CARACTERITZACIÓ DE LA
MULTIPLICACIÓ I DEL CULTIU DE
   LA SALVIA OFFICINALIS




                              Antonio Jurado Bastidas
           Institut d’Horticultura i Jardineria de Reus
                                            2n GORNP
                                             2011/2012
2
ÍNDEX
MEMÒRIA............................................................................6

1. Introducció..............................................................................................7
 1.1. Origen i distribució geogràfica...........................................................7
 1.2. Descripció botànica ..........................................................................7
 1.3. Necessitats de cultiu.........................................................................8
   1.3.1. Necessitats edàfiques..................................................................8
   1.3.2. Necessitats hídriques...................................................................8
   1.3.3. Necessitats lumíniques................................................................8
   1.3.4. Necessitats nutricionals...............................................................8
   1.3.5 Època de multiplicació i cultiu.......................................................9
 1.4. Plagues i malalties............................................................................9
 1.5. Història...........................................................................................11
 1.6. Aplicacions medicinals...................................................................12
2. Objectius..............................................................................................13
3. Material i mètodes................................................................................13
 3.1. Localització de l’experiment............................................................14
 3.2. Material vegetal de partida..............................................................14
 3.3. Disseny de l’experiment..................................................................14
   3.3.1. Caracterització del substrat.......................................................16
     3.3.1.1. Substrat de multiplicació.......................................................16
     3.3.1.2. Substrat de cultiu..................................................................16
   3.3.2. Caracterització de les safates i els contenidors.........................17
     3.3.2.1. Safates i contenidors de les llavors.......................................17
     3.3.2.2 Safates i contenidors dels esqueixos.....................................17
 3.4. Operacions de producció................................................................18
   3.4.1.Producció per llavor....................................................................18
   3.4.2.Producció per esqueix.................................................................18
 3.5.Variables estudiades per a la caracterització del cultiu...................19
   3.5.1.Propagació per llavor..................................................................19
   3.5.2. Propagació per esqueix.............................................................20
4. Resultats..............................................................................................21
 4.1. Multiplicació.....................................................................................21
   4.1.1. Multiplicació provinent de llavor.................................................21
   4.1.2 Multiplicació provinent d’esqueix.................................................22
   4.1.3. Calendari de multiplicació (esqueix i llavor)...............................24
 4.2. Desenvolupament del cultiu (esqueix i llavor).................................24
   4.2.1. Desenvolupament i dies naturals...............................................25
     4.2.1.1. Creixement en alçada...........................................................25
     4.2.1.2. Creixement de diàmetre........................................................25
     4.2.1.3. Creixement en pes de la matèria seca..................................25
   4.2.2. Desenvolupament i temps tèrmic...............................................26
     4.2.2.1. Creixement en alçada...........................................................26
     4.2.2.2. Creixement en diàmetre........................................................26
     4.2.2.3. Creixement en pes de la matèria seca..................................27



                                                     3
4.2.3. Relacions entre variables...........................................................27
    4.2.3.1. Cultiu provinent de llavor.......................................................27
      4.2.3.1.1. Relació alçada-diàmetre..................................................27
      4.2.3.1.2. Relació alçada-pes de la matèria seca............................28
      4.2.3.1.3. Relació diàmetre-pes de la matèria seca.........................28
    4.2.3.2. Cultiu provinent d’esqueix.....................................................29
      4.2.3.2.1. Relació alçada-diàmetre..................................................29
      4.2.3.2.2. Relació alçada-pes de la matèria seca............................29
      4.2.3.2.3. Relació diàmetre-pes de la matèria seca.........................30
 4.3. Calendari general del cultiu.............................................................30
   4.3.1. Calendari de cultiu provinent de llavor.......................................30
   4.3.2. Calendari de cultiu provinent d’esqueix.....................................31
5. Discussió .............................................................................................31
 5.1. Cultiu a partir de llavor....................................................................31
 5.2. Cultiu a partir d’esqueix...................................................................32
6. Conclusions..........................................................................................33
7. Webgrafia.............................................................................................34

