3          -0.529       -3.995       4.076       -28.843      -33.258
   2      COMB3          11.305       14.405       6.342       -15.178      -14.939
   2      COMB3          20.331       19.365       4.398       -15.178       -9.702
   2      COMB4           8.841       24.238         9.3       -10.307      -14.939
   2      COMB4          17.966       29.221       6.489       -10.307       -9.702
   2      COMB4          -3.395      -13.119        2.54       -35.272       -39.05
   2      COMB5           0.353       -9.745       1.157       -35.272      -32.561
   2      COMB5          -3.577        -7.61       4.182       -28.782       -39.05
   2      COMB5           0.228       -4.339       3.917       -28.782      -32.561
   2      COMB6           7.99        28.314       6.765        -11.02      -12.553
   2      COMB6          15.991       27.374       7.877        -11.02       -8.863
   2      COMB6          10.731       37.212       4.889        -7.056      -12.553
   2      COMB6          18.981       35.917       5.927        -7.056       -8.863
   2      COMB6          -4.416       -4.862       3.434       -29.489      -33.967
   2      COMB6          -1.803       -6.027       3.777       -29.489      -29.804
   2      COMB7          -3.515        0.143       2.928       -26.429      -33.967
   2      COMB7          -0.813       -1.058       3.271       -26.429      -29.804
   2      COMB7           8.783       27.774       7.418       -10.396      -13.332
   2      COMB7          16.574       26.933       8.472       -10.396       -9.618
   2      COMB7          11.477        36.92       5.637        -6.407      -13.332
   2      COMB7          19.562       35.679       6.618        -6.407       -9.618

    GVHD: Th.S. Dƣơng Thanh Quỳnh
    SVTH : Vũ Trọng Chung     -   MSSV : 273352            -   Lớp 52CB3       236
ĐỒ ÁN TỐT NGHIỆP        Thiết Kế Kỹ Thuật Bến Căn Cứ Đóng Mới Giàn Jacket Độ Sâu
                    .     Đến 95.7M Nước Hạ Thủy Bằng Phương Pháp Kéo Trượt

   2      COMB8          -3.622       -5.403      4.087       -28.864       -34.746
   2      COMB8          -1.219       -6.468      4.372       -28.864       -30.559
   2      COMB8          -2.769        -0.15      3.677        -25.78       -34.746
   2      COMB8          -0.233       -1.296      3.962        -25.78       -30.559
   2      COMB8           9.563       27.754      7.357       -10.335       -12.575
   2      COMB8           17.35       26.738      8.164       -10.335        -8.904
   2      COMB9          11.925       36.677      5.438        -6.389       -12.575
   2      COMB9          19.992       35.275      6.172        -6.389        -8.904
   2      COMB9          -2.842       -5.423      4.026       -28.804       -33.989
   2      COMB9          -0.443       -6.663      4.065       -28.804       -29.845
   2      COMB9          -2.321       -0.392      3.477       -25.763       -33.989
   2      COMB9           0.197         -1.7      3.516       -25.763       -29.845
   2      COMB10         11.152       35.077      6.671        -7.116        -9.732
   2      COMB10         18.654       37.591      4.606        -7.116        -7.345
   2      COMB10          9.227       41.247      7.508        -4.619        -9.732
   2      COMB10         16.692       43.896      5.766        -4.619        -7.345
   2      COMB10         -3.064       -1.148      3.078       -26.481       -24.639
   2      COMB10         -1.323        0.107      2.968       -26.481       -22.052
   2      COMB11         -2.626        2.734      3.184       -24.593       -24.639
   2      COMB11         -0.917        3.456      3.222       -24.593       -22.052
   2      COMB11         11.908        34.74      7.501        -6.469       -10.571
   2      COMB11          19.2         37.27      5.211        -6.469        -8.131
   2      COMB11          9.749       41.161      8.375        -3.919       -10.571
   2      COMB11         17.027       43.802      6.408        -3.919        -8.131
   2      COMB12         -2.308       -1.485      3.908       -25.834       -25.479
   2      COMB12         -0.778       -0.214      3.574       -25.834       -22.838
   2      COMB12         -2.105        2.648      4.051       -23.893       -25.479
   2      COMB12         -0.582        3.362      3.864       -23.893       -22.838
   2      COMB12         12.372       34.569      7.176        -6.451        -9.819
   2      COMB12         19.664       37.045      4.894        -6.451        -7.431
   2      COMB13         10.177       40.779      8.001        -3.953        -9.819
   2      COMB13         17.461        43.36      6.042        -3.953        -7.431
   2      COMB13         -1.844       -1.656      3.583       -25.817       -24.727
   2      COMB13         -0.314        -0.44      3.257       -25.817       -22.138
   2      COMB13         -1.676        2.267      3.677       -23.927       -24.727
   2      COMB13         -0.148        2.92       3.499       -23.927       -22.138
   2      COMB14         16.215        6.521      4.639       -16.968        -9.538
   2      COMB14         25.514       14.507      6.199       -16.968        -4.938
   2      COMB14         15.203       14.342      7.454       -13.592        -9.538
   2      COMB14         24.522       22.376       5.94       -13.592        -4.938

    GVHD: Th.S. Dƣơng Thanh Quỳnh
    SVTH : Vũ Trọng Chung     -   MSSV : 273352           -   Lớp 52CB3        237
ĐỒ ÁN TỐT NGHIỆP        Thiết Kế Kỹ Thuật Bến Căn Cứ Đóng Mới Giàn Jacket Độ Sâu
                    .     Đến 95.7M Nước Hạ Thủy Bằng Phương Pháp Kéo Trượt

   2      COMB14         -3.076      -10.222       0.009       -36.065      -29.429
   2      COMB14          1.541       -9.265      -2.003       -36.065      -25.197
   2      COMB15         -2.183       -6.683       2.659       -31.266      -29.429
   2      COMB15          2.442       -5.751       2.528       -31.266      -25.197
   2      COMB15         17.208        6.401       3.895       -16.175      -10.144
   2      COMB15         26.264       15.171       5.193       -16.175       -5.628
   2      COMB15         15.896       14.435       7.381       -12.883      -10.144
   2      COMB15         25.017       23.208       5.604       -12.883       -5.628
   3     COMBHH          -2.083      -10.342      -0.734       -35.272      -30.035
   3     COMBHH           2.291       -8.602      -3.009       -35.272      -25.887
   3     COMBHH           -1.49        -6.59       2.587       -30.558      -30.035
   3     COMBHH           2.937       -4.919       2.192       -30.558      -25.887
   3     COMBHH          18.208        6.551       4.307       -16.164        -9.51
   3     COMBHH          27.257       14.694       5.668       -16.164        -4.95
   3      COMBCT         16.936       14.389       7.275       -12.827        -9.51
   3      COMBCT         26.043       22.541       5.561       -12.827        -4.95
   3      COMBCT         -1.083      -10.192      -0.322        -35.26      -29.401
   3      COMBCT          3.284       -9.079      -2.534        -35.26      -25.209
   3      COMBCT          -0.45       -6.636        2.48       -30.502      -29.401
   3      COMBCT          3.964       -5.586       2.149       -30.502      -25.209
   3     COMBNEO         15.772       20.118        5.99       -13.606       -9.756
   3     COMBNEO          23.88       20.731       6.839       -13.606       -5.586
   3     COMBNEO         18.529       29.032       5.088       -10.252       -9.756
   3     COMBNEO          26.89       29.276       5.995       -10.252       -5.586
   3     COMBNEO         -1.822       -8.643       2.686       -31.289       -32.65
   3     COMBNEO          1.693        -8.77       2.754       -31.289       -28.22
   3       COMB1         -1.829       -4.848       2.867       -26.756       -32.65
   3       COMB1          1.754       -4.961       2.759       -26.756       -28.22
   3       COMB1         16.406        19.86       5.517       -12.899      -10.459
   3       COMB1         24.285       21.167       6.905       -12.899       -6.331
   3       COMB1         19.825       29.014       5.204        -9.586      -10.459
   3       COMB1         28.011       29.897        6.65        -9.586       -6.331
   3       COMB2         -1.188       -8.901       2.213       -30.582      -33.353
   3       COMB2          2.097       -8.334        2.82       -30.582      -28.964
   3       COMB2         -0.533       -4.867       2.984        -26.09      -33.353
   3       COMB2          2.875        -4.34       3.415        -26.09      -28.964
   3       COMB2         17.451       19.733       5.665       -12.845       -9.757
   3       COMB2         25.324       20.672       6.603       -12.845       -5.617
   3       COMB3          20.3        28.669       5.058        -9.521       -9.757
   3       COMB3         28.457       29.205       6.053        -9.521       -5.617

    GVHD: Th.S. Dƣơng Thanh Quỳnh
    SVTH : Vũ Trọng Chung     -   MSSV : 273352            -   Lớp 52CB3       238
ĐỒ ÁN TỐT NGHIỆP        Thiết Kế Kỹ Thuật Bến Căn Cứ Đóng Mới Giàn Jacket Độ Sâu
                    .     Đến 95.7M Nước Hạ Thủy Bằng Phương Pháp Kéo Trượt

   3      COMB3          -0.142       -9.027      2.362       -30.528       -32.651
   3      COMB3           3.137       -8.829      2.518       -30.528       -28.251
   3      COMB3          -0.059       -5.212      2.837       -26.024       -32.651
   3      COMB3           3.321       -5.032      2.817       -26.024       -28.251
   3      COMB4          18.958       27.763      6.419       -10.308        -8.896
   3      COMB4          26.343       30.038       4.08       -10.308        -5.868
   3      COMB4          16.948       35.598      7.685        -7.367        -8.896
   3      COMB5          24.275       38.045       5.42        -7.367        -5.868
   3      COMB5          -1.298       -5.448      3.271       -26.837       -29.813
   3      COMB5           1.312        -3.12      2.391       -26.837        -26.31
   3      COMB6          -1.554       -1.697      3.778       -23.993       -29.813
   3      COMB6           1.032        0.601      3.269       -23.993        -26.31
   3      COMB6          20.157       27.392      6.975        -9.639        -9.646
   3      COMB6          27.329       29.852      4.291        -9.639        -6.604
   3      COMB6          17.762       35.459      8.418        -6.684        -9.646
   3      COMB6          24.904       38.065      5.807        -6.684        -6.604
   3      COMB7            -0.1       -5.818      3.827       -26.169       -30.563
   3      COMB7           2.299       -3.305      2.602       -26.169       -27.045
   3      COMB7           -0.74       -1.836      4.511       -23.309       -30.563
   3      COMB7           1.661        0.621      3.656       -23.309       -27.045
   3      COMB7          20.685       27.176      6.598        -9.577        -8.935
   3      COMB7          27.841       29.634       3.93        -9.577        -5.924
   3      COMB8          18.267       35.042      8.038        -6.654        -8.935
   3      COMB8          25.398       37.638      5.444        -6.654        -5.924
   3      COMB8           0.429       -6.035       3.45       -26.106       -29.851
   3      COMB8           2.811       -3.523      2.241       -26.106       -26.366
   3      COMB8          -0.235       -2.254      4.131       -23.279       -29.851
   3      COMB8           2.155        0.194      3.293       -23.279       -26.366
   3      COMB9          17.365       37.799      6.295        -7.378        -7.371
   3      COMB9          23.916       36.032      6.875        -7.378        -5.236
   3      COMB9          19.279       43.761      3.975        -5.237        -7.371
   3      COMB9          26.136       41.557      4.436        -5.237        -5.236
   3      COMB9          -1.117        0.577      3.582       -24.003       -22.102
   3      COMB9           0.68        -1.117      3.469       -24.003       -19.564
   3      COMB10         -0.925        3.148      2.481       -21.978       -22.102
   3      COMB10          0.987        2.203      2.634       -21.978       -19.564
   3      COMB10         18.168       37.544      6.868        -6.696        -8.159
   3      COMB10         24.497       35.871      7.422        -6.696         -5.98
   3      COMB10         20.082       43.746      4.648        -4.512        -8.159
   3      COMB10         26.747       41.607      5.085        -4.512         -5.98

    GVHD: Th.S. Dƣơng Thanh Quỳnh
    SVTH : Vũ Trọng Chung     -   MSSV : 273352           -   Lớp 52CB3        239
ĐỒ ÁN TỐT NGHIỆP        Thiết Kế Kỹ Thuật Bến Căn Cứ Đóng Mới Giàn Jacket Độ Sâu
                    .     Đến 95.7M Nước Hạ Thủy Bằng Phương Pháp Kéo Trượt

   3     COMB11          -0.314        0.321       4.154       -23.321       -22.89
   3     COMB11           1.261       -1.277       4.017       -23.321      -20.309
   3     COMB11          -0.122        3.133       3.154       -21.253       -22.89
   3     COMB11           1.599        2.252       3.283       -21.253      -20.309
   3     COMB11          18.694       37.308       6.564        -6.665       -7.457
   3     COMB11          25.026       35.544        6.98        -6.665       -5.324
   3     COMB12          20.407       43.305       4.273        -4.527       -7.457
   3     COMB12          27.065       41.085       4.571        -4.527       -5.324
   3     COMB12           0.212        0.086       3.851        -23.29      -22.187
   3     COMB12           1.79        -1.605       3.575        -23.29      -19.652
   3     COMB12           0.203        2.692       2.779       -21.268      -22.187
   3     COMB12           1.916        1.73        2.769       -21.268      -19.652
   3     COMB13          24.671       15.031       8.472       -13.466       -4.981
   3     COMB13          32.187       22.198       5.799       -13.466        0.856
   3     COMB13          26.245       22.639       3.788       -11.002       -4.981
   3     COMB13          34.022       29.348       5.429       -11.002        0.856
   3     COMB13           1.54        -8.962      -1.841       -29.324      -25.263
   3     COMB13           5.281      -13.721       -1.14       -29.324      -24.934
   3     COMB14           0.675       -7.105       2.309       -25.793      -25.263
   3     COMB14           4.431      -11.704       1.028       -25.793      -24.934
   3     COMB14          25.044       15.691       7.153       -12.513       -5.678
   3     COMB14          32.284       24.395       5.347       -12.513       -0.126
   3     COMB14          27.669       23.584       3.758       -10.334       -5.678
   3     COMB14          35.246       31.754       6.266       -10.334       -0.126
   3     COMB15           1.914       -8.302       -3.16        -28.37      -25.959
   3     COMB15           5.378      -11.524      -1.592        -28.37      -25.917
   3     COMB15           2.099        -6.16        2.28       -25.125      -25.959
   3     COMB15           5.655       -9.298       1.864       -25.125      -25.917
   3     COMB15          26.148       15.189       7.821       -12.662       -4.996
   3     COMB15          33.415       22.795       5.372       -12.662        0.818
   4     COMBHH          27.975       22.821       3.528       -10.222       -4.996
   4     COMBHH          35.537       29.936       5.393       -10.222        0.818
   4     COMBHH           3.018       -8.805      -2.492        -28.52      -25.277
   4     COMBHH           6.508      -13.124      -1.567        -28.52      -24.973
   4     COMBHH           2.405       -6.923        2.05       -25.013      -25.277
   4     COMBHH           5.945      -11.117       0.991       -25.013      -24.973
   4     COMBCT          26.218       21.216       6.396       -11.043       -5.627
   4     COMBCT          33.182       22.493       2.958       -11.043       -3.006
   4     COMBCT           24.16       29.096       6.541        -8.851       -5.627
   4     COMBCT          31.025       30.601       5.266        -8.851       -3.006

    GVHD: Th.S. Dƣơng Thanh Quỳnh
    SVTH : Vũ Trọng Chung     -   MSSV : 273352            -   Lớp 52CB3       240
ĐỒ ÁN TỐT NGHIỆP        Thiết Kế Kỹ Thuật Bến Căn Cứ Đóng Mới Giàn Jacket Độ Sâu
                    .     Đến 95.7M Nước Hạ Thủy Bằng Phương Pháp Kéo Trượt

   4      COMBCT          1.094       -8.573      2.148       -25.857       -28.182
   4      COMBCT          4.056       -4.412      0.933       -25.857       -26.201
   4     COMBNEO          0.571       -5.905      3.365       -22.892       -28.182
   4     COMBNEO          3.513       -1.809      1.427       -22.892       -26.201
   4     COMBNEO         27.374       21.695      6.877        -10.36        -6.361
   4     COMBNEO         34.132       22.659      3.272        -10.36        -3.748
   4     COMBNEO         25.153       29.798      6.789        -8.175        -6.361
   4     COMBNEO         31.824       30.978      5.348        -8.175        -3.748
   4       COMB1          2.25        -8.094      2.629       -25.174       -28.916
   4       COMB1          5.006       -4.245      1.247       -25.174       -26.943
   4       COMB1          1.564       -5.202      3.613       -22.216       -28.916
   4       COMB1          4.313       -1.432      1.509       -22.216       -26.943
   4       COMB1         27.863       21.148       6.32        -10.26        -5.653
   4       COMB1         34.588       22.365      2.737        -10.26        -3.055
   4       COMB2         25.621       29.052      6.441         -8.09        -5.653
   4       COMB2         32.272       30.471      5.022         -8.09        -3.055
   4       COMB2          2.74        -8.641      2.072       -25.074       -28.208
   4       COMB2          5.461        -4.54      0.712       -25.074        -26.25
   4       COMB2          2.032       -5.948      3.265       -22.131       -28.208
   4       COMB2          4.76        -1.939      1.183       -22.131        -26.25
   4       COMB3          24.52       30.262      5.558        -8.856        -5.902
   4       COMB3         30.665       29.783       5.31        -8.856        -3.681
   4       COMB3         25.974       37.782      3.936        -6.747        -5.902
   4       COMB3         32.405       36.887      3.729        -6.747        -3.681
   4       COMB3          0.976       -2.699      2.974       -22.915       -26.367
   4       COMB3          3.225       -4.014      2.761       -22.915       -23.956
   4       COMB4          0.874        0.105       2.62        -20.77       -26.367
   4       COMB4          3.212       -1.225      2.366        -20.77       -23.956
   4       COMB4          25.42       30.092      5.695        -8.187         -6.64
   4       COMB5         31.346       29.977      5.507        -8.187        -4.394
   4       COMB5         26.971       37.843      4.394        -6.052         -6.64
   4       COMB5          33.22       37.276      4.248        -6.052        -4.394
   4       COMB6          1.876        -2.87      3.111       -22.246       -27.105
   4       COMB6          3.907        -3.82      2.958       -22.246       -24.668
   4       COMB6          1.871        0.166      3.079       -20.075       -27.105
   4       COMB6          4.027       -0.836      2.885       -20.075       -24.668
   4       COMB6         25.943       29.858      5.412        -8.098        -5.959
   4       COMB6         31.856       29.546      5.111        -8.098        -3.749
   4       COMB7         27.326       37.407      3.957        -5.999        -5.959
   4       COMB7         33.547       36.657      3.697        -5.999        -3.749

    GVHD: Th.S. Dƣơng Thanh Quỳnh
    SVTH : Vũ Trọng Chung     -   MSSV : 273352           -   Lớp 52CB3        241
ĐỒ ÁN TỐT NGHIỆP        Thiết Kế Kỹ Thuật Bến Căn Cứ Đóng Mới Giàn Jacket Độ Sâu
                    .     Đến 95.7M Nước Hạ Thủy Bằng Phương Pháp Kéo Trượt

   4      COMB7            2.4        -3.104      2.828       -22.157       -26.424
   4      COMB7           4.416       -4.251      2.562       -22.157       -24.023
   4      COMB7           2.226        -0.27      2.641       -20.022       -26.424
   4      COMB7           4.354       -1.455      2.334       -20.022       -24.023
   4      COMB8          26.305       36.228      4.816        -6.787        -5.254
   4      COMB8          32.158       38.837      3.283        -6.787        -3.555
   4      COMB8          24.246       41.363      6.573        -5.123        -5.254
   4      COMB8          29.957       44.228      4.329        -5.123        -3.555
   4      COMB8           1.225       -0.738      2.916       -20.813       -19.558
   4      COMB8           3.001        0.777      1.548       -20.813       -17.465
   4      COMB9           0.643        1.928      3.195       -19.097       -19.558
   4      COMB9           2.369        3.322      2.537       -19.097       -17.465
   4      COMB9          27.253       36.117      5.391        -6.091        -5.996
   4      COMB9          32.891       38.748      3.681        -6.091        -4.261
   4      COMB9           25.02       41.469      7.198         -4.39        -5.996
   4      COMB9          30.525       44.348      4.778         -4.39        -4.261
   4      COMB10          2.173        -0.85      3.491       -20.117         -20.3
   4      COMB10          3.734        0.688      1.946       -20.117       -18.171
   4      COMB10          1.416        2.034       3.82       -18.364         -20.3
   4      COMB10          2.937        3.442      2.985       -18.364       -18.171
   4      COMB10         27.642       35.772      4.898         -6.04        -5.341
   4      COMB10         33.265        38.44      3.191         -6.04        -3.646
   4      COMB11          25.37       40.944      6.731        -4.379        -5.341
   4      COMB11         30.873       43.847      4.314        -4.379        -3.646
   4      COMB11          2.563       -1.194      2.997       -20.066       -19.645
   4      COMB11          4.108        0.38       1.456       -20.066       -17.555
   4      COMB11          1.767        1.509      3.353       -18.353       -19.645
   4      COMB11          3.285        2.941      2.522       -18.353       -17.555
   4      COMB12          3.445       43.025      6.985        -1.203        -7.586
   4      COMB12         11.201       43.314      5.368        -1.203        -6.956
   4      COMB12          2.308       46.792      6.688        -2.682        -7.586
   4      COMB12          8.848       47.198      4.857        -2.682        -6.956
   4      COMB12         -4.101        3.052       2.72        -26.91       -15.331
   4      COMB12         -3.507        3.123      2.845        -26.91       -15.911
   4      COMB13         -4.144        5.183      2.263       -25.822       -15.331
   4      COMB13         -2.389        5.266      2.558       -25.822       -15.911
   4      COMB13          3.857        42.8       7.859         -0.52        -8.515
   4      COMB13         11.397       43.103      6.093         -0.52        -7.846
   4      COMB13          2.584       46.845        7.6         -1.96        -8.515
   4      COMB13          8.928       47.245      5.619         -1.96        -7.846

    GVHD: Th.S. Dƣơng Thanh Quỳnh
    SVTH : Vũ Trọng Chung     -   MSSV : 273352           -   Lớp 52CB3        242
ĐỒ ÁN TỐT NGHIỆP        Thiết Kế Kỹ Thuật Bến Căn Cứ Đóng Mới Giàn Jacket Độ Sâu
                    .     Đến 95.7M Nước Hạ Thủy Bằng Phương Pháp Kéo Trượt

   4      COMB14         -3.689        2.827      3.595       -26.228       -16.261
   4      COMB14         -3.311        2.912      3.569       -26.228       -16.801
   4      COMB14         -3.868        5.236      3.176         -25.1       -16.261
   4      COMB14          -2.31        5.313      3.321         -25.1       -16.801
   4      COMB14          4.178       42.599      7.527         -0.56        -7.696
   4      COMB14         11.739       42.825      5.792         -0.56        -7.104
   4      COMB15          2.896       46.416      7.199        -2.075        -7.696
   4      COMB15          9.264       46.735       5.25        -2.075        -7.104
   4      COMB15         -3.368        2.625      3.262       -26.267       -15.442
   4      COMB15         -2.969        2.634      3.269       -26.267       -16.059
   4      COMB15         -3.556        4.807      2.775       -25.216       -15.442
   4      COMB15         -1.973        4.803      2.951       -25.216       -16.059
   5     COMBHH           2.376       47.656      4.207        -2.682         -4.18
   5     COMBHH           8.658       48.194      6.781        -2.682        -3.599
   5     COMBHH           4.382       49.518      3.479        -2.592         -4.18
   5     COMBHH          12.047       49.628      6.315        -2.592        -3.599
   5     COMBHH          -4.017        5.05       1.398       -25.829        -8.898
   5     COMBHH          -2.248        4.885      2.658       -25.829        -8.471
   5      COMBCT         -1.523        6.43       0.785       -25.239        -8.898
   5      COMBCT         -0.675        6.212      2.174       -25.239        -8.471
   5      COMBCT          2.675       47.742      5.038        -1.962         -5.28
   5      COMBCT          8.71        48.179      7.626        -1.962        -4.514
   5      COMBCT          4.748       49.909      4.259        -1.687         -5.28
   5      COMBCT         12.183       49.901      7.108        -1.687        -4.514
   5     COMBNEO         -3.718        5.135      2.229       -25.109        -9.998
   5     COMBNEO         -2.197        4.871      3.502       -25.109        -9.387
   5     COMBNEO         -1.157        6.821      1.565       -24.335        -9.998
   5     COMBNEO         -0.539        6.485      2.968       -24.335        -9.387
   5     COMBNEO          2.98         47.35      4.705        -2.076        -4.431
   5     COMBNEO          9.071       47.722      7.185        -2.076        -3.797
   5       COMB1          4.881       49.284      3.865        -1.933        -4.431
   5       COMB1         12.366       49.217      6.607        -1.933        -3.797
   5       COMB1         -3.414        4.744      1.896       -25.223        -9.149
   5       COMB1         -1.836        4.414      3.062       -25.223         -8.67
   5       COMB1         -1.024        6.195      1.171       -24.581        -9.149
   5       COMB1         -0.357        5.801      2.466       -24.581         -8.67
   5       COMB2          4.645       51.667       7.62        -2.594         3.53
   5       COMB2         12.004       48.838      2.272        -2.594         3.242
   5       COMB2          2.444        51.29      5.073        -2.081         3.53
   5       COMB2          7.376       48.326      0.923        -2.081         3.242

    GVHD: Th.S. Dƣơng Thanh Quỳnh
    SVTH : Vũ Trọng Chung     -   MSSV : 273352           -   Lớp 52CB3        243
ĐỒ ÁN TỐT NGHIỆP        Thiết Kế Kỹ Thuật Bến Căn Cứ Đóng Mới Giàn Jacket Độ Sâu
                    .     Đến 95.7M Nước Hạ Thủy Bằng Phương Pháp Kéo Trượt

   5      COMB2          -1.414        6.443        2.561       -25.238      -6.789
   5      COMB2          -0.763        6.008        0.369       -25.238      -5.715
   5      COMB3          -7.035        7.101        1.148       -25.356      -6.789
   5      COMB3          -3.772        6.632       -2.683       -25.356      -5.715
   5      COMB3           5.057       52.056        8.465        -1.694       2.214
   5      COMB3          12.083       49.057        2.998        -1.694       2.374
   5      COMB3           2.775       52.002        5.829        -0.733       2.214
   5      COMB3           7.378       48.863         1.56        -0.733       2.374
   5      COMB4          -1.002        6.831        3.406       -24.338      -8.106
   5      COMB4          -0.684        6.227        1.095       -24.338      -6.583
   5      COMB4          -6.704        7.814        1.905       -24.008      -8.106
   5      COMB5          -3.769        7.169       -2.046       -24.008      -6.583
   5      COMB5           5.175       51.458        7.961        -1.938       3.126
   5      COMB5          12.314       48.509        2.608        -1.938       3.003
   5      COMB6           2.983       51.179        5.347         -1.26       3.126
   5      COMB6           7.701       48.088        1.192         -1.26       3.003
   5      COMB6          -0.884        6.234        2.902       -24.583      -7.193
   5      COMB6          -0.454        5.679        0.705       -24.583      -5.953
   5      COMB6          -6.496        6.99         1.423       -24.535      -7.193
   5      COMB6          -3.447        6.394       -2.414       -24.535      -5.953
   5      COMB7           2.216       56.122      12.482         -2.033      11.523
   5      COMB7           6.56         29.27       -0.753        -2.033       2.544
   5      COMB7          -3.303       55.166       -0.209         0.101      11.523
   5      COMB7           -1.35        27.05       -4.386         0.101       2.544
   5      COMB7          -8.431        7.41         2.912       -25.189      -4.986
   5      COMB7          -4.586        3.555      -10.559       -25.189      -1.877
   5      COMB8         -33.454        7.508      -13.101       -34.168      -4.986
   5      COMB8         -25.879        3.473      -34.716       -34.168      -1.877
   5      COMB8           2.65        56.897      13.345         -0.692       9.843
   5      COMB8           6.391       29.402       -0.221        -0.692       2.242
   5      COMB8          -3.214       56.239        0.212         2.82        9.843
   5      COMB8          -1.852       27.467       -4.297         2.82        2.242
   5      COMB9          -7.998        8.186        3.775       -23.848      -6.666
   5      COMB9          -4.754        3.687      -10.028       -23.848      -2.179
   5      COMB9         -33.365        8.581      -12.681        -31.45      -6.666
   5      COMB9         -26.382        3.89       -34.626        -31.45      -2.179
   5      COMB9           2.81         56.03      12.714         -1.216      10.911
   5      COMB9           6.838       29.052       -0.443        -1.216       2.458
   5      COMB10         -2.594       55.174       -0.026         1.444      10.911
   5      COMB10         -0.961       26.937       -4.127         1.444       2.458

    GVHD: Th.S. Dƣơng Thanh Quỳnh
    SVTH : Vũ Trọng Chung     -   MSSV : 273352             -   Lớp 52CB3      244
ĐỒ ÁN TỐT NGHIỆP        Thiết Kế Kỹ Thuật Bến Căn Cứ Đóng Mới Giàn Jacket Độ Sâu
                    .     Đến 95.7M Nước Hạ Thủy Bằng Phương Pháp Kéo Trượt

   5      COMB10         -7.838        7.318        3.145       -24.373      -5.597
   5      COMB10         -4.307        3.337       -10.25       -24.373      -1.962
   5      COMB10        -32.745        7.516      -12.919       -32.826      -5.597
   5      COMB10         -25.49        3.36       -34.456       -32.826      -1.962
   5      COMB11          9.519       43.399        6.251        -4.628      -6.968
   5      COMB11         16.393       41.697        7.091        -4.628       -5.52
   5      COMB11          11.76       47.468        3.898        -3.244      -6.968
   5      COMB11         18.952       45.313        4.739        -3.244       -5.52
   5      COMB11         -2.323        3.265        3.137       -24.584     -15.932
   5      COMB11         -1.236         2.7         3.277       -24.584     -14.158
   5      COMB12         -2.171        5.121        2.254        -23.26     -15.932
   5      COMB12         -0.944        4.516        2.367        -23.26     -14.158
   5      COMB12          10.05        43.27          7           -3.93       -7.86
   5      COMB12         16.694       41.522        7.851         -3.93      -6.328
   5      COMB12          12.34       47.601        4.635        -2.463       -7.86
   5      COMB12         19.327       45.375        5.485        -2.463      -6.328
   5      COMB13         -1.792        3.136        3.887       -23.886     -16.823
   5      COMB13         -0.935        2.524        4.036       -23.886     -14.966
   5      COMB13         -1.591        5.254        2.991       -22.478     -16.823
   5      COMB13         -0.569        4.578        3.114       -22.478     -14.966
   5      COMB13         10.489       42.984        6.691        -3.963      -7.115
   5      COMB13         17.156       41.177        7.418        -3.963       -5.65
   5      COMB14         12.593       47.102        4.276        -2.563      -7.115
   5      COMB14         19.596       44.825        5.004        -2.563       -5.65
   5      COMB14         -1.354        2.851        3.578        -23.92     -16.079
   5      COMB14         -0.472        2.179        3.604        -23.92     -14.288
   5      COMB14         -1.337        4.754        2.633       -22.578     -16.079
   5      COMB14           -0.3        4.028        2.633       -22.578     -14.288
   5      COMB15         12.118       47.569        6.736        -3.264      -3.535
   5      COMB15         18.838       47.814        2.779        -3.264      -2.137
   5      COMB15          6.505       49.015        6.321        -2.763      -3.535
   5      COMB15         13.151        49.41        1.869        -2.763      -2.137
   5      COMB15         -1.898        4.89         2.663       -23.307      -8.454
   5      COMB15         -0.996        4.719       -0.111       -23.307      -7.851




    GVHD: Th.S. Dƣơng Thanh Quỳnh
    SVTH : Vũ Trọng Chung     -   MSSV : 273352             -   Lớp 52CB3      245
ĐỒ ÁN TỐT NGHIỆP          Thiết Kế Kỹ Thuật Bến Căn Cứ Đóng Mới Giàn Jacket Độ Sâu
                      .     Đến 95.7M Nước Hạ Thủy Bằng Phương Pháp Kéo Trượt

           DANH MỤC BẢN VẼ :

           1. Quy hoạch căn cứ bến
           2. Quy trình hạ thủy khối chân đế
           3. Mặt bằng căn cứ bến
           4. Mặt đứng bến
           5. Mặt cắt bến và đƣờng trƣợt
           6. Măt bằng cọc
           7. Cấu tạo cọc 400x400
           8. Bố trí thép cọc D1000 và đƣờng trƣợt biên
           9. Bố trí thép bản phân đoạn 1 và phân đoạn 2
           10. Bố trí thép bản phân đoạn 1 và phân đoạn 2
           11. Bố trí thép dầm phân đoạn 1
           12. Bố trí thép dầm phân đoạn 2
           13. Bố trí cốt thép trụ va, vòi voi và tƣờng góc
           14. Chi tiết bích neo và đệm va tàu
           15. Thi công bƣớc 1 và bƣớc 2
           16. Thi công từ bƣớc 3 tới bƣớc 5
           17. Thi công từ bƣớc 6 tới bƣớc 9
           18. Quy trình thi công




    GVHD: Th.S. Dƣơng Thanh Quỳnh
    SVTH : Vũ Trọng Chung     -   MSSV : 273352            -    Lớp 52CB3        246
ĐỒ ÁN TỐT NGHIỆP        Thiết Kế Kỹ Thuật Bến Căn Cứ Đóng Mới Giàn Jacket Độ Sâu
                    .     Đến 95.7M Nước Hạ Thủy Bằng Phương Pháp Kéo Trượt




    GVHD: Th.S. Dƣơng Thanh Quỳnh
    SVTH : Vũ Trọng Chung     -   MSSV : 273352          -    Lớp 52CB3        247

