1
Tabel Harga Kritis t
Tingkat Signifikansi untuk tes satu sisi
df 0,100 0,050
Tingkat Signifikansi untuk tes dua sisi
0,200 0,100
1 3,078 6,314
2 1,886 2,920
3 1,638 2,353
4 1,533 2,132
5 1,476 2,015
Tabel Distribusi Normal
Z 0,00 0,01 0,02 0,03
0,0 0,5000 0,4960 0,4920 0,4880
0,1 0,4602 0,4562 0,4522 0,4483
0,2 0,4207 0,4168 0,4129 0,4090
0,3 0,3821 0,3783 0,3745 0,3707
0,4 0,3446 0,3409 0,3372 0,3336
0,5 0,3085 0,3050 0,3015 0,2981
0,6 0,2743 0,2709 0,2676 0,2643
0,7 0,2420 0,2389 0,2358 0,2327
0,8 0,2119 0,2090 0,2061 0,2033
0,9 0,1841 0,1814 0,1788 0,1762
1,0 0,1587 0,1562 0,1539 0,1515
1,1 0,1357 0,1335 0,1314 0,1292
1,2 0,1151 0,1131 0,1112 0,1093
1,3 0,0968 0,0951 0,0934 0,0918
1,4 0,0808 0,0793 0,0778 0,0764
1,5 0,0668 0,0655 0,0643 0,0630
Tabel Harga Kritis Korelasi Moment Product Pearson ( r
Tingkat Signifikansi untuk tes
df 0,050
Tingkat Signifikansi untuk tes
0,100
1 0,988
2 0,900
3 0,805
4 0,729
5 0,669
6 0,622
7 0,582
8 0,549
9 0,521
10 0,497
11 0,476
12 0,458
13 0,441N α = 0,10 α = 0,05 α = 0,025
d=0,10 d=0,05 d=0,01 d=0,10 d=0,05 d=0,01 d=0,10 d=0,05
4.200 41 158 2.074 67 256 2.597 94 352
4.300 41 158 2.098 67 256 2.635 94 353
4.400 41 158 2.121 67 256 2.672 94 353
4.500 41 158 2.144 67 257 2.709 94 354
4.600 41 158 2.167 67 257 2.745 94 355
4.700 41 158 2.189 67 257 2.780 94 355
4.800 41 158 2.210 67 258 2.815 94 356
Tabel Angka Random
14620
09742
56919
97310
07585
95430
85125
17803
78209
28040
12951
48477
95781
51263
26939
81953
42783
85069
52396
64531
17629
70473
61594
82681
70570
25950
82973
60819
59041
74208
85189
16405
27364
38475
69516
69374
81497
59081
03615
79530
37904
20863
72635
84093
47649
06759
94072
49180
49731
53046
39412
48480
95318
77094
63158
03642
50075
28749
16385
49753
87497
11804
49512
90185
84279
29735
24956
35408
72635
56496
14308
72182
21814
86259
30618
Tabel Harga Kritis F
p = 0,05 (atas)
p = 0,01 (bawah)
degree fredom of greater mean square (V1) derajat kebebasan untV2
1 2 3 4 5 6 7 8 9 10 11 12 14
1 161 200 216 225 230 234 237 239 241 242 243 244 245
4052 4999 5403 5625 5764 5859 5928 5981 6022 6056 6082 6106 6142
2 18,51 19,00 19,16 19,25 19,30 19,33 19,36 19,37 19,38 19,39 19,40 19,14 19,42
98,49 99,01 99,17 99,25 99,30 99,33 99,34 99,36 99,38 99,40 99,41 99,42 99,43
3 10,13 9,55 9,28 9,12 9,01 8,94 8,88 8,84 8,81 8,78 8,76 8,74 8,71
34,12 30,81 29,46 28,71 28,24 27,91 27,67 27,49 27,34 27,23 27,13 27,05 26,92
4 7,71 6,94 6,59 6,39 6,26 6,16 6,09 6,04 6,00 5,96 5,93 5,91 5,87
21,20 18,00 16,69 15,98 15,52 15,21 14,98 14,80 14,66 14,54 14,45 14,37 14,24
5 6,61 5,79 5,41 5,19 5,05 4,95 4,88 4,82 4,78 4,74 4,70 4,68 4,64
16,26 13,27 12,06 11,39 10,97 10,64 10,45 10,27 10,15 10,05 9,96 9,89 9,77
6 5,99 5,14 4,76 4,53 4,39 4,28 4,21 4,15 4,10 4,06 4,03 4,00 3,96
13,74 10,92 9,78 9,15 8,75 8,47 8,26 8,10 7,98 7,87 7,79 7,72 7,60
7 5,59 4,74 4,35 4,12 3,97 3,87 3,79 3,73 3,68 3,63 3,60 3,57 3,52
12,25 9,55 8,45 7,85 7,46 7,19 7,00 6,84 6,71 6,62 6,54 6,47 6,35
8 5,32 4,46 4,07 3,84 3,69 3,58 3,50 3,44 3,39 3,34 3,31 3,28 3,23
11,26 8,65 7,59 7,01 6,63 6,37 6,19 6,03 5,91 5,82 5,74 5,67 5,56
9 5,12 4,26 3,86 3,63 3,48 3,37 3,29 3,23 3,18 3,13 3,10 3,07 3,02
10,56 8,02 6,99 6,42 6,06 5,80 5,62 5,47 5,35 5,26 5,18 5,11 5,00
10 4,96 4,10 3,71 3,48 3,33 3,22 3,14 3,07 3,02 2,97 2,94 2,91 2,86
10,04 7,56 6,55 5,99 5,64 5,39 5,21 5,06 4,95 4,85 4,78 4,71 4,60
11 4,84 3,98 3,59 3,36 3,20 3,09 3,01 2,10 2,90 2,86 2,82 2,79 2,74
Tabel Harga Quantil Statistik Kolmogorov
Distribusi Normal
Tingkat Signifikansi untuk tes satu sisi
N 0,100 0,075 0,050 0,025
Tingkat Signifikansi untuk tes dua sisi
0,200 0,150 0,100 0,050
1 0,900 0,925 0,950 0,975
2 0,684 0,726 0,776 0,842
3 0,565 0,597 0,642 0,708
4 0,494 0,525 0,564 0,624
5 0,446 0,474 0,510 0,565
6 0,410 0,436 0,470 0521
7 0,381 0,405 0,438 0,486
8 0,358 0,381 0,411 0,457
9 0,339 0,360 0,388 0,432
2
TTAABBEELL--TTAABBEELL SSTTAATTIISSTTIIKK
Penyunting :
Tri Cahyono
(tricahyono37@yahoo.co.id)
Jurusan Kesehatan Lingkungan Purwokerto
Politeknik Kesehatan Semarang
2006
3
KATA PENGANTAR
Statistik merupakan kumpulan angka, alat, metoda untuk menjelaskan suatu fenomena kejadian
berdasarkan data. Data diolah, diuji dengan berbagai macam model rumus statistik untuk
mendapatkan informasi yang akurat, sehingga dapat digunakan sesuai dengan kebutuhan. Dalam
mempercepat pengolahan dan pengujian statistik kadangkala dibutuhkan tabel-tabel statistik.
Tabel-tabel statistik dapat dijumpai pada lampiran setiap buku statistik, namun jenis sesuai
dengan rumus yang dibahas di buku tersebut. Pada buku ini penyunting hanya menampilkan
tabel-tabel statistik yang sering digunakan dalam kalangan akademisi, khusus di bidang
kesehatan masyarakat
Dalam penyajian buku ini tentunya masih banyak kekurangannya, untuk itu saran, kritik
sangatlah penulis harapkan demi sempurna buku ini.
Penulis berharap mudah-mudahan tulisan yang singkat ini dapat bermanfaat bagi pembaca dan
menggugah lebih dalam lagi untuk mempelajari statistik.
Purwokerto, Januari 2006
Penyunting
Tri Cahyono
4
DAFTAR ISI
Halaman
HALAMAN JUDUL ................................................................................... i
KATA PENGANTAR................................................................................ ii
DAFTAR ISI............................................................................................... iii
1. Tabel Distribusi Normal 1
2. Tabel Harga Kritis t 2
3. Tabel Harga Kritis Korelasi Moment Product Pearson ( r ) 3
4. Tabel Harga Kritis Korelasi Tata Jenjang Spearman ( rho ) 4
5. Tabel Harga Kritis Korelasi Tata Jenjang Spearman ( rho ) 5
6. Tabel Kemungkinan yang Berkaitan Dengan Harga-Harga Sebesar Harga-harga
Observasi S, Koefisien Korelasi Ranking Kendall
6
7. Tabel Harga-harga Kritis s dalam Koefisien Konkordansi Kendall 7
8. Tabel Harga Kritis Chi – Square ( X2
) 8
9. Tabel Harga Kritis F 9
10. Tabel Transformasi dari r ke Z 11
11. Tabel Nilai Perkiraan Korelasi Tetrachoric dari K 12
12. Tabel Fisher 13
13. Tabel Nilai q 18
14. Tabel Harga Quantil Statistik Lilliefors Distribusi Normal 19
15. Tabel Harga Quantil Statistik Shapiro-
Wilk Distribusi Normal 20
16. Tabel Konversi Statistik Shapiro-Wilk Pendekatan Distribusi Normal 21
17. Tabel Koefisient untuk test Shapiro-Wilk 23
18. Tabel Quantiles Of The Wilcoxon Signed Ranks Test Statistic 25
19. Tabel Harga Kritis T Dalam Tes Ranking Bertanda Data Berpasangan Wilcoxon 26
20. Tabel Kemungkinan Yang Berkaitan Dengan Harga-Harga Sebesar Harga-Harga
Observasi Xr2
Dalam Analisis Varian Ranking Dua Arah Friedman
27
21. Tabel Harga Kritis Statistik Penguji Kruskal-Wallis Untuk Tiga Sampel dan Ukuran
Sampel Kecil
29
22. Tabel Kemungkinan Yang Berkaitan Dengan Harga-Harga Sekecil Harga-Harga X
Observasi Dalam Tes Binomial
31
23. Tabel Harga Kritis D dalam Tes Satu Sampel Kolmogorov Smirnov 32
24. Tabel Harga Quantil Statistik Kolmogorov Distribusi Normal 33
25. Tabel Harga Kritis KD Dalam Tes Dua Sampel Kolmogorov Smirnov (Sampel
Kecil)
34
26. Tabel Harga Kritis D Dalam Tes Dua Sampel Kolmogorov Smirnov (Sampel besar :
tes dua sisi)
35
27. Tabel Harga-harga Kritis untuk Tes Walsh 36
28. Tabel Nilai Koefisien Binomial 37
29. Tabel Harga-harga Kritis r dalam Tes Run 38
30. Tabel Harga-harga Kritis U Dalam Tes Mann-Whitney 39
31. Tabel Faktorial 44
32. Tabel Angka Random 45
33. Tabel Besar Sampel Berdasarkan Rumus 47
34. Tabel Angka, Akar dan Kwadrat 53
35. Tabel Probabilitas Poisson Kumulatif 58
36. Tabel Probabilitas binominal kumulatif 60
5
Tabel Distribusi Normal
Z 0,00 0,01 0,02 0,03 0,04 0,05 0,06 0,07 0,08 0,09
0,0 0,5000 0,4960 0,4920 0,4880 0,4840 0,4801 0,4761 0,4721 0,4681 0,4641
0,1 0,4602 0,4562 0,4522 0,4483 0,4443 0,4404 0,4364 0,4325 0,4286 0,4247
0,2 0,4207 0,4168 0,4129 0,4090 0,4052 0,4013 0,3974 0,3936 0,3897 0,3859
0,3 0,3821 0,3783 0,3745 0,3707 0,3669 0,3632 0,3594 0,3557 0,3520 0,3483
0,4 0,3446 0,3409 0,3372 0,3336 0,3300 0,3264 0,3228 0,3192 0,3156 0,3121
0,5 0,3085 0,3050 0,3015 0,2981 0,2946 0,2912 0,2877 0,2843 0,2810 0,2776
0,6 0,2743 0,2709 0,2676 0,2643 0,2611 0,2578 0,2546 0,2514 0,2483 0,2451
0,7 0,2420 0,2389 0,2358 0,2327 0,2296 0,2266 0,2236 0,2206 0,2177 0,2148
0,8 0,2119 0,2090 0,2061 0,2033 0,2005 0,1977 0,1949 0,1922 0,1894 0,1867
0,9 0,1841 0,1814 0,1788 0,1762 0,1736 0,1711 0,1685 0,1660 0,1635 0,1611
1,0 0,1587 0,1562 0,1539 0,1515 0,1492 0,1469 0,1446 0,1423 0,1401 0,1379
1,1 0,1357 0,1335 0,1314 0,1292 0,1271 0,1251 0,1230 0,1210 0,1190 0,1170
1,2 0,1151 0,1131 0,1112 0,1093 0,1075 0,1056 0,1038 0,1020 0,1003 0,0985
1,3 0,0968 0,0951 0,0934 0,0918 0,0901 0,0885 0,0869 0,0853 0,0838 0,0823
1,4 0,0808 0,0793 0,0778 0,0764 0,0749 0,0735 0,0721 0,0708 0,0694 0,0681
1,5 0,0668 0,0655 0,0643 0,0630 0,0618 0,0606 0,0594 0,0582 0,0571 0,0559
1,6 0,0548 0,0537 0,0526 0,0516 0,0505 0,0495 0,0485 0,0475 0,0465 0,0455
1,7 0,0446 0,0436 0,0427 0,0418 0,0409 0,0401 0,0392 0,0384 0,0375 0,0367
1,8 0,0359 0,0351 0,0344 0,0336 0,0329 0,0322 0,0314 0,0307 0,0301 0,0294
1,9 0,0287 0,0281 0,0274 0,0268 0,0262 0,0256 0,0250 0,0244 0,0239 0,0233
2,0 0,0228 0,0222 0,0217 0,0212 0,0207 0,0202 0,0197 0,0192 0,0188 0,0183
2,1 0,0179 0,0174 0,0170 0,0166 0,0162 0,0158 0,0154 0,0150 0,0146 0,0143
2,2 0,0139 0,0136 0,0132 0,0129 0,0125 0,0122 0,0119 0,0116 0,0113 0,0110
2,3 0,0107 0,0104 0,0102 0,0099 0,0096 0,0094 0,0091 0,0089 0,0087 0,0084
2,4 0,0082 0,0080 0,0078 0,0075 0,0073 0,0071 0,0069 0,0068 0,0066 0,0064
2,5 0,0062 0,0060 0,0059 0,0057 0,0055 0,0054 0,0052 0,0051 0,0049 0,0048
2,6 0,0047 0,0045 0,0044 0,0043 0,0041 0,0040 0,0039 0,0038 0,0037 0,0036
2,7 0,0035 0,0034 0,0033 0,0032 0,0031 0,0030 0,0029 0,0028 0,0027 0,0026
2,8 0,0026 0,0025 0,0024 0,0023 0,0023 0,0022 0,0021 0,0021 0,0020 0,0019
2,9 0,0019 0,0018 0,0018 0,0017 0,0016 0,0016 0,0015 0,0015 0,0014 0,0014
3,0 0,0013 0,0013 0,0013 0,0012 0,0012 0,0011 0,0011 0,0011 0,0010 0,0010
3,1 0,0010 0,0009 0,0009 0,0009 0,0008 0,0008 0,0008 0,0008 0,0007 0,0007
3,2 0,0007 0,0007 0,0006 0,0006 0,0006 0,0006 0,0006 0,0005 0,0005 0,0005
3,3 0,0005 0,0005 0,0005 0,0004 0,0004 0,0004 0,0004 0,0004 0,0004 0,0003
3,4 0,0003 0,0003 0,0003 0,0003 0,0003 0,0003 0,0003 0,0003 0,0003 0,0002
3,5 0,0002 0,0002 0,0002 0,0002 0,0002 0,0002 0,0002 0,0002 0,0002 0,0002
3,6 0,0002 0,0002 0,0001 0,0001 0,0001 0,0001 0,0001 0,0001 0,0001 0,0001
3,7 0,0001 0,0001 0,0001 0,0001 0,0001 0,0001 0,0001 0,0001 0,0001 0,0001
3,8 0,0001 0,0001 0,0001 0,0001 0,0001 0,0001 0,0001 0,0001 0,0001 0,0001
6
Tabel Harga Kritis t
Tingkat Signifikansi untuk tes satu sisi
Df 0,40 0,25 0,10 0,05 0,025 0,01 0,005 0,0025 0,001 0,0005
N-1 Tingkat Signifikansi untuk tes dua sisi
0,80 0,50 0,20 0,10 0,05 0,02 0,01 0,005 0,002 0,001
1 0,325 1,000 3,078 6,314 12,706 31,821 63,657 127,32 318,31 636,62
2 0,289 0,816 1,886 2,920 4,303 6,965 9,925 14,089 22,327 31,598
3 0,277 0,765 1,638 2,353 3,182 4,541 5,841 7,453 10,214 12,924
4 0,271 0,741 1,533 2,132 2,776 3,747 4,604 5,598 7,173 8,610
5 0,267 0,727 1,476 2,015 2,571 3,365 4,032 4,773 5,893 6,869
6 0,265 0,718 1,440 1,943 2,447 3,143 3,707 4,317 5,208 5,959
7 0,263 0,711 1,415 1,895 2,365 2,998 3,499 4,029 4,785 5,408
8 0,262 0,706 1,397 1,860 2,306 2,896 3,355 3,833 4,501 5,041
9 0,261 0,703 1,383 1,833 2,262 2,821 3,250 3,690 4,297 4,781
10 0,260 0,700 1,372 1,812 2,228 2,764 3,169 3,581 4,144 4,587
11 0,260 0,697 1,363 1,796 2,201 2,718 3,106 3,497 4,025 4,437
12 0,259 0,695 1,356 1,782 2,179 2,681 3,055 3,428 3,930 4,318
13 0,259 0,694 1,350 1,771 2,160 2,650 3,012 3,372 3,852 4,221
14 0,258 0,692 1,345 1,761 2,145 2,624 2,977 3,326 3,787 4,140
15 0,258 0,691 1,341 1,753 2,131 2,602 2,947 3,286 3,733 4,073
16 0,258 0,690 1,337 1,746 2,120 2,583 2,921 3,252 3,686 4,015
17 0,257 0,689 1,333 1,740 2,110 2,567 2,898 3,222 3,646 3,965
18 0,257 0,688 1,330 1,734 2,101 2,552 2,878 3,197 3,610 3,922
19 0,257 0,688 1,328 1,729 2,093 2,539 2,861 3,174 3,579 3,883
20 0,257 0,687 1,325 1,725 2,086 2,528 2,845 3,153 3,552 3,850
21 0,257 0,686 1,323 1,721 2,080 2,518 2,831 3,135 3,527 3,819
22 0,256 0,686 1,321 1,717 2,074 2,508 2,819 3,119 3,505 3,792
23 0,256 0,685 1,319 1,714 2,069 2,500 2,807 3,104 3,485 3,767
24 0,256 0,685 1,318 1,711 2,064 2,492 2,797 3,091 3,467 3,745
25 0,256 0,684 1,316 1,708 2,060 2,485 2,787 3,078 3,450 3,725
26 0,256 0,684 1,315 1,706 2,056 2,479 2,779 3,067 3,435 3,707
27 0,256 0,684 1,314 1,703 2,052 2,473 2,771 3,057 3,421 3,690
28 0,256 0,683 1,313 1,701 2,048 2,467 2,763 3,047 3,408 3,674
29 0,256 0,683 1,311 1,699 2,045 2,462 2,756 3,038 3,396 3,659
30 0,256 0,683 1,310 1,697 2,042 2,457 2,750 3,030 3,385 3,646
40 0,255 0,681 1,303 1,684 2,021 2,423 2,704 2,971 3,307 3,551
60 0,254 0,679 1,296 1,671 2,000 2,390 2,660 2,915 3,232 3,460
120 0,254 0,677 1,289 1,658 1,980 2,358 2,617 2,860 3,160 3,373
∞ 0,253 0,674 1,282 1,645 1,960 2,326 2,576 2,807 3,090 3,291
Sumber : Conover, W.J, 1980, Practical Nonparametric Statistics second edition, New York :
John Wiley & Sons.
7
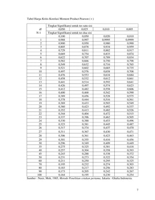
Tabel Harga Kritis Korelasi Moment Product Pearson ( r )
Tingkat Signifikansi untuk tes satu sisi
df 0,050 0,025 0,010 0,005
N-1 Tingkat Signifikansi untuk tes dua sisi
0,100 0,050 0,020 0,010
1 0,988 0,997 0,9995 0,9999
2 0,900 0,950 0,980 0,990
3 0,805 0,878 0,934 0,959
4 0,729 0,811 0,882 0,917
5 0,669 0,754 0,833 0,874
6 0,622 0,707 0,789 0,834
7 0,582 0,666 0,750 0,798
8 0,549 0,632 0,716 0,765
9 0,521 0,602 0,685 0,735
10 0,497 0,576 0,658 0,708
11 0,476 0,553 0,634 0,684
12 0,458 0,532 0,612 0,661
13 0,441 0,514 0,592 0,641
14 0,426 0,497 0,574 0,623
15 0,412 0,482 0,558 0,606
16 0,400 0,468 0,542 0,590
17 0,389 0,456 0,528 0,575
18 0,378 0,444 0,516 0,561
19 0,369 0,433 0,503 0,549
20 0,360 0,423 0,492 0,537
21 0,352 0,413 0,482 0,526
22 0,344 0,404 0,472 0,515
23 0,337 0,396 0,462 0,505
24 0,330 0,388 0,453 0,496
25 0,323 0,381 0,445 0,487
26 0,317 0,374 0,437 0,470
27 0,311 0,367 0,430 0,471
28 0,306 0,361 0,423 0,463
29 0,301 0,355 0,416 0,456
30 0,296 0,349 0,409 0,449
35 0,275 0,325 0,381 0,418
40 0,257 0,304 0,358 0,393
45 0,243 0,288 0,338 0,372
50 0,231 0,273 0,322 0,354
60 0,211 0,250 0,295 0,325
70 0,195 0,232 0,274 0,303
80 0,183 0,217 0,256 0,283
90 0,173 0,205 0,242 0,267
100 0,164 0,195 0,230 0,254
Sumber : Nasir, Moh, 1985, Metode Penelitian cetakan pertama, Jakarta : Ghalia Indonesia.
8
Tabel Harga Kritis Korelasi Tata Jenjang Spearman ( rho )
Tingkat Signifikansi untuk tes satu sisi
n
p = 0,900
α =0,100
0,950
0,050
0,975
0,025
0,990
0,01
0,995
0,005
0,999
0,001
4 0,8000 0,8000 1,0000
5 0,7000 0,8000 0,9000 0,9000
6 0,6000 0,7714 0,8286 0,8857 0,9429
7 0,5357 0,6786 0,7450 0,8571 0,8929 0,9643
8 0,5000 0,6190 0,7143 0,8095 0,8571 0,9286
9 0,4667 0,5833 0,6833 0,7667 0,8167 0,9000
10 0,4424 0,5515 0,6364 0,7333 0,7818 0,8667
11 0,4182 0,5273 0,6091 0,7000 0,7455 0,8364
12 0,3986 0,4965 0,5804 0,6713 0,7273 0,8182
13 0,3791 0,4780 0,5549 0,6429 0,6978 0,7912
14 0,3626 0,4593 0,5341 0,6220 0,6747 0,7670
15 0,3500 0,4429 0,5179 0,6000 0,6536 0,7464
16 0,3382 0,4265 0,5000 0,5824 0,6324 0,7265
17 0,3260 0,4118 0,4853 0,5637 0,6152 0,7083
18 0,3148 0,3994 0,4716 0,5480 0,5975 0,6904
19 0,3070 0,3895 0,4579 0,5333 0,5825 0,6737
20 0,2977 0,3789 0,4451 0,5203 0,5684 0,6586
21 0,2909 0,3688 0,4351 0,5078 0,5545 0,6455
22 0,2829 0,3597 0,4241 0,4963 0,5426 0,6318
23 0,2767 0,3518 0,4150 0,4852 0,5306 0,6186
24 0,2704 0,3435 0,4061 0,4748 0,5200 0,6070
25 0,2646 0,3362 0,3977 0,4654 0,5100 0,5962
26 0,2588 0,3299 0,3894 0,4564 0,5002 0,5856
27 0,2540 0,3236 0,3822 0,4481 0,4915 0,5757
28 0,2490 0,3175 0,3749 0,4401 0,4828 0,5660
29 0,2443 0,3113 0,3685 0,4320 0,4744 0,5567
30 0,2400 0,3059 0,3620 0,4251 0,4665 0,5479
Sumber : Conover, W.J, 1980, Practical Nonparametric Statistics second edition, New York :
John Wiley & Sons.
9
Tabel Harga Kritis Korelasi Tata Jenjang Spearman ( rho )
Tingkat Signifikansi untuk tes dua sisi
0,10 0,05 0,02 0,01
Tingkat Signifikansi untuk tes satu sisi
N
0,05 0,025 0,01 0,005
4 1,000
5 0,900 1,000 1,000
6 0,829 0,886 0,943 1,000
7 0,714 0,786 0,893 0,929
8 0,643 0,738 0,833 0,881
9 0,600 0,683 0,783 0,833
10 0,564 0,648 0,746 0,794
12 0,506 0,591 0,712 0,777
14 0,456 0,544 0,645 0,715
16 0,425 0,506 0,601 0,665
18 0,399 0,475 0,564 0,625
20 0,377 0,450 0,534 0,591
22 0,359 0,428 0,508 0,562
24 0,343 0,409 0,485 0,537
26 0,329 0,392 0,465 0,515
28 0,317 0,377 0,448 0,496
30 0,306 0,364 0,432 0,478
Sumber : Soepeno, Bambang, 1997, Statistik Terapan (Dalam Penelitian Ilmu-Ilmu Sosial dan
Pendidikan), Jakarta ; PT. Rineka Cipta
10
Tabel Kemungkinan yang Berkaitan Dengan Harga-Harga Sebesar Harga-harga Observasi S,
Koefisien Korelasi Ranking Kendall
Harga N Harga NS
4 5 8 9
S
6 7 10
0 0,625 0,592 0,548 0,540 1 0,500 0,500 0,500
2 0,375 0,408 0,452 0,460 3 0,360 0,386 0,431
4 0,167 0,242 0,360 0,381 5 0,235 0,281 0,364
6 0,042 0,117 0,274 0,306 7 0,136 0,191 0,300
8 0,042 0,199 0,238 9 0,068 0,119 0,242
10 0,0083 0,138 0,179 11 0,028 0,068 0,190
12 0,089 0,130 13 0,0083 0,035 0,146
14 0,054 0,090 15 0,0014 0,015 0,108
16 0,031 0,060 17 0,0054 0,078
18 0,016 0,038 19 0,0014 0,054
20 0,0071 0,022 21 0,00020 0,036
22 0,0028 0,012 23 0,023
24 0,00087 0,0063 25 0,014
26 0,00019 0,0029 27 0,0083
28 0,000025 0,0012 29 0,0046
30 0,00043 31 0,0023
32 0,00012 33 0,0011
34 0,000025 35 0,00047
36 0,0000028 37 0,00018
39 0,000058
41 0,000015
43 0,0000028
45 0,00000028
11
Tabel Harga-harga Kritis s dalam Koefisien Konkordansi Kendall
N N = 3k
3 4 5 6 7 k s
Signifikansi 0,05
3 64,4 103,9 157,3 9 54,0
4 49,5 88,4 143,3 217,0 12 71,9
5 62,6 112,3 182,4 276,2 14 83,8
6 75,7 136,1 221,4 335,2 16 95,8
8 48,1 101,7 183,7 299,0 453,1 18 107,7
10 60,0 127,8 231,2 376,7 571,0
15 89,8 192,9 349,8 570,5 864,9
20 119,7 258,0 468,5 764,4 1158,7
Signifikansi 0,01
3 75,6 122,8 185,6 9 75,9
4 61,4 109,3 176,2 265,0 12 103,5
5 80,5 142,8 229,4 343,8 14 121,9
6 99,5 176,1 282,4 422,6 16 140,2
8 66,8 137,4 242,7 388,3 579,9 18 158,6
10 85,1 175,3 309,1 494,0 737,0
15 131,0 269,8 475,2 758,2 1129,5
20 177,0 364,2 641,2 1022,2 1521,9
12
Tabel Harga Kritis Chi – Square ( X2
)
Kemungkinan di bawah Ho bahwa X2 Chi - Square
df 0,001 0,005 0,010 0,025 0,020 0,050 0,100 0,200 0,250 0,300 0,500 0,700 0,750 0,800 0,900 0,950 0,975 0,980 0,990 0,995
1 10,83 7,879 6,635 5,024 5,41 3,841 2,706 1,642 1,32 1,07 0,46 0,15 0,10 0,064 0,0160,00390,00000,000630,00016 0,000
2 13,82 10,597 9,210 7,378 7,82 5,991 4,605 3,219 2,77 2,41 1,39 0,71 0,58 0,45 0,21 0,10 0,05 0,04 0,02 0,01
3 16,27 12,838 11,341 9,348 9,84 7,815 6,251 4,642 4,11 3,66 2,37 1,42 1,21 1,00 0,58 0,35 0,22 0,18 0,12 0,07
4 18,46 14,860 13,277 11,143 11,67 9,488 7,779 5,989 5,39 4,88 3,36 2,20 1,92 1,65 1,06 0,71 0,48 0,43 0,30 0,21
5 20,52 16,750 15,086 12,832 13,39 11,070 9,236 7,289 6,63 6,06 4,35 3,00 2,67 2,34 1,61 1,14 0,83 0,75 0,55 0,41
6 22,46 18,548 16,812 14,449 15,03 12,592 10,645 8,558 7,84 7,23 5,35 3,83 3,45 3,07 2,20 1,64 1,24 1,13 0,87 0,68
7 24,32 20,278 18,475 16,013 16,62 14,067 12,017 9,803 9,04 8,38 6,35 4,67 4,25 3,82 2,83 2,17 1,69 1,56 1,24 0,99
8 26,12 21,955 20,090 17,535 18,17 15,507 13,362 11,030 10,22 9,52 7,34 5,53 5,07 4,59 3,49 2,73 2,18 2,03 1,65 1,34
9 27,88 23,589 21,660 19,023 19,68 16,919 14,684 12,242 11,39 10,66 8,34 6,39 5,90 5,38 4,17 3,32 2,70 2,53 2,09 1,73
10 29,59 25,188 23,209 20,483 21,16 18,307 15,987 13,442 12,55 11,78 9,34 7,27 6,74 6,18 4,86 3,94 3,25 3,06 2,56 2,16
11 31,26 26,757 24,725 21,920 22,62 19,675 17,275 14,631 13,70 12,90 10,34 8,15 7,58 6,99 5,58 4,58 3,82 3,61 3,05 2,60
12 32,91 28,300 26,217 23,337 24,05 21,026 18,549 15,812 14,85 14,01 11,34 9,03 8,44 7,81 6,30 5,23 4,40 4,18 3,57 3,07
13 34,53 29,819 27,688 24,736 25,47 22,362 19,812 16,985 15,98 15,12 12,34 9,93 9,30 8,63 7,04 5,89 5,01 4,76 4,11 3,57
14 36,12 31,319 29,141 26,119 26,87 23,685 21,064 18,151 17,12 16,22 13,34 10,82 10,17 9,47 7,79 6,57 5,63 5,37 4,66 4,07
15 37,70 32,801 30,578 27,488 28,26 24,996 22,307 19,311 18,25 17,32 14,34 11,72 11,04 10,31 8,55 7,26 6,27 5,98 5,23 4,60
16 39,29 34,267 32,000 28,845 29,63 26,296 23,542 20,465 19,37 18,42 15,34 12,62 11,91 11,15 9,31 7,96 6,91 6,61 5,81 5,14
17 40,75 35,718 33,409 30,191 31,00 27,587 24,769 21,615 20,49 19,51 16,34 13,53 12,79 12,00 10,08 8,67 7,56 7,26 6,41 5,70
18 42,31 37,156 34,805 31,526 32,25 28,869 25,989 22,760 21,60 20,60 17,34 14,44 13,68 12,86 10,86 9,39 8,23 7,91 7,02 6,26
19 43,82 38,582 36,191 32,852 33,69 30,144 27,204 23,900 22,72 21,69 18,34 15,35 14,56 13,72 11,65 10,12 8,91 8,57 7,63 6,84
20 45,32 39,997 37,566 34,170 35,02 31,410 28,412 25,038 23,83 22,78 19,34 16,27 15,45 14,58 12,44 10,85 9,59 9,24 8,26 7,43
21 46,80 41,401 38,932 35,479 36,34 32,671 29,615 26,171 24,93 23,86 20,34 17,18 16,34 15,44 13,24 11,59 10,28 9,92 8,90 8,03
22 48,27 42,796 40,289 36,781 37,66 33,924 30,813 27,301 26,04 24,94 21,34 18,10 17,24 16,31 14,04 12,34 10,98 10,60 9,54 8,64
23 49,73 44,181 41,638 38,076 38,97 35,172 32,007 28,429 27,14 26,02 22,34 19,02 18,14 17,19 14,85 13,09 11,69 11,29 10,20 9,26
24 51,18 45,558 42,980 39,364 40,27 36,415 33,196 29,553 28,24 27,10 23,34 19,94 19,04 18,06 15,66 13,85 12,40 11,99 10,86 9,89
25 52,62 46,928 44,314 40,646 41,57 37,652 34,382 30,675 29,34 28,17 24,34 20,87 19,94 18,94 16,47 14,61 13,12 12,70 11,52 10,52
26 54,05 48,290 45,642 41,923 42,86 38,885 35,563 31,795 30,43 29,25 25,34 21,79 20,84 19,82 17,29 15,28 13,84 13,41 12,20 11,16
27 55,48 49,645 46,963 43,194 44,14 40,113 36,741 32,912 31,53 30,32 26,34 22,72 21,75 20,70 18,11 16,15 14,57 14,12 12,88 11,81
28 56,89 50,993 48,278 44,461 45,42 41,337 37,916 34,027 32,62 32,39 27,34 23,65 22,66 21,59 18,94 16,93 15,31 14,85 13,56 12,46
29 58,30 52,336 49,588 45,722 46,69 42,557 39,087 35,139 33,71 32,46 28,34 24,58 23,57 22,48 19,77 17,71 16,05 15,57 14,26 13,12
30 59,70 53,672 50,892 46,979 47,96 43,773 40,256 36,250 34,80 33,53 29,34 25,51 24,48 23,36 20,60 18,49 16,79 16,31 14,95 13,79
40 66,77 63,69 59,34 55,76 51,80 45,62 39,34 33,66 29,05 26,52 24,43 22,16 20,17
50 79,49 76,15 71,42 67,50 63,17 56,33 49,33 42,94 37,69 34,76 32,36 29,71 27,99
60 91,95 88,38 83,30 79,08 74,40 66,98 59,33 52,29 46,46 43,19 40,48 37,48 35,53
70 104,22 100,42 95,02 90,53 85,53 77,58 69,33 61,70 55,33 51,74 48,76 45,44 43,28
80 116,32 112,33 106,63 101,88 96,58 88,13 79,33 71,14 64,28 60,39 57,15 53,54 51,17
90 128,30 124,12 118,14 113,14 107,56 98,64 89,33 80,62 73,29 69,13 65,65 61,75 59,20
100 140,17 135,81 129,56 124,34 118,50 10,9,14 99,33 90,13 82,36 77,93 74,22 70,06 67,33
13
Tabel Harga Kritis F
p = 0,05 (atas)
p = 0,01 (bawah)
degree fredom of greater mean square (V1) derajat kebebasan untuk pembilangV2
1 2 3 4 5 6 7 8 9 10 11 12 14 16 20 24 30 40 50 75 100 200 500 ∞
1 161 200 216 225 230 234 237 239 241 242 243 244 245 246 248 249 250 251 252 253 253 254 254 254
4052 4999 5403 5625 5764 5859 5928 5981 6022 6056 6082 6106 6142 6169 6208 6234 6258 6286 6302 6323 6334 6352 6361 6366
2 18,51 19,00 19,16 19,25 19,30 19,33 19,36 19,37 19,38 19,39 19,40 19,14 19,42 19,43 19,44 19,45 19,46 19,47 19,47 19,48 19,49 19,49 19,50 19,50
98,49 99,01 99,17 99,25 99,30 99,33 99,34 99,36 99,38 99,40 99,41 99,42 99,43 99,44 99,45 99,46 99,47 99,48 99,48 99,49 99,49 99,49 99,50 99,50
3 10,13 9,55 9,28 9,12 9,01 8,94 8,88 8,84 8,81 8,78 8,76 8,74 8,71 8,69 8,66 8,64 8,62 8,60 8,58 8,57 8,56 8,54 8,54 8,53
34,12 30,81 29,46 28,71 28,24 27,91 27,67 27,49 27,34 27,23 27,13 27,05 26,92 26,83 26,69 26,60 26,50 26,41 26,35 26,27 26,23 26,18 26,14 26,12
4 7,71 6,94 6,59 6,39 6,26 6,16 6,09 6,04 6,00 5,96 5,93 5,91 5,87 5,84 2,80 5,77 5,74 5,71 5,70 5,68 5,66 5,65 5,64 5,63
21,20 18,00 16,69 15,98 15,52 15,21 14,98 14,80 14,66 14,54 14,45 14,37 14,24 14,15 14,02 13,93 13,83 13,74 13,69 13,61 13,57 13,52 13,48 13,46
5 6,61 5,79 5,41 5,19 5,05 4,95 4,88 4,82 4,78 4,74 4,70 4,68 4,64 4,60 4,56 4,53 4,50 4,46 4,44 4,42 4,40 4,38 4,37 4,36
16,26 13,27 12,06 11,39 10,97 10,64 10,45 10,27 10,15 10,05 9,96 9,89 9,77 9,68 9,55 9,47 9,38 9,29 9,24 9,17 9,13 9,07 9,04 9,02
6 5,99 5,14 4,76 4,53 4,39 4,28 4,21 4,15 4,10 4,06 4,03 4,00 3,96 3,92 3,87 3,84 3,81 3,77 3,75 3,72 3,71 3,69 3,68 3,67
13,74 10,92 9,78 9,15 8,75 8,47 8,26 8,10 7,98 7,87 7,79 7,72 7,60 7,52 7,39 7,31 7,23 7,14 7,09 7,02 6,99 6,94 6,90 6,88
7 5,59 4,74 4,35 4,12 3,97 3,87 3,79 3,73 3,68 3,63 3,60 3,57 3,52 3,49 3,44 3,41 3,38 3,34 3,32 3,29 3,28 3,25 3,24 3,23
12,25 9,55 8,45 7,85 7,46 7,19 7,00 6,84 6,71 6,62 6,54 6,47 6,35 6,27 6,15 6,07 5,98 5,90 5,85 5,78 5,75 5,70 5,67 5,65
8 5,32 4,46 4,07 3,84 3,69 3,58 3,50 3,44 3,39 3,34 3,31 3,28 3,23 3,20 3,15 3,12 3,08 3,05 3,03 3,00 2,98 2,96 2,94 2,93
11,26 8,65 7,59 7,01 6,63 6,37 6,19 6,03 5,91 5,82 5,74 5,67 5,56 5,48 5,36 5,28 5,20 5,11 5,06 5,00 4,96 4,91 4,88 4,86
9 5,12 4,26 3,86 3,63 3,48 3,37 3,29 3,23 3,18 3,13 3,10 3,07 3,02 2,98 2,93 2,90 2,86 2,82 2,80 2,77 2,76 2,73 2,72 2,71
10,56 8,02 6,99 6,42 6,06 5,80 5,62 5,47 5,35 5,26 5,18 5,11 5,00 4,92 4,80 4,73 4,64 4,56 4,51 4,45 4,41 4,36 4,33 4,31
10 4,96 4,10 3,71 3,48 3,33 3,22 3,14 3,07 3,02 2,97 2,94 2,91 2,86 2,82 2,77 2,74 2,70 2,67 2,64 2,61 2,59 2,56 2,55 2,54
10,04 7,56 6,55 5,99 5,64 5,39 5,21 5,06 4,95 4,85 4,78 4,71 4,60 4,52 4,41 4,33 4,25 4,17 4,12 4,05 4,01 3,96 3,93 3,91
11 4,84 3,98 3,59 3,36 3,20 3,09 3,01 2,10 2,90 2,86 2,82 2,79 2,74 2,70 2,65 2,61 2,57 2,53 2,50 2,47 2,45 2,42 2,41 2,40
9,65 7,20 6,22 5,67 5,32 5,07 4,88 4,74 4,63 4,54 4,46 4,40 4,29 4,21 4,10 4,02 3,94 3,86 3,80 3,74 3,70 3,66 3,62 3,60
12 4,75 3,88 3,49 3,26 3,11 3,00 2,92 2,85 2,80 2,76 2,72 2,69 2,64 2,60 2,54 2,50 2,46 2,42 2,40 2,36 2,35 2,32 2,31 2,30
9,33 6,93 5,95 5,41 5,06 4,82 4,65 4,50 4,39 4,30 4,22 4,16 4,05 3,98 3,86 3,78 3,70 3,61 3,56 3,49 3,46 3,41 3,38 3,36
13 4,67 3,80 3,41 3,18 3,02 2,92 2,84 2,77 2,72 2,67 2,63 2,60 2,55 2,51 2,46 2,42 2,38 2,34 2,32 2,28 2,26 2,24 2,22 2,21
9,07 6,70 5,74 5,20 4,86 4,62 4,44 4,30 4,19 4,10 4,02 3,96 3,85 3,78 3,67 3,59 3,51 3,42 3,37 3,30 3,27 3,21 3,18 3,16
14 4,60 3,74 3,34 3,11 2,96 2,85 2,77 2,70 2,65 2,60 2,56 2,53 2,48 2,44 2,39 2,35 2,31 2,27 2,24 2,21 2,19 2,16 2,14 2,13
8,86 6,51 5,56 5,03 4,69 4,46 4,28 4,14 4,03 3,94 3,86 3,80 3,70 3,62 3,51 3,43 3,34 3,26 3,21 3,14 3,11 3,06 3,02 3,00
15 4,54 3,68 3,29 3,06 2,90 2,79 2,70 2,64 2,59 2,55 2,51 2,48 2,43 2,39 2,33 2,29 2,25 2,21 2,18 2,15 2,12 2,10 2,08 2,07
8,68 6,36 5,42 4,89 4,56 4,32 4,14 4,00 3,89 3,80 3,73 3,67 3,56 3,48 3,36 3,29 3,20 3,12 3,07 3,00 2,97 2,92 2,89 2,87
16 4,49 3,63 3,24 3,01 2,85 2,74 2,66 2,59 2,54 2,49 2,45 2,42 2,37 2,33 2,28 2,24 2,20 2,16 2,13 2,09 2,07 2,04 2,02 2,00
8,53 6,23 5,29 4,77 4,44 4,20 4,03 3,89 3,78 3,69 3,61 3,55 3,45 3,37 3,25 3,18 3,10 3,01 2,96 2,89 2,86 2,80 2,77 2,75
17 4,45 3,59 3,20 2,96 2,81 2,70 2,62 2,55 2,50 2,45 2,41 2,38 2,33 2,29 2,23 2,19 2,15 2,11 2,08 2,04 2,02 1,99 1,97 1,96
8,40 6,11 5,18 4,67 4,34 4,10 3,93 3,79 3,68 3,59 3,52 3,45 3,35 3,27 3,16 3,08 3,00 2,92 2,86 2,79 2,76 2,70 2,67 2,65
18 4,41 3,55 3,16 2,93 2,77 2,66 2,58 2,51 2,46 2,41 2,37 2,34 2,29 2,25 2,19 2,15 2,11 2,07 2,04 2,00 1,98 1,95 1,93 1,92
8,28 6,01 5,09 4,58 4,25 4,01 3,85 3,71 3,60 3,51 3,44 3,37 3,27 3,19 3,07 3,00 2,91 2,83 2,78 2,71 2,68 2,62 2,59 2,57
19 4,38 3,52 3,13 2,90 2,74 2,63 2,55 2,48 2,41 2,38 2,34 2,31 2,26 2,21 2,15 2,11 2,07 2,02 2,00 1,96 1,94 1,91 1,90 1,88
8,18 5,93 5,01 4,50 4,17 3,94 3,77 3,63 3,52 3,43 3,36 3,30 3,19 3,12 3,00 2,92 2,84 2,76 2,70 2,63 2,60 2,54 2,51 2,49
20 4,35 3,49 3,10 2,87 2,71 2,60 2,52 2,45 2,40 2,35 2,31 2,28 2,23 2,18 2,12 2,08 2,04 1,99 1,96 1,92 1,90 1,87 1,85 1,84
8,10 5,85 4,94 4,43 4,10 3,87 3,71 3,56 3,45 3,37 3,30 3,23 3,13 3,05 2,94 2,86 2,77 2,69 2,63 2,56 2,53 2,47 2,44 2,42
21 4,32 3,47 3,07 2,84 2,68 2,57 2,49 2,42 2,37 2,32 2,28 2,25 2,20 2,15 2,09 2,05 2,00 1,96 1,93 1,89 1,87 1,84 1,82 1,81
8,02 5,78 4,87 4,37 4,04 3,81 3,65 3,51 3,40 3,31 3,24 3,17 3,07 2,99 2,88 2,80 2,72 2,63 2,58 2,51 2,47 2,42 2,38 2,36
22 4,30 3,44 3,05 2,82 2,66 2,55 2,47 2,40 2,35 2,30 2,26 2,23 2,18 2,13 2,07 2,03 1,98 1,93 1,91 1,87 1,84 1,81 1,80 1,78
7,94 5,72 4,82 4,31 3,99 3,76 3,59 3,45 3,35 3,26 3,18 3,12 3,02 2,94 2,83 2,75 2,67 2,58 2,53 2,46 2,42 2,37 2,33 2,23
23 4,28 3,42 3,03 2,80 2,64 2,53 2,45 2,38 2,32 2,28 2,24 2,20 2,14 2,10 2,04 2,00 1,96 1,91 1,88 1,84 1,82 1,79 1,77 1,76
7,88 5,66 4,76 4,26 3,94 3,71 3,54 3,41 3,30 3,21 3,14 3,07 2,97 2,89 2,78 2,70 2,62 2,53 2,48 2,41 2,37 2,32 2,28 2,26
24 4,26 3,40 3,01 2,78 2,62 2,51 2,43 2,36 2,30 2,26 2,22 2,18 2,13 2,09 2,02 1,98 1,94 1,89 1,86 1,82 1,80 1,76 1,74 1,73
7,82 5,61 4,72 4,22 3,90 3,67 3,50 3,36 3,25 3,17 3,09 3,03 2,93 2,85 2,74 2,66 2,58 2,49 2,44 2,36 2,33 2,27 2,23 2,21
25 4,24 3,38 2,99 2,76 2,60 2,49 2,41 2,34 2,28 2,24 2,20 2,16 2,11 2,06 2,00 1,96 1,92 1,87 1,84 1,80 1,77 1,74 1,72 1,71
7,77 5,57 4,68 4,18 3,86 3,62 3,46 3,32 3,21 3,13 3,05 2,99 2,89 2,81 2,70 2,62 2,54 2,45 2,40 2,32 2,29 2,23 2,19 2,17
26 4,22 3,37 2,98 2,74 2,59 2,47 2,39 2,32 2,27 2,22 2,18 2,15 2,10 2,05 1,99 1,95 1,90 1,85 1,82 1,78 1,76 1,72 1,70 1,69
7,72 5,83 4,64 4,14 3,82 3,59 3,42 3,29 3,17 3,09 3,02 2,96 2,86 2,77 2,66 2,58 2,50 2,41 2,36 2,28 2,25 2,19 2,15 2,13
27 4,21 3,35 2,96 2,73 2,57 2,46 2,37 2,30 2,25 2,20 2,16 2,13 2,08 2,03 1,97 1,93 1,88 1,84 1,80 1,76 1,74 1,71 1,68 1,67
7,68 5,49 4,60 4,11 3,79 3,56 3,39 3,26 3,14 3,06 2,98 2,93 2,83 2,74 2,63 2,55 2,47 2,38 2,33 2,25 2,21 2,16 2,12 2,10
28 4,20 3,34 2,95 2,71 2,56 2,44 2,36 2,29 2,24 2,19 2,15 2,12 2,06 2,02 1,96 1,91 1,87 1,81 1,78 1,75 1,72 1,69 1,67 1,65
7,64 5,54 4,57 4,07 3,76 3,53 3,36 3,23 3,11 3,03 2,95 2,90 2,80 2,71 2,60 2,52 2,44 2,35 2,30 2,22 2,18 2,13 2,09 2,06
29 4,18 3,33 2,93 2,70 2,54 2,43 2,35 2,28 2,22 2,18 2,14 2,10 2,05 2,00 1,94 1,90 1,85 1,80 1,77 1,73 1,71 1,68 1,65 1,64
7,60 5,42 4,54 4,04 3,73 3,50 3,33 3,20 3,08 3,00 2,92 2,87 2,77 2,68 2,57 2,49 2,41 2,32 2,27 2,19 2,15 2,10 2,06 2,03
30 4,17 3,32 2,92 2,69 2,53 2,42 2,34 2,27 2,21 2,16 2,12 2,09 2,04 1,99 1,93 1,89 1,84 1,79 1,76 1,72 1,69 1,66 1,64 1,62
7,56 5,39 4,51 4,02 3,70 3,47 3,30 3,17 3,06 2,98 2,90 2,84 2,74 2,66 2,55 2,47 2,38 2,29 2,24 2,16 2,13 2,07 2,03 2,02
14
degree fredom of greater mean square (V1) derajat kebebasan untuk pembilangV2
1 2 3 4 5 6 7 8 9 10 11 12 14 16 20 24 30 40 50 75 100 200 500 ∞
32 4,15 3,30 2,90 2,67 2,51 2,40 2,32 2,25 2,19 2,14 2,10 2,07 2,02 1,97 1,91 1,86 1,82 1,76 1,74 1,69 1,67 1,64 1,61 1,59
7,50 5,24 4,46 3,97 3,66 3,42 3,25 3,13 3,01 2,94 2,86 2,80 2,70 2,62 2,51 2,42 2,34 2,25 2,20 2,12 2,08 2,02 1,98 1,96
34 4,13 3,28 2,88 2,65 2,49 2,38 2,30 2,23 2,17 2,12 2,08 2,05 2,00 1,95 1,89 1,84 1,80 1,74 1,71 1,67 1,64 1,61 1,59 1,57
7,44 5,29 4,42 3,93 3,61 3,38 3,21 3,08 2,97 2,89 2,82 2,76 2,66 2,58 2,47 2,38 2,30 2,21 2,15 2,08 2,04 1,98 1,94 1,91
36 4,11 3,26 2,86 2,63 2,48 2,36 2,28 2,21 2,15 2,10 2,06 2,03 1,98 1,93 1,87 1,82 1,78 1,72 1,69 1,65 1,62 1,59 1,56 1,55
7,39 5,25 4,38 3,89 3,58 3,35 3,18 3,04 2,94 2,86 2,78 2,72 2,62 2,54 2,43 2,35 2,26 2,17 2,12 2,04 2,00 1,94 1,90 1,87
38 4,10 3,25 2,85 2,62 2,46 2,35 2,26 2,19 2,14 2,09 2,05 2,02 1,96 1,92 1,85 1,80 1,76 1,71 1,67 1,63 1,60 1,57 1,54 1,53
7,35 5,21 4,34 3,86 3,54 3,32 3,15 3,02 2,91 2,82 2,75 2,69 2,59 2,51 2,40 2,22 2,22 2,14 2,08 2,00 1,97 1,90 1,86 1,84
40 4,08 3,23 2,84 2,61 2,45 2,34 2,25 2,18 2,12 2,07 2,04 2,00 1,95 1,90 1,84 1,79 1,74 1,69 1,66 1,61 1,59 1,55 1,53 1,51
7,31 5,18 4,31 3,83 3,51 3,29 3,13 2,99 2,88 2,80 2,73 2,66 2,56 2,49 2,37 2,29 2,20 2,11 2,05 1,97 1,94 1,88 1,84 1,81
42 4,07 3,22 2,83 2,59 2,44 2,32 2,24 2,17 2,11 2,06 2,02 1,99 1,94 1,89 1,82 1,78 1,73 1,68 1,64 1,60 1,57 1,54 1,51 1,49
7,27 5,15 4,29 3,80 3,49 3,26 3,10 2,96 2,86 2,77 2,70 2,64 2,54 2,46 2,35 2,26 2,17 2,06 2,02 1,94 1,91 1,85 1,80 1,78
44 4,06 3,21 2,82 2,58 2,43 2,31 2,23 2,16 2,10 2,05 2,01 1,98 1,92 1,88 1,81 1,76 1,72 1,66 1,63 1,58 1,56 1,52 1,50 1,48
7,24 5,12 4,26 3,78 3,46 3,24 3,07 2,94 2,84 2,75 2,68 2,62 2,52 2,44 2,32 2,24 2,15 2,06 2,00 1,92 1,88 1,82 1,78 1,75
46 4,05 3,20 2,81 2,57 2,42 2,30 2,22 2,14 2,09 2,04 2,00 1,97 1,91 1,87 1,80 1,75 1,71 1,65 1,62 1,57 1,54 1,51 1,48 1,40
7,21 5,10 4,24 3,76 3,44 3,22 3,05 2,92 2,82 2,73 2,66 2,60 2,50 2,42 2,30 2,22 2,13 2,04 1,98 1,90 1,86 1,80 1,76 1,72
48 4,04 3,19 2,80 2,56 2,41 2,30 2,21 2,14 2,03 2,03 1,99 1,96 1,90 1,86 1,79 1,74 1,70 1,64 1,61 1,56 1,53 1,50 1,47 1,45
7,19 5,08 4,22 3,74 3,42 3,20 3,04 2,90 2,80 2,71 2,64 2,58 2,48 2,40 2,28 2,20 2,11 2,02 1,96 1,88 1,84 1,78 1,73 1,70
50 4,03 3,18 2,79 2,56 2,40 2,29 2,20 2,13 2,07 2,02 1,98 1,95 1,90 1,85 1,78 1,74 1,69 1,63 1,60 1,55 1,52 1,48 1,46 1,44
7,17 5,06 4,20 3,72 3,41 3,18 3,02 2,88 2,73 2,70 2,62 2,56 2,46 2,39 2,26 2,18 2,10 2,00 1,94 1,86 1,82 1,76 1,71 1,68
55 4,02 3,17 2,78 2,54 2,38 2,27 2,18 2,11 2,05 2,00 1,97 1,93 1,88 1,83 1,76 1,72 1,67 1,61 1,58 1,52 1,50 1,46 1,43 1,41
7,12 5,01 4,16 3,68 3,37 3,15 2,98 2,85 2,75 2,65 2,59 2,53 2,43 2,35 2,23 2,15 2,06 1,96 1,90 1,82 1,78 1,71 1,66 1,64
60 4,00 3,15 2,76 2,52 2,37 2,25 2,17 2,10 2,04 1,99 1,95 1,92 1,86 1,81 1,75 1,70 1,65 1,59 1,56 1,50 1,48 1,44 1,41 1,39
7,03 4,98 4,13 3,65 3,34 3,12 2,95 2,82 2,72 2,63 2,56 2,50 2,40 2,32 2,20 2,10 2,03 1,93 1,87 1,79 1,74 1,68 1,63 1,60
65 3,99 3,14 2,75 2,51 2,36 2,24 2,15 2,08 2,02 1,98 1,94 1,90 1,85 1,80 1,71 1,68 1,63 1,57 1,54 1,49 1,46 1,42 1,39 1,37
7,04 4,95 4,10 3,62 3,31 3,09 2,93 2,79 2,70 2,61 2,54 2,47 2,37 2,30 2,18 2,09 2,00 1,90 1,84 1,76 1,71 1,64 1,60 1,56
70 3,98 3,13 2,74 2,50 2,35 2,23 2,14 2,07 2,01 1,97 1,93 1,89 1,83 1,79 1,72 1,67 1,62 1,56 1,53 1,47 1,45 1,40 1,37 1,35
7,01 4,92 4,08 3,60 3,29 3,07 2,91 2,77 2,67 2,59 2,51 2,45 2,35 2,28 2,15 2,07 1,98 1,88 1,82 1,74 1,69 1,62 1,56 1,53
80 3,96 3,11 2,72 2,48 2,33 2,21 2,12 2,05 1,99 1,95 1,91 1,88 1,82 1,77 1,70 1,65 1,60 1,54 1,51 1,45 1,42 1,38 1,35 1,32
6,96 4,88 4,04 3,56 3,25 3,04 2,87 2,74 2,64 2,55 2,48 2,41 2,32 2,24 2,11 2,03 1,94 1,84 1,78 1,70 1,65 1,57 1,52 1,49
100 3,94 3,09 2,70 2,46 2,30 2,19 2,10 2,03 1,97 1,92 1,88 1,85 1,79 1,75 1,68 1,63 1,57 1,51 1,48 1,42 1,39 1,34 1,30 1,28
6,90 4,82 3,98 3,51 3,20 2,99 2,82 2,69 2,59 2,51 2,43 2,36 2,26 2,19 2,06 1,98 1,89 1,79 1,73 1,64 1,59 1,51 1,46 1,43
125 3,92 3,07 2,68 2,44 2,29 2,17 2,08 2,01 1,95 1,90 1,86 1,83 1,77 1,72 1,65 1,60 1,55 1,49 1,45 1,39 1,36 1,31 1,27 1,25
6,84 4,78 3,94 3,47 3,17 2,95 2,79 2,65 2,56 2,47 2,40 2,33 2,23 2,15 2,03 1,94 1,85 1,75 1,68 1,59 1,54 1,46 1,40 1,37
150 3,91 3,06 2,67 2,43 2,27 2,10 2,07 2,00 1,94 1,89 1,85 1,82 1,76 1,71 1,64 1,59 1,54 1,47 1,44 1,37 1,34 1,29 1,25 1,22
6,81 4,75 3,91 3,44 3,14 2,92 2,76 2,62 2,53 2,44 2,37 2,30 2,20 2,12 2,00 1,91 1,83 1,72 1,66 1,56 1,51 1,43 1,37 1,33
200 3,89 3,04 2,65 2,41 2,26 2,14 2,05 1,98 1,92 1,87 1,83 1,80 1,74 1,69 1,62 1,57 1,52 1,45 1,42 1,35 1,32 1,26 1,22 1,19
6,76 4,71 3,88 3,41 3,11 2,90 2,73 2,60 2,50 2,41 2,34 2,28 2,17 2,09 1,97 1,88 1,79 1,69 1,62 1,53 1,48 1,39 1,33 1,28
400 3,86 3,02 2,62 2,39 2,23 2,12 2,03 1,96 1,90 1,85 1,81 1,78 1,72 1,67 1,60 1,54 1,49 1,42 1,38 1,32 1,28 1,22 1,16 1,13
6,70 4,65 3,83 3,36 3,06 2,85 2,69 2,55 2,46 2,37 2,29 2,23 2,12 2,04 1,92 1,84 1,74 1,64 1,57 1,47 1,42 1,32 1,24 1,19
1000 3,85 3,00 2,61 2,38 2,22 2,10 2,02 1,95 1,89 1,84 1,80 1,76 1,70 1,65 1,58 1,53 1,47 1,41 1,36 1,30 1,26 1,19 1,13 1,08
6,66 4,62 3,80 3,34 3,04 2,82 2,66 2,53 2,43 2,34 2,26 2,20 2,09 2,01 1,89 1,81 1,71 1,61 1,54 1,44 1,38 1,28 1,19 1,11
∞ 3,84 2,99 2,60 2,37 2,31 2,09 2,01 1,94 1,88 1,83 1,79 1,75 1,69 1,64 1,57 1,52 1,46 1,40 1,35 1,28 1,24 1,17 1,11 1,00
6,63 4,60 3,78 3,32 3,02 2,80 2,64 2,51 2,41 2,32 2,24 2,18 2,07 1,99 1,87 1,79 1,69 1,59 1,52 1,41 1,36 1,25 1,15 1,00
Sumber : Snedecor, George W dan Cochran, William G, 1980, Statistical Methods seventh
edition, Ames Iowa USA : The Iowa State University Press
15
Tabel Transformasi dari r ke Z
r Zr r Zr r Zr r Zr r Zr
0,000 0,000 0,200 0,203 0,400 0,424 0,600 0,693 0,800 1,099
0,005 0,005 0,205 0,208 0,405 0,430 0,605 0,701 0,805 1,113
0,010 0,010 0,210 0,213 0,410 0,436 0,610 0,709 0,810 1,127
0,015 0,015 0,215 0,218 0,415 0,442 0,615 0,717 0,815 1,142
0,020 0,020 0,220 0,224 0,420 0,448 0,620 0,725 0,820 1,157
0,025 0,025 0,225 0,229 0,425 0,454 0,625 0,733 0,825 1,172
0,030 0,030 0,230 0,234 0,430 0,460 0,630 0,741 0,830 1,188
0,035 0,035 0,235 0,239 0,435 0,466 0,635 0,750 0,835 1,204
0,040 0,040 0,240 0,245 0,440 0,472 0,640 0,758 0,840 1,221
0,045 0,045 0,245 0,250 0,445 0,478 0,645 0,767 0,845 1,238
0,050 0,050 0,250 0,255 0,450 0,485 0,650 0,775 0,850 1,256
0,055 0,055 0,255 0,261 0,455 0,491 0,655 0,784 0,855 1,274
0,060 0,060 0,260 0,266 0,460 0,497 0,660 0,793 0,860 1,293
0,065 0,065 0,265 0,271 0,465 0,504 0,665 0,802 0,865 1,313
0,070 0,070 0,270 0,277 0,470 0,510 0,670 0,811 0,870 1,333
0,075 0,075 0,275 0,282 0,475 0,517 0,675 0,820 0,875 1,354
0,080 0,080 0,280 0,288 0,480 0,523 0,680 0,829 0,880 1,376
0,085 0,085 0,285 0,293 0,485 0,530 0,685 0,838 0,885 1,398
0,090 0,090 0,290 0,299 0,490 0,536 0,690 0,848 0,890 1,422
0,095 0,095 0,295 0,304 0,495 0,543 0,695 0,858 0,895 1,447
0,100 0,100 0,300 0,310 0,500 0,549 0,700 0,867 0,900 1,472
0,105 0,105 0,305 0,315 0,505 0,556 0,705 0,877 0,905 1,499
0,110 0,110 0,310 0,321 0,510 0,563 0,710 0,887 0,910 1,528
0,115 0,116 0,315 0,326 0,515 0,570 0,715 0,897 0,915 1,557
0,120 0,121 0,320 0,332 0,520 0,576 0,720 0,908 0,920 1,589
0,125 0,126 0,325 0,337 0,525 0,583 0,725 0,918 0,925 1,623
0,130 0,131 0,330 0,343 0,530 0,590 0,730 0,929 0,930 1,658
0,135 0,136 0,335 0,348 0,535 0,597 0,735 0,940 0,935 1,697
0,140 0,141 0,340 0,354 0,540 0,604 0,740 0,950 0,940 1,738
0,145 0,146 0,345 0,359 0,545 0,611 0,745 0,962 0,945 1,783
0,150 0,151 0,350 0,365 0,550 0,618 0,750 0,973 0,950 1,832
0,155 0,156 0,355 0,371 0,555 0,626 0,755 0,984 0,955 1,886
0,160 0,161 0,360 0,377 0,560 0,633 0,760 0,996 0,960 1,946
0,165 0,167 0,365 0,383 0,565 0,640 0,765 1,008 0,965 2,014
0,170 0,172 0,370 0,388 0,570 0,648 0,770 1,020 0,970 2,092
0,175 0,177 0,375 0,394 0,575 0,655 0,775 1,033 0,975 2,185
0,180 0,182 0,380 0,400 0,580 0,660 0,780 1,045 0,980 2,298
0,185 0,187 0,385 0,406 0,585 0,670 0,785 1,058 0,985 2,443
0,190 0,192 0,390 0,412 0,590 0,678 0,790 1,078 0,990 2,647
0,195 0,198 0,395 0,418 0,595 0,685 0,795 1,085 0,995 2,994
Sumber : Soepeno, Bambang, 1997, Statistik Terapan (Dalam Penelitian Ilmu-Ilmu Sosial dan
Pendidikan), Jakarta ; PT. Rineka Cipta
16
Tabel Nilai Perkiraan Korelasi Tetrachoric dari K
rt ad
bc
rt ad
bc
rt ad
bc
0,00 0,00  1,00 0,35 2,49  2,55 0,70 8,50  8,90
0,01 1,01  1,03 0,36 2,56  2,63 0,71 8,91  9,35
0,02 1,04  1,06 0,37 2,64  2,71 0,72 9,36  9,82
0,03 1,07  1,08 0,38 2,72  2,79 0,73 9,83  10,33
0,04 1,09  1,11 0,39 2,80  2,87 0,74 10,34  10,90
0,05 1,12  1,14 0,40 2,88  2,96 0,75 10,91  11,51
0,06 1,15  1,17 0,41 2,97  3,05 0,76 11,52  12,16
0,07 1,18  1,20 0,42 3,06  3,14 0,77 12,17  12,89
0,08 1,21  1,23 0,43 3,15  3,24 0,78 12,90  13,70
0,09 1,24  1,27 0,44 3,25  3,34 0,79 13,71  14,58
0,10 1,28  1,30 0,45 3,35  3,45 0,80 14,59  15,57
0,11 1,31  1,33 0,46 3,46  3,56 0,81 15,58  16,65
0,12 1,34  1,37 0,47 3,57  3,68 0,82 16,66  17,88
0,13 1,38  1,40 0,48 3,69  3,80 0,83 17,89  19,28
0,14 1,41  1,44 0,49 3,81  3,92 0,84 19,29  20,85
0,15 1,45  1,48 0,50 3,93  4,06 0,85 20,86  22,68
0,16 1,49  1,52 0,51 4,07  4,20 0,86 22,69  24,76
0,17 1,53  1,56 0,52 4,21  4,34 0,87 20,77  27,22
0,18 1,57  1,60 0,53 4,35  4,49 0,88 20,23  30,09
0,19 1,61  1,64 0,54 4,50  4,66 0,89 30,10  33,60
0,20 1,65  1,69 0,55 4,67  4,82 0,90 33,61  37,79
0,21 1,70  1,73 0,56 4,83  4,99 0,91 37,80  43,06
0,22 1,74  1,78 0,57 5,00  5,18 0,92 43,07  49,83
0,23 1,79  1,83 0,58 5,19  5,38 0,93 49,84  58,79
0,24 1,84  1,88 0,59 5,39  5,59 0,94 58,80  70,95
0,25 1,89  1,93 0,60 5,60  5,80 0,95 70,96  89,01
0,26 1,94  1,96 0,61 5,81  6,03 0,96 89,02  117,54
0,27 1,99  2,04 0,62 6,04  6,28 0,97 117,55  169,67
0,28 2,05  2,10 0,63 6,29  6,54 0,98 169,68  293,12
0,29 2,11  2,15 0,64 6,55  6,81 0,99 293,13  923,97
0,30 2,16  2,22 0,65 6,82  7,10 1,00 923,98 
0,31 2,23  2,28 0,66 7,11  7,42
0,32 2,29  2,34 0,67 7,43  7,75
0,33 2,35  2,41 0,68 7,76  8,11
0,34 2,42  2,48 0,69 8,12  8,49
Sumber : Soepeno, Bambang, 1997, Statistik Terapan (Dalam Penelitian Ilmu-Ilmu Sosial dan
Pendidikan), Jakarta ; PT. Rineka Cipta
17
Tabel Fisher
signifikansi signifikansiJumlah di tepi kanan B
A 0,050 0,025 0,010 0,005
Jumlah di tepi kanan B
A 0,050 0,025 0,010 0,005
A + B = 3 C + D = 3 3 0    C + D = 2 8 0 0  
A + B = 4 C + D = 4 4 0 0   A + B = 9 C + D = 9 9 5 4 3 3
C + D = 3 4 0    8 3 3 2 1
A + B = 5 C + D = 5 5 1 1 0 0 7 2 1 1 0
4 0 0   6 1 1 0 0
C + D = 4 5 1 0 0  5 0 0  
4 0    4 0   
C + D = 3 5 0    C + D = 8 9 4 3 3 2
C + D = 2 5 0    8 3 2 1 1
A + B = 6 C + D = 6 6 2 1 1 0 7 2 1 0 0
5 1 0 0  6 1 0 0 
4 0    5 0 0  
C + D = 5 6 1 0 0 0 C + D = 7 9 3 3 2 2
5 0 0   8 2 2 1 0
4 0    7 1 1 0 0
C + D = 4 6 1 0 0 0 6 0 0  
5 0 0   5 0   
C + D = 3 6 0 0   C + D = 6 9 3 2 1 1
5 0    8 2 1 0 0
C + D = 2 6 0    7 1 0  
A + B = 7 C + D = 7 7 3 2 1 1 6 0 0  
6 1 1 0 0 5 0   
5 0 0   C + D = 5 9 2 1 1 1
4 0    8 1 1 0 0
C + D = 6 7 2 2 1 1 7 0 0  
6 1 0 0 0 6 0   
5 0 0   C + D = 4 9 1 0 0 0
4 0    8 0 0 0 
C + D = 5 7 2 1 0 0 7 0 0  
6 1 0 0  6 0   
5 0    C + D = 3 9 1 0 0 0
C + D = 4 7 1 1 0 0 8 0 0  
6 0 0   7 0   
5 0    C + D = 2 9 0 0  
C + D = 3 7 0 0 0  A + B = 10 C + D = 10 10 6 5 4 3
6 0    9 4 3 3 2
C + D = 2 7 0    8 3 2 1 1
A + B = 8 C + D = 8 8 4 3 2 2 7 2 1 1 0
7 2 2 1 0 6 1 0 0 
6 1 1 0 0 5 0 0  
5 0 0   4 0   
4 0    C + D =9 10 5 4 3 3
C + D = 7 8 3 2 2 1 9 4 3 2 2
7 2 1 1 0 8 2 2 1 1
6 1 0 0  7 1 1 0 0
5 0 0   6 1 0 0 
C + D = 6 8 2 2 1 1 5 0 0  
7 1 1 0 0 C + D = 8 10 4 4 3 2
6 0 0 0  9 3 2 2 1
5 0    8 2 1 1 0
C + D = 5 8 2 1 1 0 7 1 1 0 0
7 1 0 0 0 6 0 0  
6 0 0   5 0   
5 0    C + D = 7 10 3 3 2 2
C + D = 4 8 1 1 0 0 9 2 2 1 1
7 0 0   8 1 1 0 0
6 0    7 1 0 0 
C + D = 3 8 0 0 0  6 0 0  
7 0 0   5 0   
18
signifikansi signifikansiJumlah di tepi kanan B
A 0,050 0,025 0,010 0,005
Jumlah di tepi kanan B
A 0,050 0,025 0,010 0,005
C + D = 6 10 3 2 2 1 9 1 0 0 0
9 2 1 1 0 8 0 0  
8 1 1 0 0 7 0   
7 0 0   C + D = 4 11 1 1 1 0
6 0    10 1 0 0 
C + D = 5 10 2 2 1 1 9 0   
9 1 1 0 0 8 0   
8 1 0 0  C + D = 3 11 1 0 0 0
7 0 0   10 0 0  
6 0    9 0   
C + D = 4 10 1 1 0 0 C + D = 2 11 0 0  
9 1 0 0 0 10 0   
8 0 0   A + B = 12 C + D = 12 12 8 7 6 5
7 0    11 6 5 4 4
C + D = 3 10 1 0 0 0 10 5 4 3 2
9 0 0   9 4 3 2 1
8 0    8 3 2 1 1
C + D = 2 10 0    7 2 1 0 0
9 0    6 1 0 0 
A + B = 11 C + D = 11 11 7 6 5 4 5 0 0  
10 5 4 3 3 4 0   
9 4 3 2 2 C + D = 11 12 7 6 5 5
8 3 2 1 1 11 5 5 4 3
7 2 1 0 0 10 4 3 2 2
6 1 0 0  9 3 2 2 1
5 0 0   8 2 1 1 0
4 0    7 1 1 0 0
C + D = 10 11 6 5 4 4 6 1 0 0 
10 4 4 3 2 5 0 0  
9 3 3 2 1 C + D = 10 12 6 5 5 4
8 2 2 1 0 11 5 4 3 3
7 1 1 0 0 10 4 3 2 2
6 1 0 0  9 3 2 1 1
5 0    8 2 1 0 0
C + D =9 11 5 4 4 3 7 1 0 0 0
10 4 3 2 2 6 0 0  
9 3 2 1 1 5 0   
8 2 1 1 0 C + D =9 12 5 5 4 3
7 1 1 0 0 11 4 3 3 2
6 0 0   10 3 2 2 1
5 0    9 2 2 1 0
C + D = 8 11 4 4 3 3 8 1 1 0 0
10 3 3 2 1 7 1 0 0 
9 2 2 1 1 6 0 0  
8 1 1 0 0 5 0   
7 1 0 0  C + D = 8 12 5 4 3 3
6 0 0   11 3 3 2 2
5 0    10 2 2 1 1
C + D = 7 11 4 3 2 2 9 2 1 1 0
10 3 2 1 1 8 1 1 0 0
9 2 1 1 0 7 0 0  
8 1 1 0 0 6 0 0  
7 0 0   C + D = 7 12 4 3 3 2
6 0 0   11 3 2 2 1
C + D = 6 11 3 2 2 1 10 2 1 1 0
10 2 1 1 0 9 1 1 0 0
9 1 1 0 0 8 1 0 0 
8 1 0 0  7 0 0  
7 0 0   6 0   
6 0    C + D = 6 12 3 3 2 2
C + D = 5 11 2 2 1 1 11 2 2 1 1
10 1 1 0 0 10 1 1 0 0
19
signifikansi signifikansiJumlah di tepi kanan B
A 0,050 0,025 0,010 0,005
Jumlah di tepi kanan B
A 0,050 0,025 0,010 0,005
9 1 0 0 0 9 2 1 0 0
8 0 0   8 1 1 0 0
7 0 0   7 0 0  
6 0    6 0 0  
C + D = 5 12 2 2 1 1 5 0   
11 1 1 1 0 C + D = 8 13 5 4 3 3
10 1 0 0 0 12 4 3 2 2
9 0 0 0  11 3 2 1 1
8 0 0   10 2 1 1 0
7 0    9 1 1 0 0
C + D = 4 12 2 1 1 0 8 1 0 0 
11 1 0 0  7 0 0  
10 0 0 0  6 0   
9 0 0   C + D = 7 13 4 3 3 2
8 0    12 3 2 2 1
C + D = 3 12 1 0 0 0 11 2 2 1 1
11 0 0 0  10 1 1 0 0
10 0 0   9 1 0 0 0
9 0    8 0 0  
C + D = 2 12 0 0   7 0 0  
11 0    6 0   
A + B = 13 C + D = 13 13 9 8 7 6 C + D = 6 13 3 3 2 2
12 7 6 5 4 12 2 2 1 1
11 6 5 4 3 11 2 1 1 0
10 4 4 3 2 10 1 1 0 0
9 3 3 2 1 9 1 0 0 
8 2 2 1 0 8 0 0  
7 2 1 0 0 7 0   
6 1 0 0  C + D = 5 13 2 2 1 1
5 0 0   12 2 1 1 0
4 0    11 1 1 0 0
C + D = 12 13 8 7 6 5 10 1 0 0 
12 6 5 5 4 9 0 0  
11 5 4 3 3 8 0   
10 4 3 2 2 C + D = 4 13 2 1 1 0
9 3 2 1 1 12 1 1 0 0
8 2 1 1 0 11 0 0 0 
7 1 1 0 0 10 0 0  
6 1 0 0  9 0   
5 0 0   C + D = 3 13 1 1 0 0
C + D = 11 13 7 6 5 5 12 0 0  
12 6 5 4 3 11 0 0  
11 4 4 3 2 10 0   
10 3 3 2 1 C + D = 2 13 0 0 0 
9 3 2 1 1 12 0   
8 1 1 0 0 11 0   
7 1 0 0 0 A + B = 14 C + D = 14 14 10 9 8 7
6 0 0   13 8 7 6 5
5 0    12 6 6 5 4
C + D = 10 13 6 6 5 4 11 5 4 3 2
12 5 4 3 3 10 4 3 2 2
11 4 3 2 2 9 3 2 2 1
10 3 2 1 1 8 2 2 1 0
9 2 1 1 0 7 1 1 0 0
8 1 1 0 0 6 1 0 0 
7 1 0 0  5 0 0  
6 0 0   4 0   
5 0    C + D = 13 14 9 8 7 6
C + D = 9 13 5 5 4 4 13 7 6 5 5
12 4 4 3 2 12 6 5 4 3
11 3 3 2 1 11 5 4 3 2
10 2 2 1 1 10 4 3 2 2
20
signifikansi signifikansiJumlah di tepi kanan B
A 0,050 0,025 0,010 0,005
Jumlah di tepi kanan B
A 0,050 0,025 0,010 0,005
9 3 2 1 1 13 2 2 1 1
8 2 1 1 1 12 1 1 0 0
7 1 1 0 0 11 1 0 0 0
6 1 0   10 0 0  
5 0 0   9 0 0  
C + D = 12 14 8 7 6 6 8 0   
13 6 6 5 4 C + D = 5 14 2 2 1 1
12 5 4 4 3 13 2 1 1 0
11 4 3 3 2 12 1 1 0 0
10 3 3 2 1 11 1 0 0 
9 2 2 1 1 10 0 0  
8 2 1 0 0 9 0 0  
7 1 0 0  8 0   
6 0 0   C + D = 4 14 2 1 1 1
5 0    13 1 1 0 0
C + D = 11 14 7 6 6 5 12 1 0 0 0
13 6 5 4 4 11 0 0  
12 5 4 3 3 10 0 0  
11 4 3 2 2 9 0   
10 3 2 1 1 C + D = 3 14 1 1 0 0
9 2 1 1 0 13 0 0 0 
8 1 1 0 0 12 0 0  
7 1 0 0  11 0   
6 0 0   C + D = 2 14 0 0 0 
5 0    13 0 0  
C + D = 10 14 6 6 5 4 12 0   
13 5 4 4 3 A + B = 15 C + D = 15 15 11 10 9 8
12 4 3 3 2 14 9 8 7 6
11 3 3 2 1 13 7 6 5 5
10 2 2 1 1 12 6 5 4 4
9 2 1 0 0 11 5 4 3 3
8 1 1 0 0 10 4 3 2 2
7 0 0 0  9 3 2 1 1
6 0 0   8 2 1 1 0
5 0    7 1 1 0 0
C + D = 9 14 6 5 4 4 6 1 0 0 
13 4 4 3 3 5 0 0  
12 3 3 2 2 4 0   
11 3 2 1 1 C + D = 14 15 10 9 8 7
10 2 1 1 0 14 8 7 6 6
9 1 1 0 0 13 7 6 5 4
8 1 0 0  12 6 5 4 3
7 0 0   11 5 4 3 2
6 0    10 4 3 2 2
C + D = 8 14 5 4 4 3 9 4 3 2 1
13 4 3 2 2 8 2 1 1 0
12 3 2 2 1 7 1 1 0 0
11 2 2 1 1 6 1 0  
10 2 1 0 0 5 0   
9 1 0 0 0 C + D = 13 15 9 8 7 7
8 0 0 0  14 7 7 6 5
7 0 0   13 6 5 4 4
6 0    12 5 4 3 3
C + D = 7 14 4 3 3 2 11 4 3 2 2
13 3 2 2 1 10 3 2 2 1
12 2 2 1 1 9 2 2 1 0
11 2 1 1 0 8 2 1 0 0
10 1 1 0 0 7 1 0 0 
9 1 0 0  6 0 0  
8 0 0   5 0   
7 0    C + D = 12 15 8 7 7 6
C + D = 6 14 3 3 2 2 14 7 6 5 4
21
signifikansi signifikansiJumlah di tepi kanan B
A 0,050 0,025 0,010 0,005
Jumlah di tepi kanan B
A 0,050 0,025 0,010 0,005
13 6 5 4 3 11 2 1 1 0
12 5 4 3 2 10 1 1 0 0
11 4 3 2 2 9 1 0 0 
10 3 2 1 1 8 0 0  
9 2 1 1 0 7 0   
8 1 1 0 0 6 0   
7 1 0 0  C + D = 7 15 4 4 3 3
6 0 0   14 3 3 2 2
5 0    13 2 2 1 1
C + D = 11 15 7 7 6 5 12 2 1 1 0
14 6 5 4 4 11 1 1 0 0
13 5 4 3 3 10 1 0 0 0
12 4 3 2 2 9 0 0  
11 3 2 2 1 8 0 0  
10 2 2 1 1 8 0   
9 2 1 0 0 C + D = 6 15 3 3 2 2
8 1 1 0 0 14 2 2 1 1
7 1 0 0  13 2 1 1 0
6 0 0   12 1 1 0 0
5 0    11 1 0 0 0
C + D = 10 15 6 6 5 5 10 0 0 0 
14 5 5 4 3 9 0 0  
13 4 4 3 2 8 0   
12 3 3 2 2 C + D = 5 15 2 2 2 1
11 3 2 1 1 14 2 1 1 1
10 2 1 1 0 13 1 1 0 0
9 1 1 0 0 12 1 0 0 0
8 1 0 0  11 0 0 0 
7 0 0   10 0 0  
6 0    9 0   
C + D = 9 15 6 5 4 4 C + D = 4 15 2 1 1 1
14 5 4 3 3 14 1 1 0 0
13 4 3 2 2 13 1 0 0 0
12 3 2 2 1 12 0 0 0 
11 2 2 1 1 11 0 0  
10 2 1 0 0 10 0   
9 1 1 0 0 C + D = 3 15 1 1 0 0
8 1 0 0  14 0 0 0 0
7 0 0   13 0 0  
6 0    12 0 0  
C + D = 8 15 5 4 4 3 11 0   
14 4 3 3 2 C + D = 2 15 0 0 0 
13 3 2 2 1 14 0 0  
12 2 2 1 1 13 0 0  
Sumber : Siegel, Sidney, 1956, Non Parametric Statistics For The Behavioral Sciences, New
York : Mc Graw-Hill Book Company.
