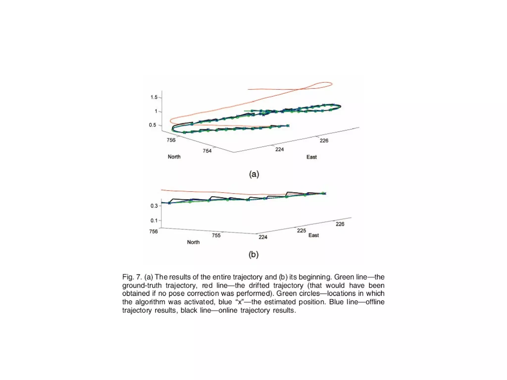
3 метода видео-навигации
МЕТОД 1: ОПРЕДЕЛЕНИЕ ПРИРАЩЕНИЯ
            КООРДИНАТ ЧЕРЕЗ АНАЛИЗ
               ВИДОВОГО ПОТОКА ДАННЫХ
Выделение характерных точек в каждом
       последовательном кадре
   (как правило, угловые элементы)

   Нахождение аналогичных точек
      (соответствующих пар)                  Данные
                                              ИНС
 Находим эпиполярную геометрию для
            двух снимков


Изменение 3D положения камеры (ЛА)




             Фильтр
             Калмана
                                     Скорректированные
                                        координаты
Счисление пройденного пути на основе анализа потока
    видеоданных, поступающего с оптико-электронных приборов
    наблюдения. В каждом кадре автоматически находятся десятки
    характерных точек. Анализ их перемещения от кадра к кадру даёт
    информацию о движении объекта. Большое количество таких точек
    гарантирует точность определения перемещения, курса и углов
    ориентации. Основным ограничением метода является возможность
    только относительного определения координат и ориентации, что
    может привести к росту ошибки навигации со временем. Другим его
    недостатком является неполнота – все расстояния находятся с
    точностью до произвольной постоянной. Тажке могут быть причны,
    приводящие к невозможностью найти соответствующие пары точек
    на снимках: недостаточная освещенность, невозможность
    использования в случае облачности, невозможность использования
    над гладкой поверхностью без характерных особых точек (плоская,
    равномерно освещеная водная поверхность «без ряби» и волн;
    однородная и ровная песчаная пустыня без растительности)
4
5
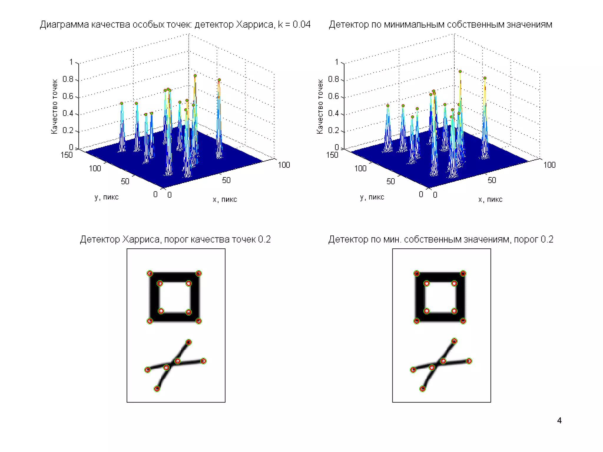
Поиск особых точек
      Детектор по минимальным
       собственным значениям
Для каждого пикселя изображения (x0,y0) рассчитывается матрица:




I(x,y) – интенсивность пикселя (x,y) ,
 I(x,y)                         (x,y)
w(x,y) – весовая функция по окрестности S(x00,y00))
 w(x,y)                                 S(x ,y .

Чтобы точка (x00,y00))являлась особой, матрица M должна иметь два
             (x ,y                             M
больших положительных собственных значения в этой точке.


Функция отклика угла:                                        6
Поиск особых точек
         Детектор Харриса

• Харрис ввел следующую функцию отклика
  угла:




 где k=(0.04÷0.15) – параметр Харриса –
 подбирается эмпирически.