ANNEXES..........................................................................35




                                                     4
5
MEMÒRIA




   6
1. INTRODUCCIÓ

1.1. Origen i distribució geogràfica
Té una extensa distribució natural per tot el sector occidental de la conca
mediterrània.1
Es una planta perenne, xeròfila y termòfila originària del Mediterrani oriental:
Grècia, Yugoslàvia, etc. espontània en Itàlia, sud de França, Espanya, Marroc.
És una espècie amb origen de les regions mediterrànies, molt coneguda desde
l’antiguitat.2




1.2.           Descripció botànica
Petit arbust aromàtic que pertany a la família de les Labiatae, vivaç que pot
arribar a una altura d’entre 20 i 60 cms. Amb nombroses branques tomentoses.
Fulles oposades, senceres, rugoses, de color verd grisós en el revers y més clar
en l’envés, recobertes per una pubescència
blanquinosa, sobretot en aquesta última; les
situades en la part inferior e la planta són
llargament peciolades i amb el limbe oblongo-
lanceolat, mes o menys cordiforme en la
base; les superiors són sèssils i agudes i de
tamany més petit. Flors amb peduncle curt,
disposades en espiguetes terminals en
número de 2, 4 i rarament en 6,10 verticils, de
color blavós, vilat, a vegades blanc o rosat.3
El fruit està format per Quatre núcules d’uns
2-3 mm de tamany, que madura durant l’estiu.
4




    1
         Informació extreta de la pàgina web de la diputació de Toledo
    2 3
        , Informació extreta de la pàgina web: www.jardindelasalud.blogspot.com, 29 de març de 2009
    4
        Informació extreta de la pàgina web de la diputación de Toledo
                                                         7
1.3. Necessitats de cultiu

  1.3.1. Necessitats edàfiques
Suporta p.H. desde 5 a 9 lo adient és que el sòl sigui poc argilòs, lleuger,
esponjós, airejat y drenat i que estigui ben adobat amb matèria orgànica
descomposta. Com usarem més les fulles, el tipus d’adob serà equilibrat o
decantat al Nitrogen.5

1.3.2. Necessitats hídriques
Reg freqüent però no abundant, ja que es propensa a la asfixia radicular, també
suporta la sequía y no vol la excessiva humitat atmosfèrica.6
La Sàlvia es pot conrear en secà, amb una pluviometria anual mínima de 300-
400 mm / any. Però, l'aportació d'aigua pot millorar el creixement i la producció
amb un reg de 450 mm / any: un reg de suport després de la plantació ajuda a
l'establiment del cultiu, i un reg després del primer tall anual afavoreix el rebrot i
possibilita un segon o tercer tall (Karamanos, 2000).7

1.3.3. Necessitats lumíniques
               Necessitat lumínica (sol): a ple sol i semi-ombra.8

1.3.4. Necessitats nutricionals

         Fertilització: les necessitats anuals per a aquest cultiu són les
         següents:
         (ITEIPMAI, 1992):
         Nitrogen: 70-80 UF
         30 UF després del primer tall
         Fòsfor: 8-10 UF
         Potassi: 80-150 UF 9

1.3.5 Època de multiplicació i cultiu

Es pot escollir entre la gàmica o la vegetativa. En el primer cas la sembra es pot
fer o en planter o en ple camp. Per a ambdues, l'època millor recau al febrer -
 març. En cas que es recorri a la propagació àgama, s'obtenen plançons idèntics
a la planta mare de la qual s'ha extret el material de
multiplicació. Habitualment es recorre a esqueixos extrets de plantes de 2 o
3 anys al març - abril, de 8-10 centímetres de longitud amb almenys
quatre rovells. La seva aptitud per arrelar és molt alta, no calen hormones o
tècniques particulars. L'època d'extracció i per tant l'arrelament pot ajornar al
mes de juny - juliol.