22
Tabel Nilai q
Jumlah Perlakuandf
2 3 4 5 6 7 8 9 10 11 12 13 14 15 16
1 26,70 32,80 37,2040,50 43,10 45,40 47,30 49,10 50,60 51,90 53,20 54,30 55,40 56,30 26,70
2 8,28 9,80 10,8911,73 12,43 13,03 13,54 13,99 14,39 14,75 15,08 15,38 15,65 15,91 8,28
3 5,88 6,83 7,51 8,04 8,47 8,35 9,18 9,46 9,72 9,95 10,16 10,35 10,52 10,69 5,88
4 5,00 5,76 6,31 6,73 7,06 7,35 7,60 7,83 8,03 8,21 8,37 8,52 8,67 8,80 5,00
5 4,54 5,18 5,64 5,99 6,28 6,52 6,74 6,93 7,10 7,25 7,39 7,52 7,64 7,75 4,54
6 4,34 4,90 5,31 5,63 5,89 6,12 6,32 6,49 6,65 6,79 6,92 7,04 7,14 7,24 4,34
7 4,16 4,68 5,06 5,35 5,59 5,80 5,99 6,15 6,29 6,42 6,54 6,65 6,75 6,84 4,16
8 4,04 4,53 4,89 5,17 5,40 5,60 5,77 5,92 6,05 6,18 6,29 6,39 6,48 6,57 4,04
9 3,95 4,42 4,76 5,02 5,24 5,43 5,60 5,74 5,87 5,98 6,09 6,19 6,28 6,36 3,95
10 3,88 4,33 4,66 4,91 5,12 5,30 5,46 5,60 5,72 5,83 5,93 6,03 6,12 6,20 3,88
11 3,82 4,26 4,58 4,82 5,03 5,20 5,35 5,49 5,61 5,71 5,81 5,90 5,98 6,06 3,82
12 3,77 4,20 4,51 4,75 4,95 5,12 5,27 5,40 5,51 5,61 5,71 5,80 5,88 5,95 3,77
13 3,73 4,15 4,46 4,69 4,88 5,05 5,19 5,32 5,43 5,53 5,63 5,71 5,79 5,86 3,73
14 3,70 4,11 4,41 4,64 4,83 4,99 5,13 5,25 5,36 5,46 5,56 5,64 5,72 5,79 3,70
15 3,67 4,08 4,37 4,59 4,78 4,94 5,08 5,20 5,31 5,40 5,49 5,57 5,65 5,72 3,67
16 3,65 4,05 4,34 4,56 4,74 4,90 5,03 5,15 5,26 5,35 5,44 5,52 5,59 5,66 3,65
17 3,62 4,02 4,31 4,52 4,70 4,86 4,99 5,11 5,21 5,31 5,39 5,47 5,55 5,61 3,62
18 3,61 4,00 4,28 4,49 4,67 4,83 4,96 5,07 5,17 5,27 5,35 5,43 5,50 5,57 3,61
19 3,59 3,98 4,26 4,47 4,64 4,79 4,93 5,04 5,14 5,23 5,32 5,39 5,46 5,53 3,59
20 3,58 3,96 4,24 4,45 4,62 4,77 4,90 5,01 5,11 5,20 5,28 5,36 5,43 5,50 3,58
24 3,35 3,90 4,17 4,37 4,54 4,68 4,81 4,92 5,01 5,10 5,18 5,25 5,32 5,38 3,35
30 3,48 3,84 4,11 4,30 4,46 4,60 4,72 4,83 4,92 5,00 5,08 5,15 5,21 5,27 3,48
40 3,44 3,79 4,04 4,23 4,39 4,52 4,63 4,74 4,82 4,90 4,98 5,05 5,11 5,17 3,44
60 3,40 3,74 3,98 4,16 4,31 4,44 4,55 4,65 4,73 4,81 4,88 4,94 5,00 5,06 3,40
120 3,36 3,69 3,92 4,10 4,24 4,36 4,47 4,56 4,64 4,71 4,78 4,84 4,90 4,95 3,36
∞ 3,32 3,63 3,86 4,03 4,17 4,29 4,39 4,47 4,55 4,62 4,68 4,74 4,80 4,84 3,32
Sumber : Nasir, Moh, 1985, Metode Penelitian cetakan pertama, Jakarta : Ghalia Indonesia.
23
Tabel Harga Quantil Statistik Lilliefors Distribusi Normal
Ukuran sampel
N
p = 0,80
α = 0,20
p = 0,85
α = 0,15
p = 0,90
α = 0,10
p = 0,95
α = 0,05
p = 0,99
α = 0,01
4 0,300 0,319 0,352 0,381 0,417
5 0,285 0,299 0,315 0,337 0,405
6 0,265 0,277 0,294 0,319 0,364
7 0,247 0,258 0,276 0,300 0,348
8 0,233 0,244 0,261 0,285 0,331
9 0,223 0,233 0,249 0,271 0,311
10 0,215 0,224 0,239 0,258 0,294
11 0,206 0,217 0,230 0,249 0,284
12 0,199 0,212 0,223 0,242 0,275
13 0,190 0,202 0,214 0,234 0,268
14 0,183 0,194 0,207 0,227 0,261
15 0,177 0,187 0,201 0,220 0,257
16 0,173 0,182 0,195 0,213 0,250
17 0,169 0,177 0,189 0,206 0,245
18 0,166 0,173 0,184 0,200 0,239
19 0,163 0,169 0,179 0,195 0,235
20 0,160 0,166 0,174 0,190 0,231
25 0,142 0,147 0,158 0,173 0,200
30 0,131 0,136 0,144 0,161 0,187
n >30 n
736,0
n
768,0
n
805,0
n
886,0
n
031,1
Sumber : Conover, W.J, 1980, Practical Nonparametric Statistics second edition, New York :
John Wiley & Sons.
24
Tabel Harga Quantil Statistik Shapiro-
Wilk Distribusi Normal
N 0,01 0,02 0,05 0,10 0,50 0,90 0,95 0,98 0,99
3 0,753 0,756 0,767 0,789 0,959 0,998 0,999 1,000 1,000
4 0,687 0,707 0,748 0,792 0,935 0,987 0,992 0,996 0,997
5 0,686 0,715 0,762 0,806 0,927 0,979 0,986 0,991 0,993
6 0,713 0,743 0,788 0,826 0,927 0,974 0,981 0,986 0,989
7 0,730 0,760 0,803 0,838 0,928 0,972 0,979 0,985 0,988
8 0,749 0,778 0,818 0,851 0,932 0,972 0,978 0,984 0,987
9 0,764 0,791 0,829 0,859 0,935 0,972 0,978 0,984 0,986
10 0,781 0,806 0,842 0,869 0,938 0,972 0,978 0,983 0,986
11 0,792 0,817 0,850 0,876 0,940 0,973 0,979 0,984 0,986
12 0,805 0,828 0,859 0,883 0,943 0,973 0,979 0,984 0,986
13 0,814 0,837 0,866 0,889 0,945 0,974 0,979 0,984 0,986
14 0,825 0,846 0,874 0,895 0,947 0,975 0,980 0,984 0,986
15 0,835 0,855 0,881 0,901 0,950 0,975 0,980 0,984 0,987
16 0,844 0,863 0,887 0,906 0,952 0,976 0,981 0,985 0,987
17 0,851 0,869 0,892 0,910 0,954 0,977 0,981 0,985 0,987
18 0,858 0,874 0,897 0,914 0,956 0,978 0,982 0,986 0,988
19 0,863 0,879 0,901 0,917 0,957 0,978 0,982 0,986 0,988
20 0,868 0,884 0,905 0,920 0,959 0,979 0,983 0,986 0,988
21 0,873 0,888 0,908 0,923 0,960 0,980 0,983 0,987 0,989
22 0,878 0,892 0,911 0,926 0,961 0,980 0,984 0,987 0,989
23 0,881 0,895 0,914 0,928 0,962 0,981 0,984 0,987 0,989
24 0,884 0,898 0,916 0,930 0,963 0,981 0,984 0,987 0,989
25 0,888 0,901 0,918 0,931 0,964 0,981 0,985 0,988 0,989
26 0,891 0,904 0,920 0,933 0,965 0,982 0,985 0,988 0,989
27 0,894 0,906 0,923 0,935 0,965 0,982 0,985 0,988 0,990
28 0,896 ,0,908 0,924 0,936 0,966 0,982 0,985 0,988 0,990
29 0,898 0,910 0,926 0,937 0,966 0,982 0,985 0,988 0,990
30 0,900 0,912 0,927 0,939 0,967 0,983 0,985 0,988 0,990
31 0,902 0,914 0,929 0,940 0,967 0,983 0,986 0,988 0,990
32 0,904 0,915 0,930 0,941 0,968 0,983 0,986 0,988 0,990
33 0,906 0,917 0,931 0,942 0,968 0,983 0,986 0,989 0,990
34 0,908 0,919 0,933 0,943 0,969 0,983 0,986 0,989 0,990
35 0,910 0,920 0,934 0,944 0,969 0,984 0,986 0,989 0,990
36 0,912 0,922 0,935 0,945 0,970 0,984 0,986 0,989 0,990
37 0,914 0,924 0,936 0,946 0,970 0,984 0,987 0,989 0,990
38 0,916 0,925 0,938 0,947 0,971 0,984 0,987 0,989 0,990
39 0,917 0,927 0,939 0,948 0,971 0,984 0,987 0,989 0,991
40 0,919 0,928 0,940 0,949 0,972 0,985 0,987 0,989 0,991
41 0,920 0,929 0,941 0,950 0,972 0,985 0,987 0,989 0,991
42 0,922 0,930 0,942 0,951 0,972 0,985 0,987 0,989 0,991
43 0,923 0,932 0,943 0,951 0,973 0,985 0,987 0,990 0,991
44 0,924 0,933 0,944 0,952 0,973 0,985 0,987 0,990 0,991
45 0,926 0,934 0,945 0,953 0,973 0,985 0,988 0,990 0,991
46 0,927 0,935 0,945 0,953 0,974 0,985 0,988 0,990 0,991
47 0,928 0,936 0,946 0,954 0,974 0,985 0,988 0,990 0,991
48 0,929 0,937 0,947 0,954 0,974 0,985 0,988 0,990 0,991
49 0,929 0,937 0,947 0,955 0,974 0,985 0,988 0,990 0,991
50 0,930 0,938 0,947 0,955 0,974 0,985 0,988 0,990 0,991
Sumber : Conover, W.J, 1980, Practical Nonparametric Statistics second edition, New York : John Wiley & Sons.
25
Tabel Konversi Statistik Shapiro-Wilk Pendekatan Distribusi Normal
n 3 4 5 6
(dn) (0,7500) (0,6297) (0,5521) (0,4963)
-7,0 -3,29 - - -
-5,4 -2,81 - - -
-5,0 -2,68 - - -
-4,6 -2,54 - - -
-4,2 -2,40 - - -
-3,8 -2,25 -3,50 -- -
-3,4 -2,10 -3,27 - -
-3,0 -1,94 -3,05 -4,01 -
-2,6 -1,77 -2,84 -3,70 -
-2,2 -1,59 -2,64 -3,38 -
-1,8 -1,40 -2,44 -3,11 -
-1,4 -1,21 -2,22 -2,87 -
-1,0 -1,01 -1,96 -2,56 -3,72
-0,6 -0,80 -1,66 -2,20 -2,88
-0,2 -0,60 -1,31 -1,81 -2,27
0,2 -0,39 -0,94 -1,41 -1,85
0,6 -0,19 -0,57 -0,97 -1,38
1,0 -0,00 -0,19 -0,51 -0,84
1,4 0,18 0,15 -0,06 -0,33
1,8 0,35 0,45 0,37 0,18
2,2 0,52 0,74 0,75 0,64
2,6 0,67 1,00 1,09 1,06
3,0 0,81 1,23 1,40 1,45
3,4 0,95 1,44 1,67 1,83
3,8 1,07 1,65 1,91 2,17
4,2 1,19 1,85 2,15 2,50
4,6 1,31 2,03 2,47 2,77
5,0 1,42 2,19 2,85 3,09
5,4 1,52 2,34 3,24 3,54
5,8 1,62 2,48 3,64 -
6,2 1,72 2,62
6,6 1,81 2,75
7,0 1,90 2,87
7,4 1,98 2,97
7,8 2,07 3,08
8,2 2,15 3,22
8,6 2,23 3,36
9,0 2,31
9,4 2,38
9,8 2,45
26
n bn Cn dn
7 -2,356 1,245 0,4533
8 -2,696 1,333 0,4186
9 -2,968 1,400 0,3900
10 -3,262 1,471 0,3600
11 -3,485 1,515 0,3451
12 -3,731 1,571 0,3270
13 -3,936 1,613 0,3111
14 -4,155 1,655 0,2969
15 -4,373 1,695 0,2842
16 -4,567 1,724 0,2727
17 -4,713 1,739 0,2622
18 -4,885 1,770 0,2528
19 -5,018 1,786 0,2440
20 -5,153 1,802 0,2359
21 -5,291 1,818 0,2264
22 -5,413 1,835 0,2207
23 -5,508 1,848 0,2157
24 -5,605 1,862 0,2106
25 -5,704 1,876 0,2063
26 -5,803 1,890 0,2020
27 -5,905 1,905 0,1980
28 -5,988 1,919 0,1943
29 -6,074 1,934 0,1907
30 -6,150 1,949 0,1872
31 -6,248 1,965 0,1840
32 -6,324 1,976 0,1811
33 -6,402 1,988 0,1781
34 -6,480 2,000 0,1755
35 -6,559 2,012 0,1727
36 -6,640 2,024 0,1702
37 -6,721 2,037 0,1677
38 -6,803 2,049 0,1656
39 -6,887 2,062 0,1633
40 -6,961 2,075 0,1612
41 -7,035 2,088 0,1591
42 -7,111 2,101 0,1572
43 -7,188 2,114 0,1552
44 -7,266 2,128 0,1534
45 -7,345 2,141 0,1516
46 -7,414 2,155 0,1499
47 -7,484 2,169 0,1482
48 -7,555 2,183 0,1466
49 -7,615 2,198 0,1451
50 -7,677 2,212 0,1436
Sumber : Conover, W.J, 1980, Practical Nonparametric Statistics second edition, New York :
John Wiley & Sons.
27
Tabel Koefisient untuk test Shapiro-Wilk
2 3 4 5 6 7 8 9
1 0,7071 0,7071 0,6872 0,6646 0,6431 0,6233 0,6052 0,5888
2 - 0,0000 0,1667 0,2413 0,2806 0,3031 0,3164 0,3244
3 - - - 0,000 0,0875 0,1401 0,1743 0,1976
4 - - - - - 0,0000 0,0561 0,0947
5 - - - - - - - 0,000
6 - - - - - - - -
10 11 12 13 14 15 16 17 18 19
1 0,5739 0,5601 0,5475 0,5359 0,5251 0,5150 0,5056 0,4968 0,4886 0,4808
2 0,3291 0,3315 0,3325 0,3325 0,3318 0,3306 0,3290 0,3273 0,3253 0,3232
3 0,2141 0,2260 0,2347 0,2412 0,2460 0,2495 0,2521 0,2540 0,2553 0,2561
4 0,1224 0,1429 0,1586 0,1707 0,1802 0,1878 0,1939 0,1988 0,2027 0,2059
5 0,0399 0,0695 0,0922 0,1099 0,1240 0,1353 0,1447 0,1524 0,1587 0,1641
6 - 0,0000 0,0303 0,0539 0,0727 0,0880 0,1005 0,1109 0,1197 0,1271
7 - - - 0,0000 0,0240 0,0433 0,0593 0,0725 0,0837 0,0932
8 - - - - - 0,0000 0,0196 0,0359 0,0496 0,0612
9 - - - - - - - 0,0000 0,0163 0,0303
10 - - - - - - - - - 0,0000
11 - - - - - - - - - -
20 21 22 23 24 25 26 27 28 29
1 0,4734 0,4643 0,4590 0,4542 0,4493 0,4450 0,4407 0,4366 0,4328 0,4291
2 0,3211 0,3185 0,3156 0,3126 0,3098 0,3069 0,3043 0,3018 0,2992 0,2968
3 0,2565 0,2578 0,2571 0,2563 0,2554 0,2543 0,2533 0,2522 0,2510 0,2499
4 0,2085 0,2119 0,2131 0,2139 0,2145 0,2148 0,2151 0,2152 0,2151 0,2150
5 0,1686 0,1736 0,1764 0,1787 0,1807 0,1822 0,1836 0,1848 0,1857 0,1864
6 0,1334 0,1399 0,1443 0,1480 0,1512 0,1539 0,1563 0,1584 0,1601 0,1616
7 0,1013 0,1092 0,1150 0,1201 0,1245 0,1283 0,1316 0,1346 0,1372 0,1395
8 0,0711 0,0804 0,0878 0,0941 0,0997 0,1046 0,1089 0,1128 0,1162 0,1192
9 0,0422 0,0530 0,0618 0,0696 0,0764 0,0823 0,0876 0,0923 0,0965 0,1002
10 0,0140 0,0263 0,0368 0,0459 0,0539 0,0610 0,0672 0,0728 0,0778 0,0822
11 - 0,0000 0,0122 0,0228 0,0321 0,0403 0,0476 0,0540 0,0598 0,0650
12 - - - 0,0000 0,0107 0,0200 0,0284 0,0358 0,0424 0,0483
13 - - - - - 0,0000 0,0094 0,0178 0,0253 0,0320
14 - - - - - - - 0,0000 0,0084 0,0159
15 - - - - - - - - - 0,0000
28
30 31 32 33 34 35 36 37 38 39
1 0,4254 0,4220 0,4188 0,4156 0,4127 0,4096 0,4068 0,4040 0,4015 0,3989
2 0,2944 0,2921 0,2898 0,2876 0,2854 0,2834 0,2813 0,2794 0,2774 0,2755
3 0,2487 0,2475 0,2462 0,2451 0,2439 0,2427 0,2415 0,2403 0,2391 0,2380
4 0,2148 0,2145 0,2141 0,2137 0,2132 0,2127 0,2121 0,2116 0,2110 0,2104
5 0,1870 0,1874 0,1878 0,1880 0,1882 0,1883 0,1883 0,1883 0,1881 0,1880
6 0,1630 0,1641 0,1651 0,1660 0,1667 0,1673 0,1678 0,1683 0,1686 0,1689
7 0,1415 0,1433 0,1449 0,1463 0,1475 0,1487 0,1496 0,1505 0,1513 0,1520
8 0,1219 0,1243 0,1265 0,1284 0,1301 0,1317 0,1331 0,1344 0,1356 0,1366
9 0,1036 0,1066 0,1093 0,1118 0,1140 0,1160 0,1179 0,1196 0,1211 0,1225
10 0,0862 0,0899 0,0931 0,0961 0,0988 0,1013 0,1036 0,1056 0,1075 0,1092
11 0,0697 0,0739 0,0777 0,0812 0,0844 0,0873 0,0900 0,0924 0,0947 0,0967
12 0,0537 0,059 0,0629 0,0669 0,0706 0,0739 0,0770 0,0798 0,0824 0,0848
13 0,0381 0,0435 0,0485 0,0530 0,0572 0,0610 0,0645 0,0677 0,0706 0,0733
14 0,0227 0,0289 0,0344 0,0395 0,0441 0,0484 0,0523 0,0559 0,0592 0,0622
15 0,0076 0,0144 0,0206 0,0262 0,0314 0,0361 0,0404 0,0444 0,0481 0,0515
16 - 0,0000 0,0068 0,0131 0,0187 0,0239 0,0287 0,0331 0,0372 0,0409
17 - - - 0,0000 0,0062 0,0119 0,0172 0,0220 0,0264 0,0305
18 - - - - - 0,0000 0,0057 0,0110 0,0158 0,0203
19 - - - - - - - 0,0000 0,0053 0,0101
20 - - - - - - - - - 0,0000
40 41 42 43 44 45 46 47 48 49 50
1 0,3964 0,3940 0,3917 0,3894 0,3872 0,3850 0,3830 0,3808 0,3789 0,3770 0,3751
2 0,2737 0,2719 0,2701 0,2684 0,2667 0,2651 0,2635 0,2620 0,2604 0,2589 0,2574
3 0,2368 0,2357 0,2345 0,2334 0,2323 0,2313 0,2302 0,2291 0,2281 0,2271 0,2260
4 0,2098 0,2091 0,2085 0,2078 0,2072 0,2065 0,2058 0,2052 0,2045 0,2038 0,2032
5 0,1878 0,1876 0,1874 0,1871 0,1868 0,1865 0,1862 0,1859 0,1855 0,1851 0,1847
6 0,1691 0,169 0,1694 0,1695 0,1695 0,1695 0,1695 0,1695 0,1693 0,1692 0,1691
7 0,1526 0,1531 0,1535 0,1539 0,1542 0,1545 0,1548 0,1550 0,1551 0,1553 0,1554
8 0,1376 0,1384 0,1392 0,1398 0,1405 0,1410 0,1415 0,1420 0,1423 0,1427 0,1430
9 0,1237 0,1249 0,1259 0,1269 0,1278 0,1286 0,1293 0,1300 0,1306 0,1312 0,1317
10 0,1108 0,1123 0,1136 0,1149 0,1160 0,1170 0,1180 0,1189 0,1197 0,1205 0,1212
11 0,0986 0,1004 0,1020 0,1035 0,1049 0,1062 0,1073 0,1085 0,1095 0,1105 0,1113
12 0,0870 0,0891 0,0909 0,0927 0,0943 0,0959 0,0972 0,0986 0,0998 0,1010 0,1020
13 0,0759 0,0782 0,0804 0,0824 0,0842 0,0860 0,0876 0,0892 0,0906 0,0919 0,0932
14 0,0651 0,0677 0,0701 0,0724 0,0745 0,0765 0,0783 0,0801 0,0817 0,0832 0,0846
15 0,0546 0,0575 0,0602 0,0628 0,0651 0,0673 0,0694 0,0713 0,0731 0,0748 0,0764
16 0,0444 0,0476 0,0506 0,0534 0,0560 0,0584 0,0607 0,0628 0,0648 0,0667 0,0685
17 0,0343 0,0379 0,0411 0,0442 0,0471 0,0497 0,0522 0,0546 0,0568 0,0588 0,0608
18 0,0244 0,0283 0,0318 0,0352 0,0383 0,0412 0,0439 0,0465 0,0489 0,0511 0,0532
19 0,0146 0,0188 0,0227 0,0263 0,0296 0,0328 0,0357 0,0385 0,0411 0,0436 0,0459
20 0,0049 0,0094 0,0136 0,0175 0,0211 0,0245 0,0277 0,0307 0,0335 0,0361 0,0386
21 - 0,0000 0,0045 0,0087 0,0126 0,0163 0,0197 0,0229 0,0259 0,0288 0,0314
22 - - - 0,0000 0,0042 0,0081 0,0118 0,0153 0,0185 0,0215 0,0244
23 - - - - - 0,0000 0,0039 0,0076 0,0111 0,0143 0,0174
24 - - - - - - - 0,0000 0,0037 0,0071 0,0104
25 - - - - - - - - - 0,0000 0,0035
Sumber : Conover, W.J, 1980, Practical Nonparametric Statistics second edition, New York : John Wiley & Sons.
29
Table Quantiles Of The Wilcoxon Signed Ranks Test Statistic
n W0,005 W0,01 W0,025 W0,05 W0,10 W0,20 W0,30 W0,40 W0,50 2
)1( +nn
4 0 0 0 0 1 3 3 4 5 10
5 0 0 0 1 3 4 5 6 7,5 15
6 0 0 1 3 4 6 8 9 10,5 21
7 0 1 3 4 6 9 11 12 14 28
8 1 2 4 6 9 12 14 16 18 36
9 2 4 6 9 11 15 18 20 22,5 45
10 4 6 9 11 15 19 22 25 27,5 55
11 6 8 11 14 18 23 27 30 33 66
12 8 10 14 18 22 28 32 36 39 78
13 10 13 18 22 27 33 38 42 45,5 91
14 13 16 22 26 32 39 44 48 52,5 105
15 16 20 26 31 37 45 51 55 60 120
16 20 24 30 36 43 51 58 63 68 136
17 24 28 35 42 49 58 65 71 76,5 153
18 28 33 41 48 56 66 73 80 85,5 171
19 33 38 47 54 63 74 82 89 95 190
20 38 44 53 61 70 83 91' 98 105 210
21 44 50 59 68 78 91 100 108 115,5 131
22 49 56 67 76 87 100 110 119 126,5 153
23 55 63 74 84 95 110 120 130 138 176
24 62 70 82 92 105 120 131 141 150 300
25 69 77 90 101 114 131 143 153 162,5 325
26 76 85 99 111 125 142 155 165 175,5 351
27 84 94 108 120 135 154 167 178 189 378
28 92 102 117 131 146 166 180 192 203 406
29 101 111 127 141 158 178 193 206 217,5 435
30 110 121 138 152 170 191 207 220 232,5 465
31 119 131 148 164 182 205 221 235 248 496
32 129 141 160 176 195 219 236 250 264 528
33 139 152 171 188 208 233 251 266 280,5 561
34 149 163 183 201 222 248 266 282 297,5 595
35 160 175 196 214 236 263 283 299 315 630
36 172 187 209 228 251 279 299 317 333 666
37 184 199 222 242 266 295 316 335 351,5 703
38 196 212 236 257 282 312 334 353 370,5 741
39 208 225 250 272 298 329 352 372 390 780
40 221 239 265 287 314 '347 371 391 410 820
41 235 253 280 303 331 365 390 411 430,5 861
42 248 267 295 320 349 384 409 431 451,5 903
43 263 282 311 337 366 403 429 452 473 946
44 277 297 328 354 385 422 450 473 495 990
45 292 313 344 372 403 442 471 495 517,5 1035
46 308 329 362 390 423 463 492 517 540,5 1081
47 324 346 379 408 442 484 514 540 564 1128
48 340 363 397 428 463 505 536 563 588 1176
49 357 381 416 447 483 527 559 587 612,5 1225
50 374 398 435 467 504 550 583 611 637,5 1275
30
Tabel Harga Kritis T Dalam Tes Ranking Bertanda Data Berpasangan Wilcoxon
Tingkat Signifikansi untuk tes satu sisi
N 0,025 0,010 0,005
Tingkat Signifikansi untuk tes dua sisi
0,050 0,020 0,010
6 0  
7 2 0 
8 4 2 0
9 6 3 2
10 8 5 3
11 11 7 5
12 14 10 7
13 17 13 10
14 21 16 13
15 25 20 16
16 30 24 20
17 35 28 23
18 40 33 28
19 46 38 32
20 52 43 38
21 59 49 43
22 66 56 49
23 73 62 55
24 81 69 61
25 89 77 68
Sumber : Siegel, Sidney, 1956, Non Parametric Statistics For The Behavioral Sciences, New
York : Mc Graw-Hill Book Company.
31
Tabel Kemungkinan Yang Berkaitan Dengan Harga-Harga Sebesar Harga-Harga Observasi Xr2
Dalam Analisis Varian Ranking Dua Arah Friedman
Tabel N1, k = 3
N=2 N=3 N=4 N=5
Xr2
p Xr2
p Xr2
p Xr2
p
0 1,000 0,000 1,000 0,0 1,000 0,0 1,000
1 0,833 0,667 0,944 0,5 0,931 0,4 0,954
3 0,500 2,000 0,528 1,5 0,653 1,2 0,691
4 0,167 2,667 0,361 2,0 0,431 1,6 0,522
4,667 0,194 3,5 0,273 2,8 0,367
6,000 0,028 4,5 0,125 3,6 0,182
6,0 0,069 4,8 0,124
6,5 0,042 5,2 0,093
8,0 0,0046 6,4 0,039
7,6 0,024
8,4 0,0085
10,0 0,00077
N=6 N=7 N=8 N=9
Xr2
p Xr2
p Xr2
p Xr2
p
0,00 1,000 0,000 1,000 0,00 1,000 0,000 1,000
0,33 0,956 0,286 0,964 0,25 0,967 0,222 0,971
1,00 0,740 0,857 0,768 0,75 0,794 0,667 0,814
1,33 0,570 1,143 0,620 1,00 0,654 0,889 0,865
2,33 0,430 2,000 0,486 1,75 0,531 1,556 0,569
3,00 0,252 2,571 0,305 2,25 0,355 2,000 0,398
4,00 0,184 3,429 0,237 3,00 0,285 2,667 0,328
4,33 0,142 3,714 0,192 3,25 0,236 2,889 0,278
5,33 0,072 4,571 0,112 4,00 0,149 3,556 0,187
6,33 0,052 5,429 0,085 4,75 0,120 4,222 0,154
7,00 0,029 6,000 0,052 5,25 0,079 4,667 0,107
8,33 0,012 7,143 0,027 6,25 0,047 5,556 0,069
9,00 0,0081 7,714 0,021 6,75 0,038 6,000 0,057
9,33 0,0055 8,000 0,016 7,00 0,030 6,222 0,048
10,33 0,0017 8,857 0,0084 7,75 0,018 6,889 0,031
12,00 0,00013 10,286 0,0036 9,00 0,0099 8,000 0,019
10,571 0,0027 9,25 0,0080 8,222 0,016
11,143 0,0012 9,75 0,0048 8,667 0,010
12,286 0,00032 10,75 0,0024 9,556 0,0060
14,000 0,000021 12,00 0,0011 10,667 0,0035
12,25 0,00086 10,889 0,0029
13,00 0,00026 11,556 0,0013
14,25 0,000061 12,667 0,00066
16,00 0,0000036 13,556 0,00035
14,000 0,00020
14,222 0,000097
14,889 0,000054
16,222 0,000011
18,000 0,0000006
32
Tabel N2, k = 4
N=2 N=3 N=4
Xr2
p Xr2
p Xr2
p
0,0 1,000 0,2 1,000 0,0 1,000
0,6 0,958 0,6 0,958 0,3 0,992
1,2 0,834 1,0 0,910 0,6 0,928
1,8 0,792 1,8 0,727 0,9 0,900
2,4 0,625 2,2 0,808 1,2 0,800
3,0 0,542 2,6 0,524 1,5 0,754
3,6 0,458 3,4 0,446 1,8 0,677
4,2 0,375 3,8 0,342 2,1 0,649
4,8 0,208 4,2 0,300 2,4 0,524
5,4 0,167 5,0 0,207 2,7 0,508
6,0 0,042 5,4 0,175 3,0 0,432
5,8 0,148 3,3 0,389
6,6 0,075 3,6 0,355
7,0 0,054 3,9 0,324
7,4 0,033 4,5 0,242
8,2 0,017 4,8 0,200
9,0 0,0017 5,1 0,190
5,4 0,168
5,7 0,141
6,0 0,105
8,3 0,094
6,6 0,077
6,9 0,068
7,2 0,054
7,5 0,052
7,8 0,036
8,1 0,033
8,4 0,019
8,7 0,014
9,3 0,012
9,6 0,0069
9,9 0,0062
10,2 0,0027
10,8 0,0016
11,1 0,00094
12,0 0,000072
Sumber : Siegel, Sidney, 1956, Non Parametric Statistics For The Behavioral Sciences, New
York : Mc Graw-Hill Book Company.
33
Tabel Harga Kritis Statistik Penguji Kruskal-Wallis Untuk Tiga Sampel dan Ukuran Sampel
Kecil
Ukuran Sampel Ukuran Sampel
n1 n2 n3 Harga kritis p n1 n2 n3 Harga kritis p
2 1 1 4 3 2
2 2 1 3,6000 0,200 6,3000 0,011
2 2 2 4,5714 0,009 5,4444 0,046
3,7143 0,200 5,4000 0,051
4,5111 0,098
3 1 1 3,2000 0,300 4,4444 0,102
3 2 1 4,2857 0,100 4 3 3 6,7455 0,010
3,8571 0,133 6,7091 0,013
3 2 2 5,3572 0,029 5,7909 0,046
4,7143 0,048 5,7273 0,050
4,5000 0,067 4,7091 0,092
4,4643 0,105 4,7000 0,101
3 3 1 5,1429 0,043 4 4 1 6,8867 0,010
4,5714 0,100 6,1667 0,022
4,0000 0,129 4,9667 0,048
3 3 2 6,2500 0,011 4,8667 0,054
5,3611 0,032 4,1667 0,082
5,1389 0,061 4,0667 0,102
4,5556 0,100 4 4 2 7,0364 0,006
4,2500 0,121 6,8727 0,011
3 3 3 7,2000 0,004 5,4545 0,046
6,4889 0,011 5,2364 0,052
5,6889 0,029 4,5545 0,098
5,6000 0,050 4,4455 0,103
5,0667 0,086 4 4 3 7,1439 0,010
4,6222 0,100 7,1364 0,011
5,5985 0,049
4 1 1 3,5714 0,200 5,5758 0,005
4 2 1 4,8214 0,057 4,5455 0,099
4,5000 0,076 4,4773 0,102
4,0179 0,114 4 4 4 7,6538 0,008
4 2 2 6,0000 0,014 7,5385 0,011
5,3333 0,033 5,6923 0,049
5,1250 0,052 5,6538 0,054
4,4583 0,100 4,6539 0,097
4,1667 0,105 4,5001 0,104
4 3 1 5,8333 0,021
5,2083 0,054 5 1 1 3,8571 0,143
5,0000 0,057 5 2 1 5,2500 0,036
4,0556 0,093 5,0000 0,048
3,8889 0,129 4,4500 0,071
34
Ukuran Sampel Ukuran Sampel
n1 n2 n3
Harga kritis p n1 n2 n3 Harga kritis p
4,2000 0,095 5,6308 0,050
4,0500 0,119 4,5487 0,099
5 2 2 6,5333 0,008 4,5231 0,103
6,1333 0,013 5 4 4 7,7604 0,009
5,1600 0,034 7,7440 0,011
5,0400 0,056 5,6571 0,049
4,3733 0,090 5,6176 0,050
4,2933 0,122 4,6187 0,100
5 3 1 6,4000 0,012 4,5527 0,102
4,9600 0,048 5 5 1 7,3091 0,009
4,8711 0,052 6,8364 0,011
4,0178 0,095 5,1273 0,046
3,8400 0,123 4,9091 0,053
5 3 2 6,9091 0,009 4,1091 0,086
6,8218 0,010 4,0364 0,105
5,2509 0,049 5 5 2 7,3385 0,010
5,1055 0,052 7,2692 0,010
4,6509 0,091 5,3385 0,047
4,4945 0,101 5,2462 0,051
5 3 3 7,0788 0,009 4,6231 0,097
6,9818 0,011 4,5077 0,100
5,6485 0,049 5 5 3 7,5780 0,010
5,5152 0,051 7,5429 0,010
4,5333 0,097 5,7055 0,046
4,4121 0,109 5,6264 0,051
5 4 1 6,9545 0,008 4,5451 0,100
6,8400 0,011 4,5363 0,102
4,9855 0,044 5 5 4 7,8229 0,010
4,8600 0,056 7,7914 0,010
3,9873 0,098 5,6657 0,049
3,9600 0,102 5,6429 0,050
5 4 2 7,2045 0,009 4,5229 0,099
7,1182 0,010 4,5200 0,101
5,2727 0,049 5 5 5 8,0000 0,009
5,2682 0,050 7,9800 0,010
4,5409 0,098 5,7800 0,049
4,5182 0,101 5,6600 0,051
5 4 3 7,4449 0,110 4,5600 0,100
7,3949 0,011 4,5000 0,102
5,6564 0,049
Sumber : Siegel, Sidney, 1956, Non Parametric Statistics For The Behavioral Sciences, New
York : Mc Graw-Hill Book Company.
35
Tabel Kemungkinan Yang Berkaitan Dengan Harga-Harga Sekecil Harga-Harga X Observasi
Dalam Tes Binomial
N
x
0 1 2 3 4 5 6 7 8 9 10 11 12 13 14 15
5 0,031 0,188 0,500 0,812 0,969 ϒ
6 0,016 0,109 0,344 0,656 0,891 0,984 ϒ
7 0,008 0,062 0,227 0,500 0,773 0,938 0,992 ϒ
8 0,004 0,035 0,145 0,363 0,637 0,855 0,965 0,996 ϒ
9 0,002 0,020 0,090 0,254 0,500 0,746 0,910 0,980 0,998 ϒ
10 0,001 0,011 0,055 0,172 0,377 0,623 0,828 0,945 0,989 0,999 ϒ
11 0,006 0,033 0,113 0,274 0,500 0,726 0,887 0,967 0,994 ϒ ϒ
12 0,003 0,019 0,073 0,194 0,387 0,613 0,806 0,927 0,981 0,997 ϒ ϒ
13 0,002 0,011 0,046 0,133 0,291 0,500 0,709 0,867 0,954 0,989 0,998 ϒ ϒ
14 0,001 0,006 0,029 0,090 0,212 0,395 0,605 0,788 0,910 0,971 0,994 0,999 ϒ ϒ
15 0,004 0,018 0,059 0,151 0,304 0,500 0,696 0,849 0,941 0,982 0,996 ϒ ϒ ϒ
16 0,002 0,011 0,038 0,105 0,227 0,402 0,598 0,773 0,895 0,962 0,989 0,998 ϒ ϒ
17 0,001 0,006 0,025 0,072 0,166 0,315 0,500 0,685 0,834 0,928 0,975 0,994 0,999 ϒ
18 0,001 0,004 0,015 0,048 0,119 0,240 0,407 0,593 0,760 0,881 0,952 0,985 0,996 0,999
19 0,002 0,010 0,032 0,084 0,180 0,324 0,500 0,676 0,820 0,916 0,968 0,990 0,998
20 0,001 0,006 0,021 0,058 0,132 0,252 0,412 0,588 0,748 0,868 0,942 0,976 0,994
21 0,001 0,004 0,013 0,039 0,095 0,192 0,332 0,500 0,668 0,808 0,905 0,961 0,987
22 0,002 0,008 0,026 0,067 0,143 0,262 0,416 0,584 0,738 0,857 0,933 0,974
23 0,001 0,005 0,017 0,047 0,105 0,202 0,339 0,500 0,661 0,798 0,895 0,953
24 0,001 0,003 0,011 0,032 0,076 0,154 0,271 0,419 0,581 0,729 0,846 0,924
25 0,002 0,007 0,022 0,054 0,115 0,212 0,345 0,500 0,655 0,788 0,885
Sumber : Siegel, Sidney, 1956, Non Parametric Statistics For The Behavioral Sciences, New
York : Mc Graw-Hill Book Company.
36
Tabel Harga Kritis D dalam Tes Satu Sampel Kolmogorov Smirnov
Ukuran sampel
N
Tingkat Signifikansi untuk D = maksimum
 F0(X) – SN(X) 
0,20 0,15 0,10 0,05 0,01
1 0,900 0,925 0,950 0,975 0,995
2 0,684 0,726 0,776 0,842 0,929
3 0,565 0,597 0,642 0,708 0,828
4 0,494 0,525 0,564 0,624 0,733
5 0,446 0,474 0,510 0,565 0,669
6 0,410 0,436 0,470 0,521 0,618
7 0,381 0,405 0,438 0,486 0,577
8 0,358 0,381 0,411 0,457 0,543
9 0,339 0,360 0,388 0,432 0,514
10 0,322 0,342 0,368 0,410 0,490
11 0,307 0,326 0,352 0,391 0,468
12 0,295 0,313 0,338 0,375 0,450
13 0,284 0,302 0,325 0,361 0,433
14 0,274 0,292 0,314 0,349 0,418
15 0,266 0,283 0,304 0,338 0,404
16 0,258 0,274 0,295 0,328 0,392
17 0,250 0,266 0,286 0,318 0,381
18 0,244 0,259 0,278 0,309 0,371
19 0,237 0,252 0,272 0,301 0,363
20 0,231 0,246 0,264 0,294 0,356
25 0,21 0,22 0,24 0,27 0,32
30 0,19 0,20 0,22 0,24 0,29
35 0,18 0,19 0,21 0,23 0,27
n >35 n
07,1
n
14,1
n
22,1
n
36,1
n
63,1
Sumber : Siegel, Sidney, 1956, Non Parametric Statistics For The Behavioral Sciences, New
York : Mc Graw-Hill Book Company.
37
Tabel Harga Quantil Statistik Kolmogorov Distribusi Normal
Tingkat Signifikansi untuk tes satu sisi
N 0,100 0,075 0,050 0,025 0,01 0,005
Tingkat Signifikansi untuk tes dua sisi
0,200 0,150 0,100 0,050 0,020 0,010
1 0,900 0,925 0,950 0,975 0,990 0,995
2 0,684 0,726 0,776 0,842 0,900 0,929
3 0,565 0,597 0,642 0,708 0,785 0,828
4 0,494 0,525 0,564 0,624 0,689 0,733
5 0,446 0,474 0,510 0,565 0,627 0,669
6 0,410 0,436 0,470 0521 0,577 0,618
7 0,381 0,405 0,438 0,486 0,538 0,577
8 0,358 0,381 0,411 0,457 0,507 0,543
9 0,339 0,360 0,388 0,432 0,480 0,514
10 0,322 0,342 0,368 0,410 0,457 0,490
11 0,307 0,326 0,352 0,391 0,437 0,468
12 0,295 0,313 0,338 0,375 0,419 0,450
13 0,284 0302 0,325 0,361 0,404 0,433
14 0,274 0,292 0,314 0,349 0,390 0,418
15 0,266 0,283 0,304 0,338 0,377 0,404
16 0,258 0,274 0,295 0,328 0,366 0,392
17 0,250 0,266 0,286 0,318 0,355 0,381
18 0,244 0,259 0,278 0,309 0,346 0,371
19 0,237 0,252 0,272 0,301 0,337 0,363
20 0,231 0,246 0,264 0,294 0,329 0,356
21 0,226 0,259 0,287 0,321 0,344
22 0,221 0,253 0,281 0,314 0,337
23 0,216 0,247 0,275 0,307 0,330
24 0,212 0,242 0,269 0,301 0,323
25 0,208 0,22 0,238 0,264 0,295 0,317
26 0,204 0,233 0,259 0,290 0,311
27 0,200 0,229 0,254 0,284 0,305
28 0,197 0,225 0,250 0,279 0,300
29 0,193 0,221 0,246 0,275 0,295
30 0,190 0,20 0,218 0,242 0,270 0,290
31 0,187 0,214 0,238 0,266 0,285
32 0,184 0,211 0,234 0,262 0,281
33 0,182 0,208 0,231 0,258 0,277
34 0,179 0,205 0,227 0,254 0,213
35 0,171 0,19 0,202 0,224 0,251 0,269
36 0,174 0,199 0,221 0,247 0,265
37 0,172 0,196 0,218 0,244 0,262
38 0,170 0,194 0,215 0,241 0,258
39 0,168 0,191 0,213 0,238 0,255
40 0,165 0,189 0,210 0,235 0,252
25 0,208 0,238 0,264 0,295 0,317
30 0,190 0,218 0,242 0,270 0,290
35 0,177 0,202 0,224 0,251 0,269
40 0,165 0,189 0,210 0,235 0,252
>40
N
07,1
N
14,1
N
22,1
N
36,1
N
52,1
N
63,1
Sumber : Conover, W.J, 1980, Practical Nonparametric Statistics second edition, New York : John Wiley & Sons. Siegel, Sidney, 1956, Non
Parametric Statistics For The Behavioral Sciences, New York : Mc Graw-Hill Book Company.
38
Tabel Harga Kritis KD Dalam Tes Dua Sampel Kolmogorov Smirnov (Sampel Kecil)
One-tailed test Two-tailed testN
α = 0,05 α = 0,01 α = 0,05 α = 0,01
3 3   
4 4  4 
5 4 5 5 5
6 5 6 5 6
7 5 6 6 6
8 5 6 6 7
9 6 7 6 7
10 6 7 7 8
11 6 8 7 8
12 6 8 7 8
13 7 8 7 9
14 7 8 8 9
15 7 9 8 9
16 7 9 8 10
17 8 9 8 10
18 8 10 9 10
19 8 10 9 10
20 8 10 9 11
21 8 10 9 11
22 9 11 9 11
23 9 11 10 11
24 9 11 10 12
25 9 11 10 12
26 9 11 10 12
27 9 12 10 12
28 10 12 11 13
29 10 12 11 13
30 10 12 11 13
35 11 13 12
40 11 14 13
Sumber : Siegel, Sidney, 1956, Non Parametric Statistics For The Behavioral Sciences, New
York : Mc Graw-Hill Book Company.
39
Tabel Harga Kritis D Dalam Tes Dua Sampel Kolmogorov Smirnov (Sampel besar : tes dua
sisi)
Level of significance Value of D so large to call for rejection of Ho at the
indicated level of significance, where D = maximum  Sn1
(X) – Sn2(X) 
0,10
21
21
22,1
nn
nn +
0,05
21
21
36,1
nn
nn +
0,025
21
21
48,1
nn
nn +
0,01
21
21
63,1
nn
nn +
0,005
21
21
73,1
nn
nn +
0,001
21
21
95,1
nn
nn +
Sumber : Siegel, Sidney, 1956, Non Parametric Statistics For The Behavioral Sciences, New
York : Mc Graw-Hill Book Company.