                                          7
Слежение за особенностями
В области поиска R ищется такой вектор (∆x, ∆y),
что сумма по окрестности минимальна:




где In-1 и In – яркость пикселей в предыдущем и
текущем кадрах;
   S(x0,y0) – окрестность сравнения;
   R – область поиска особенности.                 8
Оптический поток — это изображение
 видимого движения объектов,
 поверхностей или краев сцены,
 получаемое в результате перемещения
 наблюдателя (глаз или камеры)
 относительно сцены.
Оптический поток, видимый с
         самолета
Апертурная проблема
        Однозначно можно
         определить
         скорость лишь в
         направлении
         градиента.
Метод Лукаса - Канаде
Решение апертурной проблемы – взять
 оерестность точки (с разными
 направление градиента) и считать
 скорость в этой окрестности
 одинаковой для всех точек.
Метод Лукаса - Канаде
I(x,y,t) = I(x + δx,y + δy,t + δt)
Эпиполярная геометрия
                Зная положение камер
                  можно найти
                  эпиполярную
                  геометрию и матрицу
                  F. Зная набор
                  соответствующих
                  точек можно найти
                  матрицу F, а затем
                  решить обратную
                  задачу найти
 Связь не между   относительное
   точками, а     положение камер с
   между
   прямыми        точностью до
                  масштаба
Вырожденные случаи
1) Все точки лежат в одной плоскости
2) Расстояние между оптическими
   центрами равно нулю –поворот камер
В этом случае взаимное положение
   камер не однозначно – зато связь
   между токами однозначна -
   гоморафия
x`=Hx – это не линейная функция в
   общем случае
МЕТОД 2: :        ОПРЕДЕЛЕНИЕ МЕСТОПОЛОЖЕНИЯ И
                      УГЛОВ ОРИЕНТАЦИИ
                    С ИСПОЛЬЗОВАНИЕМ ЦИФРОВОЙ
                       МОДЕЛИ РЕЛЬЕФА.
     Two consecutive images



Compute n feature correspondences
                  2n constraints (∆u, ∆v)



Compute pose and ego-motion that
                                            DTM
best explain the features movement


       Pose and ego-motion 12 variables
Использование данных рельефа позволяет частично компенсировать
    недостатки первого метода. Используя перекрытие потока фото-
    видео- данных, восстанавливается рельеф местности. Сравнение с
    цифровой моделью рельефа местности позволяет определить
    местоположение летательного аппарата. В отличие от Метода 1 при
    использовании сканирующего лазерного высотомера возможно
    определение местоположения в отсутствие дневного освещения,
    однако, аналогично методу 1 рассматриваемый подход не работает
    над водной или песчаной поверхностью и даёт существенную
    ошибку в отсутствие явно выраженного рельефа. Основное
    преимущество перед предыдущим методом – возможность найти не
    только относительное, но и абсолютное положение камеры,
    поскольку знание карты привязывает камеру к конкретным точкам на
    местности с известными абсолютными координатами. Это ведет к
    тому, что ошибка навигации не растет со временем. Основной
    недостаток метода – чувствительность к слишком большим ошибкам
    исходных координат камеры, полученных от инерционным
    навигационных приборов, которые метод должен затем уточнять.
МЕТОД 3 :       ОПРЕДЕЛЕНИЕ МЕСТОПОЛОЖЕНИЯ И
                  УГЛОВ ОРИЕНТАЦИИ
                С ИСПОЛЬЗОВАНИЕМ АРХИВНОГО
                       СНИМКА
Актуальный вид с камеры БЛА         «Оконтуренное» изображение