Thuyết minh

  • 1.
    ĐỒ ÁN TỐTNGHIỆP Thiết Kế Kỹ Thuật Bến Căn Cứ Đóng Mới Giàn Jacket Độ Sâu . Đến 95.7M Nước Hạ Thủy Bằng Phương Pháp Kéo Trượt LỜI CẢM ƠN Với đƣờng bờ biển trải dài khắp đất nƣớc,Việt Nam có tiềm năng vô cùng to lớn cho việc phát triển ngành kinh tế biển,tiêu biểu là lĩnh vực dầu khí.Trong những năm gần đây,nhà nƣớc ta đã chú trọng xây dựng nhiều công trình phụ trợ cho việc phát triển ngành kinh tế này,hệ thống các cảng biển phục vụ cho công nghiệp dầu khí là một trong số đó Đề tài tốt nghiệp của em là : "Thiết kế Kỹ Thuật Bến Căn Cứ Đóng Mới Giàn Jacket Độ Sâu Đến 95.7M Nƣớc Hạ Thủy Bằng Phƣơng Pháp Kéo Trƣợt ”. Công trình khi đƣa vào khai thác sử dụng không chỉ bảo đảm an toàn giao thông biển mà còn là công trình phục vụ khai thác kinh tế trên vùng biển . Đóng góp vào sự phát triển kinh tế của Đất nƣớc. Thời gian qua, với lỗ lực của bản thân và sự chỉ bảo tận tình của giáo viên hƣớng dẫn, em đã hoàn thành đồ án tốt nghiệp của mình . Tuy nhiên, do những hạn chế về kiến thức của bản thân, thời gian làm đồ án...nên đồ án của em không tránh khỏi những thiếu xót nhất định. Vì vậy, em rất mong đƣợc sự đóng góp ý kiến quý báu của thầy cô để em có thêm những kiến thức cũng nhƣ kinh nghiệm bổ ích phục vụ cho công việc sau này của bản thân. Qua đây, em xin gửi lời cảm ơn chân thành tới gia đình, thày cô và bạn bè; những ngƣời đã giúp em trƣởng thành hơn trong học tập và cuộc sống suốt những năm học vừa qua. Đặc biệt em gửi lời cảm ơn sâu sắc và luôn ghi nhớ sự chỉ bảo tận tình, hƣớng dẫn kịp thời của giáo viên hƣớng dẫn, thầy Th.S: Dƣơng Thanh Quỳnh đã giúp em hoàn thành đồ án này. Hà Nội, Ngày 12 tháng 06 năm 2012 SV thực hiện Vũ Trọng Chung GVHD: Th.S. Dƣơng Thanh Quỳnh SVTH : Vũ Trọng Chung - MSSV : 273352 - Lớp 52CB3 1
  • 2.
    ĐỒ ÁN TỐTNGHIỆP Thiết Kế Kỹ Thuật Bến Căn Cứ Đóng Mới Giàn Jacket Độ Sâu . Đến 95.7M Nước Hạ Thủy Bằng Phương Pháp Kéo Trượt MỤC LỤC CHƢƠNG 1 5 MỞ ĐẦU 5 1.TÌNH HÌNH PHÁT TRIỂN CỦA NGÀNH DẦU KHÍ VIỆT NAM……………………..5 2. ĐỊNH HƢỚNG PHÁT TRIỂN CHẾN LƢỚC 2015-2025……………………………….5 3.MỤC TIÊU XÂY DỰNG CÔNG TRÌNH………………………………………………..6 4. ĐIỀU KIỆN TỰ NHIÊN KHU VỰC XÂY DỰNG CÔNG TRÌNH……………………..7 4.1. Điều kiện địa hình................................................................................................ 7 4.3. Điều kiện địa chất công trình............................................................................... 7 4.4 Khí tƣợng, thủy văn, hải văn .............................................................................. 20 4.4.1 Gió ................................................................................................................... 20 4.4.2 Mực nƣớc và thủy triều ................................................................................... 21 4.4.3 Dòng chảy ........................................................................................................ 22 4.4.4 Sóng…………………………………………………………………………...23 CHƢƠNG 2 24 QUY HOẠCH MẶT BẰNG CĂN CỨ BẾN ........................................................... 24 1. CƠ SỞ THIẾT KẾ TỔNG MẶT BẰNG………………………………………………..24 2. PHƢƠNG ÁN THIẾT KẾ TỔNG MẶT BẰNG………………………………………..24 3.THIẾT KẾ CƠ SỞ HẠ TẦNG KỸ THUẬT BẾN……………………………………….26 3.1 Khu nƣớc trƣớc bến ......................................................................................... 26 3.2 Mặt bằng nạo vét ............................................................................................. 27 3.3 Hệ thống cấp nƣớc ........................................................................................... 27 3.4 Hệ thống thoát nƣớc và xử lý nƣớc thải .......................................................... 28 3.5 Hệ thống hào công nghệ .................................................................................. 28 3.6 Hệ thống cấp điện và chiếu sáng ..................................................................... 28 3.7 Hệ thống trạm cấp khí nén, oxy, khí CO2, khí gas (LPG) .............................. 29 3.8 Đƣờng giao thông ............................................................................................ 29 3.9 Bãi các loại ...................................................................................................... 29 3.10 Phân xƣởng các loại......................................................................................... 30 3.11 Khu điều hành sản xuất ................................................................................... 32 3.12 Nhà khách ........................................................................................................ 32 3.13 Căng tin............................................................................................................ 32 3.14 Khu trung tâm đào tạo ..................................................................................... 32 3.15 Tƣờng rào, cổng, nhà bảo vệ, nhà WC và khu vực hút thuốc lá ...................... 32 4 PHƢƠNG ÁN HẠ THỦY…………………………………………………………...34 GVHD: Th.S. Dƣơng Thanh Quỳnh SVTH : Vũ Trọng Chung - MSSV : 273352 - Lớp 52CB3 2
  • 3.
    ĐỒ ÁN TỐTNGHIỆP Thiết Kế Kỹ Thuật Bến Căn Cứ Đóng Mới Giàn Jacket Độ Sâu . Đến 95.7M Nước Hạ Thủy Bằng Phương Pháp Kéo Trượt 4.1 Thiết bị hạ thủy ................................................................................................. 34 4.2 Quy trình hạ thủy .............................................................................................. 51 CHƢƠNG 3 54 THIẾT KẾ KỸ THUẬT BẾN .................................................................................. 54 1. PHẦN MỀM THIẾT KẾ………………………………………………………………..54 2. TÍNH TOÁN CÁC THÔNG SỐ CƠ BẢN CỦA BẾN………………………………….54 2.1 Số liệu tính toán .......................................................................................... 54 2.2 Tính toán các thông số cơ bản của bến....................................................... 56 2.3 Xây dựng phƣơng án kết cấu bến................................................................ 59 2.3.1 Phƣơng án 1: Bệ cọc cao đài mềm trên nền cọc khoan nhồi ...................... 59 2.3.2 Phƣơng án 2: Bệ cọc cao đài mềm trên nền cọc bê tông cốt thép thƣờng . 61 2.3.3 So sánh lựa chọn phƣơng án....................................................................... 64 3. TÍNH TOÁN TẢI TRỌNG TÁC DỤNG LÊN BẾN …………………………...............68 4.TÍNH TOÁN KẾT CẤU…………………………………………………………………82 4.1 Chiều dài tính toán của cọc ...................................................................... 82 4.2 Tổ hợp tải trọng ........................................................................................ 86 5. TÍNH TOÁN CÁC CẤU KIỆN…………………………………………………………88 5.1 Phân đoạn không đƣờng trƣợt .................................................................. 88 5.1.1 Kết quả nội lực ......................................................................................... 88 5.1.2 Tính toán bê tông côt thép cấu kiện.......................................................... 88 5.1.2.1 Tài liệu tính toán và tiêu chuẩn thiết kế ................................................... 88 5.1.2.2 Nguyên tắc tính toán ................................................................................. 89 5.1.2.2.1 Tính toán cấu kiện BTCT theo TTGH I: Độ bền ..................................... 89 5.1.2.2.2 Tính toán cấu kiện BTCT theo TTGH II: Độ mở rộng vết nứt ................ 93 5.1.3 Tính toán và kiểm tra ổn định ................................................................... 94 5.1.3.1 Xác định lực cắt cọc ................................................................................. 95 5.1.3.2 Xác định vị trí tâm trƣợt nguy hiểm ......................................................... 96 5.1.3.3 Kiểm tra ổn định trƣợt sâu ........................................................................ 96 5.1.3.4 Kết quả kiểm tra ổn định .......................................................................... 97 5.1.4 Kiểm tra sức chịu tải của cọc ................................................................... 97 5.1.4.1 Xác định sức chịu tải cho phép của cọc ................................................... 97 5.1.4.2 Xác định lực nén trong cọc ...................................................................... 98 5.2 Thiết kế phân đoạn có đƣờng trƣợt ........................................................... 98 5.2.1 Kết quả nội lực ......................................................................................... 98 5.2.2 Tính toán cấu kiện bê tông cốt thép.......................................................... 98 5.2.3 Tính toán và kiểm tra ổn định................................................................... 98 5.2.4 Kiểm tra sức chịu tải của cọc................................................................... 99 5.3 Thiết kế phân đoạn tƣờng góc sau bến ..................................................... 99 5.3.1 Tính toán nội lực....................................................................................... 99 GVHD: Th.S. Dƣơng Thanh Quỳnh SVTH : Vũ Trọng Chung - MSSV : 273352 - Lớp 52CB3 3
  • 4.
    ĐỒ ÁN TỐTNGHIỆP Thiết Kế Kỹ Thuật Bến Căn Cứ Đóng Mới Giàn Jacket Độ Sâu . Đến 95.7M Nước Hạ Thủy Bằng Phương Pháp Kéo Trượt 5.4 Thiết Kế Phân Đoạn Đƣờng Trƣợt ........................................................ 101 CHƢƠNG 4 104 THI CÔNG CÔNG TRÌNH BẾN........................................................................... 104 4.1 MỤC ĐỊCH CỦA VIỆC THIẾT KẾ THI CÔNG…………………………………….104 4.2 ĐẶC ĐIỂM CÔNG TRÌNH THI CÔNG……………………………………………..104 4.3 TÍNH TOÁN KHỐI LƢỢNG………………………………………………………...104 4.3.1 Khối lƣợng đất nạo vét ........................................................................... 105 4.3.2 Tổng khối lƣợng nạo vét là : 9.146.163 (m3) ......................................... 105 4.3.3 Khối lƣợng vật liệu thi công sàn đạo ...................................................... 105 4.3.4 Khối lƣợng vật liệu thi công bến ............................................................ 106 4.4 TRÌNH TỰ THI CÔNG………………………………………………………………108 4.4.1 Chuẩn bị công trƣờng ............................................................................. 108 4.4.2 Công tác làm kho bãi, lán trại ................................................................. 110 4.4.3 Hoàn thiện công trình ............................................................................. 110 4.4.4 Thi công nạo vét ..................................................................................... 110 4.4.5 Công tác cốt pha ..................................................................................... 111 4.4.6 Công tác đổ bêtông tại chỗ ..................................................................... 119 4.4.7 Thiết kế thi công tổng mặt bằng công trƣờng ........................................ 121 4.4.8 Công tác hoàn thiện công trình ............................................................... 121 4.4.9 An toàn lao động .................................................................................... 121 4.4.10 Các loại cần trục tự hành ....................................................................... 124 4.4.11 Đánh giá tác động của môi trƣờng ......................................................... 124 TÀI LIỆU THAM KHẢO ...................................................................................... 128 PHỤ LỤC 129 PHỤ LỤC 1 : PHÂN ĐOẠN KHÔNG ĐƢỜNG TRUỢT……………………………….130 PHỤ LỤC 2 : PHÂN ĐOẠN CÓ ĐƢỜNG TRƢỢT……………………………………..154 PHỤ LỤC 3 : PHÂN ĐOẠN TƢỜNG GÓC SAU BẾN ………………………………..175 PHỤ LỤC 4 : PHÂN ĐOẠN ĐƢỜNG TRƢỢT…………………………………………193 PHỤ LỤC 5 : NỘI LỰC TRONG SAP………….…………………………………........204 DANH MỤC BẢN VẼ…………………………………...................................................246 GVHD: Th.S. Dƣơng Thanh Quỳnh SVTH : Vũ Trọng Chung - MSSV : 273352 - Lớp 52CB3 4
  • 5.
    ĐỒ ÁN TỐTNGHIỆP Thiết Kế Kỹ Thuật Bến Căn Cứ Đóng Mới Giàn Jacket Độ Sâu . Đến 95.7M Nước Hạ Thủy Bằng Phương Pháp Kéo Trượt CHƢƠNG 1 MỞ ĐẦU 1.TÌNH HÌNH PHÁT TRIỂN CỦA NGÀNH DẦU KHÍ VIỆT NAM Ở Việt Nam hiện có khoảng 50 – 60 giếng khoan đƣợc thi công trong chƣơng trình khoan thăm dò, khai thác của các công ty dầu khí nhƣ Petronas, JVPC, Cửu Long JOC, Hoàng Long JOC, Vietsopetro, Premier Oil … Tình hình thăm dò khai thác dầu khí ngày càng đƣợc đẩy mạnh, sản lƣợng hiện nay khoảng 22 triệu tấn dầu mỗi năm và dự báo sẽ gia tăng sản lƣợng hàng năm đến khoảng 35 triệu tấn dầu trong thời gian tới, khi các nhà thầu dầu khí triển khai phát triển các mỏ Rạng Đông, Bạch Hổ, Đại Hùng… Dự kiến trong thời gian tới có trung bình khoảng 40 – 60 giếng khoan đƣợc thi công hàng năm và do đó thị trƣờng Việt Nam cần có khoảng 7 – 10 giàn khoan biển phục vụ hàng năm. Tại Việt Nam, với số lƣợng ngày càng đông các nhà thầu dầu khí tham gia thăm dò các mỏ mới ngoài khơi, nhu cầu sử dụng giàn khoan cũng đang tăng. Trong công tác khoan thăm dò, khai thác dầu khí tại Việt Nam hiện nay mới chỉ có 03 giàn khoan biển thuộc sở hữu của các công ty trong nƣớc. Đó là hai giàn khoan Tam Đảo, Cửu Long của VietsovPetro và giàn PV Drilling 1 của PV Drilling (không kể 1 giàn khoan đất liền là giàn PV Drilling 11 của PV Drilling). Các giàn khoan trên đều là các giàn đƣợc mua theo hình thức đóng mới hoặc hoán cải từ các nhà thầu nƣớc ngoài. Còn lại toàn bộ các nhà thầu dầu khí đang hoạt động thăm dò và khai thác tại Việt Nam đều phải đi thuê giàn khoan của nƣớc ngoài. Bên cạnh công tác đóng mới giàn khoan, các công việc bảo dƣỡng sửa chữa và cải tạo giàn khoan phục vụ cho việc thăm dò và khai thác dầu khí tại biển Việt Nam và khu vực cũng đang bị bỏ ngỏ do trong nƣớc chƣa có đơn vị nào đủ điều kiện vật chất, nhân lực thực hiện. Các công việc sửa chữa, hoán cải này hiện nay đều đƣợc thực hiện bởi các nhà thầu nƣớc ngoài. GVHD: Th.S. Dƣơng Thanh Quỳnh SVTH : Vũ Trọng Chung - MSSV : 273352 - Lớp 52CB3 5
  • 6.
    ĐỒ ÁN TỐTNGHIỆP Thiết Kế Kỹ Thuật Bến Căn Cứ Đóng Mới Giàn Jacket Độ Sâu . Đến 95.7M Nước Hạ Thủy Bằng Phương Pháp Kéo Trượt 2. ĐỊNH HƢỚNG PHÁT TRIỂN CHIẾN LƢỢC CHO GIAI ĐOẠN 2015 -2025 Lĩnh vực cơ khí lắp đặt, chế tạo thiết bị dầu khí, phát triểncăn cứ dịch vụ. Tập trung đầu tƣ cơ sở vật chất để đẩy mạnh phát triển cơ khí lắp đặt, chế tạo thiết bị dầu khí, trở thành ngành nghề kinh doanh chiếm tỷ trọng lớn trong doanh thu hàng năm của PVC. Mục tiêu cụ thể đối với lĩnh vực cơ khí chế tạo dầu khí nhƣ sau: - Xây dựng cảng biển gắn liền với căn cứ dịch vụ và chế tạo thiết bị dầu khí tại Khu công nghiệp dịch vụ Dầu khí Tiền Giang. - Từng bƣớc làm chủ công nghệ chế tạo giàn khoan, giàn khai thác, đặc biệt là chế tạo chân đế giàn khoan - Xây dựng cơ sở vật chất và con ngƣời để phát triển công nghiệp đóng tàu và sửa chữa tàu phục vụ cho các hoạt động dầu khí. Đến 2015 đóng đƣợc các tàu dầu khí loại lớn (tàu chở sản phẩm dầu trên 30.000DWT, tàu chở dầu thô trên 100.000DWT). - Đủ năng lực để chế tạo các thiết bị chịu áp lực theo tiêu chuẩn ASEM. - Có sản phẩm cuốn ống, bọc ống, các thiết bị cắt nối…để cung cấp cho các công trình dầu khí tại Việt Nam. 3.MỤC TIÊU XÂY DỰNG CÔNG TRÌNH Dự án đầu tƣ xây dựng Căn cứ đóng mới và sửa chữa giàn khoan Dầu khí là dự án xây dựng cơ sở hạ tầng đầu tiên của PV Shipyard nhằm các mục tiêu dƣới đây: - Xây dựng một khu căn cứ đóng mới và sửa chữa giàn khoan dầu khí, với hệ thống cơ sở hạ tầng, thiết bị kỹ thuật đồng bộ và hiện đại, đảm bảo đáp ứng các yêu cầu đóng mới, sửa chữa, lắp dựng giàn khoan, cung cấp thiết bị, dịch vụ kỹ thuật dầu khí trong nƣớc tiến đến mở rộng dịch vụ sang sửa chữa, đóng mới tầu biển, mở rộng thị trƣờng ra nƣớc ngoài. GVHD: Th.S. Dƣơng Thanh Quỳnh SVTH : Vũ Trọng Chung - MSSV : 273352 - Lớp 52CB3 6
  • 7.
    ĐỒ ÁN TỐTNGHIỆP Thiết Kế Kỹ Thuật Bến Căn Cứ Đóng Mới Giàn Jacket Độ Sâu . Đến 95.7M Nước Hạ Thủy Bằng Phương Pháp Kéo Trượt 4. ĐIỀU KIỆN TỰ NHIÊN KHU VỰC XÂY DỰNG CÔNG TRÌNH 4.1. Điều kiện địa hình Theo kế t quả khảo sát gầ n đây cho thấ y điạ hình khu vƣ̣c xây dƣ̣ng đã có nhiề u thay đổ i do công tác xây dƣ̣ng các công trinh lân câ ̣n của dƣ̣ án mở rô ̣ng giai đ oạn III cảng – ̀ căn cƣ́ dich vu ̣ kỹ thuâ ̣t dầ u khí Vũng Tàu . Phầ n trên bai – khu vƣ̣c xây dƣ̣ng đƣờng trƣơ ̣t ̣ ̃ 20000 tấ n, mô ̣t phầ n mă ̣t bai hiê ̣n ta ̣i có cố t khoảng +5.5 m (Hê ̣ cao đô ̣ hải đồ khu vƣ̣c ̃ Vũng Tàu), phầ n còn la ̣i là bai nghiêng ha ̣ thủy sà lan. ̃ Theo luồ ng sông Dinh , đô ̣ sâu trên luồ ng chỉ đa ̣t -7.2 m, đáp ƣ́ng cho tầ u 10000 tấ n DWT ra vào . Với tầ u 15000 tấ n DWT có thể ra vào với tầ n suấ t thấ p hơn hoă ̣c phải giảm tải. 4.2. Đặc điểm địa chất thủy văn Nƣớc ở tại vị trí khảo sát chủ yếu là nƣớc mặt. Nƣớc mặt là nƣớc mặn của biển, chịu ảnh hƣởng của thuỷ triều (chế độ nhật triều). Từ tài liệu khảo sát địa chất, nƣớc ngầm đƣợc cung cấp chủ yếu từ nƣớc mặt và nƣớc nằm trong các lớp cát hạt. Theo yêu cầu của đề cƣơng, quan sát mực nƣớc ngầm tại hai lỗ khoan HK36 và HK22. Hai lỗ khoan này nằm dƣới nƣớc và thuộc khu vực bán ngập, với chiều sâu 30m/lỗ địa chất là các lớp đất sét không chứa nƣớc. Sau khi nƣớc triều rút quan sát mực nƣớc ngầm hai lỗ khoan trên không thấy có sự biến đổi, mặt mƣớc bằng mặt đất tự nhiên 4.3. Điều kiện địa chất công trình 1/ Lớp 1a: Đất lấp - đất, đá, gạch vỡ......; Lớp 1 chỉ gặp trong lỗ khoan HK43, nằm ngay trên bề mặt. Cao độ mặt lớp biến đổi +4.08m, cao độ đáy lớp +3.08m. Chiều dày lớp xác định đƣợc là 1.0m. Do lớp 1 nằm ngay trên bề mặt, thành phần không đồng nhất, chiều dày nhỏ nên không lấy mẫu thí nghiệm. 2/ Lớp 1b: Cát bồi tích - màu xám vàng, kết cấu kém chặt; Lớp 1b gặp trong một số lỗ khoan dƣới nƣớc và phân bố cục bộ, gặp trong các lỗ khoan (HK3, HK4, HK11, HK32), nằm ngay trên bề mặt. Cao độ mặt lớp biến đổi từ +2.13m (HK3) đến +3.65m (HK32), đáy lớp từ +1.78m (HK11) đến +3.05m (HK32). Chiều dày lớp nhỏ và biến đổi từ 0.3m (HK3) đến 0.6m (HK32). GVHD: Th.S. Dƣơng Thanh Quỳnh SVTH : Vũ Trọng Chung - MSSV : 273352 - Lớp 52CB3 7
  • 8.
    ĐỒ ÁN TỐTNGHIỆP Thiết Kế Kỹ Thuật Bến Căn Cứ Đóng Mới Giàn Jacket Độ Sâu . Đến 95.7M Nước Hạ Thủy Bằng Phương Pháp Kéo Trượt Do lớp 1b có chiều dày nhỏ nên không lẫy mẫu thí nghiệm. 3/ Lớp 2: Cát hạt mịn trạng thái chặt vừa Lớp 2 có diện phân bố rộng, gặp trong tất cả các lỗ khoan, nằm dƣới lớp 1a, 1b và ngay trên bề mặt. Cao độ mặt lớp biến đổi từ +1.57m (HK13) đến +3.95m (HK37), đáy lớp từ -9.65m (HK55) đến -3.15m (HK41). Chiều dày lớp: nhỏ nhất 2.9m (HK24), lớn nhất 13.0m (HK55). Lớp 2 có sức chịu tải quy ƣớc R0 < 1.0 kG/cm2. 4/ Lớp 3: Cát hạt trung - thô, màu xám xanh, kết cấu kém chặt - chặt vừa; Lớp 3 gặp trong các lỗ khoan (HK6, HK44, HK47, HK50, HK51, HK53, HK59, HK61), nằm dƣới lớp 2. Cao độ mặt lớp biến đổi từ -9.05m (HK61) đến +2.21m (HK50), cao độ đáy lớp từ -11.75m (HK61) đến -7.53m (HK6). Chiều dày lớp: nhỏ nhất 2.2m (HK59), lớn nhất 10.7m (HK50). Lớp 3 có sức chịu tải quy ƣớc R0 = 1.5 kG/cm2. 5/ Lớp 4: Cát pha, màu xám xanh, trạng thái dẻo; Lớp 4 gặp trong các lỗ khoan (HK:7, 8, 22, 41 43, 54  61), nằm dƣới lớp 2 và 3. Cao độ mặt lớp biến đổi từ -11.75m (HK61) đến -3.15m (HK41), cao độ đáy lớp từ - 18.55m (HK58) đến -6.80m (HK42). Chiều dày lớp: nhỏ nhất 1.6m (HK61), lớn nhất 7.6m (HK59). Thí nghiệm xuyên tiêu chuẩn (SPT) có giá trị: nhỏ nhất N = 8, lớn nhất N = 11. Lớp 4 có sức chịu tải quy ƣớc R0 = 1.0 kG/cm2. 6/ Lớp 5a: Sét pha, màu xám xanh, trạng thái dẻo mềm; Lớp 5a có diện phân bố rất rộng, gặp hầu hết các lỗ khoan, nằm dƣới lớp 2, 3 và 4. Cao độ mặt lớp biến đổi từ -15.88m (HK60) đến -3.55m (HK46), đáy lớp từ -26.54m (HK17) đến -11.41m (HK9). Chiều dày lớp: nhỏ nhất 2.0m (HK7) lớn nhất 16.1m (HK49). Thí nghiệm xuyên tiêu chuẩn (SPT) có giá trị: nhỏ nhất N = 6, lớn nhất N = 12. Lớp 5a có sức chịu tải quy ƣớc R0 = 1.2 kG/cm2. 7/ Lớp 5b: Sét pha, màu xám xanh, xám nâu, trạng thái dẻo cứng; Lớp 5b gặp trong các lỗ khoan (HK: 9,13,16,21,25,35,36,39,40,55,56,61), nằm dƣới lớp 3 và 4. Cao độ mặt lớp biến đổi từ -16.15m (HK55) đến -4.89m (HK39), đáy lớp từ - 19.65m (HK21) đến -13.30m (HK40). Chiều dày lớp: nhỏ nhất 2.0m (HK55), lớn nhất 10.4 m (HK55). Thí nghiệm xuyên tiêu chuẩn (SPT) có giá trị: nhỏ nhất N = 9, lớn nhất N = 17. GVHD: Th.S. Dƣơng Thanh Quỳnh SVTH : Vũ Trọng Chung - MSSV : 273352 - Lớp 52CB3 8
  • 9.
    ĐỒ ÁN TỐTNGHIỆP Thiết Kế Kỹ Thuật Bến Căn Cứ Đóng Mới Giàn Jacket Độ Sâu . Đến 95.7M Nước Hạ Thủy Bằng Phương Pháp Kéo Trượt Lớp 5b có sức chịu tải quy ƣớc R0 = 1.5 kG/cm2. 8 Lớp 6: Sét, màu xám nâu, xám đen, trạng thái dẻo cứng; Lớp 6 có diện phân bố rất rộng, gặp ở tất cả các lỗ khoan, nằm dƣới lớp 2,3, 4. Cao độ mặt lớp biến đổi từ -26.54m (HK17) đến -13.30m (HK40). Lớp 6 có sức chịu tải quy ƣớc R0 = 1.8 kG/cm2. 9/ Lớp 7: Đá kết phong hóa vỡ dăm tảng màu vàng, xám trắng Trọng lƣợng riêng :   1,72 g / cm 3 Ma sát trong :   40 0 Tại các lỗ khoan (HK56,58,60), khoan sâu vào lớp từ 1.0m (HK56) đến 3.0m (HK58) nhƣng chƣa xác định đƣợc đáy lớp. Tại các lỗ khoan còn lại, cao độ đáy lớp biến đổi từ -42.82m (HK27) đến -32.88m (HK38). Chiều dày lớp: nhỏ nhất 2.2m (HK29), lớn nhất 8.1m (HK30). 10/Lớp 8: Sét, màu xám xanh, trạng thái dẻo cứng - nửa cứng; Lớp 8 gặp trong các lỗ khoan (HK: 18, 1012, 1618, 25, 26, 29, 30, 39, 48, 52), nằm dƣới lớp 6 và 7. Cao độ mặt lớp biến đổi từ -46.59m (HK5) đến -33.34m (HK48), đáy lớp từ -49.05m (HK10) đến -35.34m (HK48). Chiều dày lớp: nhỏ nhất 1.5m (HK5), lớn nhất 13.3m (HK39). Thí nghiệm xuyên tiêu chuẩn (SPT) có giá trị: nhỏ nhất N = 13, lớn nhất N = 29. Lớp 8 có sức chịu tải quy ƣớc R0 = 2.1 kG/cm2. 11/ Lớp 9a: Sét pha, màu xám xanh, trạng thái dẻo mềm; Lớp 9a gặp trong 02 lỗ khoan (HK7, HK18), nằm dƣới lớp 8. Cao độ mặt lớp biến đổi từ -40.55m (HK18) đến -43.65m (HK7), đáy lớp -47.45m (HK7) đến -45.55m (HK18). Chiều dày lớp xác định đƣợc là 4.1m (HK7), 5.0m (HK18). Thí nghiệm xuyên tiêu chuẩn (SPT) có giá trị: nhỏ nhất N = 8, lớn nhất N = 13. Lớp 9a có sức chịu tải quy ƣớc R0 = 1.1 kG/cm2. 12/ Lớp 9b: Sét pha, màu xám xanh, xám nâu, trạng thái dẻo cứng; Lớp 9b gặp trong các lỗ khoan (HK:3,4,817,1921,24,34,35,38,39,45,48), nằm dƣới lớp 7 và 8. Cao độ mặt lớp biến đổi từ -31.46m (HK34) đến -45.82m (HK24), đáy lớp -36.84m (HK48) đến -50.99m (HK39). Chiều dày lớp: nhỏ nhất 1.5m (HK48), lớn nhất 11.0m (HK9). GVHD: Th.S. Dƣơng Thanh Quỳnh SVTH : Vũ Trọng Chung - MSSV : 273352 - Lớp 52CB3 9
  • 10.
    ĐỒ ÁN TỐTNGHIỆP Thiết Kế Kỹ Thuật Bến Căn Cứ Đóng Mới Giàn Jacket Độ Sâu . Đến 95.7M Nước Hạ Thủy Bằng Phương Pháp Kéo Trượt Thí nghiệm xuyên tiêu chuẩn (SPT) có giá trị: nhỏ nhất N = 15, lớn nhất N = 39. Lớp 9b có sức chịu tải quy ƣớc R0 = 1.6 kG/cm2. 13/ Lớp 10: Cát pha, màu xám xanh, xám nâu, trạng thái dẻo; Lớp 10 gặp trong các lỗ khoan (HK38, HK45, HK48), nằm dƣới lớp 6, 7 và 8. Cao độ mặt lớp biến đổi từ -36.92m (HK45) đến -36.84m (HK48), đáy lớp -40.92m (HK45) đến -40.24m (HK48). Chiều dày lớp: nhỏ nhất 3.4m (HK48), lớn nhất 6.5m (HK38). Thí nghiệm xuyên tiêu chuẩn (SPT) có giá trị: nhỏ nhất N = 20, lớn nhất N = 24. Lớp 10 có sức chịu tải quy ƣớc R0 = 1.4 kG/cm2. 14/ Lớp Đ: Kết vón dạng đá thành phần gồm cát, sạn sỏi, sét, màu xám đen, cứng chắc; Lớp đất gặp trong các lỗ khoan (HK:29,34,45,48,49,51,52), nằm dƣới lớp 9 và 10. Cao độ mặt lớp biến đổi từ -40.42m (HK45) đến -38.20m (HK51), đáy lớp -42.92m (HK45) đến -40.09m (HK29). Chiều dày lớp: nhỏ nhất 0.5m (HK29), lớn nhất 2.5m (HK45). Cƣờng độ kháng nén của lớp đất xem cụ thể từng kết quả mẫu thí nghiệm. 15/ Lớp 11: Cát hạt trung - mịn, màu xám xanh, kết cấu chặt; Lớp 11 gặp trong 02 lỗ khoan (HK51, HK52), nằm ngay dƣới lớp Đ. Cao độ mặt lớp biến đổi từ -41.05m (HK52) đến -40.40m (HK51), đáy lớp -46.35m (HK52) đến -46.20m (HK51). Chiều dày lớp xác định đƣợc 5.8m (HK51), lớn nhất 11.3m (HK52). Thí nghiệm xuyên tiêu chuẩn (SPT) có giá trị: nhỏ nhất N = 20, lớn nhất N = 24. Lớp 11 có sức chịu tải quy ƣớc R0 = 2.5 kG/cm2. 16/ Lớp 12: Cát pha, màu xám xanh, trạng thái cứng - rất cứng; Lớp 12 gặp trong các lỗ khoan (HK: 1, 817, 1921,23, 2527, 2931, 34,35, 38,39,45,46,48,49,51,52), nằm ngay dƣới lớp 8, 9b, đất và 11. Cao độ mặt lớp biến đổi từ -50.99m (HK39) đến -40.09m (HK29), khoan sâu vào từ 2.5m (HK9) đến 13.0m (HK29) nhƣng chƣa xác định đƣợc đáy lớp. Thí nghiệm xuyên tiêu chuẩn (SPT) có giá trị: nhỏ nhất N = 37, lớn nhất N = 68. Lớp 12 có sức chịu tải quy ƣớc R0 = 3.0 kG/cm2. 17/ Lớp 13: Cát hạt trung - thô, màu xám xanh, kết cấu chặt - rất chặt; Lớp 13 gặp trong các lỗ khoan (HK2HK7, HK18, HK24), nằm ngay dƣới lớp đất. Cao độ mặt lớp biến đổi từ -49.22m (HK4) đến -45.55m (HK51), khoan sâu vào lớp từ 3.5m (HK4) đến 7.0m (HK18) nhƣng chƣa xác định đƣợc đáy lớp. Thí nghiệm xuyên tiêu chuẩn (SPT) có giá trị: nhỏ nhất N = 29, lớn nhất N = 68. GVHD: Th.S. Dƣơng Thanh Quỳnh SVTH : Vũ Trọng Chung - MSSV : 273352 - Lớp 52CB3 10
  • 11.
    ĐỒ ÁN TỐTNGHIỆP Thiết Kế Kỹ Thuật Bến Căn Cứ Đóng Mới Giàn Jacket Độ Sâu . Đến 95.7M Nước Hạ Thủy Bằng Phương Pháp Kéo Trượt Lớp 13 có sức chịu tải quy ƣớc R0 = 3.5 kG/cm2. 18/ Lớp TK1: Cát pha, màu xám xanh, trạng thái dẻo; Lớp TK1 nằm trong lỗ khoan HK35 và HK38 của báo cáo địa chất của Căn cứ dịch vụ hàng hải dầu khí Sao Mai - Bến Đình. Các lỗ khoan này chỉ sử dụng tham khảo. 19/ Lớp TK2: Sét pha, màu xám xanh, trạng thái dẻo mềm; Lớp TK2 gặp trong các lỗ khoan (HK46, HK49), nằm trong lớp 6. Tại HK46, cao độ mặt lớp -29.15m, đáy lớp -34.15m, chiều dày là 5.0m. Tại HK49, cao độ mặt lớp -29.65m, đáy lớp -31.15m, chiều dày là 1.5m. Thí nghiệm xuyên tiêu chuẩn (SPT) có giá trị: N = 11. Lớp TK2 có sức chịu tải quy ƣớc R0 = 1.1 kG/cm2. Bảng 1.1a. Tổng hợp chỉ tiêu cơ lý các lớp đất Kí Lớp Lớp TT Chỉ tiêu cơ lý Đơn vị Lớp 2 Lớp 3 Lớp 4 hiệu 5a 5b 1 Thành phần hạt (m) P % 20,0-10,0 0,9 10,0-5,0 0,4 0,1 5,0-2,0 0,1 1,4 0,9 0,2 2,0-1,0 0,2 6,8 2,5 0,7 0,8 1,0-0,5 0,4 16,5 4,3 1,8 1,3 0,5-0,25 0,9 26,6 10,2 2,9 2,8 0,25-0,10 6,9 39,0 49,1 18,0 14,7 0,10-0,05 19 5,6 11,5 23,1 21,9 GVHD: Th.S. Dƣơng Thanh Quỳnh SVTH : Vũ Trọng Chung - MSSV : 273352 - Lớp 52CB3 11
  • 12.
    ĐỒ ÁN TỐTNGHIỆP Thiết Kế Kỹ Thuật Bến Căn Cứ Đóng Mới Giàn Jacket Độ Sâu . Đến 95.7M Nước Hạ Thủy Bằng Phương Pháp Kéo Trượt Kí Lớp Lớp TT Chỉ tiêu cơ lý Đơn vị Lớp 2 Lớp 3 Lớp 4 hiệu 5a 5b 0,05-0,01 31,8 1,3 6,5 24,7 26,7 0,01-0,005 8,8 1,7 3,1 6,1 6,6 <0,005 31,9 1,1 11,2 22,4 25,2 2 Độ ẩm tự nhiên W % 68,5 19,1 21,3 26,3 26,4 3 Giới hạn chảy LL % 56,0 23,0 32,6 35,6 4 Giới hạn dẻo PL % 31,4 16,3 18,5 1,98 5 Chỉ số dẻo PI % 24,6 6,8 14,1 15,9 6 Độ sệt LI 1,51 0,75 0,55 0,42 7 Dung trọng tự nhiên w g/cm3 1,54 1,19 1,88 1,89 8 Dung trọng khô k g/cm3 0,93 0,98 1,49 1,49 9 Tỷ trọng  g/cm3 2,62 2,66 2,66 2,67 2,68 10 Độ lỗ rỗng n % 65 41 44 44 11 Hệ số rỗng 0 1,866 0,693 0,794 0,791 12 Độ bão hòa G % 96 82 89 89 13 Lực dính kết C kG/cm2 0,067 0,094 0,161 0,189 14 Góc ma sát trong  Độ 4045' 22016' 16002' 16028' 15 Hệ số nén lún a1-2 cm2/kG 0,113 0,021 0,032 0,027 GVHD: Th.S. Dƣơng Thanh Quỳnh SVTH : Vũ Trọng Chung - MSSV : 273352 - Lớp 52CB3 12
  • 13.
    ĐỒ ÁN TỐTNGHIỆP Thiết Kế Kỹ Thuật Bến Căn Cứ Đóng Mới Giàn Jacket Độ Sâu . Đến 95.7M Nước Hạ Thủy Bằng Phương Pháp Kéo Trượt Kí Lớp Lớp TT Chỉ tiêu cơ lý Đơn vị Lớp 2 Lớp 3 Lớp 4 hiệu 5a 5b 16 Thí nghiệm nén cố Pc kG/cm2 1,02 0,35 kết Cc 0,722 0,234 CR 0,230 0,126 Cv 10-3 0,297 0,152 cm2/kG k 10-7 cm/s 0,074 0,035 17 Thí nghiệm nén ba trục Sơ đồ UU Cu kG/cm2 0,121 Sơ đồ CU Cu kG/cm2 0,187 Cu' kG/cm2 0,175 u Độ 13057' u' Độ 16053' 18 TN nén 1 trục nở Qu kG/cm2 hông 19 Hệ số rỗng lớn nhất max 0,786 20 Hệ số rỗng nhỏ nhất min 0,577 GVHD: Th.S. Dƣơng Thanh Quỳnh SVTH : Vũ Trọng Chung - MSSV : 273352 - Lớp 52CB3 13
  • 14.
    ĐỒ ÁN TỐTNGHIỆP Thiết Kế Kỹ Thuật Bến Căn Cứ Đóng Mới Giàn Jacket Độ Sâu . Đến 95.7M Nước Hạ Thủy Bằng Phương Pháp Kéo Trượt Kí Lớp Lớp TT Chỉ tiêu cơ lý Đơn vị Lớp 2 Lớp 3 Lớp 4 hiệu 5a 5b 21 Góc nghỉ của cát khi k Độ 39039' khô 22 Góc nghỉ của cát khi w Độ 36017' ƣớt 23 Cƣờng độ quy ƣớc R kG/cm2 <1,0 1,5 1,0 1,2 1,5 Bảng 1.1b: Tổng hợp chỉ tiêu cơ lý các lớp đất (tiếp theo) Kí Lớp Lớp TT Chỉ tiêu cơ lý Đơn vị Lớp 6 Lớp 7 Lớp 8 hiệu 9a 9b 1 Thành phần hạt (m) P % 20,0-10,0 1,7 0,4 10,0-5,0 0,1 0,3 4,3 0,9 5,0-2,0 0,1 0,6 0,7 4,7 2,1 2,0-1,0 0,2 1,9 0,6 4,3 2,4 1,0-0,5 0,2 3,3 1,5 10 4,4 0,5-0,25 0,4 9,1 2,2 12,7 5,5 0,25-0,10 2,2 58,2 6,1 15,3 12,5 GVHD: Th.S. Dƣơng Thanh Quỳnh SVTH : Vũ Trọng Chung - MSSV : 273352 - Lớp 52CB3 14
  • 15.
    ĐỒ ÁN TỐTNGHIỆP Thiết Kế Kỹ Thuật Bến Căn Cứ Đóng Mới Giàn Jacket Độ Sâu . Đến 95.7M Nước Hạ Thủy Bằng Phương Pháp Kéo Trượt Kí Lớp Lớp TT Chỉ tiêu cơ lý Đơn vị Lớp 6 Lớp 7 Lớp 8 hiệu 9a 9b 0,10-0,05 10,4 8,3 14,8 9,7 21,5 0,05-0,01 27,8 5,2 28,1 16,0 23,7 0,01-0,005 12,8 3,0 10,5 5,0 6,6 <0,005 45,8 10,4 35,2 16,3 20,0 2 Độ ẩm tự nhiên W % 40,1 22,0 36,8 24,0 26,1 3 Giới hạn chảy LL % 59,2 22,7 57,3 27,9 34,9 4 Giới hạn dẻo PL % 31,4 16,3 31,1 17,5 20,4 5 Chỉ số dẻo PI % 27,7 6,4 26,2 10,4 14,5 6 Độ sệt LI 0,31 0,89 0,22 0,62 0,39 7 Dung trọng tự nhiên w g/cm3 1,70 1,72 1,81 1,86 1,89 8 Dung trọng khô k g/cm3 1,27 1,56 1,32 1,50 1,50 9 Tỷ trọng  g/cm3 2,67 2,66 2,67 2,66 2,67 10 Độ lỗ rỗng n % 52 41 50 44 44 11 Hệ số rỗng 0 1,100 0,709 1,017 0,772 0,780 12 Độ bão hòa G % 97 83 97 83 89 13 Lực dính kết C kG/cm2 0,234 0,104 0,264 0,136 0,172 14 Góc ma sát trong  Độ 36000' 25014' 40000' 18053' 18031' GVHD: Th.S. Dƣơng Thanh Quỳnh SVTH : Vũ Trọng Chung - MSSV : 273352 - Lớp 52CB3 15
  • 16.
    ĐỒ ÁN TỐTNGHIỆP Thiết Kế Kỹ Thuật Bến Căn Cứ Đóng Mới Giàn Jacket Độ Sâu . Đến 95.7M Nước Hạ Thủy Bằng Phương Pháp Kéo Trượt Kí Lớp Lớp TT Chỉ tiêu cơ lý Đơn vị Lớp 6 Lớp 7 Lớp 8 hiệu 9a 9b 15 Hệ số nén lún a1-2 Cm2/kG 0,025 0,020 0,021 0,030 0,025 16 Thí nghiệm nén cố Pc kG/cm2 1,56 kết Cc 0,204 CR 0,095 Cv 10-3 0,368 cm2/kG k 10-7 cm/s 0,023 17 Thí nghiệm nén ba trục Sơ đồ UU Cu kG/cm2 Sơ đồ CU Cu kG/cm2 Cu' kG/cm2 u Độ u' Độ 18 TN nén 1 trục nở Qu kG/cm2 1,534 0,648 hông 19 Hệ số rỗng lớn nhất max GVHD: Th.S. Dƣơng Thanh Quỳnh SVTH : Vũ Trọng Chung - MSSV : 273352 - Lớp 52CB3 16
  • 17.
    ĐỒ ÁN TỐTNGHIỆP Thiết Kế Kỹ Thuật Bến Căn Cứ Đóng Mới Giàn Jacket Độ Sâu . Đến 95.7M Nước Hạ Thủy Bằng Phương Pháp Kéo Trượt Kí Lớp Lớp TT Chỉ tiêu cơ lý Đơn vị Lớp 6 Lớp 7 Lớp 8 hiệu 9a 9b 20 Hệ số rỗng nhỏ nhất min 21 Góc nghỉ của cát khi k Độ khô 22 Góc nghỉ của cát khi w Độ ƣớt 23 Cƣờng độ quy ƣớc R kG/cm2 2,1 1,1 1,6 Bảng 1.1c Tổng hợp chỉ tiêu cơ lý các lớp đất (tiếp theo) Kí Lớp Lớp Lớp Lớp Lớp TT Chỉ tiêu cơ lý Đơn vị hiệu 10 11 12 13 TK2 1 Thành phần hạt (m) P % 20,0-10,0 1,5 10,0-5,0 3,3 0,3 0,5 2,4 5,0-2,0 5,3 0,7 0,9 4,0 2,0-1,0 14,1 1,3 1,9 6,1 2,5 1,0-0,5 27,6 2,7 3,7 18,0 3,5 0,5-0,25 11,3 33,0 25,6 26,4 10,0 0,25-0,10 10,7 50,7 35,7 29,3 46,0 GVHD: Th.S. Dƣơng Thanh Quỳnh SVTH : Vũ Trọng Chung - MSSV : 273352 - Lớp 52CB3 17
  • 18.
    ĐỒ ÁN TỐTNGHIỆP Thiết Kế Kỹ Thuật Bến Căn Cứ Đóng Mới Giàn Jacket Độ Sâu . Đến 95.7M Nước Hạ Thủy Bằng Phương Pháp Kéo Trượt Kí Lớp Lớp Lớp Lớp Lớp TT Chỉ tiêu cơ lý Đơn vị hiệu 10 11 12 13 TK2 0,10-0,05 6,0 4,3 10,7 5,0 7,5 0,05-0,01 8,7 3,7 8,1 2,5 7,5 0,01-0,005 3,0 1,0 3,4 1,1 4,0 <0,005 10,0 2,3 9,5 3,7 19,0 2 Độ ẩm tự nhiên W % 20,0 20,4 21,2 14,5 26,7 3 Giới hạn chảy LL % 18,8 22,3 32,1 4 Giới hạn dẻo PL % 15,0 16,2 18,6 5 Chỉ số dẻo PI % 3,8 6,1 13,5 6 Độ sệt LI 1,32 0,82 0,60 7 Dung trọng tự nhiên w g/cm3 1,88 1,81 8 Dung trọng khô k g/cm3 1,51 1,42 9 Tỷ trọng  g/cm3 2,66 2,68 2,66 2,66 2,66 10 Độ lỗ rỗng n % 44 46 11 Hệ số rỗng 0 0,771 0,867 12 Độ bão hòa G % 69 82 13 Lực dính kết C kG/cm2 0,144 0,145 14 Góc ma sát trong  Độ 18028' 16056' GVHD: Th.S. Dƣơng Thanh Quỳnh SVTH : Vũ Trọng Chung - MSSV : 273352 - Lớp 52CB3 18
  • 19.
    ĐỒ ÁN TỐTNGHIỆP Thiết Kế Kỹ Thuật Bến Căn Cứ Đóng Mới Giàn Jacket Độ Sâu . Đến 95.7M Nước Hạ Thủy Bằng Phương Pháp Kéo Trượt Kí Lớp Lớp Lớp Lớp Lớp TT Chỉ tiêu cơ lý Đơn vị hiệu 10 11 12 13 TK2 15 Hệ số nén lún a1-2 Cm2/kG 0,029 0,032 16 Thí nghiệm nén cố Pc kG/cm2 kết Cc CR Cv 10-3 cm2/kG k 10-7 cm/s 17 Thí nghiệm nén ba trục Sơ đồ UU Cu kG/cm2 Sơ đồ CU Cu kG/cm2 Cu' kG/cm2 u Độ u' Độ 18 TN nén 1 trục nở Qu kG/cm2 hông 19 Hệ số rỗng lớn nhất max 0,791 0,789 GVHD: Th.S. Dƣơng Thanh Quỳnh SVTH : Vũ Trọng Chung - MSSV : 273352 - Lớp 52CB3 19
  • 20.
    ĐỒ ÁN TỐTNGHIỆP Thiết Kế Kỹ Thuật Bến Căn Cứ Đóng Mới Giàn Jacket Độ Sâu . Đến 95.7M Nước Hạ Thủy Bằng Phương Pháp Kéo Trượt Kí Lớp Lớp Lớp Lớp Lớp TT Chỉ tiêu cơ lý Đơn vị hiệu 10 11 12 13 TK2 20 Hệ số rỗng nhỏ nhất min 0,565 0,576 21 Góc nghỉ của cát khi k Độ 41018' 40027' khô 22 Gócnghỉ của cát khi ƣớt w Độ 38005' 37010' 23 Cƣờng độ quy ƣớc R kG/cm2 1,4 2,5 3,0 3,5 1,1 4.4 Khí tƣợng, thủy văn, hải văn 4.4.1 Gió Vũng Tàu thuộc vùng gió mùa nhiệt đới. Theo số liệu trạm khí tƣợng Vũng Tàu cho thấy: - Về mùa khô, hƣớng gió chủ yếu là Đông và Đông Bắc, tốc độ gió trung bình là 4,7 m/s (biến động từ 4,0 đến 5,7 m/s); lớn nhất là vào tháng 7 (5,7 m/s). - Về mùa mƣa, hƣớng gió chủ yếu là Tây-Nam và Tây-Tây Nam, tốc độ gió trung bình mùa mƣa đạt 3,6 m/s (biến động từ 3,5 đến 4,2 m/s). -Tốc độ gió lớn nhất theo tháng qua các năm quan trắc đƣợc tập hợp trong Bảng 1.3.3.5. Bảng 1.2: Tốc độ gió tại Vũng Tàu 1986 - 2000 (Đ/vị: m/s) Tháng I II III IV V VI VII VIII IX X XI XII Cả năm Vt/b 3 4 4 4 3 3 3 3 3 2 2 2 Vmax 14 14 14 14 20 20 22 20 20 14 20 14 22 Hƣớng E E E E SWN SW.W SW W WE W E SW GVHD: Th.S. Dƣơng Thanh Quỳnh SVTH : Vũ Trọng Chung - MSSV : 273352 - Lớp 52CB3 20
  • 21.
    ĐỒ ÁN TỐTNGHIỆP Thiết Kế Kỹ Thuật Bến Căn Cứ Đóng Mới Giàn Jacket Độ Sâu . Đến 95.7M Nước Hạ Thủy Bằng Phương Pháp Kéo Trượt Bảng 1.3 : Tần suất gió 1986 - 2000 Tốc độ Lặng 0,1 - 3,9 4,0 - 8,9 9,0 - 14,9 > 15 Toàn bộ % Hƣớng % % % % % % N 1,76 0,01 - 2,03 0,26 NNE 0,32 - - - 0,32 NE 6,95 0,08 - 14,12 7,08 ENE 0,49 - - 0,64 0,15 E 7,81 0,27 - 19,37 11,28 ESE 0,64 1,12 0,01 - 1,79 SE 5,03 4,36 0,02 - 9,42 SSE 0,47 0,29 0,0 - 0,76 S 3,10 2,57 0,08 - 5,74 SSW 0,46 0,24 - - 0,7 SW 8,13 0,41 0,01 20,49 11,94 WW 0,39 0,19 - - 0,58 W 5,10 3,54 0,11 - 8,76 WNW 0,33 0,07 - - 0,4 NW 2,74 1,43 0,03 0,01 4,21 NNW 0,42 0,02 - - 0,45 Lặng 10,22 Tổng % 10,22 44,15 44,56 1,03 0,04 100 4.4.2 Mực nƣớc và thủy triều Vũng Tàu thuộc vùng bán nhật triều , mỗi ngày có 2 lầ n nƣớc lớn và 2 lầ n nƣớc ròng. Mƣ̣c nƣớc thủy triề u Vũng Tàu (theo hê ̣ hải đồ ) đƣơ ̣c đă ̣c trƣng bởi các tri ̣số sau: + Mƣ̣c nƣớc triề u cao nhấ t (HAT) :+3.87 m. GVHD: Th.S. Dƣơng Thanh Quỳnh SVTH : Vũ Trọng Chung - MSSV : 273352 - Lớp 52CB3 21
  • 22.
    ĐỒ ÁN TỐTNGHIỆP Thiết Kế Kỹ Thuật Bến Căn Cứ Đóng Mới Giàn Jacket Độ Sâu . Đến 95.7M Nước Hạ Thủy Bằng Phương Pháp Kéo Trượt + Trung bình cao của mƣ̣c nƣớc thủy triề u cao (MHHW) : +3.50 m. + Trung binh thấ p của mƣ̣c nƣớc thủy triề u cao (HLHW) : +3.30 m. ̀ + Mƣ̣c nƣớc triề u trung bình (MSL) : +2.77 m. + Trung binh cao của mƣ̣c nƣớc thủy triề u thấ p (MHHW): +2.20 m. ̀ + Trung binh thấ p của mƣ̣c nƣớc thủy triề u thấ p (HLHW): +0.90 m ̀ + Mƣ̣c nƣớc triề u thấ p nhấ t ( ghi nhâ ̣n) (LAT):- 0.40 m. + Gió thổi liên tục trong thời kỳ gió mùa tạo ra hiện tƣợng nƣớc dâng ở vùng gần bờ biển. Tại vị trí dự kiến xây dựng Căn cứ có khả năng xuất hiện mực nƣớc cao nhất trong thời kỳ gió mùa Tây Nam. + Theo số liệu thống kê mực nƣớc tại trạm hải văn Vũng Tàu, đƣờng tần suất mực nƣớc (cao độ Hải Hồ) đƣợc tập hợp trong Bảng 1.3.4.1 Bảng 1.4 : Cao độ mực nƣớc tại Vũng Tàu (cm) Đặc trƣng mực Tần suất (%) nƣớc 1 2 5 10 25 50 75 90 95 98 99 Giờ 387 377 362 352 322 277 207 132 97 62 42 Đỉnh triều 407 402 392 384 372 354 340 327 319 310 304 Chân triều 232 218 192 174 142 105 68 37 18 -2 -13 + Lưu ý: Độ chênh cao giữa hệ Nhà nước và cao độ Hải đồ khu vực là 2,891 m, và giữa hệ Hải đồ với hệ Mũi Nai là 2,72 m + Mức độ biến đổi mực nƣớc điển hình của thuỷ triều tại Vũng Tàu cho thấy rằng độ chênh cao giữa 2 đỉnh triều trong ngày không nhiều lắm. Đặc điểm thuỷ triều này tạo điều kiện thuận lợi cho việc chạy tàu có lợi dụng sự biến động của mực nƣớc. 4.4.3 Dòng chảy + Dòng chảy do thủy triều : Dòng chảy do thủy triều chiếm 90% dòng chảy tổng hợp tại khu vực nghiên cứu. Theo số liê ̣u quan trắ c , tố c đô ̣ dòng triề u trong vinh Gành Rái đa ̣t ̣ trung bình 100 cm/s, lớn nhấ t có thể vƣơ ̣t 200 cm/s. + Dòng chảy do gió :Dòng chảy trong vịnh Gành Rái cũng nhƣ ven bờ có chịu ảnh hƣởng của gió mùa đông bắ c và tây nam. GVHD: Th.S. Dƣơng Thanh Quỳnh SVTH : Vũ Trọng Chung - MSSV : 273352 - Lớp 52CB3 22
  • 23.
    ĐỒ ÁN TỐTNGHIỆP Thiết Kế Kỹ Thuật Bến Căn Cứ Đóng Mới Giàn Jacket Độ Sâu . Đến 95.7M Nước Hạ Thủy Bằng Phương Pháp Kéo Trượt + Dòng chảy do gió mùa đông bắc có hƣớng về phía Cần Giờ, tố c đô ̣ dòng chảy theo tính toán đạt 27.3 cm/s. + Dòng chảy do gió mùa tây nam có hƣớng tây bắc – đông nam, với lƣu tố c khoảng 10 cm/s. + Dòng chảy do địa hình :Dòng chảy do độ d ốc của lòng sông và vinh chiế m 5% - ̣ 10% tổ ng dòng chảy khu vƣ̣c. Lƣu tố c dòng chảy do điạ hình khá bé , thƣờng thấ p hơn 20 cm/s. Bảng 1.5 : Lƣu hƣớng và lƣu tốc dòng chảy khu vực Vũng Tàu Thứ Hƣớng Dòng Lƣu tốc* Khu vực khảo sát Tự Triều lên Triều rút (cm/s) 1 Mũi Nghinh Phong ra biển N - NW S-E 128~144 (250) 2 Sao Mai đến Cửa Cái Mép N - NW S-E 100~120 3 Cửa sông Cái Mép N - NW S-E 88~166 (>200) 4 Vùng Bến Đình N-NE, E-SE W, E 60~70 5 Cảng PTSC NE SW 120 (150) 4.4.4 Sóng Nhìn chung, khu nƣớc đƣơ ̣c che chắ n tố t khi có gi ó đông bắc . Trong mùa gió tây nam , với cấ p gió 7 ở ngoài khơi thì sóng tại vị trí cực tây của căn cứ có thể đạt tới 0.6m- 0.7m, còn đa phần sóng không quá 0.5m. + Sóng trên biển đông ít ảnh hƣởng đến phía đông khu vực xây dƣ̣ng bế n. + Ảnh hƣớng chủ yếu đáng xem xét là sóng do gió tại chỗ gây ra. + Dƣới tác đô ̣ng của gió ta ̣i chỗ , đô ̣ cao sóng ta ̣i các vi ̣trí khác nhau có chênh lê ̣ch khác nhau đáng kể. + Theo hƣớng đông nam , sóng cực trị tại chỗ gâ y ra ta ̣i trung tâm vinh Gành Rái có ̣ thể đa ̣t tới 5m, sóng tại khu vực xây dựng bến chỉ khoảng 0.5m. + Theo hƣớng tây nam, sóng do gió cực trị gây ra tại khu trƣớc bến nhỏ hơn 1.1m. GVHD: Th.S. Dƣơng Thanh Quỳnh SVTH : Vũ Trọng Chung - MSSV : 273352 - Lớp 52CB3 23
  • 24.
    ĐỒ ÁN TỐTNGHIỆP Thiết Kế Kỹ Thuật Bến Căn Cứ Đóng Mới Giàn Jacket Độ Sâu . Đến 95.7M Nước Hạ Thủy Bằng Phương Pháp Kéo Trượt CHƢƠNG 2 QUY HOẠCH MẶT BẰNG CĂN CỨ BẾN 1. CƠ SỞ THIẾT KẾ TỔNG MẶT BẰNG Mặt bằng xây dựng: phải đủ rộng để có thể bố trí đƣợc các công trình, thiết bị của căn cứ, có xét đến khả năng phát triển trong tƣơng lai, kết nối giao thông và giáp lai với các dự án liền kề. Cao độ mặt bằng đảm bảo không bị ngập khi triều cao, mƣa lớn hoặc nƣớc dâng. Các hạng mục công trình của căn cứ đƣợc bố trí đảm bảo sự liên hệ chặt chẽ theo công nghệ lựa chọn, phù hợp với mọi dây chuyền sản xuất, đảm bảo vệ sinh môi trƣờng và cảnh quan, vệ sinh công nghiệp… Căn cứ vào mặt bằng công nghệ lựa chọn và quy trình đóng mới giàn khoan, căn cứ đƣợc phân thành 7 khu chức năng nhƣ sau: + Khu tiền xử lí vật liệu kết cấu thép, sản xuất chi tiết kết cấu và phân đoạn phẳng. + Khu chế tạo các phân đoạn khối và cấu kiện chuyên dùng, làm sạch và sơn. + Khu sản xuất, lắp đặt phần ống - ống chuyên dùng, máy, các phần điện – thông tin liên lạc – đƣợc bố trí ở vị trí thuận lợi cho cung cấp đầu vào vật tƣ, thiết bị cũng nhƣ chuyển giao sản phẩm cho khu vực chế tạo phân đoạn khối và đấu tổng thành. + Khu phân xƣởng phụ: trang trí nội thất, phân xƣởng sơn. + Khu phục vụ sản xuất: khu kho bãi, bãi chứa vật tƣ, thiết bị, bãi để xe, maintenance – kho chứa nhiên liệu dầu, kho chứa giàn giáo, khu cung cấp các nguồn năng lƣợng. + Khu văn phòng: văn phòng căn cứ, khu dịch vụ ( câu lạc bộ, căng tin, nhà khách, đào tạo, văn phòng nhà thầu phụ, hải quan, biên phòng… GVHD: Th.S. Dƣơng Thanh Quỳnh SVTH : Vũ Trọng Chung - MSSV : 273352 - Lớp 52CB3 24
  • 25.
    ĐỒ ÁN TỐTNGHIỆP Thiết Kế Kỹ Thuật Bến Căn Cứ Đóng Mới Giàn Jacket Độ Sâu . Đến 95.7M Nước Hạ Thủy Bằng Phương Pháp Kéo Trượt 2.PHƢƠNG ÁN THIẾT KẾ TỔNG MẶT BẰNG Trên cơ sở mặt bằng khu đất hình chữ nhật với tổng diện tích là 71200m2 cách luồng vào sông Dinh từ 160m đến 235m. Phía Đông giáp cảng Vietsopetro, Phía Nam giáp đất liền, phía Bắc giáp biển. Phƣơng án quy hoạch tổng mặt bằng căn cứ là chọn đƣờng ranh giới giữa khu đất của dự án với khu đất của Cảng Vietsopetro làm trục dọc và là ranh giới phân chia khu đất của căn cứ ra làm 2 khu, khu A (phần giáp Cảng Vietsopetro), khu B (phần còn lại của khu đất đối xứng qua trục dọc) để bố trí quy hoạch các hạng mục công trình trên mặt bằng tổng thể nhƣ sau: - Bến trang trí thiết kế dạng bến liền bờ hình chữ nhật và đƣợc bố trí trong khu B, cạnh dài bến 186m vuông góc với trục dọc, bắt đầu từ điểm số 2 (No2) của khu đất (giáp Vietsopetro), cạnh ngắn bến 87m song song với trục. - Đƣờng giao thông trong căn cứ: 2 tuyến dọc và 4 tuyến ngang - Bãi phẳng đấu tổng thành có kích thƣớc 65x90m đƣợc bố trí trong khu B ngay sau tuyến bến trang trí để thuận tiện cho việc hạ thủy giàn khoan. - Đƣờng hoạt động của cần trục bánh xích có sức cẩu max là 750 tấn có 2 tuyến. - Bãi chế tạo phân đoạn khối (dự trữ) đƣợc bố trí trong khu B. - Hệ thống các trạm khí nén số 1 (48x10m), oxygen (18x10m), khí gas (18x10m), khí oxy (18x10m), 4 kho vật tƣ (20x30m) đƣợc bố trí trong khu A, sát ranh giới đất của dự án với PTSC và vuông góc với trục dọc. - Bãi tiếp nhận nguyên vật liệu (48x280m), bãi đỗ thiết bị sản xuất, trạm cung cấp nhiên liệu (6x10m) đƣợc bố trí trong khu A, sát ranh giới đất của dự án với PTSC và song song với trục dọc. - Phân xƣởng cắt, phân xƣởng chế tạo No1 và No2, phân xƣởng lốc tôn và phân xƣởng chế tạo ống đƣợc bố trí liền nhau tạo thành một khối ở cuối bãi tiếp nhận vật tƣ trong khu A. GVHD: Th.S. Dƣơng Thanh Quỳnh SVTH : Vũ Trọng Chung - MSSV : 273352 - Lớp 52CB3 25
  • 26.
    ĐỒ ÁN TỐTNGHIỆP Thiết Kế Kỹ Thuật Bến Căn Cứ Đóng Mới Giàn Jacket Độ Sâu . Đến 95.7M Nước Hạ Thủy Bằng Phương Pháp Kéo Trượt - Bãi chứa phân đoạn phẳng, phân xƣởng điện tự động, phân xƣởng trang trí nội thất và thông gió đƣợc bố trí trong khu A, sát với một đầu của phân xƣởng panel và gần hệ thống kho chứa vật tƣ. - Phân xƣởng máy thiết bị và phân xƣởng ống đƣợc bố trí liền nhau tạo thành một khối ở cuối bãi đỗ thiết bị trong khu A, nằm cạnh bãi tiếp nhận vật tƣ và phân xƣởng lốc tôn. - Bãi công nghệ trung tâm, phân xƣởng ống đƣợc bố trí liền nhau tạo thành một khối ở cuối bãi đặt thiết bị trong khu A, nằm cạnh bãi tiếp nhận vật tƣ và phân xƣởng lốc tôn. - Bãi công nghệ trung tâm, phân xƣởng sơn ống và giá đỡ đƣợc bố trí trong giữa khu A, sát đƣờng từ cổng số 1 vào phân xƣởng chế tạo ống. - Khu văn phòng chính (40x25m), bãi đỗ xe ô tô con (5x50m), nhà để xe máy 2x(15x50m), căng tin (15x37,5m), nhà khách (32x20,5m), trung tâm đào tạo (20x45m). - Hệ thống hàng rào, nhà vệ sinh công cộng và phòng hút thuốc lá, cây xanh cách ly đƣợc bố trí xung quanh khu đất của dự án. - Các phần đất còn lại của nhà máy đƣợc bố trí làm đƣờng giao thông và các bãi dự trữ phục vụ sản xuất. 3.THIẾT KẾ CƠ SỞ HẠ TẦNG KỸ THUẬT BẾN 3.1 Khu nƣớc trƣớc bến Kích thƣớc chiều dài khu nƣớc là 200m, chiều rộng khu nƣớc khoảng 120m. Để đảm bảo an toàn giao thông và hƣớng dẫn phƣơng tiện thủy ra vào khu nƣớc của căn cứ cần phải bố trí hệ thống phao báo hiệu. Bố trí hai phao báo hiệu hình trụ có đƣờng kính Φ = 1,7m các thông số chính của phao báo hiệu nhƣ sau: + Đƣờng kính phao: Φ = 1,7m + Chiều cao thân phao trụ: Φ = 1,8m + Mớn nƣớc: T = 1,2m + Chiều cao tâm sáng: Z = 2,8m Mỗi phao đƣợc trang bị một đèn chớp Φ = 90mm có ánh sáng trắng ở chế độ chớp một, nguồn năng lƣợng dùng ắc qui. GVHD: Th.S. Dƣơng Thanh Quỳnh SVTH : Vũ Trọng Chung - MSSV : 273352 - Lớp 52CB3 26
  • 27.
