PHYS451: MPhys Project Final Report
Non-tensorial Properties of Higher Order Vectors & Their
Combination with the Connection
Alexander C Booth
Project Supervisor - Dr. Jonathan Gratus
April 24, 2015
Abstract
The concept of combining the connection with higher order vectors on a manifold is intro-
duced, demonstrating two different ways in which this can be done. Definitions in both index
and coordinate free representations are suggested, then written in terms of useful geometric
quantities such as the torsion and curvature. Large emphasis is given to the methods which
have been developed to deal with the problem of taking the definitions from coordinate
to coordinate free. Some possible applications are described, most notably rewriting an
equation from general relativity and viewing higher order vectors as a new source of matter.
1
CONTENTS
Contents
1 Introduction 3
2 Preliminary Mathematics 4
2.1 Formal Treatment of Coordinate Systems & Taylor’s Theorem . . . . . . . . . . 4
2.2 First Order Vectors & 1-Forms . . . . . . . . . . . . . . . . . . . . . . . . . . . . 6
2.3 The Connection . . . . . . . . . . . . . . . . . . . . . . . . . . . . . . . . . . . . . 7
2.4 Torsion & Curvature . . . . . . . . . . . . . . . . . . . . . . . . . . . . . . . . . . 8
3 Introducing Higher Order Vectors 9
3.1 Second & Third Order Vectors . . . . . . . . . . . . . . . . . . . . . . . . . . . . 9
3.2 Vectors of Arbitrary Order . . . . . . . . . . . . . . . . . . . . . . . . . . . . . . 12
3.3 Jet Spaces . . . . . . . . . . . . . . . . . . . . . . . . . . . . . . . . . . . . . . . . 13
4 Investigation of Transformation Properties 15
4.1 The Christoffel Symbols . . . . . . . . . . . . . . . . . . . . . . . . . . . . . . . . 15
4.2 Second & Third Order Vectors . . . . . . . . . . . . . . . . . . . . . . . . . . . . 16
5 Combining Higher Order Vectors with the Connection 18
5.1 Second Order Vectors & the Connection . . . . . . . . . . . . . . . . . . . . . . . 18
5.2 Third Order Vectors & the Connection . . . . . . . . . . . . . . . . . . . . . . . . 21
5.3 Third Order Vectors & the Connection, a Scalar . . . . . . . . . . . . . . . . . . 30
6 Analysis & Discussion 35
6.1 Discussion of Results . . . . . . . . . . . . . . . . . . . . . . . . . . . . . . . . . . 35
6.2 Physical Applications . . . . . . . . . . . . . . . . . . . . . . . . . . . . . . . . . 37
7 Conclusion 39
8 Glossary of Notation 41
Appendices 42
A Exterior Calculus 42
References 44
2
1 Introduction
The connection is a highly useful geometric object which appears in many areas of physics
and mathematics. It is a idea that will be a familiar to many through its applications in gen-
eral relativity and fluid physics, featuring in both the geodesic deviation and Navier-Stokes
equations[10][12]. In these equations it acts as the covariant or directional derivative, providing
a way of differentiating one vector field along another vector field on a manifold. A seeming
unrelated concept at first is that of a higher order vector, introduced in a paper by Duval which
studied differential operators on manifolds[5]. Their application to systems of ordinary differen-
tial equations was then investigated by Aghasi et al in 2006, yet they remain a rather abstract
concept[1]. Although higher order vectors do not lend themselves to an intuitive introduction,
a natural relationship exists between them and connection. This relationship becomes evident
when each of their transformation laws are calculated. It will be shown that both the connection
and higher order vectors are non-tensorial, that is to say in general they are dependent on the
choice of coordinate basis. With this shared property in mind, it can be asked whether the non-
tensorial nature of the two objects can be exploited in such a way, that they can be combined to
form an overall tensor. Tensors of course do not depend on the choice of basis, a property which
makes them far more useful for constructing physical theories. This project began with nothing
more than the assumption that such tensorial objects should exist, at least when working with
the ‘lowest order,’ higher order vectors. The method then being to take products of the various
non-tensorial objects in such a way that if searching for a vectorial component for example, only
one free contravariant index is left. The transformation properties of this newly constructed
object are then worked out by direct computation, confirming whether or not a true vector has
been built. As far as we are aware, the combination of higher order vectors and the connection
in this way has not been seen before. Up until this point, research has been centred around
second and third order vectors. It is believed however that an inductive definition, describing
how the connection and a vector of arbitrary order can be combined, does exist. This possibility
will be explored in more detail in later sections.
Throughout the project, classical tensor calculus is the primary technique which is used. This is
the manipulation of tensorial and tensor-like objects using index notation. It is a very common
algebraic method which features heavily at undergraduate level, in topics such as general rela-
tivity. One of the main problems with this classical approach is that it requires reference to a
coordinate system, which in turn means the introduction of a metric. From the project’s outset,
the research has been focussed on defining in a coordinate free way, how higher order vectors
can be combined with the connection. At least at low orders, our research has found that from
this viewpoint, the concepts of torsion and curvature are naturally introduced. These are two
physical quantities which play central roles in modern theories of nature. Curvature has long
been considered in general relativity as the ‘source’ of gravity, whereas the possible significance
of torsion was only more recently recognised[12]. Potential areas of application which could ex-
ploit this natural appearance of torsion, are discussed more closely toward the end of the report.
The description of objects and physical laws without reference to a basis is not a new idea. It is
the foundation of a field known as differential geometry, an extremely powerful tool in theoretical
physics. In this language for example, all four of Maxwell’s equations can be reduced to just two,
describing fully relativistically, the electro-magnetic fields in any spacetime[12]. Furthermore,
a classical vector is no longer defined by its transformation properties, but by a set of basic
algebraic rules. It is believed that a coordinate free approach to higher order vectors has not yet
been attempted. As well as the final definitions themselves, the report puts much emphasis on
the process by which the definitions evolve from coordinate, to coordinate free. During research,
a number of tools were developed to do this effectively.
3
Many of the coordinate free manipulations and definitions which appear in the project involve
concepts which should be familiar. Basic knowledge of multivariable calculus along with covari-
ant differentiation and tensors in index notation is assumed. However, to aid the reader who
is unfamiliar with these ideas from the perspective of differential geometry, section 2 has been
included. This is an in depth discussion which covers all of the necessary background mathe-
matics, restated in coordinate free language. Also, appendix A has been written to support the
use of exterior calculus seen briefly in section 6. With these two parts included, it is hoped that
this document is completely self contained. That is to say, no reading beyond what is written
herein should be required. Furthermore, there is wide use of both standard and non-standard
notation. Any notation which is not explained in the main body of the report can be found in
section 8, a comprehensive glossary of all notation. Finally, the paper’s key results have been
highlighted by borders for quick reference.
2 Preliminary Mathematics
2.1 Formal Treatment of Coordinate Systems & Taylor’s Theorem
Calculating transformation laws constitutes a large part of many sections in this report, it is
important to discus therefore exactly what is meant by a coordinate system. A coordinate
xa is simply a scalar function which takes a point p = (p1, · · · , pm) on an m-dimensional
manifold M and maps it to a subset of R. It is assumed throughout that the manifold
M is m-dimensional. A coordinate system therefore is just a set of m of these functions,
(x1, · · · , xm). An alternative coordinate system is given by a different set of scalar functions
y1(x1, · · · , xm), · · · , ym(x1, · · · , xm) , which are all functions of the old coordinate functions.
The chain rule can therefore be used to relate an object O = O(x1, · · · , xm) in one coordinate
system, to that same object ˆO = ˆO(y1, · · · , ym), in another coordinate system. This convention
of ‘hatted’ and ‘un-hatted’ frames will be used throughout. For further clarity, when working in
a hatted frame, Greek indices will be used. When working in an un-hatted frame, Latin indices
will be used.
Two incredibly useful relations that will be required when investigating transformation prop-
erties will now be derived. Firstly, an expression relating the second order derivatives of frame
(x1, · · · , xm) with respect to yα and second order derivatives of frame (y1, · · · , ym) with respect
to xa.
Lemma 1. Given two coordinate frames (x1, · · · , xm) and (y1, · · · , ym), the following relation
holds true.
∂2yα
∂xa∂xb
∂xc
∂yα
= −
∂yα
∂xa
∂yβ
∂xb
∂2xc
∂yα∂yβ
(1)
Proof.
0 =
∂
∂xa
δc
b =
∂
∂xa
∂yα
∂xb
∂xc
∂yα
=
∂2yα
∂xa∂xb
∂xc
∂yα
+
∂yβ
∂xb
∂
∂xa
∂xc
∂yβ
=
∂2yα
∂xa∂xb
∂xc
∂yα
+
∂yβ
∂xb
∂yα
∂xa
∂2xc
∂yα∂yβ
Rearranging the final line gives exactly (1).
Now a slightly more complicated expression is considered, relating the third order coordinate
partial derivatives.
4
2.1 Formal Treatment of Coordinate Systems & Taylor’s Theorem
Lemma 2. Given two coordinate frames (x1, · · · , xm) and (y1, · · · , ym), the following relation
holds true.
∂3y
∂xa∂xb∂xc
= −
∂yγ
∂xc
∂y
∂xd
∂2yα
∂xa∂xb
∂2xd
∂yα∂yγ
+
∂y
∂xd
∂yβ
∂xa
∂2yα
∂xb∂xc
∂2xd
∂yα∂yβ
(2)
+
∂y
∂xd
∂yα
∂xb
∂2yβ
∂xa∂xc
∂2xd
∂yα∂yβ
+
∂yγ
∂xc
∂y
∂xd
∂yα
∂xb
∂yβ
∂xa
∂3xd
∂yα∂yβ∂yγ
Proof. The result follows from partially differentiating each side of equation (1). Beginning
with the left hand side.
∂
∂yγ
∂2y
∂xa∂xb
∂xc
∂y
=
∂xd
∂yγ
∂xc
∂y
∂3y
∂xa∂xd∂xb
+
∂2y
∂xa∂xb
∂2xc
∂yγ∂y
Now the right hand side.
∂
∂yγ
−
∂yα
∂xb
∂yβ
∂xa
∂2xc
∂yα∂yβ
= −
∂xd
∂yγ
∂2yα
∂xb∂xd
∂yβ
∂xa
∂2xc
∂yα∂yβ
+
∂xd
∂yγ
∂yα
∂xb
∂2yβ
∂xa∂xd
∂2xc
∂yα∂yβ
+
∂yα
∂xb
∂yβ
∂xa
∂3xc
∂yα∂yβ∂yγ
Rearranging and multiplying each side by ∂yγ
∂xf
∂y
∂xg gives
∂yγ
∂xf
∂y
∂xg
∂xd
∂yγ
∂xc
∂y
∂3y
∂xa∂xd∂xb
= −
∂yγ
∂xf
∂y
∂xg
∂2yα
∂xa∂xb
∂2xc
∂yγ∂yα
+
∂yγ
∂xf
∂y
∂xg
∂xd
∂yγ
∂2yα
∂xb∂xd
∂yβ
∂xa
∂2xc
∂yα∂yβ
+
∂yγ
∂xf
∂y
∂xg
∂xd
∂yγ
∂yα
∂xb
∂2yβ
∂xa∂xd
∂2xc
∂yα∂yβ
+
∂yγ
∂xf
∂y
∂xg
∂yα
∂xb
∂yβ
∂xa
∂3xc
∂yα∂yβ∂yγ
=⇒ δd
f δc
g
∂3y
∂xa∂xd∂xb
= −
∂yγ
∂xf
∂y
∂xg
∂2yα
∂xa∂xb
∂2xc
∂yγ∂yα
+ δd
f
∂y
∂xg
∂2yα
∂xb∂xd
∂yβ
∂xa
∂2xc
∂yα∂yβ
+δd
f
∂y
∂xg
∂yα
∂xb
∂2yβ
∂xa∂xd
∂2xc
∂yα∂yβ
+
∂yγ
∂xf
∂y
∂xg
∂yα
∂xb
∂yβ
∂xa
∂3xc
∂yα∂yβ∂yγ
=⇒
∂3y
∂xa∂xf ∂xb
= −
∂yγ
∂xf
∂y
∂xg
∂2yα
∂xa∂xb
∂2xg
∂yγ∂yα
+
∂y
∂xg
∂2yα
∂xb∂xf
∂yβ
∂xa
∂2xg
∂yα∂yβ
+
∂y
∂xg
∂yα
∂xb
∂2yβ
∂xa∂xf
∂2xg
∂yα∂yβ
+
∂yγ
∂xf
∂y
∂xg
∂yα
∂xb
∂yβ
∂xa
∂3xg
∂yα∂yβ∂yγ
=⇒
∂3y
∂xa∂xb∂xc
= −
∂yγ
∂xc
∂y
∂xd
∂2yα
∂xa∂xb
∂2xd
∂yα∂yγ
+
∂y
∂xd
∂2yα
∂xb∂xc
∂yβ
∂xa
∂2xd
∂yα∂yβ
+
∂y
∂xd
∂yα
∂xb
∂2yβ
∂xa∂xc
∂2xd
∂yα∂yβ
+
∂yγ
∂xc
∂y
∂xd
∂yα
∂xb
∂yβ
∂xa
∂3xd
∂yα∂yβ∂yγ
This is exactly equation (2).
Since only the transformation properties of vectors up to and including third order are dealt
with in this report, there is no need for any higher order relationships.
In section 3, the most general basis of a third order vector is stated and proved. Central to this
proof is the following version of Taylor’s theorem[9].
5
2.2 First Order Vectors & 1-Forms
Theorem 3. Given any function f ∈ ΓΛ0M that is differentiable at least q-times and described
by coordinates (x1, · · · , xm), it can be expressed about the point p = (0, · · · , 0) as
f(x1
, · · · , xm
) =
|I|≤q
DIf
I! p
xI
+
|I|=q
EI(x1
, · · · , xm
)xI
(3)
Where E(x1, · · · , xm) is a finite error term with the property that it is continuous and
lim
xa→0
EI(x1
, · · · , xm
) = 0 (4)
A full explanation of multi-index notation can be found in the glossary of notation, section 8.
Equipped with this formal treatment of coordinate systems, vector fields are considered next.
2.2 First Order Vectors & 1-Forms
Before talking about higher order vectors, it is useful to introduce the coordinate free definition
of a ‘regular’ vector. Regular vectors refer to the type of vector usually dealt with in classic
physics, such as those in mechanics. That is to say, in index notation they are defined as all
objects u = ua ∂
∂xa , whose components ua obey the following transformation law[12].
ˆuα
=
∂yα
∂xa
ua
(5)
For the remainder of the document, these vectors will be known as first order vectors. The
claim that all first order vectors can be written in the form u = ua ∂
∂xa will be covered by a more
general theorem in section 3.
In the language of differential geometry, a vector field v is defined as a function which takes a
scalar field f and gives v f , a new scalar field[11]. Here angular brackets are used for clarity,
avoiding any confusion between this type of action and simply listing a function and its variables.
For example, g(x, y) is a scalar field in x and y. In order for this to be a full and completely
equivalent definition of a vector field, the function must satisfy two properties[11].
Definition 4. Given f, g ∈ ΓΛ0M, a vector field v ∈ ΓTM is a function v : ΓΛ0M → ΓΛ0M,
with v : f → v f such that it satisfies
v f + g = v f + v g (6)
v fg = fv g + gv f (7)
Equation (6) ensures that a vector acting upon a sum of scalar fields, gives a sum of the vector
acting on each scalar. This is known as plus linearity. Equation (7) says that a vector acting
upon a product of scalars obeys the Leibniz rule.
Useful to keep in mind, yet far less important for the purposes of this project are 1-form fields.
They are defined in a similar way to vector fields but instead of following a Leibniz rule, they
are ‘f-linear’[11].
Definition 5. Given f ∈ ΓΛ0M and v, w ∈ ΓTM, a 1-form field µ ∈ ΓΛ1M is a function
µ : ΓTM → ΓΛ0M, with (v) → µ : v such that it satisfies
µ : (v + w) = µ : v + µ : w (8)
µ : (fv) = fµ : v (9)
6
2.3 The Connection
Intuitively if a particular operation is f-linear, it means that a scalar field can be ‘pulled out’ of
the operation. This is what is shown in equation (9). Exactly what is meant by f-linearity will
become clear as the report moves forward. An alternative definition of a tensor for example is
to view them as objects that are both plus and f-linear. Note the use of the colon, also seen
later in the project to represent a higher order vector combining with the connection.
In complete analogy with a first order vector field, given an m-dimensional manifold M with
coordinates (x1, · · · , xm), dxa for a = 1, · · · , m denotes a 1-form basis on this manifold[12]. It
is possible to construct differential forms of arbitrary degree, the process by which this is done
is explained in section A. These higher order differential forms are a far more well established
tool in mathematics and physics than higher order vectors.
2.3 The Connection
Of central importance to this project is the connection, appearing greatly in sections 5
onwards. As previously explained, when dealing with vectors it is sometimes called the covariant
derivative and represents differentiation of one vector field along another. This research only
considers the combination of the connection with first and higher order vectors, although its
action is defined on any tensor. Before considering the connection in a coordinate free way, it
is useful to look at it using index notation. To do this, the following objects must be defined.
Definition 6. Given a general connection on M,
Γc
ab = ∂a ∂b xc
(10)
Are the Christoffel Symbols of the second kind[11].
It can be shown that given a metric compatible and torsion free connection, the Christoffel
symbols are objects which can be written as a product of partial derivatives of the metric and
the inverse metric[11]. Metric compatibility describes the condition that the covariant derivative
of the metric is zero. In this project, the explicit form of these symbols is never required. With
definition 6 in mind and using classical tensor analysis, the covariant derivative of a vector
v ∈ ΓTM in the direction of a vector u ∈ ΓTM can be calculated.
( uv)c
= ua
∂a vb
∂b
c
= ua
∂a vb
c
∂b + ua
vb
∂a ∂b
c
(11)
The covariant derivative of vb, ∂a vb is just the partial derivative of vb with respect to xa and
using equation (10) it follows that
( uv)c
= ua ∂vc
∂xa
+ ua
vb
Γc
ab = u vc
+ ua
vb
Γc
ab (12)
As with a first order vector, defining the connection in a coordinate free way involves viewing
it as a function[11][12].
Definition 7. Given first order vector fields u, v, w ∈ ΓTM and f ∈ ΓΛ0M, a general con-
nection on M is a function : ΓTM × ΓTM → ΓTM, with (u, v) → uv such that it
satisfies
u (v + w) = uv + uw u (fv) = u f v + f uv (13)
(u+w)v = uv + wv (fu)v = f uv (14)
The equations in (13) ensure that the connection is plus linear and Leibniz in the vector being
differentiated. The equations in (14) on the other hand ensure that it is plus linear in the
direction being differentiated in, but instead of being Leibniz in this argument it is f-linear.
One further piece of notation featuring later in the text is 0, which is used to denote a torsion
free connection.
7
2.4 Torsion & Curvature
2.4 Torsion & Curvature
Torsion and curvature are both tensorial quantities which appear in differential geometry, pro-
viding a way to quantify the warped nature of a particular manifold. Although Einstein’s
theory of gravity assumes a Levi-Civita connection, that is to say a connection which is metric
compatible and torsion free, curvature plays a central role. The Riemann curvature tensor fea-
tures explicitly not only in Einstein’s equation but also the geodesic deviation equation. This
relation quantifies the tidal forces between particles on neighbouring geodesics, a second or-
der effect[12]. It would be reasonable to assume therefore that somewhere in their definitions,
second derivatives and products of derivatives are involved.
Definition 8. Given first order vector fields u, v, w ∈ ΓTM, the curvature R of a connection
on M, is a function R : ΓTM × ΓTM × ΓTM → ΓTM, with (u, v, w) → R(u, v)w such
that
R(u, v)w = u vw − v uw − [u,v]w (15)
It is plus and f-linear in all of its arguments.
This object is sometimes known as the curvature vector[11]. The equivalent coordinate expres-
sion, viewing the curvature as a classical (1, 3) tensor is given by the following equation[12].
Re
bac = Γd
abΓe
cd + ∂aΓe
cb − Γd
cbΓe
ad − ∂cΓe
ab (16)
This report mostly deals with the coordinate free result.
Despite Einstein’s gravity only talking about the Levi-Civita connection, where possible in the
report, new objects are kept completely general. There are many alternative theories of gravity
such as Einstein-Cartan theory, which do involve torsion[4]. As such, the torsion tensor is now
defined[11][12].
Definition 9. Given first order vector fields u, v ∈ ΓTM, the torsion T of a connection on
M is a function T : ΓTM × ΓTM → ΓTM, with (u, v) → T (u, v) such that
T (u, v) = uv − vu − [u, v] (17)
It is plus and f-linear in all of its arguments.
As a classical tensor[12].
T c
ab = Γc
ab − Γc
ba (18)
Both the torsion and the curvature will be seen again in section 5, where an equation relating
the two will be required. An expression which does just this is Bianchi’s First Identity[8].
Ω R(u, v)w = Ω ( uT )(v, w) + T (T (u, v), w) (19)
Here Ω denotes the cyclic sum over u, v and w. Most notably when working in the torsion free
regime, this immediately reduces rather nicely to the following[12].
R(u, v)w + R(w, u)v + R(v, w)u = 0 (20)
All of the tools which form the foundation of the report’s proofs and definitions have now been
introduced. Next it is shown how higher order vectors are defined mathematically.
8
3 Introducing Higher Order Vectors
The main focus of this thesis is higher order vectors. There is a complete theory surrounding
differential forms of arbitrary order, yet work on arbitrary order vectors rarely features in the
literature. As has been mentioned, the notion of a higher order operator was introduced by
Duval in 1997 and their application to ordinary differential equations was recognised shortly
after[1][5]. All of what are believed to be new results established in this project, involve second
and third order vector fields. In the first part of this section therefore, particular attention is
paid to these. The second part of this section, section 3.2, introduces how higher order vectors
can be defined in general. Such a definition would be necessary if our research were to be
extended to arbitrary orders.
3.1 Second & Third Order Vectors
Beginning with the most simple extension to regular vector fields, second order vector fields.
The space of all second order vector fields is denoted ΓT2M. As with first order vectors, it
is possible to define them in a coordinate free way by means of a plus linearity condition and
Leibniz rule.
Definition 10. Given f, g ∈ ΓΛ0M, a second order vector field U ∈ ΓT2M is a function
U : ΓΛ0M → ΓΛ0M, with U : f → U f such that it satisfies
U f + g = U f + U g (21)
U fg = fU g + gU f + U(1,1) f, g (22)
Where
U(1,1) −, − : ΓΛ0
M × ΓΛ0
M → ΓΛ0
M , U(1,1) ∈ Γ (TM ⊗ TM) (23)
It is clear that this definition is similar to that of a first order vector field, equation (22) however
says that second order vector fields do not obey the standard Leibniz rule. When acting upon a
product of scalar fields there is the usual Leibniz part fU g +gU f as would be expected, but
then an extra term U(1,1) f, g . This object belongs to the set Γ (TM ⊗ TM) and is defined as
a function U(1,1) −, − : ΓΛ0M × ΓΛ0M → ΓΛ0M. These two properties mean that it is itself
Leibniz in both arguments. That is to say given h ∈ ΓΛ0M also
U(1,1) fg, h = fU(1,1) g, h + gU(1,1) f, h , U(1,1) f, gh = gU(1,1) f, h + hU(1,1) f, g (24)
Many will have written down a second order vector without realising. The Lie bracket of vectors
for example u, v , itself a vector, when written in a coordinate free way expands as
u, v f = u v f − v u f = u ◦ v f − v ◦ u f = (u ◦ v − v ◦ u) f (25)
Here the new notation u ◦ v is introduced, meaning ‘u operate v’. It is straightforward to
show that the object u ◦ v is a second order vector (see section 5.1). This simple example also
highlights the fact that it is possible to write a first order vector as a linear combination of
second order vectors. Not only does this rule extend to higher order vectors but implies that
ΓTM ⊂ ΓT2M. When looking for a general basis for this new space, it should include terms
similar to those bases of a first order vector. It will be proven at third order, but for now simply
stated in lemma 11, the most general form a second order vector field can take.
9
3.1 Second & Third Order Vectors
Lemma 11. Any second order vector field U ∈ ΓT2M can be expressed
U = Ua ∂
∂xa
+
Uab
2
∂2
∂xa∂xb
(26)
Where
Ua
= U xa
, Uab
= U(1,1) xa
, xb
(27)
Proof. This result will follow immediately from lemma 13, since ΓT2M ⊂ ΓT3M. That is to
say, a second order vector is effectively a special case of a third order vector.
It is useful to note the symmetry Uab = Uba due to the equality of mixed partial derivatives.
This observation will be a of great importance in later sections. Such a basis makes sense
if second order vectors are viewed in analogy with differential forms. An example of a basis
element for a general 2-form is dxa ∧ dxb (see appendix A), ∂2
ab can be written ∂a ◦ ∂b. The
transformation and symmetry properties of second order vector fields can be exploited in such a
way, that they can be combined with the connection to give a new first order vector field. This
will be demonstrated in section 5. A third order vector field will now be defined, the extension
is not as obvious as perhaps would be expected.
Definition 12. Given f, g ∈ ΓΛ0M, a third order vector field V ∈ ΓT3M is a function
V : ΓΛ0M → ΓΛ0M, with V : f → V f such that it satisfies
V f + g = V f + V g (28)
V fg = fV g + gV f + V(1,2) f, g + V(2,1) f, g (29)
Where
V(1,2) −, − : ΓΛ0
M × ΓΛ0
M → ΓΛ0
M , V(1,2) ∈ Γ TM ⊗ T2
M (30)
V(2,1) −, − : ΓΛ0
M × ΓΛ0
M → ΓΛ0
M , V(2,1) ∈ Γ T2
M ⊗ TM (31)
Defining V(1,2) and V(2,1) as belonging to sets Γ TM ⊗ T2M and Γ T2M ⊗ TM respectively
means that V(1,2) is Leibniz in its first argument but not in its second and V(2,1) is Leibniz in
its second but not in its first. This is best interpreted by introducing the following quantity.
V(1,1,1) −, −, − : ΓΛ0
M×ΓΛ0
M×ΓΛ0
M → ΓΛ0
M , V(1,1,1) ∈ Γ (TM ⊗ TM ⊗ TM) (32)
This object is Leibniz in all of its arguments and is analogous to the additional term in equation
(22). With this in mind and taking f, g, h ∈ ΓΛ0M, the Leibniz properties of V(1,2) can be
written down less abstractly.
V(1,2) fg, h = fV(1,2) g, h + gV(1,2) f, h (33)
V(1,2) f, gh = gV(1,2) f, h + hV(1,2) f, g + V(1,1,1) f, g, h (34)
Similar equations apply for V(2,1). To see why such a definition may be reasonable, consider the
specific case that V ∈ ΓT3M is such that for u ∈ ΓTM and U ∈ ΓT2M, V = u◦U. It is shown
later in lemma 26 that u ◦ U is indeed a third order vector field. Simply using the definition
V fg = fV g + gV f + V(1,2) f, g + V(2,1) f, g (35)
10
3.1 Second & Third Order Vectors
= f(u ◦ U) g + g(u ◦ U) f +
1
2
(u ⊗ U) f, g + (U ⊗ u) f, g
Writing it in this way and comparing the two lines, it is clear to see why V(1,2) −, − would be
Leibniz in the first argument and V(2,1) −, − Leibniz in the second argument. Definition 12
can be used to show that third order vectors have the following basis in general.
Lemma 13. Any third order vector field V ∈ ΓT3M can be expressed
V = V a ∂
∂xa
+
V ab
2
∂2
∂xa∂xb
+
V abc
6
∂3
∂xa∂xb∂xc
(36)
Where
V a
= V xa
, V ab
= V(1,2) xa
, xb
+ V(2,1) xa
, xb
, V abc
= V(1,1,1) xa
, xb
, xc
(37)
Proof. To prove this result requires Taylor theorem as stated in theorem 3, to express f ∈ ΓΛ0M
about point p ∈ M. The action of a general third order vector on this scalar field will then be
considered. It will be shown that the lemma holds for a third order vector, V ∈ T3
p M at point
p = (0, · · · , 0). This is sufficient since there is always the freedom to chose the origin of the
coordinate system used. Furthermore the third order vector basis only involves derivatives up
to third order, this means the error term can be introduced at this order. Hence,
f(x1
, · · · , xm
) = f
p
+
∂f
∂xa
p
xa
+
1
2
∂2f
∂xa∂xb
p
xa
xb
+
1
6
∂3f
∂xa∂xb∂xc
p
xa
xb
xc
+ Eabcxa
xb
xc
(38)
Therefore
V f = V f p
+ xa
∂af p
+
1
2
xa
xb
∂2
abf p
+
1
6
xa
xb
xc
∂3
abcf p
+ Eabcxa
xb
xc
= V f p
+ V xa
∂af p
+ V
1
2
xa
xb
∂2
abf p
+ V
1
6
xa
xb
xc
∂3
abcf p
+ V Eabcxa
xb
xc
= 0 + xa
p
V ∂af p
+ ∂af p
V xa
+ V(1,2) xa
, ∂af p
+ V(2,1) xa
, ∂af p
+
1
2
(xa
xb
) p
V ∂2
abf p
+ ∂2
abf p
V xa
xb
+ V(1,2) xa
xb
, ∂af p
+ V(2,1) xa
xb
, ∂af p
+
1
6
(xa
xb
xc
) p
V ∂3
abcf p
+ ∂3
abcf p
V xa
xb
xc
+ V(1,2) xa
xb
xc
, ∂af p
+ V(2,1) xa
xb
xc
, ∂af p
+ Eabc p
V xa
xb
xc
+ (xa
xb
xc
) p
V Eabc + V(1,2) Eabc, xa
xb
xc
+ V(2,1) Eabc, xa
xb
xc
When a vector acts upon a constant, the result is 0. In addition recall that point p is in fact
the origin, therefore all coordinate functions evaluated at p are zero. Finally, by definition of
the error function in Taylor’s theorem (see theorem 3), it is zero in the limit that (x1, · · · , xm)
tends to (0, · · · , 0). Applying all of these observations implies that
V f = ∂af p
V xa
+
1
2
∂2
abf p
V xa
xb
+
1
6
∂3
abcf p
V xa
xb
xc
+ V(1,2) Eabc, xa
xb
xc
+ V(2,1) Eabc, xa
xb
xc
11
3.2 Vectors of Arbitrary Order
= ∂af p
V xa
+
1
2
∂2
abf p
xa
p
V xb
+ xb
p
V xa
+ V(1,2) xa
, xb
+ V(2,1) xa
, xb
+
1
6
∂3
abcf p
(xb
xc
) p
V xa
+ xa
p
V xb
xc
+ V(1,2) xa
, xb
xc
+ V(2,1) xa
, xb
xc
+ xa
p
V(1,2) Eabc, xb
xc
+ (xb
xc
) p
V(1,2) Eabc, xa
+ V(1,1,1) Eabc, xa
, xb
xc
+ xa
p
V(2,1) Eabc, xb
xc
+ (xb
xc
) p
V(2,1) Eabc, xa
= ∂af p
V xa
+
1
2
∂2
abf p
V(1,2) xa
, xb
+ V(2,1) xa
, xb
+
1
6
∂3
abcf p
V(1,2) xa
, xb
xc
+ V(2,1) xa
, xb
xc
+ V(1,1,1) Eabc, xa
, xb
xc
= ∂af p
V xa
+
1
2
∂2
abf p
V(1,2) xa
, xb
+ V(2,1) xa
, xb
+
1
6
∂3
abcf p
xb
p
V(1,2) xa
, xc
+ xc
p
V(1,2) xa
, xb
+ V(1,1,1) xa
, xb
, xc
+ xb
p
V(2,1) xa
, xc
+ xc
p
V(2,1) xa
, xb
+ xb
p
V(1,1,1) Eabc, xa
, xc
+ xc
p
V(1,1,1) Eabc, xa
, xb
= ∂af p
V xa
+
1
2
∂2
abf p
V(1,2) xa
, xb
+ V(2,1) xa
, xb
+
1
6
∂3
abcf p
V(1,1,1) xa
, xb
, xc
= V xa
∂a +
1
2
V(1,2) xa
, xb
+ V(2,1) xa
, xb
∂2
ab +
1
6
V(1,1,1) xa
, xb
, xc
∂3
abc f p
= V a
p
∂a +
1
2
V ab
p
∂2
ab +
1
6
V abc
p
∂3
abc f p
Since this is true for all f
V = V a
p
∂a +
1
2
V ab
p
∂2
ab +
1
6
V abc
p
∂3
abc (39)
This expression is equation (36) evaluated at point p. A vector field is simply a collection of
vectors at points, therefore lemma 13 holds.
As with the basis of second order vector fields, this basis makes sense by analogy with three
form fields, whose basis is of the form dxa ∧ dxb ∧ dxc. Third order vector fields become very
important in section 5. Like second order vector fields, their specific transformation properties
and natural symmetry of coefficients can be exploited. Note once again that V ab = V ba and
V abc = V cba = V cab = · · · . They can be combined with the connection to construct both
vectorial and non-trivial scalar quantities. It will next be shown how a vector of nth order can
be defined.
