2
Cardiff University
Mr. David Glencross
Sustainability Challenge Coordinator
1. Abstract 4
2. Introduction 5
3. Sustainability 6
i. What is it?
ii. Why is it important?
4. The Green League 8
i. What is it?
ii. How does it work?
iii. What are its restrictions?
iv. What must be done?
5. Current Schemes 12
i. Sustainability Week
ii. Go Green Week
iii. Bike Week
iv. Get it Out for Cardiff
v. PHEW
vi. Live Greener 2014/15
a. Blackout
b. Green Impact
c. Student Switch Off
d. Snap it Off
6. Carbon Management Plan 2014 18
i. What is it?
ii. Finances
iii. Data Collection
iv. Base Year Information
v. What has been achieved so far?
vi. Annual Carbon emissions since 2005/2006
vii. Gas
viii. Electricity
ix. Energy Saving Projects (by year)
x. Carbon Footprint Saving Projects
xi. Energy Saving Projects in Residences
xii. Current and Future Commitments
xiii. Financial spend on Energy Saving Projects
xiv. Carbon Management Plan 2014-2017
3
xv. Transport
xvi. Water
xvii. Waste
xviii. Business as Usual Scenario for Scope 1 and 2
xix. Summary
7. Building Sustainable Laboratories 45
i. Who is backing the scheme?
ii. What can we learn from other Universities?
iii. What does this mean for Cardiff?
8. Potential Savings 47
i. Method
ii. What makes up an ‘average’ laboratory?
iii. Energy Consumption Calculation
iv. Pricing
v. Estimated Annual Electricity Consumption of Selected Lab Equipment
vi. What are the potential savings?
vii. Restrictions
viii. Conclusion
9. Sustainability Challenge Coordinator 52
i. So what can Cardiff University do?
10.The Freezer Challenge 53
i. UC Davis
ii. What is ‘sample management’?
iii. Cardiff
iv. Possible Ideas
11. General Energy Saving Ideas 60
i. Possible Laboratory Practices
ii. Possible University Practices
iii. Other Universities
a. Student Eats
b. Students’ Green Fund
c. Global Sunrise Project
12. Executive Summary 68
13. References 69
14. Appendix 71
A. Equipment Number in the School of Biosciences
B. Equipment Number in the School of Medicine
C. Equipment Number in the School of Pharmacy and Pharmaceutical Sciences
4
Abstract
As a ‘Sustainability Challenge Coordinator’ the main aim of my project is to identify viable
ways to reduce energy usage in laboratories through the freezer challenge, which the unit is
looking at ways to launch during the academic term 2014/15. While the main priority of this
friendly challenge is to save energy, it is also designed to help participants learn how to
increase their sample access and security, develop key sample management skills, and
maintain freezers in optimum condition to keep their research samples safer. The challenge
is for as many labs as possible to participate in freezer temperature tuning (moving from -80
to -70), cleaning & maintenance, and in organizing samples and identifying material in need
of disposal. The project will involve research into the number and location of -80 freezers
across the scientific schools, identifying where there is an opportunity for these freezers to
be ‘warmed up’ from -80 to -70 and will link with the new Carbon Management Plan that will
involve the calculation of potential energy savings. The project will also involve collating
evidence to show the benefits in doing this and alleviate any concerns that laboratory
managers may have. Major findings include the possibility of DNA being stored at -20 °C
instead of -80 °C, that an ultra-low temperature freezer (UTL) set at 60 °C may use half the
electricity of one set to -86 °C and that when students leave university their research remains
in the freezers for several years after, demonstrating that annual lab stock-checks must be
considered. Other potential energy saving methods in laboratories have also been drawn up
and include a one minute sustainability video at the start of every lab practical for
undergraduate students, lab checklists placed on doors to ensure all listed equipment is
turned off at the end of each day and gold, silver and bronze medals to be awarded to
department laboratories that adhere to certain sustainability compliances. This booklet has
been designed to outline just how Cardiff University can become more sustainable, mainly
through trying to convince both researchers and lecturers of what should and can be done in
laboratories to reduce our energy output. By using cold, hard evidence to back up our claims
we hope that people will agree to listen and change their practices accordingly, which will
ensure a brighter and more sustainable future for us all.
Mr. David Glencross
2nd Year Biology Student
Sustainability Challenge Coordinator
5
Introduction
Cardiff University is recognized in independent assessments as one of Britain’s leading
teaching and research universities and is ranked amongst the top universities in the world. It
is a member of the Russell Group, an assemblage of 24 leading UK research intensive
universities that are committed to maintaining the very best research, an outstanding
teaching and learning experience and unrivalled links with business and the public sector.
The University is composed of three colleges: Arts, Humanities and Social Sciences;
Biomedical and Life Sciences; and Physical Sciences and Engineering, where it currently has
a total enrolment of 28,000 students (5,500 of which live in student residences on campus).
It is the 12th
largest university in the UK in terms of student numbers, employs 6,000 staff and
had a total estimated income for 2013/14 of £460M. The Cardiff University academic
community is the size of a small town, with research being undertaken in each of the
University’s 28 Schools and, at any one time, there are more than 1,800 research contracts
and grants in operation. The University occupies a total of 420,000m2
in Cardiff City centre,
whilst the actual footprint extends from Heath Park in the North to Newport Road in the
South. However, the main campus is concentrated around the Cathays Park which is a major
conservation area located at the heart of the city (Carbon Management Plan Task and Finish
Group, 2013). Cardiff University is one such university that pursues the principles of
sustainable development both in its engagement with external stakeholders and in the
management of its internal operations. The University also seeks to bring about positive
change through a world-leading programme of research, learning and teaching (which
addresses a wide range of sustainability issues) and various annual schemes that try and
promote a sustainable lifestyle to both their staff and students alike. All this can therefore be
used to highlight Cardiff University’s commitment towards building a sustainable future.
Cardiff University Main Building; construction completed in 1909.
6
Sustainability
i. What is it?
Definition: Since the 1980s sustainability has been used more in the sense of human
sustainability on planet Earth and this has resulted in the most widely quoted definition of
sustainability as a part of the concept sustainable development, that of the Brundtland
Commission of the United Nations on March 20, 1987:
ii. Why is it important?
Climate change is the most urgent issue affecting our planet right now and has been
described as the defining human development issue of our generation. Climate change-
related hazards are both ongoing and increasing and are consequently posing a serious threat
to the achievement of the eight MDGs (Millennium Development Goals). These goals range
from halving extreme poverty rates to halting the spread of HIV/AIDS and providing universal
primary education, all by the target date of 2015, forming a blueprint agreed to by all the
world’s countries and leading development institutions (Un.org, 2014). Yet climate change
has the potential to reverse years of these development gains. Tackling the climate is also a
need for justice, as developing countries have 98% of the seriously affected and 99% of all
deaths from weather-related disasters, along with over 90% of the total economic losses.
Additionally, the 50 Least Developed Countries contribute less than 1% of global carbon
emissions and so climate change and global poverty must be combated simultaneously. 75%
of the world’s poor live in rural areas and largely depend on natural resources for their
livelihoods and income. They suffer the most from natural disasters due to poor
infrastructure and systems that are not equipped to deal with the drastic impact of major
catastrophes like the 2004 tsunami or Haiti earthquake.
Projected impacts from climate change include the following:
1. Decline in agricultural productivity: The areas suitable for agriculture, the length of
growing seasons and the yield potential of food staples are all projected to decline.
Some African countries could see agricultural yields decrease by 50% by 2050 and crop
net revenues could fall by as much as 90% by 2100.
“Sustainable development is development that meets the needs of the present without
compromising the ability of future generations to meet their own needs.”
7
2. Increased water stress: Changing climate patterns will have important implications for
water availability in Africa. By 2020, an additional 75-250 million people in Africa are
projected to be exposed to increased water stress due to climate change.
3. Rising sea levels: Across the globe, sea levels could rise rapidly with accelerated ice
sheet disintegration. In Africa, highly productive ecosystems, which form the basis for
important economic activities such as tourism and fisheries, are located in coastal
zones. In total, 70 million people and 30% of the Africa’s coastal infrastructure could
face the risk of coastal flooding by 2080 because of rising sea levels.
4. Risks to human health: Climate change will affect human health through variables such
as changes in temperature, exposure to natural disasters, access to food and air
quality. Previously malaria-free highland areas in Ethiopia, Kenya, Rwanda and Burundi
could experience modest incursions of malaria by the 2050s, with conditions for
transmission becoming highly suitable by the 2080s. In total, an additional 260-320
million people worldwide could be living in malaria-infested areas by 2080.
5. Threats to ecosystems and biodiversity: Changes induced by climate change are likely
to result in species range shifts and changes in tree productivity, adding further stress
to forest ecosystems. Studies predict that 25-40% of mammal species such as zebra
could become endangered or extinct by 2080. A study has shown that in the Indo-
Burma region – an area with one of the highest diversity of life on the planet –
freshwater species are at risk from a number of threats (Freshwater biodiversity in
Indo-Burma under threat, 2012).
Global efforts are key to ensuring environmental sustainability. Industrialized countries are
historically responsible for the bulk of greenhouse gas emissions, but meaningful reductions
in emissions today can only be achieved through an approach that includes emerging
markets. Developing regions like sub-Saharan Africa must be enabled to embark on a low
carbon growth path as they continue to grow their economies, with industrialized countries
having an obligation to support Africa and other regions in this endeavour. Moreover, it is in
their interest to do so as climate change impacts will be felt throughout the world, with
developing and emerging countries even having signalled that they would agree to a global
climate deal if they are sufficiently supported. In addition, there are untapped opportunities
for partnering with sub-Saharan Africa to stem further declines, as Africa’s vast rainforests
and natural resources could be invested through re-forestation and agro-forestry programs
to provide sustainable livelihoods and carbon storage/sequestration (Globalcitizen.org,
2012).
8
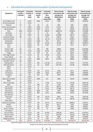
The Green League
i. What is it?
People & Planet’s Green League is the only comprehensive and independent league table of
UK universities ranked by environmental and ethical performance. It is compiled annually
by the UK’s largest student campaigning network, People & Planet where it applauds the
greenest and exposes the least-green universities in the country. Cardiff University’s Green
League position can be viewed below from 2007 (when records began) until 2013, with the
2014 table to be published in November.
Year Rank Total Score Award Classification
2007 82 / 120 18 / 50 3rd
2008 84 / 129 25.5 / 60 3rd
2009 17 / 131 44 / 70 1st
2010 77 / 137 26 / 70 2:2
2011 130 / 142 16.5 / 70 FAIL
2012 75 / 153 34.5 / 70 2:1
2013 85 / 152 32 / 70 2:2
ii. How does it work?
In 2007, “People & Planet” ran its first “Green League” for universities, assessing their
environment-sustainability performance across a range of indicators, and then categorizing
them as universities categorize student degrees – First, Upper Second, Lower Second, and so
on. Since winning the award for the best campaign of the year in 2007 at the British
Environment and Media Awards ceremony, the Green League has amassed much publicity,
particularly due to the fact that the “Green League” is published in the popular university
weekly newspaper, the Times Higher Education Magazine (in 2011, the Green League was
published in the Guardian Newspaper). Such a critical focus on league tables could be
particularly illuminating as Dobson et al. (2010) point out;
Universities near the top of the table are externally rewarded and thereby legitimized for
such actions by having satisfied certain “sustainability criteria” (no matter well-conceived or
in conceived), whilst those near the bottom are named and shamed for everyone to see. A
conceptual paper written by David Jones (2012) explores the impact of these ever popular
sustainability performance league tables on current university agendas, where it draws on
the critique of the “Green League Table” in the UK whilst discussing how higher education
“University managers are very sensitive to league tables; rightly or wrongly they believe that it makes a real
difference to an institution's prospects whether it is near the top or near the bottom”.
9
has the unique potential to catalyse and/or accelerate a societal transition toward
sustainability. This paper can be found at the following link;
http://www.emeraldinsight.com/journals.htm?articleid=17038766#idb48
iii. What are its restrictions?
Cardiff University in 130th place in the 2011 League Tables, their lowest ever position.
As Jones (2012) stated, it is pertinent to note that drawing specifically from the 2011 tables
(a full list of which can be found online) Cardiff University gained only 130th
position, which
is in spite of their substantial world renowned sustainability research profile and reputation.
Looking at this 2011 table more deeply, newer, teaching-focused institutions tend to be at
the top, while research-intensive Russell Group members are hardly to be seen in the higher
rankings. The Russell Group represents 24 leading UK universities which are committed to
maintaining the very best research, an outstanding teaching and learning experience and
unrivalled links with business and the public sector, with example universities alongside
Cardiff including Oxford, Cambridge, Bristol, Birmingham and Southampton. None of the 24
make it into the top 20, with only five of the Russell Group members get 2.1’s, ten receive
2.2’s and three – Oxford, Sheffield and Liverpool only managing thirds. Cardiff is deemed to
have failed. Why are none of these universities measuring up? As Louise Hazan, People &
Planet’s climate change campaign and communication manager argues;
“For non-Russell Group universities, being green is definitely a selling point and a way to attract students …
that's not the case for Russell Group institutions. Being research intensive means that they are bound to be
using lots of water and energy compared with teaching universities … in terms of policy, I think it could be
said, for some institutions, to come down to a certain arrogance that this is not a priority for them”.
10
This blinkered tick-box perspective, downplaying the wider research agenda in contrast to
the quick, internalized, techno-fixes is rebutted by Wendy Piatt, the Russell Group’s director
general who argues that;
Clearly, a high level of environmental research does not seem to correlate with the on-going
criteria and weightings of such league tables. In other words, universities could in effect
develop leading sustainability trans-disciplinary engagement and involvement cultures
around teaching and research and be assigned to the lower levels of such tables. As a Cardiff
spokesman points out;
Seen through this perspective, such league tables, no matter how well intentioned, provide
a dangerous signal to universities to pay lip service to systemic stakeholder engagement
whilst strategy, policy and resource are directed to a top-down, short term, set of technical
carbon fixes which are rewarded and legitimized by the student campaigning group.
Institutions of higher education have a particularly interesting potential in society to facilitate
societal responses to the plethora of sustainability challenges facing communities around the
world, and so must continue to promote and encourage sustainability practices in and
amongst wider communities. As a result, these Green League tables can be used as a
guideline to see how sustainable a university actually is, but they must have their limitations
/ restrictions taken into account when used as such a measure.
iv. What must be done?
In order to contextualize the approach to change taken by “People & Planet”, it is pertinent
to note that when many NGOs, environmentalists and neo-conservatives exhort modern
humans to change their ways, they often rely on fear communications: Unless we change our
lifestyles, societal collapse is right around the corner. This fits into the perspective which
Newton (2002) describes as, “technicist kitsch” and the evangelic imploration that things
“must” change because, ecologically speaking, they “have to”. It is this paper’s assertion that
“Environmental concerns are taken very seriously … all our universities treat their environmental obligations,
policies and goals as high priorities. Research in science and engineering, particularly, involves a relatively
high level of energy consumption and important work in the environment field is being carried out at Russell
Group institutions. Researchers are working on new low, carbon energy technologies at Imperial College
London, for example, the development of greener aircraft at Bristol and catalysing cleaner fuels at Oxford.
Such initiatives are crucial if the UK is to remain a world-leader in global efforts to deal with climate change”.
“People & Planet continually fail to credit Cardiff University for the number of core staff we have with
designated environmental responsibilities, seemingly because they are not purely dedicated to
environmental issues”.
11
such league tables, along with many western governments and institutions, such as
universities and their funding bodies (like Hefce in England), are complicit in focusing on
short-term, top-down, technology focused carbon management plans, targets and
performance rather than embracing wider inherent social, environmental and economic
conflicts and longer term, engagement challenges of sustainability. As the UK’s “People &
Planet” guide (Green League 2011 Guide, 2011, p. 11) warn us,
It is of no surprise that league tables and their university sycophants have focused on short-
term techno-fixes on transport, waste initiatives such as teleconferencing, recycling bins,
printing quotas and car sharing schemes without any critical reflections on the various long-
term implications. From the perspective of many university technocrats, the urgency of
mitigating our negative impact on climate change, as legitimized by such league tables,
governments and funding bodies, has thus provided a political argument to implement
“knee-jerk”, quick fix, uncritical solutions, from an increasingly judgmental, self-righteous
perspective. Clearly, more than ever before, university senior managers are embracing the
environmental agenda as many top-down decisions can now draw on the unquestionable
legitimacy of the climate imperative rather than stakeholder involvement, participation and
legitimacy. However, whilst fear communications can produce attitude change (Leventhal et
al., 1967), they can also lead to denial and accusations that the communicator is an alarmist.
As Roszak (1992) argues, “neither fear nor guilt” will provide the motivation to change the
urban-industrial culture that has caused the environmental crisis. Kaplan (2000) believes that
tapping into the human desire to explore and learn is far more effective in inspiring concern
for nature than dictating behaviour. People often are unmotivated to comply with
increasingly used top-down, punitive university initiatives, but may be more responsive when
they are given the opportunity to learn, explore and drive an initiative which has a personal,
emotional attachment for them. For example, a person may resent university pressure to car
share or take public transport, but actively work to protect a local green space or park they
enjoy visiting, showing that the emotional aspect of human-nature relationships may partly
explain some of these individual differences, so cannot be ignored.
A steep and annual reduction in global carbon emissions is required to avert catastrophic global climate
destabilisation and keep global warming increases to below 2 degrees. The UK Government expects all sectors of
society to contribute to the 80 per cent reductions by 2050 enshrined in the Climate Change Act (2008) and
Climate Change (Scotland) Act (2009). Carbon management is therefore central to the future of environmental
management in universities, as recognized by the joint publication by Hefce, Universities UK and GuildHE's of a
Carbon Reduction Strategy (2010) which set a sector-wide carbon reduction target for the first time. It rewards
those universities with ambitious-short term targets as these are crucial to reducing the impact of cumulative
emissions and getting an institution on track for a longer-term transition to low-carbon operations.
12
Current Schemes
Below are a couple of current schemes run by Cardiff University to encourage both their staff
and students to become more sustainable in their everyday lives.
i. “Sustainability Week”
Running from 4th
-8th
November 2013, Sustainability Week is
an annual event that showcases Cardiff University’s world-
leading research and teaching in the field of sustainability.
This week-long event will aim to engage staff, students and
the wider community in making a concerted and joined-up
effort to reduce our impact on the planet by becoming more
socially, economically, and culturally aware. It also provides a
chance for everyone to join in and make a concerted effort to
reduce our impact on the planet, with the week including
activities such as charity fairs, discussions, exhibitions and more. Last year’s highlights
included:
I. Mind the Gap – a debate chaired by Griff Rhys Jones, Patron of the Sustainable Places
Research Institute who examined the issue of providing reliable, affordable, clean
energy for current and future generations.
II. Plymouth Wood restoration – staff spent a few hours litter-picking, clearing and
getting involved in conservation work at an ancient woodland near Cardiff.
III. Get on your bike for sustainability – Staff and students were able to take advantage of
a free bike service provided by the university, with bikes being brought along to the
Doctor Bike service for Cardiff Cycle Workshop mechanics to diagnose and repair any
problems.
IV. Cardiff Foodbank – A city-wide project that both helps and supports community
members who face financial hardship and the reality of not being able to feed
themselves or their families. It is estimated that around 50,000 people in Cardiff are
deemed ‘deprived’ and around 78.5% of children live in families that are reliant upon
benefits. The idea of the Foodbank is that every time you go shopping you buy at least
one extra item (from a list provided by the Foodbank) and place it in a dedicated box.
If we are all doing this as a matter of habit, we will eventually be able to generate a
significant flow of food for the city’s less privileged.
By the end of the week the aim is to have as many people as possible discover something
new about sustainability, to learn and adopt some tips to become more sustainable and
perhaps become encouraged by those around them to do the same.
13
ii. “Go Green Week”
Every year Cardiff University plays host to a string of events
taking place as part of Cardiff Council’s Go Green week, which
includes activities such as litter picking, community
walkabout and green workshops. This year these activities
took place from 10th
– 14th
February 2014 and were held all
across Cardiff University’s main campus as well as the rest of
the Cathays area. This annual event is aimed towards
encouraging both students and residents to embrace a more
sustainable lifestyle by raising awareness on sustainability
issues and to inspire students and staff to take action to prevent climate change. The events
this year began with a sustainable travel workshop aimed at helping people get to know local
cycling routes, and was rounded off with a litter pick around Cathays, with additional
engaging activities including a film night, a debate and a Vegetarian Come Dine with Me.
Following on closely from Go Green week is Fairtrade week where this year a St. David’s day
parade took place to celebrate Cardiff’s tenth year as a fair trade city.
iii. “Bike Week”
National Bike week is an annual event that ran between
14 – 22nd
June in 2014 and is a time for ‘celebration of
cycling’ in the UK. Here motorists are encouraged to try
cycling to work for one week (most car commuters drive
less than five miles to work), and all money raised from
donations is split between the Bike Week’s national
charity Leukaemia Research, and Cardiff University’s
Social and Community Action Network (SCAN). This year Cardiff University undertook a week
long programme of events in conjunction with National Bike Week such as free safety checks
for bicycles, rides for novice and experienced cyclists and a breakfast for staff, whilst a free
adult cycle skills training session was also run at Cardiff University’s Main Building. Peter
Dorrington, a former PhD student at Cardiff University was a member of the University’s
Bicycle User Group and organiser of Cardiff bike week back in 2007:
"Bike week is a great opportunity for Cardiff staff and students to discover (or re-discover) the appeal of
cycling. The obvious benefits of cycling include improved health and fitness, financial savings - a bike is the
cheapest of all vehicles to run, and parking is free - along with the positive impact on the environment. Cardiff
University's Bike Task Group has been promoting cycling issues within the University for over a year now, and
bike week is seen as a positive step in promoting a greener transport policy within Cardiff University."
14
iv. “Get it Out for Cardiff”
Get it Out for Cardiff is an annual recycling and re-use
campaign that occurs at the end of term (mid to late
June) when students move out of their house or hall,
ensuring that their community will be left clean and tidy
when they leave. There are special recycling and rubbish
days and drop off zones around the city where students
can donate all their unwanted goods, and not only does
this ensure a tidy community but a number of local
charities will benefit from the donations as well. Food is
collected for FareShare Cymru – a charity supporting
communities to relieve food poverty. Clothing, electrical
items, media and bric-a-brac are being collected for the YMCA to directly reinvest in projects
and services for homeless people at the Cardiff YMCA Housing Association, and kitchen items
will be stored over the summer by Cardiff Self Storage to be sold to students at the start of
term at heavily discounted prices, with all proceeds going to charity. The scheme is designed
to help students across Cardiff plan a stress-free move out of their accommodation whilst
recycling a lot of reusable items.
v. “Positive Health + Environment Week (PHEW)”
Ensuring that the health and wellbeing of staff is supported
is extremely important if we are to ensure that we have a
happy, healthy and productive workforce, and so the main
aim of PHEW is to encourage, support and develop the
health and wellbeing of Cardiff University’s employees.
Since the first Positive Health and Environment Week in
2009 this has become a popular annual event in the
University calendar, taking place this year from Monday
30th
June to Friday 11th
July 2014. Such events and activities
that take place include fitness classes, sports tournaments,
health checks, adventure and craft activities, workshops and talks, tours of some of Cardiff’s
fascinating sites and exhibitions, music and dance, and much more. These events take place
at different locations and at different times of the day, evening and weekend to enable as
many people as possible to participate, and best of all are completely free of charge to
members of staff.
15
vi. “Live Greener 2014/2015”
In 2013 NUS Wales were awarded a £68,000 contract substantially funded by the Welsh
Government and managed through the Higher Education Funding Council Wales (HEFCW) for
Live Greener – a 12 month project putting Welsh students at the heart of the sustainability
agenda. NUS Wales will be able to deliver sector-leading greening initiatives Blackout, Green
Impact, Student Switch Off and Snap It Off to Wales, which will not only make measurable
differences to institutions, students and the environment, but also save students’ unions
money, make students more employable, and engage more students with their unions.
a. “Blackout”
On the 21st
March 2014 Cardiff University took part in a
competition that was the first of its kind. As part of efforts to
reduce energy usage and promote sustainability universities
across Wales simultaneously conducted energy audits and
switched off unnecessary office equipment across their
campuses. The aim of the night was to audit equipment left on
across buildings on campus, and switch off anything left on
unnecessarily for the weekend, and from this, work out savings
that could be made. Cardiff were competing against other
universities in Wales, including Cardiff Met, Swansea,
Aberystwyth, Bangor and University of Wales Trinity Saint
David, with students required to volunteer a few hours of their
evening in order to help out. At Cardiff we had 8 teams
comprising of one staff team leader and 3-4 students (18 Staff members volunteered, with
35 student volunteers) who visited Glamorgan, Bute, Law and Mc Kenzie House, where
they noted computers which had not been logged off and switched off monitors, printers,
lights and other unused equipment. In all the buildings audited a total of 229 monitors
that had been left in standby mode and 84 printers had been left on.
16
b. “Green Impact”
Green Impact is an environmental
accreditation and awards scheme run by the
National Union of Students that brings together
staff and students to green campuses,
curriculums and communities across the
country. They recognise the potential of staff
and students to change the way their institutions behave, from the bottom up. Working
across UK students’ unions, universities and colleges and community organisations, Green
Impact supports teams and departments to make simple, tangible and powerful changes in
behaviour and policy through an online workbook of criteria. From recycling, to investing in
more efficient equipment, to encouraging biodiversity, or Fairtrade, the various criteria cover
a broad range of issues under the sustainability umbrella, all tailored to an individual
institution to cover local policy and processes, including links to online resources, relevant
policies, schemes and events. Green Impact follows a simple but effective cycle, focusing on
providing simple actions, supporting people to make the changes and rewarding them for
their efforts. Cardiff University implements this NUS-led Green Impact scheme, with 2014
being the first year Cardiff has taken part in the Green Impact Awards and saw a total of 30
teams from across the University sign up to take part in the project. The University is
encouraging staff and students to submit entries of energy-saving ideas, the best of which
will be awarded with a £100 prize as well as possible implementation throughout the
University. Staff and students are being encouraged to come up with innovative green ideas
to improve the University’s environmental impact, with the winning idea to be unveiled at
The Green Impact Awards in May 2014. Led by the National Union of Students’ the Green
Impact Universities and Colleges scheme is an environmental accreditation programme
which helps people improve working environments, positively impact the lives of their
students and gain recognition for their efforts. Cardiff University Students’ Union has recently
demonstrated its continued commitment to a sustainable future and environmental issues
by being recognised as a Gold standard Union by the NUS Green Impact Award. By
completing specific tasks in a workbook provided by the NUS Green Impact programme,
Cardiff has shown a strong commitment to student-led action. The workbook offers a
framework for staff and students to improve the ethical and environmental credentials of
their union and is a good starting point for all University Student Unions. As a Gold Standard
Students’ Union, Cardiff have been recognised for not only following basic energy saving tips,
but for using initiative and going beyond what is expected, which demonstrates their
commitment towards a sustainable future.
NB. All of these descriptions describe what happened during the 2014 event.
17
c. “Student Switch Off”
Cardiff University is one of 54 universities across the
country taking part in the Student Switch Off, an
inter-halls energy saving competition that
encourages student action on climate change, and is
a not for profit campaign. Cardiff University and
Cardiff Students’ Union helped set up this joint environmental campaign to both improve
students’ eco-friendliness and to prepare first year students for the reality of paying bills
when moving into their own student houses. Every year, students living in each of the
University’s halls of residences are encouraged to help save energy by following four Switch
Off tips: switch off lights and appliances when they’re not being used; put a lid on your
saucepan when you’re cooking; don’t overfill the kettle when you need a cup of tea; and put
a layer of clothing on instead of the heating. At the end of the year, the Hall that’s saved the
most energy gets a party. There are also giveaways from the organisers of Student Switch off
including tubs of Ben & Jerry’s ice-cream, rugby tickets and more. Last year, University Hall
won the party, reducing their electricity usage by 12% compared to previous years, with the
scheme being initiated in 2011.
d. “Snap it off”
If you get frustrated with other people wasting
energy, now there’s something you can do to stop
it. Snap it Off is the NUS’s new scheme all about
lights, where students take photos of unnecessary
lights left on that they cannot turn off themselves
(for example streetlamps in sunshine), upload them to the Snap It Off website, and then we
contact the person responsible in order to resolve this issue. Numerous times this academic
year, energy managers have fed back to our SU saying that they really appreciate having
hundreds of extra pairs of eyes on the ground to help them minimise energy wastage. Snap
It Off promotes awareness of easy energy-saving opportunities, and works to resolve these
issues. The project was started in response to concerns from students about how much
energy is being wasted through unnecessary lighting. Last academic year NUS introduced a
prize for the students’ union who submits the most photos to the Snap It Off project, which
Cardiff University Students’ Union won! We submitted 37 photos, more than any other union,
and received £500 to be spent on sustainability projects on our campus.
Other possible schemes that could be implemented include inter-halls recycling competitions
and student/staff food-growing projects.
18
Carbon Management Plan 2014
i. What is it?
Wales champions the 2008 Climate Change Act passed by the UK government which sets out
national policy of a UK carbon emissions reduction target of 80% on 1990 levels by 2050, with
an interim target of a 26% reduction by 2020. The Carbon Management Plan (CMP) 2014 –
2020 recognises the opportunities and challenges that Cardiff University faces in order to
achieve these targets whilst also ensuring their own sustainable growth as a world class,
research intensive university. This plan sets out their contribution to addressing the issues of
climate change together with financial and environmental sustainability, with the
fundamental aim being to reduce their carbon emissions. Cardiff University signed up to the
Welsh Government Sustainable Development Charter in 2010 and are therefore committed
to reducing their emissions from gas and electricity by 20% per square metre by 2020 from
their base year of 2005/06.
To ensure this reduction, Cardiff University are committed to implementing many energy
saving projects with the aim to reduce emissions on average by approximately 3% per m2
per annum. The campus is expected to expand by 1% on average per year, meaning that with
a reduction in emissions by 3% per square metre, an absolute reduction of 10% is expected
from their base year in 2005/06 by 2020 for their scope 1 & 2 emissions. Cardiff University
have split their targets into scope 1 and 2 emissions, and separately scope 3. Scope 1 & 2
emissions are from electricity and gas which are the direct responsibility of Cardiff University
and thus they have more control over what can be done to reduce them. Scope 3 emissions
concern the actions of people, which occur due to the University such as emissions from
travel, waste, water and procurement which means their role here is to put in place actions
to encourage others to reduce their own carbon footprint.
There is a belief in Wales, that public sector bodies, including Higher Education Institutions
should offer a lead in setting their own carbon reduction targets. There is also an expectation
from students, staff and external stakeholders that sustainability should be at the forefront
of everything that the University does, demonstrating commitment to reducing emissions in
the interests of the next generation. This new plan revisits the previous Carbon Management
Plan of 2007 with the aim to build upon the challenges that have been met and work on
greater new initiatives. The purpose of this plan is to set out a road map for the next 6 years
of how the University intends to achieve its own internal targets, covering technical projects,
engagement initiatives and the financing to make it happen. It sets out the plans for
investment of £11 million in energy saving projects to meet their emissions reduction target
of 20% reduction per square metre by 2019/20 since their base year 2005/06. This will ensure
large financial savings of over a £1 million on their gas and electricity bills in 2019/2020, with
a number of these projects summarised in section iii.
19
ii. Finances
One of the key drivers to carbon reduction is the predicted financial savings from
implementing energy saving projects. University energy and water bills are a significant cost
at over £8 million a year. Cardiff University is therefore committed to energy saving projects
which will ensure ongoing financial savings. This carbon management plan sets out the plans
for investment of £11 million in energy saving projects to meet their emissions reduction
target of 20% reduction per square metre by 2019/20 since their base year of 2005/06. In the
academic year 2012/2013 Cardiff University spent £8,072,973 on their energy and water bills.
The breakdown is demonstrated below.