 5 6 8
  , , Informació extreta de la pàgina web de Javier Suarez Candel, 7 abr. 2011
 7 9
  , Informació extreta de la pàgina web del Centre Tecnològic Forestal de catalunya, 2009




                                                    8
L'època, en el cas de les plantetes o dels esqueixos extrets al març - abril, serà
maig - juny, mentre que en l'altre cas es podrà escollir entre el trasplantament a
la tardor o a la primavera de l'any següent. Els avantatges d'aquest mètode són:
obtenció de dos segues ja el primer any, elecció entre dues èpoques de
trasplantament segons l'evolució de les estacions en les quals de tota manera no
són indispensables els regs d'ajuda. 10

 1.4 Plagues i malalties

Damping-off. Causat per Pythium debaryanum i Pellicularia filamentosa. En els
planters, on les plantes estan prou apinyades i sota moltes condicions alguns
dels plançons morts poden ser la conseqüència de l'acció d'algun d'aquests
fongs. El control que es pot realitzar ara per ara és difícil però es recomana la
solarització dels sòls com a prevenció (Piron, 1978).

Taques en les fulles: causat per Cercospora salviicola i Ramularia salviicola.
Aquestes taques a les fulles són generalment poc importants en plantes de jardí.
Arrencar i destruir les primeres fulles tacades freqüentment és utilitzat com a
mètode de control preventiu (Piron, 1978).




Royas: moltes espècies de royas ataquen principalment a espècies silvestres de
Salvia. Algunes de les més comuns són Puccinia caulicola, P. farinacea, i P.
salviicola. Rarament s'apliquen mètodes de control (Piron, 1978).

S'han descrit atacs de Sclerotinia sclerotiorum en Salvia, primer al Canadà i
després en els Estats Units. Els símptomes descrits van ser de marciment de
fulles i extenses lesions en les tiges. Les lesions eren incolores, toves i s'estenien
a partir de la línia del sòl per la tija. En algunes zones, els teixits externs van ser
recoberts per un embull d'hifes aèries. (Jons et al, 1996).
Als voltants de la ciutat de La Plata (Província de Buenos Aires) es van
recol·lectar plantes de sàlvia entre altres labiades, degollades o amb símptomes
necròtics severs a les fulles. En el cas de la sàlvia va ser identificat com a agent
causal Colletotrichum gloeosporioides Penz. A la sàlvia en iniciar la infecció, les
fulles presentaven nombroses taques puntiformes a l'anvers, marró clares, amb
vores difusos, que en fer-se confluents cobrir progressivament els limbes i el
pecíol formant àmplies àrees necròtiques. Aquest procés va evolucionar gairebé
sempre des de la vora cap al centre i després de la clorosi dels teixits verds.
Finalment es produïa la caiguda de les fulles. També van ser afectats els sèpals,
el groc i ulterior necrosi es va estendre a partir del sector apical. Els acérvols

 10
      , Informació extreta de la pàgina web www.infoagro.com
                                                     9
només es van observar sobre les tiges morts i degollats del terç superior de les
plantes (Perello et al, 1995).

Un altre paràsit vegetal és el mal blanc Oidium erysiphoides que apareix en
forma d'una capa blanquinosa a la superfície de la fulla. Quan la infecció arriba a
nivells d'alerta s'intervé amb sofre (Itepmai, 1992).

Altres patologies trobades en els cultius de sàlvia es deuen a l'acció de hongos
com:
• El míldiu causat per:
- Peronospora swinglei, (Messiaen et al, 1995).
- Peronospora lamii, que a més ataca a moltes labiades entre elles a altres
aromàtiques com l'alfàbrega.

• Oïdi causat per:
- Erysiphe cichoracearum (Piron, 1978)




                                               .
- Erysiphe polygoni.
- Erysiphe salviae. (Daulerio et al, 1995).