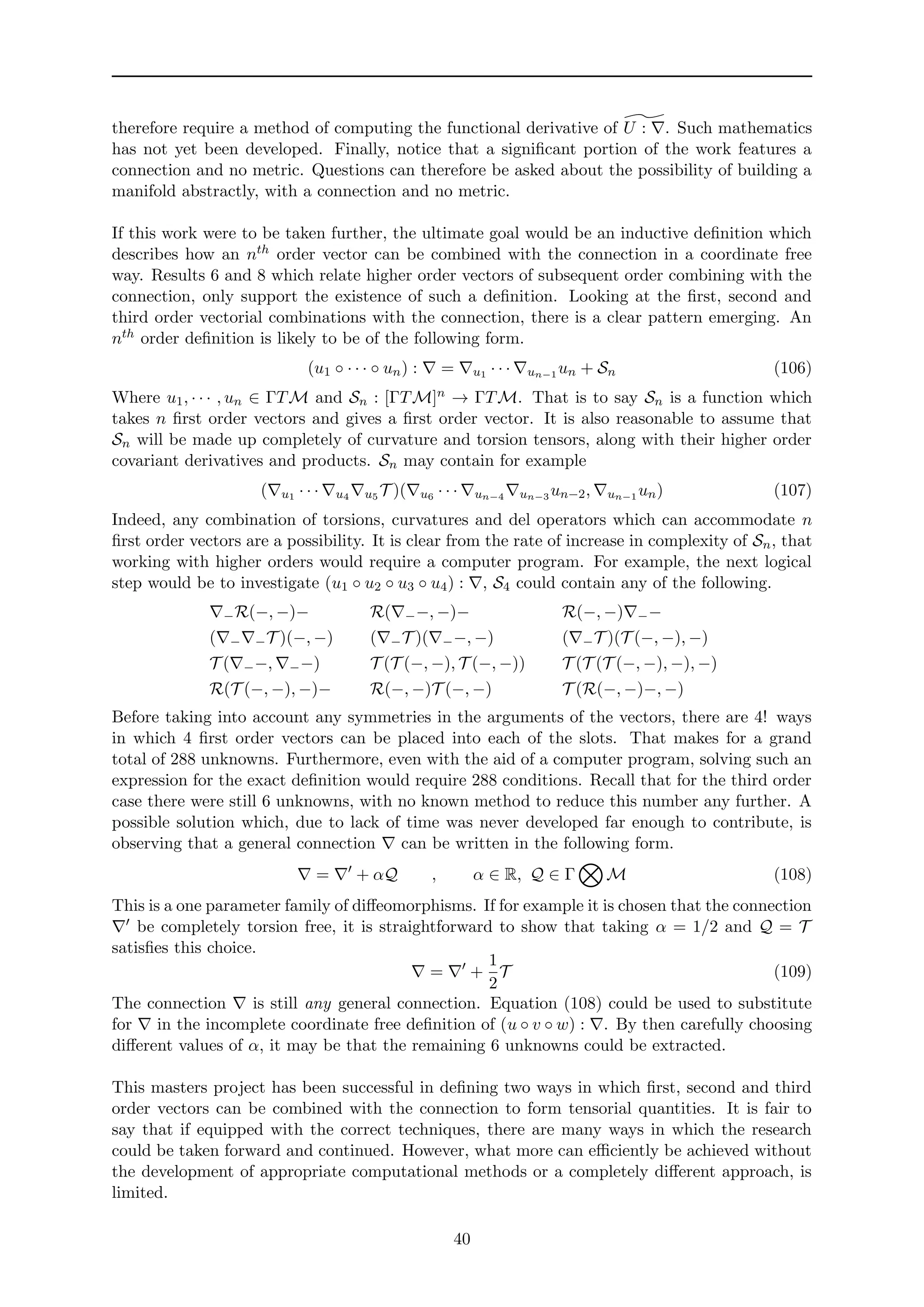
3.2 Vectors of Arbitrary Order
Comparing the different bases of first, second and third order vector fields which have already
been seen, there is a clear pattern emerging. Although this report will not explicitly use vectors
of fourth order and above, such a definition would be useful if research in this area were to
be taken any further. The definition of an nth order vector field will now be given in a form
introduced by Gratus, Banachek, Ross and Rose but is as yet unpublished. Definitions 10 and
12 are of course specific cases of this more general definition.
12
3.3 Jet Spaces
Definition 14. Given f, g ∈ ΓΛ0M, an nth order vector field W ∈ ΓTnM is a function
W : ΓΛ0M → ΓΛ0M, with W : f → W f such that it satisfies
W f + g = W f + W g (40)
W fg = fW g + gW f +
a+b=n
W(a,b) f, g (41)
Where
W(a,b) −, − : ΓΛ0
M × ΓΛ0
M → ΓΛ0
M , W(a,b) ∈ Γ Ta
M ⊗ Tb
M (42)
In the case of a first order vector field n = 1, W(i,j) = 0 for all i and j since ΓT0M is not
explicitly defined. The summation runs over all possible combinations of a and b such that
a + b = n. It is clear to see that at large orders, things quickly become complicated. Take for
example W ∈ ΓT5M, equation (41) will include a term of the form W(3,2) ∈ Γ T3M ⊗ T2M .
In order to do any meaningful calculations, W(3,2) must be broken down into terms which are
Leibniz in most or all of their arguments, using a similar approach to that seen in the third
order case.
The most general basis of an nth order vector is as one would expect by extension of lemmas
11 and 13. The proof of the exact expression is however beyond the level of the report and is
largely irrelevant since our research involves vectors of order no higher than three.
3.3 Jet Spaces
It has been repeatedly highlighted that it is the specific transformation properties of higher order
vector components and the connection, which allows them to be combined in a meaningful way.
The foundation of this ‘natural relationship’ is in prolongation and jet spaces. Here a brief
overview of these ideas is presented. Consider first of all a scalar function f : M → R such that
f = f(x1, · · · , xm). The rth order jet space of f is denoted Jr(M → R) and is best understood
by considering the first few values of r. The zero jet of f, J0(M → R) is simply the set of all
functions {f : M → R} and is the bundle R × M over M[15]. It can be described therefore
by coordinates (x1, · · · , xm, f), meaning that the dimension of this jet space is m + 1. Higher
order jets can then be defined in a similar way, the table below shows the next three orders
of jets of f along with their corresponding coordinate system and dimension. The fractions
which appear in the expressions for the dimension of each space, are there to account for the
symmetries fab = fba, fabc = fbca = fcab = · · · and so on.
Jets of f. Bundle. Coordinate System. a, b, c ∈ [1, · · · , m] Dimension.
J0(M → R) R × M (xa, f) m + 1
J1(M → R) R × T∗M (xa, f, fa) 2m + 1
J2(M → R) - (xa, f, fa, fab) 1
2m2 + 2m + 1
J3(M → R) - (xa, f, fa, fab, fabc) 1
6m3 + 1
2m2 + 2m + 1
Table 1: Jets of f.
Here T∗M refers to the dual space of TM. Now take for example the third order jet of f, J3f
and consider the most general form of the third order vector V ∈ ΓT3M shown in equation
(36). Given an element of this jet space 3ϕ = (xa, ϕ, ϕa, ϕab, ϕabc) and the higher order vector
components V a, V ab and V abc, they can be combined in the following way.
V : 3
ϕ = V •
f(3
ϕ) + V a
fa(3
ϕ) +
1
2
V ab
fab(3
ϕ) +
1
6
V abc
fabc(3
ϕ) (43)
13
3.3 Jet Spaces
Where V • is known as the secular component and is included in some definitions of higher order
vectors. Duval’s work on differential operators for example does include this term[5]. In this
report however it was decided that the term be quotiented out of the higher order vector space.
This is equivalent to taking V • = 0. An element of the third order jet space is said to be the
third prolongation of f, if all of the Latin subscripts correspond to partial differentiation. That
is to say, fa(3ϕ) = ∂aϕ, fab(3ϕ) = ∂2
abϕ and so on. If it is assumed that in equation (43),
V • = 0 and it is the prolongation being dealt with then
V : 3
ϕ = V a ∂ϕ
∂xa
+
1
2
V ab ∂2ϕ
∂xa∂xb
+
1
6
V abc ∂3ϕ
∂xa∂xb∂xc
= V ϕ
That is to say, combining a third order vector with the third prolongation of f (secular term
quotiented out), corresponds to our definition of a higher order vector acting upon a scalar field.
The third order vector components therefore belong to the dual of jet J3f, denoted (J3f)∗.
It will later be shown in section 5 that taking combinations of higher order vector compo-
nents and the connection, leads to the cancellation of non-tensorial terms. This is because the
Christoffel symbols which ultimately define the connection, belong to the first order jet space
on M. That is to say given a connection on M, Γ : M → J1M where J1M is the set of all
first order jets on M[14].
14
4 Investigation of Transformation Properties
Equipped with the coordinate free definitions of second and third order vectors and having
shown what their most natural coordinate bases look like, their transformation properties can
be calculated. These transformation laws are the main motivation for this work, highlighting
an intimate relationship between the Christoffel symbols and certain higher order vector com-
ponents. This section requires the proper treatment of coordinates as in section 2.1, yet most
of the results are achieved simply by repeated application of the chain rule.
4.1 The Christoffel Symbols
It is well known that the Christoffel symbols are not tensorial, yet the derivation of this result
is usually done using the Levi-Civita expression for the symbols. That is to say, assuming that
the connection is metric compatible and torsion free. Here the relationship is shown using just
the definition of Γc
ab in terms of the connection.
Lemma 15. Consider the Christoffel symbols of the second kind, Γc
ab on an m-dimensional
manifold M in coordinate frame (x1, · · · , xm). In another coordinate frame (y1, · · · , ym), the
Christoffel symbols are denoted ˆΓγ
αβ. The symbols in each frame are related in the following
way.
ˆΓγ
αβ =
∂xa
∂yα
∂xb
∂yβ
∂yγ
∂xc
Γc
ab +
∂yγ
∂xd
∂2xd
∂yα∂yβ
(44)
Proof.
ˆΓγ
αβ = ˆ∂α
ˆ∂β yγ
= ∂
∂yα
∂
∂yβ
yγ
= ∂
∂yα
∂xb
∂yβ
∂
∂xb
yγ
=
∂2xb
∂yα∂yβ
∂
∂xb
+
∂xb
∂yβ ∂xa
∂yα
∂
∂xa
∂
∂xb
yγ
=
∂2xb
∂yα∂yβ
∂
∂xb
yγ
+
∂xa
∂yα
∂xb
∂yβ ∂
∂xa
∂
∂xb
yγ
=
∂2xb
∂yα∂yβ
∂yγ
∂xb
+
∂xa
∂yα
∂xb
∂yβ ∂
∂xa
∂
∂xb
∂yγ
∂xc
xc
=
∂yγ
∂xd
∂2xd
∂yα∂yβ
+
∂xa
∂yα
∂xb
∂yβ
∂yγ
∂xc
Γc
ab
The Christoffel symbols therefore transform into two terms. There is a tensorial term as would
be expected from a (1, 2) tensor and one extra term dependent on a second order partial deriva-
tive. If tensorial expressions are to be formed from the Christoffel symbols and other objects,
then these other objects must transform in a way such that this additional term is ‘cancelled
out.’ It turns out that the higher order vector components are what is required.
It is straightforward to show that the Christoffel symbols of the first kind, defined in terms of
the second kind and metric tensor as Γcab = gcdΓd
ab transform in a similar fashion.
ˆΓγαβ =
∂xa
∂yα
∂xb
∂yβ
∂xc
∂yγ
Γcab + gab
∂2xa
∂yα∂yβ
∂xb
∂yγ
(45)
This relation will be useful when investigating combining a higher order vectors with the con-
nection to obtain a scalar quantity.
15
4.2 Second & Third Order Vectors
4.2 Second & Third Order Vectors
It has been demonstrated that the Christoffel symbols transform as a (1, 2) tensor with the
addition of an extra term dependent on the second derivative. It will now be shown that the
Ua component of a second order vector shares a similar property. To do this, the invariance
of scalar fields under a change of coordinate system is used. By definition, for f ∈ ΓΛ0M
and U ∈ ΓTnM, U f ∈ ΓΛ0M also. That is to say for two coordinate frames, hatted and
un-hatted
U f = ˆU ˆf (46)
With this in mind, the following lemma is proposed.
Lemma 16. Consider a second order vector field U ∈ ΓT2M with components Ua and Uab
in coordinate frame (x1, · · · , xm). In another coordinate frame (y1, · · · , ym), its components
are ˆUα and ˆUαβ. The components in each frame are related in the following way.
ˆUα
= Ua ∂yα
∂xa
+ Uab 1
2
∂2yα
∂xa∂xb
, ˆUαβ
= Uab ∂yα
∂xa
∂yβ
∂xb
(47)
Proof. For f ∈ ΓΛ0M
ˆU ˆf = ˆUα ∂ ˆf
∂yα
+ ˆUαβ 1
2
∂2 ˆf
∂yα∂yβ
= ˆUα ∂xa
∂yα
∂f
∂xa
+ ˆUαβ 1
2
∂
∂yα
∂xb
∂yβ
∂f
∂xb
= ˆUα ∂xa
∂yα
∂f
∂xa
+ ˆUαβ 1
2
∂2xb
∂yα∂yβ
∂f
∂xb
+
∂xa
∂yα
∂xb
∂yβ
∂2f
∂xa∂xb
= ˆUα ∂xa
∂yα
+ ˆUαβ 1
2
∂2xa
∂yα∂yβ
∂f
∂xa
+ ˆUαβ 1
2
∂xa
∂yα
∂xb
∂yβ
∂2f
∂xa∂xb
The right hand side must be equal to U f by (46), therefore
ˆUα ∂xa
∂yα
+ ˆUαβ 1
2
∂2xa
∂yα∂yβ
∂f
∂xa
+ ˆUαβ 1
2
∂xa
∂yα
∂xb
∂yβ
∂2f
∂xa∂xb
= Ua ∂f
∂xa
+ Uab 1
2
∂2f
∂xa∂xb
(48)
Since the expression is true for all f, by comparing the coefficients of ∂af and ∂2
abf, then using
the freedom to relabel and interchange the hatted and un-hatted frame yields exactly (47).
Notice that the expression for ˆUα involves a tensorial term and a term dependent on a second
order derivative of yα. The non-tensorial term yielded by the Christoffel symbols is a second
derivative of xa, however it was shown in section 2.1 that there is a simple expression, equation
(1) relating the two.
The transformation laws for the components of a third order vector, V ∈ ΓT3M are now
considered. Although more complex, a similar sort of pattern is followed.
16
4.2 Second & Third Order Vectors
Lemma 17. Consider a third order vector field V ∈ ΓT3M with components V a, V ab
and V abc in coordinate frame (x1, · · · , xm). In another coordinate frame (y1, · · · , ym), its
components are ˆV α, ˆV αβ and ˆV αβγ. The components in each frame are related in the
following way.
ˆV α
= V a ∂yα
∂xa
+ V ab 1
2
∂2yα
∂xa∂xb
+ V abc 1
6
∂3yα
∂xa∂xb∂xc
ˆV αβγ
= V abc ∂yα
∂xa
∂yβ
∂xb
∂yγ
∂xc
(49)
ˆV αβ
= V ab ∂yα
∂xa
∂yβ
∂xb
+ V abc 1
3
∂yα
∂xa
∂2yβ
∂xb∂xc
+
∂yα
∂xb
∂2yβ
∂xa∂xc
+
∂yβ
∂xc
∂2yα
∂xa∂xb
(50)
Proof.
ˆV ˆf = ˆV α ∂ ˆf
∂yα
+ ˆV αβ 1
2
∂2 ˆf
∂yα∂yβ
+ ˆV αβγ 1
6
∂3 ˆf
∂yα∂yβ∂yγ
= ˆV α ∂xa
∂yα
∂f
∂xa
+ ˆV αβ 1
2
∂
∂yα
∂xb
∂yβ
∂f
∂xb
+ ˆV αβγ 1
6
∂
∂yα
∂
∂yβ
∂xc
∂yγ
∂f
∂xc
= ˆV α ∂xa
∂yα
∂f
∂xa
+ ˆV αβ 1
2
∂2xb
∂yα∂yβ
∂f
∂xb
+
∂xa
∂yα
∂xb
∂yβ
∂2f
∂xa∂xb
+ ˆV αβγ 1
6
∂
∂yα
∂2xc
∂yβ∂yγ
∂f
∂xc
+
∂xb
∂yβ
∂xc
∂yγ
∂2f
∂xb∂xc
= ˆV α ∂xa
∂yα
∂f
∂xa
+ ˆV αβ 1
2
∂2xb
∂yα∂yβ
∂f
∂xb
+
∂xa
∂yα
∂xb
∂yβ
∂2f
∂xa∂xb
+ ˆV αβγ 1
6
∂3xc
∂yα∂yβ∂yγ
∂f
∂xc
+
∂2xc
∂yβ∂yγ
∂xa
∂yα
∂2f
∂xa∂xc
+
∂xa
∂yα
∂xb
∂yβ
∂xc
∂yγ
∂3f
∂xa∂xb∂xc
+
∂xb
∂yβ
∂2xc
∂yα∂yγ
∂2f
∂xb∂xc
+
∂2xb
∂yα∂yβ
∂xc
∂yγ
∂2f
∂xb∂xc
= ˆV α ∂xa
∂yα
+ ˆV αβ 1
2
∂2xa
∂yα∂yβ
+ ˆV αβγ 1
6
∂3xa
∂yα∂yβ∂yγ
∂f
∂xa
+ ˆV αβ ∂xa
∂yα
∂xb
∂yβ
+ ˆV αβγ 1
3
∂2xa
∂yα∂yβ
∂xb
∂yγ
+
∂xa
∂yβ
∂2xb
∂yα∂yγ
+
∂2xb
∂yβ∂yγ
∂xa
∂yα
1
2
∂2f
∂xa∂xb
+ ˆV αβγ ∂xa
∂yα
∂xb
∂yβ
∂xc
∂yγ
1
6
∂3f
∂xa∂xb∂xc
As with the second order vector transformation laws, by (46) the right hand side must be equal
to V f for all f. The freedom to relabel and interchange the frames can be used again yielding
exactly equations (49) and (50) by comparing coefficients.
Taking U and V to be the higher order vectors used in lemmas 16 and 17, one can see that the
‘largest order coefficients’ Uab and V abc both transform tensorially. Each of the other coefficients
have a tensorial piece and extra terms involving partial derivatives, whose maximum degree
corresponds to the order of the vector. The transformation of V a for example yields third
order partial derivatives of ya. This means that to form a vector quantity from V a and a
linear combination of other objects, one of these other objects must involve a third order partial
derivative of xa when transformed. It will later be seen that the derivative of a Christoffel
symbol provides such a term.
17
5 Combining Higher Order Vectors with the Connection
In the last section, it was shown that some of the components of second and third order vectors
transform in a similar way to the Christoffel symbols for a general connection. With these
transformation properties in mind, one can ask the following question. Is it possible to build
a tensorial object from a sum of terms, composed of these vector components and Christoffel
symbols? In this section it is shown that many of these combinations do indeed exist. Since
it is transformation laws that are being dealt with, it is far more intuitive to start working in
index notation. Once a new object has been established, it is then a case of working backwards
to extract a sensible coordinate free definition. This is the method of approach used through-
out this section of research. It is believed that all of the material presented in this section is
completely new and absent from the literature.
It is sensible to demonstrate first of all, how a first order vector combines with the connection.
This result is included here as it can almost be trivially defined. The combination is largely
uninteresting, however allows the introduction of the colon notation used throughout.
Definition 18. Given a first order vector field u ∈ ΓTM and a general connection on
M,
u : = u (51)
This definition alone does not hold any new mathematics, but will be required later when it is
extended to higher orders, becoming something more meaningful.
5.1 Second Order Vectors & the Connection
The most basic object with a non-tensorial transformation property is the Ua component of a
second order vector field U ∈ ΓT2M, as shown in section 4.2. With this in mind the following
object is defined.
Definition 19. Given a second order vector field U ∈ ΓT2M such that U = Ua∂a + Uab
2 ∂2
ab
and a general connection on M,
(U : )c
=
Uab
2
Γc
ab + Uc
(52)
The choice of notation, that is to say the use of , will become clear when this object is defined
in a coordinate free manner. It will now be shown that (U : )c transforms as a bona fide
vector.
Lemma 20. Given a second order vector U ∈ ΓT2M, the object (U : )c is a vector
quantity. That is to say
U :
γ
=
∂yγ
∂xc
(U : )c
(53)
18
5.1 Second Order Vectors & the Connection
Proof.
U :
γ
=
ˆUαβ
2
ˆΓγ
αβ + ˆUγ
=
Uab
2
∂yα
∂xa
∂yβ
∂xb
∂yγ
∂xc
∂xd
∂yα
∂xe
∂yβ
Γc
de +
∂yγ
∂xd
∂2xd
∂yα∂yβ
+ Ua ∂yγ
∂xa
+ Uab 1
2
∂2yγ
∂xa∂xb
=
Uab
2
δd
aδe
b
∂yγ
∂xc
Γc
de +
∂yα
∂xa
∂yβ
∂xb
∂yγ
∂xd
∂2xd
∂yα∂yβ
+
∂2yγ
∂xa∂xb
+ Ua ∂yγ
∂xa
=
Uab
2
∂yγ
∂xc
Γc
ab −
∂2yγ
∂xa∂xb
+
∂2yγ
∂xa∂xb
+ Ua ∂yγ
∂xa
=
∂yγ
∂xc
Uab
2
Γc
ab + Uc
=
∂yγ
∂xc
(U : )c
The penultimate line is reached using lemma 1. In equation (25) it was reasoned that the Lie
bracket, although itself a first order vector, is a sum of second order vectors. These second
order vectors were of the form ‘first order vector operate first order vector.’ Such a second order
vector is useful here, the following coordinate free object based on equation (52) is defined, for
the specific case that U ∈ ΓT2M is such that U = v ◦ w.
Definition 21. Given v, w ∈ ΓTM and a general connection on M, (v ◦w) : ∈ ΓTM
is such that
(v ◦ w) : = vw −
1
2
T (v, w) (54)
The motivation for this definition becomes clear when the next lemma is considered. For the
proof, the definitions of the connection and torsion tensor introduced in sections 2.3 and 2.4
respectively are required.
Lemma 22. Let a second order vector field U ∈ ΓT2M have components given by
Ua
= vd ∂wa
∂xd
, Uab
= va
wb
+ vb
wa
(55)
Then
Uab
2
Γc
ab + Uc ∂
∂xc
= vw −
1
2
T (v, w) (56)
Proof.
Uab
2
Γc
ab + Uc ∂
∂xc
=
1
2
va
wb
+ vb
wa
Γc
ab + vd ∂wc
∂xd
∂
∂xc
= va
wb
Γc
ab +
1
2
vb
wa
− va
wb
Γc
ab + vd ∂wc
∂xd
∂
∂xc
= va
wb
Γc
ab + vd ∂wc
∂xd
+
1
2
vb
wa
Γc
ab −
1
2
vb
wa
Γc
ba
∂
∂xc
= va
wb
Γc
ab + vd ∂wc
∂xd
+
1
2
vb
wa
(Γc
ab − Γc
ba)
∂
∂xc
19
5.1 Second Order Vectors & the Connection
= ( vw)c
+
1
2
vb
wa
T c
ab
∂
∂xc
= ( vw)c
−
1
2
vb
wa
T c
ba
∂
∂xc
= ( vw)c
−
1
2
T (v, w)c ∂
∂xc
= vw −
1
2
T (v, w)
To begin analysing this result, the choice of the second order vector components Ua and Uab
must be justified. As discussed in section 3.1, it is a straight forward exercise to prove that for
v, w ∈ ΓTM, v ◦ w is a second order vector. This simple result will now be shown.
Lemma 23. Given v, w ∈ ΓTM, then U ∈ ΓT2M if
U = v ◦ w (57)
Furthermore in index notation this may be written
U = va ∂wb
∂xa
∂
∂xb
+
vbwa + vawb
2
∂2
∂xa∂xb
(58)
Proof. This proof begins using definition 4 of a first order vector field.
U fg = (v ◦ w) fg = v w fg
= v fw g + gw f = v fw g + v gw f
= v f w g + fv w g + gv w f + v g w f
= fU g + gU f + v g w f + v f w g
= fU g + gU f + U(1,1) f, g
Where
U(1,1) f, g = v g w f + v f w g (59)
It is clear that U(1,1) f, g is Leibniz in both of its arguments, therefore v ◦ w ∈ ΓT2M by
definition 10. Next consider a similar calculation using indices and with f ∈ ΓΛ0M.
U f = (v ◦ w) f = v w f
= v wa ∂f
∂xa
= vb ∂
∂xb
wa ∂f
∂xa
= vb ∂wa
∂xb
∂f
∂xa
+ vb
wa ∂2f
∂xb∂xa
= vb ∂wa
∂xb
∂
∂xa
+ vb
wa ∂2
∂xb∂xa
f = vb ∂wa
∂xb
∂
∂xa
+
vbwa + vawb
2
∂2
∂xa∂xb
f
The final step exploits the natural symmetry in the definition of a second order vector, namely
Uab = Uba. This is true for all f therefore after relabelling, the final line is exactly equation
(58).
The notation (v◦w) : used in definition 21 is therefore perfectly logical. The choices of Ua and
Uab made in this definition correspond exactly to the calculated first and second components
of v ◦ w respectively.
There are two other observations which further justify the suitability of this definition. First of
all, it is clear to see that any first order vectors v, w ∈ ΓTM must satisfy by definition of the
Lie bracket
v ◦ w − w ◦ v − [v, w] = 0 (60)
Immediately then, the following is also true.
(v ◦ w − w ◦ v − [v, w]) : = (v ◦ w) : − (w ◦ v) : − [v, w] : = 0 (61)
Definition 21 must be consistent with this equation.
20
5.2 Third Order Vectors & the Connection
Lemma 24. Given a general connection on M, (u ◦ v) : ∈ ΓTM satisfies
(v ◦ w) : − (w ◦ v) : − [v, w] : = 0 (62)
Proof. Since the Lie bracket of two vector fields is itself a vector field, definition 18 of a first
order vector field combining with the connection will be required.
(v ◦ w) : − (w ◦ v) : − [v, w] : = vw −
1
2
T (v, w) − wv −
1
2
T (w, v) − [v, w]
= ( vw − wv − [v, w]) −
1
2
T (v, w) +
1
2
T (w, v)
= T (v, w) − T (v, w)
= 0
The second observation is that the coordinate expression for (U : )e is very nearly the exact
component expansion of vw. It would therefore be expected that any additional terms in the
definition of (v◦w) : would involve first order covariant derivatives only. The torsion between
v and w, as stated in definition 9 is T (v, w) = vw − wv − [v, w], namely a sum of first order
covariant derivatives. Furthermore, the definition involves specifically two vectors, v and w.
A regular vector component must have only one free contravariant (upstairs) index. Simply
by considering the number of upstairs and downstairs indices in the coordinate expression, the
product vawb can only be multiplied by a tensor of the form Qc
ab. Torsion is the only candidate.
5.2 Third Order Vectors & the Connection
During initial research, the motivation for definition 19 originally came from considering the
coordinate expansion of vw. If the idea of combining a second order vector and the connection
is to be extended to third order, a natural consideration would be the coordinate expansion of
u vw.
Lemma 25. Given u, v, w ∈ ΓTM, then
( u vw)e
= uc
va
wb
Γe
abΓd
cd +
∂Γe
ab
∂xc
+ ua
vc
∂cwb
+ uc
wb
∂cva
+ uc
va
∂cwb
Γe
ab (63)
+uc
∂cvb
∂bwe
+ uc
vb
∂2
bcwe
Proof.
u( vw)e
= u va
wb
Γe
ab + va ∂we
∂xa
= uc
va
wb
Γf
ab + va ∂wf
∂xa
Γe
cf + uc ∂
∂xc
va
wb
Γe
ab + va ∂we
∂xa
= uc
va
wb
Γf
abΓe
cf + uc
va
Γe
cf
∂wf
∂xa
+ uc
va
wb ∂Γe
ab
∂xc
+ uc
va
Γe
ab
∂wb
∂xc
+ uc
wb
Γe
ab
∂va
∂xc
+ uc ∂va
∂xc
∂we
∂xa
+ uc
va ∂2we
∂xc∂xa
= uc
va
wb
Γf
abΓe
cf + uc
va
wb ∂Γe
ab
∂xc
+ Γe
ab ua
vc ∂wb
∂xc
+ uc
va ∂wb
∂xc
+ uc
wb ∂va
∂xc
+ uc ∂va
∂xc
∂we
∂xa
+ uc
va ∂2we
∂xc∂xa
At first sight this, equation (63) may not seem too enlightening. It is however straightforward
to show, using an identical method to that used to prove lemma 23, a similar lemma. Here it
is stated without proof.
21
5.2 Third Order Vectors & the Connection
Lemma 26. Given u, v, w ∈ ΓTM, then V ∈ ΓT3M if
V = u ◦ v ◦ w (64)
Furthermore in index notation this may be written
V = ua ∂vb
∂xa
∂wc
∂xb
+ ua
vb ∂2wc
∂xa∂xb
∂
∂xc
+ ub
vc ∂wa
∂xc
+ uc
wa ∂vb
∂xc
+ uc
vb ∂wa
∂xc
∂2
∂xa∂xb
(65)
+ua
vb
wc ∂3
∂xa∂xb∂xc
Proof. Simply apply ua∂a to both sides of equation (58).
It is clear by comparing equations (63) and (65), that the coefficients of the coordinate expansion
of u vw are exactly those of the third order vector u ◦ v ◦ w. As with the second order vector
case, the fully symmetrised coefficients of a third order vector V are now considered. By doing
this, the following third order analogue of definition 19 is constructed.
Definition 27. Given a third order vector field V ∈ ΓT3M such that V = V a∂a + V ab
2 ∂2
ab +
V abc
6 ∂3
abc and a general connection on M,
(V : )e
=
V abc
6
Γd
abΓe
cd + ∂cΓe
ab +
V ab
2
Γe
ab + V e
(66)
It should be recognised that the same notation has been used for this combination of a third
order vector with the connection, (V : )e as with the combination of a second order vector
and the connection (U : )c. The reason for this is as with (U : )c introduced in definition 19,
the right hand side of equation (66) transforms as a vector. This result will now be proven by
means of a rather long calculation. For clarity, colours have been used to distinguish the origins
of each term. This is also useful for tracking terms down the page as the proof continues.
Lemma 28. Given a third order vector V ∈ ΓT3M, the object (V : )e is a vector quantity.
That is to say
V : =
∂y
∂xe
(V : )e
(67)
Proof. This proof requires many of the results already shown in the report. The expansion of
terms at the beginning requires almost all of the results in section 4. To simplify the resulting
expressions toward the end, the identities relating partial derivatives shown in lemmas 1 and 2
will be needed.