    ĐỒ ÁN TỐTNGHIỆP Thiết Kế Kỹ Thuật Bến Căn Cứ Đóng Mới Giàn Jacket Độ Sâu . Đến 95.7M Nước Hạ Thủy Bằng Phương Pháp Kéo Trượt Phao đƣợc neo giữ bằng rùa bê tông cốt thép có trọng lƣợng 3 tấn, xích neo rùa Φ22 và xích neo phao Φ16. 3.2 Mặt bằng nạo vét Nạo vét khu nƣớc trƣớc bến đảm bảo theo độ sâu yêu cầu của thƣợng tầng và các phƣơng tiện ra vào bến làm công tác hoàn thiện, sửa chữa máy hoặc bốc xếp nguyên vật liệu phục vụ cho căn cứ. Phạm vi nạo vét khu nƣớc từ mép bến ra 100m, cao độ đáy nạo vét khu nƣớc trƣớc bến là - 9,2m (theo tính toán cao độ đáy bến). Nạo vét luồng vào bến, phạm vi nạo vét luồng ra vào bến tính từ mép ngoài khu nƣớc trƣớc bến ra đến luồng sông Dinh, cao độ đáy nạo vét bằng cao độ đáy luồng sông Dinh hiện hữu là -7m ( hệ cao độ hải đồ khu vực Vũng Tàu). 3.3 Hệ thống cấp nƣớc - Nhu cầu cấp nƣớc sinh hoạt - Nhu cầu cấp nƣớc phục vụ sản xuất - Nhu cầu cấp nƣớc phục vụ tƣới cây, tƣới đƣờng - Nhu cầu cấp nƣớc cứu hỏa Bảng 2.1 - Nhu cầu dùng nước của căn cứ TT Mô tả Đơn vị Khối lƣợng 1 Nhu cầu cấp nƣớc sinh hoạt m3/ngày 585,0 2 Nhu cầu cấp nƣớc sản xuất m3/ngày 875,6 3 Nhu cầu cấp nƣớc tƣới cây, tƣới đƣờng m3/ngày 58,7 4 Nƣớc thất thoát 5%(1+2+3) m3/ngày 80,0 Nhu cầu trữ nƣớc cứu hỏa cho một đám cháy 5 m3/h 72,0 với lƣu lƣợng 20lít/s - Nguồn nƣớc: Dự kiến sử dụng nguồn nƣớc sạch của thành phố Vũng Tàu, họng cấp nƣớc sát hàng rào phía đƣờng quy hoạch vào căn cứ dịch vụ hàng hải dầu khí Sao Mai – Bến Đình. GVHD: Th.S. Dƣơng Thanh Quỳnh SVTH : Vũ Trọng Chung - MSSV : 273352 - Lớp 52CB3 27
  • 28.
    ĐỒ ÁN TỐTNGHIỆP Thiết Kế Kỹ Thuật Bến Căn Cứ Đóng Mới Giàn Jacket Độ Sâu . Đến 95.7M Nước Hạ Thủy Bằng Phương Pháp Kéo Trượt 3.4 Hệ thống thoát nƣớc và xử lý nƣớc thải Trên toàn căn cứ bố trí hai mạng lƣới độc lập kiểu mạng lƣới cụt, mỗi mạng thoát nƣớc cho nửa khu vực, gồm 1 trục chính đƣờng kính D1000 tại đoạn cuối và D800 tại đoạn đầu đều đƣợc chôn ngầm trong đất, các tuyến nhánh đƣợc thiết kế kiểu mƣơng hở. Độ dốc dọc cống thiết kế tƣơng ứng là 1% đối với tuyến cống D1000; 1,5% đối với tuyến cống D800 và 2% đối với tuyến rãnh hở B = 600mm. 3.5 Hệ thống hào công nghệ Hệ thống hào công nghệ dùng để lắp đặt cáp cấp điện hạ thế, các đƣờng ống cấp nƣớc và cấp khí các loại đến toàn bộ các công trình trong căn cứ. Do đó cần thiết kế loại hào công nghệ có 2 ngăn, một ngăn rộng 95cm và sâu 97,5cm để lắp đặt các đƣờng ống dẫn khí các loại và đƣờng ống dẫn nƣớc, một ngăn rộng 40cm và sâu 97,5cm để lắp đặt hệ thống cáp điện hạ thế. Tổng chiều dài tuyến hào công nghệ là 3369,5m. 3.6 Hệ thống cấp điện và chiếu sáng Nhu cầu tiêu thụ điện năng: Theo kết quả tính toán (trong phần phụ lục kèm theo) công suất tiêu thụ điện năng của toàn căn cứ đóng mới và sửa chữa giàn khoan dầu khí là 12.000KW Hệ thống điện trung thế: Hệ thống điện nhà máy đóng mới và sửa chữa giàn khoan dầu khí có tổng công suất tính toán là 12 MW, lấy nguồn từ lƣới điện trung thế 22KV tới tủ phân phối trung thế đặt sát tƣờng rào nhà máy. Hệ thống điện hạ thế: Tại mỗi phân xƣởng hoặc khu vực đều có tủ điện phân phối lấy nguồn từ các tủ điện hạ áp của các nhà máy biến áp khu vực qua đƣờng cáp hạ thế đi trong hào công nghệ, các tủ điện phân phối này sẽ tiếp tục cấp điện tới các tủ điện động lực của phân xƣởng, các máy điện hoặc các tủ điện nhỏ hơn. Hệ thống đèn chiếu sáng: Hệ thống chiếu sáng ngoài trời của nhà máy bao gồm 4 hệ thống chiếu sáng là hệ thống chiếu sáng bảo vệ, hệ thống chiếu sáng đƣờng, hệ thống chiếu sáng các bãi sản xuất và hệ thống chiếu sáng tổng thể. GVHD: Th.S. Dƣơng Thanh Quỳnh SVTH : Vũ Trọng Chung - MSSV : 273352 - Lớp 52CB3 28
  • 29.
    ĐỒ ÁN TỐTNGHIỆP Thiết Kế Kỹ Thuật Bến Căn Cứ Đóng Mới Giàn Jacket Độ Sâu . Đến 95.7M Nước Hạ Thủy Bằng Phương Pháp Kéo Trượt 3.7 Hệ thống trạm cấp khí nén, oxy, khí CO2, khí gas (LPG) 3.8 Đƣờng giao thông Hệ thống đƣờng giao thông trong căn cứ phải đáp ứng đƣợc yêu cầu giao thông thuận lợi giữa các phân xƣởng sản xuất, hệ thống các kho bãi với nhau. Ngoài ra còn phải đáp ứng nhu cầu nhập nguyên vật liệu cho căn cứ bằng đƣờng bộ cũng nhƣ đƣờng thủy. Theo yêu cầu sản xuất của căn cứ, các cấu kiện bán thành phẩm cần vận chuyển giữa các phân xƣởng, bãi chế tạo thông qua hệ thống đƣờng giao thông có kích thƣớc lớn. Ví dụ nhƣ kích thƣớc phân đoạn phẳng lớn nhất lên tới 15x12m, do vậy mặt cắt ngang các trục đƣờng chính trong căn cứ cần đƣợc thiết kế có quy mô rộng tối thiểu là 15m. Tổng chiều dài các tuyến đƣờng trong căn cứ là 2116m bao gồm 2 tuyến dọc và 4 tuyến ngang. Đƣờng cho cần trục xích LR1750 có sức nâng 750 tấn hoạt động xung quanh bãi chế tạo Block và bãi đấu lắp tổng thành. Chiều dài từ đầu bãi chế tạo Block ra đến mép trong của bãi đấu lắp tổng thành là 675m, chiều rộng mỗi bên là 30m. 3.9 Bãi các loại Bãi tiếp nhận vật liệu: Đảm bảo công tác dỡ hàng, cất giữ, phân loại, bảo quản và cung ứng thép hình và thép tấm cho phân xƣởng tiền xử lí. Bãi tập kết phƣơng tiện: Đƣợc bố trí để cho các phƣơng tiện nhƣ cần cẩu, ô tô, xe nâng hàng... đỗ khi không phục vụ sản xuất. Qui mô bãi tập kết phƣơng tiện dự kiến chọn 6440m2. Bãi công nghệ trung tâm: Có chức năng chế tạo sàn công nghệ trung tâm và dự trữ. Qui mô bãi dự kiến chọn: 10127m2 Bãi chứa các phân đoạn phẳng: Đƣợc thiết kế để chứa bán thành phẩm của căn cứ và cũng là thành phẩm của phân xƣởng Panel khi chƣa đƣợc vận chuyển đến bãi gia công chế tạo Block, có diện tích dự kiến 10715m2. Bãi gia công giàn khoan: Đƣợc bố trí để chế tạo các cấu kiện của giàn khoan. Qui mô bãi dự kiến chọn 4495m2. GVHD: Th.S. Dƣơng Thanh Quỳnh SVTH : Vũ Trọng Chung - MSSV : 273352 - Lớp 52CB3 29
  • 30.
    ĐỒ ÁN TỐTNGHIỆP Thiết Kế Kỹ Thuật Bến Căn Cứ Đóng Mới Giàn Jacket Độ Sâu . Đến 95.7M Nước Hạ Thủy Bằng Phương Pháp Kéo Trượt 3.10 Phân xƣởng các loại  Phân xƣởng sơ chế vật tƣ Nhiệm vụ: Đảm nhận công việc xử lý sẵn thép tấm và thép hình nhƣ gia nhiệt trƣớc đánh gỉ, phun sơn và sấy khô. Nguyên tắc công nghệ chủ yếu: Tất cả thép nguyên liệu đều phải tiến hành xử lý bề mặt.  Phân xƣởng cắt thép, chế tạo vật tƣ Có chức năng cắt thép và chế tạo các phân đoạn phẳng kích thƣớc đến 15x12m.  Phân xƣởng lốc, ép tôn Có chức năng nhận các chi tiết sau khi cắt, sử dụng máy chấn tôn, máy lốc để tạo hình các bán thành phẩm theo yêu cầu thiết kế. Các chi tiết sau các công nghệ gia công này sẽ sử dụng cho kết cấu thân phao (ponton), cho các dạng kết cấu bằng thép tấm uốn nhƣ: kết cấu dạng ống (tubular), các chi tiết với hình bao có độ cong hai chiều hoặc ba chiều...  Phân xƣởng chế tạo kết cấu ống Có chức năng nhận các chi tiết từ phần cắt, phân xƣởng uốn số 5 để chế tạo kết cấu ống. Kiểm tra sắp xếp đồng bộ để phục vụ cho việc chế tạo chân đế của giàn khoan. Phối hợp theo tiến độ để lắp ráp các cụm chi tiết khác để lắp ráp phần chân đế của giàn khoan.  Phân xƣởng máy, thiết bị Có chức năng lắp đặt các loại thiết bị boong của giàn khoan, có trang bị một số máy công cụ để gia công chế tạo cơ khí hỗ trợ cho việc lắp đặt – máy tiện, máy khoan, các thiết bị cầm tay (máy mài, máy khoan), sử dụng một số máy hàn, mỏ cắt hơi cầm tay để điều chỉnh trong khi lắp đặt.  Phân xƣởng ống Gia công, chế tạo ống từ vật liệu ống Thử áp lực và các yêu cầu thử nghiệm khác theo quy trình thử ống và hệ thống. Phối hợp theo tiến độ để lắp ráp các hệ thống trong buồng máy, hệ điều khiển thủy lực, các trang thiết bị sau khi lắp đặt phần lớn các bộ trên, giàn khoan đƣợc hạ thủy để tiếp tục lắp và hoàn thiện tại bến căn cứ. GVHD: Th.S. Dƣơng Thanh Quỳnh SVTH : Vũ Trọng Chung - MSSV : 273352 - Lớp 52CB3 30
  • 31.
    ĐỒ ÁN TỐTNGHIỆP Thiết Kế Kỹ Thuật Bến Căn Cứ Đóng Mới Giàn Jacket Độ Sâu . Đến 95.7M Nước Hạ Thủy Bằng Phương Pháp Kéo Trượt  Phân xƣởng sơn và giá đỡ ống Chuyên làm sạch, sơn ống Trang bị các thiết bị làm sạch bằng khí nén, sử dụng bình chứa hạt mài. Sử dụng các thiết bị sơn yếm khí, áp lực cao. Trong môi trƣờng làm việc này, phân xƣởng đƣợc quan tâm đến vấn đề môi trƣờng làm việc: bụi, khí sơn  cần có trang bị quần áo bảo hộ chuyên dùng.  Phân xƣởng điện tự động Qui mô phân xƣởng dự kiến có kích thƣớc 20 x 30m, cao 7m, chiều ngang phân xƣởng thiết kế 1 nhịp 20m, chiều dọc đƣợc chia làm 4 gian, mỗi bƣớc gian là 7,5m. Bên trên bố trí 2 Monorail sức nâng max=5T chạy dọc hai bên nhà.  Kho chứa vật tƣ Nhiệm vụ chủ yếu của kho là nhập kho, nghiệm thu, chỉnh lý phân loại, bảo quản và chuyển đi các sản phẩm trong danh mục chế tạo nhƣ, chi tiết van và phụ kiện ống mua ngoài, đèn, công tắc, dụng cụ đo, chi tiết vặn chặt, chi tiết neo buộc, chi tiết tiêu chuẩn, thiết bị phòng cháy chữa cháy, thiết bị cứu sinh, thiết bị vệ sinh, cửa, cửa sổ, nắp, sản phẩm chi tiết dự phòng, sản phẩm cung ứng của chủ đầu tƣ, đồ kim khí... Trong kho chỉ xếp những vật tƣ lắp đặt thiết bị trên tàu ở dạng chi tiết nhỏ - thiết bị lớn (nhƣ cần cẩu) không để trong kho. Trang bị hệ thống giá kê và trang bị cẩu chuyển và xe vận chuyển trong kho đảm bảo thuận lợi cho sử dụng.  Phân xƣởng phục vụ sản xuất Nhiệm vụ chủ yếu của phân xƣởng ngoài việc sửa chữa hệ thống giàn giáo phục vụ sản xuất ngoài ra còn có tính chất nhƣ một kho cất giữ chuyên về giàn giáo.  Phân xƣởng làm sạch và sơn tổng đoạn Phân xƣởng làm sạch và sơn bố trí phần cuối của bãi chế tạo Block để làm sạch và sơn lại phân đoạn – phân đoạn khối lớn trƣớc khi cẩu lắp tổng thành . GVHD: Th.S. Dƣơng Thanh Quỳnh SVTH : Vũ Trọng Chung - MSSV : 273352 - Lớp 52CB3 31
  • 32.
    ĐỒ ÁN TỐTNGHIỆP Thiết Kế Kỹ Thuật Bến Căn Cứ Đóng Mới Giàn Jacket Độ Sâu . Đến 95.7M Nước Hạ Thủy Bằng Phương Pháp Kéo Trượt 3.11 Khu điều hành sản xuất Nhà văn phòng chính: yêu cầu về tổ chức quản lý điều hành sản xuất kinh doanh của căn cứ đóng mới và sửa chữa giàn khoan dầu khí về cơ bản cũng giống nhƣ một nhà máy đóng tàu. Bãi đỗ xe ô tô: Đƣợc bố trí đỗ xe ô tô con của khách. Nhà để xe máy cho CBCNV: Đƣợc bố trí phục vụ để xe cho CBCNV đến căn cứ làm việc. 3.12 Nhà khách Đƣợc quy hoạch xây dựng với mục đích phục vụ nghỉ ngơi của cán bộ công ty và khách hàng khi đến công ty cổ phần chế tạo giàn khoan dầu khí làm việc. 3.13 Căng tin Nhà căng tin phục vụ công nhân có các chức năng: là nhà nghỉ ca, thay quần áo, tắm rửa và vệ sinh, có kết hợp phục vụ ăn uống cho cán bộ CNV trong căn cứ. 3.14 Khu trung tâm đào tạo Khu trung tâm đào tạo có chức năng dạy nghề với mục đích đào tạo thực hành cho công nhân kỹ thuật đảm bảo yêu cầu phục vụ sản xuất của căn cứ đóng mới và sửa chữa giàn khoan dầu khí. Khu trung tâm đào tạo dự kiến đƣợc thiết kế nhƣ một nhà xƣởng trong đó có trang bị các loại thiết bị phục vụ cho việc học tập của công nhân. 3.15 Tƣờng rào, cổng, nhà bảo vệ, nhà WC và khu vực hút thuốc lá Có nhiệm vụ quản lý bảo vệ an ninh công trƣờng, đáp ứng nhu cầu sinh hoạt của cán bộ công nhân viên. GVHD: Th.S. Dƣơng Thanh Quỳnh SVTH : Vũ Trọng Chung - MSSV : 273352 - Lớp 52CB3 32
  • 33.
    ĐỒ ÁN TỐTNGHIỆP Thiết Kế Kỹ Thuật Bến Căn Cứ Đóng Mới Giàn Jacket Độ Sâu . Đến 95.7M Nước Hạ Thủy Bằng Phương Pháp Kéo Trượt Hình2.1 - Tổng mặt bằng khu căn cứ đóng mới giàn khoan GVHD: Th.S. Dƣơng Thanh Quỳnh SVTH : Vũ Trọng Chung - MSSV : 273352 - Lớp 52CB3 33
  • 34.
    ĐỒ ÁN TỐTNGHIỆP Thiết Kế Kỹ Thuật Bến Căn Cứ Đóng Mới Giàn Jacket Độ Sâu . Đến 95.7M Nước Hạ Thủy Bằng Phương Pháp Kéo Trượt 4 .PHƢƠNG ÁN HẠ THỦY 4.1 Thiết bị hạ thủy - Khối chân đế đƣợc chế tạo đƣợc chế tạo nằm luôn trên đƣờng trƣợt. Bộ phận để đƣa khối chân đế di chuyển trên đƣờng trƣợt là Launch truss. Đây là một khung không gian nằm bên trong lòng của kcđ, hai ống chính của khung làm nhiệm vụ trƣợt trên đƣờng trƣợt. Hình 2.2 : Ống chính Launch Truss trên đường trượt - Cấu tạo của đƣờng trƣợt : + Gồm có các khối bê tông đƣợc ghép lại tạo thành đƣờng trƣợt, đƣờng trƣợt đƣợc đặt trên nền đã đƣợc gia cố bởi các hàng cọc khoan nhồi chạy theo suốt đƣờng trƣợt. trên mặt khối bê tông là ray trƣợt, trên ray trƣợt là các khối gỗ hộp đƣợc liên kết với nhau bởi các bulong. Cuối cùng là đến máng trƣợt để đỡ ống trƣợt của Launch Truss. Khi hạ thủy các khối gỗ làm nhiệm vụ trƣợt trên đƣờng trƣợt. + Cấu tạo máng trƣợt: GVHD: Th.S. Dƣơng Thanh Quỳnh SVTH : Vũ Trọng Chung - MSSV : 273352 - Lớp 52CB3 34
  • 35.
    ĐỒ ÁN TỐTNGHIỆP Thiết Kế Kỹ Thuật Bến Căn Cứ Đóng Mới Giàn Jacket Độ Sâu . Đến 95.7M Nước Hạ Thủy Bằng Phương Pháp Kéo Trượt + Máng trƣợt đƣợc chế tạo ngay tại công trƣờng. Khi chế tạo thì chia ra làm nhiều đoạn ngắn. Sau đó đƣợc vận chuyển ra đƣờng trƣợt và hàn lại với nhau. Hình 2.3 : Máng trượt - Cấu tạo các khối bê tông : Các khối bê tông đƣợc chế tạo thành từng khối rồi sau đó đƣợc lắp ghép lại thành một khối. GVHD: Th.S. Dƣơng Thanh Quỳnh SVTH : Vũ Trọng Chung - MSSV : 273352 - Lớp 52CB3 35
  • 36.
    ĐỒ ÁN TỐTNGHIỆP Thiết Kế Kỹ Thuật Bến Căn Cứ Đóng Mới Giàn Jacket Độ Sâu . Đến 95.7M Nước Hạ Thủy Bằng Phương Pháp Kéo Trượt Hình 2.4 : Đường trượt. Hình 2.5 : Đường trượt trên sà lan GVHD: Th.S. Dƣơng Thanh Quỳnh SVTH : Vũ Trọng Chung - MSSV : 273352 - Lớp 52CB3 36
  • 37.
    ĐỒ ÁN TỐTNGHIỆP Thiết Kế Kỹ Thuật Bến Căn Cứ Đóng Mới Giàn Jacket Độ Sâu . Đến 95.7M Nước Hạ Thủy Bằng Phương Pháp Kéo Trượt - Trên đƣờng trƣợt đƣợc trải một lớp vải Teflon rồi dải mỡ lên trên để nhằm giảm ma sát tĩnh giữa gỗ và ray trƣợt. Hình 2.6 : Công tác rải mỡ trên đường trượt - Hai panel ngoài cùng của kcđ đƣợc đặt hai thiết bị tời kéo là Strand jack, thiết bị này đƣợc hàn cố định vào kcđ. Strand Jack kết hợp với bộ phận cố định cáp đƣợc bố trí trên sà lan thông qua hệ thống dây cáp để tạo thành hệ thống thu nhỏ cáp phục vụ quá trình kéo trƣợt khối chân đế. GVHD: Th.S. Dƣơng Thanh Quỳnh SVTH : Vũ Trọng Chung - MSSV : 273352 - Lớp 52CB3 37
  • 38.
    ĐỒ ÁN TỐTNGHIỆP Thiết Kế Kỹ Thuật Bến Căn Cứ Đóng Mới Giàn Jacket Độ Sâu . Đến 95.7M Nước Hạ Thủy Bằng Phương Pháp Kéo Trượt Hình 2.7 : Strand Jack - Mô tả về Strand Jack: + Strand Jack là thiết bị kéo sử dụng hệ thống thủy lực và cáp để đi chuyển một vật nặng theo phƣơng nằm ngang hoặc thẳng đứng. Cấu tạo cơ bản của Strand Jack gồm 01 xilanh (cố định) và 01 pittông (chuyển động), cả xi lanh và pit tông đều có bộ phận kẹp cáp. GVHD: Th.S. Dƣơng Thanh Quỳnh SVTH : Vũ Trọng Chung - MSSV : 273352 - Lớp 52CB3 38
  • 39.
    ĐỒ ÁN TỐTNGHIỆP Thiết Kế Kỹ Thuật Bến Căn Cứ Đóng Mới Giàn Jacket Độ Sâu . Đến 95.7M Nước Hạ Thủy Bằng Phương Pháp Kéo Trượt - Cơ chế hoạt động của Strand Jack nhƣ sau: Trong một chu trình, đầu tiên bộ phận kẹp cáp của xilanh mở ra, pittông kẹp cáp, sau đó dầu thủy lực đƣợc bơm vào, pittông chuyển động về phía sau đẩy khối chân đế di chuyển về phía trƣớc. Sau khi pittông chuyển động hết về phía sau thì pittông nhả cáp và xi lanh kẹp cáp, pittông di chuyển về phía trƣớc. Sau đó pittông lại kẹp cáp, xi lanh nhả cáp và bắt đầu một chu trình mới.Có nhiều loại strand jacks với sức kéo khác nhau nhƣ Strand Jack 15t, Strand Jack 185t, Strand Jack 294t, Strand Jack 418t, Strand Jack 588t, GVHD: Th.S. Dƣơng Thanh Quỳnh SVTH : Vũ Trọng Chung - MSSV : 273352 - Lớp 52CB3 39
  • 40.
    ĐỒ ÁN TỐTNGHIỆP Thiết Kế Kỹ Thuật Bến Căn Cứ Đóng Mới Giàn Jacket Độ Sâu . Đến 95.7M Nước Hạ Thủy Bằng Phương Pháp Kéo Trượt Strand Jack 1022t. Dây cáp dùng cho Strand Jacks có đƣờng kính 18mm và lực kéo đứt 380kN. - Strand Jack đƣợc gắn trên một bệ đỡ, bệ đỡ này đƣợc hàn cố định trên ống chính nằm trên đƣờng trƣợt của Lauch Truss. Hình 2.8 : Bệ đỡ Strand Jack - Mỗi khoảng tiến đƣợc của KCĐ đúng bằng một hành trình Pitton của Strand Jack. - Quá trình load out sẽ có 2 Strand Jack chính thực hiện quá trình load out đƣợc gắn trên Jacket, 2 Strand Jack phụ đƣợc lắp đặt trên sà lan và đối xứng với 2 Strand Jack trên Jacket. Trong trƣờng hợp Strand Jack chính không hoạt động đƣợc thì sử dụng 2 Strand Jack phụ để thay thế. GVHD: Th.S. Dƣơng Thanh Quỳnh SVTH : Vũ Trọng Chung - MSSV : 273352 - Lớp 52CB3 40
  • 41.
    ĐỒ ÁN TỐTNGHIỆP Thiết Kế Kỹ Thuật Bến Căn Cứ Đóng Mới Giàn Jacket Độ Sâu . Đến 95.7M Nước Hạ Thủy Bằng Phương Pháp Kéo Trượt Hình 2.9 : Strand Jack phụ trên sà lan - Cáp kéo đƣợc luồn qua Strand Jack chính rồi tới Strand Jack phụ và đƣợc cuốn vào bộ phận thu cáp đƣợc bố trí trên sà lan. - Sà lan đƣợc cập sát vào cảng, hệ thống neo chằng cố định giúp sà lan ổn định vị trí, không xô lệch và bị đẩy ra ngoài trong quá trình hạ thuỷ. Hình 2.10 : Hệ thống cáp neo giữ sà lan GVHD: Th.S. Dƣơng Thanh Quỳnh SVTH : Vũ Trọng Chung - MSSV : 273352 - Lớp 52CB3 41
  • 42.
    ĐỒ ÁN TỐTNGHIỆP Thiết Kế Kỹ Thuật Bến Căn Cứ Đóng Mới Giàn Jacket Độ Sâu . Đến 95.7M Nước Hạ Thủy Bằng Phương Pháp Kéo Trượt - Công tác hàn khung giảm chấn cho Rocker arm : Hình 2.11 : Công tác chuẩn bị cho hàn khung giảm chấn + khung giảm chấn của sà lan gồm 2 phần : stiffener và fender. Hình 2.12 : Chi tiết Stiffender của khung giảm chấn cho Rocker arm GVHD: Th.S. Dƣơng Thanh Quỳnh SVTH : Vũ Trọng Chung - MSSV : 273352 - Lớp 52CB3 42
  • 43.
    ĐỒ ÁN TỐTNGHIỆP Thiết Kế Kỹ Thuật Bến Căn Cứ Đóng Mới Giàn Jacket Độ Sâu . Đến 95.7M Nước Hạ Thủy Bằng Phương Pháp Kéo Trượt Hình 2.13 : Chi tiết Fender của khung giảm chấn Rocker arm - Thời điểm thích hợp để hạ thuỷ là khi có thuỷ triều lên khi này cao độ của mặt sà lan và mặt cảng sẽ đạt yêu cầu mà công việc bơm hút nƣớc trong các khoang của sà lan đƣợc giảm bớt. - Sà lan Saipem45 đƣợc sử dụng để phục vụ hạ thuỷ KCĐ Mộc Tinh. Hình 2.14 : Sà lan SAIPEM 45 GVHD: Th.S. Dƣơng Thanh Quỳnh SVTH : Vũ Trọng Chung - MSSV : 273352 - Lớp 52CB3 43
  • 44.
    ĐỒ ÁN TỐTNGHIỆP Thiết Kế Kỹ Thuật Bến Căn Cứ Đóng Mới Giàn Jacket Độ Sâu . Đến 95.7M Nước Hạ Thủy Bằng Phương Pháp Kéo Trượt - Các thông số của sà lan : + Sà lan có 28 khoang + Kích thƣớc: L= 180m, B= 22m, D=11,5m - Lƣợng nƣớc trong các khoang 2P: 1982,3 (MT) 2S: 1861,8 (MT) 4P: 1690,4(MT) 4S: 1690,4(MT) 5P: 1690,4(MT) 5S: 1690,4(MT) 8P: 1552,4 (MT) 8S: 1552,4 (MT) 9P: 1690,4(MT) 9S: 1690(MT) 10S: 1923,6(MT) 10P: 1923,6(MT) + Các khoang còn lại lƣợng nƣớc chiếm 2% của khoang. - Lƣợng nƣớc trong các khoang đƣợc bơm rằn nhƣ trên khi này mặt bằng của khối chân đế và mặt cảng sẽ đƣợc cân bằng nhau. GVHD: Th.S. Dƣơng Thanh Quỳnh SVTH : Vũ Trọng Chung - MSSV : 273352 - Lớp 52CB3 44
  • 45.
    ĐỒ ÁN TỐTNGHIỆP Thiết Kế Kỹ Thuật Bến Căn Cứ Đóng Mới Giàn Jacket Độ Sâu . Đến 95.7M Nước Hạ Thủy Bằng Phương Pháp Kéo Trượt - Khi hoàn tất các công tác chuẩn bị quá trình load out đƣợc tiến hành. - Cáp đƣợc hệ thống pittong thuỷ lực thu vào một đoạn đồng thời hệ thống giữ cáp ở bên sà lan thu lấy rồi chốt chặt, độ dài đoạn cáp bị thu chính bằng độ dài của pittong và cũng là quảng đƣờng KCĐ đi đƣợc trong một lần thu nhả cáp. Quá trình đƣợc tiến hành liên tục nhƣ vậy. - Khi khối chân đế tiến lên sà lan, sà lan sẽ bị chìm xuống do tải trọng của phần KCĐ nằm trên sà lan khi này mặt của sà lan thấp hơn mặt cảng do vậy mà phải có quá trình bơm nƣớc từ các khoang của sà lan ra bên ngoài nhằm giảm trọng lƣợng của sà lan, trƣờng hợp quá trình bơm hút không kịp thì phải dừng quá trình load out và đợi đến khi sà lan nổi lên và đảm bảo mặt sà lan luôn bằng mặt cảng hoặc trênh lệch trong phạm vi cho phép thì mơi tiếp tục. Ngoài ra còn phải chú ý chế độ lên xuống của thủy triều để tiến hành công tác bơm rằn. Hình 2.15 : Khối chân đế di chuyển lên sà lan - Công việc đƣợc thực hiện cho đến khi KCĐ nằm đúng vị trí thiết kế trên sà lan thì dừng và tiến hành cố định KCĐ GVHD: Th.S. Dƣơng Thanh Quỳnh SVTH : Vũ Trọng Chung - MSSV : 273352 - Lớp 52CB3 45
  • 46.
    ĐỒ ÁN TỐTNGHIỆP Thiết Kế Kỹ Thuật Bến Căn Cứ Đóng Mới Giàn Jacket Độ Sâu . Đến 95.7M Nước Hạ Thủy Bằng Phương Pháp Kéo Trượt + Thiết bị kiểm soát cân bằng cho sà lan (Barge monitoring): - Trong suốt quá trình hạ thủy, công tác quan trọng nhất dẫn đến thành công là kiểm soát sự cân bằng của sà lan. Công việc này bao gồm giữ cho mặt sà lan luôn cân bằng và bằng mặt cảng. Nhất là khi hạ thủy các khối chân đế thì rất khó để có thể xác định một cách chính xác bao nhiêu khối lƣợng đã di chuyển lên sà lan và còn bao nhiêu ở trên cầu cảng. Cách giải quyết vấn đề này là sử dụng một hệ thống kiểm soát chiều cao, mớn nƣớc và góc nghiêng của sà lan. - Hệ thống kiểm soát cân bằng của sà lan bao gồm một số cảm biến đo áp lực. Các bộ cảm biến này đƣợc bố trí tại các góc của sà lan và trên cầu cảng và cho phép xác định chính xác chiều cao nƣớc bên trên các bộ cảm biến. Các thông tin đƣợc xử lý và hiển thị dƣới dạng biểu đồ, giúp ngƣời quản lý xác định đƣợc xu hƣớng di chuyển của sà lan, từ đó có thể điều hành công tác dằn nƣớc một cách hợp lý. Hình 5.4: Hệ thống kiểm soát cân bằng cho sà lan GVHD: Th.S. Dƣơng Thanh Quỳnh SVTH : Vũ Trọng Chung - MSSV : 273352 - Lớp 52CB3 46
  • 47.
    ĐỒ ÁN TỐTNGHIỆP Thiết Kế Kỹ Thuật Bến Căn Cứ Đóng Mới Giàn Jacket Độ Sâu . Đến 95.7M Nước Hạ Thủy Bằng Phương Pháp Kéo Trượt + Hệ thống dằn nƣớc (Barge ballasting systems): - Hệ thống dằn nƣớc trên sà lan bao gồm các hệ thống bơm và ống nối, thực hiện công tác bơm nƣớc ra hoặc vào các khoang của sà lan, đảm bảo cho sà lan cân bằng và đƣờng trƣợt trên sà lan bằng đƣờng trƣợt trên cầu cảng trong suốt quá trình hạ thủy. Trong một số trƣờng hợp công tác dằn nƣớc của sà lan cần hệ thống bơm dằn nƣớc bên ngoài. Kích thƣớc và khả năng của hệ thống này phụ thuộc vào kích thƣớc của sà lan. Hệ thống này cùng với hệ thống dằn nƣớc trên sà lan giữ cho đƣờng trƣợt trên sà lan luôn bằng đƣờng trƣợt trên cầu cảng trong suốt quá trình hạ thủy. Hiện nay có 03 loại bơm đƣợc sử dụng là:  6” Diesel engine driven pump Loại bơm này dễ điều khiển và di chuyển trong quá trình hạ thủy. Lƣu lƣợng tối đa của loại bơm này là 400m3/h.  8” Diesel engine driven pump Loại bơm này đƣợc đặt cố định trong suốt quá trình hạ thủy và thƣờng đƣợc sử dụng cùng với bơm 6”. Lƣu lƣợng tối đa của loại bơm này là 1000m3/h.  14” Ring main system Hệ thống bơm này có lƣu lƣợng cao và đƣợc đặt ở phía xa cuối sà lan. Một ống thép 8” chạy dọc theo cạnh sà lan với các liên kết chữ “T” tại các khoang dằn nƣớc mà nó chạy qua. Một nhánh của các liên kết chữ “T” này đƣợc nối với ống cao su bọc thép 6”, một đầu ống nối với các khoang của sà lan. Lƣu lƣợng tối đa của hệ thống này là 2500m3/h. GVHD: Th.S. Dƣơng Thanh Quỳnh SVTH : Vũ Trọng Chung - MSSV : 273352 - Lớp 52CB3 47
  • 48.
    ĐỒ ÁN TỐTNGHIỆP Thiết Kế Kỹ Thuật Bến Căn Cứ Đóng Mới Giàn Jacket Độ Sâu . Đến 95.7M Nước Hạ Thủy Bằng Phương Pháp Kéo Trượt Hình 2.16: Hệ thống bơm dằn nước Hình 2.17: Bơm đặt trên sàn của sà lan + Hệ thống neo giữ sà lan (Barge mooring systems) Hệ thống neo giữ sà lan có nhiệm vụ giữ cho sà lan không bị dịch chuyển dƣới tác dụng của sóng, gió và dòng chảy trong khu cảng (chủ yếu là dòng chảy vì sóng trong cảng rất nhỏ). Hệ thống này bao gồm các tời neo đặt trên cầu cảng, hệ thống dây neo, hệ GVHD: Th.S. Dƣơng Thanh Quỳnh SVTH : Vũ Trọng Chung - MSSV : 273352 - Lớp 52CB3 48
  • 49.
    ĐỒ ÁN TỐTNGHIỆP Thiết Kế Kỹ Thuật Bến Căn Cứ Đóng Mới Giàn Jacket Độ Sâu . Đến 95.7M Nước Hạ Thủy Bằng Phương Pháp Kéo Trượt puli giảm lực và các chi tiết liên kết nhƣ ma ní. Tời neo đƣợc đặt cách mép cảng khoảng 10m và đƣợc gia cố bằng các khối bê tông. Hình 2.18: Tời neo đặt trên cầu cảng Hình 2.19: Bố trí hệ thống neo sà lan GVHD: Th.S. Dƣơng Thanh Quỳnh SVTH : Vũ Trọng Chung - MSSV : 273352 - Lớp 52CB3 49
  • 50.
    ĐỒ ÁN TỐTNGHIỆP Thiết Kế Kỹ Thuật Bến Căn Cứ Đóng Mới Giàn Jacket Độ Sâu . Đến 95.7M Nước Hạ Thủy Bằng Phương Pháp Kéo Trượt +Thiết bị neo cáp trên sà lan Thiết bị neo cáp trên sà lan có nhiệm vụ cố định đầu cáp trên sà lan trong suốt quá trình hạ thủy. Hình 2.20: Tời neo đặt trên sà lan Để đề phòng trƣờng hợp Strand jack trên khối chân đế bị hỏng trong quá trình hạ thủy, tời neo trên sà lan cũng đƣợc lắp Strand jack. Hình 2.21: Bệ lắp Strand jack trên sà lan GVHD: Th.S. Dƣơng Thanh Quỳnh SVTH : Vũ Trọng Chung - MSSV : 273352 - Lớp 52CB3 50
  • 51.
    ĐỒ ÁN TỐTNGHIỆP Thiết Kế Kỹ Thuật Bến Căn Cứ Đóng Mới Giàn Jacket Độ Sâu . Đến 95.7M Nước Hạ Thủy Bằng Phương Pháp Kéo Trượt 4.2 Quy trình hạ thủy 4.2.1 Công tác chuẩn bị  Khi sà lan cập Cảng, bộ phận an toàn phải kiểm tra nồng độ khí độc hại trong các khoang của sà lan bằng các thiết bị chuyên dụng.  Sà lan cập Cảng đƣợc neo song song với cầu Cảng, sau đó các thiết bị bơm, tời neo… phục vụ hạ thủy đƣợc đƣa lên sà lan và lắp đặt vào vị trí thiết kế.  Với strand jacks cần thiết kết và hàn bệ neo vào các vị trí vách cứng và dầm cứng trên sà lan, cáp đƣợc cắt đúng kích thƣớc. Cao trình của điểm neo trên sà lan phải bằng cao trình của Strand Jack đặt trên chân đế. Đƣờng dây cáp kéo phải song song với đƣờng trƣợt.  Với hệ thống dằn nƣớc, tất cả các bơm phải đƣợc bảo dƣỡng và kiểm tra cẩn thận, lắp đặt hệ thống bơm và ống trên sà lan  Tất cả các thiết bị phục vụ công tác hạ thủy phải đƣợc đƣa tới khoảng 2 tuần trƣớc khi hạ thủy để chạy thử. Tất cả các thiết bị không liên quan đến công tác hạ thủy đƣợc di chuyển ra khỏi khu vực hạ thủy.  Trong vòng 4 - 5 ngày kể từ khi sà lan cập Cảng, strand jacks sẽ đƣợc lắp đặt lên kết cấu, nguồn điện đƣợc đặt đúng vị trí thiết kế và neo đƣợc cố định vào bệ neo trên sà lan. . Hình 2.22: Lắp đặt Strand jack và cáp lên khối chân đế. GVHD: Th.S. Dƣơng Thanh Quỳnh SVTH : Vũ Trọng Chung - MSSV : 273352 - Lớp 52CB3 51
  • 52.
    ĐỒ ÁN TỐTNGHIỆP Thiết Kế Kỹ Thuật Bến Căn Cứ Đóng Mới Giàn Jacket Độ Sâu . Đến 95.7M Nước Hạ Thủy Bằng Phương Pháp Kéo Trượt  Công tác kiểm tra hệ thống bơm đƣợc thực hiện bằng cách luân chuyển các bơm trong suốt một chu kì đã biết, thƣờng là 15 phút, và đo hiệu số mực nƣớc trong các khoang trong suốt chu kì đó. Với kích thƣớc các khoang đã biết trƣớc dễ dàng tính đƣợc lƣu lƣợng nƣớc.  Tháo dỡ các kết cấu đỡ khối chân đế (các gối đỡ và các liên kết khác). Lắp đặt và điều chỉnh chiều cao đƣờng trƣợt trên cầu cảng sao cho mặt đƣờng trƣợt trên cầu cảng bằng với mặt đƣờng trƣợt trên bãi lắp ráp. 4.2.2 Tiến hành hạ thủy  Bơm dằn nƣớc vào sà lan đến khi mặt đƣờng trƣợt trên sà lan bằng với mặt đƣờng trƣợt trên bãi lắp ráp.  Phát động khối chân đế chuyển động bằng 04 kích đẩy đặt phía sau chân đế, đồng thời khi đó Strand Jack cũng căng tải. Theo kinh nghiệm, lực phát động tối đa khoảng 20% trọng lƣợng chân đế.  Sau khi phát động khối chân đế dịch chuyển, lực ma sát sẽ giảm xuống, theo kinh nghiệm, hệ số ma sát khi kéo trƣợt tối đa khoảng 12% khối lƣợng chân đế (480 tấn)  Quá trình kéo trƣợt khối chân đế đƣợc chia thành nhiều bƣớc nhỏ. Tốc độ di chuyển khoảng 30m/h.  Trong quá trình di chuyển khối chân đế có thể dừng lại để chờ cho hệ thống dằn nƣớc đảm bảo cho sà lan luôn tiếp xúc với cầu cảng và mặt sà lan bằng mặt cảng (mức độ chênh lệch tối đa giữa mặt sà lan và mặt cảng là 25mm).  Quá trình kéo trƣợt kết thúc khi khối chân đế nằm hoàn toàn trên sà lan. Tiến hành gia cố 10% so với thiết kế gia cố cho điều kiện vận chuyển chân đế. Sau đó xoay sà lan và cập sà lan song song với mặt cảng.  Tháo dỡ các thiết bị phục vụ hạ thủy, điều chỉnh lƣợng nƣớc dằn trong các khoang của sà lan bằng thiết bị bơm tự động của sà lan đến mớn nƣớc vận chuyển. GVHD: Th.S. Dƣơng Thanh Quỳnh SVTH : Vũ Trọng Chung - MSSV : 273352 - Lớp 52CB3 52
  • 53.
    ĐỒ ÁN TỐTNGHIỆP Thiết Kế Kỹ Thuật Bến Căn Cứ Đóng Mới Giàn Jacket Độ Sâu . Đến 95.7M Nước Hạ Thủy Bằng Phương Pháp Kéo Trượt  Gia cố khối chân đế trên sà lan 100% và tháo các thiết bị phục vụ thi công hạ thủy, sẵn sàng ra biển… 4.2.3 Công tác quản lý an toàn trong quá trình hạ thủy - Những ngƣời tham gia thi công phải học qua khóa học an toàn, có cấp chứng chỉ. Các công tác thi công đều cần có giấy phép làm việc, chỉ có những ngƣời có phận sự hoặc có giấy phép mới đƣợc phép ở khu vực hạ thuỷ để đảm bảo an toàn. - Kiểm soát ngƣời lên, xuống sà lan bằng T-card. Những ngƣời làm việc trên sà lan ở các khu vực nguy hiểm phải mặc áo phao. - Cần phân tích, ngăn ngừa rủi ro của công việc với các tải trọng đặc biệt, hoặc sự cố ngẫu nhiên dễ xảy ra. Đồng thời đề ra các giải pháp khắc phục, sẵn sàng ứng phó nếu sự cố xảy ra. - Cần kiểm tra trang thiết bị khi hạ thuỷ: strand jack, cáp, bộ phận cung cấp năng lƣợng, bơm… đều đƣợc kiểm tra bởi các chuyên gia và chỉ khi có chứng nhận và cấp phép mới đƣợc tiến hành hoạt động hạ thuỷ. - Luôn có một bộ phận sẵn sàng cho nhiệm vụ cứu hộ khi xảy ra hiện tƣợng mất an toàn. - Di chuyển toàn bộ các vật liệu có tính chất nguy hiểm, dễ cháy nổ ra khỏi khu vực hạ thủy. GVHD: Th.S. Dƣơng Thanh Quỳnh SVTH : Vũ Trọng Chung - MSSV : 273352 - Lớp 52CB3 53
  • 54.
    ĐỒ ÁN TỐTNGHIỆP Thiết Kế Kỹ Thuật Bến Căn Cứ Đóng Mới Giàn Jacket Độ Sâu . Đến 95.7M Nước Hạ Thủy Bằng Phương Pháp Kéo Trượt CHƢƠNG 3 THIẾT KẾ KỸ THUẬT BẾN 1. PHẦN MỀM THIẾT KẾ SAP2000 version 7.42, Autocad, một số phần mềm hỗ trợ khác… 2. TÍNH TOÁN CÁC THÔNG SỐ CƠ BẢN CỦA BẾN 2.1 Số liệu tính toán - Số liệu thủy văn (mục 4.3.2 chƣơng 1) - Số liệu sàn lan tính toán (mục 4.1 chƣơng 2) - Khối chân đế - Giàn Chim Sáo đƣợc xây dựng ở khu vực có độ sâu nƣớc trung bình (MSL) 95.7m, mực nƣớc triều kiệt (LAT) 93.51m. Khối chân đế của giàn Chim Sáo có kích thƣớc đƣờng biên là: dài x rộng x cao = 106.8 x 38 x 31.2m, khối lƣợng 3950 tấn, có cấu tạo 4 ống chính (gồm 1 mặt đứng và 3 mặt nghiêng) và có thêm kết cấu Launch Truss nhằm phục vụ thi công hạ thủy. Khoảng cách giữa các đỉnh ống chính theo hai phƣơng là 12.192m và 18.288m. Khối chân đế có 6 mặt ngang với cao độ nhƣ sau: - Mặt D1 ở cao độ (+) 6.000 m - Mặt D2 ở cao độ (-) 10.000 m - Mặt D3 ở cao độ (-) 30.000 m - Mặt D4 ở cao độ (-) 50.000 m - Mặt D5 ở cao độ (-) 71.000 m - Mặt D6 ở cao độ (-) 90.540 m Khối chân đế đƣợc liên kết với đất nền thông qua móng cọc, bao gồm 6 cọc váy. Ngoài ra, KCĐ còn có các kết cấu phụ nhƣ giá cập tàu, sàn chống lún, anodes,… GVHD: Th.S. Dƣơng Thanh Quỳnh SVTH : Vũ Trọng Chung - MSSV : 273352 - Lớp 52CB3 54
  • 55.
    ĐỒ ÁN TỐTNGHIỆP Thiết Kế Kỹ Thuật Bến Căn Cứ Đóng Mới Giàn Jacket Độ Sâu . Đến 95.7M Nước Hạ Thủy Bằng Phương Pháp Kéo Trượt Hình 3.1: Khối chân đế Chim Sáo trong giai đoạn chế tạo - Số liệu tàu tính toán đƣợc cho trong bảng 3.1 Bảng 3.1: Các đặc trưng kĩ thuật của tàu thiết kế. Chiều dài đoạn thẳng Chiều dài Chiều Mớn nƣớc Chiều thành tầu Tải trọng cao rộng Đầy Không Đầy Không Lmax mạn hàng hàng hàng hàng 14.000T 160 m 21.2m 12.3m 9.0m 3.5m 62m 46m GVHD: Th.S. Dƣơng Thanh Quỳnh SVTH : Vũ Trọng Chung - MSSV : 273352 - Lớp 52CB3 55
  • 56.
    ĐỒ ÁN TỐTNGHIỆP Thiết Kế Kỹ Thuật Bến Căn Cứ Đóng Mới Giàn Jacket Độ Sâu . Đến 95.7M Nước Hạ Thủy Bằng Phương Pháp Kéo Trượt Bảng 3.2: Diện tích cản gió của tàu. Diện tích cản gió (m2) Ngang tầu, Aq Dọc tầu ,An Đầy hàng Không hàng Đầy hàng Không hàng 1650 2560 430 540 2.2 Tính toán các thông số cơ bản của bến  Chiều dài bến xác định theo 22TCN 207-92 Lb = Lt,max + d + ld Trong đó: Lb: Chiều dài bến cần tính toán Lt,max: Chiều dài tàu cập bến tính toán. ld: Chiều dài dịch chuyển công nghệ tàu (Bảng 8 – 22TCN207 – 92) d: Khoảng cách dự phòng cho 1 tuyến bến (Bảng 8 – 22TCN207 – 92) d = 20m Lb = 160 + 10 + 2*8 = 186m Nhƣng do địa hình bến ta chọn chiều dài bến: Lb = 186m. Chia bến là 3 phân đoạn, 1 phân đoạn 65m,còn 2 phân đoạn 60,5m Nhƣ vậy khi tính toán cao độ đáy bến sẽ lấy số liệu mớn nƣớc đầy tải của tàu 10000 DWT.  Chiều rộng bến Chiều rộng bến phụ thuộc vào công nghệ bốc xếp trên bến, điều kiện địa chất công trình và mái dốc gầm bến. Chiều rộng bến cầu tầu dọc bờ đƣợc xác định theo công thức sau: B = m.H Trong đó: GVHD: Th.S. Dƣơng Thanh Quỳnh SVTH : Vũ Trọng Chung - MSSV : 273352 - Lớp 52CB3 56
  • 57.
    ĐỒ ÁN TỐTNGHIỆP Thiết Kế Kỹ Thuật Bến Căn Cứ Đóng Mới Giàn Jacket Độ Sâu . Đến 95.7M Nước Hạ Thủy Bằng Phương Pháp Kéo Trượt H - Chiều cao bến. H = 15,7 (m). m - độ dốc ổn định của mái đất dƣới gầm cầu tầu,m= cotg =2 => B = 2,0 x15.7 = 31,4 m. Chọn B = 30 (m)  Xác định các cao trình bến. a mnctk mnttk h t hct h0 Z0+Z1+Z2+Z3 ct®b Z4 C¸c cao tr×nh vµ c¸c chiÒu s©u, chiÒu cao tr-íc bÕn. Hình 3.2 - Sơ đồ xác định cao trình bến  Cao trình mặt bến: ∇ CTMB = ∇ MNCTK + a Trong đó: a = 1 – 2m ( độ vƣợt cao dự trữ cho bảo quản và quá trình bốc xếp). Chọn a = 1,63m ∇ CTMB = +3,87 + 1,63 = 5,5m  Độ sâu chạy tàu đƣợc xác định: Hct = T + Z1 + Z2 + Z3 + Z0 Trong đó: T – mớn nƣớc của tàu tính toán, T = 9,0 m Z1 – dự phòng chạy tàu tối thiểu (đảm bảo an toàn và độ lái tốt của tàu khi chuyển động), bảng 3 – 22TCN222-95: GVHD: Th.S. Dƣơng Thanh Quỳnh SVTH : Vũ Trọng Chung - MSSV : 273352 - Lớp 52CB3 57
  • 58.
    ĐỒ ÁN TỐTNGHIỆP Thiết Kế Kỹ Thuật Bến Căn Cứ Đóng Mới Giàn Jacket Độ Sâu . Đến 95.7M Nước Hạ Thủy Bằng Phương Pháp Kéo Trượt Z1 = 0,06.T = 0,06.9,0 = 0,54 m Z2 – dự phòng cho sóng, bảng 4 – 22TCN222-95: Z2 = 0 Z3 – dự phòng về vận tốc (tính đến sự thay đổi mớn nƣớc của tàu khi chạy so với mớn nƣớc tàu neo đậu khi nƣớc tĩnh), bảng 5 – 22TCN222-95: Z3 = 0,2m Zo = dự phòng cho sự nghiêng lệch của tàu do xếp hàng hóa lên tàu không đều, do hàng hóa bị xê dịch… bảng 6 – 22TCN222-95: Z0 = 0,026B = 0,026.21,2 = 0,55m ( B :Bề rộng bến ) Hct = 9,0 + 0,54 + 0 + 0,2 + 0,55 = 10,29m  Độ sâu thiết kế xác định: Ho = Hct + Z4 Trong đó: Z4 – dự phòng cho sa bồi, bảng 5 – 22TCN222-95: Z4 = 0,4m Ho = 10,29 + 0,4 = 10,69 m  Cao trình đáy bến: ∇ CTDB = ∇ MNTTK – Ho = - 0,42 – 10,69 = -10,27m Chọn ∇ CTDB = -10,2m  Chiều cao trƣớc bến: H = ∇ CTMB - ∇ CTDB = 5,5 - (-10,2) = 15,7m Theo mục 2.3/22TCN222-95: H = 15,7m < 20m  Công trình thuộc cấp III. GVHD: Th.S. Dƣơng Thanh Quỳnh SVTH : Vũ Trọng Chung - MSSV : 273352 - Lớp 52CB3 58
  • 59.
    ĐỒ ÁN TỐTNGHIỆP Thiết Kế Kỹ Thuật Bến Căn Cứ Đóng Mới Giàn Jacket Độ Sâu . Đến 95.7M Nước Hạ Thủy Bằng Phương Pháp Kéo Trượt 2.3 Xây dựng phƣơng án kết cấu bến 2.3.1 Phƣơng án 1: Bệ cọc cao đài mềm trên nền cọc khoan nhồi 2.3.1.1 Kết cấu bến cầu tàu - Chiều dài bến: 186 m - Chiều rộng bến: 30 m - Bến đƣợc chia làm 3 phân đoạn 2 phân đoạn dài 60.5 m và phân đoạn hạ thủy dài 65m , mỗi phân đoạn cách có khe cách nhau 2cm. - Bản cầu tàu dày 300mm, vị trí đặt cẩu dày 1600mm. - Dùng cát có  = 1,8 T/m3, = 25 để lấp nền. 2.3.1.2 Kết cấu 1 phân đoạn - Nền cọc: Kết cấu dạng bệ cọc cao đài mềm gồm hệ dầm, bản BTCT trên nền cọc khoan nhồi BTCT. - Kết cấu cọc khoan nhồi BTCT M400, đƣờng kính D = 1000mm theo phƣơng ngang cầu tàu gồm 7 hàng cọc với bƣớc cọc a = 4.5 m, cọc ngoài cùng cách mép bến 1,5m. Theo phƣơng dọc bến mỗi phân đoạn gồm 15 hàng cọc, bƣớc cọc là a = 4.1 m . MÆT C¾T II-II Hình 3.3 – Mặt cắt ngang bến Phương án 1 GVHD: Th.S. Dƣơng Thanh Quỳnh SVTH : Vũ Trọng Chung - MSSV : 273352 - Lớp 52CB3 59
  • 60.
    ĐỒ ÁN TỐTNGHIỆP Thiết Kế Kỹ Thuật Bến Căn Cứ Đóng Mới Giàn Jacket Độ Sâu . Đến 95.7M Nước Hạ Thủy Bằng Phương Pháp Kéo Trượt - Chiều dài cọc Ltb = 40m. - Cọc ngàm sâu vào trong lớp đá gốc  3m. - Cọc nhồi đƣợc chôn các ống thép D110mm và D50mm khi thi công đổ bê tông để phục vụ công tác khoan lấy lõi, siêu âm kiểm tra chất lƣợng cọc. - Thi công cọc khoan nhồi sử dụng ống vách bằng tôn  =6mm đƣờng kính 1100m đƣợc hạ sâu hơn mặt đất 3m, phía trên cao hơn đáy đài  3m, sau khi bê tông cọc đủ cƣờng độ đục tẩy đoạn trên 25cm, giữ nguyên cốt thép chủ của cọc để liên kết với đài, bê tông cọc nằm sâu trong đài 5cm. - Dầm ngang: Kết cấu bằng BTCT M400 đá 2x4 đổ tại chỗ,tiết diện bxh = 90x160cm, chiều dài 30m. - Dầm dọc: Kết cấu bầng BTCT M400 đá 2x4 đổ tại chỗ, tiết diện dầm bxh = 90x160cm, chiều dài 60,5m. - Bản mặt cầu: Kết cấu BTCT M300 đá 1x2 đổ tại chỗ, bản dầy 30cm - Lớp phủ mặt cầu: Bằng bê tông B15 dày trung bình 20cm - Hào công nghệ: để lắp đặt mạng kỹ thuật nhƣ : cấp điện, cấp nƣớc cho tàu, cấp nƣớc cứu hỏa, mạng thong tin liên lạc..đƣợc bố trí dọc theo mép ngoài cầu tầu ,kích thƣớc: sâu 1.0m , rộng 1.2m .Nắp hào bằng tấm đan BTCT đúc sẵn dày 20cm - Bích neo tàu: Trên cầu chính bố trí 11 bích neo bằng gang đúc loại 70T. Bích neo có đƣờng kính ngoài 381mm, chiều cao 600mm, liên kết giữa bích neo tàu với đầu dầm ngang bằng 5 bu lông d = 70mm, chiều dài 850mm chôn sẵn khi đổ bê tông dầm bản. - Đệm tàu: Bến sử dụng bộ đệm tàu loại V-1000H . Đệm tàu đƣợc treo cách quãng và trùng với vị trí đầu dầm ngang, liên kết giữa đệm và bản tựa tàu bằng các bu lông M60 đặt sẵn trong quá trình đổ bê tông. - Phân đoạn hạ thủy Kết cấu cọc khoan nhồi BTCT M400, đƣờng kính D = 1000mm theo phƣơng ngang cầu tàu gồm 20 hàng cọc, cọc ngoài cùng cách mép bến 1,5m. Theo phƣơng dọc bến mỗi phân đoạn gồm 7 hàng cọc, bƣớc cọc là a = 4.5m, cọc ngoài cùng cách mép 1,5m. 2.3.1.3.Kè sau bến (kè gầm bến) - Kết cấu kè mái nghiêng bằng đá hộc kết hợp tƣờng góc BTCT mác 400 đá 1x2 trên nền cọc BTCT 40x40 đóng hoa mai .Bƣớc cọc theo phƣơng dọc kè 2m , theo phƣơng ngang kè: có 4 hàng cọc cách nhau 2.0m , hai hàng cọc ngoài đóng thẳng, hai hàng trong đóng xiên 1 : 10 .Đóng cừ PU18 hoặc loại tƣơng đƣơng , dài 12m dọc theo mép ngoài tƣờng góc đƣợc để ngăn nƣớc và chống xói chân tƣờng góc khi thi công u tầu .Chiều dài cọc dự kiến 30m, chiều dìa chính thức sẽ đƣợc quyết định trong bƣớc thiết kế BVTC sau GVHD: Th.S. Dƣơng Thanh Quỳnh SVTH : Vũ Trọng Chung - MSSV : 273352 - Lớp 52CB3 60
  • 61.
    ĐỒ ÁN TỐTNGHIỆP Thiết Kế Kỹ Thuật Bến Căn Cứ Đóng Mới Giàn Jacket Độ Sâu . Đến 95.7M Nước Hạ Thủy Bằng Phương Pháp Kéo Trượt khi có kết quả thử cọc. Bản đáy tƣờng góc rộng 5.5m dầy 1m, tƣờng mặt cao 2.5m , trên đỉnh dầy 0.4m chân tƣờng tiếp giáp với bản đáy dầy 0.7m - Phần kè mái nghiêng bằng đá hộc G>60kg/viên dầy 2m , mái kè m=1.5 , bên trong là tầng lọc ngƣợc bằng đá dăm kết hợp vải địa kỹ thuật dầy 20cm . Chân khay bằng đá hộc G>60kg/viên , đỉnh chân khay rộng 3m ,mái chân khay m=2 Bảng 3.3: Bảng tổng hợp khối lƣợng chính bến Căn cứ phƣơng án 1 TT Hạng mục công trình Đ.vị Khối luợng 1 Cọc BTCT D1000cm, ; L=40m m 21600 2 BTCT bản mặt cầu tầu mác 400, đá 1x2 m3 1771 3 Dầm BTCT tiết diện 0,9x1,6m m3 5718 4 BTCT tƣờng góc mác 400, đá 1x2 m3 1.703,0 5 Cọc BTCT 40cm x 40cm, L=30m m 11.880,0 6 Cừ PU 25, L=18m tấn 84,2 7 Cừ PU 18, L12m tấn 161,5 8 Kè gầm bến (phần mái nghiêng) m 290,0 2.3.2Phƣơng án 2: Bệ cọc cao đài mềm trên nền cọc bê tông cốt thép thƣờng 2.3.2.1.Kết cấu bến cầu Chiều dài cầu chính : 186m Chiều rộng cầu chính : 30m Bến đƣợc chia làm 3 phân đoạn mỗi phân đoạn hạ thủy 65m , 2 phân đoạn hàng hóa 60,5m Dùng cát có  = 1,8 T/m3, = 25 để lấp nền. 2.3.2.2.Kết cấu 1 Phân đoạn - Nền cọc: Kết cấu dạng bệ cọc cao đài mềm gồm hệ dầm, bản BTCT trên nền cọc bê tông cốt thép thƣờng. GVHD: Th.S. Dƣơng Thanh Quỳnh SVTH : Vũ Trọng Chung - MSSV : 273352 - Lớp 52CB3 61
  • 62.
    ĐỒ ÁN TỐTNGHIỆP Thiết Kế Kỹ Thuật Bến Căn Cứ Đóng Mới Giàn Jacket Độ Sâu . Đến 95.7M Nước Hạ Thủy Bằng Phương Pháp Kéo Trượt - Kết cấu cọc bê tông cốt thép thƣờng M400, có tiết diện 50x50cm.Bƣớc cọc theo phƣơng ngang 2.75m, mỗi khung ngang có 9 hàng cọc trong đó 5 hàng cọc đóng thẳng đứng , 2 hàng cọc đóng xiên âm 1/8, 2 cọc đóng xiên dƣơng 1/8, các cọc đƣợc đóng so le xoay không gian từ 150 -250 đảm bảo không đụng nhau .Bƣớc cọc theo phƣơng dọc trung bình 3.1m, riêng dƣới đƣờng trƣợt giữa của phân đoạn 2 đƣợc đóng bổ sung 2 hàng cọc. MÆT C¾T II-II Hình 3.4 – Mặt cắt ngang bến Phương án 2 - Dầm ngang: Kết cấu bằng BTCT M400,đá 2x4 đổ tại chỗ, dầm ngang tiết diện bxh = 90x160cm, chiều dài 30m. - Dầm dọc: Kết cấu bằng BTCT M400 đá 2x4 đổ tại chỗ, dầm dọc tiết diện dầm bxh = 90x160cm, chiều dài 60.5m GVHD: Th.S. Dƣơng Thanh Quỳnh SVTH : Vũ Trọng Chung - MSSV : 273352 - Lớp 52CB3 62
  • 63.
    ĐỒ ÁN TỐTNGHIỆP Thiết Kế Kỹ Thuật Bến Căn Cứ Đóng Mới Giàn Jacket Độ Sâu . Đến 95.7M Nước Hạ Thủy Bằng Phương Pháp Kéo Trượt - Bản mặt cầu: Kết cấu BTCT M300 đá 1x2 đổ tại chỗ, bản dầy 30cm - Lớp phủ mặt cầu: Bằng bê tông B15 dày trung bình 20cm - Hào công nghệ: để lắp đặt mạng kỹ thuật nhƣ : cấp điện, cấp nƣớc cho tàu , cấp nƣớc cứu hỏa , mạng thong tin liên lạc…đƣợc bố trí dọc theo mép ngoài cầu tàu , kích thƣớc : sâu 1.0m , rộng 1.2m .Nắp hào bằng các tấm đan BTCT đúc sẵn dày 20 cm. - Để đảm bảo an toàn cho ngƣời và phƣơng tiện hoạt động trên mặt cầu tàu , dọc theo mép bến có bố trí gờ chắn xe bằng BTCT .Gờ chắn xe cao 30cm và rộng 30cm , đƣợc vát góc và thân gờ đƣợc sơn phủ bằng 2 màu sơn phản quang tạo vạch an toàn. - Bích neo tàu: Bố trí 11 bích neo bằng gang đúc loại 70T. Bích neo có đƣờng kính ngoài 381mm, chiều cao 600mm, liên kết giữa bích neo tàu với đầu dầm ngang bằng 5 bu lông d = 72mm, chiều dài 850mm chôn sẵn khi đổ bê tông dầm bản. - Đệm tàu: Bến sử dụng bộ đệm tàu loại V- 1000H. Đệm tàu đƣợc treo cách quãng và trùng với vị trí đầu dầm ngang, liên kết giữa đệm và bản tựa tàu bằng các bulông M42 đặt sẵn trong quá trình đổ bê tông. 2.3.2.3.Kè sau bến (kè gầm bến) - Kết cấu kè mái nghiêng bằng đá hộc m=2 kết hợp tƣờng góc BTCT mác 400 đá 1x2 trên nền cọc BTCT 40cmx40cm đóng hoa mai. Bƣớc cọc theo phƣơng dọc kè : 2m thep phƣơng ngang kè : có 4 hàng cọc cách nhau 2.0m , hai hàng cọc ngoài đóng thẳng, hai hàng trong đóng xiên 1:10 .Đóng cừ PU18 hoặc loại tƣơng đƣơng dài 12m dọc theo mép ngoài tƣờng góc để ngăn nƣớc và chống xói chân tƣờng góc khi thi công u tầu .Chiều dài cọc dự kiến là 30m , chiều dài cọ chính thức sẽ đƣợc quyết định trong bƣớc thiết kế BVTC sau khi có kết quả thử cọc .Bản đáy tƣờng góc rộng 5.5m dầy 1m , tƣờng mặt cao 2.5m , trên đỉnh dầy 0.4m chân tƣờng tiếp ráp với bản đáy dầy 0.7 GVHD: Th.S. Dƣơng Thanh Quỳnh SVTH : Vũ Trọng Chung - MSSV : 273352 - Lớp 52CB3 63
  • 64.
    ĐỒ ÁN TỐTNGHIỆP Thiết Kế Kỹ Thuật Bến Căn Cứ Đóng Mới Giàn Jacket Độ Sâu . Đến 95.7M Nước Hạ Thủy Bằng Phương Pháp Kéo Trượt Bảng 3.4: Bảng tổng hợp khối lƣợng chính bến Căn cứ phƣơng án 2 TT Hạng mục công trình Đ.vị Khối lƣợng 1 Cọc BTCT 50cmx 50cm L=40m m 36.200,0 2 BTCT dầm bản cầu tầu mác 400, đá 1x2 m3 13.567,0 3 BTCT tƣờng góc mác 400, đá 1x2 m3 703,0 4 Cọc BTCT 40cm x 40cm, L=30m m 4.830,0 5 Cừ thép PU 25, L=18m tấn 84,2 6 Cừ thép PU 18, L12m tấn 121,5 7 Kè gầm bến (phần mái nghiêng) m 134,0 8 Thay cát lòng bến m3 47.700,0 9 Các hạng mục khác t.bộ 1 2.3.3 So sánh lựa chọn phƣơng án 2.3.3.1Phƣơng án 1 cọc khoan nhồi - Ưu điểm: + Cọc khoan nhồi có sức chịu tải lớn. + Có thể ngàm sâu vào trong đất cứng. + Phù hợp địa chất có lớp đá gốc gần với mặt đất, vì nó có thể ngàm vào trong đá. - Nhược điểm : + Chi phí tốn kém + Cần chặt chẽ trong công tác kiểm tra chất lƣợng cọc. 2.3.3.2 Phƣơng án 2 cọc BTCT thƣờng - Ưu điểm : + Dễ chế tạo + Dễ kiểm tra chất lƣợng cọc khi đúc + Gía thành rẻ hơn so với cọc khoan nhồi - Nhược điểm : GVHD: Th.S. Dƣơng Thanh Quỳnh SVTH : Vũ Trọng Chung - MSSV : 273352 - Lớp 52CB3 64
  • 65.
    ĐỒ ÁN TỐTNGHIỆP Thiết Kế Kỹ Thuật Bến Căn Cứ Đóng Mới Giàn Jacket Độ Sâu . Đến 95.7M Nước Hạ Thủy Bằng Phương Pháp Kéo Trượt + Chiều dài cọc co giới hạn, khi chiều dài cọc lớn phải nối cọc, khi đó không đảm bảo chất lƣợng cọc + Khi lớp địa chất có lớp đá gốc thi cọc không thể ngàm sâu vào đƣợc 2.3.3.3Lựa chọn phương án kết cấu hợp lý Bảng3.5 : Đánh giá phƣơng án. TT Tiêu chí PA1 PA2 1 Chi phí xây dựng x 2 Dễ thi công x Khả năng tìm kiếm và lựa chọn nhà thầu trong 3 xx xx nƣớc 4 Thời gian thi công x x 5 Thuận lợi trong vận hành và khai thác xx xx 6 Khả năng giáp nối với giai đoạn sau xx xx 7 Khả năng tận dụng vật liệu địa phƣơng x x 8 Mức khả thi theo điều kiện địa chất xx xx 9 Sức chịu tải. xx xx 10 Kinh nghiệm xây dựng trong nƣớc xx xx Cộng điểm 15x 14x Ghi chú x: Trội hơn theo hƣớng thuận lợi. Từ kết quả so sánh trên cho thấy phƣơng án 1 có nhiều thuận lợi hơn, kiến nghị lựa chọn phƣơng án 1 làm phƣơng án thiết kế cho dự án. GVHD: Th.S. Dƣơng Thanh Quỳnh SVTH : Vũ Trọng Chung - MSSV : 273352 - Lớp 52CB3 65
  • 66.
    ĐỒ ÁN TỐTNGHIỆP Thiết Kế Kỹ Thuật Bến Căn Cứ Đóng Mới Giàn Jacket Độ Sâu . Đến 95.7M Nước Hạ Thủy Bằng Phương Pháp Kéo Trượt MÆT C¾T II-II Hình 3.5 - Mặt cắt ngang Phân đoạn 1- phướng án đã chọn GVHD: Th.S. Dƣơng Thanh Quỳnh SVTH : Vũ Trọng Chung - MSSV : 273352 - Lớp 52CB3 66
  • 67.
