.
STATISTI
CS
Chapter 1 Introduction Lesson 1
Chapter 1
DATA are defined as factual
information used as basis for
reasoning, discussion, or calculation,
so that meaningful conclusions can be
drawn.
Definition
The word statistics is derived
from the Latin word status meaning
“state”. Early uses of statistics involved
compilation of data and graphs
describing various aspects of the state
or country.
Chapter 1 Introduction Lesson 1
Definition
Statistics
Actual
numbers(data)
Method of
analysis
Chapter 1 Introduction Lesson 1
Statistics as actual numbers (data)
• The largest earthquake measured 9.2 on the
Richter scale.
• Men are at least 10 times more likely than
women to commit murder.
• One in every 8 South Africans is HIV positive.
• By the year 2020, there will be 15 people aged
65 and over for every new baby born.
Definition
Statistics is a science,
which deals with the collection,
organization, presentation,
analysis, and interpretation of
quantitative data.
Chapter 1 Introduction Lesson 1
STATISTICS
Statistics the most important science in the whole
world; for upon it depends the practical applications of
every science and of every art; the one science essential
to all political and social administration, all education
all organization based on experience, for it only gives
results of our experience
--Florence Nightingale
Uses of Statistics
Statistics
Education
Government
Sports and
Entertainment
Industries and
other sectors
Politics
Chapter 1 Introduction Lesson 1
The following are some specific
uses of statistics:
• Surveys are design to collect early
returns on election day to forecast the
outcome of an election.
• Consumers are samples to provide
information for predicting product
preference.
Chapter 1 Introduction Lesson 1
• The research physician conducts
experiments to determine the effect
of various drugs and controlled
environmental conditions on humans
in order to infer the appropriate
method of treatment of a particular
disease.
Chapter 1 Introduction Lesson 1
Branches of Statistics
Statistics
Descriptive
Statistics
Inferential
Statistics
Chapter 1 Introduction Lesson 1
Descriptive Statistics
It deals with the methods of
organizing, summarizing and presenting
a mass of data so as to yield meaningful
information.
Chapter 1 Introduction Lesson 1
Example #1
The Philippine Atmospheric, Geophysical and
Astronomical Services Administration (PAGASA) measures
the daily amount of rainfall in millimeters. They can use
descriptive statistics to compute the average daily
amount of rainfall every month for the past year. They
can use the results to describe the amount of rainfall for
the past year.
Example #2
Given the daily sales performance for a product for
the previous year we can draw a line chart or a
column chart (bar) to emphasize the
upward/downward movement of the series.
Likewise, we can use descriptive statistics to
calculate a quantity index per quarter to compare
sales by quarter for the previous year.
Inferential Statistics
It deals with making
generalizations about a body of data
where only a part of it is examined.
This comprises those methods with
the analysis of a subset of data
leading to predictions or inferences
about the entire set of data.
Chapter 1 Introduction Lesson 1
Sample is part of the population under
consideration.
Population is the set of all individuals or entities
under consideration or study. It may be a finite
or infinite collection of objects, events, or
individuals, with specified class or characteristics
under consideration.
Example #1
To examine the performance of the
country’s financial system, we can use
inferential statistics to arrive at conclusions
that apply to the entire economy using the
data gathered from a sample of companies or
businesses in the country.
Example #2
To determine if reforestation is effective,
we can take a representative portion of
denuded forests and use inferential statistics to
draw conclusions about the effect of
reforestation on all denuded forests.
Example #3
The research division of a certain
pharmaceutical company is investigating
the effectiveness of a new diet pill in
reducing weight on female adults.
“It is a capital mistake to
theorize before one has data”
Sir Arthur Conan Doyle
Determine whether the following statements
use the area of descriptive statistics or
inferential statistics:
1. A bowler wants to find his bowling average
for the past 12 games.
2. A manager would like to predict based on
previous years’ sales, the sales performance
of a company for the next five years.
3. A politician would like to estimate, based on
an opinion poll, his chance for winning in the
upcoming senatorial election.
Chapter 1 Introduction Lesson 1
4. A teacher wishes to determine the percentage
of students who passed the examination.
5. A basketball player wants to estimate his
chance of winning the most valuable player
award based on his current season averages and
the averages of his opponents.
Determine whether the following statements
use the area of descriptive statistics or
inferential statistics:
Chapter 1 Introduction Lesson 1
Definition of Some Statistical Terms
1. Population is the set of all individuals or
entities under consideration or study. It may
be a finite or infinite collection of objects,
events, or individuals, with specified class or
characteristics under consideration.
2. Variable is a characteristic of interest
measurable on each and every individual in
the universe, denoted by any capital letter in
the English alphabet.
Chapter 1 Introduction Lesson 1
Example #1
The PSU Office of Admission is studying the relationship
between the score in the college entrance examination during
application and the general point average (GPA) upon graduation
among graduates of the university from 2010 – 2018.
Population: collection of all graduates of the university from
2010 - 2018.
Variable of interest: score in the college entrance examination
and GPA
Example #2
The Department of Health is interested in determining the
percentage of children below 12 years old infected by the
Hepatitis B/Polio virus in Dagupan City in 2017.
Population: set of all children below 12 years old in Dagupan
City in 2017.
Variable of interest: whether or not the child has ever been
infected by the Hepatitis B/Polio virus.
Example #3
The research division of a certain pharmaceutical
company is investigating the effectiveness of a new
diet pill in reducing weight on female adults.
Population: set of all female adults who will use the
diet pill
Variable of interest: Weight before taking the diet pill,
weight after taking the diet pill.
Types of Variable
Qualitative Variable consists of categories or
attributes, which have non-numerical
characteristics.
Examples: year level, sex, religion etc.
Quantitative Variable consists of numbers
representing counts or measurements
Examples: age, height, weight, grades etc.
Chapter 1 Introduction Lesson 1
Definition of Some Statistical Terms
Classifications of Quantitative Variable
a. Discrete results from either finite or infinite
number of countable possible values.
Examples: number of students, number of
books, etc.
b. Continuous results from infinitely many
possible values that can be associated with
points on a continuous scale.
Examples: height, weight, grade point
average, etc.