V : =
ˆV αβγ
6
ˆΓδ
αβ
ˆΓγδ + ∂γ
ˆΓαβ +
ˆV αβ
2
Γαβ + ˆV
=
V abc
6
∂yα
∂xa
∂yβ
∂xb
∂yγ
∂xc
∂yδ
∂xh
∂xf
∂yα
∂xg
∂yβ
Γh
fg +
∂yδ
∂xf
∂2xf
∂yα∂yβ
∂y
∂xe
∂xi
∂yγ
∂xj
∂yδ
Γe
ij +
∂y
∂xj
∂2xj
∂yγ∂yδ
+
∂
∂yγ
∂y
∂xe
∂xf
∂yα
∂xg
∂yβ
Γe
fg +
∂y
∂xf
∂2xf
∂yα∂yβ
22
5.2 Third Order Vectors & the Connection
+
1
2
V ab ∂yα
∂xa
∂yβ
∂xb
+
V abc
3
∂yα
∂xa
∂2yβ
∂xb∂xc
+
∂yα
∂xb
∂2yβ
∂xa∂xc
+
∂yβ
∂xc
∂2yα
∂xa∂xb
∂y
∂xe
∂xf
∂yα
∂xg
∂yβ
Γe
fg
+
∂y
∂xf
∂2xf
∂yα∂yβ
+ V a ∂y
∂xa
+
V ab
2
∂2y
∂xa∂xb
+
V abc
6
∂3y
∂xa∂xb∂xc
=
V abc
6
∂yα
∂xa
∂yβ
∂xb
∂yγ
∂xc
∂yδ
∂xh
∂xf
∂yα
∂xg
∂yβ
Γh
fg
∂y
∂xe
∂xi
∂yγ
∂xj
∂yδ
Γe
ij +
∂yδ
∂xf
∂2xf
∂yα∂yβ
∂y
∂xe
∂xi
∂yγ
∂xj
∂yδ
Γe
ij
+
∂yδ
∂xh
∂xf
∂yα
∂xg
∂yβ
Γh
fg
∂y
∂xj
∂2xj
∂yγ∂yδ
+
∂yδ
∂xf
∂2xf
∂yα∂yβ
∂y
∂xj
∂2xj
∂yγ∂yδ
+
∂2y
∂xe∂xd
∂xf
∂yα
∂xg
∂yβ
∂xd
∂yγ
Γe
fg
+
∂y
∂xe
∂2xf
∂yα∂yγ
∂xg
∂yβ
Γe
fg +
∂y
∂xe
∂xf
∂yα
∂2xg
∂yβ∂yγ
Γe
fg +
∂y
∂xe
∂xf
∂yα
∂xg
∂yβ
∂xd
∂yγ
∂Γe
fg
∂xd
+
∂xd
∂yγ
∂2y
∂xd∂xf
∂2xf
∂yα∂yβ
+
∂y
∂xf
∂3xf
∂yα∂yβ∂yγ
+
1
2
V ab ∂yα
∂xa
∂yβ
∂xb
∂y
∂xe
∂xf
∂yα
∂xg
∂yβ
Γe
fg + V ab ∂yα
∂xa
∂yβ
∂xb
∂y
∂xf
∂2xf
∂yα∂yβ
+
V abc
3
∂yα
∂xa
∂2yβ
∂xb∂xc
∂y
∂xe
∂xf
∂yα
∂xg
∂yβ
Γe
fg +
V abc
3
∂yα
∂xb
∂2yβ
∂xa∂xc
∂y
∂xe
∂xf
∂yα
∂xg
∂yβ
Γe
fg
+
V abc
3
∂yβ
∂xc
∂2yα
∂xa∂xb
∂y
∂xe
∂xf
∂yα
∂xg
∂yβ
Γe
fg+
V abc
3
∂yα
∂xa
∂2yβ
∂xb∂xc
∂y
∂xf
∂2xf
∂yα∂yβ
+
V abc
3
∂yα
∂xb
∂2yβ
∂xa∂xc
∂y
∂xf
∂2xf
∂yα∂yβ
+
V abc
3
∂yβ
∂xc
∂2yα
∂xa∂xb
∂y
∂xf
∂2xf
∂yα∂yβ
+V a ∂y
∂xa
+
V ab
2
∂2y
∂xa∂xb
+
V abc
6
∂3y
∂xa∂xb∂xc
=
V abc
6
∂yα
∂xa
∂yβ
∂xb
∂yγ
∂xc
∂yδ
∂xh
∂xf
∂yα
∂xg
∂yβ
∂y
∂xe
∂xi
∂yγ
∂xj
∂yδ
Γh
fgΓe
ij
+
V abc
6
∂yα
∂xa
∂yβ
∂xb
∂yγ
∂xc
∂yδ
∂xf
∂2xf
∂yα∂yβ
∂y
∂xe
∂xi
∂yγ
∂xj
∂yδ
Γe
ij+
V abc
6
∂yα
∂xa
∂yβ
∂xb
∂yγ
∂xc
∂yδ
∂xh
∂xf
∂yα
∂xg
∂yβ
∂y
∂xj
∂2xj
∂yγ∂yδ
Γh
fg
+
V abc
6
∂yα
∂xa
∂yβ
∂xb
∂yγ
∂xc
∂yδ
∂xf
∂2xf
∂yα∂yβ
∂y
∂xj
∂2xj
∂yγ∂yδ
+
V abc
6
∂yα
∂xa
∂yβ
∂xb
∂yγ
∂xc
∂2y
∂xe∂xd
∂xf
∂yα
∂xg
∂yβ
∂xd
∂yγ
Γe
fg +
V abc
6
∂yα
∂xa
∂yβ
∂xb
∂yγ
∂xc
∂y
∂xe
∂2xf
∂yα∂yγ
∂xg
∂yβ
Γe
fg
+
V abc
6
∂yα
∂xa
∂yβ
∂xb
∂yγ
∂xc
∂y
∂xe
∂xf
∂yα
∂2xg
∂yβ∂yγ
Γe
fg +
V abc
6
∂yα
∂xa
∂yβ
∂xb
∂yγ
∂xc
∂y
∂xe
∂xf
∂yα
∂xg
∂yβ
∂xd
∂yγ
∂Γe
fg
∂xd
+
V abc
6
∂yα
∂xa
∂yβ
∂xb
∂yγ
∂xc
∂xc
∂yγ
∂2y
∂xc∂xf
∂2xf
∂yα∂yβ
+
V abc
6
∂yα
∂xa
∂yβ
∂xb
∂yγ
∂xc
∂y
∂xf
∂3xf
∂yα∂yβ∂yγ
+
V ab
2
∂yα
∂xa
∂yβ
∂xb
∂y
∂xe
∂xf
∂yα
∂xg
∂yβ
Γe
fg +
V ab
2
∂yα
∂xa
∂yβ
∂xb
∂y
∂xf
∂2xf
∂yα∂yβ
+
V abc
6
∂yα
∂xa
∂2yβ
∂xb∂xc
∂y
∂xe
∂xf
∂yα
∂xg
∂yβ
Γe
fg
+
V abc
6
∂yα
∂xb
∂2yβ
∂xa∂xc
∂y
∂xe
∂xf
∂yα
∂xg
∂yβ
Γe
fg +
V abc
6
∂yβ
∂xc
∂2yα
∂xa∂xb
∂y
∂xe
∂xf
∂yα
∂xg
∂yβ
Γe
fg
+
V abc
6
∂yα
∂xa
∂2yβ
∂xb∂xc
∂y
∂xf
∂2xf
∂yα∂yβ
+
V abc
6
∂yα
∂xb
∂2yβ
∂xa∂xc
∂y
∂xf
∂2xf
∂yα∂yβ
+
V abc
6
∂yβ
∂xc
∂2yα
∂xa∂xb
∂y
∂xf
∂2xf
∂yα∂yβ
+V a ∂y
∂xa
+
V ab
2
∂2y
∂xa∂xb
+
V abc
6
∂3y
∂xa∂xb∂xc
=
V abc
6
δf
a δg
b δi
cδj
h
∂y
∂xe
Γh
fgΓe
ij +
V abc
6
δi
cδj
f
∂yα
∂xa
∂yβ
∂xb
∂y
∂xe
∂2xf
∂yα∂yβ
Γe
ij
+
V abc
6
δf
a δg
b
∂yγ
∂xc
∂yδ
∂xh
∂y
∂xj
∂2xj
∂yγ∂yδ
Γh
fg +
V abc
6
∂yα
∂xa
∂yβ
∂xb
∂yγ
∂xc
∂yδ
∂xf
∂y
∂xj
∂2xf
∂yα∂yβ
∂2xj
∂yγ∂yδ
23
5.2 Third Order Vectors & the Connection
+
V abc
6
∂2y
∂xe∂xd
δf
a δg
b δd
c Γe
fg +
V abc
6
∂yγ
∂xc
∂yα
∂xa
∂y
∂xe
δg
b
∂2xf
∂yα∂yγ
Γe
fg +
V abc
6
∂yβ
∂xb
∂yγ
∂xc
∂y
∂xe
δf
a
∂2xg
∂yβ∂yγ
Γe
fg
+
V abc
6
∂y
∂xe
∂Γe
ab
∂xc
+
V abc
6
∂yα
∂xa
∂yβ
∂xb
∂2y
∂xc∂xf
∂2xf
∂yα∂yβ
+
V abc
6
∂y
∂xf
∂yα
∂xa
∂yβ
∂xb
∂yγ
∂xc
∂3xf
∂yα∂yβ∂yγ
+
V ab
2
δf
a δg
b
∂y
∂xe
Γe
fg +
V ab
2
∂y
∂xf
∂yα
∂xa
∂yβ
∂xb
∂2xf
∂yα∂yβ
+
V abc
6
δf
a
∂y
∂xe
∂2yβ
∂xb∂xc
∂xg
∂yβ
Γe
fg
+
V abc
6
δf
b
∂2yβ
∂xa∂xc
∂y
∂xe
∂xg
∂yβ
Γe
fg +
V abc
6
δg
c
∂2yα
∂xa∂xb
∂y
∂xe
∂xf
∂yα
Γe
fg +
V abc
6
∂yα
∂xa
∂2yβ
∂xb∂xc
∂y
∂xf
∂2xf
∂yα∂yβ
+
V abc
6
∂yα
∂xb
∂2yβ
∂xa∂xc
∂y
∂xf
∂2xf
∂yα∂yβ
+
V abc
6
∂yβ
∂xc
∂2yα
∂xa∂xb
∂y
∂xf
∂2xf
∂yα∂yβ
+V a ∂y
∂xa
+
V ab
2
∂2y
∂xa∂xb
+
V abc
6
∂3y
∂xa∂xb∂xc
=
V abc
6
∂y
∂xe
Γd
abΓe
cd +
V abc
6
∂yα
∂xa
∂yβ
∂xb
∂y
∂xe
∂2xd
∂yα∂yβ
Γe
cd
+
V abc
6
∂yγ
∂xc
∂yδ
∂xd
∂y
∂xj
∂2xj
∂yγ∂yδ
Γd
ab +
V abc
6
∂yα
∂xa
∂yβ
∂xb
∂yγ
∂xc
∂yδ
∂xf
∂y
∂xj
∂2xf
∂yα∂yβ
∂2xj
∂yγ∂yδ
+
V abc
6
∂2y
∂xe∂xc
Γe
ab +
V abc
6
∂yα
∂xa
∂yγ
∂xc
∂y
∂xe
∂2xf
∂yα∂yγ
Γe
fb +
V abc
6
∂yβ
∂xb
∂yγ
∂xc
∂y
∂xe
∂2xg
∂yβ∂yγ
Γe
ag
+
V abc
6
∂y
∂xe
∂Γe
ab
∂xc
+
V abc
6
∂yα
∂xa
∂yβ
∂xb
∂2y
∂xc∂xf
∂2xf
∂yα∂yβ
+
V abc
6
∂y
∂xf
∂yα
∂xa
∂yβ
∂xb
∂yγ
∂xc
∂3xf
∂yα∂yβ∂yγ
+
V ab
2
∂y
∂xe
Γe
ab +
V ab
2
∂y
∂xf
∂yα
∂xa
∂yβ
∂xb
∂2xf
∂yα∂yβ
+
V abc
6
∂y
∂xe
∂2yβ
∂xb∂xc
∂xg
∂yβ
Γe
ag
+
V abc
6
∂2yβ
∂xa∂xc
∂y
∂xe
∂xg
∂yβ
Γe
bg +
V abc
6
∂2yα
∂xa∂xb
∂y
∂xe
∂xf
∂yα
Γe
fc +
V abc
6
∂yα
∂xa
∂2yβ
∂xb∂xc
∂y
∂xf
∂2xf
∂yα∂yβ
+
V abc
6
∂yα
∂xb
∂2yβ
∂xa∂xc
∂y
∂xf
∂2xf
∂yα∂yβ
+
V abc
6
∂yβ
∂xc
∂2yα
∂xa∂xb
∂y
∂xf
∂2xf
∂yα∂yβ
+V a ∂y
∂xa
+
V ab
2
∂2y
∂xa∂xb
+
V abc
6
∂3y
∂xa∂xb∂xc
=
∂y
∂xe
V abc
6
Γd
abΓe
cd+
∂Γe
ab
∂xc
+
V ab
2
Γe
ab+V e
+
V ab
2
∂yα
∂xa
∂yβ
∂xb
∂y
∂xf
∂2xf
∂yα∂yβ
+
∂2y
∂xa∂xb
+
V abc
6
∂yα
∂xa
∂yβ
∂xb
∂y
∂xe
∂2xd
∂yα∂yβ
Γe
cd +
∂yγ
∂xc
∂yδ
∂xd
∂y
∂xj
∂2xj
∂yγ∂yδ
Γd
ab
+
∂2y
∂xe∂xc
Γe
ab +
∂yα
∂xa
∂yγ
∂xc
∂y
∂xe
∂2xf
∂yα∂yγ
Γe
fb+
∂yβ
∂xb
∂yγ
∂xc
∂y
∂xe
∂2xg
∂yβ∂yγ
Γe
ag
+
∂y
∂xe
∂2yβ
∂xb∂xc
∂xg
∂yβ
Γe
ag +
∂2yβ
∂xa∂xc
∂y
∂xe
∂xg
∂yβ
Γe
bg +
∂2yα
∂xa∂xb
∂y
∂xe
∂xf
∂yα
Γe
fc
+
V abc
6
∂yα
∂xa
∂yβ
∂xb
∂yγ
∂xc
∂yδ
∂xf
∂y
∂xj
∂2xf
∂yα∂yβ
∂2xj
∂yγ∂yδ
+
∂yα
∂xa
∂yβ
∂xb
∂2y
∂xc∂xf
∂2xf
∂yα∂yβ
+
∂3y
∂xa∂xb∂xc
+
∂y
∂xf
∂yα
∂xa
∂yβ
∂xb
∂yγ
∂xc
∂3xf
∂yα∂yβ∂yγ
+
∂yα
∂xa
∂2yβ
∂xb∂xc
∂y
∂xf
∂2xf
∂yα∂yβ
+
∂yα
∂xb
∂2yβ
∂xa∂xc
∂y
∂xf
∂2xf
∂yα∂yβ
+
∂yβ
∂xc
∂2yα
∂xa∂xb
∂y
∂xf
∂2xf
∂yα∂yβ
=
∂y
∂xe
(V : )e
+
V abc
6
∂yα
∂xa
∂yβ
∂xb
∂y
∂xe
∂2xd
∂yα∂yβ
Γe
cd +
∂yγ
∂xc
∂yδ
∂xd
∂y
∂xj
∂2xj
∂yγ∂yδ
Γd
ab
+
∂2y
∂xe∂xc
Γe
ab +
∂yα
∂xa
∂yγ
∂xc
∂y
∂xe
∂2xf
∂yα∂yγ
Γe
fb+
∂yβ
∂xb
∂yγ
∂xc
∂y
∂xe
∂2xg
∂yβ∂yγ
Γe
ag
24
5.2 Third Order Vectors & the Connection
+
∂y
∂xe
∂2yβ
∂xb∂xc
∂xg
∂yβ
Γe
ag +
∂2yβ
∂xa∂xc
∂y
∂xe
∂xg
∂yβ
Γe
bg +
∂2yα
∂xa∂xb
∂y
∂xe
∂xf
∂yα
Γe
fc
+
V abc
6
∂yα
∂xa
∂yβ
∂xb
∂yγ
∂xc
∂yδ
∂xf
∂y
∂xj
∂2xf
∂yα∂yβ
∂2xj
∂yγ∂yδ
+
∂yα
∂xa
∂yβ
∂xb
∂2y
∂xc∂xf
∂2xf
∂yα∂yβ
+
V abc
6
∂3y
∂xa∂xb∂xc
+
∂y
∂xf
∂yα
∂xa
∂yβ
∂xb
∂yγ
∂xc
∂3xf
∂yα∂yβ∂yγ
+
∂yα
∂xa
∂2yβ
∂xb∂xc
∂y
∂xf
∂2xf
∂yα∂yβ
+
∂yα
∂xb
∂2yβ
∂xa∂xc
∂y
∂xf
∂2xf
∂yα∂yβ
+
∂yβ
∂xc
∂2yα
∂xa∂xb
∂y
∂xf
∂2xf
∂yα∂yβ
+
V ab
2
∂yα
∂xa
∂yβ
∂xb
∂y
∂xf
∂2xf
∂yα∂yβ
+
∂2y
∂xa∂xb
=
∂y
∂xe
(V : )e
+
V abc
6
∂yα
∂xa
∂yβ
∂xb
∂y
∂xe
∂2xd
∂yα∂yβ
Γe
cd +
∂yγ
∂xc
∂yδ
∂xd
∂y
∂xj
∂2xj
∂yγ∂yδ
Γd
ab
+
∂2y
∂xe∂xc
Γe
ab +
∂yα
∂xa
∂yγ
∂xc
∂y
∂xe
∂2xf
∂yα∂yγ
Γe
fb+
∂yβ
∂xb
∂yγ
∂xc
∂y
∂xe
∂2xg
∂yβ∂yγ
Γe
ag
+
∂y
∂xe
∂2yβ
∂xb∂xc
∂xg
∂yβ
Γe
ag +
∂2yβ
∂xa∂xc
∂y
∂xe
∂xg
∂yβ
Γe
bg +
∂2yα
∂xa∂xb
∂y
∂xe
∂xf
∂yα
Γe
fc
+
V abc
6
∂yα
∂xa
∂yβ
∂xb
∂yγ
∂xc
∂yδ
∂xf
∂y
∂xj
∂2xf
∂yα∂yβ
∂2xj
∂yγ∂yδ
−
∂yα
∂xa
∂yβ
∂xb
∂y
∂xj
∂yγ
∂xf
∂yδ
∂xc
∂2xj
∂yγ∂yδ
∂2xf
∂yα∂yβ
=
∂y
∂xe
(V : )e
+
V abc
6
∂yα
∂xa
∂yβ
∂xb
∂y
∂xe
∂2xd
∂yα∂yβ
Γe
cd +
∂2yβ
∂xc∂xa
∂y
∂xe
∂xg
∂yβ
Γe
bg
+
∂yγ
∂xc
∂yδ
∂xd
∂y
∂xj
∂2xj
∂yγ∂yδ
Γd
ab +
∂2y
∂xe∂xc
Γe
ab +
∂yβ
∂xb
∂yγ
∂xc
∂y
∂xe
∂2xg
∂yβ∂yγ
Γe
ag +
∂y
∂xe
∂2yβ
∂xb∂xc
∂xg
∂yβ
Γe
ag
+
∂2yα
∂xa∂xb
∂y
∂xe
∂xf
∂yα
Γe
fc +
∂yα
∂xc
∂yγ
∂xa
∂y
∂xe
∂2xf
∂yα∂yγ
Γe
fb
=
∂y
∂xe
(V : )e
+
V abc
6
∂yα
∂xa
∂yβ
∂xb
∂2xd
∂yα∂yβ
+
∂2yβ
∂xa∂xb
∂xd
∂yβ
∂y
∂xe
Γe
cd +
∂yγ
∂xc
∂yδ
∂xd
∂y
∂xf
∂2xf
∂yγ∂yδ
+
∂2y
∂xd∂xc
Γd
ab
+
∂yβ
∂xb
∂yγ
∂xc
∂2xg
∂yβ∂yγ
+
∂2yβ
∂xb∂xc
∂xg
∂yβ
∂y
∂xe
Γe
ag +
∂yα
∂xa
∂yγ
∂xc
∂2xf
∂yα∂yγ
+
∂2yα
∂xa∂xc
∂xf
∂yα
∂y
∂xe
Γe
fb
=
∂y
∂xe
(V : )e
Where to get to the penultimate line, the symmetry V abc = V cab has been used on two occasions.
Now that it has been shown that equation (66) represents a bona fide vector, it is reasonable
to assume there is a coordinate free interpretation. This was the case with equation (52), the
second order expression, which was found to be linear in torsion. Such a relationship was to be
expected since the object came about by considering vw. This third order expression however
comes about by investigating u vw, which has been shown to involve both derivatives and
products of Christoffel symbols. There is therefore a far wider variety of terms that could appear.
For example, some kind of curvature dependence would be expected, or indeed derivatives or
squares of torsion. Using a similar yet less forceful approach to that of the last section, the case
when V ∈ ΓT3M is such that V = u ◦ v ◦ w is considered. The starting point is with a new
type of method which exploits the f-linearity and Leibniz properties of our object. Two third
order analogues of equation (60) are then used. It is clear that any first order vectors u, v and
25
5.2 Third Order Vectors & the Connection
w must satisfy both of the following identities.
u ◦ v ◦ w − v ◦ u ◦ w − [u, v] ◦ w = 0 (68)
u ◦ v ◦ w − u ◦ w ◦ v − u ◦ [v, w] = 0 (69)
In section 5.2.2, it is shown how these two equations alone can be used to justify a coordinate
free definition of (V : )e given a torsion free connection.
A Brief Aside
Looking back to section 5.1, the coordinate free definition of (v ◦w) : was ‘derived’ by writing
the coordinate expression in terms of vectors which have a specific coordinate free definition.
A significant amount of time was spent attempting to use the same method to get from the
coordinate to coordinate free definition of (V : )e. The main issue was finding the correct
interpretation for the third order vector component V abc. By definition of a higher order vector,
V abc is completely symmetric. That is to say, with the result of lemma 26, it would be expected
that V abc would take the following form for V = u ◦ v ◦ w.
V abc
∝ ua
vb
wc
+ ua
vc
wb
+ uc
va
wb
+ ub
va
wc
+ uc
vb
wa
+ ub
vc
wa
(70)
This way, V abc = V cba = V bca = · · · . On the other hand, in order to show that (V : )e
transforms as a vector (lemma 28), the only symmetry which is used is V abc = V cab. This is in
fact a cyclic permutation of abc and would imply that V abc could look something like
V abc
∝ A ua
vb
wc
+ uc
va
wb
+ ub
vc
wa
+ B ub
va
wc
+ ua
vc
wb
+ uc
vb
wa
(71)
For constants A and B. It is straightforward to show that this form of the component satisfies
V abc = V cab. Due to the length of each calculation that such a method involves, this turned out
to be a highly inefficient way of dealing with the problem and all attempts were unsuccessful.
For this reason a number of new, more indirect methods were developed. These were largely
more successful in directing the research toward a firm definition.
5.2.1 A General Connection
As has already been discussed, it is expected that a coordinate free (V : )e will involve
curvature terms and those which are derivatives of, or are second order in the torsion. One
other possibility are terms of the form T ( −−, −). These arise due to the appearance of
V ab ∝ ucwa∂cvb in the coordinate definition. To see how each of these terms feature, the
full coordinate free definition of (V : )e with a general connection will now be given. A
full justification will follow. As explained, due to lack of time and methods available, the
exact coefficients of each and every term were not calculated, however the overall form of the
expression is clear.
Definition 29. Given u, v, w ∈ ΓTM and a general connection on M,
(u ◦ v ◦ w) : ∈ ΓTM is such that
(u ◦ v ◦ w) : = u vw −
1
3
R(u, v)w −
1
3
R(u, w)v + ¯T3 (72)
Where
¯T3 = −
1
2
T (u, vw) −
1
2
T ( uv, w) −
1
2
T (v, uw) + A( uT )(v, w) + B( vT )(u, w) (73)
+C( wT )(u, v) + DT (T (u, v), w) + ET (T (v, u), w) + FT (T (w, u), v)
A, B, C, D, E and F are constants yet to be determined.
26
5.2 Third Order Vectors & the Connection
It will first be shown by using nothing more than specific f-linear and Leibniz requirements of
(u ◦ v ◦ w) : , that terms of the form T (−, −−) not only must appear, but can also only
have coefficients ±1
2 or 0.
Lemma 30. Given f ∈ ΓΛ0M, u, v, w ∈ ΓTM and a general connection on M. The
f-linearity and Leibniz requirements of (u ◦ v ◦ w) : ∈ ΓTM force it’s coordinate free
expression to be of the form
(u ◦ v ◦ w) : = −
1
2
T (u, vw) −
1
2
T ( uv, w) −
1
2
T (v, uw) + “f-linear terms” (74)
Proof. Investigation of (fu) is trivial and yields nothing new. Consider then (fv).
(u ◦ (fv) ◦ w) : = u f v ◦ w : + f(u ◦ v ◦ w) :
= u f vw −
1
2
T (v, w) + f(u ◦ v ◦ w) :
= u f vw −
1
2
T ( u(fv), w) − fT ( uv, w) + f(u ◦ v ◦ w) :
= u(f vw) − f u vw −
1
2
T ( u(fv), w) − fT ( uv, w) + f(u ◦ v ◦ w) :
= u (fv)w −
1
2
T ( u(fv), w) + f (u ◦ v ◦ w) : − u vw +
1
2
T ( uv, w)
Hence
(u ◦ (fv) ◦ w) : − u (fv)w +
1
2
T ( u(fv), w) = f (u ◦ v ◦ w) : − u vw +
1
2
T ( uv, w)
=⇒ (u ◦ v ◦ w) : = u vw −
1
2
T ( uv, w) + “other terms f-linear in u and v” (75)
This method clearly only highlights terms which must appear in the definition in order to
compensate for the Leibniz structure of the left hand side. There can therefore be any number
of other terms which are f-linear in u and v, hence the additional “+ other terms f-linear in u
and v.” Next consider (fw).
(u ◦ v ◦ (fw)) : = (u ◦ (v f w)) : + (u ◦ (fv ◦ w)) :
= u v f w : + v f u ◦ w : + u f v ◦ w : + f(u ◦ v ◦ w) :
= u v f w − v f uw + v f uw −
1
2
v f T (u, w) + u f vw
−
1
2
u f T (v, w) + f(u ◦ v ◦ w) :
= u v(fw) − f vw −
1
2
T (u, v(fw) − f vw) + u f vw − f u vw
−
1
2
T (v, u(fw) − f uw) + f(u ◦ v ◦ w) :
= u v(fw) − f u vw −
1
2
T (u, v(fw)) +
f
2
T (u, vw)
−
1
2
T (v, u(fw)) +
f
2
T (v, uw) + f(u ◦ v ◦ w) :
27
5.2 Third Order Vectors & the Connection
Hence
(u ◦ v ◦ (fw)) : − u v(fw) +
1
2
T (u, v(fw)) +
1
2
T (v, u(fw)) = f (u ◦ v ◦ w) : (76)
− u vw +
1
2
T (u, vw) +
1
2
T (v, uw)
Combining this result with (75)
=⇒ (u ◦ v ◦ w) : = u vw −
1
2
T ( uv, w) −
1
2
T (u, vw) −
1
2
T (v, uw) (77)
+ “other terms f-linear in u, v and w”
As before, f-linear terms must be accounted for. This is exactly equation (74).
This method uses nothing more than the Leibniz property of first order vectors and our def-
inition of second order vectors combining with the connection. With no other assumptions,
every term which is not f-linear in all of u, v and w has been attained. These terms just hap-
pen to look like a nice extension of the second order result, it may be there is an underlying
pattern. Roughly speaking, going from (v ◦ w) : to (u ◦ v ◦ w) : , vw → u vw and
T (v, w) → T ( uv, w) + T (u, vw) + T (v, uw). Even at this early stage, the pattern points
to a possible generalisation to nth order combination with the connection.
By definition of the connection and torsion tensors, all terms involving derivatives and squares
of torsion are f-linear in all of their arguments. This is the reason definition 29 includes cyclic
sums of both, with the unknown coefficients A through to F. Only these six terms are necessary
due to the antisymmetry of the torsion tensor. Unfortunately, the exact coefficients of these six
terms were never found due to lack of constraints. This problem will be addressed in detail in
sections 6 and 7. However, by considering (u ◦ v ◦ w) : in a torsion free regime, the exact
form of (u ◦ v ◦ w) : 0 can be fully justified. Assuming that lemma 28 holds, it may be that
at higher orders, object such as (V : )e only exist in the absence of torsion. If this is the case
it could point to something more fundamental, which at the current level of understanding is
being overlooked.
5.2.2 A Torsion Free Connection
Considering a torsion free connection makes for a greatly simplified problem, in this case it is
possible to take ¯T3 = 0 in equation (72). It will now be shown that by enforcing equations (68)
and (69), one arrives at the following definition.
Definition 31. Given u, v, w ∈ ΓTM and a torsion free connection 0 on M,
(u ◦ v ◦ w) : 0 ∈ ΓTM is such that
(u ◦ v ◦ w) : 0
= 0
u
0
vw −
1
3
R(u, v)w −
1
3
R(u, w)v (78)
It has been argued by looking at the coordinate form of (V : )e that (u◦v◦w) : 0, in addition
to u vw, will only involve curvature terms. It is not obvious however that these two particular
curvature terms should be in the definition at all, let alone be sure that they are indeed the
only curvature terms that can feature. This said, Bianchi’s first identity, equation (20) requires
28
5.2 Third Order Vectors & the Connection
that the cyclic sum of three curvature tensors be zero. This means no more than two terms
of a cyclic sum can appear. Using Bianchi again, these two cyclic terms can be written as the
negative of the third term in the cyclic sum, hence no two terms which are cyclic permutations
of each other can appear simultaneously. Furthermore there are only two ways to arrange u, v
and w such that their cyclic sums are independent. That is to say, the cyclic sum of (u, w, v) is
only different to (u, v, w), not for example (w, v, u). This is easily verified by writing down all
of the permutations. With these arguments alone, the following hypothesis can be made.
(u ◦ v ◦ w) : 0
= 0
u
0
vw + AR(u, v)w + BR(u, w)v (79)
Where A and B are constants. These constants can then be found using equations (68) and
(69). Instead of doing this calculation explicitly, it will simply be shown that (u ◦ v ◦ w) : 0
given by definition 31, does indeed satisfy both equations.
Lemma 32. Consider a torsion free connection 0 on M and (u ◦ v ◦ w) : 0 ∈ ΓTM such
that (u ◦ v ◦ w) : 0 = 0
u
0
vw − 1
3R(u, v)w − 1
3R(u, w)v. Then
u ◦ v ◦ w : 0
− v ◦ u ◦ w : 0
− [u, v] ◦ w : 0
= 0 (80)
u ◦ v ◦ w : 0
− u ◦ w ◦ v : 0
− u ◦ [v, w] : 0
= 0 (81)
Proof. Beginning with the left hand side of (80).
u ◦ v ◦ w : 0
− v ◦ u ◦ w : 0
− [u, v] ◦ w : 0
= 0
u
0
vw −
1
3
R(u, v)w −
1
3
R(u, w)v
− 0
v
0
uw −
1
3
R(v, u)w −
1
3
R(v, w)u − 0
[u,v]w
= 0
u
0
vw − 0
v
0
uw − 0
[u,v]w −
1
3
R(u, v)w −
1
3
R(u, w)v
+
1
3
R(v, u)w +
1
3
R(v, w)u
= R(u, v)w −
2
3
R(u, v)w +
1
3
R(v, w)u +
1
3
R(w, u)v
=
1
3
R(u, v)w + R(v, w)u + R(w, u)v = 0
By Bianchi’s first identity, equation (20). Now onto the left hand side of (81).
u ◦ v ◦ w : 0
− u ◦ w ◦ v : 0
− u ◦ [v, w] : 0
= 0
u
0
vw −
1
3
R(u, v)w −
1
3
R(u, w)v
− 0
u
0
wv −
1
3
R(u, w)v −
1
3
R(u, v)w − 0
u[v, w]
= 0
u
0
vw − 0
wv − [v, w] −
1
3
R(u, v)w −
1
3
R(u, w)v
+
1
3
R(u, v)w +
1
3
R(u, w)v
= 0
u (T (v, w)) = 0
Since the connection is torsion free.
It would seem therefore that definition 31 correctly reflects how a third order vector combines
with a torsion free connection. For many applications in physics, a torsion free connection is all
that is required for a solid theory. As has already been mentioned, general relativity is based on
the idea of a torsion free connection[12]. There is also the Fundamental Theorem of Riemannian
29
5.3 Third Order Vectors & the Connection, a Scalar
geometry, revisited later in section 6.
The existence of these vectorial objects, constructed using the non-tensorial Christoffel symbols
along with second and third order vector components, is quite astonishing. A natural step
forward would be to look at whether vectors of this form exist when dealing with vectors of nth
order. The work done at these low orders strongly suggests the possibility of such a definition.
This topic will be discussed in greater detail in section 6.
5.3 Third Order Vectors & the Connection, a Scalar
It has now been explicitly shown that it is possible to combine higher order vectors with the
connection and construct a first order vector. During research it was found that it is also
possible to build a scalar quantity from higher order vector components and the Christoffel
symbols. There is no obvious way to do this with a first order vector, but at second order the
result can be written down almost trivially.
Definition 33. Given a second order vector field U ∈ ΓT2M such that U = Ua∂a + Uab
2 ∂2
ab,
a metric g ∈ Γ M and a general connection on M,
U
... =
Uab
2
gab (82)
Here a triple colon is used to distinguish this expression from the object (U : )e, which is of
course a vector. The claim is that U
... transforms as a scalar quantity. It was shown in section
4 that for a second order vector, the component Uab is a symmetric (2, 0) tensor. The metric
is by definition a symmetric (0, 2) tensor, hence when the two tensors are combined the indices
can be contracted and the result is a scalar. The right hand side of equation (82) also leads to
a nice coordinate free definition. Using the same approach as with the vectorial objects, the
specific case of U = v ◦ w is considered.
Definition 34. Given v, w ∈ ΓTM, a metric g ∈ Γ M and a general connection on
M, (v ◦ w)
... ∈ ΓΛ0M is such that
v ◦ w
... = g(v : , w : ) (83)
This definition is easily justified by expanding the right hand side of equation (82) into is fully
symmetric form introduced in lemma 23.
Lemma 35. Let a second order vector field U ∈ ΓT2M have components Uab = vawb+vbwa
and arbitrary Ua. Then
Uab
2
gab = g(v : , w : ) (84)
30
5.3 Third Order Vectors & the Connection, a Scalar
Proof.