    ĐỒ ÁN TỐTNGHIỆP Thiết Kế Kỹ Thuật Bến Căn Cứ Đóng Mới Giàn Jacket Độ Sâu . Đến 95.7M Nước Hạ Thủy Bằng Phương Pháp Kéo Trượt Hình 3.6 - Mặt bằng và mặt cắt dọc bến – phương án đã chọn GVHD: Th.S. Dƣơng Thanh Quỳnh SVTH : Vũ Trọng Chung - MSSV : 273352 - Lớp 52CB3 67
  • 68.
    ĐỒ ÁN TỐTNGHIỆP Thiết Kế Kỹ Thuật Bến Căn Cứ Đóng Mới Giàn Jacket Độ Sâu . Đến 95.7M Nước Hạ Thủy Bằng Phương Pháp Kéo Trượt 3. TÍNH TOÁN TẢI TRỌNG TÁC DỤNG LÊN BẾN 3.1 Tải trọng trên mặt bến 3.1.1.Tải trọng do hàng hóa: Tải trọng hàng hóa phân bố đều: q = 4T/m2 Hình 3.7 : Sơ đồ khai thác tải trọng hàng hóa 3.1.2.Tải trọng do cần trục 750T: Áp lực dƣới vệt bánh xích là 25T/m2 2 25 T/m 25 T/m2 Hình 3.8 : Sơ đồ phân bố tải trọng của cẩu bánh xích 3.1.3.Tải trọng KCĐ xuống đƣờng trƣợt - G: Trọng lƣợng KCĐ , G = 3950 T. - Fms:Lực ma sát. - H: Tải trọng tập trung theo phƣơng ngang - P: Tải trọng tác dụng lên từng gối đỡ GVHD: Th.S. Dƣơng Thanh Quỳnh SVTH : Vũ Trọng Chung - MSSV : 273352 - Lớp 52CB3 68
  • 69.
    ĐỒ ÁN TỐTNGHIỆP Thiết Kế Kỹ Thuật Bến Căn Cứ Đóng Mới Giàn Jacket Độ Sâu . Đến 95.7M Nước Hạ Thủy Bằng Phương Pháp Kéo Trượt Hình 3.9 : Sơ đồ phân bố tải trọng lên đƣờng trƣợt  Tải trọng tác động lên gối đỡ P1 và P2: P1,2 = k1.G/2 trong đó: k1: Hệ số phân phối không đồng đều, k=1,4 G: Trọng lƣợng khối chân đế, G = 3950 T thay số có P1,2 = 1,4 3950/ 2 = 2765T Tại gối P1/P2 có 2 máng trƣợt có chiều dài 12 m. áp lực lên một đƣờng trƣợt đƣợc xác định theo công thức. P1, 2 p  k2  Gg 2.l trong đó: k2: Hệ số vƣợt tải, k2 = 1,2 Gg: Trọng lƣợng, xác định sơ bộ Gg = 1,8T/m l: Chiều dài gối đỡ 2765 p  1,2  1,8  140T / m 2.12 Lực tác dụng do khối chân đế lên đƣờng trƣợt trong quá trình trƣợt là tải trọng di động phân bố đều trên chiều dài bằng với chiều dài của gối đỡ. GVHD: Th.S. Dƣơng Thanh Quỳnh SVTH : Vũ Trọng Chung - MSSV : 273352 - Lớp 52CB3 69
  • 70.
    ĐỒ ÁN TỐTNGHIỆP Thiết Kế Kỹ Thuật Bến Căn Cứ Đóng Mới Giàn Jacket Độ Sâu . Đến 95.7M Nước Hạ Thủy Bằng Phương Pháp Kéo Trượt  Lực ma sát Lực ma sát xuất hiện khi khối chân đế di chuyển, lực ma sát đƣợc xác định nhƣ sau: Fms = (G + 4.l.Gg).kms trong đó: kms: Hệ số ma sát, kms = 0,05 thay số có: Fms = (3950+ 4.12.1.8)0,05 = 202 T Lực ma sát tác dụng dƣới một gối đỡ bằng: fms = 202/ 4 =50.5 T Lực ma sát tác dụng lên đƣờng trƣợt trong quá trình trƣợt là tải trọng phân bố đều dƣới gối đỡ và có chiều theo chiều chuyển động của khối chân đế.Quy đổ từ lực tập trung thành phân bố để nhập vào sơ đồ tính.  Tải trọng ngang Lực kéo KCĐ phải có giá trị: H  P.k Với k là hệ số ma sát giữa máng trƣợt và đƣờng trƣợt . Do ban đầu KCĐ chƣa chuyển động nên nó có sức ì với k = 0.16  0.2 nên lực kéo để thắng đƣợc sức ì ban đầu là (Chọn k = 0.2): H0 = 3950 x 0,2 =790T Khi KCĐ đã có chuyển động thì cần duy trì lực kéo tối thiểu là (Chọn k =0.05): H = 3950 x 0,05 = 197.5T Vậy tải trọng tập trung theo phƣơng ngang dọc một trục dầm đƣờng trƣợt khi kéo cấu kiện: Tại mép ngoài bến : H = 790/2 = 395T Tại mép trong bến : H‟ = (790 -Fms) = (790 -202)/2 = 294T Khi cấu kiện nằm trên toàn bộ chiều rộng bến và phần còn lại nằm trên phao. GVHD: Th.S. Dƣơng Thanh Quỳnh SVTH : Vũ Trọng Chung - MSSV : 273352 - Lớp 52CB3 70
  • 71.
    ĐỒ ÁN TỐTNGHIỆP Thiết Kế Kỹ Thuật Bến Căn Cứ Đóng Mới Giàn Jacket Độ Sâu . Đến 95.7M Nước Hạ Thủy Bằng Phương Pháp Kéo Trượt -Tải trọng phân bố thẳng đứng :140T/m - Tải trọng phân bố theo phƣơng ngang do ma sát giữa gối trƣợt đỡ cấu kiện và đƣờng trƣợt Fms = 50.5/12 = 4,3T/m -Tải trọng tập trung theo phƣơng ngang dọc trục dầm đƣờng trƣợt khi kéo cấu kiện: Tại mép ngoài bến : H =197.5T Tại mép trong bến : H‟ = 0 T  Tải trọng do khối chân đế Đƣờng trƣợt đƣợc dùng để hạ thuỷ đƣợc dàn cố định bằng thép có tổng tải trọng 4968 T. Tải trọng tác dụng lên đƣờng trƣợt đƣợc xác định nhƣ sau: Tại gối P1/P2 có 2 máng trƣợt có chiều dài 12 m. áp lực lên một đƣờng trƣợt 2765 p  1,2  1,8  140T / m 2.12 Lực ma sát tác dụng dƣới một gối đỡ bằng: fms = 202/ 4 =50.5 T Lực tác dụng do khối chân đế lên đƣờng trƣợt trong quá trình trƣợt là tải trọng di động phân bố đều trên chiều dài bằng với chiều dài của gối đỡ. Tại mép ngoài bến : H = 790/2 = 395 T Tại mép trong bến : H‟ = (790 -Fms) = (790 -202)/2 = 294T 3.2 Tải trọng do tàu tác dụng lên công trình Điều kiện khai thác bến - Chiều cao sóng : hs  0,5m - Vận tốc dòng chảy : Vdc  0,81m/s - Vận tốc gió cấp 8 : Vgió  20,7m/s, khi có bão (tốc độ gió trên cấp 8) tàu phải rời bến và tìm nơi an toàn - Tốc độ cập : Vcập  0,15m/s GVHD: Th.S. Dƣơng Thanh Quỳnh SVTH : Vũ Trọng Chung - MSSV : 273352 - Lớp 52CB3 71
  • 72.
    ĐỒ ÁN TỐTNGHIỆP Thiết Kế Kỹ Thuật Bến Căn Cứ Đóng Mới Giàn Jacket Độ Sâu . Đến 95.7M Nước Hạ Thủy Bằng Phương Pháp Kéo Trượt 3.3.1. Tải trọng do tàu tác dụng lên bến: 3.3.1.1. Tải trọng gió tác dụng lên tàu : - Theo tiêu chuẩn nghành 22TCN 222 – 1995 ta có: +)Thành phần lực dọc: Wn  49.0 x105 xAn xVn2 xdoc +)Thành phần lực ngang: Wq  73.6 x105 xAq xVq2 xngang Trong đó: Aq và An : diện tích cản gió theo hƣớng ngang và theo hƣớng dọc của vật nổi, m2. Vq và Vn : thành phần vận tốc gió ngang và thành phần dọc tàu  : là hệ số lấy theo Bảng 26 quyển tiêu chuẩn nghành 22TCN 222 – 1995 - Tàu có thông số: Bề rộng tàu: Bt = 21.2m ta có  doc = 1 L  Chiều dài tàu: t = 160m ta có ngang = 0.57 - Ta có Bảng kết quả tính toán tải trọng gió nhƣ sau: Bảng 3.6: Kết quả tính toán tải trọng gió tác dụng lên tàu Vq , Vn (m/s) Wq(KN) Wn(KN) Trƣờng Hợp TT Aq (m2) An (m2) Tính Khai Thác Khai Thác Khai Thác 1 Tàu đầy hàng 1650 430 20 284.41 84.280 2 Tàu không hàng 2560 540 20 441.27 105.84 GVHD: Th.S. Dƣơng Thanh Quỳnh SVTH : Vũ Trọng Chung - MSSV : 273352 - Lớp 52CB3 72
  • 73.
    ĐỒ ÁN TỐTNGHIỆP Thiết Kế Kỹ Thuật Bến Căn Cứ Đóng Mới Giàn Jacket Độ Sâu . Đến 95.7M Nước Hạ Thủy Bằng Phương Pháp Kéo Trượt 3.3.1.2. Tải trọng do dòng chảy tác dụng lên tàu: Theo tiêu chuẩn nghành 22TCN 222 – 1995 ta có: Qw  0,59. AL .Vt 2 N w  0,59. At .VL2 Trong đó : Qw ; Nw : Thành phần ngang và dọc của lực dòng chảy (KN) Vt ; VL : Thành phần ngang và dọc của vận tốc dòng chảy tính toán (m/s) AL ; At : Diện tích chắn nƣớc theo hƣớng ngang và hƣớng dọc tàu (m2) Với : AL ; At đƣợc xác định nhƣ sau: AL = T. Lw At = T. Bt Trong đó : T : là độ mớn nƣớc của tàu Lw : là chiều dài hai đƣờng vuông góc Bt : là bề rộng tàu Ta có Bảng kết quả tính toán tải trọng dòng chảy nhƣ sau: GVHD: Th.S. Dƣơng Thanh Quỳnh SVTH : Vũ Trọng Chung - MSSV : 273352 - Lớp 52CB3 73
  • 74.
    ĐỒ ÁN TỐTNGHIỆP Thiết Kế Kỹ Thuật Bến Căn Cứ Đóng Mới Giàn Jacket Độ Sâu . Đến 95.7M Nước Hạ Thủy Bằng Phương Pháp Kéo Trượt Bảng 3.7: Bảng kết quả tính toán tải trọng dòng chảy tác dụng lên tàu Trƣờng Hợp TT AL (m2) At (m2) VL(m/s) Vt (m/s) Qw(KN) N(KN) Tính 1 Tàu đầy tải 1296 190.8 1.5 1.5 1720.44 253.287 2 Tàu không tải 504 74.2 1.5 1.5 669.06 98.500 3.3.1.3. Tổng hợp lực do gió và dòng chảy tác dụng lên tàu : - Thành phần ngang : Q = W q + Qω - Thành phần dọc : N = Wn + N ω Bảng 3.8: Tổng hợp lực do gió và dòng chảy Thành phần ngang Thành phần dọc Trƣờng hợp tính Wq Qω Q Wn Nω N Tàu đầy hàng 284.41 1720.44 2004.85 84.28 253.287 337.567 Tàu không hàng 441.27 669.06 1110.33 105.84 98.500 204.34 3.3.1.4. Tải trọng do sóng Trị số lớn nhất của thành phần nằm ngang Q và của thành phần dọc N của lực nằm ngang do sóng tác động lên ụ nổi hoặc bến phao có tàu đang neo cập ở bến đƣợc xác định theo công thức sau: Q   . 1..g.h. Angang N   ..g.h. Adoc Trong đó: Angang, Adoc - đƣợc xác định nhƣ phần diện tích cản gió trên.  - Hệ số lấy Theo 22 TCN 222 – 95 – Hình 32 trang 521 [2]  1 - Hệ số lấy Theo 22 TCN 222 – 95 – Bảng 27 trang 522 [2] GVHD: Th.S. Dƣơng Thanh Quỳnh SVTH : Vũ Trọng Chung - MSSV : 273352 - Lớp 52CB3 74
  • 75.
    ĐỒ ÁN TỐTNGHIỆP Thiết Kế Kỹ Thuật Bến Căn Cứ Đóng Mới Giàn Jacket Độ Sâu . Đến 95.7M Nước Hạ Thủy Bằng Phương Pháp Kéo Trượt 1 phụ thuộc vào tỉ số at/ trong đó : at : Kích thƣớc nằm ngang lớn nhất của bề mặt chắn nƣớc theo chiều dọc của vật thể nổi, đƣợc xác định nhƣ hình dƣới đây: Lt= 160 m Ht=12 a ,3 m t T Lq= 146m Bảng 3.9: Bảng kết quả tính toán tải trọng sóng tác dụng lên tàu Trƣờng hợp T at (m) ngang doc 1 Q (kN) N(kN) Đầy hàng 9 190.8 0,55 0,55 0,415 1485.71 527.06 Không hàng 3,5 74.2 0,77 0,77 0,415 808.89 286.96 3.3.1.4. Tải trọng do tựa tàu: - Theo tiêu chuẩn nghành 22TCN 222 – 1995 thì tải trọng phân bố q (KN/m) do tàu neo đậu ở bến tựa lên công trình dƣới tác động của song gió và dòng chảy đƣợc xác định theo công thức sau: Qtot Wngang  Q  Q q  1,1.  1,1. Ld Ld Trong đó : Qtot : là lực ngang do tác động tổng hợp của sóng, gió, dòng chảy. GVHD: Th.S. Dƣơng Thanh Quỳnh SVTH : Vũ Trọng Chung - MSSV : 273352 - Lớp 52CB3 75
  • 76.
    ĐỒ ÁN TỐTNGHIỆP Thiết Kế Kỹ Thuật Bến Căn Cứ Đóng Mới Giàn Jacket Độ Sâu . Đến 95.7M Nước Hạ Thủy Bằng Phương Pháp Kéo Trượt Ld : là chiều dài đoạn tiếp xúc giữa tàu và công trình - Theo tiêu chuẩn nghành 22TCN 222 – 1995 thì chiều dài đoạn tiếp xúc giữa tàu và công trình Ld chính là chiều dài đoạn thẳng tàu trong bảng số liệu các thông số về tàu. - Nhận thấy Lbến = 186 (m) > ld = 62 (m)suy ra: +) Tàu đầy hàng : Ld = 62m +) Tàu không hàng : Ld = Ldk = 46m - Ta có Bảng tính toán tải trọng tựa tàu nhƣ sau: Bảng 3.10: Kết quả tính toán tải trọng tựa tàu Ld Qtot q TT Trƣờng Hợp Tính (m) (KN) (KN) 1 Tàu đầy hàng 62 2004.85 35.57 2 Tàu không hàng 46 1110.33 26.55 3.3.1.5. Tải trọng va tàu khi cập bến : - Theo tiêu chuẩn nghành 22TCN 222 – 1995. Khi tàu cập vào công trình bến cảng thì động năng va của tàu Eq ( KJ) đƣợc xác định theo công thức: Dv 2 Eq   2 Trong đó: D : là lƣợng rẽ nƣớc của tàu tính toán (T), D = 20000T . v : là thành phần vuông góc ( với mặt trƣớc công trình) của tốc độ cập tàu, m/s, lấy theo Bảng 29 Tiêu chuẩn nghành 22TCN 222 – 1995. Vói lƣợng rẽ nƣớc D = 20000T tra Bảng 29 ta có v = 0.12m/s. GVHD: Th.S. Dƣơng Thanh Quỳnh SVTH : Vũ Trọng Chung - MSSV : 273352 - Lớp 52CB3 76
  • 77.
    ĐỒ ÁN TỐTNGHIỆP Thiết Kế Kỹ Thuật Bến Căn Cứ Đóng Mới Giàn Jacket Độ Sâu . Đến 95.7M Nước Hạ Thủy Bằng Phương Pháp Kéo Trượt  : là hệ số, lấy theo Bảng 30, trong đó nếu tàu cập bến là tàu rỗng hoặc tàu chỉ có nƣớc đối trọng thì các giá trị của  lấy giảm đi 15%. Tra Bảng 30 ta đƣợc :  = 0.55 20000.(0,11) 2  Vậy : Eq  0,55.  66,55( KJ ) 2 - Chọn loại đệm tàu V-1000H có các đặc điểm sau: - Vật liệu và hình dạng : Cao su hình thang rỗng - Phƣơng pháp treo : Liên kết cứng - Chiều dài tiêu chuẩn : L = 3m - Chiều cao : H = 1000 mm - Trị số biến dạng giới hạn : x = 450mm - Dung năng biến dạng : Ee = 78 kJ - Phản lực : Fq = 225 kN - Theo quy tắc tra đồ thị: Tiêu chuẩn nghành 22TCN 222 – 1995. Hình 33: Sơ đồ dựng đồ thị quan hệ giữa đọ biến dạng của thiết bị đệm (và công trình bến) ft với năng lượng va tàu Eq và lực va tàu Fq . - Tra theo hƣớng của đƣờng nét đứt ở đồ thị trên với loại đệm V-1000H ta tra theo đồ thị hình 9, phụ lục 6, chuẩn nghành 22TCN 222 – 1995. Ta có: +) Lực va tàu theo phƣơng vuông góc với mép bến là : Fq = 175 kN +) Thành phần lực song song với mép bến Fn của lực va khi tàu cập vào công trình đƣợc xác định theo công thức: GVHD: Th.S. Dƣơng Thanh Quỳnh SVTH : Vũ Trọng Chung - MSSV : 273352 - Lớp 52CB3 77
  • 78.
    ĐỒ ÁN TỐTNGHIỆP Thiết Kế Kỹ Thuật Bến Căn Cứ Đóng Mới Giàn Jacket Độ Sâu . Đến 95.7M Nước Hạ Thủy Bằng Phương Pháp Kéo Trượt Fn =  Fq  Fn = 0.5x175 = 87.5kN ( Với  là hệ số ma sát phụ thuộc vào vật liệu làm đệm tàu, cao su  = 0.5 260 100 120 120 400 A 220 360 220 800 Hình 3.10: Đệm Tàu V-1000H 3.3.1.6. Tải trọng neo tàu : - Theo tiêu chuẩn nghành 22TCN 222 – 1995 thì Lực neo đƣợc xác định bằng cách phân phối thành phần vuông góc với mép bến của lực Q (kN). Lực Q bao gồm lực do gió và do dòng chảy tác động lên một tàu tính toán. - Lực neo S (kN) tác động lên một bích neo không phụ thuộc vào số lƣợng tàu buộc dây neo vào bích neo đó và đƣợc xác định theo công thức : Qwt S nSin Cos Trong đó: Qwt : là hợp lực của lực gió và dòng chảy, n : là số bích neo chịu lực, đƣợc xác định theo Bảng 31- Tiêu chuẩn nghành 22TCN 222 – 1995, tra bảng ta có n = 4 ,  : là góc nghiêng của dây neo, đƣợc xác định theo Bảng 32- Tiêu chuẩn nghành 22TCN 222 – 1995 ta có: GVHD: Th.S. Dƣơng Thanh Quỳnh SVTH : Vũ Trọng Chung - MSSV : 273352 - Lớp 52CB3 78
  • 79.
    ĐỒ ÁN TỐTNGHIỆP Thiết Kế Kỹ Thuật Bến Căn Cứ Đóng Mới Giàn Jacket Độ Sâu . Đến 95.7M Nước Hạ Thủy Bằng Phương Pháp Kéo Trượt Sv S sn  BÝch  neo Sq TuyÕn mÐp bÕn Hình 3.11: Sơ đồ phân bố lực neo trên một bích neo Lực neo song song với mép bến : Sn = S.cos.cos Lực neo vuông góc với mép bến : Sq = S.sin.cos Lực nhổ của dây neo: Sv =S.sin Bảng 3.11: Tính giá trị hình chiếu các ngoại lực lên dây neo Góc nghiêng của dây neo, độ. Loại tàu Vị trí bích neo β, độ α, độ Tàu đầy hàng Tàu không hàng Tàu biển Tại mép bến 30 20 40 Bảng 3.12 : Tính giá trị hình chiếu các ngoại lực lên dây neo TẢI TRỌNG NEO TÀU Trƣờng hợp α(˚) β(˚) Qt, (kN) S (kN) Sn (kN) Sq (kN) Sv (kN) n Đầy hàng 30 40 4 2004.85 1066.8 868.12 501.21 364.85 Không hàng 30 20 4 1110.33 724.71 480.78 277.58 465.83 Nhận xét : Tải trọng neo tàu khi chƣa có hàng (S=27,76 (Tấn)) nhỏ hơn tải trọng neo tàu khi đầy hàng (S=50,1 (Tấn)), do đó dùng giá trị S = 50,1 (Tấn) để chọn bích neo tàu. GVHD: Th.S. Dƣơng Thanh Quỳnh SVTH : Vũ Trọng Chung - MSSV : 273352 - Lớp 52CB3 79
  • 80.
    ĐỒ ÁN TỐTNGHIỆP Thiết Kế Kỹ Thuật Bến Căn Cứ Đóng Mới Giàn Jacket Độ Sâu . Đến 95.7M Nước Hạ Thủy Bằng Phương Pháp Kéo Trượt Tra bảng 11.3 công trình bến cảng, chọn loại bích neo HW70 để bố trí trên bến. Bảng 3.13: Thông số neo HW70 Lực A B C D E F G H Số Loại căng hiệu bích m m m m m m m m bulon Tấn m m m m m m m m HW70 629 990 990 712 381 534 305 95 7 70 Hình 3.12: Bích Neo HW 70 GVHD: Th.S. Dƣơng Thanh Quỳnh SVTH : Vũ Trọng Chung - MSSV : 273352 - Lớp 52CB3 80
  • 81.
    ĐỒ ÁN TỐTNGHIỆP Thiết Kế Kỹ Thuật Bến Căn Cứ Đóng Mới Giàn Jacket Độ Sâu . Đến 95.7M Nước Hạ Thủy Bằng Phương Pháp Kéo Trượt 3.4 Tổng hợp kết quả tính toán tải trọng lớn nhất do tàu tác dụng Tải trọng lớn nhất do tàu tác dụng lên công trình ghi theo bảng sau : Tải trọng do tàu tác dụng lên công trình Bảng 3.13 - Tổng hợp kết quả lớn nhất do tàu tác dụng TT Hạng mục Đơn vị Kết quả 1 Tải trọng tựa tàu T/m 3.56 2 Tải trọng neo tàu Lực căng dây neo S T 106.67 Thành phần vuông góc với mép bến Sq T 50.1 Thành phần song song với mép bến Sn T 86.81 Thành phần thẳng đứng với mặt bến Sv T 36.48 3 Tải trọng va tàu Thành phần vuông góc với mép bên Fq T 175 Thành phần song song với mép bến Fn T 87.5 GVHD: Th.S. Dƣơng Thanh Quỳnh SVTH : Vũ Trọng Chung - MSSV : 273352 - Lớp 52CB3 81
  • 82.
    ĐỒ ÁN TỐTNGHIỆP Thiết Kế Kỹ Thuật Bến Căn Cứ Đóng Mới Giàn Jacket Độ Sâu . Đến 95.7M Nước Hạ Thủy Bằng Phương Pháp Kéo Trượt 4.TÍNH TOÁN KẾT CẤU 4.1 Chiều dài tính toán của cọc - Sơ đồ tính là sơ đồ dầm, bản không gian trên nền cọc Hình 4.1: Sơ đồ tính toán bến Chiều dài cọc tính toán,theo tiêu chuẩn thiết kế cảng biển 22-TCN207-92 l = Ho ± hgd + hz ptc hƣớng vào bến nên hgd lấy dấu „-„ GVHD: Th.S. Dƣơng Thanh Quỳnh SVTH : Vũ Trọng Chung - MSSV : 273352 - Lớp 52CB3 82
  • 83.
    ĐỒ ÁN TỐTNGHIỆP Thiết Kế Kỹ Thuật Bến Căn Cứ Đóng Mới Giàn Jacket Độ Sâu . Đến 95.7M Nước Hạ Thủy Bằng Phương Pháp Kéo Trượt P Ho  ltt hgd hz Hình 3.12 – Sơ đồ tính Chiều dài tính toán của cọc l = Ho − hgd + hz Với Ho: Chiều dài từ tâm dầm ngang đến mái dốc hgd : Chiều cao từ mái dốc đến mặt phẳng nằm ngang giả định. hz : Độ sâu tính toán của điểm ngàm giả định hz = 0,82h′z +hz h′z : Độ sâu điểm ngàm giả định hz: Gia số độ sâu, trƣờng hợp này, hz=0 2K n . nc . n. mđ . P h′ z = + co − c o 2 γtc . m . D. mn Kn: Hệ số đảm bảo, xét đến tầm quan trọng và cấp công trình, kn =1,25 nc: Hệ số tổ hợp tải trọng, nc=1 n: hệ số vƣợt tải, với công trình bến cảng lấy n=1,25 mđ : Hệ số phụ thuộc điều kiện làm việc, mđ = 1,15 P : Lực ngang tác dụng lên cọc γtc : dung trọng đất m : Hiệu số các hệ số áp lực bị động và áp lực chủ động khi mặt đất nằm ngang. GVHD: Th.S. Dƣơng Thanh Quỳnh SVTH : Vũ Trọng Chung - MSSV : 273352 - Lớp 52CB3 83
  • 84.
    ĐỒ ÁN TỐTNGHIỆP Thiết Kế Kỹ Thuật Bến Căn Cứ Đóng Mới Giàn Jacket Độ Sâu . Đến 95.7M Nước Hạ Thủy Bằng Phương Pháp Kéo Trượt m = p − n = tg2 450 + 0,5φ − tg2 (450 − 0,5φ) D: Đƣờng kính ngoài của cọc φ : Góc ma sát trong của đất nền c: Lực dính đơn vị của đất nền c co = mn . γtc . tgφ mn : Hệ số tăng lực kháng của đất do sự chịu lực theo không gian của cọc Chọn hz = 2 ÷ 3 D 8h3 − (2hz + D − L)3 z mn = 1 + 0,041 Dh2z L: Khoảng cách giữa tim hai cọc gần nhất m hgd = hz 1 − mθ mθ : Hiệu số các hệ số áp lực bị động và áp lực chủ động với mặt đất nằm nghiêng. 1 1 mθ = pθ − nθ = cos 2 φ 2 − 2 1− z 1+ z sinφsin⁡ + θp ) (φ z= cosθp θ: Góc nghiêng mái dốc θp = θcosφ *Phân đoạn không đƣờng trƣợt : Bảng 4.1 –Chiều dài cọc tính toán phân đoạn không đường trượt Hàng A Hàng B Hàng C Hàng D Hàng E Hàng F Hàng G H0 14,49 12,51 10,97 9,26 6,16 3,05 2,2 ltt 20,49 18,51 16,97 15,26 12,16 9,05 8,2 GVHD: Th.S. Dƣơng Thanh Quỳnh SVTH : Vũ Trọng Chung - MSSV : 273352 - Lớp 52CB3 84
  • 85.
    ĐỒ ÁN TỐTNGHIỆP Thiết Kế Kỹ Thuật Bến Căn Cứ Đóng Mới Giàn Jacket Độ Sâu . Đến 95.7M Nước Hạ Thủy Bằng Phương Pháp Kéo Trượt *Phân đoạn có đƣờng trƣợt : GVHD: Th.S. Dƣơng Thanh Quỳnh SVTH : Vũ Trọng Chung - MSSV : 273352 - Lớp 52CB3 85
  • 86.
    ĐỒ ÁN TỐTNGHIỆP Thiết Kế Kỹ Thuật Bến Căn Cứ Đóng Mới Giàn Jacket Độ Sâu . Đến 95.7M Nước Hạ Thủy Bằng Phương Pháp Kéo Trượt Bảng 4.2 –Chiều dài cọc tính toán phân đoạn có đường trượt Hàng Hàng Hàng Hàng Hàng Hàng Hàng Hàng Hàng Hàng A B C D E F G H I K H0 17.09 15.78 14.45 13.57 12.89 10.83 8.76 6.69 4.80 4.8 ltt 20.09 18.78 17.45 16.57 15.89 13.83 11.76 9.69 7.80 7.80 4.2 Tổ hợp tải trọng Phần mềm sử dụng là SAP2000 Để xác định nội lực của các cấu kiện, sử dụng chƣơng trình SAP2000 Nonlinear Version 7.42, phần mềm này dùng phƣơng pháp phần tử hữu hạn giải quyết các bài toán tĩnh, động, tuyến tính, phi tuyến, phẳng và không gian. Công trình đƣợc mô hình hóa là hệ không gian kể đến sự làm việc đồng thời của cọc, dầm, bản. Các cấu kiện đƣợc mô tả nhƣ sau: Cọc đƣợc mô tả bằng phần tử FRAME với tiết diện hình tròn Dầm đƣợc mô tả bằng phân tử FRAME với tiết diện hình chữ nhật Bản đƣợc mô tả bằng phần tử SHELL * Tổ hợp tải trọng cơ bản : Bao gồm tải trọng thƣờng xuyên , tải trọng tạm thời tác động kéo dài , cùng với một trong số các tải trọng tạm thời tác động nhanh. Căn cứ vào tổ hợp tải trọng cơ bản ta có hai tổ hợp tải trọng tính toán nhƣ sau : Tổ hợp 1: Tải trọng bản thân cầu tàu + tải do hàng hoá xếp trên bến + tải trọng do cần trục + tải do neo tàu. Tổ hợp 2: Tải trọng bản thân cầu tàu + tải do hàng hoá xếp trên bến + tải trọng do cần trục + tải do va tàu. Tổ hợp 3: Tải trọng bản thân cầu tàu + tải do hàng hoá xếp trên bến + tải trọng do cần trục + tải do tựa tàu. Tổ hợp 4: Bao gồm tổ hợp của 3 tổ hợp tải trọng trên. GVHD: Th.S. Dƣơng Thanh Quỳnh SVTH : Vũ Trọng Chung - MSSV : 273352 - Lớp 52CB3 86
  • 87.
    ĐỒ ÁN TỐTNGHIỆP Thiết Kế Kỹ Thuật Bến Căn Cứ Đóng Mới Giàn Jacket Độ Sâu . Đến 95.7M Nước Hạ Thủy Bằng Phương Pháp Kéo Trượt TH 1 2 3 4 5 6 7 8 9 10 11 12 13 14 15 16 17 18 19 20 BT X X X X X X X X X X X X X X X X X X X X NEO X X X X X X X X X X X X X X X X X X X VA X CT1 X X X X X X X X X CT2 X X X X X X X X X HH1 X X X X X X X X X X HH2 X X X X X X X X HH3 X X X X X X HH4 X X X X X X HH5 X X X X HH6 X X X X HH7 X X X X HH8 X X X X TH 21 22 23 24 25 26 27 28 29 30 31 32 33 34 35 36 37 38 39 40 BT X X X X X X X X X X X X X X X X X X X X NEO VA MOVING X X X X X X X X X CT1 X X X X X X X X X X X CT2 X X X X X X X X X X X GVHD: Th.S. Dƣơng Thanh Quỳnh SVTH : Vũ Trọng Chung - MSSV : 273352 - Lớp 52CB3 87
  • 88.
    ĐỒ ÁN TỐTNGHIỆP Thiết Kế Kỹ Thuật Bến Căn Cứ Đóng Mới Giàn Jacket Độ Sâu . Đến 95.7M Nước Hạ Thủy Bằng Phương Pháp Kéo Trượt HH1 X X X X X X X X X X X HH2 X X X X X X X X X HH3 X X X X X X X HH4 X X X X X X HH5 X X X X X HH6 X X X X X HH7 X X X X X HH8 X X X X X 5. TÍNH TOÁN CÁC CẤU KIỆN 5.1 Phân đoạn không đƣờng trƣợt 5.1.1 Kết quả nội lực - Kết quả nội lực đƣợc thể hiện phụ lục 1 5.1.2Tính toán bê tông côt thép cấu kiện 5.1.2.1 Tài liệu tính toán và tiêu chuẩn thiết kế -Tính toán BTCT các kết cấu công trình tuân theo TCVN-4116-85,TCXDVN327- 2005,TCXDVN356-2005. -Bản dùng bêtông M400, cốt thép AI,AII -Cọc dùng cọc khoan nhồi D1000 -TCVN 222-92 -Chiều rộng mở rộng vết nứt cho phép [ a] = 0,08mm GVHD: Th.S. Dƣơng Thanh Quỳnh SVTH : Vũ Trọng Chung - MSSV : 273352 - Lớp 52CB3 88
  • 89.
    ĐỒ ÁN TỐTNGHIỆP Thiết Kế Kỹ Thuật Bến Căn Cứ Đóng Mới Giàn Jacket Độ Sâu . Đến 95.7M Nước Hạ Thủy Bằng Phương Pháp Kéo Trượt 5.1.2.2 Nguyên tắc tính toán  Tính toán cấu kiện BTCT theo TTGH I: Độ bền - Tính toán trên tiết diện thẳng góc Cấu kiện chịu uốn, tiết diện chữ nhật, chiều cao vùng BT chịu nén X là: 2.k n .n c .M X = h0 - h0  2 m b .R n .b Trong đó: mb : Hệ số điều kiện làm việc của bê tông. Cấu kiện có chiều cao sƣờn nhỏ hơn 60cm, mb = 1,0 Cấu kiện có chiều cao sƣờn lớn hơn hoặc bằng 60cm, mb = 1,15 ho : Chiều cao làm việc của tiết diện, ho = h - a h : Chiều cao tiết diện tính toán a : Khoảng cách từ trọng tâm cốt thép chịu kéo đến cạnh gần nhất của tiết diện tính toán. b : Chiều rộng của tiết diện tính toán. M : Mômen tính toán tại tiết diện, M = n.Mo Với Mo là giá trị mômen nội lực trong cấu kiện. Nếu X < 2a' và <R: Tính toán với tiết diện đặt cốt đơn, diện tích thép chịu kéo Fa là : mb .Rnp .b Fa = .X ma .Ra GVHD: Th.S. Dƣơng Thanh Quỳnh SVTH : Vũ Trọng Chung - MSSV : 273352 - Lớp 52CB3 89
  • 90.
    ĐỒ ÁN TỐTNGHIỆP Thiết Kế Kỹ Thuật Bến Căn Cứ Đóng Mới Giàn Jacket Độ Sâu . Đến 95.7M Nước Hạ Thủy Bằng Phương Pháp Kéo Trượt Trong đó : a' : Khoảng cách từ trọng tâm cốt thép chịu nén đến cạnh gần nhất của tiết diện tính toán .  , R: Chiều cao tƣơng đối vùng chịu nén của bê tông . ma :Hệ số điều kiện làm việc của cốt thép. Khi số thanh thép nhỏ hơn 10, ma = 1.1. Khi số thanh thép lớn hơn hoặc bằng 10, ma = 1.15. Nếu 2a'  X R . ho: Tính với tiết diện cốt kép. Khi biết Fa': 2.k n .n c .M  m a .R an .Fa' h 0  a ' X = h0 - h  2 0 m b .R n .b m b .R np .b.X  m a .R an .Fa' Fa = m a .R a Nếu chƣa biết Fa' , bố trí thép đối xứng thì: k n .n c .M Fa = Fa' = m a .R a .(h 0  a ' ) Nếu X >R.ho: Tăng kích thƣớc tiết diện, hoặc tăng Mác bê tông và tính lại. - Tính toán trên tiết diện nghiêng Kiểm tra điều kiện đảm bảo BT không bị phá hoại trên tiết diện nghiêng: kn.nc.Q  0,25.mb3.Rnp.b.ho Trong đó GVHD: Th.S. Dƣơng Thanh Quỳnh SVTH : Vũ Trọng Chung - MSSV : 273352 - Lớp 52CB3 90
  • 91.
    ĐỒ ÁN TỐTNGHIỆP Thiết Kế Kỹ Thuật Bến Căn Cứ Đóng Mới Giàn Jacket Độ Sâu . Đến 95.7M Nước Hạ Thủy Bằng Phương Pháp Kéo Trượt Q là lực cắt tính toán. Q = n . Qo (với Qo là lực cắt trong kết cấu). Nếu không thoả mãn phải tăng kích thƣớc tiết diện hoặc tăng mác bê tông. Nếu thoả mãn thì tính kiểm tra điều kiện làm việc trên tiết diện nghiêng. Kiểm tra điều kiện bê tông đủ khả năng chịu lực cắt, không cần phải tính toán cốt ngang 2 k.R k .b.h 0 kn.nc.Q  mb. C Trong đó: h0 2.R a .Fa C= ; k = 0,5 + 2. = 0,5 + tg b.h 0 .R np 2 tg = và 0,5  1,5 M tt 1 Q tt .h 0 Nếu không thoả mãn điều kiện trên, phải tính toán cấu kiện đặt cốt ngang. Tính toán cốt đai khi không đặt cốt xiên: 2 Qxb = 2 k . m b . R p . b . h 0 . q x 2.R a .Fa với k = 0,5 + 2. = 0,5 + b.h 0 .R np 2 m a . R ax . Fx m b .k.R k .b.h 0 qx = và Umax = u k n .n c .Q GVHD: Th.S. Dƣơng Thanh Quỳnh SVTH : Vũ Trọng Chung - MSSV : 273352 - Lớp 52CB3 91
  • 92.
    ĐỒ ÁN TỐTNGHIỆP Thiết Kế Kỹ Thuật Bến Căn Cứ Đóng Mới Giàn Jacket Độ Sâu . Đến 95.7M Nước Hạ Thủy Bằng Phương Pháp Kéo Trượt Tính toán cốt ngang: kn . nc . Q1 ma . Rax . Fx + ma . Rax . Fo . sin  + mb . Qb Q1 = Q - Qo + W . Cos - Tính toán cấu kiện chịu nén cục bộ Điều kiện tính toán: kn. nc . N cm . mb . Rem . Fem Trong đó: N : Tải trọng nén cục bộ. em: Hệ số, cm = 1: Khi tải trọng cụ bộ là phân bố đều trên diện chịu nén. cm = 0,75 :Khi tải trọng cục bộ phân bố không đều trên diện chịu ép. Rem: Cƣờng độ chịu ép mặt của bê tông. Ft Rem = R np .3 Fem Fem : Diện tích ép mặt, chân đế cần trục 30 x 30cm. - Tính toán ép lõm (chọc thủng) Kết cấu bản bê tông cốt thép không có cốt ngang, điều kiện tính toán: kn . nc . P  mb . Rk . btb . h0 Trong đó: P : Lực ép lõm (chọc chủng tính toán), P = n . P0 btb: Trị số trung bình của chu vi phía trên và phía dƣới tháp ép lõm trong phạm vi chiều cao h0, góc nghiêng của mặt hông tháp ép lõm là = 450. GVHD: Th.S. Dƣơng Thanh Quỳnh SVTH : Vũ Trọng Chung - MSSV : 273352 - Lớp 52CB3 92
  • 93.
    ĐỒ ÁN TỐTNGHIỆP Thiết Kế Kỹ Thuật Bến Căn Cứ Đóng Mới Giàn Jacket Độ Sâu . Đến 95.7M Nước Hạ Thủy Bằng Phương Pháp Kéo Trượt  Tính toán cấu kiện BTCT theo TTGH II: Độ mở rộng vết nứt Độ mở rộng vết nứt cho phép [an] = 0.08mm Chiều dày lớp bảo vệ cốt thép ao: ao 50 mm đối với cốt chịu lực. ao 30 mm đối với cốt phân bố và cốt đai. Độ mở rộng vết nứt an:  a   bd an = k.Cd.. .7(4 - 100). d (mm) Ea Điều kiện tính toán : an [ an ] Trong đó: k : Hệ số, đƣợc lấy nhƣ sau: Cấu kiện chịu uốn, nén lệch tâm, k = 1.0; Cấu kiện chịu kéo trung tâm và lệch tâm, k = 1.2; Cấu kiện bố trí nhiều lớp thép, k = 1.2. Cd : Hệ số tải trọng, với tải trọng tạm thời ngắn hạn lấy C d = 1.0; Với tải trọng thƣờng xuyên và tải trọng tạm thời dài hạn lấy Cd = 1.3.  : Hệ số cốt thép: Đối với cốt thép thanh có gờ,  = 1.0; Đối với cốt thép thanh trơn,  = 1.4; Đối với cốt thép sợi có gờ,  = 1.2; sợi trơn  = 1.5. a : ứng suất kéo của cốt thép. M x a  với Z  h 0  Fa .Z 2 o : ứng suất kéo ban đầu của thép.  : Hàm lƣợng cốt thép trong cấu kiện, =Fa/b.ho. GVHD: Th.S. Dƣơng Thanh Quỳnh SVTH : Vũ Trọng Chung - MSSV : 273352 - Lớp 52CB3 93
  • 94.
    ĐỒ ÁN TỐTNGHIỆP Thiết Kế Kỹ Thuật Bến Căn Cứ Đóng Mới Giàn Jacket Độ Sâu . Đến 95.7M Nước Hạ Thủy Bằng Phương Pháp Kéo Trượt d : Đƣờng kính cốt thép, trƣờng hợp có nhiều loại thép thì d đƣợc tính theo biểu thức sau: m n d i 1 i 2 i d= m n d i 1 i i di : Đƣờng kính của thanh thép thứ i ni : Số thanh thép có đƣờng kính là i m : Số đƣờng kính khác nhau của thanh thép trong tiết diện 5.1.3 Tính toán và kiểm tra ổn định Cũng nhƣ các loại công trình bến khác, bến đƣợc kiểm tra ổn định sâu theo 1 trong 2 phƣơng pháp: Phƣơng pháp trƣợt cung tròn và Mặt trƣợt gẫy khúc. Đối với cầu tàu ổn định đƣợc tạo bởi ma sát giữa các cọc với đất và trong thành phần gây tạo ổn định bao giờ có lực cắt của cọc. Tính ổn định trƣợt sâu theo phƣơng pháp trƣợt cung tròn. Công thức kiểm tra: kn.nc.n.mđ.Mtr< m.Mg Trong đó: kn : Hệ số tin cậy phụ thuộc vào cấp công trình. Đối với công trình cấp III : kn = 1,15 nc : Hệ số tổ hợp tải trọng,với tải trọng cơ bản,nc = 1 mđ: Hệ số điều kiện làm việc bổ sung phụ thuộc vào đặc điểm khi tính trƣợt cung tròn theo bài toán phẳng mđ = 0,75 m: Hệ số điều kiện làm việc m = 1,15 n: Hệ số vƣợt tải n = 1,25 Mg Tổng mô men giữ (tổng mô men của các lực chống trƣợt) GVHD: Th.S. Dƣơng Thanh Quỳnh SVTH : Vũ Trọng Chung - MSSV : 273352 - Lớp 52CB3 94
  • 95.
    ĐỒ ÁN TỐTNGHIỆP Thiết Kế Kỹ Thuật Bến Căn Cứ Đóng Mới Giàn Jacket Độ Sâu . Đến 95.7M Nước Hạ Thủy Bằng Phương Pháp Kéo Trượt Mg = R[gicos itg i + cili + Qci] Mtr : Tổng mô men của các lực gây trƣợt Mtr = RgisinI ci : Lực dính của đất nền nằm ở đáy cung trƣợt của dải thứ i. Qi : Lực chống cắt của cấu kiện bị cắt qua li : Chiều dài đoạn cung ở đáy cột thứ i.  i : Góc nghiêng của bán kính trƣợt qua điểm giữa đáy của dải thứ i. Ta đƣa công thức kiểm tra về dạng sau: Kn< mMg./(Mtr.nc.mđ) Đặt kn* = mMg./(Mtr.nc.mđ) Tính kn* cho một số cung trƣợt khác nhau và so sánh để chọn ra kn*min để so sánh mức độ ổn định của công trình. 5.1.3.1Xác định lực cắt cọc Xác định lực cắt cọc theo điều 13.20-22TCN 207-92: Qi = (4Mc)/(tz.L) Trong đó: L: Khoảng cách cọc theo tuyến mép bến. Mc: Mô men uốn của cọc khi cọc bị cắt. Mc= (p - a).lc.lz2/8 tz : Nửa chiều dài đoạn cọc bị uốn giữa 2 mặt phẳng ngàm lc : Chiều dài đoạn thẳng mà trong phạm vi đó áp lực chủ động và áp lực bị động của đất của đất truyền lên cọc. lc = L khi L  3d lc = 3dc khi L > 3d dc= 1m : đƣờng kính cọc.  lc = 3.1 = 3 m. GVHD: Th.S. Dƣơng Thanh Quỳnh SVTH : Vũ Trọng Chung - MSSV : 273352 - Lớp 52CB3 95
  • 96.
    ĐỒ ÁN TỐTNGHIỆP Thiết Kế Kỹ Thuật Bến Căn Cứ Đóng Mới Giàn Jacket Độ Sâu . Đến 95.7M Nước Hạ Thủy Bằng Phương Pháp Kéo Trượt p : áp lực bị động của đất. a : áp lực chủ động của đất. tz = tn/1,25 tn :Khoảng cách từ mặt trƣợt đến chân cọc. a = (qtc + tc.hi). a - c.ac c: Lực dính của đất. Lực cắt cọc đƣợc tính cùng với kiểm tra ổn định trƣợt sâu của đất. 5.1.3.2Xác định vị trí tâm trƣợt nguy hiểm + Đƣa cao trình mặt bến và cao trình đáy bến tƣơng ứng có điểm A và B. + Từ điểm A lấy xuống một đọan bằng cao trình đáy bến . + Kẻ tiếp 1 đƣờng thẳng có chiều dài 4,5H = 66,15 m. (điểm D). + Từ điểm D kẻ 1 đƣờng thẳng nối với điểm A . Khi đó các tâm trƣợt sẽ nằm trên đƣờng thẳng này. + Từ C (trung điểm của AB) kẻ đƣờng thẳng đứng cắt BD kéo dài tại O1 ta đƣợc 1 tâm trƣợt + Từ O1 kẻ một cung tròn có bán kính O1B ta đƣợc cung trƣợt nguy hiểm Vậy: R = 30 m 5.1.3.3Kiểm tra ổn định trƣợt sâu Kiểm tra ổn định trƣợt sâu theo công thức: m Nc.n.Mtr.mđ< .Mg Kn Tiến hànhkiểm tra ổn định với tâm trƣợt O1 : GVHD: Th.S. Dƣơng Thanh Quỳnh SVTH : Vũ Trọng Chung - MSSV : 273352 - Lớp 52CB3 96
  • 97.
    ĐỒ ÁN TỐTNGHIỆP Thiết Kế Kỹ Thuật Bến Căn Cứ Đóng Mới Giàn Jacket Độ Sâu . Đến 95.7M Nước Hạ Thủy Bằng Phương Pháp Kéo Trượt O2 x O O1 y 5.1.3.4Kết quả kiểm tra ổn định Kết quả tính toán đƣợc thể hiện ở phần Phụ Lục 1 Mg = R[Σ gicosa itgj i + Σ cili + Σ Qci] =2321.1 Mtr = R Σ gisinaI =674.55 kn = Mg/ Mtr =3.4 Kết luận:kết cấu đảm bảo ổn định 5.1.4 Kiểm tra sức chịu tải của cọc Sức chịu tải của cọc đƣợc kiểm tra theo điều kiện : P≥Q.a Trong đó : Q.a - Sức chịu tải cho phép của cọc (T) P - Lực nén trong cọc lớn nhất tại mũi cọc (T) 5.1.4.1Xác định sức chịu tải cho phép của cọc Sức chịu tải cho phép của cọc theo vật liệu làm cọc và theo đất nền. GVHD: Th.S. Dƣơng Thanh Quỳnh SVTH : Vũ Trọng Chung - MSSV : 273352 - Lớp 52CB3 97
  • 98.
    ĐỒ ÁN TỐTNGHIỆP Thiết Kế Kỹ Thuật Bến Căn Cứ Đóng Mới Giàn Jacket Độ Sâu . Đến 95.7M Nước Hạ Thủy Bằng Phương Pháp Kéo Trượt Kết quả thể hiện trong phần Phụ Lục 1 sức chịu tải của cọc. 5.1.4.2Xác định lực nén trong cọc Lực nén trong cọc lớn nhất tại mũi cọc đƣợc tính toán : P=P1 +P2 (T) Với : P1- Lực nén lớn nhất trong cọc tính theo phần mềm SAP 2000(T). P2- Trọng lƣợng bản thân cọc Kết quả Tính toán lực nén trong cọc đƣợc thể hiện trong bảng phụ lục1. Sức chịu nén của cọc theo đất nền Pn =Ф/ Ktc =469.10T Sức chịu tải cọc theo vật liệu làm cọc P =Ra.Fa+ Rnp.Fb =1482.50T Nội lực tính toán: N max = 246,70T N tt = kn.nc.n.mđ.Nmax + G= 386,875T Kết luận: cọc đảm bảo sức chịu tải theo đất nền 5.2 Thiết kế phân đoạn có đƣờng trƣợt 5.2.1 Kết quả nội lực - Kết quả nội lực đƣợc thể hiện phụ lục 2 5.2.2 Tính toán cấu kiện bê tông cốt thép - Kết quả tính toán đƣợc thể hiện ở phần phụ lục 2. 5.2.3Tính toán và kiểm tra ổn định Kết quả tính toán đƣợc thể hiện ở phần phụ lục 2. Mg = R[Σ gicosa itgj i + Σ cili + Σ Qci] =2321.1 Tm Mtr = R Σ gisinaI = 674.55 Tm GVHD: Th.S. Dƣơng Thanh Quỳnh SVTH : Vũ Trọng Chung - MSSV : 273352 - Lớp 52CB3 98
  • 99.
    ĐỒ ÁN TỐTNGHIỆP Thiết Kế Kỹ Thuật Bến Căn Cứ Đóng Mới Giàn Jacket Độ Sâu . Đến 95.7M Nước Hạ Thủy Bằng Phương Pháp Kéo Trượt kn = Mg/ Mtr= 3.4 Kết luận: Đảm bảo ổn định trƣợt sâu 5.2.4Kiểm tra sức chịu tải của cọc Kết quả kiểm tra đƣợc thể hiện ở phần phụ lục 2 sức chịu tải của cọc. Sức chịu nén của cọc theo đất nền Pn =Ф/ Ktc = 315.14T Sức chịu tải cọc theo vật liệu làm cọc P =Ra.Fa+ Rnp.Fb = 543.004 T Nội lực tính toán: N max = 146,910T N tt = kn.nc.n.mđ.Nmax + G= 189,61T Kết luận: Cọc đảm bảo sức chịu tải theo đất nền 5.3 Thiết kế phân đoạn tƣờng góc sau bến 5.3.1 Tính toán nội lực 5.3.1.1.Sơ đồ và phƣơng pháp tính - Sơ đồ tính là sơ đồ bản không gian trên nền cọc - Phần mềm sử dụng SAP2000 5.3.1.2 Tải trọng lựa chọn tính toán - Tải trọng bản thân ( Do phần mềm tự tính ) - Tải trọng do cần trục 750T  Khi cần trục chạy vuông góc với mép bến + Tải trọng tác dụng lên bản mặt tƣờng góc : 1 = q.tg2(450-/2) Trong đó : GVHD: Th.S. Dƣơng Thanh Quỳnh SVTH : Vũ Trọng Chung - MSSV : 273352 - Lớp 52CB3 99
  • 100.
    ĐỒ ÁN TỐTNGHIỆP Thiết Kế Kỹ Thuật Bến Căn Cứ Đóng Mới Giàn Jacket Độ Sâu . Đến 95.7M Nước Hạ Thủy Bằng Phương Pháp Kéo Trượt q : Tải trọng phân bố do cần trục (q = 25T/m2)  : Góc ma sát trong của lớp cát lấp ( =30 0) Khi đó : 1 = q.tg2(450-/2) =25.tg2(450-30/2) = 8,32T/m2 + Tải trọng tác động lên bản đáy tƣờng góc : 25.10.1,5 2   6.7T / m2 1,5  2.2,5.tg (30 )  . 10  2,5.tg (30 )   0   0   Khi cần trục chạy song song với mép bến + TH1 : Khi cần trục chạy sát mép tƣờng góc : 1 = q.tg2(450-/2) Trong đó : q : Tải trọng phân bố do cần trục (q = 15 T/m2)  : Góc ma sát trong của lớp cát lấp ( =30 0) Khi đó : 1 = q.tg2(450-/2) =15.tg2(450-30/2) = 5,00 T/m2 - Tải trọng tác động lên bản đáy tƣờng góc : 15.10.1,5 2   4.1T / m2 1,5  2.2,5.tg (30 )  . 10  2,5.tg (30 )   0   0  + TH2 : Khi cần trục không chạy sát mép tƣờng góc : - Tải trọng tác động lên bản đáy tƣờng góc : 25.10.1,5 2   6.7T / m2 1,5  2.2,5.tg (30 )  . 10  2.2,5.tg (30 )   0   0  GVHD: Th.S. Dƣơng Thanh Quỳnh SVTH : Vũ Trọng Chung - MSSV : 273352 - Lớp 52CB3 100
  • 101.
    ĐỒ ÁN TỐTNGHIỆP Thiết Kế Kỹ Thuật Bến Căn Cứ Đóng Mới Giàn Jacket Độ Sâu . Đến 95.7M Nước Hạ Thủy Bằng Phương Pháp Kéo Trượt + Áp lực đất Xem phụ lục áp lực đất tác dụng lên tường góc 5.3.1.1.2Tính toán cấu kiện bê tông cốt thép - Kết quả tính toán đƣợc thể hiện ở phần phụ lục 3 5.3.1.2.Kết quả nội lực - Kết quả nội lực đƣợc thể hiện ở phần phụ lục 3 5.3.2. Tính toán cấu kiện bê tông cốt thép - Kết quả tính toán đƣợc thể hiện ở phần phụ lục 3 5.3.3.Kiểm tra sức chịu tải của cọc - Kết quả kiểm tra đƣợc thể hiện ở phụ lục 3 sức chịu tải của cọc 5.4 Thiết Kế Phân Đoạn Đƣờng Trƣợt 5.4.1.Sơ đồ và phƣơng pháp tính - Sơ đồ tính là sơ đồ bản không gian trên nền cọc. - Đƣờng trƣợt đƣợc thiết kế dƣới dạng bản trên nền cọc. - Cọc BTCT tiết diện tròn D1000 mm , chiều dài 40m .Cọc đƣợc đóng thành 2 hàng với bƣớc cọc 3.0m - Bản đƣờng trƣợt bằng BTCT ,dày 160cm .Trên mặt đƣờng trƣợt có bản thép 12mm 5.4.2. Tải trọng tác dụng và tổ hợp tải trọng a)Tải trọng bản thân - Tải trọng bản thân đƣợc phần mềm phân tích kết cấu tự động tính toán b)Tải trọng do khối chân đế GVHD: Th.S. Dƣơng Thanh Quỳnh SVTH : Vũ Trọng Chung - MSSV : 273352 - Lớp 52CB3 101
  • 102.
    ĐỒ ÁN TỐTNGHIỆP Thiết Kế Kỹ Thuật Bến Căn Cứ Đóng Mới Giàn Jacket Độ Sâu . Đến 95.7M Nước Hạ Thủy Bằng Phương Pháp Kéo Trượt - Đƣờng trƣợt đƣợc dùng để hạ thủy đƣợc dàn cố định bằng thép có tổng tải trọng 3950T. Tải trọng tác dụng lên đƣờng trƣợt đƣợc xác định nhƣ sau : - Tại gối P1/P2 có 2 máng trƣợt có chiều dài 12 m. Áp lực lên một đƣờng trƣợt p=140T/m - Lực ma sát tác dụng dƣới mỗi đƣờng trƣợt bằng : fms = 202/ 4 =50.5 T - Lực tác dụng do khối chân đế lên đƣờng trƣợt trong quá trình trƣợt là tải trọng di động phân bố đều trên chiều dài bằng với chiều dài của máng trƣợt : + Tại mép ngoài mép bến : H =790/2 =395T + Tại mép trong bến : H‟ = (790 -Fms) = (790 -202)/2 = 294T c)Tổ hợp tải trọng -Các trƣờng hợp tác động lên đƣờng trƣợt gồm : + Tải trọng bản thân (BT) + Tải trọng do khối chân đế (KCĐ) + Lực ma sát (MS) -Phần mền sử dụng SAP2000 Để xác định nội lực của các cấu kiện, sử dụng chƣơng trình SAP2000 Nonlinear Version 7.42 của Mỹ, phần mềm này dùng phƣơng pháp phần tử hữu hạn giải quyết các bài toán tĩnh, động, tuyến tính, phi tuyến, phẳng và không gian. Công trình đƣợc mô hình hóa là hệ không gian kể đến sự làm việc đồng thời của cọc, dầm, bản. Các cấu kiện đƣợc mô tả nhƣ sau: Cọc đƣợc mô tả bằng phần tử FRAME với tiết diện hình tròn GVHD: Th.S. Dƣơng Thanh Quỳnh SVTH : Vũ Trọng Chung - MSSV : 273352 - Lớp 52CB3 102
  • 103.
    ĐỒ ÁN TỐTNGHIỆP Thiết Kế Kỹ Thuật Bến Căn Cứ Đóng Mới Giàn Jacket Độ Sâu . Đến 95.7M Nước Hạ Thủy Bằng Phương Pháp Kéo Trượt Dầm đƣợc mô tả bằng phân tử FRAME với tiết diện hình chữ nhật Bản đƣợc mô tả bằng phần tử SHELL 5.4.3.Kết quả nội lực Kết quả nội lực đƣợc thể hiện ở phụ lục 4 5.4.4.Tính toán cấu kiện bê tông cốt thép Kết quả tính toán cấu kiện BTCT đƣợc thể hiện ở phụ lục 4 5.4.5.Kiểm tra sức chịu tải của cọc Kết quả kiểm tra sức chịu tải của cọc đƣợc thể hiện ở phụ lục 4 GVHD: Th.S. Dƣơng Thanh Quỳnh SVTH : Vũ Trọng Chung - MSSV : 273352 - Lớp 52CB3 103
  • 104.
    ĐỒ ÁN TỐTNGHIỆP Thiết Kế Kỹ Thuật Bến Căn Cứ Đóng Mới Giàn Jacket Độ Sâu . Đến 95.7M Nước Hạ Thủy Bằng Phương Pháp Kéo Trượt CHƢƠNG 4 THI CÔNG CÔNG TRÌNH BẾN 4.1 MỤC ĐỊCH CỦA VIỆC THIẾT KẾ THI CÔNG Thiết kế thi công là một phần không thể thiếu trong quá trình thiết kế xây dựng một công trình, phần thiết kế thi công nhằm chỉ ra phƣơng pháp cách thức thực hiện để xây dựng một công trình nhƣ thiết kế kỹ thuật đã đề ra. Yêu cầu thiết kế thi công phải đảm bảo đúng kỹ thuật, thời gian nhanh và giá thành hợp lý. Quá trình thi công công trình cảng chịu rất nhiều ảnh hƣởng của các yếu tố tự nhiên, cũng nhƣ yêu cầu kỹ thuật rất cao cho nên thiết kế thi công là phải chỉ ra những biện pháp thi công hợp lý nhất. Các biện pháp thi công nhằm mục đích đảm bảo các yêu cầu về kỹ thuật của công trình, tổ chức hợp lý để không gây lãng phí về nhân lực, vật tƣ, thiết bị và hoàn thành thi công công trình đúng tiến độ. 4.2 ĐẶC ĐIỂM CÔNG TRÌNH THI CÔNG - Đặc điểm về tổ chức thi công công trình bến So với các công trình ở trên đất liền, công trìn bến còn nhiều đặc điểm nổi bật sau: - Thi công dƣới nƣớc nên cần có các thiết bị tàu hút bùn, tàu quốc, cần cẩu nổi dống cọc , trạm trộn bê tông và các tàu thuyền vận chuyển. - Về các điều kiện tự nhiên nhƣ vị trí địa lý, điều kiện địa chất thuỷ văn của công trình đã đƣợc trình bày ở phần trên. - Về biện ptháp thi công : thi công theo phƣơng pháp cuốn chiếu. - Trụ va, trụ neo, sàn công nghệ bao gồm: + Cọc đúc sẵn + Dầm ngang, dầm dọc, bản sàn - đổ bêtông liền khối tại chỗ 4.3 TÍNH TOÁN KHỐI LƢỢNG Khối lƣợng thi công cần tính toán cho công trình cầu tàu 14.0000 DWT bến xuất sản phẩm dầu gồm các phần sau : - Khối lƣợng đất nạo vét. GVHD: Th.S. Dƣơng Thanh Quỳnh SVTH : Vũ Trọng Chung - MSSV : 273352 - Lớp 52CB3 104
  • 105.
    ĐỒ ÁN TỐTNGHIỆP Thiết Kế Kỹ Thuật Bến Căn Cứ Đóng Mới Giàn Jacket Độ Sâu . Đến 95.7M Nước Hạ Thủy Bằng Phương Pháp Kéo Trượt - Khối lƣợng gỗ, thép, thi công sàn đạo. - Khối lƣợng cát, đá, ximăng, gỗ, thép, dùng cho xây dựng bến. 4.3.1 Khối lƣợng đất nạo vét - Cơ sở tính toán Khối lƣợng nạo vét là khu nƣớc trƣớc bến và luồng vào cảng. Cao trình đáy nạo vét luồng vào cảng: - 10,2 m Cao trình đáy nạo vét khu nƣớc cho tầu dầu 15.000DWT là: -9,0 m Chọn mái dốc nạo vét luồng m = 10 ( lớp đất nạo vét là bùn sét). Mực nƣớc tính toán nạo vét: Hp=95% = 2,1 m. - Phƣơng pháp tính toán khối lƣợng nạo vét. Khối lƣợng nạo vét hình học đƣợc tính theo phƣơng pháp mặt cắt ngang. Công thức tính toán: V =  Sitb . li Trong đó: Sitb- diện tích trung bình của 2 mặt cắt kế tiếp nhau. li : khoảng cách giữa hai mặt cắt kế tiếp. Khối lƣợng nạo vét thực tế đƣợc xác định bằng khối lƣợng tính toán hình học cộng với sai số nạo vét 20%. Do cảng đƣợc xây dựng ở khu vực có cao trình mặt đất tự nhiên cao (trung bình là +2.5m), mặt khác cao trình đáy nạo vét lại sâu nên khối lƣợng nạo vét là rất lớn. 4.3.2 Tổng khối lƣợng nạo vét là : 9.146.163 (m3) 4.3.3 Khối lƣợng vật liệu thi công sàn đạo Khối lƣợng vật liệu thi công sàn đạo cho bến tầu trọng tải 15.000DWT bao gồm các thép hình I400 làm dầm ngang dầm dọc gông các đầu cọc, thép hình I400 làm trụ tạm, các loại thép tấm làm vai đỡ đầu cọc, các loại thép ống lan can, gỗ lát nền sàn đạo, +Khối lƣợng thép hình I400 làm dầm ngang, dầm dọc sàn công nghệ là: (6x34 + 15x22)x2 = 1068m GVHD: Th.S. Dƣơng Thanh Quỳnh SVTH : Vũ Trọng Chung - MSSV : 273352 - Lớp 52CB3 105
  • 106.
    ĐỒ ÁN TỐTNGHIỆP Thiết Kế Kỹ Thuật Bến Căn Cứ Đóng Mới Giàn Jacket Độ Sâu . Đến 95.7M Nước Hạ Thủy Bằng Phương Pháp Kéo Trượt +Khối lƣợng thép hình I400 làm dầm ngang, dầm dọc 2 trụ va là : (10x8+6x6)x2 x2 =464m +Khối lƣợng thép hình I400 làm dầm ngang, dầm dọc 2 trụ neo ngoài là: (6x6+5x5)x2x2=244 m +Số lƣợng thép tấm (=10mm) làm vai đỡ là 562, tổng khối lƣợng là 4885,6kg +Khối lƣợng gỗ (=5mm) làm ván lát là 45,4 m2. 4.3.4 Khối lƣợng vật liệu thi công bến 4.3.4.1 Khối lượng thép Bảng 4.1 :Tính toán khối lƣợng thép bản sàn phân đoạn, trụ va, vòi voi,cọc. Đƣờngkính KL chƣa hao Hao phí KL đã hao STT (mm) (Tấn) (%) (Tấn) 1  457,9 1 453,1 2   104,2 1 103,16 3  26,33 1 26,067 4   10,56 1 10,45 5 Tổng 596,21 Bảng 4.2 : Tính toán khối lƣợng thép đáy TG Đƣờng kính KL chƣa hao Hao phí KL đã hao Loại (mm) (Tấn) (%) (Tấn) Trụ va  10,54 1 9,63 Trụ   6,416 1 3,51 neo Tổng 13,14 GVHD: Th.S. Dƣơng Thanh Quỳnh SVTH : Vũ Trọng Chung - MSSV : 273352 - Lớp 52CB3 106
  • 107.
    ĐỒ ÁN TỐTNGHIỆP Thiết Kế Kỹ Thuật Bến Căn Cứ Đóng Mới Giàn Jacket Độ Sâu . Đến 95.7M Nước Hạ Thủy Bằng Phương Pháp Kéo Trượt Bảng 4.3: Tính toán khối lƣợng thép bản cạnh TG Đƣờng kính KL chƣa hao Hao phí KL đã hao STT (mm) (Tấn) (%) (Tấn) 1  22,27 1 20,73 2 >16 AII 8,195 1 7,9 3 Tổng 28,63 Bảng 4.4 : Tính toán khối lƣợng thép 2ĐT Đƣờng kính KL chƣa hao Hao phí KL đã hao STT (mm) (Tấn) (%) (Tấn) 1   49,5 1 49 2   45,25 1 44,75 3  12,23 1 11,8 4 L100X100 8,9 1 8,71 5 Tổng 114.26 Bảng 4.5 : Tính toán khối lƣợng thép nắp HCN KL chƣa hao Hao phí KL đã hao STT Loại thép (Tấn) (%) (Tấn) 1  10,8 1 10.7 2   6.3 1 6,28 3 Tổng Bảng 4.6 :Tính toán khối lƣợng thép toàn bến Đƣờng kính KL chƣa hao Hao phí KL đã hao STT (mm) (Tấn) (%) (Tấn) 1   6,3 1 6,28 2   14,6 1 14,54 3   13,96 1 13,8 4   12,23 1 12,13 5   10,54 1 10,44 6  104 1 103 7  524,21 1 518,81 Tổng 659 GVHD: Th.S. Dƣơng Thanh Quỳnh SVTH : Vũ Trọng Chung - MSSV : 273352 - Lớp 52CB3 107
  • 108.
    ĐỒ ÁN TỐTNGHIỆP Thiết Kế Kỹ Thuật Bến Căn Cứ Đóng Mới Giàn Jacket Độ Sâu . Đến 95.7M Nước Hạ Thủy Bằng Phương Pháp Kéo Trượt 4.3.4.2 Khối lượng xi măng, cát, đá Ta tính khối lƣơng bê tông toàn bến sau đó tra định mức ra khối lƣợng vật liệu. Bảng 4.7 : Cấp phối vật liệu bê tông Mã Mác BT Thành phần hao phí Đơn vị hiệu 400 300 Xi măng Kg 439 PC40 354 PC40 Cát vàng m3 0,444 0.464 C313 Đá dăm m3 0,856 0.87 Nƣớc Lít 174 175 Bảng 4.8 :Khối lƣợng xi măng, cát, đá Khối lƣợng KL vật liệu đã tính hao hụt BT STT Mác BT đã hao X (T) C (m3) Đ (m3) (m3) 1 400 475,1 189 170 410,5 2 Tổng khối lƣợng 189 170 410,5 4.4 TRÌNH TỰ THI CÔNG 4.4.1 Chuẩn bị công trƣờng Các công việc cần làm trong công tác chuẩn bị công trƣờng - Giải phóng mặt bằng - Xây dựng hệ thống đƣờng tạm - Xây dựng khu nhà tạm cho công trƣờng, các xƣởng sửa chữa máy móc, thiết bị, bố trí điện, nƣớc phục vụ thi công công trình. - Xây dựng kho bãi chứa thiết bị, vật liệu. GVHD: Th.S. Dƣơng Thanh Quỳnh SVTH : Vũ Trọng Chung - MSSV : 273352 - Lớp 52CB3 108
  • 109.
    ĐỒ ÁN TỐTNGHIỆP Thiết Kế Kỹ Thuật Bến Căn Cứ Đóng Mới Giàn Jacket Độ Sâu . Đến 95.7M Nước Hạ Thủy Bằng Phương Pháp Kéo Trượt - Bố trí bãi cho công tác chế tạo ống vách phụ, chế tạo lồng thép, công tác thép, bãi cấu kiện đúc sẵn. 4.4.2. Thi công công trình Đổ cát đến cao trình định trƣớc để tiến hành đóng ống vách Vận chuyển vật liệu đến công trƣờng : Vật liệu đƣợc vận chuyển tới công trƣờng theo từng giai đoạn .Trong mỗi giai đoạn vật liệu vận chuyển đến đủ để thi công một phân đoạn. Công việc này đƣợc tiến hành song song với công tác chuẩn bị mặt bằng Thi công chế tạo ống vách Thi công cọc khoan nhồi : - Đóng ống vách phụ - Làm sàn đạo - Khoan tạo lỗ và thổi rửa lỗ khoan. - Lắp dựng cọc lồng thộp - Đổ bê tông cọc khoan nhồi, bảo dƣỡng, tháo dỡ cốp pha. Thi công bản bụng dầm : - Lắp dựng cốp pha . - Chế tạo cốt thộp. - Đổ bê tông, bảo dƣỡng. Nạo vét tạo độ sâu trƣớc bến Đổ đá tạo mái dốc gầm bến và thi công kè bờ. Thi công bản mặt cầu - Lắp dựng hệ đỡ cốp pha bản - Chế tạo lắp dựng cốp thộp cho bản - Đổ bê tông, bảo dƣỡng, tháo dỡ cốp pha. GVHD: Th.S. Dƣơng Thanh Quỳnh SVTH : Vũ Trọng Chung - MSSV : 273352 - Lớp 52CB3 109