40
Tabel Harga-harga Kritis untuk Tes Walsh
Tingkat
Signifikansi tes
Tes
Dua sisi ; terima jika µ1 ≠ 0 jika
N Satu
sisi
Dua
sisi
Satu sisi : terima µ1 < 0 jika Satu sisi : terima µ1 > 0 jika
4 0,062 0,125 d4 < 0 d1 > 0
5 0,062 0,125 ½ ( d4 + d5 ) < 0 ½ ( d1 + d2 ) > 0
0,031 0,062 d5 < 0 d1 > 0
6 0,047 0,094 max [ d5, ½ ( d4 + d6 ) < 0 ] min [ d2, ½ ( d1 + d3 ) > 0 ]
0,031 0,062 ½ ( d5 + d6 ) < 0 ½ ( d1 + d2 ) > 0
0,016 0,031 d6 < 0 d1 > 0
7 0,055 0,109 max [ d5, ½ ( d4 + d7 ) < 0 ] min [ d3, ½ ( d1 + d4 ) > 0 ]
0,023 0,047 max [ d6, ½ ( d5 + d7 ) < 0 ] min [ d2, ½ ( d1 + d3 ) > 0 ]
0,016 0,031 ½ ( d6 + d7 ) < 0 ½ ( d1 + d2 ) > 0
0,008 0,016 d7 < 0 d1 > 0
8 0,043 0,086 max [ d6, ½ ( d4 + d8 ) < 0 ] min [ d3, ½ ( d1 + d5 ) > 0 ]
0,027 0,055 max [ d6, ½ ( d5 + d8 ) < 0 ] min [ d3, ½ ( d1 + d4 ) > 0 ]
0,012 0,023 max [ d7, ½ ( d6 + d8 ) < 0 ] min [ d2, ½ ( d1 + d3 ) > 0 ]
0,008 0,016 ½ ( d7 + d8 ) < 0 ½ ( d1 + d2 ) > 0
0,004 0,008 d8 < 0 d1 > 0
9 0,051 0,102 max [ d6, ½ ( d4 + d9 ) < 0 ] min [ d4, ½ ( d1 + d6 ) > 0 ]
0,022 0,043 max [ d7, ½ ( d5 + d9 ) < 0 ] min [ d3, ½ ( d1 + d5 ) > 0 ]
0,010 0,020 max [ d8, ½ ( d5 + d9 ) < 0 ] min [ d2, ½ ( d1 + d5 ) > 0 ]
0,006 0,012 max [ d8, ½ ( d7 + d9 ) < 0 ] min [ d2, ½ ( d1 + d3 ) > 0 ]
0,004 0,008 ½ ( d8 + d9 ) < 0 ½ ( d1 + d2 ) > 0
10 0,056 0,111 max [ d6, ½ ( d4 + d10 ) < 0 ] min [ d5, ½ ( d1 + d7 ) > 0 ]
0,025 0,051 max [ d7, ½ ( d5 + d10 ) < 0 ] min [ d4, ½ ( d1 + d6 ) > 0 ]
0,011 0,021 max [ d8, ½ ( d6 + d10 ) < 0 ] min [ d3, ½ ( d1 + d5 ) > 0 ]
0,005 0,010 max [ d9, ½ ( d6 + d10 ) < 0 ] min [ d2, ½ ( d1 + d5 ) > 0 ]
11 0,048 0,097 max [ d7, ½ ( d4 + d11 ) < 0 ] min [ d5, ½ ( d1 + d8 ) > 0 ]
0,028 0,056 max [ d7, ½ ( d5 + d11 ) < 0 ] min [ d5, ½ ( d1 + d7 ) > 0 ]
0,011 0,021 max [½ ( d6 + d11 ), ½ ( d8 + d9 ) < 0 ] min [½ ( d1 + d6 ), ½ ( d3 + d4 ) > 0 ]
0,005 0,011 max [ d9, ½ ( d7 + d11 ) < 0 ] min [ d3, ½ ( d1 + d5 ) > 0 ]
12 0,047 0,094 max [½ ( d4 + d12 ), ½ ( d5 + d11 ) < 0 ] min [½ ( d1 + d9 ), ½ ( d2 + d8 ) > 0 ]
0,024 0,048 max [ d8, ½ ( d5 + d12 ) < 0 ] min [ d5, ½ ( d1 + d8 ) > 0 ]
0,010 0,020 max [ d9, ½ ( d6 + d12 ) < 0 ] min [ d4, ½ ( d1 + d7 ) > 0 ]
0,005 0,011 max [½ ( d7 + d12 ), ½ ( d9 + d10 ) < 0 ] min [½ ( d1 + d6 ), ½ ( d3 + d4 ) > 0 ]
13 0,047 0,094 max [½ ( d4 + d13 ), ½ ( d5 + d12 ) < 0 ] min [½ ( d1 + d10 ), ½ ( d2 + d9 ) > 0 ]
0,023 0,047 max [½ ( d5 + d13 ), ½ ( d6 + d12 ) < 0 ] min [½ ( d1 + d9 ), ½ ( d2 + d8 ) > 0 ]
0,010 0,020 max [½ ( d6 + d13 ), ½ ( d9 + d10 ) < 0 ] min [½ ( d1 + d8 ), ½ ( d4 + d5 ) > 0 ]
0,005 0,010 max [ d10, ½ ( d7 + d13 ) < 0 ] min [ d4, ½ ( d1 + d7 ) > 0 ]
14 0,047 0,094 max [½ ( d4 + d14 ), ½ ( d5 + d13 ) < 0 ] min [½ ( d1 + d11 ), ½ ( d2 + d10 ) > 0 ]
0,023 0,047 max [½ ( d5 + d14 ), ½ ( d6 + d13 ) < 0 ] min [½ ( d1 + d10 ), ½ ( d2 + d9 ) > 0 ]
0,010 0,020 max [ d10, ½ ( d6 + d14 ) < 0 ] min [ d5, ½ ( d1 + d9 ) > 0 ]
0,005 0,010 max [½ ( d7 + d14 ), ½ ( d10 + d11 ) < 0 ] min [½ ( d1 + d8 ), ½ ( d4 + d5 ) > 0 ]
15 0,047 0,094 max [½ ( d4 + d15 ), ½ ( d5 + d14 ) < 0 ] min [½ ( d1 + d12 ), ½ ( d2 + d11 ) > 0 ]
0,023 0,047 max [½ ( d5 + d15 ), ½ ( d6 + d14 ) < 0 ] min [½ ( d1 + d11 ), ½ ( d2 + d10 ) > 0 ]
0,010 0,020 max [½ ( d6 + d15 ), ½ ( d10 + d11 ) < 0 ] min [½ ( d1 + d10 ), ½ ( d5 + d6 ) > 0 ]
0,005 0,010 max [ d11, ½ ( d7 + d15 ) < 0 ] min [ d5, ½ ( d1 + d9 ) > 0 ]
Sumber : Siegel, Sidney, 1956, Non Parametric Statistics For The Behavioral Sciences, New
York : Mc Graw-Hill Book Company.
41
Tabel Nilai Koefisien Binomial
N 0
N
1
N
2
N
3
N
4
N
5
N
6
N
7
N
8
N
9
N
10
N
1 1 1
2 1 2 1
3 1 3 3 1
4 1 4 6 4 1
5 1 5 10 10 5 1
6 1 6 15 20 15 6 1
7 1 7 21 35 35 21 7 1
8 1 8 28 56 70 56 28 8 1
9 1 9 36 84 126 126 84 36 9 1
10 1 10 45 120 210 252 210 120 45 10 1
11 1 11 55 165 330 462 462 330 165 55 11
12 1 12 66 220 495 792 924 792 495 220 66
13 1 13 78 286 715 1287 1716 1716 1287 715 286
14 1 14 91 364 1001 2002 3003 3432 3003 2002 1001
15 1 15 105 455 1365 3003 5005 6435 6435 5005 3003
16 1 16 120 560 1820 4368 8008 11440 12870 11440 8008
17 1 17 136 680 2380 6188 12376 19448 24310 24310 19448
18 1 18 153 816 3060 8568 18564 31824 43758 48620 43758
19 1 19 171 969 3876 11628 27132 50388 75582 92378 92378
20 1 20 190 1140 4845 15504 38760 77520 125970 167960 184756
21 1 21 210 1330 5985 20349 54264 116280 203490 293930 352716
22 1 22 231 1540 7315 26334 74613 170544 319770 497420 646646
23 1 23 253 1771 8855 33649 100947 245157 490314 817190 1144066
24 1 24 276 2024 10626 42504 134596 346104 735471 1307504 1961256
25 1 25 300 2300 12650 53130 177100 480700 1081575 2042975 3268760
26 1 26 325 2600 14950 65780 230230 657800 1562275 3124550 5311735
27 1 27 351 2925 17550 80730 296010 888030 2220075 4686825 8436285
28 1 28 378 3276 20475 98280 376740 1184040 3108105 6906900 13123110
29 1 29 406 3654 23751 118755 475020 1560780 4292145 10015005 20030010
30 1 30 435 4060 27405 142506 593775 2035800 5852925 14307150 20045015
Sumber ; Sujana, 1992, Metoda Statistika, edisi ke 5, Bandung : Tarsito.
42
Tabel Harga-harga Kritis r dalam Tes Run
Tabel I
n1
n2
2 3 4 5 6 7 8 9 10 11 12 13 14 15 16 17 18 19 20
2 2 2 2 2 2 2 2 2 2
3 2 2 2 2 2 2 2 2 2 3 3 3 3 3 3
4 2 2 2 3 3 3 3 3 3 3 3 4 4 4 4 4
5 2 2 3 3 3 3 4 4 4 4 4 4 4 4 5 5 5
6 2 2 3 3 3 3 4 4 4 4 5 5 5 5 5 5 6 6
7 2 2 3 3 3 4 4 5 5 5 5 5 6 6 6 6 6 6
8 2 3 3 3 4 4 5 5 5 6 6 6 6 6 7 7 7 7
9 2 3 3 4 4 5 5 5 6 6 6 7 7 7 7 8 8 8
10 2 3 3 4 5 5 5 6 6 7 7 7 7 8 8 8 8 8
11 2 3 4 4 5 5 6 6 7 7 7 8 8 8 9 9 9 9
12 2 2 3 4 4 5 6 6 7 7 7 8 8 8 9 9 9 10 10
13 2 2 3 4 5 5 6 6 7 7 8 8 9 9 9 10 10 10 10
14 2 2 3 4 5 5 6 7 7 8 8 9 9 9 10 10 10 11 11
15 2 3 3 4 5 6 6 7 7 8 8 9 9 10 10 11 11 11 12
16 2 3 4 4 5 6 6 7 8 8 9 9 10 10 11 11 11 12 12
17 2 3 4 4 5 6 7 7 8 9 9 10 10 11 11 11 12 12 13
18 2 3 4 5 5 6 7 8 8 9 9 10 10 11 11 12 12 13 13
19 2 3 4 5 6 6 7 8 8 9 10 10 11 11 12 12 13 13 13
20 2 3 4 5 6 6 7 8 9 9 10 10 11 12 12 13 13 13 14
Tabel I
n1
n2
2 3 4 5 6 7 8 9 10 11 12 13 14 15 16 17 18 19 20
2
3
4 9 9
5 9 10 10 11 11
6 9 10 11 12 12 13 13 13 13
7 11 12 13 13 14 14 14 14 15 15 15
8 11 12 13 14 14 15 15 16 16 16 16 17 17 17 17 17
9 13 14 14 15 16 16 16 17 17 18 18 18 18 18 18
10 13 14 15 16 16 17 17 18 18 18 19 19 19 20 20
11 13 14 15 16 17 17 18 19 19 19 20 20 20 21 21
12 13 14 16 16 17 18 19 19 20 20 21 21 21 22 22
13 15 16 17 18 19 19 20 20 21 21 22 22 23 23
14 15 16 17 18 19 20 20 21 22 22 23 23 23 24
15 15 16 18 18 19 20 21 22 22 23 23 24 24 25
16 17 18 19 20 21 21 22 23 23 24 25 25 25
17 17 18 19 20 21 22 23 23 24 25 25 26 26
18 17 18 19 20 21 22 23 24 25 25 26 26 27
19 17 18 20 21 22 23 23 24 25 26 26 27 27
20 17 18 20 21 22 23 24 25 25 26 27 27 28
Sumber : Siegel, Sidney, 1956, Non Parametric Statistics For The Behavioral Sciences, New
York : Mc Graw-Hill Book Company.
43
Tabel Harga-harga Kritis U Dalam Tes Mann-Whitney
n2 = 3 n2 = 4
U
n1
1 2 3 U
n1
1 2 3 4
0 0,250 0,100 0,050 0 0,200 0,067 0,028 0,014
1 0,500 0,200 0,100 1 0,400 0,133 0,057 0,029
2 0,750 0,400 0,200 2 0,600 0,267 0,114 0,057
3 0,600 0,350 3 0,400 0,200 0,100
4 0,500 4 0,600 0,314 0,171
5 0,650 5 0,429 0,243
6 0,571 0,343
7 0,443
8 0,557
n2 = 5 n2 = 6
U
n1
1 2 3 4 5 U
n1
1 2 3 4 5 6
0 0,167 0,047 0,018 0,008 0,004 0 0,143 0,036 0,012 0,005 0,002 0,001
1 0,333 0,095 0,036 0,016 0,008 1 0,286 0,071 0,024 0,010 0,004 0,002
2 0,500 0,190 0,071 0,032 0,016 2 0,428 0,143 0,048 0,019 0,009 0,004
3 0,667 0,286 0,125 0,056 0,028 3 0,571 0,214 0,083 0,033 0,015 0,008
4 0,429 0,196 0,095 0,048 4 0,321 0,131 0,057 0,026 0,013
5 0,571 0,286 0,143 0,075 5 0,429 0,190 0,086 0,041 0,021
6 0,393 0,206 0,111 6 0,571 0,274 0,129 0,063 0,032
7 0,500 0,278 0,155 7 0,357 0,176 0,089 0,047
8 0,607 0,365 0,210 8 0,452 0,238 0,129 0,066
9 0,452 0,274 9 0,548 0,305 0,165 0,090
10 0,548 0,345 10 0,381 0,214 0,120
11 0,421 11 0,457 0,268 0,155
12 0,500 12 0,545 0,331 0,197
13 0,579 13 0,396 0,242
14 0,465 0,294
15 0,535 0,350
16 0,409
17 0,469
18 0,531
44
n2 = 7
U
n1
1 2 3 4 5 6 7
0 0,125 0,028 0,008 0,003 0,001 0,001 0,000
1 0,250 0,056 0,017 0,006 0,003 0,001 0,001
2 0,375 0,111 0,033 0,012 0,005 0,002 0,001
3 0,500 0,167 0,058 0,021 0,009 0,004 0,002
4 0,625 0,250 0,092 0,036 0,015 0,007 0,003
5 0,333 0,133 0,055 0,024 0,011 0,006
6 0,444 0,192 0,082 0,037 0,017 0,009
7 0,556 0,258 0,115 0,053 0,026 0,013
8 0,333 0,158 0,074 0,037 0,019
9 0,417 0,206 0,101 0,051 0,027
10 0,500 0,264 0,134 0,069 0,036
11 0,538 0,324 0,172 0,090 0,049
12 0,394 0,216 0,117 0,064
13 0,464 0,265 0,147 0,082
14 0,538 0,319 0,183 0,104
15 0,378 0,223 0,130
16 0,438 0,267 0,159
17 0,500 0,314 0,191
18 0,526 0,365 0,228
19 0,418 0,267
20 0,473 0,310
21 0,527 0,355
22 0,402
23 0,451
24 0,500
25 0,549
45
n2 = 8
U
n1
1 2 3 4 5 6 7 8 t normal
0 0,111 0,022 0,006 0,002 0,001 0,000 0,000 0,000 3,308 0,001
1 0,222 0,044 0,012 0,004 0,002 0,001 0,000 0,000 3,203 0,001
2 0,333 0,089 0,024 0,008 0,003 0,001 0,001 0,000 3,098 0,001
3 0,444 0,133 0,042 0,014 0,005 0,002 0,001 0,001 2,993 0,001
4 0,556 0,200 0,067 0,024 0,009 0,004 0,002 0,001 2,888 0,002
5 0,267 0,097 0,036 0,015 0,006 0,003 0,001 2,783 0,003
6 0,356 0,139 0,055 0,023 0,010 0,005 0,002 2,678 0,004
7 0,444 0,188 0,077 0,033 0,015 0,007 0,003 2,573 0,005
8 0,556 0,248 0,107 0,047 0,021 0,010 0,005 2,468 0,007
9 0,315 0,141 0,064 0,030 0,014 0,007 2,363 0,009
10 0,387 0,184 0,085 0,041 0,020 0,010 2,258 0,012
11 0,461 0,230 0,111 0,054 0,027 0,014 2,153 0,016
12 0,539 0,285 0,142 0,071 0,036 0,019 2,048 0,020
13 0,341 0,177 0,091 0,047 0,025 1,943 0,026
14 0,404 0,217 0,114 0,060 0,032 1,838 0,033
15 0,467 0,262 0,141 0,076 0,041 1,733 0,041
16 0,533 0,311 0,172 0,095 0,052 1,628 0,052
17 0,362 0,207 0,116 0,065 1,523 0,064
18 0,416 0,245 0,140 0,080 1,418 0,078
19 0,472 0,286 0,168 0,097 1,313 0,094
20 0,528 0,331 0,198 0,117 1,208 0,113
21 0,377 0,232 0,139 1,102 0,135
22 0,426 0,268 0,164 0,998 0,159
23 0,475 0,306 0,191 0,893 0,185
24 0,525 0,347 0,221 0,788 0,215
25 0,389 0,253 0,683 0,247
26 0,433 0,287 0,578 0,282
27 0,478 0,323 0,473 0,318
28 0,522 0,360 0,368 0,356
29 0,399 0,263 0,396
30 0,439 0,158 0,437
31 0,480 0,052 0,481
32 0,520
46
Harga-harga kritis U untuk tes satu sisi pada α = 0,001 atau untuk test dua sisi pada α = 0,002
n2
n1
9 10 11 12 13 14 15 16 17 18 19 20
1
2
3 0 0 0 0
4 0 0 0 1 1 1 2 2 3 3 3
5 1 1 2 2 3 3 4 5 5 6 7 7
6 2 3 4 4 5 6 7 8 9 10 11 12
7 3 5 6 7 8 9 10 11 13 14 15 16
8 5 6 8 9 11 12 14 15 17 18 20 21
9 7 8 10 12 14 15 17 19 21 23 25 26
10 8 10 12 14 17 19 21 23 25 27 29 32
11 10 12 15 17 20 22 24 27 29 32 34 37
12 12 14 17 20 23 25 28 31 34 37 40 42
13 14 17 20 23 26 29 32 35 38 42 45 48
14 15 19 22 25 29 32 36 39 43 46 50 54
15 17 21 24 28 32 36 40 43 47 51 55 59
16 19 23 27 31 35 39 43 48 52 56 60 65
17 21 25 29 34 38 43 47 52 57 61 66 70
18 23 27 32 37 42 46 51 56 61 66 71 76
19 25 29 34 40 45 50 55 60 66 71 77 82
20 26 32 37 42 48 54 59 65 70 76 82 88
Harga-harga kritis U untuk tes satu sisi pada α = 0,01 atau untuk test dua sisi pada α = 0,02
n2
n1
9 10 11 12 13 14 15 16 17 18 19 20
1
2 0 0 0 0 0 0 1 1
3 1 1 1 2 2 2 3 3 4 4 4 5
4 3 3 4 5 5 6 7 7 8 9 9 10
5 5 6 7 8 9 10 11 12 13 14 15 16
6 7 8 9 11 12 13 15 16 18 19 20 22
7 9 11 12 14 16 17 19 21 23 24 26 28
8 11 13 15 17 20 22 24 26 28 30 32 34
9 14 16 18 21 23 26 28 31 33 36 38 40
10 16 19 22 24 27 30 33 36 38 41 44 47
11 18 22 25 28 31 34 37 41 44 47 50 53
12 21 24 28 31 35 38 42 46 49 53 56 60
13 23 27 31 35 39 43 47 51 55 59 63 67
14 26 30 34 38 43 47 51 56 60 65 69 73
15 28 33 37 42 47 51 56 61 66 70 75 80
16 31 36 41 46 51 56 61 66 71 76 82 87
17 33 38 44 49 55 60 66 71 77 82 88 93
18 36 41 47 53 59 65 70 76 82 88 94 100
19 38 44 50 56 63 69 75 82 88 94 101 107
20 40 47 53 60 67 73 80 87 93 100 107 114
47
Harga-harga kritis U untuk tes satu sisi pada α = 0,025 atau untuk test dua sisi pada α = 0,05
n2
n1
9 10 11 12 13 14 15 16 17 18 19 20
1
2 0 0 0 1 1 1 1 1 2 2 2 2
3 2 3 3 4 4 5 5 6 6 7 7 8
4 4 5 6 7 8 9 10 11 11 12 13 13
5 7 8 9 11 12 13 14 15 17 18 19 20
6 10 11 13 14 16 17 19 21 22 24 25 27
7 12 14 16 18 20 22 24 26 28 30 32 34
8 15 17 19 22 24 26 29 31 34 36 38 41
9 17 20 23 26 28 31 34 37 39 42 45 48
10 20 23 26 29 33 36 39 42 45 48 52 55
11 23 26 30 33 37 40 44 47 51 55 58 62
12 26 29 33 37 41 45 49 53 57 61 65 69
13 28 33 37 41 45 50 54 59 63 67 72 76
14 31 36 40 45 50 55 59 64 67 74 78 83
15 34 39 44 49 54 59 64 70 75 80 85 90
16 37 42 47 53 59 64 70 75 81 86 92 98
17 39 45 51 57 63 67 75 81 87 93 99 105
18 42 48 55 61 67 74 80 86 93 99 106 112
19 45 52 58 65 72 78 85 92 99 106 113 119
20 48 55 62 69 76 83 90 98 105 112 119 127
Harga-harga kritis U untuk tes satu sisi pada α = 0,05 atau untuk test dua sisi pada α = 0,10
n2
n1
9 10 11 12 13 14 15 16 17 18 19 20
1 0 0
2 1 1 1 2 2 2 3 3 3 4 4 4
3 3 4 5 5 6 7 7 8 9 9 10 11
4 6 7 8 9 10 11 12 14 15 16 17 18
5 9 11 12 13 15 16 18 19 20 22 23 25
6 12 14 16 17 19 21 23 25 26 28 30 32
7 15 17 19 21 24 26 28 30 33 35 37 39
8 18 20 23 26 28 31 33 36 39 41 44 47
9 21 24 27 30 33 36 39 42 45 48 51 54
10 24 27 31 34 37 41 44 48 51 55 58 62
11 27 31 34 38 42 46 50 54 57 61 65 69
12 30 34 38 42 47 51 55 60 64 68 72 77
13 33 37 42 47 51 56 61 65 70 75 80 84
14 36 41 46 51 56 61 66 71 77 82 87 92
15 39 44 50 55 61 66 72 77 83 88 94 100
16 42 48 54 60 65 71 77 83 89 95 101 107
17 45 51 57 64 70 77 83 89 96 102 109 115
18 48 55 61 68 75 82 88 95 102 109 116 123
19 51 58 65 72 80 87 94 101 109 116 123 130
20 54 62 69 77 84 92 100 107 115 123 130 138
Sumber : Siegel, Sidney, 1956, Non Parametric Statistics For The Behavioral Sciences, New
York : Mc Graw-Hill Book Company.
48
Tabel Faktorial
N N!
0 1
1 1
2 2
3 6
4 24
5 120
6 720
7 5040
8 40320
9 362880
10 3628800
11 39916800
12 479001600
13 6227020800
14 87178291200
15 1307674368000
16 20922789888000
17 355687428096000
18 6402373705728000
19 121645100408832000
20 2432902008176640000
Sumber : Siegel, Sidney, 1956, Non Parametric Statistics For The Behavioral Sciences, New
York : Mc Graw-Hill Book Company.
49
Tabel Angka Random
14620
09742
56919
97310
07585
95430
85125
17803
78209
28040
12951
48477
95781
51263
26939
81953
42783
85069
52396
64531
17629
70473
61594
82681
70570
83603
52491
85347
82611
98412
09137
66875
92086
70858
74070
26453
93650
53045
78159
83468
02148
91487
31847
47615
18295
30742
37190
36207
23721
32585
25950
82973
60819
59041
74208
85189
16405
27364
38475
69516
69374
81497
59081
03615
79530
37904
20863
72635
84093
47649
06759
94072
49180
49731
53046
70799
83615
72537
62748
95420
59249
09701
46950
39206
41857
63461
47920
81736
47315
69420
75108
46857
53290
84697
79762
45703
31924
81736
30853
01935
39412
48480
95318
77094
63158
03642
50075
28749
16385
49753
87497
11804
49512
90185
84279
29735
24956
35408
72635
56496
14308
72182
21814
86259
30618
46493
59649
07949
38352
23973
28493
16284
70949
94710
25354
75091
83538
50959
36853
25237
82753
53920
15395
94969
48544
15040
47192
26081
38405
20405
19082
15232
94252
72020
48392
73645
84146
77489
18895
06359
09182
87729
62434
84948
47040
73649
65584
20965
53072
05695
56823
83641
20274
74573
79799
95208
19488
03994
19520
05342
49635
34739
25989
92764
54212
01420
57052
19609
85397
21539
46768
43056
74372
52095
48207
45362
29950
74151
18079
95920
37950
09394
34800
36436
28187
77387
59842
28055
75946
31824
35495
39573
91570
85712
52265
48192
51630
99154
06293
80494
84518
78548
39603
85621
66428
30210
06461
76846
97764
15703
23805
06566
77183
53126
05792
27837
21752
50369
37396
53376
24953
78967
18501
57039
54205
42610
45692
68867
06096
91590
13838
72201
63435
59038
62367
79940
08423
45192
96983
45627
97007
41489
62020
49218
58317
67511
15498
47358
57179
76928
87939
94911
32286
08062
50274
68417
79392
41659
25074
28705
21786
65362
31842
06374
45060
09822
19672
47269
96484
50903
67510
93682
70904
59159
66578
23817
84190
62972
23749
41485
71254
07896
71433
54614
30176
81686
62924
54331
19092
71248
85861
35682
58437
83860
37983
63973
42820
03542
11351
06073
96086
43646
76797
32533
89096
89681
37385
50437
56032
43498
50212
37236
13576
42009
95782
92829
19496
72876
49745
70452
27698
51396
02323
14651
90804
62284
77975
95237
80128
12042
79072
75014
37390
24524
26316
87795
96754
75846
32751
20378
23294
67151
74579
28350
16474
61602
82741
94806
43090
62438
62921
24283
54959
79672
42496
38385
64276
35310
94672
35191
69546
78438
31249
07091
49368
47104
70757
15101
42920
30074
72917
40749
95390
46046
93436
66273
85183
73432
38083
29425
61085
45836
92403
10317
39764
96937
41086
19679
82592
21251
02520
41283
16921
65205
41749
86801
97460
68924
12528
43789
30980
51798
12521
24367
70565
58479
29852
31724
15817
35496
34924
47271
60336
12479
87172
25101
42480
12968
52021
76830
87373
94156
15971
02350
41843
61560
49341
07963
76394
83489
83594
08087
57819
96957
48426
95692
01753
39689
81060
43513
52910
01787
32509
28587
82950
23202
51631
87540
60905
79838
93736
74978
38150
67404
45149
10817
79608
47873
80450
07143
53164
01242
14614
21082
73967
10724
07525
18427
16074
23723
27035
72656
06725
61437
06909
67562
80854
69326
24961
75375
50
57856
61684
06847
40810
06461
87037
96598
83825
85323
45073
57196
28043
12858
18076
88350
47916
25325
18689
02821
35246
15960
81767
41319
94728
15851
13036
20792
15959
96808
16129
84639
39823
38030
11072
57460
30186
48749
80057
39823
34512
48347
79489
67617
63756
10243
40780
39329
18501
04478
47635
82197
47430
25043
34718
23965
35028
50260
52002
11667
59698
96296
03643
84476
96345
09746
95795
72259
69512
60791
48646
76553
71294
95036
06387
47409
50223
69176
69095
54221
32406
37215
21753
96340
40422
80874
07692
58341
89713
93251
74010
76527
07468
06381
43456
91548
80764
19219
61522
89176
79394
67207
08261
10289
75622
62557
47166
71627
93145
83203
05584
44917
96865
14456
14951
27879
94177
75380
32978
46603
08081
31846
42735
82587
84176
01467
73872
19446
64377
17564
19691
92835
78478
54270
53965
39814
12596
35681
47869
80171
66538
64807
07769
66444
10453
65243
23978
18230
68728
87972
76009
51695
54839
75284
64082
94649
70743
69596
36241
68375
33784
68481
25201
59749
30361
84691
57937
56536
81958
32627
48334
62634
54517
44318
38970
74667
86727
86909
28067
82481
48289
69583
92927
67638
94725
29629
29308
07827
72196
66930
61248
51729
28271
54648
34939
47276
10453
52075
36886
27641
76162
25261
21967
63749
63487
91729
28316
90859
41490
42869
08960
37178
05692
72232
24783
70364
82874
34023
71710
80895
14262
37083
09397
36489
78641
76861
73818
55027
15291
50359
06406
78758
39897
68579
20497
85253
97096
51482
83195
91381
57490
48508
81867
60186
72319
80497
26484
81783
78142
83280
54272
38532
27650
68318
91423
54574
52361
57930
14891
83067
54648
41320
25216
96592
14837
29265
29806
67180
44278
03817
63051
57594
42362
80631
21850
07586
59360
41671
82547
39732
78418
50929
78178
39787
18603
48489
18752
09058
97394
27174
06425
12856
42479
98513
71319
27931
09587
60463
29634
82016
84965
93987
59854
12636
04856
92417
91493
13847
51498
80651
96727
61816
37190
34352
35242
90734
09628
47369
52548
60595
84549
31397
39657
57125
61636
04236
17607
45179
24634
97294
02520
97095
06178
96394
56276
29057
47154
58918
71846
30294
22102
40798
37965
98148
62698
18358
06217
32031
12839
47548
95938
95723
14398
97643
14020
38715
05695
47916
48258
16902
36409
64543
56272
46058
47286
52324
12870
10835
34375
27208
96537
17646
76054
59890
09898
99811
25542
67823
71663
04837
60603
91526
07381
82459
13967
44262
91395
96863
37210
24974
70562
46359
72547
65765
55274
82081
52952
29368
82546
79587
64785
70051
56602
69874
35242
20364
31424
58040
15653
79841
89248
26201
48323
70998
46481
58280
88098
37857
02969
17365
41596
31019
99639
42103
84609
87712
36195
10700
01069
26357
97928
23032
98176
68736
60470
45494
92648
34642
52765
35212
78356
74724
43428
23824
51863
72100
68292
39068
31326
00401
32949
16572
74256
04653
32077
46545
14877
15507
48391
87214
23074
42927
02159
78424
14924
80308
46635
21981
67282
45190
52685
09564
00649
46854
51808
95334
45334
40382
61980
30474
12428
63012
43087
10745
29771
50970
47305
34506
73924
51573
47019
27136
53229
12717
82713
21993
19428
08383
25524
69487
43350
Sumber : Nasir, Moh, 1985, Metode Penelitian cetakan pertama, Jakarta : Ghalia Indonesia.
51
Tabel Besar Sampel Berdasarkan Rumus
p = 0,5
( )
)1.(.)1(
1...
22
2
ppZNd
ppZN
n
−+−
−
=
Z = 1,28 Z = 1,65 Z = 1,96 Z = 2,33N
d=0,1d=0,05 d=0,01d=0,1d=0,05 d=0,01 d=0,1d=0,05 d=0,01 d=0,1 d=0,05 d=0,01
5 4,6 4,9 5,0 4,7 4,9 5,0 4,8 4,9 5,0 4,9 5,0 5,0
10 8,2 9,5 10,0 8,8 9,7 10,0 9,1 9,8 10,0 9,4 9,8 10,0
15 11,2 13,8 14,9 12,4 14,3 15,0 13,1 14,5 15,0 13,6 14,6 15,0
20 13,7 17,9 19,9 15,6 18,7 19,9 16,7 19,1 20,0 17,5 19,3 20,0
25 15,8 21,8 24,9 18,5 23,0 24,9 20,0 23,5 24,9 21,2 23,9 25,0
30 17,6 25,5 29,8 21,0 27,1 29,9 23,0 27,9 29,9 24,7 28,5 29,9
35 19,1 29,0 34,7 23,3 31,1 34,8 25,8 32,2 34,9 28,0 32,9 34,9
40 20,5 32,3 39,6 25,4 35,0 39,8 28,4 36,3 39,8 31,1 37,3 39,9
45 21,7 35,5 44,5 27,3 38,7 44,7 30,9 40,4 44,8 34,0 41,6 44,9
50 22,8 38,5 49,4 29,1 42,4 49,6 33,1 44,3 49,7 36,7 45,9 49,8
55 23,7 41,4 54,3 30,7 45,9 54,6 35,2 48,2 54,7 39,3 50,0 54,8
60 24,6 44,1 59,1 32,1 49,3 59,5 37,2 52,0 59,6 41,8 54,1 59,7
65 25,4 46,7 64,0 33,5 52,6 64,4 39,0 55,7 64,6 44,2 58,1 64,7
70 26,1 49,3 68,8 34,8 55,8 69,3 40,7 59,3 69,5 46,4 62,1 69,6
75 26,7 51,7 73,7 35,9 59,0 74,2 42,4 62,9 74,4 48,5 66,0 74,6
80 27,3 54,0 78,5 37,0 62,0 79,1 43,9 66,4 79,3 50,6 69,8 79,5
85 27,9 56,2 83,3 38,0 65,0 84,0 45,3 69,7 84,3 52,5 73,6 84,5
90 28,4 58,3 88,1 39,0 67,8 88,8 46,7 73,1 89,2 54,4 77,3 89,4
95 28,8 60,4 92,9 39,9 70,6 93,7 48,0 76,3 94,1 56,1 81,0 94,3
100 29,3 62,3 97,6 40,7 73,3 98,6 49,2 79,5 99,0 57,8 84,6 99,3
110 30,0 66,1 107,1 42,3 78,6 108,3 51,5 85,7 108,8 61,0 91,6 109,1
120 30,7 69,5 116,6 43,7 83,5 117,9 53,6 91,6 118,5 63,9 98,4 119,0
130 31,3 72,7 126,0 44,9 88,2 127,6 55,5 97,3 128,3 66,7 105,0 128,8
140 31,9 75,7 135,4 46,0 92,7 137,2 57,2 102,8 138,0 69,2 111,5 138,6
150 32,3 78,6 144,7 47,0 96,9 146,8 58,8 108,1 147,7 71,5 117,7 148,4
160 32,8 81,2 154,0 48,0 101,0 156,3 60,3 113,2 157,4 73,7 123,8 158,1
170 33,2 83,7 163,3 48,8 104,9 165,9 61,6 118,1 167,1 75,7 129,6 167,9
180 33,5 86,0 172,5 49,6 108,6 175,4 62,9 122,8 176,7 77,6 135,4 177,7
190 33,8 88,2 181,6 50,3 112,1 184,9 64,0 127,3 186,3 79,4 140,9 187,4
200 34,1 90,3 190,7 51,0 115,5 194,3 65,1 131,8 195,9 81,1 146,4 197,1
210 34,4 92,3 199,8 51,6 118,8 203,7 66,1 136,0 205,5 82,7 151,6 206,8
220 34,7 94,2 208,8 52,2 121,9 213,1 67,1 140,1 215,1 84,2 156,8 216,5
230 34,9 95,9 217,8 52,7 124,9 222,5 68,0 144,1 224,6 85,6 161,8 226,2
240 35,1 97,6 226,8 53,2 127,8 231,9 68,8 148,0 234,2 86,9 166,6 235,8
250 35,3 99,2 235,7 53,7 130,6 241,2 69,6 151,7 243,7 88,2 171,4 245,5
260 35,5 100,7 244,5 54,1 133,2 250,5 70,3 155,3 253,2 89,4 176,0 255,1
270 35,7 102,2 253,4 54,5 135,8 259,7 71,0 158,8 262,6 90,5 180,5 264,8
280 35,8 103,6 262,1 54,9 138,3 269,0 71,7 162,2 272,1 91,6 185,0 274,4
290 36,0 104,9 270,9 55,3 140,7 278,2 72,3 165,5 281,5 92,7 189,3 284,0
300 36,1 106,2 279,6 55,6 143,0 287,4 72,9 168,7 290,9 93,7 193,5 293,5
310 36,3 107,4 288,3 56,0 145,2 296,5 73,5 171,8 300,3 94,6 197,6 303,1
320 36,4 108,6 296,9 56,3 147,3 305,7 74,0 174,8 309,7 95,5 201,6 312,7
330 36,5 109,7 305,5 56,6 149,4 314,8 74,6 177,8 319,1 96,4 205,5 322,2
340 36,7 110,8 314,0 56,8 151,4 323,9 75,1 180,6 328,4 97,2 209,3 331,7
350 36,8 111,8 322,5 57,1 153,4 332,9 75,5 183,4 337,7 98,0 213,0 341,2
52
Z = 1,28 Z = 1,65 Z = 1,96 Z = 2,33N
d=0,1d=0,05 d=0,01d=0,1d=0,05 d=0,01 d=0,1d=0,05 d=0,01 d=0,1 d=0,05 d=0,01
360 36,9 112,8 331,0 57,4 155,3 342,0 76,0 186,1 347,0 98,8 216,7 350,7
370 37,0 113,8 339,4 57,6 157,1 351,0 76,4 188,7 356,3 99,5 220,3 360,2
380 37,1 114,7 347,8 57,9 158,9 360,0 76,8 191,3 365,6 100,2 223,8 369,7
390 37,2 115,6 356,2 58,1 160,6 368,9 77,2 193,8 374,8 100,9 227,2 379,1
400 37,2 116,4 364,5 58,3 162,2 377,8 77,6 196,2 384,0 101,5 230,6 388,6
410 37,3 117,3 372,8 58,5 163,8 386,8 78,0 198,6 393,3 102,2 233,8 398,0
420 37,4 118,1 381,0 58,7 165,4 395,6 78,3 200,9 402,4 102,8 237,0 407,4
430 37,5 118,8 389,2 58,9 166,9 404,5 78,7 203,1 411,6 103,3 240,2 416,8
440 37,5 119,6 397,4 59,1 168,4 413,3 79,0 205,3 420,8 103,9 243,3 426,2
450 37,6 120,3 405,5 59,2 169,9 422,2 79,3 207,5 429,9 104,5 246,3 435,6
460 37,7 121,0 413,6 59,4 171,3 430,9 79,6 209,6 439,0 105,0 249,3 445,0
470 37,8 121,7 421,7 59,6 172,6 439,7 79,9 211,6 448,1 105,5 252,2 454,3
480 37,8 122,3 429,7 59,7 174,0 448,4 80,2 213,6 457,2 106,0 255,0 463,6
490 37,9 123,0 437,7 59,9 175,2 457,2 80,4 215,6 466,3 106,5 257,8 473,0
500 37,9 123,6 445,7 60,0 176,5 465,8 80,7 217,5 475,3 106,9 260,5 482,3
510 38,0 124,2 453,6 60,2 177,7 474,5 81,0 219,4 484,3 107,4 263,2 491,6
520 38,0 124,8 461,5 60,3 178,9 483,2 81,2 221,2 493,3 107,8 265,8 500,8
530 38,1 125,3 469,4 60,4 180,1 491,8 81,4 223,0 502,3 108,2 268,4 510,1
540 38,1 125,9 477,2 60,5 181,2 500,4 81,7 224,7 511,3 108,6 271,0 519,4
550 38,2 126,4 485,0 60,7 182,3 508,9 81,9 226,4 520,3 109,0 273,5 528,6
560 38,2 126,9 492,8 60,8 183,4 517,5 82,1 228,1 529,2 109,4 275,9 537,8
570 38,3 127,4 500,5 60,9 184,5 526,0 82,3 229,7 538,1 109,8 278,3 547,1
580 38,3 127,9 508,2 61,0 185,5 534,5 82,5 231,3 547,0 110,1 280,7 556,3
590 38,4 128,4 515,8 61,1 186,5 543,0 82,7 232,9 555,9 110,5 283,0 565,5
600 38,4 128,9 523,5 61,2 187,5 551,5 82,9 234,4 564,8 110,8 285,3 574,6
610 38,4 129,3 531,0 61,3 188,5 559,9 83,1 236,0 573,6 111,2 287,5 583,8
620 38,5 129,8 538,6 61,4 189,4 568,3 83,3 237,4 582,5 111,5 289,7 593,0
630 38,5 130,2 546,1 61,5 190,3 576,7 83,5 238,9 591,3 111,8 291,9 602,1
640 38,6 130,6 553,6 61,6 191,2 585,1 83,6 240,3 600,1 112,1 294,0 611,2
650 38,6 131,0 561,1 61,7 192,1 593,4 83,8 241,7 608,9 112,4 296,1 620,3
660 38,6 131,4 568,5 61,8 193,0 601,7 84,0 243,1 617,6 112,7 298,1 629,4
670 38,7 131,8 575,9 61,9 193,8 610,0 84,1 244,4 626,4 113,0 300,1 638,5
680 38,7 132,2 583,3 62,0 194,6 618,3 84,3 245,7 635,1 113,3 302,1 647,6
690 38,7 132,6 590,6 62,0 195,4 626,6 84,4 247,0 643,8 113,6 304,1 656,7
700 38,7 132,9 598,0 62,1 196,2 634,8 84,6 248,3 652,5 113,8 306,0 665,7
710 38,8 133,3 605,2 62,2 197,0 643,0 84,7 249,5 661,2 114,1 307,9 674,8
720 38,8 133,6 612,5 62,3 197,8 651,2 84,8 250,7 669,9 114,3 309,8 683,8
730 38,8 134,0 619,7 62,3 198,5 659,4 85,0 251,9 678,5 114,6 311,6 692,8
740 38,9 134,3 626,9 62,4 199,2 667,5 85,1 253,1 687,1 114,8 313,4 701,8
750 38,9 134,6 634,1 62,5 199,9 675,6 85,2 254,3 695,7 115,1 315,2 710,8
760 38,9 134,9 641,2 62,5 200,6 683,8 85,4 255,4 704,3 115,3 316,9 719,7
770 38,9 135,2 648,3 62,6 201,3 691,8 85,5 256,5 712,9 115,5 318,6 728,7
780 39,0 135,5 655,4 62,7 202,0 699,9 85,6 257,6 721,5 115,7 320,3 737,7
790 39,0 135,8 662,4 62,7 202,7 707,9 85,7 258,7 730,0 115,9 322,0 746,6
800 39,0 136,1 669,4 62,8 203,3 716,0 85,8 259,8 738,6 116,2 323,7 755,5
810 39,0 136,4 676,4 62,9 204,0 724,0 86,0 260,8 747,1 116,4 325,3 764,4
820 39,1 136,7 683,4 62,9 204,6 731,9 86,1 261,8 755,6 116,6 326,9 773,3
830 39,1 137,0 690,3 63,0 205,2 739,9 86,2 262,8 764,0 116,8 328,5 782,2
840 39,1 137,2 697,2 63,0 205,8 747,8 86,3 263,8 772,5 117,0 330,0 791,1
53
Z = 1,28 Z = 1,65 Z = 1,96 Z = 2,33N
d=0,1d=0,05 d=0,01d=0,1d=0,05 d=0,01 d=0,1d=0,05 d=0,01 d=0,1 d=0,05 d=0,01
850 39,1 137,5 704,1 63,1 206,4 755,7 86,4 264,8 781,0 117,2 331,5 800,0
860 39,1 137,8 710,9 63,1 207,0 763,6 86,5 265,8 789,4 117,3 333,0 808,8
870 39,2 138,0 717,7 63,2 207,5 771,5 86,6 266,7 797,8 117,5 334,5 817,6
880 39,2 138,3 724,5 63,2 208,1 779,4 86,7 267,6 806,2 117,7 336,0 826,5
890 39,2 138,5 731,3 63,3 208,7 787,2 86,8 268,5 814,6 117,9 337,4 835,3
900 39,2 138,7 738,0 63,3 209,2 795,0 86,9 269,4 823,0 118,1 338,9 844,1
910 39,2 139,0 744,7 63,4 209,7 802,8 87,0 270,3 831,3 118,2 340,3 852,9
920 39,3 139,2 751,4 63,4 210,3 810,6 87,0 271,2 839,7 118,4 341,7 861,7
930 39,3 139,4 758,1 63,5 210,8 818,3 87,1 272,1 848,0 118,5 343,0 870,4
940 39,3 139,6 764,7 63,5 211,3 826,0 87,2 272,9 856,3 118,7 344,4 879,2
950 39,3 139,9 771,3 63,6 211,8 833,7 87,3 273,7 864,6 118,9 345,7 887,9
960 39,3 140,1 777,9 63,6 212,3 841,4 87,4 274,6 872,8 119,0 347,0 896,6
970 39,3 140,3 784,4 63,7 212,8 849,1 87,5 275,4 881,1 119,2 348,3 905,4
980 39,4 140,5 791,0 63,7 213,2 856,8 87,5 276,2 889,3 119,3 349,6 914,1
990 39,4 140,7 797,5 63,7 213,7 864,4 87,6 277,0 897,6 119,5 350,8 922,8
1000 39,4 140,9 803,9 63,8 214,2 872,0 87,7 277,7 905,8 119,6 352,1 931,4
1100 39,5 142,7 867,3 64,2 218,4 947,1 88,4 284,9 987,1 120,9 363,7 1017,6
1200 39,6 144,3 928,3 64,5 222,1 1020,3 89,0 291,2 1066,8 122,0 374,0 1102,6
1300 39,7 145,6 987,0 64,7 225,3 1091,7 89,5 296,7 1145,1 123,0 383,2 1186,4
1400 39,8 146,8 1043,6 65,0 228,1 1161,3 89,9 301,6 1222,0 123,8 391,4 1269,2
1500 39,9 147,8 1098,1 65,1 230,6 1229,3 90,3 306,0 1297,5 124,5 398,8 1350,8
1600 40,0 148,7 1150,8 65,3 232,8 1295,6 90,7 309,9 1371,6 125,2 405,5 1431,4
1700 40,0 149,5 1201,6 65,5 234,8 1360,4 91,0 313,5 1444,5 125,8 411,7 1510,9
1800 40,1 150,2 1250,7 65,6 236,6 1423,7 91,2 316,7 1516,0 126,3 417,3 1589,3
1900 40,1 150,9 1298,1 65,7 238,2 1485,5 91,5 319,7 1586,3 126,7 422,4 1666,8
2000 40,2 151,5 1344,1 65,9 239,7 1546,0 91,7 322,4 1655,4 127,2 427,2 1743,2
2100 40,2 152,0 1388,5 66,0 241,1 1605,0 91,9 324,9 1723,4 127,5 431,5 1818,7
2200 40,2 152,5 1431,5 66,0 242,4 1662,8 92,1 327,2 1790,1 127,9 435,6 1893,3
2300 40,3 153,0 1473,2 66,1 243,5 1719,3 92,2 329,3 1855,8 128,2 439,4 1966,8
2400 40,3 153,4 1513,5 66,2 244,6 1774,5 92,4 331,3 1920,3 128,5 442,9 2039,5
2500 40,3 153,8 1552,7 66,3 245,6 1828,6 92,5 333,1 1983,8 128,8 446,2 2111,3
2600 40,3 154,2 1590,7 66,4 246,5 1881,5 92,7 334,8 2046,3 129,0 449,3 2182,1
2700 40,4 154,5 1627,5 66,4 247,4 1933,3 92,8 336,4 2107,7 129,3 452,1 2252,1
2800 40,4 154,8 1663,4 66,5 248,2 1984,1 92,9 337,9 2168,1 129,5 454,9 2321,3
2900 40,4 155,1 1698,1 66,5 249,0 2033,8 93,0 339,3 2227,6 129,7 457,4 2389,6
3000 40,4 155,4 1731,9 66,6 249,7 2082,4 93,1 340,7 2286,1 129,9 459,8 2457,1
3100 40,4 155,7 1764,8 66,6 250,3 2130,1 93,2 341,9 2343,7 130,1 462,1 2523,7
3200 40,5 155,9 1796,7 66,7 251,0 2176,9 93,3 343,1 2400,4 130,2 464,3 2589,6
3300 40,5 156,1 1827,8 66,7 251,6 2222,7 93,4 344,2 2456,3 130,4 466,3 2654,7
3400 40,5 156,4 1858,1 66,7 252,1 2267,6 93,4 345,3 2511,2 130,5 468,3 2719,0
3500 40,5 156,6 1887,6 66,8 252,7 2311,6 93,5 346,3 2565,4 130,7 470,1 2782,6
3600 40,5 156,7 1916,3 66,8 253,2 2354,8 93,6 347,2 2618,7 130,8 471,9 2845,5
3700 40,5 156,9 1944,2 66,9 253,7 2397,2 93,6 348,1 2671,2 131,0 473,5 2907,6
3800 40,5 157,1 1971,5 66,9 254,1 2438,8 93,7 349,0 2722,9 131,1 475,1 2969,0
3900 40,5 157,3 1998,0 66,9 254,5 2479,6 93,8 349,8 2773,9 131,2 476,7 3029,7
4000 40,6 157,4 2024,0 66,9 255,0 2519,6 93,8 350,6 2824,1 131,3 478,1 3089,6
4100 40,6 157,6 2049,2 67,0 255,4 2558,9 93,9 351,3 2873,6 131,4 479,5 3149,0
4200 40,6 157,7 2073,9 67,0 255,7 2597,5 93,9 352,0 2922,3 131,5 480,9 3207,6
4300 40,6 157,9 2098,0 67,0 256,1 2635,4 94,0 352,7 2970,4 131,6 482,1 3265,6
54
Z = 1,28 Z = 1,65 Z = 1,96 Z = 2,33N
d=0,1d=0,05 d=0,01d=0,1d=0,05 d=0,01 d=0,1d=0,05 d=0,01 d=0,1 d=0,05 d=0,01
4400 40,6 158,0 2121,5 67,0 256,4 2672,6 94,0 353,4 3017,8 131,7 483,4 3323,0
4500 40,6 158,1 2144,5 67,1 256,8 2709,2 94,1 354,0 3064,5 131,8 484,5 3379,7
4600 40,6 158,2 2166,9 67,1 257,1 2745,1 94,1 354,6 3110,5 131,9 485,7 3435,8
4700 40,6 158,4 2188,9 67,1 257,4 2780,4 94,1 355,2 3155,9 131,9 486,8 3491,3
4800 40,6 158,5 2210,3 67,1 257,7 2815,1 94,2 355,8 3200,7 132,0 487,8 3546,1
4900 40,6 158,6 2231,3 67,1 258,0 2849,2 94,2 356,3 3244,8 132,1 488,8 3600,4
5000 40,6 158,7 2251,8 67,2 258,2 2882,7 94,2 356,8 3288,4 132,2 489,8 3654,1
5100 40,6 158,8 2271,8 67,2 258,5 2915,7 94,3 357,3 3331,3 132,2 490,7 3707,2
5200 40,6 158,9 2291,5 67,2 258,8 2948,1 94,3 357,8 3373,7 132,3 491,7 3759,8
5300 40,7 159,0 2310,7 67,2 259,0 2980,0 94,3 358,3 3415,5 132,4 492,5 3811,8
5400 40,7 159,0 2329,5 67,2 259,2 3011,3 94,4 358,7 3456,7 132,4 493,4 3863,2
5500 40,7 159,1 2347,9 67,2 259,5 3042,1 94,4 359,1 3497,5 132,5 494,2 3914,1
5600 40,7 159,2 2365,9 67,3 259,7 3072,5 94,4 359,6 3537,6 132,5 495,0 3964,5
5700 40,7 159,3 2383,6 67,3 259,9 3102,3 94,5 360,0 3577,3 132,6 495,8 4014,4
5800 40,7 159,4 2400,9 67,3 260,1 3131,7 94,5 360,4 3616,4 132,6 496,5 4063,7
5900 40,7 159,4 2417,8 67,3 260,3 3160,7 94,5 360,7 3655,0 132,7 497,2 4112,5
6000 40,7 159,5 2434,5 67,3 260,5 3189,1 94,5 361,1 3693,1 132,7 497,9 4160,9
6100 40,7 159,6 2450,8 67,3 260,7 3217,1 94,6 361,5 3730,8 132,8 498,6 4208,7
6200 40,7 159,6 2466,8 67,3 260,8 3244,7 94,6 361,8 3767,9 132,8 499,3 4256,1
6300 40,7 159,7 2482,4 67,3 261,0 3271,9 94,6 362,1 3804,6 132,9 499,9 4303,0
6400 40,7 159,8 2497,8 67,4 261,2 3298,7 94,6 362,5 3840,9 132,9 500,5 4349,4
6500 40,7 159,8 2512,9 67,4 261,3 3325,1 94,7 362,8 3876,7 133,0 501,1 4395,3
6600 40,7 159,9 2527,7 67,4 261,5 3351,0 94,7 363,1 3912,0 133,0 501,7 4440,8
6700 40,7 160,0 2542,2 67,4 261,7 3376,6 94,7 363,4 3946,9 133,0 502,3 4485,9
6800 40,7 160,0 2556,5 67,4 261,8 3401,8 94,7 363,7 3981,4 133,1 502,8 4530,5
6900 40,7 160,1 2570,5 67,4 262,0 3426,7 94,7 363,9 4015,5 133,1 503,4 4574,6
7000 40,7 160,1 2584,2 67,4 262,1 3451,1 94,8 364,2 4049,1 133,2 503,9 4618,4
7100 40,7 160,2 2597,7 67,4 262,2 3475,3 94,8 364,5 4082,4 133,2 504,4 4661,7
7200 40,7 160,2 2611,0 67,4 262,4 3499,0 94,8 364,7 4115,3 133,2 504,9 4704,6
7300 40,7 160,3 2624,0 67,4 262,5 3522,5 94,8 365,0 4147,7 133,3 505,4 4747,1
7400 40,7 160,3 2636,8 67,5 262,6 3545,6 94,8 365,2 4179,8 133,3 505,8 4789,2
7500 40,7 160,4 2649,4 67,5 262,7 3568,4 94,8 365,5 4211,5 133,3 506,3 4830,8
7600 40,7 160,4 2661,8 67,5 262,9 3590,9 94,9 365,7 4242,9 133,4 506,8 4872,1
7700 40,7 160,4 2673,9 67,5 263,0 3613,0 94,9 365,9 4273,9 133,4 507,2 4913,0
7800 40,8 160,5 2685,9 67,5 263,1 3634,9 94,9 366,2 4304,5 133,4 507,6 4953,5
7900 40,8 160,5 2697,7 67,5 263,2 3656,5 94,9 366,4 4334,8 133,4 508,0 4993,7
8000 40,8 160,6 2709,2 67,5 263,3 3677,7 94,9 366,6 4364,7 133,5 508,4 5033,5
8100 40,8 160,6 2720,6 67,5 263,4 3698,7 94,9 366,8 4394,3 133,5 508,8 5072,9
8200 40,8 160,6 2731,8 67,5 263,5 3719,4 94,9 367,0 4423,6 133,5 509,2 5111,9
8300 40,8 160,7 2742,8 67,5 263,6 3739,9 95,0 367,2 4452,5 133,6 509,6 5150,6
8400 40,8 160,7 2753,6 67,5 263,7 3760,0 95,0 367,4 4481,1 133,6 510,0 5188,9
8500 40,8 160,8 2764,3 67,5 263,8 3780,0 95,0 367,6 4509,4 133,6 510,4 5226,9
8600 40,8 160,8 2774,8 67,5 263,9 3799,6 95,0 367,8 4537,4 133,6 510,7 5264,5
8700 40,8 160,8 2785,1 67,5 264,0 3819,0 95,0 368,0 4565,1 133,7 511,1 5301,8
8800 40,8 160,9 2795,3 67,5 264,1 3838,1 95,0 368,1 4592,5 133,7 511,4 5338,8
8900 40,8 160,9 2805,3 67,6 264,2 3857,0 95,0 368,3 4619,6 133,7 511,7 5375,4
9000 40,8 160,9 2815,1 67,6 264,3 3875,7 95,0 368,5 4646,3 133,7 512,1 5411,8
9100 40,8 161,0 2824,8 67,6 264,4 3894,1 95,0 368,6 4672,9 133,7 512,4 5447,8
9200 40,8 161,0 2834,4 67,6 264,5 3912,3 95,1 368,8 4699,1 133,8 512,7 5483,4
55
Z = 1,28 Z = 1,65 Z = 1,96 Z = 2,33N
d=0,1d=0,05 d=0,01d=0,1d=0,05 d=0,01 d=0,1d=0,05 d=0,01 d=0,1 d=0,05 d=0,01
9300 40,8 161,0 2843,8 67,6 264,5 3930,3 95,1 369,0 4725,0 133,8 513,0 5518,8
9400 40,8 161,1 2853,1 67,6 264,6 3948,0 95,1 369,1 4750,7 133,8 513,3 5553,9
9500 40,8 161,1 2862,2 67,6 264,7 3965,6 95,1 369,3 4776,1 133,8 513,6 5588,6
9600 40,8 161,1 2871,2 67,6 264,8 3982,9 95,1 369,4 4801,2 133,8 513,9 5623,1
9700 40,8 161,1 2880,1 67,6 264,8 4000,0 95,1 369,6 4826,1 133,9 514,2 5657,2
9800 40,8 161,2 2888,9 67,6 264,9 4016,9 95,1 369,7 4850,8 133,9 514,4 5691,1
9900 40,8 161,2 2897,5 67,6 265,0 4033,6 95,1 369,8 4875,1 133,9 514,7 5724,7
10000 40,8 161,2 2906,0 67,6 265,1 4050,1 95,1 370,0 4899,3 133,9 515,0 5758,0
11000 40,8 161,4 2984,8 67,7 265,7 4204,9 95,2 371,2 5127,6 134,1 517,4 6076,0
12000 40,8 161,6 3053,9 67,7 266,2 4343,2 95,3 372,3 5334,8 134,2 519,4 6369,1
13000 40,8 161,8 3114,8 67,7 266,7 4467,6 95,3 373,2 5523,7 134,3 521,2 6640,2
14000 40,8 162,0 3169,1 67,7 267,1 4580,0 95,4 373,9 5696,6 134,4 522,7 6891,7
15000 40,9 162,1 3217,6 67,8 267,4 4682,1 95,4 374,6 5855,4 134,5 524,0 7125,5
16000 40,9 162,2 3261,3 67,8 267,7 4775,2 95,5 375,2 6001,8 134,6 525,1 7343,5
17000 40,9 162,3 3300,9 67,8 268,0 4860,5 95,5 375,7 6137,2 134,7 526,1 7547,2
18000 40,9 162,4 3336,9 67,8 268,2 4939,0 95,5 376,2 6262,8 134,7 527,0 7738,1
19000 40,9 162,4 3369,7 67,8 268,4 5011,3 95,6 376,6 6379,6 134,8 527,8 7917,2
20000 40,9 162,5 3399,9 67,8 268,6 5078,3 95,6 376,9 6488,5 134,8 528,6 8085,6
21000 40,9 162,6 3427,6 67,8 268,8 5140,4 95,6 377,3 6590,3 134,9 529,2 8244,3
22000 40,9 162,6 3453,2 67,9 268,9 5198,3 95,6 377,6 6685,7 134,9 529,8 8394,1
23000 40,9 162,7 3477,0 67,9 269,1 5252,2 95,6 377,9 6775,2 134,9 530,4 8535,7
24000 40,9 162,7 3499,0 67,9 269,2 5302,7 95,7 378,1 6859,4 135,0 530,9 8669,8
25000 40,9 162,8 3519,5 67,9 269,3 5349,9 95,7 378,4 6938,7 135,0 531,4 8796,9
26000 40,9 162,8 3538,7 67,9 269,4 5394,3 95,7 378,6 7013,6 135,0 531,8 8917,5
27000 40,9 162,9 3556,6 67,9 269,5 5436,1 95,7 378,8 7084,3 135,0 532,2 9032,3
28000 40,9 162,9 3573,4 67,9 269,6 5475,5 95,7 379,0 7151,3 135,1 532,6 9141,5
29000 40,9 162,9 3589,2 67,9 269,7 5512,6 95,7 379,2 7214,9 135,1 532,9 9245,6
30000 40,9 163,0 3604,0 67,9 269,8 5547,8 95,7 379,3 7275,2 135,1 533,3 9344,9
31000 40,9 163,0 3618,1 67,9 269,9 5581,1 95,7 379,5 7332,6 135,1 533,6 9439,7
32000 40,9 163,0 3631,3 67,9 270,0 5612,6 95,8 379,6 7387,2 135,2 533,8 9530,4
33000 40,9 163,0 3643,8 67,9 270,0 5642,6 95,8 379,8 7439,2 135,2 534,1 9617,2
34000 40,9 163,1 3655,7 67,9 270,1 5671,1 95,8 379,9 7488,8 135,2 534,4 9700,3
35000 40,9 163,1 3667,0 67,9 270,2 5698,3 95,8 380,0 7536,3 135,2 534,6 9780,0
36000 40,9 163,1 3677,7 67,9 270,2 5724,2 95,8 380,1 7581,6 135,2 534,8 9856,5
37000 40,9 163,1 3687,8 67,9 270,3 5748,9 95,8 380,2 7625,0 135,2 535,1 9930,0
38000 40,9 163,1 3697,5 67,9 270,3 5772,5 95,8 380,3 7666,6 135,2 535,3 10000,6
39000 40,9 163,2 3706,8 67,9 270,4 5795,1 95,8 380,4 7706,4 135,3 535,5 10068,6
40000 40,9 163,2 3715,6 67,9 270,4 5816,7 95,8 380,5 7744,7 135,3 535,6 10134,0
41000 40,9 163,2 3724,0 68,0 270,5 5837,4 95,8 380,6 7781,4 135,3 535,8 10197,0
42000 40,9 163,2 3732,1 68,0 270,5 5857,2 95,8 380,7 7816,8 135,3 536,0 10257,7
43000 40,9 163,2 3739,8 68,0 270,5 5876,3 95,8 380,8 7850,7 135,3 536,1 10316,3
44000 40,9 163,2 3747,3 68,0 270,6 5894,6 95,8 380,8 7883,4 135,3 536,3 10372,9
45000 40,9 163,2 3754,4 68,0 270,6 5912,2 95,8 380,9 7914,9 135,3 536,4 10427,5
46000 40,9 163,3 3761,2 68,0 270,7 5929,1 95,8 381,0 7945,3 135,3 536,6 10480,3
47000 40,9 163,3 3767,7 68,0 270,7 5945,4 95,8 381,1 7974,6 135,3 536,7 10531,3
48000 40,9 163,3 3774,0 68,0 270,7 5961,1 95,9 381,1 8002,9 135,3 536,8 10580,7
49000 40,9 163,3 3780,1 68,0 270,8 5976,3 95,9 381,2 8030,2 135,4 537,0 10628,5
50000 40,9 163,3 3785,9 68,0 270,8 5990,9 95,9 381,2 8056,6 135,4 537,1 10674,8
51000 40,9 163,3 3791,6 68,0 270,8 6005,0 95,9 381,3 8082,2 135,4 537,2 10719,7
56
Z = 1,28 Z = 1,65 Z = 1,96 Z = 2,33N
d=0,1d=0,05 d=0,01d=0,1d=0,05 d=0,01 d=0,1d=0,05 d=0,01 d=0,1 d=0,05 d=0,01
52000 40,9 163,3 3797,0 68,0 270,8 6018,6 95,9 381,4 8106,9 135,4 537,3 10763,2
53000 40,9 163,3 3802,2 68,0 270,9 6031,8 95,9 381,4 8130,8 135,4 537,4 10805,4
54000 40,9 163,3 3807,3 68,0 270,9 6044,5 95,9 381,5 8154,0 135,4 537,5 10846,4
55000 40,9 163,4 3812,2 68,0 270,9 6056,8 95,9 381,5 8176,4 135,4 537,6 10886,1
56000 40,9 163,4 3816,9 68,0 270,9 6068,8 95,9 381,5 8198,2 135,4 537,7 10924,7
57000 40,9 163,4 3821,5 68,0 271,0 6080,3 95,9 381,6 8219,3 135,4 537,8 10962,2
58000 40,9 163,4 3825,9 68,0 271,0 6091,5 95,9 381,6 8239,8 135,4 537,9 10998,7
59000 40,9 163,4 3830,2 68,0 271,0 6102,4 95,9 381,7 8259,6 135,4 537,9 11034,2
60000 40,9 163,4 3834,3 68,0 271,0 6112,9 95,9 381,7 8279,0 135,4 538,0 11068,7
61000 40,9 163,4 3838,3 68,0 271,0 6123,1 95,9 381,8 8297,7 135,4 538,1 11102,2
62000 40,9 163,4 3842,2 68,0 271,1 6133,1 95,9 381,8 8316,0 135,4 538,2 11134,9
63000 40,9 163,4 3846,0 68,0 271,1 6142,7 95,9 381,8 8333,7 135,4 538,3 11166,7
64000 40,9 163,4 3849,7 68,0 271,1 6152,1 95,9 381,9 8351,0 135,4 538,3 11197,8
65000 40,9 163,4 3853,2 68,0 271,1 6161,2 95,9 381,9 8367,8 135,4 538,4 11228,0
66000 40,9 163,4 3856,7 68,0 271,1 6170,1 95,9 381,9 8384,1 135,4 538,5 11257,4
67000 40,9 163,4 3860,1 68,0 271,2 6178,7 95,9 382,0 8400,0 135,5 538,5 11286,2
68000 40,9 163,4 3863,3 68,0 271,2 6187,1 95,9 382,0 8415,6 135,5 538,6 11314,2
69000 40,9 163,5 3866,5 68,0 271,2 6195,2 95,9 382,0 8430,7 135,5 538,7 11341,5
70000 40,9 163,5 3869,6 68,0 271,2 6203,2 95,9 382,1 8445,4 135,5 538,7 11368,2
71000 40,9 163,5 3872,6 68,0 271,2 6210,9 95,9 382,1 8459,8 135,5 538,8 11394,3
72000 40,9 163,5 3875,6 68,0 271,2 6218,5 95,9 382,1 8473,8 135,5 538,8 11419,7
73000 40,9 163,5 3878,4 68,0 271,2 6225,9 95,9 382,2 8487,5 135,5 538,9 11444,6
74000 40,9 163,5 3881,2 68,0 271,3 6233,0 95,9 382,2 8500,8 135,5 538,9 11468,9
75000 40,9 163,5 3883,9 68,0 271,3 6240,0 95,9 382,2 8513,9 135,5 539,0 11492,7
76000 40,9 163,5 3886,6 68,0 271,3 6246,9 95,9 382,2 8526,6 135,5 539,0 11515,9
77000 40,9 163,5 3889,2 68,0 271,3 6253,6 95,9 382,3 8539,1 135,5 539,1 11538,6
78000 40,9 163,5 3891,7 68,0 271,3 6260,1 95,9 382,3 8551,2 135,5 539,1 11560,8
79000 40,9 163,5 3894,1 68,0 271,3 6266,4 95,9 382,3 8563,1 135,5 539,2 11582,5
80000 40,9 163,5 3896,5 68,0 271,3 6272,7 95,9 382,3 8574,7 135,5 539,2 11603,8
81000 40,9 163,5 3898,9 68,0 271,3 6278,7 95,9 382,4 8586,1 135,5 539,3 11624,6
82000 40,9 163,5 3901,2 68,0 271,4 6284,7 95,9 382,4 8597,2 135,5 539,3 11645,0
83000 40,9 163,5 3903,4 68,0 271,4 6290,5 95,9 382,4 8608,1 135,5 539,4 11664,9
84000 40,9 163,5 3905,6 68,0 271,4 6296,2 95,9 382,4 8618,7 135,5 539,4 11684,5
85000 40,9 163,5 3907,7 68,0 271,4 6301,7 95,9 382,4 8629,1 135,5 539,5 11703,6
86000 40,9 163,5 3909,8 68,0 271,4 6307,2 95,9 382,5 8639,3 135,5 539,5 11722,4
87000 40,9 163,5 3911,9 68,0 271,4 6312,5 95,9 382,5 8649,3 135,5 539,5 11740,8
88000 40,9 163,5 3913,9 68,0 271,4 6317,7 95,9 382,5 8659,1 135,5 539,6 11758,8
89000 40,9 163,5 3915,8 68,0 271,4 6322,8 95,9 382,5 8668,7 135,5 539,6 11776,5
90000 40,9 163,5 3917,7 68,0 271,4 6327,8 95,9 382,5 8678,1 135,5 539,6 11793,8
91000 40,9 163,5 3919,6 68,0 271,4 6332,7 95,9 382,5 8687,3 135,5 539,7 11810,8
92000 40,9 163,6 3921,5 68,0 271,4 6337,5 95,9 382,6 8696,3 135,5 539,7 11827,5
93000 40,9 163,6 3923,3 68,0 271,5 6342,2 95,9 382,6 8705,1 135,5 539,7 11843,9
94000 40,9 163,6 3925,0 68,0 271,5 6346,8 95,9 382,6 8713,8 135,5 539,8 11860,0
95000 40,9 163,6 3926,7 68,0 271,5 6351,3 95,9 382,6 8722,3 135,5 539,8 11875,7
96000 40,9 163,6 3928,4 68,0 271,5 6355,7 95,9 382,6 8730,7 135,5 539,8 11891,2
97000 40,9 163,6 3930,1 68,0 271,5 6360,0 95,9 382,6 8738,9 135,5 539,9 11906,4
98000 40,9 163,6 3931,7 68,0 271,5 6364,3 95,9 382,7 8746,9 135,5 539,9 11921,4