Spend
Electricity £5,082,939
Gas £2,154,047
Water £835,987
TOTAL = £ 8,072,973
In the academic year 2019/20 Cardiff aims to have reduced their emissions absolute by 10%
from their 2005/06 base year. This is due to the expected increase in their campus size by 1%
per annum and a reduction of emissions by 3% per square metre per annum. This means that
if energy prices rise by 10% per annum, their electricity and gas bill could increase from
£7,236,986 in 2005/06 to £14,860,106 in 2019/20, or if energy prices rise by 5% per annum
our electricity and gas bill would be £10,729,962 in 2019/20, if no action is taken to reduce
our emissions. The financial savings each year on our electricity and bills could be as much as
£1,569,227 if energy prices rise by 10% per annum or £1,133,083 energy prices rise by 5%
per annum by 2019/20 and measures are taken to save energy. With a reduction in emissions
by 20% per square metre by 2020, despite an increase in campus size by 1% per annum,
Cardiff aim to reduce their emissions on average by 3% per m2 per annum up until 2020.
They therefore expect to have reduced their absolute emissions by 10% by 2019/20 and
therefore their energy bill should be 10% less than if business was as usual with no energy
projects being implemented.
The graph below shows all possible scenarios for the total cost of electricity and gas over the
next 6 years and shows the large financial savings expected for a reduction in our emissions
by 3% per m2 from the academic year 2014/15.
20
One of the scenarios is that electricity and gas prices will increase by 5% per annum. We
expect our campus to increase by 1% per annum, adding an extra 0.75% to our gas and
electricity bills each year as new buildings will be more energy efficient than the rest of the
campus. However we aim to reduce our emissions by a total of 10.6% by 2019/20. This would
mean that our gas and electricity bill in 2019/20 would be £9,596,879 if we implement energy
saving projects. The Business as Usual Scenario for our energy bills if we do not implement
any energy saving projects and energy prices increase by 5% per annum is £10,917,732.
Another possible scenario is that gas and electricity prices could rise by as much as 10% per
annum. We expect our campus to increase by 1% per annum, adding an extra 0.75% to our
gas and electricity bills each year as new buildings will be more energy efficient than the rest
of the campus. However we aim to reduce our emissions by a total of 10.6% by 2019/20. This
would mean that our gas and electricity bill in 2019/20 would be £13,290,879 if we
implement energy saving projects. The Business as Usual Scenario for our energy bills if we
do not implement any energy saving projects and energy prices increase by 10% per annum
is £15,120,151. It is therefore possible that the value at stake from not implementing energy
saving projects could be as much as £1,569,227 in 2019/20 if we do not implement any
energy saving projects and energy prices increase by 10%. The value at stake if energy prices
only rise by 5% per annum is still as much as £1,133,083. Therefore the financial savings to
meet our emissions reduction target is a powerful motivator.
21
iii. Data Collection
It is important that the University is aware of energy usage within all areas of the campus.
Cardiff University is committed to gathering data regularly so we can measure our progress
towards our targets. This will mean stronger governance structures to ensure each year there
are people in roles which are committed to updating our carbon management plan and
gathering the data to do so. For this new Carbon Management Plan we have gathered data
on many carbon emitting areas to develop a Scope 3 baseline. These new areas include
procurement, waste, water and travel. Outlined below are an explanation of the three
different scopes followed by information on the accuracy of data we have collected for each
scope and how the carbon emissions from each scope was calculated.
Scope 1
 Direct on-site combustion emissions from gas use in academic buildings
 Direct on-site combustion emissions from gas use in Cardiff University owned residential
buildings
 Combustion emissions from diesel and petrol use in University owned vehicles
Scope 2
 Emissions from the use of purchased electricity in academic buildings
 Emissions from the use of purchased electricity in Cardiff University owned residential
buildings.
Scope 3
 Water
 Waste
 Travel emissions associated with staff and student commute
 International and UK student travel emissions to study at Cardiff University
 Business and Study Travel
 Energy (gas and electricity) and water use in private Halls of Residence which provide
students with accommodation.
 Supply chain emissions associated with procurement, including waste disposal and
recycling as well as water supply and wastewater treatment
22
iv. Base Year Information
Our Base Year for scope 1 and 2 emissions (from electricity, gas and the university fleet) is
the academic year 2005/06. This year was chosen as a baseline because it is used for
reporting against UK targets, and it is the common baseline across the sector. In 2005/06
carbon emissions were 37,573 tonnes with 12,112 tonnes coming from gas, 98 tonnes
coming from the university fleet and 25,362 tonnes coming from electricity.
Gas & Fleet CO2
emissions
(tonnes)
Electricity CO2
emissions
(tonnes)
TOTAL CO2
emissions
(tonnes)
2005/06 12,210 25,362 37,573
Emissions have been calculated for all buildings on the Cathays campus, and all buildings that
Cardiff University owns and has control over at the Heath Park campus. It also includes all
University owned halls of residence. Buildings that are of shared use, where electricity and
gas is paid for by the Heath Hospital have not been included as these buildings have been
accounted for in the Carbon Management Plan for the University of Wales, Heath Hospital.
In 2005/06 Cardiff University’s gross internal area, which covers all buildings owned by Cardiff
University and directly pay the energy bills, was 358,452m2
and therefore emissions per m2
in 2005/06 were 104.8kg – we therefore aim our emissions to be 83.8kg per m2
in 2019/20.
25,392
68%
12,210
32%
electricity
emissions (tonnes)
gas emissions
(tonnes)
23
v. What has been achieved so far?
Since the completion of the previous Carbon Management Plan, Cardiff has implemented
many new energy saving projects and initiatives which are listed below.
 Residences Services have been running a successful annual energy-saving competition in
University owned Residences, called “Students Switch Off”. In the academic year 2012/13,
analysis of energy usage showed that there was an average of 6.5% reduction in electricity
usage. This has saved a total of 171,282 kWh, approximately £13,704 in electricity
expenditure (assuming a typical expenditure of 8p/kWh) and over 92 tonnes of CO2. (More
information on this and many others currently running schemes can be found back on
page 12).
 Deployment of Renewables. We have 52 solar hot water systems installed, and our latest
major build project has a 60 kWp solar pV system. We have been working with Partnership
for Renewables to investigate wind and alternative energy sources.
 Our Estates department have continuously been making technical enhancements,
improving lighting, installing energy efficient boilers, installing water-saving devices, and
updating controls – this is the area where we have saved the majority of the University’s
Carbon Emissions. A significant proportion of these enhancements have been
implemented as part of Residences Services Planned Maintenance programme.
 We have achieved ISO 14001 certification for the University as a whole;
 Information Services and ARCCA have implemented a wide range of carbon reduction
initiatives, which can be found http://www.cardiff.ac.uk/insrv/sustainability/. These
include
- a programme of reducing the number of central computer servers while
simultaneously improving user service, and saving another estimated £100k and
500 tonnes of carbon dioxide every year;
- the provision of a nationally-leading advanced research computing facility (in
partnership with ARCCA) which received multiple award nominations for its
environmental efficiency and leading-edge design;
- the provision of many virtual services to reduce the need for transport and paper,
including a major increase in the number of electronic resources, new virtual
collaboration software, and more efficient printing and photocopying services;
- work in partnership with the Estates department to improve the energy efficiency
of our libraries and data centres; and information, hints and tips for the
University’s staff and students, and the wider UK higher education community, to
help them to reduce the environmental impact of their work.
24
 We have installed over 1,000 gas, electricity, water and heat meters across campus,
including over 500 onto our automated monitoring and targeting (aM&T) system, creating
an extensive data gathering network. Again, a significant proportion of these
enhancements have been implemented as part of Residences Services Planned
Maintenance programme.
 We have made significant savings on our vending machines, having worked closely with
our suppliers to reduce our electricity consumption. We have over 50 vending machines,
with 40 of them under one supplier. Overall electricity consumption has reduced by 4052
kW in our hot drinks machines, 5913 kW have been saved from our snack machines and
9855 kW have been saved from our cold drinks machines since the end of the academic
year 2011/12. In 11 of our vending machines, LED lighting has been fitted as well as an
environmental management system fitted which means that when there is no one near
the vending machines, day or night, they power down. The vending machines in our
Humanities and JCR buildings are also fitted with timer controls to turn the lights off
overnight. We are currently looking in to how this can be rolled out throughout all our
vending machines.
 Sustainability was also at the very heart of Cardiff University’s recent Campus Horizons
vision, which was a programme of ambitious capital projects that included both major
new development projects and an entirely new campus for the University’s research. The
existing campus was upgraded and transformed, as was the information and
communications technology, therefore creating a community of staff and students, with
the resources to share ideas, make new discoveries and keep Cardiff at the forefront of
world-leading scholarship. All buildings constructed were to the very highest
environmental standards, making greatest use of natural sunlight and ventilation, as
shown by the pictures below.
Maindy Park School of Biosciences The Cochrane Building
25
vi. Annual carbon emissions since 2005/2006.
Since the academic year 2005/06 our total emissions have increased very slightly by 215
tonnes of CO2. This is likely to be down to the creation of new buildings throughout the
University and an increase in student numbers, despite the implementation of many energy
saving projects across campus.
Academic
Year
Electricity
emissions
(tonnes)
Gas & University
Fleet Emissions
(tonnes)
Total Scope
1 & 2 Carbon
Emissions
(tonnes)
Emissions per
square metre
(kg)
2005/06 25,362 12,210 37,573 104.8
2006/07 24,947 12,381 37,329 102.6
2007/08 24,757 13,087 37,875 104.2
2008/09 21,384 12,873 34,257 93.6
2009/10 21,030 12,517 33,548 92.7
2010/11 22,584 12,657 35,241 91.6
2011/12 22,138 10,818 32,956 89.2
2012/13 23,982 13,806 37,788 98.7
26
We have however reduced our emissions by 6kg of CO2 per m2
since the academic year
2005/06 in line with our aims. The gross internal area in 2012/13 was 382,802m2
and
therefore emissions per m2
are 98.7kg. This is a reduction of almost 1% per m2
per annum
from 2005/06. We therefor need to work towards are target and reduce emissions by 3% per
m2
on average from the academic year 2013/14 to meet our carbon reduction target.
0
4000
8000
12000
16000
20000
24000
28000
32000
36000
40000
2005/06 2006/07 2007/08 2008/09 2009/10 2010/11 2011/12 2012/13
Total Gas & Electricity Emissions (tonnes)
0
5
10
15
20
25
30
35
40
45
50
55
60
65
70
75
80
85
90
95
100
105
110
2005/6 2006/07 2007/08 2008/09 2009/10 2010/11 2011/12 2012/13
kg CO2 per square metre
27
In 2005/06 emissions per member of staff were 7.8 tonnes CO2 and in 2012/13 emissions per
member of staff had reduced to 7.1 tonnes of CO2 which is a reduction 700kg per staff
member. Emissions per student in 2005/06 were 2.1 tonnes of CO2 which has reduced slightly
to 1.9 tonnes in 2012/13. Emissions per staff and student in 2005/06 were 1.6 tonnes which
has decreased slightly to 1.53 tonnes CO2.
vii. Gas
Our Gas consumption since 2005/06 has increased by 1596 tonnes CO2 despite many new
boilers being fitted around campus. Up until 2012/13 gas consumption was reducing at a
steady pace, suggesting that the increase in gas consumption is likely to have been down to
the cold winter of 2012/13 and the extended opening hours of buildings including libraries
around campus where heating is now running for longer hours leading to a very small
increase of 2kg per m2
over the past 5 years. In 2005/06 emissions from gas and university
fleet per member of staff were 2549kg CO2. Emissions per member of staff in 2012/13 were
2602kg of CO2 which is an increase of 53kg per staff member. Emissions per student in
2005/06 were 684kg of CO2 which has increased slightly to 711kg, an increase of
27kg.Emissions per staff and student for gas in 2005/06 were 539kg, which has also increased
very slightly by 20kg to 559 kg CO2.
0
2,000,000
4,000,000
6,000,000
8,000,000
10,000,000
12,000,000
14,000,000
16,000,000
2005/06 2006/07 2007/08 2008/09 2009/10 2010/11 2011/12 2012/13
Gas + University Fleet Emissions (tonnes)
28
viii. Electricity
Since 2005/06, our carbon emissions from electricity have reduced by 1380 tonnes CO2 from
25,362 tonnes to 23982 tonnes. Emissions per m2
have also decreased very slightly from 66kg
in 2005/06 to 58kg in 2012/13.This is down to the implementation of many energy saving
projects specifically lighting projects which will have had an impact on reducing our electricity
consumption. In 2005/06 emissions from electricity per member of staff was 5295kg CO2
which has decreased by 774kg to 4521kg in the academic year 2012/13. Emissions from
electricity per student in 2005/06 were 1421kg of CO2 which has decreased by 185kg to
1236kg in 2012/13. Emissions per staff and student for electricity in 2005/06 were 70kg which
has also decreased very slightly by 8kg to 62kg CO2. This demonstrates both the success of
our new energy saving projects but also the behavioural change programmes with staff and
students in the University. We also purchase renewable energy from the grid through a green
tariff with Swalec and hope to continue doing so in future. Currently the reduction in
emissions from purchasing less carbon intensive electricity cannot be accounted for within
our Carbon Management Plan as energy companies themselves have accounted for this
within their own carbon emissions total and carbon management plan.
0
2,500
5,000
7,500
10,000
12,500
15,000
17,500
20,000
22,500
25,000
27,500
2005/06 2006/07 2007/08 2008/09 2009/10 2010/11 2011/12 2012/13
Electricity Emissions (tonnes)
29
ix. Energy Saving Projects (by year)
2006/2007 Energy Saving Projects
Energy Saving Project Cost £K
4 new boilers 60
Teaching Rooms – changing lighting controls 65
New Lighting Dissecting Suite 11.5
TOTAL = £136.5K
2007/2008 Energy Saving Projects
Energy Saving Project Cost £K
New boilers Glamorgan Building 50
New lighting ASSL 180
New boilers and F/Place h/ Exchr 74
New Boiler Aberconway 105
New boilers Gym 53
Energy Metering Project Phase 1 200
Energy Metering Project Phase 1 218
New boilers and DHWS Chemistry 30.5
Replace windows main building 31
New boilers and hot water 118 Maindy Road 25
Replace fans and add VSD HW building 35
Replace inefficient water heaters Gordon Hall 23
Replace IT room cooling with new 40
Boiler replacement campus 136
Tower Window ceiling 3
Queens clean room AHU’s with free clg 153
Replace boilers Senghenydd Court 12.5
Replace LAN Rm clg 25
Lecture theatre new lighting controls UHW 10
TOTAL = £1404K
2008/2009 Energy Saving Projects
Energy Saving Project Cost £K
Brit Arces lecture theatre lighting replacement 24
Replace controls at HW building 35
Phase 1 AHU replacements main building 160
Replacement Air Handling Unit – Physics 139
TOTAL = £358K
30
2009/10 Energy Saving Projects
2010/11 Energy Saving Projects
Energy Saving Project Cost £K
Replacement Hot Water Boiler Main Building 35
Replacement Boiler Park Place 30
Replacement Boiler Julian Hodge Building 43.5
Replacement Air Conditioning in Park Place 57
Replacement burner & controls to steam boiler 15
Replacement Air Conditioning Humanities building 4
Replacement Air Conditioning bute & park place 17.5
Upgrade chilled water system 203
TOTAL = £405K
2011/12 Energy Saving Projects
Energy Saving Project Cost £K
Replacement Over-sized Water Cooler 25
Replacement Boiler at Llanrhymney 100
Replacement Boiler in Humanities Building 10
Replacement Boiler Park Place 60
Replacement Boiler Law School 50
Replacement Boiler Tenovus Building 9
Replacement Air Conditioning Bute 7.5
Replacement Air Conditioning Main Building 6
Replacement Air Conditioning Earth Sciences 2.5
Lighting Refurbishment for JBIOS 9.3
TOTAL = £279.3K
Energy Saving Project Cost £K
Replacement Air Conditioning in Main Building 86
Replacement Boiler in Aberconway Building 15
Replacement Boilers Main Building 35
Improved Air Conditioning, East Gate House 7
Replacement Boiler Park Place 40
Replacement Trevithick Building 85
Improved Air Conditioning Main Building room 1.88 11
Improved Air Conditioning BioSci 12
Phase 2 AHU replacements main building 60
Replace inefficient Calorifier HW building 33
Lighting controls Julian Hodge Building 5.4
TOTAL = £389.4K
31
2012/13 Energy Saving Projects
Energy Saving Project Cost £K
Secondary Glazing to Queens 4.2
Replacement Boilers 65
Replacement Air Conditioning in lan rooms 13.2
Replacement Water Cooler 25
Replacement Air Conditioning in BioSci 3.5
Replacement Air Conditioning in school 4
TOTAL = £114.9K
x. Carbon Footprint Saving Projects
New Cycle Stands at Deri House 3
Bike Stands Deri House 1.6
New Recycling Bins Heath Park Campus 7.5
Cycle Shelter for Humanities Building 20
New Cycle Stands EUROS 5
TOTAL = £34.1K
xi. Energy Saving Projects in Residences
2012/13
Lighting Upgrade £290,831
Low carbon Extract fans £49,667
Upgrade Loft & Wall insulation £23,256
Replace single glazing with double £29,835
BEMS wiring and equipment £67,097
High efficiency boilers / cylinders £124,539
Thermostatic radiator valves / Radiator replacements £40,647
Percussion taps and restrictor valves £54,169
TOTAL = £680,041
32
2011/12
Lighting Upgrade £175,428
Low carbon Extract fans £54,810
Upgrade Loft & Wall insulation £17,592
Replace single glazing with double £8,159
BEMS wiring and equipment £56,732
High efficiency boilers / cylinders £116,811
Thermostatic radiator valves / Radiator
replacements
£57,722
Percussion taps and restrictor valves £22,494
TOTAL = £509,748
2010/11
Lighting Upgrade £99,598
Low carbon Extract fans £36,848
Upgrade Loft & Wall insulation £20,435
Replace single glazing with double £9,260
BEMS wiring and equipment £88,040
High efficiency boilers / cylinders £136,932
Thermostatic radiator valves / Radiator
replacements
£89.878
Percussion taps and restrictor valves £40,946
TOTAL = £521,937
33
xii. Current and Future Commitments
Here is a list of the 2014 Key Carbon Saving Projects for Academic Campus. These projects
are likely to be implemented in the near future if they have not already done so.
Project Cost Payback Carbon Saving
Lighting presence detector sensors and
thermostatic radiator valves to areas
where not fitted
10k 1 to 2
years
10-50% dependent on
levels of housekeeping
Replacement of 8, 6 & 5 ft tubes with
high efficiency light fittings throughout
campus
30k+ 1 to 2
years
Minimum 30% more
efficient - up to 50%
more efficient for LED
schemes
Replacement of Obsolete R22 refrigerant
gas equipment (33ardiff 300) with new
more efficient units
150k
annually
2-3 years
40% reduction in
consumption. Totally
dependent upon
numbers changed.
Replacement large chillers with Turbo
miser technology in Life Sciences & JBIOS
areas
650k 5-7 years
Approx. 370 tonnes pa
Window draught proofing – sealing
“leaky” windows separate from any
replacement windows programme and
Bute building window repairs.
25k 2 to 3
years
20-40% of heating in
areas that are
draught-proofed
Boiler replacements: Replacement of
non-condensing boilers with more
efficient condensing types at various
sites.
240k 3 to 4
years
15 -20% per boiler
changed
Trial sites for Micro Combined Heat and
Power, (Stirling engine technology) in
Corbett Road Gymnasium
10k 5 to 7
years
Based on 65kW boiler,
0.25tonne p.a.
Replacement Lighting to LED’s in
Libraries and older style light fittings. 30k 1 year
40-50% more efficient
Chemistry department – replace
equipment which wastes water to more
efficient equipment
TBA
Replace water chillers to more energy
efficient non-chilled mains water
dispensers when needed
2k 1-2 years
100% saving of chilled
water element.
Photovoltaic Panels in Trevithick, Law;
Psychology; Humanities and Maths 200k 7-10 years
25 tonnes p.a.
34
Where cost is £0 – funding is coming from a separate budget as part of ongoing developments
within departments. Cardiff University has demonstrated our commitment to sustainability
and carbon reduction through many actions in previous years including signing up to a
number of charters, bills and projects which are listed below.
 Cardiff University has committed to reducing carbon emissions by 20% by 2020
following signing up to the Welsh Governments Sustainable Development Charter in
2010.
Replacement of large chillers with
Turbomiser technology at ARCCA/HPC
Wales/INSRV datacentre
£160k
Server Consolidation – Moving University
IT services to a much smaller number of
physical servers, while
maintaining/improving service (2009-
2014 initial programme)
Capital
saving
of
around
£800k
Immediate Approx. 500 tonnes
p.a.
Measurement of electricity consumption,
and redesign of airflow and cooling in
Park Place datacentre.
£5-10k 6 months 100-250 tonnes p.a.
Windows 7 PC power management and
settings
£0 Immediate 500 tonnes
(estimated) CO2 PA for
Windows XP
Powerdown.
Park Place Server Replacements -
Replacement of old 19 inch rack-
mounted servers with more efficient
blade servers
£0 20 tonnes CO per
annum
Pool room efficiency and remote
management – Remote monitoring and
power down of IT and audio-visual
equipment.
£0 Long term Savings to be decided
INSRV alternatives to travel £0 Medium –
Short term
Savings unknown
expected to be large
scope 3 emissions
Behavioural Change Campaigns – “Live
Greener” programme
£0 Short term Savings unknown
expected to be large
scope 3 emissions
35
 The first Higher Education Institution in Wales to achieve the Carbon Trust Standard,
achieved in 2010;
 Commitment to building BREAAM ‘Excellent’ buildings. All future builds will meet this
high environmental standard with two buildings on our estate that already meet this
standard.
 Achievement and continuation of ISO 14001 certification for the University as a whole;
 Multiple awards and nominations for the University’s national leadership in
environmental performance and innovation
[http://www.cardiff.ac.uk/sustainability/ourperformance/awards/index.html];
 Implementation of a programme of nationally-leading sustainability initiatives by the
University’s Information Services Directorate;
 Currently undertaking Green Impact award throughout departments
 Currently running Student Switch Off, Snap It Off & Blackout Project
 Sustainability Week
 Go Green Week
 The Vice Chancellor signed the Green Education Declaration which has committed to
working towards sector-wide carbon reduction of 43% by 2020 on 2005 emission levels
as well as committing to integrating education for sustainable development into the
curricula, recognising the key role we play in educating those who will create a
sustainable low carbon economy and society.
 Cardiff University has a number of leading academic research institutes which
conducts energy research in Wales to help deliver a low carbon future. More
information on the University’s leading research programme into carbon efficiency and
environmental sustainability can be found online.
xiii. Financial Spend on Energy Saving Projects
Since the completion of the last Carbon Management Plan, many energy saving projects have
been implemented around the University and have required funding. Many energy saving
projects have been implemented alongside the replacement of old appliances with more
energy efficient technologies when refurbishing buildings and within new builds, which have
not been accounted for as these are part of the University Maintenance and Estates plan.
Energy Saving Projects have been funded from a combination of the Estates maintenance
budget and grants from HEFCW. Campus Services have also implemented many energy
saving initiatives within University owned Halls of Residences which have been implemented
via the Residences Planned Maintenance Programme. The table below shows the total
spends on energy saving projects annually.
36
Financial Spend on Energy Saving Projects on the academic campus
Year Total Spend £K
2006/2007 136.5
2007/2008 1404
2008/2009 358
2009/2010 389.4
2010/2011 405
2011/2012 279.3
2012/2013 114.9
TOTAL = £3,087,100
Financial Spend on Energy Saving initiatives within University owned Halls of Residence
Year Total Spend £K
2010/2011 680
2011/2012 509
2012/2013 521
TOTAL = £1,710,000
Overall spend for energy saving projects since the academic year 2008/2009 is £4,797,100.
Projects included replacing boilers, air conditioning and lighting with more energy efficient
technologies. More details can be found in appendix B. The University has also implemented
many projects which have reduced our scope 3 emissions. Funding has been received from
the local council for some projects such as the introduction of more bike racks and recycling
bins which have been put around campus. More details of these projects can be found in the
appendix B. In the previous 2007 Carbon Management Plan, it was estimated that there
would be an overall spend of £710,000 on energy saving projects in the 5 years following the
academic year 2007/2008. Spending on energy saving projects was actually more than 6
times the amount that was estimated. This extra unexpected expenditure was largely down
to HEFCW funding given in February 2007, specifically given to fund energy saving projects
but also the large amount of energy saving initiatives that Campus Services have
implemented as part of planned refurbishment of University owned Halls of Residence.
However not all projects which were outlined in the previous Carbon Management Plan have
been implemented due to improvements in technologies creating better energy saving
initiatives which may have replaced original projects. Energy saving projects have also been
implemented throughout all refurbishments in the University.
37
xiv. Carbon Management Plan 2014-2017
In 2012 the previous Cardiff University Carbon Management Plan came to an end with many
of the energy saving projects having been implemented and achieved. We have reduced our
emissions by 6kg of CO2 per m2
since 2005/06, which is a reduction of almost 1% per m2
per
annum. The University is therefore keen to set bigger challenges and aims to reduce
emissions by 3% per square metre, per annum. This would make an absolute reduction of
10% in our emissions since the base year 2005/06. This will ensure our target of a 20%
reduction per m2
by 2020 can be met. A number of projects have been identified which will
be implemented to ensure we meet our carbon reduction targets. A number of these energy
saving projects can be found in appendix A. As new technologies develop and new
information arises, our Carbon Management Plan will be updated regularly to ensure we
capitalise on the best ways to reduce our emissions and our energy bills. This year we now
have the data needed for a base year for Scope 3 emissions having undertaken a staff and
student travel survey and gathered the information needed for procurement, waste and
water. This will mean that we are now able to put together an action plan and set targets for
the reduction of scope 3 emissions.
xvi. Travel
‘Transport accounts for around a quarter of the man-made greenhouse gas emissions from
the UK.’ (Department for Transport website, 2006). Sustainable travel is a key area the
University has been working on so that we can reduce our impact on the environment and
contribute to the long-term well-being of the people, and support Wales in securing a low-
carbon future. In 2008 a travel plan was created to encourage sustainable staff and students
to use more sustainable modes of transport. The Travel Plan was reviewed, updated and re-
launched in October 2012. It is part of a long term process to encourage our staff and
students, and our visitors, to think about how they travel to, from and within the University
estate, and how they go about their day-to-day work, with the overall aim to help reduce the
University’s Carbon Footprint. The emissions associated with staff and student commuting
are classified under scope 3, because the emissions are generated in private vehicles or
modes of transport (bus, train, taxi) operated by individuals or private companies, in which
the University has little or no control. These emissions are also a consequence of the activities
of the University, which can be reduced through a wider use of public transport, car shares
or through the promotion of walking and cycling which are already encouraged through the
University’s Sustainable Travel webpages. Two travel surveys covering staff and student
travel at Cardiff University have been undertaken for the academic year 2012/2013 which
has given us reliable data on the transport used to travel to and from the University as well
as business travel and travel required for study purposes. This data has then been used to
38
calculate the amount of carbon emissions created from travel so that we can measure the
success of Travel Action Plan objectives in terms of reduction in emissions as a result of more
sustainable travel choices by Staff and Students. The Travel Surveys were conducted by the
Campus Services Division in liaison with the Students’ Union. Analysis of survey responses
was undertaken by Masters Students from our school of City and Regional Planning and
included carbon emission calculation using the DEFRA tool, following the formula
demonstrated below. The results of the travel surveys are shown below. Student carbon
emissions have been calculated using a simple equation:
GHG emissions calculated for the student sample are uplifted to all 27,744 students at Cardiff
University in the year 2012-13 using the equation:
Trip Activity Total GHG Emissions
(tonnes per year)
Total GHG Emissions (tonnes per
year, per student)
Daily Commuting 5157.0 0.19
Home Trips 16,119.9 0.58
Study Trips South Wales 3,212.2 0.12
UK Study Trips Outside
South Wales 677.6 0.02
Study Trips To Europe 341.3 0.01
Study Trips Worldwide* 275 0.01
Total 25,783 tonnes 0.93 tonnes
Overall students’ travel produces 25,783 tonnes of carbon emissions per year, with each
student producing on average 0.93 tonnes of carbon emissions per year through travel. The
University’s sustainable transport policy was built into all the projects, maximising
pedestrian, bicycle and public transport access wherever possible, with all this hard work
having been reflected through the multiple awards and nominations that the University’s
national leadership in environmental performance and innovation team have received.
GHG emissions
Km travelled per student
per year
Conversion
factor
GHG emissions
all students
GHG emissions
of sample
students
Number of
students
surveyed
Total number of
students
39
xvii. Water
There are small Scope 3 emissions due to our use of water. Total Water carbon emissions for
the academic year 2012/13 is 577 tonnes which includes water consumption in University
owned Halls of Residences and the buildings we own at the Heath Park campus and the
Cathays Park Campus.
These figures were calculated using the DEFRA tool using figures from the academic year
2012/2013. This amount is one of the lowest within the Russell Group. We aim to reduce the
environmental impact and costs arising from water use in the buildings through the better
management of resources. The overall reduction target is a 3% reduction per m2
per annum,
approximately 18,000kg of CO2 per annum on current 2012/2013 figures.
To reduce our water consumption, many energy saving technologies are being installed when
replacement is necessary. Some of these projects include low flush toilets being installed in
University owned residences, percussion time flow taps being installed in bathrooms on
campus and in bathrooms/en-suites in University owned residences, and water restricting
valves are being installed to kitchen / bath taps. Costs for water usage have been increasing
annually for the past few years due to increasing energy prices. Larger student and staff
numbers have also increased our water consumption meaning that the implementation of
water saving initiatives is a good financial investment.
xvii. Waste
Carbon emissions from waste and recycling amount to 314.3 tonnes of CO2. Cardiff University
is committed to limiting the amount of waste produced through its activities. The University
will seek to minimise general and hazardous waste generated by the University that is sent
to landfill, and increase the proportion of waste that is recycled. Individual waste streams
are managed within different areas. Hazardous wastes (clinical, chemical and radiation) are
472 tonnes
82%
105 tonnes
18%
Water Carbon Emissions 2012/13 (tonnes)
Academic Campus
Halls of Residences
40
managed within OSHEU, confidential waste is managed by Security, general waste, WEEE
waste streams and recycling from the academic campus is managed by Estates and general
waste, recycling and WEEE waste streams from University owned Halls of Residence are
managed by the Campus Services Division. Waste and recycling is a key aspect within the
University Environmental Management System and one of the most visible areas for
environmental improvement to staff, students and visitors. Currently the University sends
1024.37 tonnes of waste to landfill from both the academic campus and residences which is
296 tonnes of CO2 emissions. We currently carry out a mixed recycling system within halls of
residences and the academic campus amounts to 839.53 tonnes overall which produces only
17 tonnes of CO2. The Pie Chart and table below shows the split in emissions from the
academic campus and University owned Halls of Residence – which is fairly even and
therefore behavioural change campaigns are needed for both staff and students.
Tonnes of Waste
& Recycling
Tonnes of CO2
Academic Campus Waste to Landfill 521.88 151
Academic Campus Recycling 329.53 7
University owned Halls of Residence Waste to
Landfill
504.39 145.6
University owned Halls of Residence Recycling 510 10.7
TOTAL = 1,569.73 314.3
The University set a target to increase recycling on the Academic campus from the 2009/2010
baseline of 45% to 58% by 2013 (52% is target set by Welsh Assembly Government by March
145 tonnes
46%
10.7 tonnes
4%
151.26, tonnes
48%
7 tonnes
2%
Waste Carbon emissions (tonnes)
Residences waste to landfil
Residences Recycling
Academic waste to landfil
Academic Recycling
41
31st
2013) and increase by a further 5% per annum, thereafter. Campus Services targets are
in line with Welsh Assembly Government targets. At the end of the academic year 2012/13
we had exceeded our target to increase percentage of waste recycled from 48% in 2011/12
to 52% in 2012, in line with the targets set by the Welsh Assembly Government. We are
currently recycling 66% of all waste and therefore are working towards increasing recycling
on the Academic campus from the 2009/2010 baseline of 45% to 70% by June 2014. A co-
mingled office recycling scheme was introduced in the Academic Campus in 2002 which
accepts paper, cardboard, plastics and tins. Glass was also originally included but has been
withdrawn on health and safety grounds. Battery recycling has been recently been
introduced across campus, lab glass is being recycled. We are currently reviewing alternative
waste streams such as food waste and redundant furniture being donated to a local charity.