  • 110.
    ĐỒ ÁN TỐTNGHIỆP Thiết Kế Kỹ Thuật Bến Căn Cứ Đóng Mới Giàn Jacket Độ Sâu . Đến 95.7M Nước Hạ Thủy Bằng Phương Pháp Kéo Trượt Đổ bêtông tƣờng góc và lấp cát sau bến Đổ bờ tụng phủ mặt bến, lắp cỏc thiết bị phụ trợ kết hợp hoàn thiện mặt bói. 4.4.2 Công tác làm kho bãi, lán trại Lán trại dùng cho sinh hoạt của công nhân theo quy định của nhà nƣớc là 6m2 cho 1 công nhân. Căn cứ vào khối lƣợng công việc thì số công nhân trên công trƣờng dự định 150 ngƣời do đó diện tích lán trại là: F = 150 x 6 = 900 (m2) Các kho đƣợc làm ngay trên mặt bãi và làm bằng kết cấu lắp ghép tạm thời do đó thời gian thi công nhanh, lấy thời gian 90 ngày và 50 ngƣời phục vụ. Số công lắp dựng là: 90.50 = 4500 (công) 4.4.3 Hoàn thiện công trình Bao gồm các công việc Dọn dẹp công trƣờng Bàn giao nghiệm thu 4.4.4 Thi công nạo vét - Khối lƣợng nạo vét kể cả phần luồng tầu là 9.146.162m3 nhƣng trong giới hạn đồ án này em chỉ tính toán nạo vét cho khu nƣớc của cảng. - Khối lƣợng nạo vét: 6.329.175 (m3)- Lớp đất nạo vét 1 là cát nhỏ, cát mịn, màu xám, xám xanh, đôi chỗ lẫn hữu cơ, kết cấu từ rời rạc đến chặt vừa. Lớp 2 là sét pha lẫn bụi màu xám, xám đen, đôi chỗ lẫn vỏ sò hến, trạng thái từ dẻo chảy đến dẻo mềm. - Mực nƣớc nạo vét: H = +2,0m. - Cao trình đáy nạo vét: -9m - Cao trình mặt đất tự nhiên trung bình nạo vét: +2.5 m Chọn thiết bị nạo vét: Nạo vét trƣớc bến bằng gầu ngoạm 1,5m3 có công suất N =500 m3/h GVHD: Th.S. Dƣơng Thanh Quỳnh SVTH : Vũ Trọng Chung - MSSV : 273352 - Lớp 52CB3 110
  • 111.
    ĐỒ ÁN TỐTNGHIỆP Thiết Kế Kỹ Thuật Bến Căn Cứ Đóng Mới Giàn Jacket Độ Sâu . Đến 95.7M Nước Hạ Thủy Bằng Phương Pháp Kéo Trượt Tổ chức thi công: đất nạo vét đƣợc chở đi đổ bằng sà lan 250T và tàu kéo 175CV. Vị trí đổ đất phải đƣợc cảng vụ cho phép, đảm bảo không gây ô nhiễm môi trƣờng. Dự kiến vị trí đổ đất nạo vét ở cự ly vận chuyển 12km. Tổng khối lƣợng bêtông mác 300 là: 617,1 m3 Sử dụng cấp phối vật liệu cho 1m3 bêtông (độ sụt 2- 4 cm) mác 300 và 350 4.4.5 Công tác cốt pha Công tác cốp pha đổ bê tông tại chỗ rất phức tạp vì thi công ở chỗ nƣớc sâu, có sóng gió. Công tác cốp pha cầu tầu không thể dùng các cột chống xuống đất nhƣ thông thƣờng mà phải dùng các gông để chống các cốp pha. 4.4.5.1 Thiết kế cốp pha dầm Tải trọng tác dụng lên cốp pha dầm Tải trọng do bê tông tác dụng lên cốp pha dầm là q1=b.h..k (T/m) Trong đó: b =1 m là chiều rộng dầm h= 1,6 là chiều cao dầm =2,5T/m3 trọng lƣợng riêng của bê tông k=1.2 là hệ số rung do đầm => q1=1x1,6 x 2,5x1,2= 4,8 (T/m) 4.4.5.2 Tính toán ván đáy dầm     +Kiểm tra khả năng chịu lực của ván đáy Bố trí dầm phụ cách nhau 0.5 m Chọn ván đáy dày 5 cm . Mô men chống uốn của tiết diện ván đáy. GVHD: Th.S. Dƣơng Thanh Quỳnh SVTH : Vũ Trọng Chung - MSSV : 273352 - Lớp 52CB3 111
  • 112.
    ĐỒ ÁN TỐTNGHIỆP Thiết Kế Kỹ Thuật Bến Căn Cứ Đóng Mới Giàn Jacket Độ Sâu . Đến 95.7M Nước Hạ Thủy Bằng Phương Pháp Kéo Trượt W=b.h2/6=100x52/6=416.7( cm3 ) Mô men uốn lớn nhất trong nhịp Mmax=q1.l2/12= 480x502/12= 100000 (Kgcm) ứng suất lớn nhất của thép là. max=Mmax/W= 100000/416,7 = 239,98 (Kg/cm2 )<   =2100(Kg/cm2) =>Ván đáy dầy 5 cm đủ khả năng chịu lực 4.4.5.3 Tính toán ván thành dầm Áp lực bê tông tác dụng lên thành dầm là. q = .h.k = 2,5x1,6 x1,2 = 4,8(T/m2 ) Bố trí 50 cm có một thanh nẹp dọc và một thanh văng xiên. Coi ván thành làm việc liên tục trên các gối. Mô men lớn nhất: Mmax=q.l2/12=4,8x0,52/12= 0,1Tm.= 10000 (Kgcm) Chọn ván thành dầy 5cm (rộng 160cm). Mô men chống uốn của tiết diện ván thành là. W=b.h2/6= 160x52/6= 666,67 (cm3)) ứng suất lớn nhất của gỗ là. max=Mmax/W= 10000/666,67 = 15 Kg/cm2 <   =120(Kg/cm2) =>Ván thành dầy 5cm đủ khả năng chịu lực. Kiểm tra nẹp ván thành. Tải trọng tác dụng lên nẹp. q1=q.l= 4,8x0,7= 3,36(T/m) Coi nẹp làm việc nhƣ một dầm đơn giản trên hai gối tựa. Mmax=q1.l2/8=3,36x0,52/8 = 0,105Tm = 10500 (Kgcm) GVHD: Th.S. Dƣơng Thanh Quỳnh SVTH : Vũ Trọng Chung - MSSV : 273352 - Lớp 52CB3 112
  • 113.
    ĐỒ ÁN TỐTNGHIỆP Thiết Kế Kỹ Thuật Bến Căn Cứ Đóng Mới Giàn Jacket Độ Sâu . Đến 95.7M Nước Hạ Thủy Bằng Phương Pháp Kéo Trượt Chọn nẹp ván thành có tiết diện bxh=10x10 (cm ) Có mô men chống uốn là W=b.h2/6=10x102/6 =166,67 (cm3) max=Mmax/W= 10500/166,67 = 70 Kg/cm2 <   =120(Kg/cm2) Vậy nẹp có tiết diện 10x10cm đủ khả năng chịu lực. 4.4.5.4 Tính toán bu lông dầm Chọn bu lông phải thoả mãn sao cho các gông đỡ của hệ thống dầm chính không bị trƣợt dƣới sức nặng của hệ thống cốp pha ở trên. Lực cắt của bu lông là: Q =Px4= 4,8x4=19,2T=19200(Kg) Trong đó : P là lực tác dụng lên dầm chính. Lực ma sát giữa cọc bê tông và sắt là : Fms=f.P Trong đó: f : là hệ số ma sát = 0,4 P là áp lực của bê tông lên dầm đỡ Để gông không bị trƣợt thì Fms>Q =19200(Kg) =>f.P>19200 =>P>19200/0,4= 48000 (Kg) Chọn bu lông bằng thép AII có R=2800(Kg/cm2) Tiết diện bu lông cần chọn là. F=P/R=48000/2800=17,14cm2 Chọn 3 bu lông 28 có Fa=18,47 cm2 làm bu lông bắt gông. 4.4.5.5 Thiết kế cốp pha bản Tải trọng do bê tông tác dụng lên bản q1=h..k (T/m) Trong đó: GVHD: Th.S. Dƣơng Thanh Quỳnh SVTH : Vũ Trọng Chung - MSSV : 273352 - Lớp 52CB3 113
  • 114.
    ĐỒ ÁN TỐTNGHIỆP Thiết Kế Kỹ Thuật Bến Căn Cứ Đóng Mới Giàn Jacket Độ Sâu . Đến 95.7M Nước Hạ Thủy Bằng Phương Pháp Kéo Trượt h=30cm là chiều cao bản =2.5T/m3 trọng lƣợng riêng của bê tông k=1.2 là hệ số rung do đầm => q1=0,3x2,5x1,2= 0,9 (T/m) Khi đổ đầy bê tông có ngƣời đứng và các phƣơng tiện vận chuyển với tải trọng lấy bằng 0.25T/m2 => q‟ = 0,9 + 0,25 = 1,15(T/m2) Cắt một dải bản rộng 1m vuông góc với hệ dầm phụ cốp pha (khoảng cách giữa các dầm phụ là 0.5 m) Mô men tác dụng M=q‟.l2/8=1,15x0,52/8 = 0,036Tm= 3600 (Kg.cm) a.Kiểm tra khả năng chịu lực của ván đáy bản Chọn ván đáy dầy 5 cm bề rộng ván 100 cm Mô men chống uốn của tiết diện ván đáy là: W=b.h2/6 = 100x52/6= 416,67(cm3) Ứng suất lớn nhất của gỗ là: max=Mmax/W = 3600/416,67=8,64 (Kg/cm2) <   =120(Kg/cm2) Ván đáy dầy 5cm đủ khả năng chịu lực b.Tính toán hệ thống dầm cốp pha bản Tải trọng tác dụng lên dầm phụ là. q2=q‟.l=1,15x0,5 = 0,575 (T/m) Bố trí các dầm cách nhau 0,5 m. Để tính toán dầm phụ coi dầm phụ làm việc nhƣ một dầm đơn giản kê trên các gối là dầm chữ I400. Mô men uốn lớn nhất trong nhịp Mmax=q2.l2/8 Trong đó: L = 4.5 m là khoảng cách giữa 2 dầm chính. =>Mmax=0,575x4,52/8=1,455Tm = 145500 (Kgcm) GVHD: Th.S. Dƣơng Thanh Quỳnh SVTH : Vũ Trọng Chung - MSSV : 273352 - Lớp 52CB3 114
  • 115.
    ĐỒ ÁN TỐTNGHIỆP Thiết Kế Kỹ Thuật Bến Căn Cứ Đóng Mới Giàn Jacket Độ Sâu . Đến 95.7M Nước Hạ Thủy Bằng Phương Pháp Kéo Trượt Chọn tiết diện dầm phụ là bxh=20x20(cm) Mô men chông uốn W=b.h2/6=20x202/6=1333.3(cm3) ứng suất lớn nhất của gỗ là. max=Mmax/W= 45500/1333.3 = 109,13 (Kg/cm2) <   =120(Kg/cm2) =>Tiết diện dầm 20x20 cm đủ chịu lực. c. Tính toán ván thành bản Áp lực bê tông tác dụng lên thành bản là. q = .h.k = 2.5x0.3x1.2 = 0,9(T/m2) Bố trí 50 cm có một thanh nẹp dọc và một thanh văng xiên. Coi ván thành làm việc liên tục trên các gối. Mômen lớn nhất: Mmax=q.l2/12= 0,9x0.52/12=0.01875Tm.= 1875(Kgcm) Chọn ván thành dầy 5 cm bề rộng 30cm. Mô men chống uốn của tiết diện ván thành là: W=b.h2/6=30x52/6= 125 cm3. ứng suất lớn nhất của gỗ là. max=Mmax/W=1875/125 = 15 (Kg/cm2) <   =120(Kg/cm2) =>Ván thành dầy 5cm đủ khả năng chịu lực. Kiểm tra nẹp ván thành. Tải trọng tác dụng lên nẹp. q1=q.l= 0,9x0.5=0,45 (T/m) Coi nẹp làm việc nhƣ một dầm đơn giản trên hai gối tựa. Mmax=q1.l2/8=0,45x0,52/8 = 0.014Tm = 1400 (Kgcm) Chọn nẹp ván thành có tiết diện bxh=10x10 (cm ) GVHD: Th.S. Dƣơng Thanh Quỳnh SVTH : Vũ Trọng Chung - MSSV : 273352 - Lớp 52CB3 115
  • 116.
    ĐỒ ÁN TỐTNGHIỆP Thiết Kế Kỹ Thuật Bến Căn Cứ Đóng Mới Giàn Jacket Độ Sâu . Đến 95.7M Nước Hạ Thủy Bằng Phương Pháp Kéo Trượt Có mô men chống uốn là W=b.h2/6=10.102/6 =166,67 (cm3) max=Mmax/W=1400/166,67= 8,4 Kg/cm2 <   =120Kg/cm2. Vậy nẹp có tiết diện 10x10cm đủ khả năng chịu lực. 4.4.5.6 Thiết kế cốp pha đài: Tải trọng do bê tông tác dụng lên đài. q1=h..k (T/m2) Trong đó: h=200 cm là chiều cao đài. =2,5T/m3 trọng lƣợng riêng của bê tông k=1,2 là hệ số rung do đầm => q1=2x2,5x1,2= 6 (T/m2) Khi đổ đầy bê tông có ngƣời đứng và các phƣơng tiện vận chuyển với tải trọng lấy bằng 0,25T/m2 => q = 6 + 0,25 = 6,25 (T/m2) Cắt một dải đài rộng 1m vuông góc với hệ dầm phụ cốp pha (khoảng cách giữa các dầm phụ là 0,5 m ) Mô men tác dụng M=q.l2/8=6,25x0,52/8 = 0,1953125Tm=19531,25 (Kgcm) a.Kiểm tra khả năng chịu lực của ván đáy Chọn ván đáy dầy 5 cm bề rộng ván 40 cm Mô men chống uốn của tiết diện ván đáy là: W=b.h2/6=40x52/6=166,66cm3 ứng suất lớn nhất của gỗ là: max=Mmax/W=19531,25/166,66 = 117,16 (Kg/cm2) <   =120(Kg/cm2) GVHD: Th.S. Dƣơng Thanh Quỳnh SVTH : Vũ Trọng Chung - MSSV : 273352 - Lớp 52CB3 116
  • 117.
    ĐỒ ÁN TỐTNGHIỆP Thiết Kế Kỹ Thuật Bến Căn Cứ Đóng Mới Giàn Jacket Độ Sâu . Đến 95.7M Nước Hạ Thủy Bằng Phương Pháp Kéo Trượt Ván đáy dầy 5cm đủ khả năng chịu lực b.Tính toán hệ thống dầm cốp pha đài Tải trọng tác dụng lên dầm phụ là. q2=q1.l=6,25x0,5=3,125(T/m) Bố trí các dầm cách nhau 0,5 m. Để tính toán dầm phụ coi dầm phụ làm việc nhƣ một dầm đơn giản kê trên các gối là dầm chữ I400 Mô men uốn lớn nhất trong nhịp Mmax=q2.l2/8 Trong đó: L = 1.6 m là khoảng cách giữa 2 dầm chính. =>Mmax=3,125x1,62/8=1Tm = 100000 (Kgcm) Chọn tiết diện dầm phụ là bxh=16x20cm Mô men chông uốn W=b.h2/6=15x202/6=1000(cm3) ứng suất lớn nhất của gỗ là: max=Mmax/W=100000/1000 =100 (Kg/cm2) <   =120(Kg/cm2) =>Tiết diện dầm 15x20 cm đủ chịu lực. c.Tính toán ván thành đài Áp lực bê tông tác dụng lên thành bản là. q = .h.k = 2,5.2,0.1,2 = 6(T/m2) Bố trí 50 cm có một thanh nẹp dọc và một thanh văng xiên. Coi ván thành làm việc liên tục trên các gối. Mô men lớn nhất Mmax=q.l2/12=6.0,52/12=0,125Tm.=12500 (Kgcm) Chọn ván thành dầy 5 cm. Mô men chống uốn của tiết diện ván thành là. W=b.h2/6=60x52/6= 250 (cm3) ứng suất lớn nhất của gỗ là. GVHD: Th.S. Dƣơng Thanh Quỳnh SVTH : Vũ Trọng Chung - MSSV : 273352 - Lớp 52CB3 117
  • 118.
    ĐỒ ÁN TỐTNGHIỆP Thiết Kế Kỹ Thuật Bến Căn Cứ Đóng Mới Giàn Jacket Độ Sâu . Đến 95.7M Nước Hạ Thủy Bằng Phương Pháp Kéo Trượt max=Mmax/W=12500/250 = 50 (Kg/cm2) <   =120(Kg/cm2) =>Ván thành dầy 5cm đủ khả năng chịu lực. Kiểm tra nẹp ván thành. Tải trọng tác dụng lên nẹp. q1=q.l=6.0,5=3(T/m) Coi nẹp làm việc nhƣ một dầm đơn giản trên hai gối tựa. Mmax=q1.l2/8=3x0,52/8 = 0,09375 Tm = 9375 (KG.cm) Chọn nẹp ván thành có tiết diện bxh=10x10 cm Có mô men chống uốn là W=b.h2/6=10x102/6 =166.7 (cm3) max=Mmax/W=9375/166.7 = 56.2 (Kg/cm2)<   =120(Kg/cm2) Vậy nẹp có tiết diện 10x10cm đủ khả năng chịu lực. d. Tính toán bu lông Chọn bu lông phải thoả mãn sao cho các gông đỡ của hệ thống thanh nẹp không bị trƣợt dƣới sức nặng của hệ thông cốp pha ở trên. Lực cắt của bu lông là: Q=P.4=3.4=12 T =12000 (KG) Trong đó :P là lực tác dụng lên dầm chính. Lực ma sát giữa cọc bê tông và sắt là : Fms=f.P Trong đó: f là hệ số ma sát=0.4 P là áp lực của bê tông lên dầm đỡ Để gông không bị trƣợt thì Fms>Q=12000 =>f.P>13800 =>P>12000/0.4=30000(Kg) Chọn bu lông bằng thép AII có R=2700(Kg/cm2) GVHD: Th.S. Dƣơng Thanh Quỳnh SVTH : Vũ Trọng Chung - MSSV : 273352 - Lớp 52CB3 118
  • 119.
    ĐỒ ÁN TỐTNGHIỆP Thiết Kế Kỹ Thuật Bến Căn Cứ Đóng Mới Giàn Jacket Độ Sâu . Đến 95.7M Nước Hạ Thủy Bằng Phương Pháp Kéo Trượt Tiết diện bu lông cần chọn là. F=P/R=30000/2700=11.1cm2 Chọn 2 bu lông 30 có Fa=14.13 cm2 làm bu lông bắt gông. 4.4.6 Công tác đổ bêtông tại chỗ Chọn máy thi công, tính năng suất máy - Công tác bơm bêtông - Khối lƣợng bêtông thi công của một công việc lớn nhất (sàn công nghệ) là:210 m3 - Do khối lƣợng công tác đổ bêtông lớn nên ta phải tiến hành càng nhanh càng tốt, để tránh ảnh hƣởng xấu đến chất lƣợng của khối đổ. Khi tiến hành thi công ta tiến hành đổ bêtông dầm trƣớc, sau đó mới làm thép bản và đổ bản. - Dự kiến thi công trong một ngày do đó : Chọn máy bơm bêtông loại: SB – 95A với các thông số kỹ thuật Năng suất kỹ thuật: 2030 m3/h. Năng suất thực tế: 13 m3/h. Đƣờng kính ống bơm: 150mm Tính năng suất của máy bơm Ntt =13 m3/h  năng suất máy bơm trong một ngày : Nngày = 3  8  13 = 312 m3/ngày Số máy bơm bêtông cần thiết là: một máy loại SB-95A Công tác trộn bêtông Để đảm bảo cho việc bơm bêtông đƣợc liên tục, năng suất của các máy trộn bêtông (thực tế) = 1,2 1,5 lần năng suất của các máy bơm. Chọn máy trộn liên tục loại: SB-37 Với năng suất kĩ thuật: Nkt = 30 m3/h  Năng suất thực tế: Ntt = ktg.kxl.Nkt = 0,85 0,730 = 17,85 m3/h  Năng suất một ngày: Nngày= 3817,85 = 428.4 m3/ngày GVHD: Th.S. Dƣơng Thanh Quỳnh SVTH : Vũ Trọng Chung - MSSV : 273352 - Lớp 52CB3 119
  • 120.
    ĐỒ ÁN TỐTNGHIỆP Thiết Kế Kỹ Thuật Bến Căn Cứ Đóng Mới Giàn Jacket Độ Sâu . Đến 95.7M Nước Hạ Thủy Bằng Phương Pháp Kéo Trượt Số máy trộn bêtông cần thiết là: 1,3  210 n  0.6  chọn 1 máy trộn bêtông loại SB-37 428.4 Công tác đầm bêtông Đầm bêtông sử dụng máy đầm loại I50 năng suất 7 m3/ h.  Năng suất trong 1 ngày của một máy đầm là: 287 =112 m3/ngày Để đầm đƣợc 210m3/ngày thì phải cần 2 máy đầm dùi. Ngoài ra còn chọn thêm 2 máy đầm mặt Công tác bảo dƣỡng bêtông Chọn 2 máy bơm nƣớc loại nhỏ để tƣới nƣớc giữ độ ẩm cho bêtông Thời gian bảo dƣỡng nhƣ sau: thời gian hanh khô, thì tƣới nƣớc thƣờng xuyên trong 7 ngày đầu, ngày tƣới ít nhất 3 giờ một lần, ban đêm ít nhất 2 lần, còn lại từ ngày 8 mỗi ngày tƣới ít nhất 3 lần tới ngày 28. Thống kê máy và nhân lực thi công bêtông Máy thi công: + 1 máy bơm bêtông loại: SB-95A với năng suất 13 m3/h. + 1 máy trộn bêtông liên tục loại: SB-37 với năng suất 17,85 m3/h. + 2 máy đầm I50 với năng suất 7 m3/h. + 2 máy đầm mặt. + 2 máy bơm nƣớc loại nhỏ phục vụ công tác bảo dƣỡng bêtông. GVHD: Th.S. Dƣơng Thanh Quỳnh SVTH : Vũ Trọng Chung - MSSV : 273352 - Lớp 52CB3 120
  • 121.
    ĐỒ ÁN TỐTNGHIỆP Thiết Kế Kỹ Thuật Bến Căn Cứ Đóng Mới Giàn Jacket Độ Sâu . Đến 95.7M Nước Hạ Thủy Bằng Phương Pháp Kéo Trượt 4.4.7 Thiết kế thi công tổng mặt bằng công trƣờng Các công trình phụ trợ cho việc xây dựng Các mốc đo đạc để theo dõi và để xác định vị trí công trình bằng máy kinh vĩ và xác định cao độ công trình bằng máy thuỷ bình. Các kho bãi chứa vật liệu (cát, đá, xi măng) Các kho bãi chứa nhiên liệu Các kho chứa thiết bi máy móc thi công Các xƣởng sản xuất cốt thép, cốp pha Xƣởng sửa chữa thiết bị Nhà làm việc lãnh đạo công trƣờng, phòng kỹ thuật thi công. Nhà nghỉ cho công nhân 4.4.8 Công tác hoàn thiện công trình Trong công tác hoàn thiện công trình bao gồm các công việc nhƣ : Lắp đặt bích neo, lắp đặt đệm tàu, đổ lớp phủ mặt cầu, lắp đặt hệ thống điện nƣớc, thu dọn mặt bằng chuẩn bị bàn giao công trình. Dùng 1 cần trục loại 60T đặt trên phao nổi. 4 ôtô IFA vận chuyển thiết bị 4.4.9 An toàn lao động -Mua sắm các trang thiết bị bảo hộ lao động: mũ, găng tay, giầy, quần áo, mặt nạ hàn... -Các thiết bị trƣớc khi vận hành phải đƣợc kiểm tra kĩ lƣỡng các chỉ tiêu, các thông số kỹ thuật. Công nhân phải có đủ trình độ, tay nghề, và kinh nghiệm khi điều khiển máy. -Khu vực hoạt động của cần trục cần hạn chế việc đi lại. -Không để công nhân vận hành máy trong tình trạng sức khoẻ yếu. -Ôtô chạy trong công trƣờng không đƣợc chạy quá nhanh. -Khi làm ca đêm phải có đèn chiếu sáng cho công nhân làm việc. GVHD: Th.S. Dƣơng Thanh Quỳnh SVTH : Vũ Trọng Chung - MSSV : 273352 - Lớp 52CB3 121
  • 122.
    ĐỒ ÁN TỐTNGHIỆP Thiết Kế Kỹ Thuật Bến Căn Cứ Đóng Mới Giàn Jacket Độ Sâu . Đến 95.7M Nước Hạ Thủy Bằng Phương Pháp Kéo Trượt Những nội quy an toàn riêng trong từng công việc.  An toàn trong công tác ván khuôn: -Ván khuôn phải đƣợc chế tạo và lắp dựng theo đúng yêu cầu trong thiết kế thi công. -Các tấm ván khuôn và các phần ván khuôn tấm lớn phải đƣợc bảo quản tại kho chứa, bằng phẳng và có mái che xếp thành từng đống có chiều cao không lớn hơn 2,5m. -Các ván khuôn ghép thành khối hoặc thành tấm lớn phải đảm bảo vững chắc, khi cẩu lắp tránh va chạm vào các kết cấu đã lắp dựng. -Khi di chuyển và dựng lắp các tấm ván khuôn phải kiểm tra các thiết bị buộc móc, các thiết bị buộc nâng và các thiết bị di động. -Công nhân làm việc ở trên cao và công nhân làm việc ở dƣới khi lắp dựng ván khuôn liên lạc với nhau bằng tín hiệu. -Không đƣợc để các thiết bị, vật liệu trên ván khuôn không có trong thiết kế. -Trƣớc khi đổ bêtông, phải kiểm tra lại ván khuôn cho chắc chắn nếu có biến dạng lớn phải sửa ngay. -Chỉ đƣợc tháo dỡ ván khuôn sau khi bêtông dã đạt đến cƣờng độ qui định theo sự hƣớng dẫn của cán bộ kỹ thuật thi công. -Khi tháo dỡ ván khuôn, phải tháo dỡ theo trình tự hợp lý, phải có các biện pháp đề phòng ván khuôn rơi hoặc kết cấu công trình bị sập đổ bất ngờ. -Ngoài ra, trong công tác ván khuôn phải thực hiện nghiêm túc các quy định và những biện pháp phòng cháy, vệ sinh công nghiệp.  An toàn trong công tác cốt thép. -Công nhân hàn, cắt, uốn cốt thép khi làm việc phải có các trang bị bảo hộ lao động nhƣ găng tay, mũ, giày, quần áo ... -Các dây điện, dây hàn phải đảm bảo cách điện tốt. -Khi làm việc ở những chỗ ẩm ƣớt, không đƣợc sờ vào vỏ hoặc các bộ phận của thiết bị điện tránh hiện tƣợng điện rò rỉ. -Quanh chỗ hàn không đƣợc để các vật dễ cháy. -Hàn ở những chỗ khô ráo, thông thoáng. GVHD: Th.S. Dƣơng Thanh Quỳnh SVTH : Vũ Trọng Chung - MSSV : 273352 - Lớp 52CB3 122
  • 123.
    ĐỒ ÁN TỐTNGHIỆP Thiết Kế Kỹ Thuật Bến Căn Cứ Đóng Mới Giàn Jacket Độ Sâu . Đến 95.7M Nước Hạ Thủy Bằng Phương Pháp Kéo Trượt -Khi sử dụng các thiết bị máy móc nhƣ tời điện, tời quay tay, máy uốn cắt thép... phải nắm vững tính năng hoạt động của máy và các quy tắc vận hành máy, thực hiện đúng nội quy an toàn lao động của từng loại máy. -Trƣớc khi lắp dựng khung dàn thép phải kiểm tra độ ổn định, vị trí móc cẩu, và các nội quy an toàn khi sử dụng cần cẩu. -Khi làm ca đêm phải có đèn chiếu sáng.  An toàn trong công tác sản xuất vữa bêtông. -Các thiết bị máy móc phục vụ cho công tác vữa bêtông phải đƣợc che chắn cẩn thận, kiểm tra tính năng kỹ thuật của động cơ kỹ càng trƣớc khi vận hành và động cơ điện phải đƣợc nối tiếp đất. -Không đƣợc dùng xẻng, các dụng cụ cầm tay khác để lấy vữa bêtông ra khỏi thùng trộn khi đang vận hành. -Khu vực đi lại để vận chuyển cốt liệu cho công tác bêtông phải thuận lợi, không có chƣớng ngại vật và đƣợc chiếu sáng đầy đủ. -Công nhân phải đƣợc trang bị đầy đủ các dụng cụ bảo hộ lao động.  An toàn trong công tác vận chuyển vữa bêtông. -Khi dùng cần cẩu để vận chuyển vữa bêtông phải móc cẩu vào ben đựng vữa cẩn thận, chắc chắn. Việc nâng ben chỉ đƣợc tiến hành khi có tín hiệu của ngƣời móc cẩu phía dƣới. Thƣờng xuyên kiểm tra móc cẩu, dây cáp có bị hƣ hỏng không. -Trong trƣờng hợp vận chuyển vữa bằng máy bơm thì phải có hệ thống tín hiệu hoặc thông tin giữa ngƣời vận hành máy với ngƣời ở nơi đổ bêtông. -Vận chuyển vữa phải đúng thời gian quy định, không đƣợc kéo dài thời gian ảnh hƣởng tới chất lƣợng bêtông, do đó ngƣời vận chuyển phải bình tĩnh không vội vàng lái xe nhanh dễ gây tai nạn.  An toàn trong công tác đổ bêtông. -Đối với công nhân sử dụng máy đầm phải có trang bị đầy đủ các dụng cụ bảo hộ lao động nhƣ gang tay, mũ... -Trƣớc khi đổ bê tông phải làm công tác kiểm tra ván khuôn, cốt thép có đúng theo bản vẽ thiết kế không, nếu phát hiện sai phải sửa. GVHD: Th.S. Dƣơng Thanh Quỳnh SVTH : Vũ Trọng Chung - MSSV : 273352 - Lớp 52CB3 123
  • 124.
    ĐỒ ÁN TỐTNGHIỆP Thiết Kế Kỹ Thuật Bến Căn Cứ Đóng Mới Giàn Jacket Độ Sâu . Đến 95.7M Nước Hạ Thủy Bằng Phương Pháp Kéo Trượt -Trong quá trình đổ phải kết hợp giữa ngƣời chỉ đạo và công nhân khi đổ, đầm bê tông. Khi làm xong phải lau rửa máy sạch sẽ, cất giữ cẩn thận.  An toàn trong công tác lắp ghép tƣờng góc. -Các cấu kiện bê tông đúc phải đƣợc sắp xếp hợp lý đảm bảo dễ dàng khi buộc móc, vận chuyển không gây biến dạng thuận lợi khi xếp dỡ. -Những cấu kiện có khả năng xoay lắc khi nâng chuyển phải đƣợc buộc cẩn thận và dùng dây mềm để neo hãm. -Đối với những cấu kiện dễ bị biến dạng, nứt gãy phải đƣợc gia cƣờng chắc chắn khi cẩu lên, xếp dỡ. -Không đƣợc ngừng công việc khi chƣa lắp đặt cấu kiện xong vào vị trí ổn định. Các cấu kiện lắp ghép phải đƣợc neo chắc chắn với nhau. -Không cho phép công nhân đi lại, làm việc cạnh các cấu kiện đúc lắp ghép chƣa hoàn chỉnh xong.  An toàn trong sử dụng cần cẩu. -Chỉ đƣợc nâng những vật có tải trọng nhỏ hơn hoặc bằng tải trọng nâng cho phép. -Các loại cáp giằng, cáp nâng phải đƣợc thử nghiệm và ghi rõ thời hạn sử dụng. 4.4.10 Các loại cần trục tự hành, khi làm việc phải đƣợc tỳ vững chắc trên các chân chống ở nền cứng. 4.4.11 Đánh giá tác động của môi trƣờng 1. Kiểm tra môi trƣờng ban đầu - Luật bảo vệ môi trƣờng đƣợc Quốc Hội Việt Nam thông qua vào tháng 12/1993 và có hiệu lực vào năm 1994. Do vậy hầu hết tất cả các dự án lớn đều phải đƣợc đánh giá tác động môi trƣờng. Luật này yêu cầu các nhà đầu tƣ, chủ dự án hay giám đốc các cơ quan phải tiến hành đánh giá tác động môi trƣờng. Điều 11 bộ luật môi trƣờng quy định đánh giá tác động môi trƣờng phải đƣợc thực hiện làm hai giai đoạn, cụ thể là giai đoạn sơ bộ và giai đoạn chi tiết. - Nguyên nhân ảnh hƣởng tiêu cực chủ yếu của việc triển khai dự án có thể đƣợc phân thành 3 loại: (a) do vị trí; (b) do xây dựng; (c) do hoạt động; kể cả giao thông tàu thuyền và chất thải, bốc xếp và vận tải đƣờng bộ. Về vị trí bao hàm việc tồn tại của các công trình và vị trí phát triển. Xây dựng bao gồm các hoạt động xây dựng ở biển và trên GVHD: Th.S. Dƣơng Thanh Quỳnh SVTH : Vũ Trọng Chung - MSSV : 273352 - Lớp 52CB3 124
  • 125.
    ĐỒ ÁN TỐTNGHIỆP Thiết Kế Kỹ Thuật Bến Căn Cứ Đóng Mới Giàn Jacket Độ Sâu . Đến 95.7M Nước Hạ Thủy Bằng Phương Pháp Kéo Trượt đất liền, nạo vét, thanh thải vật liệu nạo vét và vận tải vật liệu xây dựng. Hoạt động của vũng neo đậu gồm các yếu tố liên quan đến tàu thuyền nhƣ giao thông tàu thuyền chất thải và khí thoát của tàu thuyền; các yếu tố liên quan đến hàng hoá nhƣ bốc xếp lƣu kho hàng hoá. - Đối với sa bồi phát sinh do quá trình xây dựng các công trình, điều duy nhất có thể thực hiện là hạn chế khối lƣợng sa bồi phát sinh bằng cách thực hiện những biện pháp quản lý chặt chẽ, đặc biệt là tại các nơi đổ đất nạo vét và việc thực hiện những kỹ thuật thi công gây ít ảnh hƣởng đến môi trƣờng nƣớc. - Các khía cạnh môi trƣờng cần xem xét liên quan đến việc phát triển đƣợc phân thành 9 nhóm: (a) chất lƣợng nƣớc; (b) thuỷ văn ven biển; (c) ô nhiễm đáy; (d) sinh thái biển và ven biển; (e) chất lƣợng không khí; (f) tiếng ồn và độ rung; (g) quản lý chất thải; (h) chất lƣợng cảnh quan; (i) tác động văn hoá-xã hội. - Tác động trong giai đoạn thi công - Trong quá trình tiến hành thi công sẽ có những tác động sau đối với môi trƣờng: a) Tác động đến chất lƣợng không khí: - Bụi sinh do các hoạt động thi công đƣờng, san lấp mặt bằng, vận chuyển vật liệu và thiết bị.... - Khói hàn, khí thải của các phƣơng tiện vận tải và thi công có chứa nhiều bụi, SO2; NO2; CO2; Hydrocacbon và chì (Pb). - Tiếng ồn rung do các phƣơng tiện vận tải và thi công. - Các ảnh hƣởng này chỉ mang tính chất ngắn hạn sẽ giảm đi và triệt tiêu sau khi công trình xây dựng xong. b) Tác động đến chất lƣợng nƣớc - Làm tăng độ đục của nƣớc do công tác nạo vét khu nƣớc, và sự rơi vãi nhiên liệu, nguyên liệu trong quá trình thi công. - Nƣớc mƣa chảy tràn cuốn theo đất cát, vật liệu và dầu mỡ rơi vãi trên mặt bằng thi công xuống biển. - Nƣớc thải từ tàu thuyền xà lan chuyên chở nguyên vật liệu, nƣớc thải sinh hoạt của công nhân xây dựng. GVHD: Th.S. Dƣơng Thanh Quỳnh SVTH : Vũ Trọng Chung - MSSV : 273352 - Lớp 52CB3 125
  • 126.
    ĐỒ ÁN TỐTNGHIỆP Thiết Kế Kỹ Thuật Bến Căn Cứ Đóng Mới Giàn Jacket Độ Sâu . Đến 95.7M Nước Hạ Thủy Bằng Phương Pháp Kéo Trượt - Các ảnh hƣởng này đƣợc xem là nhỏ và ngắn hạn... c) Các tác động gây ô nhiễm do chất rắn - Vật liệu xây dựng phế bỏ, rác thải từ tàu thuyền, rác thải sinh hoạt của công nhân xây dựng. - Các sản phẩm nạo vét và san lấp. Đây là những tác động ở mức độ nhỏ, ngắn hạn có thể khắc phục bằng các biện pháp hành chính và kỹ thuật. d) Tác động đến môi trƣớng sinh học : Việc giải phóng mặt bằng, chuẩn bị công trƣờng xây dựng sẽ làm mất đi hệ sinh thái tự nhiên trƣớc đó. Tuy nhiên thảm thực vật tại khu vực này rất nghèo ( chủ yếu là các bãi cát ) do vậy, tác động này đƣợc xem là không đáng kể. Các hoạt động trong quá trình xây dựng sẽ tác động đến sinh thái khu vực, làm xáo trộn môi trƣờng trầm tích và ảnh hƣởng đến sinh vật biển. Sự tăng hàm lƣơng chất lơ lửng cũng nhƣ các chất bẩn sẽ làm giảm khả năng quang hợp của các loài tảo biển. Sự lắng động của các loại hạt này sẽ gây hại đến quần thể san hô, động vật đáy, bãi đẻ trứng của cá và khu vực đánh bắt cá. Những tác động này ở mức độ trung bình và ngắn hạn sẽ đƣợc phục hồi nhanh chóng. 2 Tác động trong quá trình khai thác Trong quá trình khai thác và sử dụng công trình sẽ gây ra các ảnh hƣởng sau đến môi trƣờng: + Ảnh hƣởng đến chất lƣợng không khí + Tiếng ồn sinh ra từ các máy móc thiết bị + Mùi ôi thối của hải sản từ các thuyền đánh cá + Khí thải từ các động cơ Do vị trí của công trình đƣợc đặt ngoài cửa biển nên những tác độngnày chỉ ở mức trung bình và có thể đƣợc khuếch tán bởi gió. Tác động đến chất lƣợng nƣớc: GVHD: Th.S. Dƣơng Thanh Quỳnh SVTH : Vũ Trọng Chung - MSSV : 273352 - Lớp 52CB3 126
  • 127.
    ĐỒ ÁN TỐTNGHIỆP Thiết Kế Kỹ Thuật Bến Căn Cứ Đóng Mới Giàn Jacket Độ Sâu . Đến 95.7M Nước Hạ Thủy Bằng Phương Pháp Kéo Trượt + Rơi vãi xăng dầu xuống nƣớc từ nơi cấp phát, tàu và các xe cơ giới + Nƣớc thải sinh hoạt, nƣớc vệ sinh tàu thuyền + Nƣớc mƣa làm cuốn trôi các chất gây ô nhiễm ở trên bờ xuống biển + Các hoạt động nạo vét duy tu hàng năm Các tác động này là tất yếu nhƣng theo các chuyên gia chỉ là mức độ trung bình và không đáng kể. 3.Tác động của các sự cố có thể xả nhiên liệu. Trong giai đoạn khai thác, những nguyên nhân chủ yếu có thể gây ra cháy nổ là do sự cố từ các trạm cung cấp nhiên liệu và từ các tàu thuyền. Sự cố cháy nổ sẽ sinh ra một lƣợng lớn các khí NOx; SOx; COx; bụi, nƣớc chua sẽ giải phóng H2S, làm ô nhiễm không khí, làm ảnh hƣởng đến sức khoẻ của con ngƣời. Sự cố cháy nổ còn có thể dẫn đến làm tràn nhiên liệu, hoá chất. Để giảm thiểu các sự cố cháy nổ cần thiết phải có hệ thống phòng cháy trong khu vực. Cần phải thành lập đội chữa cháy và có kế hoạch ứng cứu khẩn trƣơng để hạn chế đến mức tối thiểu các tác động tiêu cực có thể xảy ra đối với môi trƣờng. Mặt khác, cần phải thƣờng xuyên đào tạo, thực tập các biện pháp phòng chống cháy, nổ. GVHD: Th.S. Dƣơng Thanh Quỳnh SVTH : Vũ Trọng Chung - MSSV : 273352 - Lớp 52CB3 127
  • 128.
    ĐỒ ÁN TỐTNGHIỆP Thiết Kế Kỹ Thuật Bến Căn Cứ Đóng Mới Giàn Jacket Độ Sâu . Đến 95.7M Nước Hạ Thủy Bằng Phương Pháp Kéo Trượt TÀI LIỆU THAM KHẢO 1. Công trình bến cảng biển - Tiêu chuẩn thiết kế. 22TCN 207 – 92 2. Tải trọng và tác động (do sóng và do tầu) lên công trình thuỷ - Tiêu chuẩn thiết kế 22 TCN 222 - 95. 3. Tải trọng và tác động - Tiêu chuẩn thiết kế TCVN 2737-1995. 4. Nền công trình thuỷ công - Tiêu chuẩn thiết kế TCVN 4253 - 86. 5. Kết cấu bê tông và bê tông cốt thép thuỷ công - Tiêu chuẩn thiết kế TCVN 4116 - 1985. 6. Kết cấu bê tông và bê tông cốt thép - Yêu cầu bảo vệ chống ăn mòn trong môi trƣờng biển. TCVN 327: 2004. 7. Kết cấu bê tông và bê tông cốt thép Tiêu chuẩn thiết kế-TCXDVN 356:2005 8. Móng cọc - Tiêu chuẩn thiết kế TCXD 205-1998. 9. Móng cọc tiết diện nhỏ - Tiêu chuẩn thiết kế TCXD 189-1996 10. Hƣớng dẫn thiết kế kết cấu BT và BTCT công trình thuỷ. 11. Kỹ thuật và tổ chức thi công công trình thuỷ lợi. Tập 1, 2 12. Sổ tay chọn máy thi công xây dựng. 13. Tiêu chuẩn thiết kế hệ thống đệm và neo tàu. 14. Quy hoạch cảng. 15. Nền và móng. 16. Cơ học đất. GVHD: Th.S. Dƣơng Thanh Quỳnh SVTH : Vũ Trọng Chung - MSSV : 273352 - Lớp 52CB3 128
  • 129.
    ĐỒ ÁN TỐTNGHIỆP Thiết Kế Kỹ Thuật Bến Căn Cứ Đóng Mới Giàn Jacket Độ Sâu . Đến 95.7M Nước Hạ Thủy Bằng Phương Pháp Kéo Trượt PHỤ LỤC GVHD: Th.S. Dƣơng Thanh Quỳnh SVTH : Vũ Trọng Chung - MSSV : 273352 - Lớp 52CB3 129
  • 130.
    ĐỒ ÁN TỐTNGHIỆP Thiết Kế Kỹ Thuật Bến Căn Cứ Đóng Mới Giàn Jacket Độ Sâu . Đến 95.7M Nước Hạ Thủy Bằng Phương Pháp Kéo Trượt PHỤ LỤC 1: PHÂN ĐOẠN KHÔNG ĐƢỜNG TRƢỢT 1. Sơ đồ tính 2. Tải trọng 3. Chuyển vị 4. Nội lực 5. Kiểm tra sức chịu tải của cọc 6. Tính thép 7. Kiểm tra ổn định GVHD: Th.S. Dƣơng Thanh Quỳnh SVTH : Vũ Trọng Chung - MSSV : 273352 - Lớp 52CB3 130
  • 131.
    ĐỒ ÁN TỐTNGHIỆP Thiết Kế Kỹ Thuật Bến Căn Cứ Đóng Mới Giàn Jacket Độ Sâu . Đến 95.7M Nước Hạ Thủy Bằng Phương Pháp Kéo Trượt 1.Sơ đồ tính 2. Tải trọng Neo GVHD: Th.S. Dƣơng Thanh Quỳnh SVTH : Vũ Trọng Chung - MSSV : 273352 - Lớp 52CB3 131
  • 132.
    ĐỒ ÁN TỐTNGHIỆP Thiết Kế Kỹ Thuật Bến Căn Cứ Đóng Mới Giàn Jacket Độ Sâu . Đến 95.7M Nước Hạ Thủy Bằng Phương Pháp Kéo Trượt Va Tựa GVHD: Th.S. Dƣơng Thanh Quỳnh SVTH : Vũ Trọng Chung - MSSV : 273352 - Lớp 52CB3 132
  • 133.
    ĐỒ ÁN TỐTNGHIỆP Thiết Kế Kỹ Thuật Bến Căn Cứ Đóng Mới Giàn Jacket Độ Sâu . Đến 95.7M Nước Hạ Thủy Bằng Phương Pháp Kéo Trượt Cần trục GVHD: Th.S. Dƣơng Thanh Quỳnh SVTH : Vũ Trọng Chung - MSSV : 273352 - Lớp 52CB3 133
  • 134.
    ĐỒ ÁN TỐTNGHIỆP Thiết Kế Kỹ Thuật Bến Căn Cứ Đóng Mới Giàn Jacket Độ Sâu . Đến 95.7M Nước Hạ Thủy Bằng Phương Pháp Kéo Trượt - Hàng hóa 1 - Hàng hóa 2 GVHD: Th.S. Dƣơng Thanh Quỳnh SVTH : Vũ Trọng Chung - MSSV : 273352 - Lớp 52CB3 134
  • 135.
    ĐỒ ÁN TỐTNGHIỆP Thiết Kế Kỹ Thuật Bến Căn Cứ Đóng Mới Giàn Jacket Độ Sâu . Đến 95.7M Nước Hạ Thủy Bằng Phương Pháp Kéo Trượt - Hàng hóa 3 - Hàng hóa 4 GVHD: Th.S. Dƣơng Thanh Quỳnh SVTH : Vũ Trọng Chung - MSSV : 273352 - Lớp 52CB3 135
  • 136.
    ĐỒ ÁN TỐTNGHIỆP Thiết Kế Kỹ Thuật Bến Căn Cứ Đóng Mới Giàn Jacket Độ Sâu . Đến 95.7M Nước Hạ Thủy Bằng Phương Pháp Kéo Trượt - Hàng hóa 5 3. Chuyển vị GVHD: Th.S. Dƣơng Thanh Quỳnh SVTH : Vũ Trọng Chung - MSSV : 273352 - Lớp 52CB3 136
  • 137.
    ĐỒ ÁN TỐTNGHIỆP Thiết Kế Kỹ Thuật Bến Căn Cứ Đóng Mới Giàn Jacket Độ Sâu . Đến 95.7M Nước Hạ Thủy Bằng Phương Pháp Kéo Trượt 3. Nội lực - Lực dọc cọc - Mômen dầm dọc - Lực cắt dầm dọc GVHD: Th.S. Dƣơng Thanh Quỳnh SVTH : Vũ Trọng Chung - MSSV : 273352 - Lớp 52CB3 137
  • 138.
    ĐỒ ÁN TỐTNGHIỆP Thiết Kế Kỹ Thuật Bến Căn Cứ Đóng Mới Giàn Jacket Độ Sâu . Đến 95.7M Nước Hạ Thủy Bằng Phương Pháp Kéo Trượt - Mômen dầm ngang - Lực cắt dầm ngang GVHD: Th.S. Dƣơng Thanh Quỳnh SVTH : Vũ Trọng Chung - MSSV : 273352 - Lớp 52CB3 138
  • 139.
    ĐỒ ÁN TỐTNGHIỆP Thiết Kế Kỹ Thuật Bến Căn Cứ Đóng Mới Giàn Jacket Độ Sâu . Đến 95.7M Nước Hạ Thủy Bằng Phương Pháp Kéo Trượt - Mômen M11 - Mômen M22 GVHD: Th.S. Dƣơng Thanh Quỳnh SVTH : Vũ Trọng Chung - MSSV : 273352 - Lớp 52CB3 139
  • 140.
    ĐỒ ÁN TỐTNGHIỆP Thiết Kế Kỹ Thuật Bến Căn Cứ Đóng Mới Giàn Jacket Độ Sâu . Đến 95.7M Nước Hạ Thủy Bằng Phương Pháp Kéo Trượt 5.Kiểm tra sức chịu tải của cọc (Theo tiêu chuẩn móng cọc TCXDVN205-1998) 5.1.Tính toán sức chịu tải của cọc theo đất nền Công thức tính toán Ф =m.( mr.qp.F + U.Σmf.fi.li ) Trong đó : Ф : Sức chịu tải của cọc theo đất nền m : Hệ số điều kiện làm việc trong đất m = 1.0 R : Sức chống tính toán của đất ở mũi cọc(T/m2) qp=430 T/m2 F : Diện tích mặt cắt ngang cọc. Bề rộng cọc : 100 cm => F = 0.875m2 U : Chu vi tiết diện ngang cọc: U =3.14 mf,mr :Tƣơng ứng là các hệ số điều kiện làm việc của đất dƣới chân cọc và trên thành cọc có xét đến ảnh hƣởng của phƣơng pháp hạ cọc : mf = mr = 1 li : Chiều dày lớp đất thứ i mà mũi cọc đi qua . Chia lớp đất thành các lớp đồng nhất có chiều dày là 2m. fi : Sức chống tính toán của đất ở thân cọc (T/m2) , tra bảng 2-TCXD205-1998 ta có : GVHD: Th.S. Dƣơng Thanh Quỳnh SVTH : Vũ Trọng Chung - MSSV : 273352 - Lớp 52CB3 140
  • 141.
    ĐỒ ÁN TỐTNGHIỆP Thiết Kế Kỹ Thuật Bến Căn Cứ Đóng Mới Giàn Jacket Độ Sâu . Đến 95.7M Nước Hạ Thủy Bằng Phương Pháp Kéo Trượt Tên Cao Độ Bề Độ li B fi qp fi.li lớp độ sâu dày sâu 2 1.5 -5 6.5 0 0 0 0 0 4 -5 -7.5 2.5 0 0 1.51 0 0 0 5a -7.5 -10.2 2.7 0 2 0.55 1.5 0 -10.2 -19.4 9.2 2 4 0.55 1.9 3.8 2 6 0.55 2.15 4.3 2 8 0.55 4.4 8.8 2 10 0.55 4.6 9.2 1.2 12 0.55 4.8 9.6 6 -19.4 -34.4 15 2 14 0.31 5 10 2 16 0.31 5.2 10.4 2 18 0.31 5.4 10.8 2 20 0.31 5.6 430 11.2 2 22 0.31 5.8 11.6 2 24 0.31 6 12 2 26 0.31 6.2 12.4 2 28 0.31 6.4 12.8 1 30 0.31 6.6 6.6 6 -34.4 -39.87 2 32 0.31 6.8 13.6 1 33 0.31 6.9 6.9 7 2 35 0.22 9.8 19.6 2 37 0.22 10 20 0.5 37.5 0.22 10 5 0 37.5 0.62 153.58 10 0 37.5 0.39 11 0 37.5 1.32 Qua tính toán : Σfi.li = 153.58T/m2 Sức chịu nén của cọc theo đất nền : Ta có : Ф = 614.80T Pn = Ф/Ktc =469.10T GVHD: Th.S. Dƣơng Thanh Quỳnh SVTH : Vũ Trọng Chung - MSSV : 273352 - Lớp 52CB3 141
  • 142.
    ĐỒ ÁN TỐTNGHIỆP Thiết Kế Kỹ Thuật Bến Căn Cứ Đóng Mới Giàn Jacket Độ Sâu . Đến 95.7M Nước Hạ Thủy Bằng Phương Pháp Kéo Trượt Ktc : Hệ số độ tin cậy Ktc = 1.4 5.2.Tính toán sức chịu nhổ của cọc theo đất nền Công thức tính toán: Ф = m.U.Σmf.fi.li Trong đó: Ф : Sức chịu tải của cọc theo đất nền m: Hệ số điều kiện làm việc trong đất lấy m = 0.8 U: Chu vi tiết diện ngang cọc U = 3.14 mf,mr: Tƣơng ứng là các hệ số điều kiện làm việc của đất dƣới chân cọc và trên thành cọc có xét đến ảnh hƣởng của phƣơng pháp hạ cọc : mf = mr = 1 li: Chiều dày lớp đất thứ I mà mũi cọc đi qua. fi: Sức chống tính toán của đất ở thân cọc (T/m2) Sức chịu nhổ của cọc theo đất nền. Ta có : Ф = 343.10 Pnh = Ф/Ktc = 245.07 Ktc : Hệ số độ tin cậy Ktc = 1.4 5.3.Kiểm tra khả năng chịu nén của cọc : Nội lực tính toán : Nmax = 246.70T Ntt = nc.n.mđ. Nmax + G Trong đó : nc : Hệ số tổ hợp tải trọng : nc = 1.00 GVHD: Th.S. Dƣơng Thanh Quỳnh SVTH : Vũ Trọng Chung - MSSV : 273352 - Lớp 52CB3 142
  • 143.
    ĐỒ ÁN TỐTNGHIỆP Thiết Kế Kỹ Thuật Bến Căn Cứ Đóng Mới Giàn Jacket Độ Sâu . Đến 95.7M Nước Hạ Thủy Bằng Phương Pháp Kéo Trượt n : Hệ số vƣợt tải : n = 1.25 mđ : Hệ số phụ điều kiện làm việc mđ = 1.00 G : Trọng lƣợng bản thân cọc G = 78.5 Chiều dài cọc L = 40 Vậy Ntt = 386.875T Qua tính toán trên Ntt < Pn => Cọc đảm bảo chịu lực theo đất nền. 5.4.Sức chịu tải của cọc theo vật liệu làm cọc. Biểu thức tính toán : Pn = Ra.Fa + Rnp.Fb Trong đó : Fa : Diện tích cốt thép chịu lực 12Ø20 => Fa = 37.680 cm2 Ra : Cƣờng độ chịu nén của cốt thép 2800 kg/cm2 Rnp: Cƣờng độ chịu nén của BT 175 kg/cm2 Vậy : P = 1482.50T 5.5.Chọn chiều dài cọc Chiều dài cọc đƣợc chọn theo các điều kiện sau: - Sức chịu tải của cọc theo đất nền - Sức chịu tải của cọc theo vật liệu làm cọc - Ta thấy sức chịu tải của cọc theo đất nền nhỏ hơn sức chịu tải của cọc theo vật liệu làm cọc do đó ta chọn chiều dài cọc theo sức chịu tải của đất nền có chiều dài 40m - ( Chiều dài thức tế của cọc sẽ đƣợc quyết định sau khi có kết quả thử cọc ) GVHD: Th.S. Dƣơng Thanh Quỳnh SVTH : Vũ Trọng Chung - MSSV : 273352 - Lớp 52CB3 143
  • 144.
    ĐỒ ÁN TỐTNGHIỆP Thiết Kế Kỹ Thuật Bến Căn Cứ Đóng Mới Giàn Jacket Độ Sâu . Đến 95.7M Nước Hạ Thủy Bằng Phương Pháp Kéo Trượt 6.Tính thép 6.1.Bản cầu tàu dày 1600 mm Tiết diện và nội lực tính toán. Cấu kiện b(cm) h(cm) a(cm) ho(cm) M(T.m) Qtu(T) Bản mặt CT (M11+) 100 160 7 153 28.89 18.58 Bản mặt CT (M11-) 100 160 7 153 21.65 19.41 Bản mặt CT (M22+) 100 160 7 153 29.51 21.25 Bản mặt CT (M22-) 100 160 7 153 14.65 21.30 Các hệ số tham gia tính toán. kn nc mb3 ma Rnp Ra 1.15 1 1.25 1.15 175 2800 Tính toán với mômen có giá trị lớn nhất. Cấu kiện d(mm) số thanh Fa(cm2) F'a(cm2) Bản mặt CT (M11+) 28 10 5.90 61.58 Bản mặt CT (M11-) 28 10 4.41 38.01 Bản mặt CT (M22+) 28 10 6.03 61.58 Bản mặt CT (M22-) 28 10 2.99 38.01 Tính toán các cấu kiện BTCT theo cƣờng độ chịu cắt Kiểm tra điều kiện tiết diện chọn đủ nếu thỏa mãn điều kiện : kn.nc.n.Q <= 0.25.mb3.Rnp.b.ho Cấu kiện kn nc n Q(kg) kn.nc.n.Q (kg) Bản mặt CT (M11+) 1.15 1 1.25 15483.33 22257.29 Bản mặt CT (M11-) 1.15 1 1.25 16175.00 23251.56 Bản mặt CT (M22+) 1.15 1 1.25 17708.33 25455.73 Bản mặt CT (M22-) 1.15 1 1.25 17750.00 25515.63 GVHD: Th.S. Dƣơng Thanh Quỳnh SVTH : Vũ Trọng Chung - MSSV : 273352 - Lớp 52CB3 144
  • 145.
    ĐỒ ÁN TỐTNGHIỆP Thiết Kế Kỹ Thuật Bến Căn Cứ Đóng Mới Giàn Jacket Độ Sâu . Đến 95.7M Nước Hạ Thủy Bằng Phương Pháp Kéo Trượt Cấu kiện mb3 Rnp b ho 0.25.mb3.Rnp.b.ho (kg/cm2) (cm) (cm) (kg) Bản mặt CT (M11+) 1 175 100 153 2686950 Bản mặt CT (M11-) 1 175 100 153 2692550 Bản mặt CT (M22+) 1 175 100 153 2686950 Bản mặt CT (M22-) 1 175 100 153 2692550 => kn.nc.n.Q <= 0.25.mb3.Rnp.b.ho => Thỏa mãn Kiểm tra điều kiện khi không phải cốt ngang khi thỏa mãn điều kiện : kn.nc.n.Q<=mb3.Qb Cấu kiện b(cm) ho(cm) a(cm) M(kg.cm) Qtu(kg) Ra(kg/cm2) Bản mặt CT (M11+) 100 153.54 6.6 2889000 15483.30 2800 Bản mặt CT (M11-) 100 153.11 6.25 2165000 16175.00 2800 Bản mặt CT (M22+) 100 153.54 6.6 295100 17708.30 2800 Bản mặt CT (M22-) 100 153.11 6.25 1465000 17750.00 2800 Cấu kiện Fa(cm2) Rnp(kg/cm2) tgβ' tgβ k b3 Bản mặt CT (M11+) 5.9 175 0.9 0.9 0.51 1 Bản mặt CT (M11-) 4.41 175 1.07 1.07 0.5 1 Bản mặt CT (M22+) 6.03 175 0.96 0.96 0.51 1 Bản mặt CT (M22-) 2.99 175 1.3 1.3 0.51 1 Cấu kiện b(cm) ho(cm) tgβ Qb(kg) kn.nc.n.Q(kg) mb3.Qb Bản mặt CT (M11+) 100 153 0.90 85218.49 2257.29 85218.4 Bản mặt CT (M11-) 100 153 1.07 100548.80 23251.56 100548 Bản mặt CT (M22+) 100 153 0.96 90573.04 25455.73 90573.0 Bản mặt CT (M22-) 100 153 1.30 121661.6 25515.63 121661 Kiểm tra điều kiện khi không phải cốt đai không có cốt xiên: kn.nc.n.Q <= Qxb Cấu kiện k Rax(kg/cm2) Rnp(kg/cm2) Rp b(cm) ho(cm) Bản mặt CT (M11+) 1 1700 175 12 100 153 Bản mặt CT (M11-) 1 1700 175 12 100 153 Bản mặt CT (M22+) 1 1700 175 12 100 153 Bản mặt CT (M22-) 1 1700 175 12 100 153 GVHD: Th.S. Dƣơng Thanh Quỳnh SVTH : Vũ Trọng Chung - MSSV : 273352 - Lớp 52CB3 145
  • 146.
    ĐỒ ÁN TỐTNGHIỆP Thiết Kế Kỹ Thuật Bến Căn Cứ Đóng Mới Giàn Jacket Độ Sâu . Đến 95.7M Nước Hạ Thủy Bằng Phương Pháp Kéo Trượt Cấu kiện cốt đai Fax qx kn.nc.n.Q Qxb mb.Rb.b/2 (mm) (cm2) (kg/cm2) (kg) (kg) (kg/cm2) Bản mặt CT (M11+) 12 5 7921 22257 1143325 600 Bản mặt CT (M11-) 12 5 7921 23252 3623047 600 Bản mặt CT (M22+) 12 5 7921 25456 3615512 600 Bản mặt CT (M22-) 12 5 7921 25516 3623047 600 Tính toán cấu kiện BTCT theo trạng thái giới hạn II Cấu kiện mb Ra d Fa Rnp b X ho (kg/cm2) (cm) (cm2) (kg/cm2) (cm) (cm) (cm) Bản mặt CT (M11+) 1 2800 2.8 5.90 225 100 0.84 153.54 Bản mặt CT (M11-) 1 2800 2.2 4.41 225 100 0.63 153.11 Bản mặt CT (M22+) 1 2800 2.8 6.03 225 100 0.86 153.54 Bản mặt CT (M22-) 1 2800 2.8 2.99 225 100 0.43 153.11 Cấu kiện F'a(cm2) Z δa(kg/cm2) Bản mặt CT (M11+) 61.58 153.12 306.42 Bản mặt CT (M11-) 38.01 153.54 370.93 Bản mặt CT (M22+) 61.58 153.15 313.01 Bản mặt CT (M22-) 38.01 153.65 250.83 Cấu kiện Cd d Fa F'a η δbd Ea μ (cm) (cm2) (cm2) 1 (kg/cm2) (kg/cm2) Bản mặt CT (M11+) 1 2.8 5.90 61.6 1 0 2100000 0.004 Bản mặt CT (M11-) 1 2.2 4.41 38 1 0 2100000 0.002 Bản mặt CT (M22+) 1 2.8 6.03 61.6 1 0 2100000 0.004 Bản mặt CT (M22-) 1 2.2 2.99 38 1 0 2100000 0.002 => Thảo mãn điều kiện vết nứt : a ≤ [a] = 0.08 mm GVHD: Th.S. Dƣơng Thanh Quỳnh SVTH : Vũ Trọng Chung - MSSV : 273352 - Lớp 52CB3 146
  • 147.
    ĐỒ ÁN TỐTNGHIỆP Thiết Kế Kỹ Thuật Bến Căn Cứ Đóng Mới Giàn Jacket Độ Sâu . Đến 95.7M Nước Hạ Thủy Bằng Phương Pháp Kéo Trượt 6.2.Bản cầu tàu dày 300mm Tiết diện và nội lực tính toán : Cấu kiện b(cm) h(cm) a(cm) ho(cm) M(T.m) Qtu(T) Bản mặt CT (M11+) 100 30 5.7 24.3 0.74 1.62 Bản mặt CT (M11-) 100 30 5.7 24.3 0.36 1.54 Bản mặt CT (M22+) 100 30 5.7 24.3 0.68 1.42 Bản mặt CT (M22-) 100 30 5.7 24.3 0.79 1.23 Các hệ số tính toán : kn nc mb3 ma Rnp Ra 1.15 1 1.25 1.15 175 2800 Tính toán với mômen có giá trị lớn nhất : Cấu kiện d(mm) số thanh Fa(cm2) F'a(cm2) Bản mặt CT (M11+) 14 7 0.95 10.78 Bản mặt CT (M11-) 14 7 0.46 10.78 Bản mặt CT (M22+) 14 7 0.88 10.78 Bản mặt CT (M22-) 14 7 1.02 10.78 Tính toán các cấu kiện BTCT theo cƣờng độ chịu cắt: Kiểm tra điều kiện tiết diện chọn đủ nếu thỏa mãn điều kiện: kn.nc.Q <= 0.25.mb3.Rnp.b.ho Cấu kiện kn nc n Q(kg) kn.nc.n.Q (kg) Bản mặt CT (M11+) 1.15 1 1.25 1350.00 1940.63 Bản mặt CT (M11-) 1.15 1 1.25 1283.33 1844.79 Bản mặt CT (M22+) 1.15 1 1.25 1183.33 1701.04 Bản mặt CT (M22-) 1.15 1 1.25 1025.00 1473.44 Cấu kiện mb3 Rnp b ho 0.25.mb3.Rnp.b.ho (kg/cm2) (cm) (cm) (kg) Bản mặt CT (M11+) 1 175 100 24.37 106618.75 Bản mặt CT (M11-) 1 175 100 24.37 106618.75 Bản mặt CT (M22+) 1 175 100 24.37 106618.75 Bản mặt CT (M22-) 1 175 100 24.37 106618.75 GVHD: Th.S. Dƣơng Thanh Quỳnh SVTH : Vũ Trọng Chung - MSSV : 273352 - Lớp 52CB3 147
  • 148.
    ĐỒ ÁN TỐTNGHIỆP Thiết Kế Kỹ Thuật Bến Căn Cứ Đóng Mới Giàn Jacket Độ Sâu . Đến 95.7M Nước Hạ Thủy Bằng Phương Pháp Kéo Trượt => kn.nc.n.Q <= 0.25.mb3.Rnp.b.ho => Thỏa mãn Kiểm tra điều kiện khi không phải cốt ngang khi thỏa mãn điều kiện : kn.nc.n.Q<=mb3.Qb Cấu kiện b(cm) ho(cm) a(cm) M(kg.cm) Qtu(kg) Ra(kg/cm2) Bản mặt CT (M11+) 100 24.37 5.7 74000 1350.00 2800 Bản mặt CT (M11-) 100 24.37 5.7 36000 1283.30 2800 Bản mặt CT (M22+) 100 24.37 5.7 68000 1183.30 2800 Bản mặt CT (M22-) 100 24.37 5.7 79000 1025.00 2800 Cấu kiện Fa(cm2) Rnp(kg/cm2) tgβ' tgβ k Bản mặt CT (M11+) 0.95 175 0.62 0.62 0.51 Bản mặt CT (M11-) 0.46 175 0.93 0.93 0.51 Bản mặt CT (M22+) 0.88 175 0.60 0.60 0.51 Bản mặt CT (M22-) 1.02 175 0.48 0.48 0.51 Cấu kiện k Rp b(cm) ho(cm) tgβ mb3 Qb(kg) kn.nc.n.Q(kg) Bản mặt CT (M11+) 0.51 2 100 24.4 0.62 1 9225.66 1940.63 Bản mặt CT (M11-) 0.51 2 100 24.4 0.93 1 13760.70 1844.79 Bản mặt CT (M22+) 0.51 2 100 24.4 0.60 1 8909.22 1701.04 Bản mặt CT (M22-) 0.51 2 100 24.4 0.48 1 7213.29 1473.44 Kiểm tra điều kiện khi không phải cốt đai không có cốt xiên: kn.nc.n.Q <= Qxb Cấu kiện Rax(kg/cm2) Rnp(kg/cm2) Rp b(cm) ho(cm) ma mb Bản mặt CT (M11+) 1700 175 12 100 24 1 1 Bản mặt CT (M11-) 1700 175 12 100 24 1 1 Bản mặt CT (M22+) 1700 175 12 100 24 1 1 Bản mặt CT (M22-) 1700 175 12 100 24 1 1 GVHD: Th.S. Dƣơng Thanh Quỳnh SVTH : Vũ Trọng Chung - MSSV : 273352 - Lớp 52CB3 148
  • 149.
    ĐỒ ÁN TỐTNGHIỆP Thiết Kế Kỹ Thuật Bến Căn Cứ Đóng Mới Giàn Jacket Độ Sâu . Đến 95.7M Nước Hạ Thủy Bằng Phương Pháp Kéo Trượt Cấu kiện U cốt đai Fax qx kn.nc.n.Q Qxb mb.Rb.b/2 (mm) (mm) (cm2) (kg/cm2) (kg) (kg) (kg/cm2) Bản mặt CT (M11+) 2 100 5 7921 1941 181470 600 Bản mặt CT (M11-) 2 100 5 7921 1845 573857 600 Bản mặt CT (M22+) 2 100 5 7921 1701 573857 600 Bản mặt CT (M22-) 2 100 5 7921 1473 573857 600 Tính toán cấu kiện BTCT theo trạng thái giới hạn II Cấu kiện ma mb Ra d Fa Rnp b X ho (kg/cm2) (cm) (cm2) (kg/cm2) (cm) (cm) (cm) Bản mặt CT (M11+) 1.15 1 2800 1.4 0.95 225 100 0.14 24.37 Bản mặt CT (M11-) 1.15 1 2800 1.4 0.46 225 100 0.23 24.37 Bản mặt CT (M22+) 1.15 1 2800 1.4 0.88 225 100 0.24 24.37 Bản mặt CT (M22-) 1.15 1 2800 1.4 1.02 225 100 0.17 24.37 Cấu kiện M(kg.cm) F'a(cm2) Z δa(kg/cm2) Bản mặt CT (M11+) 74000 10.78 24.30 282.59 Bản mặt CT (M11-) 36000 10.78 24.34 137.28 Bản mặt CT (M22+) 68000 10.78 24.31 259.61 Bản mặt CT (M22-) 79000 10.78 24.30 301.74 Cấu kiện k Cd d Fa F'a η δbd Ea μ (cm) (cm2) (cm2) 1 (kg/cm2) (kg/cm2) Bản mặt CT (M11+) 1 1 1.4 0.95 10.78 1 0 2E+06 0.004 Bản mặt CT (M11-) 1 1 1.4 0.46 10.78 1 0 2E+06 0.004 Bản mặt CT (M22+) 1 1 1.4 0.88 10.78 1 0 2E+06 0.004 Bản mặt CT (M22-) 1 1 1.4 1.02 10.78 1 0 2E+06 0.004 => Thảo mãn điều kiện vết nứt : a ≤ [a] = 0.08 mm 6.3.Dầm cầu tầu: Tiết diện và nội lực tính toán : GVHD: Th.S. Dƣơng Thanh Quỳnh SVTH : Vũ Trọng Chung - MSSV : 273352 - Lớp 52CB3 149
  • 150.
