Embed presentation
Downloaded 12 times













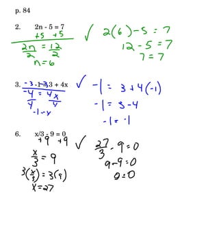
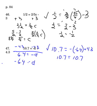
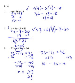
1. The document is an agenda for a math class on Wednesday October 7th. 2. The agenda includes correcting homework, more steps on equation solving, a possible quiz tomorrow, and working on a grid project for an art field trip. 3. Homework includes solving various math equations from pages 84 and 91 of the textbook.