 Архивный космический снимок         «Оконтуренное» изображение




                                 Побитовое вычитание

  Поиск минимума
функции 6 переменных

                               Подбор параметров:
     Координаты                Высота, координаты,
   местоположения                  ориентация
Использование цифровых снимков местности так
   же позволяет определить координаты
   местоположения и ориентацию путём сравнения
   текущей видовой информации. Этот метод
   обеспечивает высокую точность определения
   абсолютных координат даже при осутствии
   рельефа. Он также позволяет найти абсолютное
   положение камеры, даже когда ее примерные
   координаты вообще неизвестны. Это достигается
   путем сканирования всей базы данных со снимкам
   местности и сравнения их с текущим снимком.
   Кроме того, имея «привязанный» снимок можно с
   высокой точностью определять координаты
   наземных объектов, обнаруженных оптико-
   электронной аппаратурой.
Example translation
Introduction    Hausdorff distance        HD translation       Comparing portions   HD grid points   HD rigid motion   examples

        • Image: 360 x 240 pixels
        • Model: 115 x 199 pixels
        • f1 = 0.8 and f2 = 0.5
        • Sun-4 (SPARCstation 2)
          Runtime ± 20 seconds
        • 2 matches




                                Image                                  model                                   overlaid
        Images Huttenlocher D. Comparing images using the Hausdorff distance
Гиперспектральное изображение
Естественные наземные
          ориентиры
Landmarks
Летные испытания в Израиле
Методы видеонавигации
Методы видеонавигации
Методы видеонавигации