    ĐỒ ÁN TỐTNGHIỆP Thiết Kế Kỹ Thuật Bến Căn Cứ Đóng Mới Giàn Jacket Độ Sâu . Đến 95.7M Nước Hạ Thủy Bằng Phương Pháp Kéo Trượt Cấu kiện b(cm) h(cm) a(cm) ho(cm) M(T.m) Qtu(T) Dầm ngang (M+) 90 160 10.5 150 23.26 17.62 Dầm ngang (M-) 90 160 10.5 150 34.25 15.40 Dầm dọc (M+) 90 160 10.5 150 20.18 15.22 Dầm dọc (M- ) 90 160 10.5 150 32.61 15.32 Các hệ số tính toán : kn nc mb3 ma Rnp Ra 1.15 1 1.25 1.15 175 2800 Tính toán với mômen có giá trị lớn nhất : Cấu kiện d(mm) số thanh Fa(cm2) F'a(cm2) Dầm ngang (M+) 28 10 4.86 61.58 Dầm ngang (M-) 28 12 7.15 73.89 Dầm dọc (M+) 28 10 4.21 61.58 Dầm dọc (M-) 28 12 6.81 73.89 Tính toán các cấu kiện BTCT theo cƣờng độ chịu cắt: Kiểm tra điều kiện tiết diện chọn đủ nếu thỏa mãn điều kiện: kn.nc.Q <= 0.25.mb3.Rnp.b.ho Cấu kiện kn nc n Q(kg) kn.nc.n.Q (kg) Dầm ngang (M+) 1.15 1 1.25 14683.33 21107.29 Dầm ngang (M-) 1.15 1 1.25 12833.33 18447.92 Dầm dọc (M+) 1.15 1 1.25 12683.33 18232.29 Dầm dọc (M-) 1.15 1 1.25 12766.67 18352.08 Cấu kiện mb3 Rnp b ho 0.25.mb3.Rnp.b.ho (kg/cm2) (cm) (cm) (kg) Dầm ngang (M+) 1 175 90 150.14 591176 Dầm ngang (M-) 1 175 90 150.14 591176 Dầm dọc (M+) 1 175 90 150.14 591176 Dầm dọc (M-) 1 175 90 150.14 591176 => kn.nc.n.Q <= 0.25.mb3.Rnp.b.ho => Thỏa mãn GVHD: Th.S. Dƣơng Thanh Quỳnh SVTH : Vũ Trọng Chung - MSSV : 273352 - Lớp 52CB3 150
  • 151.
    ĐỒ ÁN TỐTNGHIỆP Thiết Kế Kỹ Thuật Bến Căn Cứ Đóng Mới Giàn Jacket Độ Sâu . Đến 95.7M Nước Hạ Thủy Bằng Phương Pháp Kéo Trượt Kiểm tra điều kiện khi không phải cốt ngang khi thỏa mãn điều kiện : kn.nc.n.Q<=mb3.Qb Cấu kiện b(cm) ho(cm) a(cm) M(kg.cm) Qtu(kg) Ra(kg/cm2) Dầm ngang (M+) 90 150.14 10 2326000 14683.3 2800 Dầm ngang (M-) 90 150.14 10 3425000 12833.3 2800 Dầm dọc (M+) 90 150.14 10 2018000 12833.3 2800 Dầm dọc (M-) 90 150.14 10 3261000 12766.7 2800 Cấu kiện Fa(cm2) Rnp(kg/cm2) tgβ' tgβ k Dầm ngang (M+) 4.86 175 0.97 0.97 0.51 Dầm ngang (M-) 7.15 175 0.72 0.72 0.52 Dầm dọc (M+) 4.21 175 0.97 0.97 0.51 Dầm dọc (M-) 6.81 175 0.74 0.74 0.52 Cấu kiện b(cm) ho(cm) tgβ mb3 Qb(kg) kn.nc.n.Q(kg) mb3.Qb Dầm ngang (M+) 90 150.14 0.97 1 80717.8 21107.29 80717.78 Dầm ngang (M-) 90 150.14 0.72 1 60356.9 18447.92 60356.87 Dầm dọc (M+) 90 150.14 0.97 1 80296.4 18232.29 80296.38 Dầm dọc (M-) 90 150.14 0.74 1 61963.8 18352.08 61963.82 Kiểm tra điều kiện khi không phải cốt đai không có cốt xiên khi thỏa mãn điều kiện :kn.nc.n.Q<= Qxb Cấu kiện k Rax(kg/cm2) Rnp(kg/cm2) Rp b(cm) ho(cm) Dầm ngang (M+) 1 1700 175 12 100 150 Dầm ngang (M-) 1 1700 175 12 100 150 Dầm dọc (M+) 1 1700 175 12 100 150 Dầm dọc (M-) 1 1700 175 12 100 150 cốt U Fax qx kn.nc.n.Q Qxb mb.Rb.b/2 Cấu kiện đai (mm) (mm) (cm2) (kg/cm2) (kg) (kg) (kg/cm2) Dầm ngang (M+) 100 12 5 7921 21107 1118007 600 Dầm ngang (M-) 100 12 5 7921 18448 3535450 600 Dầm dọc (M+) 100 12 5 7921 18232 3535450 600 Dầm dọc (M-) 100 12 5 7921 18352 3535450 600 GVHD: Th.S. Dƣơng Thanh Quỳnh SVTH : Vũ Trọng Chung - MSSV : 273352 - Lớp 52CB3 151
  • 152.
    ĐỒ ÁN TỐTNGHIỆP Thiết Kế Kỹ Thuật Bến Căn Cứ Đóng Mới Giàn Jacket Độ Sâu . Đến 95.7M Nước Hạ Thủy Bằng Phương Pháp Kéo Trượt Tính toán cấu kiện BTCT theo trạng thái giới hạn II Cấu kiện ma mb Ra d Fa Rnp b X ho (kg/cm2) (cm) (cm2) (kg/cm2) (cm) (cm) (cm) Dầm ngang (M+) 1.15 1 2800 2.8 4.86 225 100 0.70 150.14 Dầm ngang (M-) 1.15 1 2800 2.8 7.15 225 100 1.02 150.14 Dầm dọc (M+) 1.15 1 2800 2.8 4.21 225 100 0.60 150.14 Dầm dọc (M-) 1.15 1 2800 2.8 6.81 225 100 0.97 150.14 Cấu kiện M(kg.cm) F'a(cm2) Z δa(kg/cm2) Dầm ngang (M+) 2326000 61.58 149.79 252.18 Dầm ngang (M-) 3425000 73.89 149.63 309.78 Dầm dọc (M+) 2018000 61.58 149.84 218.72 Dầm dọc (M-) 3261000 73.89 149.65 294.9 Cấu kiện Cd d Fa F'a η δbd Ea μ at (cm) (cm2) (cm2) (kg/cm2) (kg/cm2) (mm) Bản mặt CT (M11+) 1 2.8 4.86 61.58 1 0 2E+06 0.004 0.058 Bản mặt CT (M11-) 1 2.8 7.15 73.89 1 0 2E+06 0.005 0.069 Bản mặt CT (M22+) 1 2.8 4.21 61.58 1 0 2E+06 0.004 0.049 Bản mặt CT (M22-) 1 2.8 6.81 73.89 1 0 2E+06 0.005 0.068 => Thảo mãn điều kiện vết nứt : a ≤ [a] = 0.08 mm 6.4.Tính cốt thép cọc Cọc là cấu kiện chịu nén và uốn đồng thời có tiết diện hình tròn. Theo tiêu chuẩn TCXDVN 356-2005 tính toán cho cấu kiện tiết diện tròn chịu lực dọc và mômen. N=246,95 T M=16,58 T.m Các thông số của tiết diện: a 80    0, 08 D 1000 N 271,95 n   0,198 Rb . A 1750.(2 / 4) GVHD: Th.S. Dƣơng Thanh Quỳnh SVTH : Vũ Trọng Chung - MSSV : 273352 - Lớp 52CB3 152
  • 153.
    ĐỒ ÁN TỐTNGHIỆP Thiết Kế Kỹ Thuật Bến Căn Cứ Đóng Mới Giàn Jacket Độ Sâu . Đến 95.7M Nước Hạ Thủy Bằng Phương Pháp Kéo Trượt M 16,58 m   0, 024 Rb . A.r 1750.0, 785.0,5 Từ họ biểu đồ tƣơng tác tiết diện tròn với β = 0,06 ta tra đồ thị ta có α=0,1 Vậy ta có diện tích cốt thép đƣợc tính  .Rb . A 0,1.1750.0, 785 Ast    0, 0049 Rs 28000 Chọn 1220 , Fa = 58,9cm2 Bố trí cốt thép đối xứng trong tiết diện. 7.Kiểm tra ổn định R1 = 30m Phân tố 1 2 3 4 5 6 7 8 9 10 11 Tổng li 6 2.1 1.56 1.63 1.3 1.52 1.42 1.57 1.2 0 0 Fi 3 2.2 2.16 2.37 2.1 2.1 1.94 1.66 1.5 1.5 1.56 gi 10 3.9 3.84 4.22 3.8 3.74 3.45 2.95 2.6 2.6 2.78 ri 27 22 19.2 16.5 14 10.8 7.9 5 2.3 3.6 7.44 ai 1.1 0.8 0.69 0.58 0.5 0.37 0.27 0.17 0.1 0.1 0.25 gi.sinai 9.2 2.8 2.45 2.3 1.7 1.34 0.9 0.49 0.2 0.3 0.69 22 gi.cosai.tgji 1.4 0.8 0.85 1.01 1 1 0.96 0.84 0.7 0.8 0.77 10 ci.li 1 0.3 0.25 0.26 0.2 0.24 0.23 0.25 0.2 0 0 2.9 hi 2.1 3.6 3.21 3.4 3.5 3.6 3.2 3.12 2.6 1.7 1.2 sa 4 5.6 5.22 5.42 5.5 5.64 5.21 5.13 4.6 3.6 3.08 sp 12 17 15.9 16.5 17 17.2 15.9 15.6 14 11 9.26 tn 2.9 3.5 3.91 3.94 3.6 2.79 1.89 1.75 1.7 1.3 1.2 M 8.1 17 19.6 20.7 18 10.8 4.57 3.85 3.1 1.3 1.07 Qi 5.1 8.9 9.12 9.55 8.9 7.04 4.4 4 3.4 2 1.62 64 Ta có : Mg = R[ Σgi.cosai.tgai + Σci.li + ΣQi ] =2321.11 Mtr = R.gisinai = 674.55 kn = 3.4 GVHD: Th.S. Dƣơng Thanh Quỳnh SVTH : Vũ Trọng Chung - MSSV : 273352 - Lớp 52CB3 153
  • 154.
    ĐỒ ÁN TỐTNGHIỆP Thiết Kế Kỹ Thuật Bến Căn Cứ Đóng Mới Giàn Jacket Độ Sâu . Đến 95.7M Nước Hạ Thủy Bằng Phương Pháp Kéo Trượt PHỤ LỤC 2 : PHÂN ĐOẠN CÓ ĐƢỜNG TRƢỢT 1. Sơ đồ tính 2. Tải trọng 3. Chuyển vị 4. Nội lực 5. Kiểm tra sức chịu tải của cọc 6. Tính thép GVHD: Th.S. Dƣơng Thanh Quỳnh SVTH : Vũ Trọng Chung - MSSV : 273352 - Lớp 52CB3 154
  • 155.
    ĐỒ ÁN TỐTNGHIỆP Thiết Kế Kỹ Thuật Bến Căn Cứ Đóng Mới Giàn Jacket Độ Sâu . Đến 95.7M Nước Hạ Thủy Bằng Phương Pháp Kéo Trượt 1.Sơ đồ tính GVHD: Th.S. Dƣơng Thanh Quỳnh SVTH : Vũ Trọng Chung - MSSV : 273352 - Lớp 52CB3 155
  • 156.
    ĐỒ ÁN TỐTNGHIỆP Thiết Kế Kỹ Thuật Bến Căn Cứ Đóng Mới Giàn Jacket Độ Sâu . Đến 95.7M Nước Hạ Thủy Bằng Phương Pháp Kéo Trượt 2.Tải trọng - Neo , va tựa, hàng hóa giống phân đoạn 1 - Cần trục 3.Nội lực - Lực dọc cọc GVHD: Th.S. Dƣơng Thanh Quỳnh SVTH : Vũ Trọng Chung - MSSV : 273352 - Lớp 52CB3 156
  • 157.
    ĐỒ ÁN TỐTNGHIỆP Thiết Kế Kỹ Thuật Bến Căn Cứ Đóng Mới Giàn Jacket Độ Sâu . Đến 95.7M Nước Hạ Thủy Bằng Phương Pháp Kéo Trượt Mômen dầm dọc - Lực cắt dầm dọc GVHD: Th.S. Dƣơng Thanh Quỳnh SVTH : Vũ Trọng Chung - MSSV : 273352 - Lớp 52CB3 157
  • 158.
    ĐỒ ÁN TỐTNGHIỆP Thiết Kế Kỹ Thuật Bến Căn Cứ Đóng Mới Giàn Jacket Độ Sâu . Đến 95.7M Nước Hạ Thủy Bằng Phương Pháp Kéo Trượt - Mômen dầm ngang - Lực cắt dầm ngang GVHD: Th.S. Dƣơng Thanh Quỳnh SVTH : Vũ Trọng Chung - MSSV : 273352 - Lớp 52CB3 158
  • 159.
    ĐỒ ÁN TỐTNGHIỆP Thiết Kế Kỹ Thuật Bến Căn Cứ Đóng Mới Giàn Jacket Độ Sâu . Đến 95.7M Nước Hạ Thủy Bằng Phương Pháp Kéo Trượt - Mômen M11 - Mômen M22 GVHD: Th.S. Dƣơng Thanh Quỳnh SVTH : Vũ Trọng Chung - MSSV : 273352 - Lớp 52CB3 159
  • 160.
    ĐỒ ÁN TỐTNGHIỆP Thiết Kế Kỹ Thuật Bến Căn Cứ Đóng Mới Giàn Jacket Độ Sâu . Đến 95.7M Nước Hạ Thủy Bằng Phương Pháp Kéo Trượt 4.chuyển vị GVHD: Th.S. Dƣơng Thanh Quỳnh SVTH : Vũ Trọng Chung - MSSV : 273352 - Lớp 52CB3 160
  • 161.
    ĐỒ ÁN TỐTNGHIỆP Thiết Kế Kỹ Thuật Bến Căn Cứ Đóng Mới Giàn Jacket Độ Sâu . Đến 95.7M Nước Hạ Thủy Bằng Phương Pháp Kéo Trượt 5.Kiểm tra sức chịu tải của cọc (Theo tiêu chuẩn móng cọc TCXDVN205-1998) 5.1.Tính toán sức chịu tải của cọc theo đất nền Công thức tính toán Ф =m.( mr.qp.F + U.Σmf.fi.li ) Trong đó : Ф : Sức chịu tải của cọc theo đất nền m : Hệ số điều kiện làm việc trong đất m = 1.0 R : Sức chống tính toán của đất ở mũi cọc(T/m2) qp=430 T/m2 F : Diện tích mặt cắt ngang cọc. Bề rộng cọc : 100 cm => F = 0.875m2 U : Chu vi tiết diện ngang cọc U =3.14 mf,mr :Tƣơng ứng là các hệ số điều kiện làm việc của đất dƣới chân cọc và trên thành cọc có xét đến ảnh hƣởng của phƣơng pháp hạ cọc : mf = mr = 1 li : Chiều dày lớp đất thứ i mà mũi cọc đi qua . Chia lớp đất thành các lớp đồng nhất có chiều dày là 2m. fi : Sức chống tính toán của đất ở thân cọc (T/m2) , tra bảng 2-TCXD205-1998 ta có : GVHD: Th.S. Dƣơng Thanh Quỳnh SVTH : Vũ Trọng Chung - MSSV : 273352 - Lớp 52CB3 161
  • 162.
    ĐỒ ÁN TỐTNGHIỆP Thiết Kế Kỹ Thuật Bến Căn Cứ Đóng Mới Giàn Jacket Độ Sâu . Đến 95.7M Nước Hạ Thủy Bằng Phương Pháp Kéo Trượt Tên Cao Độ Bề Độ li B fi qp fi.li lớp độ sâu dày sâu 2 1.5 -5 6.5 0 0 0 0 0 4 -5 -7.5 2.5 0 0 1.51 0 0 0 5a -7.5 -10.2 2.7 0 2 0.55 1.5 0 -10.2 -19.4 9.2 2 4 0.55 1.9 3.8 2 6 0.55 2.15 4.3 2 8 0.55 4.4 8.8 2 10 0.55 4.6 9.2 1.2 12 0.55 4.8 9.6 6 -19.4 -34.4 15 2 14 0.31 5 10 2 16 0.31 5.2 10.4 2 18 0.31 5.4 10.8 2 20 0.31 5.6 430 11.2 2 22 0.31 5.8 11.6 2 24 0.31 6 12 2 26 0.31 6.2 12.4 2 28 0.31 6.4 12.8 1 30 0.31 6.6 6.6 6 -34.4 -39.87 2 32 0.31 6.8 13.6 1 33 0.31 6.9 6.9 7 2 35 0.22 9.8 19.6 2 37 0.22 10 20 0.5 37.5 0.22 10 5 0 37.5 0.62 153.58 10 0 37.5 0.39 11 0 37.5 1.32 12 0 37.5 13 1 38.5 0.82 . Qua tính toán : Σfi.li = 153.58T/m2 Sức chịu nén của cọc theo đất nền : GVHD: Th.S. Dƣơng Thanh Quỳnh SVTH : Vũ Trọng Chung - MSSV : 273352 - Lớp 52CB3 162
  • 163.
    ĐỒ ÁN TỐTNGHIỆP Thiết Kế Kỹ Thuật Bến Căn Cứ Đóng Mới Giàn Jacket Độ Sâu . Đến 95.7M Nước Hạ Thủy Bằng Phương Pháp Kéo Trượt Ta có : Ф = 614.80T Pn = Ф/Ktc =469.10T Ktc : Hệ số độ tin cậy Ktc = 1.4 5.2.Tính toán sức chịu nhổ của cọc theo đất nền Công thức tính toán: Ф = m.U.Σmf.fi.li Trong đó: Ф : Sức chịu tải của cọc theo đất nền m: Hệ số điều kiện làm việc trong đất lấy m = 0.8 U: Chu vi tiết diện ngang cọc U = 3.14 mf,mr: Tƣơng ứng là các hệ số điều kiện làm việc của đất dƣới chân cọc và trên thành cọc có xét đến ảnh hƣởng của phƣơng pháp hạ cọc : mf = mr = 1 li: Chiều dày lớp đất thứ i mà mũi cọc đi qua. fi: Sức chống tính toán của đất ở thân cọc (T/m2) Sức chịu nhổ của cọc theo đất nền. Ta có : Ф = 343.10 Pnh = Ф/Ktc = 245.07 Ktc : Hệ số độ tin cậy Ktc = 1.4 5.3.Kiểm tra khả năng chịu nén của cọc : Nội lực tính toán : Nmax = 297.740T Ntt = nc.n.mđ. Nmax + G GVHD: Th.S. Dƣơng Thanh Quỳnh SVTH : Vũ Trọng Chung - MSSV : 273352 - Lớp 52CB3 163
  • 164.
    ĐỒ ÁN TỐTNGHIỆP Thiết Kế Kỹ Thuật Bến Căn Cứ Đóng Mới Giàn Jacket Độ Sâu . Đến 95.7M Nước Hạ Thủy Bằng Phương Pháp Kéo Trượt Trong đó : nc : Hệ số tổ hợp tải trọng : nc = 1.00 n : Hệ số vƣợt tải : n = 1.25 mđ : Hệ số phụ điều kiện làm việc mđ = 1.00 G : Trọng lƣợng bản thân cọc G = 78.5 Chiều dài cọc L = 40 Vậy Ntt = 452.24T Qua tính toán trên Ntt < Pn => Cọc đảm bảo chịu lực theo đất nền. 5.4.Sức chịu tải của cọc theo vật liệu làm cọc. Biểu thức tính toán : Pn = Ra.Fa + Rnp.Fb Trong đó : Fa : Diện tích cốt thép chịu lực 12Ø20 => Fa = 37.680 cm2 Ra : Cƣờng độ chịu nén của cốt thép 2800 kg/cm2 Rnp: Cƣờng độ chịu nén của BT 175 kg/cm2 Vậy : P = 1482.50T 5.5.Chọn chiều dài cọc Chiều dài cọc đƣợc chọn theo các điều kiện sau: - Sức chịu tải của cọc theo đất nền - Sức chịu tải của cọc theo vật liệu làm cọc GVHD: Th.S. Dƣơng Thanh Quỳnh SVTH : Vũ Trọng Chung - MSSV : 273352 - Lớp 52CB3 164
  • 165.
    ĐỒ ÁN TỐTNGHIỆP Thiết Kế Kỹ Thuật Bến Căn Cứ Đóng Mới Giàn Jacket Độ Sâu . Đến 95.7M Nước Hạ Thủy Bằng Phương Pháp Kéo Trượt - Ta thấy sức chịu tải của cọc theo đất nền nhỏ hơn sức chịu tải của cọc theo vật liệu làm cọc do đó ta chọn chiều dài cọc theo sức chịu tải của đất nền có chiều dài 40m - ( Chiều dài thức tế của cọc sẽ đƣợc quyết định sau khi có kết quả thử cọc ) 6.Tính thép 6.1.Bản cầu tàu dày 1600 mm Tiết diện và nội lực tính toán. Cấu kiện b(cm) h(cm) a(cm) ho(cm) M(T.m) Qtu(T) Bản mặt CT (M11+) 100 160 7 153 32.63 26.76 Bản mặt CT (M11-) 100 160 7 153 -7.86 -26.74 Bản mặt CT (M22+) 100 160 7 153 33.99 24.13 Bản mặt CT (M22-) 100 160 7 153 -37.87 -24.51 Các hệ số tham gia tính toán. kn nc mb3 ma Rnp Ra 1.15 1 1.25 1.15 175 2800 Tính toán với mômen có giá trị lớn nhất. Cấu kiện d(mm) số thanh Fa(cm2) F'a(cm2) Bản mặt CT (M11+) 28 10 6.61 61.58 Bản mặt CT (M11-) 28 10 6.61 38.01 Bản mặt CT (M22+) 28 10 6.61 61.58 Bản mặt CT (M22-) 28 10 6.61 38.01 Tính toán các cấu kiện BTCT theo cƣờng độ chịu cắt Kiểm tra điều kiện tiết diện chọn đủ nếu thỏa mãn điều kiện : kn.nc.n.Q <= 0.25.mb3.Rnp.b.ho Cấu kiện kn nc n Q(kg) kn.nc.n.Q (kg) Bản mặt CT (M11+) 1.15 1 1.25 12791.7 38463.19 Bản mặt CT (M11-) 1.15 1 1.25 12833.3 -3843.56 Bản mặt CT (M22+) 1.15 1 1.25 12683.3 34691.19 Bản mặt CT (M22-) 1.15 1 1.25 12766.7 -35237.44 GVHD: Th.S. Dƣơng Thanh Quỳnh SVTH : Vũ Trọng Chung - MSSV : 273352 - Lớp 52CB3 165
  • 166.
    ĐỒ ÁN TỐTNGHIỆP Thiết Kế Kỹ Thuật Bến Căn Cứ Đóng Mới Giàn Jacket Độ Sâu . Đến 95.7M Nước Hạ Thủy Bằng Phương Pháp Kéo Trượt Cấu kiện mb3 Rnp b ho 0.25.mb3.Rnp.b.ho (kg/cm2) (cm) (cm) (kg) Bản mặt CT (M11+) 1 175 100 153 669987.5 Bản mặt CT (M11-) 1 175 100 153 669987.5 Bản mặt CT (M22+) 1 175 100 153 669987.5 Bản mặt CT (M22-) 1 175 100 153 669987.5 => kn.nc.n.Q <= 0.25.mb3.Rnp.b.ho => Thỏa mãn Kiểm tra điều kiện khi không phải cốt ngang khi thỏa mãn điều kiện : kn.nc.n.Q<=mb3.Qb Cấu kiện b(cm) ho(cm) a(cm) M(kg.cm) Qtu(kg) Ra(kg/cm2) Bản mặt CT (M11+) 100 153.14 6.6 3263437 26757 2800 Bản mặt CT (M11-) 100 153.11 6.25 -786476 -26735 2800 Bản mặt CT (M22+) 100 153.14 6.6 3399193 24133 2800 Bản mặt CT (M22-) 100 153.11 6.25 -3787482 -24513 2800 Cấu kiện Fa(cm2) Rnp(kg/cm2) tgβ' tgβ k b3 Bản mặt CT (M11+) 6.61 175 1.11 0.76 0.51 1 Bản mặt CT (M11-) 2.31 175 1.27 1.27 0.5 1 Bản mặt CT (M22+) 6.82 175 0.74 0.74 0.51 1 Bản mặt CT (M22-) 2.08 175 1.32 1.32 0.51 1 Cấu kiện b(cm) ho(cm) tgβ Qb(kg) kn.nc.n.Q(kg) mb3.Qb Bản mặt CT (M11+) 100 153 0.76 71332.98 18388.02 71332.8 Bản mặt CT (M11-) 100 153 1.27 117813.8 18447.92 117814 Bản mặt CT (M22+) 100 153 0.74 69604.09 18232.29 69604.1 Bản mặt CT (M22-) 100 153 1.32 121865.7 18352.08 121866 Kiểm tra điều kiện khi không phải cốt đai không có cốt xiên: kn.nc.n.Q <= Qxb Cấu kiện Rax(kg/cm2) Rnp(kg/cm2) Rp b(cm) ho(cm) ma mb Bản mặt CT (M11+) 1700 175 12 100 153 1 1 Bản mặt CT (M11-) 1700 175 12 100 153 1 1 Bản mặt CT (M22+) 1700 175 12 100 153 1 1 Bản mặt CT (M22-) 1700 175 12 100 153 1 1 GVHD: Th.S. Dƣơng Thanh Quỳnh SVTH : Vũ Trọng Chung - MSSV : 273352 - Lớp 52CB3 166
  • 167.
    ĐỒ ÁN TỐTNGHIỆP Thiết Kế Kỹ Thuật Bến Căn Cứ Đóng Mới Giàn Jacket Độ Sâu . Đến 95.7M Nước Hạ Thủy Bằng Phương Pháp Kéo Trượt Cấu kiện cốt đai Fax qx kn.nc.n.Q Qxb mb.Rb.b/2 (mm) (cm2) (kg/cm2) (kg) (kg) (kg/cm2) Bản mặt CT (M11+) 12 5 792 18388 1140347 600 Bản mặt CT (M11-) 12 5 792 18448 3605387 600 Bản mặt CT (M22+) 12 5 792 18232 3606093 600 Bản mặt CT (M22-) 12 5 792 18352 3605387 600 Tính toán cấu kiện BTCT theo trạng thái giới hạn II Cấu kiện Ra d Fa Rnp b X ho Z (kg/cm2) (cm) (cm2) (kg/cm2) (cm) (cm) (cm) (cm) Bản mặt CT (M11+) 2800 2.8 6.61 225 100 0.95 153.14 152.67 Bản mặt CT (M11-) 2800 2.8 2.31 225 100 0.33 153.11 152.94 Bản mặt CT (M22+) 2800 2.8 6.82 225 100 0.98 153.14 152.65 Bản mặt CT (M22-) 2800 2.8 2.08 225 100 0.3 153.11 152.96 Cấu kiện F'a(cm2) Z δa(kg/cm2) Bản mặt CT (M11+) 61.58 152.67 343.28 Bản mặt CT (M11-) 38.01 152.94 194.19 Bản mặt CT (M22+) 61.58 152.65 354.48 Bản mặt CT (M22-) 38.01 152.96 175.08 Cấu kiện Cd d Fa F'a η δbd Ea μ (cm) (cm2) (cm2) 1 (kg/cm2) (kg/cm2) Bản mặt CT (M11+) 1 2.8 6.61 61.6 1 0 2100000 0.004 Bản mặt CT (M11-) 1 2.8 2.31 38 1 0 2100000 0.002 Bản mặt CT (M22+) 1 2.8 6.82 61.6 1 0 2100000 0.004 Bản mặt CT (M22-) 1 2.8 2.08 38 1 0 2100000 0.002 => Thảo mãn điều kiện vết nứt : a ≤ [a] = 0.08 mm 6.2.Bản cầu tàu dày 300mm Tiết diện và nội lực tính toán : GVHD: Th.S. Dƣơng Thanh Quỳnh SVTH : Vũ Trọng Chung - MSSV : 273352 - Lớp 52CB3 167
  • 168.
    ĐỒ ÁN TỐTNGHIỆP Thiết Kế Kỹ Thuật Bến Căn Cứ Đóng Mới Giàn Jacket Độ Sâu . Đến 95.7M Nước Hạ Thủy Bằng Phương Pháp Kéo Trượt Cấu kiện b(cm) h(cm) a(cm) ho(cm) M(T.m) Qtu(T) Bản mặt CT (M11+) 100 30 5.7 24.3 0.78 1.6 Bản mặt CT (M11-) 100 30 5.7 24.3 1.25 1.83 Bản mặt CT (M22+) 100 30 5.7 24.3 1.3 0.98 Bản mặt CT (M22-) 100 30 5.7 24.3 0.92 1.23 Các hệ số tính toán : kn nc mb3 ma Rnp Ra 1.15 1 1.25 1.15 175 2800 Tính toán với moomen có giá trị lớn nhất : Cấu kiện d(mm) số thanh Fa(cm2) F'a(cm2) Bản mặt CT (M11+) 14 7 1.01 10.78 Bản mặt CT (M11-) 14 7 1.61 10.78 Bản mặt CT (M22+) 14 7 1.68 10.78 Bản mặt CT (M22-) 14 7 1.19 10.78 Tính toán các cấu kiện BTCT theo cƣờng độ chịu cắt: Kiểm tra điều kiện tiết diện chọn đủ nếu thỏa mãn điều kiện: kn.nc.Q <= 0.25.mb3.Rnp.b.ho Cấu kiện kn nc n Q(kg) kn.nc.n.Q (kg) Bản mặt CT (M11+) 1.15 1 1.25 1333.33 1916.67 Bản mặt CT (M11-) 1.15 1 1.25 1525.00 2192.19 Bản mặt CT (M22+) 1.15 1 1.25 816.67 1173.96 Bản mặt CT (M22-) 1.15 1 1.25 1025.00 1473.44 Cấu kiện mb3 Rnp b ho 0.25.mb3.Rnp.b.ho (kg/cm2) (cm) (cm) (kg) Bản mặt CT (M11+) 1 175 100 24.37 106618.75 Bản mặt CT (M11-) 1 175 100 24.37 106618.75 Bản mặt CT (M22+) 1 175 100 24.37 106618.75 Bản mặt CT (M22-) 1 175 100 24.37 106618.75 => kn.nc.n.Q <= 0.25.mb3.Rnp.b.ho => Thỏa mãn GVHD: Th.S. Dƣơng Thanh Quỳnh SVTH : Vũ Trọng Chung - MSSV : 273352 - Lớp 52CB3 168
  • 169.
    ĐỒ ÁN TỐTNGHIỆP Thiết Kế Kỹ Thuật Bến Căn Cứ Đóng Mới Giàn Jacket Độ Sâu . Đến 95.7M Nước Hạ Thủy Bằng Phương Pháp Kéo Trượt Kiểm tra điều kiện khi không phải cốt ngang khi thỏa mãn điều kiện : kn.nc.n.Q<=mb3.Qb Cấu kiện b(cm) ho(cm) a(cm) M(kg.cm) Qtu(kg) Ra(kg/cm2) Bản mặt CT (M11+) 100 24.37 5.7 7800 1333.3 2800 Bản mặt CT (M11-) 100 24.37 5.7 7800 1525.0 2800 Bản mặt CT (M22+) 100 24.37 5.7 7800 816.7 2800 Bản mặt CT (M22-) 100 24.37 5.7 7800 1025.0 2800 Cấu kiện Fa(cm2) Rnp(kg/cm2) tgβ' tgβ k Bản mặt CT (M11+) 1.01 175 0.59 0.59 0.51 Bản mặt CT (M11-) 1.61 175 0.46 0.46 0.52 Bản mặt CT (M22+) 1.68 175 0.27 0.27 0.51 Bản mặt CT (M22-) 1.19 175 0.43 0.43 0.52 Cấu kiện b(cm) ho(cm) tgβ mb3 Qb(kg) kn.nc.n.Q(kg) mb3.Qb Bản mặt CT (M11+) 100 24.4 0.59 1 8827.05 1916.67 8827.05 Bản mặt CT (M11-) 100 24.4 0.46 1 6985.68 2192.19 6985.68 Bản mặt CT (M22+) 100 24.4 0.27 1 4053.55 1173.96 4053.55 Bản mặt CT (M22-) 100 24.4 0.43 1 6439.15 1473.44 6439.15 Kiểm tra điều kiện khi không phải cốt đai không có cốt xiên: kn.nc.n.Q <= Qxb Cấu kiện Rax(kg/cm2) Rnp(kg/cm2) Rp b(cm) ho(cm) ma mb Bản mặt CT (M11+) 1700 175 12 100 24 1 1 Bản mặt CT (M11-) 1700 175 12 100 24 1 1 Bản mặt CT (M22+) 1700 175 12 100 24 1 1 Bản mặt CT (M22-) 1700 175 12 100 24 1 1 Cấu kiện cốt đai Fax qx kn.nc.n.Q Qxb mb.Rb.b/2 (mm) (cm2) (kg/cm2) (kg) (kg) (kg/cm2) Bản mặt CT (M11+) 100 5 792 18388 1140347 600 Bản mặt CT (M11-) 100 5 792 18448 3605387 600 Bản mặt CT (M22+) 100 5 792 18232 3606093 600 Bản mặt CT (M22-) 100 5 792 18352 3605387 600 GVHD: Th.S. Dƣơng Thanh Quỳnh SVTH : Vũ Trọng Chung - MSSV : 273352 - Lớp 52CB3 169
  • 170.
    ĐỒ ÁN TỐTNGHIỆP Thiết Kế Kỹ Thuật Bến Căn Cứ Đóng Mới Giàn Jacket Độ Sâu . Đến 95.7M Nước Hạ Thủy Bằng Phương Pháp Kéo Trượt Tính toán cấu kiện BTCT theo trạng thái giới hạn II Cấu kiện Ra d Fa Rnp b X ho Z (kg/cm2) (cm) (cm2) (kg/cm2) (cm) (cm) (cm) (cm) Bản mặt CT (M11+) 2800 1.4 1.01 225 100 0.14 24.37 24.3 Bản mặt CT (M11-) 2800 1.4 1.61 225 100 0.23 24.37 24.3 Bản mặt CT (M22+) 2800 1.4 1.68 225 100 0.24 24.37 24.3 Bản mặt CT (M22-) 2800 1.4 1.19 225 100 0.17 24.37 24.3 Cấu kiện M(kg.cm) F'a(cm2) Z δa(kg/cm2) Bản mặt CT (M11+) 78000 10.78 24.3 297.91 Bản mặt CT (M11-) 125000 10.78 24.25 478.27 Bản mặt CT (M22+) 130000 10.78 24.25 497.49 Bản mặt CT (M22-) 92000 10.78 24.29 351.56 Cấu kiện d Fa F'a η δbd Ea μ at (cm) (cm2) (cm2) 1 (kg/cm2) (kg/cm2) (mm) Bản mặt CT (M11+) 1.4 1.01 10.78 1 0 2E+06 0.004 0.05 Bản mặt CT (M11-) 1.4 1.61 10.78 1 0 2E+06 0.004 0.08 Bản mặt CT (M22+) 1.4 1.68 10.78 1 0 2E+06 0.004 0.08 Bản mặt CT (M22-) 1.4 1.19 10.78 1 0 2E+06 0.004 0.06 => Thảo mãn điều kiện vết nứt : a ≤ [a] = 0.08 mm 6.3.Dầm cầu tầu: Tiết diện và nội lực tính toán : Cấu kiện b(cm) h(cm) a(cm) ho(cm) M(T.m) Qtu(T) Dầm ngang (M+) 90 160 10.5 149.5 129.57 12.05 Dầm ngang (M-) 90 160 10.5 149.5 151.67 35.92 Dầm dọc (M+) 90 160 10.5 149.5 127.62 58.64 Dầm dọc (M- ) 90 160 10.5 149.5 150.55 2.83 Các hệ số tính toán : GVHD: Th.S. Dƣơng Thanh Quỳnh SVTH : Vũ Trọng Chung - MSSV : 273352 - Lớp 52CB3 170
  • 171.
    ĐỒ ÁN TỐTNGHIỆP Thiết Kế Kỹ Thuật Bến Căn Cứ Đóng Mới Giàn Jacket Độ Sâu . Đến 95.7M Nước Hạ Thủy Bằng Phương Pháp Kéo Trượt kn nc mb3 ma Rnp Ra ν 1.15 1 1.25 1.15 175 2800 0.95 Tính toán với mômen có giá trị lớn nhất : Cấu kiện d(mm) số thanh Fa(cm2) F'a(cm2) Dầm ngang (M+) 28 15 27.15 92.36 Dầm ngang (M-) 28 16 31.78 98.52 Dầm dọc (M+) 28 15 26.74 92.36 Dầm dọc (M-) 28 16 31.55 98.52 Tính toán các cấu kiện BTCT theo cƣờng độ chịu cắt: Kiểm tra điều kiện tiết diện chọn đủ nếu thỏa mãn điều kiện: kn.nc.Q <= 0.25.mb3.Rnp.b.ho Cấu kiện kn nc n Q(kg) kn.nc.n.Q (kg) Dầm ngang (M+) 1.15 1 1.25 10041.67 14434.90 Dầm ngang (M-) 1.15 1 1.25 29933.33 43029.17 Dầm dọc (M+) 1.15 1 1.25 48866.67 70245.83 Dầm dọc (M-) 1.15 1 1.25 2358.33 3390.10 Cấu kiện mb3 Rnp b ho 0.25.mb3.Rnp.b.ho (kg/cm2) (cm) (cm) (kg) Dầm ngang (M+) 1 175 90 149.64 589208 Dầm ngang (M-) 1 175 90 149.64 589208 Dầm dọc (M+) 1 175 90 149.64 589208 Dầm dọc (M-) 1 175 90 149.64 589208 => kn.nc.n.Q <= 0.25.mb3.Rnp.b.ho => Thỏa mãn Kiểm tra điều kiện khi không phải cốt ngang khi thỏa mãn điều kiện : kn.nc.n.Q<=mb3.Qb Cấu kiện b(cm) ho(cm) a(cm) M(kg.cm) Qtu(kg) Ra(kg/cm2) Dầm ngang (M+) 90 149.64 10 12957000 10441.70 2800 Dầm ngang (M-) 90 149.64 10 15167000 29933.30 2800 Dầm dọc (M+) 90 149.64 10 12762000 48866.70 2800 Dầm dọc (M-) 90 149.64 10 1505500 2358.30 2800 GVHD: Th.S. Dƣơng Thanh Quỳnh SVTH : Vũ Trọng Chung - MSSV : 273352 - Lớp 52CB3 171
  • 172.
    ĐỒ ÁN TỐTNGHIỆP Thiết Kế Kỹ Thuật Bến Căn Cứ Đóng Mới Giàn Jacket Độ Sâu . Đến 95.7M Nước Hạ Thủy Bằng Phương Pháp Kéo Trượt Cấu kiện Fa(cm2) Rnp(kg/cm2) tgβ' tgβ k Dầm ngang (M+) 27.15 175 0.21 0.21 0.56 Dầm ngang (M-) 31.78 175 0.46 0.46 0.58 Dầm dọc (M+) 26.74 175 0.73 0.73 0.56 Dầm dọc (M-) 31.55 175 0.05 0.05 0.57 Cấu kiện b(cm) ho(cm) tgβ mb3 Qb(kg) kn.nc.n.Q(kg) mb3.Qb Dầm ngang (M+) 90 149.64 0.21 1 19961.52 14434.90 18916.52 Dầm ngang (M-) 90 149.64 0.46 1 42411.60 43029.17 42411.60 Dầm dọc (M+) 90 149.64 0.73 1 66350.92 70245.83 66350.92 Dầm dọc (M-) 90 149.64 0.05 1 4256.468 3390.10 4256.47 Vậy kn.nc.n.Q<= mb3.Qb => Thỏa mãn. Kiểm tra điều kiện khi không phải cốt đai không có cốt xiên khi thỏa mãn điều kiện :kn.nc.n.Q<= Qxb Cấu kiện Rax(kg/cm2) Rnp(kg/cm2) Rp b(cm) ho(cm) ma mb Dầm ngang (M+) 1700 175 12 100 150 1 1 Dầm ngang (M-) 1700 175 12 100 150 1 1 Dầm dọc (M+) 1700 175 12 100 150 1 1 Dầm dọc (M-) 1700 175 12 100 150 1 1 Cấu kiện U cốt đai Fax qx kn.nc.n.Q Qxb mb.Rb.b/2 (mm) (mm) (cm2) (kg/cm2) (kg) (kg) (kg/cm2) Dầm ngang (M+) 100 12 5 7921 14435 1114284 600 Dầm ngang (M-) 100 12 5 7921 43029 3523676 600 Dầm dọc (M+) 100 12 5 7921 70246 3523676 600 Dầm dọc (M-) 100 12 5 7921 33900 3523676 600 Tính toán cấu kiện BTCT theo trạng thái giới hạn II Cấu kiện Ra d Fa Rnp b X ho Z (kg/cm2) (cm) (cm2) (kg/cm2) (cm) (cm) (cm) (cm) Dầm ngang (M+) 2800 2.8 27.15 225 100 3.89 149.64 147.70 Dầm ngang (M-) 2800 2.8 31.78 225 100 4.55 149.64 147.37 Dầm dọc (M+) 2800 2.8 26.74 225 100 3.83 149.64 147.73 Dầm dọc (M-) 2800 2.8 31.55 225 100 4.51 149.64 147.38 GVHD: Th.S. Dƣơng Thanh Quỳnh SVTH : Vũ Trọng Chung - MSSV : 273352 - Lớp 52CB3 172
  • 173.
    ĐỒ ÁN TỐTNGHIỆP Thiết Kế Kỹ Thuật Bến Căn Cứ Đóng Mới Giàn Jacket Độ Sâu . Đến 95.7M Nước Hạ Thủy Bằng Phương Pháp Kéo Trượt Cấu kiện M(kg.cm) F'a(cm2) Z δa(kg/cm2) Dầm ngang (M+) 12957000 92.36 147.70 949.81 Dầm ngang (M-) 15167000 98.52 147.37 1044.67 Dầm dọc (M+) 12762000 92.36 147.73 935.33 Dầm dọc (M-) 15055000 98.52 147.38 1036.83 Cấu kiện Cd d Fa F'a η δbd Ea μ at (cm) (cm2) (cm2) (kg/cm2) (kg/cm2) (mm) Bản mặt CT (M11+) 1 2.8 27.15 92.36 1 0 2E+06 0.006 0.067 Bản mặt CT (M11-) 1 2.8 31.78 98.52 1 0 2E+06 0.007 0.074 Bản mặt CT (M22+) 1 2.8 26.74 92.36 1 0 2E+06 0.006 0.066 Bản mặt CT (M22-) 1 2.8 31.55 98.52 1 0 2E+06 0.007 0.073 => Thảo mãn điều kiện vết nứt : a ≤ [a] = 0.08 mm 6.4.Tính cốt thép cọc Cọc là cấu kiện chịu nén và uốn đồng thời có tiết diện hình tròn. Theo tiêu chuẩn TCXDVN 356-2005 tính toán cho cấu kiện tiết diện tròn chịu lực dọc và mômen. N=297,30T M=26,58 T.m Các thông số của tiết diện: a 80    0, 08 D 1000 N 271,95 n   0,198 Rb . A 1750.(2 / 4) M 16,58 m   0, 024 Rb . A.r 1750.0, 785.0,5 Từ họ biểu đồ tƣơng tác tiết diện tròn với β = 0,06 ta tra đồ thị ta có α=0,1 Vậy ta có diện tích cốt thép đƣợc tính GVHD: Th.S. Dƣơng Thanh Quỳnh SVTH : Vũ Trọng Chung - MSSV : 273352 - Lớp 52CB3 173
  • 174.
    ĐỒ ÁN TỐTNGHIỆP Thiết Kế Kỹ Thuật Bến Căn Cứ Đóng Mới Giàn Jacket Độ Sâu . Đến 95.7M Nước Hạ Thủy Bằng Phương Pháp Kéo Trượt  .Rb . A 0,1.1750.0, 785 Ast    0, 0049 Rs 28000 Ast= 49cm2 Chọn 1220 , Fa = 58,9cm2 Bố trí cốt thép đối xứng trong tiết diện. 7.Kiểm tra ổn định R1 = 30m Phân tố 1 2 3 4 5 6 7 8 9 10 11 Tổng li 6 2.1 1.56 1.63 1.3 1.52 1.42 1.57 1.2 0 0 Fi 3 2.2 2.16 2.37 2.1 2.1 1.94 1.66 1.5 1.5 1.56 gi 10 3.9 3.84 4.22 3.8 3.74 3.45 2.95 2.6 2.6 2.78 ri 27 22 19.2 16.5 14 10.8 7.9 5 2.3 3.6 7.44 ai 1.1 0.8 0.69 0.58 0.5 0.37 0.27 0.17 0.1 0.1 0.25 gi.sinai 9.2 2.8 2.45 2.3 1.7 1.34 0.9 0.49 0.2 0.3 0.69 22 gi.cosai.tgji 1.4 0.8 0.85 1.01 1 1 0.96 0.84 0.7 0.8 0.77 10 ci.li 1 0.3 0.25 0.26 0.2 0.24 0.23 0.25 0.2 0 0 2.9 hi 2.1 3.6 3.21 3.4 3.5 3.6 3.2 3.12 2.6 1.7 1.2 sa 4 5.6 5.22 5.42 5.5 5.64 5.21 5.13 4.6 3.6 3.08 sp 12 17 15.9 16.5 17 17.2 15.9 15.6 14 11 9.26 tn 2.9 3.5 3.91 3.94 3.6 2.79 1.89 1.75 1.7 1.3 1.2 M 8.1 17 19.6 20.7 18 10.8 4.57 3.85 3.1 1.3 1.07 Qi 5.1 8.9 9.12 9.55 8.9 7.04 4.4 4 3.4 2 1.62 64 Ta có : Mg = R[ Σgi.cosai.tgai + Σci.li + ΣQi ] =2321.11 Mtr = R.gisinai = 674.55 kn = 3.4 GVHD: Th.S. Dƣơng Thanh Quỳnh SVTH : Vũ Trọng Chung - MSSV : 273352 - Lớp 52CB3 174
  • 175.
    ĐỒ ÁN TỐTNGHIỆP Thiết Kế Kỹ Thuật Bến Căn Cứ Đóng Mới Giàn Jacket Độ Sâu . Đến 95.7M Nước Hạ Thủy Bằng Phương Pháp Kéo Trượt PHỤ LỤC 3 : PHÂN ĐOẠN TƢỜNG GÓC SAU BẾN 1. Sơ đồ tính 2. Tải trọng 3. Chuyển vị 4. Nội lực 5. Kiểm tra sức chịu tải của cọc 6. Tính thép GVHD: Th.S. Dƣơng Thanh Quỳnh SVTH : Vũ Trọng Chung - MSSV : 273352 - Lớp 52CB3 175
  • 176.
    ĐỒ ÁN TỐTNGHIỆP Thiết Kế Kỹ Thuật Bến Căn Cứ Đóng Mới Giàn Jacket Độ Sâu . Đến 95.7M Nước Hạ Thủy Bằng Phương Pháp Kéo Trượt 1. Sơ đồ tính 2. Tải trọng -Áp lực đất GVHD: Th.S. Dƣơng Thanh Quỳnh SVTH : Vũ Trọng Chung - MSSV : 273352 - Lớp 52CB3 176
  • 177.
    ĐỒ ÁN TỐTNGHIỆP Thiết Kế Kỹ Thuật Bến Căn Cứ Đóng Mới Giàn Jacket Độ Sâu . Đến 95.7M Nước Hạ Thủy Bằng Phương Pháp Kéo Trượt - Cần trục1 - GVHD: Th.S. Dƣơng Thanh Quỳnh SVTH : Vũ Trọng Chung - MSSV : 273352 - Lớp 52CB3 177
  • 178.
    ĐỒ ÁN TỐTNGHIỆP Thiết Kế Kỹ Thuật Bến Căn Cứ Đóng Mới Giàn Jacket Độ Sâu . Đến 95.7M Nước Hạ Thủy Bằng Phương Pháp Kéo Trượt - Cần trục 2 - Áp lực đất nên bản đáy - GVHD: Th.S. Dƣơng Thanh Quỳnh SVTH : Vũ Trọng Chung - MSSV : 273352 - Lớp 52CB3 178
  • 179.
    ĐỒ ÁN TỐTNGHIỆP Thiết Kế Kỹ Thuật Bến Căn Cứ Đóng Mới Giàn Jacket Độ Sâu . Đến 95.7M Nước Hạ Thủy Bằng Phương Pháp Kéo Trượt - - Cần trục 1 nên bản đáy 3Nội lực - Lực dọc: GVHD: Th.S. Dƣơng Thanh Quỳnh SVTH : Vũ Trọng Chung - MSSV : 273352 - Lớp 52CB3 179
  • 180.
    ĐỒ ÁN TỐTNGHIỆP Thiết Kế Kỹ Thuật Bến Căn Cứ Đóng Mới Giàn Jacket Độ Sâu . Đến 95.7M Nước Hạ Thủy Bằng Phương Pháp Kéo Trượt - Mômen M11 bản mặt - Mômen M22 bản mặt GVHD: Th.S. Dƣơng Thanh Quỳnh SVTH : Vũ Trọng Chung - MSSV : 273352 - Lớp 52CB3 180
  • 181.
    ĐỒ ÁN TỐTNGHIỆP Thiết Kế Kỹ Thuật Bến Căn Cứ Đóng Mới Giàn Jacket Độ Sâu . Đến 95.7M Nước Hạ Thủy Bằng Phương Pháp Kéo Trượt - Mômen M11 bản đáy -Mômen M22 bản dáy GVHD: Th.S. Dƣơng Thanh Quỳnh SVTH : Vũ Trọng Chung - MSSV : 273352 - Lớp 52CB3 181
  • 182.
    ĐỒ ÁN TỐTNGHIỆP Thiết Kế Kỹ Thuật Bến Căn Cứ Đóng Mới Giàn Jacket Độ Sâu . Đến 95.7M Nước Hạ Thủy Bằng Phương Pháp Kéo Trượt 4.Chuyển vị GVHD: Th.S. Dƣơng Thanh Quỳnh SVTH : Vũ Trọng Chung - MSSV : 273352 - Lớp 52CB3 182
  • 183.
    ĐỒ ÁN TỐTNGHIỆP Thiết Kế Kỹ Thuật Bến Căn Cứ Đóng Mới Giàn Jacket Độ Sâu . Đến 95.7M Nước Hạ Thủy Bằng Phương Pháp Kéo Trượt 5.Kiểm tra sức chịu tải của cọc (Theo tiêu chuẩn móng cọc TCXDVN205-1998) 5.1.Tính toán sức chịu tải của cọc theo đất nền Công thức tính toán Ф =m.( mr.qp.F + U.Σmf.fi.li ) Trong đó : Ф : Sức chịu tải của cọc theo đất nền m : Hệ số điều kiện làm việc trong đất m = 1.0 R : Sức chống tính toán của đất ở mũi cọc(T/m2) qp=430 T/m2 F : Diện tích mặt cắt ngang cọc. Bề rộng cọc : 40 cm => F = 0.16m2 U : Chu vi tiết diện ngang cọc U =1.6 mf,mr :Tƣơng ứng là các hệ số điều kiện làm việc của đất dƣới chân cọc và trên thành cọc có xét đến ảnh hƣởng của phƣơng pháp hạ cọc : mf = mr = 1 li : Chiều dày lớp đất thứ i mà mũi cọc đi qua . Chia lớp đất thành các lớp đồng nhất có chiều dày là 2m. fi : Sức chống tính toán của đất ở thân cọc (T/m2) , tra bảng 2-TCXD205-1998 ta có : GVHD: Th.S. Dƣơng Thanh Quỳnh SVTH : Vũ Trọng Chung - MSSV : 273352 - Lớp 52CB3 183
  • 184.
    ĐỒ ÁN TỐTNGHIỆP Thiết Kế Kỹ Thuật Bến Căn Cứ Đóng Mới Giàn Jacket Độ Sâu . Đến 95.7M Nước Hạ Thủy Bằng Phương Pháp Kéo Trượt Tên Cao Độ Bề Độ li B fi qp fi.li lớp độ sâu dày sâu 2 1.5 -5 6.5 0 0 0 0 0 4 -5 -7.5 2.5 0 0 1.51 0 0 0 5a -7.5 -10.2 2.7 0 2 0.55 1.5 0 -10.2 -19.4 9.2 2 4 0.55 1.9 3.8 2 6 0.55 2.15 4.3 2 8 0.55 4.4 8.8 2 10 0.55 4.6 9.2 1.2 12 0.55 4.8 9.6 6 -19.4 -34.4 15 2 14 0.31 5 10 2 16 0.31 5.2 10.4 2 18 0.31 5.4 10.8 2 20 0.31 5.6 430 11.2 2 22 0.31 5.8 81.1 2 24 0.31 6 2 26 0.31 6.2 2 28 0.31 6.4 1 30 0.31 6.6 6 -34.4 -39.87 2 32 0.31 6.8 1 33 0.31 6.9 7 2 35 0.22 9.8 2 37 0.22 10 0.5 37.5 0.22 10 0 37.5 0.62 10 0 37.5 0.39 11 0 37.5 1.32 12 0 37.5 13 1 38.5 0.82 . Qua tính toán : Σfi.li = 81.10T/m2 Sức chịu nén của cọc theo đất nền : GVHD: Th.S. Dƣơng Thanh Quỳnh SVTH : Vũ Trọng Chung - MSSV : 273352 - Lớp 52CB3 184
  • 185.
    ĐỒ ÁN TỐTNGHIỆP Thiết Kế Kỹ Thuật Bến Căn Cứ Đóng Mới Giàn Jacket Độ Sâu . Đến 95.7M Nước Hạ Thủy Bằng Phương Pháp Kéo Trượt Ta có : Ф = 125.42T Pn = Ф/Ktc =89.586T Ktc : Hệ số độ tin cậy Ktc = 1.4 5.2.Tính toán sức chịu nhổ của cọc theo đất nền Công thức tính toán: Ф = m.U.Σmf.fi.li Trong đó: Ф : Sức chịu tải của cọc theo đất nền m: Hệ số điều kiện làm việc trong đất lấy m = 0.8 U: Chu vi tiết diện ngang cọc U = 1.60 mf,mr: Tƣơng ứng là các hệ số điều kiện làm việc của đất dƣới chân cọc và trên thành cọc có xét đến ảnh hƣởng của phƣơng pháp hạ cọc : mf = mr = 1 li: Chiều dày lớp đất thứ I mà mũi cọc đi qua. fi: Sức chống tính toán của đất ở thân cọc (T/m2) Sức chịu nhổ của cọc theo đất nền. Ta có : Ф = 17.92 Pnh = Ф/Ktc = 12.80 Ktc : Hệ số độ tin cậy Ktc = 1.4 5.3.Kiểm tra khả năng chịu nén của cọc : Nội lực tính toán : Nmax = 73.74T Ntt = nc.n.mđ. Nmax + G GVHD: Th.S. Dƣơng Thanh Quỳnh SVTH : Vũ Trọng Chung - MSSV : 273352 - Lớp 52CB3 185
  • 186.
    ĐỒ ÁN TỐTNGHIỆP Thiết Kế Kỹ Thuật Bến Căn Cứ Đóng Mới Giàn Jacket Độ Sâu . Đến 95.7M Nước Hạ Thủy Bằng Phương Pháp Kéo Trượt Trong đó : nc : Hệ số tổ hợp tải trọng : nc = 1.00 n : Hệ số vƣợt tải : n = 1.25 mđ : Hệ số phụ điều kiện làm việc mđ = 1.00 G : Trọng lƣợng bản thân cọc G = 78.5 Chiều dài cọc L = 30 Vậy Ntt = 92.49T Qua tính toán trên Ntt < Pn => Cọc đảm bảo chịu lực theo đất nền. 5.4.Sức chịu tải của cọc theo vật liệu làm cọc. Biểu thức tính toán : Pn = Ra.Fa + Rnp.Fb Trong đó : Fa : Diện tích cốt thép chịu lực 12Ø20 => Fa = 37.680 cm2 Ra : Cƣờng độ chịu nén của cốt thép 2800 kg/cm2 Rnp: Cƣờng độ chịu nén của BT 175 kg/cm2 Vậy : P = 543.004T 5.5.Chọn chiều dài cọc Chiều dài cọc đƣợc chọn theo các điều kiện sau: - Sức chịu tải của cọc theo đất nền - Sức chịu tải của cọc theo vật liệu làm cọc GVHD: Th.S. Dƣơng Thanh Quỳnh SVTH : Vũ Trọng Chung - MSSV : 273352 - Lớp 52CB3 186
  • 187.
    ĐỒ ÁN TỐTNGHIỆP Thiết Kế Kỹ Thuật Bến Căn Cứ Đóng Mới Giàn Jacket Độ Sâu . Đến 95.7M Nước Hạ Thủy Bằng Phương Pháp Kéo Trượt - Ta thấy sức chịu tải của cọc theo đất nền nhỏ hơn sức chịu tải của cọc theo vật liệu làm cọc do đó ta chọn chiều dài cọc theo sức chịu tải của đất nền có chiều dài 40m - ( Chiều dài thức tế của cọc sẽ đƣợc quyết định sau khi có kết quả thử cọc ) 6.Tính thép 6.1.Bản mặt Tiết diện và nội lực tính toán. Cấu kiện b(cm) h(cm) a(cm) ho(cm) M(T.m) Qtu(T) Bản mặt CT (M11+) 100 70 6.25 63.75 6.93 0.42 Bản mặt CT (M11-) 100 70 6.25 63.75 0.11 1.56 Bản mặt CT (M22+) 100 70 6.25 63.75 31.44 15.42 Bản mặt CT (M22-) 100 70 6.25 63.75 0.16 0.15 Các hệ số tham gia tính toán. Kn nc mb3 ma Rnp Ra 1.15 1 1.25 1.15 175 2800 Tính toán với mômen có giá trị lớn nhất. Cấu kiện d(mm) số thanh Fa(cm2) F'a(cm2) Bản mặt CT (M11+) 16 5 3.41 10.05 Bản mặt CT (M11-) 16 5 0.05 10.05 Bản mặt CT (M22+) 20 10 15.45 31.42 Bản mặt CT (M22-) 16 5 0.08 10.05 Tính toán các cấu kiện BTCT theo cƣờng độ chịu cắt Kiểm tra điều kiện tiết diện chọn đủ nếu thỏa mãn điều kiện : kn.nc.n.Q <= 0.25.mb3.Rnp.b.ho GVHD: Th.S. Dƣơng Thanh Quỳnh SVTH : Vũ Trọng Chung - MSSV : 273352 - Lớp 52CB3 187
  • 188.
    ĐỒ ÁN TỐTNGHIỆP Thiết Kế Kỹ Thuật Bến Căn Cứ Đóng Mới Giàn Jacket Độ Sâu . Đến 95.7M Nước Hạ Thủy Bằng Phương Pháp Kéo Trượt Cấu kiện kn nc n Q(kg) kn.nc.n.Q (kg) Bản mặt CT (M11+) 1.15 1 1.25 350 503.13 Bản mặt CT (M11-) 1.15 1 1.25 1300 1868.75 Bản mặt CT (M22+) 1.15 1 1.25 12850 18471.81 Bản mặt CT (M22-) 1.15 1 1.25 125 179.69 Cấu kiện mb3 Rnp b ho 0.25.mb3.Rnp.b.ho (kg/cm2) (cm) (cm) (kg) Bản mặt CT (M11+) 1 175 100 68.83 1117025.00 Bản mặt CT (M11-) 1 175 100 68.83 1117025.00 Bản mặt CT (M22+) 1 175 100 68.83 1117025.00 Bản mặt CT (M22-) 1 175 100 68.83 1117025.00 => kn.nc.n.Q <= 0.25.mb3.Rnp.b.ho => Thỏa mãn Kiểm tra điều kiện khi không phải cốt ngang khi thỏa mãn điều kiện : kn.nc.n.Q<=mb3.Qb Cấu kiện b(cm) ho(cm) a(cm) M(kg.cm) Qtu(kg) Ra(kg/cm2) Bản mặt CT (M11+) 100 63.83 6.25 693000 350.00 2800 Bản mặt CT (M11-) 100 63.83 6.25 11000 1300.00 2800 Bản mặt CT (M22+) 100 63.83 6.25 3144000 12850.00 2800 Bản mặt CT (M22-) 100 63.83 6.25 16000 125.00 2800 Cấu kiện Fa(cm2) Rnp(kg/cm2) tgβ' tgβ k Bản mặt CT (M11+) 3.41 175 0.9 0.06 0.52 Bản mặt CT (M11-) 0.05 175 1.07 1.50 0.50 Bản mặt CT (M22+) 15.45 175 0.96 0.41 0.58 Bản mặt CT (M22-) 0.08 175 1.3 0.67 0.50 Cấu kiện Rp b(cm) ho(cm) tgβ b3 Qb(kg) mb3.Qb Bản mặt CT (M11+) 12 100 63.83 0.06 1 2473.82 2473.82 Bản mặt CT (M11-) 12 100 63.83 1.50 1 57478.14 57478.14 Bản mặt CT (M22+) 12 100 63.83 0.41 1 18312.71 18312.71 Bản mặt CT (M22-) 12 100 63.83 0.67 1 25506.84 25506.84 GVHD: Th.S. Dƣơng Thanh Quỳnh SVTH : Vũ Trọng Chung - MSSV : 273352 - Lớp 52CB3 188
  • 189.
    ĐỒ ÁN TỐTNGHIỆP Thiết Kế Kỹ Thuật Bến Căn Cứ Đóng Mới Giàn Jacket Độ Sâu . Đến 95.7M Nước Hạ Thủy Bằng Phương Pháp Kéo Trượt Kiểm tra điều kiện khi không phải cốt đai không có cốt xiên: kn.nc.n.Q <= Qxb Cấu kiện k Rax(kg/cm2) Rnp(kg/cm2) Rp b(cm) ho(cm) ma mb Bản mặt CT (M11+) 1.15 1700 175 12 100 63.83 1 1 Bản mặt CT (M11-) 1.15 1700 175 12 100 63.83 1 1 Bản mặt CT (M22+) 1.15 1700 175 12 100 63.83 1 1 Bản mặt CT (M22-) 1.15 1700 175 12 100 63.83 1 1 Cấu kiện U cốt đai Fax qx kn.nc.n.Q Qxb mb.Rb.b/2 (mm) (mm) (cm2) (kg/cm2) (kg) (kg) (kg/cm2) Bản mặt CT (M11+) 100 12 4.52 7921 503.13 475305.81 600 Bản mặt CT (M11-) 100 12 4.52 7921 1868.75 1503048.93 600 Bản mặt CT (M22+) 100 12 4.52 7921 18471.88 1503519.89 600 Bản mặt CT (M22-) 100 12 4.52 7921 179.69 1503048.93 600 Tính toán cấu kiện BTCT theo trạng thái giới hạn II Cấu kiện mb Ra d Fa Rnp b X ho Z (kg/cm2) (cm) (cm2) (kg/cm2) (cm) (cm) (cm) (cm) Bản mặt CT (M11+) 1 2800 1.6 3.41 225 100 0.49 63.83 63.59 Bản mặt CT (M11-) 1 2800 1.6 0.05 225 100 0.01 63.83 63.83 Bản mặt CT (M22+) 1 2800 2 15.45 225 100 2.21 63.85 62.74 Bản mặt CT (M22-) 1 2800 1.6 0.08 225 100 0.01 63.83 63.82 Cấu kiện F'a(cm2) Z δa(kg/cm2) Bản mặt CT (M11+) 10.05 63.59 1084.10 Bản mặt CT (M11-) 10.05 63.83 17.14 Bản mặt CT (M22+) 31.42 62.74 1594.99 Bản mặt CT (M22-) 10.05 63.82 24.94 Cấu kiện Cd d Fa F'a η δbd Ea μ at (cm) (cm2) (cm2) 1 (kg/cm2) (kg/cm2) (mm) Bản mặt CT (M11+) 1 1.6 3.41 10.05 1 0 2100000 0.002 0.056 Bản mặt CT (M11-) 1 1.6 0.05 10.05 1 0 2100000 0.002 0.001 Bản mặt CT (M22+) 1 2.0 15.45 31.42 1 0 2100000 0.005 0.079 Bản mặt CT (M22-) 1 1.6 0.08 10.05 1 0 2100000 0.002 0.001 GVHD: Th.S. Dƣơng Thanh Quỳnh SVTH : Vũ Trọng Chung - MSSV : 273352 - Lớp 52CB3 189
  • 190.
    ĐỒ ÁN TỐTNGHIỆP Thiết Kế Kỹ Thuật Bến Căn Cứ Đóng Mới Giàn Jacket Độ Sâu . Đến 95.7M Nước Hạ Thủy Bằng Phương Pháp Kéo Trượt => Thảo mãn điều kiện vết nứt : a ≤ [a] = 0.08 mm 6.2.Bản đáy Tiết diện và nội lực tính toán : Cấu kiện b(cm) h(cm) a(cm) ho(cm) M(T.m) Qtu(T) Bản mặt CT (M11+) 100 100 6.25 93.75 10.06 38.02 Bản mặt CT (M11-) 100 100 6.25 93.75 20.48 36.45 Bản mặt CT (M22+) 100 100 6.25 93.75 44.79 46.30 Bản mặt CT (M22-) 100 100 6.25 93.75 36.98 56.72 Các hệ số tính toán : Kn nc mb3 ma Rnp Ra 1.15 1 1.25 1.15 175 2800 Tính toán với mômen có giá trị lớn nhất : Cấu kiện d(mm) số thanh Fa(cm2) F'a(cm2) Bản mặt CT (M11+) 20 7 3.36 21.99 Bản mặt CT (M11-) 20 7 6.84 21.99 Bản mặt CT (M22+) 22 10 14.97 38.01 Bản mặt CT (M22-) 22 8 12.36 30.41 Tính toán các cấu kiện BTCT theo cƣờng độ chịu cắt: Kiểm tra điều kiện tiết diện chọn đủ nếu thỏa mãn điều kiện: kn.nc.Q <= 0.25.mb3.Rnp.b.ho Cấu kiện kn nc n Q(kg) kn.nc.n.Q (kg) Bản mặt CT (M11+) 1.15 1 1.25 31683.33 45544.79 Bản mặt CT (M11-) 1.15 1 1.25 30375.00 43664.06 Bản mặt CT (M22+) 1.15 1 1.25 38583.33 55463.54 Bản mặt CT (M22-) 1.15 1 1.25 47266.67 67945.83 GVHD: Th.S. Dƣơng Thanh Quỳnh SVTH : Vũ Trọng Chung - MSSV : 273352 - Lớp 52CB3 190
  • 191.
    ĐỒ ÁN TỐTNGHIỆP Thiết Kế Kỹ Thuật Bến Căn Cứ Đóng Mới Giàn Jacket Độ Sâu . Đến 95.7M Nước Hạ Thủy Bằng Phương Pháp Kéo Trượt Cấu kiện mb3 Rnp b ho 0.25.mb3.Rnp.b.ho (kg/cm2) (cm) (cm) (kg) Bản mặt CT (M11+) 1 175 100 93.85 1642375.00 Bản mặt CT (M11-) 1 175 100 93.85 1642375.00 Bản mặt CT (M22+) 1 175 100 93.86 1642550.00 Bản mặt CT (M22-) 1 175 100 93.86 1642550.00 => kn.nc.n.Q <= 0.25.mb3.Rnp.b.ho => Thỏa mãn Kiểm tra điều kiện khi không phải cốt ngang khi thỏa mãn điều kiện : kn.nc.n.Q<=mb3.Qb Cấu kiện b(cm) ho(cm) a(cm) M(kg.cm) Qtu(kg) Ra(kg/cm2) Bản mặt CT (M11+) 100 93.85 6.25 1006000 31683.33 2800 Bản mặt CT (M11-) 100 93.85 6.25 2048000 30375.00 2800 Bản mặt CT (M22+) 100 93.86 6.25 4479000 38583.33 2800 Bản mặt CT (M22-) 100 93.86 6.25 3698000 47266.67 2800 Cấu kiện Fa(cm2) Rnp(kg/cm2) tgβ' tgβ k Bản mặt CT (M11+) 3.362 175 1.494 1.494 0.51 Bản mặt CT (M11-) 6.844 175 1.164 1.164 0.52 Bản mặt CT (M22+) 14.967 175 0.984 0.984 0.55 Bản mặt CT (M22-) 12.358 175 1.091 1.091 0.54 Cấu kiện b(cm) ho(cm) tgβ mb3 Qb(kg) kn.nc.n.Q(kg) mb3.Qb Bản mặt CT (M11+) 100 93.85 1.49 1 86079.79 45544.7 392045 Bản mặt CT (M11-) 100 93.85 1.16 1 68595.52 43664.0 299518 Bản mặt CT (M22+) 100 93.86 0.89 1 55493.01 55463.5 307783 Bản mặt CT (M22-) 100 93.86 1.09 1 66604.48 67945.8 4525496 Kiểm tra điều kiện khi không phải cốt đai không có cốt xiên: kn.nc.n.Q <= Qxb Cấu kiện Rax(kg/cm2) Rnp(kg/cm2) Rp b(cm) ho(cm) ma mb Bản mặt CT (M11+) 1700 175 12 100 93.85 1 1 Bản mặt CT (M11-) 1700 175 12 100 93.85 1 1 Bản mặt CT (M22+) 1700 175 12 100 93.86 1 1 Bản mặt CT (M22-) 1700 175 12 100 93.86 1 1 GVHD: Th.S. Dƣơng Thanh Quỳnh SVTH : Vũ Trọng Chung - MSSV : 273352 - Lớp 52CB3 191
  • 192.
    ĐỒ ÁN TỐTNGHIỆP Thiết Kế Kỹ Thuật Bến Căn Cứ Đóng Mới Giàn Jacket Độ Sâu . Đến 95.7M Nước Hạ Thủy Bằng Phương Pháp Kéo Trượt Cấu kiện cốt đai Fax qx kn.nc.n.Q Qxb mb.Rb.b/2 (mm) (cm2) (kg/cm2) (kg) (kg) (kg/cm2) Bản mặt CT (M11+) 12 4.52 7921 45544.79 698847.72 600 Bản mặt CT (M11-) 12 4.52 7921 43664.06 2209950.53 600 Bản mặt CT (M22+) 12 4.52 7921 55463.54 2210186.01 600 Bản mặt CT (M22-) 12 4.52 7921 67945.83 2210186.01 600 Tính toán cấu kiện BTCT theo trạng thái giới hạn II Cấu kiện Ra d Fa Rnp b X ho Z (kg/cm2) (cm) (cm2) (kg/cm2) (cm) (cm) (cm) (cm) Bản mặt CT (M11+) 2800 2.0 3.36 225 100 0.48 93.85 93.61 Bản mặt CT (M11-) 2800 2.0 6.84 225 100 0.98 93.85 93.36 Bản mặt CT (M22+) 2800 2.2 14.97 225 100 2.14 93.86 92.79 Bản mặt CT (M22-) 2800 2.2 12.36 225 100 1.77 93.86 92.98 Cấu kiện M(kg.cm) F'a(cm2) Z δa(kg/cm2) Bản mặt CT (M11+) 1006000 21.99 93.16 488.69 Bản mặt CT (M11-) 2048000 21.99 93.36 997.52 Bản mặt CT (M22+) 4479000 38.01 92.79 1269.84 Bản mặt CT (M22-) 3698000 30.41 92.98 1307.89 Cấu kiện Cd d Fa F'a η δbd Ea μ (cm) (cm2) (cm2) 1 (kg/cm2) (kg/cm2) Bản mặt CT (M11+) 1 2.0 3.36 21.99 1 0 2E+06 0.002 Bản mặt CT (M11-) 1 2.0 6.84 21.99 1 0 2E+06 0.002 Bản mặt CT (M22+) 1 2.2 14.97 38.01 1 0 2E+06 0.004 Bản mặt CT (M22-) 1 2.2 12.36 30.41 1 0 2E+06 0.003 => Thảo mãn điều kiện vết nứt : a ≤ [a] = 0.08 mm GVHD: Th.S. Dƣơng Thanh Quỳnh SVTH : Vũ Trọng Chung - MSSV : 273352 - Lớp 52CB3 192
  • 193.
    ĐỒ ÁN TỐTNGHIỆP Thiết Kế Kỹ Thuật Bến Căn Cứ Đóng Mới Giàn Jacket Độ Sâu . Đến 95.7M Nước Hạ Thủy Bằng Phương Pháp Kéo Trượt PHỤ LỤC 4 : PHÂN ĐOẠN ĐƢỜNG TRƢỢT 1. Sơ đồ tính 2. Tải trọng 3. Chuyển vị 4. Nội lực 5. Kiểm tra sức chịu tải của cọc 6. Tính thép GVHD: Th.S. Dƣơng Thanh Quỳnh SVTH : Vũ Trọng Chung - MSSV : 273352 - Lớp 52CB3 193
  • 194.
    ĐỒ ÁN TỐTNGHIỆP Thiết Kế Kỹ Thuật Bến Căn Cứ Đóng Mới Giàn Jacket Độ Sâu . Đến 95.7M Nước Hạ Thủy Bằng Phương Pháp Kéo Trượt 1. Sơ đồ tính 2. Tải trọng - Tải trọng kéo GVHD: Th.S. Dƣơng Thanh Quỳnh SVTH : Vũ Trọng Chung - MSSV : 273352 - Lớp 52CB3 194
  • 195.
    ĐỒ ÁN TỐTNGHIỆP Thiết Kế Kỹ Thuật Bến Căn Cứ Đóng Mới Giàn Jacket Độ Sâu . Đến 95.7M Nước Hạ Thủy Bằng Phương Pháp Kéo Trượt - Lực ma sát 3. Nội lực GVHD: Th.S. Dƣơng Thanh Quỳnh SVTH : Vũ Trọng Chung - MSSV : 273352 - Lớp 52CB3 195
  • 196.
    ĐỒ ÁN TỐTNGHIỆP Thiết Kế Kỹ Thuật Bến Căn Cứ Đóng Mới Giàn Jacket Độ Sâu . Đến 95.7M Nước Hạ Thủy Bằng Phương Pháp Kéo Trượt - Mômen M11 - Mômen M22 GVHD: Th.S. Dƣơng Thanh Quỳnh SVTH : Vũ Trọng Chung - MSSV : 273352 - Lớp 52CB3 196
  • 197.
    ĐỒ ÁN TỐTNGHIỆP Thiết Kế Kỹ Thuật Bến Căn Cứ Đóng Mới Giàn Jacket Độ Sâu . Đến 95.7M Nước Hạ Thủy Bằng Phương Pháp Kéo Trượt 5.Kiểm tra sức chịu tải của cọc (Theo tiêu chuẩn móng cọc TCXDVN205-1998) 5.1.Tính toán sức chịu tải của cọc theo đất nền Công thức tính toán Ф =m.( mr.qp.F + U.Σmf.fi.li ) Trong đó : Ф : Sức chịu tải của cọc theo đất nền m : Hệ số điều kiện làm việc trong đất m = 1.0 R : Sức chống tính toán của đất ở mũi cọc(T/m2) qp=430 T/m2 F : Diện tích mặt cắt ngang cọc. Bề rộng cọc : 100 cm => F = 0.875m2 U : Chu vi tiết diện ngang cọc U =3.14 mf,mr :Tƣơng ứng là các hệ số điều kiện làm việc của đất dƣới chân cọc và trên thành cọc có xét đến ảnh hƣởng của phƣơng pháp hạ cọc : mf = mr = 1 li : Chiều dày lớp đất thứ i mà mũi cọc đi qua . Chia lớp đất thành các lớp đồng nhất có chiều dày là 2m. fi : Sức chống tính toán của đất ở thân cọc (T/m2) , tra bảng 2-TCXD205-1998 ta có : GVHD: Th.S. Dƣơng Thanh Quỳnh SVTH : Vũ Trọng Chung - MSSV : 273352 - Lớp 52CB3 197
  • 198.
    ĐỒ ÁN TỐTNGHIỆP Thiết Kế Kỹ Thuật Bến Căn Cứ Đóng Mới Giàn Jacket Độ Sâu . Đến 95.7M Nước Hạ Thủy Bằng Phương Pháp Kéo Trượt Tên Cao Độ Bề Độ li B fi qp fi.li lớp độ sâu dày sâu 2 1.5 -5 6.5 0 0 0 0 0 4 -5 -7.5 2.5 0 0 1.51 0 0 0 5a -7.5 -10.2 2.7 0 2 0.55 1.5 0 -10.2 -19.4 9.2 2 4 0.55 1.9 3.8 2 6 0.55 2.15 4.3 2 8 0.55 4.4 8.8 2 10 0.55 4.6 9.2 1.2 12 0.55 4.8 9.6 6 -19.4 -34.4 15 2 14 0.31 5 10 2 16 0.31 5.2 10.4 2 18 0.31 5.4 10.8 2 20 0.31 5.6 430 11.2 2 22 0.31 5.8 11.6 2 24 0.31 6 12 2 26 0.31 6.2 12.4 2 28 0.31 6.4 12.8 1 30 0.31 6.6 6.6 6 -34.4 -39.87 2 32 0.31 6.8 13.6 1 33 0.31 6.9 6.9 7 2 35 0.22 9.8 19.6 2 37 0.22 10 20 0.5 37.5 0.22 10 5 0 37.5 0.62 153.58 10 0 37.5 0.39 11 0 37.5 1.32 12 0 37.5 13 1 38.5 0.82 Qua tính toán : Σfi.li = 153.58T/m2 Sức chịu nén của cọc theo đất nền : GVHD: Th.S. Dƣơng Thanh Quỳnh SVTH : Vũ Trọng Chung - MSSV : 273352 - Lớp 52CB3 198