We are also looking into having all our waste incinerated at a local incinerator within the
Cardiff area which will reduce our emissions from waste to landfill, to zero with the possibility
of also being able to purchase the energy produced from the incinerator. The People and
Planet Green league identified that Cardiff University for the academic year 2011/2012 has a
waste production of 139.72kg per head, making it the 3rd
best in the Russell group. Over the
past 3 years our waste cost has stayed relatively constant despite a large increase in campus
size, student numbers and the landfill tax. Within the last year, we have also started being
charged for recycling and thus costs have risen despite an increase in recycling and a decrease
in waste to landfill.
Academic Year Academic Campus Residences Total
2010/2011 £100,189 £90,000 £190,189
2011/2012 £109,145 £90,000 £199,145
2012/2013 £118,466 £100,000 £200,466
Campus Services also runs an annual end of year re-use/recycling scheme alongside the
Students Union and local council called “Get It Out For Cardiff” (see page 14). The scheme
enables students to donate unwanted goods at 18 “Green Zones” set up in University owned
Halls of Residence and across the city. Students can donate clothing, food, books, CDs, DVDs
and kitchen items, with a number of charities benefiting from the scheme. For example,
kitchen items collected and stored over the summer are sold back to students through a bric
a brac fayre at the start of term at heavily discounted prices with proceeds going to a local
charity. At the end of the academic year 2012/13, 10 tonnes of bric a brac were collected and
a total of £2360.33 was donated to charity from the sales at the fayre.
42
xviii. New Energy Saving Projects
To ensure we meet our carbon reduction target of a 20% reduction in emissions per square
metre by 2020, against our 2005/06 baselines we will be implementing many energy saving
projects across Campus. A plan for investment of £11 million pounds in energy saving projects
has been created. Some of the key projects which will be implemented in the coming
academic year which can be found in Appendix A, however there will be many more projects
identified over the coming few years to meet our target. The projects in Appendix A is not an
exclusive or inflexible list of projects as we expect further opportunities to appear as
technologies develop and come down in price, but also following a review of the entire
campus of Cardiff University, where more or better projects may be identified to be
implemented. Financial savings in Appendix A are generally conservative and are based on
the best available knowledge. We will ensure that energy saving projects continue to be
implemented every year to meet a carbon reduction of 3% reduction per square metre on
average and a reduction overall of 20% per square metre by 2020. This year to engage more
students and staff in the creation of this Carbon Management Plan, we have launched the
“energy saving initiatives competition” which we hope will encourage students to think about
a project which could be implemented within the University and save a significant amount of
carbon emissions. There will be a prize for the best proposal and will be presented the award
by the Vice Chancellor at the Green Impact Awards at the end of the academic year
2013/2014.
xix. Business as Usual Scenario for Scope 1 and 2
The graph below shows the carbon emissions prediction if the university carried on as normal
without implementing any energy saving projects. This Business as Usual scenario is shown
alongside the predicted reduction in emissions from reducing our emissions per m2
by 3%
per annum from the academic year 2014/15 to the academic year 2019/20 which will ensure
we meet our carbon reduction target of a 20% reduction per m2
by 2019/20 from our 2005/06
base year. The gross internal area of the campus is around 380,000m2.
This includes all
buildings owned by the University, where all energy bills are paid for and therefore does not
include buildings used and occupied but not owned by the University at the Heath Park. We
expect the expansion in the University gross internal area to be around 1% per annum,
meaning that in 2019/20 the gross internal area is expected to be around 410,000m2
. With
this growth in the campus by 1% a year we therefore expect an increase our absolute
emissions on average by 0.75% each year if no action to curb our emissions is taken. This is
based on the assumption that additional buildings will be more energy efficient than
buildings on the current campus. This would mean that our emissions in this Business as
Usual Scenario would be 39,817 tonnes in 2019/20. This Business as Usual scenario is
demonstrated alongside our target emissions reduction of 3% per m2
per annum from the
43
academic year 2014/15. We expect our emissions per m2
to have reduced from 98.7kg in
2012/13 to 83.8kg in 2019/20. This means that total emissions in 2019/20 is expected to be
33,746 tonnes of CO2. This shows that by reducing our emissions by 3% per m2
and
implementing many energy saving projects, we will save 6,071 tonnes of CO2 which is an
absolute reduction of 4042 tonnes of CO2 since 2012/13 and an absolute reduction of 3,827
tonnes since 2005/06. This is an absolute reduction of 10.6% since 2005/06.
xx. Summary
Effectively then the purpose of this Carbon Management Plan is to set out the University’s
mission for the next 6 years up until the academic year 2019/2020 of how they intend to
achieve their own internal targets. Cardiff University is committed to reducing our emissions
by 20% per square metre by 2020 but to achieve this we will need to reduce our emissions
on average by 3% per square metre as our campus is expected to grow on average by around
1% per annum. This will mean an absolute reduction since our 2005/06 base year, of 10% by
2019/20. We have decided upon using a number of metrics to measure our carbon reduction.
Our main metric will be our emissions reduction per square metre to ensure a decrease in
energy consumption across campus. Our current target for emissions per m2 is to be at
83.8kg of emissions in 2019/20 which is a 20% reduction in emissions per square metre since
2005/06. We will also look at our emissions per students and staff to ensure a greater
understanding of our energy usage. Cardiff University will also look to target behavioural
change. In order to help reduce the current level of emissions, Cardiff University will continue
0
2500
5000
7500
10000
12500
15000
17500
20000
22500
25000
27500
30000
32500
35000
37500
40000
42500
2012/13 2013/14 2014/15 2015/16 2016/17 2017/18 2018/19 2019/20
Business as
Usual
0.75%
increase in
emissions
(tonnes)
total
emissions
with 3%
reduction
per m2 per
annum
(tonnes)
44
to conduct engagement activities with staff and students to help build a behavioural change
within the University where all staff and students are concerned about the environment and
help play their part to reduce our carbon emissions not just because they are told too. We
will continue to undertake annual awareness raising events
and build on the numerous ongoing campaigns. The
implementation of the energy saving projects mentioned on
pages 12-187will be driven through the Environmental
Management Systems (EMS) group and the Estates
Department within the University. It will be the
responsibility of the Director of Estates to ensure energy
saving projects are implemented and completed and to
ensure we are on track to meet our target of a 20%
reduction per square metre by 2020 against our 2005/06
baseline for scope 1 and 2 emissions. Estates will also lead
the university to reduce part of our scope 3 emissions –
water and waste. Carbon management of travel is the
responsibility of Campus Services and procurement emissions are the responsibility of the
Finance Department. Both these areas will be reviewed during the year to understand the
next steps following the introduction of a base year of 2012/13, in the hope we will have a
better understanding of patterns in travel and procurement by then. The Assistant Director
of Environment will also play a significant role in Behavioural change throughout the
University, co-ordinating the “Live Greener” project as will the Campus Services Division with
engagement activities with students in university owned halls of residence. The Students
Union will also contribute to behavioural change through running regular engagement
activities with students each year. The Estates Director will provide regular updates on this
carbon management programme at the bi-monthly EMS meetings which will ensure the
ongoing concern and priority of carbon management at a high level within the university.
This Carbon Management Plan will provide the basis of an energy saving initiatives
programme to implement energy saving projects on a regular basis throughout the next 6
years to ensure we meet our targets. A full version of the 2014 Carbon Management Plan can
be found online at the Cardiff University website.
45
Building Sustainable Laboratories
i. Who is backing the scheme?
As a result of Welsh Government targets directed at Higher Education sectors Cardiff
University is on a mission to become as sustainable as possible, by coming up with new
schemes, programmes and targets that the university can work towards in order to both
reduce their energy usage and increase their efficiency. One such area within the university
that is being majorly targeted is laboratories, mainly as a result of their huge daily
consumption of energy and due to the fact that there is a very large collective number of
them within the whole university (giving a large scope to work with and possibility of money
saving). The Higher Education Environmental Performance Improvement (HEEPI) project
supports sustainable development, and especially environmental improvement, in
universities and colleges through: identification and dissemination of best practice; creation
and maintenance of networks; development of benchmarking; and in other ways. S-Lab
(Safe, Successful and Sustainable Laboratories) is one of its initiatives and aims to create
more sustainable laboratories, without jeopardising – and in many cases enhancing – safety
and performance. It is mainly financed by the four UK higher education funding bodies
(Higher Education Funding Council for England (HEFCE), Higher Education Funding Council for
Wales (HEFCW), Scottish Funding Council (SFC) and Department for Employment and
Learning Northern Ireland (DELNI) through the Leadership, Governance and Management
fund, with additional support from the Carbon Trust and others.
ii. What can we learn from other Universities?
Laboratories consume large quantities of energy – often 3 to 4 times more than offices on a
square metre basis. However, their complexity makes it difficult to develop a detailed
understanding of how energy is used, and therefore to identify and prioritise improvement
opportunities. To fill this knowledge gap, S-Lab has in the past conducted, or collaborated
with, detailed audits of energy use at three life science laboratories at the Universities of
Edinburgh, Liverpool and York, and two chemistry laboratories at the Universities of
Cambridge and Manchester. However, because the work has involved a number of
assumptions, and because there is a high degree of variability in different labs even within
the same discipline, and even within the same lab at different times, care is advised in
interpreting the results, either to compare the audited laboratories or in applying them to
others. The headline results from the exercise carried out by S-Labs were that:
 Ventilation-related energy (all the energy used to move, cool and heat air) comprises
around 60% of total energy in chemistry labs and 45% in life science labs.
46
 Space heating accounts for around 20% in both types of lab
 Equipment/small power comprises around 25% in life science labs and 15% in
chemistry labs.
 Lighting comprised around 10% for life science labs and 5% for chemistry.
 Fume cupboard energy costs are £900-1500 per annum.
 The annual cost of moving a cubic metre of air through the labs each second ranged
from £1,861-4,634, and that of a single air change per hour from £6,311-34,129.
The investigations also highlighted the importance of IT in many laboratories – in all cases as
a significant element of equipment/small power category, and in some through self-
contained server rooms (which are 17% of total consumption at Cambridge). Detailed
analysis at Liverpool and Manchester identified the most energy consuming equipment types
(as a result of either numbers of equipment, power and hours of usage) which were:
 For chemistry, heaters / stirrers, fridges, mass spectrometers, rotary evaporators, gas
chromatographs, nuclear magnetic resonance spectroscopes, ovens and water baths.
 For life science, freezers (-20 and -80) environmental growth chambers, water baths,
incubators, ovens, ice makers, hybridisers, incubators and thermal cyclers.
The analysis did not include many large pieces of equipment with 3-phase power supply.
While each lab will be different, a general rule of thumb is anything that is heating or cooling,
is on 24/7, or has a 3-phase power supply, is likely to be a significant energy consumer. The
exercise demonstrated that developing a more detailed understanding of energy
consumption can provide many benefits, including highlighting many opportunities for
minimising energy consumption and saving money; improving safety; and building better
relationships between Estates and laboratory staff. As subsequent reports will describe, the
exercise suggests that there is the potential to reduce UK university energy bills by tens of
millions of pounds through schemes that have a five year payback or less.
iii. What does this mean for Cardiff?
Cardiff should aim to copy the blueprint set out by S-Lab laboratories at these universities in
order to lessen their energy usage and see where savings can be made my comparing values.
By auditing their labs Cardiff would be able to specifically calculate how much money a year
could be saved through implementing better sustainability practices and by changing
people’s behaviour, whilst also being able to see whether any previous or future laboratory
schemes have in fact been successful in reducing energy usage and cutting costs.
47
Potential Savings
i. Method
Laboratories consume large quantities of energy – often 3 to 4 times more than offices on a
square metre basis. However, their complexity makes it difficult to develop a detailed
understanding of how energy is used, and therefore to identify and prioritise improvement
opportunities. In order to try and calculate the possible energy savings that could be made
by implementing energy saving schemes within laboratories a rough list of what can be found
in an ‘average’ laboratory must be drawn up. For example, lights, computers and printers can
be found in pretty much every university laboratory, whilst fridges and freezers are often
found in large numbers in some laboratories and then not at all in others. I therefore decided
to visit three different schools within Cardiff University which collectively would cover a large
part of our campus and so gave me a rough indication of the different types of equipment
found in our laboratories. These schools were the Cardiff School of Biosciences, Cardiff School
of Medicine and the Cardiff School of Pharmacy and Pharmaceutical Sciences. I was kindly
given a tour of their laboratories by each building’s Safety Health & Environmental Manager
(Mark Lewis, Karl Hanzel and Les Craven respectively) where I visited approximately 10
different labs, some ‘good’ and some ‘bad’ regarding their sustainability practices. I made
notes on the type and number of pieces of equipment found in each lab, and so could
therefore work out how much energy usage they used per day. I would then times this
number by 2.5 to represent the amount of energy used and money wasted if all this
equipment were to be left on across the weekend when nobody was using it, representing a
period of 2.5 days (60 hours) from Friday 18:00 – Monday 06:00. All the equipment energy
consumption values therefore represent being left on and operational for 24 hours a day,
which is true in the case of freezers and ice machines but not in the case of fans and bulbs
which may be switched off at the end of a working day. Once the values for typical energy
consumption per unit (kWh/day) have been calculated then the values for 2.5 days and a year
can be calculated also, with potential savings consequently worked out once we know how
much the university pays for its electricity per unit usage.
ii. What makes up an ‘average’ laboratory?
An inventory of the most abundant 50 items of lab equipment (including PCs and monitors)
was recorded collectively from the three buildings and can be seen in the table below, with
the raw data found in the Appendix. It is important to remember that much of equipment
energy consumption is associated with heating or cooling, and/or 24/7 operation, whilst
equipment which is relatively low powered but plentiful and frequently used, can still be
significant. All of the values are approximate values only, and some of the estimated numbers
are decimal points because the associated equipment may have only been found in one lab
48
out of the 30 visited, reflecting low abundance in labs. This is true in the case of the Air Flux
Condenser which was found in one lab in the School of Pharmacy and Pharmaceutical
Sciences but not in any of the other 39 labs visited.
iii. Energy Consumption Calculation
By looking at technical data on product specific websites power consumption for equipment
types can be calculated in watts based on an estimated usage of however long used. This is
done by using an energy consumption calculator as shown below.
E(kWh/day) = P(W) × t(h/day) / 1000(W/kW)
The energy E in kilowatt-hours (kWh) per day is equal to the power P in watts (W) times by
number of usage hours per day t divided by 1000 watts per kilowatt. However, all the typical
energy consumption values per unit (kWh) in the main table below represent being left on
and operational for 24 hours a day, representing energy usage of equipment being left on
unnecessarily across the weekend. This will only provide examples of the types of costs as
there is obviously wide variation between units, so for specific energy usage values related
to Cardiff University laboratory equipment a further study must be conducted. S-Lab has
conducted, or collaborated with, detailed audits of energy use at three life science
laboratories at the Universities of Edinburgh, Liverpool and York, and two chemistry
laboratories at the Universities of Cambridge and Manchester (Hopkinson, 2011, pp. 4-47)
(Hopkinson et James, 2011, pp. 2-12). It is these reports that will be used to obtain half the
‘assumed average power (W)’ values and the ‘typical energy consumption per unit
(kWh/year)’ values in the main table on the following page. However, because the work has
involved a number of assumptions, and because there is a high degree of variability in
different labs even within the same discipline, and even within the same lab at different
times, care is advised in interpreting the results, either to compare the audited laboratories
or in applying them to others.
iv. Pricing
Each site (approx. 2 dozen around campus are on HV tariffs and the remainder of the sites
are on LV tariffs) has a different pricing structure, as buildings may be priced on their load
profiles. For campus generally Cardiff University would use an approximation of 11p per unit
(kWh) + VAT, so this is the general valuation that is to be used in our calculations, whilst there
is also a Carbon tax put on each kWh as well. This is on top of electricity cost per unit, but for
the sake of simplicity this additional cost will not be taken into account.
49
v. Estimated Annual Electricity Consumption of Selected Lab Equipment
Equipment
Estimated
numbers
in 30 labs
Estimated
numbers in
1 lab
(3dp)
Assumed
average
power
(W)
Estimated
number in 1
lab x
average
power (W)
Typical energy
consumption per
average unit
(kWh/24hrs)
(3dp)
Typical energy
consumption per
average unit
(kWh/60hrs)
(3dp)
Typical energy
consumption per
average unit
(kWh/year)
(2dp)
Air Condition Unit 2 0.067 3500 234.5 5628 14070 2054220
Air Flux Condenser 1 0.033 - - - - -
Balance 15 0.5 20 10 240 600 87600
Bench top Autoclave 2 0.067 1700 113.9 2733.6 6834 997764
Big Autoclave 2 0.067 2500 167.5 4020 10050 1467300
Bulb 860 28.667 30 860.01 20640.24 51600.6 7533688
CD Player 12 0.4 35 14 336 840 122640
Centrifuge 25 0.833 14 11.662 279.888 699.72 102159.1
Computer Server 48 1.6 36 57.6 1382.4 3456 504576
Deionised Water 7 0.233 580 135.14 3243.36 8108.4 1183826
Dishwasher 1 0.033 1200 39.6 950.4 2376 346896
Drying Oven 1 0.033 495 16.335 392.04 980.1 143094.6
Fan* 1 0.033 30 0.99 23.76 59.4 8672.4
FLD1
1 0.033 - - - - -
Freezer (-20) 42 1.4 500 700 16800 42000 6132000
Freezer (-80) 22 0.733 1200 879.6 21110.4 52776 7705296
Fridge 24 0.8 100 80 1920 4800 700800
Tall Fridge Freezer 4 0.133 80 10.64 255.36 638.4 93206.4
Fume Cabinet 54 1.8 50 90 2160 5400 788400
Glass Drying Cabinet 8 0.267 1800 480.6 11534.4 28836 4210056
‘Gut Bath’ Set-Up 20 0.667 - - - - -
Heating Oven 8 0.267 495 132.165 3171.96 7929.9 1157765
Hot Plate Stirrer 10 0.333 26 8.658 207.792 519.48 75844.08
HPCS2
5 0.167 - - - - -
HPLC3
9 0.3 - - - - -
Hybridiser 2 0.067 750 50.25 1206 3015 440190
Ice Machine 2 0.067 2400 160.8 3859.2 9648 1408608
Incubator 24 0.8 425 340 8160 20400 2978400
LSA4
1 0.033 - - - - -
Mass Spectrometer 8 0.267 1000 267 6408 16020 2338920
MPA5
1 0.033 - - - - -
Micro-centrifuge 19 0.633 6 3.798 91.152 227.88 33270.48
MSC6
9 0.3 440 132 3168 7920 1156320
Microscope 20 0.667 30 20.01 480.24 1200.6 175287.6
Microtome 2 0.067 36 2.412 57.888 144.72 21129.12
Microwave 10 0.333 1000 333 7992 19980 2917080
PCR Machine 20 0.667 800 533.6 12806.4 32016 4674336
pH Calibrator 4 0.133 - - - - -
Powerpack 14 0.467 250 116.75 2802 7005 1022730
Printer 4 0.133 51 6.783 162.792 406.98 59419.08
Roller Mixer 5 0.167 - - - - -
Rotatory Evaporator 16 0.533 590 314.47 7547.28 18868.2 2754757
Shaker 9 0.3 96 28.8 691.2 1728 252288
Sonicator 4 0.133 500 66.5 1596 3990 582540
Stirrer / Heater 6 0.2 375 75 1800 4500 657000
UV Geldock 6 0.2 - - - - -
Vacuum Oven 4 0.133 495 65.835 1580.04 3950.1 576714.6
Vacuum Pump 1 0.033 187 6.171 148.104 370.26 54057.96
Water Bath 6 0.2 750 150 3600 9000 1314000
Weighing Station 10 0.333 30 9.99 239.76 599.4 87512.4
TOTAL 1391 46.365 615.05 6726.069 161,425.7 403,564.25 58,920,380
Approximate figures only. The equipment with a dash (-) in their boxes represents an inability to find any energy usage values for that
product on the internet, and so has been excluded from our results.
50
1 Fluorescent Luminescence Detector
2 High Performance Chromatography Systems
3 High Power Liquid Condenser
4 Liquid Scintillation Analyser
5 Melting Point Apparatus
6 Microbiological Safety Cabinets
vi. What are the potential savings?
Total Energy usage per
‘average’ lab (W)
Total Energy Cost per
‘average’ lab (24 hrs.)
Total Energy Cost per
‘average’ lab (60 hrs.)
Total Energy Cost per
‘average’ lab (a year)
6726.07 £17.76 £44.39 £6481.24
11p per unit; One unit of electricity is exactly equal to 1000 Watts of power used for 1 hour.
Number of labs in School of Biosciences 425
(400 -450)
Number of labs in School of Medicine 200
(150 – 250)
Number of labs in School of Pharmacy and
Pharmaceutical Sciences
60
Total Number of labs in Cardiff University 685
NB. These are all just approximations for the numbers of labs within each building given to me by each building’s respective
building’s Safety Health & Environmental Manager.
Total Cost for total lab
number
(24 hrs.)
Total Cost for total lab
number
(60 hrs.)
Total Cost for total lab
number
(a month)
Total Cost for total lab
number
(a year)
£12,163.42 £30,408.56 £364,902.60 £4,439,650.12
Approximate Estimation Values – calculated using unrounded figures in Table 1
The total cost spend on labs in Cardiff University every year is approx. £4.5 million, so how
much of that could be wasted energy? The equipment types most left on when not in use are
bulbs, printers, pH calibrators and weighing stations, which will use up around 52,607kWz of
energy collectively in each ‘average’ lab if left on over a weekend unnecessarily (60 hrs). This
equivalents to a cost of £3963.94 to the university every weekend and £206,124.67 every
year if all 685 labs are taken into consideration, with this cost likely higher due to other
equipment types unnecessarily left on also.
51
i. Restrictions
The main limitation with this audit was that figuring out how many watts each equipment
type uses is not entirely straightforward. The answer depends on factors such as the model,
size and age of the unit and the characteristics of the lab, so these results are just
approximations to give a rough indication of potential energy savings. Some equipment
energy usage values could also not be found online whilst others (like the ‘Gut Bath’ Set-Up)
had a high estimated number in the 30 labs I visited but all 20 were found in lab 8 in the
School of Medicine. This therefore reflects how the values collected in this data may be
slightly skewed depending on the labs I included in the sample and those that were not. In
some cases average power values (W) could not be found, and so the amount of energy
consumed per year and the running costs could not be calculated, so the end potential
savings figure could in fact be higher. Additionally this was not perhaps the fairest sampling
technique as 10 labs were viewed in each building, which was about 1/6 of the labs in
Pharmacy but only 1/42 labs in Biosciences. In order for this to be a fairer and more accurate
reflection of energy usage and potential savings for labs in Cardiff University the type and
wattage use of each equipment type should be recorded from each lab. This is only a simple
estimation of the annual electricity consumption of selected lab equipment given to predict
costs and potential savings, with only approximate equipment values and their respective
energy usages given.
ii. Conclusion
Higher education institutes need to pay greater attention to sustainability issues when
purchasing equipment, with this being especially true in regards to energy where there is
already potential for considerable whole life cost savings by choosing more energy efficient
models. The potential to minimise both environmental impacts and costs will increase as
more vendors appreciate that this is an important issue for customers, and supply more
information about power draw and other aspects of environmental performance. However,
this is not only about universities choosing more energy efficient equipment but also about
changing people’s perception and behavioural attitudes to sustainability issues. The data
shows that £206,124.67 of University money can be wasted every year if equipment is left
on unnecessarily every weekend of the year. Obviously not all of this equipment can be
turned off across the weekend when nobody is around as they still need to run (i.e. freezers)
but even these can be reduced to a higher temperature to reduce energy usage. These values
simply give a rough indication into how much money Cardiff University would spend on
wasted energy per year if appliances are unnecessarily left on across the weekend, but the
value could in fact be higher than this if equipment is also left on during the week nights, or
used in the day and then taken home (i.e. CD Players and laptops). So what can be done?
52
Sustainability Challenge Coordinator
i. So what can Cardiff University do?
As a ‘Sustainability Challenge Coordinator’ the main aim of my project is to identify viable
ways to reduce energy usage in laboratories through the freezer challenge, which the unit is
looking at ways to launch during the academic term 2014/15. While the main priority of this
friendly challenge is to save energy, it is also designed to help participants learn how to
increase their sample access and security, develop key sample management skills, and
maintain freezers in optimum condition to keep their research samples safer. The challenge
is for as many labs as possible to participate in freezer temperature tuning (moving from -80
to -70), cleaning & maintenance, and in organizing samples and identifying material in need
of disposal. The project will involve research into the number and location of -80 freezers
across the scientific schools, identifying where there is an opportunity for these freezers to
be ‘warmed up’ from -80 to -70 and will link with the new Carbon Management Plan that will
involve the calculation of potential energy savings. The project will also involve collating
evidence to show the benefits in doing this and alleviate any concerns that laboratory
managers may have. The project is offered by OSHEU (Occupational Safety, Health and
Environment Unit) and the School of Medicine and will be supervised by the Environmental
Adviser within OSHEU (Dr Katrina Henderson) and the Academic leading the initiative in
MEDIC (Dr Clive Gregory). This project is based within OSHEU, it will involve engaging with
different areas of the University and attending meetings i.e. Environmental Management
Steering Group (Chaired by Deputy Vice Chancellor Prof Elizabeth Treasure).
Two of the main areas I am going to look into for this project are temperature and good
sample management; both of which seem like fundamentally important factors that can help
ensure our laboratories are more sustainable. The project is mainly going to be split into
three different categories;
The idea is to come compile sufficient evidence to prove to technicians, researchers and
professors alike that these changes not only save energy but also promote better laboratory
practice and can improve their samples through a change in their management.
1. The Freezer Challenge within laboratories
(Including better sample management)
2. General energy saving ideas within laboratories
3. General energy saving ideas within the university
53
The Freezer Challenge
i. UC Davis
The Freezer Challenge is a national competition, started at UC Davis (University of California,
USA), as a way to introduce the laboratory cold storage management techniques described
in the Store Smart program. The program seeks to partner with researchers to improve
sample access, reduce the risks related to freezer use, and save energy. Each ULT (ultra-low
temperature) annually uses an equivalent amount of electricity as a typical single family
home, as well as incurring maintenance costs. When a freezer fails, samples may be lost
permanently or damaged, jeopardizing research projects and data archives, whilst without
sample management tools, samples and bioassay materials can be misplaced or forgotten
about, resulting in an uncertain archive of important scientific data. The goals for the Freezer
Challenge are to save energy, retire as many freezers as possible and improve sample access
and security. While the main priority of this friendly competition is to save energy, it is also
designed to help participants learn how to increase their sample access and security, develop
key sample management skills, and maintain freezers in optimum condition to keep their
research samples safer. The challenge is for as many labs as possible to participate in freezer
temperature tuning, cleaning & maintenance, and in organizing samples and identifying
material in need of disposal. This should not only save both money and energy but also
improve researchers’ sample management. (Sustainability.ucdavis.edu)
ii. What is ‘sample management’?
Sample management is a part of process control, one of the essentials of a quality
management system. The quality of the work a laboratory produces is only as good as the
quality of the samples it uses for testing, and so must be proactive in ensuring that the
samples it receives meet all of the requirements needed to produce accurate test results.
iii. Cardiff
The Freezer Challenge in Cardiff, initiated in 2011, was an opportunity to improve the
University’s People and Planet green league position of that year (130/138 which was the
second lowest in Wales) whilst also raising awareness about the energy costs of running
freezers. By undertaking some small changes significant improvements in the School’s energy
usage, cost of ownership and laboratory practice can be made. Cardiff will be the first in the
UK to carry out such an initiative which will demonstrate to the whole of Cardiff University
and the UK academic community of our commitment to environmental issues. Not only does
it save money, energy and improve freezer life it also makes good laboratory sense, with the
whole project run by School of Medicine Eco-Champion, Dr Clive Gregory.
54
55
56
iv. Possible Ideas
1
What should be done?
The main idea for the Freezer Challenge is to reduce freezer temperatures from -80 to -70,
but only in places where sample quality will not only be unaffected but may also benefit from
being stored at a higher temperature. This process is known as ‘temperature tuning’ as an
ultra-low temperature freezer set to -60 °C may use half the electricity of one set to -86 °C.
Users should aim to tune their freezer set-point by +10 °C (or more) for at least 6 months
whilst they aim to identify the different sampling types (i.e. tissues, molecules, cultures,
reagents, etc.) being stored and so can each be stored correctly in their consequential range.
Participants can also store DNA at -20 °C in standard freezers or move DNA from an ultra-low
temperature freezer to a standard freezer. Often, samples do not require -80 °C and can be
safely stored at higher temperature. For example, if you have an ULT freezer full of DNA,
consider switching to dry storage or a -20 °C freezer instead. Additionally room temperature
sample storage is possible, with researchers now having the ability to store DNA, RNA, and
materials saved for later extraction of DNA and RNA at room temperature for the long term
or short term. Presently most DNA and RNA samples are typically stored in freezers by
researchers. However, a switch to room temperature storage will not only result in obvious
energy savings but also better security for the researcher’s samples since it will avoid the
dependence on continuous electricity or a mechanical freezer, both of which could fail
(Sustainability.ucdavis.edu, 2014).
Evidence of previous success
The following link is a spreadsheet of biological samples scientists at UC Davis and CU Boulder
have stored at temps at or above -70 degrees Celsius.
https://spreadsheets.google.com/spreadsheet/pub?hl=en&hl=en&key=0AsLDc2bsvPZCdHZ
sX05jaUVnM3NORmUwdl85MDFlS2c&single=true&gid=0&output=html
Results
Raising the ultra-low freezer temperature from -80 to -70 degrees Celsius can save 2-4
kWh/day, which is the same amount of energy required to run a full-sized -20 degree Celsius
freezer. The higher temperature also reduces stress on the compressor which can increase
the freezer lifetime and reduce the risk of compressor failure (Wastereduction.unc.edu,
2014).
57
2
What should be done?
Old, non-sustainable freezers should be replaced with more ‘green’ and environmentally
friendly, newer models. This is known as ‘freezer retirement and upgrade’ where it requires
researchers to remove high energy consuming older freezers from a building to be replaced
by less energy consuming, newer freezers if necessary. Researchers can therefore retire a
freezer, replace an inefficient freezer with a more efficient one, convert some of their
samples to a form that doesn't require freezer storage or make a combination of these
changes.
Evidence of previous success
Stanford's Department of Sustainability and Energy Management carried out such a scheme
in 2010, urging researchers to go green and get rid of their old ultra-low-temperature
freezers which use the greatest amount of energy. It was termed the ‘Ultra-Low-Temperature
Freezer Retirement Program’ and aimed to decrease the number of laboratory freezers on
campus. For researchers who couldn’t live without a freezer, the program also offered
incentives to upgrade to a more energy-efficient model, where labs were given cash of up to
$7,600 in order to buy new energy-efficient freezers or use new technology to store biological
samples at room temperature. At the start of the scheme Stanford had more than 2,000 of
these freezers and the number was increasingly getting higher, which translated to huge
energy costs for the university. The freezers would consume an estimated 40 billion BTUs of
energy, generate 3,600 tons of carbon dioxide and cost $5.6 million to operate each year.
The aim was therefore to get rid of 25% of their freezers in order to reduce costs and energy
consumption whilst also increasing lab space.
Results
Right now, only DNA and RNA molecules are hardy enough to survive the new room
temperature storage, but similar technology for more delicate blood and proteins is being
developed. Dry, room temperature storage allows more samples to be packed into a smaller
space and requires vastly fewer energy resources to maintain. The storage cabinets require
no energy to run and since the storage cabinets don't need electricity, samples are not
vulnerable to power outages, unlike those stored in freezers, meaning researchers have one
less thing to worry about after a natural disaster like an earthquake. Additionally, a six-month
pilot project in the previous year was run involving a dozen Stanford researchers. Darren
58
Morrow, a research technician in Virginia Walbot's maize genetics lab in the Department of
Biology, managed her lab's freezer replacement project.
He and the other lab members cleared out a lot of old samples, throwing away the ones they
didn't need and putting samples needed for five years or less into storage at minus 20 C,
rather than the minus 80 C required for longer term preservation. As a result, they retired
two freezers and purchased a new energy-efficient model. Morrow also converted a good
portion of the lab's DNA and RNA samples to dry, room temperature storage. Morrow says
he has complete confidence in the dry storage and would encourage other university
researchers to try it. He tested and compared the quality of RNA samples stored at minus 80
C and room temperature after two months of storage.