Методы видеонавигации

  • 1.
  • 2.
    МЕТОД 1: ОПРЕДЕЛЕНИЕПРИРАЩЕНИЯ КООРДИНАТ ЧЕРЕЗ АНАЛИЗ ВИДОВОГО ПОТОКА ДАННЫХ Выделение характерных точек в каждом последовательном кадре (как правило, угловые элементы) Нахождение аналогичных точек (соответствующих пар) Данные ИНС Находим эпиполярную геометрию для двух снимков Изменение 3D положения камеры (ЛА) Фильтр Калмана Скорректированные координаты
  • 3.
    Счисление пройденного путина основе анализа потока видеоданных, поступающего с оптико-электронных приборов наблюдения. В каждом кадре автоматически находятся десятки характерных точек. Анализ их перемещения от кадра к кадру даёт информацию о движении объекта. Большое количество таких точек гарантирует точность определения перемещения, курса и углов ориентации. Основным ограничением метода является возможность только относительного определения координат и ориентации, что может привести к росту ошибки навигации со временем. Другим его недостатком является неполнота – все расстояния находятся с точностью до произвольной постоянной. Тажке могут быть причны, приводящие к невозможностью найти соответствующие пары точек на снимках: недостаточная освещенность, невозможность использования в случае облачности, невозможность использования над гладкой поверхностью без характерных особых точек (плоская, равномерно освещеная водная поверхность «без ряби» и волн; однородная и ровная песчаная пустыня без растительности)
  • 4.
  • 5.
  • 6.
    Поиск особых точек Детектор по минимальным собственным значениям Для каждого пикселя изображения (x0,y0) рассчитывается матрица: I(x,y) – интенсивность пикселя (x,y) , I(x,y) (x,y) w(x,y) – весовая функция по окрестности S(x00,y00)) w(x,y) S(x ,y . Чтобы точка (x00,y00))являлась особой, матрица M должна иметь два (x ,y M больших положительных собственных значения в этой точке. Функция отклика угла: 6
  • 7.
    Поиск особых точек Детектор Харриса • Харрис ввел следующую функцию отклика угла: где k=(0.04÷0.15) – параметр Харриса – подбирается эмпирически. 7
  • 8.
    Слежение за особенностями Вобласти поиска R ищется такой вектор (∆x, ∆y), что сумма по окрестности минимальна: где In-1 и In – яркость пикселей в предыдущем и текущем кадрах; S(x0,y0) – окрестность сравнения; R – область поиска особенности. 8
  • 9.
    Оптический поток —это изображение видимого движения объектов, поверхностей или краев сцены, получаемое в результате перемещения наблюдателя (глаз или камеры) относительно сцены.
  • 10.
  • 11.
    Апертурная проблема Однозначно можно определить скорость лишь в направлении градиента.
  • 12.
    Метод Лукаса -Канаде Решение апертурной проблемы – взять оерестность точки (с разными направление градиента) и считать скорость в этой окрестности одинаковой для всех точек.
  • 13.
    Метод Лукаса -Канаде I(x,y,t) = I(x + δx,y + δy,t + δt)
  • 14.
    Эпиполярная геометрия Зная положение камер можно найти эпиполярную геометрию и матрицу F. Зная набор соответствующих точек можно найти матрицу F, а затем решить обратную задачу найти Связь не между относительное точками, а положение камер с между прямыми точностью до масштаба
  • 15.
    Вырожденные случаи 1) Всеточки лежат в одной плоскости 2) Расстояние между оптическими центрами равно нулю –поворот камер В этом случае взаимное положение камер не однозначно – зато связь между токами однозначна - гоморафия x`=Hx – это не линейная функция в общем случае
  • 16.
    МЕТОД 2: : ОПРЕДЕЛЕНИЕ МЕСТОПОЛОЖЕНИЯ И УГЛОВ ОРИЕНТАЦИИ С ИСПОЛЬЗОВАНИЕМ ЦИФРОВОЙ МОДЕЛИ РЕЛЬЕФА. Two consecutive images Compute n feature correspondences 2n constraints (∆u, ∆v) Compute pose and ego-motion that DTM best explain the features movement Pose and ego-motion 12 variables
  • 17.
    Использование данных рельефапозволяет частично компенсировать недостатки первого метода. Используя перекрытие потока фото- видео- данных, восстанавливается рельеф местности. Сравнение с цифровой моделью рельефа местности позволяет определить местоположение летательного аппарата. В отличие от Метода 1 при использовании сканирующего лазерного высотомера возможно определение местоположения в отсутствие дневного освещения, однако, аналогично методу 1 рассматриваемый подход не работает над водной или песчаной поверхностью и даёт существенную ошибку в отсутствие явно выраженного рельефа. Основное преимущество перед предыдущим методом – возможность найти не только относительное, но и абсолютное положение камеры, поскольку знание карты привязывает камеру к конкретным точкам на местности с известными абсолютными координатами. Это ведет к тому, что ошибка навигации не растет со временем. Основной недостаток метода – чувствительность к слишком большим ошибкам исходных координат камеры, полученных от инерционным навигационных приборов, которые метод должен затем уточнять.
  • 19.
    МЕТОД 3 : ОПРЕДЕЛЕНИЕ МЕСТОПОЛОЖЕНИЯ И УГЛОВ ОРИЕНТАЦИИ С ИСПОЛЬЗОВАНИЕМ АРХИВНОГО СНИМКА Актуальный вид с камеры БЛА «Оконтуренное» изображение Архивный космический снимок «Оконтуренное» изображение Побитовое вычитание Поиск минимума функции 6 переменных Подбор параметров: Координаты Высота, координаты, местоположения ориентация
  • 20.
    Использование цифровых снимковместности так же позволяет определить координаты местоположения и ориентацию путём сравнения текущей видовой информации. Этот метод обеспечивает высокую точность определения абсолютных координат даже при осутствии рельефа. Он также позволяет найти абсолютное положение камеры, даже когда ее примерные координаты вообще неизвестны. Это достигается путем сканирования всей базы данных со снимкам местности и сравнения их с текущим снимком. Кроме того, имея «привязанный» снимок можно с высокой точностью определять координаты наземных объектов, обнаруженных оптико- электронной аппаратурой.
  • 21.
    Example translation Introduction Hausdorff distance HD translation Comparing portions HD grid points HD rigid motion examples • Image: 360 x 240 pixels • Model: 115 x 199 pixels • f1 = 0.8 and f2 = 0.5 • Sun-4 (SPARCstation 2) Runtime ± 20 seconds • 2 matches Image model overlaid Images Huttenlocher D. Comparing images using the Hausdorff distance
  • 22.
  • 23.
    Естественные наземные ориентиры Landmarks
  • 25.