  • 199.
    ĐỒ ÁN TỐTNGHIỆP Thiết Kế Kỹ Thuật Bến Căn Cứ Đóng Mới Giàn Jacket Độ Sâu . Đến 95.7M Nước Hạ Thủy Bằng Phương Pháp Kéo Trượt Ta có : Ф = 614.80T Pn = Ф/Ktc =469.10T Ktc : Hệ số độ tin cậy Ktc = 1.4 5.2.Tính toán sức chịu nhổ của cọc theo đất nền Công thức tính toán: Ф = m.U.Σmf.fi.li Trong đó: Ф : Sức chịu tải của cọc theo đất nền m: Hệ số điều kiện làm việc trong đất lấy m = 0.8 U: Chu vi tiết diện ngang cọc U = 3.14 mf,mr: Tƣơng ứng là các hệ số điều kiện làm việc của đất dƣới chân cọc và trên thành cọc có xét đến ảnh hƣởng của phƣơng pháp hạ cọc : mf = mr = 1 li: Chiều dày lớp đất thứ I mà mũi cọc đi qua. fi: Sức chống tính toán của đất ở thân cọc (T/m2) Sức chịu nhổ của cọc theo đất nền. Ta có : Ф = 343.10 Pnh = Ф/Ktc = 245.07 Ktc : Hệ số độ tin cậy Ktc = 1.4 5.3.Kiểm tra khả năng chịu nén của cọc : Nội lực tính toán : Nmax = 264.70T Ntt = nc.n.mđ. Nmax + G GVHD: Th.S. Dƣơng Thanh Quỳnh SVTH : Vũ Trọng Chung - MSSV : 273352 - Lớp 52CB3 199
  • 200.
    ĐỒ ÁN TỐTNGHIỆP Thiết Kế Kỹ Thuật Bến Căn Cứ Đóng Mới Giàn Jacket Độ Sâu . Đến 95.7M Nước Hạ Thủy Bằng Phương Pháp Kéo Trượt Trong đó : nc : Hệ số tổ hợp tải trọng : nc = 1.00 n : Hệ số vƣợt tải : n = 1.25 mđ : Hệ số phụ điều kiện làm việc mđ = 1.00 G : Trọng lƣợng bản thân cọc G = 78.5 Chiều dài cọc L = 40 Vậy Ntt = 396.875T Qua tính toán trên Ntt < Pn => Cọc đảm bảo chịu lực theo đất nền. 5.4.Sức chịu tải của cọc theo vật liệu làm cọc. Biểu thức tính toán : Pn = Ra.Fa + Rnp.Fb Trong đó : Fa : Diện tích cốt thép chịu lực 12Ø20 => Fa = 37.680 cm2 Ra : Cƣờng độ chịu nén của cốt thép 2800 kg/cm2 Rnp: Cƣờng độ chịu nén của BT 175 kg/cm2 Vậy : P = 1482.50T 5.5.Chọn chiều dài cọc Chiều dài cọc đƣợc chọn theo các điều kiện sau: - Sức chịu tải của cọc theo đất nền - Sức chịu tải của cọc theo vật liệu làm cọc GVHD: Th.S. Dƣơng Thanh Quỳnh SVTH : Vũ Trọng Chung - MSSV : 273352 - Lớp 52CB3 200
  • 201.
    ĐỒ ÁN TỐTNGHIỆP Thiết Kế Kỹ Thuật Bến Căn Cứ Đóng Mới Giàn Jacket Độ Sâu . Đến 95.7M Nước Hạ Thủy Bằng Phương Pháp Kéo Trượt - Ta thấy sức chịu tải của cọc theo đất nền nhỏ hơn sức chịu tải của cọc theo vật liệu làm cọc do đó ta chọn chiều dài cọc theo sức chịu tải của đất nền có chiều dài 40m - ( Chiều dài thức tế của cọc sẽ đƣợc quyết định sau khi có kết quả thử cọc ) 6.Tính thép 6.1.Đƣờng trƣợt biên Tiết diện và nội lực tính toán. Cấu kiện b(cm) h(cm) a(cm) ho(cm) M(T.m) Qtu(T) Bản mặt CT (M11+) 100 200 7 193 6.35 10.76 Bản mặt CT (M11-) 100 200 7 193 4.95 10.76 Bản mặt CT (M22+) 100 200 7 193 6.70 11.52 Bản mặt CT (M22-) 100 200 7 193 4.52 11.52 Các hệ số tham gia tính toán. kn nc mb3 ma Rnp Ra 1.15 1 1.25 1.15 175 2800 Tính toán với mômen có giá trị lớn nhất. Cấu kiện d(mm) số thanh Fa(cm2) F'a(cm2) Bản mặt CT (M11+) 22 7 1.07 26.61 Bản mặt CT (M11-) 22 7 0.84 26.61 Bản mặt CT (M22+) 22 7 1.127 26.61 Bản mặt CT (M22-) 22 7 0.761 26.61 Tính toán các cấu kiện BTCT theo cƣờng độ chịu cắt Kiểm tra điều kiện tiết diện chọn đủ nếu thỏa mãn điều kiện : kn.nc.n.Q <= 0.25.mb3.Rnp.b.ho GVHD: Th.S. Dƣơng Thanh Quỳnh SVTH : Vũ Trọng Chung - MSSV : 273352 - Lớp 52CB3 201
  • 202.
    ĐỒ ÁN TỐTNGHIỆP Thiết Kế Kỹ Thuật Bến Căn Cứ Đóng Mới Giàn Jacket Độ Sâu . Đến 95.7M Nước Hạ Thủy Bằng Phương Pháp Kéo Trượt Cấu kiện kn nc n Q(kg) kn.nc.n.Q (kg) Bản mặt CT (M11+) 1.15 1 1.25 8966.67 12889.583 Bản mặt CT (M11-) 1.15 1 1.25 8966.67 12889.583 Bản mặt CT (M22+) 1.15 1 1.25 9600.00 13800 Bản mặt CT (M22-) 1.15 1 1.25 9600.00 13800 Cấu kiện mb3 Rnp b ho 0.25.mb3.Rnp.b.ho (kg/cm2) (cm) (cm) (kg) Bản mặt CT (M11+) 1 175 100 193 3379425 Bản mặt CT (M11-) 1 175 100 193 3379425 Bản mặt CT (M22+) 1 175 100 193 3379425 Bản mặt CT (M22-) 1 175 100 193 3379425 => kn.nc.n.Q <= 0.25.mb3.Rnp.b.ho => Thỏa mãn Kiểm tra điều kiện khi không phải cốt ngang khi thỏa mãn điều kiện : kn.nc.n.Q<=mb3.Qb Cấu kiện b(cm) ho(cm) a(cm) M(kg.cm) Qtu(kg) Ra(kg/cm2) Bản mặt CT (M11+) 100 193 6.1 635000 8966.67 2800 Bản mặt CT (M11-) 100 193 6.1 495000 8966.67 2800 Bản mặt CT (M22+) 100 193 6.1 670000 9600 2800 Bản mặt CT (M22-) 100 193 6.1 452000 9600 2800 Cấu kiện Fa(cm2) Rnp(kg/cm2) tgβ' tgβ k Bản mặt CT (M11+) 1.069 175 1.463 1.463 0.502 Bản mặt CT (M11-) 0.833 175 1.555 1.55 0.501 Bản mặt CT (M22+) 1.128 175 1.496 1.496 0.502 Bản mặt CT (M22-) 0.761 175 1.068 1.068 0.501 Cấu kiện b(cm) ho(cm) tgβ b3 Qb(kg) kn.nc.n.Q(kg) Bản mặt CT (M11+) 100 193 1.463 1 170132.241 12889.58 Bản mặt CT (M11-) 100 193 1.55 1 174261.815 12889.58 Bản mặt CT (M22+) 100 193 1.469 1 170828.363 13800 Bản mặt CT (M22-) 100 193 1.55 1 174221.611 13800 GVHD: Th.S. Dƣơng Thanh Quỳnh SVTH : Vũ Trọng Chung - MSSV : 273352 - Lớp 52CB3 202
  • 203.
    ĐỒ ÁN TỐTNGHIỆP Thiết Kế Kỹ Thuật Bến Căn Cứ Đóng Mới Giàn Jacket Độ Sâu . Đến 95.7M Nước Hạ Thủy Bằng Phương Pháp Kéo Trượt Kiểm tra điều kiện khi không phải cốt đai không có cốt xiên: kn.nc.n.Q <= Qxb Cấu kiện Rax(kg/cm2) Rnp(kg/cm2) Rp b(cm) ho(cm) ma mb Bản mặt CT (M11+) 1700 175 12 100 193 1 1 Bản mặt CT (M11-) 1700 175 12 100 193 1 1 Bản mặt CT (M22+) 1700 175 12 100 193 1 1 Bản mặt CT (M22-) 1700 175 12 100 193 1 1 Cấu kiện cốt đai Fax qx kn.nc.n.Q Qxb mb.Rb.b/2 (mm) (cm2) (kg/cm2) (kg) (kg) (kg/cm2) Bản mặt CT (M11+) 12 4.52 7921 12889.58 1437980.64 600 Bản mặt CT (M11-) 12 4.52 7921 12889.58 4547294.06 600 Bản mặt CT (M22+) 12 4.52 7921 13800 4547294.06 600 Bản mặt CT (M22-) 12 4.52 7921 13800 4547294.06 600 Tính toán cấu kiện BTCT theo trạng thái giới hạn II Cấu kiện Ra d Fa Rnp b X ho Z (kg/cm2) (cm) (cm2) (kg/cm2) (cm) (cm) (cm) (cm) Bản mặt CT (M11+) 2800 2.2 1.07 225 100 0.15 193 193 Bản mặt CT (M11-) 2800 2.2 0.83 225 100 0.12 193 193 Bản mặt CT (M22+) 2800 2.2 1.13 225 100 0.16 193 193 Bản mặt CT (M22-) 2800 2.2 0.76 225 100 0.11 193 193 Cấu kiện F'a(cm2) Z δa(kg/cm2) Bản mặt CT (M11+) 26.61 193.03 123.63 Bản mặt CT (M11-) 26.61 193.05 96.36 Bản mặt CT (M22+) 26.61 193.03 130.44 Bản mặt CT (M22-) 26.61 193.06 87.99 Cấu kiện Cd d Fa F'a δbd Ea μ at (cm) (cm2) (cm2) (kg/cm2) (kg/cm2) (mm) Bản mặt CT (M11+) 1 2.2 1.069 26.609 0 2100000 0.0014 0.024 Bản mặt CT (M11-) 1 2.2 0.833 26.609 0 2100000 0.0014 0.019 Bản mặt CT (M22+) 1 2.2 1.128 26.609 0 2100000 0.0014 0.026 Bản mặt CT (M22-) 1 2.2 0.761 26.609 0 2100000 0.0014 0.017 => Thảo mãn điều kiện vết nứt : a ≤ [a] = 0.08 m GVHD: Th.S. Dƣơng Thanh Quỳnh SVTH : Vũ Trọng Chung - MSSV : 273352 - Lớp 52CB3 203
  • 204.
    ĐỒ ÁN TỐTNGHIỆP Thiết Kế Kỹ Thuật Bến Căn Cứ Đóng Mới Giàn Jacket Độ Sâu . Đến 95.7M Nước Hạ Thủy Bằng Phương Pháp Kéo Trượt PHỤ LỤC 5: NỘI LỰC SAP 1. Nội lực trong dầm 2. Nội lực bản sàn 3. Nội lực bản sàn cần trục GVHD: Th.S. Dƣơng Thanh Quỳnh SVTH : Vũ Trọng Chung - MSSV : 273352 - Lớp 52CB3 204
  • 205.
    ĐỒ ÁN TỐTNGHIỆP Thiết Kế Kỹ Thuật Bến Căn Cứ Đóng Mới Giàn Jacket Độ Sâu . Đến 95.7M Nước Hạ Thủy Bằng Phương Pháp Kéo Trượt 1.Nội lực trong Dầm Frame LOAD P V2 V3 T M2 M3 Text Text Ton Ton Ton Ton-m Ton-m Ton-m 1 COMBHH -0.800 0.052 0.051 0.000 0.307 0.326 1 COMBHH -0.800 0.052 0.051 0.000 0.350 0.388 1 COMBHH -0.800 0.052 0.051 0.000 1.529 1.530 1 COMBHH -53.892 -0.111 -0.117 -0.006 -0.859 -0.753 1 COMBHH -53.892 -0.111 -0.117 -0.006 -0.220 -0.204 1 COMBHH -53.892 -0.111 -0.117 -0.006 -0.747 -0.735 1 COMBCT 2.497 -0.011 0.003 0.014 0.034 -0.117 1 COMBCT 2.497 -0.011 0.003 0.014 0.149 0.178 1 COMBCT 2.497 -0.011 0.003 0.014 0.848 0.587 1 COMBCT -0.026 -0.040 -0.068 -0.014 -0.551 -0.232 1 COMBCT -0.026 -0.040 -0.068 -0.014 0.000 -0.002 1 COMBCT -0.026 -0.040 -0.068 -0.014 -0.033 0.113 1 COMBNEO 12.144 1.121 0.000 0.791 0.000 11.067 1 COMBNEO 12.144 1.121 0.000 0.791 0.066 0.000 1 COMBNEO 12.144 1.121 0.000 0.791 10.329 0.000 1 COMBNEO 0.000 0.000 -1.002 0.000 -10.197 0.000 1 COMBNEO 0.000 0.000 -1.002 0.000 0.000 -0.414 1 COMBNEO 0.000 0.000 -1.002 0.000 0.000 -11.896 1 COMB1 -77.207 0.028 0.026 0.000 0.055 0.162 1 COMB1 -56.907 0.028 0.026 0.000 0.469 0.583 1 COMB1 -36.606 0.028 0.026 0.000 2.246 2.300 - 1 COMB1 -0.168 -0.175 -0.007 -1.343 -1.134 140.918 - 1 COMB1 -0.168 -0.175 -0.007 -0.215 -0.128 120.618 - 1 COMB1 -0.168 -0.175 -0.007 -0.486 -0.417 100.317 1 COMB2 -73.251 -0.047 -0.031 0.017 -0.272 -0.370 1 COMB2 -52.950 -0.047 -0.031 0.017 0.227 0.330 1 COMB2 -32.650 -0.047 -0.031 0.017 1.428 1.169 1 COMB2 -76.279 -0.082 -0.117 -0.017 -0.974 -0.508 1 COMB2 -55.978 -0.082 -0.117 -0.017 0.050 0.115 1 COMB2 -35.678 -0.082 -0.117 -0.017 0.371 0.601 1 COMB3 -61.674 1.311 -0.035 0.949 -0.313 13.051 1 COMB3 -41.373 1.311 -0.035 0.949 0.129 0.117 1 COMB3 -21.073 1.311 -0.035 0.949 12.806 0.465 1 COMB3 -76.247 -0.034 -1.237 0.000 -12.549 -0.230 GVHD: Th.S. Dƣơng Thanh Quỳnh SVTH : Vũ Trọng Chung - MSSV : 273352 - Lớp 52CB3 205
  • 206.
    ĐỒ ÁN TỐTNGHIỆP Thiết Kế Kỹ Thuật Bến Căn Cứ Đóng Mới Giàn Jacket Độ Sâu . Đến 95.7M Nước Hạ Thủy Bằng Phương Pháp Kéo Trượt 1 COMB3 -55.947 -0.034 -1.237 0.000 0.049 -0.380 1 COMB3 -35.646 -0.034 -1.237 0.000 0.411 -13.811 1 COMB4 -75.884 -0.035 0.076 -0.007 0.843 -0.239 1 COMB4 -55.584 -0.035 0.076 -0.007 0.065 0.117 1 COMB4 -35.283 -0.035 0.076 -0.007 -0.712 0.473 1 COMB5 -76.003 -0.051 0.057 -0.027 0.646 -0.405 1 COMB5 -55.703 -0.051 0.057 -0.027 0.062 0.115 1 COMB5 -35.402 -0.051 0.057 -0.027 -0.522 0.636 1 COMB6 -74.211 0.015 0.030 0.017 0.096 0.021 1 COMB6 -53.910 0.015 0.030 0.017 0.647 0.796 1 COMB6 -33.610 0.015 0.030 0.017 3.264 3.004 - 1 COMB6 -0.216 -0.257 -0.024 -2.004 -1.412 140.949 - 1 COMB6 -0.216 -0.257 -0.024 -0.215 -0.130 120.649 - 1 COMB6 -0.216 -0.257 -0.024 -0.526 -0.281 100.349 1 COMB7 -62.634 1.373 0.026 0.949 0.055 13.442 1 COMB7 -42.333 1.373 0.026 0.949 0.548 0.583 1 COMB7 -22.033 1.373 0.026 0.949 14.641 2.300 - 1 COMB7 -0.168 -1.377 -0.007 -13.579 -1.134 140.918 - 1 COMB7 -0.168 -1.377 -0.007 -0.215 -0.625 120.618 - 1 COMB7 -0.168 -1.377 -0.007 -0.486 -14.693 100.317 1 COMB8 -76.844 0.027 0.138 -0.007 1.211 0.153 1 COMB8 -56.544 0.027 0.138 -0.007 0.485 0.583 1 COMB8 -36.243 0.027 0.138 -0.007 1.123 2.309 - 1 COMB8 -0.168 -0.064 -0.014 -0.187 -1.142 140.555 - 1 COMB8 -0.168 -0.064 -0.014 -0.199 -0.128 120.254 1 COMB8 -99.954 -0.168 -0.064 -0.014 -1.609 -0.409 1 COMB9 -76.963 0.011 0.119 -0.027 1.014 -0.013 1 COMB9 -56.663 0.011 0.119 -0.027 0.482 0.582 1 COMB9 -36.362 0.011 0.119 -0.027 1.313 2.471 - 1 COMB9 -0.184 -0.083 -0.034 -0.384 -1.308 140.674 - 1 COMB9 -0.184 -0.083 -0.034 -0.202 -0.130 120.374 - 1 COMB9 -0.184 -0.083 -0.034 -1.419 -0.246 100.073 1 COMB10 -73.007 -0.064 0.061 -0.010 0.687 -0.545 GVHD: Th.S. Dƣơng Thanh Quỳnh SVTH : Vũ Trọng Chung - MSSV : 273352 - Lớp 52CB3 206
  • 207.
    ĐỒ ÁN TỐTNGHIỆP Thiết Kế Kỹ Thuật Bến Căn Cứ Đóng Mới Giàn Jacket Độ Sâu . Đến 95.7M Nước Hạ Thủy Bằng Phương Pháp Kéo Trượt 1 COMB10 -52.706 -0.064 0.061 -0.010 0.240 0.328 1 COMB10 -32.406 -0.064 0.061 -0.010 0.495 1.340 1 COMB10 -76.035 -0.099 -0.025 -0.044 -0.015 -0.683 1 COMB10 -55.734 -0.099 -0.025 -0.044 0.063 0.113 1 COMB10 -35.434 -0.099 -0.025 -0.044 -0.562 0.772 1 COMB11 -72.888 -0.048 0.080 0.010 0.884 -0.379 1 COMB11 -52.587 -0.048 0.080 0.010 0.244 0.330 1 COMB11 -32.287 -0.048 0.080 0.010 0.305 1.177 1 COMB11 -75.916 -0.083 -0.006 -0.024 0.182 -0.517 1 COMB11 -55.615 -0.083 -0.006 -0.024 0.066 0.115 1 COMB11 -35.315 -0.083 -0.006 -0.024 -0.752 0.610 1 COMB12 -58.677 1.297 -0.031 0.966 -0.272 12.911 1 COMB12 -38.377 1.297 -0.031 0.966 0.307 0.330 1 COMB12 -18.077 1.297 -0.031 0.966 13.823 1.169 1 COMB12 -76.279 -0.082 -1.319 -0.017 -13.210 -0.508 1 COMB12 -55.978 -0.082 -1.319 -0.017 0.050 -0.382 1 COMB12 -35.678 -0.082 -1.319 -0.017 0.371 -13.675 1 COMB13 -59.637 1.360 0.030 0.966 0.096 13.302 1 COMB13 -39.337 1.360 0.030 0.966 0.727 0.796 1 COMB13 -19.037 1.360 0.030 0.966 15.658 3.004 - 1 COMB13 -0.216 -1.459 -0.024 -14.240 -1.412 140.949 - 1 COMB13 -0.216 -1.459 -0.024 -0.215 -0.627 120.649 - 1 COMB13 -0.216 -1.459 -0.024 -0.526 -14.557 100.349 1 COMB14 -73.848 0.014 0.142 0.010 1.252 0.013 1 COMB14 -53.547 0.014 0.142 0.010 0.663 0.796 1 COMB14 -33.247 0.014 0.142 0.010 2.140 3.013 - 1 COMB14 -0.216 -0.146 -0.031 -0.848 -1.420 140.586 - 1 COMB14 -0.216 -0.146 -0.031 -0.199 -0.130 120.286 1 COMB14 -99.986 -0.216 -0.146 -0.031 -1.649 -0.272 1 COMB15 -73.967 -0.002 0.123 -0.010 1.055 -0.153 1 COMB15 -53.666 -0.002 0.123 -0.010 0.660 0.795 1 COMB15 -33.366 -0.002 0.123 -0.010 2.330 3.175 - 1 COMB15 -0.232 -0.165 -0.051 -1.045 -1.586 140.705 - 1 COMB15 -0.232 -0.165 -0.051 -0.202 -0.132 120.405 - 1 COMB15 -0.232 -0.165 -0.051 -1.459 -0.110 100.105 GVHD: Th.S. Dƣơng Thanh Quỳnh SVTH : Vũ Trọng Chung - MSSV : 273352 - Lớp 52CB3 207
  • 208.
    ĐỒ ÁN TỐTNGHIỆP Thiết Kế Kỹ Thuật Bến Căn Cứ Đóng Mới Giàn Jacket Độ Sâu . Đến 95.7M Nước Hạ Thủy Bằng Phương Pháp Kéo Trượt 2 COMBHH -3.059 0.133 0.096 0.000 0.626 0.787 2 COMBHH -3.059 0.133 0.096 0.000 0.376 0.451 2 COMBHH -3.059 0.133 0.096 0.000 1.659 1.771 2 COMBHH -63.057 -0.143 -0.139 -0.006 -0.907 -0.870 2 COMBHH -63.057 -0.143 -0.139 -0.006 -0.266 -0.441 2 COMBHH -63.057 -0.143 -0.139 -0.006 -1.158 -1.669 2 COMBCT -0.033 -0.012 0.005 0.016 0.042 -0.116 2 COMBCT -0.033 -0.012 0.005 0.016 0.049 0.690 2 COMBCT -0.033 -0.012 0.005 0.016 0.508 2.628 2 COMBCT -3.899 -0.209 -0.050 -0.016 -0.410 -1.248 2 COMBCT -3.899 -0.209 -0.050 -0.016 0.000 -0.002 2 COMBCT -3.899 -0.209 -0.050 -0.016 -0.042 0.112 2 COMBNEO 5.010 1.176 0.000 0.886 0.000 10.905 2 COMBNEO 5.010 1.176 0.000 0.886 0.043 0.020 2 COMBNEO 5.010 1.176 0.000 0.886 12.476 0.000 2 COMBNEO 0.000 0.000 -1.343 0.000 -12.389 0.000 2 COMBNEO 0.000 0.000 -1.343 0.000 0.000 0.000 2 COMBNEO 0.000 0.000 -1.343 0.000 0.000 -10.864 2 COMB1 -82.986 0.078 0.106 0.000 0.603 0.449 2 COMB1 -64.647 0.078 0.106 0.000 0.393 0.793 2 COMB1 -46.309 0.078 0.106 0.000 2.022 3.125 - 2 COMB1 -0.252 -0.176 -0.007 -1.236 -1.539 154.983 - 2 COMB1 -0.252 -0.176 -0.007 -0.378 -0.277 136.645 - 2 COMB1 -0.252 -0.176 -0.007 -1.358 -1.003 118.306 2 COMB2 -79.355 -0.096 -0.004 0.019 -0.097 -0.635 2 COMB2 -61.016 -0.096 -0.004 0.019 0.000 1.080 2 COMB2 -42.677 -0.096 -0.004 0.019 0.641 4.154 2 COMB2 -83.994 -0.332 -0.069 -0.019 -0.640 -1.993 2 COMB2 -65.656 -0.332 -0.069 -0.019 -0.058 0.250 2 COMB2 -47.317 -0.332 -0.069 -0.019 -0.019 1.134 2 COMB3 -73.303 1.330 -0.010 1.063 -0.148 12.589 2 COMB3 -54.964 1.330 -0.010 1.063 -0.006 0.276 2 COMB3 -36.625 1.330 -0.010 1.063 15.002 1.000 2 COMB3 -79.315 -0.081 -1.622 0.000 -15.015 -0.496 2 COMB3 -60.976 -0.081 -1.622 0.000 -0.058 0.252 2 COMB3 -42.638 -0.081 -1.622 0.000 0.031 -12.037 2 COMB4 -79.313 -0.081 0.144 -0.003 1.281 -0.499 2 COMB4 -60.974 -0.081 0.144 -0.003 -0.051 0.251 GVHD: Th.S. Dƣơng Thanh Quỳnh SVTH : Vũ Trọng Chung - MSSV : 273352 - Lớp 52CB3 208
  • 209.
    ĐỒ ÁN TỐTNGHIỆP Thiết Kế Kỹ Thuật Bến Căn Cứ Đóng Mới Giàn Jacket Độ Sâu . Đến 95.7M Nước Hạ Thủy Bằng Phương Pháp Kéo Trượt 2 COMB4 -42.635 -0.081 0.144 -0.003 -1.384 1.002 2 COMB5 -79.349 -0.094 0.116 -0.062 1.023 -0.621 2 COMB5 -61.010 -0.094 0.116 -0.062 -0.053 0.250 2 COMB5 -42.672 -0.094 0.116 -0.062 -1.129 1.120 2 COMB6 -83.026 0.064 0.111 0.019 0.654 0.310 2 COMB6 -64.687 0.064 0.111 0.019 0.452 1.621 2 COMB6 -46.349 0.064 0.111 0.019 2.631 6.278 - 2 COMB6 -0.503 -0.236 -0.026 -1.728 -3.037 159.663 - 2 COMB6 -0.503 -0.236 -0.026 -0.377 -0.279 141.324 - 2 COMB6 -0.503 -0.236 -0.026 -1.408 -0.869 122.985 2 COMB7 -76.974 1.490 0.106 1.063 0.603 13.534 2 COMB7 -58.635 1.490 0.106 1.063 0.445 0.817 2 COMB7 -40.297 1.490 0.106 1.063 16.992 3.125 - 2 COMB7 -0.252 -1.788 -0.007 -16.103 -1.539 154.983 - 2 COMB7 -0.252 -1.788 -0.007 -0.378 -0.277 136.645 - 2 COMB7 -0.252 -1.788 -0.007 -1.358 -14.040 118.306 2 COMB8 -82.984 0.078 0.260 -0.003 2.032 0.446 2 COMB8 -64.645 0.078 0.260 -0.003 0.400 0.792 2 COMB8 -46.306 0.078 0.260 -0.003 0.606 3.127 - 2 COMB8 -0.252 -0.022 -0.011 0.193 -1.543 154.981 - 2 COMB8 -0.252 -0.022 -0.011 -0.371 -0.278 136.642 - 2 COMB8 -0.252 -0.022 -0.011 -2.773 -1.001 118.304 2 COMB9 -83.020 0.065 0.232 -0.062 1.774 0.324 2 COMB9 -64.681 0.065 0.232 -0.062 0.398 0.790 2 COMB9 -46.343 0.065 0.232 -0.062 0.861 3.245 - 2 COMB9 -0.265 -0.050 -0.069 -0.065 -1.664 155.017 - 2 COMB9 -0.265 -0.050 -0.069 -0.372 -0.279 136.679 - 2 COMB9 -0.265 -0.050 -0.069 -2.518 -0.883 118.340 2 COMB10 -79.389 -0.109 0.122 -0.043 1.074 -0.759 2 COMB10 -61.050 -0.109 0.122 -0.043 0.006 1.078 2 COMB10 -42.711 -0.109 0.122 -0.043 -0.519 4.274 2 COMB10 -84.028 -0.345 0.057 -0.081 0.531 -2.118 GVHD: Th.S. Dƣơng Thanh Quỳnh SVTH : Vũ Trọng Chung - MSSV : 273352 - Lớp 52CB3 209
  • 210.
    ĐỒ ÁN TỐTNGHIỆP Thiết Kế Kỹ Thuật Bến Căn Cứ Đóng Mới Giàn Jacket Độ Sâu . Đến 95.7M Nước Hạ Thủy Bằng Phương Pháp Kéo Trượt 2 COMB10 -65.690 -0.345 0.057 -0.081 -0.053 0.248 2 COMB10 -47.351 -0.345 0.057 -0.081 -1.179 1.254 2 COMB11 -79.352 -0.096 0.149 0.016 1.332 -0.638 2 COMB11 -61.014 -0.096 0.149 0.016 0.007 1.080 2 COMB11 -42.675 -0.096 0.149 0.016 -0.774 4.156 2 COMB11 -83.992 -0.332 0.084 -0.022 0.789 -1.996 2 COMB11 -65.653 -0.332 0.084 -0.022 -0.051 0.249 2 COMB11 -47.315 -0.332 0.084 -0.022 -1.434 1.136 2 COMB12 -73.343 1.316 -0.004 1.081 -0.097 12.451 2 COMB12 -55.004 1.316 -0.004 1.081 0.052 1.105 2 COMB12 -36.665 1.316 -0.004 1.081 15.612 4.154 2 COMB12 -83.994 -0.332 -1.681 -0.019 -15.507 -1.993 2 COMB12 -65.656 -0.332 -1.681 -0.019 -0.058 0.250 2 COMB12 -47.317 -0.332 -1.681 -0.019 -0.019 -11.903 2 COMB13 -77.014 1.475 0.111 1.082 0.654 13.396 2 COMB13 -58.675 1.475 0.111 1.082 0.503 1.645 2 COMB13 -40.336 1.475 0.111 1.082 17.602 6.278 - 2 COMB13 -0.503 -1.847 -0.026 -16.595 -3.037 159.663 - 2 COMB13 -0.503 -1.847 -0.026 -0.377 -0.279 141.324 - 2 COMB13 -0.503 -1.847 -0.026 -1.408 -13.905 122.985 2 COMB14 -83.024 0.063 0.265 0.016 2.083 0.307 2 COMB14 -64.685 0.063 0.265 0.016 0.459 1.620 2 COMB14 -46.346 0.063 0.265 0.016 1.216 6.281 - 2 COMB14 -0.504 -0.082 -0.030 -0.299 -3.040 159.660 - 2 COMB14 -0.504 -0.082 -0.030 -0.370 -0.280 141.322 - 2 COMB14 -0.504 -0.082 -0.030 -2.824 -0.866 122.983 2 COMB15 -83.060 0.050 0.237 -0.043 1.825 0.186 2 COMB15 -64.721 0.050 0.237 -0.043 0.457 1.619 2 COMB15 -46.383 0.050 0.237 -0.043 1.471 6.399 - 2 COMB15 -0.516 -0.110 -0.088 -0.557 -3.161 159.697 - 2 COMB15 -0.516 -0.110 -0.088 -0.372 -0.281 141.358 - 2 COMB15 -0.516 -0.110 -0.088 -2.569 -0.748 123.019 3 COMBHH -2.841 0.226 0.070 0.000 0.331 1.246 3 COMBHH -2.841 0.226 0.070 0.000 0.153 0.465 GVHD: Th.S. Dƣơng Thanh Quỳnh SVTH : Vũ Trọng Chung - MSSV : 273352 - Lớp 52CB3 210
  • 211.
    ĐỒ ÁN TỐTNGHIỆP Thiết Kế Kỹ Thuật Bến Căn Cứ Đóng Mới Giàn Jacket Độ Sâu . Đến 95.7M Nước Hạ Thủy Bằng Phương Pháp Kéo Trượt 3 COMBHH -2.841 0.226 0.070 0.000 0.890 1.820 3 COMBHH -64.483 -0.160 -0.087 -0.007 -0.584 -0.891 3 COMBHH -64.483 -0.160 -0.087 -0.007 -0.264 -0.675 3 COMBHH -64.483 -0.160 -0.087 -0.007 -0.860 -2.596 3 COMBCT -0.030 -0.012 0.006 0.017 0.050 -0.105 3 COMBCT -0.030 -0.012 0.006 0.017 0.000 0.710 3 COMBCT -0.030 -0.012 0.006 0.017 0.041 2.714 3 COMBCT -2.658 -0.236 -0.015 -0.017 -0.208 -1.294 3 COMBCT -2.658 -0.236 -0.015 -0.017 -0.083 -0.002 3 COMBCT -2.658 -0.236 -0.015 -0.017 -0.050 0.102 3 COMBNEO 2.260 1.264 0.000 0.941 0.000 10.880 3 COMBNEO 2.260 1.264 0.000 0.941 0.000 0.157 3 COMBNEO 2.260 1.264 0.000 0.941 14.394 0.000 3 COMBNEO 0.000 0.000 -1.702 0.000 -14.487 0.000 3 COMBNEO 0.000 0.000 -1.702 0.000 -0.047 0.000 3 COMBNEO 0.000 0.000 -1.702 0.000 0.000 -10.566 3 COMB1 -79.557 0.181 0.091 0.000 0.329 0.985 3 COMB1 -62.744 0.181 0.091 0.000 0.060 0.818 3 COMB1 -45.931 0.181 0.091 0.000 0.890 3.216 - 3 COMB1 -0.283 -0.098 -0.008 -0.769 -1.580 153.527 - 3 COMB1 -0.283 -0.098 -0.008 -0.441 -0.550 136.714 - 3 COMB1 -0.283 -0.098 -0.008 -1.210 -2.085 119.901 3 COMB2 -76.183 -0.105 0.014 0.020 -0.008 -0.637 3 COMB2 -59.370 -0.105 0.014 0.020 -0.123 1.112 3 COMB2 -42.557 -0.105 0.014 0.020 -0.129 4.288 3 COMB2 -79.337 -0.374 -0.011 -0.021 -0.318 -2.064 3 COMB2 -62.524 -0.374 -0.011 -0.021 -0.223 0.258 3 COMB2 -45.711 -0.374 -0.011 -0.021 -0.238 1.153 3 COMB3 -73.435 1.426 0.006 1.129 -0.069 12.546 3 COMB3 -56.622 1.426 0.006 1.129 -0.123 0.449 3 COMB3 -39.809 1.426 0.006 1.129 17.095 1.031 3 COMB3 -76.147 -0.091 -2.036 0.000 -17.454 -0.511 3 COMB3 -59.334 -0.091 -2.036 0.000 -0.179 0.260 3 COMB3 -42.522 -0.091 -2.036 0.000 -0.178 -11.648 3 COMB4 -76.125 -0.091 0.205 -0.001 1.624 -0.514 3 COMB4 -59.312 -0.091 0.205 -0.001 -0.117 0.261 3 COMB4 -42.499 -0.091 0.205 -0.001 -1.859 1.036 3 COMB5 -76.137 -0.094 0.168 -0.065 1.308 -0.540 GVHD: Th.S. Dƣơng Thanh Quỳnh SVTH : Vũ Trọng Chung - MSSV : 273352 - Lớp 52CB3 211
  • 212.
    ĐỒ ÁN TỐTNGHIỆP Thiết Kế Kỹ Thuật Bến Căn Cứ Đóng Mới Giàn Jacket Độ Sâu . Đến 95.7M Nước Hạ Thủy Bằng Phương Pháp Kéo Trượt 3 COMB5 -59.324 -0.094 0.168 -0.065 -0.119 0.260 3 COMB5 -42.512 -0.094 0.168 -0.065 -1.546 1.061 3 COMB6 -79.593 0.166 0.098 0.021 0.389 0.859 3 COMB6 -62.780 0.166 0.098 0.021 0.061 1.670 3 COMB6 -45.967 0.166 0.098 0.021 0.940 6.473 - 3 COMB6 -0.566 -0.115 -0.029 -1.019 -3.133 156.716 - 3 COMB6 -0.566 -0.115 -0.029 -0.541 -0.552 139.903 - 3 COMB6 -0.566 -0.115 -0.029 -1.270 -1.963 123.091 3 COMB7 -76.845 1.697 0.091 1.129 0.329 14.041 3 COMB7 -60.032 1.697 0.091 1.129 0.060 1.007 3 COMB7 -43.219 1.697 0.091 1.129 18.163 3.216 - 3 COMB7 -0.283 -2.140 -0.008 -18.154 -1.580 153.527 - 3 COMB7 -0.283 -2.140 -0.008 -0.497 -0.550 136.714 - 3 COMB7 -0.283 -2.140 -0.008 -1.210 -14.764 119.901 3 COMB8 -79.535 0.180 0.289 -0.001 2.022 0.981 3 COMB8 -62.722 0.180 0.289 -0.001 0.067 0.818 3 COMB8 -45.909 0.180 0.289 -0.001 -0.790 3.220 - 3 COMB8 -0.283 0.101 -0.009 0.924 -1.583 153.504 - 3 COMB8 -0.283 0.101 -0.009 -0.434 -0.550 136.692 - 3 COMB8 -0.283 0.101 -0.009 -2.890 -2.080 119.879 3 COMB9 -79.547 0.177 0.252 -0.065 1.706 0.955 3 COMB9 -62.734 0.177 0.252 -0.065 0.065 0.818 3 COMB9 -45.921 0.177 0.252 -0.065 -0.478 3.245 - 3 COMB9 -0.286 0.064 -0.073 0.608 -1.609 153.517 - 3 COMB9 -0.286 0.064 -0.073 -0.436 -0.550 136.704 - 3 COMB9 -0.286 0.064 -0.073 -2.578 -2.055 119.891 3 COMB10 -76.173 -0.109 0.175 -0.045 1.369 -0.666 3 COMB10 -59.360 -0.109 0.175 -0.045 -0.119 1.112 3 COMB10 -42.548 -0.109 0.175 -0.045 -1.497 4.318 3 COMB10 -79.327 -0.378 0.151 -0.086 1.059 -2.093 3 COMB10 -62.514 -0.378 0.151 -0.086 -0.219 0.258 3 COMB10 -45.701 -0.378 0.151 -0.086 -1.606 1.183 GVHD: Th.S. Dƣơng Thanh Quỳnh SVTH : Vũ Trọng Chung - MSSV : 273352 - Lớp 52CB3 212
  • 213.
    ĐỒ ÁN TỐTNGHIỆP Thiết Kế Kỹ Thuật Bến Căn Cứ Đóng Mới Giàn Jacket Độ Sâu . Đến 95.7M Nước Hạ Thủy Bằng Phương Pháp Kéo Trượt 3 COMB11 -76.161 -0.106 0.212 0.019 1.685 -0.641 3 COMB11 -59.348 -0.106 0.212 0.019 -0.117 1.113 3 COMB11 -42.535 -0.106 0.212 0.019 -1.809 4.293 3 COMB11 -79.315 -0.375 0.188 -0.022 1.375 -2.068 3 COMB11 -62.502 -0.375 0.188 -0.022 -0.217 0.258 3 COMB11 -45.689 -0.375 0.188 -0.022 -1.919 1.158 3 COMB12 -73.471 1.411 0.014 1.150 -0.008 12.419 3 COMB12 -56.658 1.411 0.014 1.150 -0.123 1.301 3 COMB12 -39.845 1.411 0.014 1.150 17.144 4.288 3 COMB12 -79.337 -0.374 -2.053 -0.021 -17.703 -2.064 3 COMB12 -62.524 -0.374 -2.053 -0.021 -0.279 0.258 3 COMB12 -45.711 -0.374 -2.053 -0.021 -0.238 -11.526 3 COMB13 -76.881 1.683 0.098 1.150 0.389 13.915 3 COMB13 -60.068 1.683 0.098 1.150 0.061 1.859 3 COMB13 -43.255 1.683 0.098 1.150 18.213 6.473 - 3 COMB13 -0.566 -2.158 -0.029 -18.403 -3.133 156.716 - 3 COMB13 -0.566 -2.158 -0.029 -0.596 -0.552 139.903 - 3 COMB13 -0.566 -2.158 -0.029 -1.270 -14.642 123.091 3 COMB14 -79.571 0.166 0.297 0.019 2.082 0.855 3 COMB14 -62.758 0.166 0.297 0.019 0.067 1.670 3 COMB14 -45.945 0.166 0.297 0.019 -0.741 6.477 - 3 COMB14 -0.567 0.083 -0.030 0.675 -3.137 156.694 - 3 COMB14 -0.567 0.083 -0.030 -0.534 -0.552 139.881 - 3 COMB14 -0.567 0.083 -0.030 -2.951 -1.958 123.068 3 COMB15 -79.583 0.163 0.260 -0.045 1.766 0.829 3 COMB15 -62.770 0.163 0.260 -0.045 0.065 1.670 3 COMB15 -45.957 0.163 0.260 -0.045 -0.428 6.502 - 3 COMB15 -0.570 0.046 -0.094 0.359 -3.162 156.706 - 3 COMB15 -0.570 0.046 -0.094 -0.536 -0.552 139.894 - 3 COMB15 -0.570 0.046 -0.094 -2.638 -1.933 123.081 4 COMBHH -1.543 0.281 0.135 0.000 0.732 1.392 4 COMBHH -1.543 0.281 0.135 0.000 0.163 0.471 4 COMBHH -1.543 0.281 0.135 0.000 0.881 1.905 4 COMBHH -64.014 -0.188 -0.094 -0.007 -0.556 -0.963 GVHD: Th.S. Dƣơng Thanh Quỳnh SVTH : Vũ Trọng Chung - MSSV : 273352 - Lớp 52CB3 213
  • 214.
    ĐỒ ÁN TỐTNGHIỆP Thiết Kế Kỹ Thuật Bến Căn Cứ Đóng Mới Giàn Jacket Độ Sâu . Đến 95.7M Nước Hạ Thủy Bằng Phương Pháp Kéo Trượt 4 COMBHH -64.014 -0.188 -0.094 -0.007 -0.317 -0.753 4 COMBHH -64.014 -0.188 -0.094 -0.007 -1.329 -2.899 4 COMBCT 1.291 -0.012 0.008 0.019 0.062 -0.090 4 COMBCT 1.291 -0.012 0.008 0.019 0.000 0.362 4 COMBCT 1.291 -0.012 0.008 0.019 0.376 1.343 4 COMBCT -0.024 -0.129 -0.052 -0.019 -0.418 -0.619 4 COMBCT -0.024 -0.129 -0.052 -0.019 -0.021 -0.002 4 COMBCT -0.024 -0.129 -0.052 -0.019 -0.062 0.087 4 COMBNEO 1.966 1.440 0.000 1.039 0.000 11.194 4 COMBNEO 1.966 1.440 0.000 1.039 0.000 0.207 4 COMBNEO 1.966 1.440 0.000 1.039 17.655 0.000 4 COMBNEO 0.000 0.000 -2.323 0.000 -17.800 0.000 4 COMBNEO 0.000 0.000 -2.323 0.000 -0.072 0.000 4 COMBNEO 0.000 0.000 -2.323 0.000 0.000 -10.780 4 COMB1 -72.422 0.269 0.175 0.000 0.816 1.325 4 COMB1 -57.303 0.269 0.175 0.000 0.031 0.743 4 COMB1 -42.185 0.269 0.175 0.000 0.793 2.987 - 4 COMB1 -0.294 -0.100 -0.009 -0.730 -1.501 147.387 - 4 COMB1 -0.294 -0.100 -0.009 -0.544 -0.726 132.268 - 4 COMB1 -0.294 -0.100 -0.009 -1.859 -2.778 117.149 4 COMB2 -69.020 -0.083 0.023 0.023 0.011 -0.454 4 COMB2 -53.902 -0.083 0.023 0.023 -0.164 0.612 4 COMB2 -38.783 -0.083 0.023 0.023 0.187 2.312 4 COMB2 -70.599 -0.223 -0.049 -0.023 -0.565 -1.088 4 COMB2 -55.480 -0.223 -0.049 -0.023 -0.189 0.176 4 COMB2 -40.361 -0.223 -0.049 -0.023 -0.339 0.806 4 COMB3 -68.211 1.659 0.013 1.246 -0.063 13.087 4 COMB3 -53.092 1.659 0.013 1.246 -0.164 0.426 4 COMB3 -37.974 1.659 0.013 1.246 20.922 0.701 4 COMB3 -70.570 -0.069 -2.775 0.000 -21.423 -0.346 4 COMB3 -55.451 -0.069 -2.775 0.000 -0.251 0.178 4 COMB3 -40.333 -0.069 -2.775 0.000 -0.264 -12.234 4 COMB4 -70.418 -0.069 0.285 -0.001 2.019 -0.348 4 COMB4 -55.300 -0.069 0.285 -0.001 -0.156 0.178 4 COMB4 -40.181 -0.069 0.285 -0.001 -2.332 0.703 4 COMB5 -70.411 -0.056 0.233 -0.069 1.622 -0.244 4 COMB5 -55.292 -0.056 0.233 -0.069 -0.159 0.180 4 COMB5 -40.173 -0.056 0.233 -0.069 -1.939 0.604 GVHD: Th.S. Dƣơng Thanh Quỳnh SVTH : Vũ Trọng Chung - MSSV : 273352 - Lớp 52CB3 214
  • 215.
    ĐỒ ÁN TỐTNGHIỆP Thiết Kế Kỹ Thuật Bến Căn Cứ Đóng Mới Giàn Jacket Độ Sâu . Đến 95.7M Nước Hạ Thủy Bằng Phương Pháp Kéo Trượt 4 COMB6 -70.873 0.255 0.185 0.023 0.890 1.217 4 COMB6 -55.754 0.255 0.185 0.023 0.031 1.177 4 COMB6 -40.635 0.255 0.185 0.023 1.244 4.598 - 4 COMB6 -0.448 -0.162 -0.032 -1.232 -2.244 147.416 - 4 COMB6 -0.448 -0.162 -0.032 -0.569 -0.728 132.297 - 4 COMB6 -0.448 -0.162 -0.032 -1.933 -2.673 117.178 4 COMB7 -70.063 1.997 0.175 1.247 0.816 14.758 4 COMB7 -54.945 1.997 0.175 1.247 0.031 0.992 4 COMB7 -39.826 1.997 0.175 1.247 21.979 2.987 - 4 COMB7 -0.294 -2.888 -0.009 -22.090 -1.501 147.387 - 4 COMB7 -0.294 -2.888 -0.009 -0.631 -0.726 132.268 - 4 COMB7 -0.294 -2.888 -0.009 -1.859 -15.714 117.149 4 COMB8 -72.271 0.269 0.447 -0.001 2.898 1.323 4 COMB8 -57.152 0.269 0.447 -0.001 0.039 0.743 4 COMB8 -42.033 0.269 0.447 -0.001 -1.274 2.989 - 4 COMB8 -0.294 0.172 -0.010 1.352 -1.504 147.235 - 4 COMB8 -0.294 0.172 -0.010 -0.536 -0.727 132.116 - 4 COMB8 -0.294 0.172 -0.010 -3.926 -2.776 116.998 4 COMB9 -72.263 0.282 0.395 -0.069 2.501 1.427 4 COMB9 -57.144 0.282 0.395 -0.069 0.036 0.745 4 COMB9 -42.026 0.282 0.395 -0.069 -0.882 2.890 - 4 COMB9 -0.281 0.120 -0.078 0.955 -1.400 147.227 - 4 COMB9 -0.281 0.120 -0.078 -0.539 -0.724 132.109 - 4 COMB9 -0.281 0.120 -0.078 -3.534 -2.875 116.990 4 COMB10 -68.861 -0.070 0.243 -0.046 1.697 -0.353 4 COMB10 -53.742 -0.070 0.243 -0.046 -0.159 0.614 4 COMB10 -38.624 -0.070 0.243 -0.046 -1.488 2.215 4 COMB10 -70.440 -0.210 0.171 -0.092 1.120 -0.987 4 COMB10 -55.321 -0.210 0.171 -0.092 -0.184 0.178 4 COMB10 -40.202 -0.210 0.171 -0.092 -2.014 0.709 4 COMB11 -68.869 -0.083 0.295 0.022 2.093 -0.457 4 COMB11 -53.750 -0.083 0.295 0.022 -0.156 0.612 GVHD: Th.S. Dƣơng Thanh Quỳnh SVTH : Vũ Trọng Chung - MSSV : 273352 - Lớp 52CB3 215
  • 216.
    ĐỒ ÁN TỐTNGHIỆP Thiết Kế Kỹ Thuật Bến Căn Cứ Đóng Mới Giàn Jacket Độ Sâu . Đến 95.7M Nước Hạ Thủy Bằng Phương Pháp Kéo Trượt 4 COMB11 -38.631 -0.083 0.295 0.022 -1.880 2.315 4 COMB11 -70.447 -0.223 0.223 -0.024 1.517 -1.091 4 COMB11 -55.328 -0.223 0.223 -0.024 -0.182 0.176 4 COMB11 -40.210 -0.223 0.223 -0.024 -2.406 0.808 4 COMB12 -66.661 1.645 0.023 1.269 0.011 12.979 4 COMB12 -51.543 1.645 0.023 1.269 -0.164 0.861 4 COMB12 -36.424 1.645 0.023 1.269 21.374 2.312 4 COMB12 -70.599 -0.223 -2.837 -0.023 -21.925 -1.088 4 COMB12 -55.480 -0.223 -2.837 -0.023 -0.276 0.176 4 COMB12 -40.361 -0.223 -2.837 -0.023 -0.339 -12.130 4 COMB13 -68.514 1.983 0.185 1.269 0.890 14.650 4 COMB13 -53.395 1.983 0.185 1.269 0.031 1.426 4 COMB13 -38.276 1.983 0.185 1.269 22.431 4.598 - 4 COMB13 -0.448 -2.950 -0.032 -22.592 -2.244 147.416 - 4 COMB13 -0.448 -2.950 -0.032 -0.656 -0.728 132.297 - 4 COMB13 -0.448 -2.950 -0.032 -1.933 -15.609 117.178 4 COMB14 -70.721 0.255 0.457 0.022 2.972 1.214 4 COMB14 -55.602 0.255 0.457 0.022 0.039 1.177 4 COMB14 -40.483 0.255 0.457 0.022 -0.823 4.600 - 4 COMB14 -0.449 0.110 -0.033 0.850 -2.246 147.264 - 4 COMB14 -0.449 0.110 -0.033 -0.562 -0.728 132.145 - 4 COMB14 -0.449 0.110 -0.033 -4.000 -2.671 117.026 4 COMB15 -70.713 0.268 0.405 -0.046 2.576 1.318 4 COMB15 -55.595 0.268 0.405 -0.046 0.037 1.180 4 COMB15 -40.476 0.268 0.405 -0.046 -0.431 4.501 - 4 COMB15 -0.435 0.058 -0.101 0.453 -2.142 147.256 - 4 COMB15 -0.435 0.058 -0.101 -0.564 -0.726 132.138 - 4 COMB15 -0.435 0.058 -0.101 -3.608 -2.770 117.019 5 COMBHH -1.947 0.375 0.135 0.000 0.418 1.468 5 COMBHH -1.947 0.375 0.135 0.000 0.197 0.551 5 COMBHH -1.947 0.375 0.135 0.000 1.325 2.234 5 COMBHH -64.047 -0.277 -0.185 -0.009 -0.930 -1.132 5 COMBHH -64.047 -0.277 -0.185 -0.009 -0.404 -0.812 5 COMBHH -64.047 -0.277 -0.185 -0.009 -1.226 -3.093 GVHD: Th.S. Dƣơng Thanh Quỳnh SVTH : Vũ Trọng Chung - MSSV : 273352 - Lớp 52CB3 216
  • 217.
    ĐỒ ÁN TỐTNGHIỆP Thiết Kế Kỹ Thuật Bến Căn Cứ Đóng Mới Giàn Jacket Độ Sâu . Đến 95.7M Nước Hạ Thủy Bằng Phương Pháp Kéo Trượt 5 COMBCT -0.010 -0.013 0.016 0.023 0.097 -0.080 5 COMBCT -0.010 -0.013 0.016 0.023 0.059 0.673 5 COMBCT -0.010 -0.013 0.016 0.023 0.954 2.576 5 COMBCT -0.965 -0.313 -0.147 -0.024 -0.836 -1.230 5 COMBCT -0.965 -0.313 -0.147 -0.024 0.000 -0.001 5 COMBCT -0.965 -0.313 -0.147 -0.024 -0.097 0.077 5 COMBNEO 0.343 2.276 0.000 1.286 0.000 14.145 5 COMBNEO 0.343 2.276 0.000 1.286 0.000 0.307 5 COMBNEO 0.343 2.276 0.000 1.286 27.557 0.000 5 COMBNEO 0.000 0.000 -4.552 0.000 -27.794 0.000 5 COMBNEO 0.000 0.000 -4.552 0.000 -0.119 0.000 5 COMBNEO 0.000 0.000 -4.552 0.000 0.000 -13.532 5 COMB1 -68.061 0.324 0.168 0.000 0.321 1.257 5 COMB1 -56.013 0.324 0.168 0.000 0.020 0.923 5 COMB1 -43.966 0.324 0.168 0.000 1.339 3.710 - 5 COMB1 -0.458 -0.217 -0.012 -1.298 -1.863 142.581 - 5 COMB1 -0.458 -0.217 -0.012 -0.701 -0.713 130.533 - 5 COMB1 -0.458 -0.217 -0.012 -1.723 -2.682 118.486 5 COMB2 -65.736 -0.142 0.025 0.028 -0.065 -0.601 5 COMB2 -53.689 -0.142 0.025 0.028 -0.146 1.069 5 COMB2 -41.641 -0.142 0.025 0.028 0.893 4.120 5 COMB2 -66.882 -0.502 -0.171 -0.029 -1.184 -1.982 5 COMB2 -54.835 -0.502 -0.171 -0.029 -0.216 0.260 5 COMB2 -42.788 -0.502 -0.171 -0.029 -0.367 1.121 5 COMB3 -65.313 2.605 0.006 1.543 -0.181 16.469 5 COMB3 -53.265 2.605 0.006 1.543 -0.216 0.630 5 COMB3 -41.218 2.605 0.006 1.543 32.817 1.029 5 COMB3 -65.724 -0.126 -5.456 0.000 -33.534 -0.505 5 COMB3 -53.677 -0.126 -5.456 0.000 -0.359 0.262 5 COMB3 -41.630 -0.126 -5.456 0.000 -0.251 -15.209 5 COMB4 -65.231 -0.126 0.537 -0.002 3.065 -0.505 5 COMB4 -53.184 -0.126 0.537 -0.002 -0.203 0.260 5 COMB4 -41.137 -0.126 0.537 -0.002 -3.471 1.026 5 COMB5 -65.200 -0.066 0.435 -0.088 2.440 -0.133 5 COMB5 -53.152 -0.066 0.435 -0.088 -0.207 0.270 5 COMB5 -41.105 -0.066 0.435 -0.088 -2.854 0.673 5 COMB6 -68.073 0.308 0.187 0.028 0.437 1.161 5 COMB6 -56.025 0.308 0.187 0.028 0.091 1.731 GVHD: Th.S. Dƣơng Thanh Quỳnh SVTH : Vũ Trọng Chung - MSSV : 273352 - Lớp 52CB3 217
  • 218.
    ĐỒ ÁN TỐTNGHIỆP Thiết Kế Kỹ Thuật Bến Căn Cứ Đóng Mới Giàn Jacket Độ Sâu . Đến 95.7M Nước Hạ Thủy Bằng Phương Pháp Kéo Trượt 5 COMB6 -43.978 0.308 0.187 0.028 2.483 6.801 - 5 COMB6 -0.834 -0.393 -0.040 -2.301 -3.340 143.739 - 5 COMB6 -0.834 -0.393 -0.040 -0.701 -0.715 131.691 - 5 COMB6 -0.834 -0.393 -0.040 -1.839 -2.590 119.644 5 COMB7 -67.649 3.055 0.168 1.543 0.321 18.231 5 COMB7 -55.602 3.055 0.168 1.543 0.020 1.292 5 COMB7 -43.554 3.055 0.168 1.543 34.407 3.710 - 5 COMB7 -0.458 -5.679 -0.012 -34.650 -1.863 142.581 - 5 COMB7 -0.458 -5.679 -0.012 -0.843 -0.713 130.533 - 5 COMB7 -0.458 -5.679 -0.012 -1.723 -18.920 118.486 5 COMB8 -67.568 0.324 0.700 -0.001 3.567 1.257 5 COMB8 -55.520 0.324 0.700 -0.001 0.034 0.922 5 COMB8 -43.473 0.324 0.700 -0.001 -1.881 3.706 - 5 COMB8 -0.458 0.315 -0.013 1.948 -1.863 142.088 - 5 COMB8 -0.458 0.315 -0.013 -0.688 -0.714 130.040 - 5 COMB8 -0.458 0.315 -0.013 -4.942 -2.686 117.993 5 COMB9 -67.536 0.384 0.598 -0.088 2.942 1.629 5 COMB9 -55.489 0.384 0.598 -0.088 0.030 0.931 5 COMB9 -43.441 0.384 0.598 -0.088 -1.264 3.354 - 5 COMB9 -0.398 0.213 -0.099 1.324 -1.491 142.056 - 5 COMB9 -0.398 0.213 -0.099 -0.692 -0.705 130.009 - 5 COMB9 -0.398 0.213 -0.099 -4.326 -3.039 117.961 5 COMB10 -65.212 -0.082 0.455 -0.060 2.557 -0.228 5 COMB10 -53.164 -0.082 0.455 -0.060 -0.136 1.077 5 COMB10 -41.117 -0.082 0.455 -0.060 -1.710 3.764 5 COMB10 -66.358 -0.442 0.259 -0.117 1.437 -1.609 5 COMB10 -54.310 -0.442 0.259 -0.117 -0.207 0.268 5 COMB10 -42.263 -0.442 0.259 -0.117 -2.970 0.765 5 COMB11 -65.243 -0.141 0.557 0.026 3.181 -0.600 5 COMB11 -53.196 -0.141 0.557 0.026 -0.132 1.068 5 COMB11 -41.148 -0.141 0.557 0.026 -2.327 4.116 5 COMB11 -66.389 -0.501 0.361 -0.030 2.062 -1.981 GVHD: Th.S. Dƣơng Thanh Quỳnh SVTH : Vũ Trọng Chung - MSSV : 273352 - Lớp 52CB3 218
  • 219.
    ĐỒ ÁN TỐTNGHIỆP Thiết Kế Kỹ Thuật Bến Căn Cứ Đóng Mới Giàn Jacket Độ Sâu . Đến 95.7M Nước Hạ Thủy Bằng Phương Pháp Kéo Trượt 5 COMB11 -54.342 -0.501 0.361 -0.030 -0.203 0.259 5 COMB11 -42.295 -0.501 0.361 -0.030 -3.587 1.118 5 COMB12 -65.324 2.590 0.025 1.571 -0.065 16.374 5 COMB12 -53.277 2.590 0.025 1.571 -0.146 1.438 5 COMB12 -41.230 2.590 0.025 1.571 33.961 4.120 5 COMB12 -66.882 -0.502 -5.633 -0.029 -34.537 -1.982 5 COMB12 -54.835 -0.502 -5.633 -0.029 -0.358 0.260 5 COMB12 -42.788 -0.502 -5.633 -0.029 -0.367 -15.117 5 COMB13 -67.661 3.040 0.187 1.571 0.437 18.135 5 COMB13 -55.613 3.040 0.187 1.571 0.091 2.099 5 COMB13 -43.566 3.040 0.187 1.571 35.551 6.801 - 5 COMB13 -0.834 -5.856 -0.040 -35.653 -3.340 143.739 - 5 COMB13 -0.834 -5.856 -0.040 -0.843 -0.715 131.691 - 5 COMB13 -0.834 -5.856 -0.040 -1.839 -18.828 119.644 5 COMB14 -67.580 0.309 0.719 0.027 3.683 1.162 5 COMB14 -55.532 0.309 0.719 0.027 0.105 1.729 5 COMB14 -43.485 0.309 0.719 0.027 -0.737 6.797 - 5 COMB14 -0.834 0.138 -0.042 0.946 -3.339 143.246 - 5 COMB14 -0.834 0.138 -0.042 -0.687 -0.716 131.198 - 5 COMB14 -0.834 0.138 -0.042 -5.058 -2.594 119.151 5 COMB15 -67.548 0.368 0.617 -0.060 3.059 1.534 5 COMB15 -55.501 0.368 0.617 -0.060 0.100 1.739 5 COMB15 -43.453 0.368 0.617 -0.060 -0.120 6.445 - 5 COMB15 -0.774 0.036 -0.128 0.321 -2.967 143.214 - 5 COMB15 -0.774 0.036 -0.128 -0.692 -0.707 131.167 - 5 COMB15 -0.774 0.036 -0.128 -4.442 -2.947 119.119 GVHD: Th.S. Dƣơng Thanh Quỳnh SVTH : Vũ Trọng Chung - MSSV : 273352 - Lớp 52CB3 219
  • 220.
    ĐỒ ÁN TỐTNGHIỆP Thiết Kế Kỹ Thuật Bến Căn Cứ Đóng Mới Giàn Jacket Độ Sâu . Đến 95.7M Nước Hạ Thủy Bằng Phương Pháp Kéo Trượt 2.Nội lực bản sàn SHELL LOAD M11 M22 M12 V13 V23 Text Text Ton-m/m Ton-m/m Ton-m/m Ton/m Ton/m 1 COMBHH 4.889 0.248 4.523 0.720 0.722 1 COMBHH 11.477 -0.319 2.404 0.720 1.846 1 COMBHH 8.641 8.889 2.481 3.000 1.846 1 COMBHH 1.972 7.996 4.453 3.000 0.722 1 COMBHH -7.362 -11.712 -10.510 -9.993 -12.611 1 COMBHH -6.911 -6.864 -7.451 -9.993 -4.605 1 COMBCT -3.323 -5.071 -2.309 -2.928 -4.605 1 COMBCT -3.751 -9.345 -5.369 -2.928 -12.611 1 COMBCT -0.027 0.593 3.659 -0.003 -0.001 1 COMBCT 11.307 2.133 2.521 -0.003 0.000 1 COMBCT 14.296 24.779 1.207 -0.002 0.000 1 COMBCT -0.007 23.234 2.345 -0.002 -0.001 1 COMBNEO -3.656 0.009 -0.008 -19.331 -24.468 1 COMBNEO -0.025 0.002 0.007 -19.331 -15.759 1 COMBNEO -0.005 0.003 0.001 -9.773 -15.759 1 COMBNEO -0.604 0.009 -0.014 -9.773 -24.468 1 COMBNEO 3.769 0.000 0.000 0.000 0.000 1 COMBNEO 3.982 0.000 0.000 0.000 0.000 1 COMB1 1.361 0.000 1.016 0.437 0.000 1 COMB1 0.973 0.000 3.464 0.437 0.000 1 COMB1 0.000 -7.299 -0.626 -1.022 -2.961 1 COMB1 0.000 -2.698 -3.073 -1.022 -1.632 1 COMB1 0.000 -0.182 0.000 0.000 -1.632 1 COMB1 0.000 -4.645 0.000 0.000 -2.961 1 COMB2 1.069 -4.538 5.547 -12.056 -11.936 1 COMB2 16.522 -2.344 3.886 -12.056 -0.422 1 COMB2 16.003 17.381 5.218 1.836 -0.422 1 COMB2 0.480 13.466 6.701 1.836 -11.936 1 COMB2 -13.631 -18.890 -12.494 -24.912 -27.935 1 COMB2 -5.543 -10.198 -7.940 -24.912 -8.164 1 COMB3 1.646 0.629 -0.530 -5.277 -8.164 1 COMB3 -6.388 -7.343 -5.084 -5.277 -27.935 1 COMB3 -4.830 -4.123 4.510 -12.923 -12.803 1 COMB3 16.318 0.599 4.027 -12.923 -2.638 1 COMB3 22.789 36.449 3.688 -1.767 -2.638 1 COMB3 -1.896 31.751 4.172 -1.767 -12.803 GVHD: Th.S. Dƣơng Thanh Quỳnh SVTH : Vũ Trọng Chung - MSSV : 273352 - Lớp 52CB3 220
  • 221.
    ĐỒ ÁN TỐTNGHIỆP Thiết Kế Kỹ Thuật Bến Căn Cứ Đóng Mới Giàn Jacket Độ Sâu . Đến 95.7M Nước Hạ Thủy Bằng Phương Pháp Kéo Trượt 1 COMB4 -9.184 -4.825 0.110 -36.118 -42.163 1 COMB4 2.720 -1.959 1.010 -36.118 -21.549 1 COMB4 5.627 6.718 2.242 -13.492 -21.549 1 COMB5 -2.611 3.881 1.342 -13.492 -42.163 1 COMB5 -0.274 -4.836 0.119 -12.920 -12.802 1 COMB5 7.528 -1.961 1.001 -12.920 -2.638 1 COMB6 7.267 6.714 3.460 -1.241 -2.638 1 COMB6 -0.719 3.870 5.515 -1.241 -12.802 1 COMB6 -4.797 -13.595 -0.632 -14.147 -16.355 1 COMB6 2.749 -5.199 -2.687 -14.147 -4.596 1 COMB6 5.634 6.495 2.241 -1.764 -4.596 1 COMB6 -1.887 -1.704 1.358 -1.764 -16.355 1 COMB7 -4.603 -3.788 0.447 -12.531 -12.259 1 COMB7 2.714 -1.570 1.331 -12.531 -2.384 1 COMB7 5.504 6.662 2.019 -1.693 -2.384 1 COMB7 -1.774 4.463 1.135 -1.693 -12.259 1 COMB7 -4.516 -4.037 0.409 -12.560 -12.379 1 COMB7 2.801 -1.671 1.235 -12.560 -2.455 1 COMB8 5.539 6.668 2.057 -1.668 -2.455 1 COMB8 -1.743 4.324 1.230 -1.668 -12.379 1 COMB8 1.036 -3.825 9.938 -12.060 -11.937 1 COMB8 30.090 0.216 6.912 -12.060 -0.423 1 COMB8 33.158 47.116 6.666 1.834 -0.423 1 COMB8 0.471 41.347 9.515 1.834 -11.937 1 COMB9 -18.017 -18.880 -12.503 -48.110 -57.296 1 COMB9 -5.573 -10.196 -7.931 -48.110 -27.075 1 COMB9 1.640 0.632 -0.529 -17.005 -27.075 1 COMB9 -7.112 -7.332 -5.101 -17.005 -57.296 1 COMB9 5.593 -4.538 5.547 -12.056 -11.936 1 COMB9 21.301 -2.344 3.886 -12.056 -0.422 1 COMB10 17.637 17.381 6.438 2.360 -0.422 1 COMB10 1.648 13.466 10.858 2.360 -11.936 1 COMB10 -13.631 -27.650 -13.245 -26.139 -31.488 1 COMB10 -5.543 -13.436 -11.628 -26.139 -10.122 1 COMB10 1.646 0.410 -0.530 -5.277 -10.122 1 COMB10 -6.388 -12.917 -5.084 -5.277 -31.488 1 COMB11 1.263 -3.490 5.875 -11.668 -11.393 1 COMB11 16.487 -1.954 4.216 -11.668 -0.169 1 COMB11 15.873 17.329 4.996 1.907 -0.169 1 COMB11 0.593 14.059 6.478 1.907 -11.393 GVHD: Th.S. Dƣơng Thanh Quỳnh SVTH : Vũ Trọng Chung - MSSV : 273352 - Lớp 52CB3 221
  • 222.
    ĐỒ ÁN TỐTNGHIỆP Thiết Kế Kỹ Thuật Bến Căn Cứ Đóng Mới Giàn Jacket Độ Sâu . Đến 95.7M Nước Hạ Thủy Bằng Phương Pháp Kéo Trượt 1 COMB11 -13.437 -17.843 -12.165 -24.524 -27.392 1 COMB11 -5.578 -9.808 -7.610 -24.524 -7.910 1 COMB12 1.517 0.577 -0.752 -5.207 -7.910 1 COMB12 -6.275 -6.750 -5.307 -5.207 -27.392 1 COMB12 1.350 -3.739 5.837 -11.696 -11.513 1 COMB12 16.574 -2.054 4.121 -11.696 -0.239 1 COMB12 15.908 17.334 5.034 1.932 -0.239 1 COMB12 0.624 13.919 6.573 1.932 -11.513 1 COMB13 -13.350 -18.092 -12.204 -24.552 -27.512 1 COMB13 -5.492 -9.908 -7.706 -24.552 -7.981 1 COMB13 1.552 0.582 -0.714 -5.181 -7.981 1 COMB13 -6.244 -6.890 -5.212 -5.181 -27.512 1 COMB13 -4.549 -3.325 4.800 -12.563 -12.380 1 COMB13 16.370 0.889 4.261 -12.563 -2.455 1 COMB14 22.694 36.403 3.505 -1.670 -2.455 1 COMB14 -1.751 32.205 4.044 -1.670 -12.380 1 COMB14 -8.903 -4.026 0.400 -35.758 -41.740 1 COMB14 2.772 -1.669 1.244 -35.758 -21.366 1 COMB14 5.532 6.671 2.058 -13.396 -21.366 1 COMB14 -2.467 4.335 1.213 -13.396 -41.740 1 COMB15 -4.636 -3.076 4.838 -12.535 -12.260 1 COMB15 16.283 0.990 4.356 -12.535 -2.384 1 COMB15 22.659 36.398 3.466 -1.696 -2.384 1 COMB15 -1.783 32.344 3.948 -1.696 -12.260 1 COMB15 -8.990 -3.778 0.438 -35.729 -41.620 1 COMB15 2.685 -1.568 1.340 -35.729 -21.295 2 COMBHH 5.498 6.666 2.020 -13.421 -21.295 2 COMBHH -2.498 4.474 1.118 -13.421 -41.620 2 COMBHH -0.307 -4.123 4.510 -12.923 -12.803 2 COMBHH 21.097 0.599 4.027 -12.923 -2.638 2 COMBHH 24.422 36.449 4.908 -1.243 -2.638 2 COMBHH -0.727 31.751 8.329 -1.243 -12.803 2 COMBCT -9.184 -13.585 -0.641 -37.345 -45.716 2 COMBCT 2.720 -5.197 -2.678 -37.345 -23.507 2 COMBCT 5.627 6.499 2.242 -13.492 -23.507 2 COMBCT -2.611 -1.693 1.342 -13.492 -45.716 2 COMBCT 5.560 -3.825 9.938 -12.060 -11.937 2 COMBCT 34.869 0.216 6.912 -12.060 -0.423 2 COMBNEO 34.792 47.116 7.886 2.358 -0.423 2 COMBNEO 1.639 41.347 13.672 2.358 -11.937 GVHD: Th.S. Dƣơng Thanh Quỳnh SVTH : Vũ Trọng Chung - MSSV : 273352 - Lớp 52CB3 222
  • 223.
    ĐỒ ÁN TỐTNGHIỆP Thiết Kế Kỹ Thuật Bến Căn Cứ Đóng Mới Giàn Jacket Độ Sâu . Đến 95.7M Nước Hạ Thủy Bằng Phương Pháp Kéo Trượt 2 COMBNEO -18.017 -27.639 -13.254 -49.337 -60.850 2 COMBNEO -5.573 -13.434 -11.619 -49.337 -29.033 2 COMBNEO 1.640 0.414 -0.529 -17.005 -29.033 2 COMBNEO -7.112 -12.906 -5.101 -17.005 -60.850 2 COMB1 1.230 -2.778 10.266 -11.671 -11.394 2 COMB1 30.055 0.606 7.242 -11.671 -0.169 2 COMB1 33.028 47.064 6.444 1.905 -0.169 2 COMB1 0.584 41.940 9.292 1.905 -11.394 2 COMB1 -17.823 -17.833 -12.174 -47.721 -56.753 2 COMB1 -5.608 -9.805 -7.602 -47.721 -26.821 2 COMB2 1.510 0.581 -0.751 -16.934 -26.821 2 COMB2 -6.999 -6.739 -5.324 -16.934 -56.753 2 COMB2 1.317 -3.027 10.228 -11.700 -11.514 2 COMB2 30.142 0.506 7.146 -11.700 -0.240 2 COMB2 33.063 47.069 6.482 1.930 -0.240 2 COMB2 0.615 41.800 9.387 1.930 -11.514 2 COMB3 -17.737 -18.081 -12.213 -47.750 -56.873 2 COMB3 -5.521 -9.906 -7.697 -47.750 -26.892 2 COMB3 1.545 0.586 -0.713 -16.909 -26.892 2 COMB3 -6.968 -6.879 -5.229 -16.909 -56.873 2 COMB3 3.884 9.578 3.608 2.880 0.678 2 COMB3 6.784 7.037 2.387 2.880 0.315 2 COMB4 5.485 10.612 -0.136 3.349 0.315 2 COMB4 2.574 13.175 1.079 3.349 0.678 2 COMB4 -2.319 -6.975 -3.883 -3.357 -3.896 2 COMB5 -4.693 -6.753 -3.805 -3.357 -2.474 2 COMB5 -5.405 -6.800 -2.863 -2.306 -2.474 2 COMB5 -2.947 -7.029 -2.942 -2.306 -3.896 2 COMB6 1.146 23.927 2.046 -0.002 0.000 2 COMB6 12.740 25.051 1.507 -0.002 0.000 2 COMB6 14.237 36.050 0.413 -0.002 0.000 2 COMB6 2.621 34.933 0.952 -0.002 0.000 2 COMB6 -0.008 -0.001 -0.009 -10.217 -8.777 2 COMB6 -0.006 0.004 -0.004 -10.217 -10.769 2 COMB7 0.000 0.004 0.000 -12.404 -10.769 2 COMB7 -0.003 -0.001 -0.005 -12.404 -8.777 2 COMB7 1.619 0.000 2.727 0.431 0.000 2 COMB7 0.879 0.000 1.735 0.431 0.000 2 COMB7 0.209 0.481 0.870 0.955 0.000 2 COMB7 0.891 1.593 1.862 0.955 0.000 GVHD: Th.S. Dƣơng Thanh Quỳnh SVTH : Vũ Trọng Chung - MSSV : 273352 - Lớp 52CB3 223