3
What should be done?
The Refrigeration Shop estimates that HALF of UNC's ultra-low freezers have door seals with
leaks or have seals that have already totally failed. Follow proper protocol in order to reduce
the issues that arise from leaky seals: do not leave the freezer door open for extended periods
of time; wipe the seal before shutting the door; do not try to cram the latch to shut when
there is frost obstructing closure. You should not wait to call for a repair if you suspect there
is an issue with your freezer seal as waiting could aggravate the problem and cause more
expensive repairs or total freezer replacement necessary. Sample integrity is at risk in a
freezer with a leaking seal and the freezer consumes a great deal more energy
(Wastereduction.unc.edu, 2014), so by reporting and fixing faulty freezers both energy,
money and the samples themselves would be saved from any damage.
“Over the years you start to accumulate a lot of samples," Morrow said. "We work with
corn and have quite a bit of tissue that we collect over the summer months each year."
"Everything was exactly the same," Morrow said. "I think it's definitely a worthwhile
technology. The best way to convince yourself is to test it out." (News.stanford.edu, 2014).
59
4
What should be done?
Samples should be removed from freezers after a certain period of time when the owner of
the samples has left university and no longer has any need for them. Too often samples are
left for many years in freezers being stored when they are no longer of any use to anybody,
taking up valuable storage space and so additional freezers are deemed necessarily required
which is in fact not always the case. A freezer cleanout is therefore a viable option to combat
this problem; removing unwanted samples after a certain period of time (perhaps as an
annual event and/or three years following a student’s graduation.
Evidence of previous success
In the spring of 2011, two labs participated in a pilot Freezer Cleanout Program where each
lab cleaned out one –80 freezer and disposed of old samples. The two case studies achieved
the following results;
Lab 1: 44 Boxes of Samples Disposed of, providing 2.75 racks of new space
Lab 2: 67 Boxes of Samples Disposed of, providing 4.20 racks of new space
Result
A freezer cleanout is a great way to mitigate this consumption whilst saving you time and
effort in the future! Organizing your freezer will make it easier to find needed samples, and
eliminating old materials will free up space for new samples, minimizing the need for a new
freezer. This is a great cost saver! In addition, by clearing frost build-up you will save energy,
improve ease of access, and ensure the longevity of your freezer (Green.harvard.edu, 2014).
60
General Energy Saving Ideas
i. Possible Laboratory Practices
Below are some simple steps on how to save energy in laboratories:
 Switch lights off when you leave the room and all equipment at the end of the day
(especially when going home for the weekend). This can be enforced by putting lab
checklists on the door where a designated person every day of the week has to sign it to
show that all lab checks have been completed, as well as the time to show when it was
done. It will only take up an extra 5 minutes at the beginning and end of each day, with
such a scheme having been carried out in worldwide institutes like Johnson & Johnson, so
there is no reason why Cardiff cannot follow their example.
 Perhaps build a spreadsheet that puts all chemicals within all laboratories on so that
everyone can view it and use it to find the chemicals they need. This would prevent excess
chemicals being bought in that are already found on campus and if the expiry date of all
chemicals was also recorded then wastage of chemicals could also be prevented. Quite
often chemicals are bought for the sole purpose of being used once and are then never
used again until they are finally chucked out when they have passed their expiry date. This
produces huge wastage and could easily be prevented if people were simply alerted to
the list of chemicals found in their building.
 A one minute sustainability video at the start of every lab practical for undergraduate
students. If this video were to just demonstrate good laboratory practice (like switching
things on only when they need them and then switching them off again) students would
quickly become accustomed to following these measures and it would be implemented
quickly into their work. Marks for good laboratory practice should also be taken into
account.
61
 Gold, Silver and Bronze medals or stickers should be awarded to department laboratories
that adhere to certain sustainability compliances. This promotes good management
practices where labs will be awarded points according to each cubic foot of space saved
by reorganizing, discarding unneeded samples, and proper inventory & labelling. This will
encourage people in labs to become more sustainable as one lab without such a medal
will want to achieve a medal if all their neighbouring labs have one. This is just human
nature as if one lab has one and another doesn’t then it will reflect poorly on them and
they will be seen in a bad light, consequently causing them to try and improve their
sustainability practices.
ii. Possible University Practices
Below are some other possible steps on how to save energy within the university:
 OSHEU (Occupational Safety, Health and Environment unit) are a team dedicated to
providing a cost effective centre of excellence to promote the health and safety of staff,
students and visitors to Cardiff University. They aim to create and maintain a safe and
healthy working environment and Cardiff University have won a lot of Health & Safety
Awards as a result of the hard work put in by a large number of full-time staff within the
Occupational Safety team. The Environmental Unit of OSHEU however is mainly made up
of part-time staff that often have other roles and jobs to contend with alongside tackling
sustainability issues within our university. To help the university achieve their aims they
should employ a full-time team to work on tackling these issues in order to enforce new,
more sustainable practices within our institute. If you look at the recent Green League
tables most of the top universities earning First Class awards have such a team in place,
and so Cardiff must follow their example by creating such a team to ensure that we meet
strict government targets set out to reduce our carbon emissions. Savings made through
a reduction in our energy usage will also override the appropriate salaries of the team put
in place, saving the university money in the long run.
62
 Currently in Cardiff Student Halls like Talybont North, South and Court students don’t have
to pay for bills (all of their heat, gas and electricity are covered under their
accommodation costs). This policy should be changed as it encourages students to leave
their lights on constantly (even when they have left the room), to take long unnecessary
showers deliberately and to leave their radiators on constantly even during the warm
summer months. The attitude is that if they don’t have to pay for it then they don’t care
so consequently students should be made to pay for all the gas and electricity they
collectively use in their flats and their accommodation fees should be dropped down
accordingly. This will also prepare students for second year where they quite often have
to pay their own bills independently of their rent, and so will ensure they are more
conservative in their usage of gas and electricity.
Students living in Cardiff University residences Talybont North (L) and Talybont South (R) don’t have to
pay bills, leading to huge energy wastage.
 Installing the free WeMo app onto compatible phones could ensure that students living
in halls really do turn off all appliances when they leave their rooms. The Belkin Wi-Fi
enabled WeMo Switch lets you turn electronic devices on or off from anywhere by using
your existing home Wi-Fi network to provide wireless control of TVs, lamps, stereos,
heaters, fans and more. WeMo now works with android and IOS smart device, enabling
you to turn your electronics on or off from anywhere over Wi-Fi, 3G or 4G. The free WeMo
app makes it easy to set schedules for appliances and electronics in your home to turn off,
as just by using your smartphone or tablet you can program a fan to turn on or off at a
certain time of day, at sunrise or sunset.. This fits in nicely with the point about students
paying for their halls of residence, as if students were to install this app on their phones
then their light would turn off automatically once the student left their room with their
phone (and let’s face it students go everywhere with their phones). If the university
provided incentives for students to download this app then in all likelihood students
would download it and they wouldn’t even have to turn off their appliances when they
left the room as their phone will do it for them.
63
 A Sustainability Module could be brought into the curriculum into subjects such as the
Biological courses run in Bioscience (such as Biology, Ecology, and Zoology etc.). Such a
relevant and interesting topic should be taught more to students, which should in turn
make them more sustainable because they are learning about the reasons why we should
be sustainable and what will happen if we aren’t. Bath Spa University also runs a
sustainability BSc (Hons) course entitled ‘Global Development & Sustainability’, giving
students the chance to focus all their interests and studies towards this important issue.
Such areas that should be covered in a sustainability laboratory module for students
include lectures and talks on good laboratory practice, climate change, our global future,
energy and the environment, the work being done in the university (giving OSHEU some
more publicity) and a final part based on how to lead change in theory into practical ideas.
 A new modern technology called an ‘A-class air source renewable heat pump’ was
recently launched to give summer heating bills all year round. The recently launched
Renewable Heat Incentive (RHI) gives quarterly payments to those generating heat for
their home from renewable sources. In addition to the RHI payments, a typical 4 bedroom
household could save over £1000 per year on their heating bill, a figure which will grow
each year as fuel prices continue to rise. Air source heat pumps, such as the Dimplex A-
Class, utilise the external air temperature to generate a high temperature capable of
heating a home and providing copious amounts of hot water even in the depths of winter
– now there is no need to install or retain a fossil fueled boiler. If the university could
implement some of these into their halls of residence or the university itself then, after
the initial outlay of buying and installing them, energy bills will become a lot cheaper and
a significant amount of money could be saved.
 Renewable energy sources where possible, i.e. solar panels and floor tiles that create
energy when you walk on them (most cost effective in new buildings of high population
density), with other ideas being motion sensor lighting and double glazing in all windows.
64
iii. Other Universities
Below is a list of possible schemes Cardiff University could try out that are being carried out
by other universities in the UK. The schemes described below have yet to be implemented at
Cardiff and so by judging on the success of these schemes Cardiff may decide to introduce
some of them in the near future.
Student Eats
Student Eats is a project led by NUS, supporting
institutions across the UK in cultivating their own
student-led growing sites for fruit and vegetables.
Student Eats turns areas of campuses into versatile
growing areas, installing polytunnels, green houses
and cold frames to extend the growing season, as
well as providing a range of gardening equipment
and horticultural expertise. Championed by a team
of dedicated students, staff and members of the
local community, these sites are used to grow produce which is shared among the volunteers,
as well as sold at low cost to other students and often even to on-campus catering services.
As more and more students become interested in growing their own produce, as well as
being conscientious of the ethical and environmental impact of their food choices, Student
Eats is a great opportunity to grow, eat and share food which is organic, nutritious, fresh,
local, low-carbon and – most importantly of all – delicious! Aside from promoting sustainable
food patterns and localised economics, Student Eats is really eager to use these projects to
strengthen community bonds and build cross-cultural connections. Each project endeavours
to partner up with one off-campus community group such as a local school or a wellbeing
charity, offering demonstration sessions, volunteering opportunities and cookery events.
Further to this, the sites also take pride in growing ethnic and exotic crops which might not
often be seen on UK allotments – responding to as broad of a demographic of students as
possible. Some example universities that are involved in this programme include:
65
Students’ Green Fund
Students’ Green Fund provides students’ unions
with the funding to develop transformative,
student-led sustainability projects with real impact
and legacy. Using £5 million of HEFCE funding, NUS
has helped 26 students’ unions from across England
to develop ambitious greening projects, leading to
step-changes in pro-environmental behaviour
across higher education. With student engagement
at the heart of all 25 projects, NUS is supporting initiatives ranging from greening student
homes, to creating growing spaces on campuses; from up-cycling cafes, to developing
sustainable transport for physically disabled students. Embedding sustainability into the core
purpose of higher education, Students’ Green Fund will empower cohort after cohort of
graduates to leave their time in education as part of the solution to our environmental
challenges. Through holistic approaches like greening the curriculum and developing
widespread behaviour change, Students’ Green Fund turns students’ unions into hubs of
sustainability at the heart of their wider communities, and helps students to adopt pro-
environmental habits which last far beyond their time in education. A range of different
projects exist that can be found online, including ‘Leeds Green Exchange’ in which Leeds
University Student Union became the first students’ union to ban bottled water. Other
projects include a roof garden being built in Liverpool University and the ‘Cycling 4 All’
scheme the University of Bradford Students' Union is following to promote health and
wellbeing among disabled students. They are doing this by increasing provisions for sporting
participation, while developing and implementing sustainable modes of transport for
disabled students to commute to and from campus. Some additional universities that are
involved in this programme include:
Universities that are involved in both the above projects however include:
66
Global Sunrise Project
Universities are always looking for innovative,
creative and enthusiastic students to take part in
“green” initiatives, such as the inspiring Global
Sunrise Project, which hopes to inspire a
generation to repower the planet with
renewable energy by bringing together students,
charities and organisations. They envisage a world where everyone has access to clean,
affordable energy, where communities use home-grown sustainable electricity, and by
unleashing the power of young people they hope to cause a renewable revolution. They work
with some of the most respected research institutes around the world, contribute to research
projects that impact hundreds of thousands of people internationally and collaborate across
5 different countries and 4 continents (as shown by their network map and list below).
Their projects include Planting Promise, EFO (Energy for opportunity), African Steps and TASC
Madagascar. Planting Promise works across Sierra Leone with the mission of setting up a
network of ethical farming and food processing enterprises ran by local people given skills
training; and with the profits going towards funding free education programmes for children.
EFO is a not-for-profit organisation based in West Africa and works to improve the lives of
local people through the provision of sustainable energy systems. Students from the UK not
only helped fund the installation of a solar electricity system which enables Medina Health
Clinic to provide 24 hour care; but also helped develop and finance a community charging
station. African Steps is a charity aiming to improve conditions surrounding St. Peter’s
hospital on Likoma Island, Malawi. This hospital is vital to the local and wider area, providing
healthcare for 80,000 people from 3 different countries and has continually suffered from
Australia
Holland
Madagascar
Malawi
New Zealand
Sierra Leone
Singapore
United Kingdom.
67
unreliable power, which has prevented it from carrying out lifesaving operations and store
crucial medicines and blood. African Steps (AS) has been exploring the potential for
renewable energy for some time to power their hospital and have recently proceeded with
a 24hr clean energy power system. Finally, Global Sunrise have recently partnered up with
TASC Madagascar whose aim is to help, in any way possible, the Vohipeno region of
Madagascar. TASC stands for ‘Tossing a Starfish Charity’, with the explanation for this name
explained below. This short story sums up what GS are trying to achieve through TASC
Madagascar.
Global Sunrise are working to provide the Children's home in Tanjomoha, Madagascar with
solar power in all the rooms of the community, including the offices, enabling the use of
computers, the Foyer des handicapés, the dormitories etc, shining light upon of the people
of Tanjomoha. The whole company consists of an international network of students and
recent graduates who work with charities, NGOs, and Corporate organisations to repower
the planet with clean renewable energy. Some example universities that are involved in some
of the programmes run by Global Sunrise include:
Cardiff could follow in the footsteps of these two universities by joining Global Sunrises
organisation to demonstrate their commitment to not only increase awareness and promote
good practices in Cardiff but also abroad as well.
I was walking along the beach one day. I saw a man bending over picking up starfish on the
shore and was throwing them back into the sea. I asked him, "Why are you throwing those
starfish back into the sea?" He replied, "The tide is going out, the sun is hot, and if I don't,
they will die here." I asked him why he was doing this; the few he threw back wouldn't
make any difference. The man paused with a starfish in his hand. He looked at it, and then
he tossed the starfish out to sea and said, “I have made a difference to that one.”
68
Executive Summary
Cardiff University is internationally recognised as being among the top tier of Britain's
research-intensive universities, whilst also being unusual in that sustainable development
research is a key strength across a wide range of disciplines. This strength is reflected in a
number of major research funding awards and the establishment of leading research centres.
Cardiff must continue to pursue the principles of sustainable development both in its
engagement with external stakeholders and in the management of its internal operations,
whilst also continuing to benefit society through making a significant and sustainable
contribution to health, economy, education and culture. It can only do this by continuing to
discourage people to follow old practices whilst also enforcing new policies like that of the
Freezer Challenge. Raising the temperature from -86 degrees Celsius to -60 degrees Celsius
can reduce energy consumption by 50% and so the Freezer Challenge seeks to raise the
temperature of ultra-low freezers by 10 degrees (or more!). Microbial cultures, proteins,
yeast strains, cell lysates, and other samples have been stored for years in -70 degrees
Celsius, while DNA can be stored at -20 degrees Celsius in a standard freezer safely for nearly
75% energy savings. It is also important to note that a full freezer runs more efficiently and
cools down more slowly if power is lost. If samples do not take up a whole freezer, loaning
space to another Principal Investigator should be considered or the empty space should be
filled with frozen water jugs (or anything, such as an old cooler, that displaces air). The fuller
the freezer, the less the compressor must work to cool the air and the longer the compressor
will last. Similarly, raising the temperature in an ULT freezer requires the compressor to work
less, which should result in a longer lasting freezer. Additionally, researchers now have the
ability to store DNA, RNA, and materials saved for later extraction of DNA and RNA at room
temperature for the long term or short term. Presently most DNA and RNA samples are
typically stored in freezers by researchers. However, a switch to room temperature storage
will not only result in obvious energy savings but also better security for the researcher’s
samples since it will avoid the dependence on continuous electricity or a mechanical freezer,
both of which could fail (Sustainability.ucdavis.edu, 2014). The hardest thing here is to
overcome inertia of how the researchers have always done things, to convince them that the
dry, room temperature storage is just as good as older methods and so incentives should be
offered to get them to follow the schemes. Sustainability in laboratories however isn’t just
restricted to the Freezer Challenge as other potential schemes include sustainability videos,
lab spreadsheets and medals for labs that achieve good sustainability practice. Currently in
the University a student’s thesis is become double sided for both undergraduates and
postgraduates, saving a huge sum of paper and money, whilst a whole range of schemes are
currently being run throughout the year, such as Blackout, Sustainability Week and Bike
Week. By looking at other universities more schemes can be implemented in Cardiff as we
follow their examples, which should ensure Cardiff becomes even more critically acclaimed.
69
References
 Carbon Management Plan Task and Finish Group, (2013). Cardiff University Carbon
Management Plan Short term Carbon Reduction targets 2013-2016. Cardiff.
 David R. Jones, (2012) "Looking through the “greenwashing glass cage” of the green league
table towards the sustainability challenge for UK universities", Journal of Organizational
Change Management, Vol. 25 Iss: 4, pp.630 – 647
 Dobson, A.N.H., Quilley, S., Young, W. (2010), "Sustainability as competitive advantage in
higher education in the UK", International Journal of Environment and Sustainable
Development, Vol. 9 No.4, pp.330-48.
 Freshwater biodiversity in Indo-Burma under threat. 2012. thefreshwaterblog, [blog]
November 13th, Available at: http://biofreshblog.com/2012/11/13/freshwater-biodiversity-
in-indo-burma/ [Accessed: 15 Jul 2014].
 Globalcitizen.org. 2012. Introduction to the importance of environmental sustainability.
[online] Available at: http://www.globalcitizen.org/Content/Content.aspx?id=867a1778-
9011-442d-a9d6-a4970593ca23 [Accessed: 15 Jul 2014].
 Green.harvard.edu. 2014. Host an Annual Freezer Cleanout. [online] Available at:
http://green.harvard.edu/tools-resources/host-annual-freezer-cleanout [Accessed: 8 Jul
2014].
 Hopkinson, L. et al, 2011. Energy Consumption of University Laboratories: Detailed Results
from S-Lab Audits. [report] Lab-CURE: Chemicals, Utilities, Resources and Environment in
Laboratories, pp. 4-47.
 Hopkinson, L. and James, P. 2011. Saving Money Through Sustainable Procurement of
Laboratory Equipment. [report] pp. 2-12.
 Kaplan, S. (2000), "Human nature and environmentally responsible behaviour", Journal of
Social Issues, Vol. 56 pp.491-508.
 Leventhal, H., Watts, J.C., Pagano, F. (1967), "Effects of fear and instructions on how to cope
with danger", Journal of Personality and Social Psychology, Vol. 6 No.3, pp.313-21.
70
 News.stanford.edu. 2014. Freezer Retirement Program: Out with the cold, in with the new.
[online] Available at: http://news.stanford.edu/news/2010/june/freezer-retirement-
program-060210.html [Accessed: 8 Jul 2014].
 Newton, T.J. (2002), "Creating the new ecological order? Elias and actor network theory",
Academy of Management Review, Vol. 27 pp.523-40.
 People & Planet (2011), "Green League 2011", People and Planet, Oxford, available at:
http://peopleandplanet.org/dl/gogreen/greenleague2010 (accessed 8 February 2011).
 Roszak, T. (1992), The Voice of the Earth, Simon & Schuster, New York, NY.
 Sustainability.ucdavis.edu. 2014. Sustainable 2nd Century | UC Davis: Store Smart. [online]
Available at: http://sustainability.ucdavis.edu/action/conserve_energy/store_smart.html
[Accessed: 7 Jul 2014].
 Un.org. 2014. United Nations Millennium Development Goals. [online] Available at:
http://www.un.org/millenniumgoals/bkgd.shtml [Accessed: 11 Jul 2014].
 Wastereduction.unc.edu. 2014. Office of Waste Reduction and Recycling > Get Involved! >
Green Labs > Freezer Challenge. [online] Available at:
http://www.wastereduction.unc.edu/GetInvolved/GreenLabs/FreezerChallenge [Accessed:
7 Jul 2014].
 The World Commission on Environment and Development’s (the Brundtland Commission)
report Our Common Future (Oxford: Oxford University Press, 1987).
71
Appendix
Appendix A – Equipment Number in the School of Biosciences
Lab Tour: Mr Mark Lewis
Safety Health & Environmental Manager
Case
Study
Lab 1
Case
Study
Lab 2
Case
Study
Lab 3
Case
Study
Lab 4
Case
Study
Lab 5
Case
Study
Lab 6
Case
Study
Lab 7
Case
Study
Lab 8
Case
Study
Lab 9
Case
Study
Lab 10
Total
Air Condition Unit 0 0 0 0 0 0 0 0 0 0 0
Air Flux Condenser 0 0 0 0 0 0 0 0 0 0 0
Balance 0 0 0 0 0 2 0 0 0 2 4
Bench top
Autoclave
0 1 0 0 0 0 0 0 0 0 1
Big Autoclave 0 0 1 0 0 0 0 0 0 0 1
Bulb 16 8 6 20 12 36 24 15 24 12 173
CD Player 0 0 0 1 0 2 0 0 0 0 3
Centrifuge 0 0 0 0 0 0 1 1 1 4 7
Computer server 0 0 0 0 0 1 0 0 0 0 1
Deionised Water 1 0 0 1 0 0 0 0 0 0 2
Dishwasher 1 0 0 0 0 0 0 0 0 0 1
Drying Oven 0 1 0 0 0 0 0 0 0 0 1
Fan 0 0 0 1 0 0 0 0 0 0 1
Faraday Cage 0 0 0 0 0 0 0 0 0 0 0
FLD1
0 0 0 0 0 0 0 0 0 0 0
Freezer (-20) 0 1 5 0 3 2 1 1 0 0 13
72
Freezer (-80) 0 0 0 3 0 0 0 3 0 2 8
Fridge 0 0 0 0 0 1 0 0 0 0 1
Tall Fridge Freezer 0 0 0 0 0 0 0 0 0 0 0
Fume Cabinet 2 0 0 2 0 0 0 0 0 1 5
Glass Drying
Cabinet
0 0 0 0 0 0 0 0 0 0 0
Glass Washer 0 0 0 0 0 0 0 0 0 0 0
‘Gut Bath’ Set-Up 0 0 0 0 0 0 0 0 0 0 0
Heating Oven 0 1 0 1 1 0 0 0 0 0 3
Hot Plate Stirrer 0 0 0 0 0 0 0 0 0 0 0
HPCS2
0 0 0 0 0 0 0 0 0 0 0
HPLC3
0 0 0 0 0 0 0 0 0 0 0
Hybridiser 0 0 0 0 0 0 0 0 0 0 0
Ice Machine 1 0 0 0 0 0 0 0 0 0 1
Incubator 0 0 3 3 0 2 4 2 1 0 15
LSA4
0 0 0 0 0 0 0 0 0 0 0
Mass
Spectrometry
0 1 0 0 0 0 0 0 1 0 2
MPA5
0 0 0 0 0 0 0 0 0 0 0
Micro-centrifuge 0 1 0 1 0 2 0 2 0 1 7
MSC6
0 0 0 0 5 0 0 0 2 0 7
Microscope 0 0 0 0 3 7 1 0 4 0 15
Microtome 0 0 0 0 0 0 0 0 0 2 2
73
1 Fluorescent Luminescence Detector
2 High Performance Chromatography Systems
3 High Power Liquid Condenser
4 Liquid Scintillation Analyser
5 Melting Point Apparatus
6 Microbiological Safety Cabinets
Microwave 0 0 1 0 1 0 0 2 0 2 6
PCR Machine 0 0 0 0 0 3 0 5 6 4 18
pH Calibrator 0 0 0 0 0 0 1 0 0 0 1
Powerpack 0 0 0 0 0 0 0 2 2 3 7
Printer 0 0 0 0 0 0 0 0 0 0 0
Roller Mixer 0 0 0 0 0 0 0 0 0 0 0
Rotatory
Evaporator (with
water condenser)
0 0 0 0 0 0 0 0 0 0 0
Shaker 0 0 0 0 0 0 0 0 3 0 3
Sonicator 0 0 0 0 0 0 0 0 0 0 0
Stirrer / Heater 0 0 0 0 0 0 0 0 0 0 0
UV Gel Dock 0 0 0 0 0 0 0 1 0 2 3
Vacuum Oven 0 0 0 0 0 0 0 0 0 0 0
Vacuum Pump 0 0 0 0 0 0 0 0 0 0 0
Water Bath 0 0 0 0 0 1 0 0 0 2 3
Weighing Station 0 0 0 0 0 0 0 0 0 0 0
74
Appendix B – Equipment Number in the School of Medicine Building
Lab Tour: Mr Karl Hanzel
Health and Safety Co-ordinator
Case
Study
Lab 1
Case
Study
Lab 2
Case
Study
Lab 3
Case
Study
Lab 4
Case
Study
Lab 5
Case
Study
Lab 6
Case
Study
Lab 7
Case
Study
Lab 8
Case
Study
Lab 9
Case
Study
Lab 10
Total
Air Condition Unit 0 0 0 0 0 0 0 0 0 0 0
Air Flux Condenser 0 0 0 0 0 0 0 0 0 0 0
Balance 0 0 0 0 0 0 0 0 0 0 0
Bench top
Autoclave
0 0 0 0 0 0 1 0 0 0 1
Big Autoclave 0 0 0 1 0 0 0 0 0 0 1
Bulb 30 >100 7 10 75 7 12 16 4 28 349
CD Player 0 1 0 0 1 1 0 0 0 0 3
Centrifuge 1 5 0 0 2 1 1 0 1 1 12
Computer Server 2 2 0 0 3 0 2 10 0 8 27
Deionised Water 0 0 0 1 1 0 0 0 0 1 3
Dishwasher 0 0 0 0 0 0 0 0 0 0 0
Drying Oven 0 0 0 0 0 0 0 0 0 0 0
Fan 0 0 0 0 0 0 0 0 0 0 0
Faraday Cage 0 0 0 0 0 0 0 0 0 0 0
FLD1
0 0 0 0 0 0 0 0 0 0 0
Freezer (-20) 2 15 0 0 6 0 1 0 0 2 26
Freezer (-80) 0 0 0 0 1 2 0 0 0 4 7
Fridge 1 5 0 1 1 0 0 0 1 1 10
75
Tall Fridge Freezer 0 0 0 0 0 0 0 0 0 0 0
Fume Cabinet 1 1 1 0 1 1 0 0 1 2 8
Glass Drying
Cabinet
0 0 0 0 0 0 0 0 0 0 0
Glass Washer 0 0 0 0 0 0 0 0 0 0 0
‘Gut Bath’ Set-Up 0 0 0 0 0 0 0 20 0 0 20
Heating Oven 0 0 0 0 0 0 0 0 0 0 0
Hot Plate Stirrer 0 0 0 0 0 0 0 0 0 0 0
HPCS2
0 0 0 0 0 0 0 0 0 0 0
HPLC3
0 0 0 3 0 0 0 0 0 0 3
Hybridiser 0 0 0 0 0 0 0 0 0 0 0
Ice Machine 0 0 0 0 0 0 0 0 0 0 0
Incubator 1 2 0 0 2 0 1 0 2 0 8
LSA4
0 0 0 0 0 0 0 0 0 0 0
Mass
Spectrometry
1 0 0 0 3 0 0 0 0 0 4
MPA5
0 0 0 0 0 0 0 0 0 0 0
Micro-centrifuge 0 2 0 0 3 0 2 0 0 4 11
MSC6
0 0 0 0 1 0 1 0 0 0 2
Microscope 0 0 0 0 0 0 2 0 0 3 5
Microtome 0 0 0 0 0 0 0 0 0 0 0
Microwave 1 0 0 0 1 0 0 0 0 2 4
PCR Machine 2 0 0 0 0 0 0 0 0 0 2
76
1 Fluorescent Luminescence Detector
2 High Performance Chromatography Systems
3 High Power Liquid Condenser
4 Liquid Scintillation Analyser
5 Melting Point Apparatus
6 Microbiological Safety Cabinets
pH Calibrator 2 0 1 0 0 0 0 0 0 0 3
Powerpack 0 3 0 0 3 0 0 0 0 1 7
Printer 1 0 0 0 1 0 0 0 0 0 2
Roller Mixer 0 2 0 2 0 0 0 0 0 0 4
Rotatory
Evaporator (with
water condenser)
0 0 0 0 0 0 0 0 0 0 0
Shaker 0 1 3 0 0 0 0 0 1 0 5
Sonicator 0 0 0 0 0 0 0 0 0 0 0
Stirrer / Heater 0 0 0 0 3 0 1 0 0 0 4
UV Gel Dock 1 0 0 0 0 0 0 0 0 2 3
Vacuum Oven 0 0 0 0 0 0 0 0 0 0 0
Vacuum Pump 0 0 0 0 0 0 0 0 0 0 0
Water Bath 0 0 0 0 0 0 1 0 0 0 1
Weighing Station 1 0 2 0 3 0 0 0 1 3 10
77
Appendix C – Equipment Number in the School of Pharmacy and Pharmaceutical Sciences
Lab Tour: Mr Les Craven
Director of Facilities / Safety, Health and the Environment
Case
Study
Lab 1
Case
Study
Lab 2
Case
Study
Lab 3
Case
Study
Lab 4
Case
Study
Lab 5
Case
Study
Lab 6
Case
Study
Lab 7
Case
Study
Lab 8
Case
Study
Lab 9
Case
Study
Lab 10
Total
Air Condition Unit 2 0 0 0 0 0 0 0 0 0 2
Air Flux Condenser 0 1 0 0 0 0 0 0 0 0 1
Balance 0 1 1 0 2 0 1 5 1 0 11
Bench top
Autoclave 0 0 0 0 0 0 0 0 0 0 0
Big Autoclave 0 0 0 0 0 0 0 0 0 0 0
Bulb 12 16 16 8 76 6 8 60 40 96 338
CD Player 0 0 0 0 2 0 1 1 1 1 6
Centrifuge 0 0 0 5 0 0 1 0 0 0 6
Computer Server 0 3 1 1 3 5 0 0 3 4 20
Deionised Water 0 0 0 0 1 1 0 0 0 0 2
Dishwasher 0 0 0 0 0 0 0 0 0 0 0
Drying Oven 0 0 0 0 0 0 0 0 0 0 0
Fan 0 0 0 0 0 0 0 0 0 0 0
Faraday Cage 0 0 0 0 0 0 0 0 0 0 0
FLD1
0 0 0 0 0 1 0 0 0 0 1
Freezer (-20) 0 0 0 0 2 0 0 0 1 0 3
Freezer (-80) 7 0 0 0 0 0 0 0 0 0 7
78
Fridge 1 0 2 1 1 3 0 0 1 4 13
Tall Fridge Freezer 0 0 0 0 1 1 1 1 0 0 4
Fume Cabinet 1 4 2 0 6 0 3 13 4 8 41
Glass Drying
Cabinet
0 1 0 0 1 0 1 0 3 2 8
Glass Washer 0 0 0 0 0 0 0 0 0 0 0
‘Gut Bath’ Set-Up 0 0 0 0 0 0 0 0 0 0 0
Heating Oven 0 0 0 0 0 1 0 3 0 1 5
Hot Plate Stirrer 0 0 0 0 0 0 3 0 7 0 10
HPCS2
0 0 0 0
2 0 0 0 0 3 5
HPLC3
0 0 0 0 0 3 0 0 0 3 6
Hybridiser 0 0 0 0 0 0 1 0 0 1 2
Ice Machine 1 0 0 0 0 0 0 0 0 0 1
Incubator 0 0 1 0 0 0 0 0 0 0 1
LSA4
0 0 1 0 0 0 0 0 0 0 1
Mass Spectrometry 0 0 0 0 1 0 0 0 0 1 2
MPA5
0 1 0 0 0 0 0 0 0 0 1
Micro-centrifuge 0 0 1 0 0 0 0 0 0 0 1
MSC6
0 0 0 0 0 0 0 0 0 0 0
Microscope 0 0 0 0 0 0 0 0 0 0 0
Microtome 0 0 0 0 0 0 0 0 0 0 0
Microwave 0 0 0 0 0 0 0 0 0 0 0
79
1 Fluorescent Luminescence Detector
2 High Performance Chromatography Systems
3 High Power Liquid Condenser
4 Liquid Scintillation Analyser
5 Melting Point Apparatus
6 Microbiological Safety Cabinets
PCR Machine 0 0 0 0 0 0 0 0 0 0 0
pH Calibrator 0 0 0 0 0 0 0 0 0 0 0
Powerpack 0 0 0 0 0 0 0 0 0 0 0
Printer 0 0 1 0 0 0 0 0 0 1 2
Roller Mixer 0 0 0 0 0 1 0 0 0 0 1
Rotatory
Evaporator (with
water condenser)
0 3 0 0 2 0 1 2 3 5 16
Shaker 0 0 0 0 0 1 0 0 0 0 1
Sonicator 0 0 0 0 1 0 2 0 0 1 4
Stirrer / Heater 0 1 0 0 0 1 0 0 0 0 2
UV Gel Dock 0 0 0 0 0 0 0 0 0 0 0
Vacuum Oven 0 1 0 0 1 1 0 1 0 0 4
Vacuum Pump 0 0 0 0 0 1 0 0 0 0 1
Water Bath 0 0 0 0 0 0 2 0 0 0 2
Weighing Station 0 0 0 0 0 0 0 0 0 0 0
80
GlencrossDE@cardiff.ac.uk

Sustainability Project

  • 2.