99000 40,9 163,6 3933,3 68,0 271,5 6368,5 95,9 382,7 8754,8 135,5 539,9 11936,0
100000 40,9 163,6 3934,9 68,0 271,5 6372,6 95,9 382,7 8762,5 135,5 540,0 11950,4
57
Tabel Angka, Akar dan Kwadrat
N √N N2
N √N N2
N √N N2
N √N N2
1 1,000 1 51 7,141 2.601 101 10,050 10.201 151 12,288 22.801
2 1,414 4 52 7,211 2.704 102 10,100 10.404 152 12,329 23.104
3 1,732 9 53 7,280 2.809 103 10,149 10.609 153 12,369 23.409
4 2,000 16 54 7,348 2.916 104 10,198 10.816 154 12,410 23.716
5 2,236 25 55 7,416 3.025 105 10,247 11.025 155 12,450 24.025
6 2,449 36 56 7,483 3.136 106 10,296 11.236 156 12,490 24.336
7 2,646 49 57 7,550 3.249 107 10,344 11.449 157 12,530 24.649
8 2,828 64 58 7,616 3.364 108 10,392 11.664 158 12,570 24.964
9 3,000 81 59 7,681 3.481 109 10,440 11.881 159 12,610 25.281
10 3,162 100 60 7,746 3.600 110 10,488 12.100 160 12,649 25.600
11 3,317 121 61 7,810 3.721 111 10,536 12.321 161 12,689 25.921
12 3,464 144 62 7,874 3.844 112 10,583 12.544 162 12,728 26.244
13 3,606 169 63 7,937 3.969 113 10,630 12.769 163 12,767 26.569
14 3,742 196 64 8,000 4.096 114 10,677 12.996 164 12,806 26.896
15 3,873 225 65 8,062 4.225 115 10,724 13.225 165 12,845 27.225
16 4,000 256 66 8,124 4.356 116 10,770 13.456 166 12,884 27.556
17 4,123 289 67 8,185 4.489 117 10,817 13.689 167 12,923 27.889
18 4,243 324 68 8,246 4.624 118 10,863 13.924 168 12,961 28.224
19 4,359 361 69 8,307 4.761 119 10,909 14.161 169 13,000 28.561
20 4,472 400 70 8,367 4.900 120 10,954 14.400 170 13,038 28.900
21 4,583 441 71 8,426 5.041 121 11,000 14.641 171 13,077 29.241
22 4,690 484 72 8,485 5.184 122 11,045 14.884 172 13,115 29.584
23 4,796 529 73 8,544 5.329 123 11,091 15.129 173 13,153 29.929
24 4,899 576 74 8,602 5.476 124 11,136 15.376 174 13,191 30.276
25 5,000 625 75 8,660 5.625 125 11,180 15.625 175 13,229 30.625
26 5,099 676 76 8,718 5.776 126 11,225 15.876 176 13,266 30.976
27 5,196 729 77 8,775 5.929 127 11,269 16.129 177 13,304 31.329
28 5,292 784 78 8,832 6.084 128 11,314 16.384 178 13,342 31.684
29 5,385 841 79 8,888 6.241 129 11,358 16.641 179 13,379 32.041
30 5,477 900 80 8,944 6.400 130 11,402 16.900 180 13,416 32.400
31 5,568 961 81 9,000 6.561 131 11,446 17.161 181 13,454 32.761
32 5,657 1.024 82 9,055 6.724 132 11,489 17.424 182 13,491 33.124
33 5,745 1.089 83 9,110 6.889 133 11,533 17.689 183 13,528 33.489
34 5,831 1.156 84 9,165 7.056 134 11,576 17.956 184 13,565 33.856
35 5,916 1.225 85 9,220 7.225 135 11,619 18.225 185 13,601 34.225
36 6,000 1.296 86 9,274 7.396 136 11,662 18.496 186 13,638 34.596
37 6,083 1.369 87 9,327 7.569 137 11,705 18.769 187 13,675 34.969
38 6,164 1.444 88 9,381 7.744 138 11,747 19.044 188 13,711 35.344
39 6,245 1.521 89 9,434 7.921 139 11,790 19.321 189 13,748 35.721
40 6,325 1.600 90 9,487 8.100 140 11,832 19.600 190 13,784 36.100
41 6,403 1.681 91 9,539 8.281 141 11,874 19.881 191 13,820 36.481
42 6,481 1.764 92 9,592 8.464 142 11,916 20.164 192 13,856 36.864
43 6,557 1.849 93 9,644 8.649 143 11,958 20.449 193 13,892 37.249
44 6,633 1.936 94 9,695 8.836 144 12,000 20.736 194 13,928 37.636
45 6,708 2.025 95 9,747 9.025 145 12,042 21.025 195 13,964 38.025
46 6,782 2.116 96 9,798 9.216 146 12,083 21.316 196 14,000 38.416
47 6,856 2.209 97 9,849 9.409 147 12,124 21.609 197 14,036 38.809
48 6,928 2.304 98 9,899 9.604 148 12,166 21.904 198 14,071 39.204
49 7,000 2.401 99 9,950 9.801 149 12,207 22.201 199 14,107 39.601
50 7,071 2.500 100 10,000 10.000 150 12,247 22.500 200 14,142 40.000
58
N √N N2
N √N N2
N √N N2
N √N N2
201 14,177 40.401 251 15,843 63.001 301 17,349 90.601 351 18,735 123.201
202 14,213 40.804 252 15,875 63.504 302 17,378 91.204 352 18,762 123.904
203 14,248 41.209 253 15,906 64.009 303 17,407 91.809 353 18,788 124.609
204 14,283 41.616 254 15,937 64.516 304 17,436 92.416 354 18,815 125.316
205 14,318 42.025 255 15,969 65.025 305 17,464 93.025 355 18,841 126.025
206 14,353 42.436 256 16,000 65.536 306 17,493 93.636 356 18,868 126.736
207 14,387 42.849 257 16,031 66.049 307 17,521 94.249 357 18,894 127.449
208 14,422 43.264 258 16,062 66.564 308 17,550 94.864 358 18,921 128.164
209 14,457 43.681 259 16,093 67.081 309 17,578 95.481 359 18,947 128.881
210 14,491 44.100 260 16,125 67.600 310 17,607 96.100 360 18,974 129.600
211 14,526 44.521 261 16,155 68.121 311 17,635 96.721 361 19,000 130.321
212 14,560 44.944 262 16,186 68.644 312 17,664 97.344 362 19,026 131.044
213 14,595 45.369 263 16,217 69.169 313 17,692 97.969 363 19,053 131.769
214 14,629 45.796 264 16,248 69.696 314 17,720 98.596 364 19,079 132.496
215 14,663 46.225 265 16,279 70.225 315 17,748 99.225 365 19,105 133.225
216 14,697 46.656 266 16,310 70.756 316 17,776 99.856 366 19,131 133.956
217 14,731 47.089 267 16,340 71.289 317 17,804 100.489 367 19,157 134.689
218 14,765 47.524 268 16,371 71.824 318 17,833 101.124 368 19,183 135.424
219 14,799 47.961 269 16,401 72.361 319 17,861 101.761 369 19,209 136.161
220 14,832 48.400 270 16,432 72.900 320 17,889 102.400 370 19,235 136.900
221 14,866 48.841 271 16,462 73.441 321 17,916 103.041 371 19,261 137.641
222 14,900 49.284 272 16,492 73.984 322 17,944 103.684 372 19,287 138.384
223 14,933 49.729 273 16,523 74.529 323 17,972 104.329 373 19,313 139.129
224 14,967 50.176 274 16,553 75.076 324 18,000 104.976 374 19,339 139.876
225 15,000 50.625 275 16,583 75.625 325 18,028 105.625 375 19,365 140.625
226 15,033 51.076 276 16,613 76.176 326 18,055 106.276 376 19,391 141.376
227 15,067 51.529 277 16,643 76.729 327 18,083 106.929 377 19,416 142.129
228 15,100 51.984 278 16,673 77.284 328 18,111 107.584 378 19,442 142.884
229 15,133 52.441 279 16,703 77.841 329 18,138 108.241 379 19,468 143.641
230 15,166 52.900 280 16,733 78.400 330 18,166 108.900 380 19,494 144.400
231 15,199 53.361 281 16,763 78.961 331 18,193 109.561 381 19,519 145.161
232 15,232 53.824 282 16,793 79.524 332 18,221 110.224 382 19,545 145.924
233 15,264 54.289 283 16,823 80.089 333 18,248 110.889 383 19,570 146.689
234 15,297 54.756 284 16,852 80.656 334 18,276 111.556 384 19,596 147.456
235 15,330 55.225 285 16,882 81.225 335 18,303 112.225 385 19,621 148.225
236 15,362 55.696 286 16,912 81.796 336 18,330 112.896 386 19,647 148.996
237 15,395 56.169 287 16,941 82.369 337 18,358 113.569 387 19,672 149.769
238 15,427 56.644 288 16,971 82.944 338 18,385 114.244 388 19,698 150.544
239 15,460 57.121 289 17,000 83.521 339 18,412 114.921 389 19,723 151.321
240 15,492 57.600 290 17,029 84.100 340 18,439 115.600 390 19,748 152.100
241 15,524 58.081 291 17,059 84.681 341 18,466 116.281 391 19,774 152.881
242 15,556 58.564 292 17,088 85.264 342 18,493 116.964 392 19,799 153.664
243 15,588 59.049 293 17,117 85.849 343 18,520 117.649 393 19,824 154.449
244 15,620 59.536 294 17,146 86.436 344 18,547 118.336 394 19,849 155.236
245 15,652 60.025 295 17,176 87.025 345 18,574 119.025 395 19,875 156.025
246 15,684 60.516 296 17,205 87.616 346 18,601 119.716 396 19,900 156.816
247 15,716 61.009 297 17,234 88.209 347 18,628 120.409 397 19,925 157.609
248 15,748 61.504 298 17,263 88.804 348 18,655 121.104 398 19,950 158.404
249 15,780 62.001 299 17,292 89.401 349 18,682 121.801 399 19,975 159.201
250 15,811 62.500 300 17,321 90.000 350 18,708 122.500 400 20,000 160.000
59
N √N N2
N √N N2
N √N N2
N √N N2
401 20,025 160.801 451 21,237 203.401 501 22,383 251.001 551 23,473 303.601
402 20,050 161.604 452 21,260 204.304 502 22,405 252.004 552 23,495 304.704
403 20,075 162.409 453 21,284 205.209 503 22,428 253.009 553 23,516 305.809
404 20,100 163.216 454 21,307 206.116 504 22,450 254.016 554 23,537 306.916
405 20,125 164.025 455 21,331 207.025 505 22,472 255.025 555 23,558 308.025
406 20,149 164.836 456 21,354 207.936 506 22,494 256.036 556 23,580 309.136
407 20,174 165.649 457 21,378 208.849 507 22,517 257.049 557 23,601 310.249
408 20,199 166.464 458 21,401 209.764 508 22,539 258.064 558 23,622 311.364
409 20,224 167.281 459 21,424 210.681 509 22,561 259.081 559 23,643 312.481
410 20,248 168.100 460 21,448 211.600 510 22,583 260.100 560 23,664 313.600
411 20,273 168.921 461 21,471 212.521 511 22,605 261.121 561 23,685 314.721
412 20,298 169.744 462 21,494 213.444 512 22,627 262.144 562 23,707 315.844
413 20,322 170.569 463 21,517 214.369 513 22,650 263.169 563 23,728 316.969
414 20,347 171.396 464 21,541 215.296 514 22,672 264.196 564 23,749 318.096
415 20,372 172.225 465 21,564 216.225 515 22,694 265.225 565 23,770 319.225
416 20,396 173.056 466 21,587 217.156 516 22,716 266.256 566 23,791 320.356
417 20,421 173.889 467 21,610 218.089 517 22,738 267.289 567 23,812 321.489
418 20,445 174.724 468 21,633 219.024 518 22,760 268.324 568 23,833 322.624
419 20,469 175.561 469 21,656 219.961 519 22,782 269.361 569 23,854 323.761
420 20,494 176.400 470 21,679 220.900 520 22,804 270.400 570 23,875 324.900
421 20,518 177.241 471 21,703 221.841 521 22,825 271.441 571 23,896 326.041
422 20,543 178.084 472 21,726 222.784 522 22,847 272.484 572 23,917 327.184
423 20,567 178.929 473 21,749 223.729 523 22,869 273.529 573 23,937 328.329
424 20,591 179.776 474 21,772 224.676 524 22,891 274.576 574 23,958 329.476
425 20,616 180.625 475 21,794 225.625 525 22,913 275.625 575 23,979 330.625
426 20,640 181.476 476 21,817 226.576 526 22,935 276.676 576 24,000 331.776
427 20,664 182.329 477 21,840 227.529 527 22,956 277.729 577 24,021 332.929
428 20,688 183.184 478 21,863 228.484 528 22,978 278.784 578 24,042 334.084
429 20,712 184.041 479 21,886 229.441 529 23,000 279.841 579 24,062 335.241
430 20,736 184.900 480 21,909 230.400 530 23,022 280.900 580 24,083 336.400
431 20,761 185.761 481 21,932 231.361 531 23,043 281.961 581 24,104 337.561
432 20,785 186.624 482 21,954 232.324 532 23,065 283.024 582 24,125 338.724
433 20,809 187.489 483 21,977 233.289 533 23,087 284.089 583 24,145 339.889
434 20,833 188.356 484 22,000 234.256 534 23,108 285.156 584 24,166 341.056
435 20,857 189.225 485 22,023 235.225 535 23,130 286.225 585 24,187 342.225
436 20,881 190.096 486 22,045 236.196 536 23,152 287.296 586 24,207 343.396
437 20,905 190.969 487 22,068 237.169 537 23,173 288.369 587 24,228 344.569
438 20,928 191.844 488 22,091 238.144 538 23,195 289.444 588 24,249 345.744
439 20,952 192.721 489 22,113 239.121 539 23,216 290.521 589 24,269 346.921
440 20,976 193.600 490 22,136 240.100 540 23,238 291.600 590 24,290 348.100
441 21,000 194.481 491 22,159 241.081 541 23,259 292.681 591 24,310 349.281
442 21,024 195.364 492 22,181 242.064 542 23,281 293.764 592 24,331 350.464
443 21,048 196.249 493 22,204 243.049 543 23,302 294.849 593 24,352 351.649
444 21,071 197.136 494 22,226 244.036 544 23,324 295.936 594 24,372 352.836
445 21,095 198.025 495 22,249 245.025 545 23,345 297.025 595 24,393 354.025
446 21,119 198.916 496 22,271 246.016 546 23,367 298.116 596 24,413 355.216
447 21,142 199.809 497 22,293 247.009 547 23,388 299.209 597 24,434 356.409
448 21,166 200.704 498 22,316 248.004 548 23,409 300.304 598 24,454 357.604
449 21,190 201.601 499 22,338 249.001 549 23,431 301.401 599 24,474 358.801
450 21,213 202.500 500 22,361 250.000 550 23,452 302.500 600 24,495 360.000
60
N √N N2
N √N N2
N √N N2
N √N N2
601 24,515 361.201 651 25,515 423.801 701 26,476 491.401 751 27,404 564.001
602 24,536 362.404 652 25,534 425.104 702 26,495 492.804 752 27,423 565.504
603 24,556 363.609 653 25,554 426.409 703 26,514 494.209 753 27,441 567.009
604 24,576 364.816 654 25,573 427.716 704 26,533 495.616 754 27,459 568.516
605 24,597 366.025 655 25,593 429.025 705 26,552 497.025 755 27,477 570.025
606 24,617 367.236 656 25,612 430.336 706 26,571 498.436 756 27,495 571.536
607 24,637 368.449 657 25,632 431.649 707 26,589 499.849 757 27,514 573.049
608 24,658 369.664 658 25,652 432.964 708 26,608 501.264 758 27,532 574.564
609 24,678 370.881 659 25,671 434.281 709 26,627 502.681 759 27,550 576.081
610 24,698 372.100 660 25,690 435.600 710 26,646 504.100 760 27,568 577.600
611 24,718 373.321 661 25,710 436.921 711 26,665 505.521 761 27,586 579.121
612 24,739 374.544 662 25,729 438.244 712 26,683 506.944 762 27,604 580.644
613 24,759 375.769 663 25,749 439.569 713 26,702 508.369 763 27,622 582.169
614 24,779 376.996 664 25,768 440.896 714 26,721 509.796 764 27,641 583.696
615 24,799 378.225 665 25,788 442.225 715 26,739 511.225 765 27,659 585.225
616 24,819 379.456 666 25,807 443.556 716 26,758 512.656 766 27,677 586.756
617 24,839 380.689 667 25,826 444.889 717 26,777 514.089 767 27,695 588.289
618 24,860 381.924 668 25,846 446.224 718 26,796 515.524 768 27,713 589.824
619 24,880 383.161 669 25,865 447.561 719 26,814 516.961 769 27,731 591.361
620 24,900 384.400 670 25,884 448.900 720 26,833 518.400 770 27,749 592.900
621 24,920 385.641 671 25,904 450.241 721 26,851 519.841 771 27,767 594.441
622 24,940 386.884 672 25,923 451.584 722 26,870 521.284 772 27,785 595.984
623 24,960 388.129 673 25,942 452.929 723 26,889 522.729 773 27,803 597.529
624 24,980 389.376 674 25,962 454.276 724 26,907 524.176 774 27,821 599.076
625 25,000 390.625 675 25,981 455.625 725 26,926 525.625 775 27,839 600.625
626 25,020 391.876 676 26,000 456.976 726 26,944 527.076 776 27,857 602.176
627 25,040 393.129 677 26,019 458.329 727 26,963 528.529 777 27,875 603.729
628 25,060 394.384 678 26,038 459.684 728 26,981 529.984 778 27,893 605.284
629 25,080 395.641 679 26,058 461.041 729 27,000 531.441 779 27,911 606.841
630 25,100 396.900 680 26,077 462.400 730 27,019 532.900 780 27,928 608.400
631 25,120 398.161 681 26,096 463.761 731 27,037 534.361 781 27,946 609.961
632 25,140 399.424 682 26,115 465.124 732 27,055 535.824 782 27,964 611.524
633 25,159 400.689 683 26,134 466.489 733 27,074 537.289 783 27,982 613.089
634 25,179 401.956 684 26,153 467.856 734 27,092 538.756 784 28,000 614.656
635 25,199 403.225 685 26,173 469.225 735 27,111 540.225 785 28,018 616.225
636 25,219 404.496 686 26,192 470.596 736 27,129 541.696 786 28,036 617.796
637 25,239 405.769 687 26,211 471.969 737 27,148 543.169 787 28,054 619.369
638 25,259 407.044 688 26,230 473.344 738 27,166 544.644 788 28,071 620.944
639 25,278 408.321 689 26,249 474.721 739 27,185 546.121 789 28,089 622.521
640 25,298 409.600 690 26,268 476.100 740 27,203 547.600 790 28,107 624.100
641 25,318 410.881 691 26,287 477.481 741 27,221 549.081 791 28,125 625.681
642 25,338 412.164 692 26,306 478.864 742 27,240 550.564 792 28,142 627.264
643 25,357 413.449 693 26,325 480.249 743 27,258 552.049 793 28,160 628.849
644 25,377 414.736 694 26,344 481.636 744 27,276 553.536 794 28,178 630.436
645 25,397 416.025 695 26,363 483.025 745 27,295 555.025 795 28,196 632.025
646 25,417 417.316 696 26,382 484.416 746 27,313 556.516 796 28,213 633.616
647 25,436 418.609 697 26,401 485.809 747 27,331 558.009 797 28,231 635.209
648 25,456 419.904 698 26,420 487.204 748 27,350 559.504 798 28,249 636.804
649 25,475 421.201 699 26,439 488.601 749 27,368 561.001 799 28,267 638.401
650 25,495 422.500 700 26,458 490.000 750 27,386 562.500 800 28,284 640.000
61
N √N N2
N √N N2
N √N N2
N √N N2
801 28,302 641.601 851 29,172 724.201 901 30,017 811.801 951 30,838 904.401
802 28,320 643.204 852 29,189 725.904 902 30,033 813.604 952 30,854 906.304
803 28,337 644.809 853 29,206 727.609 903 30,050 815.409 953 30,871 908.209
804 28,355 646.416 854 29,223 729.316 904 30,067 817.216 954 30,887 910.116
805 28,373 648.025 855 29,240 731.025 905 30,083 819.025 955 30,903 912.025
806 28,390 649.636 856 29,257 732.736 906 30,100 820.836 956 30,919 913.936
807 28,408 651.249 857 29,275 734.449 907 30,116 822.649 957 30,935 915.849
808 28,425 652.864 858 29,292 736.164 908 30,133 824.464 958 30,952 917.764
809 28,443 654.481 859 29,309 737.881 909 30,150 826.281 959 30,968 919.681
810 28,460 656.100 860 29,326 739.600 910 30,166 828.100 960 30,984 921.600
811 28,478 657.721 861 29,343 741.321 911 30,183 829.921 961 31,000 923.521
812 28,496 659.344 862 29,360 743.044 912 30,199 831.744 962 31,016 925.444
813 28,513 660.969 863 29,377 744.769 913 30,216 833.569 963 31,032 927.369
814 28,531 662.596 864 29,394 746.496 914 30,232 835.396 964 31,048 929.296
815 28,548 664.225 865 29,411 748.225 915 30,249 837.225 965 31,064 931.225
816 28,566 665.856 866 29,428 749.956 916 30,265 839.056 966 31,081 933.156
817 28,583 667.489 867 29,445 751.689 917 30,282 840.889 967 31,097 935.089
818 28,601 669.124 868 29,462 753.424 918 30,299 842.724 968 31,113 937.024
819 28,618 670.761 869 29,479 755.161 919 30,315 844.561 969 31,129 938.961
820 28,636 672.400 870 29,496 756.900 920 30,332 846.400 970 31,145 940.900
821 28,653 674.041 871 29,513 758.641 921 30,348 848.241 971 31,161 942.841
822 28,671 675.684 872 29,530 760.384 922 30,364 850.084 972 31,177 944.784
823 28,688 677.329 873 29,547 762.129 923 30,381 851.929 973 31,193 946.729
824 28,705 678.976 874 29,563 763.876 924 30,397 853.776 974 31,209 948.676
825 28,723 680.625 875 29,580 765.625 925 30,414 855.625 975 31,225 950.625
826 28,740 682.276 876 29,597 767.376 926 30,430 857.476 976 31,241 952.576
827 28,758 683.929 877 29,614 769.129 927 30,447 859.329 977 31,257 954.529
828 28,775 685.584 878 29,631 770.884 928 30,463 861.184 978 31,273 956.484
829 28,792 687.241 879 29,648 772.641 929 30,480 863.041 979 31,289 958.441
830 28,810 688.900 880 29,665 774.400 930 30,496 864.900 980 31,305 960.400
831 28,827 690.561 881 29,682 776.161 931 30,512 866.761 981 31,321 962.361
832 28,844 692.224 882 29,698 777.924 932 30,529 868.624 982 31,337 964.324
833 28,862 693.889 883 29,715 779.689 933 30,545 870.489 983 31,353 966.289
834 28,879 695.556 884 29,732 781.456 934 30,561 872.356 984 31,369 968.256
835 28,896 697.225 885 29,749 783.225 935 30,578 874.225 985 31,385 970.225
836 28,914 698.896 886 29,766 784.996 936 30,594 876.096 986 31,401 972.196
837 28,931 700.569 887 29,783 786.769 937 30,610 877.969 987 31,417 974.169
838 28,948 702.244 888 29,799 788.544 938 30,627 879.844 988 31,432 976.144
839 28,965 703.921 889 29,816 790.321 939 30,643 881.721 989 31,448 978.121
840 28,983 705.600 890 29,833 792.100 940 30,659 883.600 990 31,464 980.100
841 29,000 707.281 891 29,850 793.881 941 30,676 885.481 991 31,480 982.081
842 29,017 708.964 892 29,866 795.664 942 30,692 887.364 992 31,496 984.064
843 29,034 710.649 893 29,883 797.449 943 30,708 889.249 993 31,512 986.049
844 29,052 712.336 894 29,900 799.236 944 30,725 891.136 994 31,528 988.036
845 29,069 714.025 895 29,917 801.025 945 30,741 893.025 995 31,544 990.025
846 29,086 715.716 896 29,933 802.816 946 30,757 894.916 996 31,559 992.016
847 29,103 717.409 897 29,950 804.609 947 30,773 896.809 997 31,575 994.009
848 29,120 719.104 898 29,967 806.404 948 30,790 898.704 998 31,591 996.004
849 29,138 720.801 899 29,983 808.201 949 30,806 900.601 999 31,607 998.001
850 29,155 722.500 900 30,000 810.000 950 30,822 902.500 1.000 31,623 1.000.000
62
Tabel Probabilitas Poisson Kumulatif
=
−
=≤
c
x
xm
x
mc
cXP
0 !
)(
m
c 0,100 0,200 0,300 0,400 0,500 0,600 0,700 0,800 0,900 1,000
0 0,905 0,819 0,741 0,670 0,607 0,549 0,497 0,449 0,407 0,368
1 0,995 0,982 0,463 0,938 0,910 0,878 0,844 0,809 0,772 0,736
2 1,000 0,999 0,946 0,992 0,986 0,977 0,966 0,953 0,937 0,920
3 1,000 1,000 1,000 0,999 0,998 0,997 0,994 0,991 0,987 0,981
4 1,000 1,000 1,000 1,000 1,000 1,000 0,999 0,999 0,498 0,996
5 1,000 1,000 1,000 1,000 1,000 1,000 1,000 1,000 1,000 0,999
6 1,000 1,000 1,000 1,000 1,000 1,000 1,000 1,000 1,000 1,000
7 1,000 1,000 1,000 1,000 1,000 1,000 1,000 1,000 1,000 1,000
m
c 1,100 1,200 1,300 1,400 1,500 1,600 1,700 1,800 1,900 2,000
0 0,333 0,301 0,273 0,247 0,223 0,202 0,183 0,165 0,150 0,135
1 0,699 0,663 0,627 0,592 0,538 0,525 0,493 0,463 0,434 0,406
2 0,900 0,879 0,857 0,833 0,809 0,783 0,757 0,731 0,704 0,677
3 0,974 0,966 0,957 0,946 0,934 0,921 0,907 0,891 0,875 0,857
4 0,995 0,992 0,989 0,986 0,981 0,976 0,970 0,964 0,956 0,947
5 0,999 0,998 0,998 0,997 0,996 0,994 0,992 0,990 0,987 0,983
6 1,000 1,000 1,000 0,999 0,999 0,999 0,948 0,997 0,997 0,995
7 1,000 1,000 1,000 1,000 1,000 1,000 1,000 0,999 0,949 0,999
8 1,000 1,000 1,000 1,000 1,000 1,000 1,000 1,000 1,000 1,000
9 1,000 1,000 1,000 1,000 1,000 1,000 1,000 1,000 1,000 1,000
m
c 2,100 2,200 2,300 2,400 2,500 2,600 2,700 2,800 2,900 3,000
0 0,122 0,111 0,100 0,091 0,082 0,074 0,067 0,061 0,055 0,050
1 0,380 0,355 0,331 0,308 0,287 0,267 0,249 0,231 0,215 0,199
2 0,650 0,623 0,596 0,570 0,544 0,518 0,494 0,469 0,446 0,423
3 0,839 0,819 0,799 0,779 0,758 0,736 0,714 0,692 0,670 0,647
4 0,938 0,928 0,916 0,904 0,891 0,877 0,863 0,848 0,832 0,815
5 0,980 0,975 0,970 0,964 0,958 0,951 0,943 0,935 0,926 0,916
6 0,994 0,993 0,991 0,988 0,986 0,983 0,979 0,976 0,971 0,966
7 0,999 0,995 0,997 0,997 0,996 0,995 0,993 0,992 0,990 0,988
8 1,000 1,000 0,999 0,999 0,999 0,999 0,998 0,998 0,997 0,996
9 1,000 1,000 1,000 1,000 1,000 1,000 0,999 0,999 0,999 0,999
10 1,000 1,000 1,000 1,000 1,000 1,000 1,000 1,000 1,000 1,000
11 1,000 1,000 1,000 1,000 1,000 1,000 1,000, 1,000 1,000 1,000
12 1,000 1,000 1,000 1,000 1,000 1,000 1,000 1,000 1,000 1,000
63
m
c 3,100 3,200 3,300 3,400 3,500 3,600 3,700 3,800 3,900 4,000
0 0,045 0,041 0,037 0,033 0,030 0,027 0,025 0,022 0,020 0,018
1 0,185 0,171 0,159 0,147 0,136 0,126 0,116 0,107 0,099 0,092
2 0,401 0,380 0,359 0,340 0,321 0,303 0,285 0,269 0,253 0,238
3 0,625 0,603 0,580 0,558 0,537 0,515 0,494 0,473 0,453 0,433
4 0,798 0,781 0,763 0,744 0,725 0,706 0,687 0,668 0,648 0,629
5 0,906 0,895 0,883 0,871 0,858 0,844 0,830 0,816 0,801 0,78S
6 0,961 0,955 0,949 0,942 0,935 0,927 0,918 0,909 0,899 0,889
7 0,986 0,983 0,980 0,977 0,973 0,969 0,965 0,960 0,955 0,949
8 0,995 0,994 0,993 0,992 0,990 0,988 0,986 0,984 0,981 0,979
9 0,999 0,998 0,998 0,997 0,997 0,996 0,995 0,994 0,993 0,992
10 1000 1,000 0,999 0,999 0,999 0,999 0,998 0,998 0,998 0,997
11 1,000 1,000 1,000 1,000 1,000 1,000 1,000 0,999 0,999 0,999
12 1,000 1,000 1,000 1 ,000 1,000 1,000 1,000 1,000 1,000 1,000
13 1,000 1,000 1,000 1,000 1,000 1,000 1,000 1,000 1,000 1000
14 1,000 1,000 1,000 1,000 1,000 1,000 1,000 1,000 1,000 1,000
m
c 4,500 5,000 5,500 6,000 6,500 7,000 7,500 8,000 8,500 9,000
0 0,011 0,007 0,004 0,002 0,002 0,001 0,001 0,000 0,000 0,000
1 0,061 0,040 0,027 0,017 0,011 0,007 0,005 0,003 0,002 0,001
2 0,174 0,125 0,088 0,062 0,043 0,030 0,020 0,014 0,009 0,006
3 0,342 0,265 0,202 0,151 0,112 0,082 0,059 0,042 0,030 0,021
4 0,532 0,440 0,358 0,285 0,224 0,173 0,132 0,100 0,014 0,055
5 0,703 0,616 0,529 0,446 0,369 0,301 0,241 0,191 0,150 0,116
6 0,831 0,762 0,686 0,606 0,527 0,450 0,378 0,313 0,256 0,207
7 0,913 0,867 0,809 0,744 0,673 0,599 0,525 0,453 0,386 0,324
8 0,960 0,932 0,894 0,847 0,792 0,729 0,662 0,593 0,523 0,456
9 0,983 0,968 0,946 0,916 0,877 0,830 0,776 0,717 0,653 0,587
10 0,993 0,986 0,975 0,957 0,933 0,901 0,862 0,816 0,763 0,706
11 0,998 0,995 0,989 0,980 0,966 ,947 0,921 0,888 0,849 0,803
12 0,999 0,998 0,996 0,991 0,984 0,973 0,957 0,936 0,909 0,876
13 1,000 0,999 0,998 0,996 0,993 0,987 0,978 0,966 0,949 0,926
14 1,000 1,000 0,999 0,999 0,997 0,994 0,990 0,983 0,973 0,959
15 1,000 1,000 1,000 0,999 ,0999 0,998 0,995 0,992 0,986 0,978
16 1,000 1 ,000 1,000 1,000 1,000 0,999 0,998 0,996 0,998 0,989
17 1,000 1,000 1,000 1,040 1,000 1,000 0,999 0,998 0,997 0,995
18 1,000 1,000 1,000 1,000 1,000 1,000 1,000 0,999 0,999 0,998
19 1,000 1,000 1,000 1,000 1,000 1,000 1,000 1,000 0,999 0,999
20 1,000 1,000 1,000 1,000 1,000 1,000 1,000 1,000 1,000 1,000
21 1,000 1,000 1,000 1,000 1,000 1,000 1,000 1,000 1,000 1,000
22 1,000 1,000 1,000 1,000 1,000 1,000 1,000 1,000 1,000 1,000
64
Tabel Probabilitas binominal kumulatif
=
−
−=≤
c
x
xnx
pp
x
n
CXP
0
)1()(
n c p
0,050 0,100 0,200 0,300 0,400 0,500 0,600 0,700 0,800 0,900 0,950
1 0 0,950 0,900 0,800 0,700 0,600 0,500 0,400 0,300 0,200 0,100 0,050
1 1,000 1,000 1,000 1,000 1,000 1,000 1,000 1,000 1,000 1,000 1,000
2 0 0,902 0,810 0,640 0,490 0,360 0,250 0,160 0,090 0,040 0,010 0,002
1 0,997 0,990 0,960 0,910 0,840 0,750 0,640 0,510 0,360 0,190 0,097
2 1,000 1,000 1,000 1,000 1,000 1,000 1,000 1,000 1,000 1,000 1,000
3 0 0,857 0,729 0,512 0,343 0,216 0,125 0,064 0,027 0,008 0,001 0,000
1 0,993 0,972 0,896 0,784 0,648 0,500 0,352 0,216 0,104 0,028 0,007
2 1,000 0,999 0,992 0,973 0,936 0,875 0,784 0,657 0,488 0,271 0,143
4 1,000 1,000 1,000 1,000 1,000 1,000 1,000 1,000 1,000 1,000 1,000
4 0 0,815 0,656 0,410 0,240 0,130 0,063 0,026 0,008 0,002 0,000 0,000
1 0,986 0,948 0,819 0,652 0,475 0,313 0,179 0,084 0,027 0,004 0,000
2 1,000 0,996 0,973 0,916 0,821 0,688 0,525 0,348 0,181 0,052 0,014
3 1,000 1,000 0,998 0,992 0,974 0,938 0,830 0,760 0,590 0,344 0,185
4 1,000 1,000 1,000 1,000 1,000 1,000 1,000 1,000 1,000 1,000 1,000
5 0 0,774 0,590 0,328 0,168 0,078 0,031 0,010 0,002 0,000 0,000 0,000
1 0,977 0,919 0,737 0,528 0,337 0,188 0,087 0,031 0,007 0,000 0,000
2 0,999 0,991 0,942 0,837 0,683 0,500 0,317 0,163 0,058 0,009 0,001
3 1,000 1,000 0,993 0,969 0,913 0,813 0,663 0,472 0,263 0,081 0,023
4 1,000 1,000 1,000 0,998 0,990 0,969 0,992 0,832 0,672 0,410 0,226
5 1,000 1,000 1,000 1,000 1,000 1,000 1,000 1,000 1,000 1,000 1,000
6 0 0,735 0,531 0,262 0,118 0,047 0,016 0,004 0,001 0,000 0,000 0,000
1 0,967 0,886 0,655 0,420 0,233 0,109 0,041 0,011 0,002 0,000 0,000
2 0,998 0,984 0,901 0,744 0,544 0,344 0,179 0,070 0,017 0,001 0,000
3 1,000 0,999 0,983 0,930 0,821 0,656 0,456 0,256 0,099 0,016 0,002
4 1,000 1,000 0,998 0,989 0,959 0,891 0,767 0,580 0,345 0,114 0,033
5 1,000 1,000 1,000 0,999 0,996 0,984 0,953 0,882 0,738 0,469 0,265
6 1,000 1,000 1,000 1,000 1,000 1,000 1,000 1,000 1,000 1,000 1,000
7 0 0,698 0,478 0,210 0,082 0,028 0,008 0,002 0,000 0,000 0,000 0,000
1 0,956 0,850 0,577 0,329 0,159 0,063 0,019 0,004 0,000 0,000 0,000
2 0,996 0,974 0,852 0,647 0,420 0,227 0,096 0,029 0,005 0,000 0,000
3 1,000 0,997 0,967 0,874 0,710 0,500 0,290 0,126 0,033 0,003 0,000
4 1,000 1,000 0,995 0,971 0,904 0,773 0,580 0,353 0,148 0,026 0,004
5 1,000 1,000 1,000 0,996 0,981 0,938 0,841 0,671 0,423 0,150 0,044
65
6 1,000 1,000 1,000 1,000 0,998 0,992 0,972 0,918 0,790 0,522 0,302
7 1,000 1,000 1,000 1,000 1,000 1,000 1,000 1,000 1,000 1,000 1,000
8 0 0,663 0,430 0,168 0,058 0,017 0,004 0,001 0,000 0,000 0,000 0,000
1 0,943 0,813 0,503 0,255 0,106 0,035 0,009 0,001 0,000 0,000 0,000
2 0,994 0,962 0,797 0,552 0,315 0,145 0,050 0,011 0,001 0,000 0,000
3 1,000 0,995 0,944 0,806 0,594 0,363 0,174 0,058 0,010 0,000 0,000
4 1,000 1,000 0,990 0,942 0,826 0,637 0,406 0,194 0,056 0,005 0,000
5 1,000 1,000 0,999 0,989 0,950 0,855 0,685 0,448 0,203 0,038 0,006
6 1,000 1,000 1,000 0,999 0,991 0,965 0,894 0,745 0,497 0,187 0,057
7 1,000 1,000 1,000 1,000 0,999 0,996 0,983 0,942 0,832 0,570 0,337
8 1,000 1,000 1,000 1,000 1,000 1,000 1,000 1,000 1,000 1,000 1,000
9 0 0,630 0,387 0,134 0,040 0,010 0,002 0,000 0,000 0,000 0,000 0,000
1 0,929 0,775 0,436 0,196 0,071 0,020 0,004 0,000 0,000 0,000 0,000
2 0,992 0,947 0,738 0,463 0,232 0,090 0,025 0,004 0,000 0,000 0,000
3 0,999 0,992 0,914 0,730 0,483 0,254 0,099 0,025 0,003 0,000 0,000
4 1,000 0,999 0,980 0,901 0,733 0,500 0,267 0,099 0,020 0,001 0,000
5 1,000 1,000 0,997 0,975 0,901 0,746 0,517 0,270 0,086 0,008 0,001
6 1,000 1,000 1,000 0,996 0,975 0,910 0,768 0,537 0,262 0,053 0,008
7 1,000 1,000 1,000 1,000 0,996 0,980 0,929 0,804 0,564 0,225 0,071
8 1,000 1,000 1,000 1,000 1,000 0,998 0,990 0,960 0,866 0,613 0,370
9 1,000 1,000 1,000 1,000 1,000 1,000 1,000 1,000 1,000 1,000 1,000
10 0 0,599 0,349 0,107 0,028 0,006 0,001 0,000 0,000 0,000 0,000 0,000
1 0,914 0,736 0,376 0,149 0,046 0,011 0,002 0,000 0,000 0,000 0,000
2 0,988 0,930 0,678 0,383 0,167 0,055 0,012 0,002 0,000 0,000 0,000
3 0,999 0,987 0,879 0,650 0,382 0,172 0,055 0,011 0,001 0,000 0,000
4 1,000 0,998 0,967 0,850 0,633 0,377 0,166 0,047 0,006 0,000 0,000
5 1,000 1,000 0,994 0,953 0,834 0,623 0,367 0,150 0,033 0,002 0,000
6 1,000 1,000 0,999 0,989 0,945 0,828 0,618 0,350 0,121 0,013 0,001
7 1,000 1,000 1,000 0,998 0,988 0,945 0,833 0,617 0,322 0,070 0,012
8 1,000 1,000 1,000 1,000 0,998 0,989 0,954 0,851 0,624 0,264 0,086
9 1,000 1,000 1,000 1,000 1,000 0,010 0,994 0,972 0,893 0,651 0,401
10 1,000 1,000 1,000 1,000 1,000 1,000 1,000 1,000 1,000 1,000 1,000
11 0 0,567 0,314 0,086 0,020 0,004 0,000 0,000 0,000 0,000 0,000 0,000
1 0,898 0,697 0,322 0,113 0,030 0,006 0,001 0,000 0,000 0,000 0,000
2 0,985 0,910 0,617 0,313 0,119 0,033 0,006 0,001 0,000 0,000 0,000
3 0,998 0,981 0,839 0,570 0,296 0,113 0,029 0,004 0,000 0,000 0,000
4 1,000 0,997 0,950 0,790 0,533 0,274 0,099 0,022 0,002 0,000 0,000
5 1,000 1,000 0,988 0,922 0,753 0,500 0,247 0,078 0,012 0,000 0,000
6 1,000 1,000 0,998 0,978 0,901 0,726 0,467 0,210 0,050 0,003 0,000
7 1,000 1,000 1,000 0,996 0,971 0,887 0,704 0,430 0,161 0,019 0,002
8 1,000 1,000 1,000 0,999 0,994 0,967 0,881 0,687 0,383 0,090 0,015
9 1,000 1,000 1,000 1,000 0,999 0,994 0,970 0,887 0,678 0,303 0,102
66
10 1,000 1,000 1,000 1,000 1,000 1,000 0,996 0,980 0,914 0,686 0,431
11 1,000 1,000 1,000 1,000 1,000 1,000 1,000 1,000 1,000 1,000 1,000
12 0 0,540 0,282 0,069 0,014 0,002 0,000 0,000 0,000 0,000 0,000 0,000
1 0,882 0,659 0,275 0,085 0,020 0,003 0,000 0,000 0,000 0,000 0,000
2 0,980 0,889 0,558 0,253 0,083 0,019 0,003 0,000 0,000 0,000 0,000
3 0,998 0,974 0,795 0,493 0,225 0,073 0,015 0,002 0,000 0,000 0,000
4 1,000 0,996 0,927 0,924 0,438 0,194 0,057 0,009 0,001 0,000 0,000
5 1,000 0,999 0,981 0,882 0,665 0,387 0,158 0,039 0,004 0,000 0,000
6 1,000 1,000 0,996 0,961 0,842 0,613 0,335 0,118 0,019 0,001 0,000
7 1,000 1,000 0,999 0,991 0,943 0,806 0,562 0,276 0,073 0,004 0,000
8 1,000 1,000 0,998 0,985 0,927 0,775 0,507 0,205 0,026 0,002 0,002
9 1,000 1,000 1,000 1,000 0,997 0,981 0,917 0,747 0,442 0,111 0,020
10 1,000 1,000 1,000 1,000 1,000 0,997 0,980 0,915 0,725 0,341 0,118
11 1,000 1,000 1,000 1,000 1,000 1,000 0,998 0,986 0,931 0,718 0,460
12 1,000 1,000 1,000 1,000 1,000 1,000 1,000 1,000 1,000 1,000 1,000
13 0 0,513 0,254 0,055 0,010 0,001 0,000 0,000 0,000 0,000 0,000 0,000
1 0,865 0,621 0,234 0,064 0,013 0,002 0,000 0,000 0,000 0,000 0,000
2 0,975 0,866 0,502 0,202 0,058 0,011 0,001 0,000 0,000 0,000 0,000
3 0,997 0,966 0,747 0,421 0,169 0,046 0,008 0,001 0,000 0,000 0,000
4 1,000 0,994 0,901 0,654 0,353 0,133 0,032 0,004 0,000 0,000 0,000
5 1,000 0,999 0,970 0,835 0,574 0,291 0,098 0,018 0,001 0,000 0,000
6 1,000 1,000 0,993 0,938 0,771 0,500 0,229 0,062 0,007 0,000 0,000
7 1,000 1,000 0,999 0,982 0,902 0,709 0,426 0,165 0,030 0,001 0,000
8 1,000 1,000 1,000 0,996 0,968 0,867 0,647 0,346 0,099 0,006 0,000
9 1,000 1,000 1,000 0,999 0,992 0,954 0,831 0,579 0,253 0,034 0,003
10 1,000 1,000 1,000 1,000 0,999 0,989 0,942 0,798 0,498 0,134 0,025
11 1,000 1,000 1,000 1,000 1,000 0,998 0,987 0,936 0,766 0,379 0,135
12 1,000 1,000 1,000 1,000 1,000 1,000 0,999 0,990 0,945 0,746 0,487
13 1,000 1,000 1,000 1,000 1,000 1,000 1,000 1,000 1,000 1,000 1,000
14 0 0,488 0,229 0,044 0,007 0,000 0,000 0,000 0,000 0,000 0,000 0,000
1 0,847 0,585 0,198 0,047 0,008 0,001 0,000 0,000 0,000 0,000 0,000
2 0,970 0,842 0,448 0,161 0,040 0,006 0,001 0,000 0,000 0,000 0,000
3 0,996 0,956 0,698 0,355 0,124 0,029 0,004 0,000 0,000 0,000 0,000
4 1,000 0,991 0,870 0,584 0,279 0,090 0,018 0,002 0,000 0,000 0,000
5 1,000 0,999 0,956 0,781 0,486 0,212 0,058 0,008 0,000 0,000 0,000
6 1,000 1,000 0,988 0,907 0,692 0,395 0,150 0,031 0,002 0,000 0,000
7 1,000 1,000 0,998 0,969 0,850 0,605 0,308 0,093 0,012 0,000 0,000
8 1,000 1,000 1,000 0,992 0,942 0,788 0,514 0,219 0,044 0,001 0,000
9 1,000 1,000 1,000 0,998 0,982 0,910 0,721 0,416 0,130 0,009 0,000
10 1,000 1,000 1,000 1,000 0,996 0,971 0,876 0,645 0,302 0,044 0,004
11 1,000 1,000 1,000 1,000 0,999 0,994 0,960 0,839 0,552 0,158 0,030
12 1,000 1,000 1,000 1,000 1,000 0,999 0,992 0,953 0,802 0,415 0,153
13 1,000 1,000 1,000 1,000 1,000 1,000 0,999 0,993 0,956 0,771 0,512
67
14 1,000 1,000 1,000 1,000 1,000 1,000 1,000 1,000 1,000 1,000 1,000
15 0 0,463 0,206 0,035 0,005 0,000 0,000 0,000 0,000 0,000 0,000 0,000
1 0,829 0,549 0,167 0,035 0,005 0,000 0,000 0,000 0,000 0,000 0,000
2 0,964 0,816 0,398 0,127 0,027 0,004 0,000 0,000 0,000 0,000 0,000
3 0,995 0,944 0,648 0,297 0,091 0,018 0,002 0,000 0,000 0,000 0,000
4 0,999 0,987 0,836 0,515 0,217 0,059 0,009 0,001 0,000 0,000 0,000
5 1,000 0,998 0,939 0,722 0,403 0,151 0,034 0,004 0,000 0,000 0,000
6 1,000 1,000 0,982 0,869 0,610 0,304 0,095 0,015 0,001 0,000 0,000
7 1,000 1,000 0,996 0,950 0,787 0,500 0,213 0,050 0,004 0,000 0,000
8 1,000 1,000 0,999 0,985 0,905 0,696 0,390 0,131 0,018 0,000 0,000
9 1,000 1,000 1,000 0,996 0,966 0,849 0,597 0,278 0,061 0,002 0,000
10 1,000 1,000 1,000 0,999 0,991 0,941 0,783 0,485 0,164 0,013 0,001
11 1,000 1,000 1,000 1,000 0,998 0,982 0,909 0,703 0,352 0,056 0,005
12 1,000 1,000 1,000 1,000 1,000 0,996 0,973 0,873 0,602 0,184 0,036
13 1,000 1,000 1,000 1,000 1,000 1,000 0,995 0,965 0,833 0,451 0,171
14 1,000 1,000 1,000 1,000 1,000 1,000 1,000 0,995 0,965 0,794 0,537
15 1,000 1,000 1,000 1,000 1,000 1,000 1,000 1,000 1,000 1,000 1,000
16 0 0,440 0,185 0,028 0,003 0,000 0,000 0,000 0,000 0,000 0,000 0,000
1 0,811 0,515 0,141 0,026 0,003 0,000 0,000 0,000 0,000 0,000 0,000
2 0,957 0,789 0,352 0,099 0,016 0,002 0,000 0,000 0,000 0,000 0,000
3 0,993 0,932 0,598 0,246 0,065 0,011 0,001 0,000 0,000 0,000 0,000
4 0,999 0,983 0,798 0,450 0,167 0,038 0,005 0,000 0,000 0,000 0,000
5 1,000 0,997 0,918 0,660 0,329 0,105 0,019 0,002 0,000 0,000 0,000
6 1,000 0,999 0,973 0,825 0,527 0,227 0,058 0,007 0,000 0,000 0,000
7 1,000 1,000 0,993 0,926 0,716 0,402 0,142 0,026 0,001 0,000 0,000
8 1,000 1,000 0,999 0,974 0,858 0,598 0,284 0,074 0,007 0,000 0,000
9 1,000 1,000 1,000 0,993 0,942 0,773 0,473 0,175 0,027 0,001 0,000
10 1,000 1,000 1,000 0,998 0,981 0,895 0,671 0,340 0,082 0,003 0,000
11 1,000 1,000 1,000 1,000 0,995 0,962 0,833 0,550 0,202 0,017 0,001
12 1,000 1,000 1,000 1,000 0,999 0,989 0,935 0,754 0,402 0,068 0,007
13 1,000 1,000 1,000 1,000 1,000 0,998 0,982 0,901 0,648 0,211 0,043
14 1,000 1,000 1,000 1,000 1,000 1,000 0,997 0,974 0,859 0,485 0,189
15 1,000 1,000 1,000 1,000 1,000 1,000 1,000 0,997 0,972 0,815 0,560
16 1,000 1,000 1,000 1,000 1,000 1,000 1,000 1,000 1,000 1,000 1,000
17 0 0,418 0,167 0,023 0,002 0,000 0,000 0,000 0,000 0,000 0,000 0,000
1 0,792 0,482 0,118 0,019 0,002 0,000 0,000 0,000 0,000 0,000 0,000
2 0,950 0,762 0,310 0,077 0,012 0,001 0,000 0,000 0,000 0,000 0,000
3 0,991 0,917 0,549 0,202 0,046 0,006 0,000 0,000 0,000 0,000 0,000
4 0,999 0,978 0,758 0,389 0,126 0,025 0,003 0,000 0,000 0,000 0,000
5 1,000 0,995 0,894 0,597 0,264 0,072 0,011 0,001 0,000 0,000 0,000
6 1,000 0,999 0,962 0,775 0,448 0,166 0,035 0,003 0,000 0,000 0,000
7 1,000 1,000 0,989 0,895 0,641 0,315 0,092 0,013 0,000 0,000 0,000
8 1,000 1,000 0,997 0,960 0,801 0,500 0,199 0,040 0,003 0,000 0,000
68
9 1,000 1,000 1,000 0,987 0,908 0,685 0,359 0,105 0,011 0,000 0,000
10 1,000 1,000 1,000 0,997 0,965 0,834 0,552 0,225 0,038 0,001 0,000
11 1,000 1,000 1,000 0,999 0,989 0,928 0,736 0,403 0,106 0,005 0,000
12 1,000 1,000 1,000 1,000 0,997 0,975 0,874 0,611 0,242 0,022 0,001
13 1,000 1,000 1,000 1,000 1,000 0,994 0,954 0,798 0,451 0,083 0,009
14 1,000 1,000 1,000 1,000 1,000 0,999 0,988 0,923 0,690 0,238 0,050
15 1,000 1,000 1,000 1,000 1,000 1,000 0,998 0,981 0,882 0,518 0,208
16 1,000 1,000 1,000 1,000 1,000 1,000 1,000 0,998 0,977 0,833 0,582
17 1,000 1,000 1,000 1,000 1,000 1,000 1,000 1,000 1,000 1,000 1,000
18 0 0,397 0,150 0,018 0,002 0,000 0,000 0,000 0,000 0,000 0,000 0,000
1 0,774 0,450 0,099 0,014 0,001 0,000 0,000 0,000 0,000 0,000 0,000
2 0,942 0,734 0,271 0,060 0,008 0,001 0,000 0,000 0,000 0,000 0,000
3 0,989 0,902 0,501 0,165 0,033 0,004 0,000 0,000 0,000 0,000 0,000
4 0,998 0,972 0,716 0,333 0,094 0,015 0,001 0,000 0,000 0,000 0,000
5 1,000 0,994 0,867 0,534 0,209 0,048 0,006 0,000 0,000 0,000 0,000
6 1,000 0,999 0,949 0,722 0,374 0,119 0,020 0,001 0,000 0,000 0,000
7 1,000 1,000 0,984 0,859 0,563 0,240 0,058 0,006 0,000 0,000 0,000
8 1,000 1,000 0,996 0,940 0,737 0,407 0,135 0,021 0,001 0,000 0,000
9 1,000 1,000 0,999 0,979 0,865 0,593 0,263 0,060 0,004 0,000 0,000
10 1,000 1,000 1,000 0,994 0,942 0,760 0,437 0,141 0,016 0,000 0,000
11 1,000 1,000 1,000 0,999 0,980 0,881 0,626 0,278 0,051 0,001 0,000
12 1,000 1,000 1,000 1,000 0,994 0,952 0,791 0,466 0,133 0,006 0,000
13 1,000 1,000 1,000 1,000 0,999 0,985 0,906 0,667 0,284 0,028 0,002
14 1,000 1,000 1,000 1,000 1,000 0,996 0,967 0,835 0,499 0,098 0,011
15 1,000 1,000 1,000 1,000 1,000 0,999 0,992 0,940 0,729 0,266 0,058
16 1,000 1,000 1,000 1,000 1,000 1,000 0,999 0,986 0,901 0,550 0,226
17 1,000 1,000 1,000 1,000 1,000 1,000 1,000 0,998 0,982 0,850 0,603
18 1,000 1,000 1,000 1,000 1,000 1,000 1,000 1,000 1,000 1,000 1,000
19 0 0,377 0,135 0,014 0,001 0,000 0,000 0,000 0,000 0,000 0,000 0,000
1 0,755 0,420 0,083 0,010 0,001 0,000 0,000 0,000 0,000 0,000 0,000
2 0,933 0,705 0,237 0,046 0,005 0,000 0,000 0,000 0,000 0,000 0,000
3 0,987 0,885 0,455 0,133 0,023 0,002 0,000 0,000 0,000 0,000 0,000
4 0,998 0,965 0,673 0,282 0,070 0,010 0,001 0,000 0,000 0,000 0,000
5 1,000 0,991 0,837 0,474 0,163 0,032 0,003 0,000 0,000 0,000 0,000
6 1,000 0,998 0,932 0,666 0,308 0,084 0,012 0,001 0,000 0,000 0,000
7 1,000 1,000 0,977 0,818 0,488 0,180 0,035 0,003 0,000 0,000 0,000
8 1,000 1,000 0,993 0,916 0,667 0,324 0,088 0,011 0,000 0,000 0,000
9 1,000 1,000 0,998 0,967 0,814 0,500 0,186 0,033 0,002 0,000 0,000
10 1,000 1,000 1,000 0,989 0,912 0,676 0,333 0,084 0,007 0,000 0,000
11 1,000 1,000 1,000 0,997 0,965 0,820 0,512 0,182 0,023 0,000 0,000
12 1,000 1,000 1,000 0,999 0,988 0,916 0,692 0,334 0,068 0,002 0,000
13 1,000 1,000 1,000 1,000 0,997 0,968 0,837 0,526 0,163 0,009 0,000
14 1,000 1,000 1,000 1,000 0,999 0,990 0,930 0,718 0,327 0,035 0,002
15 1,000 1,000 1,000 1,000 1,000 0,998 0,977 0,867 0,545 0,115 0,013
69
16 1,000 1,000 1,000 1,000 1,000 1,000 0,995 0,954 0,763 0,295 0,067
17 1,000 1,000 1,000 1,000 1,000 1,000 0,999 0,990 0,917 0,580 0,245
18 1,000 1,000 1,000 1,000 1,000 1,000 1,000 0,999 0,986 0,865 0,623
19 1,000 1,000 1,000 1,000 1,000 1,000 1,000 1,000 1,000 1,000 1,000
20 0 0,358 0,122 0,012 0,001 0,000 0,000 0,000 0,000 0,000 0,000 0,000
1 0,736 0,392 0,069 0,008 0,001 0,000 0,000 0,000 0,000 0,000 0,000
2 0,925 0,677 0,206 0,035 0,004 0,000 0,000 0,000 0,000 0,000 0,000
3 0,984 0,867 0,411 0,107 0,016 0,001 0,000 0,000 0,000 0,000 0,000
4 0,997 0,957 0,630 0,238 0,051 0,006 0,000 0,000 0,000 0,000 0,000
5 1,000 0,989 0,804 0,416 0,126 0,021 0,002 0,000 0,000 0,000 0,000
6 1,000 0,998 0,913 0,608 0,250 0,058 0,006 0,000 0,000 0,000 0,000
7 1,000 1,000 0,968 0,772 0,416 0,132 0,021 0,001 0,000 0,000 0,000
8 1,000 1,000 0,990 0,887 0,596 0,252 0,057 0,005 0,000 0,000 0,000
9 1,000 1,000 0,997 0,952 0,755 0,412 0,128 0,017 0,001 0,000 0,000
10 1,000 1,000 0,999 0,983 0,872 0,588 0,245 0,048 0,003 0,000 0,000
11 1,000 1,000 1,000 0,995 0,943 0,748 0,404 0,113 0,010 0,000 0,000
12 1,000 1,000 1,000 0,999 0,979 0,868 0,584 0,228 0,032 0,000 0,000
13 1,000 1,000 1,000 1,000 0,994 0,942 0,750 0,392 0,087 0,002 0,000
14 1,000 1,000 1,000 1,000 0,998 0,979 0,874 0,584 0,196 0,011 0,000
15 1,000 1,000 1,000 1,000 1,000 0,994 0,949 0,762 0,370 0,043 0,003
16 1,000 1,000 1,000 1,000 1,000 0,999 0,984 0,893 0,589 0,133 0,016
17 1,000 1,000 1,000 1,000 1,000 1,000 0,996 0,965 0,794 0,323 0,075
18 1,000 1,000 1,000 1,000 1,000 1,000 0,999 0,992 0,931 0,608 0,264
19 1,000 1,000 1,000 1,000 1,000 1,000 1,000 0,999 0,988 0,878 0,642
20 1,000 1,000 1,000 1,000 1,000 1,000 1,000 1,000 1,000 1,000 1,000
25 0 0,277 0,072 0,004 0,000 0,000 0,000 0,000 0,000 0,000 0,000 0,000
1 0,642 0,271 0,027 0,002 0,000 0,000 0,000 0,000 0,000 0,000 0,000
2 0,873 0,537 0,098 0,009 0,000 0,000 0,000 0,000 0,000 0,000 0,000
3 0,966 0,764 0,234 0,033 0,002 0,000 0,000 0,000 0,000 0,000 0,000
4 0,993 0,902 0,421 0,090 0,009 0,000 0,000 0,000 0,000 0,000 0,000
5 0,999 0,967 0,617 0,193 0,029 0,002 0,000 0,000 0,000 0,000 0,000
6 1,000 0,991 0,780 0,341 0,074 0,007 0,000 0,000 0,000 0,000 0,000
7 1,000 0,998 0,891 0,512 0,154 0,022 0,001 0,000 0,000 0,000 0,000
8 1,000 1,000 0,953 0,677 0,274 0,054 0,004 0,000 0,000 0,000 0,000
9 1,000 1,000 0,983 0,811 0,425 0,115 0,013 0,000 0,000 0,000 0,000
10 1,000 1,000 0,994 0,902 0,586 0,212 0,034 0,002 0,000 0,000 0,000
11 1,000 1,000 0,998 0,956 0,732 0,345 0,078 0,006 0,000 0,000 0,000
12 1,000 1,000 1,000 0,983 0,846 0,500 0,154 0,017 0,000 0,000 0,000
13 1,000 1,000 1,000 0,994 0,922 0,655 0,268 0,044 0,002 0,000 0,000
14 1,000 1,000 1,000 0,998 0,966 0,788 0,414 0,098 0,006 0,000 0,000
15 1,000 1,000 1,000 1,000 0,987 0,885 0,575 0,189 0,017 0,000 0,000
16 1,000 1,000 1,000 1,000 0,996 0,946 0,726 0,323 0,047 0,000 0,000
17 1,000 1,000 1,000 1,000 0,999 0,978 0,926 0,488 0,109 0,002 0,000
18 1,000 1,000 1,000 1,000 1,000 0,993 0,971 0,659 0,220 0,009 0,000
70
19 1,000 1,000 1,000 1,000 1,000 0,998 0,991 0,807 0,383 0,033 0,001
20 1,000 1,000 1,000 1,000 1,000 1,000 0,998 0,910 0,579 0,098 0,007
21 1,000 1,000 1,000 1,000 1,000 1,000 0,926 0,967 0,766 0,236 0,034
22 1,000 1,000 1,000 1,000 1,000 1,000 1,000 0,991 0,902 0,463 0,127
23 1,000 1,000 1,000 1,000 1,000 1,000 1,000 0,998 0,973 0,729 0,358
24 1,000 1,000 1,000 1,000 1,000 1,000 1,000 1,000 0,996 0,928 0,723
25 1,000 1,000 1,000 1,000 1,000 1,000 1,000 1,000 1,000 1,000 1,000
71
DAFTAR PUSTAKA
Conover, W.J, 1980, Practical Nonparametric Statistics second edition, New York : John Wiley
& Sons.
Daniel, Wayne W. 1994. Biostatistics, a Foundation for Analysis in the Health Sciences. John
Wiley and sons, Inc. New York.
Hadi, Soetrisno, 1993, Statistik 2 , Yogyakarta ; Andi Offset
Lemeshow, dkk, 1997, Besar Sampel Dalam Penelitian Kesehatan, Yogyakarta : Gajah Mada
University Press
Nasir, Moh, 1985, Metode Penelitian cetakan pertama, Jakarta : Ghalia Indonesia.
Siegel, Sidney, 1956, Non Parametric Statistics For The Behavioral Sciences, New York : Mc
Graw-Hill Book Company.
Siegel, Sidney, 1986, Statistik Non Parametrik Untuk Ilmu-Ilmu Sosial, diterjemahkan oleh
Zanzawi Suyuti dan Landung Simatupang dalam koordinasi Peter Hagul, Cetakan ke 2,
Jakarta : Gramedia.
Snedecor, George W dan Cochran, William G, 1980, Statistical Methods seventh edition, Ames
Iowa USA : The Iowa State University Press
Soejoeti, Zanzawi, 1984/1985, Buku Materi Pokok Metode Statistik II STA 202/3 SKS/Modul 1-
5, Jakarta : Universitas Terbuka, Departemen Pendidikan dan Kebudayaan.
Soejoeti, Zanzawi, 1985, Buku Materi Pokok Metode Statistik II STA 202/3 SKS/Modul 6-9,
Jakarta : Universitas Terbuka, Departemen Pendidikan dan Kebudayaan.
Soepeno, Bambang, 1997, Statistik Terapan (Dalam Penelitian Ilmu-Ilmu Sosial dan
Pendidikan), Jakarta ; PT. Rineka Cipta
Sujana, 1992, Metoda Statistika, edisi ke 5, Bandung : Tarsito.

Tabel statistik

  • 1.