Chapter 1 Introduction Lesson 1
Definition of Some Statistical Terms
Exercise: Discrete or Continuous?
1. Number of children in a household
2. Number of languages a person speaks
3. Number of people sleeping in stats class
4. Height of children
5. Weight of cars
6. Time to wake up in the morning
7. Speed of the train
8. Age of a person
9. Daily rainfall
10. Time in a race
3. Sample is part of the population under
consideration.
4. Parameter is a numerical measurement
describing some characteristic of a population.
5. Statistic is a numerical measurement
describing some characteristic of a sample.
6. Survey is often conducted to gather opinions
or feedbacks about a certain topic.
Examples: census survey and sampling
survey
Chapter 1 Introduction Lesson 1
Definition of Some Statistical Terms
MEASUREMENT
Measurement is the process of
determining the value or label of the
variable based on what has been
observed.
LEVELS OF MEASUREMENT
Level 1
Nominal is characterized by data that consist of
names, labels, or categories only. Data cannot
be arranged in ordering scheme.
Examples:
1. Name 4. address
2. Religion 5. sex
3. Civil status 6. degree program
Chapter 1 Introduction Lesson 1
LEVELS OF MEASUREMENT
Level 2
Ordinal involves data that maybe arranged in
some order, but differences between data
values either cannot be determined or are
meaningless.
Examples:
1. Military rank 3. year level
2. Job position
Chapter 1 Introduction Lesson 1
LEVELS OF MEASUREMENT
Level 3
Interval is like the ordinal level, with additional
property that meaningful amount of differences
between data can be determined. There is no
absolute zero.
Examples:
1. IQ score
2. Temperature
Chapter 1 Introduction Lesson 1
LEVELS OF MEASUREMENT
Level 4
Ratio is the interval level modified to include
absolute zero.
Examples:
1. Height
2. Width
3. Area
4. Weekly allowance
Chapter 1 Introduction Lesson 1
Exercise: At what level are the following
variables measured
1. Student number
2. Zip codes
3. Final course grades(4.0, 3.00,…)
4. Lengths of TV commercials
5. Blood pressure
6. Gender
7. Family income
8. Academic rank
9. TIN
10. Distances(km) traveled by a bus
Chapter 1 Introduction Lesson 1
DATA
COLLECTION
and
PRESENTATI
ON
Chapter 2 Data Collection and Presentation Lesson 1
Chapter 2
Methods of Data Collection
In order to have accurate
data, the researcher must know the
right resources and right way of
collecting them.
Characteristics of a Good Question
1. A good question is unbiased.
Biased Questions Unbiased Questions
1. Do you favor the enrolment
procedure employed last
semester which makes long
lines shorter?
1. Do you favor the enrolment
procedure employed last
semester?
2. Do you listen to boring
classical music?
2. Do you like classical music?
2. A good question must be clear and simply
stated.
Characteristics of a Good Question
Not a good question Good question
1. What is your academic
performance last semester?
1. What is your average grade
last semester?
3. Questions must be precise.
4. Good questionnaires lend themselves to easy
analyses.
Characteristics of a Good Question
Vague Question Precise Question
1. Do you think male and female
are equal?
1. In terms of mathematical
ability, do you think male and
female are equal?
Two Categories of Survey Questions
1. Open question- allows a free response.
Example: What do you think can be done to reduce
crime?
2. Closed question- allows only a fixed response.
Example: Which of the following approaches would be
the most effective in reducing crime? Choose one.
A. Get parents to discipline children more.
B. Correct social and economic conditions in slums
C. Improve rehabilitation efforts in jails.
D. Give convicted criminals tougher sentences
E. Reform courts.
Types of Data
1. Primary Data
-information collected from original source of
data.
2. Secondary Data
-information collected from published or
unpublished sources like books, newspapers and
thesis.
Methods of Data Collection
1. Direct or Interview Method(Interviewee and
Interviewer)
2. Indirect or Questionnaire Method(Written
answers)
3. Registration Method(Laws)
4. Observation Method(Senses)
5. Experiment Method (Cause and Effect)
Sampling
Sampling is the process of
selecting units, like people,
organizations, or objects from a
population of interest.
Advantages of Sampling
1. Reduced cost
2. Greater speed
3. Greater scope
4. Greater accuracy
Some Definitions
• Target Population- an entire group a
researcher is interested in.
• Sampled Population-collection of elements
from which sample is actually taken.
• The Frame
Probability Sampling
Probability sampling method
is any method of sampling that utilizes
some form of random selection.
Probability Sampling
1. Simple Random Sampling
-simplest form of random sampling.
Examples: table of random numbers, computer
generated random numbers, use of calculators
2. Stratified Random Sampling
-dividing the population into homogenous
subgroups and then taking a simple random
sampling
Probability Sampling
3. Systematic Random Sampling
Systematic sampling with a random start is a
method of selecting a sample by taking every
𝑘𝑡ℎ
unit from an ordered population, the first
unit being selected at random.
4. Cluster Random Sampling
This sampling method involves dividing the
population into clusters (geographical) and then
randomly taking samples out of clusters.
Non-probability Sampling
Non-probability sampling does
not involve random selection of samples.
Non-probability samples do not depend
upon the rationale of probability theory.
Non-probability Sampling
1. Accidental, Haphazard or Convenience
Sampling( based primarily on the
convenience of the researcher)
2. Purposive Sampling(samples are taken with a
purpose in mind)
Methods of Data Presentation
Methods of Presenting Data
1. Textual Method- a narrative description of
the data gathered.
2. Tabular Method- uses rows and columns in
describing data.
3. Graphical Method- an illustrative description
of data.
ORGANIZING DATA
Terms
Raw Data- information obtained by observing
values of a variable.
Qualitative data(Qualitative Variable)
Quantitative data(Quantitative Variable)
1. Discrete data
2. Continuous data
Examples:
1) A study is conducted in which individuals are
classified into one of sixteen personality
types using Myers-Briggs type indicator.
2) The cardiac output in liters per minute is
measured for the participants in a medical
study.
3) The number of deaths per 200,000
inhabitants is recorded for several large cities
of China caused by NCOV.
Frequency Distribution Table(FDT)
An FDT is a statistical table
showing the frequency or number
of observations contained in each
of the defined classes or
categories.