    2 Cardiff University Mr. DavidGlencross Sustainability Challenge Coordinator 1. Abstract 4 2. Introduction 5 3. Sustainability 6 i. What is it? ii. Why is it important? 4. The Green League 8 i. What is it? ii. How does it work? iii. What are its restrictions? iv. What must be done? 5. Current Schemes 12 i. Sustainability Week ii. Go Green Week iii. Bike Week iv. Get it Out for Cardiff v. PHEW vi. Live Greener 2014/15 a. Blackout b. Green Impact c. Student Switch Off d. Snap it Off 6. Carbon Management Plan 2014 18 i. What is it? ii. Finances iii. Data Collection iv. Base Year Information v. What has been achieved so far? vi. Annual Carbon emissions since 2005/2006 vii. Gas viii. Electricity ix. Energy Saving Projects (by year) x. Carbon Footprint Saving Projects xi. Energy Saving Projects in Residences xii. Current and Future Commitments xiii. Financial spend on Energy Saving Projects xiv. Carbon Management Plan 2014-2017
  • 3.
    3 xv. Transport xvi. Water xvii.Waste xviii. Business as Usual Scenario for Scope 1 and 2 xix. Summary 7. Building Sustainable Laboratories 45 i. Who is backing the scheme? ii. What can we learn from other Universities? iii. What does this mean for Cardiff? 8. Potential Savings 47 i. Method ii. What makes up an ‘average’ laboratory? iii. Energy Consumption Calculation iv. Pricing v. Estimated Annual Electricity Consumption of Selected Lab Equipment vi. What are the potential savings? vii. Restrictions viii. Conclusion 9. Sustainability Challenge Coordinator 52 i. So what can Cardiff University do? 10.The Freezer Challenge 53 i. UC Davis ii. What is ‘sample management’? iii. Cardiff iv. Possible Ideas 11. General Energy Saving Ideas 60 i. Possible Laboratory Practices ii. Possible University Practices iii. Other Universities a. Student Eats b. Students’ Green Fund c. Global Sunrise Project 12. Executive Summary 68 13. References 69 14. Appendix 71 A. Equipment Number in the School of Biosciences B. Equipment Number in the School of Medicine C. Equipment Number in the School of Pharmacy and Pharmaceutical Sciences
  • 4.
    4 Abstract As a ‘SustainabilityChallenge Coordinator’ the main aim of my project is to identify viable ways to reduce energy usage in laboratories through the freezer challenge, which the unit is looking at ways to launch during the academic term 2014/15. While the main priority of this friendly challenge is to save energy, it is also designed to help participants learn how to increase their sample access and security, develop key sample management skills, and maintain freezers in optimum condition to keep their research samples safer. The challenge is for as many labs as possible to participate in freezer temperature tuning (moving from -80 to -70), cleaning & maintenance, and in organizing samples and identifying material in need of disposal. The project will involve research into the number and location of -80 freezers across the scientific schools, identifying where there is an opportunity for these freezers to be ‘warmed up’ from -80 to -70 and will link with the new Carbon Management Plan that will involve the calculation of potential energy savings. The project will also involve collating evidence to show the benefits in doing this and alleviate any concerns that laboratory managers may have. Major findings include the possibility of DNA being stored at -20 °C instead of -80 °C, that an ultra-low temperature freezer (UTL) set at 60 °C may use half the electricity of one set to -86 °C and that when students leave university their research remains in the freezers for several years after, demonstrating that annual lab stock-checks must be considered. Other potential energy saving methods in laboratories have also been drawn up and include a one minute sustainability video at the start of every lab practical for undergraduate students, lab checklists placed on doors to ensure all listed equipment is turned off at the end of each day and gold, silver and bronze medals to be awarded to department laboratories that adhere to certain sustainability compliances. This booklet has been designed to outline just how Cardiff University can become more sustainable, mainly through trying to convince both researchers and lecturers of what should and can be done in laboratories to reduce our energy output. By using cold, hard evidence to back up our claims we hope that people will agree to listen and change their practices accordingly, which will ensure a brighter and more sustainable future for us all. Mr. David Glencross 2nd Year Biology Student Sustainability Challenge Coordinator
  • 5.
    5 Introduction Cardiff University isrecognized in independent assessments as one of Britain’s leading teaching and research universities and is ranked amongst the top universities in the world. It is a member of the Russell Group, an assemblage of 24 leading UK research intensive universities that are committed to maintaining the very best research, an outstanding teaching and learning experience and unrivalled links with business and the public sector. The University is composed of three colleges: Arts, Humanities and Social Sciences; Biomedical and Life Sciences; and Physical Sciences and Engineering, where it currently has a total enrolment of 28,000 students (5,500 of which live in student residences on campus). It is the 12th largest university in the UK in terms of student numbers, employs 6,000 staff and had a total estimated income for 2013/14 of £460M. The Cardiff University academic community is the size of a small town, with research being undertaken in each of the University’s 28 Schools and, at any one time, there are more than 1,800 research contracts and grants in operation. The University occupies a total of 420,000m2 in Cardiff City centre, whilst the actual footprint extends from Heath Park in the North to Newport Road in the South. However, the main campus is concentrated around the Cathays Park which is a major conservation area located at the heart of the city (Carbon Management Plan Task and Finish Group, 2013). Cardiff University is one such university that pursues the principles of sustainable development both in its engagement with external stakeholders and in the management of its internal operations. The University also seeks to bring about positive change through a world-leading programme of research, learning and teaching (which addresses a wide range of sustainability issues) and various annual schemes that try and promote a sustainable lifestyle to both their staff and students alike. All this can therefore be used to highlight Cardiff University’s commitment towards building a sustainable future. Cardiff University Main Building; construction completed in 1909.
  • 6.
    6 Sustainability i. What isit? Definition: Since the 1980s sustainability has been used more in the sense of human sustainability on planet Earth and this has resulted in the most widely quoted definition of sustainability as a part of the concept sustainable development, that of the Brundtland Commission of the United Nations on March 20, 1987: ii. Why is it important? Climate change is the most urgent issue affecting our planet right now and has been described as the defining human development issue of our generation. Climate change- related hazards are both ongoing and increasing and are consequently posing a serious threat to the achievement of the eight MDGs (Millennium Development Goals). These goals range from halving extreme poverty rates to halting the spread of HIV/AIDS and providing universal primary education, all by the target date of 2015, forming a blueprint agreed to by all the world’s countries and leading development institutions (Un.org, 2014). Yet climate change has the potential to reverse years of these development gains. Tackling the climate is also a need for justice, as developing countries have 98% of the seriously affected and 99% of all deaths from weather-related disasters, along with over 90% of the total economic losses. Additionally, the 50 Least Developed Countries contribute less than 1% of global carbon emissions and so climate change and global poverty must be combated simultaneously. 75% of the world’s poor live in rural areas and largely depend on natural resources for their livelihoods and income. They suffer the most from natural disasters due to poor infrastructure and systems that are not equipped to deal with the drastic impact of major catastrophes like the 2004 tsunami or Haiti earthquake. Projected impacts from climate change include the following: 1. Decline in agricultural productivity: The areas suitable for agriculture, the length of growing seasons and the yield potential of food staples are all projected to decline. Some African countries could see agricultural yields decrease by 50% by 2050 and crop net revenues could fall by as much as 90% by 2100. “Sustainable development is development that meets the needs of the present without compromising the ability of future generations to meet their own needs.”
  • 7.
    7 2. Increased waterstress: Changing climate patterns will have important implications for water availability in Africa. By 2020, an additional 75-250 million people in Africa are projected to be exposed to increased water stress due to climate change. 3. Rising sea levels: Across the globe, sea levels could rise rapidly with accelerated ice sheet disintegration. In Africa, highly productive ecosystems, which form the basis for important economic activities such as tourism and fisheries, are located in coastal zones. In total, 70 million people and 30% of the Africa’s coastal infrastructure could face the risk of coastal flooding by 2080 because of rising sea levels. 4. Risks to human health: Climate change will affect human health through variables such as changes in temperature, exposure to natural disasters, access to food and air quality. Previously malaria-free highland areas in Ethiopia, Kenya, Rwanda and Burundi could experience modest incursions of malaria by the 2050s, with conditions for transmission becoming highly suitable by the 2080s. In total, an additional 260-320 million people worldwide could be living in malaria-infested areas by 2080. 5. Threats to ecosystems and biodiversity: Changes induced by climate change are likely to result in species range shifts and changes in tree productivity, adding further stress to forest ecosystems. Studies predict that 25-40% of mammal species such as zebra could become endangered or extinct by 2080. A study has shown that in the Indo- Burma region – an area with one of the highest diversity of life on the planet – freshwater species are at risk from a number of threats (Freshwater biodiversity in Indo-Burma under threat, 2012). Global efforts are key to ensuring environmental sustainability. Industrialized countries are historically responsible for the bulk of greenhouse gas emissions, but meaningful reductions in emissions today can only be achieved through an approach that includes emerging markets. Developing regions like sub-Saharan Africa must be enabled to embark on a low carbon growth path as they continue to grow their economies, with industrialized countries having an obligation to support Africa and other regions in this endeavour. Moreover, it is in their interest to do so as climate change impacts will be felt throughout the world, with developing and emerging countries even having signalled that they would agree to a global climate deal if they are sufficiently supported. In addition, there are untapped opportunities for partnering with sub-Saharan Africa to stem further declines, as Africa’s vast rainforests and natural resources could be invested through re-forestation and agro-forestry programs to provide sustainable livelihoods and carbon storage/sequestration (Globalcitizen.org, 2012).
  • 8.
    8 The Green League i.What is it? People & Planet’s Green League is the only comprehensive and independent league table of UK universities ranked by environmental and ethical performance. It is compiled annually by the UK’s largest student campaigning network, People & Planet where it applauds the greenest and exposes the least-green universities in the country. Cardiff University’s Green League position can be viewed below from 2007 (when records began) until 2013, with the 2014 table to be published in November. Year Rank Total Score Award Classification 2007 82 / 120 18 / 50 3rd 2008 84 / 129 25.5 / 60 3rd 2009 17 / 131 44 / 70 1st 2010 77 / 137 26 / 70 2:2 2011 130 / 142 16.5 / 70 FAIL 2012 75 / 153 34.5 / 70 2:1 2013 85 / 152 32 / 70 2:2 ii. How does it work? In 2007, “People & Planet” ran its first “Green League” for universities, assessing their environment-sustainability performance across a range of indicators, and then categorizing them as universities categorize student degrees – First, Upper Second, Lower Second, and so on. Since winning the award for the best campaign of the year in 2007 at the British Environment and Media Awards ceremony, the Green League has amassed much publicity, particularly due to the fact that the “Green League” is published in the popular university weekly newspaper, the Times Higher Education Magazine (in 2011, the Green League was published in the Guardian Newspaper). Such a critical focus on league tables could be particularly illuminating as Dobson et al. (2010) point out; Universities near the top of the table are externally rewarded and thereby legitimized for such actions by having satisfied certain “sustainability criteria” (no matter well-conceived or in conceived), whilst those near the bottom are named and shamed for everyone to see. A conceptual paper written by David Jones (2012) explores the impact of these ever popular sustainability performance league tables on current university agendas, where it draws on the critique of the “Green League Table” in the UK whilst discussing how higher education “University managers are very sensitive to league tables; rightly or wrongly they believe that it makes a real difference to an institution's prospects whether it is near the top or near the bottom”.
  • 9.
    9 has the uniquepotential to catalyse and/or accelerate a societal transition toward sustainability. This paper can be found at the following link; http://www.emeraldinsight.com/journals.htm?articleid=17038766#idb48 iii. What are its restrictions? Cardiff University in 130th place in the 2011 League Tables, their lowest ever position. As Jones (2012) stated, it is pertinent to note that drawing specifically from the 2011 tables (a full list of which can be found online) Cardiff University gained only 130th position, which is in spite of their substantial world renowned sustainability research profile and reputation. Looking at this 2011 table more deeply, newer, teaching-focused institutions tend to be at the top, while research-intensive Russell Group members are hardly to be seen in the higher rankings. The Russell Group represents 24 leading UK universities which are committed to maintaining the very best research, an outstanding teaching and learning experience and unrivalled links with business and the public sector, with example universities alongside Cardiff including Oxford, Cambridge, Bristol, Birmingham and Southampton. None of the 24 make it into the top 20, with only five of the Russell Group members get 2.1’s, ten receive 2.2’s and three – Oxford, Sheffield and Liverpool only managing thirds. Cardiff is deemed to have failed. Why are none of these universities measuring up? As Louise Hazan, People & Planet’s climate change campaign and communication manager argues; “For non-Russell Group universities, being green is definitely a selling point and a way to attract students … that's not the case for Russell Group institutions. Being research intensive means that they are bound to be using lots of water and energy compared with teaching universities … in terms of policy, I think it could be said, for some institutions, to come down to a certain arrogance that this is not a priority for them”.
  • 10.
    10 This blinkered tick-boxperspective, downplaying the wider research agenda in contrast to the quick, internalized, techno-fixes is rebutted by Wendy Piatt, the Russell Group’s director general who argues that; Clearly, a high level of environmental research does not seem to correlate with the on-going criteria and weightings of such league tables. In other words, universities could in effect develop leading sustainability trans-disciplinary engagement and involvement cultures around teaching and research and be assigned to the lower levels of such tables. As a Cardiff spokesman points out; Seen through this perspective, such league tables, no matter how well intentioned, provide a dangerous signal to universities to pay lip service to systemic stakeholder engagement whilst strategy, policy and resource are directed to a top-down, short term, set of technical carbon fixes which are rewarded and legitimized by the student campaigning group. Institutions of higher education have a particularly interesting potential in society to facilitate societal responses to the plethora of sustainability challenges facing communities around the world, and so must continue to promote and encourage sustainability practices in and amongst wider communities. As a result, these Green League tables can be used as a guideline to see how sustainable a university actually is, but they must have their limitations / restrictions taken into account when used as such a measure. iv. What must be done? In order to contextualize the approach to change taken by “People & Planet”, it is pertinent to note that when many NGOs, environmentalists and neo-conservatives exhort modern humans to change their ways, they often rely on fear communications: Unless we change our lifestyles, societal collapse is right around the corner. This fits into the perspective which Newton (2002) describes as, “technicist kitsch” and the evangelic imploration that things “must” change because, ecologically speaking, they “have to”. It is this paper’s assertion that “Environmental concerns are taken very seriously … all our universities treat their environmental obligations, policies and goals as high priorities. Research in science and engineering, particularly, involves a relatively high level of energy consumption and important work in the environment field is being carried out at Russell Group institutions. Researchers are working on new low, carbon energy technologies at Imperial College London, for example, the development of greener aircraft at Bristol and catalysing cleaner fuels at Oxford. Such initiatives are crucial if the UK is to remain a world-leader in global efforts to deal with climate change”. “People & Planet continually fail to credit Cardiff University for the number of core staff we have with designated environmental responsibilities, seemingly because they are not purely dedicated to environmental issues”.
  • 11.
    11 such league tables,along with many western governments and institutions, such as universities and their funding bodies (like Hefce in England), are complicit in focusing on short-term, top-down, technology focused carbon management plans, targets and performance rather than embracing wider inherent social, environmental and economic conflicts and longer term, engagement challenges of sustainability. As the UK’s “People & Planet” guide (Green League 2011 Guide, 2011, p. 11) warn us, It is of no surprise that league tables and their university sycophants have focused on short- term techno-fixes on transport, waste initiatives such as teleconferencing, recycling bins, printing quotas and car sharing schemes without any critical reflections on the various long- term implications. From the perspective of many university technocrats, the urgency of mitigating our negative impact on climate change, as legitimized by such league tables, governments and funding bodies, has thus provided a political argument to implement “knee-jerk”, quick fix, uncritical solutions, from an increasingly judgmental, self-righteous perspective. Clearly, more than ever before, university senior managers are embracing the environmental agenda as many top-down decisions can now draw on the unquestionable legitimacy of the climate imperative rather than stakeholder involvement, participation and legitimacy. However, whilst fear communications can produce attitude change (Leventhal et al., 1967), they can also lead to denial and accusations that the communicator is an alarmist. As Roszak (1992) argues, “neither fear nor guilt” will provide the motivation to change the urban-industrial culture that has caused the environmental crisis. Kaplan (2000) believes that tapping into the human desire to explore and learn is far more effective in inspiring concern for nature than dictating behaviour. People often are unmotivated to comply with increasingly used top-down, punitive university initiatives, but may be more responsive when they are given the opportunity to learn, explore and drive an initiative which has a personal, emotional attachment for them. For example, a person may resent university pressure to car share or take public transport, but actively work to protect a local green space or park they enjoy visiting, showing that the emotional aspect of human-nature relationships may partly explain some of these individual differences, so cannot be ignored. A steep and annual reduction in global carbon emissions is required to avert catastrophic global climate destabilisation and keep global warming increases to below 2 degrees. The UK Government expects all sectors of society to contribute to the 80 per cent reductions by 2050 enshrined in the Climate Change Act (2008) and Climate Change (Scotland) Act (2009). Carbon management is therefore central to the future of environmental management in universities, as recognized by the joint publication by Hefce, Universities UK and GuildHE's of a Carbon Reduction Strategy (2010) which set a sector-wide carbon reduction target for the first time. It rewards those universities with ambitious-short term targets as these are crucial to reducing the impact of cumulative emissions and getting an institution on track for a longer-term transition to low-carbon operations.
  • 12.
    12 Current Schemes Below area couple of current schemes run by Cardiff University to encourage both their staff and students to become more sustainable in their everyday lives. i. “Sustainability Week” Running from 4th -8th November 2013, Sustainability Week is an annual event that showcases Cardiff University’s world- leading research and teaching in the field of sustainability. This week-long event will aim to engage staff, students and the wider community in making a concerted and joined-up effort to reduce our impact on the planet by becoming more socially, economically, and culturally aware. It also provides a chance for everyone to join in and make a concerted effort to reduce our impact on the planet, with the week including activities such as charity fairs, discussions, exhibitions and more. Last year’s highlights included: I. Mind the Gap – a debate chaired by Griff Rhys Jones, Patron of the Sustainable Places Research Institute who examined the issue of providing reliable, affordable, clean energy for current and future generations. II. Plymouth Wood restoration – staff spent a few hours litter-picking, clearing and getting involved in conservation work at an ancient woodland near Cardiff. III. Get on your bike for sustainability – Staff and students were able to take advantage of a free bike service provided by the university, with bikes being brought along to the Doctor Bike service for Cardiff Cycle Workshop mechanics to diagnose and repair any problems. IV. Cardiff Foodbank – A city-wide project that both helps and supports community members who face financial hardship and the reality of not being able to feed themselves or their families. It is estimated that around 50,000 people in Cardiff are deemed ‘deprived’ and around 78.5% of children live in families that are reliant upon benefits. The idea of the Foodbank is that every time you go shopping you buy at least one extra item (from a list provided by the Foodbank) and place it in a dedicated box. If we are all doing this as a matter of habit, we will eventually be able to generate a significant flow of food for the city’s less privileged. By the end of the week the aim is to have as many people as possible discover something new about sustainability, to learn and adopt some tips to become more sustainable and perhaps become encouraged by those around them to do the same.
  • 13.
    13 ii. “Go GreenWeek” Every year Cardiff University plays host to a string of events taking place as part of Cardiff Council’s Go Green week, which includes activities such as litter picking, community walkabout and green workshops. This year these activities took place from 10th – 14th February 2014 and were held all across Cardiff University’s main campus as well as the rest of the Cathays area. This annual event is aimed towards encouraging both students and residents to embrace a more sustainable lifestyle by raising awareness on sustainability issues and to inspire students and staff to take action to prevent climate change. The events this year began with a sustainable travel workshop aimed at helping people get to know local cycling routes, and was rounded off with a litter pick around Cathays, with additional engaging activities including a film night, a debate and a Vegetarian Come Dine with Me. Following on closely from Go Green week is Fairtrade week where this year a St. David’s day parade took place to celebrate Cardiff’s tenth year as a fair trade city. iii. “Bike Week” National Bike week is an annual event that ran between 14 – 22nd June in 2014 and is a time for ‘celebration of cycling’ in the UK. Here motorists are encouraged to try cycling to work for one week (most car commuters drive less than five miles to work), and all money raised from donations is split between the Bike Week’s national charity Leukaemia Research, and Cardiff University’s Social and Community Action Network (SCAN). This year Cardiff University undertook a week long programme of events in conjunction with National Bike Week such as free safety checks for bicycles, rides for novice and experienced cyclists and a breakfast for staff, whilst a free adult cycle skills training session was also run at Cardiff University’s Main Building. Peter Dorrington, a former PhD student at Cardiff University was a member of the University’s Bicycle User Group and organiser of Cardiff bike week back in 2007: "Bike week is a great opportunity for Cardiff staff and students to discover (or re-discover) the appeal of cycling. The obvious benefits of cycling include improved health and fitness, financial savings - a bike is the cheapest of all vehicles to run, and parking is free - along with the positive impact on the environment. Cardiff University's Bike Task Group has been promoting cycling issues within the University for over a year now, and bike week is seen as a positive step in promoting a greener transport policy within Cardiff University."
  • 14.
    14 iv. “Get itOut for Cardiff” Get it Out for Cardiff is an annual recycling and re-use campaign that occurs at the end of term (mid to late June) when students move out of their house or hall, ensuring that their community will be left clean and tidy when they leave. There are special recycling and rubbish days and drop off zones around the city where students can donate all their unwanted goods, and not only does this ensure a tidy community but a number of local charities will benefit from the donations as well. Food is collected for FareShare Cymru – a charity supporting communities to relieve food poverty. Clothing, electrical items, media and bric-a-brac are being collected for the YMCA to directly reinvest in projects and services for homeless people at the Cardiff YMCA Housing Association, and kitchen items will be stored over the summer by Cardiff Self Storage to be sold to students at the start of term at heavily discounted prices, with all proceeds going to charity. The scheme is designed to help students across Cardiff plan a stress-free move out of their accommodation whilst recycling a lot of reusable items. v. “Positive Health + Environment Week (PHEW)” Ensuring that the health and wellbeing of staff is supported is extremely important if we are to ensure that we have a happy, healthy and productive workforce, and so the main aim of PHEW is to encourage, support and develop the health and wellbeing of Cardiff University’s employees. Since the first Positive Health and Environment Week in 2009 this has become a popular annual event in the University calendar, taking place this year from Monday 30th June to Friday 11th July 2014. Such events and activities that take place include fitness classes, sports tournaments, health checks, adventure and craft activities, workshops and talks, tours of some of Cardiff’s fascinating sites and exhibitions, music and dance, and much more. These events take place at different locations and at different times of the day, evening and weekend to enable as many people as possible to participate, and best of all are completely free of charge to members of staff.
  • 15.
    15 vi. “Live Greener2014/2015” In 2013 NUS Wales were awarded a £68,000 contract substantially funded by the Welsh Government and managed through the Higher Education Funding Council Wales (HEFCW) for Live Greener – a 12 month project putting Welsh students at the heart of the sustainability agenda. NUS Wales will be able to deliver sector-leading greening initiatives Blackout, Green Impact, Student Switch Off and Snap It Off to Wales, which will not only make measurable differences to institutions, students and the environment, but also save students’ unions money, make students more employable, and engage more students with their unions. a. “Blackout” On the 21st March 2014 Cardiff University took part in a competition that was the first of its kind. As part of efforts to reduce energy usage and promote sustainability universities across Wales simultaneously conducted energy audits and switched off unnecessary office equipment across their campuses. The aim of the night was to audit equipment left on across buildings on campus, and switch off anything left on unnecessarily for the weekend, and from this, work out savings that could be made. Cardiff were competing against other universities in Wales, including Cardiff Met, Swansea, Aberystwyth, Bangor and University of Wales Trinity Saint David, with students required to volunteer a few hours of their evening in order to help out. At Cardiff we had 8 teams comprising of one staff team leader and 3-4 students (18 Staff members volunteered, with 35 student volunteers) who visited Glamorgan, Bute, Law and Mc Kenzie House, where they noted computers which had not been logged off and switched off monitors, printers, lights and other unused equipment. In all the buildings audited a total of 229 monitors that had been left in standby mode and 84 printers had been left on.
  • 16.
    16 b. “Green Impact” GreenImpact is an environmental accreditation and awards scheme run by the National Union of Students that brings together staff and students to green campuses, curriculums and communities across the country. They recognise the potential of staff and students to change the way their institutions behave, from the bottom up. Working across UK students’ unions, universities and colleges and community organisations, Green Impact supports teams and departments to make simple, tangible and powerful changes in behaviour and policy through an online workbook of criteria. From recycling, to investing in more efficient equipment, to encouraging biodiversity, or Fairtrade, the various criteria cover a broad range of issues under the sustainability umbrella, all tailored to an individual institution to cover local policy and processes, including links to online resources, relevant policies, schemes and events. Green Impact follows a simple but effective cycle, focusing on providing simple actions, supporting people to make the changes and rewarding them for their efforts. Cardiff University implements this NUS-led Green Impact scheme, with 2014 being the first year Cardiff has taken part in the Green Impact Awards and saw a total of 30 teams from across the University sign up to take part in the project. The University is encouraging staff and students to submit entries of energy-saving ideas, the best of which will be awarded with a £100 prize as well as possible implementation throughout the University. Staff and students are being encouraged to come up with innovative green ideas to improve the University’s environmental impact, with the winning idea to be unveiled at The Green Impact Awards in May 2014. Led by the National Union of Students’ the Green Impact Universities and Colleges scheme is an environmental accreditation programme which helps people improve working environments, positively impact the lives of their students and gain recognition for their efforts. Cardiff University Students’ Union has recently demonstrated its continued commitment to a sustainable future and environmental issues by being recognised as a Gold standard Union by the NUS Green Impact Award. By completing specific tasks in a workbook provided by the NUS Green Impact programme, Cardiff has shown a strong commitment to student-led action. The workbook offers a framework for staff and students to improve the ethical and environmental credentials of their union and is a good starting point for all University Student Unions. As a Gold Standard Students’ Union, Cardiff have been recognised for not only following basic energy saving tips, but for using initiative and going beyond what is expected, which demonstrates their commitment towards a sustainable future. NB. All of these descriptions describe what happened during the 2014 event.
  • 17.
    17 c. “Student SwitchOff” Cardiff University is one of 54 universities across the country taking part in the Student Switch Off, an inter-halls energy saving competition that encourages student action on climate change, and is a not for profit campaign. Cardiff University and Cardiff Students’ Union helped set up this joint environmental campaign to both improve students’ eco-friendliness and to prepare first year students for the reality of paying bills when moving into their own student houses. Every year, students living in each of the University’s halls of residences are encouraged to help save energy by following four Switch Off tips: switch off lights and appliances when they’re not being used; put a lid on your saucepan when you’re cooking; don’t overfill the kettle when you need a cup of tea; and put a layer of clothing on instead of the heating. At the end of the year, the Hall that’s saved the most energy gets a party. There are also giveaways from the organisers of Student Switch off including tubs of Ben & Jerry’s ice-cream, rugby tickets and more. Last year, University Hall won the party, reducing their electricity usage by 12% compared to previous years, with the scheme being initiated in 2011. d. “Snap it off” If you get frustrated with other people wasting energy, now there’s something you can do to stop it. Snap it Off is the NUS’s new scheme all about lights, where students take photos of unnecessary lights left on that they cannot turn off themselves (for example streetlamps in sunshine), upload them to the Snap It Off website, and then we contact the person responsible in order to resolve this issue. Numerous times this academic year, energy managers have fed back to our SU saying that they really appreciate having hundreds of extra pairs of eyes on the ground to help them minimise energy wastage. Snap It Off promotes awareness of easy energy-saving opportunities, and works to resolve these issues. The project was started in response to concerns from students about how much energy is being wasted through unnecessary lighting. Last academic year NUS introduced a prize for the students’ union who submits the most photos to the Snap It Off project, which Cardiff University Students’ Union won! We submitted 37 photos, more than any other union, and received £500 to be spent on sustainability projects on our campus. Other possible schemes that could be implemented include inter-halls recycling competitions and student/staff food-growing projects.
  • 18.
    18 Carbon Management Plan2014 i. What is it? Wales champions the 2008 Climate Change Act passed by the UK government which sets out national policy of a UK carbon emissions reduction target of 80% on 1990 levels by 2050, with an interim target of a 26% reduction by 2020. The Carbon Management Plan (CMP) 2014 – 2020 recognises the opportunities and challenges that Cardiff University faces in order to achieve these targets whilst also ensuring their own sustainable growth as a world class, research intensive university. This plan sets out their contribution to addressing the issues of climate change together with financial and environmental sustainability, with the fundamental aim being to reduce their carbon emissions. Cardiff University signed up to the Welsh Government Sustainable Development Charter in 2010 and are therefore committed to reducing their emissions from gas and electricity by 20% per square metre by 2020 from their base year of 2005/06. To ensure this reduction, Cardiff University are committed to implementing many energy saving projects with the aim to reduce emissions on average by approximately 3% per m2 per annum. The campus is expected to expand by 1% on average per year, meaning that with a reduction in emissions by 3% per square metre, an absolute reduction of 10% is expected from their base year in 2005/06 by 2020 for their scope 1 & 2 emissions. Cardiff University have split their targets into scope 1 and 2 emissions, and separately scope 3. Scope 1 & 2 emissions are from electricity and gas which are the direct responsibility of Cardiff University and thus they have more control over what can be done to reduce them. Scope 3 emissions concern the actions of people, which occur due to the University such as emissions from travel, waste, water and procurement which means their role here is to put in place actions to encourage others to reduce their own carbon footprint. There is a belief in Wales, that public sector bodies, including Higher Education Institutions should offer a lead in setting their own carbon reduction targets. There is also an expectation from students, staff and external stakeholders that sustainability should be at the forefront of everything that the University does, demonstrating commitment to reducing emissions in the interests of the next generation. This new plan revisits the previous Carbon Management Plan of 2007 with the aim to build upon the challenges that have been met and work on greater new initiatives. The purpose of this plan is to set out a road map for the next 6 years of how the University intends to achieve its own internal targets, covering technical projects, engagement initiatives and the financing to make it happen. It sets out the plans for investment of £11 million in energy saving projects to meet their emissions reduction target of 20% reduction per square metre by 2019/20 since their base year 2005/06. This will ensure large financial savings of over a £1 million on their gas and electricity bills in 2019/2020, with a number of these projects summarised in section iii.
  • 19.