    1 Tabel Harga Kritist Tingkat Signifikansi untuk tes satu sisi df 0,100 0,050 Tingkat Signifikansi untuk tes dua sisi 0,200 0,100 1 3,078 6,314 2 1,886 2,920 3 1,638 2,353 4 1,533 2,132 5 1,476 2,015 Tabel Distribusi Normal Z 0,00 0,01 0,02 0,03 0,0 0,5000 0,4960 0,4920 0,4880 0,1 0,4602 0,4562 0,4522 0,4483 0,2 0,4207 0,4168 0,4129 0,4090 0,3 0,3821 0,3783 0,3745 0,3707 0,4 0,3446 0,3409 0,3372 0,3336 0,5 0,3085 0,3050 0,3015 0,2981 0,6 0,2743 0,2709 0,2676 0,2643 0,7 0,2420 0,2389 0,2358 0,2327 0,8 0,2119 0,2090 0,2061 0,2033 0,9 0,1841 0,1814 0,1788 0,1762 1,0 0,1587 0,1562 0,1539 0,1515 1,1 0,1357 0,1335 0,1314 0,1292 1,2 0,1151 0,1131 0,1112 0,1093 1,3 0,0968 0,0951 0,0934 0,0918 1,4 0,0808 0,0793 0,0778 0,0764 1,5 0,0668 0,0655 0,0643 0,0630 Tabel Harga Kritis Korelasi Moment Product Pearson ( r Tingkat Signifikansi untuk tes df 0,050 Tingkat Signifikansi untuk tes 0,100 1 0,988 2 0,900 3 0,805 4 0,729 5 0,669 6 0,622 7 0,582 8 0,549 9 0,521 10 0,497 11 0,476 12 0,458 13 0,441N α = 0,10 α = 0,05 α = 0,025 d=0,10 d=0,05 d=0,01 d=0,10 d=0,05 d=0,01 d=0,10 d=0,05 4.200 41 158 2.074 67 256 2.597 94 352 4.300 41 158 2.098 67 256 2.635 94 353 4.400 41 158 2.121 67 256 2.672 94 353 4.500 41 158 2.144 67 257 2.709 94 354 4.600 41 158 2.167 67 257 2.745 94 355 4.700 41 158 2.189 67 257 2.780 94 355 4.800 41 158 2.210 67 258 2.815 94 356 Tabel Angka Random 14620 09742 56919 97310 07585 95430 85125 17803 78209 28040 12951 48477 95781 51263 26939 81953 42783 85069 52396 64531 17629 70473 61594 82681 70570 25950 82973 60819 59041 74208 85189 16405 27364 38475 69516 69374 81497 59081 03615 79530 37904 20863 72635 84093 47649 06759 94072 49180 49731 53046 39412 48480 95318 77094 63158 03642 50075 28749 16385 49753 87497 11804 49512 90185 84279 29735 24956 35408 72635 56496 14308 72182 21814 86259 30618 Tabel Harga Kritis F p = 0,05 (atas) p = 0,01 (bawah) degree fredom of greater mean square (V1) derajat kebebasan untV2 1 2 3 4 5 6 7 8 9 10 11 12 14 1 161 200 216 225 230 234 237 239 241 242 243 244 245 4052 4999 5403 5625 5764 5859 5928 5981 6022 6056 6082 6106 6142 2 18,51 19,00 19,16 19,25 19,30 19,33 19,36 19,37 19,38 19,39 19,40 19,14 19,42 98,49 99,01 99,17 99,25 99,30 99,33 99,34 99,36 99,38 99,40 99,41 99,42 99,43 3 10,13 9,55 9,28 9,12 9,01 8,94 8,88 8,84 8,81 8,78 8,76 8,74 8,71 34,12 30,81 29,46 28,71 28,24 27,91 27,67 27,49 27,34 27,23 27,13 27,05 26,92 4 7,71 6,94 6,59 6,39 6,26 6,16 6,09 6,04 6,00 5,96 5,93 5,91 5,87 21,20 18,00 16,69 15,98 15,52 15,21 14,98 14,80 14,66 14,54 14,45 14,37 14,24 5 6,61 5,79 5,41 5,19 5,05 4,95 4,88 4,82 4,78 4,74 4,70 4,68 4,64 16,26 13,27 12,06 11,39 10,97 10,64 10,45 10,27 10,15 10,05 9,96 9,89 9,77 6 5,99 5,14 4,76 4,53 4,39 4,28 4,21 4,15 4,10 4,06 4,03 4,00 3,96 13,74 10,92 9,78 9,15 8,75 8,47 8,26 8,10 7,98 7,87 7,79 7,72 7,60 7 5,59 4,74 4,35 4,12 3,97 3,87 3,79 3,73 3,68 3,63 3,60 3,57 3,52 12,25 9,55 8,45 7,85 7,46 7,19 7,00 6,84 6,71 6,62 6,54 6,47 6,35 8 5,32 4,46 4,07 3,84 3,69 3,58 3,50 3,44 3,39 3,34 3,31 3,28 3,23 11,26 8,65 7,59 7,01 6,63 6,37 6,19 6,03 5,91 5,82 5,74 5,67 5,56 9 5,12 4,26 3,86 3,63 3,48 3,37 3,29 3,23 3,18 3,13 3,10 3,07 3,02 10,56 8,02 6,99 6,42 6,06 5,80 5,62 5,47 5,35 5,26 5,18 5,11 5,00 10 4,96 4,10 3,71 3,48 3,33 3,22 3,14 3,07 3,02 2,97 2,94 2,91 2,86 10,04 7,56 6,55 5,99 5,64 5,39 5,21 5,06 4,95 4,85 4,78 4,71 4,60 11 4,84 3,98 3,59 3,36 3,20 3,09 3,01 2,10 2,90 2,86 2,82 2,79 2,74 Tabel Harga Quantil Statistik Kolmogorov Distribusi Normal Tingkat Signifikansi untuk tes satu sisi N 0,100 0,075 0,050 0,025 Tingkat Signifikansi untuk tes dua sisi 0,200 0,150 0,100 0,050 1 0,900 0,925 0,950 0,975 2 0,684 0,726 0,776 0,842 3 0,565 0,597 0,642 0,708 4 0,494 0,525 0,564 0,624 5 0,446 0,474 0,510 0,565 6 0,410 0,436 0,470 0521 7 0,381 0,405 0,438 0,486 8 0,358 0,381 0,411 0,457 9 0,339 0,360 0,388 0,432
  • 2.
    2 TTAABBEELL--TTAABBEELL SSTTAATTIISSTTIIKK Penyunting : TriCahyono (tricahyono37@yahoo.co.id) Jurusan Kesehatan Lingkungan Purwokerto Politeknik Kesehatan Semarang 2006
  • 3.
    3 KATA PENGANTAR Statistik merupakankumpulan angka, alat, metoda untuk menjelaskan suatu fenomena kejadian berdasarkan data. Data diolah, diuji dengan berbagai macam model rumus statistik untuk mendapatkan informasi yang akurat, sehingga dapat digunakan sesuai dengan kebutuhan. Dalam mempercepat pengolahan dan pengujian statistik kadangkala dibutuhkan tabel-tabel statistik. Tabel-tabel statistik dapat dijumpai pada lampiran setiap buku statistik, namun jenis sesuai dengan rumus yang dibahas di buku tersebut. Pada buku ini penyunting hanya menampilkan tabel-tabel statistik yang sering digunakan dalam kalangan akademisi, khusus di bidang kesehatan masyarakat Dalam penyajian buku ini tentunya masih banyak kekurangannya, untuk itu saran, kritik sangatlah penulis harapkan demi sempurna buku ini. Penulis berharap mudah-mudahan tulisan yang singkat ini dapat bermanfaat bagi pembaca dan menggugah lebih dalam lagi untuk mempelajari statistik. Purwokerto, Januari 2006 Penyunting Tri Cahyono
  • 4.
    4 DAFTAR ISI Halaman HALAMAN JUDUL................................................................................... i KATA PENGANTAR................................................................................ ii DAFTAR ISI............................................................................................... iii 1. Tabel Distribusi Normal 1 2. Tabel Harga Kritis t 2 3. Tabel Harga Kritis Korelasi Moment Product Pearson ( r ) 3 4. Tabel Harga Kritis Korelasi Tata Jenjang Spearman ( rho ) 4 5. Tabel Harga Kritis Korelasi Tata Jenjang Spearman ( rho ) 5 6. Tabel Kemungkinan yang Berkaitan Dengan Harga-Harga Sebesar Harga-harga Observasi S, Koefisien Korelasi Ranking Kendall 6 7. Tabel Harga-harga Kritis s dalam Koefisien Konkordansi Kendall 7 8. Tabel Harga Kritis Chi – Square ( X2 ) 8 9. Tabel Harga Kritis F 9 10. Tabel Transformasi dari r ke Z 11 11. Tabel Nilai Perkiraan Korelasi Tetrachoric dari K 12 12. Tabel Fisher 13 13. Tabel Nilai q 18 14. Tabel Harga Quantil Statistik Lilliefors Distribusi Normal 19 15. Tabel Harga Quantil Statistik Shapiro- Wilk Distribusi Normal 20 16. Tabel Konversi Statistik Shapiro-Wilk Pendekatan Distribusi Normal 21 17. Tabel Koefisient untuk test Shapiro-Wilk 23 18. Tabel Quantiles Of The Wilcoxon Signed Ranks Test Statistic 25 19. Tabel Harga Kritis T Dalam Tes Ranking Bertanda Data Berpasangan Wilcoxon 26 20. Tabel Kemungkinan Yang Berkaitan Dengan Harga-Harga Sebesar Harga-Harga Observasi Xr2 Dalam Analisis Varian Ranking Dua Arah Friedman 27 21. Tabel Harga Kritis Statistik Penguji Kruskal-Wallis Untuk Tiga Sampel dan Ukuran Sampel Kecil 29 22. Tabel Kemungkinan Yang Berkaitan Dengan Harga-Harga Sekecil Harga-Harga X Observasi Dalam Tes Binomial 31 23. Tabel Harga Kritis D dalam Tes Satu Sampel Kolmogorov Smirnov 32 24. Tabel Harga Quantil Statistik Kolmogorov Distribusi Normal 33 25. Tabel Harga Kritis KD Dalam Tes Dua Sampel Kolmogorov Smirnov (Sampel Kecil) 34 26. Tabel Harga Kritis D Dalam Tes Dua Sampel Kolmogorov Smirnov (Sampel besar : tes dua sisi) 35 27. Tabel Harga-harga Kritis untuk Tes Walsh 36 28. Tabel Nilai Koefisien Binomial 37 29. Tabel Harga-harga Kritis r dalam Tes Run 38 30. Tabel Harga-harga Kritis U Dalam Tes Mann-Whitney 39 31. Tabel Faktorial 44 32. Tabel Angka Random 45 33. Tabel Besar Sampel Berdasarkan Rumus 47 34. Tabel Angka, Akar dan Kwadrat 53 35. Tabel Probabilitas Poisson Kumulatif 58 36. Tabel Probabilitas binominal kumulatif 60
  • 5.
    5 Tabel Distribusi Normal Z0,00 0,01 0,02 0,03 0,04 0,05 0,06 0,07 0,08 0,09 0,0 0,5000 0,4960 0,4920 0,4880 0,4840 0,4801 0,4761 0,4721 0,4681 0,4641 0,1 0,4602 0,4562 0,4522 0,4483 0,4443 0,4404 0,4364 0,4325 0,4286 0,4247 0,2 0,4207 0,4168 0,4129 0,4090 0,4052 0,4013 0,3974 0,3936 0,3897 0,3859 0,3 0,3821 0,3783 0,3745 0,3707 0,3669 0,3632 0,3594 0,3557 0,3520 0,3483 0,4 0,3446 0,3409 0,3372 0,3336 0,3300 0,3264 0,3228 0,3192 0,3156 0,3121 0,5 0,3085 0,3050 0,3015 0,2981 0,2946 0,2912 0,2877 0,2843 0,2810 0,2776 0,6 0,2743 0,2709 0,2676 0,2643 0,2611 0,2578 0,2546 0,2514 0,2483 0,2451 0,7 0,2420 0,2389 0,2358 0,2327 0,2296 0,2266 0,2236 0,2206 0,2177 0,2148 0,8 0,2119 0,2090 0,2061 0,2033 0,2005 0,1977 0,1949 0,1922 0,1894 0,1867 0,9 0,1841 0,1814 0,1788 0,1762 0,1736 0,1711 0,1685 0,1660 0,1635 0,1611 1,0 0,1587 0,1562 0,1539 0,1515 0,1492 0,1469 0,1446 0,1423 0,1401 0,1379 1,1 0,1357 0,1335 0,1314 0,1292 0,1271 0,1251 0,1230 0,1210 0,1190 0,1170 1,2 0,1151 0,1131 0,1112 0,1093 0,1075 0,1056 0,1038 0,1020 0,1003 0,0985 1,3 0,0968 0,0951 0,0934 0,0918 0,0901 0,0885 0,0869 0,0853 0,0838 0,0823 1,4 0,0808 0,0793 0,0778 0,0764 0,0749 0,0735 0,0721 0,0708 0,0694 0,0681 1,5 0,0668 0,0655 0,0643 0,0630 0,0618 0,0606 0,0594 0,0582 0,0571 0,0559 1,6 0,0548 0,0537 0,0526 0,0516 0,0505 0,0495 0,0485 0,0475 0,0465 0,0455 1,7 0,0446 0,0436 0,0427 0,0418 0,0409 0,0401 0,0392 0,0384 0,0375 0,0367 1,8 0,0359 0,0351 0,0344 0,0336 0,0329 0,0322 0,0314 0,0307 0,0301 0,0294 1,9 0,0287 0,0281 0,0274 0,0268 0,0262 0,0256 0,0250 0,0244 0,0239 0,0233 2,0 0,0228 0,0222 0,0217 0,0212 0,0207 0,0202 0,0197 0,0192 0,0188 0,0183 2,1 0,0179 0,0174 0,0170 0,0166 0,0162 0,0158 0,0154 0,0150 0,0146 0,0143 2,2 0,0139 0,0136 0,0132 0,0129 0,0125 0,0122 0,0119 0,0116 0,0113 0,0110 2,3 0,0107 0,0104 0,0102 0,0099 0,0096 0,0094 0,0091 0,0089 0,0087 0,0084 2,4 0,0082 0,0080 0,0078 0,0075 0,0073 0,0071 0,0069 0,0068 0,0066 0,0064 2,5 0,0062 0,0060 0,0059 0,0057 0,0055 0,0054 0,0052 0,0051 0,0049 0,0048 2,6 0,0047 0,0045 0,0044 0,0043 0,0041 0,0040 0,0039 0,0038 0,0037 0,0036 2,7 0,0035 0,0034 0,0033 0,0032 0,0031 0,0030 0,0029 0,0028 0,0027 0,0026 2,8 0,0026 0,0025 0,0024 0,0023 0,0023 0,0022 0,0021 0,0021 0,0020 0,0019 2,9 0,0019 0,0018 0,0018 0,0017 0,0016 0,0016 0,0015 0,0015 0,0014 0,0014 3,0 0,0013 0,0013 0,0013 0,0012 0,0012 0,0011 0,0011 0,0011 0,0010 0,0010 3,1 0,0010 0,0009 0,0009 0,0009 0,0008 0,0008 0,0008 0,0008 0,0007 0,0007 3,2 0,0007 0,0007 0,0006 0,0006 0,0006 0,0006 0,0006 0,0005 0,0005 0,0005 3,3 0,0005 0,0005 0,0005 0,0004 0,0004 0,0004 0,0004 0,0004 0,0004 0,0003 3,4 0,0003 0,0003 0,0003 0,0003 0,0003 0,0003 0,0003 0,0003 0,0003 0,0002 3,5 0,0002 0,0002 0,0002 0,0002 0,0002 0,0002 0,0002 0,0002 0,0002 0,0002 3,6 0,0002 0,0002 0,0001 0,0001 0,0001 0,0001 0,0001 0,0001 0,0001 0,0001 3,7 0,0001 0,0001 0,0001 0,0001 0,0001 0,0001 0,0001 0,0001 0,0001 0,0001 3,8 0,0001 0,0001 0,0001 0,0001 0,0001 0,0001 0,0001 0,0001 0,0001 0,0001
  • 6.
    6 Tabel Harga Kritist Tingkat Signifikansi untuk tes satu sisi Df 0,40 0,25 0,10 0,05 0,025 0,01 0,005 0,0025 0,001 0,0005 N-1 Tingkat Signifikansi untuk tes dua sisi 0,80 0,50 0,20 0,10 0,05 0,02 0,01 0,005 0,002 0,001 1 0,325 1,000 3,078 6,314 12,706 31,821 63,657 127,32 318,31 636,62 2 0,289 0,816 1,886 2,920 4,303 6,965 9,925 14,089 22,327 31,598 3 0,277 0,765 1,638 2,353 3,182 4,541 5,841 7,453 10,214 12,924 4 0,271 0,741 1,533 2,132 2,776 3,747 4,604 5,598 7,173 8,610 5 0,267 0,727 1,476 2,015 2,571 3,365 4,032 4,773 5,893 6,869 6 0,265 0,718 1,440 1,943 2,447 3,143 3,707 4,317 5,208 5,959 7 0,263 0,711 1,415 1,895 2,365 2,998 3,499 4,029 4,785 5,408 8 0,262 0,706 1,397 1,860 2,306 2,896 3,355 3,833 4,501 5,041 9 0,261 0,703 1,383 1,833 2,262 2,821 3,250 3,690 4,297 4,781 10 0,260 0,700 1,372 1,812 2,228 2,764 3,169 3,581 4,144 4,587 11 0,260 0,697 1,363 1,796 2,201 2,718 3,106 3,497 4,025 4,437 12 0,259 0,695 1,356 1,782 2,179 2,681 3,055 3,428 3,930 4,318 13 0,259 0,694 1,350 1,771 2,160 2,650 3,012 3,372 3,852 4,221 14 0,258 0,692 1,345 1,761 2,145 2,624 2,977 3,326 3,787 4,140 15 0,258 0,691 1,341 1,753 2,131 2,602 2,947 3,286 3,733 4,073 16 0,258 0,690 1,337 1,746 2,120 2,583 2,921 3,252 3,686 4,015 17 0,257 0,689 1,333 1,740 2,110 2,567 2,898 3,222 3,646 3,965 18 0,257 0,688 1,330 1,734 2,101 2,552 2,878 3,197 3,610 3,922 19 0,257 0,688 1,328 1,729 2,093 2,539 2,861 3,174 3,579 3,883 20 0,257 0,687 1,325 1,725 2,086 2,528 2,845 3,153 3,552 3,850 21 0,257 0,686 1,323 1,721 2,080 2,518 2,831 3,135 3,527 3,819 22 0,256 0,686 1,321 1,717 2,074 2,508 2,819 3,119 3,505 3,792 23 0,256 0,685 1,319 1,714 2,069 2,500 2,807 3,104 3,485 3,767 24 0,256 0,685 1,318 1,711 2,064 2,492 2,797 3,091 3,467 3,745 25 0,256 0,684 1,316 1,708 2,060 2,485 2,787 3,078 3,450 3,725 26 0,256 0,684 1,315 1,706 2,056 2,479 2,779 3,067 3,435 3,707 27 0,256 0,684 1,314 1,703 2,052 2,473 2,771 3,057 3,421 3,690 28 0,256 0,683 1,313 1,701 2,048 2,467 2,763 3,047 3,408 3,674 29 0,256 0,683 1,311 1,699 2,045 2,462 2,756 3,038 3,396 3,659 30 0,256 0,683 1,310 1,697 2,042 2,457 2,750 3,030 3,385 3,646 40 0,255 0,681 1,303 1,684 2,021 2,423 2,704 2,971 3,307 3,551 60 0,254 0,679 1,296 1,671 2,000 2,390 2,660 2,915 3,232 3,460 120 0,254 0,677 1,289 1,658 1,980 2,358 2,617 2,860 3,160 3,373 ∞ 0,253 0,674 1,282 1,645 1,960 2,326 2,576 2,807 3,090 3,291 Sumber : Conover, W.J, 1980, Practical Nonparametric Statistics second edition, New York : John Wiley & Sons.
  • 7.
    7 Tabel Harga KritisKorelasi Moment Product Pearson ( r ) Tingkat Signifikansi untuk tes satu sisi df 0,050 0,025 0,010 0,005 N-1 Tingkat Signifikansi untuk tes dua sisi 0,100 0,050 0,020 0,010 1 0,988 0,997 0,9995 0,9999 2 0,900 0,950 0,980 0,990 3 0,805 0,878 0,934 0,959 4 0,729 0,811 0,882 0,917 5 0,669 0,754 0,833 0,874 6 0,622 0,707 0,789 0,834 7 0,582 0,666 0,750 0,798 8 0,549 0,632 0,716 0,765 9 0,521 0,602 0,685 0,735 10 0,497 0,576 0,658 0,708 11 0,476 0,553 0,634 0,684 12 0,458 0,532 0,612 0,661 13 0,441 0,514 0,592 0,641 14 0,426 0,497 0,574 0,623 15 0,412 0,482 0,558 0,606 16 0,400 0,468 0,542 0,590 17 0,389 0,456 0,528 0,575 18 0,378 0,444 0,516 0,561 19 0,369 0,433 0,503 0,549 20 0,360 0,423 0,492 0,537 21 0,352 0,413 0,482 0,526 22 0,344 0,404 0,472 0,515 23 0,337 0,396 0,462 0,505 24 0,330 0,388 0,453 0,496 25 0,323 0,381 0,445 0,487 26 0,317 0,374 0,437 0,470 27 0,311 0,367 0,430 0,471 28 0,306 0,361 0,423 0,463 29 0,301 0,355 0,416 0,456 30 0,296 0,349 0,409 0,449 35 0,275 0,325 0,381 0,418 40 0,257 0,304 0,358 0,393 45 0,243 0,288 0,338 0,372 50 0,231 0,273 0,322 0,354 60 0,211 0,250 0,295 0,325 70 0,195 0,232 0,274 0,303 80 0,183 0,217 0,256 0,283 90 0,173 0,205 0,242 0,267 100 0,164 0,195 0,230 0,254 Sumber : Nasir, Moh, 1985, Metode Penelitian cetakan pertama, Jakarta : Ghalia Indonesia.
  • 8.
    8 Tabel Harga KritisKorelasi Tata Jenjang Spearman ( rho ) Tingkat Signifikansi untuk tes satu sisi n p = 0,900 α =0,100 0,950 0,050 0,975 0,025 0,990 0,01 0,995 0,005 0,999 0,001 4 0,8000 0,8000 1,0000 5 0,7000 0,8000 0,9000 0,9000 6 0,6000 0,7714 0,8286 0,8857 0,9429 7 0,5357 0,6786 0,7450 0,8571 0,8929 0,9643 8 0,5000 0,6190 0,7143 0,8095 0,8571 0,9286 9 0,4667 0,5833 0,6833 0,7667 0,8167 0,9000 10 0,4424 0,5515 0,6364 0,7333 0,7818 0,8667 11 0,4182 0,5273 0,6091 0,7000 0,7455 0,8364 12 0,3986 0,4965 0,5804 0,6713 0,7273 0,8182 13 0,3791 0,4780 0,5549 0,6429 0,6978 0,7912 14 0,3626 0,4593 0,5341 0,6220 0,6747 0,7670 15 0,3500 0,4429 0,5179 0,6000 0,6536 0,7464 16 0,3382 0,4265 0,5000 0,5824 0,6324 0,7265 17 0,3260 0,4118 0,4853 0,5637 0,6152 0,7083 18 0,3148 0,3994 0,4716 0,5480 0,5975 0,6904 19 0,3070 0,3895 0,4579 0,5333 0,5825 0,6737 20 0,2977 0,3789 0,4451 0,5203 0,5684 0,6586 21 0,2909 0,3688 0,4351 0,5078 0,5545 0,6455 22 0,2829 0,3597 0,4241 0,4963 0,5426 0,6318 23 0,2767 0,3518 0,4150 0,4852 0,5306 0,6186 24 0,2704 0,3435 0,4061 0,4748 0,5200 0,6070 25 0,2646 0,3362 0,3977 0,4654 0,5100 0,5962 26 0,2588 0,3299 0,3894 0,4564 0,5002 0,5856 27 0,2540 0,3236 0,3822 0,4481 0,4915 0,5757 28 0,2490 0,3175 0,3749 0,4401 0,4828 0,5660 29 0,2443 0,3113 0,3685 0,4320 0,4744 0,5567 30 0,2400 0,3059 0,3620 0,4251 0,4665 0,5479 Sumber : Conover, W.J, 1980, Practical Nonparametric Statistics second edition, New York : John Wiley & Sons.
  • 9.
    9 Tabel Harga KritisKorelasi Tata Jenjang Spearman ( rho ) Tingkat Signifikansi untuk tes dua sisi 0,10 0,05 0,02 0,01 Tingkat Signifikansi untuk tes satu sisi N 0,05 0,025 0,01 0,005 4 1,000 5 0,900 1,000 1,000 6 0,829 0,886 0,943 1,000 7 0,714 0,786 0,893 0,929 8 0,643 0,738 0,833 0,881 9 0,600 0,683 0,783 0,833 10 0,564 0,648 0,746 0,794 12 0,506 0,591 0,712 0,777 14 0,456 0,544 0,645 0,715 16 0,425 0,506 0,601 0,665 18 0,399 0,475 0,564 0,625 20 0,377 0,450 0,534 0,591 22 0,359 0,428 0,508 0,562 24 0,343 0,409 0,485 0,537 26 0,329 0,392 0,465 0,515 28 0,317 0,377 0,448 0,496 30 0,306 0,364 0,432 0,478 Sumber : Soepeno, Bambang, 1997, Statistik Terapan (Dalam Penelitian Ilmu-Ilmu Sosial dan Pendidikan), Jakarta ; PT. Rineka Cipta
  • 10.
    10 Tabel Kemungkinan yangBerkaitan Dengan Harga-Harga Sebesar Harga-harga Observasi S, Koefisien Korelasi Ranking Kendall Harga N Harga NS 4 5 8 9 S 6 7 10 0 0,625 0,592 0,548 0,540 1 0,500 0,500 0,500 2 0,375 0,408 0,452 0,460 3 0,360 0,386 0,431 4 0,167 0,242 0,360 0,381 5 0,235 0,281 0,364 6 0,042 0,117 0,274 0,306 7 0,136 0,191 0,300 8 0,042 0,199 0,238 9 0,068 0,119 0,242 10 0,0083 0,138 0,179 11 0,028 0,068 0,190 12 0,089 0,130 13 0,0083 0,035 0,146 14 0,054 0,090 15 0,0014 0,015 0,108 16 0,031 0,060 17 0,0054 0,078 18 0,016 0,038 19 0,0014 0,054 20 0,0071 0,022 21 0,00020 0,036 22 0,0028 0,012 23 0,023 24 0,00087 0,0063 25 0,014 26 0,00019 0,0029 27 0,0083 28 0,000025 0,0012 29 0,0046 30 0,00043 31 0,0023 32 0,00012 33 0,0011 34 0,000025 35 0,00047 36 0,0000028 37 0,00018 39 0,000058 41 0,000015 43 0,0000028 45 0,00000028
  • 11.
    11 Tabel Harga-harga Kritiss dalam Koefisien Konkordansi Kendall N N = 3k 3 4 5 6 7 k s Signifikansi 0,05 3 64,4 103,9 157,3 9 54,0 4 49,5 88,4 143,3 217,0 12 71,9 5 62,6 112,3 182,4 276,2 14 83,8 6 75,7 136,1 221,4 335,2 16 95,8 8 48,1 101,7 183,7 299,0 453,1 18 107,7 10 60,0 127,8 231,2 376,7 571,0 15 89,8 192,9 349,8 570,5 864,9 20 119,7 258,0 468,5 764,4 1158,7 Signifikansi 0,01 3 75,6 122,8 185,6 9 75,9 4 61,4 109,3 176,2 265,0 12 103,5 5 80,5 142,8 229,4 343,8 14 121,9 6 99,5 176,1 282,4 422,6 16 140,2 8 66,8 137,4 242,7 388,3 579,9 18 158,6 10 85,1 175,3 309,1 494,0 737,0 15 131,0 269,8 475,2 758,2 1129,5 20 177,0 364,2 641,2 1022,2 1521,9
  • 12.
    12 Tabel Harga KritisChi – Square ( X2 ) Kemungkinan di bawah Ho bahwa X2 Chi - Square df 0,001 0,005 0,010 0,025 0,020 0,050 0,100 0,200 0,250 0,300 0,500 0,700 0,750 0,800 0,900 0,950 0,975 0,980 0,990 0,995 1 10,83 7,879 6,635 5,024 5,41 3,841 2,706 1,642 1,32 1,07 0,46 0,15 0,10 0,064 0,0160,00390,00000,000630,00016 0,000 2 13,82 10,597 9,210 7,378 7,82 5,991 4,605 3,219 2,77 2,41 1,39 0,71 0,58 0,45 0,21 0,10 0,05 0,04 0,02 0,01 3 16,27 12,838 11,341 9,348 9,84 7,815 6,251 4,642 4,11 3,66 2,37 1,42 1,21 1,00 0,58 0,35 0,22 0,18 0,12 0,07 4 18,46 14,860 13,277 11,143 11,67 9,488 7,779 5,989 5,39 4,88 3,36 2,20 1,92 1,65 1,06 0,71 0,48 0,43 0,30 0,21 5 20,52 16,750 15,086 12,832 13,39 11,070 9,236 7,289 6,63 6,06 4,35 3,00 2,67 2,34 1,61 1,14 0,83 0,75 0,55 0,41 6 22,46 18,548 16,812 14,449 15,03 12,592 10,645 8,558 7,84 7,23 5,35 3,83 3,45 3,07 2,20 1,64 1,24 1,13 0,87 0,68 7 24,32 20,278 18,475 16,013 16,62 14,067 12,017 9,803 9,04 8,38 6,35 4,67 4,25 3,82 2,83 2,17 1,69 1,56 1,24 0,99 8 26,12 21,955 20,090 17,535 18,17 15,507 13,362 11,030 10,22 9,52 7,34 5,53 5,07 4,59 3,49 2,73 2,18 2,03 1,65 1,34 9 27,88 23,589 21,660 19,023 19,68 16,919 14,684 12,242 11,39 10,66 8,34 6,39 5,90 5,38 4,17 3,32 2,70 2,53 2,09 1,73 10 29,59 25,188 23,209 20,483 21,16 18,307 15,987 13,442 12,55 11,78 9,34 7,27 6,74 6,18 4,86 3,94 3,25 3,06 2,56 2,16 11 31,26 26,757 24,725 21,920 22,62 19,675 17,275 14,631 13,70 12,90 10,34 8,15 7,58 6,99 5,58 4,58 3,82 3,61 3,05 2,60 12 32,91 28,300 26,217 23,337 24,05 21,026 18,549 15,812 14,85 14,01 11,34 9,03 8,44 7,81 6,30 5,23 4,40 4,18 3,57 3,07 13 34,53 29,819 27,688 24,736 25,47 22,362 19,812 16,985 15,98 15,12 12,34 9,93 9,30 8,63 7,04 5,89 5,01 4,76 4,11 3,57 14 36,12 31,319 29,141 26,119 26,87 23,685 21,064 18,151 17,12 16,22 13,34 10,82 10,17 9,47 7,79 6,57 5,63 5,37 4,66 4,07 15 37,70 32,801 30,578 27,488 28,26 24,996 22,307 19,311 18,25 17,32 14,34 11,72 11,04 10,31 8,55 7,26 6,27 5,98 5,23 4,60 16 39,29 34,267 32,000 28,845 29,63 26,296 23,542 20,465 19,37 18,42 15,34 12,62 11,91 11,15 9,31 7,96 6,91 6,61 5,81 5,14 17 40,75 35,718 33,409 30,191 31,00 27,587 24,769 21,615 20,49 19,51 16,34 13,53 12,79 12,00 10,08 8,67 7,56 7,26 6,41 5,70 18 42,31 37,156 34,805 31,526 32,25 28,869 25,989 22,760 21,60 20,60 17,34 14,44 13,68 12,86 10,86 9,39 8,23 7,91 7,02 6,26 19 43,82 38,582 36,191 32,852 33,69 30,144 27,204 23,900 22,72 21,69 18,34 15,35 14,56 13,72 11,65 10,12 8,91 8,57 7,63 6,84 20 45,32 39,997 37,566 34,170 35,02 31,410 28,412 25,038 23,83 22,78 19,34 16,27 15,45 14,58 12,44 10,85 9,59 9,24 8,26 7,43 21 46,80 41,401 38,932 35,479 36,34 32,671 29,615 26,171 24,93 23,86 20,34 17,18 16,34 15,44 13,24 11,59 10,28 9,92 8,90 8,03 22 48,27 42,796 40,289 36,781 37,66 33,924 30,813 27,301 26,04 24,94 21,34 18,10 17,24 16,31 14,04 12,34 10,98 10,60 9,54 8,64 23 49,73 44,181 41,638 38,076 38,97 35,172 32,007 28,429 27,14 26,02 22,34 19,02 18,14 17,19 14,85 13,09 11,69 11,29 10,20 9,26 24 51,18 45,558 42,980 39,364 40,27 36,415 33,196 29,553 28,24 27,10 23,34 19,94 19,04 18,06 15,66 13,85 12,40 11,99 10,86 9,89 25 52,62 46,928 44,314 40,646 41,57 37,652 34,382 30,675 29,34 28,17 24,34 20,87 19,94 18,94 16,47 14,61 13,12 12,70 11,52 10,52 26 54,05 48,290 45,642 41,923 42,86 38,885 35,563 31,795 30,43 29,25 25,34 21,79 20,84 19,82 17,29 15,28 13,84 13,41 12,20 11,16 27 55,48 49,645 46,963 43,194 44,14 40,113 36,741 32,912 31,53 30,32 26,34 22,72 21,75 20,70 18,11 16,15 14,57 14,12 12,88 11,81 28 56,89 50,993 48,278 44,461 45,42 41,337 37,916 34,027 32,62 32,39 27,34 23,65 22,66 21,59 18,94 16,93 15,31 14,85 13,56 12,46 29 58,30 52,336 49,588 45,722 46,69 42,557 39,087 35,139 33,71 32,46 28,34 24,58 23,57 22,48 19,77 17,71 16,05 15,57 14,26 13,12 30 59,70 53,672 50,892 46,979 47,96 43,773 40,256 36,250 34,80 33,53 29,34 25,51 24,48 23,36 20,60 18,49 16,79 16,31 14,95 13,79 40 66,77 63,69 59,34 55,76 51,80 45,62 39,34 33,66 29,05 26,52 24,43 22,16 20,17 50 79,49 76,15 71,42 67,50 63,17 56,33 49,33 42,94 37,69 34,76 32,36 29,71 27,99 60 91,95 88,38 83,30 79,08 74,40 66,98 59,33 52,29 46,46 43,19 40,48 37,48 35,53 70 104,22 100,42 95,02 90,53 85,53 77,58 69,33 61,70 55,33 51,74 48,76 45,44 43,28 80 116,32 112,33 106,63 101,88 96,58 88,13 79,33 71,14 64,28 60,39 57,15 53,54 51,17 90 128,30 124,12 118,14 113,14 107,56 98,64 89,33 80,62 73,29 69,13 65,65 61,75 59,20 100 140,17 135,81 129,56 124,34 118,50 10,9,14 99,33 90,13 82,36 77,93 74,22 70,06 67,33
  • 13.
    13 Tabel Harga KritisF p = 0,05 (atas) p = 0,01 (bawah) degree fredom of greater mean square (V1) derajat kebebasan untuk pembilangV2 1 2 3 4 5 6 7 8 9 10 11 12 14 16 20 24 30 40 50 75 100 200 500 ∞ 1 161 200 216 225 230 234 237 239 241 242 243 244 245 246 248 249 250 251 252 253 253 254 254 254 4052 4999 5403 5625 5764 5859 5928 5981 6022 6056 6082 6106 6142 6169 6208 6234 6258 6286 6302 6323 6334 6352 6361 6366 2 18,51 19,00 19,16 19,25 19,30 19,33 19,36 19,37 19,38 19,39 19,40 19,14 19,42 19,43 19,44 19,45 19,46 19,47 19,47 19,48 19,49 19,49 19,50 19,50 98,49 99,01 99,17 99,25 99,30 99,33 99,34 99,36 99,38 99,40 99,41 99,42 99,43 99,44 99,45 99,46 99,47 99,48 99,48 99,49 99,49 99,49 99,50 99,50 3 10,13 9,55 9,28 9,12 9,01 8,94 8,88 8,84 8,81 8,78 8,76 8,74 8,71 8,69 8,66 8,64 8,62 8,60 8,58 8,57 8,56 8,54 8,54 8,53 34,12 30,81 29,46 28,71 28,24 27,91 27,67 27,49 27,34 27,23 27,13 27,05 26,92 26,83 26,69 26,60 26,50 26,41 26,35 26,27 26,23 26,18 26,14 26,12 4 7,71 6,94 6,59 6,39 6,26 6,16 6,09 6,04 6,00 5,96 5,93 5,91 5,87 5,84 2,80 5,77 5,74 5,71 5,70 5,68 5,66 5,65 5,64 5,63 21,20 18,00 16,69 15,98 15,52 15,21 14,98 14,80 14,66 14,54 14,45 14,37 14,24 14,15 14,02 13,93 13,83 13,74 13,69 13,61 13,57 13,52 13,48 13,46 5 6,61 5,79 5,41 5,19 5,05 4,95 4,88 4,82 4,78 4,74 4,70 4,68 4,64 4,60 4,56 4,53 4,50 4,46 4,44 4,42 4,40 4,38 4,37 4,36 16,26 13,27 12,06 11,39 10,97 10,64 10,45 10,27 10,15 10,05 9,96 9,89 9,77 9,68 9,55 9,47 9,38 9,29 9,24 9,17 9,13 9,07 9,04 9,02 6 5,99 5,14 4,76 4,53 4,39 4,28 4,21 4,15 4,10 4,06 4,03 4,00 3,96 3,92 3,87 3,84 3,81 3,77 3,75 3,72 3,71 3,69 3,68 3,67 13,74 10,92 9,78 9,15 8,75 8,47 8,26 8,10 7,98 7,87 7,79 7,72 7,60 7,52 7,39 7,31 7,23 7,14 7,09 7,02 6,99 6,94 6,90 6,88 7 5,59 4,74 4,35 4,12 3,97 3,87 3,79 3,73 3,68 3,63 3,60 3,57 3,52 3,49 3,44 3,41 3,38 3,34 3,32 3,29 3,28 3,25 3,24 3,23 12,25 9,55 8,45 7,85 7,46 7,19 7,00 6,84 6,71 6,62 6,54 6,47 6,35 6,27 6,15 6,07 5,98 5,90 5,85 5,78 5,75 5,70 5,67 5,65 8 5,32 4,46 4,07 3,84 3,69 3,58 3,50 3,44 3,39 3,34 3,31 3,28 3,23 3,20 3,15 3,12 3,08 3,05 3,03 3,00 2,98 2,96 2,94 2,93 11,26 8,65 7,59 7,01 6,63 6,37 6,19 6,03 5,91 5,82 5,74 5,67 5,56 5,48 5,36 5,28 5,20 5,11 5,06 5,00 4,96 4,91 4,88 4,86 9 5,12 4,26 3,86 3,63 3,48 3,37 3,29 3,23 3,18 3,13 3,10 3,07 3,02 2,98 2,93 2,90 2,86 2,82 2,80 2,77 2,76 2,73 2,72 2,71 10,56 8,02 6,99 6,42 6,06 5,80 5,62 5,47 5,35 5,26 5,18 5,11 5,00 4,92 4,80 4,73 4,64 4,56 4,51 4,45 4,41 4,36 4,33 4,31 10 4,96 4,10 3,71 3,48 3,33 3,22 3,14 3,07 3,02 2,97 2,94 2,91 2,86 2,82 2,77 2,74 2,70 2,67 2,64 2,61 2,59 2,56 2,55 2,54 10,04 7,56 6,55 5,99 5,64 5,39 5,21 5,06 4,95 4,85 4,78 4,71 4,60 4,52 4,41 4,33 4,25 4,17 4,12 4,05 4,01 3,96 3,93 3,91 11 4,84 3,98 3,59 3,36 3,20 3,09 3,01 2,10 2,90 2,86 2,82 2,79 2,74 2,70 2,65 2,61 2,57 2,53 2,50 2,47 2,45 2,42 2,41 2,40 9,65 7,20 6,22 5,67 5,32 5,07 4,88 4,74 4,63 4,54 4,46 4,40 4,29 4,21 4,10 4,02 3,94 3,86 3,80 3,74 3,70 3,66 3,62 3,60 12 4,75 3,88 3,49 3,26 3,11 3,00 2,92 2,85 2,80 2,76 2,72 2,69 2,64 2,60 2,54 2,50 2,46 2,42 2,40 2,36 2,35 2,32 2,31 2,30 9,33 6,93 5,95 5,41 5,06 4,82 4,65 4,50 4,39 4,30 4,22 4,16 4,05 3,98 3,86 3,78 3,70 3,61 3,56 3,49 3,46 3,41 3,38 3,36 13 4,67 3,80 3,41 3,18 3,02 2,92 2,84 2,77 2,72 2,67 2,63 2,60 2,55 2,51 2,46 2,42 2,38 2,34 2,32 2,28 2,26 2,24 2,22 2,21 9,07 6,70 5,74 5,20 4,86 4,62 4,44 4,30 4,19 4,10 4,02 3,96 3,85 3,78 3,67 3,59 3,51 3,42 3,37 3,30 3,27 3,21 3,18 3,16 14 4,60 3,74 3,34 3,11 2,96 2,85 2,77 2,70 2,65 2,60 2,56 2,53 2,48 2,44 2,39 2,35 2,31 2,27 2,24 2,21 2,19 2,16 2,14 2,13 8,86 6,51 5,56 5,03 4,69 4,46 4,28 4,14 4,03 3,94 3,86 3,80 3,70 3,62 3,51 3,43 3,34 3,26 3,21 3,14 3,11 3,06 3,02 3,00 15 4,54 3,68 3,29 3,06 2,90 2,79 2,70 2,64 2,59 2,55 2,51 2,48 2,43 2,39 2,33 2,29 2,25 2,21 2,18 2,15 2,12 2,10 2,08 2,07 8,68 6,36 5,42 4,89 4,56 4,32 4,14 4,00 3,89 3,80 3,73 3,67 3,56 3,48 3,36 3,29 3,20 3,12 3,07 3,00 2,97 2,92 2,89 2,87 16 4,49 3,63 3,24 3,01 2,85 2,74 2,66 2,59 2,54 2,49 2,45 2,42 2,37 2,33 2,28 2,24 2,20 2,16 2,13 2,09 2,07 2,04 2,02 2,00 8,53 6,23 5,29 4,77 4,44 4,20 4,03 3,89 3,78 3,69 3,61 3,55 3,45 3,37 3,25 3,18 3,10 3,01 2,96 2,89 2,86 2,80 2,77 2,75 17 4,45 3,59 3,20 2,96 2,81 2,70 2,62 2,55 2,50 2,45 2,41 2,38 2,33 2,29 2,23 2,19 2,15 2,11 2,08 2,04 2,02 1,99 1,97 1,96 8,40 6,11 5,18 4,67 4,34 4,10 3,93 3,79 3,68 3,59 3,52 3,45 3,35 3,27 3,16 3,08 3,00 2,92 2,86 2,79 2,76 2,70 2,67 2,65 18 4,41 3,55 3,16 2,93 2,77 2,66 2,58 2,51 2,46 2,41 2,37 2,34 2,29 2,25 2,19 2,15 2,11 2,07 2,04 2,00 1,98 1,95 1,93 1,92 8,28 6,01 5,09 4,58 4,25 4,01 3,85 3,71 3,60 3,51 3,44 3,37 3,27 3,19 3,07 3,00 2,91 2,83 2,78 2,71 2,68 2,62 2,59 2,57 19 4,38 3,52 3,13 2,90 2,74 2,63 2,55 2,48 2,41 2,38 2,34 2,31 2,26 2,21 2,15 2,11 2,07 2,02 2,00 1,96 1,94 1,91 1,90 1,88 8,18 5,93 5,01 4,50 4,17 3,94 3,77 3,63 3,52 3,43 3,36 3,30 3,19 3,12 3,00 2,92 2,84 2,76 2,70 2,63 2,60 2,54 2,51 2,49 20 4,35 3,49 3,10 2,87 2,71 2,60 2,52 2,45 2,40 2,35 2,31 2,28 2,23 2,18 2,12 2,08 2,04 1,99 1,96 1,92 1,90 1,87 1,85 1,84 8,10 5,85 4,94 4,43 4,10 3,87 3,71 3,56 3,45 3,37 3,30 3,23 3,13 3,05 2,94 2,86 2,77 2,69 2,63 2,56 2,53 2,47 2,44 2,42 21 4,32 3,47 3,07 2,84 2,68 2,57 2,49 2,42 2,37 2,32 2,28 2,25 2,20 2,15 2,09 2,05 2,00 1,96 1,93 1,89 1,87 1,84 1,82 1,81 8,02 5,78 4,87 4,37 4,04 3,81 3,65 3,51 3,40 3,31 3,24 3,17 3,07 2,99 2,88 2,80 2,72 2,63 2,58 2,51 2,47 2,42 2,38 2,36 22 4,30 3,44 3,05 2,82 2,66 2,55 2,47 2,40 2,35 2,30 2,26 2,23 2,18 2,13 2,07 2,03 1,98 1,93 1,91 1,87 1,84 1,81 1,80 1,78 7,94 5,72 4,82 4,31 3,99 3,76 3,59 3,45 3,35 3,26 3,18 3,12 3,02 2,94 2,83 2,75 2,67 2,58 2,53 2,46 2,42 2,37 2,33 2,23 23 4,28 3,42 3,03 2,80 2,64 2,53 2,45 2,38 2,32 2,28 2,24 2,20 2,14 2,10 2,04 2,00 1,96 1,91 1,88 1,84 1,82 1,79 1,77 1,76 7,88 5,66 4,76 4,26 3,94 3,71 3,54 3,41 3,30 3,21 3,14 3,07 2,97 2,89 2,78 2,70 2,62 2,53 2,48 2,41 2,37 2,32 2,28 2,26 24 4,26 3,40 3,01 2,78 2,62 2,51 2,43 2,36 2,30 2,26 2,22 2,18 2,13 2,09 2,02 1,98 1,94 1,89 1,86 1,82 1,80 1,76 1,74 1,73 7,82 5,61 4,72 4,22 3,90 3,67 3,50 3,36 3,25 3,17 3,09 3,03 2,93 2,85 2,74 2,66 2,58 2,49 2,44 2,36 2,33 2,27 2,23 2,21 25 4,24 3,38 2,99 2,76 2,60 2,49 2,41 2,34 2,28 2,24 2,20 2,16 2,11 2,06 2,00 1,96 1,92 1,87 1,84 1,80 1,77 1,74 1,72 1,71 7,77 5,57 4,68 4,18 3,86 3,62 3,46 3,32 3,21 3,13 3,05 2,99 2,89 2,81 2,70 2,62 2,54 2,45 2,40 2,32 2,29 2,23 2,19 2,17 26 4,22 3,37 2,98 2,74 2,59 2,47 2,39 2,32 2,27 2,22 2,18 2,15 2,10 2,05 1,99 1,95 1,90 1,85 1,82 1,78 1,76 1,72 1,70 1,69 7,72 5,83 4,64 4,14 3,82 3,59 3,42 3,29 3,17 3,09 3,02 2,96 2,86 2,77 2,66 2,58 2,50 2,41 2,36 2,28 2,25 2,19 2,15 2,13 27 4,21 3,35 2,96 2,73 2,57 2,46 2,37 2,30 2,25 2,20 2,16 2,13 2,08 2,03 1,97 1,93 1,88 1,84 1,80 1,76 1,74 1,71 1,68 1,67 7,68 5,49 4,60 4,11 3,79 3,56 3,39 3,26 3,14 3,06 2,98 2,93 2,83 2,74 2,63 2,55 2,47 2,38 2,33 2,25 2,21 2,16 2,12 2,10 28 4,20 3,34 2,95 2,71 2,56 2,44 2,36 2,29 2,24 2,19 2,15 2,12 2,06 2,02 1,96 1,91 1,87 1,81 1,78 1,75 1,72 1,69 1,67 1,65 7,64 5,54 4,57 4,07 3,76 3,53 3,36 3,23 3,11 3,03 2,95 2,90 2,80 2,71 2,60 2,52 2,44 2,35 2,30 2,22 2,18 2,13 2,09 2,06 29 4,18 3,33 2,93 2,70 2,54 2,43 2,35 2,28 2,22 2,18 2,14 2,10 2,05 2,00 1,94 1,90 1,85 1,80 1,77 1,73 1,71 1,68 1,65 1,64 7,60 5,42 4,54 4,04 3,73 3,50 3,33 3,20 3,08 3,00 2,92 2,87 2,77 2,68 2,57 2,49 2,41 2,32 2,27 2,19 2,15 2,10 2,06 2,03 30 4,17 3,32 2,92 2,69 2,53 2,42 2,34 2,27 2,21 2,16 2,12 2,09 2,04 1,99 1,93 1,89 1,84 1,79 1,76 1,72 1,69 1,66 1,64 1,62 7,56 5,39 4,51 4,02 3,70 3,47 3,30 3,17 3,06 2,98 2,90 2,84 2,74 2,66 2,55 2,47 2,38 2,29 2,24 2,16 2,13 2,07 2,03 2,02
  • 14.
    14 degree fredom ofgreater mean square (V1) derajat kebebasan untuk pembilangV2 1 2 3 4 5 6 7 8 9 10 11 12 14 16 20 24 30 40 50 75 100 200 500 ∞ 32 4,15 3,30 2,90 2,67 2,51 2,40 2,32 2,25 2,19 2,14 2,10 2,07 2,02 1,97 1,91 1,86 1,82 1,76 1,74 1,69 1,67 1,64 1,61 1,59 7,50 5,24 4,46 3,97 3,66 3,42 3,25 3,13 3,01 2,94 2,86 2,80 2,70 2,62 2,51 2,42 2,34 2,25 2,20 2,12 2,08 2,02 1,98 1,96 34 4,13 3,28 2,88 2,65 2,49 2,38 2,30 2,23 2,17 2,12 2,08 2,05 2,00 1,95 1,89 1,84 1,80 1,74 1,71 1,67 1,64 1,61 1,59 1,57 7,44 5,29 4,42 3,93 3,61 3,38 3,21 3,08 2,97 2,89 2,82 2,76 2,66 2,58 2,47 2,38 2,30 2,21 2,15 2,08 2,04 1,98 1,94 1,91 36 4,11 3,26 2,86 2,63 2,48 2,36 2,28 2,21 2,15 2,10 2,06 2,03 1,98 1,93 1,87 1,82 1,78 1,72 1,69 1,65 1,62 1,59 1,56 1,55 7,39 5,25 4,38 3,89 3,58 3,35 3,18 3,04 2,94 2,86 2,78 2,72 2,62 2,54 2,43 2,35 2,26 2,17 2,12 2,04 2,00 1,94 1,90 1,87 38 4,10 3,25 2,85 2,62 2,46 2,35 2,26 2,19 2,14 2,09 2,05 2,02 1,96 1,92 1,85 1,80 1,76 1,71 1,67 1,63 1,60 1,57 1,54 1,53 7,35 5,21 4,34 3,86 3,54 3,32 3,15 3,02 2,91 2,82 2,75 2,69 2,59 2,51 2,40 2,22 2,22 2,14 2,08 2,00 1,97 1,90 1,86 1,84 40 4,08 3,23 2,84 2,61 2,45 2,34 2,25 2,18 2,12 2,07 2,04 2,00 1,95 1,90 1,84 1,79 1,74 1,69 1,66 1,61 1,59 1,55 1,53 1,51 7,31 5,18 4,31 3,83 3,51 3,29 3,13 2,99 2,88 2,80 2,73 2,66 2,56 2,49 2,37 2,29 2,20 2,11 2,05 1,97 1,94 1,88 1,84 1,81 42 4,07 3,22 2,83 2,59 2,44 2,32 2,24 2,17 2,11 2,06 2,02 1,99 1,94 1,89 1,82 1,78 1,73 1,68 1,64 1,60 1,57 1,54 1,51 1,49 7,27 5,15 4,29 3,80 3,49 3,26 3,10 2,96 2,86 2,77 2,70 2,64 2,54 2,46 2,35 2,26 2,17 2,06 2,02 1,94 1,91 1,85 1,80 1,78 44 4,06 3,21 2,82 2,58 2,43 2,31 2,23 2,16 2,10 2,05 2,01 1,98 1,92 1,88 1,81 1,76 1,72 1,66 1,63 1,58 1,56 1,52 1,50 1,48 7,24 5,12 4,26 3,78 3,46 3,24 3,07 2,94 2,84 2,75 2,68 2,62 2,52 2,44 2,32 2,24 2,15 2,06 2,00 1,92 1,88 1,82 1,78 1,75 46 4,05 3,20 2,81 2,57 2,42 2,30 2,22 2,14 2,09 2,04 2,00 1,97 1,91 1,87 1,80 1,75 1,71 1,65 1,62 1,57 1,54 1,51 1,48 1,40 7,21 5,10 4,24 3,76 3,44 3,22 3,05 2,92 2,82 2,73 2,66 2,60 2,50 2,42 2,30 2,22 2,13 2,04 1,98 1,90 1,86 1,80 1,76 1,72 48 4,04 3,19 2,80 2,56 2,41 2,30 2,21 2,14 2,03 2,03 1,99 1,96 1,90 1,86 1,79 1,74 1,70 1,64 1,61 1,56 1,53 1,50 1,47 1,45 7,19 5,08 4,22 3,74 3,42 3,20 3,04 2,90 2,80 2,71 2,64 2,58 2,48 2,40 2,28 2,20 2,11 2,02 1,96 1,88 1,84 1,78 1,73 1,70 50 4,03 3,18 2,79 2,56 2,40 2,29 2,20 2,13 2,07 2,02 1,98 1,95 1,90 1,85 1,78 1,74 1,69 1,63 1,60 1,55 1,52 1,48 1,46 1,44 7,17 5,06 4,20 3,72 3,41 3,18 3,02 2,88 2,73 2,70 2,62 2,56 2,46 2,39 2,26 2,18 2,10 2,00 1,94 1,86 1,82 1,76 1,71 1,68 55 4,02 3,17 2,78 2,54 2,38 2,27 2,18 2,11 2,05 2,00 1,97 1,93 1,88 1,83 1,76 1,72 1,67 1,61 1,58 1,52 1,50 1,46 1,43 1,41 7,12 5,01 4,16 3,68 3,37 3,15 2,98 2,85 2,75 2,65 2,59 2,53 2,43 2,35 2,23 2,15 2,06 1,96 1,90 1,82 1,78 1,71 1,66 1,64 60 4,00 3,15 2,76 2,52 2,37 2,25 2,17 2,10 2,04 1,99 1,95 1,92 1,86 1,81 1,75 1,70 1,65 1,59 1,56 1,50 1,48 1,44 1,41 1,39 7,03 4,98 4,13 3,65 3,34 3,12 2,95 2,82 2,72 2,63 2,56 2,50 2,40 2,32 2,20 2,10 2,03 1,93 1,87 1,79 1,74 1,68 1,63 1,60 65 3,99 3,14 2,75 2,51 2,36 2,24 2,15 2,08 2,02 1,98 1,94 1,90 1,85 1,80 1,71 1,68 1,63 1,57 1,54 1,49 1,46 1,42 1,39 1,37 7,04 4,95 4,10 3,62 3,31 3,09 2,93 2,79 2,70 2,61 2,54 2,47 2,37 2,30 2,18 2,09 2,00 1,90 1,84 1,76 1,71 1,64 1,60 1,56 70 3,98 3,13 2,74 2,50 2,35 2,23 2,14 2,07 2,01 1,97 1,93 1,89 1,83 1,79 1,72 1,67 1,62 1,56 1,53 1,47 1,45 1,40 1,37 1,35 7,01 4,92 4,08 3,60 3,29 3,07 2,91 2,77 2,67 2,59 2,51 2,45 2,35 2,28 2,15 2,07 1,98 1,88 1,82 1,74 1,69 1,62 1,56 1,53 80 3,96 3,11 2,72 2,48 2,33 2,21 2,12 2,05 1,99 1,95 1,91 1,88 1,82 1,77 1,70 1,65 1,60 1,54 1,51 1,45 1,42 1,38 1,35 1,32 6,96 4,88 4,04 3,56 3,25 3,04 2,87 2,74 2,64 2,55 2,48 2,41 2,32 2,24 2,11 2,03 1,94 1,84 1,78 1,70 1,65 1,57 1,52 1,49 100 3,94 3,09 2,70 2,46 2,30 2,19 2,10 2,03 1,97 1,92 1,88 1,85 1,79 1,75 1,68 1,63 1,57 1,51 1,48 1,42 1,39 1,34 1,30 1,28 6,90 4,82 3,98 3,51 3,20 2,99 2,82 2,69 2,59 2,51 2,43 2,36 2,26 2,19 2,06 1,98 1,89 1,79 1,73 1,64 1,59 1,51 1,46 1,43 125 3,92 3,07 2,68 2,44 2,29 2,17 2,08 2,01 1,95 1,90 1,86 1,83 1,77 1,72 1,65 1,60 1,55 1,49 1,45 1,39 1,36 1,31 1,27 1,25 6,84 4,78 3,94 3,47 3,17 2,95 2,79 2,65 2,56 2,47 2,40 2,33 2,23 2,15 2,03 1,94 1,85 1,75 1,68 1,59 1,54 1,46 1,40 1,37 150 3,91 3,06 2,67 2,43 2,27 2,10 2,07 2,00 1,94 1,89 1,85 1,82 1,76 1,71 1,64 1,59 1,54 1,47 1,44 1,37 1,34 1,29 1,25 1,22 6,81 4,75 3,91 3,44 3,14 2,92 2,76 2,62 2,53 2,44 2,37 2,30 2,20 2,12 2,00 1,91 1,83 1,72 1,66 1,56 1,51 1,43 1,37 1,33 200 3,89 3,04 2,65 2,41 2,26 2,14 2,05 1,98 1,92 1,87 1,83 1,80 1,74 1,69 1,62 1,57 1,52 1,45 1,42 1,35 1,32 1,26 1,22 1,19 6,76 4,71 3,88 3,41 3,11 2,90 2,73 2,60 2,50 2,41 2,34 2,28 2,17 2,09 1,97 1,88 1,79 1,69 1,62 1,53 1,48 1,39 1,33 1,28 400 3,86 3,02 2,62 2,39 2,23 2,12 2,03 1,96 1,90 1,85 1,81 1,78 1,72 1,67 1,60 1,54 1,49 1,42 1,38 1,32 1,28 1,22 1,16 1,13 6,70 4,65 3,83 3,36 3,06 2,85 2,69 2,55 2,46 2,37 2,29 2,23 2,12 2,04 1,92 1,84 1,74 1,64 1,57 1,47 1,42 1,32 1,24 1,19 1000 3,85 3,00 2,61 2,38 2,22 2,10 2,02 1,95 1,89 1,84 1,80 1,76 1,70 1,65 1,58 1,53 1,47 1,41 1,36 1,30 1,26 1,19 1,13 1,08 6,66 4,62 3,80 3,34 3,04 2,82 2,66 2,53 2,43 2,34 2,26 2,20 2,09 2,01 1,89 1,81 1,71 1,61 1,54 1,44 1,38 1,28 1,19 1,11 ∞ 3,84 2,99 2,60 2,37 2,31 2,09 2,01 1,94 1,88 1,83 1,79 1,75 1,69 1,64 1,57 1,52 1,46 1,40 1,35 1,28 1,24 1,17 1,11 1,00 6,63 4,60 3,78 3,32 3,02 2,80 2,64 2,51 2,41 2,32 2,24 2,18 2,07 1,99 1,87 1,79 1,69 1,59 1,52 1,41 1,36 1,25 1,15 1,00 Sumber : Snedecor, George W dan Cochran, William G, 1980, Statistical Methods seventh edition, Ames Iowa USA : The Iowa State University Press
  • 15.
    15 Tabel Transformasi darir ke Z r Zr r Zr r Zr r Zr r Zr 0,000 0,000 0,200 0,203 0,400 0,424 0,600 0,693 0,800 1,099 0,005 0,005 0,205 0,208 0,405 0,430 0,605 0,701 0,805 1,113 0,010 0,010 0,210 0,213 0,410 0,436 0,610 0,709 0,810 1,127 0,015 0,015 0,215 0,218 0,415 0,442 0,615 0,717 0,815 1,142 0,020 0,020 0,220 0,224 0,420 0,448 0,620 0,725 0,820 1,157 0,025 0,025 0,225 0,229 0,425 0,454 0,625 0,733 0,825 1,172 0,030 0,030 0,230 0,234 0,430 0,460 0,630 0,741 0,830 1,188 0,035 0,035 0,235 0,239 0,435 0,466 0,635 0,750 0,835 1,204 0,040 0,040 0,240 0,245 0,440 0,472 0,640 0,758 0,840 1,221 0,045 0,045 0,245 0,250 0,445 0,478 0,645 0,767 0,845 1,238 0,050 0,050 0,250 0,255 0,450 0,485 0,650 0,775 0,850 1,256 0,055 0,055 0,255 0,261 0,455 0,491 0,655 0,784 0,855 1,274 0,060 0,060 0,260 0,266 0,460 0,497 0,660 0,793 0,860 1,293 0,065 0,065 0,265 0,271 0,465 0,504 0,665 0,802 0,865 1,313 0,070 0,070 0,270 0,277 0,470 0,510 0,670 0,811 0,870 1,333 0,075 0,075 0,275 0,282 0,475 0,517 0,675 0,820 0,875 1,354 0,080 0,080 0,280 0,288 0,480 0,523 0,680 0,829 0,880 1,376 0,085 0,085 0,285 0,293 0,485 0,530 0,685 0,838 0,885 1,398 0,090 0,090 0,290 0,299 0,490 0,536 0,690 0,848 0,890 1,422 0,095 0,095 0,295 0,304 0,495 0,543 0,695 0,858 0,895 1,447 0,100 0,100 0,300 0,310 0,500 0,549 0,700 0,867 0,900 1,472 0,105 0,105 0,305 0,315 0,505 0,556 0,705 0,877 0,905 1,499 0,110 0,110 0,310 0,321 0,510 0,563 0,710 0,887 0,910 1,528 0,115 0,116 0,315 0,326 0,515 0,570 0,715 0,897 0,915 1,557 0,120 0,121 0,320 0,332 0,520 0,576 0,720 0,908 0,920 1,589 0,125 0,126 0,325 0,337 0,525 0,583 0,725 0,918 0,925 1,623 0,130 0,131 0,330 0,343 0,530 0,590 0,730 0,929 0,930 1,658 0,135 0,136 0,335 0,348 0,535 0,597 0,735 0,940 0,935 1,697 0,140 0,141 0,340 0,354 0,540 0,604 0,740 0,950 0,940 1,738 0,145 0,146 0,345 0,359 0,545 0,611 0,745 0,962 0,945 1,783 0,150 0,151 0,350 0,365 0,550 0,618 0,750 0,973 0,950 1,832 0,155 0,156 0,355 0,371 0,555 0,626 0,755 0,984 0,955 1,886 0,160 0,161 0,360 0,377 0,560 0,633 0,760 0,996 0,960 1,946 0,165 0,167 0,365 0,383 0,565 0,640 0,765 1,008 0,965 2,014 0,170 0,172 0,370 0,388 0,570 0,648 0,770 1,020 0,970 2,092 0,175 0,177 0,375 0,394 0,575 0,655 0,775 1,033 0,975 2,185 0,180 0,182 0,380 0,400 0,580 0,660 0,780 1,045 0,980 2,298 0,185 0,187 0,385 0,406 0,585 0,670 0,785 1,058 0,985 2,443 0,190 0,192 0,390 0,412 0,590 0,678 0,790 1,078 0,990 2,647 0,195 0,198 0,395 0,418 0,595 0,685 0,795 1,085 0,995 2,994 Sumber : Soepeno, Bambang, 1997, Statistik Terapan (Dalam Penelitian Ilmu-Ilmu Sosial dan Pendidikan), Jakarta ; PT. Rineka Cipta
  • 16.