• La podridura de les tiges causada per Sphaeropsis salviae (Piron, 1978).
• marciment causats per Verticillium albo - atrum (Piron, 1978).
• Antracnosis causada pel fong Colletotrichum dematium (Pers) Grove (Subbiah
et al, 1996):
• Podridura de les arrels causada per Rhizoctonia solani (Subbiah et al, 1996).
• Taques en les fulles, Podospora inaequalis, (Subbiah et al, 1996).
• Patologies com les causades per Ascochita sclareae i Phomopsis sclareae,
(Subbiah et al, 1996).
• Una malaltia dels plançons causada per Fusarium oxysporum (Subbiah et al,
1996):
El 1996, plantacions comercials de Salvia officinalis a la Vall de Salines, al
comtat de Monterrey (EUA), van ser afectades per una malaltia del coll i arrel.
Les arrels estaven necrosades i el coll i tiges interiors es van tornar negres. Les
plantes afectades acabaven morint. Una Phytophthora sp. va ser consistentment
aïllada de les arrels i tiges de les plantes amb símptomes. L'espècie va ser
identificada com Phytophthora cryptogea basant-se en la formació dels inflament
hifal, morfologia dels esporangis i oosporas i creixement sota diverses
temperatures. La patogenicitat dels aïllats va ser confirmada aplicant una
suspensió de zoosporas sobre les arrels i coll de plantes de sàlvia sanes amb
tres mesos de creixement. Una Phytophthora cryptogea va ser aïllada de les
plantes amb símptomes i mortes i va tornar a ser identificada com a tal.

                                          10
El test va ser repetit i el resultat va ser similar (Páez, 1995).

En Thessalonika (Grècia), el 1991, va ser trobada en plantes mortes de Salvia
Armillaria mellea. Es va identificar sobre la base dels caràcters morfològics i el%
de creixement en un medi d'agar malta (3%) i àcid tànnic (0.05%), i segons la
resposta al test de compatibilitat de Korhonen. Després aïllar el fong es va
procedir a la seva inoculació en 10 plantes de sàlvia amb 2 controls (testimonis).
Amb el temps les plantes de sàlvia presentaven extenses podridures radiculars
associades al fong. Els testimonis es van mantenir saludables
(Thanassouloupoulos, 1991).11

1.5 Història

La sàlvia probablement ja va ser utilitzada pels antics egipcis, per tractar les
malalties abdominals, mal de dents i l'asma. En el papir Ebers, 1500 aC, figurava
ja com a remei contra les erupcions i picades. Els metges hipocràtics
vanagloriaven seves propietats hemostàtiques, fortificants i curatives. Els autors
romans Plinio, Dioscórides i Galeno la van descriure amb el nom de sàlvia,
"curar", tenir bona salut. Recomanaven la sàlvia per les seves propietats
calmants i astringents, per a la gola, la tos, els refredaments, per facilitar
l'expulsió del fetus i combatre les úlceres. S'ignora a quin de les 900 espècies de
sàlvia es referien.
Ja l'any 790, s'esmentava en el "capitulars de villis" de Carlemany i Lluís el
Piadós el cultiu de sàlvia en els jardins dels monestirs. Al segle IX, Walafrid
Strabon, un monje del monestir de Reichenau al Llac de Constança, inicia el seu
poema didàctic "Hortulus", sobre les plantes medicinals del seu jardí, amb les
virtuts de la sàlvia: "La sàlvia brilla entre totes, agradable la seva olor, potent i
benèfica en pocions, considerada per l'home com a saludable en la major part de
les malalties, ben merescuda té la gràcia del seu verd perpetu ". La sàlvia va
aparèixer molt aviat a Anglaterra, on des de llavors és utilitzada com a condiment
.
En l'Edat Mitjana la sàlvia també era molt apreciada. En l'alta escola de medicina
de Salermo, ens arriben els versos "Salvia salvatrix, naturae conciliatrix", la sàlvia
que cura, es concilia amb la Natura.
Hieronymus Bock, escrivia en 1555: "De totes les begudes no trobem cap que
superi la sàlvia, ja que és útil al cuiner, al metge, als cellers, als rics i als pobres.
Beure vi de sàlvia o l'herba cuinada en el vi és beneficiosa per tot el cos, ja que
la sàlvia elimina el verí, calma la tos, alleuja els problemes del pàncrees, escalfa
el fetge i la matriu, és diürètica i resol els problemes femenins . Serveix per
alleujar totes les malalties degudes al fred i no solament presa en tisanes.
L'aigua de sàlvia, neteja i cura les nafres i les
mossegades dels animals verinosos, calma les
hemorràgies, neteja les úlceres purulentes i sana les
crostes. Si es frega les dents amb fulles de sàlvia
fresques es conservaran sòlids i un alè fresc. També els
gargarismes amb la sàlvia bullida, serveix per controlar el
mal de coll. Paullinia, metge d'Augsburg va consagrar a
la sàlvia amb una monografia de 414 pàgines en 1688.
Aquesta planta d'olor intens ha estat sempre utilitzada
com a amulet de culte i protecció.