Types of FDT
1. Qualitative or Categorical FDT- a frequency
distribution table where the data are
grouped according to some qualitative
characteristics.
Example:
Gender of Respondents Number of Respondents
Male 38
Female 62
Total 100
Example:
A sample of rural country arrests gave the
following set of offenses with which individuals
were charged:
Relative Frequency of a Category
Percentage
BAR GRAPH
A bar graph is a graph composed of
bars whose heights are the frequencies of the
different categories. A bar graph displays
graphically the same information concerning
qualitative data that a frequency distribution
shows in tabular form.
PIE CHART
A pie chart is also used to
graphically display qualitative data. To
construct a pie chart, a circle is divided into
portions that represent the relative
frequencies or percentages belonging to
different categories.
Types of FDT
2. Quantitative FDT- a frequency distribution
table where the data are grouped according to
some numerical or quantitative characteristics.
Example:
Weight(in kilogram) Frequency
7-9 2
10-12 8
13-15 14
16-18 19
19-21 7
Total 50
Terms
1) Classes
2) Class limits
3) Class boundaries
4) Class width
When forming a frequency distribution, the
following general guidelines should be followed:
1)The number of classes should be between 5
and 15.
2) Each data value must belong to one, and only
one class.
3) When possible, all classes should be of equal
width.
Constructing a Quantitative FDT
Step 1: Determine the range (R)
𝑅 = 𝐻𝑆 − 𝐿𝑆
where: R(Range), HS(Highest Score), LS(Lowest Score)
Step 2: Determine the number of classes (k)
𝑘 = 𝑁
Where N is the number of observations
Step 3: Determine the class size
𝑐 =
𝑅
𝑘
Constructing a Quantitative FDT
Step 4: Enumerate the classes or categories.
Step 5: Tally the observations.
Step 6: Compute for values in other columns of
the FDT as deemed necessary.(True Class
Boundaries(TCB), Class Mark(CM), Relative
Frequency(RF), Cumulative Frequency(CF),
Relative Cumulative Frequency(RCF))
Constructing a Qualitative FDT
Step 1: Collect the necessary data
car bus plane train plane plane
car bus train train plane train
train train plane train plane plane
car bus plane train bus bus
bus bus bus bus bus bus
Step 2: Tally and make the necessary FDT.
Exercise: Construct the FDT of the
given data set
Age(In years) of 40 Patients Confined at a certain
hospital.
5 15 23 27 33 38 44 52
5 15 24 30 33 40 45 53
7 20 25 31 34 42 45 55
10 20 25 31 35 42 50 57
13 21 26 32 36 43 51 57
The price for 500 aspirin tablets is determined
for each of twenty randomly selected stores as
part of a larger consumer study. The prices are
as follows:
SINGLE-VALUED CLASSES
If only a few unique values occur
in a set of data, the classes are expressed
as a single value rather than an interval of
values.
Example
A quality technician selects 25 bars of soap from
the daily production.
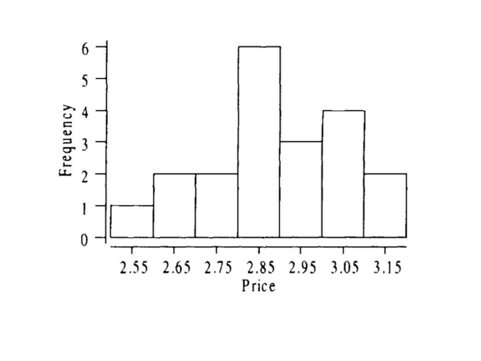
HISTOGRAMS
A histogram is a graph that displays
the classes on the horizontal axis and the
frequencies of the classes on the vertical axis.
The frequency of each class is represented by a
vertical bar whose height is equal to the
frequency of the class.
CUMULATIVE FREQUENCY
DISTRIBUTIONS
A cumulative frequency distribution
gives the total number of values that fall below
various class boundaries of a frequency
distribution.
EXAMPLE
Table below shows the frequency distribution of
the contents in milliliters of a sample of 25 one-
liter bottles of soda.
OGIVES
An ogive is a graph in which a
point is plotted above each class boundary
at a height equal to the cumulative
frequency corresponding to that boundary.
Ogives can also be constructed for a
cumulative relative frequency distribution
as well as a cumulative percentage
distribution.
STEM-AND-LEAF DISPLAYS
In a stem-and-leaf display each value
is divided into a stem and a leaf. The leaves for
each stem are shown separately. The stem-and-
leaf diagram preserves the information on
individual observations.
The following are the Philippine Achievement
Percentile Scores (CAT scores) for 30 seventh-
grade students:
Exercises
Classify the following data as either qualitative data or
quantitative data. In addition, classify the quantitative
data as discrete or continuous.
(a) The number of times that a movement authority is
sent to a train from a relay station is recorded for
several trains over a two-week period. The movement
authority, which is an electronic transmission, is sent
repeatedly until a return signal is received from the
train.
(b) (b) A physician records the follow-up condition of
patients with optic neuritis as improved, unchanged,
or worse.
The following data set gives the yearly food stamp
expenditure in thousands of dollars for 25
households in Alcorn County:
Construct a frequency distribution consisting of six
classes for this data set. Use 0.5 as the lower limit for
the first class and use a class width equal to 0.5.
Graphical Representations
of Data
Common Types of Graph
1. Scatter Graph- A graph used to present
measurements or values that are thought to be
related.
Common Types of Graph
2. Line Chart- graphical representation of data
especially useful for showing trends over a
period of time.
Common Types of Graph
3. Pie Chart- a circular graph that is useful in
showing how a total quantity is distributed
among a group of categories.
Common Types of Graph
4. Column and Bar Graph
Graphical Presentation of the
Frequency Distribution Table
1. Frequency Histogram- a bar graph that
displays the classes on horizontal axis and the
frequencies of the classes on the vertical axis.
Graphical Presentation of the
Frequency Distribution Table
2. Relative Frequency Histogram- a graph
that displays the classes on the horizontal axis
and relative frequencies on the vertical axis.
Graphical Presentation of the
Frequency Distribution Table
3. Frequency Polygon- a line chart that is
constructed by plotting the frequencies at the
class marks and connecting the plotted points
by means of straight lines.