Uab
2
gab =
1
2
(va
wb
+ vb
wa
)gab
=
1
2
(gabva
wb
+ gabvb
wa
)
=
1
2
(gabva
wb
+ gabva
wb
)
=
1
2
(2gabva
wb
)
= g(v, w) = g(v : , w : )
It would appear that definition 34 suggests a relationship between first and second order vectors
combining with the connection. Although this does imply the existence of some sort of inductive
definition for the combination of arbitrary order vectors and the connection, a first order vector
combining with the connection is a trivial result. Recall that u : = u. To show that there is
indeed a strong link between subsequent orders, higher orders must be investigated. A possible
definition is now given for a scalar constructed from a third order vector and the connection.
Definition 36. Given a third order vector field W ∈ ΓT3M such that W = Wa∂a +
Wab
2 ∂2
ab + Wabc
6 ∂3
abc and a general connection on M,
W
... = Wabc
Γcab + Wab
gab (85)
Where Γabc = gadΓd
bc are the Christoffel symbols of the first kind.
The existence of such a definition was a great surprise since the right hand side involves only
two of three possible third order components. For this reason, it would be expected that any
symmetry required to show the object’s invariance under coordinate transform, to be broken.
With the following lemma it is clear that this assumption is incorrect.
Lemma 37. Given a third order vector field W ∈ ΓT3M, the object W
... transforms as
a scalar quantity. That is to say
W
... = W
... (86)
Proof. Note the use of equation (45) for the Christoffel symbol of the first kind transformation
law.
W
... = ˆWαβγ ˆΓγαβ + ˆWαβ
ˆgαβ
= Wabc ∂yα
∂xa
∂yβ
∂xb
∂yγ
∂xc
∂xd
∂yα
∂xe
∂yβ
∂xf
∂yγ
Γfde + gde
∂2xd
∂yα∂yβ
∂xe
∂yγ
+ gde
∂xd
∂yα
∂xe
∂yβ
Wab ∂yα
∂xa
∂yβ
∂xb
+ Wabc 1
3
∂yα
∂xa
∂2yβ
∂xb∂xc
+
∂yα
∂xb
∂2yβ
∂xa∂xc
+
∂yβ
∂xc
∂2yα
∂xa∂xb
31
5.3 Third Order Vectors & the Connection, a Scalar
= Wabc
δd
aδe
b δf
c Γfde + Wabc
gdeδe
c
∂yα
∂xa
∂yβ
∂xb
∂2xd
∂yα∂yβ
+ Wab
gdeδd
aδe
b
+ Wabc
gde
1
3
δd
a
∂xe
∂yβ
∂2yβ
∂xb∂xc
+ δd
b
∂xe
∂yβ
∂2yβ
∂xa∂xc
+ δe
c
∂xd
∂yα
∂2yα
∂xa∂xb
= Wabc
Γcab + Wab
gab + Wabc
gdc
∂yα
∂xa
∂yβ
∂xb
∂2xd
∂yα∂yβ
+ Wabc
gae
1
3
∂xe
∂yβ
∂2yβ
∂xb∂xc
+ Wabc
gbe
1
3
∂xe
∂yβ
∂2yβ
∂xa∂xc
+ Wabc
gdc
1
3
∂xd
∂yα
∂2yα
∂xa∂xb
= W
... − Wabc
gdc
∂xd
∂yα
∂2yα
∂xa∂xb
+
1
3
Wabc
gae
∂xe
∂yβ
∂2yβ
∂xb∂xc
+ Wabc
gbe
∂xe
∂yβ
∂2yβ
∂xc∂xa
+ Wabc
gdc
∂xd
∂yα
∂2yα
∂xa∂xb
= W
... − Wabc
gcd
∂xd
∂yα
∂2yα
∂xa∂xb
+
1
3
Wcab
gcd
∂xd
∂yβ
∂2yβ
∂xa∂xb
+ Wbca
gcd
∂xd
∂yβ
∂2yβ
∂xa∂xb
+ Wabc
gcd
∂xd
∂yβ
∂2yβ
∂xa∂xb
= W
... − Wabc
gcd
∂xd
∂yβ
∂2yβ
∂xa∂xb
+
1
3
Wabc
gcd
∂xd
∂yβ
∂2yβ
∂xa∂xb
+
∂xd
∂yβ
∂2yβ
∂xa∂xb
+
∂xd
∂yβ
∂2yβ
∂xa∂xb
= W
... − Wabc
gcd
∂xd
∂yα
∂2yα
∂xa∂xb
+ Wabc
gcd
∂xd
∂yβ
∂2yβ
∂xa∂xb
= W
...
So what would be a coordinate free interpretation of this result, that is to say (u ◦ v ◦ w)
... ?
Unfortunately the same problem is encountered as was had when defining (V : )e. The
coordinate definition includes the fully symmetric component Wabc, an object which has proven
very difficult to interpret. In order for W
... to transform in the correct way, it is demonstrated
in the proof that the only symmetries required are Wabc = Wcab = Wbca. Notice that once
again, these are the cyclic permutations of abc. As before, it is easy to verify that the condition
Wabc = Wcab = Wbca is satisfied if
Wabc
= A ua
vb
wc
+ uc
va
wb
+ ub
vc
wa
+ B ub
va
wc
+ ua
vc
wb
+ uc
vb
wa
(87)
Where A and B are arbitrary constants. The component Wab should also be fully symmetric.
Referring back to the result of lemma 26, a suitable form for this component to take is
Wab
= C ub
vc ∂wa
∂xc
+ uc
wa ∂vb
∂xc
+ uc
vb ∂wa
∂xc
+ ua
vc ∂wb
∂xc
+ uc
wb ∂va
∂xc
+ uc
va ∂wb
∂xc
(88)
Where C is another constant. With this component interpretation, the following coordinate
free version of definition 36 can be proposed.
Definition 38. Given u, v, w ∈ ΓTM, a metric g ∈ Γ M and a general connection on
M, (u ◦ v ◦ w)
... ∈ ΓΛ0M is such that
u ◦ v ◦ w
... = 2 g u, vw + g v, uw + g w, uv (89)
− g u, T (v, w) + g v, T (u, w) + g w, T (u, v)
32
5.3 Third Order Vectors & the Connection, a Scalar
This definition is justified by considering the coordinate expression of W
... and is the starting
point of the next lemma. The right hand side has been written in this way so that the torsion
and torsion free parts of W
... are clear. Later, this definition will be rewritten in a simpler
form.
Lemma 39. Take a metric g ∈ Γ M and let a third order vector field W ∈ ΓT3M have
components given by (87), (88) and arbitrary Wa. Then
Wabc
Γcab + Wab
gab = 2 g u, vw + g v, uw + g w, uv (90)
− g u, T (v, w) + g v, T (u, w) + g w, T (u, v)
Proof.
Wabc
Γcab + Wab
gab = A ua
vb
wc
+ uc
va
wb
+ ub
vc
wa
+ B ub
va
wc
+ ua
vc
wb
+ uc
vb
wa
Γcab
+ C ub
vc ∂wa
∂xc
+ uc
wa ∂vb
∂xc
+ uc
vb ∂wa
∂xc
+ ua
vc ∂wb
∂xc
+ uc
wb ∂va
∂xc
+ uc
va ∂wb
∂xc
gab
= gcd A Γd
abua
vb
wc
+ Γd
abuc
va
wb
+ Γd
abub
vc
wa
+ B Γd
abub
va
wc
+ Γd
abua
vc
wb
+ Γd
abuc
vb
wa
+ C ud
ve ∂wc
∂xe
+ ue
wc ∂vd
∂xe
+ ue
vd ∂wc
∂xe
+ uc
ve ∂wd
∂xe
+ ue
wd ∂vc
∂xe
+ ue
vc ∂wd
∂xe
= gcd A wc
( uv)d
− ue ∂vd
∂xe
+ uc
( vw)d
− ve ∂wd
∂xe
+ vc
( wu)d
− we ∂ud
∂xe
+ B wc
( vu)d
− ve ∂ud
∂xe
+ vc
( uw)d
− ue ∂wd
∂xe
+ uc
( wv)d
− we ∂vd
∂xe
+ C ud
ve ∂wc
∂xe
+ ue
wc ∂vd
∂xe
+ ue
vd ∂wc
∂xe
+ uc
ve ∂wd
∂xe
+ ue
wd ∂vc
∂xe
+ ue
vc ∂wd
∂xe
= Ag(w, uv) + Ag(u, vw) + Ag(v, wu) + Bg(w, vu) + Bg(v, uw) + Bg(u, wv)
+ gcd Cue
wc ∂vd
∂xe
− Awc
ue ∂vd
∂xe
+ Cuc
ve ∂wd
∂xe
− Auc
ve ∂wd
∂xe
+ Cue
vc ∂wd
∂xe
− Bue
vc ∂wd
∂xe
+ Cud
ve ∂wc
∂xe
− Bud
we ∂vc
∂xe
+ Cvd
ue ∂wc
∂xe
− Avd
we ∂uc
∂xe
+ Cwd
ue ∂vc
∂xe
− Bwd
ve ∂uc
∂xe
Taking A = B = C = 1.
= g(w, uv) + g(u, vw) + g(v, wu) + g(w, vu) + g(v, uw) + g(u, wv)
+ gcd ud
ve ∂wc
∂xe
− we ∂vc
∂xe
+ vd
ue ∂wc
∂xe
− we ∂uc
∂xe
+ wd
ue ∂vc
∂xe
− ve ∂uc
∂xe
= g(w, uv) + g(u, vw) + g(v, wu) + g(w, vu) + g(v, uw) + g(u, wv)
+ g([v, w], u) + g([u, w], v) + g([u, v], w)
= g(u, vw + wv + [v, w]) + g(v, wu + uw + [u, w]) + g(w, uv + vu + [u, v])
= g u, 2 vw − T (v, w) + g v, 2 uw − T (u, w) + g w, 2 uv − T (u, v)
= 2 g u, vw + g v, uw + g w, uv − g u, T (v, w) + g v, T (u, w) + g w, T (u, v)
33
5.3 Third Order Vectors & the Connection, a Scalar
Since during the proof it is taken that A = B = C = 1, notice that the coefficient Wabc originally
assumed to be cyclicly symmetric, actually turns out to be fully symmetric. That is to say,
invariant under all permutations of abc. Now that this coordinate free result has been shown, it
was previously mentioned that definition 38 can be rewritten in a more elegant fashion. Simply
by rearranging the right hand side of (89) and dividing by 2 one has the following.
Definition 40. Given u, v, w ∈ ΓTM, a metric g ∈ Γ M and a general connection
on M, (u ◦ v ◦ w)
... ∈ ΓΛ0M is such that
1
2
u ◦ v ◦ w
... = g u, v ◦ w : + g v, u ◦ w : + g w, u ◦ v : (91)
This result shows that there is indeed some sort of link between third order vectors combining
with the connection, and second order vectors combining with the connection. The existence
of such a coordinate free relationship only strengthens the claim that an inductive definition
for combining arbitrary order vectors and the connection is possible. Using coordinates alone
it would be almost impossible to spot this relationship.
In this section, suggestions have been made for coordinate and coordinate free definitions which
demonstrate how first, second and third order vectors can be combined with the connection
to form both scalar, U
... and vector quantities, (U : )e. Working with these low orders, a
relationship between subsequent orders has been found by expressing U
... in terms of (U : )e
for various U ∈ ΓT2M. Next, the most important results of the research are discussed and
their possible applications to physics considered.
34
6 Analysis & Discussion
This section will act as an overall review of the main results presented in the report so far, which
are believed to be original. There will also be a more in depth discussion about the possible
physical applications of the work.
6.1 Discussion of Results
Beginning first of all with the vectorial quantity (U : )c for U ∈ ΓT2M.
Result 1. (Lemma). Given a second order vector field U ∈ ΓT2M such that U = Ua∂a +
Uab
2 ∂2
ab and a general connection on M,
(U : )c
=
Uab
2
Γc
ab + Uc
(92)
is a vector quantity.
Result 2. (Definition). Given v, w ∈ ΓTM and a general connection on manifold M,
(v ◦ w) : ∈ ΓTM is such that
(v ◦ w) : = vw −
1
2
T (v, w) (93)
Going from the coordinate, to the coordinate free definition in the second order case was straight-
forward after noticing the link between the symmetry of the coefficient Uab and the torsion.
The fact that Uab must equal Uba meant that Uab could not just be proportional to vawb, but
had to be proportional to vawb + vbwa. In the coordinate expression (result 1), this term is
multiplied by a Christoffel symbol Γc
ab. For a general connection of course, Γc
ab = Γc
ba hence
the definition of (v ◦ w) : is forced to contain a torsion term. Notice that for a torsion free
connection, (v ◦ w) : reduces to the covariant derivative of w in the direction of v.
Now (V : )e for V ∈ ΓT3M is considered.
Result 3. (Lemma). Given a third order vector field V ∈ ΓT3M such that V = V a∂a +
V ab
2 ∂2
ab + V abc
6 ∂3
abc and a general connection on M,
(V : )e
=
V abc
6
Γd
abΓe
cd + ∂cΓe
ab +
V ab
2
Γe
ab + V e
(94)
is a vector quantity.
Result 4. (Definition). Given u, v, w ∈ ΓTM and a torsion free connection 0 on M,
(u ◦ v ◦ w) : 0 ∈ ΓTM is such that
(u ◦ v ◦ w) : 0
= 0
u
0
vw −
1
3
R(u, v)w −
1
3
R(u, w)v (95)
A different set of methods were required to extract a coordinate free definition from (V : )e,
due to the complexity of the symmetric expansion of V abc. From f-linearity requirements alone,
35
6.1 Discussion of Results
it was shown that (u ◦ v ◦ w) : must consist of terms f-linear in all arguments, along with
three terms of the form T ( −−, −). Using the first Bianchi identity and equations (68) and
(69), it was found that two of the f-linear terms must be curvature tensors. This was enough to
fully define (u ◦ v ◦ w) : in the case of a torsion free connection, result 4. This expression ties
together the concepts of curvature and third order vectors, a relationship which is believed has
not been recognised before. Due to lack of time and methods, the exact form of (u ◦ v ◦ w) :
for a general connection was not found. All known identities that (u ◦ v ◦ w) : should satisfy
were exhausted calculating the first six terms. Looking back to definition 29, this left 6 unknown
coefficients after symmetry considerations.
As well as combining higher order vectors with the connection to form vectorial quantities, it
was also found that it is possible to construct scalars. For this kind of object, the notation
W
... was introduced. The case where W ∈ ΓT2M was found trivially.
Result 5. (Lemma). Given a second order vector field W ∈ ΓT2M such that W = Wa∂a +
Wab
2 ∂2
ab, a metric g ∈ Γ M and a general connection on M,
W
... =
Wab
2
gab (96)
is a scalar quantity.
Result 6. (Definition). Given v, w ∈ ΓTM, a metric g ∈ Γ M and a general connection
on M, (v ◦ w)
... ∈ ΓΛ0M is such that
(v ◦ w)
... = g(v : , w : ) (97)
This was the first expression to be found relating vectors of subsequent orders combining with
the connection. By brute force calculation directly from the coordinate definition, third order
analogues of results 5 and 6 were found.
Result 7. (Lemma). Given a third order vector field W ∈ ΓT3M such that W = Wa∂a +
Wab
2 ∂2
ab + Wabc
6 ∂3
abc and a general connection on M,
W
... = Wabc
Γcab + Wab
gab (98)
is a scalar quantity.
Result 8. (Definition). Given u, v, w ∈ ΓTM, a metric g ∈ Γ M and a general connec-
tion on M, (u ◦ v ◦ w)
... ∈ ΓΛ0M is such that
1
2
u ◦ v ◦ w
... = g u, v ◦ w : + g v, u ◦ w : + g w, u ◦ v : (99)
Results 6 and 8 are perhaps the most important to come out of the research. Both not only show
that it is possible to move between W : and W
... , but more importantly relate first/second
36
6.2 Physical Applications
order vectors combining with the connection and second/third order vectors combining with
the connection respectively. As has already been highlighted, this points to a possible inductive
definition which combines arbitrary order vectors and the connection.
All eight of these results have arisen from a natural relationship between the connection and
the higher order vector components. It has been shown that both the Christoffel symbols
and higher order vector components are in general non-tensorial. Take the specific example of
U ∈ ΓT2M with first component, Ua. Under a change of coordinate frame, both transform
with a piece which is tensorial and an additional non-linear piece, dependant on second order
derivatives of each coordinate function. Combining the two together in the right way has the
effect of cancelling out the additional, non-tensorial term. It was explained in section 3.3 that
the fundamental reason for this cancellation is their dual jet space relationship.
6.2 Physical Applications
The study of higher order vectors is fairly abstract, yet it has been shown that combining them
with the connection leads to relationships between them and useful, measurable geometric
quantities. Covariant derivatives, curvature and torsion lend themselves well to the study of
gravity, where the nature of the space in question has direct consequence in the theory. General
relativity for example has the geodesic deviation equation. This equation states that the only
way gravity can be ‘measured’ is to look at the curvature of the manifold in which a test particle
moves[12]. It is natural then to expect, that it may be possible to express some equations from
Einstein’s theory, in terms of these new coordinate free objects. In lemma 41, the condition
which a vector must satisfy in order for it to be Killing is rewritten. A vector u ∈ ΓTM is
Killing if Lug = 0, that is to say that the Lie derivative of the metric in the direction of u is
zero[12]. Every Killing vector corresponds to a conserved quantity in the spacetime described
by g, energy or momentum for example[12]. It is straightforward to show assuming metric
compatibility and using the Leibniz rule that
Lug = 0 =⇒ u g(v, w) = g [u, v], w + g v, [u, w] (100)
For all v and w.
Lemma 41. Consider first order vectors u, v, w ∈ ΓTM, a metric g ∈ Γ M and a metric
compatible connection on M. u is a Killing vector if
u g(v, w) =
1
2
[u, v] ◦ w
... +
1
2
[u, w] ◦ v
... (101)
Proof. Beginning with equation (100). u is a Killing vector if for all v and w it satisfies
u g(v, w) = g [u, v], w + g v, [u, w] (102)
Now consider the following.
1
2
u ◦ v ◦ w
... −
1
2
v ◦ u ◦ w
... = g u, v ◦ w : + g v, u ◦ w : + g w, u ◦ v :
− g v, u ◦ w : − g u, v ◦ w : − g w, v ◦ u :
= g w, u ◦ v : − g w, v ◦ u :
= g w, [u, v] : = g w, [u, v]
37
6.2 Physical Applications
Then immediately by relabelling.
1
2
u ◦ w ◦ v
... −
1
2
w ◦ u ◦ v
... = g v, [u, w]
Substituting these two expressions directly into equation (102) gives
u g(v, w) =
1
2
u ◦ v ◦ w
... −
1
2
v ◦ u ◦ w
... +
1
2
u ◦ w ◦ v
... −
1
2
w ◦ u ◦ v
...
=
1
2
u ◦ v ◦ w − v ◦ u ◦ w
... +
1
2
u ◦ w ◦ v − w ◦ u ◦ v
...
=
1
2
[u, v] ◦ w
... +
1
2
[u, w] ◦ v
...
This is a nice result which involves both of the new second and third order scalar objects.
A possible application of the vectorial objects (U : )c in a similar area of physics, are to new
cosmological models. The method for doing such modelling usually begins with the construction
of a Lagrangian, which is then integrated to obtain the action. The equations which define the
physical laws of the universe in question, are obtained by finding the stationary points of the
action. In theory, the Lagrangian contains all of the necessary information for a complete
description of the physical system. For a given universe, it is sensible to require that the
Lagrangian be invariant under Lorentz group transformations. This assures that any equations
of motion respect special relativity. The requirement is satisfied by the following Lagrangian
which yields Maxwell’s equations in a vacuum[16].
LMaxwell = −
1
2
dA ∧ dA + A ∧ J (103)
Where A is the electromagnetic potential 1-form and J is the 4-current 1-form. The advantage
of using coordinate free language to write down this Lagrangian is that Lorentz invariance is
automatically built in. With this in mind, the following cosmological Lagrangian featuring
U ∈ ΓT2M such that U = v ◦ w for v, w ∈ ΓTM, can be suggested.
LT2M = κ1d(U : ) ∧ d(U : ) + κ2(U : ) ∧ (U : ) (104)
The first term is dynamical and the second corresponds to the field mass, each have a coupling
of κ1 and κ2 respectively. This is in complete analogy with the Lagrangian for a massive scalar
field given in (118). In accordance with equation (103), wedging each of the two forms must
give an overall 4-form. This can be achieved by setting (U : ) to be a 1-form on M. The
manifold M is 4-dimensional, which means that (U : ) is in fact a 3-form on M. The degrees
therefore add correctly when the two forms are wedged together. It is straightforward to check
that having (U : ) as a 1-form ensures that the dynamical term is also an overall 4-form. A
more detailed discussion of exterior calculus can be found in appendix section A.
By writing down this Lagrangian, second order vectors are being viewed as possible new sources
of matter. Looking back to the coordinate free result, result 2, this could be seen as a fairly
reasonable suggestion. The expression is written in terms of curvature and torsion, both of
which are quantities which play a central role in general relativity and Einstein-Cartan theory
respectively. The Einstein-Cartan model of gravity is similar to general relativity but with non-
zero torsion. It is believed that torsion may feature in a theory of gravity in order to capture
38
the effects of matter with spin[4]. It was suggested in a 2010 paper by Poplawski that torsion
can not only remove the big bang singularity, but also explain cosmic inflation by relaxing the
torsion free condition in the Friedman equations[13]. It has been shown in this report that even
when combining just second order vectors with the connection, a linear torsion is introduced
naturally. It is possible that the universe described by equation (104) has no big bang singular-
ity, but preserves all of the observed properties of general relativity. It is not just gravitational
models which make use of torsion. Another example is in the modelling of crystal defects in the
continuum, more specifically dislocations and disclinations[3]. The properties of such a space
lend themselves well to a description through torsion[3].
By the same justification as was used to write down LT2M, a second Lagrangian involving a
third order vector V ∈ ΓT3M such that V = u ◦ v ◦ w for u, v, w ∈ ΓTM, can be suggested.
LT3M = κ1d(V : ) ∧ d(V : ) + κ2(V : ) ∧ (V : ) (105)
Due to the definition of a third order vector combining with a general connection being incom-
plete, this Lagrangian would correspond to a torsion free theory. The Fundamental Theorem
of Riemannian geometry states however that given a metric, there is a unique connection on it
which is metric compatible and torsion free[11]. There is no reason to believe therefore that a
Lagrangian of this form, would not predict anything new or of consequence.
7 Conclusion
It has been shown that it is possible to combine higher order vectors and the connection in
such a way, that the resulting objects are expressible in terms of useful geometric quantities.
These results were formed on the assumption that such objects must exist, given the natural
relationship between the connection and higher order vectors, which becomes evident when the
respective transformation laws are compared. The coordinate definitions of these new objects
were obtained by writing down expressions involving products of Christoffel symbols and higher
order vector components, while ensuring the correct number of free indices to indicate vector and
scalar quantities. Once these expression were explicitly proven to be tensorial, the coordinate
free definitions were obtained by considering the special cases of second and third order vectors,
v◦w ∈ ΓT2M and u◦v◦w ∈ ΓT3M. In all but one case, complete definitions were obtained for
general connections by simply respecting the symmetries of the higher order components. This
approach was unsuccessful for the third order vectorial object, where new methods to decipher
the exact form had to be found. With 2 equations involving the Lie bracket, f-linearity and
symmetry considerations, and the Bianchi identities, the problem was reduced from 13 to 6
unknowns. From this a complete torsion free definition could be extracted. As explained, it
may be that the elusiveness of a definition fully inclusive of torsion, despite the result of lemma
28, implies some deeper problem which is currently being overlooked. The final outcome is a
set of coordinate free definitions showing how second and third order vectors can be combined
with the connection to obtain 2 vector quantities and 2 scalar quantities.
The physical implications of these definitions were discussed at length in section 6.2, highlighting
possible applications to gravitational and cosmological theories. It is the natural occurrence of
torsion in the definitions, a frequently overlooked quantity, which could lead to new predictions
in these fields. In order to draw something physical from a Lagrangian however, it must first be
integrated and varied. To extract anything meaningful from equations (104) and (105) would
39
therefore require a method of computing the functional derivative of U : . Such mathematics
has not yet been developed. Finally, notice that a significant portion of the work features a
connection and no metric. Questions can therefore be asked about the possibility of building a
manifold abstractly, with a connection and no metric.
If this work were to be taken further, the ultimate goal would be an inductive definition which
describes how an nth order vector can be combined with the connection in a coordinate free
way. Results 6 and 8 which relate higher order vectors of subsequent order combining with the
connection, only support the existence of such a definition. Looking at the first, second and
third order vectorial combinations with the connection, there is a clear pattern emerging. An
nth order definition is likely to be of the following form.
(u1 ◦ · · · ◦ un) : = u1 · · · un−1 un + Sn (106)
Where u1, · · · , un ∈ ΓTM and Sn : [ΓTM]n → ΓTM. That is to say Sn is a function which
takes n first order vectors and gives a first order vector. It is also reasonable to assume that
Sn will be made up completely of curvature and torsion tensors, along with their higher order
covariant derivatives and products. Sn may contain for example
( u1 · · · u4 u5 T )( u6 · · · un−4 un−3 un−2, un−1 un) (107)
Indeed, any combination of torsions, curvatures and del operators which can accommodate n
first order vectors are a possibility. It is clear from the rate of increase in complexity of Sn, that
working with higher orders would require a computer program. For example, the next logical
step would be to investigate (u1 ◦ u2 ◦ u3 ◦ u4) : , S4 could contain any of the following.
−R(−, −)−
( − −T )(−, −)
T ( −−, −−)
R(T (−, −), −)−
R( −−, −)−
( −T )( −−, −)
T (T (−, −), T (−, −))
R(−, −)T (−, −)
R(−, −) −−
( −T )(T (−, −), −)
T (T (T (−, −), −), −)
T (R(−, −)−, −)
Before taking into account any symmetries in the arguments of the vectors, there are 4! ways
in which 4 first order vectors can be placed into each of the slots. That makes for a grand
total of 288 unknowns. Furthermore, even with the aid of a computer program, solving such an
expression for the exact definition would require 288 conditions. Recall that for the third order
case there were still 6 unknowns, with no known method to reduce this number any further. A
possible solution which, due to lack of time was never developed far enough to contribute, is
observing that a general connection can be written in the following form.
= + αQ , α ∈ R, Q ∈ Γ M (108)
This is a one parameter family of diffeomorphisms. If for example it is chosen that the connection
be completely torsion free, it is straightforward to show that taking α = 1/2 and Q = T
satisfies this choice.
= +
1
2
T (109)
The connection is still any general connection. Equation (108) could be used to substitute
for in the incomplete coordinate free definition of (u ◦ v ◦ w) : . By then carefully choosing
different values of α, it may be that the remaining 6 unknowns could be extracted.
This masters project has been successful in defining two ways in which first, second and third
order vectors can be combined with the connection to form tensorial quantities. It is fair to
say that if equipped with the correct techniques, there are many ways in which the research
could be taken forward and continued. However, what more can efficiently be achieved without
the development of appropriate computational methods or a completely different approach, is
limited.
40
8 Glossary of Notation
This section acts as a quick reference for all
notation used in this report, that is to say no
rigorous definitions are given.
Multi-Index Notation
Given I = [i1, · · · , iq], then unless otherwise
stated.
|I| = i1 + · · · + iq , ||I|| = len{I} (110)
I! = i1! · · · iq! , xI
= xi1
1 · · · x
iq
q (111)
The multi-index partial derivative.
DI
=
∂
∂xi1
1
· · ·
∂
∂x
iq
q
(112)
Basic Latin and Greek Script
This excludes all types of vector and other ten-
sor spaces.
Notation Explanation
M A manifold.
m Dimension of M.
p A point on M.
n Order of a vector.
k Degree of a form.
a, b, c, · · · α, β, γ, · · · Free/dummy indices.
q, r Natural numbers.
I, J Multi-indices.
i1, · · · , iq Indices contained in I.
κq Coupling constants.
Vectors and Vector/Tensor Spaces
1st Order Vector nth Order Vector Scalar k-Form
At a Point, p u, v, w ∈ TpM U, V, W ∈ Tn
p M f|p, g|p, h|p n/a
At all Points u, v, w ∈ TM U, V, W ∈ TnM n/a n/a
Field u, v, w ∈ ΓTM U, V, W ∈ ΓT2M f, g, h, λ ∈ ΓΛ0M µ, ν, η ∈ ΓΛkM
‘At all points’ refers to the following disjoint
union, the set of all vectors at all points.
TM =
p∈M
TpM (113)
The set Γ M denotes the space of all tensor
fields on M.
Other Spaces, Objects & Operations
Coordinate Coordinate Free Explanation
ua∂af u f An arbitrary vector acting upon a scalar.
Not required. µ : v A arbitrary 1-form acting upon a vector.
Γcab, Γc
ab Not required. 1st and 2nd kind Christoffel symbols.
Not required. / 0 A general/torsion free connection.
T c
ab / uavbT c
ab T / T (u, v) Torsion tensor.
Rd
abc / ubvcwaRd
abc R / R(u, v)w Curvature tensor.
gab g(u, v) The metric tensor.
Not required. Jrf/(Jrf)∗ rth order jet/dual of jet of scalar f.
Not required. rϕ Element of rth order jet of scalar f.
ua∂a(vb∂b) u ◦ v Vector u operating/acting on vector v.
(U : )e
U :
Higher order vector combining with the
connection to form a vector.
W
... W
...
Higher order vector combining with the
connection to form a scalar.
Not required. Lu The Lie derivative in direction of u.
Not required. ˜g The metric dual.
Not required. The Hodge star operator.
Not required. d The exterior derivative.
Not required. ∧ The wedge product.
Not required. A/J Electromagnetic potential/4-current 1-forms.
41
Appendices
A Exterior Calculus
In section 6.2, possible applications of the work are discussed. In one example, two Lagrangians
are written down and analysed using aspects of differential geometry which are not required
anywhere else during the main research phase. These are the exterior derivative ‘d’, the metric
dual ‘˜g,’ the wedge product ‘∧’ and the Hodge star operator ‘ ’. For the purposes of this report,
that is to say in order to understand the Lagrangian application, only a basic knowledge of
these ideas is necessary. If a formal definition is not essential, it has not been included.
The wedge product, ∧. This operation allows higher degree differential forms to be con-
structed from 1-forms (as introduced in section 2.2). To build a 4-form for example, the type
required for Lagrangians (104) and (105), two 1-forms are first wedged together to give a 2-
form. Next, two of these 2-forms can be wedged to give an overall 4-form. In general the wedge
product can be seen as the following function[11].
Definition 42. Given µ ∈ ΓΛkM and ν ∈ ΓΛqM, the wedge product is a function ∧ : ΓΛkM×
ΓΛqM → ΓΛk+qM, with (µ, ν) → µ∧ν such that it is associative and has graded commutativity.
µ ∧ ν = (−1)kq
ν ∧ µ (114)
It is also plus and f-linear in all of its arguments.
Higher degree differential forms are a far more well established tool in physics and mathematics
than higher order vectors. It has already been mentioned that it is possible to reduce Maxwell’s
equations down to just two expressions. To do this the electric and magnetic fields are combined
into a single ‘electromagnetic’ 2-form[12].
Equipped with the wedge product and keeping in mind the 1-form basis introduced in section
2.2, the coordinate expression for a general k-form can be written down[12].
Lemma 43. Given an m-dimensional manifold M with coordinates (x1, · · · , xm) and multi-
indexed scalar fields fI ∈ ΓΛ0M, a general k-form on M, µ ∈ ΓΛkM can be expressed
µ =
1
k!
fIdxI
, dxI
= dxi1
∧ · · · ∧ dxim
(115)
The factor of 1
k! is to account for the symmetry in the wedge product due to its graded com-
mutativity. This coordinate expression will be used when talking about the Hodge star.
Hodge star, . Although this operator is used in Lagrangians (104) and (105) which are
coordinate free, for the purposes of the project it is best to define the Hodge star using index
notation. A succinct coordinate free definition by induction does exist, however it requires the
concept of internal contraction which does not feature in the report. The action of the Hodge
star on a general k-form is calculated in the following way[2].
Lemma 44. Given an m-dimensional manifold M with metric g ∈ Γ M, multi-indexed
scalar fields fI ∈ ΓΛ0M and a general k-form µ ∈ ΓΛkM such that µ = 1
k!fIdxI,
µ =
det(g)
k!(m − k)
gi1j1
· · · gikjk
εj1···jkjk+1···jm fi1···ik
dxjk+1
∧ · · · ∧ dxjm
(116)
Where εj1···jkjk+1···jm is the Levi-Civita symbol.
42
The Hodge star is therefore a function : ΓΛkM → ΓΛm−kM, taking a k-form and producing
an (m−k)-form. Most notably its definition is dependant on the choice of metric and dimension
of the manifold. Taking the wedge product of a form with its own Hodge dual results in a form
of maximum degree in that particular space. This is the property which has been used in the
discussion section to construct the two Lagrangians.
Exterior derivative, d. The exterior derivative is an operator which allows the degree of a
form to be increased by 1. As with most coordinate free objects, d can be defined as a function
which obeys a set of rules. Here it is sufficient to understand how the exterior derivative of a
differential form can be calculated using a coordinate basis[6][12].