 11
      Informació extreta de la pàgina web www.infoagro.com
                                                   11
La sàlvia, que se li atribueixen virtuts màgiques, és encara avui un element per a
les fumigacions. A més de la Salvia officinalis, a Mèxic utilitzen una espècie amb
propietats al·lucinògenes, la sàlvia divinorum.12

1.6 Aplicacions medicinals
• El nom de sàlvia ve del llatí, que significa curar. Els romans ja la anomenàvem
planta sacra per els nombroses aplicacions medicinals que es li atribuïssin. Molts
autors consideren la sàlvia com la planta medicinal per excel·lència.

• Com hipoglucemiant la sàlvia estimula l'eliminació de sucre de la sang, per això
és considerada una excel·lent planta per regular els nivells de glucosa en les
persones.
• La planta de la sàlvia és antiespasmòdic, per això és molt útil per tractar còlics
estomacals i situacions de diarrea.
• La sàlvia ajuda a reduir els malestars de la menstruació, com els mals de cap,
la irritabilitat i la inflor del ventre.
• La sàlvia té propietats antisèptiques, per això resulta molt útil per netejar i
desinfectar ferides producte de cops o talls.
• La sàlvia és estimulant, per això és molt útil per tractar casos d'esgotament
mental.
Altres propietats medicinals de la sàlvia són:
• Antisudorífica: la sàlvia redueix la sudoració, a més disminueix la mala olor de
la suor.
• Relaxant muscular: els olis essencials de la
sàlvia són molt útils per superar l'esgotament
muscular, s'ha de fer massatges amb els olis
                                         13
essencials en les zones afectades.




 12
      Informació extreta de la pàgna web www.avogel.es
 13
      Informació extreta de la pàgina web www.plantasparacurar.com
                                                    12
2.     OBJECTIUS
      Caracterització de la multiplicació i el cultiu de la Salvia officinalis a partir
      de llavor i esqueix.

3.     MATERIAL I MÈTODES

     3.1 Localització de l’experiment
 L’experiment de la propagació de Salvia officinalis ha tingut lloc al institut
 de Jardineria i Horticultura de Reus (Tarragona) Autovia Bellisens km 1.5 -
 43205 Reus
 En situació: 41º1' N , 1º 7' E a 80 metres sobre el nivell del mar

     3.2 Material vegetal de partida
            Llavors de Salvia officinalis procedent de cultiu de Semillas silvestres,
           amb un pes de 140 llavors/gram utilitzant 385 llavors, amb una
           viabilitat del 80%
            Parteixo de 308 esqueixos apicals semillenyosos obtinguts de plantes
           mare del Institut d’Horticultura i Jardineria, amb un tamany de 7 a 8
           centímetres