4. Ogives - graphs of the cumulative frequency
distribution.
a. < ogive- the <CF is plotted against the UTCB.
b. > ogive- the >CF is plotted against the LTCB.
MEASURES OF CENTRAL
TENDENCY
Chapter 3
Chapter 2 gives several techniques for
organizing data. Bar graphs, pie charts,
frequency distributions, histograms, and stem-
and-leaf plots are techniques for describing data.
Often times we are interested in a typical
numerical value to help us describe a data set.
This typical value is often called an average
value or a measure of a central tendency. We
are looking for a single number that is in some
sense representative of the complete data set
EXAMPLE 3.1
The following are examples of measures of central
tendency:
1) median priced home,
2) average cost of a new automobile,
3) the average household income in the United
States,
4) modal number of televisions per household.
Each of these examples is a single number,
which is intended to be typical of the
characteristics of interest.
113
Measures of Central Tendency
• A measure of central tendency is a descriptive
statistic that describes the average, or typical
value of a set of scores
• There are three common measures of central
tendency:
– the mode
– the median
– the mean
A data set consisting of the
observations for some variable referred to as
raw data or ungrouped data. Data is presented
in the form of frequency distribution are called
grouped data. The measures of central
tendency discussed in this chapter will be
described for both grouped and ungrouped data
since both forms of data occur frequently.
Ungrouped Data
Mean(𝑥)
The mean for a sample consisting of n
observations is
𝑥 =
𝑥
𝑛
and the mean for a population consisting of N
observations is
𝑥 =
𝑥
𝑁
EXAMPLE:
The number of 911 emergency calls classified as
domestic disturbance calls in a large
metropolitan location were sampled for thirty
randomly selected 24 hour periods with the
following results. Find the mean number of calls
per 24-hour period.
EXAMPLE
The total number of 911 emergency calls
classified as domestic disturbance calls last year
in a large metropolitan location was 14,950. Find
the mean number of such calls per 24-hour
period if last year was not a leap year.
𝜇 =
𝑥
𝑁
=
14,950
365
= 41.0
119
When To Use the Mean
• You should use the mean when
– the data are interval or ratio scaled
• Many people will use the mean with ordinally scaled
data too
– and the data are not skewed
• The mean is preferred because it is sensitive
to every score
– If you change one score in the data set, the mean
will change
120
The Median
• The median is simply another name for the
50th percentile
– It is the score in the middle; half of the scores are
larger than the median and half of the scores are
smaller than the median
Median(𝑥)
The median of a set of data is a value
that divides the bottom 50% of the data from
the top 50% of the data. To find the median of a
data set, first arrange the data in increasing
order. If the number of observations is odd, the
median is the number in the middle of the
ordered list. If the number of observations is
even, the median is the mean of the two values
closest to the middle of the ordered list.
EXAMPLE
To find the median number of domestic
disturbance calls per 24-hour period for the data in
123
When To Use the Median
• The median is often used when the
distribution of scores is either positively or
negatively skewed
– The few really large scores (positively skewed) or
really small scores (negatively skewed) will not
overly influence the median
Mode(𝑥)
The mode is the value in a data set
that occurs the most often. If no such value
exists, we say that the data set has no mode. If
two such values exist, we say the data set is
bimodal. If three such values exist, we say the
data set is trimodal.
125
The Mode
• The mode is the score
that occurs most
frequently in a set of
data
0
1
2
3
4
5
6
75 80 85 90 95
Score on Exam 1
Frequency
126
Bimodal Distributions
• When a distribution
has two “modes,” it is
called bimodal
0
1
2
3
4
5
6
75 80 85 90 95
Score on Exam 1
Frequency
127
Multimodal Distributions
• If a distribution has
more than 2 “modes,”
it is called multimodal
0
1
2
3
4
5
6
75 80 85 90 95
Score on Exam 1
Frequency
128
When To Use the Mode
• The mode is not a very useful measure of
central tendency
– It is insensitive to large changes in the data set
• That is, two data sets that are very different from each
other can have the same mode
0
1
2
3
4
5
6
7
1 2 3 4 5 6 7 8 9 10
0
20
40
60
80
100
120
10 20 30 40 50 60 70 80 90 100
129
When To Use the Mode
• The mode is primarily used with nominally
scaled data
– It is the only measure of central tendency that
is appropriate for nominally scaled data
EXAMPLE
To find the mode number of domestic
disturbance calls per 24-hour period for the data in
131
Relations Between the Measures of
Central Tendency
• In symmetrical
distributions, the median
and mean are equal
– For normal distributions,
mean = median = mode
• In positively skewed
distributions, the mean is
greater than the median
In negatively skewed
distributions, the mean is
smaller than the median
Grouped Data
Mean
(1)𝑥 =
𝑓𝑥
𝑁
, where f-frequency, x-class mark
and N-total frequency.
(2)𝑥 = AM +
𝑓𝑑
𝑁
𝑖, where AM-Assumed
mean, 𝑖 − 𝑐𝑙𝑎𝑠𝑠 𝑠𝑖𝑧𝑒, 𝑑 − 𝑑𝑒𝑣𝑖𝑎𝑡𝑖𝑜𝑛 𝑎𝑛𝑑 𝑁 −
𝑡𝑜𝑡𝑎𝑙 𝑓𝑟𝑒𝑞𝑢𝑒𝑛𝑐𝑦
Scores Frequency
9-11 1
12-14 2
15-17 0
18-20 3
21-23 3
24-26 8
27-29 13
30-32 3
33-35 2
36-38 4
39-41 4
42-44 4
45-47 3
Scores of 50 Students in STATISTICS EXAM
Median
𝑥 = 𝐿𝑏 +
𝑁
2
− 𝑓<𝑐𝑓
𝑓𝑚
i
Where:
L=Lower class boundary of the interval where
the median lies
N=total frequency
𝑓<𝑐𝑓=cumulative frequency preceding the median
class
fm=frequency of the median class
i=class size
Mode
𝑥 = 𝐿 +
𝑑1
𝑑1 + 𝑑2
𝑖
Where:
L=exact lower limit of modal class
𝑑1=difference between the frequency of the modal
class and the class preceding it
𝑑2=difference between the frequency of the modal
class and the class following it
i=class size

Statistics-Chapter-1.pptxheheheueuehehehehehe

  • 1.