Lemma 45. Given an m-dimensional manifold M with coordinates (x1, · · · , xm), multi-indexed
scalar fields fI ∈ ΓΛ0M and a general k-form µ ∈ ΓΛkM such that µ = 1
k!fIdxI,
dµ =
1
k!
∂fI
∂xj
dxj
∧ dxI
(117)
The original k-form has become a (k + 1)-form. It is straightforward to show that d2 = 0 due
to the equality of mixed partial derivatives[6]. If classical vectors in R3 are viewed as 1-forms,
this property can be used to demonstrate the well known result × g = 0, where g is any
well behaved scalar field[6]. The exterior derivative is used in Lagrangians (104) and (105) to
construct a kinetic term. This is in complete analogy with how kinetic and mass terms are built
into Lagrangians in quantum field theory. The Lagrangian for a free scalar field ψ with mass λ
is given by[17]
L =
1
2
(∂a
ψ)(∂aψ) −
1
2
λ2
ψ2
(118)
Using the differential geometric approach, partial derivative ∂a has been replaced by exterior
derivative d.
Metric dual, ˜g. The metric dual provides a way to transition between differential 1-forms and
first order vectors and vice-versa. The dual of a 1-form field µ ∈ ΓΛ1M for example, is denoted
˜µ and is a vector field. Formally, it is best understood through its coordinate free definition[7].
Definition 46. Given µ ∈ ΓΛ1M and ν ∈ ΓΛ1M and metric g ∈ Γ M, the metric dual is
a function ˜g : ΓΛ1M × ΓΛ1M → ΓΛ0M, with (µ, ν) → ˜g(µ, ν) such that
˜g(µ, ν) = g(˜µ, ˜ν) (119)
Such an operation therefore makes it possible to apply the work done with vectors in the research
phase of the project, to a covariant Lagrangian formalism.
43
REFERENCES
References
[1] Aghasi, M; Dodson, C; Galanis, G. & Suri, A. (2006). Infinite-dimensional second order
ordinary differential equations via T2M. Nonlinear Analysis 67(10). 2829-2838.
[2] Barrett, T. & Grimes, D. (1995). Advanced Electromagnetism: Foundations, Theory and
Applications. Singapore: World Scientific Publishing Co. Pte. Ltd.
[3] Bennett, D; Das, C; Laperashvili, H. & Nielsen, H. (2013). The relation between the model
of a crystal with defects and Plebanski’s theory of gravity. International Journal of Modern
Physics A 28(13). pp.1350044.
[4] Cartan, E. (1922) Sur une g´en´eralisation de la notion de courbure de Riemann et les espaces
`a torsion. Comptes Rendue Acad. Sci. 174. 593-595.
[5] Duval, C. & Ovsienko, V. (1997). Space of Second-Order Linear Differential Operators as
a Module over the Lie Algebra of Vector Fields. Advances in Mathematics 132, 316-331.
[6] Flanders, H. (1963). Differential Geometry with Applications to the Physical Sciences. New
York: Dover Publishing.
[7] G¨ockeler, M. & Sch¨ucker, T. (1989). Differential Geometry, Gauge Theories and Gravity.
Cambridge: Cambridge University Press.
[8] Jensen, S. (2005). General Relativity with Torsion: Extending Wald’s Chapter on Curva-
ture. Chicago: University of Chicago.
[9] K¨onigsberger, K. (2004). Analysis 2. Berlin: Springer-Verlag.
[10] Landau, L. & Lifshitz, L. (1987). Fluid Mechanics, Volume 6 of Course of Theoretical
Physics. Oxford: Pergamon Press.
[11] Lee, Jeffrey. (1956). Manifolds & Differential Geometry. Providence: American Mathemat-
ical Society.
[12] Misner, C; Thorne, K. & Wheeler, J. (1973). Gravitation. San Fransisco: W. H. Freeman.
[13] Poplawski, N. (2010). Cosmology with Torsion: An Alternative to Cosmic Inflation. Physics
Letters B 694(3). 181-185.
[14] Sardanashvily, G. (1994). Five Lectures on the Jet Methods in Field Theory. Moscow:
Department of Physics Moscow State University. arXiv:hep-th/9411089v1.
[15] Sardanashvily, G. (2009). Fibre Bundles, Jet Manifolds and Lagrangian Theory. Lec-
tures For Theoreticians. Moscow: Department of Physics Moscow State University.
arXiv:0908.1886.
[16] Stern, A; Tong, Y; Desbrun, M. & Marsden, J. (2008). Variational Integrators for Maxwell’s
Equations with Sources. arXiv:0803.2070v1.
[17] Thomson, M. (2013). Modern Particle Physics. Cambridge: Cambridge University Press.
44

SubmissionCopyAlexanderBooth

  • 1.
    PHYS451: MPhys ProjectFinal Report Non-tensorial Properties of Higher Order Vectors & Their Combination with the Connection Alexander C Booth Project Supervisor - Dr. Jonathan Gratus April 24, 2015 Abstract The concept of combining the connection with higher order vectors on a manifold is intro- duced, demonstrating two different ways in which this can be done. Definitions in both index and coordinate free representations are suggested, then written in terms of useful geometric quantities such as the torsion and curvature. Large emphasis is given to the methods which have been developed to deal with the problem of taking the definitions from coordinate to coordinate free. Some possible applications are described, most notably rewriting an equation from general relativity and viewing higher order vectors as a new source of matter. 1
  • 2.
    CONTENTS Contents 1 Introduction 3 2Preliminary Mathematics 4 2.1 Formal Treatment of Coordinate Systems & Taylor’s Theorem . . . . . . . . . . 4 2.2 First Order Vectors & 1-Forms . . . . . . . . . . . . . . . . . . . . . . . . . . . . 6 2.3 The Connection . . . . . . . . . . . . . . . . . . . . . . . . . . . . . . . . . . . . . 7 2.4 Torsion & Curvature . . . . . . . . . . . . . . . . . . . . . . . . . . . . . . . . . . 8 3 Introducing Higher Order Vectors 9 3.1 Second & Third Order Vectors . . . . . . . . . . . . . . . . . . . . . . . . . . . . 9 3.2 Vectors of Arbitrary Order . . . . . . . . . . . . . . . . . . . . . . . . . . . . . . 12 3.3 Jet Spaces . . . . . . . . . . . . . . . . . . . . . . . . . . . . . . . . . . . . . . . . 13 4 Investigation of Transformation Properties 15 4.1 The Christoffel Symbols . . . . . . . . . . . . . . . . . . . . . . . . . . . . . . . . 15 4.2 Second & Third Order Vectors . . . . . . . . . . . . . . . . . . . . . . . . . . . . 16 5 Combining Higher Order Vectors with the Connection 18 5.1 Second Order Vectors & the Connection . . . . . . . . . . . . . . . . . . . . . . . 18 5.2 Third Order Vectors & the Connection . . . . . . . . . . . . . . . . . . . . . . . . 21 5.3 Third Order Vectors & the Connection, a Scalar . . . . . . . . . . . . . . . . . . 30 6 Analysis & Discussion 35 6.1 Discussion of Results . . . . . . . . . . . . . . . . . . . . . . . . . . . . . . . . . . 35 6.2 Physical Applications . . . . . . . . . . . . . . . . . . . . . . . . . . . . . . . . . 37 7 Conclusion 39 8 Glossary of Notation 41 Appendices 42 A Exterior Calculus 42 References 44 2
  • 3.
    1 Introduction The connectionis a highly useful geometric object which appears in many areas of physics and mathematics. It is a idea that will be a familiar to many through its applications in gen- eral relativity and fluid physics, featuring in both the geodesic deviation and Navier-Stokes equations[10][12]. In these equations it acts as the covariant or directional derivative, providing a way of differentiating one vector field along another vector field on a manifold. A seeming unrelated concept at first is that of a higher order vector, introduced in a paper by Duval which studied differential operators on manifolds[5]. Their application to systems of ordinary differen- tial equations was then investigated by Aghasi et al in 2006, yet they remain a rather abstract concept[1]. Although higher order vectors do not lend themselves to an intuitive introduction, a natural relationship exists between them and connection. This relationship becomes evident when each of their transformation laws are calculated. It will be shown that both the connection and higher order vectors are non-tensorial, that is to say in general they are dependent on the choice of coordinate basis. With this shared property in mind, it can be asked whether the non- tensorial nature of the two objects can be exploited in such a way, that they can be combined to form an overall tensor. Tensors of course do not depend on the choice of basis, a property which makes them far more useful for constructing physical theories. This project began with nothing more than the assumption that such tensorial objects should exist, at least when working with the ‘lowest order,’ higher order vectors. The method then being to take products of the various non-tensorial objects in such a way that if searching for a vectorial component for example, only one free contravariant index is left. The transformation properties of this newly constructed object are then worked out by direct computation, confirming whether or not a true vector has been built. As far as we are aware, the combination of higher order vectors and the connection in this way has not been seen before. Up until this point, research has been centred around second and third order vectors. It is believed however that an inductive definition, describing how the connection and a vector of arbitrary order can be combined, does exist. This possibility will be explored in more detail in later sections. Throughout the project, classical tensor calculus is the primary technique which is used. This is the manipulation of tensorial and tensor-like objects using index notation. It is a very common algebraic method which features heavily at undergraduate level, in topics such as general rela- tivity. One of the main problems with this classical approach is that it requires reference to a coordinate system, which in turn means the introduction of a metric. From the project’s outset, the research has been focussed on defining in a coordinate free way, how higher order vectors can be combined with the connection. At least at low orders, our research has found that from this viewpoint, the concepts of torsion and curvature are naturally introduced. These are two physical quantities which play central roles in modern theories of nature. Curvature has long been considered in general relativity as the ‘source’ of gravity, whereas the possible significance of torsion was only more recently recognised[12]. Potential areas of application which could ex- ploit this natural appearance of torsion, are discussed more closely toward the end of the report. The description of objects and physical laws without reference to a basis is not a new idea. It is the foundation of a field known as differential geometry, an extremely powerful tool in theoretical physics. In this language for example, all four of Maxwell’s equations can be reduced to just two, describing fully relativistically, the electro-magnetic fields in any spacetime[12]. Furthermore, a classical vector is no longer defined by its transformation properties, but by a set of basic algebraic rules. It is believed that a coordinate free approach to higher order vectors has not yet been attempted. As well as the final definitions themselves, the report puts much emphasis on the process by which the definitions evolve from coordinate, to coordinate free. During research, a number of tools were developed to do this effectively. 3
  • 4.
    Many of thecoordinate free manipulations and definitions which appear in the project involve concepts which should be familiar. Basic knowledge of multivariable calculus along with covari- ant differentiation and tensors in index notation is assumed. However, to aid the reader who is unfamiliar with these ideas from the perspective of differential geometry, section 2 has been included. This is an in depth discussion which covers all of the necessary background mathe- matics, restated in coordinate free language. Also, appendix A has been written to support the use of exterior calculus seen briefly in section 6. With these two parts included, it is hoped that this document is completely self contained. That is to say, no reading beyond what is written herein should be required. Furthermore, there is wide use of both standard and non-standard notation. Any notation which is not explained in the main body of the report can be found in section 8, a comprehensive glossary of all notation. Finally, the paper’s key results have been highlighted by borders for quick reference. 2 Preliminary Mathematics 2.1 Formal Treatment of Coordinate Systems & Taylor’s Theorem Calculating transformation laws constitutes a large part of many sections in this report, it is important to discus therefore exactly what is meant by a coordinate system. A coordinate xa is simply a scalar function which takes a point p = (p1, · · · , pm) on an m-dimensional manifold M and maps it to a subset of R. It is assumed throughout that the manifold M is m-dimensional. A coordinate system therefore is just a set of m of these functions, (x1, · · · , xm). An alternative coordinate system is given by a different set of scalar functions y1(x1, · · · , xm), · · · , ym(x1, · · · , xm) , which are all functions of the old coordinate functions. The chain rule can therefore be used to relate an object O = O(x1, · · · , xm) in one coordinate system, to that same object ˆO = ˆO(y1, · · · , ym), in another coordinate system. This convention of ‘hatted’ and ‘un-hatted’ frames will be used throughout. For further clarity, when working in a hatted frame, Greek indices will be used. When working in an un-hatted frame, Latin indices will be used. Two incredibly useful relations that will be required when investigating transformation prop- erties will now be derived. Firstly, an expression relating the second order derivatives of frame (x1, · · · , xm) with respect to yα and second order derivatives of frame (y1, · · · , ym) with respect to xa. Lemma 1. Given two coordinate frames (x1, · · · , xm) and (y1, · · · , ym), the following relation holds true. ∂2yα ∂xa∂xb ∂xc ∂yα = − ∂yα ∂xa ∂yβ ∂xb ∂2xc ∂yα∂yβ (1) Proof. 0 = ∂ ∂xa δc b = ∂ ∂xa ∂yα ∂xb ∂xc ∂yα = ∂2yα ∂xa∂xb ∂xc ∂yα + ∂yβ ∂xb ∂ ∂xa ∂xc ∂yβ = ∂2yα ∂xa∂xb ∂xc ∂yα + ∂yβ ∂xb ∂yα ∂xa ∂2xc ∂yα∂yβ Rearranging the final line gives exactly (1). Now a slightly more complicated expression is considered, relating the third order coordinate partial derivatives. 4
  • 5.
    2.1 Formal Treatmentof Coordinate Systems & Taylor’s Theorem Lemma 2. Given two coordinate frames (x1, · · · , xm) and (y1, · · · , ym), the following relation holds true. ∂3y ∂xa∂xb∂xc = − ∂yγ ∂xc ∂y ∂xd ∂2yα ∂xa∂xb ∂2xd ∂yα∂yγ + ∂y ∂xd ∂yβ ∂xa ∂2yα ∂xb∂xc ∂2xd ∂yα∂yβ (2) + ∂y ∂xd ∂yα ∂xb ∂2yβ ∂xa∂xc ∂2xd ∂yα∂yβ + ∂yγ ∂xc ∂y ∂xd ∂yα ∂xb ∂yβ ∂xa ∂3xd ∂yα∂yβ∂yγ Proof. The result follows from partially differentiating each side of equation (1). Beginning with the left hand side. ∂ ∂yγ ∂2y ∂xa∂xb ∂xc ∂y = ∂xd ∂yγ ∂xc ∂y ∂3y ∂xa∂xd∂xb + ∂2y ∂xa∂xb ∂2xc ∂yγ∂y Now the right hand side. ∂ ∂yγ − ∂yα ∂xb ∂yβ ∂xa ∂2xc ∂yα∂yβ = − ∂xd ∂yγ ∂2yα ∂xb∂xd ∂yβ ∂xa ∂2xc ∂yα∂yβ + ∂xd ∂yγ ∂yα ∂xb ∂2yβ ∂xa∂xd ∂2xc ∂yα∂yβ + ∂yα ∂xb ∂yβ ∂xa ∂3xc ∂yα∂yβ∂yγ Rearranging and multiplying each side by ∂yγ ∂xf ∂y ∂xg gives ∂yγ ∂xf ∂y ∂xg ∂xd ∂yγ ∂xc ∂y ∂3y ∂xa∂xd∂xb = − ∂yγ ∂xf ∂y ∂xg ∂2yα ∂xa∂xb ∂2xc ∂yγ∂yα + ∂yγ ∂xf ∂y ∂xg ∂xd ∂yγ ∂2yα ∂xb∂xd ∂yβ ∂xa ∂2xc ∂yα∂yβ + ∂yγ ∂xf ∂y ∂xg ∂xd ∂yγ ∂yα ∂xb ∂2yβ ∂xa∂xd ∂2xc ∂yα∂yβ + ∂yγ ∂xf ∂y ∂xg ∂yα ∂xb ∂yβ ∂xa ∂3xc ∂yα∂yβ∂yγ =⇒ δd f δc g ∂3y ∂xa∂xd∂xb = − ∂yγ ∂xf ∂y ∂xg ∂2yα ∂xa∂xb ∂2xc ∂yγ∂yα + δd f ∂y ∂xg ∂2yα ∂xb∂xd ∂yβ ∂xa ∂2xc ∂yα∂yβ +δd f ∂y ∂xg ∂yα ∂xb ∂2yβ ∂xa∂xd ∂2xc ∂yα∂yβ + ∂yγ ∂xf ∂y ∂xg ∂yα ∂xb ∂yβ ∂xa ∂3xc ∂yα∂yβ∂yγ =⇒ ∂3y ∂xa∂xf ∂xb = − ∂yγ ∂xf ∂y ∂xg ∂2yα ∂xa∂xb ∂2xg ∂yγ∂yα + ∂y ∂xg ∂2yα ∂xb∂xf ∂yβ ∂xa ∂2xg ∂yα∂yβ + ∂y ∂xg ∂yα ∂xb ∂2yβ ∂xa∂xf ∂2xg ∂yα∂yβ + ∂yγ ∂xf ∂y ∂xg ∂yα ∂xb ∂yβ ∂xa ∂3xg ∂yα∂yβ∂yγ =⇒ ∂3y ∂xa∂xb∂xc = − ∂yγ ∂xc ∂y ∂xd ∂2yα ∂xa∂xb ∂2xd ∂yα∂yγ + ∂y ∂xd ∂2yα ∂xb∂xc ∂yβ ∂xa ∂2xd ∂yα∂yβ + ∂y ∂xd ∂yα ∂xb ∂2yβ ∂xa∂xc ∂2xd ∂yα∂yβ + ∂yγ ∂xc ∂y ∂xd ∂yα ∂xb ∂yβ ∂xa ∂3xd ∂yα∂yβ∂yγ This is exactly equation (2). Since only the transformation properties of vectors up to and including third order are dealt with in this report, there is no need for any higher order relationships. In section 3, the most general basis of a third order vector is stated and proved. Central to this proof is the following version of Taylor’s theorem[9]. 5
  • 6.
    2.2 First OrderVectors & 1-Forms Theorem 3. Given any function f ∈ ΓΛ0M that is differentiable at least q-times and described by coordinates (x1, · · · , xm), it can be expressed about the point p = (0, · · · , 0) as f(x1 , · · · , xm ) = |I|≤q DIf I! p xI + |I|=q EI(x1 , · · · , xm )xI (3) Where E(x1, · · · , xm) is a finite error term with the property that it is continuous and lim xa→0 EI(x1 , · · · , xm ) = 0 (4) A full explanation of multi-index notation can be found in the glossary of notation, section 8. Equipped with this formal treatment of coordinate systems, vector fields are considered next. 2.2 First Order Vectors & 1-Forms Before talking about higher order vectors, it is useful to introduce the coordinate free definition of a ‘regular’ vector. Regular vectors refer to the type of vector usually dealt with in classic physics, such as those in mechanics. That is to say, in index notation they are defined as all objects u = ua ∂ ∂xa , whose components ua obey the following transformation law[12]. ˆuα = ∂yα ∂xa ua (5) For the remainder of the document, these vectors will be known as first order vectors. The claim that all first order vectors can be written in the form u = ua ∂ ∂xa will be covered by a more general theorem in section 3. In the language of differential geometry, a vector field v is defined as a function which takes a scalar field f and gives v f , a new scalar field[11]. Here angular brackets are used for clarity, avoiding any confusion between this type of action and simply listing a function and its variables. For example, g(x, y) is a scalar field in x and y. In order for this to be a full and completely equivalent definition of a vector field, the function must satisfy two properties[11]. Definition 4. Given f, g ∈ ΓΛ0M, a vector field v ∈ ΓTM is a function v : ΓΛ0M → ΓΛ0M, with v : f → v f such that it satisfies v f + g = v f + v g (6) v fg = fv g + gv f (7) Equation (6) ensures that a vector acting upon a sum of scalar fields, gives a sum of the vector acting on each scalar. This is known as plus linearity. Equation (7) says that a vector acting upon a product of scalars obeys the Leibniz rule. Useful to keep in mind, yet far less important for the purposes of this project are 1-form fields. They are defined in a similar way to vector fields but instead of following a Leibniz rule, they are ‘f-linear’[11]. Definition 5. Given f ∈ ΓΛ0M and v, w ∈ ΓTM, a 1-form field µ ∈ ΓΛ1M is a function µ : ΓTM → ΓΛ0M, with (v) → µ : v such that it satisfies µ : (v + w) = µ : v + µ : w (8) µ : (fv) = fµ : v (9) 6
  • 7.
    2.3 The Connection Intuitivelyif a particular operation is f-linear, it means that a scalar field can be ‘pulled out’ of the operation. This is what is shown in equation (9). Exactly what is meant by f-linearity will become clear as the report moves forward. An alternative definition of a tensor for example is to view them as objects that are both plus and f-linear. Note the use of the colon, also seen later in the project to represent a higher order vector combining with the connection. In complete analogy with a first order vector field, given an m-dimensional manifold M with coordinates (x1, · · · , xm), dxa for a = 1, · · · , m denotes a 1-form basis on this manifold[12]. It is possible to construct differential forms of arbitrary degree, the process by which this is done is explained in section A. These higher order differential forms are a far more well established tool in mathematics and physics than higher order vectors. 2.3 The Connection Of central importance to this project is the connection, appearing greatly in sections 5 onwards. As previously explained, when dealing with vectors it is sometimes called the covariant derivative and represents differentiation of one vector field along another. This research only considers the combination of the connection with first and higher order vectors, although its action is defined on any tensor. Before considering the connection in a coordinate free way, it is useful to look at it using index notation. To do this, the following objects must be defined. Definition 6. Given a general connection on M, Γc ab = ∂a ∂b xc (10) Are the Christoffel Symbols of the second kind[11]. It can be shown that given a metric compatible and torsion free connection, the Christoffel symbols are objects which can be written as a product of partial derivatives of the metric and the inverse metric[11]. Metric compatibility describes the condition that the covariant derivative of the metric is zero. In this project, the explicit form of these symbols is never required. With definition 6 in mind and using classical tensor analysis, the covariant derivative of a vector v ∈ ΓTM in the direction of a vector u ∈ ΓTM can be calculated. ( uv)c = ua ∂a vb ∂b c = ua ∂a vb c ∂b + ua vb ∂a ∂b c (11) The covariant derivative of vb, ∂a vb is just the partial derivative of vb with respect to xa and using equation (10) it follows that ( uv)c = ua ∂vc ∂xa + ua vb Γc ab = u vc + ua vb Γc ab (12) As with a first order vector, defining the connection in a coordinate free way involves viewing it as a function[11][12]. Definition 7. Given first order vector fields u, v, w ∈ ΓTM and f ∈ ΓΛ0M, a general con- nection on M is a function : ΓTM × ΓTM → ΓTM, with (u, v) → uv such that it satisfies u (v + w) = uv + uw u (fv) = u f v + f uv (13) (u+w)v = uv + wv (fu)v = f uv (14) The equations in (13) ensure that the connection is plus linear and Leibniz in the vector being differentiated. The equations in (14) on the other hand ensure that it is plus linear in the direction being differentiated in, but instead of being Leibniz in this argument it is f-linear. One further piece of notation featuring later in the text is 0, which is used to denote a torsion free connection. 7
  • 8.
    2.4 Torsion &Curvature 2.4 Torsion & Curvature Torsion and curvature are both tensorial quantities which appear in differential geometry, pro- viding a way to quantify the warped nature of a particular manifold. Although Einstein’s theory of gravity assumes a Levi-Civita connection, that is to say a connection which is metric compatible and torsion free, curvature plays a central role. The Riemann curvature tensor fea- tures explicitly not only in Einstein’s equation but also the geodesic deviation equation. This relation quantifies the tidal forces between particles on neighbouring geodesics, a second or- der effect[12]. It would be reasonable to assume therefore that somewhere in their definitions, second derivatives and products of derivatives are involved. Definition 8. Given first order vector fields u, v, w ∈ ΓTM, the curvature R of a connection on M, is a function R : ΓTM × ΓTM × ΓTM → ΓTM, with (u, v, w) → R(u, v)w such that R(u, v)w = u vw − v uw − [u,v]w (15) It is plus and f-linear in all of its arguments. This object is sometimes known as the curvature vector[11]. The equivalent coordinate expres- sion, viewing the curvature as a classical (1, 3) tensor is given by the following equation[12]. Re bac = Γd abΓe cd + ∂aΓe cb − Γd cbΓe ad − ∂cΓe ab (16) This report mostly deals with the coordinate free result. Despite Einstein’s gravity only talking about the Levi-Civita connection, where possible in the report, new objects are kept completely general. There are many alternative theories of gravity such as Einstein-Cartan theory, which do involve torsion[4]. As such, the torsion tensor is now defined[11][12]. Definition 9. Given first order vector fields u, v ∈ ΓTM, the torsion T of a connection on M is a function T : ΓTM × ΓTM → ΓTM, with (u, v) → T (u, v) such that T (u, v) = uv − vu − [u, v] (17) It is plus and f-linear in all of its arguments. As a classical tensor[12]. T c ab = Γc ab − Γc ba (18) Both the torsion and the curvature will be seen again in section 5, where an equation relating the two will be required. An expression which does just this is Bianchi’s First Identity[8]. Ω R(u, v)w = Ω ( uT )(v, w) + T (T (u, v), w) (19) Here Ω denotes the cyclic sum over u, v and w. Most notably when working in the torsion free regime, this immediately reduces rather nicely to the following[12]. R(u, v)w + R(w, u)v + R(v, w)u = 0 (20) All of the tools which form the foundation of the report’s proofs and definitions have now been introduced. Next it is shown how higher order vectors are defined mathematically. 8
  • 9.
    3 Introducing HigherOrder Vectors The main focus of this thesis is higher order vectors. There is a complete theory surrounding differential forms of arbitrary order, yet work on arbitrary order vectors rarely features in the literature. As has been mentioned, the notion of a higher order operator was introduced by Duval in 1997 and their application to ordinary differential equations was recognised shortly after[1][5]. All of what are believed to be new results established in this project, involve second and third order vector fields. In the first part of this section therefore, particular attention is paid to these. The second part of this section, section 3.2, introduces how higher order vectors can be defined in general. Such a definition would be necessary if our research were to be extended to arbitrary orders. 3.1 Second & Third Order Vectors Beginning with the most simple extension to regular vector fields, second order vector fields. The space of all second order vector fields is denoted ΓT2M. As with first order vectors, it is possible to define them in a coordinate free way by means of a plus linearity condition and Leibniz rule. Definition 10. Given f, g ∈ ΓΛ0M, a second order vector field U ∈ ΓT2M is a function U : ΓΛ0M → ΓΛ0M, with U : f → U f such that it satisfies U f + g = U f + U g (21) U fg = fU g + gU f + U(1,1) f, g (22) Where U(1,1) −, − : ΓΛ0 M × ΓΛ0 M → ΓΛ0 M , U(1,1) ∈ Γ (TM ⊗ TM) (23) It is clear that this definition is similar to that of a first order vector field, equation (22) however says that second order vector fields do not obey the standard Leibniz rule. When acting upon a product of scalar fields there is the usual Leibniz part fU g +gU f as would be expected, but then an extra term U(1,1) f, g . This object belongs to the set Γ (TM ⊗ TM) and is defined as a function U(1,1) −, − : ΓΛ0M × ΓΛ0M → ΓΛ0M. These two properties mean that it is itself Leibniz in both arguments. That is to say given h ∈ ΓΛ0M also U(1,1) fg, h = fU(1,1) g, h + gU(1,1) f, h , U(1,1) f, gh = gU(1,1) f, h + hU(1,1) f, g (24) Many will have written down a second order vector without realising. The Lie bracket of vectors for example u, v , itself a vector, when written in a coordinate free way expands as u, v f = u v f − v u f = u ◦ v f − v ◦ u f = (u ◦ v − v ◦ u) f (25) Here the new notation u ◦ v is introduced, meaning ‘u operate v’. It is straightforward to show that the object u ◦ v is a second order vector (see section 5.1). This simple example also highlights the fact that it is possible to write a first order vector as a linear combination of second order vectors. Not only does this rule extend to higher order vectors but implies that ΓTM ⊂ ΓT2M. When looking for a general basis for this new space, it should include terms similar to those bases of a first order vector. It will be proven at third order, but for now simply stated in lemma 11, the most general form a second order vector field can take. 9
  • 10.
    3.1 Second &Third Order Vectors Lemma 11. Any second order vector field U ∈ ΓT2M can be expressed U = Ua ∂ ∂xa + Uab 2 ∂2 ∂xa∂xb (26) Where Ua = U xa , Uab = U(1,1) xa , xb (27) Proof. This result will follow immediately from lemma 13, since ΓT2M ⊂ ΓT3M. That is to say, a second order vector is effectively a special case of a third order vector. It is useful to note the symmetry Uab = Uba due to the equality of mixed partial derivatives. This observation will be a of great importance in later sections. Such a basis makes sense if second order vectors are viewed in analogy with differential forms. An example of a basis element for a general 2-form is dxa ∧ dxb (see appendix A), ∂2 ab can be written ∂a ◦ ∂b. The transformation and symmetry properties of second order vector fields can be exploited in such a way, that they can be combined with the connection to give a new first order vector field. This will be demonstrated in section 5. A third order vector field will now be defined, the extension is not as obvious as perhaps would be expected. Definition 12. Given f, g ∈ ΓΛ0M, a third order vector field V ∈ ΓT3M is a function V : ΓΛ0M → ΓΛ0M, with V : f → V f such that it satisfies V f + g = V f + V g (28) V fg = fV g + gV f + V(1,2) f, g + V(2,1) f, g (29) Where V(1,2) −, − : ΓΛ0 M × ΓΛ0 M → ΓΛ0 M , V(1,2) ∈ Γ TM ⊗ T2 M (30) V(2,1) −, − : ΓΛ0 M × ΓΛ0 M → ΓΛ0 M , V(2,1) ∈ Γ T2 M ⊗ TM (31) Defining V(1,2) and V(2,1) as belonging to sets Γ TM ⊗ T2M and Γ T2M ⊗ TM respectively means that V(1,2) is Leibniz in its first argument but not in its second and V(2,1) is Leibniz in its second but not in its first. This is best interpreted by introducing the following quantity. V(1,1,1) −, −, − : ΓΛ0 M×ΓΛ0 M×ΓΛ0 M → ΓΛ0 M , V(1,1,1) ∈ Γ (TM ⊗ TM ⊗ TM) (32) This object is Leibniz in all of its arguments and is analogous to the additional term in equation (22). With this in mind and taking f, g, h ∈ ΓΛ0M, the Leibniz properties of V(1,2) can be written down less abstractly. V(1,2) fg, h = fV(1,2) g, h + gV(1,2) f, h (33) V(1,2) f, gh = gV(1,2) f, h + hV(1,2) f, g + V(1,1,1) f, g, h (34) Similar equations apply for V(2,1). To see why such a definition may be reasonable, consider the specific case that V ∈ ΓT3M is such that for u ∈ ΓTM and U ∈ ΓT2M, V = u◦U. It is shown later in lemma 26 that u ◦ U is indeed a third order vector field. Simply using the definition V fg = fV g + gV f + V(1,2) f, g + V(2,1) f, g (35) 10
  • 11.
    3.1 Second &Third Order Vectors = f(u ◦ U) g + g(u ◦ U) f + 1 2 (u ⊗ U) f, g + (U ⊗ u) f, g Writing it in this way and comparing the two lines, it is clear to see why V(1,2) −, − would be Leibniz in the first argument and V(2,1) −, − Leibniz in the second argument. Definition 12 can be used to show that third order vectors have the following basis in general. Lemma 13. Any third order vector field V ∈ ΓT3M can be expressed V = V a ∂ ∂xa + V ab 2 ∂2 ∂xa∂xb + V abc 6 ∂3 ∂xa∂xb∂xc (36) Where V a = V xa , V ab = V(1,2) xa , xb + V(2,1) xa , xb , V abc = V(1,1,1) xa , xb , xc (37) Proof. To prove this result requires Taylor theorem as stated in theorem 3, to express f ∈ ΓΛ0M about point p ∈ M. The action of a general third order vector on this scalar field will then be considered. It will be shown that the lemma holds for a third order vector, V ∈ T3 p M at point p = (0, · · · , 0). This is sufficient since there is always the freedom to chose the origin of the coordinate system used. Furthermore the third order vector basis only involves derivatives up to third order, this means the error term can be introduced at this order. Hence, f(x1 , · · · , xm ) = f p + ∂f ∂xa p xa + 1 2 ∂2f ∂xa∂xb p xa xb + 1 6 ∂3f ∂xa∂xb∂xc p xa xb xc + Eabcxa xb xc (38) Therefore V f = V f p + xa ∂af p + 1 2 xa xb ∂2 abf p + 1 6 xa xb xc ∂3 abcf p + Eabcxa xb xc = V f p + V xa ∂af p + V 1 2 xa xb ∂2 abf p + V 1 6 xa xb xc ∂3 abcf p + V Eabcxa xb xc = 0 + xa p V ∂af p + ∂af p V xa + V(1,2) xa , ∂af p + V(2,1) xa , ∂af p + 1 2 (xa xb ) p V ∂2 abf p + ∂2 abf p V xa xb + V(1,2) xa xb , ∂af p + V(2,1) xa xb , ∂af p + 1 6 (xa xb xc ) p V ∂3 abcf p + ∂3 abcf p V xa xb xc + V(1,2) xa xb xc , ∂af p + V(2,1) xa xb xc , ∂af p + Eabc p V xa xb xc + (xa xb xc ) p V Eabc + V(1,2) Eabc, xa xb xc + V(2,1) Eabc, xa xb xc When a vector acts upon a constant, the result is 0. In addition recall that point p is in fact the origin, therefore all coordinate functions evaluated at p are zero. Finally, by definition of the error function in Taylor’s theorem (see theorem 3), it is zero in the limit that (x1, · · · , xm) tends to (0, · · · , 0). Applying all of these observations implies that V f = ∂af p V xa + 1 2 ∂2 abf p V xa xb + 1 6 ∂3 abcf p V xa xb xc + V(1,2) Eabc, xa xb xc + V(2,1) Eabc, xa xb xc 11
  • 12.