    19 ii. Finances One ofthe key drivers to carbon reduction is the predicted financial savings from implementing energy saving projects. University energy and water bills are a significant cost at over £8 million a year. Cardiff University is therefore committed to energy saving projects which will ensure ongoing financial savings. This carbon management plan sets out the plans for investment of £11 million in energy saving projects to meet their emissions reduction target of 20% reduction per square metre by 2019/20 since their base year of 2005/06. In the academic year 2012/2013 Cardiff University spent £8,072,973 on their energy and water bills. The breakdown is demonstrated below. Spend Electricity £5,082,939 Gas £2,154,047 Water £835,987 TOTAL = £ 8,072,973 In the academic year 2019/20 Cardiff aims to have reduced their emissions absolute by 10% from their 2005/06 base year. This is due to the expected increase in their campus size by 1% per annum and a reduction of emissions by 3% per square metre per annum. This means that if energy prices rise by 10% per annum, their electricity and gas bill could increase from £7,236,986 in 2005/06 to £14,860,106 in 2019/20, or if energy prices rise by 5% per annum our electricity and gas bill would be £10,729,962 in 2019/20, if no action is taken to reduce our emissions. The financial savings each year on our electricity and bills could be as much as £1,569,227 if energy prices rise by 10% per annum or £1,133,083 energy prices rise by 5% per annum by 2019/20 and measures are taken to save energy. With a reduction in emissions by 20% per square metre by 2020, despite an increase in campus size by 1% per annum, Cardiff aim to reduce their emissions on average by 3% per m2 per annum up until 2020. They therefore expect to have reduced their absolute emissions by 10% by 2019/20 and therefore their energy bill should be 10% less than if business was as usual with no energy projects being implemented. The graph below shows all possible scenarios for the total cost of electricity and gas over the next 6 years and shows the large financial savings expected for a reduction in our emissions by 3% per m2 from the academic year 2014/15.
  • 20.
    20 One of thescenarios is that electricity and gas prices will increase by 5% per annum. We expect our campus to increase by 1% per annum, adding an extra 0.75% to our gas and electricity bills each year as new buildings will be more energy efficient than the rest of the campus. However we aim to reduce our emissions by a total of 10.6% by 2019/20. This would mean that our gas and electricity bill in 2019/20 would be £9,596,879 if we implement energy saving projects. The Business as Usual Scenario for our energy bills if we do not implement any energy saving projects and energy prices increase by 5% per annum is £10,917,732. Another possible scenario is that gas and electricity prices could rise by as much as 10% per annum. We expect our campus to increase by 1% per annum, adding an extra 0.75% to our gas and electricity bills each year as new buildings will be more energy efficient than the rest of the campus. However we aim to reduce our emissions by a total of 10.6% by 2019/20. This would mean that our gas and electricity bill in 2019/20 would be £13,290,879 if we implement energy saving projects. The Business as Usual Scenario for our energy bills if we do not implement any energy saving projects and energy prices increase by 10% per annum is £15,120,151. It is therefore possible that the value at stake from not implementing energy saving projects could be as much as £1,569,227 in 2019/20 if we do not implement any energy saving projects and energy prices increase by 10%. The value at stake if energy prices only rise by 5% per annum is still as much as £1,133,083. Therefore the financial savings to meet our emissions reduction target is a powerful motivator.
  • 21.
    21 iii. Data Collection Itis important that the University is aware of energy usage within all areas of the campus. Cardiff University is committed to gathering data regularly so we can measure our progress towards our targets. This will mean stronger governance structures to ensure each year there are people in roles which are committed to updating our carbon management plan and gathering the data to do so. For this new Carbon Management Plan we have gathered data on many carbon emitting areas to develop a Scope 3 baseline. These new areas include procurement, waste, water and travel. Outlined below are an explanation of the three different scopes followed by information on the accuracy of data we have collected for each scope and how the carbon emissions from each scope was calculated. Scope 1  Direct on-site combustion emissions from gas use in academic buildings  Direct on-site combustion emissions from gas use in Cardiff University owned residential buildings  Combustion emissions from diesel and petrol use in University owned vehicles Scope 2  Emissions from the use of purchased electricity in academic buildings  Emissions from the use of purchased electricity in Cardiff University owned residential buildings. Scope 3  Water  Waste  Travel emissions associated with staff and student commute  International and UK student travel emissions to study at Cardiff University  Business and Study Travel  Energy (gas and electricity) and water use in private Halls of Residence which provide students with accommodation.  Supply chain emissions associated with procurement, including waste disposal and recycling as well as water supply and wastewater treatment
  • 22.
    22 iv. Base YearInformation Our Base Year for scope 1 and 2 emissions (from electricity, gas and the university fleet) is the academic year 2005/06. This year was chosen as a baseline because it is used for reporting against UK targets, and it is the common baseline across the sector. In 2005/06 carbon emissions were 37,573 tonnes with 12,112 tonnes coming from gas, 98 tonnes coming from the university fleet and 25,362 tonnes coming from electricity. Gas & Fleet CO2 emissions (tonnes) Electricity CO2 emissions (tonnes) TOTAL CO2 emissions (tonnes) 2005/06 12,210 25,362 37,573 Emissions have been calculated for all buildings on the Cathays campus, and all buildings that Cardiff University owns and has control over at the Heath Park campus. It also includes all University owned halls of residence. Buildings that are of shared use, where electricity and gas is paid for by the Heath Hospital have not been included as these buildings have been accounted for in the Carbon Management Plan for the University of Wales, Heath Hospital. In 2005/06 Cardiff University’s gross internal area, which covers all buildings owned by Cardiff University and directly pay the energy bills, was 358,452m2 and therefore emissions per m2 in 2005/06 were 104.8kg – we therefore aim our emissions to be 83.8kg per m2 in 2019/20. 25,392 68% 12,210 32% electricity emissions (tonnes) gas emissions (tonnes)
  • 23.
    23 v. What hasbeen achieved so far? Since the completion of the previous Carbon Management Plan, Cardiff has implemented many new energy saving projects and initiatives which are listed below.  Residences Services have been running a successful annual energy-saving competition in University owned Residences, called “Students Switch Off”. In the academic year 2012/13, analysis of energy usage showed that there was an average of 6.5% reduction in electricity usage. This has saved a total of 171,282 kWh, approximately £13,704 in electricity expenditure (assuming a typical expenditure of 8p/kWh) and over 92 tonnes of CO2. (More information on this and many others currently running schemes can be found back on page 12).  Deployment of Renewables. We have 52 solar hot water systems installed, and our latest major build project has a 60 kWp solar pV system. We have been working with Partnership for Renewables to investigate wind and alternative energy sources.  Our Estates department have continuously been making technical enhancements, improving lighting, installing energy efficient boilers, installing water-saving devices, and updating controls – this is the area where we have saved the majority of the University’s Carbon Emissions. A significant proportion of these enhancements have been implemented as part of Residences Services Planned Maintenance programme.  We have achieved ISO 14001 certification for the University as a whole;  Information Services and ARCCA have implemented a wide range of carbon reduction initiatives, which can be found http://www.cardiff.ac.uk/insrv/sustainability/. These include - a programme of reducing the number of central computer servers while simultaneously improving user service, and saving another estimated £100k and 500 tonnes of carbon dioxide every year; - the provision of a nationally-leading advanced research computing facility (in partnership with ARCCA) which received multiple award nominations for its environmental efficiency and leading-edge design; - the provision of many virtual services to reduce the need for transport and paper, including a major increase in the number of electronic resources, new virtual collaboration software, and more efficient printing and photocopying services; - work in partnership with the Estates department to improve the energy efficiency of our libraries and data centres; and information, hints and tips for the University’s staff and students, and the wider UK higher education community, to help them to reduce the environmental impact of their work.
  • 24.
    24  We haveinstalled over 1,000 gas, electricity, water and heat meters across campus, including over 500 onto our automated monitoring and targeting (aM&T) system, creating an extensive data gathering network. Again, a significant proportion of these enhancements have been implemented as part of Residences Services Planned Maintenance programme.  We have made significant savings on our vending machines, having worked closely with our suppliers to reduce our electricity consumption. We have over 50 vending machines, with 40 of them under one supplier. Overall electricity consumption has reduced by 4052 kW in our hot drinks machines, 5913 kW have been saved from our snack machines and 9855 kW have been saved from our cold drinks machines since the end of the academic year 2011/12. In 11 of our vending machines, LED lighting has been fitted as well as an environmental management system fitted which means that when there is no one near the vending machines, day or night, they power down. The vending machines in our Humanities and JCR buildings are also fitted with timer controls to turn the lights off overnight. We are currently looking in to how this can be rolled out throughout all our vending machines.  Sustainability was also at the very heart of Cardiff University’s recent Campus Horizons vision, which was a programme of ambitious capital projects that included both major new development projects and an entirely new campus for the University’s research. The existing campus was upgraded and transformed, as was the information and communications technology, therefore creating a community of staff and students, with the resources to share ideas, make new discoveries and keep Cardiff at the forefront of world-leading scholarship. All buildings constructed were to the very highest environmental standards, making greatest use of natural sunlight and ventilation, as shown by the pictures below. Maindy Park School of Biosciences The Cochrane Building
  • 25.
    25 vi. Annual carbonemissions since 2005/2006. Since the academic year 2005/06 our total emissions have increased very slightly by 215 tonnes of CO2. This is likely to be down to the creation of new buildings throughout the University and an increase in student numbers, despite the implementation of many energy saving projects across campus. Academic Year Electricity emissions (tonnes) Gas & University Fleet Emissions (tonnes) Total Scope 1 & 2 Carbon Emissions (tonnes) Emissions per square metre (kg) 2005/06 25,362 12,210 37,573 104.8 2006/07 24,947 12,381 37,329 102.6 2007/08 24,757 13,087 37,875 104.2 2008/09 21,384 12,873 34,257 93.6 2009/10 21,030 12,517 33,548 92.7 2010/11 22,584 12,657 35,241 91.6 2011/12 22,138 10,818 32,956 89.2 2012/13 23,982 13,806 37,788 98.7
  • 26.
    26 We have howeverreduced our emissions by 6kg of CO2 per m2 since the academic year 2005/06 in line with our aims. The gross internal area in 2012/13 was 382,802m2 and therefore emissions per m2 are 98.7kg. This is a reduction of almost 1% per m2 per annum from 2005/06. We therefor need to work towards are target and reduce emissions by 3% per m2 on average from the academic year 2013/14 to meet our carbon reduction target. 0 4000 8000 12000 16000 20000 24000 28000 32000 36000 40000 2005/06 2006/07 2007/08 2008/09 2009/10 2010/11 2011/12 2012/13 Total Gas & Electricity Emissions (tonnes) 0 5 10 15 20 25 30 35 40 45 50 55 60 65 70 75 80 85 90 95 100 105 110 2005/6 2006/07 2007/08 2008/09 2009/10 2010/11 2011/12 2012/13 kg CO2 per square metre
  • 27.
    27 In 2005/06 emissionsper member of staff were 7.8 tonnes CO2 and in 2012/13 emissions per member of staff had reduced to 7.1 tonnes of CO2 which is a reduction 700kg per staff member. Emissions per student in 2005/06 were 2.1 tonnes of CO2 which has reduced slightly to 1.9 tonnes in 2012/13. Emissions per staff and student in 2005/06 were 1.6 tonnes which has decreased slightly to 1.53 tonnes CO2. vii. Gas Our Gas consumption since 2005/06 has increased by 1596 tonnes CO2 despite many new boilers being fitted around campus. Up until 2012/13 gas consumption was reducing at a steady pace, suggesting that the increase in gas consumption is likely to have been down to the cold winter of 2012/13 and the extended opening hours of buildings including libraries around campus where heating is now running for longer hours leading to a very small increase of 2kg per m2 over the past 5 years. In 2005/06 emissions from gas and university fleet per member of staff were 2549kg CO2. Emissions per member of staff in 2012/13 were 2602kg of CO2 which is an increase of 53kg per staff member. Emissions per student in 2005/06 were 684kg of CO2 which has increased slightly to 711kg, an increase of 27kg.Emissions per staff and student for gas in 2005/06 were 539kg, which has also increased very slightly by 20kg to 559 kg CO2. 0 2,000,000 4,000,000 6,000,000 8,000,000 10,000,000 12,000,000 14,000,000 16,000,000 2005/06 2006/07 2007/08 2008/09 2009/10 2010/11 2011/12 2012/13 Gas + University Fleet Emissions (tonnes)
  • 28.
    28 viii. Electricity Since 2005/06,our carbon emissions from electricity have reduced by 1380 tonnes CO2 from 25,362 tonnes to 23982 tonnes. Emissions per m2 have also decreased very slightly from 66kg in 2005/06 to 58kg in 2012/13.This is down to the implementation of many energy saving projects specifically lighting projects which will have had an impact on reducing our electricity consumption. In 2005/06 emissions from electricity per member of staff was 5295kg CO2 which has decreased by 774kg to 4521kg in the academic year 2012/13. Emissions from electricity per student in 2005/06 were 1421kg of CO2 which has decreased by 185kg to 1236kg in 2012/13. Emissions per staff and student for electricity in 2005/06 were 70kg which has also decreased very slightly by 8kg to 62kg CO2. This demonstrates both the success of our new energy saving projects but also the behavioural change programmes with staff and students in the University. We also purchase renewable energy from the grid through a green tariff with Swalec and hope to continue doing so in future. Currently the reduction in emissions from purchasing less carbon intensive electricity cannot be accounted for within our Carbon Management Plan as energy companies themselves have accounted for this within their own carbon emissions total and carbon management plan. 0 2,500 5,000 7,500 10,000 12,500 15,000 17,500 20,000 22,500 25,000 27,500 2005/06 2006/07 2007/08 2008/09 2009/10 2010/11 2011/12 2012/13 Electricity Emissions (tonnes)
  • 29.
    29 ix. Energy SavingProjects (by year) 2006/2007 Energy Saving Projects Energy Saving Project Cost £K 4 new boilers 60 Teaching Rooms – changing lighting controls 65 New Lighting Dissecting Suite 11.5 TOTAL = £136.5K 2007/2008 Energy Saving Projects Energy Saving Project Cost £K New boilers Glamorgan Building 50 New lighting ASSL 180 New boilers and F/Place h/ Exchr 74 New Boiler Aberconway 105 New boilers Gym 53 Energy Metering Project Phase 1 200 Energy Metering Project Phase 1 218 New boilers and DHWS Chemistry 30.5 Replace windows main building 31 New boilers and hot water 118 Maindy Road 25 Replace fans and add VSD HW building 35 Replace inefficient water heaters Gordon Hall 23 Replace IT room cooling with new 40 Boiler replacement campus 136 Tower Window ceiling 3 Queens clean room AHU’s with free clg 153 Replace boilers Senghenydd Court 12.5 Replace LAN Rm clg 25 Lecture theatre new lighting controls UHW 10 TOTAL = £1404K 2008/2009 Energy Saving Projects Energy Saving Project Cost £K Brit Arces lecture theatre lighting replacement 24 Replace controls at HW building 35 Phase 1 AHU replacements main building 160 Replacement Air Handling Unit – Physics 139 TOTAL = £358K
  • 30.
    30 2009/10 Energy SavingProjects 2010/11 Energy Saving Projects Energy Saving Project Cost £K Replacement Hot Water Boiler Main Building 35 Replacement Boiler Park Place 30 Replacement Boiler Julian Hodge Building 43.5 Replacement Air Conditioning in Park Place 57 Replacement burner & controls to steam boiler 15 Replacement Air Conditioning Humanities building 4 Replacement Air Conditioning bute & park place 17.5 Upgrade chilled water system 203 TOTAL = £405K 2011/12 Energy Saving Projects Energy Saving Project Cost £K Replacement Over-sized Water Cooler 25 Replacement Boiler at Llanrhymney 100 Replacement Boiler in Humanities Building 10 Replacement Boiler Park Place 60 Replacement Boiler Law School 50 Replacement Boiler Tenovus Building 9 Replacement Air Conditioning Bute 7.5 Replacement Air Conditioning Main Building 6 Replacement Air Conditioning Earth Sciences 2.5 Lighting Refurbishment for JBIOS 9.3 TOTAL = £279.3K Energy Saving Project Cost £K Replacement Air Conditioning in Main Building 86 Replacement Boiler in Aberconway Building 15 Replacement Boilers Main Building 35 Improved Air Conditioning, East Gate House 7 Replacement Boiler Park Place 40 Replacement Trevithick Building 85 Improved Air Conditioning Main Building room 1.88 11 Improved Air Conditioning BioSci 12 Phase 2 AHU replacements main building 60 Replace inefficient Calorifier HW building 33 Lighting controls Julian Hodge Building 5.4 TOTAL = £389.4K
  • 31.
    31 2012/13 Energy SavingProjects Energy Saving Project Cost £K Secondary Glazing to Queens 4.2 Replacement Boilers 65 Replacement Air Conditioning in lan rooms 13.2 Replacement Water Cooler 25 Replacement Air Conditioning in BioSci 3.5 Replacement Air Conditioning in school 4 TOTAL = £114.9K x. Carbon Footprint Saving Projects New Cycle Stands at Deri House 3 Bike Stands Deri House 1.6 New Recycling Bins Heath Park Campus 7.5 Cycle Shelter for Humanities Building 20 New Cycle Stands EUROS 5 TOTAL = £34.1K xi. Energy Saving Projects in Residences 2012/13 Lighting Upgrade £290,831 Low carbon Extract fans £49,667 Upgrade Loft & Wall insulation £23,256 Replace single glazing with double £29,835 BEMS wiring and equipment £67,097 High efficiency boilers / cylinders £124,539 Thermostatic radiator valves / Radiator replacements £40,647 Percussion taps and restrictor valves £54,169 TOTAL = £680,041
  • 32.
    32 2011/12 Lighting Upgrade £175,428 Lowcarbon Extract fans £54,810 Upgrade Loft & Wall insulation £17,592 Replace single glazing with double £8,159 BEMS wiring and equipment £56,732 High efficiency boilers / cylinders £116,811 Thermostatic radiator valves / Radiator replacements £57,722 Percussion taps and restrictor valves £22,494 TOTAL = £509,748 2010/11 Lighting Upgrade £99,598 Low carbon Extract fans £36,848 Upgrade Loft & Wall insulation £20,435 Replace single glazing with double £9,260 BEMS wiring and equipment £88,040 High efficiency boilers / cylinders £136,932 Thermostatic radiator valves / Radiator replacements £89.878 Percussion taps and restrictor valves £40,946 TOTAL = £521,937
  • 33.
    33 xii. Current andFuture Commitments Here is a list of the 2014 Key Carbon Saving Projects for Academic Campus. These projects are likely to be implemented in the near future if they have not already done so. Project Cost Payback Carbon Saving Lighting presence detector sensors and thermostatic radiator valves to areas where not fitted 10k 1 to 2 years 10-50% dependent on levels of housekeeping Replacement of 8, 6 & 5 ft tubes with high efficiency light fittings throughout campus 30k+ 1 to 2 years Minimum 30% more efficient - up to 50% more efficient for LED schemes Replacement of Obsolete R22 refrigerant gas equipment (33ardiff 300) with new more efficient units 150k annually 2-3 years 40% reduction in consumption. Totally dependent upon numbers changed. Replacement large chillers with Turbo miser technology in Life Sciences & JBIOS areas 650k 5-7 years Approx. 370 tonnes pa Window draught proofing – sealing “leaky” windows separate from any replacement windows programme and Bute building window repairs. 25k 2 to 3 years 20-40% of heating in areas that are draught-proofed Boiler replacements: Replacement of non-condensing boilers with more efficient condensing types at various sites. 240k 3 to 4 years 15 -20% per boiler changed Trial sites for Micro Combined Heat and Power, (Stirling engine technology) in Corbett Road Gymnasium 10k 5 to 7 years Based on 65kW boiler, 0.25tonne p.a. Replacement Lighting to LED’s in Libraries and older style light fittings. 30k 1 year 40-50% more efficient Chemistry department – replace equipment which wastes water to more efficient equipment TBA Replace water chillers to more energy efficient non-chilled mains water dispensers when needed 2k 1-2 years 100% saving of chilled water element. Photovoltaic Panels in Trevithick, Law; Psychology; Humanities and Maths 200k 7-10 years 25 tonnes p.a.
  • 34.
    34 Where cost is£0 – funding is coming from a separate budget as part of ongoing developments within departments. Cardiff University has demonstrated our commitment to sustainability and carbon reduction through many actions in previous years including signing up to a number of charters, bills and projects which are listed below.  Cardiff University has committed to reducing carbon emissions by 20% by 2020 following signing up to the Welsh Governments Sustainable Development Charter in 2010. Replacement of large chillers with Turbomiser technology at ARCCA/HPC Wales/INSRV datacentre £160k Server Consolidation – Moving University IT services to a much smaller number of physical servers, while maintaining/improving service (2009- 2014 initial programme) Capital saving of around £800k Immediate Approx. 500 tonnes p.a. Measurement of electricity consumption, and redesign of airflow and cooling in Park Place datacentre. £5-10k 6 months 100-250 tonnes p.a. Windows 7 PC power management and settings £0 Immediate 500 tonnes (estimated) CO2 PA for Windows XP Powerdown. Park Place Server Replacements - Replacement of old 19 inch rack- mounted servers with more efficient blade servers £0 20 tonnes CO per annum Pool room efficiency and remote management – Remote monitoring and power down of IT and audio-visual equipment. £0 Long term Savings to be decided INSRV alternatives to travel £0 Medium – Short term Savings unknown expected to be large scope 3 emissions Behavioural Change Campaigns – “Live Greener” programme £0 Short term Savings unknown expected to be large scope 3 emissions
  • 35.
    35  The firstHigher Education Institution in Wales to achieve the Carbon Trust Standard, achieved in 2010;  Commitment to building BREAAM ‘Excellent’ buildings. All future builds will meet this high environmental standard with two buildings on our estate that already meet this standard.  Achievement and continuation of ISO 14001 certification for the University as a whole;  Multiple awards and nominations for the University’s national leadership in environmental performance and innovation [http://www.cardiff.ac.uk/sustainability/ourperformance/awards/index.html];  Implementation of a programme of nationally-leading sustainability initiatives by the University’s Information Services Directorate;  Currently undertaking Green Impact award throughout departments  Currently running Student Switch Off, Snap It Off & Blackout Project  Sustainability Week  Go Green Week  The Vice Chancellor signed the Green Education Declaration which has committed to working towards sector-wide carbon reduction of 43% by 2020 on 2005 emission levels as well as committing to integrating education for sustainable development into the curricula, recognising the key role we play in educating those who will create a sustainable low carbon economy and society.  Cardiff University has a number of leading academic research institutes which conducts energy research in Wales to help deliver a low carbon future. More information on the University’s leading research programme into carbon efficiency and environmental sustainability can be found online. xiii. Financial Spend on Energy Saving Projects Since the completion of the last Carbon Management Plan, many energy saving projects have been implemented around the University and have required funding. Many energy saving projects have been implemented alongside the replacement of old appliances with more energy efficient technologies when refurbishing buildings and within new builds, which have not been accounted for as these are part of the University Maintenance and Estates plan. Energy Saving Projects have been funded from a combination of the Estates maintenance budget and grants from HEFCW. Campus Services have also implemented many energy saving initiatives within University owned Halls of Residences which have been implemented via the Residences Planned Maintenance Programme. The table below shows the total spends on energy saving projects annually.
  • 36.
    36 Financial Spend onEnergy Saving Projects on the academic campus Year Total Spend £K 2006/2007 136.5 2007/2008 1404 2008/2009 358 2009/2010 389.4 2010/2011 405 2011/2012 279.3 2012/2013 114.9 TOTAL = £3,087,100 Financial Spend on Energy Saving initiatives within University owned Halls of Residence Year Total Spend £K 2010/2011 680 2011/2012 509 2012/2013 521 TOTAL = £1,710,000 Overall spend for energy saving projects since the academic year 2008/2009 is £4,797,100. Projects included replacing boilers, air conditioning and lighting with more energy efficient technologies. More details can be found in appendix B. The University has also implemented many projects which have reduced our scope 3 emissions. Funding has been received from the local council for some projects such as the introduction of more bike racks and recycling bins which have been put around campus. More details of these projects can be found in the appendix B. In the previous 2007 Carbon Management Plan, it was estimated that there would be an overall spend of £710,000 on energy saving projects in the 5 years following the academic year 2007/2008. Spending on energy saving projects was actually more than 6 times the amount that was estimated. This extra unexpected expenditure was largely down to HEFCW funding given in February 2007, specifically given to fund energy saving projects but also the large amount of energy saving initiatives that Campus Services have implemented as part of planned refurbishment of University owned Halls of Residence. However not all projects which were outlined in the previous Carbon Management Plan have been implemented due to improvements in technologies creating better energy saving initiatives which may have replaced original projects. Energy saving projects have also been implemented throughout all refurbishments in the University.
  • 37.
    37 xiv. Carbon ManagementPlan 2014-2017 In 2012 the previous Cardiff University Carbon Management Plan came to an end with many of the energy saving projects having been implemented and achieved. We have reduced our emissions by 6kg of CO2 per m2 since 2005/06, which is a reduction of almost 1% per m2 per annum. The University is therefore keen to set bigger challenges and aims to reduce emissions by 3% per square metre, per annum. This would make an absolute reduction of 10% in our emissions since the base year 2005/06. This will ensure our target of a 20% reduction per m2 by 2020 can be met. A number of projects have been identified which will be implemented to ensure we meet our carbon reduction targets. A number of these energy saving projects can be found in appendix A. As new technologies develop and new information arises, our Carbon Management Plan will be updated regularly to ensure we capitalise on the best ways to reduce our emissions and our energy bills. This year we now have the data needed for a base year for Scope 3 emissions having undertaken a staff and student travel survey and gathered the information needed for procurement, waste and water. This will mean that we are now able to put together an action plan and set targets for the reduction of scope 3 emissions. xvi. Travel ‘Transport accounts for around a quarter of the man-made greenhouse gas emissions from the UK.’ (Department for Transport website, 2006). Sustainable travel is a key area the University has been working on so that we can reduce our impact on the environment and contribute to the long-term well-being of the people, and support Wales in securing a low- carbon future. In 2008 a travel plan was created to encourage sustainable staff and students to use more sustainable modes of transport. The Travel Plan was reviewed, updated and re- launched in October 2012. It is part of a long term process to encourage our staff and students, and our visitors, to think about how they travel to, from and within the University estate, and how they go about their day-to-day work, with the overall aim to help reduce the University’s Carbon Footprint. The emissions associated with staff and student commuting are classified under scope 3, because the emissions are generated in private vehicles or modes of transport (bus, train, taxi) operated by individuals or private companies, in which the University has little or no control. These emissions are also a consequence of the activities of the University, which can be reduced through a wider use of public transport, car shares or through the promotion of walking and cycling which are already encouraged through the University’s Sustainable Travel webpages. Two travel surveys covering staff and student travel at Cardiff University have been undertaken for the academic year 2012/2013 which has given us reliable data on the transport used to travel to and from the University as well as business travel and travel required for study purposes. This data has then been used to
  • 38.
    38 calculate the amountof carbon emissions created from travel so that we can measure the success of Travel Action Plan objectives in terms of reduction in emissions as a result of more sustainable travel choices by Staff and Students. The Travel Surveys were conducted by the Campus Services Division in liaison with the Students’ Union. Analysis of survey responses was undertaken by Masters Students from our school of City and Regional Planning and included carbon emission calculation using the DEFRA tool, following the formula demonstrated below. The results of the travel surveys are shown below. Student carbon emissions have been calculated using a simple equation: GHG emissions calculated for the student sample are uplifted to all 27,744 students at Cardiff University in the year 2012-13 using the equation: Trip Activity Total GHG Emissions (tonnes per year) Total GHG Emissions (tonnes per year, per student) Daily Commuting 5157.0 0.19 Home Trips 16,119.9 0.58 Study Trips South Wales 3,212.2 0.12 UK Study Trips Outside South Wales 677.6 0.02 Study Trips To Europe 341.3 0.01 Study Trips Worldwide* 275 0.01 Total 25,783 tonnes 0.93 tonnes Overall students’ travel produces 25,783 tonnes of carbon emissions per year, with each student producing on average 0.93 tonnes of carbon emissions per year through travel. The University’s sustainable transport policy was built into all the projects, maximising pedestrian, bicycle and public transport access wherever possible, with all this hard work having been reflected through the multiple awards and nominations that the University’s national leadership in environmental performance and innovation team have received. GHG emissions Km travelled per student per year Conversion factor GHG emissions all students GHG emissions of sample students Number of students surveyed Total number of students
  • 39.
    39 xvii. Water There aresmall Scope 3 emissions due to our use of water. Total Water carbon emissions for the academic year 2012/13 is 577 tonnes which includes water consumption in University owned Halls of Residences and the buildings we own at the Heath Park campus and the Cathays Park Campus. These figures were calculated using the DEFRA tool using figures from the academic year 2012/2013. This amount is one of the lowest within the Russell Group. We aim to reduce the environmental impact and costs arising from water use in the buildings through the better management of resources. The overall reduction target is a 3% reduction per m2 per annum, approximately 18,000kg of CO2 per annum on current 2012/2013 figures. To reduce our water consumption, many energy saving technologies are being installed when replacement is necessary. Some of these projects include low flush toilets being installed in University owned residences, percussion time flow taps being installed in bathrooms on campus and in bathrooms/en-suites in University owned residences, and water restricting valves are being installed to kitchen / bath taps. Costs for water usage have been increasing annually for the past few years due to increasing energy prices. Larger student and staff numbers have also increased our water consumption meaning that the implementation of water saving initiatives is a good financial investment. xvii. Waste Carbon emissions from waste and recycling amount to 314.3 tonnes of CO2. Cardiff University is committed to limiting the amount of waste produced through its activities. The University will seek to minimise general and hazardous waste generated by the University that is sent to landfill, and increase the proportion of waste that is recycled. Individual waste streams are managed within different areas. Hazardous wastes (clinical, chemical and radiation) are 472 tonnes 82% 105 tonnes 18% Water Carbon Emissions 2012/13 (tonnes) Academic Campus Halls of Residences
  • 40.
    40 managed within OSHEU,confidential waste is managed by Security, general waste, WEEE waste streams and recycling from the academic campus is managed by Estates and general waste, recycling and WEEE waste streams from University owned Halls of Residence are managed by the Campus Services Division. Waste and recycling is a key aspect within the University Environmental Management System and one of the most visible areas for environmental improvement to staff, students and visitors. Currently the University sends 1024.37 tonnes of waste to landfill from both the academic campus and residences which is 296 tonnes of CO2 emissions. We currently carry out a mixed recycling system within halls of residences and the academic campus amounts to 839.53 tonnes overall which produces only 17 tonnes of CO2. The Pie Chart and table below shows the split in emissions from the academic campus and University owned Halls of Residence – which is fairly even and therefore behavioural change campaigns are needed for both staff and students. Tonnes of Waste & Recycling Tonnes of CO2 Academic Campus Waste to Landfill 521.88 151 Academic Campus Recycling 329.53 7 University owned Halls of Residence Waste to Landfill 504.39 145.6 University owned Halls of Residence Recycling 510 10.7 TOTAL = 1,569.73 314.3 The University set a target to increase recycling on the Academic campus from the 2009/2010 baseline of 45% to 58% by 2013 (52% is target set by Welsh Assembly Government by March 145 tonnes 46% 10.7 tonnes 4% 151.26, tonnes 48% 7 tonnes 2% Waste Carbon emissions (tonnes) Residences waste to landfil Residences Recycling Academic waste to landfil Academic Recycling
  • 41.