    16 Tabel Nilai PerkiraanKorelasi Tetrachoric dari K rt ad bc rt ad bc rt ad bc 0,00 0,00  1,00 0,35 2,49  2,55 0,70 8,50  8,90 0,01 1,01  1,03 0,36 2,56  2,63 0,71 8,91  9,35 0,02 1,04  1,06 0,37 2,64  2,71 0,72 9,36  9,82 0,03 1,07  1,08 0,38 2,72  2,79 0,73 9,83  10,33 0,04 1,09  1,11 0,39 2,80  2,87 0,74 10,34  10,90 0,05 1,12  1,14 0,40 2,88  2,96 0,75 10,91  11,51 0,06 1,15  1,17 0,41 2,97  3,05 0,76 11,52  12,16 0,07 1,18  1,20 0,42 3,06  3,14 0,77 12,17  12,89 0,08 1,21  1,23 0,43 3,15  3,24 0,78 12,90  13,70 0,09 1,24  1,27 0,44 3,25  3,34 0,79 13,71  14,58 0,10 1,28  1,30 0,45 3,35  3,45 0,80 14,59  15,57 0,11 1,31  1,33 0,46 3,46  3,56 0,81 15,58  16,65 0,12 1,34  1,37 0,47 3,57  3,68 0,82 16,66  17,88 0,13 1,38  1,40 0,48 3,69  3,80 0,83 17,89  19,28 0,14 1,41  1,44 0,49 3,81  3,92 0,84 19,29  20,85 0,15 1,45  1,48 0,50 3,93  4,06 0,85 20,86  22,68 0,16 1,49  1,52 0,51 4,07  4,20 0,86 22,69  24,76 0,17 1,53  1,56 0,52 4,21  4,34 0,87 20,77  27,22 0,18 1,57  1,60 0,53 4,35  4,49 0,88 20,23  30,09 0,19 1,61  1,64 0,54 4,50  4,66 0,89 30,10  33,60 0,20 1,65  1,69 0,55 4,67  4,82 0,90 33,61  37,79 0,21 1,70  1,73 0,56 4,83  4,99 0,91 37,80  43,06 0,22 1,74  1,78 0,57 5,00  5,18 0,92 43,07  49,83 0,23 1,79  1,83 0,58 5,19  5,38 0,93 49,84  58,79 0,24 1,84  1,88 0,59 5,39  5,59 0,94 58,80  70,95 0,25 1,89  1,93 0,60 5,60  5,80 0,95 70,96  89,01 0,26 1,94  1,96 0,61 5,81  6,03 0,96 89,02  117,54 0,27 1,99  2,04 0,62 6,04  6,28 0,97 117,55  169,67 0,28 2,05  2,10 0,63 6,29  6,54 0,98 169,68  293,12 0,29 2,11  2,15 0,64 6,55  6,81 0,99 293,13  923,97 0,30 2,16  2,22 0,65 6,82  7,10 1,00 923,98  0,31 2,23  2,28 0,66 7,11  7,42 0,32 2,29  2,34 0,67 7,43  7,75 0,33 2,35  2,41 0,68 7,76  8,11 0,34 2,42  2,48 0,69 8,12  8,49 Sumber : Soepeno, Bambang, 1997, Statistik Terapan (Dalam Penelitian Ilmu-Ilmu Sosial dan Pendidikan), Jakarta ; PT. Rineka Cipta
  • 17.
    17 Tabel Fisher signifikansi signifikansiJumlahdi tepi kanan B A 0,050 0,025 0,010 0,005 Jumlah di tepi kanan B A 0,050 0,025 0,010 0,005 A + B = 3 C + D = 3 3 0    C + D = 2 8 0 0   A + B = 4 C + D = 4 4 0 0   A + B = 9 C + D = 9 9 5 4 3 3 C + D = 3 4 0    8 3 3 2 1 A + B = 5 C + D = 5 5 1 1 0 0 7 2 1 1 0 4 0 0   6 1 1 0 0 C + D = 4 5 1 0 0  5 0 0   4 0    4 0    C + D = 3 5 0    C + D = 8 9 4 3 3 2 C + D = 2 5 0    8 3 2 1 1 A + B = 6 C + D = 6 6 2 1 1 0 7 2 1 0 0 5 1 0 0  6 1 0 0  4 0    5 0 0   C + D = 5 6 1 0 0 0 C + D = 7 9 3 3 2 2 5 0 0   8 2 2 1 0 4 0    7 1 1 0 0 C + D = 4 6 1 0 0 0 6 0 0   5 0 0   5 0    C + D = 3 6 0 0   C + D = 6 9 3 2 1 1 5 0    8 2 1 0 0 C + D = 2 6 0    7 1 0   A + B = 7 C + D = 7 7 3 2 1 1 6 0 0   6 1 1 0 0 5 0    5 0 0   C + D = 5 9 2 1 1 1 4 0    8 1 1 0 0 C + D = 6 7 2 2 1 1 7 0 0   6 1 0 0 0 6 0    5 0 0   C + D = 4 9 1 0 0 0 4 0    8 0 0 0  C + D = 5 7 2 1 0 0 7 0 0   6 1 0 0  6 0    5 0    C + D = 3 9 1 0 0 0 C + D = 4 7 1 1 0 0 8 0 0   6 0 0   7 0    5 0    C + D = 2 9 0 0   C + D = 3 7 0 0 0  A + B = 10 C + D = 10 10 6 5 4 3 6 0    9 4 3 3 2 C + D = 2 7 0    8 3 2 1 1 A + B = 8 C + D = 8 8 4 3 2 2 7 2 1 1 0 7 2 2 1 0 6 1 0 0  6 1 1 0 0 5 0 0   5 0 0   4 0    4 0    C + D =9 10 5 4 3 3 C + D = 7 8 3 2 2 1 9 4 3 2 2 7 2 1 1 0 8 2 2 1 1 6 1 0 0  7 1 1 0 0 5 0 0   6 1 0 0  C + D = 6 8 2 2 1 1 5 0 0   7 1 1 0 0 C + D = 8 10 4 4 3 2 6 0 0 0  9 3 2 2 1 5 0    8 2 1 1 0 C + D = 5 8 2 1 1 0 7 1 1 0 0 7 1 0 0 0 6 0 0   6 0 0   5 0    5 0    C + D = 7 10 3 3 2 2 C + D = 4 8 1 1 0 0 9 2 2 1 1 7 0 0   8 1 1 0 0 6 0    7 1 0 0  C + D = 3 8 0 0 0  6 0 0   7 0 0   5 0   
  • 18.
    18 signifikansi signifikansiJumlah ditepi kanan B A 0,050 0,025 0,010 0,005 Jumlah di tepi kanan B A 0,050 0,025 0,010 0,005 C + D = 6 10 3 2 2 1 9 1 0 0 0 9 2 1 1 0 8 0 0   8 1 1 0 0 7 0    7 0 0   C + D = 4 11 1 1 1 0 6 0    10 1 0 0  C + D = 5 10 2 2 1 1 9 0    9 1 1 0 0 8 0    8 1 0 0  C + D = 3 11 1 0 0 0 7 0 0   10 0 0   6 0    9 0    C + D = 4 10 1 1 0 0 C + D = 2 11 0 0   9 1 0 0 0 10 0    8 0 0   A + B = 12 C + D = 12 12 8 7 6 5 7 0    11 6 5 4 4 C + D = 3 10 1 0 0 0 10 5 4 3 2 9 0 0   9 4 3 2 1 8 0    8 3 2 1 1 C + D = 2 10 0    7 2 1 0 0 9 0    6 1 0 0  A + B = 11 C + D = 11 11 7 6 5 4 5 0 0   10 5 4 3 3 4 0    9 4 3 2 2 C + D = 11 12 7 6 5 5 8 3 2 1 1 11 5 5 4 3 7 2 1 0 0 10 4 3 2 2 6 1 0 0  9 3 2 2 1 5 0 0   8 2 1 1 0 4 0    7 1 1 0 0 C + D = 10 11 6 5 4 4 6 1 0 0  10 4 4 3 2 5 0 0   9 3 3 2 1 C + D = 10 12 6 5 5 4 8 2 2 1 0 11 5 4 3 3 7 1 1 0 0 10 4 3 2 2 6 1 0 0  9 3 2 1 1 5 0    8 2 1 0 0 C + D =9 11 5 4 4 3 7 1 0 0 0 10 4 3 2 2 6 0 0   9 3 2 1 1 5 0    8 2 1 1 0 C + D =9 12 5 5 4 3 7 1 1 0 0 11 4 3 3 2 6 0 0   10 3 2 2 1 5 0    9 2 2 1 0 C + D = 8 11 4 4 3 3 8 1 1 0 0 10 3 3 2 1 7 1 0 0  9 2 2 1 1 6 0 0   8 1 1 0 0 5 0    7 1 0 0  C + D = 8 12 5 4 3 3 6 0 0   11 3 3 2 2 5 0    10 2 2 1 1 C + D = 7 11 4 3 2 2 9 2 1 1 0 10 3 2 1 1 8 1 1 0 0 9 2 1 1 0 7 0 0   8 1 1 0 0 6 0 0   7 0 0   C + D = 7 12 4 3 3 2 6 0 0   11 3 2 2 1 C + D = 6 11 3 2 2 1 10 2 1 1 0 10 2 1 1 0 9 1 1 0 0 9 1 1 0 0 8 1 0 0  8 1 0 0  7 0 0   7 0 0   6 0    6 0    C + D = 6 12 3 3 2 2 C + D = 5 11 2 2 1 1 11 2 2 1 1 10 1 1 0 0 10 1 1 0 0
  • 19.
    19 signifikansi signifikansiJumlah ditepi kanan B A 0,050 0,025 0,010 0,005 Jumlah di tepi kanan B A 0,050 0,025 0,010 0,005 9 1 0 0 0 9 2 1 0 0 8 0 0   8 1 1 0 0 7 0 0   7 0 0   6 0    6 0 0   C + D = 5 12 2 2 1 1 5 0    11 1 1 1 0 C + D = 8 13 5 4 3 3 10 1 0 0 0 12 4 3 2 2 9 0 0 0  11 3 2 1 1 8 0 0   10 2 1 1 0 7 0    9 1 1 0 0 C + D = 4 12 2 1 1 0 8 1 0 0  11 1 0 0  7 0 0   10 0 0 0  6 0    9 0 0   C + D = 7 13 4 3 3 2 8 0    12 3 2 2 1 C + D = 3 12 1 0 0 0 11 2 2 1 1 11 0 0 0  10 1 1 0 0 10 0 0   9 1 0 0 0 9 0    8 0 0   C + D = 2 12 0 0   7 0 0   11 0    6 0    A + B = 13 C + D = 13 13 9 8 7 6 C + D = 6 13 3 3 2 2 12 7 6 5 4 12 2 2 1 1 11 6 5 4 3 11 2 1 1 0 10 4 4 3 2 10 1 1 0 0 9 3 3 2 1 9 1 0 0  8 2 2 1 0 8 0 0   7 2 1 0 0 7 0    6 1 0 0  C + D = 5 13 2 2 1 1 5 0 0   12 2 1 1 0 4 0    11 1 1 0 0 C + D = 12 13 8 7 6 5 10 1 0 0  12 6 5 5 4 9 0 0   11 5 4 3 3 8 0    10 4 3 2 2 C + D = 4 13 2 1 1 0 9 3 2 1 1 12 1 1 0 0 8 2 1 1 0 11 0 0 0  7 1 1 0 0 10 0 0   6 1 0 0  9 0    5 0 0   C + D = 3 13 1 1 0 0 C + D = 11 13 7 6 5 5 12 0 0   12 6 5 4 3 11 0 0   11 4 4 3 2 10 0    10 3 3 2 1 C + D = 2 13 0 0 0  9 3 2 1 1 12 0    8 1 1 0 0 11 0    7 1 0 0 0 A + B = 14 C + D = 14 14 10 9 8 7 6 0 0   13 8 7 6 5 5 0    12 6 6 5 4 C + D = 10 13 6 6 5 4 11 5 4 3 2 12 5 4 3 3 10 4 3 2 2 11 4 3 2 2 9 3 2 2 1 10 3 2 1 1 8 2 2 1 0 9 2 1 1 0 7 1 1 0 0 8 1 1 0 0 6 1 0 0  7 1 0 0  5 0 0   6 0 0   4 0    5 0    C + D = 13 14 9 8 7 6 C + D = 9 13 5 5 4 4 13 7 6 5 5 12 4 4 3 2 12 6 5 4 3 11 3 3 2 1 11 5 4 3 2 10 2 2 1 1 10 4 3 2 2
  • 20.
    20 signifikansi signifikansiJumlah ditepi kanan B A 0,050 0,025 0,010 0,005 Jumlah di tepi kanan B A 0,050 0,025 0,010 0,005 9 3 2 1 1 13 2 2 1 1 8 2 1 1 1 12 1 1 0 0 7 1 1 0 0 11 1 0 0 0 6 1 0   10 0 0   5 0 0   9 0 0   C + D = 12 14 8 7 6 6 8 0    13 6 6 5 4 C + D = 5 14 2 2 1 1 12 5 4 4 3 13 2 1 1 0 11 4 3 3 2 12 1 1 0 0 10 3 3 2 1 11 1 0 0  9 2 2 1 1 10 0 0   8 2 1 0 0 9 0 0   7 1 0 0  8 0    6 0 0   C + D = 4 14 2 1 1 1 5 0    13 1 1 0 0 C + D = 11 14 7 6 6 5 12 1 0 0 0 13 6 5 4 4 11 0 0   12 5 4 3 3 10 0 0   11 4 3 2 2 9 0    10 3 2 1 1 C + D = 3 14 1 1 0 0 9 2 1 1 0 13 0 0 0  8 1 1 0 0 12 0 0   7 1 0 0  11 0    6 0 0   C + D = 2 14 0 0 0  5 0    13 0 0   C + D = 10 14 6 6 5 4 12 0    13 5 4 4 3 A + B = 15 C + D = 15 15 11 10 9 8 12 4 3 3 2 14 9 8 7 6 11 3 3 2 1 13 7 6 5 5 10 2 2 1 1 12 6 5 4 4 9 2 1 0 0 11 5 4 3 3 8 1 1 0 0 10 4 3 2 2 7 0 0 0  9 3 2 1 1 6 0 0   8 2 1 1 0 5 0    7 1 1 0 0 C + D = 9 14 6 5 4 4 6 1 0 0  13 4 4 3 3 5 0 0   12 3 3 2 2 4 0    11 3 2 1 1 C + D = 14 15 10 9 8 7 10 2 1 1 0 14 8 7 6 6 9 1 1 0 0 13 7 6 5 4 8 1 0 0  12 6 5 4 3 7 0 0   11 5 4 3 2 6 0    10 4 3 2 2 C + D = 8 14 5 4 4 3 9 4 3 2 1 13 4 3 2 2 8 2 1 1 0 12 3 2 2 1 7 1 1 0 0 11 2 2 1 1 6 1 0   10 2 1 0 0 5 0    9 1 0 0 0 C + D = 13 15 9 8 7 7 8 0 0 0  14 7 7 6 5 7 0 0   13 6 5 4 4 6 0    12 5 4 3 3 C + D = 7 14 4 3 3 2 11 4 3 2 2 13 3 2 2 1 10 3 2 2 1 12 2 2 1 1 9 2 2 1 0 11 2 1 1 0 8 2 1 0 0 10 1 1 0 0 7 1 0 0  9 1 0 0  6 0 0   8 0 0   5 0    7 0    C + D = 12 15 8 7 7 6 C + D = 6 14 3 3 2 2 14 7 6 5 4
  • 21.
    21 signifikansi signifikansiJumlah ditepi kanan B A 0,050 0,025 0,010 0,005 Jumlah di tepi kanan B A 0,050 0,025 0,010 0,005 13 6 5 4 3 11 2 1 1 0 12 5 4 3 2 10 1 1 0 0 11 4 3 2 2 9 1 0 0  10 3 2 1 1 8 0 0   9 2 1 1 0 7 0    8 1 1 0 0 6 0    7 1 0 0  C + D = 7 15 4 4 3 3 6 0 0   14 3 3 2 2 5 0    13 2 2 1 1 C + D = 11 15 7 7 6 5 12 2 1 1 0 14 6 5 4 4 11 1 1 0 0 13 5 4 3 3 10 1 0 0 0 12 4 3 2 2 9 0 0   11 3 2 2 1 8 0 0   10 2 2 1 1 8 0    9 2 1 0 0 C + D = 6 15 3 3 2 2 8 1 1 0 0 14 2 2 1 1 7 1 0 0  13 2 1 1 0 6 0 0   12 1 1 0 0 5 0    11 1 0 0 0 C + D = 10 15 6 6 5 5 10 0 0 0  14 5 5 4 3 9 0 0   13 4 4 3 2 8 0    12 3 3 2 2 C + D = 5 15 2 2 2 1 11 3 2 1 1 14 2 1 1 1 10 2 1 1 0 13 1 1 0 0 9 1 1 0 0 12 1 0 0 0 8 1 0 0  11 0 0 0  7 0 0   10 0 0   6 0    9 0    C + D = 9 15 6 5 4 4 C + D = 4 15 2 1 1 1 14 5 4 3 3 14 1 1 0 0 13 4 3 2 2 13 1 0 0 0 12 3 2 2 1 12 0 0 0  11 2 2 1 1 11 0 0   10 2 1 0 0 10 0    9 1 1 0 0 C + D = 3 15 1 1 0 0 8 1 0 0  14 0 0 0 0 7 0 0   13 0 0   6 0    12 0 0   C + D = 8 15 5 4 4 3 11 0    14 4 3 3 2 C + D = 2 15 0 0 0  13 3 2 2 1 14 0 0   12 2 2 1 1 13 0 0   Sumber : Siegel, Sidney, 1956, Non Parametric Statistics For The Behavioral Sciences, New York : Mc Graw-Hill Book Company.
  • 22.
    22 Tabel Nilai q JumlahPerlakuandf 2 3 4 5 6 7 8 9 10 11 12 13 14 15 16 1 26,70 32,80 37,2040,50 43,10 45,40 47,30 49,10 50,60 51,90 53,20 54,30 55,40 56,30 26,70 2 8,28 9,80 10,8911,73 12,43 13,03 13,54 13,99 14,39 14,75 15,08 15,38 15,65 15,91 8,28 3 5,88 6,83 7,51 8,04 8,47 8,35 9,18 9,46 9,72 9,95 10,16 10,35 10,52 10,69 5,88 4 5,00 5,76 6,31 6,73 7,06 7,35 7,60 7,83 8,03 8,21 8,37 8,52 8,67 8,80 5,00 5 4,54 5,18 5,64 5,99 6,28 6,52 6,74 6,93 7,10 7,25 7,39 7,52 7,64 7,75 4,54 6 4,34 4,90 5,31 5,63 5,89 6,12 6,32 6,49 6,65 6,79 6,92 7,04 7,14 7,24 4,34 7 4,16 4,68 5,06 5,35 5,59 5,80 5,99 6,15 6,29 6,42 6,54 6,65 6,75 6,84 4,16 8 4,04 4,53 4,89 5,17 5,40 5,60 5,77 5,92 6,05 6,18 6,29 6,39 6,48 6,57 4,04 9 3,95 4,42 4,76 5,02 5,24 5,43 5,60 5,74 5,87 5,98 6,09 6,19 6,28 6,36 3,95 10 3,88 4,33 4,66 4,91 5,12 5,30 5,46 5,60 5,72 5,83 5,93 6,03 6,12 6,20 3,88 11 3,82 4,26 4,58 4,82 5,03 5,20 5,35 5,49 5,61 5,71 5,81 5,90 5,98 6,06 3,82 12 3,77 4,20 4,51 4,75 4,95 5,12 5,27 5,40 5,51 5,61 5,71 5,80 5,88 5,95 3,77 13 3,73 4,15 4,46 4,69 4,88 5,05 5,19 5,32 5,43 5,53 5,63 5,71 5,79 5,86 3,73 14 3,70 4,11 4,41 4,64 4,83 4,99 5,13 5,25 5,36 5,46 5,56 5,64 5,72 5,79 3,70 15 3,67 4,08 4,37 4,59 4,78 4,94 5,08 5,20 5,31 5,40 5,49 5,57 5,65 5,72 3,67 16 3,65 4,05 4,34 4,56 4,74 4,90 5,03 5,15 5,26 5,35 5,44 5,52 5,59 5,66 3,65 17 3,62 4,02 4,31 4,52 4,70 4,86 4,99 5,11 5,21 5,31 5,39 5,47 5,55 5,61 3,62 18 3,61 4,00 4,28 4,49 4,67 4,83 4,96 5,07 5,17 5,27 5,35 5,43 5,50 5,57 3,61 19 3,59 3,98 4,26 4,47 4,64 4,79 4,93 5,04 5,14 5,23 5,32 5,39 5,46 5,53 3,59 20 3,58 3,96 4,24 4,45 4,62 4,77 4,90 5,01 5,11 5,20 5,28 5,36 5,43 5,50 3,58 24 3,35 3,90 4,17 4,37 4,54 4,68 4,81 4,92 5,01 5,10 5,18 5,25 5,32 5,38 3,35 30 3,48 3,84 4,11 4,30 4,46 4,60 4,72 4,83 4,92 5,00 5,08 5,15 5,21 5,27 3,48 40 3,44 3,79 4,04 4,23 4,39 4,52 4,63 4,74 4,82 4,90 4,98 5,05 5,11 5,17 3,44 60 3,40 3,74 3,98 4,16 4,31 4,44 4,55 4,65 4,73 4,81 4,88 4,94 5,00 5,06 3,40 120 3,36 3,69 3,92 4,10 4,24 4,36 4,47 4,56 4,64 4,71 4,78 4,84 4,90 4,95 3,36 ∞ 3,32 3,63 3,86 4,03 4,17 4,29 4,39 4,47 4,55 4,62 4,68 4,74 4,80 4,84 3,32 Sumber : Nasir, Moh, 1985, Metode Penelitian cetakan pertama, Jakarta : Ghalia Indonesia.
  • 23.
    23 Tabel Harga QuantilStatistik Lilliefors Distribusi Normal Ukuran sampel N p = 0,80 α = 0,20 p = 0,85 α = 0,15 p = 0,90 α = 0,10 p = 0,95 α = 0,05 p = 0,99 α = 0,01 4 0,300 0,319 0,352 0,381 0,417 5 0,285 0,299 0,315 0,337 0,405 6 0,265 0,277 0,294 0,319 0,364 7 0,247 0,258 0,276 0,300 0,348 8 0,233 0,244 0,261 0,285 0,331 9 0,223 0,233 0,249 0,271 0,311 10 0,215 0,224 0,239 0,258 0,294 11 0,206 0,217 0,230 0,249 0,284 12 0,199 0,212 0,223 0,242 0,275 13 0,190 0,202 0,214 0,234 0,268 14 0,183 0,194 0,207 0,227 0,261 15 0,177 0,187 0,201 0,220 0,257 16 0,173 0,182 0,195 0,213 0,250 17 0,169 0,177 0,189 0,206 0,245 18 0,166 0,173 0,184 0,200 0,239 19 0,163 0,169 0,179 0,195 0,235 20 0,160 0,166 0,174 0,190 0,231 25 0,142 0,147 0,158 0,173 0,200 30 0,131 0,136 0,144 0,161 0,187 n >30 n 736,0 n 768,0 n 805,0 n 886,0 n 031,1 Sumber : Conover, W.J, 1980, Practical Nonparametric Statistics second edition, New York : John Wiley & Sons.
  • 24.
    24 Tabel Harga QuantilStatistik Shapiro- Wilk Distribusi Normal N 0,01 0,02 0,05 0,10 0,50 0,90 0,95 0,98 0,99 3 0,753 0,756 0,767 0,789 0,959 0,998 0,999 1,000 1,000 4 0,687 0,707 0,748 0,792 0,935 0,987 0,992 0,996 0,997 5 0,686 0,715 0,762 0,806 0,927 0,979 0,986 0,991 0,993 6 0,713 0,743 0,788 0,826 0,927 0,974 0,981 0,986 0,989 7 0,730 0,760 0,803 0,838 0,928 0,972 0,979 0,985 0,988 8 0,749 0,778 0,818 0,851 0,932 0,972 0,978 0,984 0,987 9 0,764 0,791 0,829 0,859 0,935 0,972 0,978 0,984 0,986 10 0,781 0,806 0,842 0,869 0,938 0,972 0,978 0,983 0,986 11 0,792 0,817 0,850 0,876 0,940 0,973 0,979 0,984 0,986 12 0,805 0,828 0,859 0,883 0,943 0,973 0,979 0,984 0,986 13 0,814 0,837 0,866 0,889 0,945 0,974 0,979 0,984 0,986 14 0,825 0,846 0,874 0,895 0,947 0,975 0,980 0,984 0,986 15 0,835 0,855 0,881 0,901 0,950 0,975 0,980 0,984 0,987 16 0,844 0,863 0,887 0,906 0,952 0,976 0,981 0,985 0,987 17 0,851 0,869 0,892 0,910 0,954 0,977 0,981 0,985 0,987 18 0,858 0,874 0,897 0,914 0,956 0,978 0,982 0,986 0,988 19 0,863 0,879 0,901 0,917 0,957 0,978 0,982 0,986 0,988 20 0,868 0,884 0,905 0,920 0,959 0,979 0,983 0,986 0,988 21 0,873 0,888 0,908 0,923 0,960 0,980 0,983 0,987 0,989 22 0,878 0,892 0,911 0,926 0,961 0,980 0,984 0,987 0,989 23 0,881 0,895 0,914 0,928 0,962 0,981 0,984 0,987 0,989 24 0,884 0,898 0,916 0,930 0,963 0,981 0,984 0,987 0,989 25 0,888 0,901 0,918 0,931 0,964 0,981 0,985 0,988 0,989 26 0,891 0,904 0,920 0,933 0,965 0,982 0,985 0,988 0,989 27 0,894 0,906 0,923 0,935 0,965 0,982 0,985 0,988 0,990 28 0,896 ,0,908 0,924 0,936 0,966 0,982 0,985 0,988 0,990 29 0,898 0,910 0,926 0,937 0,966 0,982 0,985 0,988 0,990 30 0,900 0,912 0,927 0,939 0,967 0,983 0,985 0,988 0,990 31 0,902 0,914 0,929 0,940 0,967 0,983 0,986 0,988 0,990 32 0,904 0,915 0,930 0,941 0,968 0,983 0,986 0,988 0,990 33 0,906 0,917 0,931 0,942 0,968 0,983 0,986 0,989 0,990 34 0,908 0,919 0,933 0,943 0,969 0,983 0,986 0,989 0,990 35 0,910 0,920 0,934 0,944 0,969 0,984 0,986 0,989 0,990 36 0,912 0,922 0,935 0,945 0,970 0,984 0,986 0,989 0,990 37 0,914 0,924 0,936 0,946 0,970 0,984 0,987 0,989 0,990 38 0,916 0,925 0,938 0,947 0,971 0,984 0,987 0,989 0,990 39 0,917 0,927 0,939 0,948 0,971 0,984 0,987 0,989 0,991 40 0,919 0,928 0,940 0,949 0,972 0,985 0,987 0,989 0,991 41 0,920 0,929 0,941 0,950 0,972 0,985 0,987 0,989 0,991 42 0,922 0,930 0,942 0,951 0,972 0,985 0,987 0,989 0,991 43 0,923 0,932 0,943 0,951 0,973 0,985 0,987 0,990 0,991 44 0,924 0,933 0,944 0,952 0,973 0,985 0,987 0,990 0,991 45 0,926 0,934 0,945 0,953 0,973 0,985 0,988 0,990 0,991 46 0,927 0,935 0,945 0,953 0,974 0,985 0,988 0,990 0,991 47 0,928 0,936 0,946 0,954 0,974 0,985 0,988 0,990 0,991 48 0,929 0,937 0,947 0,954 0,974 0,985 0,988 0,990 0,991 49 0,929 0,937 0,947 0,955 0,974 0,985 0,988 0,990 0,991 50 0,930 0,938 0,947 0,955 0,974 0,985 0,988 0,990 0,991 Sumber : Conover, W.J, 1980, Practical Nonparametric Statistics second edition, New York : John Wiley & Sons.
  • 25.
    25 Tabel Konversi StatistikShapiro-Wilk Pendekatan Distribusi Normal n 3 4 5 6 (dn) (0,7500) (0,6297) (0,5521) (0,4963) -7,0 -3,29 - - - -5,4 -2,81 - - - -5,0 -2,68 - - - -4,6 -2,54 - - - -4,2 -2,40 - - - -3,8 -2,25 -3,50 -- - -3,4 -2,10 -3,27 - - -3,0 -1,94 -3,05 -4,01 - -2,6 -1,77 -2,84 -3,70 - -2,2 -1,59 -2,64 -3,38 - -1,8 -1,40 -2,44 -3,11 - -1,4 -1,21 -2,22 -2,87 - -1,0 -1,01 -1,96 -2,56 -3,72 -0,6 -0,80 -1,66 -2,20 -2,88 -0,2 -0,60 -1,31 -1,81 -2,27 0,2 -0,39 -0,94 -1,41 -1,85 0,6 -0,19 -0,57 -0,97 -1,38 1,0 -0,00 -0,19 -0,51 -0,84 1,4 0,18 0,15 -0,06 -0,33 1,8 0,35 0,45 0,37 0,18 2,2 0,52 0,74 0,75 0,64 2,6 0,67 1,00 1,09 1,06 3,0 0,81 1,23 1,40 1,45 3,4 0,95 1,44 1,67 1,83 3,8 1,07 1,65 1,91 2,17 4,2 1,19 1,85 2,15 2,50 4,6 1,31 2,03 2,47 2,77 5,0 1,42 2,19 2,85 3,09 5,4 1,52 2,34 3,24 3,54 5,8 1,62 2,48 3,64 - 6,2 1,72 2,62 6,6 1,81 2,75 7,0 1,90 2,87 7,4 1,98 2,97 7,8 2,07 3,08 8,2 2,15 3,22 8,6 2,23 3,36 9,0 2,31 9,4 2,38 9,8 2,45
  • 26.
    26 n bn Cndn 7 -2,356 1,245 0,4533 8 -2,696 1,333 0,4186 9 -2,968 1,400 0,3900 10 -3,262 1,471 0,3600 11 -3,485 1,515 0,3451 12 -3,731 1,571 0,3270 13 -3,936 1,613 0,3111 14 -4,155 1,655 0,2969 15 -4,373 1,695 0,2842 16 -4,567 1,724 0,2727 17 -4,713 1,739 0,2622 18 -4,885 1,770 0,2528 19 -5,018 1,786 0,2440 20 -5,153 1,802 0,2359 21 -5,291 1,818 0,2264 22 -5,413 1,835 0,2207 23 -5,508 1,848 0,2157 24 -5,605 1,862 0,2106 25 -5,704 1,876 0,2063 26 -5,803 1,890 0,2020 27 -5,905 1,905 0,1980 28 -5,988 1,919 0,1943 29 -6,074 1,934 0,1907 30 -6,150 1,949 0,1872 31 -6,248 1,965 0,1840 32 -6,324 1,976 0,1811 33 -6,402 1,988 0,1781 34 -6,480 2,000 0,1755 35 -6,559 2,012 0,1727 36 -6,640 2,024 0,1702 37 -6,721 2,037 0,1677 38 -6,803 2,049 0,1656 39 -6,887 2,062 0,1633 40 -6,961 2,075 0,1612 41 -7,035 2,088 0,1591 42 -7,111 2,101 0,1572 43 -7,188 2,114 0,1552 44 -7,266 2,128 0,1534 45 -7,345 2,141 0,1516 46 -7,414 2,155 0,1499 47 -7,484 2,169 0,1482 48 -7,555 2,183 0,1466 49 -7,615 2,198 0,1451 50 -7,677 2,212 0,1436 Sumber : Conover, W.J, 1980, Practical Nonparametric Statistics second edition, New York : John Wiley & Sons.
  • 27.
    27 Tabel Koefisient untuktest Shapiro-Wilk 2 3 4 5 6 7 8 9 1 0,7071 0,7071 0,6872 0,6646 0,6431 0,6233 0,6052 0,5888 2 - 0,0000 0,1667 0,2413 0,2806 0,3031 0,3164 0,3244 3 - - - 0,000 0,0875 0,1401 0,1743 0,1976 4 - - - - - 0,0000 0,0561 0,0947 5 - - - - - - - 0,000 6 - - - - - - - - 10 11 12 13 14 15 16 17 18 19 1 0,5739 0,5601 0,5475 0,5359 0,5251 0,5150 0,5056 0,4968 0,4886 0,4808 2 0,3291 0,3315 0,3325 0,3325 0,3318 0,3306 0,3290 0,3273 0,3253 0,3232 3 0,2141 0,2260 0,2347 0,2412 0,2460 0,2495 0,2521 0,2540 0,2553 0,2561 4 0,1224 0,1429 0,1586 0,1707 0,1802 0,1878 0,1939 0,1988 0,2027 0,2059 5 0,0399 0,0695 0,0922 0,1099 0,1240 0,1353 0,1447 0,1524 0,1587 0,1641 6 - 0,0000 0,0303 0,0539 0,0727 0,0880 0,1005 0,1109 0,1197 0,1271 7 - - - 0,0000 0,0240 0,0433 0,0593 0,0725 0,0837 0,0932 8 - - - - - 0,0000 0,0196 0,0359 0,0496 0,0612 9 - - - - - - - 0,0000 0,0163 0,0303 10 - - - - - - - - - 0,0000 11 - - - - - - - - - - 20 21 22 23 24 25 26 27 28 29 1 0,4734 0,4643 0,4590 0,4542 0,4493 0,4450 0,4407 0,4366 0,4328 0,4291 2 0,3211 0,3185 0,3156 0,3126 0,3098 0,3069 0,3043 0,3018 0,2992 0,2968 3 0,2565 0,2578 0,2571 0,2563 0,2554 0,2543 0,2533 0,2522 0,2510 0,2499 4 0,2085 0,2119 0,2131 0,2139 0,2145 0,2148 0,2151 0,2152 0,2151 0,2150 5 0,1686 0,1736 0,1764 0,1787 0,1807 0,1822 0,1836 0,1848 0,1857 0,1864 6 0,1334 0,1399 0,1443 0,1480 0,1512 0,1539 0,1563 0,1584 0,1601 0,1616 7 0,1013 0,1092 0,1150 0,1201 0,1245 0,1283 0,1316 0,1346 0,1372 0,1395 8 0,0711 0,0804 0,0878 0,0941 0,0997 0,1046 0,1089 0,1128 0,1162 0,1192 9 0,0422 0,0530 0,0618 0,0696 0,0764 0,0823 0,0876 0,0923 0,0965 0,1002 10 0,0140 0,0263 0,0368 0,0459 0,0539 0,0610 0,0672 0,0728 0,0778 0,0822 11 - 0,0000 0,0122 0,0228 0,0321 0,0403 0,0476 0,0540 0,0598 0,0650 12 - - - 0,0000 0,0107 0,0200 0,0284 0,0358 0,0424 0,0483 13 - - - - - 0,0000 0,0094 0,0178 0,0253 0,0320 14 - - - - - - - 0,0000 0,0084 0,0159 15 - - - - - - - - - 0,0000
  • 28.
    28 30 31 3233 34 35 36 37 38 39 1 0,4254 0,4220 0,4188 0,4156 0,4127 0,4096 0,4068 0,4040 0,4015 0,3989 2 0,2944 0,2921 0,2898 0,2876 0,2854 0,2834 0,2813 0,2794 0,2774 0,2755 3 0,2487 0,2475 0,2462 0,2451 0,2439 0,2427 0,2415 0,2403 0,2391 0,2380 4 0,2148 0,2145 0,2141 0,2137 0,2132 0,2127 0,2121 0,2116 0,2110 0,2104 5 0,1870 0,1874 0,1878 0,1880 0,1882 0,1883 0,1883 0,1883 0,1881 0,1880 6 0,1630 0,1641 0,1651 0,1660 0,1667 0,1673 0,1678 0,1683 0,1686 0,1689 7 0,1415 0,1433 0,1449 0,1463 0,1475 0,1487 0,1496 0,1505 0,1513 0,1520 8 0,1219 0,1243 0,1265 0,1284 0,1301 0,1317 0,1331 0,1344 0,1356 0,1366 9 0,1036 0,1066 0,1093 0,1118 0,1140 0,1160 0,1179 0,1196 0,1211 0,1225 10 0,0862 0,0899 0,0931 0,0961 0,0988 0,1013 0,1036 0,1056 0,1075 0,1092 11 0,0697 0,0739 0,0777 0,0812 0,0844 0,0873 0,0900 0,0924 0,0947 0,0967 12 0,0537 0,059 0,0629 0,0669 0,0706 0,0739 0,0770 0,0798 0,0824 0,0848 13 0,0381 0,0435 0,0485 0,0530 0,0572 0,0610 0,0645 0,0677 0,0706 0,0733 14 0,0227 0,0289 0,0344 0,0395 0,0441 0,0484 0,0523 0,0559 0,0592 0,0622 15 0,0076 0,0144 0,0206 0,0262 0,0314 0,0361 0,0404 0,0444 0,0481 0,0515 16 - 0,0000 0,0068 0,0131 0,0187 0,0239 0,0287 0,0331 0,0372 0,0409 17 - - - 0,0000 0,0062 0,0119 0,0172 0,0220 0,0264 0,0305 18 - - - - - 0,0000 0,0057 0,0110 0,0158 0,0203 19 - - - - - - - 0,0000 0,0053 0,0101 20 - - - - - - - - - 0,0000 40 41 42 43 44 45 46 47 48 49 50 1 0,3964 0,3940 0,3917 0,3894 0,3872 0,3850 0,3830 0,3808 0,3789 0,3770 0,3751 2 0,2737 0,2719 0,2701 0,2684 0,2667 0,2651 0,2635 0,2620 0,2604 0,2589 0,2574 3 0,2368 0,2357 0,2345 0,2334 0,2323 0,2313 0,2302 0,2291 0,2281 0,2271 0,2260 4 0,2098 0,2091 0,2085 0,2078 0,2072 0,2065 0,2058 0,2052 0,2045 0,2038 0,2032 5 0,1878 0,1876 0,1874 0,1871 0,1868 0,1865 0,1862 0,1859 0,1855 0,1851 0,1847 6 0,1691 0,169 0,1694 0,1695 0,1695 0,1695 0,1695 0,1695 0,1693 0,1692 0,1691 7 0,1526 0,1531 0,1535 0,1539 0,1542 0,1545 0,1548 0,1550 0,1551 0,1553 0,1554 8 0,1376 0,1384 0,1392 0,1398 0,1405 0,1410 0,1415 0,1420 0,1423 0,1427 0,1430 9 0,1237 0,1249 0,1259 0,1269 0,1278 0,1286 0,1293 0,1300 0,1306 0,1312 0,1317 10 0,1108 0,1123 0,1136 0,1149 0,1160 0,1170 0,1180 0,1189 0,1197 0,1205 0,1212 11 0,0986 0,1004 0,1020 0,1035 0,1049 0,1062 0,1073 0,1085 0,1095 0,1105 0,1113 12 0,0870 0,0891 0,0909 0,0927 0,0943 0,0959 0,0972 0,0986 0,0998 0,1010 0,1020 13 0,0759 0,0782 0,0804 0,0824 0,0842 0,0860 0,0876 0,0892 0,0906 0,0919 0,0932 14 0,0651 0,0677 0,0701 0,0724 0,0745 0,0765 0,0783 0,0801 0,0817 0,0832 0,0846 15 0,0546 0,0575 0,0602 0,0628 0,0651 0,0673 0,0694 0,0713 0,0731 0,0748 0,0764 16 0,0444 0,0476 0,0506 0,0534 0,0560 0,0584 0,0607 0,0628 0,0648 0,0667 0,0685 17 0,0343 0,0379 0,0411 0,0442 0,0471 0,0497 0,0522 0,0546 0,0568 0,0588 0,0608 18 0,0244 0,0283 0,0318 0,0352 0,0383 0,0412 0,0439 0,0465 0,0489 0,0511 0,0532 19 0,0146 0,0188 0,0227 0,0263 0,0296 0,0328 0,0357 0,0385 0,0411 0,0436 0,0459 20 0,0049 0,0094 0,0136 0,0175 0,0211 0,0245 0,0277 0,0307 0,0335 0,0361 0,0386 21 - 0,0000 0,0045 0,0087 0,0126 0,0163 0,0197 0,0229 0,0259 0,0288 0,0314 22 - - - 0,0000 0,0042 0,0081 0,0118 0,0153 0,0185 0,0215 0,0244 23 - - - - - 0,0000 0,0039 0,0076 0,0111 0,0143 0,0174 24 - - - - - - - 0,0000 0,0037 0,0071 0,0104 25 - - - - - - - - - 0,0000 0,0035 Sumber : Conover, W.J, 1980, Practical Nonparametric Statistics second edition, New York : John Wiley & Sons.
  • 29.
    29 Table Quantiles OfThe Wilcoxon Signed Ranks Test Statistic n W0,005 W0,01 W0,025 W0,05 W0,10 W0,20 W0,30 W0,40 W0,50 2 )1( +nn 4 0 0 0 0 1 3 3 4 5 10 5 0 0 0 1 3 4 5 6 7,5 15 6 0 0 1 3 4 6 8 9 10,5 21 7 0 1 3 4 6 9 11 12 14 28 8 1 2 4 6 9 12 14 16 18 36 9 2 4 6 9 11 15 18 20 22,5 45 10 4 6 9 11 15 19 22 25 27,5 55 11 6 8 11 14 18 23 27 30 33 66 12 8 10 14 18 22 28 32 36 39 78 13 10 13 18 22 27 33 38 42 45,5 91 14 13 16 22 26 32 39 44 48 52,5 105 15 16 20 26 31 37 45 51 55 60 120 16 20 24 30 36 43 51 58 63 68 136 17 24 28 35 42 49 58 65 71 76,5 153 18 28 33 41 48 56 66 73 80 85,5 171 19 33 38 47 54 63 74 82 89 95 190 20 38 44 53 61 70 83 91' 98 105 210 21 44 50 59 68 78 91 100 108 115,5 131 22 49 56 67 76 87 100 110 119 126,5 153 23 55 63 74 84 95 110 120 130 138 176 24 62 70 82 92 105 120 131 141 150 300 25 69 77 90 101 114 131 143 153 162,5 325 26 76 85 99 111 125 142 155 165 175,5 351 27 84 94 108 120 135 154 167 178 189 378 28 92 102 117 131 146 166 180 192 203 406 29 101 111 127 141 158 178 193 206 217,5 435 30 110 121 138 152 170 191 207 220 232,5 465 31 119 131 148 164 182 205 221 235 248 496 32 129 141 160 176 195 219 236 250 264 528 33 139 152 171 188 208 233 251 266 280,5 561 34 149 163 183 201 222 248 266 282 297,5 595 35 160 175 196 214 236 263 283 299 315 630 36 172 187 209 228 251 279 299 317 333 666 37 184 199 222 242 266 295 316 335 351,5 703 38 196 212 236 257 282 312 334 353 370,5 741 39 208 225 250 272 298 329 352 372 390 780 40 221 239 265 287 314 '347 371 391 410 820 41 235 253 280 303 331 365 390 411 430,5 861 42 248 267 295 320 349 384 409 431 451,5 903 43 263 282 311 337 366 403 429 452 473 946 44 277 297 328 354 385 422 450 473 495 990 45 292 313 344 372 403 442 471 495 517,5 1035 46 308 329 362 390 423 463 492 517 540,5 1081 47 324 346 379 408 442 484 514 540 564 1128 48 340 363 397 428 463 505 536 563 588 1176 49 357 381 416 447 483 527 559 587 612,5 1225 50 374 398 435 467 504 550 583 611 637,5 1275
  • 30.
    30 Tabel Harga KritisT Dalam Tes Ranking Bertanda Data Berpasangan Wilcoxon Tingkat Signifikansi untuk tes satu sisi N 0,025 0,010 0,005 Tingkat Signifikansi untuk tes dua sisi 0,050 0,020 0,010 6 0   7 2 0  8 4 2 0 9 6 3 2 10 8 5 3 11 11 7 5 12 14 10 7 13 17 13 10 14 21 16 13 15 25 20 16 16 30 24 20 17 35 28 23 18 40 33 28 19 46 38 32 20 52 43 38 21 59 49 43 22 66 56 49 23 73 62 55 24 81 69 61 25 89 77 68 Sumber : Siegel, Sidney, 1956, Non Parametric Statistics For The Behavioral Sciences, New York : Mc Graw-Hill Book Company.
  • 31.
    31 Tabel Kemungkinan YangBerkaitan Dengan Harga-Harga Sebesar Harga-Harga Observasi Xr2 Dalam Analisis Varian Ranking Dua Arah Friedman Tabel N1, k = 3 N=2 N=3 N=4 N=5 Xr2 p Xr2 p Xr2 p Xr2 p 0 1,000 0,000 1,000 0,0 1,000 0,0 1,000 1 0,833 0,667 0,944 0,5 0,931 0,4 0,954 3 0,500 2,000 0,528 1,5 0,653 1,2 0,691 4 0,167 2,667 0,361 2,0 0,431 1,6 0,522 4,667 0,194 3,5 0,273 2,8 0,367 6,000 0,028 4,5 0,125 3,6 0,182 6,0 0,069 4,8 0,124 6,5 0,042 5,2 0,093 8,0 0,0046 6,4 0,039 7,6 0,024 8,4 0,0085 10,0 0,00077 N=6 N=7 N=8 N=9 Xr2 p Xr2 p Xr2 p Xr2 p 0,00 1,000 0,000 1,000 0,00 1,000 0,000 1,000 0,33 0,956 0,286 0,964 0,25 0,967 0,222 0,971 1,00 0,740 0,857 0,768 0,75 0,794 0,667 0,814 1,33 0,570 1,143 0,620 1,00 0,654 0,889 0,865 2,33 0,430 2,000 0,486 1,75 0,531 1,556 0,569 3,00 0,252 2,571 0,305 2,25 0,355 2,000 0,398 4,00 0,184 3,429 0,237 3,00 0,285 2,667 0,328 4,33 0,142 3,714 0,192 3,25 0,236 2,889 0,278 5,33 0,072 4,571 0,112 4,00 0,149 3,556 0,187 6,33 0,052 5,429 0,085 4,75 0,120 4,222 0,154 7,00 0,029 6,000 0,052 5,25 0,079 4,667 0,107 8,33 0,012 7,143 0,027 6,25 0,047 5,556 0,069 9,00 0,0081 7,714 0,021 6,75 0,038 6,000 0,057 9,33 0,0055 8,000 0,016 7,00 0,030 6,222 0,048 10,33 0,0017 8,857 0,0084 7,75 0,018 6,889 0,031 12,00 0,00013 10,286 0,0036 9,00 0,0099 8,000 0,019 10,571 0,0027 9,25 0,0080 8,222 0,016 11,143 0,0012 9,75 0,0048 8,667 0,010 12,286 0,00032 10,75 0,0024 9,556 0,0060 14,000 0,000021 12,00 0,0011 10,667 0,0035 12,25 0,00086 10,889 0,0029 13,00 0,00026 11,556 0,0013 14,25 0,000061 12,667 0,00066 16,00 0,0000036 13,556 0,00035 14,000 0,00020 14,222 0,000097 14,889 0,000054 16,222 0,000011 18,000 0,0000006
  • 32.
    32 Tabel N2, k= 4 N=2 N=3 N=4 Xr2 p Xr2 p Xr2 p 0,0 1,000 0,2 1,000 0,0 1,000 0,6 0,958 0,6 0,958 0,3 0,992 1,2 0,834 1,0 0,910 0,6 0,928 1,8 0,792 1,8 0,727 0,9 0,900 2,4 0,625 2,2 0,808 1,2 0,800 3,0 0,542 2,6 0,524 1,5 0,754 3,6 0,458 3,4 0,446 1,8 0,677 4,2 0,375 3,8 0,342 2,1 0,649 4,8 0,208 4,2 0,300 2,4 0,524 5,4 0,167 5,0 0,207 2,7 0,508 6,0 0,042 5,4 0,175 3,0 0,432 5,8 0,148 3,3 0,389 6,6 0,075 3,6 0,355 7,0 0,054 3,9 0,324 7,4 0,033 4,5 0,242 8,2 0,017 4,8 0,200 9,0 0,0017 5,1 0,190 5,4 0,168 5,7 0,141 6,0 0,105 8,3 0,094 6,6 0,077 6,9 0,068 7,2 0,054 7,5 0,052 7,8 0,036 8,1 0,033 8,4 0,019 8,7 0,014 9,3 0,012 9,6 0,0069 9,9 0,0062 10,2 0,0027 10,8 0,0016 11,1 0,00094 12,0 0,000072 Sumber : Siegel, Sidney, 1956, Non Parametric Statistics For The Behavioral Sciences, New York : Mc Graw-Hill Book Company.
  • 33.
    33 Tabel Harga KritisStatistik Penguji Kruskal-Wallis Untuk Tiga Sampel dan Ukuran Sampel Kecil Ukuran Sampel Ukuran Sampel n1 n2 n3 Harga kritis p n1 n2 n3 Harga kritis p 2 1 1 4 3 2 2 2 1 3,6000 0,200 6,3000 0,011 2 2 2 4,5714 0,009 5,4444 0,046 3,7143 0,200 5,4000 0,051 4,5111 0,098 3 1 1 3,2000 0,300 4,4444 0,102 3 2 1 4,2857 0,100 4 3 3 6,7455 0,010 3,8571 0,133 6,7091 0,013 3 2 2 5,3572 0,029 5,7909 0,046 4,7143 0,048 5,7273 0,050 4,5000 0,067 4,7091 0,092 4,4643 0,105 4,7000 0,101 3 3 1 5,1429 0,043 4 4 1 6,8867 0,010 4,5714 0,100 6,1667 0,022 4,0000 0,129 4,9667 0,048 3 3 2 6,2500 0,011 4,8667 0,054 5,3611 0,032 4,1667 0,082 5,1389 0,061 4,0667 0,102 4,5556 0,100 4 4 2 7,0364 0,006 4,2500 0,121 6,8727 0,011 3 3 3 7,2000 0,004 5,4545 0,046 6,4889 0,011 5,2364 0,052 5,6889 0,029 4,5545 0,098 5,6000 0,050 4,4455 0,103 5,0667 0,086 4 4 3 7,1439 0,010 4,6222 0,100 7,1364 0,011 5,5985 0,049 4 1 1 3,5714 0,200 5,5758 0,005 4 2 1 4,8214 0,057 4,5455 0,099 4,5000 0,076 4,4773 0,102 4,0179 0,114 4 4 4 7,6538 0,008 4 2 2 6,0000 0,014 7,5385 0,011 5,3333 0,033 5,6923 0,049 5,1250 0,052 5,6538 0,054 4,4583 0,100 4,6539 0,097 4,1667 0,105 4,5001 0,104 4 3 1 5,8333 0,021 5,2083 0,054 5 1 1 3,8571 0,143 5,0000 0,057 5 2 1 5,2500 0,036 4,0556 0,093 5,0000 0,048 3,8889 0,129 4,4500 0,071
  • 34.
    34 Ukuran Sampel UkuranSampel n1 n2 n3 Harga kritis p n1 n2 n3 Harga kritis p 4,2000 0,095 5,6308 0,050 4,0500 0,119 4,5487 0,099 5 2 2 6,5333 0,008 4,5231 0,103 6,1333 0,013 5 4 4 7,7604 0,009 5,1600 0,034 7,7440 0,011 5,0400 0,056 5,6571 0,049 4,3733 0,090 5,6176 0,050 4,2933 0,122 4,6187 0,100 5 3 1 6,4000 0,012 4,5527 0,102 4,9600 0,048 5 5 1 7,3091 0,009 4,8711 0,052 6,8364 0,011 4,0178 0,095 5,1273 0,046 3,8400 0,123 4,9091 0,053 5 3 2 6,9091 0,009 4,1091 0,086 6,8218 0,010 4,0364 0,105 5,2509 0,049 5 5 2 7,3385 0,010 5,1055 0,052 7,2692 0,010 4,6509 0,091 5,3385 0,047 4,4945 0,101 5,2462 0,051 5 3 3 7,0788 0,009 4,6231 0,097 6,9818 0,011 4,5077 0,100 5,6485 0,049 5 5 3 7,5780 0,010 5,5152 0,051 7,5429 0,010 4,5333 0,097 5,7055 0,046 4,4121 0,109 5,6264 0,051 5 4 1 6,9545 0,008 4,5451 0,100 6,8400 0,011 4,5363 0,102 4,9855 0,044 5 5 4 7,8229 0,010 4,8600 0,056 7,7914 0,010 3,9873 0,098 5,6657 0,049 3,9600 0,102 5,6429 0,050 5 4 2 7,2045 0,009 4,5229 0,099 7,1182 0,010 4,5200 0,101 5,2727 0,049 5 5 5 8,0000 0,009 5,2682 0,050 7,9800 0,010 4,5409 0,098 5,7800 0,049 4,5182 0,101 5,6600 0,051 5 4 3 7,4449 0,110 4,5600 0,100 7,3949 0,011 4,5000 0,102 5,6564 0,049 Sumber : Siegel, Sidney, 1956, Non Parametric Statistics For The Behavioral Sciences, New York : Mc Graw-Hill Book Company.
  • 35.
    35 Tabel Kemungkinan YangBerkaitan Dengan Harga-Harga Sekecil Harga-Harga X Observasi Dalam Tes Binomial N x 0 1 2 3 4 5 6 7 8 9 10 11 12 13 14 15 5 0,031 0,188 0,500 0,812 0,969 ϒ 6 0,016 0,109 0,344 0,656 0,891 0,984 ϒ 7 0,008 0,062 0,227 0,500 0,773 0,938 0,992 ϒ 8 0,004 0,035 0,145 0,363 0,637 0,855 0,965 0,996 ϒ 9 0,002 0,020 0,090 0,254 0,500 0,746 0,910 0,980 0,998 ϒ 10 0,001 0,011 0,055 0,172 0,377 0,623 0,828 0,945 0,989 0,999 ϒ 11 0,006 0,033 0,113 0,274 0,500 0,726 0,887 0,967 0,994 ϒ ϒ 12 0,003 0,019 0,073 0,194 0,387 0,613 0,806 0,927 0,981 0,997 ϒ ϒ 13 0,002 0,011 0,046 0,133 0,291 0,500 0,709 0,867 0,954 0,989 0,998 ϒ ϒ 14 0,001 0,006 0,029 0,090 0,212 0,395 0,605 0,788 0,910 0,971 0,994 0,999 ϒ ϒ 15 0,004 0,018 0,059 0,151 0,304 0,500 0,696 0,849 0,941 0,982 0,996 ϒ ϒ ϒ 16 0,002 0,011 0,038 0,105 0,227 0,402 0,598 0,773 0,895 0,962 0,989 0,998 ϒ ϒ 17 0,001 0,006 0,025 0,072 0,166 0,315 0,500 0,685 0,834 0,928 0,975 0,994 0,999 ϒ 18 0,001 0,004 0,015 0,048 0,119 0,240 0,407 0,593 0,760 0,881 0,952 0,985 0,996 0,999 19 0,002 0,010 0,032 0,084 0,180 0,324 0,500 0,676 0,820 0,916 0,968 0,990 0,998 20 0,001 0,006 0,021 0,058 0,132 0,252 0,412 0,588 0,748 0,868 0,942 0,976 0,994 21 0,001 0,004 0,013 0,039 0,095 0,192 0,332 0,500 0,668 0,808 0,905 0,961 0,987 22 0,002 0,008 0,026 0,067 0,143 0,262 0,416 0,584 0,738 0,857 0,933 0,974 23 0,001 0,005 0,017 0,047 0,105 0,202 0,339 0,500 0,661 0,798 0,895 0,953 24 0,001 0,003 0,011 0,032 0,076 0,154 0,271 0,419 0,581 0,729 0,846 0,924 25 0,002 0,007 0,022 0,054 0,115 0,212 0,345 0,500 0,655 0,788 0,885 Sumber : Siegel, Sidney, 1956, Non Parametric Statistics For The Behavioral Sciences, New York : Mc Graw-Hill Book Company.
  • 36.
    36 Tabel Harga KritisD dalam Tes Satu Sampel Kolmogorov Smirnov Ukuran sampel N Tingkat Signifikansi untuk D = maksimum  F0(X) – SN(X)  0,20 0,15 0,10 0,05 0,01 1 0,900 0,925 0,950 0,975 0,995 2 0,684 0,726 0,776 0,842 0,929 3 0,565 0,597 0,642 0,708 0,828 4 0,494 0,525 0,564 0,624 0,733 5 0,446 0,474 0,510 0,565 0,669 6 0,410 0,436 0,470 0,521 0,618 7 0,381 0,405 0,438 0,486 0,577 8 0,358 0,381 0,411 0,457 0,543 9 0,339 0,360 0,388 0,432 0,514 10 0,322 0,342 0,368 0,410 0,490 11 0,307 0,326 0,352 0,391 0,468 12 0,295 0,313 0,338 0,375 0,450 13 0,284 0,302 0,325 0,361 0,433 14 0,274 0,292 0,314 0,349 0,418 15 0,266 0,283 0,304 0,338 0,404 16 0,258 0,274 0,295 0,328 0,392 17 0,250 0,266 0,286 0,318 0,381 18 0,244 0,259 0,278 0,309 0,371 19 0,237 0,252 0,272 0,301 0,363 20 0,231 0,246 0,264 0,294 0,356 25 0,21 0,22 0,24 0,27 0,32 30 0,19 0,20 0,22 0,24 0,29 35 0,18 0,19 0,21 0,23 0,27 n >35 n 07,1 n 14,1 n 22,1 n 36,1 n 63,1 Sumber : Siegel, Sidney, 1956, Non Parametric Statistics For The Behavioral Sciences, New York : Mc Graw-Hill Book Company.
  • 37.
    37 Tabel Harga QuantilStatistik Kolmogorov Distribusi Normal Tingkat Signifikansi untuk tes satu sisi N 0,100 0,075 0,050 0,025 0,01 0,005 Tingkat Signifikansi untuk tes dua sisi 0,200 0,150 0,100 0,050 0,020 0,010 1 0,900 0,925 0,950 0,975 0,990 0,995 2 0,684 0,726 0,776 0,842 0,900 0,929 3 0,565 0,597 0,642 0,708 0,785 0,828 4 0,494 0,525 0,564 0,624 0,689 0,733 5 0,446 0,474 0,510 0,565 0,627 0,669 6 0,410 0,436 0,470 0521 0,577 0,618 7 0,381 0,405 0,438 0,486 0,538 0,577 8 0,358 0,381 0,411 0,457 0,507 0,543 9 0,339 0,360 0,388 0,432 0,480 0,514 10 0,322 0,342 0,368 0,410 0,457 0,490 11 0,307 0,326 0,352 0,391 0,437 0,468 12 0,295 0,313 0,338 0,375 0,419 0,450 13 0,284 0302 0,325 0,361 0,404 0,433 14 0,274 0,292 0,314 0,349 0,390 0,418 15 0,266 0,283 0,304 0,338 0,377 0,404 16 0,258 0,274 0,295 0,328 0,366 0,392 17 0,250 0,266 0,286 0,318 0,355 0,381 18 0,244 0,259 0,278 0,309 0,346 0,371 19 0,237 0,252 0,272 0,301 0,337 0,363 20 0,231 0,246 0,264 0,294 0,329 0,356 21 0,226 0,259 0,287 0,321 0,344 22 0,221 0,253 0,281 0,314 0,337 23 0,216 0,247 0,275 0,307 0,330 24 0,212 0,242 0,269 0,301 0,323 25 0,208 0,22 0,238 0,264 0,295 0,317 26 0,204 0,233 0,259 0,290 0,311 27 0,200 0,229 0,254 0,284 0,305 28 0,197 0,225 0,250 0,279 0,300 29 0,193 0,221 0,246 0,275 0,295 30 0,190 0,20 0,218 0,242 0,270 0,290 31 0,187 0,214 0,238 0,266 0,285 32 0,184 0,211 0,234 0,262 0,281 33 0,182 0,208 0,231 0,258 0,277 34 0,179 0,205 0,227 0,254 0,213 35 0,171 0,19 0,202 0,224 0,251 0,269 36 0,174 0,199 0,221 0,247 0,265 37 0,172 0,196 0,218 0,244 0,262 38 0,170 0,194 0,215 0,241 0,258 39 0,168 0,191 0,213 0,238 0,255 40 0,165 0,189 0,210 0,235 0,252 25 0,208 0,238 0,264 0,295 0,317 30 0,190 0,218 0,242 0,270 0,290 35 0,177 0,202 0,224 0,251 0,269 40 0,165 0,189 0,210 0,235 0,252 >40 N 07,1 N 14,1 N 22,1 N 36,1 N 52,1 N 63,1 Sumber : Conover, W.J, 1980, Practical Nonparametric Statistics second edition, New York : John Wiley & Sons. Siegel, Sidney, 1956, Non Parametric Statistics For The Behavioral Sciences, New York : Mc Graw-Hill Book Company.
  • 38.
    38 Tabel Harga KritisKD Dalam Tes Dua Sampel Kolmogorov Smirnov (Sampel Kecil) One-tailed test Two-tailed testN α = 0,05 α = 0,01 α = 0,05 α = 0,01 3 3    4 4  4  5 4 5 5 5 6 5 6 5 6 7 5 6 6 6 8 5 6 6 7 9 6 7 6 7 10 6 7 7 8 11 6 8 7 8 12 6 8 7 8 13 7 8 7 9 14 7 8 8 9 15 7 9 8 9 16 7 9 8 10 17 8 9 8 10 18 8 10 9 10 19 8 10 9 10 20 8 10 9 11 21 8 10 9 11 22 9 11 9 11 23 9 11 10 11 24 9 11 10 12 25 9 11 10 12 26 9 11 10 12 27 9 12 10 12 28 10 12 11 13 29 10 12 11 13 30 10 12 11 13 35 11 13 12 40 11 14 13 Sumber : Siegel, Sidney, 1956, Non Parametric Statistics For The Behavioral Sciences, New York : Mc Graw-Hill Book Company.
  • 39.
    39 Tabel Harga KritisD Dalam Tes Dua Sampel Kolmogorov Smirnov (Sampel besar : tes dua sisi) Level of significance Value of D so large to call for rejection of Ho at the indicated level of significance, where D = maximum  Sn1 (X) – Sn2(X)  0,10 21 21 22,1 nn nn + 0,05 21 21 36,1 nn nn + 0,025 21 21 48,1 nn nn + 0,01 21 21 63,1 nn nn + 0,005 21 21 73,1 nn nn + 0,001 21 21 95,1 nn nn + Sumber : Siegel, Sidney, 1956, Non Parametric Statistics For The Behavioral Sciences, New York : Mc Graw-Hill Book Company.
  • 40.