  • 2.
  • 3.
    DATA are definedas factual information used as basis for reasoning, discussion, or calculation, so that meaningful conclusions can be drawn.
  • 4.
    Definition The word statisticsis derived from the Latin word status meaning “state”. Early uses of statistics involved compilation of data and graphs describing various aspects of the state or country. Chapter 1 Introduction Lesson 1
  • 5.
  • 6.
    Statistics as actualnumbers (data) • The largest earthquake measured 9.2 on the Richter scale. • Men are at least 10 times more likely than women to commit murder. • One in every 8 South Africans is HIV positive. • By the year 2020, there will be 15 people aged 65 and over for every new baby born.
  • 7.
    Definition Statistics is ascience, which deals with the collection, organization, presentation, analysis, and interpretation of quantitative data. Chapter 1 Introduction Lesson 1
  • 8.
    STATISTICS Statistics the mostimportant science in the whole world; for upon it depends the practical applications of every science and of every art; the one science essential to all political and social administration, all education all organization based on experience, for it only gives results of our experience --Florence Nightingale
  • 9.
    Uses of Statistics Statistics Education Government Sportsand Entertainment Industries and other sectors Politics Chapter 1 Introduction Lesson 1
  • 10.
    The following aresome specific uses of statistics: • Surveys are design to collect early returns on election day to forecast the outcome of an election. • Consumers are samples to provide information for predicting product preference. Chapter 1 Introduction Lesson 1
  • 11.
    • The researchphysician conducts experiments to determine the effect of various drugs and controlled environmental conditions on humans in order to infer the appropriate method of treatment of a particular disease. Chapter 1 Introduction Lesson 1
  • 12.
  • 13.
    Descriptive Statistics It dealswith the methods of organizing, summarizing and presenting a mass of data so as to yield meaningful information. Chapter 1 Introduction Lesson 1
  • 14.
    Example #1 The PhilippineAtmospheric, Geophysical and Astronomical Services Administration (PAGASA) measures the daily amount of rainfall in millimeters. They can use descriptive statistics to compute the average daily amount of rainfall every month for the past year. They can use the results to describe the amount of rainfall for the past year.
  • 15.
    Example #2 Given thedaily sales performance for a product for the previous year we can draw a line chart or a column chart (bar) to emphasize the upward/downward movement of the series. Likewise, we can use descriptive statistics to calculate a quantity index per quarter to compare sales by quarter for the previous year.
  • 16.
    Inferential Statistics It dealswith making generalizations about a body of data where only a part of it is examined. This comprises those methods with the analysis of a subset of data leading to predictions or inferences about the entire set of data. Chapter 1 Introduction Lesson 1
  • 17.
    Sample is partof the population under consideration. Population is the set of all individuals or entities under consideration or study. It may be a finite or infinite collection of objects, events, or individuals, with specified class or characteristics under consideration.
  • 18.
    Example #1 To examinethe performance of the country’s financial system, we can use inferential statistics to arrive at conclusions that apply to the entire economy using the data gathered from a sample of companies or businesses in the country.
  • 19.
    Example #2 To determineif reforestation is effective, we can take a representative portion of denuded forests and use inferential statistics to draw conclusions about the effect of reforestation on all denuded forests.
  • 20.
    Example #3 The researchdivision of a certain pharmaceutical company is investigating the effectiveness of a new diet pill in reducing weight on female adults.
  • 21.
    “It is acapital mistake to theorize before one has data” Sir Arthur Conan Doyle
  • 22.
    Determine whether thefollowing statements use the area of descriptive statistics or inferential statistics: 1. A bowler wants to find his bowling average for the past 12 games. 2. A manager would like to predict based on previous years’ sales, the sales performance of a company for the next five years. 3. A politician would like to estimate, based on an opinion poll, his chance for winning in the upcoming senatorial election. Chapter 1 Introduction Lesson 1
  • 23.
    4. A teacherwishes to determine the percentage of students who passed the examination. 5. A basketball player wants to estimate his chance of winning the most valuable player award based on his current season averages and the averages of his opponents. Determine whether the following statements use the area of descriptive statistics or inferential statistics: Chapter 1 Introduction Lesson 1
  • 24.
    Definition of SomeStatistical Terms 1. Population is the set of all individuals or entities under consideration or study. It may be a finite or infinite collection of objects, events, or individuals, with specified class or characteristics under consideration. 2. Variable is a characteristic of interest measurable on each and every individual in the universe, denoted by any capital letter in the English alphabet. Chapter 1 Introduction Lesson 1
  • 25.
    Example #1 The PSUOffice of Admission is studying the relationship between the score in the college entrance examination during application and the general point average (GPA) upon graduation among graduates of the university from 2010 – 2018. Population: collection of all graduates of the university from 2010 - 2018. Variable of interest: score in the college entrance examination and GPA
  • 26.
    Example #2 The Departmentof Health is interested in determining the percentage of children below 12 years old infected by the Hepatitis B/Polio virus in Dagupan City in 2017. Population: set of all children below 12 years old in Dagupan City in 2017. Variable of interest: whether or not the child has ever been infected by the Hepatitis B/Polio virus.
  • 27.
    Example #3 The researchdivision of a certain pharmaceutical company is investigating the effectiveness of a new diet pill in reducing weight on female adults. Population: set of all female adults who will use the diet pill Variable of interest: Weight before taking the diet pill, weight after taking the diet pill.
  • 28.
    Types of Variable QualitativeVariable consists of categories or attributes, which have non-numerical characteristics. Examples: year level, sex, religion etc. Quantitative Variable consists of numbers representing counts or measurements Examples: age, height, weight, grades etc. Chapter 1 Introduction Lesson 1 Definition of Some Statistical Terms
  • 30.
    Classifications of QuantitativeVariable a. Discrete results from either finite or infinite number of countable possible values. Examples: number of students, number of books, etc. b. Continuous results from infinitely many possible values that can be associated with points on a continuous scale. Examples: height, weight, grade point average, etc. Chapter 1 Introduction Lesson 1 Definition of Some Statistical Terms
  • 31.