    41 31st 2013) and increaseby a further 5% per annum, thereafter. Campus Services targets are in line with Welsh Assembly Government targets. At the end of the academic year 2012/13 we had exceeded our target to increase percentage of waste recycled from 48% in 2011/12 to 52% in 2012, in line with the targets set by the Welsh Assembly Government. We are currently recycling 66% of all waste and therefore are working towards increasing recycling on the Academic campus from the 2009/2010 baseline of 45% to 70% by June 2014. A co- mingled office recycling scheme was introduced in the Academic Campus in 2002 which accepts paper, cardboard, plastics and tins. Glass was also originally included but has been withdrawn on health and safety grounds. Battery recycling has been recently been introduced across campus, lab glass is being recycled. We are currently reviewing alternative waste streams such as food waste and redundant furniture being donated to a local charity. We are also looking into having all our waste incinerated at a local incinerator within the Cardiff area which will reduce our emissions from waste to landfill, to zero with the possibility of also being able to purchase the energy produced from the incinerator. The People and Planet Green league identified that Cardiff University for the academic year 2011/2012 has a waste production of 139.72kg per head, making it the 3rd best in the Russell group. Over the past 3 years our waste cost has stayed relatively constant despite a large increase in campus size, student numbers and the landfill tax. Within the last year, we have also started being charged for recycling and thus costs have risen despite an increase in recycling and a decrease in waste to landfill. Academic Year Academic Campus Residences Total 2010/2011 £100,189 £90,000 £190,189 2011/2012 £109,145 £90,000 £199,145 2012/2013 £118,466 £100,000 £200,466 Campus Services also runs an annual end of year re-use/recycling scheme alongside the Students Union and local council called “Get It Out For Cardiff” (see page 14). The scheme enables students to donate unwanted goods at 18 “Green Zones” set up in University owned Halls of Residence and across the city. Students can donate clothing, food, books, CDs, DVDs and kitchen items, with a number of charities benefiting from the scheme. For example, kitchen items collected and stored over the summer are sold back to students through a bric a brac fayre at the start of term at heavily discounted prices with proceeds going to a local charity. At the end of the academic year 2012/13, 10 tonnes of bric a brac were collected and a total of £2360.33 was donated to charity from the sales at the fayre.
  • 42.
    42 xviii. New EnergySaving Projects To ensure we meet our carbon reduction target of a 20% reduction in emissions per square metre by 2020, against our 2005/06 baselines we will be implementing many energy saving projects across Campus. A plan for investment of £11 million pounds in energy saving projects has been created. Some of the key projects which will be implemented in the coming academic year which can be found in Appendix A, however there will be many more projects identified over the coming few years to meet our target. The projects in Appendix A is not an exclusive or inflexible list of projects as we expect further opportunities to appear as technologies develop and come down in price, but also following a review of the entire campus of Cardiff University, where more or better projects may be identified to be implemented. Financial savings in Appendix A are generally conservative and are based on the best available knowledge. We will ensure that energy saving projects continue to be implemented every year to meet a carbon reduction of 3% reduction per square metre on average and a reduction overall of 20% per square metre by 2020. This year to engage more students and staff in the creation of this Carbon Management Plan, we have launched the “energy saving initiatives competition” which we hope will encourage students to think about a project which could be implemented within the University and save a significant amount of carbon emissions. There will be a prize for the best proposal and will be presented the award by the Vice Chancellor at the Green Impact Awards at the end of the academic year 2013/2014. xix. Business as Usual Scenario for Scope 1 and 2 The graph below shows the carbon emissions prediction if the university carried on as normal without implementing any energy saving projects. This Business as Usual scenario is shown alongside the predicted reduction in emissions from reducing our emissions per m2 by 3% per annum from the academic year 2014/15 to the academic year 2019/20 which will ensure we meet our carbon reduction target of a 20% reduction per m2 by 2019/20 from our 2005/06 base year. The gross internal area of the campus is around 380,000m2. This includes all buildings owned by the University, where all energy bills are paid for and therefore does not include buildings used and occupied but not owned by the University at the Heath Park. We expect the expansion in the University gross internal area to be around 1% per annum, meaning that in 2019/20 the gross internal area is expected to be around 410,000m2 . With this growth in the campus by 1% a year we therefore expect an increase our absolute emissions on average by 0.75% each year if no action to curb our emissions is taken. This is based on the assumption that additional buildings will be more energy efficient than buildings on the current campus. This would mean that our emissions in this Business as Usual Scenario would be 39,817 tonnes in 2019/20. This Business as Usual scenario is demonstrated alongside our target emissions reduction of 3% per m2 per annum from the
  • 43.
    43 academic year 2014/15.We expect our emissions per m2 to have reduced from 98.7kg in 2012/13 to 83.8kg in 2019/20. This means that total emissions in 2019/20 is expected to be 33,746 tonnes of CO2. This shows that by reducing our emissions by 3% per m2 and implementing many energy saving projects, we will save 6,071 tonnes of CO2 which is an absolute reduction of 4042 tonnes of CO2 since 2012/13 and an absolute reduction of 3,827 tonnes since 2005/06. This is an absolute reduction of 10.6% since 2005/06. xx. Summary Effectively then the purpose of this Carbon Management Plan is to set out the University’s mission for the next 6 years up until the academic year 2019/2020 of how they intend to achieve their own internal targets. Cardiff University is committed to reducing our emissions by 20% per square metre by 2020 but to achieve this we will need to reduce our emissions on average by 3% per square metre as our campus is expected to grow on average by around 1% per annum. This will mean an absolute reduction since our 2005/06 base year, of 10% by 2019/20. We have decided upon using a number of metrics to measure our carbon reduction. Our main metric will be our emissions reduction per square metre to ensure a decrease in energy consumption across campus. Our current target for emissions per m2 is to be at 83.8kg of emissions in 2019/20 which is a 20% reduction in emissions per square metre since 2005/06. We will also look at our emissions per students and staff to ensure a greater understanding of our energy usage. Cardiff University will also look to target behavioural change. In order to help reduce the current level of emissions, Cardiff University will continue 0 2500 5000 7500 10000 12500 15000 17500 20000 22500 25000 27500 30000 32500 35000 37500 40000 42500 2012/13 2013/14 2014/15 2015/16 2016/17 2017/18 2018/19 2019/20 Business as Usual 0.75% increase in emissions (tonnes) total emissions with 3% reduction per m2 per annum (tonnes)
  • 44.
    44 to conduct engagementactivities with staff and students to help build a behavioural change within the University where all staff and students are concerned about the environment and help play their part to reduce our carbon emissions not just because they are told too. We will continue to undertake annual awareness raising events and build on the numerous ongoing campaigns. The implementation of the energy saving projects mentioned on pages 12-187will be driven through the Environmental Management Systems (EMS) group and the Estates Department within the University. It will be the responsibility of the Director of Estates to ensure energy saving projects are implemented and completed and to ensure we are on track to meet our target of a 20% reduction per square metre by 2020 against our 2005/06 baseline for scope 1 and 2 emissions. Estates will also lead the university to reduce part of our scope 3 emissions – water and waste. Carbon management of travel is the responsibility of Campus Services and procurement emissions are the responsibility of the Finance Department. Both these areas will be reviewed during the year to understand the next steps following the introduction of a base year of 2012/13, in the hope we will have a better understanding of patterns in travel and procurement by then. The Assistant Director of Environment will also play a significant role in Behavioural change throughout the University, co-ordinating the “Live Greener” project as will the Campus Services Division with engagement activities with students in university owned halls of residence. The Students Union will also contribute to behavioural change through running regular engagement activities with students each year. The Estates Director will provide regular updates on this carbon management programme at the bi-monthly EMS meetings which will ensure the ongoing concern and priority of carbon management at a high level within the university. This Carbon Management Plan will provide the basis of an energy saving initiatives programme to implement energy saving projects on a regular basis throughout the next 6 years to ensure we meet our targets. A full version of the 2014 Carbon Management Plan can be found online at the Cardiff University website.
  • 45.
    45 Building Sustainable Laboratories i.Who is backing the scheme? As a result of Welsh Government targets directed at Higher Education sectors Cardiff University is on a mission to become as sustainable as possible, by coming up with new schemes, programmes and targets that the university can work towards in order to both reduce their energy usage and increase their efficiency. One such area within the university that is being majorly targeted is laboratories, mainly as a result of their huge daily consumption of energy and due to the fact that there is a very large collective number of them within the whole university (giving a large scope to work with and possibility of money saving). The Higher Education Environmental Performance Improvement (HEEPI) project supports sustainable development, and especially environmental improvement, in universities and colleges through: identification and dissemination of best practice; creation and maintenance of networks; development of benchmarking; and in other ways. S-Lab (Safe, Successful and Sustainable Laboratories) is one of its initiatives and aims to create more sustainable laboratories, without jeopardising – and in many cases enhancing – safety and performance. It is mainly financed by the four UK higher education funding bodies (Higher Education Funding Council for England (HEFCE), Higher Education Funding Council for Wales (HEFCW), Scottish Funding Council (SFC) and Department for Employment and Learning Northern Ireland (DELNI) through the Leadership, Governance and Management fund, with additional support from the Carbon Trust and others. ii. What can we learn from other Universities? Laboratories consume large quantities of energy – often 3 to 4 times more than offices on a square metre basis. However, their complexity makes it difficult to develop a detailed understanding of how energy is used, and therefore to identify and prioritise improvement opportunities. To fill this knowledge gap, S-Lab has in the past conducted, or collaborated with, detailed audits of energy use at three life science laboratories at the Universities of Edinburgh, Liverpool and York, and two chemistry laboratories at the Universities of Cambridge and Manchester. However, because the work has involved a number of assumptions, and because there is a high degree of variability in different labs even within the same discipline, and even within the same lab at different times, care is advised in interpreting the results, either to compare the audited laboratories or in applying them to others. The headline results from the exercise carried out by S-Labs were that:  Ventilation-related energy (all the energy used to move, cool and heat air) comprises around 60% of total energy in chemistry labs and 45% in life science labs.
  • 46.
    46  Space heatingaccounts for around 20% in both types of lab  Equipment/small power comprises around 25% in life science labs and 15% in chemistry labs.  Lighting comprised around 10% for life science labs and 5% for chemistry.  Fume cupboard energy costs are £900-1500 per annum.  The annual cost of moving a cubic metre of air through the labs each second ranged from £1,861-4,634, and that of a single air change per hour from £6,311-34,129. The investigations also highlighted the importance of IT in many laboratories – in all cases as a significant element of equipment/small power category, and in some through self- contained server rooms (which are 17% of total consumption at Cambridge). Detailed analysis at Liverpool and Manchester identified the most energy consuming equipment types (as a result of either numbers of equipment, power and hours of usage) which were:  For chemistry, heaters / stirrers, fridges, mass spectrometers, rotary evaporators, gas chromatographs, nuclear magnetic resonance spectroscopes, ovens and water baths.  For life science, freezers (-20 and -80) environmental growth chambers, water baths, incubators, ovens, ice makers, hybridisers, incubators and thermal cyclers. The analysis did not include many large pieces of equipment with 3-phase power supply. While each lab will be different, a general rule of thumb is anything that is heating or cooling, is on 24/7, or has a 3-phase power supply, is likely to be a significant energy consumer. The exercise demonstrated that developing a more detailed understanding of energy consumption can provide many benefits, including highlighting many opportunities for minimising energy consumption and saving money; improving safety; and building better relationships between Estates and laboratory staff. As subsequent reports will describe, the exercise suggests that there is the potential to reduce UK university energy bills by tens of millions of pounds through schemes that have a five year payback or less. iii. What does this mean for Cardiff? Cardiff should aim to copy the blueprint set out by S-Lab laboratories at these universities in order to lessen their energy usage and see where savings can be made my comparing values. By auditing their labs Cardiff would be able to specifically calculate how much money a year could be saved through implementing better sustainability practices and by changing people’s behaviour, whilst also being able to see whether any previous or future laboratory schemes have in fact been successful in reducing energy usage and cutting costs.
  • 47.
    47 Potential Savings i. Method Laboratoriesconsume large quantities of energy – often 3 to 4 times more than offices on a square metre basis. However, their complexity makes it difficult to develop a detailed understanding of how energy is used, and therefore to identify and prioritise improvement opportunities. In order to try and calculate the possible energy savings that could be made by implementing energy saving schemes within laboratories a rough list of what can be found in an ‘average’ laboratory must be drawn up. For example, lights, computers and printers can be found in pretty much every university laboratory, whilst fridges and freezers are often found in large numbers in some laboratories and then not at all in others. I therefore decided to visit three different schools within Cardiff University which collectively would cover a large part of our campus and so gave me a rough indication of the different types of equipment found in our laboratories. These schools were the Cardiff School of Biosciences, Cardiff School of Medicine and the Cardiff School of Pharmacy and Pharmaceutical Sciences. I was kindly given a tour of their laboratories by each building’s Safety Health & Environmental Manager (Mark Lewis, Karl Hanzel and Les Craven respectively) where I visited approximately 10 different labs, some ‘good’ and some ‘bad’ regarding their sustainability practices. I made notes on the type and number of pieces of equipment found in each lab, and so could therefore work out how much energy usage they used per day. I would then times this number by 2.5 to represent the amount of energy used and money wasted if all this equipment were to be left on across the weekend when nobody was using it, representing a period of 2.5 days (60 hours) from Friday 18:00 – Monday 06:00. All the equipment energy consumption values therefore represent being left on and operational for 24 hours a day, which is true in the case of freezers and ice machines but not in the case of fans and bulbs which may be switched off at the end of a working day. Once the values for typical energy consumption per unit (kWh/day) have been calculated then the values for 2.5 days and a year can be calculated also, with potential savings consequently worked out once we know how much the university pays for its electricity per unit usage. ii. What makes up an ‘average’ laboratory? An inventory of the most abundant 50 items of lab equipment (including PCs and monitors) was recorded collectively from the three buildings and can be seen in the table below, with the raw data found in the Appendix. It is important to remember that much of equipment energy consumption is associated with heating or cooling, and/or 24/7 operation, whilst equipment which is relatively low powered but plentiful and frequently used, can still be significant. All of the values are approximate values only, and some of the estimated numbers are decimal points because the associated equipment may have only been found in one lab
  • 48.
    48 out of the30 visited, reflecting low abundance in labs. This is true in the case of the Air Flux Condenser which was found in one lab in the School of Pharmacy and Pharmaceutical Sciences but not in any of the other 39 labs visited. iii. Energy Consumption Calculation By looking at technical data on product specific websites power consumption for equipment types can be calculated in watts based on an estimated usage of however long used. This is done by using an energy consumption calculator as shown below. E(kWh/day) = P(W) × t(h/day) / 1000(W/kW) The energy E in kilowatt-hours (kWh) per day is equal to the power P in watts (W) times by number of usage hours per day t divided by 1000 watts per kilowatt. However, all the typical energy consumption values per unit (kWh) in the main table below represent being left on and operational for 24 hours a day, representing energy usage of equipment being left on unnecessarily across the weekend. This will only provide examples of the types of costs as there is obviously wide variation between units, so for specific energy usage values related to Cardiff University laboratory equipment a further study must be conducted. S-Lab has conducted, or collaborated with, detailed audits of energy use at three life science laboratories at the Universities of Edinburgh, Liverpool and York, and two chemistry laboratories at the Universities of Cambridge and Manchester (Hopkinson, 2011, pp. 4-47) (Hopkinson et James, 2011, pp. 2-12). It is these reports that will be used to obtain half the ‘assumed average power (W)’ values and the ‘typical energy consumption per unit (kWh/year)’ values in the main table on the following page. However, because the work has involved a number of assumptions, and because there is a high degree of variability in different labs even within the same discipline, and even within the same lab at different times, care is advised in interpreting the results, either to compare the audited laboratories or in applying them to others. iv. Pricing Each site (approx. 2 dozen around campus are on HV tariffs and the remainder of the sites are on LV tariffs) has a different pricing structure, as buildings may be priced on their load profiles. For campus generally Cardiff University would use an approximation of 11p per unit (kWh) + VAT, so this is the general valuation that is to be used in our calculations, whilst there is also a Carbon tax put on each kWh as well. This is on top of electricity cost per unit, but for the sake of simplicity this additional cost will not be taken into account.
  • 49.
    49 v. Estimated AnnualElectricity Consumption of Selected Lab Equipment Equipment Estimated numbers in 30 labs Estimated numbers in 1 lab (3dp) Assumed average power (W) Estimated number in 1 lab x average power (W) Typical energy consumption per average unit (kWh/24hrs) (3dp) Typical energy consumption per average unit (kWh/60hrs) (3dp) Typical energy consumption per average unit (kWh/year) (2dp) Air Condition Unit 2 0.067 3500 234.5 5628 14070 2054220 Air Flux Condenser 1 0.033 - - - - - Balance 15 0.5 20 10 240 600 87600 Bench top Autoclave 2 0.067 1700 113.9 2733.6 6834 997764 Big Autoclave 2 0.067 2500 167.5 4020 10050 1467300 Bulb 860 28.667 30 860.01 20640.24 51600.6 7533688 CD Player 12 0.4 35 14 336 840 122640 Centrifuge 25 0.833 14 11.662 279.888 699.72 102159.1 Computer Server 48 1.6 36 57.6 1382.4 3456 504576 Deionised Water 7 0.233 580 135.14 3243.36 8108.4 1183826 Dishwasher 1 0.033 1200 39.6 950.4 2376 346896 Drying Oven 1 0.033 495 16.335 392.04 980.1 143094.6 Fan* 1 0.033 30 0.99 23.76 59.4 8672.4 FLD1 1 0.033 - - - - - Freezer (-20) 42 1.4 500 700 16800 42000 6132000 Freezer (-80) 22 0.733 1200 879.6 21110.4 52776 7705296 Fridge 24 0.8 100 80 1920 4800 700800 Tall Fridge Freezer 4 0.133 80 10.64 255.36 638.4 93206.4 Fume Cabinet 54 1.8 50 90 2160 5400 788400 Glass Drying Cabinet 8 0.267 1800 480.6 11534.4 28836 4210056 ‘Gut Bath’ Set-Up 20 0.667 - - - - - Heating Oven 8 0.267 495 132.165 3171.96 7929.9 1157765 Hot Plate Stirrer 10 0.333 26 8.658 207.792 519.48 75844.08 HPCS2 5 0.167 - - - - - HPLC3 9 0.3 - - - - - Hybridiser 2 0.067 750 50.25 1206 3015 440190 Ice Machine 2 0.067 2400 160.8 3859.2 9648 1408608 Incubator 24 0.8 425 340 8160 20400 2978400 LSA4 1 0.033 - - - - - Mass Spectrometer 8 0.267 1000 267 6408 16020 2338920 MPA5 1 0.033 - - - - - Micro-centrifuge 19 0.633 6 3.798 91.152 227.88 33270.48 MSC6 9 0.3 440 132 3168 7920 1156320 Microscope 20 0.667 30 20.01 480.24 1200.6 175287.6 Microtome 2 0.067 36 2.412 57.888 144.72 21129.12 Microwave 10 0.333 1000 333 7992 19980 2917080 PCR Machine 20 0.667 800 533.6 12806.4 32016 4674336 pH Calibrator 4 0.133 - - - - - Powerpack 14 0.467 250 116.75 2802 7005 1022730 Printer 4 0.133 51 6.783 162.792 406.98 59419.08 Roller Mixer 5 0.167 - - - - - Rotatory Evaporator 16 0.533 590 314.47 7547.28 18868.2 2754757 Shaker 9 0.3 96 28.8 691.2 1728 252288 Sonicator 4 0.133 500 66.5 1596 3990 582540 Stirrer / Heater 6 0.2 375 75 1800 4500 657000 UV Geldock 6 0.2 - - - - - Vacuum Oven 4 0.133 495 65.835 1580.04 3950.1 576714.6 Vacuum Pump 1 0.033 187 6.171 148.104 370.26 54057.96 Water Bath 6 0.2 750 150 3600 9000 1314000 Weighing Station 10 0.333 30 9.99 239.76 599.4 87512.4 TOTAL 1391 46.365 615.05 6726.069 161,425.7 403,564.25 58,920,380 Approximate figures only. The equipment with a dash (-) in their boxes represents an inability to find any energy usage values for that product on the internet, and so has been excluded from our results.
  • 50.
    50 1 Fluorescent LuminescenceDetector 2 High Performance Chromatography Systems 3 High Power Liquid Condenser 4 Liquid Scintillation Analyser 5 Melting Point Apparatus 6 Microbiological Safety Cabinets vi. What are the potential savings? Total Energy usage per ‘average’ lab (W) Total Energy Cost per ‘average’ lab (24 hrs.) Total Energy Cost per ‘average’ lab (60 hrs.) Total Energy Cost per ‘average’ lab (a year) 6726.07 £17.76 £44.39 £6481.24 11p per unit; One unit of electricity is exactly equal to 1000 Watts of power used for 1 hour. Number of labs in School of Biosciences 425 (400 -450) Number of labs in School of Medicine 200 (150 – 250) Number of labs in School of Pharmacy and Pharmaceutical Sciences 60 Total Number of labs in Cardiff University 685 NB. These are all just approximations for the numbers of labs within each building given to me by each building’s respective building’s Safety Health & Environmental Manager. Total Cost for total lab number (24 hrs.) Total Cost for total lab number (60 hrs.) Total Cost for total lab number (a month) Total Cost for total lab number (a year) £12,163.42 £30,408.56 £364,902.60 £4,439,650.12 Approximate Estimation Values – calculated using unrounded figures in Table 1 The total cost spend on labs in Cardiff University every year is approx. £4.5 million, so how much of that could be wasted energy? The equipment types most left on when not in use are bulbs, printers, pH calibrators and weighing stations, which will use up around 52,607kWz of energy collectively in each ‘average’ lab if left on over a weekend unnecessarily (60 hrs). This equivalents to a cost of £3963.94 to the university every weekend and £206,124.67 every year if all 685 labs are taken into consideration, with this cost likely higher due to other equipment types unnecessarily left on also.
  • 51.
    51 i. Restrictions The mainlimitation with this audit was that figuring out how many watts each equipment type uses is not entirely straightforward. The answer depends on factors such as the model, size and age of the unit and the characteristics of the lab, so these results are just approximations to give a rough indication of potential energy savings. Some equipment energy usage values could also not be found online whilst others (like the ‘Gut Bath’ Set-Up) had a high estimated number in the 30 labs I visited but all 20 were found in lab 8 in the School of Medicine. This therefore reflects how the values collected in this data may be slightly skewed depending on the labs I included in the sample and those that were not. In some cases average power values (W) could not be found, and so the amount of energy consumed per year and the running costs could not be calculated, so the end potential savings figure could in fact be higher. Additionally this was not perhaps the fairest sampling technique as 10 labs were viewed in each building, which was about 1/6 of the labs in Pharmacy but only 1/42 labs in Biosciences. In order for this to be a fairer and more accurate reflection of energy usage and potential savings for labs in Cardiff University the type and wattage use of each equipment type should be recorded from each lab. This is only a simple estimation of the annual electricity consumption of selected lab equipment given to predict costs and potential savings, with only approximate equipment values and their respective energy usages given. ii. Conclusion Higher education institutes need to pay greater attention to sustainability issues when purchasing equipment, with this being especially true in regards to energy where there is already potential for considerable whole life cost savings by choosing more energy efficient models. The potential to minimise both environmental impacts and costs will increase as more vendors appreciate that this is an important issue for customers, and supply more information about power draw and other aspects of environmental performance. However, this is not only about universities choosing more energy efficient equipment but also about changing people’s perception and behavioural attitudes to sustainability issues. The data shows that £206,124.67 of University money can be wasted every year if equipment is left on unnecessarily every weekend of the year. Obviously not all of this equipment can be turned off across the weekend when nobody is around as they still need to run (i.e. freezers) but even these can be reduced to a higher temperature to reduce energy usage. These values simply give a rough indication into how much money Cardiff University would spend on wasted energy per year if appliances are unnecessarily left on across the weekend, but the value could in fact be higher than this if equipment is also left on during the week nights, or used in the day and then taken home (i.e. CD Players and laptops). So what can be done?
  • 52.
    52 Sustainability Challenge Coordinator i.So what can Cardiff University do? As a ‘Sustainability Challenge Coordinator’ the main aim of my project is to identify viable ways to reduce energy usage in laboratories through the freezer challenge, which the unit is looking at ways to launch during the academic term 2014/15. While the main priority of this friendly challenge is to save energy, it is also designed to help participants learn how to increase their sample access and security, develop key sample management skills, and maintain freezers in optimum condition to keep their research samples safer. The challenge is for as many labs as possible to participate in freezer temperature tuning (moving from -80 to -70), cleaning & maintenance, and in organizing samples and identifying material in need of disposal. The project will involve research into the number and location of -80 freezers across the scientific schools, identifying where there is an opportunity for these freezers to be ‘warmed up’ from -80 to -70 and will link with the new Carbon Management Plan that will involve the calculation of potential energy savings. The project will also involve collating evidence to show the benefits in doing this and alleviate any concerns that laboratory managers may have. The project is offered by OSHEU (Occupational Safety, Health and Environment Unit) and the School of Medicine and will be supervised by the Environmental Adviser within OSHEU (Dr Katrina Henderson) and the Academic leading the initiative in MEDIC (Dr Clive Gregory). This project is based within OSHEU, it will involve engaging with different areas of the University and attending meetings i.e. Environmental Management Steering Group (Chaired by Deputy Vice Chancellor Prof Elizabeth Treasure). Two of the main areas I am going to look into for this project are temperature and good sample management; both of which seem like fundamentally important factors that can help ensure our laboratories are more sustainable. The project is mainly going to be split into three different categories; The idea is to come compile sufficient evidence to prove to technicians, researchers and professors alike that these changes not only save energy but also promote better laboratory practice and can improve their samples through a change in their management. 1. The Freezer Challenge within laboratories (Including better sample management) 2. General energy saving ideas within laboratories 3. General energy saving ideas within the university
  • 53.
    53 The Freezer Challenge i.UC Davis The Freezer Challenge is a national competition, started at UC Davis (University of California, USA), as a way to introduce the laboratory cold storage management techniques described in the Store Smart program. The program seeks to partner with researchers to improve sample access, reduce the risks related to freezer use, and save energy. Each ULT (ultra-low temperature) annually uses an equivalent amount of electricity as a typical single family home, as well as incurring maintenance costs. When a freezer fails, samples may be lost permanently or damaged, jeopardizing research projects and data archives, whilst without sample management tools, samples and bioassay materials can be misplaced or forgotten about, resulting in an uncertain archive of important scientific data. The goals for the Freezer Challenge are to save energy, retire as many freezers as possible and improve sample access and security. While the main priority of this friendly competition is to save energy, it is also designed to help participants learn how to increase their sample access and security, develop key sample management skills, and maintain freezers in optimum condition to keep their research samples safer. The challenge is for as many labs as possible to participate in freezer temperature tuning, cleaning & maintenance, and in organizing samples and identifying material in need of disposal. This should not only save both money and energy but also improve researchers’ sample management. (Sustainability.ucdavis.edu) ii. What is ‘sample management’? Sample management is a part of process control, one of the essentials of a quality management system. The quality of the work a laboratory produces is only as good as the quality of the samples it uses for testing, and so must be proactive in ensuring that the samples it receives meet all of the requirements needed to produce accurate test results. iii. Cardiff The Freezer Challenge in Cardiff, initiated in 2011, was an opportunity to improve the University’s People and Planet green league position of that year (130/138 which was the second lowest in Wales) whilst also raising awareness about the energy costs of running freezers. By undertaking some small changes significant improvements in the School’s energy usage, cost of ownership and laboratory practice can be made. Cardiff will be the first in the UK to carry out such an initiative which will demonstrate to the whole of Cardiff University and the UK academic community of our commitment to environmental issues. Not only does it save money, energy and improve freezer life it also makes good laboratory sense, with the whole project run by School of Medicine Eco-Champion, Dr Clive Gregory.
  • 54.
  • 55.
  • 56.
    56 iv. Possible Ideas 1 Whatshould be done? The main idea for the Freezer Challenge is to reduce freezer temperatures from -80 to -70, but only in places where sample quality will not only be unaffected but may also benefit from being stored at a higher temperature. This process is known as ‘temperature tuning’ as an ultra-low temperature freezer set to -60 °C may use half the electricity of one set to -86 °C. Users should aim to tune their freezer set-point by +10 °C (or more) for at least 6 months whilst they aim to identify the different sampling types (i.e. tissues, molecules, cultures, reagents, etc.) being stored and so can each be stored correctly in their consequential range. Participants can also store DNA at -20 °C in standard freezers or move DNA from an ultra-low temperature freezer to a standard freezer. Often, samples do not require -80 °C and can be safely stored at higher temperature. For example, if you have an ULT freezer full of DNA, consider switching to dry storage or a -20 °C freezer instead. Additionally room temperature sample storage is possible, with researchers now having the ability to store DNA, RNA, and materials saved for later extraction of DNA and RNA at room temperature for the long term or short term. Presently most DNA and RNA samples are typically stored in freezers by researchers. However, a switch to room temperature storage will not only result in obvious energy savings but also better security for the researcher’s samples since it will avoid the dependence on continuous electricity or a mechanical freezer, both of which could fail (Sustainability.ucdavis.edu, 2014). Evidence of previous success The following link is a spreadsheet of biological samples scientists at UC Davis and CU Boulder have stored at temps at or above -70 degrees Celsius. https://spreadsheets.google.com/spreadsheet/pub?hl=en&hl=en&key=0AsLDc2bsvPZCdHZ sX05jaUVnM3NORmUwdl85MDFlS2c&single=true&gid=0&output=html Results Raising the ultra-low freezer temperature from -80 to -70 degrees Celsius can save 2-4 kWh/day, which is the same amount of energy required to run a full-sized -20 degree Celsius freezer. The higher temperature also reduces stress on the compressor which can increase the freezer lifetime and reduce the risk of compressor failure (Wastereduction.unc.edu, 2014).
  • 57.
    57 2 What should bedone? Old, non-sustainable freezers should be replaced with more ‘green’ and environmentally friendly, newer models. This is known as ‘freezer retirement and upgrade’ where it requires researchers to remove high energy consuming older freezers from a building to be replaced by less energy consuming, newer freezers if necessary. Researchers can therefore retire a freezer, replace an inefficient freezer with a more efficient one, convert some of their samples to a form that doesn't require freezer storage or make a combination of these changes. Evidence of previous success Stanford's Department of Sustainability and Energy Management carried out such a scheme in 2010, urging researchers to go green and get rid of their old ultra-low-temperature freezers which use the greatest amount of energy. It was termed the ‘Ultra-Low-Temperature Freezer Retirement Program’ and aimed to decrease the number of laboratory freezers on campus. For researchers who couldn’t live without a freezer, the program also offered incentives to upgrade to a more energy-efficient model, where labs were given cash of up to $7,600 in order to buy new energy-efficient freezers or use new technology to store biological samples at room temperature. At the start of the scheme Stanford had more than 2,000 of these freezers and the number was increasingly getting higher, which translated to huge energy costs for the university. The freezers would consume an estimated 40 billion BTUs of energy, generate 3,600 tons of carbon dioxide and cost $5.6 million to operate each year. The aim was therefore to get rid of 25% of their freezers in order to reduce costs and energy consumption whilst also increasing lab space. Results Right now, only DNA and RNA molecules are hardy enough to survive the new room temperature storage, but similar technology for more delicate blood and proteins is being developed. Dry, room temperature storage allows more samples to be packed into a smaller space and requires vastly fewer energy resources to maintain. The storage cabinets require no energy to run and since the storage cabinets don't need electricity, samples are not vulnerable to power outages, unlike those stored in freezers, meaning researchers have one less thing to worry about after a natural disaster like an earthquake. Additionally, a six-month pilot project in the previous year was run involving a dozen Stanford researchers. Darren
  • 58.
    58 Morrow, a researchtechnician in Virginia Walbot's maize genetics lab in the Department of Biology, managed her lab's freezer replacement project. He and the other lab members cleared out a lot of old samples, throwing away the ones they didn't need and putting samples needed for five years or less into storage at minus 20 C, rather than the minus 80 C required for longer term preservation. As a result, they retired two freezers and purchased a new energy-efficient model. Morrow also converted a good portion of the lab's DNA and RNA samples to dry, room temperature storage. Morrow says he has complete confidence in the dry storage and would encourage other university researchers to try it. He tested and compared the quality of RNA samples stored at minus 80 C and room temperature after two months of storage. 3 What should be done? The Refrigeration Shop estimates that HALF of UNC's ultra-low freezers have door seals with leaks or have seals that have already totally failed. Follow proper protocol in order to reduce the issues that arise from leaky seals: do not leave the freezer door open for extended periods of time; wipe the seal before shutting the door; do not try to cram the latch to shut when there is frost obstructing closure. You should not wait to call for a repair if you suspect there is an issue with your freezer seal as waiting could aggravate the problem and cause more expensive repairs or total freezer replacement necessary. Sample integrity is at risk in a freezer with a leaking seal and the freezer consumes a great deal more energy (Wastereduction.unc.edu, 2014), so by reporting and fixing faulty freezers both energy, money and the samples themselves would be saved from any damage. “Over the years you start to accumulate a lot of samples," Morrow said. "We work with corn and have quite a bit of tissue that we collect over the summer months each year." "Everything was exactly the same," Morrow said. "I think it's definitely a worthwhile technology. The best way to convince yourself is to test it out." (News.stanford.edu, 2014).