    40 Tabel Harga-harga Kritisuntuk Tes Walsh Tingkat Signifikansi tes Tes Dua sisi ; terima jika µ1 ≠ 0 jika N Satu sisi Dua sisi Satu sisi : terima µ1 < 0 jika Satu sisi : terima µ1 > 0 jika 4 0,062 0,125 d4 < 0 d1 > 0 5 0,062 0,125 ½ ( d4 + d5 ) < 0 ½ ( d1 + d2 ) > 0 0,031 0,062 d5 < 0 d1 > 0 6 0,047 0,094 max [ d5, ½ ( d4 + d6 ) < 0 ] min [ d2, ½ ( d1 + d3 ) > 0 ] 0,031 0,062 ½ ( d5 + d6 ) < 0 ½ ( d1 + d2 ) > 0 0,016 0,031 d6 < 0 d1 > 0 7 0,055 0,109 max [ d5, ½ ( d4 + d7 ) < 0 ] min [ d3, ½ ( d1 + d4 ) > 0 ] 0,023 0,047 max [ d6, ½ ( d5 + d7 ) < 0 ] min [ d2, ½ ( d1 + d3 ) > 0 ] 0,016 0,031 ½ ( d6 + d7 ) < 0 ½ ( d1 + d2 ) > 0 0,008 0,016 d7 < 0 d1 > 0 8 0,043 0,086 max [ d6, ½ ( d4 + d8 ) < 0 ] min [ d3, ½ ( d1 + d5 ) > 0 ] 0,027 0,055 max [ d6, ½ ( d5 + d8 ) < 0 ] min [ d3, ½ ( d1 + d4 ) > 0 ] 0,012 0,023 max [ d7, ½ ( d6 + d8 ) < 0 ] min [ d2, ½ ( d1 + d3 ) > 0 ] 0,008 0,016 ½ ( d7 + d8 ) < 0 ½ ( d1 + d2 ) > 0 0,004 0,008 d8 < 0 d1 > 0 9 0,051 0,102 max [ d6, ½ ( d4 + d9 ) < 0 ] min [ d4, ½ ( d1 + d6 ) > 0 ] 0,022 0,043 max [ d7, ½ ( d5 + d9 ) < 0 ] min [ d3, ½ ( d1 + d5 ) > 0 ] 0,010 0,020 max [ d8, ½ ( d5 + d9 ) < 0 ] min [ d2, ½ ( d1 + d5 ) > 0 ] 0,006 0,012 max [ d8, ½ ( d7 + d9 ) < 0 ] min [ d2, ½ ( d1 + d3 ) > 0 ] 0,004 0,008 ½ ( d8 + d9 ) < 0 ½ ( d1 + d2 ) > 0 10 0,056 0,111 max [ d6, ½ ( d4 + d10 ) < 0 ] min [ d5, ½ ( d1 + d7 ) > 0 ] 0,025 0,051 max [ d7, ½ ( d5 + d10 ) < 0 ] min [ d4, ½ ( d1 + d6 ) > 0 ] 0,011 0,021 max [ d8, ½ ( d6 + d10 ) < 0 ] min [ d3, ½ ( d1 + d5 ) > 0 ] 0,005 0,010 max [ d9, ½ ( d6 + d10 ) < 0 ] min [ d2, ½ ( d1 + d5 ) > 0 ] 11 0,048 0,097 max [ d7, ½ ( d4 + d11 ) < 0 ] min [ d5, ½ ( d1 + d8 ) > 0 ] 0,028 0,056 max [ d7, ½ ( d5 + d11 ) < 0 ] min [ d5, ½ ( d1 + d7 ) > 0 ] 0,011 0,021 max [½ ( d6 + d11 ), ½ ( d8 + d9 ) < 0 ] min [½ ( d1 + d6 ), ½ ( d3 + d4 ) > 0 ] 0,005 0,011 max [ d9, ½ ( d7 + d11 ) < 0 ] min [ d3, ½ ( d1 + d5 ) > 0 ] 12 0,047 0,094 max [½ ( d4 + d12 ), ½ ( d5 + d11 ) < 0 ] min [½ ( d1 + d9 ), ½ ( d2 + d8 ) > 0 ] 0,024 0,048 max [ d8, ½ ( d5 + d12 ) < 0 ] min [ d5, ½ ( d1 + d8 ) > 0 ] 0,010 0,020 max [ d9, ½ ( d6 + d12 ) < 0 ] min [ d4, ½ ( d1 + d7 ) > 0 ] 0,005 0,011 max [½ ( d7 + d12 ), ½ ( d9 + d10 ) < 0 ] min [½ ( d1 + d6 ), ½ ( d3 + d4 ) > 0 ] 13 0,047 0,094 max [½ ( d4 + d13 ), ½ ( d5 + d12 ) < 0 ] min [½ ( d1 + d10 ), ½ ( d2 + d9 ) > 0 ] 0,023 0,047 max [½ ( d5 + d13 ), ½ ( d6 + d12 ) < 0 ] min [½ ( d1 + d9 ), ½ ( d2 + d8 ) > 0 ] 0,010 0,020 max [½ ( d6 + d13 ), ½ ( d9 + d10 ) < 0 ] min [½ ( d1 + d8 ), ½ ( d4 + d5 ) > 0 ] 0,005 0,010 max [ d10, ½ ( d7 + d13 ) < 0 ] min [ d4, ½ ( d1 + d7 ) > 0 ] 14 0,047 0,094 max [½ ( d4 + d14 ), ½ ( d5 + d13 ) < 0 ] min [½ ( d1 + d11 ), ½ ( d2 + d10 ) > 0 ] 0,023 0,047 max [½ ( d5 + d14 ), ½ ( d6 + d13 ) < 0 ] min [½ ( d1 + d10 ), ½ ( d2 + d9 ) > 0 ] 0,010 0,020 max [ d10, ½ ( d6 + d14 ) < 0 ] min [ d5, ½ ( d1 + d9 ) > 0 ] 0,005 0,010 max [½ ( d7 + d14 ), ½ ( d10 + d11 ) < 0 ] min [½ ( d1 + d8 ), ½ ( d4 + d5 ) > 0 ] 15 0,047 0,094 max [½ ( d4 + d15 ), ½ ( d5 + d14 ) < 0 ] min [½ ( d1 + d12 ), ½ ( d2 + d11 ) > 0 ] 0,023 0,047 max [½ ( d5 + d15 ), ½ ( d6 + d14 ) < 0 ] min [½ ( d1 + d11 ), ½ ( d2 + d10 ) > 0 ] 0,010 0,020 max [½ ( d6 + d15 ), ½ ( d10 + d11 ) < 0 ] min [½ ( d1 + d10 ), ½ ( d5 + d6 ) > 0 ] 0,005 0,010 max [ d11, ½ ( d7 + d15 ) < 0 ] min [ d5, ½ ( d1 + d9 ) > 0 ] Sumber : Siegel, Sidney, 1956, Non Parametric Statistics For The Behavioral Sciences, New York : Mc Graw-Hill Book Company.
  • 41.
    41 Tabel Nilai KoefisienBinomial N 0 N 1 N 2 N 3 N 4 N 5 N 6 N 7 N 8 N 9 N 10 N 1 1 1 2 1 2 1 3 1 3 3 1 4 1 4 6 4 1 5 1 5 10 10 5 1 6 1 6 15 20 15 6 1 7 1 7 21 35 35 21 7 1 8 1 8 28 56 70 56 28 8 1 9 1 9 36 84 126 126 84 36 9 1 10 1 10 45 120 210 252 210 120 45 10 1 11 1 11 55 165 330 462 462 330 165 55 11 12 1 12 66 220 495 792 924 792 495 220 66 13 1 13 78 286 715 1287 1716 1716 1287 715 286 14 1 14 91 364 1001 2002 3003 3432 3003 2002 1001 15 1 15 105 455 1365 3003 5005 6435 6435 5005 3003 16 1 16 120 560 1820 4368 8008 11440 12870 11440 8008 17 1 17 136 680 2380 6188 12376 19448 24310 24310 19448 18 1 18 153 816 3060 8568 18564 31824 43758 48620 43758 19 1 19 171 969 3876 11628 27132 50388 75582 92378 92378 20 1 20 190 1140 4845 15504 38760 77520 125970 167960 184756 21 1 21 210 1330 5985 20349 54264 116280 203490 293930 352716 22 1 22 231 1540 7315 26334 74613 170544 319770 497420 646646 23 1 23 253 1771 8855 33649 100947 245157 490314 817190 1144066 24 1 24 276 2024 10626 42504 134596 346104 735471 1307504 1961256 25 1 25 300 2300 12650 53130 177100 480700 1081575 2042975 3268760 26 1 26 325 2600 14950 65780 230230 657800 1562275 3124550 5311735 27 1 27 351 2925 17550 80730 296010 888030 2220075 4686825 8436285 28 1 28 378 3276 20475 98280 376740 1184040 3108105 6906900 13123110 29 1 29 406 3654 23751 118755 475020 1560780 4292145 10015005 20030010 30 1 30 435 4060 27405 142506 593775 2035800 5852925 14307150 20045015 Sumber ; Sujana, 1992, Metoda Statistika, edisi ke 5, Bandung : Tarsito.
  • 42.
    42 Tabel Harga-harga Kritisr dalam Tes Run Tabel I n1 n2 2 3 4 5 6 7 8 9 10 11 12 13 14 15 16 17 18 19 20 2 2 2 2 2 2 2 2 2 2 3 2 2 2 2 2 2 2 2 2 3 3 3 3 3 3 4 2 2 2 3 3 3 3 3 3 3 3 4 4 4 4 4 5 2 2 3 3 3 3 4 4 4 4 4 4 4 4 5 5 5 6 2 2 3 3 3 3 4 4 4 4 5 5 5 5 5 5 6 6 7 2 2 3 3 3 4 4 5 5 5 5 5 6 6 6 6 6 6 8 2 3 3 3 4 4 5 5 5 6 6 6 6 6 7 7 7 7 9 2 3 3 4 4 5 5 5 6 6 6 7 7 7 7 8 8 8 10 2 3 3 4 5 5 5 6 6 7 7 7 7 8 8 8 8 8 11 2 3 4 4 5 5 6 6 7 7 7 8 8 8 9 9 9 9 12 2 2 3 4 4 5 6 6 7 7 7 8 8 8 9 9 9 10 10 13 2 2 3 4 5 5 6 6 7 7 8 8 9 9 9 10 10 10 10 14 2 2 3 4 5 5 6 7 7 8 8 9 9 9 10 10 10 11 11 15 2 3 3 4 5 6 6 7 7 8 8 9 9 10 10 11 11 11 12 16 2 3 4 4 5 6 6 7 8 8 9 9 10 10 11 11 11 12 12 17 2 3 4 4 5 6 7 7 8 9 9 10 10 11 11 11 12 12 13 18 2 3 4 5 5 6 7 8 8 9 9 10 10 11 11 12 12 13 13 19 2 3 4 5 6 6 7 8 8 9 10 10 11 11 12 12 13 13 13 20 2 3 4 5 6 6 7 8 9 9 10 10 11 12 12 13 13 13 14 Tabel I n1 n2 2 3 4 5 6 7 8 9 10 11 12 13 14 15 16 17 18 19 20 2 3 4 9 9 5 9 10 10 11 11 6 9 10 11 12 12 13 13 13 13 7 11 12 13 13 14 14 14 14 15 15 15 8 11 12 13 14 14 15 15 16 16 16 16 17 17 17 17 17 9 13 14 14 15 16 16 16 17 17 18 18 18 18 18 18 10 13 14 15 16 16 17 17 18 18 18 19 19 19 20 20 11 13 14 15 16 17 17 18 19 19 19 20 20 20 21 21 12 13 14 16 16 17 18 19 19 20 20 21 21 21 22 22 13 15 16 17 18 19 19 20 20 21 21 22 22 23 23 14 15 16 17 18 19 20 20 21 22 22 23 23 23 24 15 15 16 18 18 19 20 21 22 22 23 23 24 24 25 16 17 18 19 20 21 21 22 23 23 24 25 25 25 17 17 18 19 20 21 22 23 23 24 25 25 26 26 18 17 18 19 20 21 22 23 24 25 25 26 26 27 19 17 18 20 21 22 23 23 24 25 26 26 27 27 20 17 18 20 21 22 23 24 25 25 26 27 27 28 Sumber : Siegel, Sidney, 1956, Non Parametric Statistics For The Behavioral Sciences, New York : Mc Graw-Hill Book Company.
  • 43.
    43 Tabel Harga-harga KritisU Dalam Tes Mann-Whitney n2 = 3 n2 = 4 U n1 1 2 3 U n1 1 2 3 4 0 0,250 0,100 0,050 0 0,200 0,067 0,028 0,014 1 0,500 0,200 0,100 1 0,400 0,133 0,057 0,029 2 0,750 0,400 0,200 2 0,600 0,267 0,114 0,057 3 0,600 0,350 3 0,400 0,200 0,100 4 0,500 4 0,600 0,314 0,171 5 0,650 5 0,429 0,243 6 0,571 0,343 7 0,443 8 0,557 n2 = 5 n2 = 6 U n1 1 2 3 4 5 U n1 1 2 3 4 5 6 0 0,167 0,047 0,018 0,008 0,004 0 0,143 0,036 0,012 0,005 0,002 0,001 1 0,333 0,095 0,036 0,016 0,008 1 0,286 0,071 0,024 0,010 0,004 0,002 2 0,500 0,190 0,071 0,032 0,016 2 0,428 0,143 0,048 0,019 0,009 0,004 3 0,667 0,286 0,125 0,056 0,028 3 0,571 0,214 0,083 0,033 0,015 0,008 4 0,429 0,196 0,095 0,048 4 0,321 0,131 0,057 0,026 0,013 5 0,571 0,286 0,143 0,075 5 0,429 0,190 0,086 0,041 0,021 6 0,393 0,206 0,111 6 0,571 0,274 0,129 0,063 0,032 7 0,500 0,278 0,155 7 0,357 0,176 0,089 0,047 8 0,607 0,365 0,210 8 0,452 0,238 0,129 0,066 9 0,452 0,274 9 0,548 0,305 0,165 0,090 10 0,548 0,345 10 0,381 0,214 0,120 11 0,421 11 0,457 0,268 0,155 12 0,500 12 0,545 0,331 0,197 13 0,579 13 0,396 0,242 14 0,465 0,294 15 0,535 0,350 16 0,409 17 0,469 18 0,531
  • 44.
    44 n2 = 7 U n1 12 3 4 5 6 7 0 0,125 0,028 0,008 0,003 0,001 0,001 0,000 1 0,250 0,056 0,017 0,006 0,003 0,001 0,001 2 0,375 0,111 0,033 0,012 0,005 0,002 0,001 3 0,500 0,167 0,058 0,021 0,009 0,004 0,002 4 0,625 0,250 0,092 0,036 0,015 0,007 0,003 5 0,333 0,133 0,055 0,024 0,011 0,006 6 0,444 0,192 0,082 0,037 0,017 0,009 7 0,556 0,258 0,115 0,053 0,026 0,013 8 0,333 0,158 0,074 0,037 0,019 9 0,417 0,206 0,101 0,051 0,027 10 0,500 0,264 0,134 0,069 0,036 11 0,538 0,324 0,172 0,090 0,049 12 0,394 0,216 0,117 0,064 13 0,464 0,265 0,147 0,082 14 0,538 0,319 0,183 0,104 15 0,378 0,223 0,130 16 0,438 0,267 0,159 17 0,500 0,314 0,191 18 0,526 0,365 0,228 19 0,418 0,267 20 0,473 0,310 21 0,527 0,355 22 0,402 23 0,451 24 0,500 25 0,549
  • 45.
    45 n2 = 8 U n1 12 3 4 5 6 7 8 t normal 0 0,111 0,022 0,006 0,002 0,001 0,000 0,000 0,000 3,308 0,001 1 0,222 0,044 0,012 0,004 0,002 0,001 0,000 0,000 3,203 0,001 2 0,333 0,089 0,024 0,008 0,003 0,001 0,001 0,000 3,098 0,001 3 0,444 0,133 0,042 0,014 0,005 0,002 0,001 0,001 2,993 0,001 4 0,556 0,200 0,067 0,024 0,009 0,004 0,002 0,001 2,888 0,002 5 0,267 0,097 0,036 0,015 0,006 0,003 0,001 2,783 0,003 6 0,356 0,139 0,055 0,023 0,010 0,005 0,002 2,678 0,004 7 0,444 0,188 0,077 0,033 0,015 0,007 0,003 2,573 0,005 8 0,556 0,248 0,107 0,047 0,021 0,010 0,005 2,468 0,007 9 0,315 0,141 0,064 0,030 0,014 0,007 2,363 0,009 10 0,387 0,184 0,085 0,041 0,020 0,010 2,258 0,012 11 0,461 0,230 0,111 0,054 0,027 0,014 2,153 0,016 12 0,539 0,285 0,142 0,071 0,036 0,019 2,048 0,020 13 0,341 0,177 0,091 0,047 0,025 1,943 0,026 14 0,404 0,217 0,114 0,060 0,032 1,838 0,033 15 0,467 0,262 0,141 0,076 0,041 1,733 0,041 16 0,533 0,311 0,172 0,095 0,052 1,628 0,052 17 0,362 0,207 0,116 0,065 1,523 0,064 18 0,416 0,245 0,140 0,080 1,418 0,078 19 0,472 0,286 0,168 0,097 1,313 0,094 20 0,528 0,331 0,198 0,117 1,208 0,113 21 0,377 0,232 0,139 1,102 0,135 22 0,426 0,268 0,164 0,998 0,159 23 0,475 0,306 0,191 0,893 0,185 24 0,525 0,347 0,221 0,788 0,215 25 0,389 0,253 0,683 0,247 26 0,433 0,287 0,578 0,282 27 0,478 0,323 0,473 0,318 28 0,522 0,360 0,368 0,356 29 0,399 0,263 0,396 30 0,439 0,158 0,437 31 0,480 0,052 0,481 32 0,520
  • 46.
    46 Harga-harga kritis Uuntuk tes satu sisi pada α = 0,001 atau untuk test dua sisi pada α = 0,002 n2 n1 9 10 11 12 13 14 15 16 17 18 19 20 1 2 3 0 0 0 0 4 0 0 0 1 1 1 2 2 3 3 3 5 1 1 2 2 3 3 4 5 5 6 7 7 6 2 3 4 4 5 6 7 8 9 10 11 12 7 3 5 6 7 8 9 10 11 13 14 15 16 8 5 6 8 9 11 12 14 15 17 18 20 21 9 7 8 10 12 14 15 17 19 21 23 25 26 10 8 10 12 14 17 19 21 23 25 27 29 32 11 10 12 15 17 20 22 24 27 29 32 34 37 12 12 14 17 20 23 25 28 31 34 37 40 42 13 14 17 20 23 26 29 32 35 38 42 45 48 14 15 19 22 25 29 32 36 39 43 46 50 54 15 17 21 24 28 32 36 40 43 47 51 55 59 16 19 23 27 31 35 39 43 48 52 56 60 65 17 21 25 29 34 38 43 47 52 57 61 66 70 18 23 27 32 37 42 46 51 56 61 66 71 76 19 25 29 34 40 45 50 55 60 66 71 77 82 20 26 32 37 42 48 54 59 65 70 76 82 88 Harga-harga kritis U untuk tes satu sisi pada α = 0,01 atau untuk test dua sisi pada α = 0,02 n2 n1 9 10 11 12 13 14 15 16 17 18 19 20 1 2 0 0 0 0 0 0 1 1 3 1 1 1 2 2 2 3 3 4 4 4 5 4 3 3 4 5 5 6 7 7 8 9 9 10 5 5 6 7 8 9 10 11 12 13 14 15 16 6 7 8 9 11 12 13 15 16 18 19 20 22 7 9 11 12 14 16 17 19 21 23 24 26 28 8 11 13 15 17 20 22 24 26 28 30 32 34 9 14 16 18 21 23 26 28 31 33 36 38 40 10 16 19 22 24 27 30 33 36 38 41 44 47 11 18 22 25 28 31 34 37 41 44 47 50 53 12 21 24 28 31 35 38 42 46 49 53 56 60 13 23 27 31 35 39 43 47 51 55 59 63 67 14 26 30 34 38 43 47 51 56 60 65 69 73 15 28 33 37 42 47 51 56 61 66 70 75 80 16 31 36 41 46 51 56 61 66 71 76 82 87 17 33 38 44 49 55 60 66 71 77 82 88 93 18 36 41 47 53 59 65 70 76 82 88 94 100 19 38 44 50 56 63 69 75 82 88 94 101 107 20 40 47 53 60 67 73 80 87 93 100 107 114
  • 47.
    47 Harga-harga kritis Uuntuk tes satu sisi pada α = 0,025 atau untuk test dua sisi pada α = 0,05 n2 n1 9 10 11 12 13 14 15 16 17 18 19 20 1 2 0 0 0 1 1 1 1 1 2 2 2 2 3 2 3 3 4 4 5 5 6 6 7 7 8 4 4 5 6 7 8 9 10 11 11 12 13 13 5 7 8 9 11 12 13 14 15 17 18 19 20 6 10 11 13 14 16 17 19 21 22 24 25 27 7 12 14 16 18 20 22 24 26 28 30 32 34 8 15 17 19 22 24 26 29 31 34 36 38 41 9 17 20 23 26 28 31 34 37 39 42 45 48 10 20 23 26 29 33 36 39 42 45 48 52 55 11 23 26 30 33 37 40 44 47 51 55 58 62 12 26 29 33 37 41 45 49 53 57 61 65 69 13 28 33 37 41 45 50 54 59 63 67 72 76 14 31 36 40 45 50 55 59 64 67 74 78 83 15 34 39 44 49 54 59 64 70 75 80 85 90 16 37 42 47 53 59 64 70 75 81 86 92 98 17 39 45 51 57 63 67 75 81 87 93 99 105 18 42 48 55 61 67 74 80 86 93 99 106 112 19 45 52 58 65 72 78 85 92 99 106 113 119 20 48 55 62 69 76 83 90 98 105 112 119 127 Harga-harga kritis U untuk tes satu sisi pada α = 0,05 atau untuk test dua sisi pada α = 0,10 n2 n1 9 10 11 12 13 14 15 16 17 18 19 20 1 0 0 2 1 1 1 2 2 2 3 3 3 4 4 4 3 3 4 5 5 6 7 7 8 9 9 10 11 4 6 7 8 9 10 11 12 14 15 16 17 18 5 9 11 12 13 15 16 18 19 20 22 23 25 6 12 14 16 17 19 21 23 25 26 28 30 32 7 15 17 19 21 24 26 28 30 33 35 37 39 8 18 20 23 26 28 31 33 36 39 41 44 47 9 21 24 27 30 33 36 39 42 45 48 51 54 10 24 27 31 34 37 41 44 48 51 55 58 62 11 27 31 34 38 42 46 50 54 57 61 65 69 12 30 34 38 42 47 51 55 60 64 68 72 77 13 33 37 42 47 51 56 61 65 70 75 80 84 14 36 41 46 51 56 61 66 71 77 82 87 92 15 39 44 50 55 61 66 72 77 83 88 94 100 16 42 48 54 60 65 71 77 83 89 95 101 107 17 45 51 57 64 70 77 83 89 96 102 109 115 18 48 55 61 68 75 82 88 95 102 109 116 123 19 51 58 65 72 80 87 94 101 109 116 123 130 20 54 62 69 77 84 92 100 107 115 123 130 138 Sumber : Siegel, Sidney, 1956, Non Parametric Statistics For The Behavioral Sciences, New York : Mc Graw-Hill Book Company.
  • 48.
    48 Tabel Faktorial N N! 01 1 1 2 2 3 6 4 24 5 120 6 720 7 5040 8 40320 9 362880 10 3628800 11 39916800 12 479001600 13 6227020800 14 87178291200 15 1307674368000 16 20922789888000 17 355687428096000 18 6402373705728000 19 121645100408832000 20 2432902008176640000 Sumber : Siegel, Sidney, 1956, Non Parametric Statistics For The Behavioral Sciences, New York : Mc Graw-Hill Book Company.
  • 49.
    49 Tabel Angka Random 14620 09742 56919 97310 07585 95430 85125 17803 78209 28040 12951 48477 95781 51263 26939 81953 42783 85069 52396 64531 17629 70473 61594 82681 70570 83603 52491 85347 82611 98412 09137 66875 92086 70858 74070 26453 93650 53045 78159 83468 02148 91487 31847 47615 18295 30742 37190 36207 23721 32585 25950 82973 60819 59041 74208 85189 16405 27364 38475 69516 69374 81497 59081 03615 79530 37904 20863 72635 84093 47649 06759 94072 49180 49731 53046 70799 83615 72537 62748 95420 59249 09701 46950 39206 41857 63461 47920 81736 47315 69420 75108 46857 53290 84697 79762 45703 31924 81736 30853 01935 39412 48480 95318 77094 63158 03642 50075 28749 16385 49753 87497 11804 49512 90185 84279 29735 24956 35408 72635 56496 14308 72182 21814 86259 30618 46493 59649 07949 38352 23973 28493 16284 70949 94710 25354 75091 83538 50959 36853 25237 82753 53920 15395 94969 48544 15040 47192 26081 38405 20405 19082 15232 94252 72020 48392 73645 84146 77489 18895 06359 09182 87729 62434 84948 47040 73649 65584 20965 53072 05695 56823 83641 20274 74573 79799 95208 19488 03994 19520 05342 49635 34739 25989 92764 54212 01420 57052 19609 85397 21539 46768 43056 74372 52095 48207 45362 29950 74151 18079 95920 37950 09394 34800 36436 28187 77387 59842 28055 75946 31824 35495 39573 91570 85712 52265 48192 51630 99154 06293 80494 84518 78548 39603 85621 66428 30210 06461 76846 97764 15703 23805 06566 77183 53126 05792 27837 21752 50369 37396 53376 24953 78967 18501 57039 54205 42610 45692 68867 06096 91590 13838 72201 63435 59038 62367 79940 08423 45192 96983 45627 97007 41489 62020 49218 58317 67511 15498 47358 57179 76928 87939 94911 32286 08062 50274 68417 79392 41659 25074 28705 21786 65362 31842 06374 45060 09822 19672 47269 96484 50903 67510 93682 70904 59159 66578 23817 84190 62972 23749 41485 71254 07896 71433 54614 30176 81686 62924 54331 19092 71248 85861 35682 58437 83860 37983 63973 42820 03542 11351 06073 96086 43646 76797 32533 89096 89681 37385 50437 56032 43498 50212 37236 13576 42009 95782 92829 19496 72876 49745 70452 27698 51396 02323 14651 90804 62284 77975 95237 80128 12042 79072 75014 37390 24524 26316 87795 96754 75846 32751 20378 23294 67151 74579 28350 16474 61602 82741 94806 43090 62438 62921 24283 54959 79672 42496 38385 64276 35310 94672 35191 69546 78438 31249 07091 49368 47104 70757 15101 42920 30074 72917 40749 95390 46046 93436 66273 85183 73432 38083 29425 61085 45836 92403 10317 39764 96937 41086 19679 82592 21251 02520 41283 16921 65205 41749 86801 97460 68924 12528 43789 30980 51798 12521 24367 70565 58479 29852 31724 15817 35496 34924 47271 60336 12479 87172 25101 42480 12968 52021 76830 87373 94156 15971 02350 41843 61560 49341 07963 76394 83489 83594 08087 57819 96957 48426 95692 01753 39689 81060 43513 52910 01787 32509 28587 82950 23202 51631 87540 60905 79838 93736 74978 38150 67404 45149 10817 79608 47873 80450 07143 53164 01242 14614 21082 73967 10724 07525 18427 16074 23723 27035 72656 06725 61437 06909 67562 80854 69326 24961 75375
  • 50.
    50 57856 61684 06847 40810 06461 87037 96598 83825 85323 45073 57196 28043 12858 18076 88350 47916 25325 18689 02821 35246 15960 81767 41319 94728 15851 13036 20792 15959 96808 16129 84639 39823 38030 11072 57460 30186 48749 80057 39823 34512 48347 79489 67617 63756 10243 40780 39329 18501 04478 47635 82197 47430 25043 34718 23965 35028 50260 52002 11667 59698 96296 03643 84476 96345 09746 95795 72259 69512 60791 48646 76553 71294 95036 06387 47409 50223 69176 69095 54221 32406 37215 21753 96340 40422 80874 07692 58341 89713 93251 74010 76527 07468 06381 43456 91548 80764 19219 61522 89176 79394 67207 08261 10289 75622 62557 47166 71627 93145 83203 05584 44917 96865 14456 14951 27879 94177 75380 32978 46603 08081 31846 42735 82587 84176 01467 73872 19446 64377 17564 19691 92835 78478 54270 53965 39814 12596 35681 47869 80171 66538 64807 07769 66444 10453 65243 23978 18230 68728 87972 76009 51695 54839 75284 64082 94649 70743 69596 36241 68375 33784 68481 25201 59749 30361 84691 57937 56536 81958 32627 48334 62634 54517 44318 38970 74667 86727 86909 28067 82481 48289 69583 92927 67638 94725 29629 29308 07827 72196 66930 61248 51729 28271 54648 34939 47276 10453 52075 36886 27641 76162 25261 21967 63749 63487 91729 28316 90859 41490 42869 08960 37178 05692 72232 24783 70364 82874 34023 71710 80895 14262 37083 09397 36489 78641 76861 73818 55027 15291 50359 06406 78758 39897 68579 20497 85253 97096 51482 83195 91381 57490 48508 81867 60186 72319 80497 26484 81783 78142 83280 54272 38532 27650 68318 91423 54574 52361 57930 14891 83067 54648 41320 25216 96592 14837 29265 29806 67180 44278 03817 63051 57594 42362 80631 21850 07586 59360 41671 82547 39732 78418 50929 78178 39787 18603 48489 18752 09058 97394 27174 06425 12856 42479 98513 71319 27931 09587 60463 29634 82016 84965 93987 59854 12636 04856 92417 91493 13847 51498 80651 96727 61816 37190 34352 35242 90734 09628 47369 52548 60595 84549 31397 39657 57125 61636 04236 17607 45179 24634 97294 02520 97095 06178 96394 56276 29057 47154 58918 71846 30294 22102 40798 37965 98148 62698 18358 06217 32031 12839 47548 95938 95723 14398 97643 14020 38715 05695 47916 48258 16902 36409 64543 56272 46058 47286 52324 12870 10835 34375 27208 96537 17646 76054 59890 09898 99811 25542 67823 71663 04837 60603 91526 07381 82459 13967 44262 91395 96863 37210 24974 70562 46359 72547 65765 55274 82081 52952 29368 82546 79587 64785 70051 56602 69874 35242 20364 31424 58040 15653 79841 89248 26201 48323 70998 46481 58280 88098 37857 02969 17365 41596 31019 99639 42103 84609 87712 36195 10700 01069 26357 97928 23032 98176 68736 60470 45494 92648 34642 52765 35212 78356 74724 43428 23824 51863 72100 68292 39068 31326 00401 32949 16572 74256 04653 32077 46545 14877 15507 48391 87214 23074 42927 02159 78424 14924 80308 46635 21981 67282 45190 52685 09564 00649 46854 51808 95334 45334 40382 61980 30474 12428 63012 43087 10745 29771 50970 47305 34506 73924 51573 47019 27136 53229 12717 82713 21993 19428 08383 25524 69487 43350 Sumber : Nasir,Moh, 1985, Metode Penelitian cetakan pertama, Jakarta : Ghalia Indonesia.
  • 51.
    51 Tabel Besar SampelBerdasarkan Rumus p = 0,5 ( ) )1.(.)1( 1... 22 2 ppZNd ppZN n −+− − = Z = 1,28 Z = 1,65 Z = 1,96 Z = 2,33N d=0,1d=0,05 d=0,01d=0,1d=0,05 d=0,01 d=0,1d=0,05 d=0,01 d=0,1 d=0,05 d=0,01 5 4,6 4,9 5,0 4,7 4,9 5,0 4,8 4,9 5,0 4,9 5,0 5,0 10 8,2 9,5 10,0 8,8 9,7 10,0 9,1 9,8 10,0 9,4 9,8 10,0 15 11,2 13,8 14,9 12,4 14,3 15,0 13,1 14,5 15,0 13,6 14,6 15,0 20 13,7 17,9 19,9 15,6 18,7 19,9 16,7 19,1 20,0 17,5 19,3 20,0 25 15,8 21,8 24,9 18,5 23,0 24,9 20,0 23,5 24,9 21,2 23,9 25,0 30 17,6 25,5 29,8 21,0 27,1 29,9 23,0 27,9 29,9 24,7 28,5 29,9 35 19,1 29,0 34,7 23,3 31,1 34,8 25,8 32,2 34,9 28,0 32,9 34,9 40 20,5 32,3 39,6 25,4 35,0 39,8 28,4 36,3 39,8 31,1 37,3 39,9 45 21,7 35,5 44,5 27,3 38,7 44,7 30,9 40,4 44,8 34,0 41,6 44,9 50 22,8 38,5 49,4 29,1 42,4 49,6 33,1 44,3 49,7 36,7 45,9 49,8 55 23,7 41,4 54,3 30,7 45,9 54,6 35,2 48,2 54,7 39,3 50,0 54,8 60 24,6 44,1 59,1 32,1 49,3 59,5 37,2 52,0 59,6 41,8 54,1 59,7 65 25,4 46,7 64,0 33,5 52,6 64,4 39,0 55,7 64,6 44,2 58,1 64,7 70 26,1 49,3 68,8 34,8 55,8 69,3 40,7 59,3 69,5 46,4 62,1 69,6 75 26,7 51,7 73,7 35,9 59,0 74,2 42,4 62,9 74,4 48,5 66,0 74,6 80 27,3 54,0 78,5 37,0 62,0 79,1 43,9 66,4 79,3 50,6 69,8 79,5 85 27,9 56,2 83,3 38,0 65,0 84,0 45,3 69,7 84,3 52,5 73,6 84,5 90 28,4 58,3 88,1 39,0 67,8 88,8 46,7 73,1 89,2 54,4 77,3 89,4 95 28,8 60,4 92,9 39,9 70,6 93,7 48,0 76,3 94,1 56,1 81,0 94,3 100 29,3 62,3 97,6 40,7 73,3 98,6 49,2 79,5 99,0 57,8 84,6 99,3 110 30,0 66,1 107,1 42,3 78,6 108,3 51,5 85,7 108,8 61,0 91,6 109,1 120 30,7 69,5 116,6 43,7 83,5 117,9 53,6 91,6 118,5 63,9 98,4 119,0 130 31,3 72,7 126,0 44,9 88,2 127,6 55,5 97,3 128,3 66,7 105,0 128,8 140 31,9 75,7 135,4 46,0 92,7 137,2 57,2 102,8 138,0 69,2 111,5 138,6 150 32,3 78,6 144,7 47,0 96,9 146,8 58,8 108,1 147,7 71,5 117,7 148,4 160 32,8 81,2 154,0 48,0 101,0 156,3 60,3 113,2 157,4 73,7 123,8 158,1 170 33,2 83,7 163,3 48,8 104,9 165,9 61,6 118,1 167,1 75,7 129,6 167,9 180 33,5 86,0 172,5 49,6 108,6 175,4 62,9 122,8 176,7 77,6 135,4 177,7 190 33,8 88,2 181,6 50,3 112,1 184,9 64,0 127,3 186,3 79,4 140,9 187,4 200 34,1 90,3 190,7 51,0 115,5 194,3 65,1 131,8 195,9 81,1 146,4 197,1 210 34,4 92,3 199,8 51,6 118,8 203,7 66,1 136,0 205,5 82,7 151,6 206,8 220 34,7 94,2 208,8 52,2 121,9 213,1 67,1 140,1 215,1 84,2 156,8 216,5 230 34,9 95,9 217,8 52,7 124,9 222,5 68,0 144,1 224,6 85,6 161,8 226,2 240 35,1 97,6 226,8 53,2 127,8 231,9 68,8 148,0 234,2 86,9 166,6 235,8 250 35,3 99,2 235,7 53,7 130,6 241,2 69,6 151,7 243,7 88,2 171,4 245,5 260 35,5 100,7 244,5 54,1 133,2 250,5 70,3 155,3 253,2 89,4 176,0 255,1 270 35,7 102,2 253,4 54,5 135,8 259,7 71,0 158,8 262,6 90,5 180,5 264,8 280 35,8 103,6 262,1 54,9 138,3 269,0 71,7 162,2 272,1 91,6 185,0 274,4 290 36,0 104,9 270,9 55,3 140,7 278,2 72,3 165,5 281,5 92,7 189,3 284,0 300 36,1 106,2 279,6 55,6 143,0 287,4 72,9 168,7 290,9 93,7 193,5 293,5 310 36,3 107,4 288,3 56,0 145,2 296,5 73,5 171,8 300,3 94,6 197,6 303,1 320 36,4 108,6 296,9 56,3 147,3 305,7 74,0 174,8 309,7 95,5 201,6 312,7 330 36,5 109,7 305,5 56,6 149,4 314,8 74,6 177,8 319,1 96,4 205,5 322,2 340 36,7 110,8 314,0 56,8 151,4 323,9 75,1 180,6 328,4 97,2 209,3 331,7 350 36,8 111,8 322,5 57,1 153,4 332,9 75,5 183,4 337,7 98,0 213,0 341,2
  • 52.
    52 Z = 1,28Z = 1,65 Z = 1,96 Z = 2,33N d=0,1d=0,05 d=0,01d=0,1d=0,05 d=0,01 d=0,1d=0,05 d=0,01 d=0,1 d=0,05 d=0,01 360 36,9 112,8 331,0 57,4 155,3 342,0 76,0 186,1 347,0 98,8 216,7 350,7 370 37,0 113,8 339,4 57,6 157,1 351,0 76,4 188,7 356,3 99,5 220,3 360,2 380 37,1 114,7 347,8 57,9 158,9 360,0 76,8 191,3 365,6 100,2 223,8 369,7 390 37,2 115,6 356,2 58,1 160,6 368,9 77,2 193,8 374,8 100,9 227,2 379,1 400 37,2 116,4 364,5 58,3 162,2 377,8 77,6 196,2 384,0 101,5 230,6 388,6 410 37,3 117,3 372,8 58,5 163,8 386,8 78,0 198,6 393,3 102,2 233,8 398,0 420 37,4 118,1 381,0 58,7 165,4 395,6 78,3 200,9 402,4 102,8 237,0 407,4 430 37,5 118,8 389,2 58,9 166,9 404,5 78,7 203,1 411,6 103,3 240,2 416,8 440 37,5 119,6 397,4 59,1 168,4 413,3 79,0 205,3 420,8 103,9 243,3 426,2 450 37,6 120,3 405,5 59,2 169,9 422,2 79,3 207,5 429,9 104,5 246,3 435,6 460 37,7 121,0 413,6 59,4 171,3 430,9 79,6 209,6 439,0 105,0 249,3 445,0 470 37,8 121,7 421,7 59,6 172,6 439,7 79,9 211,6 448,1 105,5 252,2 454,3 480 37,8 122,3 429,7 59,7 174,0 448,4 80,2 213,6 457,2 106,0 255,0 463,6 490 37,9 123,0 437,7 59,9 175,2 457,2 80,4 215,6 466,3 106,5 257,8 473,0 500 37,9 123,6 445,7 60,0 176,5 465,8 80,7 217,5 475,3 106,9 260,5 482,3 510 38,0 124,2 453,6 60,2 177,7 474,5 81,0 219,4 484,3 107,4 263,2 491,6 520 38,0 124,8 461,5 60,3 178,9 483,2 81,2 221,2 493,3 107,8 265,8 500,8 530 38,1 125,3 469,4 60,4 180,1 491,8 81,4 223,0 502,3 108,2 268,4 510,1 540 38,1 125,9 477,2 60,5 181,2 500,4 81,7 224,7 511,3 108,6 271,0 519,4 550 38,2 126,4 485,0 60,7 182,3 508,9 81,9 226,4 520,3 109,0 273,5 528,6 560 38,2 126,9 492,8 60,8 183,4 517,5 82,1 228,1 529,2 109,4 275,9 537,8 570 38,3 127,4 500,5 60,9 184,5 526,0 82,3 229,7 538,1 109,8 278,3 547,1 580 38,3 127,9 508,2 61,0 185,5 534,5 82,5 231,3 547,0 110,1 280,7 556,3 590 38,4 128,4 515,8 61,1 186,5 543,0 82,7 232,9 555,9 110,5 283,0 565,5 600 38,4 128,9 523,5 61,2 187,5 551,5 82,9 234,4 564,8 110,8 285,3 574,6 610 38,4 129,3 531,0 61,3 188,5 559,9 83,1 236,0 573,6 111,2 287,5 583,8 620 38,5 129,8 538,6 61,4 189,4 568,3 83,3 237,4 582,5 111,5 289,7 593,0 630 38,5 130,2 546,1 61,5 190,3 576,7 83,5 238,9 591,3 111,8 291,9 602,1 640 38,6 130,6 553,6 61,6 191,2 585,1 83,6 240,3 600,1 112,1 294,0 611,2 650 38,6 131,0 561,1 61,7 192,1 593,4 83,8 241,7 608,9 112,4 296,1 620,3 660 38,6 131,4 568,5 61,8 193,0 601,7 84,0 243,1 617,6 112,7 298,1 629,4 670 38,7 131,8 575,9 61,9 193,8 610,0 84,1 244,4 626,4 113,0 300,1 638,5 680 38,7 132,2 583,3 62,0 194,6 618,3 84,3 245,7 635,1 113,3 302,1 647,6 690 38,7 132,6 590,6 62,0 195,4 626,6 84,4 247,0 643,8 113,6 304,1 656,7 700 38,7 132,9 598,0 62,1 196,2 634,8 84,6 248,3 652,5 113,8 306,0 665,7 710 38,8 133,3 605,2 62,2 197,0 643,0 84,7 249,5 661,2 114,1 307,9 674,8 720 38,8 133,6 612,5 62,3 197,8 651,2 84,8 250,7 669,9 114,3 309,8 683,8 730 38,8 134,0 619,7 62,3 198,5 659,4 85,0 251,9 678,5 114,6 311,6 692,8 740 38,9 134,3 626,9 62,4 199,2 667,5 85,1 253,1 687,1 114,8 313,4 701,8 750 38,9 134,6 634,1 62,5 199,9 675,6 85,2 254,3 695,7 115,1 315,2 710,8 760 38,9 134,9 641,2 62,5 200,6 683,8 85,4 255,4 704,3 115,3 316,9 719,7 770 38,9 135,2 648,3 62,6 201,3 691,8 85,5 256,5 712,9 115,5 318,6 728,7 780 39,0 135,5 655,4 62,7 202,0 699,9 85,6 257,6 721,5 115,7 320,3 737,7 790 39,0 135,8 662,4 62,7 202,7 707,9 85,7 258,7 730,0 115,9 322,0 746,6 800 39,0 136,1 669,4 62,8 203,3 716,0 85,8 259,8 738,6 116,2 323,7 755,5 810 39,0 136,4 676,4 62,9 204,0 724,0 86,0 260,8 747,1 116,4 325,3 764,4 820 39,1 136,7 683,4 62,9 204,6 731,9 86,1 261,8 755,6 116,6 326,9 773,3 830 39,1 137,0 690,3 63,0 205,2 739,9 86,2 262,8 764,0 116,8 328,5 782,2 840 39,1 137,2 697,2 63,0 205,8 747,8 86,3 263,8 772,5 117,0 330,0 791,1
  • 53.
    53 Z = 1,28Z = 1,65 Z = 1,96 Z = 2,33N d=0,1d=0,05 d=0,01d=0,1d=0,05 d=0,01 d=0,1d=0,05 d=0,01 d=0,1 d=0,05 d=0,01 850 39,1 137,5 704,1 63,1 206,4 755,7 86,4 264,8 781,0 117,2 331,5 800,0 860 39,1 137,8 710,9 63,1 207,0 763,6 86,5 265,8 789,4 117,3 333,0 808,8 870 39,2 138,0 717,7 63,2 207,5 771,5 86,6 266,7 797,8 117,5 334,5 817,6 880 39,2 138,3 724,5 63,2 208,1 779,4 86,7 267,6 806,2 117,7 336,0 826,5 890 39,2 138,5 731,3 63,3 208,7 787,2 86,8 268,5 814,6 117,9 337,4 835,3 900 39,2 138,7 738,0 63,3 209,2 795,0 86,9 269,4 823,0 118,1 338,9 844,1 910 39,2 139,0 744,7 63,4 209,7 802,8 87,0 270,3 831,3 118,2 340,3 852,9 920 39,3 139,2 751,4 63,4 210,3 810,6 87,0 271,2 839,7 118,4 341,7 861,7 930 39,3 139,4 758,1 63,5 210,8 818,3 87,1 272,1 848,0 118,5 343,0 870,4 940 39,3 139,6 764,7 63,5 211,3 826,0 87,2 272,9 856,3 118,7 344,4 879,2 950 39,3 139,9 771,3 63,6 211,8 833,7 87,3 273,7 864,6 118,9 345,7 887,9 960 39,3 140,1 777,9 63,6 212,3 841,4 87,4 274,6 872,8 119,0 347,0 896,6 970 39,3 140,3 784,4 63,7 212,8 849,1 87,5 275,4 881,1 119,2 348,3 905,4 980 39,4 140,5 791,0 63,7 213,2 856,8 87,5 276,2 889,3 119,3 349,6 914,1 990 39,4 140,7 797,5 63,7 213,7 864,4 87,6 277,0 897,6 119,5 350,8 922,8 1000 39,4 140,9 803,9 63,8 214,2 872,0 87,7 277,7 905,8 119,6 352,1 931,4 1100 39,5 142,7 867,3 64,2 218,4 947,1 88,4 284,9 987,1 120,9 363,7 1017,6 1200 39,6 144,3 928,3 64,5 222,1 1020,3 89,0 291,2 1066,8 122,0 374,0 1102,6 1300 39,7 145,6 987,0 64,7 225,3 1091,7 89,5 296,7 1145,1 123,0 383,2 1186,4 1400 39,8 146,8 1043,6 65,0 228,1 1161,3 89,9 301,6 1222,0 123,8 391,4 1269,2 1500 39,9 147,8 1098,1 65,1 230,6 1229,3 90,3 306,0 1297,5 124,5 398,8 1350,8 1600 40,0 148,7 1150,8 65,3 232,8 1295,6 90,7 309,9 1371,6 125,2 405,5 1431,4 1700 40,0 149,5 1201,6 65,5 234,8 1360,4 91,0 313,5 1444,5 125,8 411,7 1510,9 1800 40,1 150,2 1250,7 65,6 236,6 1423,7 91,2 316,7 1516,0 126,3 417,3 1589,3 1900 40,1 150,9 1298,1 65,7 238,2 1485,5 91,5 319,7 1586,3 126,7 422,4 1666,8 2000 40,2 151,5 1344,1 65,9 239,7 1546,0 91,7 322,4 1655,4 127,2 427,2 1743,2 2100 40,2 152,0 1388,5 66,0 241,1 1605,0 91,9 324,9 1723,4 127,5 431,5 1818,7 2200 40,2 152,5 1431,5 66,0 242,4 1662,8 92,1 327,2 1790,1 127,9 435,6 1893,3 2300 40,3 153,0 1473,2 66,1 243,5 1719,3 92,2 329,3 1855,8 128,2 439,4 1966,8 2400 40,3 153,4 1513,5 66,2 244,6 1774,5 92,4 331,3 1920,3 128,5 442,9 2039,5 2500 40,3 153,8 1552,7 66,3 245,6 1828,6 92,5 333,1 1983,8 128,8 446,2 2111,3 2600 40,3 154,2 1590,7 66,4 246,5 1881,5 92,7 334,8 2046,3 129,0 449,3 2182,1 2700 40,4 154,5 1627,5 66,4 247,4 1933,3 92,8 336,4 2107,7 129,3 452,1 2252,1 2800 40,4 154,8 1663,4 66,5 248,2 1984,1 92,9 337,9 2168,1 129,5 454,9 2321,3 2900 40,4 155,1 1698,1 66,5 249,0 2033,8 93,0 339,3 2227,6 129,7 457,4 2389,6 3000 40,4 155,4 1731,9 66,6 249,7 2082,4 93,1 340,7 2286,1 129,9 459,8 2457,1 3100 40,4 155,7 1764,8 66,6 250,3 2130,1 93,2 341,9 2343,7 130,1 462,1 2523,7 3200 40,5 155,9 1796,7 66,7 251,0 2176,9 93,3 343,1 2400,4 130,2 464,3 2589,6 3300 40,5 156,1 1827,8 66,7 251,6 2222,7 93,4 344,2 2456,3 130,4 466,3 2654,7 3400 40,5 156,4 1858,1 66,7 252,1 2267,6 93,4 345,3 2511,2 130,5 468,3 2719,0 3500 40,5 156,6 1887,6 66,8 252,7 2311,6 93,5 346,3 2565,4 130,7 470,1 2782,6 3600 40,5 156,7 1916,3 66,8 253,2 2354,8 93,6 347,2 2618,7 130,8 471,9 2845,5 3700 40,5 156,9 1944,2 66,9 253,7 2397,2 93,6 348,1 2671,2 131,0 473,5 2907,6 3800 40,5 157,1 1971,5 66,9 254,1 2438,8 93,7 349,0 2722,9 131,1 475,1 2969,0 3900 40,5 157,3 1998,0 66,9 254,5 2479,6 93,8 349,8 2773,9 131,2 476,7 3029,7 4000 40,6 157,4 2024,0 66,9 255,0 2519,6 93,8 350,6 2824,1 131,3 478,1 3089,6 4100 40,6 157,6 2049,2 67,0 255,4 2558,9 93,9 351,3 2873,6 131,4 479,5 3149,0 4200 40,6 157,7 2073,9 67,0 255,7 2597,5 93,9 352,0 2922,3 131,5 480,9 3207,6 4300 40,6 157,9 2098,0 67,0 256,1 2635,4 94,0 352,7 2970,4 131,6 482,1 3265,6
  • 54.
    54 Z = 1,28Z = 1,65 Z = 1,96 Z = 2,33N d=0,1d=0,05 d=0,01d=0,1d=0,05 d=0,01 d=0,1d=0,05 d=0,01 d=0,1 d=0,05 d=0,01 4400 40,6 158,0 2121,5 67,0 256,4 2672,6 94,0 353,4 3017,8 131,7 483,4 3323,0 4500 40,6 158,1 2144,5 67,1 256,8 2709,2 94,1 354,0 3064,5 131,8 484,5 3379,7 4600 40,6 158,2 2166,9 67,1 257,1 2745,1 94,1 354,6 3110,5 131,9 485,7 3435,8 4700 40,6 158,4 2188,9 67,1 257,4 2780,4 94,1 355,2 3155,9 131,9 486,8 3491,3 4800 40,6 158,5 2210,3 67,1 257,7 2815,1 94,2 355,8 3200,7 132,0 487,8 3546,1 4900 40,6 158,6 2231,3 67,1 258,0 2849,2 94,2 356,3 3244,8 132,1 488,8 3600,4 5000 40,6 158,7 2251,8 67,2 258,2 2882,7 94,2 356,8 3288,4 132,2 489,8 3654,1 5100 40,6 158,8 2271,8 67,2 258,5 2915,7 94,3 357,3 3331,3 132,2 490,7 3707,2 5200 40,6 158,9 2291,5 67,2 258,8 2948,1 94,3 357,8 3373,7 132,3 491,7 3759,8 5300 40,7 159,0 2310,7 67,2 259,0 2980,0 94,3 358,3 3415,5 132,4 492,5 3811,8 5400 40,7 159,0 2329,5 67,2 259,2 3011,3 94,4 358,7 3456,7 132,4 493,4 3863,2 5500 40,7 159,1 2347,9 67,2 259,5 3042,1 94,4 359,1 3497,5 132,5 494,2 3914,1 5600 40,7 159,2 2365,9 67,3 259,7 3072,5 94,4 359,6 3537,6 132,5 495,0 3964,5 5700 40,7 159,3 2383,6 67,3 259,9 3102,3 94,5 360,0 3577,3 132,6 495,8 4014,4 5800 40,7 159,4 2400,9 67,3 260,1 3131,7 94,5 360,4 3616,4 132,6 496,5 4063,7 5900 40,7 159,4 2417,8 67,3 260,3 3160,7 94,5 360,7 3655,0 132,7 497,2 4112,5 6000 40,7 159,5 2434,5 67,3 260,5 3189,1 94,5 361,1 3693,1 132,7 497,9 4160,9 6100 40,7 159,6 2450,8 67,3 260,7 3217,1 94,6 361,5 3730,8 132,8 498,6 4208,7 6200 40,7 159,6 2466,8 67,3 260,8 3244,7 94,6 361,8 3767,9 132,8 499,3 4256,1 6300 40,7 159,7 2482,4 67,3 261,0 3271,9 94,6 362,1 3804,6 132,9 499,9 4303,0 6400 40,7 159,8 2497,8 67,4 261,2 3298,7 94,6 362,5 3840,9 132,9 500,5 4349,4 6500 40,7 159,8 2512,9 67,4 261,3 3325,1 94,7 362,8 3876,7 133,0 501,1 4395,3 6600 40,7 159,9 2527,7 67,4 261,5 3351,0 94,7 363,1 3912,0 133,0 501,7 4440,8 6700 40,7 160,0 2542,2 67,4 261,7 3376,6 94,7 363,4 3946,9 133,0 502,3 4485,9 6800 40,7 160,0 2556,5 67,4 261,8 3401,8 94,7 363,7 3981,4 133,1 502,8 4530,5 6900 40,7 160,1 2570,5 67,4 262,0 3426,7 94,7 363,9 4015,5 133,1 503,4 4574,6 7000 40,7 160,1 2584,2 67,4 262,1 3451,1 94,8 364,2 4049,1 133,2 503,9 4618,4 7100 40,7 160,2 2597,7 67,4 262,2 3475,3 94,8 364,5 4082,4 133,2 504,4 4661,7 7200 40,7 160,2 2611,0 67,4 262,4 3499,0 94,8 364,7 4115,3 133,2 504,9 4704,6 7300 40,7 160,3 2624,0 67,4 262,5 3522,5 94,8 365,0 4147,7 133,3 505,4 4747,1 7400 40,7 160,3 2636,8 67,5 262,6 3545,6 94,8 365,2 4179,8 133,3 505,8 4789,2 7500 40,7 160,4 2649,4 67,5 262,7 3568,4 94,8 365,5 4211,5 133,3 506,3 4830,8 7600 40,7 160,4 2661,8 67,5 262,9 3590,9 94,9 365,7 4242,9 133,4 506,8 4872,1 7700 40,7 160,4 2673,9 67,5 263,0 3613,0 94,9 365,9 4273,9 133,4 507,2 4913,0 7800 40,8 160,5 2685,9 67,5 263,1 3634,9 94,9 366,2 4304,5 133,4 507,6 4953,5 7900 40,8 160,5 2697,7 67,5 263,2 3656,5 94,9 366,4 4334,8 133,4 508,0 4993,7 8000 40,8 160,6 2709,2 67,5 263,3 3677,7 94,9 366,6 4364,7 133,5 508,4 5033,5 8100 40,8 160,6 2720,6 67,5 263,4 3698,7 94,9 366,8 4394,3 133,5 508,8 5072,9 8200 40,8 160,6 2731,8 67,5 263,5 3719,4 94,9 367,0 4423,6 133,5 509,2 5111,9 8300 40,8 160,7 2742,8 67,5 263,6 3739,9 95,0 367,2 4452,5 133,6 509,6 5150,6 8400 40,8 160,7 2753,6 67,5 263,7 3760,0 95,0 367,4 4481,1 133,6 510,0 5188,9 8500 40,8 160,8 2764,3 67,5 263,8 3780,0 95,0 367,6 4509,4 133,6 510,4 5226,9 8600 40,8 160,8 2774,8 67,5 263,9 3799,6 95,0 367,8 4537,4 133,6 510,7 5264,5 8700 40,8 160,8 2785,1 67,5 264,0 3819,0 95,0 368,0 4565,1 133,7 511,1 5301,8 8800 40,8 160,9 2795,3 67,5 264,1 3838,1 95,0 368,1 4592,5 133,7 511,4 5338,8 8900 40,8 160,9 2805,3 67,6 264,2 3857,0 95,0 368,3 4619,6 133,7 511,7 5375,4 9000 40,8 160,9 2815,1 67,6 264,3 3875,7 95,0 368,5 4646,3 133,7 512,1 5411,8 9100 40,8 161,0 2824,8 67,6 264,4 3894,1 95,0 368,6 4672,9 133,7 512,4 5447,8 9200 40,8 161,0 2834,4 67,6 264,5 3912,3 95,1 368,8 4699,1 133,8 512,7 5483,4
  • 55.
    55 Z = 1,28Z = 1,65 Z = 1,96 Z = 2,33N d=0,1d=0,05 d=0,01d=0,1d=0,05 d=0,01 d=0,1d=0,05 d=0,01 d=0,1 d=0,05 d=0,01 9300 40,8 161,0 2843,8 67,6 264,5 3930,3 95,1 369,0 4725,0 133,8 513,0 5518,8 9400 40,8 161,1 2853,1 67,6 264,6 3948,0 95,1 369,1 4750,7 133,8 513,3 5553,9 9500 40,8 161,1 2862,2 67,6 264,7 3965,6 95,1 369,3 4776,1 133,8 513,6 5588,6 9600 40,8 161,1 2871,2 67,6 264,8 3982,9 95,1 369,4 4801,2 133,8 513,9 5623,1 9700 40,8 161,1 2880,1 67,6 264,8 4000,0 95,1 369,6 4826,1 133,9 514,2 5657,2 9800 40,8 161,2 2888,9 67,6 264,9 4016,9 95,1 369,7 4850,8 133,9 514,4 5691,1 9900 40,8 161,2 2897,5 67,6 265,0 4033,6 95,1 369,8 4875,1 133,9 514,7 5724,7 10000 40,8 161,2 2906,0 67,6 265,1 4050,1 95,1 370,0 4899,3 133,9 515,0 5758,0 11000 40,8 161,4 2984,8 67,7 265,7 4204,9 95,2 371,2 5127,6 134,1 517,4 6076,0 12000 40,8 161,6 3053,9 67,7 266,2 4343,2 95,3 372,3 5334,8 134,2 519,4 6369,1 13000 40,8 161,8 3114,8 67,7 266,7 4467,6 95,3 373,2 5523,7 134,3 521,2 6640,2 14000 40,8 162,0 3169,1 67,7 267,1 4580,0 95,4 373,9 5696,6 134,4 522,7 6891,7 15000 40,9 162,1 3217,6 67,8 267,4 4682,1 95,4 374,6 5855,4 134,5 524,0 7125,5 16000 40,9 162,2 3261,3 67,8 267,7 4775,2 95,5 375,2 6001,8 134,6 525,1 7343,5 17000 40,9 162,3 3300,9 67,8 268,0 4860,5 95,5 375,7 6137,2 134,7 526,1 7547,2 18000 40,9 162,4 3336,9 67,8 268,2 4939,0 95,5 376,2 6262,8 134,7 527,0 7738,1 19000 40,9 162,4 3369,7 67,8 268,4 5011,3 95,6 376,6 6379,6 134,8 527,8 7917,2 20000 40,9 162,5 3399,9 67,8 268,6 5078,3 95,6 376,9 6488,5 134,8 528,6 8085,6 21000 40,9 162,6 3427,6 67,8 268,8 5140,4 95,6 377,3 6590,3 134,9 529,2 8244,3 22000 40,9 162,6 3453,2 67,9 268,9 5198,3 95,6 377,6 6685,7 134,9 529,8 8394,1 23000 40,9 162,7 3477,0 67,9 269,1 5252,2 95,6 377,9 6775,2 134,9 530,4 8535,7 24000 40,9 162,7 3499,0 67,9 269,2 5302,7 95,7 378,1 6859,4 135,0 530,9 8669,8 25000 40,9 162,8 3519,5 67,9 269,3 5349,9 95,7 378,4 6938,7 135,0 531,4 8796,9 26000 40,9 162,8 3538,7 67,9 269,4 5394,3 95,7 378,6 7013,6 135,0 531,8 8917,5 27000 40,9 162,9 3556,6 67,9 269,5 5436,1 95,7 378,8 7084,3 135,0 532,2 9032,3 28000 40,9 162,9 3573,4 67,9 269,6 5475,5 95,7 379,0 7151,3 135,1 532,6 9141,5 29000 40,9 162,9 3589,2 67,9 269,7 5512,6 95,7 379,2 7214,9 135,1 532,9 9245,6 30000 40,9 163,0 3604,0 67,9 269,8 5547,8 95,7 379,3 7275,2 135,1 533,3 9344,9 31000 40,9 163,0 3618,1 67,9 269,9 5581,1 95,7 379,5 7332,6 135,1 533,6 9439,7 32000 40,9 163,0 3631,3 67,9 270,0 5612,6 95,8 379,6 7387,2 135,2 533,8 9530,4 33000 40,9 163,0 3643,8 67,9 270,0 5642,6 95,8 379,8 7439,2 135,2 534,1 9617,2 34000 40,9 163,1 3655,7 67,9 270,1 5671,1 95,8 379,9 7488,8 135,2 534,4 9700,3 35000 40,9 163,1 3667,0 67,9 270,2 5698,3 95,8 380,0 7536,3 135,2 534,6 9780,0 36000 40,9 163,1 3677,7 67,9 270,2 5724,2 95,8 380,1 7581,6 135,2 534,8 9856,5 37000 40,9 163,1 3687,8 67,9 270,3 5748,9 95,8 380,2 7625,0 135,2 535,1 9930,0 38000 40,9 163,1 3697,5 67,9 270,3 5772,5 95,8 380,3 7666,6 135,2 535,3 10000,6 39000 40,9 163,2 3706,8 67,9 270,4 5795,1 95,8 380,4 7706,4 135,3 535,5 10068,6 40000 40,9 163,2 3715,6 67,9 270,4 5816,7 95,8 380,5 7744,7 135,3 535,6 10134,0 41000 40,9 163,2 3724,0 68,0 270,5 5837,4 95,8 380,6 7781,4 135,3 535,8 10197,0 42000 40,9 163,2 3732,1 68,0 270,5 5857,2 95,8 380,7 7816,8 135,3 536,0 10257,7 43000 40,9 163,2 3739,8 68,0 270,5 5876,3 95,8 380,8 7850,7 135,3 536,1 10316,3 44000 40,9 163,2 3747,3 68,0 270,6 5894,6 95,8 380,8 7883,4 135,3 536,3 10372,9 45000 40,9 163,2 3754,4 68,0 270,6 5912,2 95,8 380,9 7914,9 135,3 536,4 10427,5 46000 40,9 163,3 3761,2 68,0 270,7 5929,1 95,8 381,0 7945,3 135,3 536,6 10480,3 47000 40,9 163,3 3767,7 68,0 270,7 5945,4 95,8 381,1 7974,6 135,3 536,7 10531,3 48000 40,9 163,3 3774,0 68,0 270,7 5961,1 95,9 381,1 8002,9 135,3 536,8 10580,7 49000 40,9 163,3 3780,1 68,0 270,8 5976,3 95,9 381,2 8030,2 135,4 537,0 10628,5 50000 40,9 163,3 3785,9 68,0 270,8 5990,9 95,9 381,2 8056,6 135,4 537,1 10674,8 51000 40,9 163,3 3791,6 68,0 270,8 6005,0 95,9 381,3 8082,2 135,4 537,2 10719,7
  • 56.
    56 Z = 1,28Z = 1,65 Z = 1,96 Z = 2,33N d=0,1d=0,05 d=0,01d=0,1d=0,05 d=0,01 d=0,1d=0,05 d=0,01 d=0,1 d=0,05 d=0,01 52000 40,9 163,3 3797,0 68,0 270,8 6018,6 95,9 381,4 8106,9 135,4 537,3 10763,2 53000 40,9 163,3 3802,2 68,0 270,9 6031,8 95,9 381,4 8130,8 135,4 537,4 10805,4 54000 40,9 163,3 3807,3 68,0 270,9 6044,5 95,9 381,5 8154,0 135,4 537,5 10846,4 55000 40,9 163,4 3812,2 68,0 270,9 6056,8 95,9 381,5 8176,4 135,4 537,6 10886,1 56000 40,9 163,4 3816,9 68,0 270,9 6068,8 95,9 381,5 8198,2 135,4 537,7 10924,7 57000 40,9 163,4 3821,5 68,0 271,0 6080,3 95,9 381,6 8219,3 135,4 537,8 10962,2 58000 40,9 163,4 3825,9 68,0 271,0 6091,5 95,9 381,6 8239,8 135,4 537,9 10998,7 59000 40,9 163,4 3830,2 68,0 271,0 6102,4 95,9 381,7 8259,6 135,4 537,9 11034,2 60000 40,9 163,4 3834,3 68,0 271,0 6112,9 95,9 381,7 8279,0 135,4 538,0 11068,7 61000 40,9 163,4 3838,3 68,0 271,0 6123,1 95,9 381,8 8297,7 135,4 538,1 11102,2 62000 40,9 163,4 3842,2 68,0 271,1 6133,1 95,9 381,8 8316,0 135,4 538,2 11134,9 63000 40,9 163,4 3846,0 68,0 271,1 6142,7 95,9 381,8 8333,7 135,4 538,3 11166,7 64000 40,9 163,4 3849,7 68,0 271,1 6152,1 95,9 381,9 8351,0 135,4 538,3 11197,8 65000 40,9 163,4 3853,2 68,0 271,1 6161,2 95,9 381,9 8367,8 135,4 538,4 11228,0 66000 40,9 163,4 3856,7 68,0 271,1 6170,1 95,9 381,9 8384,1 135,4 538,5 11257,4 67000 40,9 163,4 3860,1 68,0 271,2 6178,7 95,9 382,0 8400,0 135,5 538,5 11286,2 68000 40,9 163,4 3863,3 68,0 271,2 6187,1 95,9 382,0 8415,6 135,5 538,6 11314,2 69000 40,9 163,5 3866,5 68,0 271,2 6195,2 95,9 382,0 8430,7 135,5 538,7 11341,5 70000 40,9 163,5 3869,6 68,0 271,2 6203,2 95,9 382,1 8445,4 135,5 538,7 11368,2 71000 40,9 163,5 3872,6 68,0 271,2 6210,9 95,9 382,1 8459,8 135,5 538,8 11394,3 72000 40,9 163,5 3875,6 68,0 271,2 6218,5 95,9 382,1 8473,8 135,5 538,8 11419,7 73000 40,9 163,5 3878,4 68,0 271,2 6225,9 95,9 382,2 8487,5 135,5 538,9 11444,6 74000 40,9 163,5 3881,2 68,0 271,3 6233,0 95,9 382,2 8500,8 135,5 538,9 11468,9 75000 40,9 163,5 3883,9 68,0 271,3 6240,0 95,9 382,2 8513,9 135,5 539,0 11492,7 76000 40,9 163,5 3886,6 68,0 271,3 6246,9 95,9 382,2 8526,6 135,5 539,0 11515,9 77000 40,9 163,5 3889,2 68,0 271,3 6253,6 95,9 382,3 8539,1 135,5 539,1 11538,6 78000 40,9 163,5 3891,7 68,0 271,3 6260,1 95,9 382,3 8551,2 135,5 539,1 11560,8 79000 40,9 163,5 3894,1 68,0 271,3 6266,4 95,9 382,3 8563,1 135,5 539,2 11582,5 80000 40,9 163,5 3896,5 68,0 271,3 6272,7 95,9 382,3 8574,7 135,5 539,2 11603,8 81000 40,9 163,5 3898,9 68,0 271,3 6278,7 95,9 382,4 8586,1 135,5 539,3 11624,6 82000 40,9 163,5 3901,2 68,0 271,4 6284,7 95,9 382,4 8597,2 135,5 539,3 11645,0 83000 40,9 163,5 3903,4 68,0 271,4 6290,5 95,9 382,4 8608,1 135,5 539,4 11664,9 84000 40,9 163,5 3905,6 68,0 271,4 6296,2 95,9 382,4 8618,7 135,5 539,4 11684,5 85000 40,9 163,5 3907,7 68,0 271,4 6301,7 95,9 382,4 8629,1 135,5 539,5 11703,6 86000 40,9 163,5 3909,8 68,0 271,4 6307,2 95,9 382,5 8639,3 135,5 539,5 11722,4 87000 40,9 163,5 3911,9 68,0 271,4 6312,5 95,9 382,5 8649,3 135,5 539,5 11740,8 88000 40,9 163,5 3913,9 68,0 271,4 6317,7 95,9 382,5 8659,1 135,5 539,6 11758,8 89000 40,9 163,5 3915,8 68,0 271,4 6322,8 95,9 382,5 8668,7 135,5 539,6 11776,5 90000 40,9 163,5 3917,7 68,0 271,4 6327,8 95,9 382,5 8678,1 135,5 539,6 11793,8 91000 40,9 163,5 3919,6 68,0 271,4 6332,7 95,9 382,5 8687,3 135,5 539,7 11810,8 92000 40,9 163,6 3921,5 68,0 271,4 6337,5 95,9 382,6 8696,3 135,5 539,7 11827,5 93000 40,9 163,6 3923,3 68,0 271,5 6342,2 95,9 382,6 8705,1 135,5 539,7 11843,9 94000 40,9 163,6 3925,0 68,0 271,5 6346,8 95,9 382,6 8713,8 135,5 539,8 11860,0 95000 40,9 163,6 3926,7 68,0 271,5 6351,3 95,9 382,6 8722,3 135,5 539,8 11875,7 96000 40,9 163,6 3928,4 68,0 271,5 6355,7 95,9 382,6 8730,7 135,5 539,8 11891,2 97000 40,9 163,6 3930,1 68,0 271,5 6360,0 95,9 382,6 8738,9 135,5 539,9 11906,4 98000 40,9 163,6 3931,7 68,0 271,5 6364,3 95,9 382,7 8746,9 135,5 539,9 11921,4 99000 40,9 163,6 3933,3 68,0 271,5 6368,5 95,9 382,7 8754,8 135,5 539,9 11936,0 100000 40,9 163,6 3934,9 68,0 271,5 6372,6 95,9 382,7 8762,5 135,5 540,0 11950,4
  • 57.