    Exercise: Discrete orContinuous? 1. Number of children in a household 2. Number of languages a person speaks 3. Number of people sleeping in stats class 4. Height of children 5. Weight of cars 6. Time to wake up in the morning 7. Speed of the train 8. Age of a person 9. Daily rainfall 10. Time in a race
  • 32.
    3. Sample ispart of the population under consideration. 4. Parameter is a numerical measurement describing some characteristic of a population. 5. Statistic is a numerical measurement describing some characteristic of a sample. 6. Survey is often conducted to gather opinions or feedbacks about a certain topic. Examples: census survey and sampling survey Chapter 1 Introduction Lesson 1 Definition of Some Statistical Terms
  • 33.
    MEASUREMENT Measurement is theprocess of determining the value or label of the variable based on what has been observed.
  • 34.
    LEVELS OF MEASUREMENT Level1 Nominal is characterized by data that consist of names, labels, or categories only. Data cannot be arranged in ordering scheme. Examples: 1. Name 4. address 2. Religion 5. sex 3. Civil status 6. degree program Chapter 1 Introduction Lesson 1
  • 35.
    LEVELS OF MEASUREMENT Level2 Ordinal involves data that maybe arranged in some order, but differences between data values either cannot be determined or are meaningless. Examples: 1. Military rank 3. year level 2. Job position Chapter 1 Introduction Lesson 1
  • 36.
    LEVELS OF MEASUREMENT Level3 Interval is like the ordinal level, with additional property that meaningful amount of differences between data can be determined. There is no absolute zero. Examples: 1. IQ score 2. Temperature Chapter 1 Introduction Lesson 1
  • 37.
    LEVELS OF MEASUREMENT Level4 Ratio is the interval level modified to include absolute zero. Examples: 1. Height 2. Width 3. Area 4. Weekly allowance Chapter 1 Introduction Lesson 1
  • 38.
    Exercise: At whatlevel are the following variables measured 1. Student number 2. Zip codes 3. Final course grades(4.0, 3.00,…) 4. Lengths of TV commercials 5. Blood pressure 6. Gender 7. Family income 8. Academic rank 9. TIN 10. Distances(km) traveled by a bus Chapter 1 Introduction Lesson 1
  • 39.
    DATA COLLECTION and PRESENTATI ON Chapter 2 DataCollection and Presentation Lesson 1 Chapter 2
  • 40.
    Methods of DataCollection In order to have accurate data, the researcher must know the right resources and right way of collecting them.
  • 41.
    Characteristics of aGood Question 1. A good question is unbiased. Biased Questions Unbiased Questions 1. Do you favor the enrolment procedure employed last semester which makes long lines shorter? 1. Do you favor the enrolment procedure employed last semester? 2. Do you listen to boring classical music? 2. Do you like classical music?
  • 42.
    2. A goodquestion must be clear and simply stated. Characteristics of a Good Question Not a good question Good question 1. What is your academic performance last semester? 1. What is your average grade last semester?
  • 43.
    3. Questions mustbe precise. 4. Good questionnaires lend themselves to easy analyses. Characteristics of a Good Question Vague Question Precise Question 1. Do you think male and female are equal? 1. In terms of mathematical ability, do you think male and female are equal?
  • 44.
    Two Categories ofSurvey Questions 1. Open question- allows a free response. Example: What do you think can be done to reduce crime? 2. Closed question- allows only a fixed response. Example: Which of the following approaches would be the most effective in reducing crime? Choose one. A. Get parents to discipline children more. B. Correct social and economic conditions in slums C. Improve rehabilitation efforts in jails. D. Give convicted criminals tougher sentences E. Reform courts.
  • 45.
    Types of Data 1.Primary Data -information collected from original source of data. 2. Secondary Data -information collected from published or unpublished sources like books, newspapers and thesis.
  • 46.
    Methods of DataCollection 1. Direct or Interview Method(Interviewee and Interviewer) 2. Indirect or Questionnaire Method(Written answers) 3. Registration Method(Laws) 4. Observation Method(Senses) 5. Experiment Method (Cause and Effect)
  • 47.
    Sampling Sampling is theprocess of selecting units, like people, organizations, or objects from a population of interest.
  • 48.
    Advantages of Sampling 1.Reduced cost 2. Greater speed 3. Greater scope 4. Greater accuracy
  • 49.
    Some Definitions • TargetPopulation- an entire group a researcher is interested in. • Sampled Population-collection of elements from which sample is actually taken. • The Frame
  • 50.
    Probability Sampling Probability samplingmethod is any method of sampling that utilizes some form of random selection.
  • 51.
    Probability Sampling 1. SimpleRandom Sampling -simplest form of random sampling. Examples: table of random numbers, computer generated random numbers, use of calculators 2. Stratified Random Sampling -dividing the population into homogenous subgroups and then taking a simple random sampling
  • 52.
    Probability Sampling 3. SystematicRandom Sampling Systematic sampling with a random start is a method of selecting a sample by taking every 𝑘𝑡ℎ unit from an ordered population, the first unit being selected at random. 4. Cluster Random Sampling This sampling method involves dividing the population into clusters (geographical) and then randomly taking samples out of clusters.
  • 53.
    Non-probability Sampling Non-probability samplingdoes not involve random selection of samples. Non-probability samples do not depend upon the rationale of probability theory.
  • 54.
    Non-probability Sampling 1. Accidental,Haphazard or Convenience Sampling( based primarily on the convenience of the researcher) 2. Purposive Sampling(samples are taken with a purpose in mind)
  • 55.
    Methods of DataPresentation Methods of Presenting Data 1. Textual Method- a narrative description of the data gathered. 2. Tabular Method- uses rows and columns in describing data. 3. Graphical Method- an illustrative description of data.
  • 56.
  • 57.
    Terms Raw Data- informationobtained by observing values of a variable. Qualitative data(Qualitative Variable) Quantitative data(Quantitative Variable) 1. Discrete data 2. Continuous data
  • 58.
    Examples: 1) A studyis conducted in which individuals are classified into one of sixteen personality types using Myers-Briggs type indicator. 2) The cardiac output in liters per minute is measured for the participants in a medical study. 3) The number of deaths per 200,000 inhabitants is recorded for several large cities of China caused by NCOV.