    3.2 Vectors ofArbitrary Order = ∂af p V xa + 1 2 ∂2 abf p xa p V xb + xb p V xa + V(1,2) xa , xb + V(2,1) xa , xb + 1 6 ∂3 abcf p (xb xc ) p V xa + xa p V xb xc + V(1,2) xa , xb xc + V(2,1) xa , xb xc + xa p V(1,2) Eabc, xb xc + (xb xc ) p V(1,2) Eabc, xa + V(1,1,1) Eabc, xa , xb xc + xa p V(2,1) Eabc, xb xc + (xb xc ) p V(2,1) Eabc, xa = ∂af p V xa + 1 2 ∂2 abf p V(1,2) xa , xb + V(2,1) xa , xb + 1 6 ∂3 abcf p V(1,2) xa , xb xc + V(2,1) xa , xb xc + V(1,1,1) Eabc, xa , xb xc = ∂af p V xa + 1 2 ∂2 abf p V(1,2) xa , xb + V(2,1) xa , xb + 1 6 ∂3 abcf p xb p V(1,2) xa , xc + xc p V(1,2) xa , xb + V(1,1,1) xa , xb , xc + xb p V(2,1) xa , xc + xc p V(2,1) xa , xb + xb p V(1,1,1) Eabc, xa , xc + xc p V(1,1,1) Eabc, xa , xb = ∂af p V xa + 1 2 ∂2 abf p V(1,2) xa , xb + V(2,1) xa , xb + 1 6 ∂3 abcf p V(1,1,1) xa , xb , xc = V xa ∂a + 1 2 V(1,2) xa , xb + V(2,1) xa , xb ∂2 ab + 1 6 V(1,1,1) xa , xb , xc ∂3 abc f p = V a p ∂a + 1 2 V ab p ∂2 ab + 1 6 V abc p ∂3 abc f p Since this is true for all f V = V a p ∂a + 1 2 V ab p ∂2 ab + 1 6 V abc p ∂3 abc (39) This expression is equation (36) evaluated at point p. A vector field is simply a collection of vectors at points, therefore lemma 13 holds. As with the basis of second order vector fields, this basis makes sense by analogy with three form fields, whose basis is of the form dxa ∧ dxb ∧ dxc. Third order vector fields become very important in section 5. Like second order vector fields, their specific transformation properties and natural symmetry of coefficients can be exploited. Note once again that V ab = V ba and V abc = V cba = V cab = · · · . They can be combined with the connection to construct both vectorial and non-trivial scalar quantities. It will next be shown how a vector of nth order can be defined. 3.2 Vectors of Arbitrary Order Comparing the different bases of first, second and third order vector fields which have already been seen, there is a clear pattern emerging. Although this report will not explicitly use vectors of fourth order and above, such a definition would be useful if research in this area were to be taken any further. The definition of an nth order vector field will now be given in a form introduced by Gratus, Banachek, Ross and Rose but is as yet unpublished. Definitions 10 and 12 are of course specific cases of this more general definition. 12
  • 13.
    3.3 Jet Spaces Definition14. Given f, g ∈ ΓΛ0M, an nth order vector field W ∈ ΓTnM is a function W : ΓΛ0M → ΓΛ0M, with W : f → W f such that it satisfies W f + g = W f + W g (40) W fg = fW g + gW f + a+b=n W(a,b) f, g (41) Where W(a,b) −, − : ΓΛ0 M × ΓΛ0 M → ΓΛ0 M , W(a,b) ∈ Γ Ta M ⊗ Tb M (42) In the case of a first order vector field n = 1, W(i,j) = 0 for all i and j since ΓT0M is not explicitly defined. The summation runs over all possible combinations of a and b such that a + b = n. It is clear to see that at large orders, things quickly become complicated. Take for example W ∈ ΓT5M, equation (41) will include a term of the form W(3,2) ∈ Γ T3M ⊗ T2M . In order to do any meaningful calculations, W(3,2) must be broken down into terms which are Leibniz in most or all of their arguments, using a similar approach to that seen in the third order case. The most general basis of an nth order vector is as one would expect by extension of lemmas 11 and 13. The proof of the exact expression is however beyond the level of the report and is largely irrelevant since our research involves vectors of order no higher than three. 3.3 Jet Spaces It has been repeatedly highlighted that it is the specific transformation properties of higher order vector components and the connection, which allows them to be combined in a meaningful way. The foundation of this ‘natural relationship’ is in prolongation and jet spaces. Here a brief overview of these ideas is presented. Consider first of all a scalar function f : M → R such that f = f(x1, · · · , xm). The rth order jet space of f is denoted Jr(M → R) and is best understood by considering the first few values of r. The zero jet of f, J0(M → R) is simply the set of all functions {f : M → R} and is the bundle R × M over M[15]. It can be described therefore by coordinates (x1, · · · , xm, f), meaning that the dimension of this jet space is m + 1. Higher order jets can then be defined in a similar way, the table below shows the next three orders of jets of f along with their corresponding coordinate system and dimension. The fractions which appear in the expressions for the dimension of each space, are there to account for the symmetries fab = fba, fabc = fbca = fcab = · · · and so on. Jets of f. Bundle. Coordinate System. a, b, c ∈ [1, · · · , m] Dimension. J0(M → R) R × M (xa, f) m + 1 J1(M → R) R × T∗M (xa, f, fa) 2m + 1 J2(M → R) - (xa, f, fa, fab) 1 2m2 + 2m + 1 J3(M → R) - (xa, f, fa, fab, fabc) 1 6m3 + 1 2m2 + 2m + 1 Table 1: Jets of f. Here T∗M refers to the dual space of TM. Now take for example the third order jet of f, J3f and consider the most general form of the third order vector V ∈ ΓT3M shown in equation (36). Given an element of this jet space 3ϕ = (xa, ϕ, ϕa, ϕab, ϕabc) and the higher order vector components V a, V ab and V abc, they can be combined in the following way. V : 3 ϕ = V • f(3 ϕ) + V a fa(3 ϕ) + 1 2 V ab fab(3 ϕ) + 1 6 V abc fabc(3 ϕ) (43) 13
  • 14.
    3.3 Jet Spaces WhereV • is known as the secular component and is included in some definitions of higher order vectors. Duval’s work on differential operators for example does include this term[5]. In this report however it was decided that the term be quotiented out of the higher order vector space. This is equivalent to taking V • = 0. An element of the third order jet space is said to be the third prolongation of f, if all of the Latin subscripts correspond to partial differentiation. That is to say, fa(3ϕ) = ∂aϕ, fab(3ϕ) = ∂2 abϕ and so on. If it is assumed that in equation (43), V • = 0 and it is the prolongation being dealt with then V : 3 ϕ = V a ∂ϕ ∂xa + 1 2 V ab ∂2ϕ ∂xa∂xb + 1 6 V abc ∂3ϕ ∂xa∂xb∂xc = V ϕ That is to say, combining a third order vector with the third prolongation of f (secular term quotiented out), corresponds to our definition of a higher order vector acting upon a scalar field. The third order vector components therefore belong to the dual of jet J3f, denoted (J3f)∗. It will later be shown in section 5 that taking combinations of higher order vector compo- nents and the connection, leads to the cancellation of non-tensorial terms. This is because the Christoffel symbols which ultimately define the connection, belong to the first order jet space on M. That is to say given a connection on M, Γ : M → J1M where J1M is the set of all first order jets on M[14]. 14
  • 15.
    4 Investigation ofTransformation Properties Equipped with the coordinate free definitions of second and third order vectors and having shown what their most natural coordinate bases look like, their transformation properties can be calculated. These transformation laws are the main motivation for this work, highlighting an intimate relationship between the Christoffel symbols and certain higher order vector com- ponents. This section requires the proper treatment of coordinates as in section 2.1, yet most of the results are achieved simply by repeated application of the chain rule. 4.1 The Christoffel Symbols It is well known that the Christoffel symbols are not tensorial, yet the derivation of this result is usually done using the Levi-Civita expression for the symbols. That is to say, assuming that the connection is metric compatible and torsion free. Here the relationship is shown using just the definition of Γc ab in terms of the connection. Lemma 15. Consider the Christoffel symbols of the second kind, Γc ab on an m-dimensional manifold M in coordinate frame (x1, · · · , xm). In another coordinate frame (y1, · · · , ym), the Christoffel symbols are denoted ˆΓγ αβ. The symbols in each frame are related in the following way. ˆΓγ αβ = ∂xa ∂yα ∂xb ∂yβ ∂yγ ∂xc Γc ab + ∂yγ ∂xd ∂2xd ∂yα∂yβ (44) Proof. ˆΓγ αβ = ˆ∂α ˆ∂β yγ = ∂ ∂yα ∂ ∂yβ yγ = ∂ ∂yα ∂xb ∂yβ ∂ ∂xb yγ = ∂2xb ∂yα∂yβ ∂ ∂xb + ∂xb ∂yβ ∂xa ∂yα ∂ ∂xa ∂ ∂xb yγ = ∂2xb ∂yα∂yβ ∂ ∂xb yγ + ∂xa ∂yα ∂xb ∂yβ ∂ ∂xa ∂ ∂xb yγ = ∂2xb ∂yα∂yβ ∂yγ ∂xb + ∂xa ∂yα ∂xb ∂yβ ∂ ∂xa ∂ ∂xb ∂yγ ∂xc xc = ∂yγ ∂xd ∂2xd ∂yα∂yβ + ∂xa ∂yα ∂xb ∂yβ ∂yγ ∂xc Γc ab The Christoffel symbols therefore transform into two terms. There is a tensorial term as would be expected from a (1, 2) tensor and one extra term dependent on a second order partial deriva- tive. If tensorial expressions are to be formed from the Christoffel symbols and other objects, then these other objects must transform in a way such that this additional term is ‘cancelled out.’ It turns out that the higher order vector components are what is required. It is straightforward to show that the Christoffel symbols of the first kind, defined in terms of the second kind and metric tensor as Γcab = gcdΓd ab transform in a similar fashion. ˆΓγαβ = ∂xa ∂yα ∂xb ∂yβ ∂xc ∂yγ Γcab + gab ∂2xa ∂yα∂yβ ∂xb ∂yγ (45) This relation will be useful when investigating combining a higher order vectors with the con- nection to obtain a scalar quantity. 15
  • 16.
    4.2 Second &Third Order Vectors 4.2 Second & Third Order Vectors It has been demonstrated that the Christoffel symbols transform as a (1, 2) tensor with the addition of an extra term dependent on the second derivative. It will now be shown that the Ua component of a second order vector shares a similar property. To do this, the invariance of scalar fields under a change of coordinate system is used. By definition, for f ∈ ΓΛ0M and U ∈ ΓTnM, U f ∈ ΓΛ0M also. That is to say for two coordinate frames, hatted and un-hatted U f = ˆU ˆf (46) With this in mind, the following lemma is proposed. Lemma 16. Consider a second order vector field U ∈ ΓT2M with components Ua and Uab in coordinate frame (x1, · · · , xm). In another coordinate frame (y1, · · · , ym), its components are ˆUα and ˆUαβ. The components in each frame are related in the following way. ˆUα = Ua ∂yα ∂xa + Uab 1 2 ∂2yα ∂xa∂xb , ˆUαβ = Uab ∂yα ∂xa ∂yβ ∂xb (47) Proof. For f ∈ ΓΛ0M ˆU ˆf = ˆUα ∂ ˆf ∂yα + ˆUαβ 1 2 ∂2 ˆf ∂yα∂yβ = ˆUα ∂xa ∂yα ∂f ∂xa + ˆUαβ 1 2 ∂ ∂yα ∂xb ∂yβ ∂f ∂xb = ˆUα ∂xa ∂yα ∂f ∂xa + ˆUαβ 1 2 ∂2xb ∂yα∂yβ ∂f ∂xb + ∂xa ∂yα ∂xb ∂yβ ∂2f ∂xa∂xb = ˆUα ∂xa ∂yα + ˆUαβ 1 2 ∂2xa ∂yα∂yβ ∂f ∂xa + ˆUαβ 1 2 ∂xa ∂yα ∂xb ∂yβ ∂2f ∂xa∂xb The right hand side must be equal to U f by (46), therefore ˆUα ∂xa ∂yα + ˆUαβ 1 2 ∂2xa ∂yα∂yβ ∂f ∂xa + ˆUαβ 1 2 ∂xa ∂yα ∂xb ∂yβ ∂2f ∂xa∂xb = Ua ∂f ∂xa + Uab 1 2 ∂2f ∂xa∂xb (48) Since the expression is true for all f, by comparing the coefficients of ∂af and ∂2 abf, then using the freedom to relabel and interchange the hatted and un-hatted frame yields exactly (47). Notice that the expression for ˆUα involves a tensorial term and a term dependent on a second order derivative of yα. The non-tensorial term yielded by the Christoffel symbols is a second derivative of xa, however it was shown in section 2.1 that there is a simple expression, equation (1) relating the two. The transformation laws for the components of a third order vector, V ∈ ΓT3M are now considered. Although more complex, a similar sort of pattern is followed. 16
  • 17.
    4.2 Second &Third Order Vectors Lemma 17. Consider a third order vector field V ∈ ΓT3M with components V a, V ab and V abc in coordinate frame (x1, · · · , xm). In another coordinate frame (y1, · · · , ym), its components are ˆV α, ˆV αβ and ˆV αβγ. The components in each frame are related in the following way. ˆV α = V a ∂yα ∂xa + V ab 1 2 ∂2yα ∂xa∂xb + V abc 1 6 ∂3yα ∂xa∂xb∂xc ˆV αβγ = V abc ∂yα ∂xa ∂yβ ∂xb ∂yγ ∂xc (49) ˆV αβ = V ab ∂yα ∂xa ∂yβ ∂xb + V abc 1 3 ∂yα ∂xa ∂2yβ ∂xb∂xc + ∂yα ∂xb ∂2yβ ∂xa∂xc + ∂yβ ∂xc ∂2yα ∂xa∂xb (50) Proof. ˆV ˆf = ˆV α ∂ ˆf ∂yα + ˆV αβ 1 2 ∂2 ˆf ∂yα∂yβ + ˆV αβγ 1 6 ∂3 ˆf ∂yα∂yβ∂yγ = ˆV α ∂xa ∂yα ∂f ∂xa + ˆV αβ 1 2 ∂ ∂yα ∂xb ∂yβ ∂f ∂xb + ˆV αβγ 1 6 ∂ ∂yα ∂ ∂yβ ∂xc ∂yγ ∂f ∂xc = ˆV α ∂xa ∂yα ∂f ∂xa + ˆV αβ 1 2 ∂2xb ∂yα∂yβ ∂f ∂xb + ∂xa ∂yα ∂xb ∂yβ ∂2f ∂xa∂xb + ˆV αβγ 1 6 ∂ ∂yα ∂2xc ∂yβ∂yγ ∂f ∂xc + ∂xb ∂yβ ∂xc ∂yγ ∂2f ∂xb∂xc = ˆV α ∂xa ∂yα ∂f ∂xa + ˆV αβ 1 2 ∂2xb ∂yα∂yβ ∂f ∂xb + ∂xa ∂yα ∂xb ∂yβ ∂2f ∂xa∂xb + ˆV αβγ 1 6 ∂3xc ∂yα∂yβ∂yγ ∂f ∂xc + ∂2xc ∂yβ∂yγ ∂xa ∂yα ∂2f ∂xa∂xc + ∂xa ∂yα ∂xb ∂yβ ∂xc ∂yγ ∂3f ∂xa∂xb∂xc + ∂xb ∂yβ ∂2xc ∂yα∂yγ ∂2f ∂xb∂xc + ∂2xb ∂yα∂yβ ∂xc ∂yγ ∂2f ∂xb∂xc = ˆV α ∂xa ∂yα + ˆV αβ 1 2 ∂2xa ∂yα∂yβ + ˆV αβγ 1 6 ∂3xa ∂yα∂yβ∂yγ ∂f ∂xa + ˆV αβ ∂xa ∂yα ∂xb ∂yβ + ˆV αβγ 1 3 ∂2xa ∂yα∂yβ ∂xb ∂yγ + ∂xa ∂yβ ∂2xb ∂yα∂yγ + ∂2xb ∂yβ∂yγ ∂xa ∂yα 1 2 ∂2f ∂xa∂xb + ˆV αβγ ∂xa ∂yα ∂xb ∂yβ ∂xc ∂yγ 1 6 ∂3f ∂xa∂xb∂xc As with the second order vector transformation laws, by (46) the right hand side must be equal to V f for all f. The freedom to relabel and interchange the frames can be used again yielding exactly equations (49) and (50) by comparing coefficients. Taking U and V to be the higher order vectors used in lemmas 16 and 17, one can see that the ‘largest order coefficients’ Uab and V abc both transform tensorially. Each of the other coefficients have a tensorial piece and extra terms involving partial derivatives, whose maximum degree corresponds to the order of the vector. The transformation of V a for example yields third order partial derivatives of ya. This means that to form a vector quantity from V a and a linear combination of other objects, one of these other objects must involve a third order partial derivative of xa when transformed. It will later be seen that the derivative of a Christoffel symbol provides such a term. 17
  • 18.
    5 Combining HigherOrder Vectors with the Connection In the last section, it was shown that some of the components of second and third order vectors transform in a similar way to the Christoffel symbols for a general connection. With these transformation properties in mind, one can ask the following question. Is it possible to build a tensorial object from a sum of terms, composed of these vector components and Christoffel symbols? In this section it is shown that many of these combinations do indeed exist. Since it is transformation laws that are being dealt with, it is far more intuitive to start working in index notation. Once a new object has been established, it is then a case of working backwards to extract a sensible coordinate free definition. This is the method of approach used through- out this section of research. It is believed that all of the material presented in this section is completely new and absent from the literature. It is sensible to demonstrate first of all, how a first order vector combines with the connection. This result is included here as it can almost be trivially defined. The combination is largely uninteresting, however allows the introduction of the colon notation used throughout. Definition 18. Given a first order vector field u ∈ ΓTM and a general connection on M, u : = u (51) This definition alone does not hold any new mathematics, but will be required later when it is extended to higher orders, becoming something more meaningful. 5.1 Second Order Vectors & the Connection The most basic object with a non-tensorial transformation property is the Ua component of a second order vector field U ∈ ΓT2M, as shown in section 4.2. With this in mind the following object is defined. Definition 19. Given a second order vector field U ∈ ΓT2M such that U = Ua∂a + Uab 2 ∂2 ab and a general connection on M, (U : )c = Uab 2 Γc ab + Uc (52) The choice of notation, that is to say the use of , will become clear when this object is defined in a coordinate free manner. It will now be shown that (U : )c transforms as a bona fide vector. Lemma 20. Given a second order vector U ∈ ΓT2M, the object (U : )c is a vector quantity. That is to say U : γ = ∂yγ ∂xc (U : )c (53) 18
  • 19.
    5.1 Second OrderVectors & the Connection Proof. U : γ = ˆUαβ 2 ˆΓγ αβ + ˆUγ = Uab 2 ∂yα ∂xa ∂yβ ∂xb ∂yγ ∂xc ∂xd ∂yα ∂xe ∂yβ Γc de + ∂yγ ∂xd ∂2xd ∂yα∂yβ + Ua ∂yγ ∂xa + Uab 1 2 ∂2yγ ∂xa∂xb = Uab 2 δd aδe b ∂yγ ∂xc Γc de + ∂yα ∂xa ∂yβ ∂xb ∂yγ ∂xd ∂2xd ∂yα∂yβ + ∂2yγ ∂xa∂xb + Ua ∂yγ ∂xa = Uab 2 ∂yγ ∂xc Γc ab − ∂2yγ ∂xa∂xb + ∂2yγ ∂xa∂xb + Ua ∂yγ ∂xa = ∂yγ ∂xc Uab 2 Γc ab + Uc = ∂yγ ∂xc (U : )c The penultimate line is reached using lemma 1. In equation (25) it was reasoned that the Lie bracket, although itself a first order vector, is a sum of second order vectors. These second order vectors were of the form ‘first order vector operate first order vector.’ Such a second order vector is useful here, the following coordinate free object based on equation (52) is defined, for the specific case that U ∈ ΓT2M is such that U = v ◦ w. Definition 21. Given v, w ∈ ΓTM and a general connection on M, (v ◦w) : ∈ ΓTM is such that (v ◦ w) : = vw − 1 2 T (v, w) (54) The motivation for this definition becomes clear when the next lemma is considered. For the proof, the definitions of the connection and torsion tensor introduced in sections 2.3 and 2.4 respectively are required. Lemma 22. Let a second order vector field U ∈ ΓT2M have components given by Ua = vd ∂wa ∂xd , Uab = va wb + vb wa (55) Then Uab 2 Γc ab + Uc ∂ ∂xc = vw − 1 2 T (v, w) (56) Proof. Uab 2 Γc ab + Uc ∂ ∂xc = 1 2 va wb + vb wa Γc ab + vd ∂wc ∂xd ∂ ∂xc = va wb Γc ab + 1 2 vb wa − va wb Γc ab + vd ∂wc ∂xd ∂ ∂xc = va wb Γc ab + vd ∂wc ∂xd + 1 2 vb wa Γc ab − 1 2 vb wa Γc ba ∂ ∂xc = va wb Γc ab + vd ∂wc ∂xd + 1 2 vb wa (Γc ab − Γc ba) ∂ ∂xc 19
  • 20.
    5.1 Second OrderVectors & the Connection = ( vw)c + 1 2 vb wa T c ab ∂ ∂xc = ( vw)c − 1 2 vb wa T c ba ∂ ∂xc = ( vw)c − 1 2 T (v, w)c ∂ ∂xc = vw − 1 2 T (v, w) To begin analysing this result, the choice of the second order vector components Ua and Uab must be justified. As discussed in section 3.1, it is a straight forward exercise to prove that for v, w ∈ ΓTM, v ◦ w is a second order vector. This simple result will now be shown. Lemma 23. Given v, w ∈ ΓTM, then U ∈ ΓT2M if U = v ◦ w (57) Furthermore in index notation this may be written U = va ∂wb ∂xa ∂ ∂xb + vbwa + vawb 2 ∂2 ∂xa∂xb (58) Proof. This proof begins using definition 4 of a first order vector field. U fg = (v ◦ w) fg = v w fg = v fw g + gw f = v fw g + v gw f = v f w g + fv w g + gv w f + v g w f = fU g + gU f + v g w f + v f w g = fU g + gU f + U(1,1) f, g Where U(1,1) f, g = v g w f + v f w g (59) It is clear that U(1,1) f, g is Leibniz in both of its arguments, therefore v ◦ w ∈ ΓT2M by definition 10. Next consider a similar calculation using indices and with f ∈ ΓΛ0M. U f = (v ◦ w) f = v w f = v wa ∂f ∂xa = vb ∂ ∂xb wa ∂f ∂xa = vb ∂wa ∂xb ∂f ∂xa + vb wa ∂2f ∂xb∂xa = vb ∂wa ∂xb ∂ ∂xa + vb wa ∂2 ∂xb∂xa f = vb ∂wa ∂xb ∂ ∂xa + vbwa + vawb 2 ∂2 ∂xa∂xb f The final step exploits the natural symmetry in the definition of a second order vector, namely Uab = Uba. This is true for all f therefore after relabelling, the final line is exactly equation (58). The notation (v◦w) : used in definition 21 is therefore perfectly logical. The choices of Ua and Uab made in this definition correspond exactly to the calculated first and second components of v ◦ w respectively. There are two other observations which further justify the suitability of this definition. First of all, it is clear to see that any first order vectors v, w ∈ ΓTM must satisfy by definition of the Lie bracket v ◦ w − w ◦ v − [v, w] = 0 (60) Immediately then, the following is also true. (v ◦ w − w ◦ v − [v, w]) : = (v ◦ w) : − (w ◦ v) : − [v, w] : = 0 (61) Definition 21 must be consistent with this equation. 20
  • 21.
    5.2 Third OrderVectors & the Connection Lemma 24. Given a general connection on M, (u ◦ v) : ∈ ΓTM satisfies (v ◦ w) : − (w ◦ v) : − [v, w] : = 0 (62) Proof. Since the Lie bracket of two vector fields is itself a vector field, definition 18 of a first order vector field combining with the connection will be required. (v ◦ w) : − (w ◦ v) : − [v, w] : = vw − 1 2 T (v, w) − wv − 1 2 T (w, v) − [v, w] = ( vw − wv − [v, w]) − 1 2 T (v, w) + 1 2 T (w, v) = T (v, w) − T (v, w) = 0 The second observation is that the coordinate expression for (U : )e is very nearly the exact component expansion of vw. It would therefore be expected that any additional terms in the definition of (v◦w) : would involve first order covariant derivatives only. The torsion between v and w, as stated in definition 9 is T (v, w) = vw − wv − [v, w], namely a sum of first order covariant derivatives. Furthermore, the definition involves specifically two vectors, v and w. A regular vector component must have only one free contravariant (upstairs) index. Simply by considering the number of upstairs and downstairs indices in the coordinate expression, the product vawb can only be multiplied by a tensor of the form Qc ab. Torsion is the only candidate. 5.2 Third Order Vectors & the Connection During initial research, the motivation for definition 19 originally came from considering the coordinate expansion of vw. If the idea of combining a second order vector and the connection is to be extended to third order, a natural consideration would be the coordinate expansion of u vw. Lemma 25. Given u, v, w ∈ ΓTM, then ( u vw)e = uc va wb Γe abΓd cd + ∂Γe ab ∂xc + ua vc ∂cwb + uc wb ∂cva + uc va ∂cwb Γe ab (63) +uc ∂cvb ∂bwe + uc vb ∂2 bcwe Proof. u( vw)e = u va wb Γe ab + va ∂we ∂xa = uc va wb Γf ab + va ∂wf ∂xa Γe cf + uc ∂ ∂xc va wb Γe ab + va ∂we ∂xa = uc va wb Γf abΓe cf + uc va Γe cf ∂wf ∂xa + uc va wb ∂Γe ab ∂xc + uc va Γe ab ∂wb ∂xc + uc wb Γe ab ∂va ∂xc + uc ∂va ∂xc ∂we ∂xa + uc va ∂2we ∂xc∂xa = uc va wb Γf abΓe cf + uc va wb ∂Γe ab ∂xc + Γe ab ua vc ∂wb ∂xc + uc va ∂wb ∂xc + uc wb ∂va ∂xc + uc ∂va ∂xc ∂we ∂xa + uc va ∂2we ∂xc∂xa At first sight this, equation (63) may not seem too enlightening. It is however straightforward to show, using an identical method to that used to prove lemma 23, a similar lemma. Here it is stated without proof. 21
  • 22.
    5.2 Third OrderVectors & the Connection Lemma 26. Given u, v, w ∈ ΓTM, then V ∈ ΓT3M if V = u ◦ v ◦ w (64) Furthermore in index notation this may be written V = ua ∂vb ∂xa ∂wc ∂xb + ua vb ∂2wc ∂xa∂xb ∂ ∂xc + ub vc ∂wa ∂xc + uc wa ∂vb ∂xc + uc vb ∂wa ∂xc ∂2 ∂xa∂xb (65) +ua vb wc ∂3 ∂xa∂xb∂xc Proof. Simply apply ua∂a to both sides of equation (58). It is clear by comparing equations (63) and (65), that the coefficients of the coordinate expansion of u vw are exactly those of the third order vector u ◦ v ◦ w. As with the second order vector case, the fully symmetrised coefficients of a third order vector V are now considered. By doing this, the following third order analogue of definition 19 is constructed. Definition 27. Given a third order vector field V ∈ ΓT3M such that V = V a∂a + V ab 2 ∂2 ab + V abc 6 ∂3 abc and a general connection on M, (V : )e = V abc 6 Γd abΓe cd + ∂cΓe ab + V ab 2 Γe ab + V e (66) It should be recognised that the same notation has been used for this combination of a third order vector with the connection, (V : )e as with the combination of a second order vector and the connection (U : )c. The reason for this is as with (U : )c introduced in definition 19, the right hand side of equation (66) transforms as a vector. This result will now be proven by means of a rather long calculation. For clarity, colours have been used to distinguish the origins of each term. This is also useful for tracking terms down the page as the proof continues. Lemma 28. Given a third order vector V ∈ ΓT3M, the object (V : )e is a vector quantity. That is to say V : = ∂y ∂xe (V : )e (67) Proof. This proof requires many of the results already shown in the report. The expansion of terms at the beginning requires almost all of the results in section 4. To simplify the resulting expressions toward the end, the identities relating partial derivatives shown in lemmas 1 and 2 will be needed. V : = ˆV αβγ 6 ˆΓδ αβ ˆΓγδ + ∂γ ˆΓαβ + ˆV αβ 2 Γαβ + ˆV = V abc 6 ∂yα ∂xa ∂yβ ∂xb ∂yγ ∂xc ∂yδ ∂xh ∂xf ∂yα ∂xg ∂yβ Γh fg + ∂yδ ∂xf ∂2xf ∂yα∂yβ ∂y ∂xe ∂xi ∂yγ ∂xj ∂yδ Γe ij + ∂y ∂xj ∂2xj ∂yγ∂yδ + ∂ ∂yγ ∂y ∂xe ∂xf ∂yα ∂xg ∂yβ Γe fg + ∂y ∂xf ∂2xf ∂yα∂yβ 22
  • 23.