    57 Tabel Angka, Akardan Kwadrat N √N N2 N √N N2 N √N N2 N √N N2 1 1,000 1 51 7,141 2.601 101 10,050 10.201 151 12,288 22.801 2 1,414 4 52 7,211 2.704 102 10,100 10.404 152 12,329 23.104 3 1,732 9 53 7,280 2.809 103 10,149 10.609 153 12,369 23.409 4 2,000 16 54 7,348 2.916 104 10,198 10.816 154 12,410 23.716 5 2,236 25 55 7,416 3.025 105 10,247 11.025 155 12,450 24.025 6 2,449 36 56 7,483 3.136 106 10,296 11.236 156 12,490 24.336 7 2,646 49 57 7,550 3.249 107 10,344 11.449 157 12,530 24.649 8 2,828 64 58 7,616 3.364 108 10,392 11.664 158 12,570 24.964 9 3,000 81 59 7,681 3.481 109 10,440 11.881 159 12,610 25.281 10 3,162 100 60 7,746 3.600 110 10,488 12.100 160 12,649 25.600 11 3,317 121 61 7,810 3.721 111 10,536 12.321 161 12,689 25.921 12 3,464 144 62 7,874 3.844 112 10,583 12.544 162 12,728 26.244 13 3,606 169 63 7,937 3.969 113 10,630 12.769 163 12,767 26.569 14 3,742 196 64 8,000 4.096 114 10,677 12.996 164 12,806 26.896 15 3,873 225 65 8,062 4.225 115 10,724 13.225 165 12,845 27.225 16 4,000 256 66 8,124 4.356 116 10,770 13.456 166 12,884 27.556 17 4,123 289 67 8,185 4.489 117 10,817 13.689 167 12,923 27.889 18 4,243 324 68 8,246 4.624 118 10,863 13.924 168 12,961 28.224 19 4,359 361 69 8,307 4.761 119 10,909 14.161 169 13,000 28.561 20 4,472 400 70 8,367 4.900 120 10,954 14.400 170 13,038 28.900 21 4,583 441 71 8,426 5.041 121 11,000 14.641 171 13,077 29.241 22 4,690 484 72 8,485 5.184 122 11,045 14.884 172 13,115 29.584 23 4,796 529 73 8,544 5.329 123 11,091 15.129 173 13,153 29.929 24 4,899 576 74 8,602 5.476 124 11,136 15.376 174 13,191 30.276 25 5,000 625 75 8,660 5.625 125 11,180 15.625 175 13,229 30.625 26 5,099 676 76 8,718 5.776 126 11,225 15.876 176 13,266 30.976 27 5,196 729 77 8,775 5.929 127 11,269 16.129 177 13,304 31.329 28 5,292 784 78 8,832 6.084 128 11,314 16.384 178 13,342 31.684 29 5,385 841 79 8,888 6.241 129 11,358 16.641 179 13,379 32.041 30 5,477 900 80 8,944 6.400 130 11,402 16.900 180 13,416 32.400 31 5,568 961 81 9,000 6.561 131 11,446 17.161 181 13,454 32.761 32 5,657 1.024 82 9,055 6.724 132 11,489 17.424 182 13,491 33.124 33 5,745 1.089 83 9,110 6.889 133 11,533 17.689 183 13,528 33.489 34 5,831 1.156 84 9,165 7.056 134 11,576 17.956 184 13,565 33.856 35 5,916 1.225 85 9,220 7.225 135 11,619 18.225 185 13,601 34.225 36 6,000 1.296 86 9,274 7.396 136 11,662 18.496 186 13,638 34.596 37 6,083 1.369 87 9,327 7.569 137 11,705 18.769 187 13,675 34.969 38 6,164 1.444 88 9,381 7.744 138 11,747 19.044 188 13,711 35.344 39 6,245 1.521 89 9,434 7.921 139 11,790 19.321 189 13,748 35.721 40 6,325 1.600 90 9,487 8.100 140 11,832 19.600 190 13,784 36.100 41 6,403 1.681 91 9,539 8.281 141 11,874 19.881 191 13,820 36.481 42 6,481 1.764 92 9,592 8.464 142 11,916 20.164 192 13,856 36.864 43 6,557 1.849 93 9,644 8.649 143 11,958 20.449 193 13,892 37.249 44 6,633 1.936 94 9,695 8.836 144 12,000 20.736 194 13,928 37.636 45 6,708 2.025 95 9,747 9.025 145 12,042 21.025 195 13,964 38.025 46 6,782 2.116 96 9,798 9.216 146 12,083 21.316 196 14,000 38.416 47 6,856 2.209 97 9,849 9.409 147 12,124 21.609 197 14,036 38.809 48 6,928 2.304 98 9,899 9.604 148 12,166 21.904 198 14,071 39.204 49 7,000 2.401 99 9,950 9.801 149 12,207 22.201 199 14,107 39.601 50 7,071 2.500 100 10,000 10.000 150 12,247 22.500 200 14,142 40.000
  • 58.
    58 N √N N2 N√N N2 N √N N2 N √N N2 201 14,177 40.401 251 15,843 63.001 301 17,349 90.601 351 18,735 123.201 202 14,213 40.804 252 15,875 63.504 302 17,378 91.204 352 18,762 123.904 203 14,248 41.209 253 15,906 64.009 303 17,407 91.809 353 18,788 124.609 204 14,283 41.616 254 15,937 64.516 304 17,436 92.416 354 18,815 125.316 205 14,318 42.025 255 15,969 65.025 305 17,464 93.025 355 18,841 126.025 206 14,353 42.436 256 16,000 65.536 306 17,493 93.636 356 18,868 126.736 207 14,387 42.849 257 16,031 66.049 307 17,521 94.249 357 18,894 127.449 208 14,422 43.264 258 16,062 66.564 308 17,550 94.864 358 18,921 128.164 209 14,457 43.681 259 16,093 67.081 309 17,578 95.481 359 18,947 128.881 210 14,491 44.100 260 16,125 67.600 310 17,607 96.100 360 18,974 129.600 211 14,526 44.521 261 16,155 68.121 311 17,635 96.721 361 19,000 130.321 212 14,560 44.944 262 16,186 68.644 312 17,664 97.344 362 19,026 131.044 213 14,595 45.369 263 16,217 69.169 313 17,692 97.969 363 19,053 131.769 214 14,629 45.796 264 16,248 69.696 314 17,720 98.596 364 19,079 132.496 215 14,663 46.225 265 16,279 70.225 315 17,748 99.225 365 19,105 133.225 216 14,697 46.656 266 16,310 70.756 316 17,776 99.856 366 19,131 133.956 217 14,731 47.089 267 16,340 71.289 317 17,804 100.489 367 19,157 134.689 218 14,765 47.524 268 16,371 71.824 318 17,833 101.124 368 19,183 135.424 219 14,799 47.961 269 16,401 72.361 319 17,861 101.761 369 19,209 136.161 220 14,832 48.400 270 16,432 72.900 320 17,889 102.400 370 19,235 136.900 221 14,866 48.841 271 16,462 73.441 321 17,916 103.041 371 19,261 137.641 222 14,900 49.284 272 16,492 73.984 322 17,944 103.684 372 19,287 138.384 223 14,933 49.729 273 16,523 74.529 323 17,972 104.329 373 19,313 139.129 224 14,967 50.176 274 16,553 75.076 324 18,000 104.976 374 19,339 139.876 225 15,000 50.625 275 16,583 75.625 325 18,028 105.625 375 19,365 140.625 226 15,033 51.076 276 16,613 76.176 326 18,055 106.276 376 19,391 141.376 227 15,067 51.529 277 16,643 76.729 327 18,083 106.929 377 19,416 142.129 228 15,100 51.984 278 16,673 77.284 328 18,111 107.584 378 19,442 142.884 229 15,133 52.441 279 16,703 77.841 329 18,138 108.241 379 19,468 143.641 230 15,166 52.900 280 16,733 78.400 330 18,166 108.900 380 19,494 144.400 231 15,199 53.361 281 16,763 78.961 331 18,193 109.561 381 19,519 145.161 232 15,232 53.824 282 16,793 79.524 332 18,221 110.224 382 19,545 145.924 233 15,264 54.289 283 16,823 80.089 333 18,248 110.889 383 19,570 146.689 234 15,297 54.756 284 16,852 80.656 334 18,276 111.556 384 19,596 147.456 235 15,330 55.225 285 16,882 81.225 335 18,303 112.225 385 19,621 148.225 236 15,362 55.696 286 16,912 81.796 336 18,330 112.896 386 19,647 148.996 237 15,395 56.169 287 16,941 82.369 337 18,358 113.569 387 19,672 149.769 238 15,427 56.644 288 16,971 82.944 338 18,385 114.244 388 19,698 150.544 239 15,460 57.121 289 17,000 83.521 339 18,412 114.921 389 19,723 151.321 240 15,492 57.600 290 17,029 84.100 340 18,439 115.600 390 19,748 152.100 241 15,524 58.081 291 17,059 84.681 341 18,466 116.281 391 19,774 152.881 242 15,556 58.564 292 17,088 85.264 342 18,493 116.964 392 19,799 153.664 243 15,588 59.049 293 17,117 85.849 343 18,520 117.649 393 19,824 154.449 244 15,620 59.536 294 17,146 86.436 344 18,547 118.336 394 19,849 155.236 245 15,652 60.025 295 17,176 87.025 345 18,574 119.025 395 19,875 156.025 246 15,684 60.516 296 17,205 87.616 346 18,601 119.716 396 19,900 156.816 247 15,716 61.009 297 17,234 88.209 347 18,628 120.409 397 19,925 157.609 248 15,748 61.504 298 17,263 88.804 348 18,655 121.104 398 19,950 158.404 249 15,780 62.001 299 17,292 89.401 349 18,682 121.801 399 19,975 159.201 250 15,811 62.500 300 17,321 90.000 350 18,708 122.500 400 20,000 160.000
  • 59.
    59 N √N N2 N√N N2 N √N N2 N √N N2 401 20,025 160.801 451 21,237 203.401 501 22,383 251.001 551 23,473 303.601 402 20,050 161.604 452 21,260 204.304 502 22,405 252.004 552 23,495 304.704 403 20,075 162.409 453 21,284 205.209 503 22,428 253.009 553 23,516 305.809 404 20,100 163.216 454 21,307 206.116 504 22,450 254.016 554 23,537 306.916 405 20,125 164.025 455 21,331 207.025 505 22,472 255.025 555 23,558 308.025 406 20,149 164.836 456 21,354 207.936 506 22,494 256.036 556 23,580 309.136 407 20,174 165.649 457 21,378 208.849 507 22,517 257.049 557 23,601 310.249 408 20,199 166.464 458 21,401 209.764 508 22,539 258.064 558 23,622 311.364 409 20,224 167.281 459 21,424 210.681 509 22,561 259.081 559 23,643 312.481 410 20,248 168.100 460 21,448 211.600 510 22,583 260.100 560 23,664 313.600 411 20,273 168.921 461 21,471 212.521 511 22,605 261.121 561 23,685 314.721 412 20,298 169.744 462 21,494 213.444 512 22,627 262.144 562 23,707 315.844 413 20,322 170.569 463 21,517 214.369 513 22,650 263.169 563 23,728 316.969 414 20,347 171.396 464 21,541 215.296 514 22,672 264.196 564 23,749 318.096 415 20,372 172.225 465 21,564 216.225 515 22,694 265.225 565 23,770 319.225 416 20,396 173.056 466 21,587 217.156 516 22,716 266.256 566 23,791 320.356 417 20,421 173.889 467 21,610 218.089 517 22,738 267.289 567 23,812 321.489 418 20,445 174.724 468 21,633 219.024 518 22,760 268.324 568 23,833 322.624 419 20,469 175.561 469 21,656 219.961 519 22,782 269.361 569 23,854 323.761 420 20,494 176.400 470 21,679 220.900 520 22,804 270.400 570 23,875 324.900 421 20,518 177.241 471 21,703 221.841 521 22,825 271.441 571 23,896 326.041 422 20,543 178.084 472 21,726 222.784 522 22,847 272.484 572 23,917 327.184 423 20,567 178.929 473 21,749 223.729 523 22,869 273.529 573 23,937 328.329 424 20,591 179.776 474 21,772 224.676 524 22,891 274.576 574 23,958 329.476 425 20,616 180.625 475 21,794 225.625 525 22,913 275.625 575 23,979 330.625 426 20,640 181.476 476 21,817 226.576 526 22,935 276.676 576 24,000 331.776 427 20,664 182.329 477 21,840 227.529 527 22,956 277.729 577 24,021 332.929 428 20,688 183.184 478 21,863 228.484 528 22,978 278.784 578 24,042 334.084 429 20,712 184.041 479 21,886 229.441 529 23,000 279.841 579 24,062 335.241 430 20,736 184.900 480 21,909 230.400 530 23,022 280.900 580 24,083 336.400 431 20,761 185.761 481 21,932 231.361 531 23,043 281.961 581 24,104 337.561 432 20,785 186.624 482 21,954 232.324 532 23,065 283.024 582 24,125 338.724 433 20,809 187.489 483 21,977 233.289 533 23,087 284.089 583 24,145 339.889 434 20,833 188.356 484 22,000 234.256 534 23,108 285.156 584 24,166 341.056 435 20,857 189.225 485 22,023 235.225 535 23,130 286.225 585 24,187 342.225 436 20,881 190.096 486 22,045 236.196 536 23,152 287.296 586 24,207 343.396 437 20,905 190.969 487 22,068 237.169 537 23,173 288.369 587 24,228 344.569 438 20,928 191.844 488 22,091 238.144 538 23,195 289.444 588 24,249 345.744 439 20,952 192.721 489 22,113 239.121 539 23,216 290.521 589 24,269 346.921 440 20,976 193.600 490 22,136 240.100 540 23,238 291.600 590 24,290 348.100 441 21,000 194.481 491 22,159 241.081 541 23,259 292.681 591 24,310 349.281 442 21,024 195.364 492 22,181 242.064 542 23,281 293.764 592 24,331 350.464 443 21,048 196.249 493 22,204 243.049 543 23,302 294.849 593 24,352 351.649 444 21,071 197.136 494 22,226 244.036 544 23,324 295.936 594 24,372 352.836 445 21,095 198.025 495 22,249 245.025 545 23,345 297.025 595 24,393 354.025 446 21,119 198.916 496 22,271 246.016 546 23,367 298.116 596 24,413 355.216 447 21,142 199.809 497 22,293 247.009 547 23,388 299.209 597 24,434 356.409 448 21,166 200.704 498 22,316 248.004 548 23,409 300.304 598 24,454 357.604 449 21,190 201.601 499 22,338 249.001 549 23,431 301.401 599 24,474 358.801 450 21,213 202.500 500 22,361 250.000 550 23,452 302.500 600 24,495 360.000
  • 60.
    60 N √N N2 N√N N2 N √N N2 N √N N2 601 24,515 361.201 651 25,515 423.801 701 26,476 491.401 751 27,404 564.001 602 24,536 362.404 652 25,534 425.104 702 26,495 492.804 752 27,423 565.504 603 24,556 363.609 653 25,554 426.409 703 26,514 494.209 753 27,441 567.009 604 24,576 364.816 654 25,573 427.716 704 26,533 495.616 754 27,459 568.516 605 24,597 366.025 655 25,593 429.025 705 26,552 497.025 755 27,477 570.025 606 24,617 367.236 656 25,612 430.336 706 26,571 498.436 756 27,495 571.536 607 24,637 368.449 657 25,632 431.649 707 26,589 499.849 757 27,514 573.049 608 24,658 369.664 658 25,652 432.964 708 26,608 501.264 758 27,532 574.564 609 24,678 370.881 659 25,671 434.281 709 26,627 502.681 759 27,550 576.081 610 24,698 372.100 660 25,690 435.600 710 26,646 504.100 760 27,568 577.600 611 24,718 373.321 661 25,710 436.921 711 26,665 505.521 761 27,586 579.121 612 24,739 374.544 662 25,729 438.244 712 26,683 506.944 762 27,604 580.644 613 24,759 375.769 663 25,749 439.569 713 26,702 508.369 763 27,622 582.169 614 24,779 376.996 664 25,768 440.896 714 26,721 509.796 764 27,641 583.696 615 24,799 378.225 665 25,788 442.225 715 26,739 511.225 765 27,659 585.225 616 24,819 379.456 666 25,807 443.556 716 26,758 512.656 766 27,677 586.756 617 24,839 380.689 667 25,826 444.889 717 26,777 514.089 767 27,695 588.289 618 24,860 381.924 668 25,846 446.224 718 26,796 515.524 768 27,713 589.824 619 24,880 383.161 669 25,865 447.561 719 26,814 516.961 769 27,731 591.361 620 24,900 384.400 670 25,884 448.900 720 26,833 518.400 770 27,749 592.900 621 24,920 385.641 671 25,904 450.241 721 26,851 519.841 771 27,767 594.441 622 24,940 386.884 672 25,923 451.584 722 26,870 521.284 772 27,785 595.984 623 24,960 388.129 673 25,942 452.929 723 26,889 522.729 773 27,803 597.529 624 24,980 389.376 674 25,962 454.276 724 26,907 524.176 774 27,821 599.076 625 25,000 390.625 675 25,981 455.625 725 26,926 525.625 775 27,839 600.625 626 25,020 391.876 676 26,000 456.976 726 26,944 527.076 776 27,857 602.176 627 25,040 393.129 677 26,019 458.329 727 26,963 528.529 777 27,875 603.729 628 25,060 394.384 678 26,038 459.684 728 26,981 529.984 778 27,893 605.284 629 25,080 395.641 679 26,058 461.041 729 27,000 531.441 779 27,911 606.841 630 25,100 396.900 680 26,077 462.400 730 27,019 532.900 780 27,928 608.400 631 25,120 398.161 681 26,096 463.761 731 27,037 534.361 781 27,946 609.961 632 25,140 399.424 682 26,115 465.124 732 27,055 535.824 782 27,964 611.524 633 25,159 400.689 683 26,134 466.489 733 27,074 537.289 783 27,982 613.089 634 25,179 401.956 684 26,153 467.856 734 27,092 538.756 784 28,000 614.656 635 25,199 403.225 685 26,173 469.225 735 27,111 540.225 785 28,018 616.225 636 25,219 404.496 686 26,192 470.596 736 27,129 541.696 786 28,036 617.796 637 25,239 405.769 687 26,211 471.969 737 27,148 543.169 787 28,054 619.369 638 25,259 407.044 688 26,230 473.344 738 27,166 544.644 788 28,071 620.944 639 25,278 408.321 689 26,249 474.721 739 27,185 546.121 789 28,089 622.521 640 25,298 409.600 690 26,268 476.100 740 27,203 547.600 790 28,107 624.100 641 25,318 410.881 691 26,287 477.481 741 27,221 549.081 791 28,125 625.681 642 25,338 412.164 692 26,306 478.864 742 27,240 550.564 792 28,142 627.264 643 25,357 413.449 693 26,325 480.249 743 27,258 552.049 793 28,160 628.849 644 25,377 414.736 694 26,344 481.636 744 27,276 553.536 794 28,178 630.436 645 25,397 416.025 695 26,363 483.025 745 27,295 555.025 795 28,196 632.025 646 25,417 417.316 696 26,382 484.416 746 27,313 556.516 796 28,213 633.616 647 25,436 418.609 697 26,401 485.809 747 27,331 558.009 797 28,231 635.209 648 25,456 419.904 698 26,420 487.204 748 27,350 559.504 798 28,249 636.804 649 25,475 421.201 699 26,439 488.601 749 27,368 561.001 799 28,267 638.401 650 25,495 422.500 700 26,458 490.000 750 27,386 562.500 800 28,284 640.000
  • 61.
    61 N √N N2 N√N N2 N √N N2 N √N N2 801 28,302 641.601 851 29,172 724.201 901 30,017 811.801 951 30,838 904.401 802 28,320 643.204 852 29,189 725.904 902 30,033 813.604 952 30,854 906.304 803 28,337 644.809 853 29,206 727.609 903 30,050 815.409 953 30,871 908.209 804 28,355 646.416 854 29,223 729.316 904 30,067 817.216 954 30,887 910.116 805 28,373 648.025 855 29,240 731.025 905 30,083 819.025 955 30,903 912.025 806 28,390 649.636 856 29,257 732.736 906 30,100 820.836 956 30,919 913.936 807 28,408 651.249 857 29,275 734.449 907 30,116 822.649 957 30,935 915.849 808 28,425 652.864 858 29,292 736.164 908 30,133 824.464 958 30,952 917.764 809 28,443 654.481 859 29,309 737.881 909 30,150 826.281 959 30,968 919.681 810 28,460 656.100 860 29,326 739.600 910 30,166 828.100 960 30,984 921.600 811 28,478 657.721 861 29,343 741.321 911 30,183 829.921 961 31,000 923.521 812 28,496 659.344 862 29,360 743.044 912 30,199 831.744 962 31,016 925.444 813 28,513 660.969 863 29,377 744.769 913 30,216 833.569 963 31,032 927.369 814 28,531 662.596 864 29,394 746.496 914 30,232 835.396 964 31,048 929.296 815 28,548 664.225 865 29,411 748.225 915 30,249 837.225 965 31,064 931.225 816 28,566 665.856 866 29,428 749.956 916 30,265 839.056 966 31,081 933.156 817 28,583 667.489 867 29,445 751.689 917 30,282 840.889 967 31,097 935.089 818 28,601 669.124 868 29,462 753.424 918 30,299 842.724 968 31,113 937.024 819 28,618 670.761 869 29,479 755.161 919 30,315 844.561 969 31,129 938.961 820 28,636 672.400 870 29,496 756.900 920 30,332 846.400 970 31,145 940.900 821 28,653 674.041 871 29,513 758.641 921 30,348 848.241 971 31,161 942.841 822 28,671 675.684 872 29,530 760.384 922 30,364 850.084 972 31,177 944.784 823 28,688 677.329 873 29,547 762.129 923 30,381 851.929 973 31,193 946.729 824 28,705 678.976 874 29,563 763.876 924 30,397 853.776 974 31,209 948.676 825 28,723 680.625 875 29,580 765.625 925 30,414 855.625 975 31,225 950.625 826 28,740 682.276 876 29,597 767.376 926 30,430 857.476 976 31,241 952.576 827 28,758 683.929 877 29,614 769.129 927 30,447 859.329 977 31,257 954.529 828 28,775 685.584 878 29,631 770.884 928 30,463 861.184 978 31,273 956.484 829 28,792 687.241 879 29,648 772.641 929 30,480 863.041 979 31,289 958.441 830 28,810 688.900 880 29,665 774.400 930 30,496 864.900 980 31,305 960.400 831 28,827 690.561 881 29,682 776.161 931 30,512 866.761 981 31,321 962.361 832 28,844 692.224 882 29,698 777.924 932 30,529 868.624 982 31,337 964.324 833 28,862 693.889 883 29,715 779.689 933 30,545 870.489 983 31,353 966.289 834 28,879 695.556 884 29,732 781.456 934 30,561 872.356 984 31,369 968.256 835 28,896 697.225 885 29,749 783.225 935 30,578 874.225 985 31,385 970.225 836 28,914 698.896 886 29,766 784.996 936 30,594 876.096 986 31,401 972.196 837 28,931 700.569 887 29,783 786.769 937 30,610 877.969 987 31,417 974.169 838 28,948 702.244 888 29,799 788.544 938 30,627 879.844 988 31,432 976.144 839 28,965 703.921 889 29,816 790.321 939 30,643 881.721 989 31,448 978.121 840 28,983 705.600 890 29,833 792.100 940 30,659 883.600 990 31,464 980.100 841 29,000 707.281 891 29,850 793.881 941 30,676 885.481 991 31,480 982.081 842 29,017 708.964 892 29,866 795.664 942 30,692 887.364 992 31,496 984.064 843 29,034 710.649 893 29,883 797.449 943 30,708 889.249 993 31,512 986.049 844 29,052 712.336 894 29,900 799.236 944 30,725 891.136 994 31,528 988.036 845 29,069 714.025 895 29,917 801.025 945 30,741 893.025 995 31,544 990.025 846 29,086 715.716 896 29,933 802.816 946 30,757 894.916 996 31,559 992.016 847 29,103 717.409 897 29,950 804.609 947 30,773 896.809 997 31,575 994.009 848 29,120 719.104 898 29,967 806.404 948 30,790 898.704 998 31,591 996.004 849 29,138 720.801 899 29,983 808.201 949 30,806 900.601 999 31,607 998.001 850 29,155 722.500 900 30,000 810.000 950 30,822 902.500 1.000 31,623 1.000.000
  • 62.
    62 Tabel Probabilitas PoissonKumulatif = − =≤ c x xm x mc cXP 0 ! )( m c 0,100 0,200 0,300 0,400 0,500 0,600 0,700 0,800 0,900 1,000 0 0,905 0,819 0,741 0,670 0,607 0,549 0,497 0,449 0,407 0,368 1 0,995 0,982 0,463 0,938 0,910 0,878 0,844 0,809 0,772 0,736 2 1,000 0,999 0,946 0,992 0,986 0,977 0,966 0,953 0,937 0,920 3 1,000 1,000 1,000 0,999 0,998 0,997 0,994 0,991 0,987 0,981 4 1,000 1,000 1,000 1,000 1,000 1,000 0,999 0,999 0,498 0,996 5 1,000 1,000 1,000 1,000 1,000 1,000 1,000 1,000 1,000 0,999 6 1,000 1,000 1,000 1,000 1,000 1,000 1,000 1,000 1,000 1,000 7 1,000 1,000 1,000 1,000 1,000 1,000 1,000 1,000 1,000 1,000 m c 1,100 1,200 1,300 1,400 1,500 1,600 1,700 1,800 1,900 2,000 0 0,333 0,301 0,273 0,247 0,223 0,202 0,183 0,165 0,150 0,135 1 0,699 0,663 0,627 0,592 0,538 0,525 0,493 0,463 0,434 0,406 2 0,900 0,879 0,857 0,833 0,809 0,783 0,757 0,731 0,704 0,677 3 0,974 0,966 0,957 0,946 0,934 0,921 0,907 0,891 0,875 0,857 4 0,995 0,992 0,989 0,986 0,981 0,976 0,970 0,964 0,956 0,947 5 0,999 0,998 0,998 0,997 0,996 0,994 0,992 0,990 0,987 0,983 6 1,000 1,000 1,000 0,999 0,999 0,999 0,948 0,997 0,997 0,995 7 1,000 1,000 1,000 1,000 1,000 1,000 1,000 0,999 0,949 0,999 8 1,000 1,000 1,000 1,000 1,000 1,000 1,000 1,000 1,000 1,000 9 1,000 1,000 1,000 1,000 1,000 1,000 1,000 1,000 1,000 1,000 m c 2,100 2,200 2,300 2,400 2,500 2,600 2,700 2,800 2,900 3,000 0 0,122 0,111 0,100 0,091 0,082 0,074 0,067 0,061 0,055 0,050 1 0,380 0,355 0,331 0,308 0,287 0,267 0,249 0,231 0,215 0,199 2 0,650 0,623 0,596 0,570 0,544 0,518 0,494 0,469 0,446 0,423 3 0,839 0,819 0,799 0,779 0,758 0,736 0,714 0,692 0,670 0,647 4 0,938 0,928 0,916 0,904 0,891 0,877 0,863 0,848 0,832 0,815 5 0,980 0,975 0,970 0,964 0,958 0,951 0,943 0,935 0,926 0,916 6 0,994 0,993 0,991 0,988 0,986 0,983 0,979 0,976 0,971 0,966 7 0,999 0,995 0,997 0,997 0,996 0,995 0,993 0,992 0,990 0,988 8 1,000 1,000 0,999 0,999 0,999 0,999 0,998 0,998 0,997 0,996 9 1,000 1,000 1,000 1,000 1,000 1,000 0,999 0,999 0,999 0,999 10 1,000 1,000 1,000 1,000 1,000 1,000 1,000 1,000 1,000 1,000 11 1,000 1,000 1,000 1,000 1,000 1,000 1,000, 1,000 1,000 1,000 12 1,000 1,000 1,000 1,000 1,000 1,000 1,000 1,000 1,000 1,000
  • 63.
    63 m c 3,100 3,2003,300 3,400 3,500 3,600 3,700 3,800 3,900 4,000 0 0,045 0,041 0,037 0,033 0,030 0,027 0,025 0,022 0,020 0,018 1 0,185 0,171 0,159 0,147 0,136 0,126 0,116 0,107 0,099 0,092 2 0,401 0,380 0,359 0,340 0,321 0,303 0,285 0,269 0,253 0,238 3 0,625 0,603 0,580 0,558 0,537 0,515 0,494 0,473 0,453 0,433 4 0,798 0,781 0,763 0,744 0,725 0,706 0,687 0,668 0,648 0,629 5 0,906 0,895 0,883 0,871 0,858 0,844 0,830 0,816 0,801 0,78S 6 0,961 0,955 0,949 0,942 0,935 0,927 0,918 0,909 0,899 0,889 7 0,986 0,983 0,980 0,977 0,973 0,969 0,965 0,960 0,955 0,949 8 0,995 0,994 0,993 0,992 0,990 0,988 0,986 0,984 0,981 0,979 9 0,999 0,998 0,998 0,997 0,997 0,996 0,995 0,994 0,993 0,992 10 1000 1,000 0,999 0,999 0,999 0,999 0,998 0,998 0,998 0,997 11 1,000 1,000 1,000 1,000 1,000 1,000 1,000 0,999 0,999 0,999 12 1,000 1,000 1,000 1 ,000 1,000 1,000 1,000 1,000 1,000 1,000 13 1,000 1,000 1,000 1,000 1,000 1,000 1,000 1,000 1,000 1000 14 1,000 1,000 1,000 1,000 1,000 1,000 1,000 1,000 1,000 1,000 m c 4,500 5,000 5,500 6,000 6,500 7,000 7,500 8,000 8,500 9,000 0 0,011 0,007 0,004 0,002 0,002 0,001 0,001 0,000 0,000 0,000 1 0,061 0,040 0,027 0,017 0,011 0,007 0,005 0,003 0,002 0,001 2 0,174 0,125 0,088 0,062 0,043 0,030 0,020 0,014 0,009 0,006 3 0,342 0,265 0,202 0,151 0,112 0,082 0,059 0,042 0,030 0,021 4 0,532 0,440 0,358 0,285 0,224 0,173 0,132 0,100 0,014 0,055 5 0,703 0,616 0,529 0,446 0,369 0,301 0,241 0,191 0,150 0,116 6 0,831 0,762 0,686 0,606 0,527 0,450 0,378 0,313 0,256 0,207 7 0,913 0,867 0,809 0,744 0,673 0,599 0,525 0,453 0,386 0,324 8 0,960 0,932 0,894 0,847 0,792 0,729 0,662 0,593 0,523 0,456 9 0,983 0,968 0,946 0,916 0,877 0,830 0,776 0,717 0,653 0,587 10 0,993 0,986 0,975 0,957 0,933 0,901 0,862 0,816 0,763 0,706 11 0,998 0,995 0,989 0,980 0,966 ,947 0,921 0,888 0,849 0,803 12 0,999 0,998 0,996 0,991 0,984 0,973 0,957 0,936 0,909 0,876 13 1,000 0,999 0,998 0,996 0,993 0,987 0,978 0,966 0,949 0,926 14 1,000 1,000 0,999 0,999 0,997 0,994 0,990 0,983 0,973 0,959 15 1,000 1,000 1,000 0,999 ,0999 0,998 0,995 0,992 0,986 0,978 16 1,000 1 ,000 1,000 1,000 1,000 0,999 0,998 0,996 0,998 0,989 17 1,000 1,000 1,000 1,040 1,000 1,000 0,999 0,998 0,997 0,995 18 1,000 1,000 1,000 1,000 1,000 1,000 1,000 0,999 0,999 0,998 19 1,000 1,000 1,000 1,000 1,000 1,000 1,000 1,000 0,999 0,999 20 1,000 1,000 1,000 1,000 1,000 1,000 1,000 1,000 1,000 1,000 21 1,000 1,000 1,000 1,000 1,000 1,000 1,000 1,000 1,000 1,000 22 1,000 1,000 1,000 1,000 1,000 1,000 1,000 1,000 1,000 1,000
  • 64.
    64 Tabel Probabilitas binominalkumulatif = − −=≤ c x xnx pp x n CXP 0 )1()( n c p 0,050 0,100 0,200 0,300 0,400 0,500 0,600 0,700 0,800 0,900 0,950 1 0 0,950 0,900 0,800 0,700 0,600 0,500 0,400 0,300 0,200 0,100 0,050 1 1,000 1,000 1,000 1,000 1,000 1,000 1,000 1,000 1,000 1,000 1,000 2 0 0,902 0,810 0,640 0,490 0,360 0,250 0,160 0,090 0,040 0,010 0,002 1 0,997 0,990 0,960 0,910 0,840 0,750 0,640 0,510 0,360 0,190 0,097 2 1,000 1,000 1,000 1,000 1,000 1,000 1,000 1,000 1,000 1,000 1,000 3 0 0,857 0,729 0,512 0,343 0,216 0,125 0,064 0,027 0,008 0,001 0,000 1 0,993 0,972 0,896 0,784 0,648 0,500 0,352 0,216 0,104 0,028 0,007 2 1,000 0,999 0,992 0,973 0,936 0,875 0,784 0,657 0,488 0,271 0,143 4 1,000 1,000 1,000 1,000 1,000 1,000 1,000 1,000 1,000 1,000 1,000 4 0 0,815 0,656 0,410 0,240 0,130 0,063 0,026 0,008 0,002 0,000 0,000 1 0,986 0,948 0,819 0,652 0,475 0,313 0,179 0,084 0,027 0,004 0,000 2 1,000 0,996 0,973 0,916 0,821 0,688 0,525 0,348 0,181 0,052 0,014 3 1,000 1,000 0,998 0,992 0,974 0,938 0,830 0,760 0,590 0,344 0,185 4 1,000 1,000 1,000 1,000 1,000 1,000 1,000 1,000 1,000 1,000 1,000 5 0 0,774 0,590 0,328 0,168 0,078 0,031 0,010 0,002 0,000 0,000 0,000 1 0,977 0,919 0,737 0,528 0,337 0,188 0,087 0,031 0,007 0,000 0,000 2 0,999 0,991 0,942 0,837 0,683 0,500 0,317 0,163 0,058 0,009 0,001 3 1,000 1,000 0,993 0,969 0,913 0,813 0,663 0,472 0,263 0,081 0,023 4 1,000 1,000 1,000 0,998 0,990 0,969 0,992 0,832 0,672 0,410 0,226 5 1,000 1,000 1,000 1,000 1,000 1,000 1,000 1,000 1,000 1,000 1,000 6 0 0,735 0,531 0,262 0,118 0,047 0,016 0,004 0,001 0,000 0,000 0,000 1 0,967 0,886 0,655 0,420 0,233 0,109 0,041 0,011 0,002 0,000 0,000 2 0,998 0,984 0,901 0,744 0,544 0,344 0,179 0,070 0,017 0,001 0,000 3 1,000 0,999 0,983 0,930 0,821 0,656 0,456 0,256 0,099 0,016 0,002 4 1,000 1,000 0,998 0,989 0,959 0,891 0,767 0,580 0,345 0,114 0,033 5 1,000 1,000 1,000 0,999 0,996 0,984 0,953 0,882 0,738 0,469 0,265 6 1,000 1,000 1,000 1,000 1,000 1,000 1,000 1,000 1,000 1,000 1,000 7 0 0,698 0,478 0,210 0,082 0,028 0,008 0,002 0,000 0,000 0,000 0,000 1 0,956 0,850 0,577 0,329 0,159 0,063 0,019 0,004 0,000 0,000 0,000 2 0,996 0,974 0,852 0,647 0,420 0,227 0,096 0,029 0,005 0,000 0,000 3 1,000 0,997 0,967 0,874 0,710 0,500 0,290 0,126 0,033 0,003 0,000 4 1,000 1,000 0,995 0,971 0,904 0,773 0,580 0,353 0,148 0,026 0,004 5 1,000 1,000 1,000 0,996 0,981 0,938 0,841 0,671 0,423 0,150 0,044
  • 65.
    65 6 1,000 1,0001,000 1,000 0,998 0,992 0,972 0,918 0,790 0,522 0,302 7 1,000 1,000 1,000 1,000 1,000 1,000 1,000 1,000 1,000 1,000 1,000 8 0 0,663 0,430 0,168 0,058 0,017 0,004 0,001 0,000 0,000 0,000 0,000 1 0,943 0,813 0,503 0,255 0,106 0,035 0,009 0,001 0,000 0,000 0,000 2 0,994 0,962 0,797 0,552 0,315 0,145 0,050 0,011 0,001 0,000 0,000 3 1,000 0,995 0,944 0,806 0,594 0,363 0,174 0,058 0,010 0,000 0,000 4 1,000 1,000 0,990 0,942 0,826 0,637 0,406 0,194 0,056 0,005 0,000 5 1,000 1,000 0,999 0,989 0,950 0,855 0,685 0,448 0,203 0,038 0,006 6 1,000 1,000 1,000 0,999 0,991 0,965 0,894 0,745 0,497 0,187 0,057 7 1,000 1,000 1,000 1,000 0,999 0,996 0,983 0,942 0,832 0,570 0,337 8 1,000 1,000 1,000 1,000 1,000 1,000 1,000 1,000 1,000 1,000 1,000 9 0 0,630 0,387 0,134 0,040 0,010 0,002 0,000 0,000 0,000 0,000 0,000 1 0,929 0,775 0,436 0,196 0,071 0,020 0,004 0,000 0,000 0,000 0,000 2 0,992 0,947 0,738 0,463 0,232 0,090 0,025 0,004 0,000 0,000 0,000 3 0,999 0,992 0,914 0,730 0,483 0,254 0,099 0,025 0,003 0,000 0,000 4 1,000 0,999 0,980 0,901 0,733 0,500 0,267 0,099 0,020 0,001 0,000 5 1,000 1,000 0,997 0,975 0,901 0,746 0,517 0,270 0,086 0,008 0,001 6 1,000 1,000 1,000 0,996 0,975 0,910 0,768 0,537 0,262 0,053 0,008 7 1,000 1,000 1,000 1,000 0,996 0,980 0,929 0,804 0,564 0,225 0,071 8 1,000 1,000 1,000 1,000 1,000 0,998 0,990 0,960 0,866 0,613 0,370 9 1,000 1,000 1,000 1,000 1,000 1,000 1,000 1,000 1,000 1,000 1,000 10 0 0,599 0,349 0,107 0,028 0,006 0,001 0,000 0,000 0,000 0,000 0,000 1 0,914 0,736 0,376 0,149 0,046 0,011 0,002 0,000 0,000 0,000 0,000 2 0,988 0,930 0,678 0,383 0,167 0,055 0,012 0,002 0,000 0,000 0,000 3 0,999 0,987 0,879 0,650 0,382 0,172 0,055 0,011 0,001 0,000 0,000 4 1,000 0,998 0,967 0,850 0,633 0,377 0,166 0,047 0,006 0,000 0,000 5 1,000 1,000 0,994 0,953 0,834 0,623 0,367 0,150 0,033 0,002 0,000 6 1,000 1,000 0,999 0,989 0,945 0,828 0,618 0,350 0,121 0,013 0,001 7 1,000 1,000 1,000 0,998 0,988 0,945 0,833 0,617 0,322 0,070 0,012 8 1,000 1,000 1,000 1,000 0,998 0,989 0,954 0,851 0,624 0,264 0,086 9 1,000 1,000 1,000 1,000 1,000 0,010 0,994 0,972 0,893 0,651 0,401 10 1,000 1,000 1,000 1,000 1,000 1,000 1,000 1,000 1,000 1,000 1,000 11 0 0,567 0,314 0,086 0,020 0,004 0,000 0,000 0,000 0,000 0,000 0,000 1 0,898 0,697 0,322 0,113 0,030 0,006 0,001 0,000 0,000 0,000 0,000 2 0,985 0,910 0,617 0,313 0,119 0,033 0,006 0,001 0,000 0,000 0,000 3 0,998 0,981 0,839 0,570 0,296 0,113 0,029 0,004 0,000 0,000 0,000 4 1,000 0,997 0,950 0,790 0,533 0,274 0,099 0,022 0,002 0,000 0,000 5 1,000 1,000 0,988 0,922 0,753 0,500 0,247 0,078 0,012 0,000 0,000 6 1,000 1,000 0,998 0,978 0,901 0,726 0,467 0,210 0,050 0,003 0,000 7 1,000 1,000 1,000 0,996 0,971 0,887 0,704 0,430 0,161 0,019 0,002 8 1,000 1,000 1,000 0,999 0,994 0,967 0,881 0,687 0,383 0,090 0,015 9 1,000 1,000 1,000 1,000 0,999 0,994 0,970 0,887 0,678 0,303 0,102
  • 66.
    66 10 1,000 1,0001,000 1,000 1,000 1,000 0,996 0,980 0,914 0,686 0,431 11 1,000 1,000 1,000 1,000 1,000 1,000 1,000 1,000 1,000 1,000 1,000 12 0 0,540 0,282 0,069 0,014 0,002 0,000 0,000 0,000 0,000 0,000 0,000 1 0,882 0,659 0,275 0,085 0,020 0,003 0,000 0,000 0,000 0,000 0,000 2 0,980 0,889 0,558 0,253 0,083 0,019 0,003 0,000 0,000 0,000 0,000 3 0,998 0,974 0,795 0,493 0,225 0,073 0,015 0,002 0,000 0,000 0,000 4 1,000 0,996 0,927 0,924 0,438 0,194 0,057 0,009 0,001 0,000 0,000 5 1,000 0,999 0,981 0,882 0,665 0,387 0,158 0,039 0,004 0,000 0,000 6 1,000 1,000 0,996 0,961 0,842 0,613 0,335 0,118 0,019 0,001 0,000 7 1,000 1,000 0,999 0,991 0,943 0,806 0,562 0,276 0,073 0,004 0,000 8 1,000 1,000 0,998 0,985 0,927 0,775 0,507 0,205 0,026 0,002 0,002 9 1,000 1,000 1,000 1,000 0,997 0,981 0,917 0,747 0,442 0,111 0,020 10 1,000 1,000 1,000 1,000 1,000 0,997 0,980 0,915 0,725 0,341 0,118 11 1,000 1,000 1,000 1,000 1,000 1,000 0,998 0,986 0,931 0,718 0,460 12 1,000 1,000 1,000 1,000 1,000 1,000 1,000 1,000 1,000 1,000 1,000 13 0 0,513 0,254 0,055 0,010 0,001 0,000 0,000 0,000 0,000 0,000 0,000 1 0,865 0,621 0,234 0,064 0,013 0,002 0,000 0,000 0,000 0,000 0,000 2 0,975 0,866 0,502 0,202 0,058 0,011 0,001 0,000 0,000 0,000 0,000 3 0,997 0,966 0,747 0,421 0,169 0,046 0,008 0,001 0,000 0,000 0,000 4 1,000 0,994 0,901 0,654 0,353 0,133 0,032 0,004 0,000 0,000 0,000 5 1,000 0,999 0,970 0,835 0,574 0,291 0,098 0,018 0,001 0,000 0,000 6 1,000 1,000 0,993 0,938 0,771 0,500 0,229 0,062 0,007 0,000 0,000 7 1,000 1,000 0,999 0,982 0,902 0,709 0,426 0,165 0,030 0,001 0,000 8 1,000 1,000 1,000 0,996 0,968 0,867 0,647 0,346 0,099 0,006 0,000 9 1,000 1,000 1,000 0,999 0,992 0,954 0,831 0,579 0,253 0,034 0,003 10 1,000 1,000 1,000 1,000 0,999 0,989 0,942 0,798 0,498 0,134 0,025 11 1,000 1,000 1,000 1,000 1,000 0,998 0,987 0,936 0,766 0,379 0,135 12 1,000 1,000 1,000 1,000 1,000 1,000 0,999 0,990 0,945 0,746 0,487 13 1,000 1,000 1,000 1,000 1,000 1,000 1,000 1,000 1,000 1,000 1,000 14 0 0,488 0,229 0,044 0,007 0,000 0,000 0,000 0,000 0,000 0,000 0,000 1 0,847 0,585 0,198 0,047 0,008 0,001 0,000 0,000 0,000 0,000 0,000 2 0,970 0,842 0,448 0,161 0,040 0,006 0,001 0,000 0,000 0,000 0,000 3 0,996 0,956 0,698 0,355 0,124 0,029 0,004 0,000 0,000 0,000 0,000 4 1,000 0,991 0,870 0,584 0,279 0,090 0,018 0,002 0,000 0,000 0,000 5 1,000 0,999 0,956 0,781 0,486 0,212 0,058 0,008 0,000 0,000 0,000 6 1,000 1,000 0,988 0,907 0,692 0,395 0,150 0,031 0,002 0,000 0,000 7 1,000 1,000 0,998 0,969 0,850 0,605 0,308 0,093 0,012 0,000 0,000 8 1,000 1,000 1,000 0,992 0,942 0,788 0,514 0,219 0,044 0,001 0,000 9 1,000 1,000 1,000 0,998 0,982 0,910 0,721 0,416 0,130 0,009 0,000 10 1,000 1,000 1,000 1,000 0,996 0,971 0,876 0,645 0,302 0,044 0,004 11 1,000 1,000 1,000 1,000 0,999 0,994 0,960 0,839 0,552 0,158 0,030 12 1,000 1,000 1,000 1,000 1,000 0,999 0,992 0,953 0,802 0,415 0,153 13 1,000 1,000 1,000 1,000 1,000 1,000 0,999 0,993 0,956 0,771 0,512
  • 67.
    67 14 1,000 1,0001,000 1,000 1,000 1,000 1,000 1,000 1,000 1,000 1,000 15 0 0,463 0,206 0,035 0,005 0,000 0,000 0,000 0,000 0,000 0,000 0,000 1 0,829 0,549 0,167 0,035 0,005 0,000 0,000 0,000 0,000 0,000 0,000 2 0,964 0,816 0,398 0,127 0,027 0,004 0,000 0,000 0,000 0,000 0,000 3 0,995 0,944 0,648 0,297 0,091 0,018 0,002 0,000 0,000 0,000 0,000 4 0,999 0,987 0,836 0,515 0,217 0,059 0,009 0,001 0,000 0,000 0,000 5 1,000 0,998 0,939 0,722 0,403 0,151 0,034 0,004 0,000 0,000 0,000 6 1,000 1,000 0,982 0,869 0,610 0,304 0,095 0,015 0,001 0,000 0,000 7 1,000 1,000 0,996 0,950 0,787 0,500 0,213 0,050 0,004 0,000 0,000 8 1,000 1,000 0,999 0,985 0,905 0,696 0,390 0,131 0,018 0,000 0,000 9 1,000 1,000 1,000 0,996 0,966 0,849 0,597 0,278 0,061 0,002 0,000 10 1,000 1,000 1,000 0,999 0,991 0,941 0,783 0,485 0,164 0,013 0,001 11 1,000 1,000 1,000 1,000 0,998 0,982 0,909 0,703 0,352 0,056 0,005 12 1,000 1,000 1,000 1,000 1,000 0,996 0,973 0,873 0,602 0,184 0,036 13 1,000 1,000 1,000 1,000 1,000 1,000 0,995 0,965 0,833 0,451 0,171 14 1,000 1,000 1,000 1,000 1,000 1,000 1,000 0,995 0,965 0,794 0,537 15 1,000 1,000 1,000 1,000 1,000 1,000 1,000 1,000 1,000 1,000 1,000 16 0 0,440 0,185 0,028 0,003 0,000 0,000 0,000 0,000 0,000 0,000 0,000 1 0,811 0,515 0,141 0,026 0,003 0,000 0,000 0,000 0,000 0,000 0,000 2 0,957 0,789 0,352 0,099 0,016 0,002 0,000 0,000 0,000 0,000 0,000 3 0,993 0,932 0,598 0,246 0,065 0,011 0,001 0,000 0,000 0,000 0,000 4 0,999 0,983 0,798 0,450 0,167 0,038 0,005 0,000 0,000 0,000 0,000 5 1,000 0,997 0,918 0,660 0,329 0,105 0,019 0,002 0,000 0,000 0,000 6 1,000 0,999 0,973 0,825 0,527 0,227 0,058 0,007 0,000 0,000 0,000 7 1,000 1,000 0,993 0,926 0,716 0,402 0,142 0,026 0,001 0,000 0,000 8 1,000 1,000 0,999 0,974 0,858 0,598 0,284 0,074 0,007 0,000 0,000 9 1,000 1,000 1,000 0,993 0,942 0,773 0,473 0,175 0,027 0,001 0,000 10 1,000 1,000 1,000 0,998 0,981 0,895 0,671 0,340 0,082 0,003 0,000 11 1,000 1,000 1,000 1,000 0,995 0,962 0,833 0,550 0,202 0,017 0,001 12 1,000 1,000 1,000 1,000 0,999 0,989 0,935 0,754 0,402 0,068 0,007 13 1,000 1,000 1,000 1,000 1,000 0,998 0,982 0,901 0,648 0,211 0,043 14 1,000 1,000 1,000 1,000 1,000 1,000 0,997 0,974 0,859 0,485 0,189 15 1,000 1,000 1,000 1,000 1,000 1,000 1,000 0,997 0,972 0,815 0,560 16 1,000 1,000 1,000 1,000 1,000 1,000 1,000 1,000 1,000 1,000 1,000 17 0 0,418 0,167 0,023 0,002 0,000 0,000 0,000 0,000 0,000 0,000 0,000 1 0,792 0,482 0,118 0,019 0,002 0,000 0,000 0,000 0,000 0,000 0,000 2 0,950 0,762 0,310 0,077 0,012 0,001 0,000 0,000 0,000 0,000 0,000 3 0,991 0,917 0,549 0,202 0,046 0,006 0,000 0,000 0,000 0,000 0,000 4 0,999 0,978 0,758 0,389 0,126 0,025 0,003 0,000 0,000 0,000 0,000 5 1,000 0,995 0,894 0,597 0,264 0,072 0,011 0,001 0,000 0,000 0,000 6 1,000 0,999 0,962 0,775 0,448 0,166 0,035 0,003 0,000 0,000 0,000 7 1,000 1,000 0,989 0,895 0,641 0,315 0,092 0,013 0,000 0,000 0,000 8 1,000 1,000 0,997 0,960 0,801 0,500 0,199 0,040 0,003 0,000 0,000
  • 68.
    68 9 1,000 1,0001,000 0,987 0,908 0,685 0,359 0,105 0,011 0,000 0,000 10 1,000 1,000 1,000 0,997 0,965 0,834 0,552 0,225 0,038 0,001 0,000 11 1,000 1,000 1,000 0,999 0,989 0,928 0,736 0,403 0,106 0,005 0,000 12 1,000 1,000 1,000 1,000 0,997 0,975 0,874 0,611 0,242 0,022 0,001 13 1,000 1,000 1,000 1,000 1,000 0,994 0,954 0,798 0,451 0,083 0,009 14 1,000 1,000 1,000 1,000 1,000 0,999 0,988 0,923 0,690 0,238 0,050 15 1,000 1,000 1,000 1,000 1,000 1,000 0,998 0,981 0,882 0,518 0,208 16 1,000 1,000 1,000 1,000 1,000 1,000 1,000 0,998 0,977 0,833 0,582 17 1,000 1,000 1,000 1,000 1,000 1,000 1,000 1,000 1,000 1,000 1,000 18 0 0,397 0,150 0,018 0,002 0,000 0,000 0,000 0,000 0,000 0,000 0,000 1 0,774 0,450 0,099 0,014 0,001 0,000 0,000 0,000 0,000 0,000 0,000 2 0,942 0,734 0,271 0,060 0,008 0,001 0,000 0,000 0,000 0,000 0,000 3 0,989 0,902 0,501 0,165 0,033 0,004 0,000 0,000 0,000 0,000 0,000 4 0,998 0,972 0,716 0,333 0,094 0,015 0,001 0,000 0,000 0,000 0,000 5 1,000 0,994 0,867 0,534 0,209 0,048 0,006 0,000 0,000 0,000 0,000 6 1,000 0,999 0,949 0,722 0,374 0,119 0,020 0,001 0,000 0,000 0,000 7 1,000 1,000 0,984 0,859 0,563 0,240 0,058 0,006 0,000 0,000 0,000 8 1,000 1,000 0,996 0,940 0,737 0,407 0,135 0,021 0,001 0,000 0,000 9 1,000 1,000 0,999 0,979 0,865 0,593 0,263 0,060 0,004 0,000 0,000 10 1,000 1,000 1,000 0,994 0,942 0,760 0,437 0,141 0,016 0,000 0,000 11 1,000 1,000 1,000 0,999 0,980 0,881 0,626 0,278 0,051 0,001 0,000 12 1,000 1,000 1,000 1,000 0,994 0,952 0,791 0,466 0,133 0,006 0,000 13 1,000 1,000 1,000 1,000 0,999 0,985 0,906 0,667 0,284 0,028 0,002 14 1,000 1,000 1,000 1,000 1,000 0,996 0,967 0,835 0,499 0,098 0,011 15 1,000 1,000 1,000 1,000 1,000 0,999 0,992 0,940 0,729 0,266 0,058 16 1,000 1,000 1,000 1,000 1,000 1,000 0,999 0,986 0,901 0,550 0,226 17 1,000 1,000 1,000 1,000 1,000 1,000 1,000 0,998 0,982 0,850 0,603 18 1,000 1,000 1,000 1,000 1,000 1,000 1,000 1,000 1,000 1,000 1,000 19 0 0,377 0,135 0,014 0,001 0,000 0,000 0,000 0,000 0,000 0,000 0,000 1 0,755 0,420 0,083 0,010 0,001 0,000 0,000 0,000 0,000 0,000 0,000 2 0,933 0,705 0,237 0,046 0,005 0,000 0,000 0,000 0,000 0,000 0,000 3 0,987 0,885 0,455 0,133 0,023 0,002 0,000 0,000 0,000 0,000 0,000 4 0,998 0,965 0,673 0,282 0,070 0,010 0,001 0,000 0,000 0,000 0,000 5 1,000 0,991 0,837 0,474 0,163 0,032 0,003 0,000 0,000 0,000 0,000 6 1,000 0,998 0,932 0,666 0,308 0,084 0,012 0,001 0,000 0,000 0,000 7 1,000 1,000 0,977 0,818 0,488 0,180 0,035 0,003 0,000 0,000 0,000 8 1,000 1,000 0,993 0,916 0,667 0,324 0,088 0,011 0,000 0,000 0,000 9 1,000 1,000 0,998 0,967 0,814 0,500 0,186 0,033 0,002 0,000 0,000 10 1,000 1,000 1,000 0,989 0,912 0,676 0,333 0,084 0,007 0,000 0,000 11 1,000 1,000 1,000 0,997 0,965 0,820 0,512 0,182 0,023 0,000 0,000 12 1,000 1,000 1,000 0,999 0,988 0,916 0,692 0,334 0,068 0,002 0,000 13 1,000 1,000 1,000 1,000 0,997 0,968 0,837 0,526 0,163 0,009 0,000 14 1,000 1,000 1,000 1,000 0,999 0,990 0,930 0,718 0,327 0,035 0,002 15 1,000 1,000 1,000 1,000 1,000 0,998 0,977 0,867 0,545 0,115 0,013
  • 69.
    69 16 1,000 1,0001,000 1,000 1,000 1,000 0,995 0,954 0,763 0,295 0,067 17 1,000 1,000 1,000 1,000 1,000 1,000 0,999 0,990 0,917 0,580 0,245 18 1,000 1,000 1,000 1,000 1,000 1,000 1,000 0,999 0,986 0,865 0,623 19 1,000 1,000 1,000 1,000 1,000 1,000 1,000 1,000 1,000 1,000 1,000 20 0 0,358 0,122 0,012 0,001 0,000 0,000 0,000 0,000 0,000 0,000 0,000 1 0,736 0,392 0,069 0,008 0,001 0,000 0,000 0,000 0,000 0,000 0,000 2 0,925 0,677 0,206 0,035 0,004 0,000 0,000 0,000 0,000 0,000 0,000 3 0,984 0,867 0,411 0,107 0,016 0,001 0,000 0,000 0,000 0,000 0,000 4 0,997 0,957 0,630 0,238 0,051 0,006 0,000 0,000 0,000 0,000 0,000 5 1,000 0,989 0,804 0,416 0,126 0,021 0,002 0,000 0,000 0,000 0,000 6 1,000 0,998 0,913 0,608 0,250 0,058 0,006 0,000 0,000 0,000 0,000 7 1,000 1,000 0,968 0,772 0,416 0,132 0,021 0,001 0,000 0,000 0,000 8 1,000 1,000 0,990 0,887 0,596 0,252 0,057 0,005 0,000 0,000 0,000 9 1,000 1,000 0,997 0,952 0,755 0,412 0,128 0,017 0,001 0,000 0,000 10 1,000 1,000 0,999 0,983 0,872 0,588 0,245 0,048 0,003 0,000 0,000 11 1,000 1,000 1,000 0,995 0,943 0,748 0,404 0,113 0,010 0,000 0,000 12 1,000 1,000 1,000 0,999 0,979 0,868 0,584 0,228 0,032 0,000 0,000 13 1,000 1,000 1,000 1,000 0,994 0,942 0,750 0,392 0,087 0,002 0,000 14 1,000 1,000 1,000 1,000 0,998 0,979 0,874 0,584 0,196 0,011 0,000 15 1,000 1,000 1,000 1,000 1,000 0,994 0,949 0,762 0,370 0,043 0,003 16 1,000 1,000 1,000 1,000 1,000 0,999 0,984 0,893 0,589 0,133 0,016 17 1,000 1,000 1,000 1,000 1,000 1,000 0,996 0,965 0,794 0,323 0,075 18 1,000 1,000 1,000 1,000 1,000 1,000 0,999 0,992 0,931 0,608 0,264 19 1,000 1,000 1,000 1,000 1,000 1,000 1,000 0,999 0,988 0,878 0,642 20 1,000 1,000 1,000 1,000 1,000 1,000 1,000 1,000 1,000 1,000 1,000 25 0 0,277 0,072 0,004 0,000 0,000 0,000 0,000 0,000 0,000 0,000 0,000 1 0,642 0,271 0,027 0,002 0,000 0,000 0,000 0,000 0,000 0,000 0,000 2 0,873 0,537 0,098 0,009 0,000 0,000 0,000 0,000 0,000 0,000 0,000 3 0,966 0,764 0,234 0,033 0,002 0,000 0,000 0,000 0,000 0,000 0,000 4 0,993 0,902 0,421 0,090 0,009 0,000 0,000 0,000 0,000 0,000 0,000 5 0,999 0,967 0,617 0,193 0,029 0,002 0,000 0,000 0,000 0,000 0,000 6 1,000 0,991 0,780 0,341 0,074 0,007 0,000 0,000 0,000 0,000 0,000 7 1,000 0,998 0,891 0,512 0,154 0,022 0,001 0,000 0,000 0,000 0,000 8 1,000 1,000 0,953 0,677 0,274 0,054 0,004 0,000 0,000 0,000 0,000 9 1,000 1,000 0,983 0,811 0,425 0,115 0,013 0,000 0,000 0,000 0,000 10 1,000 1,000 0,994 0,902 0,586 0,212 0,034 0,002 0,000 0,000 0,000 11 1,000 1,000 0,998 0,956 0,732 0,345 0,078 0,006 0,000 0,000 0,000 12 1,000 1,000 1,000 0,983 0,846 0,500 0,154 0,017 0,000 0,000 0,000 13 1,000 1,000 1,000 0,994 0,922 0,655 0,268 0,044 0,002 0,000 0,000 14 1,000 1,000 1,000 0,998 0,966 0,788 0,414 0,098 0,006 0,000 0,000 15 1,000 1,000 1,000 1,000 0,987 0,885 0,575 0,189 0,017 0,000 0,000 16 1,000 1,000 1,000 1,000 0,996 0,946 0,726 0,323 0,047 0,000 0,000 17 1,000 1,000 1,000 1,000 0,999 0,978 0,926 0,488 0,109 0,002 0,000 18 1,000 1,000 1,000 1,000 1,000 0,993 0,971 0,659 0,220 0,009 0,000
  • 70.
    70 19 1,000 1,0001,000 1,000 1,000 0,998 0,991 0,807 0,383 0,033 0,001 20 1,000 1,000 1,000 1,000 1,000 1,000 0,998 0,910 0,579 0,098 0,007 21 1,000 1,000 1,000 1,000 1,000 1,000 0,926 0,967 0,766 0,236 0,034 22 1,000 1,000 1,000 1,000 1,000 1,000 1,000 0,991 0,902 0,463 0,127 23 1,000 1,000 1,000 1,000 1,000 1,000 1,000 0,998 0,973 0,729 0,358 24 1,000 1,000 1,000 1,000 1,000 1,000 1,000 1,000 0,996 0,928 0,723 25 1,000 1,000 1,000 1,000 1,000 1,000 1,000 1,000 1,000 1,000 1,000
  • 71.
    71 DAFTAR PUSTAKA Conover, W.J,1980, Practical Nonparametric Statistics second edition, New York : John Wiley & Sons. Daniel, Wayne W. 1994. Biostatistics, a Foundation for Analysis in the Health Sciences. John Wiley and sons, Inc. New York. Hadi, Soetrisno, 1993, Statistik 2 , Yogyakarta ; Andi Offset Lemeshow, dkk, 1997, Besar Sampel Dalam Penelitian Kesehatan, Yogyakarta : Gajah Mada University Press Nasir, Moh, 1985, Metode Penelitian cetakan pertama, Jakarta : Ghalia Indonesia. Siegel, Sidney, 1956, Non Parametric Statistics For The Behavioral Sciences, New York : Mc Graw-Hill Book Company. Siegel, Sidney, 1986, Statistik Non Parametrik Untuk Ilmu-Ilmu Sosial, diterjemahkan oleh Zanzawi Suyuti dan Landung Simatupang dalam koordinasi Peter Hagul, Cetakan ke 2, Jakarta : Gramedia. Snedecor, George W dan Cochran, William G, 1980, Statistical Methods seventh edition, Ames Iowa USA : The Iowa State University Press Soejoeti, Zanzawi, 1984/1985, Buku Materi Pokok Metode Statistik II STA 202/3 SKS/Modul 1- 5, Jakarta : Universitas Terbuka, Departemen Pendidikan dan Kebudayaan. Soejoeti, Zanzawi, 1985, Buku Materi Pokok Metode Statistik II STA 202/3 SKS/Modul 6-9, Jakarta : Universitas Terbuka, Departemen Pendidikan dan Kebudayaan. Soepeno, Bambang, 1997, Statistik Terapan (Dalam Penelitian Ilmu-Ilmu Sosial dan Pendidikan), Jakarta ; PT. Rineka Cipta Sujana, 1992, Metoda Statistika, edisi ke 5, Bandung : Tarsito.