  • 224.
    ĐỒ ÁN TỐTNGHIỆP Thiết Kế Kỹ Thuật Bến Căn Cứ Đóng Mới Giàn Jacket Độ Sâu . Đến 95.7M Nước Hạ Thủy Bằng Phương Pháp Kéo Trượt 2 COMB8 0.000 -1.472 0.000 0.000 -2.941 2 COMB8 0.000 -2.537 0.000 0.000 -2.463 2 COMB8 0.000 0.000 0.000 0.000 -2.463 2 COMB8 0.000 0.000 0.000 0.000 -2.941 2 COMB8 5.732 17.724 6.375 1.001 -2.373 2 COMB8 10.898 13.203 4.417 1.001 -1.325 2 COMB9 9.236 20.243 -0.266 3.193 -1.325 2 COMB9 4.063 24.794 1.684 3.193 -2.373 2 COMB9 -1.712 -2.140 -2.615 -6.484 -7.862 2 COMB9 -2.875 -3.345 -3.014 -6.484 -4.672 2 COMB9 -3.831 -0.652 -3.539 -3.593 -4.672 2 COMB9 -2.562 0.549 -3.140 -3.593 -7.862 2 COMB10 2.446 34.943 4.500 -2.458 -3.187 2 COMB10 18.044 34.819 3.361 -2.458 -1.702 2 COMB10 19.739 50.768 0.393 -0.829 -1.702 2 COMB10 4.119 50.904 1.532 -0.829 -3.187 2 COMB10 1.061 6.229 2.035 -14.716 -13.720 2 COMB10 2.749 4.763 1.548 -14.716 -14.626 2 COMB11 2.654 7.513 -0.103 -15.710 -14.626 2 COMB11 0.971 8.983 0.384 -15.710 -13.720 2 COMB11 3.014 6.230 5.318 -1.938 -3.187 2 COMB11 3.811 4.758 3.635 -1.938 -1.703 2 COMB11 2.906 8.086 0.942 0.320 -1.703 2 COMB11 2.043 10.895 2.624 0.320 -3.187 2 COMB12 1.071 4.463 2.045 -2.455 -6.716 2 COMB12 2.756 1.714 1.553 -2.455 -4.658 2 COMB12 2.655 7.508 -0.102 -0.826 -4.658 2 COMB12 0.974 8.984 0.390 -0.826 -6.716 2 COMB12 1.077 6.461 1.789 -2.374 -2.768 2 COMB12 2.724 5.020 1.365 -2.374 -1.358 2 COMB13 2.624 7.343 -0.253 -0.827 -1.358 2 COMB13 0.987 8.783 0.171 -0.827 -2.768 2 COMB13 1.126 6.403 1.867 -2.349 -2.893 2 COMB13 2.738 4.927 1.420 -2.349 -1.465 2 COMB13 2.633 7.381 -0.223 -0.782 -1.465 2 COMB13 1.032 8.855 0.224 -0.782 -2.893 2 COMB14 7.107 46.437 8.830 0.998 -2.373 2 COMB14 26.185 43.263 6.226 0.998 -1.324 2 COMB14 26.320 63.503 0.230 3.190 -1.324 2 COMB14 7.208 66.714 2.827 3.190 -2.373 GVHD: Th.S. Dƣơng Thanh Quỳnh SVTH : Vũ Trọng Chung - MSSV : 273352 - Lớp 52CB3 224
  • 225.
    ĐỒ ÁN TỐTNGHIỆP Thiết Kế Kỹ Thuật Bến Căn Cứ Đóng Mới Giàn Jacket Độ Sâu . Đến 95.7M Nước Hạ Thủy Bằng Phương Pháp Kéo Trượt 2 COMB14 -1.722 -2.141 -2.625 -18.744 -18.395 2 COMB14 -2.882 -3.341 -3.019 -18.744 -17.595 2 COMB15 -3.832 -0.647 -3.539 -18.478 -17.595 2 COMB15 -2.565 0.548 -3.145 -18.478 -18.395 2 COMB15 7.675 17.724 9.647 1.518 -2.373 2 COMB15 11.953 13.203 6.500 1.518 -1.325 2 COMB15 9.487 20.821 0.779 4.339 -1.325 2 COMB15 5.132 26.705 3.919 4.339 -2.373 3 COMBHH -1.712 -3.907 -2.615 -6.484 -11.391 3 COMBHH -2.875 -6.390 -3.014 -6.484 -7.628 3 COMBHH -3.831 -0.652 -3.539 -3.593 -7.628 3 COMBHH -2.562 0.549 -3.140 -3.593 -11.391 3 COMBHH 5.738 17.955 6.119 1.082 -1.954 3 COMBHH 10.866 13.464 4.230 1.082 -0.981 3 COMBCT 9.206 20.078 -0.416 3.191 -0.981 3 COMBCT 4.077 24.593 1.466 3.191 -1.954 3 COMBCT -1.706 -1.909 -2.871 -6.403 -7.443 3 COMBCT -2.907 -3.084 -3.201 -6.403 -4.328 3 COMBCT -3.861 -0.817 -3.689 -3.595 -4.328 3 COMBCT -2.549 0.348 -3.359 -3.595 -7.443 3 COMBNEO 5.787 17.897 6.197 1.107 -2.079 3 COMBNEO 10.879 13.371 4.284 1.107 -1.087 3 COMBNEO 9.215 20.115 -0.386 3.236 -1.087 3 COMBNEO 4.121 24.665 1.519 3.236 -2.079 3 COMBNEO -1.657 -1.968 -2.793 -6.378 -7.568 3 COMBNEO -2.894 -3.177 -3.147 -6.378 -4.434 3 COMB1 -3.853 -0.779 -3.659 -3.550 -4.434 3 COMB1 -2.504 0.420 -3.306 -3.550 -7.568 3 COMB1 2.501 35.116 4.322 -2.352 -2.893 3 COMB1 18.026 34.987 3.228 -2.352 -1.465 3 COMB1 19.717 50.641 0.273 -0.785 -1.465 3 COMB1 4.177 50.775 1.366 -0.785 -2.893 3 COMB2 1.116 6.402 1.856 -14.610 -13.426 3 COMB2 2.731 4.931 1.414 -14.610 -14.388 3 COMB2 2.633 7.385 -0.223 -15.667 -14.388 3 COMB2 1.029 8.854 0.219 -15.667 -13.426 3 COMB2 2.451 35.174 4.244 -2.377 -2.768 3 COMB2 18.012 35.080 3.173 -2.377 -1.358 3 COMB3 19.708 50.603 0.243 -0.830 -1.358 3 COMB3 4.133 50.703 1.313 -0.830 -2.768 GVHD: Th.S. Dƣơng Thanh Quỳnh SVTH : Vũ Trọng Chung - MSSV : 273352 - Lớp 52CB3 225
  • 226.
    ĐỒ ÁN TỐTNGHIỆP Thiết Kế Kỹ Thuật Bến Căn Cứ Đóng Mới Giàn Jacket Độ Sâu . Đến 95.7M Nước Hạ Thủy Bằng Phương Pháp Kéo Trượt 3 COMB3 1.066 6.460 1.778 -14.635 -13.301 3 COMB3 2.717 5.024 1.360 -14.635 -14.282 3 COMB3 2.624 7.347 -0.253 -15.711 -14.282 3 COMB3 0.984 8.782 0.166 -15.711 -13.301 3 COMB4 4.389 34.943 7.772 -1.940 -3.187 3 COMB4 19.099 34.819 5.443 -1.940 -1.702 3 COMB4 19.990 51.346 1.437 0.318 -1.702 3 COMB5 5.189 52.815 3.766 0.318 -3.187 3 COMB5 1.061 4.462 2.035 -14.716 -17.249 3 COMB5 2.749 1.718 1.548 -14.716 -17.582 3 COMB6 2.654 7.513 -0.103 -15.710 -17.582 3 COMB6 0.971 8.983 0.384 -15.710 -17.249 3 COMB6 9.050 46.437 12.102 1.516 -2.373 3 COMB6 27.240 43.263 8.308 1.516 -1.324 3 COMB6 26.571 64.081 1.274 4.336 -1.324 3 COMB6 8.278 68.625 5.061 4.336 -2.373 3 COMB7 -1.722 -3.908 -2.625 -18.744 -21.924 3 COMB7 -2.882 -6.385 -3.019 -18.744 -20.551 3 COMB7 -3.832 -0.647 -3.539 -18.478 -20.551 3 COMB7 -2.565 0.548 -3.145 -18.478 -21.924 3 COMB7 7.112 46.668 8.573 1.079 -1.954 3 COMB7 26.153 43.525 6.038 1.079 -0.980 3 COMB8 26.290 63.338 0.080 3.189 -0.980 3 COMB8 7.222 66.513 2.608 3.189 -1.954 3 COMB8 -1.716 -1.910 -2.882 -18.663 -17.976 3 COMB8 -2.914 -3.079 -3.207 -18.663 -17.251 3 COMB8 -3.862 -0.813 -3.689 -18.479 -17.251 3 COMB8 -2.552 0.347 -3.364 -18.479 -17.976 3 COMB9 7.162 46.610 8.652 1.104 -2.079 3 COMB9 26.167 43.432 6.093 1.104 -1.087 3 COMB9 26.299 63.375 0.109 3.234 -1.087 3 COMB9 7.267 66.585 2.661 3.234 -2.079 3 COMB9 -1.667 -1.968 -2.804 -18.638 -18.101 3 COMB9 -2.901 -3.172 -3.152 -18.638 -17.358 3 COMB10 -3.853 -0.775 -3.659 -18.434 -17.358 3 COMB10 -2.507 0.419 -3.311 -18.434 -18.101 3 COMB10 2.565 13.236 -0.025 3.394 3.165 3 COMB10 5.473 10.686 0.957 3.394 1.869 3 COMB10 6.436 7.858 0.427 2.109 1.869 3 COMB10 3.526 10.397 -0.149 2.109 3.165 GVHD: Th.S. Dƣơng Thanh Quỳnh SVTH : Vũ Trọng Chung - MSSV : 273352 - Lớp 52CB3 226
  • 227.
    ĐỒ ÁN TỐTNGHIỆP Thiết Kế Kỹ Thuật Bến Căn Cứ Đóng Mới Giàn Jacket Độ Sâu . Đến 95.7M Nước Hạ Thủy Bằng Phương Pháp Kéo Trượt 3 COMB11 -2.960 -7.070 -3.222 -2.310 0.427 3 COMB11 -5.287 -6.835 -2.581 -2.310 -0.409 3 COMB11 -4.708 -6.993 -2.882 -3.360 -0.409 3 COMB11 -2.372 -7.222 -3.685 -3.360 0.427 3 COMB11 2.558 34.491 0.431 -0.002 9.143 3 COMB11 14.141 35.700 0.919 -0.002 11.193 3 COMB12 12.490 24.255 0.000 -0.003 11.193 3 COMB12 0.925 23.043 -0.001 -0.003 9.143 3 COMB12 -0.004 -0.006 -0.003 -12.405 0.002 3 COMB12 -0.001 -0.004 -0.002 -12.405 0.001 3 COMB12 0.000 -0.005 -0.087 -10.155 0.001 3 COMB12 -0.003 -0.008 -0.575 -10.155 0.002 3 COMB13 1.317 2.024 1.464 0.859 0.000 3 COMB13 0.000 1.118 1.263 0.859 0.000 3 COMB13 0.467 4.718 0.662 1.686 0.000 3 COMB13 1.759 5.648 0.863 1.686 0.000 3 COMB13 0.000 0.000 0.000 0.000 -3.585 3 COMB13 -0.003 0.000 0.000 0.000 -2.832 3 COMB14 0.000 0.000 0.000 0.000 -2.832 3 COMB14 0.000 0.000 0.000 0.000 -3.585 3 COMB14 4.007 24.712 -0.156 3.252 7.492 3 COMB14 9.209 20.198 1.560 3.252 4.389 3 COMB14 10.418 13.521 -0.715 0.012 4.389 3 COMB14 5.212 18.014 -1.945 0.012 7.492 3 COMB15 -2.623 0.344 -3.993 -3.593 4.206 3 COMB15 -3.703 -0.827 -2.685 -3.593 1.656 3 COMB15 -2.955 -4.301 -4.687 -6.551 1.656 3 COMB15 -1.866 -3.128 -6.187 -6.551 4.206 3 COMB15 3.999 50.219 0.391 -0.824 14.665 3 COMB15 19.611 50.214 1.515 -0.824 15.578 4 COMBHH 17.683 33.197 -1.228 -2.523 15.578 4 COMBHH 2.091 33.189 -1.767 -2.523 14.665 4 COMBHH 0.924 8.822 -0.130 -15.708 3.696 4 COMBHH 2.640 7.370 0.409 -15.708 2.148 4 COMBHH 2.694 4.085 -1.332 -14.705 2.148 4 COMBHH 0.977 5.529 -2.455 -14.705 3.696 4 COMBCT 2.509 11.258 1.631 0.210 3.693 4 COMBCT 2.642 8.716 1.928 0.210 2.146 4 COMBCT 3.255 9.752 -0.434 -0.496 2.146 4 COMBCT 3.092 12.316 -0.731 -0.496 3.693 GVHD: Th.S. Dƣơng Thanh Quỳnh SVTH : Vũ Trọng Chung - MSSV : 273352 - Lớp 52CB3 227
  • 228.
    ĐỒ ÁN TỐTNGHIỆP Thiết Kế Kỹ Thuật Bến Căn Cứ Đóng Mới Giàn Jacket Độ Sâu . Đến 95.7M Nước Hạ Thủy Bằng Phương Pháp Kéo Trượt 4 COMBCT 0.929 8.829 -0.126 -0.821 -0.609 4 COMBCT 2.639 7.374 0.412 -0.821 -1.252 4 COMBNEO 2.695 4.091 -1.228 -2.519 -1.252 4 COMBNEO 0.981 5.538 -1.766 -2.519 -0.609 4 COMBNEO 0.890 8.576 -0.365 -0.811 4.105 4 COMBNEO 2.633 7.108 0.282 -0.811 2.491 4 COMBNEO 2.743 3.401 -1.372 -2.583 2.491 4 COMBNEO 1.005 4.857 -2.020 -2.583 4.105 4 COMB1 0.943 8.635 -0.330 -0.769 3.949 4 COMB1 2.626 7.120 0.329 -0.769 2.367 4 COMB1 2.782 3.570 -1.357 -2.505 2.367 4 COMB1 1.105 5.073 -2.016 -2.505 3.949 4 COMB1 7.077 66.101 0.362 3.249 18.463 4 COMB1 26.178 63.038 2.663 3.249 17.820 4 COMB2 25.406 42.627 -0.715 0.008 17.820 4 COMB2 6.322 45.665 -1.947 0.008 18.463 4 COMB2 -2.628 0.337 -3.996 -18.480 4.208 4 COMB2 -3.704 -0.832 -2.687 -18.480 1.657 4 COMB2 -2.956 -4.307 -4.791 -18.737 1.657 4 COMB2 -1.870 -3.137 -6.877 -18.737 4.208 4 COMB3 5.587 27.141 1.601 4.283 7.492 4 COMB3 9.209 21.539 3.076 4.283 4.389 4 COMB3 10.978 19.182 0.079 2.035 4.389 4 COMB3 7.323 24.792 -0.910 2.035 7.492 4 COMB3 -2.623 0.344 -3.993 -3.593 -0.096 4 COMB3 -3.706 -0.827 -2.685 -3.593 -1.742 4 COMB4 -2.955 -4.301 -4.687 -6.551 -1.742 4 COMB4 -1.866 -3.128 -6.187 -6.551 -0.096 4 COMB4 3.968 24.458 -0.395 3.262 7.904 4 COMB5 9.200 19.932 1.430 3.262 4.733 4 COMB5 10.466 12.831 -0.859 -0.052 4.733 4 COMB5 5.236 17.332 -2.199 -0.052 7.904 4 COMB6 -2.662 0.091 -4.232 -3.583 4.618 4 COMB6 -3.712 -1.094 -2.814 -3.583 2.001 4 COMB6 -2.907 -4.991 -4.831 -6.614 2.001 4 COMB6 -1.842 -3.810 -6.442 -6.614 4.618 4 COMB6 4.021 24.518 -0.360 3.304 7.748 4 COMB6 9.193 19.943 1.477 3.304 4.609 4 COMB7 10.504 13.000 -0.844 0.025 4.609 4 COMB7 5.336 17.549 -2.196 0.025 7.748 GVHD: Th.S. Dƣơng Thanh Quỳnh SVTH : Vũ Trọng Chung - MSSV : 273352 - Lớp 52CB3 228
  • 229.
    ĐỒ ÁN TỐTNGHIỆP Thiết Kế Kỹ Thuật Bến Căn Cứ Đóng Mới Giàn Jacket Độ Sâu . Đến 95.7M Nước Hạ Thủy Bằng Phương Pháp Kéo Trượt 4 COMB7 -2.609 0.150 -4.196 -3.541 4.462 4 COMB7 -3.719 -1.082 -2.767 -3.541 1.877 4 COMB7 -2.869 -4.821 -4.816 -6.537 1.877 4 COMB7 -1.742 -3.594 -6.438 -6.537 4.462 4 COMB8 4.013 50.025 0.188 -0.771 14.921 4 COMB8 19.595 49.959 1.432 -0.771 15.799 4 COMB8 17.769 32.676 -1.358 -2.509 15.799 4 COMB8 2.215 32.724 -2.018 -2.509 14.921 4 COMB8 0.938 8.628 -0.334 -15.655 3.952 4 COMB8 2.624 7.115 0.327 -15.655 2.368 4 COMB9 2.781 3.564 -1.461 -14.691 2.368 4 COMB9 1.101 5.064 -2.706 -14.691 3.952 4 COMB9 3.960 49.965 0.152 -0.813 15.077 4 COMB9 19.603 49.948 1.385 -0.813 15.923 4 COMB9 17.731 32.507 -1.372 -2.586 15.923 4 COMB9 2.115 32.508 -2.022 -2.586 15.077 4 COMB10 0.885 8.569 -0.369 -15.697 4.108 4 COMB10 2.632 7.104 0.280 -15.697 2.492 4 COMB10 2.742 3.395 -1.476 -14.769 2.492 4 COMB10 1.001 4.848 -2.709 -14.769 4.108 4 COMB10 5.579 52.648 2.149 0.207 14.665 4 COMB10 19.611 51.555 3.031 0.207 15.578 4 COMB11 18.243 38.858 -0.434 -0.499 15.578 4 COMB11 4.202 39.968 -0.732 -0.499 14.665 4 COMB11 0.924 8.822 -0.130 -15.708 -0.607 4 COMB11 2.637 7.370 0.409 -15.708 -1.251 4 COMB11 2.694 4.085 -1.332 -14.705 -1.251 4 COMB11 0.977 5.529 -2.455 -14.705 -0.607 4 COMB12 8.657 68.531 2.119 4.280 18.463 4 COMB12 26.178 64.379 4.179 4.280 17.820 4 COMB12 25.966 48.288 0.079 2.031 17.820 4 COMB12 8.434 52.443 -0.911 2.031 18.463 4 COMB12 -2.628 0.337 -3.996 -18.480 -0.094 4 COMB12 -3.708 -0.832 -2.687 -18.480 -1.741 4 COMB13 -2.956 -4.307 -4.791 -18.737 -1.741 4 COMB13 -1.870 -3.137 -6.877 -18.737 -0.094 4 COMB13 7.038 65.848 0.122 3.260 18.875 4 COMB13 26.170 62.771 2.533 3.260 18.165 4 COMB13 25.454 41.937 -0.860 -0.056 18.165 4 COMB13 6.346 44.984 -2.201 -0.056 18.875 GVHD: Th.S. Dƣơng Thanh Quỳnh SVTH : Vũ Trọng Chung - MSSV : 273352 - Lớp 52CB3 229
  • 230.
    ĐỒ ÁN TỐTNGHIỆP Thiết Kế Kỹ Thuật Bến Căn Cứ Đóng Mới Giàn Jacket Độ Sâu . Đến 95.7M Nước Hạ Thủy Bằng Phương Pháp Kéo Trượt 4 COMB14 -2.667 0.084 -4.236 -18.469 4.620 4 COMB14 -3.713 -1.098 -2.817 -18.469 2.002 4 COMB14 -2.908 -4.997 -4.935 -18.800 2.002 4 COMB14 -1.846 -3.819 -7.131 -18.800 4.620 4 COMB14 7.091 65.907 0.158 3.302 18.719 4 COMB14 26.163 62.783 2.580 3.302 18.041 4 COMB15 25.492 42.106 -0.845 0.022 18.041 4 COMB15 6.446 45.200 -2.197 0.022 18.719 4 COMB15 -2.614 0.143 -4.200 -18.427 4.464 4 COMB15 -3.720 -1.086 -2.770 -18.427 1.878 4 COMB15 -2.869 -4.827 -4.920 -18.723 1.878 4 COMB15 -1.746 -3.603 -7.127 -18.723 4.464 5 COMBHH 1.555 9.609 1.296 2.445 11.670 5 COMBHH 8.265 9.174 -0.999 2.445 4.166 5 COMBHH 9.722 0.259 2.778 -2.729 4.166 5 COMBHH 3.077 0.694 5.104 -2.729 11.670 5 COMBHH -3.878 -9.900 -3.068 -2.932 2.252 5 COMBHH -3.218 -5.144 -3.680 -2.932 -1.813 5 COMBCT -7.032 -6.943 -3.163 -10.085 -1.813 5 COMBCT -7.691 -11.886 -3.648 -10.085 2.252 5 COMBCT -0.006 20.498 0.001 -0.003 24.923 5 COMBCT 13.930 24.003 -0.003 -0.003 15.981 5 COMBCT 9.521 0.986 0.200 -0.007 15.981 5 COMBCT -0.012 -0.023 0.074 -0.007 24.923 5 COMBNEO -1.074 -0.020 -0.396 -9.735 0.005 5 COMBNEO 0.000 -0.004 -0.269 -9.735 0.001 5 COMBNEO -0.007 -0.007 0.011 -19.550 0.001 5 COMBNEO -5.523 -2.532 0.015 -19.550 0.005 5 COMBNEO 2.894 9.732 0.000 1.593 0.000 5 COMBNEO 0.000 1.318 2.595 1.593 0.000 5 COMB1 5.209 5.700 0.000 4.999 0.000 5 COMB1 8.547 14.195 0.000 4.999 0.000 5 COMB1 0.000 0.000 -1.060 0.000 -5.479 5 COMB1 -0.531 0.000 0.000 0.000 -2.376 5 COMB1 0.000 0.000 -4.520 0.000 -2.376 5 COMB1 0.000 0.000 -8.174 0.000 -5.479 5 COMB2 -0.299 13.748 0.700 1.108 27.469 5 COMB2 15.555 17.404 -3.342 1.108 7.929 5 COMB2 13.768 -2.498 3.609 -16.663 7.929 5 COMB2 -2.013 -6.202 7.687 -16.663 27.469 GVHD: Th.S. Dƣơng Thanh Quỳnh SVTH : Vũ Trọng Chung - MSSV : 273352 - Lớp 52CB3 230
  • 231.
    ĐỒ ÁN TỐTNGHIỆP Thiết Kế Kỹ Thuật Bến Căn Cứ Đóng Mới Giàn Jacket Độ Sâu . Đến 95.7M Nước Hạ Thủy Bằng Phương Pháp Kéo Trượt 5 COMB2 -6.819 -9.663 -4.538 -5.343 16.168 5 COMB2 1.776 0.222 -6.559 -5.343 0.754 5 COMB3 -6.337 -11.141 -3.521 -25.490 0.754 5 COMB3 -14.934 -21.298 -2.815 -25.490 16.168 5 COMB3 -2.171 26.815 -0.854 -1.829 43.372 5 COMB3 22.353 35.199 -2.147 -1.829 22.107 5 COMB3 13.527 -1.626 0.515 -13.397 22.107 5 COMB3 -5.719 -7.063 1.650 -13.397 43.372 5 COMB4 -3.453 2.194 -1.331 -13.508 13.471 5 COMB4 5.637 6.391 -2.466 -13.508 2.931 5 COMB4 2.094 -2.818 0.287 -36.848 2.931 5 COMB5 -12.333 -10.074 1.580 -36.848 13.471 5 COMB5 1.308 13.896 -0.856 0.087 13.465 5 COMB5 5.637 7.977 0.970 0.087 2.930 5 COMB6 8.352 4.030 0.275 -7.389 2.930 5 COMB6 4.551 9.998 1.562 -7.389 13.465 5 COMB6 -2.165 2.217 -2.127 -1.825 6.890 5 COMB6 5.000 6.395 -2.143 -1.825 0.078 5 COMB6 2.102 -2.809 -5.149 -13.388 0.078 5 COMB6 -5.705 -7.035 -8.246 -13.388 6.890 5 COMB7 -2.253 0.961 -1.024 -1.889 13.985 5 COMB7 5.769 6.139 -2.376 -1.889 3.196 5 COMB7 2.049 -3.499 0.927 -13.730 3.196 5 COMB7 -5.955 -8.744 2.279 -13.730 13.985 5 COMB7 -2.114 1.272 -1.117 -1.817 13.745 5 COMB7 5.759 6.163 -2.265 -1.817 3.092 5 COMB8 2.345 -3.281 0.803 -13.510 3.092 5 COMB8 -5.509 -8.238 1.951 -13.510 13.745 5 COMB8 -0.306 38.345 0.701 1.105 57.377 5 COMB8 32.270 46.208 -3.346 1.105 27.106 5 COMB8 25.193 -1.315 3.849 -16.672 27.106 5 COMB8 -2.028 -6.230 7.775 -16.672 57.377 5 COMB9 -8.107 -9.686 -5.013 -17.026 16.174 5 COMB9 1.776 0.218 -6.882 -17.026 0.756 5 COMB9 -6.345 -11.150 -3.509 -48.949 0.756 5 COMB9 -21.562 -24.337 -2.798 -48.949 16.174 5 COMB9 3.174 25.426 0.700 3.020 27.469 5 COMB9 15.555 18.985 -0.228 3.020 7.929 5 COMB10 20.018 4.342 3.609 -10.664 7.929 5 COMB10 8.243 10.831 7.687 -10.664 27.469 GVHD: Th.S. Dƣơng Thanh Quỳnh SVTH : Vũ Trọng Chung - MSSV : 273352 - Lớp 52CB3 231
  • 232.
    ĐỒ ÁN TỐTNGHIỆP Thiết Kế Kỹ Thuật Bến Căn Cứ Đóng Mới Giàn Jacket Độ Sâu . Đến 95.7M Nước Hạ Thủy Bằng Phương Pháp Kéo Trượt 5 COMB10 -6.819 -9.663 -5.809 -5.343 9.593 5 COMB10 1.139 0.222 -6.559 -5.343 -2.097 5 COMB10 -6.337 -11.141 -8.945 -25.490 -2.097 5 COMB10 -14.934 -21.298 -12.624 -25.490 9.593 5 COMB11 -0.387 12.491 0.531 1.045 27.990 5 COMB11 15.687 17.147 -3.575 1.045 8.196 5 COMB11 13.715 -3.188 4.261 -17.005 8.196 5 COMB11 -2.263 -7.911 8.404 -17.005 27.990 5 COMB11 -6.907 -10.919 -4.707 -5.407 16.688 5 COMB11 1.908 -0.034 -6.792 -5.407 1.021 5 COMB12 -6.390 -11.831 -2.869 -25.832 1.021 5 COMB12 -15.184 -23.007 -2.099 -25.832 16.688 5 COMB12 -0.248 12.802 0.439 1.116 27.749 5 COMB12 15.676 17.171 -3.464 1.116 8.091 5 COMB12 14.011 -2.969 4.137 -16.785 8.091 5 COMB12 -1.817 -7.406 8.076 -16.785 27.749 5 COMB13 -6.768 -10.608 -4.799 -5.335 16.448 5 COMB13 1.898 -0.010 -6.681 -5.335 0.916 5 COMB13 -6.094 -11.612 -2.993 -25.611 0.916 5 COMB13 -14.738 -22.502 -2.426 -25.611 16.448 5 COMB13 -2.121 25.870 -1.115 -1.821 43.652 5 COMB13 22.474 34.967 -2.269 -1.821 22.269 5 COMB14 13.770 -2.098 1.043 -13.519 22.269 5 COMB14 -5.523 -8.267 2.040 -13.519 43.652 5 COMB14 -3.402 1.248 -1.591 -13.500 13.751 5 COMB14 5.759 6.159 -2.588 -13.500 3.093 5 COMB14 2.337 -3.289 0.815 -36.970 3.093 5 COMB14 -12.137 -11.277 1.969 -36.970 13.751 5 COMB15 -2.259 25.559 -1.023 -1.893 43.892 5 COMB15 22.485 34.943 -2.380 -1.893 22.373 5 COMB15 13.475 -2.316 1.167 -13.739 22.373 5 COMB15 -5.969 -8.772 2.367 -13.739 43.892 5 COMB15 -3.541 0.937 -1.499 -13.572 13.991 5 COMB15 5.769 6.135 -2.699 -13.572 3.198 GVHD: Th.S. Dƣơng Thanh Quỳnh SVTH : Vũ Trọng Chung - MSSV : 273352 - Lớp 52CB3 232
  • 233.
    ĐỒ ÁN TỐTNGHIỆP Thiết Kế Kỹ Thuật Bến Căn Cứ Đóng Mới Giàn Jacket Độ Sâu . Đến 95.7M Nước Hạ Thủy Bằng Phương Pháp Kéo Trượt 3.Nội lực bản sàn cần trục SHELL LOAD M11 M22 M12 V13 V23 Text Text Ton-m/m Ton-m/m Ton-m/m Ton/m Ton/m 1 COMBHH -6.032 -0.839 3.768 -27.012 -26.749 1 COMBHH 6.227 3.811 4.197 -27.012 -15.439 1 COMBHH -4.385 11.426 7.517 -16.177 -26.749 1 COMBHH 7.399 16.134 6.449 -16.177 -15.439 1 COMBHH -19.762 -26.875 -5.293 -54.184 -55.41 1 COMBHH -11.506 -17.373 -1.756 -54.184 -37.302 1 COMBCT -13.671 -18.411 -0.558 -36.075 -55.41 1 COMBCT -4.995 -9.024 2.899 -36.075 -37.302 1 COMBCT -3.555 -3.019 3.904 -26.494 -27.326 1 COMBCT 8.492 3.25 2.964 -26.494 -16.016 1 COMBCT -3.576 9.475 8.977 -15.659 -27.326 1 COMBCT 8.114 15.684 6.54 -15.659 -16.016 1 COMBNEO -17.285 -29.055 -5.157 -53.666 -55.988 1 COMBNEO -9.24 -17.934 -2.989 -53.666 -37.88 1 COMBNEO -12.862 -20.363 0.903 -35.558 -55.988 1 COMBNEO -4.28 -9.474 2.991 -35.558 -37.88 1 COMBNEO -2.456 -2.075 4.543 -26.178 -26.466 1 COMBNEO 9.529 3.665 3.506 -26.178 -15.334 1 COMB1 -2.634 10.189 9.19 -15.521 -26.466 1 COMB1 8.985 15.876 6.656 -15.521 -15.334 1 COMB1 -16.186 -28.11 -4.518 -53.35 -55.127 1 COMB1 -8.204 -17.519 -2.447 -53.35 -37.197 1 COMB1 -11.921 -19.649 1.115 -35.42 -55.127 1 COMB1 -3.409 -9.282 3.106 -35.42 -37.197 1 COMB2 -3.299 13.425 6.408 -16.261 -20.738 1 COMB2 5.726 15.138 7.555 -16.261 -14.944 1 COMB2 -0.14 24.798 5.866 -10.572 -20.738 1 COMB2 9.335 26.272 7.151 -10.572 -14.944 1 COMB2 -11.847 -15.65 0.088 -36.178 -45.364 1 COMB2 -6.358 -13.025 2.238 -36.178 -39.079 1 COMB3 -7.4 -8.177 1.289 -29.893 -45.364 1 COMB3 -2.479 -5.552 3.439 -29.893 -39.079 1 COMB3 -2.471 12.115 7.358 -15.734 -21.441 1 COMB3 6.37 13.785 8.147 -15.734 -15.641 1 COMB3 0.27 23.722 6.783 -10.038 -21.441 1 COMB3 9.617 25.097 7.709 -10.038 -15.641 GVHD: Th.S. Dƣơng Thanh Quỳnh SVTH : Vũ Trọng Chung - MSSV : 273352 - Lớp 52CB3 233
  • 234.
    ĐỒ ÁN TỐTNGHIỆP Thiết Kế Kỹ Thuật Bến Căn Cứ Đóng Mới Giàn Jacket Độ Sâu . Đến 95.7M Nước Hạ Thủy Bằng Phương Pháp Kéo Trượt 1 COMB4 -11.019 -16.96 1.038 -35.651 -46.067 1 COMB4 -5.715 -14.377 2.83 -35.651 -39.775 1 COMB4 -6.99 -9.253 2.206 -29.358 -46.067 1 COMB5 -2.196 -6.727 3.998 -29.358 -39.775 1 COMB5 -1.567 12.623 7.631 -15.596 -20.618 1 COMB5 7.249 14.036 8.201 -15.596 -14.892 1 COMB6 0.872 23.993 6.85 -9.975 -20.618 1 COMB6 10.185 25.122 7.558 -9.975 -14.892 1 COMB6 -10.115 -16.452 1.31 -35.513 -45.244 1 COMB6 -4.835 -14.127 2.884 -35.513 -39.026 1 COMB6 -6.388 -8.981 2.273 -29.295 -45.244 1 COMB6 -1.629 -6.703 3.847 -29.295 -39.026 1 COMB7 0.594 25.25 7.64 -10.638 -16.248 1 COMB7 9.081 28.302 5.484 -10.638 -12.512 1 COMB7 0.677 34.633 8.948 -6.313 -16.248 1 COMB7 8.587 37.719 6.682 -6.313 -12.512 1 COMB7 -6.416 -7.558 1.911 -29.965 -36.858 1 COMB7 -3.12 -5.38 2.816 -29.965 -33.901 1 COMB8 -5.475 -1.095 2.646 -28.358 -36.858 1 COMB8 -2.37 1.061 3.552 -28.358 -33.901 1 COMB8 1.116 24.468 8.479 -10.108 -17.072 1 COMB8 9.421 27.673 6.117 -10.108 -13.292 1 COMB8 0.978 34.106 9.926 -5.74 -17.072 1 COMB8 8.744 37.306 7.453 -5.74 -13.292 1 COMB9 -5.895 -8.34 2.75 -29.435 -37.682 1 COMB9 -2.78 -6.009 3.449 -29.435 -34.681 1 COMB9 -5.175 -1.622 3.624 -27.785 -37.682 1 COMB9 -2.213 0.648 4.323 -27.785 -34.681 1 COMB9 1.693 24.663 8.437 -10.045 -16.266 1 COMB9 9.986 27.643 6.078 -10.045 -12.538 1 COMB10 1.513 34.072 9.697 -5.729 -16.266 1 COMB10 9.27 37.046 7.228 -5.729 -12.538 1 COMB10 -5.317 -8.145 2.707 -29.372 -36.876 1 COMB10 -2.215 -6.038 3.41 -29.372 -33.927 1 COMB10 -4.639 -1.655 3.395 -27.773 -36.876 1 COMB10 -1.687 0.388 4.098 -27.773 -33.927 1 COMB11 1.032 35.455 7.433 -6.352 -12.67 1 COMB11 8.203 34.622 7.671 -6.352 -9.702 1 COMB11 2.998 42.651 5.918 -1.173 -12.67 1 COMB11 11.229 41.431 6.392 -1.173 -9.702 GVHD: Th.S. Dƣơng Thanh Quỳnh SVTH : Vũ Trọng Chung - MSSV : 273352 - Lớp 52CB3 234
  • 235.
    ĐỒ ÁN TỐTNGHIỆP Thiết Kế Kỹ Thuật Bến Căn Cứ Đóng Mới Giàn Jacket Độ Sâu . Đến 95.7M Nước Hạ Thủy Bằng Phương Pháp Kéo Trượt 1 COMB11 -5.135 -0.65 2.917 -28.366 -28.963 1 COMB11 -3.286 -1.899 3.286 -28.366 -24.622 1 COMB12 -4.558 3.031 2.601 -26.877 -28.963 1 COMB12 -3.275 3.167 2.971 -26.877 -24.622 1 COMB12 1.382 35.138 8.297 -5.78 -13.627 1 COMB12 8.351 34.198 8.556 -5.78 -10.544 1 COMB12 3.408 42.616 6.709 -0.487 -13.627 1 COMB12 11.471 41.254 7.203 -0.487 -10.544 1 COMB13 -4.785 -0.967 3.78 -27.793 -29.919 1 COMB13 -3.138 -2.323 4.171 -27.793 -25.465 1 COMB13 -4.147 2.996 3.392 -26.191 -29.919 1 COMB13 -3.033 2.99 3.782 -26.191 -25.465 1 COMB13 1.915 35.082 8.144 -5.768 -12.822 1 COMB13 8.893 34.03 8.252 -5.768 -9.791 1 COMB14 3.72 42.326 6.466 -0.527 -12.822 1 COMB14 11.782 40.862 6.81 -0.527 -9.791 1 COMB14 -4.252 -1.023 3.628 -27.782 -29.115 1 COMB14 -2.596 -2.491 3.868 -27.782 -24.712 1 COMB14 -3.836 2.706 3.149 -26.231 -29.115 1 COMB14 -2.721 2.598 3.389 -26.231 -24.712 1 COMB15 5.924 5.176 5.536 -21.261 -15.526 1 COMB15 16.805 6.401 5.128 -21.261 -9.482 1 COMB15 8.088 14.493 4.81 -15.838 -15.526 1 COMB15 19.184 15.461 5.676 -15.838 -9.482 1 COMB15 -9.677 -15.841 -0.579 -43.964 -37.446 1 COMB15 -3.269 -11.077 0.996 -43.964 -29.378 2 COMBHH -6.468 -10.475 1.72 -35.897 -37.446 2 COMBHH -0.874 -5.761 2.877 -35.897 -29.378 2 COMBHH 7.483 4.6 4.711 -20.604 -16.114 2 COMBHH 18.144 6.439 4.46 -20.604 -10.096 2 COMBHH 9.84 14.124 4.503 -15.208 -16.114 2 COMBHH 20.776 15.645 5.526 -15.208 -10.096 2 COMBCT -8.118 -16.417 -1.404 -43.308 -38.034 2 COMBCT -1.93 -11.039 0.328 -43.308 -29.993 2 COMBCT -4.716 -10.844 1.413 -35.266 -38.034 2 COMBCT 0.719 -5.577 2.726 -35.266 -29.993 2 COMBCT 8.502 4.994 5.151 -20.449 -15.43 2 COMBCT 19.134 6.551 4.724 -20.449 -9.459 2 COMBNEO 10.618 14.315 4.723 -15.1 -15.43 2 COMBNEO 21.506 15.573 5.569 -15.1 -9.459 GVHD: Th.S. Dƣơng Thanh Quỳnh SVTH : Vũ Trọng Chung - MSSV : 273352 - Lớp 52CB3 235
  • 236.
    ĐỒ ÁN TỐTNGHIỆP Thiết Kế Kỹ Thuật Bến Căn Cứ Đóng Mới Giàn Jacket Độ Sâu . Đến 95.7M Nước Hạ Thủy Bằng Phương Pháp Kéo Trượt 2 COMBNEO -7.099 -16.023 -0.963 -43.153 -37.35 2 COMBNEO -0.94 -10.927 0.592 -43.153 -29.356 2 COMBNEO -3.938 -10.654 1.633 -35.158 -37.35 2 COMBNEO 1.449 -5.649 2.77 -35.158 -29.356 2 COMB1 8.887 15.382 6.085 -15.911 -14.996 2 COMB1 18.148 19.711 4.846 -15.911 -9.707 2 COMB1 7.299 25.197 8.505 -10.988 -14.996 2 COMB1 16.604 29.604 6.399 -10.988 -9.707 2 COMB1 -5.814 -12.142 2.283 -36.006 -39.108 2 COMB1 -1.83 -9.399 1.605 -36.006 -32.565 2 COMB2 -5.12 -6.651 3.387 -29.463 -39.108 2 COMB2 -1.134 -3.956 3.828 -29.463 -32.565 2 COMB2 10.538 14.151 6.233 -15.287 -15.685 2 COMB2 19.589 19.498 4.24 -15.287 -10.4 2 COMB2 8.059 24.197 9.507 -10.368 -15.685 2 COMB2 17.209 29.565 6.648 -10.368 -10.4 2 COMB3 -4.162 -13.373 2.43 -35.382 -39.796 2 COMB3 -0.389 -9.613 0.999 -35.382 -33.258 2 COMB3 -4.36 -7.651 4.389 -28.843 -39.796 2 COMB3 -0.529 -3.995 4.076 -28.843 -33.258 2 COMB3 11.305 14.405 6.342 -15.178 -14.939 2 COMB3 20.331 19.365 4.398 -15.178 -9.702 2 COMB4 8.841 24.238 9.3 -10.307 -14.939 2 COMB4 17.966 29.221 6.489 -10.307 -9.702 2 COMB4 -3.395 -13.119 2.54 -35.272 -39.05 2 COMB5 0.353 -9.745 1.157 -35.272 -32.561 2 COMB5 -3.577 -7.61 4.182 -28.782 -39.05 2 COMB5 0.228 -4.339 3.917 -28.782 -32.561 2 COMB6 7.99 28.314 6.765 -11.02 -12.553 2 COMB6 15.991 27.374 7.877 -11.02 -8.863 2 COMB6 10.731 37.212 4.889 -7.056 -12.553 2 COMB6 18.981 35.917 5.927 -7.056 -8.863 2 COMB6 -4.416 -4.862 3.434 -29.489 -33.967 2 COMB6 -1.803 -6.027 3.777 -29.489 -29.804 2 COMB7 -3.515 0.143 2.928 -26.429 -33.967 2 COMB7 -0.813 -1.058 3.271 -26.429 -29.804 2 COMB7 8.783 27.774 7.418 -10.396 -13.332 2 COMB7 16.574 26.933 8.472 -10.396 -9.618 2 COMB7 11.477 36.92 5.637 -6.407 -13.332 2 COMB7 19.562 35.679 6.618 -6.407 -9.618 GVHD: Th.S. Dƣơng Thanh Quỳnh SVTH : Vũ Trọng Chung - MSSV : 273352 - Lớp 52CB3 236
  • 237.
    ĐỒ ÁN TỐTNGHIỆP Thiết Kế Kỹ Thuật Bến Căn Cứ Đóng Mới Giàn Jacket Độ Sâu . Đến 95.7M Nước Hạ Thủy Bằng Phương Pháp Kéo Trượt 2 COMB8 -3.622 -5.403 4.087 -28.864 -34.746 2 COMB8 -1.219 -6.468 4.372 -28.864 -30.559 2 COMB8 -2.769 -0.15 3.677 -25.78 -34.746 2 COMB8 -0.233 -1.296 3.962 -25.78 -30.559 2 COMB8 9.563 27.754 7.357 -10.335 -12.575 2 COMB8 17.35 26.738 8.164 -10.335 -8.904 2 COMB9 11.925 36.677 5.438 -6.389 -12.575 2 COMB9 19.992 35.275 6.172 -6.389 -8.904 2 COMB9 -2.842 -5.423 4.026 -28.804 -33.989 2 COMB9 -0.443 -6.663 4.065 -28.804 -29.845 2 COMB9 -2.321 -0.392 3.477 -25.763 -33.989 2 COMB9 0.197 -1.7 3.516 -25.763 -29.845 2 COMB10 11.152 35.077 6.671 -7.116 -9.732 2 COMB10 18.654 37.591 4.606 -7.116 -7.345 2 COMB10 9.227 41.247 7.508 -4.619 -9.732 2 COMB10 16.692 43.896 5.766 -4.619 -7.345 2 COMB10 -3.064 -1.148 3.078 -26.481 -24.639 2 COMB10 -1.323 0.107 2.968 -26.481 -22.052 2 COMB11 -2.626 2.734 3.184 -24.593 -24.639 2 COMB11 -0.917 3.456 3.222 -24.593 -22.052 2 COMB11 11.908 34.74 7.501 -6.469 -10.571 2 COMB11 19.2 37.27 5.211 -6.469 -8.131 2 COMB11 9.749 41.161 8.375 -3.919 -10.571 2 COMB11 17.027 43.802 6.408 -3.919 -8.131 2 COMB12 -2.308 -1.485 3.908 -25.834 -25.479 2 COMB12 -0.778 -0.214 3.574 -25.834 -22.838 2 COMB12 -2.105 2.648 4.051 -23.893 -25.479 2 COMB12 -0.582 3.362 3.864 -23.893 -22.838 2 COMB12 12.372 34.569 7.176 -6.451 -9.819 2 COMB12 19.664 37.045 4.894 -6.451 -7.431 2 COMB13 10.177 40.779 8.001 -3.953 -9.819 2 COMB13 17.461 43.36 6.042 -3.953 -7.431 2 COMB13 -1.844 -1.656 3.583 -25.817 -24.727 2 COMB13 -0.314 -0.44 3.257 -25.817 -22.138 2 COMB13 -1.676 2.267 3.677 -23.927 -24.727 2 COMB13 -0.148 2.92 3.499 -23.927 -22.138 2 COMB14 16.215 6.521 4.639 -16.968 -9.538 2 COMB14 25.514 14.507 6.199 -16.968 -4.938 2 COMB14 15.203 14.342 7.454 -13.592 -9.538 2 COMB14 24.522 22.376 5.94 -13.592 -4.938 GVHD: Th.S. Dƣơng Thanh Quỳnh SVTH : Vũ Trọng Chung - MSSV : 273352 - Lớp 52CB3 237
  • 238.
    ĐỒ ÁN TỐTNGHIỆP Thiết Kế Kỹ Thuật Bến Căn Cứ Đóng Mới Giàn Jacket Độ Sâu . Đến 95.7M Nước Hạ Thủy Bằng Phương Pháp Kéo Trượt 2 COMB14 -3.076 -10.222 0.009 -36.065 -29.429 2 COMB14 1.541 -9.265 -2.003 -36.065 -25.197 2 COMB15 -2.183 -6.683 2.659 -31.266 -29.429 2 COMB15 2.442 -5.751 2.528 -31.266 -25.197 2 COMB15 17.208 6.401 3.895 -16.175 -10.144 2 COMB15 26.264 15.171 5.193 -16.175 -5.628 2 COMB15 15.896 14.435 7.381 -12.883 -10.144 2 COMB15 25.017 23.208 5.604 -12.883 -5.628 3 COMBHH -2.083 -10.342 -0.734 -35.272 -30.035 3 COMBHH 2.291 -8.602 -3.009 -35.272 -25.887 3 COMBHH -1.49 -6.59 2.587 -30.558 -30.035 3 COMBHH 2.937 -4.919 2.192 -30.558 -25.887 3 COMBHH 18.208 6.551 4.307 -16.164 -9.51 3 COMBHH 27.257 14.694 5.668 -16.164 -4.95 3 COMBCT 16.936 14.389 7.275 -12.827 -9.51 3 COMBCT 26.043 22.541 5.561 -12.827 -4.95 3 COMBCT -1.083 -10.192 -0.322 -35.26 -29.401 3 COMBCT 3.284 -9.079 -2.534 -35.26 -25.209 3 COMBCT -0.45 -6.636 2.48 -30.502 -29.401 3 COMBCT 3.964 -5.586 2.149 -30.502 -25.209 3 COMBNEO 15.772 20.118 5.99 -13.606 -9.756 3 COMBNEO 23.88 20.731 6.839 -13.606 -5.586 3 COMBNEO 18.529 29.032 5.088 -10.252 -9.756 3 COMBNEO 26.89 29.276 5.995 -10.252 -5.586 3 COMBNEO -1.822 -8.643 2.686 -31.289 -32.65 3 COMBNEO 1.693 -8.77 2.754 -31.289 -28.22 3 COMB1 -1.829 -4.848 2.867 -26.756 -32.65 3 COMB1 1.754 -4.961 2.759 -26.756 -28.22 3 COMB1 16.406 19.86 5.517 -12.899 -10.459 3 COMB1 24.285 21.167 6.905 -12.899 -6.331 3 COMB1 19.825 29.014 5.204 -9.586 -10.459 3 COMB1 28.011 29.897 6.65 -9.586 -6.331 3 COMB2 -1.188 -8.901 2.213 -30.582 -33.353 3 COMB2 2.097 -8.334 2.82 -30.582 -28.964 3 COMB2 -0.533 -4.867 2.984 -26.09 -33.353 3 COMB2 2.875 -4.34 3.415 -26.09 -28.964 3 COMB2 17.451 19.733 5.665 -12.845 -9.757 3 COMB2 25.324 20.672 6.603 -12.845 -5.617 3 COMB3 20.3 28.669 5.058 -9.521 -9.757 3 COMB3 28.457 29.205 6.053 -9.521 -5.617 GVHD: Th.S. Dƣơng Thanh Quỳnh SVTH : Vũ Trọng Chung - MSSV : 273352 - Lớp 52CB3 238
  • 239.
    ĐỒ ÁN TỐTNGHIỆP Thiết Kế Kỹ Thuật Bến Căn Cứ Đóng Mới Giàn Jacket Độ Sâu . Đến 95.7M Nước Hạ Thủy Bằng Phương Pháp Kéo Trượt 3 COMB3 -0.142 -9.027 2.362 -30.528 -32.651 3 COMB3 3.137 -8.829 2.518 -30.528 -28.251 3 COMB3 -0.059 -5.212 2.837 -26.024 -32.651 3 COMB3 3.321 -5.032 2.817 -26.024 -28.251 3 COMB4 18.958 27.763 6.419 -10.308 -8.896 3 COMB4 26.343 30.038 4.08 -10.308 -5.868 3 COMB4 16.948 35.598 7.685 -7.367 -8.896 3 COMB5 24.275 38.045 5.42 -7.367 -5.868 3 COMB5 -1.298 -5.448 3.271 -26.837 -29.813 3 COMB5 1.312 -3.12 2.391 -26.837 -26.31 3 COMB6 -1.554 -1.697 3.778 -23.993 -29.813 3 COMB6 1.032 0.601 3.269 -23.993 -26.31 3 COMB6 20.157 27.392 6.975 -9.639 -9.646 3 COMB6 27.329 29.852 4.291 -9.639 -6.604 3 COMB6 17.762 35.459 8.418 -6.684 -9.646 3 COMB6 24.904 38.065 5.807 -6.684 -6.604 3 COMB7 -0.1 -5.818 3.827 -26.169 -30.563 3 COMB7 2.299 -3.305 2.602 -26.169 -27.045 3 COMB7 -0.74 -1.836 4.511 -23.309 -30.563 3 COMB7 1.661 0.621 3.656 -23.309 -27.045 3 COMB7 20.685 27.176 6.598 -9.577 -8.935 3 COMB7 27.841 29.634 3.93 -9.577 -5.924 3 COMB8 18.267 35.042 8.038 -6.654 -8.935 3 COMB8 25.398 37.638 5.444 -6.654 -5.924 3 COMB8 0.429 -6.035 3.45 -26.106 -29.851 3 COMB8 2.811 -3.523 2.241 -26.106 -26.366 3 COMB8 -0.235 -2.254 4.131 -23.279 -29.851 3 COMB8 2.155 0.194 3.293 -23.279 -26.366 3 COMB9 17.365 37.799 6.295 -7.378 -7.371 3 COMB9 23.916 36.032 6.875 -7.378 -5.236 3 COMB9 19.279 43.761 3.975 -5.237 -7.371 3 COMB9 26.136 41.557 4.436 -5.237 -5.236 3 COMB9 -1.117 0.577 3.582 -24.003 -22.102 3 COMB9 0.68 -1.117 3.469 -24.003 -19.564 3 COMB10 -0.925 3.148 2.481 -21.978 -22.102 3 COMB10 0.987 2.203 2.634 -21.978 -19.564 3 COMB10 18.168 37.544 6.868 -6.696 -8.159 3 COMB10 24.497 35.871 7.422 -6.696 -5.98 3 COMB10 20.082 43.746 4.648 -4.512 -8.159 3 COMB10 26.747 41.607 5.085 -4.512 -5.98 GVHD: Th.S. Dƣơng Thanh Quỳnh SVTH : Vũ Trọng Chung - MSSV : 273352 - Lớp 52CB3 239
  • 240.
    ĐỒ ÁN TỐTNGHIỆP Thiết Kế Kỹ Thuật Bến Căn Cứ Đóng Mới Giàn Jacket Độ Sâu . Đến 95.7M Nước Hạ Thủy Bằng Phương Pháp Kéo Trượt 3 COMB11 -0.314 0.321 4.154 -23.321 -22.89 3 COMB11 1.261 -1.277 4.017 -23.321 -20.309 3 COMB11 -0.122 3.133 3.154 -21.253 -22.89 3 COMB11 1.599 2.252 3.283 -21.253 -20.309 3 COMB11 18.694 37.308 6.564 -6.665 -7.457 3 COMB11 25.026 35.544 6.98 -6.665 -5.324 3 COMB12 20.407 43.305 4.273 -4.527 -7.457 3 COMB12 27.065 41.085 4.571 -4.527 -5.324 3 COMB12 0.212 0.086 3.851 -23.29 -22.187 3 COMB12 1.79 -1.605 3.575 -23.29 -19.652 3 COMB12 0.203 2.692 2.779 -21.268 -22.187 3 COMB12 1.916 1.73 2.769 -21.268 -19.652 3 COMB13 24.671 15.031 8.472 -13.466 -4.981 3 COMB13 32.187 22.198 5.799 -13.466 0.856 3 COMB13 26.245 22.639 3.788 -11.002 -4.981 3 COMB13 34.022 29.348 5.429 -11.002 0.856 3 COMB13 1.54 -8.962 -1.841 -29.324 -25.263 3 COMB13 5.281 -13.721 -1.14 -29.324 -24.934 3 COMB14 0.675 -7.105 2.309 -25.793 -25.263 3 COMB14 4.431 -11.704 1.028 -25.793 -24.934 3 COMB14 25.044 15.691 7.153 -12.513 -5.678 3 COMB14 32.284 24.395 5.347 -12.513 -0.126 3 COMB14 27.669 23.584 3.758 -10.334 -5.678 3 COMB14 35.246 31.754 6.266 -10.334 -0.126 3 COMB15 1.914 -8.302 -3.16 -28.37 -25.959 3 COMB15 5.378 -11.524 -1.592 -28.37 -25.917 3 COMB15 2.099 -6.16 2.28 -25.125 -25.959 3 COMB15 5.655 -9.298 1.864 -25.125 -25.917 3 COMB15 26.148 15.189 7.821 -12.662 -4.996 3 COMB15 33.415 22.795 5.372 -12.662 0.818 4 COMBHH 27.975 22.821 3.528 -10.222 -4.996 4 COMBHH 35.537 29.936 5.393 -10.222 0.818 4 COMBHH 3.018 -8.805 -2.492 -28.52 -25.277 4 COMBHH 6.508 -13.124 -1.567 -28.52 -24.973 4 COMBHH 2.405 -6.923 2.05 -25.013 -25.277 4 COMBHH 5.945 -11.117 0.991 -25.013 -24.973 4 COMBCT 26.218 21.216 6.396 -11.043 -5.627 4 COMBCT 33.182 22.493 2.958 -11.043 -3.006 4 COMBCT 24.16 29.096 6.541 -8.851 -5.627 4 COMBCT 31.025 30.601 5.266 -8.851 -3.006 GVHD: Th.S. Dƣơng Thanh Quỳnh SVTH : Vũ Trọng Chung - MSSV : 273352 - Lớp 52CB3 240
  • 241.
    ĐỒ ÁN TỐTNGHIỆP Thiết Kế Kỹ Thuật Bến Căn Cứ Đóng Mới Giàn Jacket Độ Sâu . Đến 95.7M Nước Hạ Thủy Bằng Phương Pháp Kéo Trượt 4 COMBCT 1.094 -8.573 2.148 -25.857 -28.182 4 COMBCT 4.056 -4.412 0.933 -25.857 -26.201 4 COMBNEO 0.571 -5.905 3.365 -22.892 -28.182 4 COMBNEO 3.513 -1.809 1.427 -22.892 -26.201 4 COMBNEO 27.374 21.695 6.877 -10.36 -6.361 4 COMBNEO 34.132 22.659 3.272 -10.36 -3.748 4 COMBNEO 25.153 29.798 6.789 -8.175 -6.361 4 COMBNEO 31.824 30.978 5.348 -8.175 -3.748 4 COMB1 2.25 -8.094 2.629 -25.174 -28.916 4 COMB1 5.006 -4.245 1.247 -25.174 -26.943 4 COMB1 1.564 -5.202 3.613 -22.216 -28.916 4 COMB1 4.313 -1.432 1.509 -22.216 -26.943 4 COMB1 27.863 21.148 6.32 -10.26 -5.653 4 COMB1 34.588 22.365 2.737 -10.26 -3.055 4 COMB2 25.621 29.052 6.441 -8.09 -5.653 4 COMB2 32.272 30.471 5.022 -8.09 -3.055 4 COMB2 2.74 -8.641 2.072 -25.074 -28.208 4 COMB2 5.461 -4.54 0.712 -25.074 -26.25 4 COMB2 2.032 -5.948 3.265 -22.131 -28.208 4 COMB2 4.76 -1.939 1.183 -22.131 -26.25 4 COMB3 24.52 30.262 5.558 -8.856 -5.902 4 COMB3 30.665 29.783 5.31 -8.856 -3.681 4 COMB3 25.974 37.782 3.936 -6.747 -5.902 4 COMB3 32.405 36.887 3.729 -6.747 -3.681 4 COMB3 0.976 -2.699 2.974 -22.915 -26.367 4 COMB3 3.225 -4.014 2.761 -22.915 -23.956 4 COMB4 0.874 0.105 2.62 -20.77 -26.367 4 COMB4 3.212 -1.225 2.366 -20.77 -23.956 4 COMB4 25.42 30.092 5.695 -8.187 -6.64 4 COMB5 31.346 29.977 5.507 -8.187 -4.394 4 COMB5 26.971 37.843 4.394 -6.052 -6.64 4 COMB5 33.22 37.276 4.248 -6.052 -4.394 4 COMB6 1.876 -2.87 3.111 -22.246 -27.105 4 COMB6 3.907 -3.82 2.958 -22.246 -24.668 4 COMB6 1.871 0.166 3.079 -20.075 -27.105 4 COMB6 4.027 -0.836 2.885 -20.075 -24.668 4 COMB6 25.943 29.858 5.412 -8.098 -5.959 4 COMB6 31.856 29.546 5.111 -8.098 -3.749 4 COMB7 27.326 37.407 3.957 -5.999 -5.959 4 COMB7 33.547 36.657 3.697 -5.999 -3.749 GVHD: Th.S. Dƣơng Thanh Quỳnh SVTH : Vũ Trọng Chung - MSSV : 273352 - Lớp 52CB3 241
  • 242.
    ĐỒ ÁN TỐTNGHIỆP Thiết Kế Kỹ Thuật Bến Căn Cứ Đóng Mới Giàn Jacket Độ Sâu . Đến 95.7M Nước Hạ Thủy Bằng Phương Pháp Kéo Trượt 4 COMB7 2.4 -3.104 2.828 -22.157 -26.424 4 COMB7 4.416 -4.251 2.562 -22.157 -24.023 4 COMB7 2.226 -0.27 2.641 -20.022 -26.424 4 COMB7 4.354 -1.455 2.334 -20.022 -24.023 4 COMB8 26.305 36.228 4.816 -6.787 -5.254 4 COMB8 32.158 38.837 3.283 -6.787 -3.555 4 COMB8 24.246 41.363 6.573 -5.123 -5.254 4 COMB8 29.957 44.228 4.329 -5.123 -3.555 4 COMB8 1.225 -0.738 2.916 -20.813 -19.558 4 COMB8 3.001 0.777 1.548 -20.813 -17.465 4 COMB9 0.643 1.928 3.195 -19.097 -19.558 4 COMB9 2.369 3.322 2.537 -19.097 -17.465 4 COMB9 27.253 36.117 5.391 -6.091 -5.996 4 COMB9 32.891 38.748 3.681 -6.091 -4.261 4 COMB9 25.02 41.469 7.198 -4.39 -5.996 4 COMB9 30.525 44.348 4.778 -4.39 -4.261 4 COMB10 2.173 -0.85 3.491 -20.117 -20.3 4 COMB10 3.734 0.688 1.946 -20.117 -18.171 4 COMB10 1.416 2.034 3.82 -18.364 -20.3 4 COMB10 2.937 3.442 2.985 -18.364 -18.171 4 COMB10 27.642 35.772 4.898 -6.04 -5.341 4 COMB10 33.265 38.44 3.191 -6.04 -3.646 4 COMB11 25.37 40.944 6.731 -4.379 -5.341 4 COMB11 30.873 43.847 4.314 -4.379 -3.646 4 COMB11 2.563 -1.194 2.997 -20.066 -19.645 4 COMB11 4.108 0.38 1.456 -20.066 -17.555 4 COMB11 1.767 1.509 3.353 -18.353 -19.645 4 COMB11 3.285 2.941 2.522 -18.353 -17.555 4 COMB12 3.445 43.025 6.985 -1.203 -7.586 4 COMB12 11.201 43.314 5.368 -1.203 -6.956 4 COMB12 2.308 46.792 6.688 -2.682 -7.586 4 COMB12 8.848 47.198 4.857 -2.682 -6.956 4 COMB12 -4.101 3.052 2.72 -26.91 -15.331 4 COMB12 -3.507 3.123 2.845 -26.91 -15.911 4 COMB13 -4.144 5.183 2.263 -25.822 -15.331 4 COMB13 -2.389 5.266 2.558 -25.822 -15.911 4 COMB13 3.857 42.8 7.859 -0.52 -8.515 4 COMB13 11.397 43.103 6.093 -0.52 -7.846 4 COMB13 2.584 46.845 7.6 -1.96 -8.515 4 COMB13 8.928 47.245 5.619 -1.96 -7.846 GVHD: Th.S. Dƣơng Thanh Quỳnh SVTH : Vũ Trọng Chung - MSSV : 273352 - Lớp 52CB3 242
  • 243.
    ĐỒ ÁN TỐTNGHIỆP Thiết Kế Kỹ Thuật Bến Căn Cứ Đóng Mới Giàn Jacket Độ Sâu . Đến 95.7M Nước Hạ Thủy Bằng Phương Pháp Kéo Trượt 4 COMB14 -3.689 2.827 3.595 -26.228 -16.261 4 COMB14 -3.311 2.912 3.569 -26.228 -16.801 4 COMB14 -3.868 5.236 3.176 -25.1 -16.261 4 COMB14 -2.31 5.313 3.321 -25.1 -16.801 4 COMB14 4.178 42.599 7.527 -0.56 -7.696 4 COMB14 11.739 42.825 5.792 -0.56 -7.104 4 COMB15 2.896 46.416 7.199 -2.075 -7.696 4 COMB15 9.264 46.735 5.25 -2.075 -7.104 4 COMB15 -3.368 2.625 3.262 -26.267 -15.442 4 COMB15 -2.969 2.634 3.269 -26.267 -16.059 4 COMB15 -3.556 4.807 2.775 -25.216 -15.442 4 COMB15 -1.973 4.803 2.951 -25.216 -16.059 5 COMBHH 2.376 47.656 4.207 -2.682 -4.18 5 COMBHH 8.658 48.194 6.781 -2.682 -3.599 5 COMBHH 4.382 49.518 3.479 -2.592 -4.18 5 COMBHH 12.047 49.628 6.315 -2.592 -3.599 5 COMBHH -4.017 5.05 1.398 -25.829 -8.898 5 COMBHH -2.248 4.885 2.658 -25.829 -8.471 5 COMBCT -1.523 6.43 0.785 -25.239 -8.898 5 COMBCT -0.675 6.212 2.174 -25.239 -8.471 5 COMBCT 2.675 47.742 5.038 -1.962 -5.28 5 COMBCT 8.71 48.179 7.626 -1.962 -4.514 5 COMBCT 4.748 49.909 4.259 -1.687 -5.28 5 COMBCT 12.183 49.901 7.108 -1.687 -4.514 5 COMBNEO -3.718 5.135 2.229 -25.109 -9.998 5 COMBNEO -2.197 4.871 3.502 -25.109 -9.387 5 COMBNEO -1.157 6.821 1.565 -24.335 -9.998 5 COMBNEO -0.539 6.485 2.968 -24.335 -9.387 5 COMBNEO 2.98 47.35 4.705 -2.076 -4.431 5 COMBNEO 9.071 47.722 7.185 -2.076 -3.797 5 COMB1 4.881 49.284 3.865 -1.933 -4.431 5 COMB1 12.366 49.217 6.607 -1.933 -3.797 5 COMB1 -3.414 4.744 1.896 -25.223 -9.149 5 COMB1 -1.836 4.414 3.062 -25.223 -8.67 5 COMB1 -1.024 6.195 1.171 -24.581 -9.149 5 COMB1 -0.357 5.801 2.466 -24.581 -8.67 5 COMB2 4.645 51.667 7.62 -2.594 3.53 5 COMB2 12.004 48.838 2.272 -2.594 3.242 5 COMB2 2.444 51.29 5.073 -2.081 3.53 5 COMB2 7.376 48.326 0.923 -2.081 3.242 GVHD: Th.S. Dƣơng Thanh Quỳnh SVTH : Vũ Trọng Chung - MSSV : 273352 - Lớp 52CB3 243
  • 244.
    ĐỒ ÁN TỐTNGHIỆP Thiết Kế Kỹ Thuật Bến Căn Cứ Đóng Mới Giàn Jacket Độ Sâu . Đến 95.7M Nước Hạ Thủy Bằng Phương Pháp Kéo Trượt 5 COMB2 -1.414 6.443 2.561 -25.238 -6.789 5 COMB2 -0.763 6.008 0.369 -25.238 -5.715 5 COMB3 -7.035 7.101 1.148 -25.356 -6.789 5 COMB3 -3.772 6.632 -2.683 -25.356 -5.715 5 COMB3 5.057 52.056 8.465 -1.694 2.214 5 COMB3 12.083 49.057 2.998 -1.694 2.374 5 COMB3 2.775 52.002 5.829 -0.733 2.214 5 COMB3 7.378 48.863 1.56 -0.733 2.374 5 COMB4 -1.002 6.831 3.406 -24.338 -8.106 5 COMB4 -0.684 6.227 1.095 -24.338 -6.583 5 COMB4 -6.704 7.814 1.905 -24.008 -8.106 5 COMB5 -3.769 7.169 -2.046 -24.008 -6.583 5 COMB5 5.175 51.458 7.961 -1.938 3.126 5 COMB5 12.314 48.509 2.608 -1.938 3.003 5 COMB6 2.983 51.179 5.347 -1.26 3.126 5 COMB6 7.701 48.088 1.192 -1.26 3.003 5 COMB6 -0.884 6.234 2.902 -24.583 -7.193 5 COMB6 -0.454 5.679 0.705 -24.583 -5.953 5 COMB6 -6.496 6.99 1.423 -24.535 -7.193 5 COMB6 -3.447 6.394 -2.414 -24.535 -5.953 5 COMB7 2.216 56.122 12.482 -2.033 11.523 5 COMB7 6.56 29.27 -0.753 -2.033 2.544 5 COMB7 -3.303 55.166 -0.209 0.101 11.523 5 COMB7 -1.35 27.05 -4.386 0.101 2.544 5 COMB7 -8.431 7.41 2.912 -25.189 -4.986 5 COMB7 -4.586 3.555 -10.559 -25.189 -1.877 5 COMB8 -33.454 7.508 -13.101 -34.168 -4.986 5 COMB8 -25.879 3.473 -34.716 -34.168 -1.877 5 COMB8 2.65 56.897 13.345 -0.692 9.843 5 COMB8 6.391 29.402 -0.221 -0.692 2.242 5 COMB8 -3.214 56.239 0.212 2.82 9.843 5 COMB8 -1.852 27.467 -4.297 2.82 2.242 5 COMB9 -7.998 8.186 3.775 -23.848 -6.666 5 COMB9 -4.754 3.687 -10.028 -23.848 -2.179 5 COMB9 -33.365 8.581 -12.681 -31.45 -6.666 5 COMB9 -26.382 3.89 -34.626 -31.45 -2.179 5 COMB9 2.81 56.03 12.714 -1.216 10.911 5 COMB9 6.838 29.052 -0.443 -1.216 2.458 5 COMB10 -2.594 55.174 -0.026 1.444 10.911 5 COMB10 -0.961 26.937 -4.127 1.444 2.458 GVHD: Th.S. Dƣơng Thanh Quỳnh SVTH : Vũ Trọng Chung - MSSV : 273352 - Lớp 52CB3 244
  • 245.
    ĐỒ ÁN TỐTNGHIỆP Thiết Kế Kỹ Thuật Bến Căn Cứ Đóng Mới Giàn Jacket Độ Sâu . Đến 95.7M Nước Hạ Thủy Bằng Phương Pháp Kéo Trượt 5 COMB10 -7.838 7.318 3.145 -24.373 -5.597 5 COMB10 -4.307 3.337 -10.25 -24.373 -1.962 5 COMB10 -32.745 7.516 -12.919 -32.826 -5.597 5 COMB10 -25.49 3.36 -34.456 -32.826 -1.962 5 COMB11 9.519 43.399 6.251 -4.628 -6.968 5 COMB11 16.393 41.697 7.091 -4.628 -5.52 5 COMB11 11.76 47.468 3.898 -3.244 -6.968 5 COMB11 18.952 45.313 4.739 -3.244 -5.52 5 COMB11 -2.323 3.265 3.137 -24.584 -15.932 5 COMB11 -1.236 2.7 3.277 -24.584 -14.158 5 COMB12 -2.171 5.121 2.254 -23.26 -15.932 5 COMB12 -0.944 4.516 2.367 -23.26 -14.158 5 COMB12 10.05 43.27 7 -3.93 -7.86 5 COMB12 16.694 41.522 7.851 -3.93 -6.328 5 COMB12 12.34 47.601 4.635 -2.463 -7.86 5 COMB12 19.327 45.375 5.485 -2.463 -6.328 5 COMB13 -1.792 3.136 3.887 -23.886 -16.823 5 COMB13 -0.935 2.524 4.036 -23.886 -14.966 5 COMB13 -1.591 5.254 2.991 -22.478 -16.823 5 COMB13 -0.569 4.578 3.114 -22.478 -14.966 5 COMB13 10.489 42.984 6.691 -3.963 -7.115 5 COMB13 17.156 41.177 7.418 -3.963 -5.65 5 COMB14 12.593 47.102 4.276 -2.563 -7.115 5 COMB14 19.596 44.825 5.004 -2.563 -5.65 5 COMB14 -1.354 2.851 3.578 -23.92 -16.079 5 COMB14 -0.472 2.179 3.604 -23.92 -14.288 5 COMB14 -1.337 4.754 2.633 -22.578 -16.079 5 COMB14 -0.3 4.028 2.633 -22.578 -14.288 5 COMB15 12.118 47.569 6.736 -3.264 -3.535 5 COMB15 18.838 47.814 2.779 -3.264 -2.137 5 COMB15 6.505 49.015 6.321 -2.763 -3.535 5 COMB15 13.151 49.41 1.869 -2.763 -2.137 5 COMB15 -1.898 4.89 2.663 -23.307 -8.454 5 COMB15 -0.996 4.719 -0.111 -23.307 -7.851 GVHD: Th.S. Dƣơng Thanh Quỳnh SVTH : Vũ Trọng Chung - MSSV : 273352 - Lớp 52CB3 245
  • 246.
    ĐỒ ÁN TỐTNGHIỆP Thiết Kế Kỹ Thuật Bến Căn Cứ Đóng Mới Giàn Jacket Độ Sâu . Đến 95.7M Nước Hạ Thủy Bằng Phương Pháp Kéo Trượt DANH MỤC BẢN VẼ : 1. Quy hoạch căn cứ bến 2. Quy trình hạ thủy khối chân đế 3. Mặt bằng căn cứ bến 4. Mặt đứng bến 5. Mặt cắt bến và đƣờng trƣợt 6. Măt bằng cọc 7. Cấu tạo cọc 400x400 8. Bố trí thép cọc D1000 và đƣờng trƣợt biên 9. Bố trí thép bản phân đoạn 1 và phân đoạn 2 10. Bố trí thép bản phân đoạn 1 và phân đoạn 2 11. Bố trí thép dầm phân đoạn 1 12. Bố trí thép dầm phân đoạn 2 13. Bố trí cốt thép trụ va, vòi voi và tƣờng góc 14. Chi tiết bích neo và đệm va tàu 15. Thi công bƣớc 1 và bƣớc 2 16. Thi công từ bƣớc 3 tới bƣớc 5 17. Thi công từ bƣớc 6 tới bƣớc 9 18. Quy trình thi công GVHD: Th.S. Dƣơng Thanh Quỳnh SVTH : Vũ Trọng Chung - MSSV : 273352 - Lớp 52CB3 246
  • 247.
    ĐỒ ÁN TỐTNGHIỆP Thiết Kế Kỹ Thuật Bến Căn Cứ Đóng Mới Giàn Jacket Độ Sâu . Đến 95.7M Nước Hạ Thủy Bằng Phương Pháp Kéo Trượt GVHD: Th.S. Dƣơng Thanh Quỳnh SVTH : Vũ Trọng Chung - MSSV : 273352 - Lớp 52CB3 247