    5.2 Third OrderVectors & the Connection + 1 2 V ab ∂yα ∂xa ∂yβ ∂xb + V abc 3 ∂yα ∂xa ∂2yβ ∂xb∂xc + ∂yα ∂xb ∂2yβ ∂xa∂xc + ∂yβ ∂xc ∂2yα ∂xa∂xb ∂y ∂xe ∂xf ∂yα ∂xg ∂yβ Γe fg + ∂y ∂xf ∂2xf ∂yα∂yβ + V a ∂y ∂xa + V ab 2 ∂2y ∂xa∂xb + V abc 6 ∂3y ∂xa∂xb∂xc = V abc 6 ∂yα ∂xa ∂yβ ∂xb ∂yγ ∂xc ∂yδ ∂xh ∂xf ∂yα ∂xg ∂yβ Γh fg ∂y ∂xe ∂xi ∂yγ ∂xj ∂yδ Γe ij + ∂yδ ∂xf ∂2xf ∂yα∂yβ ∂y ∂xe ∂xi ∂yγ ∂xj ∂yδ Γe ij + ∂yδ ∂xh ∂xf ∂yα ∂xg ∂yβ Γh fg ∂y ∂xj ∂2xj ∂yγ∂yδ + ∂yδ ∂xf ∂2xf ∂yα∂yβ ∂y ∂xj ∂2xj ∂yγ∂yδ + ∂2y ∂xe∂xd ∂xf ∂yα ∂xg ∂yβ ∂xd ∂yγ Γe fg + ∂y ∂xe ∂2xf ∂yα∂yγ ∂xg ∂yβ Γe fg + ∂y ∂xe ∂xf ∂yα ∂2xg ∂yβ∂yγ Γe fg + ∂y ∂xe ∂xf ∂yα ∂xg ∂yβ ∂xd ∂yγ ∂Γe fg ∂xd + ∂xd ∂yγ ∂2y ∂xd∂xf ∂2xf ∂yα∂yβ + ∂y ∂xf ∂3xf ∂yα∂yβ∂yγ + 1 2 V ab ∂yα ∂xa ∂yβ ∂xb ∂y ∂xe ∂xf ∂yα ∂xg ∂yβ Γe fg + V ab ∂yα ∂xa ∂yβ ∂xb ∂y ∂xf ∂2xf ∂yα∂yβ + V abc 3 ∂yα ∂xa ∂2yβ ∂xb∂xc ∂y ∂xe ∂xf ∂yα ∂xg ∂yβ Γe fg + V abc 3 ∂yα ∂xb ∂2yβ ∂xa∂xc ∂y ∂xe ∂xf ∂yα ∂xg ∂yβ Γe fg + V abc 3 ∂yβ ∂xc ∂2yα ∂xa∂xb ∂y ∂xe ∂xf ∂yα ∂xg ∂yβ Γe fg+ V abc 3 ∂yα ∂xa ∂2yβ ∂xb∂xc ∂y ∂xf ∂2xf ∂yα∂yβ + V abc 3 ∂yα ∂xb ∂2yβ ∂xa∂xc ∂y ∂xf ∂2xf ∂yα∂yβ + V abc 3 ∂yβ ∂xc ∂2yα ∂xa∂xb ∂y ∂xf ∂2xf ∂yα∂yβ +V a ∂y ∂xa + V ab 2 ∂2y ∂xa∂xb + V abc 6 ∂3y ∂xa∂xb∂xc = V abc 6 ∂yα ∂xa ∂yβ ∂xb ∂yγ ∂xc ∂yδ ∂xh ∂xf ∂yα ∂xg ∂yβ ∂y ∂xe ∂xi ∂yγ ∂xj ∂yδ Γh fgΓe ij + V abc 6 ∂yα ∂xa ∂yβ ∂xb ∂yγ ∂xc ∂yδ ∂xf ∂2xf ∂yα∂yβ ∂y ∂xe ∂xi ∂yγ ∂xj ∂yδ Γe ij+ V abc 6 ∂yα ∂xa ∂yβ ∂xb ∂yγ ∂xc ∂yδ ∂xh ∂xf ∂yα ∂xg ∂yβ ∂y ∂xj ∂2xj ∂yγ∂yδ Γh fg + V abc 6 ∂yα ∂xa ∂yβ ∂xb ∂yγ ∂xc ∂yδ ∂xf ∂2xf ∂yα∂yβ ∂y ∂xj ∂2xj ∂yγ∂yδ + V abc 6 ∂yα ∂xa ∂yβ ∂xb ∂yγ ∂xc ∂2y ∂xe∂xd ∂xf ∂yα ∂xg ∂yβ ∂xd ∂yγ Γe fg + V abc 6 ∂yα ∂xa ∂yβ ∂xb ∂yγ ∂xc ∂y ∂xe ∂2xf ∂yα∂yγ ∂xg ∂yβ Γe fg + V abc 6 ∂yα ∂xa ∂yβ ∂xb ∂yγ ∂xc ∂y ∂xe ∂xf ∂yα ∂2xg ∂yβ∂yγ Γe fg + V abc 6 ∂yα ∂xa ∂yβ ∂xb ∂yγ ∂xc ∂y ∂xe ∂xf ∂yα ∂xg ∂yβ ∂xd ∂yγ ∂Γe fg ∂xd + V abc 6 ∂yα ∂xa ∂yβ ∂xb ∂yγ ∂xc ∂xc ∂yγ ∂2y ∂xc∂xf ∂2xf ∂yα∂yβ + V abc 6 ∂yα ∂xa ∂yβ ∂xb ∂yγ ∂xc ∂y ∂xf ∂3xf ∂yα∂yβ∂yγ + V ab 2 ∂yα ∂xa ∂yβ ∂xb ∂y ∂xe ∂xf ∂yα ∂xg ∂yβ Γe fg + V ab 2 ∂yα ∂xa ∂yβ ∂xb ∂y ∂xf ∂2xf ∂yα∂yβ + V abc 6 ∂yα ∂xa ∂2yβ ∂xb∂xc ∂y ∂xe ∂xf ∂yα ∂xg ∂yβ Γe fg + V abc 6 ∂yα ∂xb ∂2yβ ∂xa∂xc ∂y ∂xe ∂xf ∂yα ∂xg ∂yβ Γe fg + V abc 6 ∂yβ ∂xc ∂2yα ∂xa∂xb ∂y ∂xe ∂xf ∂yα ∂xg ∂yβ Γe fg + V abc 6 ∂yα ∂xa ∂2yβ ∂xb∂xc ∂y ∂xf ∂2xf ∂yα∂yβ + V abc 6 ∂yα ∂xb ∂2yβ ∂xa∂xc ∂y ∂xf ∂2xf ∂yα∂yβ + V abc 6 ∂yβ ∂xc ∂2yα ∂xa∂xb ∂y ∂xf ∂2xf ∂yα∂yβ +V a ∂y ∂xa + V ab 2 ∂2y ∂xa∂xb + V abc 6 ∂3y ∂xa∂xb∂xc = V abc 6 δf a δg b δi cδj h ∂y ∂xe Γh fgΓe ij + V abc 6 δi cδj f ∂yα ∂xa ∂yβ ∂xb ∂y ∂xe ∂2xf ∂yα∂yβ Γe ij + V abc 6 δf a δg b ∂yγ ∂xc ∂yδ ∂xh ∂y ∂xj ∂2xj ∂yγ∂yδ Γh fg + V abc 6 ∂yα ∂xa ∂yβ ∂xb ∂yγ ∂xc ∂yδ ∂xf ∂y ∂xj ∂2xf ∂yα∂yβ ∂2xj ∂yγ∂yδ 23
  • 24.
    5.2 Third OrderVectors & the Connection + V abc 6 ∂2y ∂xe∂xd δf a δg b δd c Γe fg + V abc 6 ∂yγ ∂xc ∂yα ∂xa ∂y ∂xe δg b ∂2xf ∂yα∂yγ Γe fg + V abc 6 ∂yβ ∂xb ∂yγ ∂xc ∂y ∂xe δf a ∂2xg ∂yβ∂yγ Γe fg + V abc 6 ∂y ∂xe ∂Γe ab ∂xc + V abc 6 ∂yα ∂xa ∂yβ ∂xb ∂2y ∂xc∂xf ∂2xf ∂yα∂yβ + V abc 6 ∂y ∂xf ∂yα ∂xa ∂yβ ∂xb ∂yγ ∂xc ∂3xf ∂yα∂yβ∂yγ + V ab 2 δf a δg b ∂y ∂xe Γe fg + V ab 2 ∂y ∂xf ∂yα ∂xa ∂yβ ∂xb ∂2xf ∂yα∂yβ + V abc 6 δf a ∂y ∂xe ∂2yβ ∂xb∂xc ∂xg ∂yβ Γe fg + V abc 6 δf b ∂2yβ ∂xa∂xc ∂y ∂xe ∂xg ∂yβ Γe fg + V abc 6 δg c ∂2yα ∂xa∂xb ∂y ∂xe ∂xf ∂yα Γe fg + V abc 6 ∂yα ∂xa ∂2yβ ∂xb∂xc ∂y ∂xf ∂2xf ∂yα∂yβ + V abc 6 ∂yα ∂xb ∂2yβ ∂xa∂xc ∂y ∂xf ∂2xf ∂yα∂yβ + V abc 6 ∂yβ ∂xc ∂2yα ∂xa∂xb ∂y ∂xf ∂2xf ∂yα∂yβ +V a ∂y ∂xa + V ab 2 ∂2y ∂xa∂xb + V abc 6 ∂3y ∂xa∂xb∂xc = V abc 6 ∂y ∂xe Γd abΓe cd + V abc 6 ∂yα ∂xa ∂yβ ∂xb ∂y ∂xe ∂2xd ∂yα∂yβ Γe cd + V abc 6 ∂yγ ∂xc ∂yδ ∂xd ∂y ∂xj ∂2xj ∂yγ∂yδ Γd ab + V abc 6 ∂yα ∂xa ∂yβ ∂xb ∂yγ ∂xc ∂yδ ∂xf ∂y ∂xj ∂2xf ∂yα∂yβ ∂2xj ∂yγ∂yδ + V abc 6 ∂2y ∂xe∂xc Γe ab + V abc 6 ∂yα ∂xa ∂yγ ∂xc ∂y ∂xe ∂2xf ∂yα∂yγ Γe fb + V abc 6 ∂yβ ∂xb ∂yγ ∂xc ∂y ∂xe ∂2xg ∂yβ∂yγ Γe ag + V abc 6 ∂y ∂xe ∂Γe ab ∂xc + V abc 6 ∂yα ∂xa ∂yβ ∂xb ∂2y ∂xc∂xf ∂2xf ∂yα∂yβ + V abc 6 ∂y ∂xf ∂yα ∂xa ∂yβ ∂xb ∂yγ ∂xc ∂3xf ∂yα∂yβ∂yγ + V ab 2 ∂y ∂xe Γe ab + V ab 2 ∂y ∂xf ∂yα ∂xa ∂yβ ∂xb ∂2xf ∂yα∂yβ + V abc 6 ∂y ∂xe ∂2yβ ∂xb∂xc ∂xg ∂yβ Γe ag + V abc 6 ∂2yβ ∂xa∂xc ∂y ∂xe ∂xg ∂yβ Γe bg + V abc 6 ∂2yα ∂xa∂xb ∂y ∂xe ∂xf ∂yα Γe fc + V abc 6 ∂yα ∂xa ∂2yβ ∂xb∂xc ∂y ∂xf ∂2xf ∂yα∂yβ + V abc 6 ∂yα ∂xb ∂2yβ ∂xa∂xc ∂y ∂xf ∂2xf ∂yα∂yβ + V abc 6 ∂yβ ∂xc ∂2yα ∂xa∂xb ∂y ∂xf ∂2xf ∂yα∂yβ +V a ∂y ∂xa + V ab 2 ∂2y ∂xa∂xb + V abc 6 ∂3y ∂xa∂xb∂xc = ∂y ∂xe V abc 6 Γd abΓe cd+ ∂Γe ab ∂xc + V ab 2 Γe ab+V e + V ab 2 ∂yα ∂xa ∂yβ ∂xb ∂y ∂xf ∂2xf ∂yα∂yβ + ∂2y ∂xa∂xb + V abc 6 ∂yα ∂xa ∂yβ ∂xb ∂y ∂xe ∂2xd ∂yα∂yβ Γe cd + ∂yγ ∂xc ∂yδ ∂xd ∂y ∂xj ∂2xj ∂yγ∂yδ Γd ab + ∂2y ∂xe∂xc Γe ab + ∂yα ∂xa ∂yγ ∂xc ∂y ∂xe ∂2xf ∂yα∂yγ Γe fb+ ∂yβ ∂xb ∂yγ ∂xc ∂y ∂xe ∂2xg ∂yβ∂yγ Γe ag + ∂y ∂xe ∂2yβ ∂xb∂xc ∂xg ∂yβ Γe ag + ∂2yβ ∂xa∂xc ∂y ∂xe ∂xg ∂yβ Γe bg + ∂2yα ∂xa∂xb ∂y ∂xe ∂xf ∂yα Γe fc + V abc 6 ∂yα ∂xa ∂yβ ∂xb ∂yγ ∂xc ∂yδ ∂xf ∂y ∂xj ∂2xf ∂yα∂yβ ∂2xj ∂yγ∂yδ + ∂yα ∂xa ∂yβ ∂xb ∂2y ∂xc∂xf ∂2xf ∂yα∂yβ + ∂3y ∂xa∂xb∂xc + ∂y ∂xf ∂yα ∂xa ∂yβ ∂xb ∂yγ ∂xc ∂3xf ∂yα∂yβ∂yγ + ∂yα ∂xa ∂2yβ ∂xb∂xc ∂y ∂xf ∂2xf ∂yα∂yβ + ∂yα ∂xb ∂2yβ ∂xa∂xc ∂y ∂xf ∂2xf ∂yα∂yβ + ∂yβ ∂xc ∂2yα ∂xa∂xb ∂y ∂xf ∂2xf ∂yα∂yβ = ∂y ∂xe (V : )e + V abc 6 ∂yα ∂xa ∂yβ ∂xb ∂y ∂xe ∂2xd ∂yα∂yβ Γe cd + ∂yγ ∂xc ∂yδ ∂xd ∂y ∂xj ∂2xj ∂yγ∂yδ Γd ab + ∂2y ∂xe∂xc Γe ab + ∂yα ∂xa ∂yγ ∂xc ∂y ∂xe ∂2xf ∂yα∂yγ Γe fb+ ∂yβ ∂xb ∂yγ ∂xc ∂y ∂xe ∂2xg ∂yβ∂yγ Γe ag 24
  • 25.
    5.2 Third OrderVectors & the Connection + ∂y ∂xe ∂2yβ ∂xb∂xc ∂xg ∂yβ Γe ag + ∂2yβ ∂xa∂xc ∂y ∂xe ∂xg ∂yβ Γe bg + ∂2yα ∂xa∂xb ∂y ∂xe ∂xf ∂yα Γe fc + V abc 6 ∂yα ∂xa ∂yβ ∂xb ∂yγ ∂xc ∂yδ ∂xf ∂y ∂xj ∂2xf ∂yα∂yβ ∂2xj ∂yγ∂yδ + ∂yα ∂xa ∂yβ ∂xb ∂2y ∂xc∂xf ∂2xf ∂yα∂yβ + V abc 6 ∂3y ∂xa∂xb∂xc + ∂y ∂xf ∂yα ∂xa ∂yβ ∂xb ∂yγ ∂xc ∂3xf ∂yα∂yβ∂yγ + ∂yα ∂xa ∂2yβ ∂xb∂xc ∂y ∂xf ∂2xf ∂yα∂yβ + ∂yα ∂xb ∂2yβ ∂xa∂xc ∂y ∂xf ∂2xf ∂yα∂yβ + ∂yβ ∂xc ∂2yα ∂xa∂xb ∂y ∂xf ∂2xf ∂yα∂yβ + V ab 2 ∂yα ∂xa ∂yβ ∂xb ∂y ∂xf ∂2xf ∂yα∂yβ + ∂2y ∂xa∂xb = ∂y ∂xe (V : )e + V abc 6 ∂yα ∂xa ∂yβ ∂xb ∂y ∂xe ∂2xd ∂yα∂yβ Γe cd + ∂yγ ∂xc ∂yδ ∂xd ∂y ∂xj ∂2xj ∂yγ∂yδ Γd ab + ∂2y ∂xe∂xc Γe ab + ∂yα ∂xa ∂yγ ∂xc ∂y ∂xe ∂2xf ∂yα∂yγ Γe fb+ ∂yβ ∂xb ∂yγ ∂xc ∂y ∂xe ∂2xg ∂yβ∂yγ Γe ag + ∂y ∂xe ∂2yβ ∂xb∂xc ∂xg ∂yβ Γe ag + ∂2yβ ∂xa∂xc ∂y ∂xe ∂xg ∂yβ Γe bg + ∂2yα ∂xa∂xb ∂y ∂xe ∂xf ∂yα Γe fc + V abc 6 ∂yα ∂xa ∂yβ ∂xb ∂yγ ∂xc ∂yδ ∂xf ∂y ∂xj ∂2xf ∂yα∂yβ ∂2xj ∂yγ∂yδ − ∂yα ∂xa ∂yβ ∂xb ∂y ∂xj ∂yγ ∂xf ∂yδ ∂xc ∂2xj ∂yγ∂yδ ∂2xf ∂yα∂yβ = ∂y ∂xe (V : )e + V abc 6 ∂yα ∂xa ∂yβ ∂xb ∂y ∂xe ∂2xd ∂yα∂yβ Γe cd + ∂2yβ ∂xc∂xa ∂y ∂xe ∂xg ∂yβ Γe bg + ∂yγ ∂xc ∂yδ ∂xd ∂y ∂xj ∂2xj ∂yγ∂yδ Γd ab + ∂2y ∂xe∂xc Γe ab + ∂yβ ∂xb ∂yγ ∂xc ∂y ∂xe ∂2xg ∂yβ∂yγ Γe ag + ∂y ∂xe ∂2yβ ∂xb∂xc ∂xg ∂yβ Γe ag + ∂2yα ∂xa∂xb ∂y ∂xe ∂xf ∂yα Γe fc + ∂yα ∂xc ∂yγ ∂xa ∂y ∂xe ∂2xf ∂yα∂yγ Γe fb = ∂y ∂xe (V : )e + V abc 6 ∂yα ∂xa ∂yβ ∂xb ∂2xd ∂yα∂yβ + ∂2yβ ∂xa∂xb ∂xd ∂yβ ∂y ∂xe Γe cd + ∂yγ ∂xc ∂yδ ∂xd ∂y ∂xf ∂2xf ∂yγ∂yδ + ∂2y ∂xd∂xc Γd ab + ∂yβ ∂xb ∂yγ ∂xc ∂2xg ∂yβ∂yγ + ∂2yβ ∂xb∂xc ∂xg ∂yβ ∂y ∂xe Γe ag + ∂yα ∂xa ∂yγ ∂xc ∂2xf ∂yα∂yγ + ∂2yα ∂xa∂xc ∂xf ∂yα ∂y ∂xe Γe fb = ∂y ∂xe (V : )e Where to get to the penultimate line, the symmetry V abc = V cab has been used on two occasions. Now that it has been shown that equation (66) represents a bona fide vector, it is reasonable to assume there is a coordinate free interpretation. This was the case with equation (52), the second order expression, which was found to be linear in torsion. Such a relationship was to be expected since the object came about by considering vw. This third order expression however comes about by investigating u vw, which has been shown to involve both derivatives and products of Christoffel symbols. There is therefore a far wider variety of terms that could appear. For example, some kind of curvature dependence would be expected, or indeed derivatives or squares of torsion. Using a similar yet less forceful approach to that of the last section, the case when V ∈ ΓT3M is such that V = u ◦ v ◦ w is considered. The starting point is with a new type of method which exploits the f-linearity and Leibniz properties of our object. Two third order analogues of equation (60) are then used. It is clear that any first order vectors u, v and 25
  • 26.
    5.2 Third OrderVectors & the Connection w must satisfy both of the following identities. u ◦ v ◦ w − v ◦ u ◦ w − [u, v] ◦ w = 0 (68) u ◦ v ◦ w − u ◦ w ◦ v − u ◦ [v, w] = 0 (69) In section 5.2.2, it is shown how these two equations alone can be used to justify a coordinate free definition of (V : )e given a torsion free connection. A Brief Aside Looking back to section 5.1, the coordinate free definition of (v ◦w) : was ‘derived’ by writing the coordinate expression in terms of vectors which have a specific coordinate free definition. A significant amount of time was spent attempting to use the same method to get from the coordinate to coordinate free definition of (V : )e. The main issue was finding the correct interpretation for the third order vector component V abc. By definition of a higher order vector, V abc is completely symmetric. That is to say, with the result of lemma 26, it would be expected that V abc would take the following form for V = u ◦ v ◦ w. V abc ∝ ua vb wc + ua vc wb + uc va wb + ub va wc + uc vb wa + ub vc wa (70) This way, V abc = V cba = V bca = · · · . On the other hand, in order to show that (V : )e transforms as a vector (lemma 28), the only symmetry which is used is V abc = V cab. This is in fact a cyclic permutation of abc and would imply that V abc could look something like V abc ∝ A ua vb wc + uc va wb + ub vc wa + B ub va wc + ua vc wb + uc vb wa (71) For constants A and B. It is straightforward to show that this form of the component satisfies V abc = V cab. Due to the length of each calculation that such a method involves, this turned out to be a highly inefficient way of dealing with the problem and all attempts were unsuccessful. For this reason a number of new, more indirect methods were developed. These were largely more successful in directing the research toward a firm definition. 5.2.1 A General Connection As has already been discussed, it is expected that a coordinate free (V : )e will involve curvature terms and those which are derivatives of, or are second order in the torsion. One other possibility are terms of the form T ( −−, −). These arise due to the appearance of V ab ∝ ucwa∂cvb in the coordinate definition. To see how each of these terms feature, the full coordinate free definition of (V : )e with a general connection will now be given. A full justification will follow. As explained, due to lack of time and methods available, the exact coefficients of each and every term were not calculated, however the overall form of the expression is clear. Definition 29. Given u, v, w ∈ ΓTM and a general connection on M, (u ◦ v ◦ w) : ∈ ΓTM is such that (u ◦ v ◦ w) : = u vw − 1 3 R(u, v)w − 1 3 R(u, w)v + ¯T3 (72) Where ¯T3 = − 1 2 T (u, vw) − 1 2 T ( uv, w) − 1 2 T (v, uw) + A( uT )(v, w) + B( vT )(u, w) (73) +C( wT )(u, v) + DT (T (u, v), w) + ET (T (v, u), w) + FT (T (w, u), v) A, B, C, D, E and F are constants yet to be determined. 26
  • 27.
    5.2 Third OrderVectors & the Connection It will first be shown by using nothing more than specific f-linear and Leibniz requirements of (u ◦ v ◦ w) : , that terms of the form T (−, −−) not only must appear, but can also only have coefficients ±1 2 or 0. Lemma 30. Given f ∈ ΓΛ0M, u, v, w ∈ ΓTM and a general connection on M. The f-linearity and Leibniz requirements of (u ◦ v ◦ w) : ∈ ΓTM force it’s coordinate free expression to be of the form (u ◦ v ◦ w) : = − 1 2 T (u, vw) − 1 2 T ( uv, w) − 1 2 T (v, uw) + “f-linear terms” (74) Proof. Investigation of (fu) is trivial and yields nothing new. Consider then (fv). (u ◦ (fv) ◦ w) : = u f v ◦ w : + f(u ◦ v ◦ w) : = u f vw − 1 2 T (v, w) + f(u ◦ v ◦ w) : = u f vw − 1 2 T ( u(fv), w) − fT ( uv, w) + f(u ◦ v ◦ w) : = u(f vw) − f u vw − 1 2 T ( u(fv), w) − fT ( uv, w) + f(u ◦ v ◦ w) : = u (fv)w − 1 2 T ( u(fv), w) + f (u ◦ v ◦ w) : − u vw + 1 2 T ( uv, w) Hence (u ◦ (fv) ◦ w) : − u (fv)w + 1 2 T ( u(fv), w) = f (u ◦ v ◦ w) : − u vw + 1 2 T ( uv, w) =⇒ (u ◦ v ◦ w) : = u vw − 1 2 T ( uv, w) + “other terms f-linear in u and v” (75) This method clearly only highlights terms which must appear in the definition in order to compensate for the Leibniz structure of the left hand side. There can therefore be any number of other terms which are f-linear in u and v, hence the additional “+ other terms f-linear in u and v.” Next consider (fw). (u ◦ v ◦ (fw)) : = (u ◦ (v f w)) : + (u ◦ (fv ◦ w)) : = u v f w : + v f u ◦ w : + u f v ◦ w : + f(u ◦ v ◦ w) : = u v f w − v f uw + v f uw − 1 2 v f T (u, w) + u f vw − 1 2 u f T (v, w) + f(u ◦ v ◦ w) : = u v(fw) − f vw − 1 2 T (u, v(fw) − f vw) + u f vw − f u vw − 1 2 T (v, u(fw) − f uw) + f(u ◦ v ◦ w) : = u v(fw) − f u vw − 1 2 T (u, v(fw)) + f 2 T (u, vw) − 1 2 T (v, u(fw)) + f 2 T (v, uw) + f(u ◦ v ◦ w) : 27
  • 28.
    5.2 Third OrderVectors & the Connection Hence (u ◦ v ◦ (fw)) : − u v(fw) + 1 2 T (u, v(fw)) + 1 2 T (v, u(fw)) = f (u ◦ v ◦ w) : (76) − u vw + 1 2 T (u, vw) + 1 2 T (v, uw) Combining this result with (75) =⇒ (u ◦ v ◦ w) : = u vw − 1 2 T ( uv, w) − 1 2 T (u, vw) − 1 2 T (v, uw) (77) + “other terms f-linear in u, v and w” As before, f-linear terms must be accounted for. This is exactly equation (74). This method uses nothing more than the Leibniz property of first order vectors and our def- inition of second order vectors combining with the connection. With no other assumptions, every term which is not f-linear in all of u, v and w has been attained. These terms just hap- pen to look like a nice extension of the second order result, it may be there is an underlying pattern. Roughly speaking, going from (v ◦ w) : to (u ◦ v ◦ w) : , vw → u vw and T (v, w) → T ( uv, w) + T (u, vw) + T (v, uw). Even at this early stage, the pattern points to a possible generalisation to nth order combination with the connection. By definition of the connection and torsion tensors, all terms involving derivatives and squares of torsion are f-linear in all of their arguments. This is the reason definition 29 includes cyclic sums of both, with the unknown coefficients A through to F. Only these six terms are necessary due to the antisymmetry of the torsion tensor. Unfortunately, the exact coefficients of these six terms were never found due to lack of constraints. This problem will be addressed in detail in sections 6 and 7. However, by considering (u ◦ v ◦ w) : in a torsion free regime, the exact form of (u ◦ v ◦ w) : 0 can be fully justified. Assuming that lemma 28 holds, it may be that at higher orders, object such as (V : )e only exist in the absence of torsion. If this is the case it could point to something more fundamental, which at the current level of understanding is being overlooked. 5.2.2 A Torsion Free Connection Considering a torsion free connection makes for a greatly simplified problem, in this case it is possible to take ¯T3 = 0 in equation (72). It will now be shown that by enforcing equations (68) and (69), one arrives at the following definition. Definition 31. Given u, v, w ∈ ΓTM and a torsion free connection 0 on M, (u ◦ v ◦ w) : 0 ∈ ΓTM is such that (u ◦ v ◦ w) : 0 = 0 u 0 vw − 1 3 R(u, v)w − 1 3 R(u, w)v (78) It has been argued by looking at the coordinate form of (V : )e that (u◦v◦w) : 0, in addition to u vw, will only involve curvature terms. It is not obvious however that these two particular curvature terms should be in the definition at all, let alone be sure that they are indeed the only curvature terms that can feature. This said, Bianchi’s first identity, equation (20) requires 28
  • 29.
    5.2 Third OrderVectors & the Connection that the cyclic sum of three curvature tensors be zero. This means no more than two terms of a cyclic sum can appear. Using Bianchi again, these two cyclic terms can be written as the negative of the third term in the cyclic sum, hence no two terms which are cyclic permutations of each other can appear simultaneously. Furthermore there are only two ways to arrange u, v and w such that their cyclic sums are independent. That is to say, the cyclic sum of (u, w, v) is only different to (u, v, w), not for example (w, v, u). This is easily verified by writing down all of the permutations. With these arguments alone, the following hypothesis can be made. (u ◦ v ◦ w) : 0 = 0 u 0 vw + AR(u, v)w + BR(u, w)v (79) Where A and B are constants. These constants can then be found using equations (68) and (69). Instead of doing this calculation explicitly, it will simply be shown that (u ◦ v ◦ w) : 0 given by definition 31, does indeed satisfy both equations. Lemma 32. Consider a torsion free connection 0 on M and (u ◦ v ◦ w) : 0 ∈ ΓTM such that (u ◦ v ◦ w) : 0 = 0 u 0 vw − 1 3R(u, v)w − 1 3R(u, w)v. Then u ◦ v ◦ w : 0 − v ◦ u ◦ w : 0 − [u, v] ◦ w : 0 = 0 (80) u ◦ v ◦ w : 0 − u ◦ w ◦ v : 0 − u ◦ [v, w] : 0 = 0 (81) Proof. Beginning with the left hand side of (80). u ◦ v ◦ w : 0 − v ◦ u ◦ w : 0 − [u, v] ◦ w : 0 = 0 u 0 vw − 1 3 R(u, v)w − 1 3 R(u, w)v − 0 v 0 uw − 1 3 R(v, u)w − 1 3 R(v, w)u − 0 [u,v]w = 0 u 0 vw − 0 v 0 uw − 0 [u,v]w − 1 3 R(u, v)w − 1 3 R(u, w)v + 1 3 R(v, u)w + 1 3 R(v, w)u = R(u, v)w − 2 3 R(u, v)w + 1 3 R(v, w)u + 1 3 R(w, u)v = 1 3 R(u, v)w + R(v, w)u + R(w, u)v = 0 By Bianchi’s first identity, equation (20). Now onto the left hand side of (81). u ◦ v ◦ w : 0 − u ◦ w ◦ v : 0 − u ◦ [v, w] : 0 = 0 u 0 vw − 1 3 R(u, v)w − 1 3 R(u, w)v − 0 u 0 wv − 1 3 R(u, w)v − 1 3 R(u, v)w − 0 u[v, w] = 0 u 0 vw − 0 wv − [v, w] − 1 3 R(u, v)w − 1 3 R(u, w)v + 1 3 R(u, v)w + 1 3 R(u, w)v = 0 u (T (v, w)) = 0 Since the connection is torsion free. It would seem therefore that definition 31 correctly reflects how a third order vector combines with a torsion free connection. For many applications in physics, a torsion free connection is all that is required for a solid theory. As has already been mentioned, general relativity is based on the idea of a torsion free connection[12]. There is also the Fundamental Theorem of Riemannian 29
  • 30.
    5.3 Third OrderVectors & the Connection, a Scalar geometry, revisited later in section 6. The existence of these vectorial objects, constructed using the non-tensorial Christoffel symbols along with second and third order vector components, is quite astonishing. A natural step forward would be to look at whether vectors of this form exist when dealing with vectors of nth order. The work done at these low orders strongly suggests the possibility of such a definition. This topic will be discussed in greater detail in section 6. 5.3 Third Order Vectors & the Connection, a Scalar It has now been explicitly shown that it is possible to combine higher order vectors with the connection and construct a first order vector. During research it was found that it is also possible to build a scalar quantity from higher order vector components and the Christoffel symbols. There is no obvious way to do this with a first order vector, but at second order the result can be written down almost trivially. Definition 33. Given a second order vector field U ∈ ΓT2M such that U = Ua∂a + Uab 2 ∂2 ab, a metric g ∈ Γ M and a general connection on M, U ... = Uab 2 gab (82) Here a triple colon is used to distinguish this expression from the object (U : )e, which is of course a vector. The claim is that U ... transforms as a scalar quantity. It was shown in section 4 that for a second order vector, the component Uab is a symmetric (2, 0) tensor. The metric is by definition a symmetric (0, 2) tensor, hence when the two tensors are combined the indices can be contracted and the result is a scalar. The right hand side of equation (82) also leads to a nice coordinate free definition. Using the same approach as with the vectorial objects, the specific case of U = v ◦ w is considered. Definition 34. Given v, w ∈ ΓTM, a metric g ∈ Γ M and a general connection on M, (v ◦ w) ... ∈ ΓΛ0M is such that v ◦ w ... = g(v : , w : ) (83) This definition is easily justified by expanding the right hand side of equation (82) into is fully symmetric form introduced in lemma 23. Lemma 35. Let a second order vector field U ∈ ΓT2M have components Uab = vawb+vbwa and arbitrary Ua. Then Uab 2 gab = g(v : , w : ) (84) 30
  • 31.
    5.3 Third OrderVectors & the Connection, a Scalar Proof. Uab 2 gab = 1 2 (va wb + vb wa )gab = 1 2 (gabva wb + gabvb wa ) = 1 2 (gabva wb + gabva wb ) = 1 2 (2gabva wb ) = g(v, w) = g(v : , w : ) It would appear that definition 34 suggests a relationship between first and second order vectors combining with the connection. Although this does imply the existence of some sort of inductive definition for the combination of arbitrary order vectors and the connection, a first order vector combining with the connection is a trivial result. Recall that u : = u. To show that there is indeed a strong link between subsequent orders, higher orders must be investigated. A possible definition is now given for a scalar constructed from a third order vector and the connection. Definition 36. Given a third order vector field W ∈ ΓT3M such that W = Wa∂a + Wab 2 ∂2 ab + Wabc 6 ∂3 abc and a general connection on M, W ... = Wabc Γcab + Wab gab (85) Where Γabc = gadΓd bc are the Christoffel symbols of the first kind. The existence of such a definition was a great surprise since the right hand side involves only two of three possible third order components. For this reason, it would be expected that any symmetry required to show the object’s invariance under coordinate transform, to be broken. With the following lemma it is clear that this assumption is incorrect. Lemma 37. Given a third order vector field W ∈ ΓT3M, the object W ... transforms as a scalar quantity. That is to say W ... = W ... (86) Proof. Note the use of equation (45) for the Christoffel symbol of the first kind transformation law. W ... = ˆWαβγ ˆΓγαβ + ˆWαβ ˆgαβ = Wabc ∂yα ∂xa ∂yβ ∂xb ∂yγ ∂xc ∂xd ∂yα ∂xe ∂yβ ∂xf ∂yγ Γfde + gde ∂2xd ∂yα∂yβ ∂xe ∂yγ + gde ∂xd ∂yα ∂xe ∂yβ Wab ∂yα ∂xa ∂yβ ∂xb + Wabc 1 3 ∂yα ∂xa ∂2yβ ∂xb∂xc + ∂yα ∂xb ∂2yβ ∂xa∂xc + ∂yβ ∂xc ∂2yα ∂xa∂xb 31
  • 32.