  • 59.
    59 4 What should bedone? Samples should be removed from freezers after a certain period of time when the owner of the samples has left university and no longer has any need for them. Too often samples are left for many years in freezers being stored when they are no longer of any use to anybody, taking up valuable storage space and so additional freezers are deemed necessarily required which is in fact not always the case. A freezer cleanout is therefore a viable option to combat this problem; removing unwanted samples after a certain period of time (perhaps as an annual event and/or three years following a student’s graduation. Evidence of previous success In the spring of 2011, two labs participated in a pilot Freezer Cleanout Program where each lab cleaned out one –80 freezer and disposed of old samples. The two case studies achieved the following results; Lab 1: 44 Boxes of Samples Disposed of, providing 2.75 racks of new space Lab 2: 67 Boxes of Samples Disposed of, providing 4.20 racks of new space Result A freezer cleanout is a great way to mitigate this consumption whilst saving you time and effort in the future! Organizing your freezer will make it easier to find needed samples, and eliminating old materials will free up space for new samples, minimizing the need for a new freezer. This is a great cost saver! In addition, by clearing frost build-up you will save energy, improve ease of access, and ensure the longevity of your freezer (Green.harvard.edu, 2014).
  • 60.
    60 General Energy SavingIdeas i. Possible Laboratory Practices Below are some simple steps on how to save energy in laboratories:  Switch lights off when you leave the room and all equipment at the end of the day (especially when going home for the weekend). This can be enforced by putting lab checklists on the door where a designated person every day of the week has to sign it to show that all lab checks have been completed, as well as the time to show when it was done. It will only take up an extra 5 minutes at the beginning and end of each day, with such a scheme having been carried out in worldwide institutes like Johnson & Johnson, so there is no reason why Cardiff cannot follow their example.  Perhaps build a spreadsheet that puts all chemicals within all laboratories on so that everyone can view it and use it to find the chemicals they need. This would prevent excess chemicals being bought in that are already found on campus and if the expiry date of all chemicals was also recorded then wastage of chemicals could also be prevented. Quite often chemicals are bought for the sole purpose of being used once and are then never used again until they are finally chucked out when they have passed their expiry date. This produces huge wastage and could easily be prevented if people were simply alerted to the list of chemicals found in their building.  A one minute sustainability video at the start of every lab practical for undergraduate students. If this video were to just demonstrate good laboratory practice (like switching things on only when they need them and then switching them off again) students would quickly become accustomed to following these measures and it would be implemented quickly into their work. Marks for good laboratory practice should also be taken into account.
  • 61.
    61  Gold, Silverand Bronze medals or stickers should be awarded to department laboratories that adhere to certain sustainability compliances. This promotes good management practices where labs will be awarded points according to each cubic foot of space saved by reorganizing, discarding unneeded samples, and proper inventory & labelling. This will encourage people in labs to become more sustainable as one lab without such a medal will want to achieve a medal if all their neighbouring labs have one. This is just human nature as if one lab has one and another doesn’t then it will reflect poorly on them and they will be seen in a bad light, consequently causing them to try and improve their sustainability practices. ii. Possible University Practices Below are some other possible steps on how to save energy within the university:  OSHEU (Occupational Safety, Health and Environment unit) are a team dedicated to providing a cost effective centre of excellence to promote the health and safety of staff, students and visitors to Cardiff University. They aim to create and maintain a safe and healthy working environment and Cardiff University have won a lot of Health & Safety Awards as a result of the hard work put in by a large number of full-time staff within the Occupational Safety team. The Environmental Unit of OSHEU however is mainly made up of part-time staff that often have other roles and jobs to contend with alongside tackling sustainability issues within our university. To help the university achieve their aims they should employ a full-time team to work on tackling these issues in order to enforce new, more sustainable practices within our institute. If you look at the recent Green League tables most of the top universities earning First Class awards have such a team in place, and so Cardiff must follow their example by creating such a team to ensure that we meet strict government targets set out to reduce our carbon emissions. Savings made through a reduction in our energy usage will also override the appropriate salaries of the team put in place, saving the university money in the long run.
  • 62.
    62  Currently inCardiff Student Halls like Talybont North, South and Court students don’t have to pay for bills (all of their heat, gas and electricity are covered under their accommodation costs). This policy should be changed as it encourages students to leave their lights on constantly (even when they have left the room), to take long unnecessary showers deliberately and to leave their radiators on constantly even during the warm summer months. The attitude is that if they don’t have to pay for it then they don’t care so consequently students should be made to pay for all the gas and electricity they collectively use in their flats and their accommodation fees should be dropped down accordingly. This will also prepare students for second year where they quite often have to pay their own bills independently of their rent, and so will ensure they are more conservative in their usage of gas and electricity. Students living in Cardiff University residences Talybont North (L) and Talybont South (R) don’t have to pay bills, leading to huge energy wastage.  Installing the free WeMo app onto compatible phones could ensure that students living in halls really do turn off all appliances when they leave their rooms. The Belkin Wi-Fi enabled WeMo Switch lets you turn electronic devices on or off from anywhere by using your existing home Wi-Fi network to provide wireless control of TVs, lamps, stereos, heaters, fans and more. WeMo now works with android and IOS smart device, enabling you to turn your electronics on or off from anywhere over Wi-Fi, 3G or 4G. The free WeMo app makes it easy to set schedules for appliances and electronics in your home to turn off, as just by using your smartphone or tablet you can program a fan to turn on or off at a certain time of day, at sunrise or sunset.. This fits in nicely with the point about students paying for their halls of residence, as if students were to install this app on their phones then their light would turn off automatically once the student left their room with their phone (and let’s face it students go everywhere with their phones). If the university provided incentives for students to download this app then in all likelihood students would download it and they wouldn’t even have to turn off their appliances when they left the room as their phone will do it for them.
  • 63.
    63  A SustainabilityModule could be brought into the curriculum into subjects such as the Biological courses run in Bioscience (such as Biology, Ecology, and Zoology etc.). Such a relevant and interesting topic should be taught more to students, which should in turn make them more sustainable because they are learning about the reasons why we should be sustainable and what will happen if we aren’t. Bath Spa University also runs a sustainability BSc (Hons) course entitled ‘Global Development & Sustainability’, giving students the chance to focus all their interests and studies towards this important issue. Such areas that should be covered in a sustainability laboratory module for students include lectures and talks on good laboratory practice, climate change, our global future, energy and the environment, the work being done in the university (giving OSHEU some more publicity) and a final part based on how to lead change in theory into practical ideas.  A new modern technology called an ‘A-class air source renewable heat pump’ was recently launched to give summer heating bills all year round. The recently launched Renewable Heat Incentive (RHI) gives quarterly payments to those generating heat for their home from renewable sources. In addition to the RHI payments, a typical 4 bedroom household could save over £1000 per year on their heating bill, a figure which will grow each year as fuel prices continue to rise. Air source heat pumps, such as the Dimplex A- Class, utilise the external air temperature to generate a high temperature capable of heating a home and providing copious amounts of hot water even in the depths of winter – now there is no need to install or retain a fossil fueled boiler. If the university could implement some of these into their halls of residence or the university itself then, after the initial outlay of buying and installing them, energy bills will become a lot cheaper and a significant amount of money could be saved.  Renewable energy sources where possible, i.e. solar panels and floor tiles that create energy when you walk on them (most cost effective in new buildings of high population density), with other ideas being motion sensor lighting and double glazing in all windows.
  • 64.
    64 iii. Other Universities Belowis a list of possible schemes Cardiff University could try out that are being carried out by other universities in the UK. The schemes described below have yet to be implemented at Cardiff and so by judging on the success of these schemes Cardiff may decide to introduce some of them in the near future. Student Eats Student Eats is a project led by NUS, supporting institutions across the UK in cultivating their own student-led growing sites for fruit and vegetables. Student Eats turns areas of campuses into versatile growing areas, installing polytunnels, green houses and cold frames to extend the growing season, as well as providing a range of gardening equipment and horticultural expertise. Championed by a team of dedicated students, staff and members of the local community, these sites are used to grow produce which is shared among the volunteers, as well as sold at low cost to other students and often even to on-campus catering services. As more and more students become interested in growing their own produce, as well as being conscientious of the ethical and environmental impact of their food choices, Student Eats is a great opportunity to grow, eat and share food which is organic, nutritious, fresh, local, low-carbon and – most importantly of all – delicious! Aside from promoting sustainable food patterns and localised economics, Student Eats is really eager to use these projects to strengthen community bonds and build cross-cultural connections. Each project endeavours to partner up with one off-campus community group such as a local school or a wellbeing charity, offering demonstration sessions, volunteering opportunities and cookery events. Further to this, the sites also take pride in growing ethnic and exotic crops which might not often be seen on UK allotments – responding to as broad of a demographic of students as possible. Some example universities that are involved in this programme include:
  • 65.
    65 Students’ Green Fund Students’Green Fund provides students’ unions with the funding to develop transformative, student-led sustainability projects with real impact and legacy. Using £5 million of HEFCE funding, NUS has helped 26 students’ unions from across England to develop ambitious greening projects, leading to step-changes in pro-environmental behaviour across higher education. With student engagement at the heart of all 25 projects, NUS is supporting initiatives ranging from greening student homes, to creating growing spaces on campuses; from up-cycling cafes, to developing sustainable transport for physically disabled students. Embedding sustainability into the core purpose of higher education, Students’ Green Fund will empower cohort after cohort of graduates to leave their time in education as part of the solution to our environmental challenges. Through holistic approaches like greening the curriculum and developing widespread behaviour change, Students’ Green Fund turns students’ unions into hubs of sustainability at the heart of their wider communities, and helps students to adopt pro- environmental habits which last far beyond their time in education. A range of different projects exist that can be found online, including ‘Leeds Green Exchange’ in which Leeds University Student Union became the first students’ union to ban bottled water. Other projects include a roof garden being built in Liverpool University and the ‘Cycling 4 All’ scheme the University of Bradford Students' Union is following to promote health and wellbeing among disabled students. They are doing this by increasing provisions for sporting participation, while developing and implementing sustainable modes of transport for disabled students to commute to and from campus. Some additional universities that are involved in this programme include: Universities that are involved in both the above projects however include:
  • 66.
    66 Global Sunrise Project Universitiesare always looking for innovative, creative and enthusiastic students to take part in “green” initiatives, such as the inspiring Global Sunrise Project, which hopes to inspire a generation to repower the planet with renewable energy by bringing together students, charities and organisations. They envisage a world where everyone has access to clean, affordable energy, where communities use home-grown sustainable electricity, and by unleashing the power of young people they hope to cause a renewable revolution. They work with some of the most respected research institutes around the world, contribute to research projects that impact hundreds of thousands of people internationally and collaborate across 5 different countries and 4 continents (as shown by their network map and list below). Their projects include Planting Promise, EFO (Energy for opportunity), African Steps and TASC Madagascar. Planting Promise works across Sierra Leone with the mission of setting up a network of ethical farming and food processing enterprises ran by local people given skills training; and with the profits going towards funding free education programmes for children. EFO is a not-for-profit organisation based in West Africa and works to improve the lives of local people through the provision of sustainable energy systems. Students from the UK not only helped fund the installation of a solar electricity system which enables Medina Health Clinic to provide 24 hour care; but also helped develop and finance a community charging station. African Steps is a charity aiming to improve conditions surrounding St. Peter’s hospital on Likoma Island, Malawi. This hospital is vital to the local and wider area, providing healthcare for 80,000 people from 3 different countries and has continually suffered from Australia Holland Madagascar Malawi New Zealand Sierra Leone Singapore United Kingdom.
  • 67.
    67 unreliable power, whichhas prevented it from carrying out lifesaving operations and store crucial medicines and blood. African Steps (AS) has been exploring the potential for renewable energy for some time to power their hospital and have recently proceeded with a 24hr clean energy power system. Finally, Global Sunrise have recently partnered up with TASC Madagascar whose aim is to help, in any way possible, the Vohipeno region of Madagascar. TASC stands for ‘Tossing a Starfish Charity’, with the explanation for this name explained below. This short story sums up what GS are trying to achieve through TASC Madagascar. Global Sunrise are working to provide the Children's home in Tanjomoha, Madagascar with solar power in all the rooms of the community, including the offices, enabling the use of computers, the Foyer des handicapés, the dormitories etc, shining light upon of the people of Tanjomoha. The whole company consists of an international network of students and recent graduates who work with charities, NGOs, and Corporate organisations to repower the planet with clean renewable energy. Some example universities that are involved in some of the programmes run by Global Sunrise include: Cardiff could follow in the footsteps of these two universities by joining Global Sunrises organisation to demonstrate their commitment to not only increase awareness and promote good practices in Cardiff but also abroad as well. I was walking along the beach one day. I saw a man bending over picking up starfish on the shore and was throwing them back into the sea. I asked him, "Why are you throwing those starfish back into the sea?" He replied, "The tide is going out, the sun is hot, and if I don't, they will die here." I asked him why he was doing this; the few he threw back wouldn't make any difference. The man paused with a starfish in his hand. He looked at it, and then he tossed the starfish out to sea and said, “I have made a difference to that one.”
  • 68.
    68 Executive Summary Cardiff Universityis internationally recognised as being among the top tier of Britain's research-intensive universities, whilst also being unusual in that sustainable development research is a key strength across a wide range of disciplines. This strength is reflected in a number of major research funding awards and the establishment of leading research centres. Cardiff must continue to pursue the principles of sustainable development both in its engagement with external stakeholders and in the management of its internal operations, whilst also continuing to benefit society through making a significant and sustainable contribution to health, economy, education and culture. It can only do this by continuing to discourage people to follow old practices whilst also enforcing new policies like that of the Freezer Challenge. Raising the temperature from -86 degrees Celsius to -60 degrees Celsius can reduce energy consumption by 50% and so the Freezer Challenge seeks to raise the temperature of ultra-low freezers by 10 degrees (or more!). Microbial cultures, proteins, yeast strains, cell lysates, and other samples have been stored for years in -70 degrees Celsius, while DNA can be stored at -20 degrees Celsius in a standard freezer safely for nearly 75% energy savings. It is also important to note that a full freezer runs more efficiently and cools down more slowly if power is lost. If samples do not take up a whole freezer, loaning space to another Principal Investigator should be considered or the empty space should be filled with frozen water jugs (or anything, such as an old cooler, that displaces air). The fuller the freezer, the less the compressor must work to cool the air and the longer the compressor will last. Similarly, raising the temperature in an ULT freezer requires the compressor to work less, which should result in a longer lasting freezer. Additionally, researchers now have the ability to store DNA, RNA, and materials saved for later extraction of DNA and RNA at room temperature for the long term or short term. Presently most DNA and RNA samples are typically stored in freezers by researchers. However, a switch to room temperature storage will not only result in obvious energy savings but also better security for the researcher’s samples since it will avoid the dependence on continuous electricity or a mechanical freezer, both of which could fail (Sustainability.ucdavis.edu, 2014). The hardest thing here is to overcome inertia of how the researchers have always done things, to convince them that the dry, room temperature storage is just as good as older methods and so incentives should be offered to get them to follow the schemes. Sustainability in laboratories however isn’t just restricted to the Freezer Challenge as other potential schemes include sustainability videos, lab spreadsheets and medals for labs that achieve good sustainability practice. Currently in the University a student’s thesis is become double sided for both undergraduates and postgraduates, saving a huge sum of paper and money, whilst a whole range of schemes are currently being run throughout the year, such as Blackout, Sustainability Week and Bike Week. By looking at other universities more schemes can be implemented in Cardiff as we follow their examples, which should ensure Cardiff becomes even more critically acclaimed.
  • 69.
    69 References  Carbon ManagementPlan Task and Finish Group, (2013). Cardiff University Carbon Management Plan Short term Carbon Reduction targets 2013-2016. Cardiff.  David R. Jones, (2012) "Looking through the “greenwashing glass cage” of the green league table towards the sustainability challenge for UK universities", Journal of Organizational Change Management, Vol. 25 Iss: 4, pp.630 – 647  Dobson, A.N.H., Quilley, S., Young, W. (2010), "Sustainability as competitive advantage in higher education in the UK", International Journal of Environment and Sustainable Development, Vol. 9 No.4, pp.330-48.  Freshwater biodiversity in Indo-Burma under threat. 2012. thefreshwaterblog, [blog] November 13th, Available at: http://biofreshblog.com/2012/11/13/freshwater-biodiversity- in-indo-burma/ [Accessed: 15 Jul 2014].  Globalcitizen.org. 2012. Introduction to the importance of environmental sustainability. [online] Available at: http://www.globalcitizen.org/Content/Content.aspx?id=867a1778- 9011-442d-a9d6-a4970593ca23 [Accessed: 15 Jul 2014].  Green.harvard.edu. 2014. Host an Annual Freezer Cleanout. [online] Available at: http://green.harvard.edu/tools-resources/host-annual-freezer-cleanout [Accessed: 8 Jul 2014].  Hopkinson, L. et al, 2011. Energy Consumption of University Laboratories: Detailed Results from S-Lab Audits. [report] Lab-CURE: Chemicals, Utilities, Resources and Environment in Laboratories, pp. 4-47.  Hopkinson, L. and James, P. 2011. Saving Money Through Sustainable Procurement of Laboratory Equipment. [report] pp. 2-12.  Kaplan, S. (2000), "Human nature and environmentally responsible behaviour", Journal of Social Issues, Vol. 56 pp.491-508.  Leventhal, H., Watts, J.C., Pagano, F. (1967), "Effects of fear and instructions on how to cope with danger", Journal of Personality and Social Psychology, Vol. 6 No.3, pp.313-21.
  • 70.
    70  News.stanford.edu. 2014.Freezer Retirement Program: Out with the cold, in with the new. [online] Available at: http://news.stanford.edu/news/2010/june/freezer-retirement- program-060210.html [Accessed: 8 Jul 2014].  Newton, T.J. (2002), "Creating the new ecological order? Elias and actor network theory", Academy of Management Review, Vol. 27 pp.523-40.  People & Planet (2011), "Green League 2011", People and Planet, Oxford, available at: http://peopleandplanet.org/dl/gogreen/greenleague2010 (accessed 8 February 2011).  Roszak, T. (1992), The Voice of the Earth, Simon & Schuster, New York, NY.  Sustainability.ucdavis.edu. 2014. Sustainable 2nd Century | UC Davis: Store Smart. [online] Available at: http://sustainability.ucdavis.edu/action/conserve_energy/store_smart.html [Accessed: 7 Jul 2014].  Un.org. 2014. United Nations Millennium Development Goals. [online] Available at: http://www.un.org/millenniumgoals/bkgd.shtml [Accessed: 11 Jul 2014].  Wastereduction.unc.edu. 2014. Office of Waste Reduction and Recycling > Get Involved! > Green Labs > Freezer Challenge. [online] Available at: http://www.wastereduction.unc.edu/GetInvolved/GreenLabs/FreezerChallenge [Accessed: 7 Jul 2014].  The World Commission on Environment and Development’s (the Brundtland Commission) report Our Common Future (Oxford: Oxford University Press, 1987).
  • 71.
    71 Appendix Appendix A –Equipment Number in the School of Biosciences Lab Tour: Mr Mark Lewis Safety Health & Environmental Manager Case Study Lab 1 Case Study Lab 2 Case Study Lab 3 Case Study Lab 4 Case Study Lab 5 Case Study Lab 6 Case Study Lab 7 Case Study Lab 8 Case Study Lab 9 Case Study Lab 10 Total Air Condition Unit 0 0 0 0 0 0 0 0 0 0 0 Air Flux Condenser 0 0 0 0 0 0 0 0 0 0 0 Balance 0 0 0 0 0 2 0 0 0 2 4 Bench top Autoclave 0 1 0 0 0 0 0 0 0 0 1 Big Autoclave 0 0 1 0 0 0 0 0 0 0 1 Bulb 16 8 6 20 12 36 24 15 24 12 173 CD Player 0 0 0 1 0 2 0 0 0 0 3 Centrifuge 0 0 0 0 0 0 1 1 1 4 7 Computer server 0 0 0 0 0 1 0 0 0 0 1 Deionised Water 1 0 0 1 0 0 0 0 0 0 2 Dishwasher 1 0 0 0 0 0 0 0 0 0 1 Drying Oven 0 1 0 0 0 0 0 0 0 0 1 Fan 0 0 0 1 0 0 0 0 0 0 1 Faraday Cage 0 0 0 0 0 0 0 0 0 0 0 FLD1 0 0 0 0 0 0 0 0 0 0 0 Freezer (-20) 0 1 5 0 3 2 1 1 0 0 13
  • 72.
    72 Freezer (-80) 00 0 3 0 0 0 3 0 2 8 Fridge 0 0 0 0 0 1 0 0 0 0 1 Tall Fridge Freezer 0 0 0 0 0 0 0 0 0 0 0 Fume Cabinet 2 0 0 2 0 0 0 0 0 1 5 Glass Drying Cabinet 0 0 0 0 0 0 0 0 0 0 0 Glass Washer 0 0 0 0 0 0 0 0 0 0 0 ‘Gut Bath’ Set-Up 0 0 0 0 0 0 0 0 0 0 0 Heating Oven 0 1 0 1 1 0 0 0 0 0 3 Hot Plate Stirrer 0 0 0 0 0 0 0 0 0 0 0 HPCS2 0 0 0 0 0 0 0 0 0 0 0 HPLC3 0 0 0 0 0 0 0 0 0 0 0 Hybridiser 0 0 0 0 0 0 0 0 0 0 0 Ice Machine 1 0 0 0 0 0 0 0 0 0 1 Incubator 0 0 3 3 0 2 4 2 1 0 15 LSA4 0 0 0 0 0 0 0 0 0 0 0 Mass Spectrometry 0 1 0 0 0 0 0 0 1 0 2 MPA5 0 0 0 0 0 0 0 0 0 0 0 Micro-centrifuge 0 1 0 1 0 2 0 2 0 1 7 MSC6 0 0 0 0 5 0 0 0 2 0 7 Microscope 0 0 0 0 3 7 1 0 4 0 15 Microtome 0 0 0 0 0 0 0 0 0 2 2
  • 73.
    73 1 Fluorescent LuminescenceDetector 2 High Performance Chromatography Systems 3 High Power Liquid Condenser 4 Liquid Scintillation Analyser 5 Melting Point Apparatus 6 Microbiological Safety Cabinets Microwave 0 0 1 0 1 0 0 2 0 2 6 PCR Machine 0 0 0 0 0 3 0 5 6 4 18 pH Calibrator 0 0 0 0 0 0 1 0 0 0 1 Powerpack 0 0 0 0 0 0 0 2 2 3 7 Printer 0 0 0 0 0 0 0 0 0 0 0 Roller Mixer 0 0 0 0 0 0 0 0 0 0 0 Rotatory Evaporator (with water condenser) 0 0 0 0 0 0 0 0 0 0 0 Shaker 0 0 0 0 0 0 0 0 3 0 3 Sonicator 0 0 0 0 0 0 0 0 0 0 0 Stirrer / Heater 0 0 0 0 0 0 0 0 0 0 0 UV Gel Dock 0 0 0 0 0 0 0 1 0 2 3 Vacuum Oven 0 0 0 0 0 0 0 0 0 0 0 Vacuum Pump 0 0 0 0 0 0 0 0 0 0 0 Water Bath 0 0 0 0 0 1 0 0 0 2 3 Weighing Station 0 0 0 0 0 0 0 0 0 0 0
  • 74.
    74 Appendix B –Equipment Number in the School of Medicine Building Lab Tour: Mr Karl Hanzel Health and Safety Co-ordinator Case Study Lab 1 Case Study Lab 2 Case Study Lab 3 Case Study Lab 4 Case Study Lab 5 Case Study Lab 6 Case Study Lab 7 Case Study Lab 8 Case Study Lab 9 Case Study Lab 10 Total Air Condition Unit 0 0 0 0 0 0 0 0 0 0 0 Air Flux Condenser 0 0 0 0 0 0 0 0 0 0 0 Balance 0 0 0 0 0 0 0 0 0 0 0 Bench top Autoclave 0 0 0 0 0 0 1 0 0 0 1 Big Autoclave 0 0 0 1 0 0 0 0 0 0 1 Bulb 30 >100 7 10 75 7 12 16 4 28 349 CD Player 0 1 0 0 1 1 0 0 0 0 3 Centrifuge 1 5 0 0 2 1 1 0 1 1 12 Computer Server 2 2 0 0 3 0 2 10 0 8 27 Deionised Water 0 0 0 1 1 0 0 0 0 1 3 Dishwasher 0 0 0 0 0 0 0 0 0 0 0 Drying Oven 0 0 0 0 0 0 0 0 0 0 0 Fan 0 0 0 0 0 0 0 0 0 0 0 Faraday Cage 0 0 0 0 0 0 0 0 0 0 0 FLD1 0 0 0 0 0 0 0 0 0 0 0 Freezer (-20) 2 15 0 0 6 0 1 0 0 2 26 Freezer (-80) 0 0 0 0 1 2 0 0 0 4 7 Fridge 1 5 0 1 1 0 0 0 1 1 10
  • 75.
    75 Tall Fridge Freezer0 0 0 0 0 0 0 0 0 0 0 Fume Cabinet 1 1 1 0 1 1 0 0 1 2 8 Glass Drying Cabinet 0 0 0 0 0 0 0 0 0 0 0 Glass Washer 0 0 0 0 0 0 0 0 0 0 0 ‘Gut Bath’ Set-Up 0 0 0 0 0 0 0 20 0 0 20 Heating Oven 0 0 0 0 0 0 0 0 0 0 0 Hot Plate Stirrer 0 0 0 0 0 0 0 0 0 0 0 HPCS2 0 0 0 0 0 0 0 0 0 0 0 HPLC3 0 0 0 3 0 0 0 0 0 0 3 Hybridiser 0 0 0 0 0 0 0 0 0 0 0 Ice Machine 0 0 0 0 0 0 0 0 0 0 0 Incubator 1 2 0 0 2 0 1 0 2 0 8 LSA4 0 0 0 0 0 0 0 0 0 0 0 Mass Spectrometry 1 0 0 0 3 0 0 0 0 0 4 MPA5 0 0 0 0 0 0 0 0 0 0 0 Micro-centrifuge 0 2 0 0 3 0 2 0 0 4 11 MSC6 0 0 0 0 1 0 1 0 0 0 2 Microscope 0 0 0 0 0 0 2 0 0 3 5 Microtome 0 0 0 0 0 0 0 0 0 0 0 Microwave 1 0 0 0 1 0 0 0 0 2 4 PCR Machine 2 0 0 0 0 0 0 0 0 0 2
  • 76.
    76 1 Fluorescent LuminescenceDetector 2 High Performance Chromatography Systems 3 High Power Liquid Condenser 4 Liquid Scintillation Analyser 5 Melting Point Apparatus 6 Microbiological Safety Cabinets pH Calibrator 2 0 1 0 0 0 0 0 0 0 3 Powerpack 0 3 0 0 3 0 0 0 0 1 7 Printer 1 0 0 0 1 0 0 0 0 0 2 Roller Mixer 0 2 0 2 0 0 0 0 0 0 4 Rotatory Evaporator (with water condenser) 0 0 0 0 0 0 0 0 0 0 0 Shaker 0 1 3 0 0 0 0 0 1 0 5 Sonicator 0 0 0 0 0 0 0 0 0 0 0 Stirrer / Heater 0 0 0 0 3 0 1 0 0 0 4 UV Gel Dock 1 0 0 0 0 0 0 0 0 2 3 Vacuum Oven 0 0 0 0 0 0 0 0 0 0 0 Vacuum Pump 0 0 0 0 0 0 0 0 0 0 0 Water Bath 0 0 0 0 0 0 1 0 0 0 1 Weighing Station 1 0 2 0 3 0 0 0 1 3 10
  • 77.
    77 Appendix C –Equipment Number in the School of Pharmacy and Pharmaceutical Sciences Lab Tour: Mr Les Craven Director of Facilities / Safety, Health and the Environment Case Study Lab 1 Case Study Lab 2 Case Study Lab 3 Case Study Lab 4 Case Study Lab 5 Case Study Lab 6 Case Study Lab 7 Case Study Lab 8 Case Study Lab 9 Case Study Lab 10 Total Air Condition Unit 2 0 0 0 0 0 0 0 0 0 2 Air Flux Condenser 0 1 0 0 0 0 0 0 0 0 1 Balance 0 1 1 0 2 0 1 5 1 0 11 Bench top Autoclave 0 0 0 0 0 0 0 0 0 0 0 Big Autoclave 0 0 0 0 0 0 0 0 0 0 0 Bulb 12 16 16 8 76 6 8 60 40 96 338 CD Player 0 0 0 0 2 0 1 1 1 1 6 Centrifuge 0 0 0 5 0 0 1 0 0 0 6 Computer Server 0 3 1 1 3 5 0 0 3 4 20 Deionised Water 0 0 0 0 1 1 0 0 0 0 2 Dishwasher 0 0 0 0 0 0 0 0 0 0 0 Drying Oven 0 0 0 0 0 0 0 0 0 0 0 Fan 0 0 0 0 0 0 0 0 0 0 0 Faraday Cage 0 0 0 0 0 0 0 0 0 0 0 FLD1 0 0 0 0 0 1 0 0 0 0 1 Freezer (-20) 0 0 0 0 2 0 0 0 1 0 3 Freezer (-80) 7 0 0 0 0 0 0 0 0 0 7
  • 78.
    78 Fridge 1 02 1 1 3 0 0 1 4 13 Tall Fridge Freezer 0 0 0 0 1 1 1 1 0 0 4 Fume Cabinet 1 4 2 0 6 0 3 13 4 8 41 Glass Drying Cabinet 0 1 0 0 1 0 1 0 3 2 8 Glass Washer 0 0 0 0 0 0 0 0 0 0 0 ‘Gut Bath’ Set-Up 0 0 0 0 0 0 0 0 0 0 0 Heating Oven 0 0 0 0 0 1 0 3 0 1 5 Hot Plate Stirrer 0 0 0 0 0 0 3 0 7 0 10 HPCS2 0 0 0 0 2 0 0 0 0 3 5 HPLC3 0 0 0 0 0 3 0 0 0 3 6 Hybridiser 0 0 0 0 0 0 1 0 0 1 2 Ice Machine 1 0 0 0 0 0 0 0 0 0 1 Incubator 0 0 1 0 0 0 0 0 0 0 1 LSA4 0 0 1 0 0 0 0 0 0 0 1 Mass Spectrometry 0 0 0 0 1 0 0 0 0 1 2 MPA5 0 1 0 0 0 0 0 0 0 0 1 Micro-centrifuge 0 0 1 0 0 0 0 0 0 0 1 MSC6 0 0 0 0 0 0 0 0 0 0 0 Microscope 0 0 0 0 0 0 0 0 0 0 0 Microtome 0 0 0 0 0 0 0 0 0 0 0 Microwave 0 0 0 0 0 0 0 0 0 0 0
  • 79.
    79 1 Fluorescent LuminescenceDetector 2 High Performance Chromatography Systems 3 High Power Liquid Condenser 4 Liquid Scintillation Analyser 5 Melting Point Apparatus 6 Microbiological Safety Cabinets PCR Machine 0 0 0 0 0 0 0 0 0 0 0 pH Calibrator 0 0 0 0 0 0 0 0 0 0 0 Powerpack 0 0 0 0 0 0 0 0 0 0 0 Printer 0 0 1 0 0 0 0 0 0 1 2 Roller Mixer 0 0 0 0 0 1 0 0 0 0 1 Rotatory Evaporator (with water condenser) 0 3 0 0 2 0 1 2 3 5 16 Shaker 0 0 0 0 0 1 0 0 0 0 1 Sonicator 0 0 0 0 1 0 2 0 0 1 4 Stirrer / Heater 0 1 0 0 0 1 0 0 0 0 2 UV Gel Dock 0 0 0 0 0 0 0 0 0 0 0 Vacuum Oven 0 1 0 0 1 1 0 1 0 0 4 Vacuum Pump 0 0 0 0 0 1 0 0 0 0 1 Water Bath 0 0 0 0 0 0 2 0 0 0 2 Weighing Station 0 0 0 0 0 0 0 0 0 0 0
  • 80.