  • 59.
    Frequency Distribution Table(FDT) AnFDT is a statistical table showing the frequency or number of observations contained in each of the defined classes or categories.
  • 60.
    Types of FDT 1.Qualitative or Categorical FDT- a frequency distribution table where the data are grouped according to some qualitative characteristics. Example: Gender of Respondents Number of Respondents Male 38 Female 62 Total 100
  • 61.
    Example: A sample ofrural country arrests gave the following set of offenses with which individuals were charged:
  • 63.
  • 64.
  • 66.
    BAR GRAPH A bargraph is a graph composed of bars whose heights are the frequencies of the different categories. A bar graph displays graphically the same information concerning qualitative data that a frequency distribution shows in tabular form.
  • 69.
    PIE CHART A piechart is also used to graphically display qualitative data. To construct a pie chart, a circle is divided into portions that represent the relative frequencies or percentages belonging to different categories.
  • 71.
    Types of FDT 2.Quantitative FDT- a frequency distribution table where the data are grouped according to some numerical or quantitative characteristics. Example: Weight(in kilogram) Frequency 7-9 2 10-12 8 13-15 14 16-18 19 19-21 7 Total 50
  • 72.
    Terms 1) Classes 2) Classlimits 3) Class boundaries 4) Class width
  • 73.
    When forming afrequency distribution, the following general guidelines should be followed: 1)The number of classes should be between 5 and 15. 2) Each data value must belong to one, and only one class. 3) When possible, all classes should be of equal width.
  • 74.
    Constructing a QuantitativeFDT Step 1: Determine the range (R) 𝑅 = 𝐻𝑆 − 𝐿𝑆 where: R(Range), HS(Highest Score), LS(Lowest Score) Step 2: Determine the number of classes (k) 𝑘 = 𝑁 Where N is the number of observations Step 3: Determine the class size 𝑐 = 𝑅 𝑘
  • 75.
    Constructing a QuantitativeFDT Step 4: Enumerate the classes or categories. Step 5: Tally the observations. Step 6: Compute for values in other columns of the FDT as deemed necessary.(True Class Boundaries(TCB), Class Mark(CM), Relative Frequency(RF), Cumulative Frequency(CF), Relative Cumulative Frequency(RCF))
  • 76.
    Constructing a QualitativeFDT Step 1: Collect the necessary data car bus plane train plane plane car bus train train plane train train train plane train plane plane car bus plane train bus bus bus bus bus bus bus bus Step 2: Tally and make the necessary FDT.
  • 77.
    Exercise: Construct theFDT of the given data set Age(In years) of 40 Patients Confined at a certain hospital. 5 15 23 27 33 38 44 52 5 15 24 30 33 40 45 53 7 20 25 31 34 42 45 55 10 20 25 31 35 42 50 57 13 21 26 32 36 43 51 57
  • 81.
    The price for500 aspirin tablets is determined for each of twenty randomly selected stores as part of a larger consumer study. The prices are as follows:
  • 82.
    SINGLE-VALUED CLASSES If onlya few unique values occur in a set of data, the classes are expressed as a single value rather than an interval of values.
  • 83.
    Example A quality technicianselects 25 bars of soap from the daily production.
  • 85.
    HISTOGRAMS A histogram isa graph that displays the classes on the horizontal axis and the frequencies of the classes on the vertical axis. The frequency of each class is represented by a vertical bar whose height is equal to the frequency of the class.
  • 89.
    CUMULATIVE FREQUENCY DISTRIBUTIONS A cumulativefrequency distribution gives the total number of values that fall below various class boundaries of a frequency distribution.
  • 90.
    EXAMPLE Table below showsthe frequency distribution of the contents in milliliters of a sample of 25 one- liter bottles of soda.
  • 91.
    OGIVES An ogive isa graph in which a point is plotted above each class boundary at a height equal to the cumulative frequency corresponding to that boundary. Ogives can also be constructed for a cumulative relative frequency distribution as well as a cumulative percentage distribution.
  • 94.
    STEM-AND-LEAF DISPLAYS In astem-and-leaf display each value is divided into a stem and a leaf. The leaves for each stem are shown separately. The stem-and- leaf diagram preserves the information on individual observations.
  • 95.
    The following arethe Philippine Achievement Percentile Scores (CAT scores) for 30 seventh- grade students:
  • 98.
    Exercises Classify the followingdata as either qualitative data or quantitative data. In addition, classify the quantitative data as discrete or continuous. (a) The number of times that a movement authority is sent to a train from a relay station is recorded for several trains over a two-week period. The movement authority, which is an electronic transmission, is sent repeatedly until a return signal is received from the train. (b) (b) A physician records the follow-up condition of patients with optic neuritis as improved, unchanged, or worse.
  • 99.
    The following dataset gives the yearly food stamp expenditure in thousands of dollars for 25 households in Alcorn County: Construct a frequency distribution consisting of six classes for this data set. Use 0.5 as the lower limit for the first class and use a class width equal to 0.5.
  • 100.
  • 101.
    Common Types ofGraph 1. Scatter Graph- A graph used to present measurements or values that are thought to be related.
  • 103.
    Common Types ofGraph 2. Line Chart- graphical representation of data especially useful for showing trends over a period of time.
  • 104.
    Common Types ofGraph 3. Pie Chart- a circular graph that is useful in showing how a total quantity is distributed among a group of categories.
  • 105.
    Common Types ofGraph 4. Column and Bar Graph
  • 106.
    Graphical Presentation ofthe Frequency Distribution Table 1. Frequency Histogram- a bar graph that displays the classes on horizontal axis and the frequencies of the classes on the vertical axis.
  • 107.
    Graphical Presentation ofthe Frequency Distribution Table 2. Relative Frequency Histogram- a graph that displays the classes on the horizontal axis and relative frequencies on the vertical axis.
  • 108.
    Graphical Presentation ofthe Frequency Distribution Table 3. Frequency Polygon- a line chart that is constructed by plotting the frequencies at the class marks and connecting the plotted points by means of straight lines.
  • 109.
    4. Ogives -graphs of the cumulative frequency distribution. a. < ogive- the <CF is plotted against the UTCB. b. > ogive- the >CF is plotted against the LTCB.