    5.3 Third OrderVectors & the Connection, a Scalar = Wabc δd aδe b δf c Γfde + Wabc gdeδe c ∂yα ∂xa ∂yβ ∂xb ∂2xd ∂yα∂yβ + Wab gdeδd aδe b + Wabc gde 1 3 δd a ∂xe ∂yβ ∂2yβ ∂xb∂xc + δd b ∂xe ∂yβ ∂2yβ ∂xa∂xc + δe c ∂xd ∂yα ∂2yα ∂xa∂xb = Wabc Γcab + Wab gab + Wabc gdc ∂yα ∂xa ∂yβ ∂xb ∂2xd ∂yα∂yβ + Wabc gae 1 3 ∂xe ∂yβ ∂2yβ ∂xb∂xc + Wabc gbe 1 3 ∂xe ∂yβ ∂2yβ ∂xa∂xc + Wabc gdc 1 3 ∂xd ∂yα ∂2yα ∂xa∂xb = W ... − Wabc gdc ∂xd ∂yα ∂2yα ∂xa∂xb + 1 3 Wabc gae ∂xe ∂yβ ∂2yβ ∂xb∂xc + Wabc gbe ∂xe ∂yβ ∂2yβ ∂xc∂xa + Wabc gdc ∂xd ∂yα ∂2yα ∂xa∂xb = W ... − Wabc gcd ∂xd ∂yα ∂2yα ∂xa∂xb + 1 3 Wcab gcd ∂xd ∂yβ ∂2yβ ∂xa∂xb + Wbca gcd ∂xd ∂yβ ∂2yβ ∂xa∂xb + Wabc gcd ∂xd ∂yβ ∂2yβ ∂xa∂xb = W ... − Wabc gcd ∂xd ∂yβ ∂2yβ ∂xa∂xb + 1 3 Wabc gcd ∂xd ∂yβ ∂2yβ ∂xa∂xb + ∂xd ∂yβ ∂2yβ ∂xa∂xb + ∂xd ∂yβ ∂2yβ ∂xa∂xb = W ... − Wabc gcd ∂xd ∂yα ∂2yα ∂xa∂xb + Wabc gcd ∂xd ∂yβ ∂2yβ ∂xa∂xb = W ... So what would be a coordinate free interpretation of this result, that is to say (u ◦ v ◦ w) ... ? Unfortunately the same problem is encountered as was had when defining (V : )e. The coordinate definition includes the fully symmetric component Wabc, an object which has proven very difficult to interpret. In order for W ... to transform in the correct way, it is demonstrated in the proof that the only symmetries required are Wabc = Wcab = Wbca. Notice that once again, these are the cyclic permutations of abc. As before, it is easy to verify that the condition Wabc = Wcab = Wbca is satisfied if Wabc = A ua vb wc + uc va wb + ub vc wa + B ub va wc + ua vc wb + uc vb wa (87) Where A and B are arbitrary constants. The component Wab should also be fully symmetric. Referring back to the result of lemma 26, a suitable form for this component to take is Wab = C ub vc ∂wa ∂xc + uc wa ∂vb ∂xc + uc vb ∂wa ∂xc + ua vc ∂wb ∂xc + uc wb ∂va ∂xc + uc va ∂wb ∂xc (88) Where C is another constant. With this component interpretation, the following coordinate free version of definition 36 can be proposed. Definition 38. Given u, v, w ∈ ΓTM, a metric g ∈ Γ M and a general connection on M, (u ◦ v ◦ w) ... ∈ ΓΛ0M is such that u ◦ v ◦ w ... = 2 g u, vw + g v, uw + g w, uv (89) − g u, T (v, w) + g v, T (u, w) + g w, T (u, v) 32
  • 33.
    5.3 Third OrderVectors & the Connection, a Scalar This definition is justified by considering the coordinate expression of W ... and is the starting point of the next lemma. The right hand side has been written in this way so that the torsion and torsion free parts of W ... are clear. Later, this definition will be rewritten in a simpler form. Lemma 39. Take a metric g ∈ Γ M and let a third order vector field W ∈ ΓT3M have components given by (87), (88) and arbitrary Wa. Then Wabc Γcab + Wab gab = 2 g u, vw + g v, uw + g w, uv (90) − g u, T (v, w) + g v, T (u, w) + g w, T (u, v) Proof. Wabc Γcab + Wab gab = A ua vb wc + uc va wb + ub vc wa + B ub va wc + ua vc wb + uc vb wa Γcab + C ub vc ∂wa ∂xc + uc wa ∂vb ∂xc + uc vb ∂wa ∂xc + ua vc ∂wb ∂xc + uc wb ∂va ∂xc + uc va ∂wb ∂xc gab = gcd A Γd abua vb wc + Γd abuc va wb + Γd abub vc wa + B Γd abub va wc + Γd abua vc wb + Γd abuc vb wa + C ud ve ∂wc ∂xe + ue wc ∂vd ∂xe + ue vd ∂wc ∂xe + uc ve ∂wd ∂xe + ue wd ∂vc ∂xe + ue vc ∂wd ∂xe = gcd A wc ( uv)d − ue ∂vd ∂xe + uc ( vw)d − ve ∂wd ∂xe + vc ( wu)d − we ∂ud ∂xe + B wc ( vu)d − ve ∂ud ∂xe + vc ( uw)d − ue ∂wd ∂xe + uc ( wv)d − we ∂vd ∂xe + C ud ve ∂wc ∂xe + ue wc ∂vd ∂xe + ue vd ∂wc ∂xe + uc ve ∂wd ∂xe + ue wd ∂vc ∂xe + ue vc ∂wd ∂xe = Ag(w, uv) + Ag(u, vw) + Ag(v, wu) + Bg(w, vu) + Bg(v, uw) + Bg(u, wv) + gcd Cue wc ∂vd ∂xe − Awc ue ∂vd ∂xe + Cuc ve ∂wd ∂xe − Auc ve ∂wd ∂xe + Cue vc ∂wd ∂xe − Bue vc ∂wd ∂xe + Cud ve ∂wc ∂xe − Bud we ∂vc ∂xe + Cvd ue ∂wc ∂xe − Avd we ∂uc ∂xe + Cwd ue ∂vc ∂xe − Bwd ve ∂uc ∂xe Taking A = B = C = 1. = g(w, uv) + g(u, vw) + g(v, wu) + g(w, vu) + g(v, uw) + g(u, wv) + gcd ud ve ∂wc ∂xe − we ∂vc ∂xe + vd ue ∂wc ∂xe − we ∂uc ∂xe + wd ue ∂vc ∂xe − ve ∂uc ∂xe = g(w, uv) + g(u, vw) + g(v, wu) + g(w, vu) + g(v, uw) + g(u, wv) + g([v, w], u) + g([u, w], v) + g([u, v], w) = g(u, vw + wv + [v, w]) + g(v, wu + uw + [u, w]) + g(w, uv + vu + [u, v]) = g u, 2 vw − T (v, w) + g v, 2 uw − T (u, w) + g w, 2 uv − T (u, v) = 2 g u, vw + g v, uw + g w, uv − g u, T (v, w) + g v, T (u, w) + g w, T (u, v) 33
  • 34.
    5.3 Third OrderVectors & the Connection, a Scalar Since during the proof it is taken that A = B = C = 1, notice that the coefficient Wabc originally assumed to be cyclicly symmetric, actually turns out to be fully symmetric. That is to say, invariant under all permutations of abc. Now that this coordinate free result has been shown, it was previously mentioned that definition 38 can be rewritten in a more elegant fashion. Simply by rearranging the right hand side of (89) and dividing by 2 one has the following. Definition 40. Given u, v, w ∈ ΓTM, a metric g ∈ Γ M and a general connection on M, (u ◦ v ◦ w) ... ∈ ΓΛ0M is such that 1 2 u ◦ v ◦ w ... = g u, v ◦ w : + g v, u ◦ w : + g w, u ◦ v : (91) This result shows that there is indeed some sort of link between third order vectors combining with the connection, and second order vectors combining with the connection. The existence of such a coordinate free relationship only strengthens the claim that an inductive definition for combining arbitrary order vectors and the connection is possible. Using coordinates alone it would be almost impossible to spot this relationship. In this section, suggestions have been made for coordinate and coordinate free definitions which demonstrate how first, second and third order vectors can be combined with the connection to form both scalar, U ... and vector quantities, (U : )e. Working with these low orders, a relationship between subsequent orders has been found by expressing U ... in terms of (U : )e for various U ∈ ΓT2M. Next, the most important results of the research are discussed and their possible applications to physics considered. 34
  • 35.
    6 Analysis &Discussion This section will act as an overall review of the main results presented in the report so far, which are believed to be original. There will also be a more in depth discussion about the possible physical applications of the work. 6.1 Discussion of Results Beginning first of all with the vectorial quantity (U : )c for U ∈ ΓT2M. Result 1. (Lemma). Given a second order vector field U ∈ ΓT2M such that U = Ua∂a + Uab 2 ∂2 ab and a general connection on M, (U : )c = Uab 2 Γc ab + Uc (92) is a vector quantity. Result 2. (Definition). Given v, w ∈ ΓTM and a general connection on manifold M, (v ◦ w) : ∈ ΓTM is such that (v ◦ w) : = vw − 1 2 T (v, w) (93) Going from the coordinate, to the coordinate free definition in the second order case was straight- forward after noticing the link between the symmetry of the coefficient Uab and the torsion. The fact that Uab must equal Uba meant that Uab could not just be proportional to vawb, but had to be proportional to vawb + vbwa. In the coordinate expression (result 1), this term is multiplied by a Christoffel symbol Γc ab. For a general connection of course, Γc ab = Γc ba hence the definition of (v ◦ w) : is forced to contain a torsion term. Notice that for a torsion free connection, (v ◦ w) : reduces to the covariant derivative of w in the direction of v. Now (V : )e for V ∈ ΓT3M is considered. Result 3. (Lemma). Given a third order vector field V ∈ ΓT3M such that V = V a∂a + V ab 2 ∂2 ab + V abc 6 ∂3 abc and a general connection on M, (V : )e = V abc 6 Γd abΓe cd + ∂cΓe ab + V ab 2 Γe ab + V e (94) is a vector quantity. Result 4. (Definition). Given u, v, w ∈ ΓTM and a torsion free connection 0 on M, (u ◦ v ◦ w) : 0 ∈ ΓTM is such that (u ◦ v ◦ w) : 0 = 0 u 0 vw − 1 3 R(u, v)w − 1 3 R(u, w)v (95) A different set of methods were required to extract a coordinate free definition from (V : )e, due to the complexity of the symmetric expansion of V abc. From f-linearity requirements alone, 35
  • 36.
    6.1 Discussion ofResults it was shown that (u ◦ v ◦ w) : must consist of terms f-linear in all arguments, along with three terms of the form T ( −−, −). Using the first Bianchi identity and equations (68) and (69), it was found that two of the f-linear terms must be curvature tensors. This was enough to fully define (u ◦ v ◦ w) : in the case of a torsion free connection, result 4. This expression ties together the concepts of curvature and third order vectors, a relationship which is believed has not been recognised before. Due to lack of time and methods, the exact form of (u ◦ v ◦ w) : for a general connection was not found. All known identities that (u ◦ v ◦ w) : should satisfy were exhausted calculating the first six terms. Looking back to definition 29, this left 6 unknown coefficients after symmetry considerations. As well as combining higher order vectors with the connection to form vectorial quantities, it was also found that it is possible to construct scalars. For this kind of object, the notation W ... was introduced. The case where W ∈ ΓT2M was found trivially. Result 5. (Lemma). Given a second order vector field W ∈ ΓT2M such that W = Wa∂a + Wab 2 ∂2 ab, a metric g ∈ Γ M and a general connection on M, W ... = Wab 2 gab (96) is a scalar quantity. Result 6. (Definition). Given v, w ∈ ΓTM, a metric g ∈ Γ M and a general connection on M, (v ◦ w) ... ∈ ΓΛ0M is such that (v ◦ w) ... = g(v : , w : ) (97) This was the first expression to be found relating vectors of subsequent orders combining with the connection. By brute force calculation directly from the coordinate definition, third order analogues of results 5 and 6 were found. Result 7. (Lemma). Given a third order vector field W ∈ ΓT3M such that W = Wa∂a + Wab 2 ∂2 ab + Wabc 6 ∂3 abc and a general connection on M, W ... = Wabc Γcab + Wab gab (98) is a scalar quantity. Result 8. (Definition). Given u, v, w ∈ ΓTM, a metric g ∈ Γ M and a general connec- tion on M, (u ◦ v ◦ w) ... ∈ ΓΛ0M is such that 1 2 u ◦ v ◦ w ... = g u, v ◦ w : + g v, u ◦ w : + g w, u ◦ v : (99) Results 6 and 8 are perhaps the most important to come out of the research. Both not only show that it is possible to move between W : and W ... , but more importantly relate first/second 36
  • 37.
    6.2 Physical Applications ordervectors combining with the connection and second/third order vectors combining with the connection respectively. As has already been highlighted, this points to a possible inductive definition which combines arbitrary order vectors and the connection. All eight of these results have arisen from a natural relationship between the connection and the higher order vector components. It has been shown that both the Christoffel symbols and higher order vector components are in general non-tensorial. Take the specific example of U ∈ ΓT2M with first component, Ua. Under a change of coordinate frame, both transform with a piece which is tensorial and an additional non-linear piece, dependant on second order derivatives of each coordinate function. Combining the two together in the right way has the effect of cancelling out the additional, non-tensorial term. It was explained in section 3.3 that the fundamental reason for this cancellation is their dual jet space relationship. 6.2 Physical Applications The study of higher order vectors is fairly abstract, yet it has been shown that combining them with the connection leads to relationships between them and useful, measurable geometric quantities. Covariant derivatives, curvature and torsion lend themselves well to the study of gravity, where the nature of the space in question has direct consequence in the theory. General relativity for example has the geodesic deviation equation. This equation states that the only way gravity can be ‘measured’ is to look at the curvature of the manifold in which a test particle moves[12]. It is natural then to expect, that it may be possible to express some equations from Einstein’s theory, in terms of these new coordinate free objects. In lemma 41, the condition which a vector must satisfy in order for it to be Killing is rewritten. A vector u ∈ ΓTM is Killing if Lug = 0, that is to say that the Lie derivative of the metric in the direction of u is zero[12]. Every Killing vector corresponds to a conserved quantity in the spacetime described by g, energy or momentum for example[12]. It is straightforward to show assuming metric compatibility and using the Leibniz rule that Lug = 0 =⇒ u g(v, w) = g [u, v], w + g v, [u, w] (100) For all v and w. Lemma 41. Consider first order vectors u, v, w ∈ ΓTM, a metric g ∈ Γ M and a metric compatible connection on M. u is a Killing vector if u g(v, w) = 1 2 [u, v] ◦ w ... + 1 2 [u, w] ◦ v ... (101) Proof. Beginning with equation (100). u is a Killing vector if for all v and w it satisfies u g(v, w) = g [u, v], w + g v, [u, w] (102) Now consider the following. 1 2 u ◦ v ◦ w ... − 1 2 v ◦ u ◦ w ... = g u, v ◦ w : + g v, u ◦ w : + g w, u ◦ v : − g v, u ◦ w : − g u, v ◦ w : − g w, v ◦ u : = g w, u ◦ v : − g w, v ◦ u : = g w, [u, v] : = g w, [u, v] 37
  • 38.
    6.2 Physical Applications Thenimmediately by relabelling. 1 2 u ◦ w ◦ v ... − 1 2 w ◦ u ◦ v ... = g v, [u, w] Substituting these two expressions directly into equation (102) gives u g(v, w) = 1 2 u ◦ v ◦ w ... − 1 2 v ◦ u ◦ w ... + 1 2 u ◦ w ◦ v ... − 1 2 w ◦ u ◦ v ... = 1 2 u ◦ v ◦ w − v ◦ u ◦ w ... + 1 2 u ◦ w ◦ v − w ◦ u ◦ v ... = 1 2 [u, v] ◦ w ... + 1 2 [u, w] ◦ v ... This is a nice result which involves both of the new second and third order scalar objects. A possible application of the vectorial objects (U : )c in a similar area of physics, are to new cosmological models. The method for doing such modelling usually begins with the construction of a Lagrangian, which is then integrated to obtain the action. The equations which define the physical laws of the universe in question, are obtained by finding the stationary points of the action. In theory, the Lagrangian contains all of the necessary information for a complete description of the physical system. For a given universe, it is sensible to require that the Lagrangian be invariant under Lorentz group transformations. This assures that any equations of motion respect special relativity. The requirement is satisfied by the following Lagrangian which yields Maxwell’s equations in a vacuum[16]. LMaxwell = − 1 2 dA ∧ dA + A ∧ J (103) Where A is the electromagnetic potential 1-form and J is the 4-current 1-form. The advantage of using coordinate free language to write down this Lagrangian is that Lorentz invariance is automatically built in. With this in mind, the following cosmological Lagrangian featuring U ∈ ΓT2M such that U = v ◦ w for v, w ∈ ΓTM, can be suggested. LT2M = κ1d(U : ) ∧ d(U : ) + κ2(U : ) ∧ (U : ) (104) The first term is dynamical and the second corresponds to the field mass, each have a coupling of κ1 and κ2 respectively. This is in complete analogy with the Lagrangian for a massive scalar field given in (118). In accordance with equation (103), wedging each of the two forms must give an overall 4-form. This can be achieved by setting (U : ) to be a 1-form on M. The manifold M is 4-dimensional, which means that (U : ) is in fact a 3-form on M. The degrees therefore add correctly when the two forms are wedged together. It is straightforward to check that having (U : ) as a 1-form ensures that the dynamical term is also an overall 4-form. A more detailed discussion of exterior calculus can be found in appendix section A. By writing down this Lagrangian, second order vectors are being viewed as possible new sources of matter. Looking back to the coordinate free result, result 2, this could be seen as a fairly reasonable suggestion. The expression is written in terms of curvature and torsion, both of which are quantities which play a central role in general relativity and Einstein-Cartan theory respectively. The Einstein-Cartan model of gravity is similar to general relativity but with non- zero torsion. It is believed that torsion may feature in a theory of gravity in order to capture 38
  • 39.
    the effects ofmatter with spin[4]. It was suggested in a 2010 paper by Poplawski that torsion can not only remove the big bang singularity, but also explain cosmic inflation by relaxing the torsion free condition in the Friedman equations[13]. It has been shown in this report that even when combining just second order vectors with the connection, a linear torsion is introduced naturally. It is possible that the universe described by equation (104) has no big bang singular- ity, but preserves all of the observed properties of general relativity. It is not just gravitational models which make use of torsion. Another example is in the modelling of crystal defects in the continuum, more specifically dislocations and disclinations[3]. The properties of such a space lend themselves well to a description through torsion[3]. By the same justification as was used to write down LT2M, a second Lagrangian involving a third order vector V ∈ ΓT3M such that V = u ◦ v ◦ w for u, v, w ∈ ΓTM, can be suggested. LT3M = κ1d(V : ) ∧ d(V : ) + κ2(V : ) ∧ (V : ) (105) Due to the definition of a third order vector combining with a general connection being incom- plete, this Lagrangian would correspond to a torsion free theory. The Fundamental Theorem of Riemannian geometry states however that given a metric, there is a unique connection on it which is metric compatible and torsion free[11]. There is no reason to believe therefore that a Lagrangian of this form, would not predict anything new or of consequence. 7 Conclusion It has been shown that it is possible to combine higher order vectors and the connection in such a way, that the resulting objects are expressible in terms of useful geometric quantities. These results were formed on the assumption that such objects must exist, given the natural relationship between the connection and higher order vectors, which becomes evident when the respective transformation laws are compared. The coordinate definitions of these new objects were obtained by writing down expressions involving products of Christoffel symbols and higher order vector components, while ensuring the correct number of free indices to indicate vector and scalar quantities. Once these expression were explicitly proven to be tensorial, the coordinate free definitions were obtained by considering the special cases of second and third order vectors, v◦w ∈ ΓT2M and u◦v◦w ∈ ΓT3M. In all but one case, complete definitions were obtained for general connections by simply respecting the symmetries of the higher order components. This approach was unsuccessful for the third order vectorial object, where new methods to decipher the exact form had to be found. With 2 equations involving the Lie bracket, f-linearity and symmetry considerations, and the Bianchi identities, the problem was reduced from 13 to 6 unknowns. From this a complete torsion free definition could be extracted. As explained, it may be that the elusiveness of a definition fully inclusive of torsion, despite the result of lemma 28, implies some deeper problem which is currently being overlooked. The final outcome is a set of coordinate free definitions showing how second and third order vectors can be combined with the connection to obtain 2 vector quantities and 2 scalar quantities. The physical implications of these definitions were discussed at length in section 6.2, highlighting possible applications to gravitational and cosmological theories. It is the natural occurrence of torsion in the definitions, a frequently overlooked quantity, which could lead to new predictions in these fields. In order to draw something physical from a Lagrangian however, it must first be integrated and varied. To extract anything meaningful from equations (104) and (105) would 39
  • 40.
    therefore require amethod of computing the functional derivative of U : . Such mathematics has not yet been developed. Finally, notice that a significant portion of the work features a connection and no metric. Questions can therefore be asked about the possibility of building a manifold abstractly, with a connection and no metric. If this work were to be taken further, the ultimate goal would be an inductive definition which describes how an nth order vector can be combined with the connection in a coordinate free way. Results 6 and 8 which relate higher order vectors of subsequent order combining with the connection, only support the existence of such a definition. Looking at the first, second and third order vectorial combinations with the connection, there is a clear pattern emerging. An nth order definition is likely to be of the following form. (u1 ◦ · · · ◦ un) : = u1 · · · un−1 un + Sn (106) Where u1, · · · , un ∈ ΓTM and Sn : [ΓTM]n → ΓTM. That is to say Sn is a function which takes n first order vectors and gives a first order vector. It is also reasonable to assume that Sn will be made up completely of curvature and torsion tensors, along with their higher order covariant derivatives and products. Sn may contain for example ( u1 · · · u4 u5 T )( u6 · · · un−4 un−3 un−2, un−1 un) (107) Indeed, any combination of torsions, curvatures and del operators which can accommodate n first order vectors are a possibility. It is clear from the rate of increase in complexity of Sn, that working with higher orders would require a computer program. For example, the next logical step would be to investigate (u1 ◦ u2 ◦ u3 ◦ u4) : , S4 could contain any of the following. −R(−, −)− ( − −T )(−, −) T ( −−, −−) R(T (−, −), −)− R( −−, −)− ( −T )( −−, −) T (T (−, −), T (−, −)) R(−, −)T (−, −) R(−, −) −− ( −T )(T (−, −), −) T (T (T (−, −), −), −) T (R(−, −)−, −) Before taking into account any symmetries in the arguments of the vectors, there are 4! ways in which 4 first order vectors can be placed into each of the slots. That makes for a grand total of 288 unknowns. Furthermore, even with the aid of a computer program, solving such an expression for the exact definition would require 288 conditions. Recall that for the third order case there were still 6 unknowns, with no known method to reduce this number any further. A possible solution which, due to lack of time was never developed far enough to contribute, is observing that a general connection can be written in the following form. = + αQ , α ∈ R, Q ∈ Γ M (108) This is a one parameter family of diffeomorphisms. If for example it is chosen that the connection be completely torsion free, it is straightforward to show that taking α = 1/2 and Q = T satisfies this choice. = + 1 2 T (109) The connection is still any general connection. Equation (108) could be used to substitute for in the incomplete coordinate free definition of (u ◦ v ◦ w) : . By then carefully choosing different values of α, it may be that the remaining 6 unknowns could be extracted. This masters project has been successful in defining two ways in which first, second and third order vectors can be combined with the connection to form tensorial quantities. It is fair to say that if equipped with the correct techniques, there are many ways in which the research could be taken forward and continued. However, what more can efficiently be achieved without the development of appropriate computational methods or a completely different approach, is limited. 40
  • 41.
    8 Glossary ofNotation This section acts as a quick reference for all notation used in this report, that is to say no rigorous definitions are given. Multi-Index Notation Given I = [i1, · · · , iq], then unless otherwise stated. |I| = i1 + · · · + iq , ||I|| = len{I} (110) I! = i1! · · · iq! , xI = xi1 1 · · · x iq q (111) The multi-index partial derivative. DI = ∂ ∂xi1 1 · · · ∂ ∂x iq q (112) Basic Latin and Greek Script This excludes all types of vector and other ten- sor spaces. Notation Explanation M A manifold. m Dimension of M. p A point on M. n Order of a vector. k Degree of a form. a, b, c, · · · α, β, γ, · · · Free/dummy indices. q, r Natural numbers. I, J Multi-indices. i1, · · · , iq Indices contained in I. κq Coupling constants. Vectors and Vector/Tensor Spaces 1st Order Vector nth Order Vector Scalar k-Form At a Point, p u, v, w ∈ TpM U, V, W ∈ Tn p M f|p, g|p, h|p n/a At all Points u, v, w ∈ TM U, V, W ∈ TnM n/a n/a Field u, v, w ∈ ΓTM U, V, W ∈ ΓT2M f, g, h, λ ∈ ΓΛ0M µ, ν, η ∈ ΓΛkM ‘At all points’ refers to the following disjoint union, the set of all vectors at all points. TM = p∈M TpM (113) The set Γ M denotes the space of all tensor fields on M. Other Spaces, Objects & Operations Coordinate Coordinate Free Explanation ua∂af u f An arbitrary vector acting upon a scalar. Not required. µ : v A arbitrary 1-form acting upon a vector. Γcab, Γc ab Not required. 1st and 2nd kind Christoffel symbols. Not required. / 0 A general/torsion free connection. T c ab / uavbT c ab T / T (u, v) Torsion tensor. Rd abc / ubvcwaRd abc R / R(u, v)w Curvature tensor. gab g(u, v) The metric tensor. Not required. Jrf/(Jrf)∗ rth order jet/dual of jet of scalar f. Not required. rϕ Element of rth order jet of scalar f. ua∂a(vb∂b) u ◦ v Vector u operating/acting on vector v. (U : )e U : Higher order vector combining with the connection to form a vector. W ... W ... Higher order vector combining with the connection to form a scalar. Not required. Lu The Lie derivative in direction of u. Not required. ˜g The metric dual. Not required. The Hodge star operator. Not required. d The exterior derivative. Not required. ∧ The wedge product. Not required. A/J Electromagnetic potential/4-current 1-forms. 41
  • 42.
    Appendices A Exterior Calculus Insection 6.2, possible applications of the work are discussed. In one example, two Lagrangians are written down and analysed using aspects of differential geometry which are not required anywhere else during the main research phase. These are the exterior derivative ‘d’, the metric dual ‘˜g,’ the wedge product ‘∧’ and the Hodge star operator ‘ ’. For the purposes of this report, that is to say in order to understand the Lagrangian application, only a basic knowledge of these ideas is necessary. If a formal definition is not essential, it has not been included. The wedge product, ∧. This operation allows higher degree differential forms to be con- structed from 1-forms (as introduced in section 2.2). To build a 4-form for example, the type required for Lagrangians (104) and (105), two 1-forms are first wedged together to give a 2- form. Next, two of these 2-forms can be wedged to give an overall 4-form. In general the wedge product can be seen as the following function[11]. Definition 42. Given µ ∈ ΓΛkM and ν ∈ ΓΛqM, the wedge product is a function ∧ : ΓΛkM× ΓΛqM → ΓΛk+qM, with (µ, ν) → µ∧ν such that it is associative and has graded commutativity. µ ∧ ν = (−1)kq ν ∧ µ (114) It is also plus and f-linear in all of its arguments. Higher degree differential forms are a far more well established tool in physics and mathematics than higher order vectors. It has already been mentioned that it is possible to reduce Maxwell’s equations down to just two expressions. To do this the electric and magnetic fields are combined into a single ‘electromagnetic’ 2-form[12]. Equipped with the wedge product and keeping in mind the 1-form basis introduced in section 2.2, the coordinate expression for a general k-form can be written down[12]. Lemma 43. Given an m-dimensional manifold M with coordinates (x1, · · · , xm) and multi- indexed scalar fields fI ∈ ΓΛ0M, a general k-form on M, µ ∈ ΓΛkM can be expressed µ = 1 k! fIdxI , dxI = dxi1 ∧ · · · ∧ dxim (115) The factor of 1 k! is to account for the symmetry in the wedge product due to its graded com- mutativity. This coordinate expression will be used when talking about the Hodge star. Hodge star, . Although this operator is used in Lagrangians (104) and (105) which are coordinate free, for the purposes of the project it is best to define the Hodge star using index notation. A succinct coordinate free definition by induction does exist, however it requires the concept of internal contraction which does not feature in the report. The action of the Hodge star on a general k-form is calculated in the following way[2]. Lemma 44. Given an m-dimensional manifold M with metric g ∈ Γ M, multi-indexed scalar fields fI ∈ ΓΛ0M and a general k-form µ ∈ ΓΛkM such that µ = 1 k!fIdxI, µ = det(g) k!(m − k) gi1j1 · · · gikjk εj1···jkjk+1···jm fi1···ik dxjk+1 ∧ · · · ∧ dxjm (116) Where εj1···jkjk+1···jm is the Levi-Civita symbol. 42
  • 43.
    The Hodge staris therefore a function : ΓΛkM → ΓΛm−kM, taking a k-form and producing an (m−k)-form. Most notably its definition is dependant on the choice of metric and dimension of the manifold. Taking the wedge product of a form with its own Hodge dual results in a form of maximum degree in that particular space. This is the property which has been used in the discussion section to construct the two Lagrangians. Exterior derivative, d. The exterior derivative is an operator which allows the degree of a form to be increased by 1. As with most coordinate free objects, d can be defined as a function which obeys a set of rules. Here it is sufficient to understand how the exterior derivative of a differential form can be calculated using a coordinate basis[6][12]. Lemma 45. Given an m-dimensional manifold M with coordinates (x1, · · · , xm), multi-indexed scalar fields fI ∈ ΓΛ0M and a general k-form µ ∈ ΓΛkM such that µ = 1 k!fIdxI, dµ = 1 k! ∂fI ∂xj dxj ∧ dxI (117) The original k-form has become a (k + 1)-form. It is straightforward to show that d2 = 0 due to the equality of mixed partial derivatives[6]. If classical vectors in R3 are viewed as 1-forms, this property can be used to demonstrate the well known result × g = 0, where g is any well behaved scalar field[6]. The exterior derivative is used in Lagrangians (104) and (105) to construct a kinetic term. This is in complete analogy with how kinetic and mass terms are built into Lagrangians in quantum field theory. The Lagrangian for a free scalar field ψ with mass λ is given by[17] L = 1 2 (∂a ψ)(∂aψ) − 1 2 λ2 ψ2 (118) Using the differential geometric approach, partial derivative ∂a has been replaced by exterior derivative d. Metric dual, ˜g. The metric dual provides a way to transition between differential 1-forms and first order vectors and vice-versa. The dual of a 1-form field µ ∈ ΓΛ1M for example, is denoted ˜µ and is a vector field. Formally, it is best understood through its coordinate free definition[7]. Definition 46. Given µ ∈ ΓΛ1M and ν ∈ ΓΛ1M and metric g ∈ Γ M, the metric dual is a function ˜g : ΓΛ1M × ΓΛ1M → ΓΛ0M, with (µ, ν) → ˜g(µ, ν) such that ˜g(µ, ν) = g(˜µ, ˜ν) (119) Such an operation therefore makes it possible to apply the work done with vectors in the research phase of the project, to a covariant Lagrangian formalism. 43
  • 44.
    REFERENCES References [1] Aghasi, M;Dodson, C; Galanis, G. & Suri, A. (2006). Infinite-dimensional second order ordinary differential equations via T2M. Nonlinear Analysis 67(10). 2829-2838. [2] Barrett, T. & Grimes, D. (1995). Advanced Electromagnetism: Foundations, Theory and Applications. Singapore: World Scientific Publishing Co. Pte. Ltd. [3] Bennett, D; Das, C; Laperashvili, H. & Nielsen, H. (2013). The relation between the model of a crystal with defects and Plebanski’s theory of gravity. International Journal of Modern Physics A 28(13). pp.1350044. [4] Cartan, E. (1922) Sur une g´en´eralisation de la notion de courbure de Riemann et les espaces `a torsion. Comptes Rendue Acad. Sci. 174. 593-595. [5] Duval, C. & Ovsienko, V. (1997). Space of Second-Order Linear Differential Operators as a Module over the Lie Algebra of Vector Fields. Advances in Mathematics 132, 316-331. [6] Flanders, H. (1963). Differential Geometry with Applications to the Physical Sciences. New York: Dover Publishing. [7] G¨ockeler, M. & Sch¨ucker, T. (1989). Differential Geometry, Gauge Theories and Gravity. Cambridge: Cambridge University Press. [8] Jensen, S. (2005). General Relativity with Torsion: Extending Wald’s Chapter on Curva- ture. Chicago: University of Chicago. [9] K¨onigsberger, K. (2004). Analysis 2. Berlin: Springer-Verlag. [10] Landau, L. & Lifshitz, L. (1987). Fluid Mechanics, Volume 6 of Course of Theoretical Physics. Oxford: Pergamon Press. [11] Lee, Jeffrey. (1956). Manifolds & Differential Geometry. Providence: American Mathemat- ical Society. [12] Misner, C; Thorne, K. & Wheeler, J. (1973). Gravitation. San Fransisco: W. H. Freeman. [13] Poplawski, N. (2010). Cosmology with Torsion: An Alternative to Cosmic Inflation. Physics Letters B 694(3). 181-185. [14] Sardanashvily, G. (1994). Five Lectures on the Jet Methods in Field Theory. Moscow: Department of Physics Moscow State University. arXiv:hep-th/9411089v1. [15] Sardanashvily, G. (2009). Fibre Bundles, Jet Manifolds and Lagrangian Theory. Lec- tures For Theoreticians. Moscow: Department of Physics Moscow State University. arXiv:0908.1886. [16] Stern, A; Tong, Y; Desbrun, M. & Marsden, J. (2008). Variational Integrators for Maxwell’s Equations with Sources. arXiv:0803.2070v1. [17] Thomson, M. (2013). Modern Particle Physics. Cambridge: Cambridge University Press. 44