                                              13
3.3 Disseny de l’experiment
    Propagació per llavor




 1 llavor/alvèol                Sembra              Reg manual per
                                                      difusió



                              63 dies hivernacle

                                                        eventual




1 Plàntula/contenidor        Trasplantament         Reg manual per
                                                        difusió



                                                       Eventual
                            89 dies d’aclimatació




     Densitat:               Portat al exterior       Reg per aspersió
   42 plantes/m2



                                      49 dies          3 dies/setmana




                            PLANTA COMERCIAL


                                       14
Propagació per esqueix




1 esqueix/alvèol         Implantació              Reg manual per
                                                      difusió



                         63 dies hivernacle
                                                       eventual




3 Plàntules/contenidor   Trasplantament             Reg manual per
                                                       difusió



                                                        Eventual



                          47 dies d’aclimatació


     Densitat:
    42 plantes/m2        Portat al exterior            Reg per

                                                         aspersió



                                49 dies
                                                      3 dies/setmana


                         PLANTA COMERCIAL


                                  15
3.3.1 Caracterització del substrat
3.3.1.1 Substrat de multiplicació

Llavor
Nom comercial: SHAMROCK, Seed & Modular
PH: 5,3–5,7
Ce: 24-33 mS/m
Indicat per la preparació de plantes de llavorer i trasplantament, especialment
dissenyat per safates modulars

          NUTRIENTS AFEGITS (mg/l)

             N           P          K

            120         60          200



Esqueix
Nom comercial: SHAMROCK, Seed & Modular
PH: 5,3–5,7
Ce: 24-33 mS/m
Indicat per la preparació de plantes de llavorer i trasplantament, especialment
dissenyat per safates modulars

          NUTRIENTS AFEGITS (mg/l)

             N          P           K

             120        60          200




3.3.1.2 Substrat de cultiu

Llavor
% materials: 30% arena, 70% torba rosa


Esqueix
% materials: 30% arena, 70% torba rosa




                                          16
3.3.2 Caracterització de les safates i els contenidors
3.3.2.1 Safates i contenidors de les llavors

Safata
Material: polipropilè
Volum: 4x4x3,5 (cm)-56 cm³/alvèol
Dimensions: 7x11 alvèols

Contenidor
Material: polietilè
Color: marró
Volum: diàmetre superior-11 cm
       diàmetre inferior-10 cm
       altura-10cm
       litres-1


 3.3.2.2 Safates i contenidors dels esqueixos

Safata
Material: polipropilè
Volum: 4x4x3,5 (cm)-56 cm³/alvèol
Dimensions: 7x11 alvèols

Contenidor
Material: polietilè
Color: marró
Volum: diàmetre superior-11 cm
       diàmetre inferior-10 cm
       altura - 10cm
       litres - 1




                                          17
3.4 Operacions de producció

   3.4.1 Producció per llavor

Data                Operació                          Observacions
5-10-2011           sembra
12-10-2011          Inici germinació
24-10-2011          Desherbatge                       S’observen 11 baixes
                                                      per rosegadors
7-12-2011           Implantació/aclimatació
11-1-2012           Desherbatge

8-2-2012            Desherbatge
5-3-2012            Final aclimatació/Desherbatge     1 baixa
22-3-2012           Desherbatge
11-4-2012           Desherbatge                       2 baixes
23-4-2012           Desherbatge                       1 baixa Planta
                                                      comercial
                                                      No s’han observat
                                                      plagues ni malalties



 3.4.2 Producció per esqueix

Data                   Operació                     Observacions
16-11-2011             Implantació                  1 esqueix per alvèol
28-11-2011             Inici arrelament             1ª arrel que es veu al
                                                    aixecar la safata
21-12-2011             Desherbatge
18-1-2012              Implantació/aclimatació  3 plàntules per contenidor
8-2-2012               Desherbatge
5-3-2012               Final
                       aclimatació/Desherbatge,
                       tallar inflorescències
22-3-2012              Desherbatge, tallar
                       inflorescències
11-4-2012              Desherbatge, tallar
                       inflorescències
23-4-2012              Desherbatge, tallar      Planta comercial
                       inflorescències          No hi ha hagut plagues ni
                                                malalties