  • 110.
  • 111.
    Chapter 2 givesseveral techniques for organizing data. Bar graphs, pie charts, frequency distributions, histograms, and stem- and-leaf plots are techniques for describing data. Often times we are interested in a typical numerical value to help us describe a data set. This typical value is often called an average value or a measure of a central tendency. We are looking for a single number that is in some sense representative of the complete data set
  • 112.
    EXAMPLE 3.1 The followingare examples of measures of central tendency: 1) median priced home, 2) average cost of a new automobile, 3) the average household income in the United States, 4) modal number of televisions per household. Each of these examples is a single number, which is intended to be typical of the characteristics of interest.
  • 113.
    113 Measures of CentralTendency • A measure of central tendency is a descriptive statistic that describes the average, or typical value of a set of scores • There are three common measures of central tendency: – the mode – the median – the mean
  • 114.
    A data setconsisting of the observations for some variable referred to as raw data or ungrouped data. Data is presented in the form of frequency distribution are called grouped data. The measures of central tendency discussed in this chapter will be described for both grouped and ungrouped data since both forms of data occur frequently.
  • 115.
  • 116.
    Mean(𝑥) The mean fora sample consisting of n observations is 𝑥 = 𝑥 𝑛 and the mean for a population consisting of N observations is 𝑥 = 𝑥 𝑁
  • 117.
    EXAMPLE: The number of911 emergency calls classified as domestic disturbance calls in a large metropolitan location were sampled for thirty randomly selected 24 hour periods with the following results. Find the mean number of calls per 24-hour period.
  • 118.
    EXAMPLE The total numberof 911 emergency calls classified as domestic disturbance calls last year in a large metropolitan location was 14,950. Find the mean number of such calls per 24-hour period if last year was not a leap year. 𝜇 = 𝑥 𝑁 = 14,950 365 = 41.0
  • 119.
    119 When To Usethe Mean • You should use the mean when – the data are interval or ratio scaled • Many people will use the mean with ordinally scaled data too – and the data are not skewed • The mean is preferred because it is sensitive to every score – If you change one score in the data set, the mean will change
  • 120.
    120 The Median • Themedian is simply another name for the 50th percentile – It is the score in the middle; half of the scores are larger than the median and half of the scores are smaller than the median
  • 121.
    Median(𝑥) The median ofa set of data is a value that divides the bottom 50% of the data from the top 50% of the data. To find the median of a data set, first arrange the data in increasing order. If the number of observations is odd, the median is the number in the middle of the ordered list. If the number of observations is even, the median is the mean of the two values closest to the middle of the ordered list.
  • 122.
    EXAMPLE To find themedian number of domestic disturbance calls per 24-hour period for the data in
  • 123.
    123 When To Usethe Median • The median is often used when the distribution of scores is either positively or negatively skewed – The few really large scores (positively skewed) or really small scores (negatively skewed) will not overly influence the median
  • 124.
    Mode(𝑥) The mode isthe value in a data set that occurs the most often. If no such value exists, we say that the data set has no mode. If two such values exist, we say the data set is bimodal. If three such values exist, we say the data set is trimodal.
  • 125.
    125 The Mode • Themode is the score that occurs most frequently in a set of data 0 1 2 3 4 5 6 75 80 85 90 95 Score on Exam 1 Frequency
  • 126.
    126 Bimodal Distributions • Whena distribution has two “modes,” it is called bimodal 0 1 2 3 4 5 6 75 80 85 90 95 Score on Exam 1 Frequency
  • 127.
    127 Multimodal Distributions • Ifa distribution has more than 2 “modes,” it is called multimodal 0 1 2 3 4 5 6 75 80 85 90 95 Score on Exam 1 Frequency
  • 128.
    128 When To Usethe Mode • The mode is not a very useful measure of central tendency – It is insensitive to large changes in the data set • That is, two data sets that are very different from each other can have the same mode 0 1 2 3 4 5 6 7 1 2 3 4 5 6 7 8 9 10 0 20 40 60 80 100 120 10 20 30 40 50 60 70 80 90 100
  • 129.
    129 When To Usethe Mode • The mode is primarily used with nominally scaled data – It is the only measure of central tendency that is appropriate for nominally scaled data
  • 130.
    EXAMPLE To find themode number of domestic disturbance calls per 24-hour period for the data in
  • 131.
    131 Relations Between theMeasures of Central Tendency • In symmetrical distributions, the median and mean are equal – For normal distributions, mean = median = mode • In positively skewed distributions, the mean is greater than the median In negatively skewed distributions, the mean is smaller than the median
  • 132.
  • 133.
    Mean (1)𝑥 = 𝑓𝑥 𝑁 , wheref-frequency, x-class mark and N-total frequency. (2)𝑥 = AM + 𝑓𝑑 𝑁 𝑖, where AM-Assumed mean, 𝑖 − 𝑐𝑙𝑎𝑠𝑠 𝑠𝑖𝑧𝑒, 𝑑 − 𝑑𝑒𝑣𝑖𝑎𝑡𝑖𝑜𝑛 𝑎𝑛𝑑 𝑁 − 𝑡𝑜𝑡𝑎𝑙 𝑓𝑟𝑒𝑞𝑢𝑒𝑛𝑐𝑦
  • 134.
    Scores Frequency 9-11 1 12-142 15-17 0 18-20 3 21-23 3 24-26 8 27-29 13 30-32 3 33-35 2 36-38 4 39-41 4 42-44 4 45-47 3 Scores of 50 Students in STATISTICS EXAM
  • 135.
    Median 𝑥 = 𝐿𝑏+ 𝑁 2 − 𝑓<𝑐𝑓 𝑓𝑚 i Where: L=Lower class boundary of the interval where the median lies N=total frequency 𝑓<𝑐𝑓=cumulative frequency preceding the median class fm=frequency of the median class i=class size
  • 136.
    Mode 𝑥 = 𝐿+ 𝑑1 𝑑1 + 𝑑2 𝑖 Where: L=exact lower limit of modal class 𝑑1=difference between the frequency of the modal class and the class preceding it 𝑑2=difference between the frequency of the modal class and the class following it i=class size