                                       18
3.5 Variables estudiades per a la caracterització del cultiu

  3.5.1 Propagació per llavor


        VARIABLE                     OBTENCIÓ/MESURA
          Data inici germinació        Dia en que germina la primera llavor

             50% germinació          Dia en que +/- s’observa que la meitat de les
                                                  llavors han germinat
            Data final germinació          Dia en que es dona per acabada
                                                      lagerminació
         Data trasplantament-inici      Data en que trasplantem a contenidor
                 aclimatació                             superior
        Percentatge de germinació         Nº de llavors sembrades-Nº llavors
                                                germinades final de ger
                                                         minació
               Percentatge de         Nº contenidors en cultiu-Nº de contenidors
              supervivència al          amb plantes vives 15 dies després del
              transplantament                    període d’aclimatació
               Percentatge de          Nº de contenidors en cultiu inicial-Nº de
          supervivència del cultiu     contenidors amb plantes vives al final de
                                                          cultiu
         Evolució de l’alçada de la   Mesura periòdica (cada +/- 15 dies) d’una
         planta en funció dels dies mostra a l’atzar (15 contenidors) de l’alçada
            post-trasplantament       de la planta desde la base del substrat del
                                      contenidor fins l’apex vegetatiu més elevat
        Evolució del diàmetre de la   Mesura periòdica (cada +/- 15 dies) d’una
        copa de la planta en funció mostra a l’atzar (15 contenidors) del diàmetre
       dels dies post-trasplantament               superior e la planta
         Evolució de l’alçada de la   Mesura periòdica (cada +/- 15 dies) d’una
        planta en funció del temps mostra a l’atzar (15) contenidors) de l’alçada
           tèrmic a partir del final  de la planta desde la base del substrat del
                d’aclimatació         contenidor fins l’àpex vegetatiu més elevat
                                          (Càlcul acumulat del temps tèrmic)

        Evolució del diàmetre de la   Mesura periòdica (cada +/- 15dies d’una
        copa de la planta en finció mostra a l’atzar (15 contenidors) del diàmetre
       del temps tèrmic a partit del             superior de la planta
             final d’aclimatació         (Càlcul acumulat del temps tèrmic)
        Evolució del pes sec de la    Mesura del pes sec d’una mostra de 2-3
         planta en funció dels dies   plantes representatives cada +/-15 dies
            post-trasplantament
       Evolució el pes sec en funció  Mesura de pes sec d’una mostra de 2-3
        del temps tèrmic a partir de  plantes representatives cada +/- 15 dies
             final d’aclimatació




                                      19
3.5.2 Propagació per esqueix


       VARIABLE                        OBTENCIÓ/MESURA
        Data inici d’arrelament        Dia en que s’observa en aixecar la safata,
                                                    la primera arrel

          Data 50% arrelament          Dia en que s’observa +/- que la meitat dels
                                        esqueixos han arrelat en aixecar la safata
          Data final arrelament        Dia en que es dona per acabat l’arrelament
                                       al observar davall de la safata, que no hi ha
                                                        arrels noves
        Data trasplantament-inici          Data en que trasplantem a contenidor
               aclimatació                                superior
        Percentatge d’arrelament          Nº d’esqueixos sembrats-nº esqueixos
                                                           arrelats
             Percentatge de             Nº contenidors en cultiu-Nº de contenidors
            supervivència al              amb plantes vives 15 dies després del
            transplantament                        període d’aclimatació
             Percentatge de               Nº de contenidors en cultiu inicial-Nº de
         supervivència del cultiu        contenidors amb plantes vives al final de
                                                            cultiu
        Evolució de l’alçada de la      Mesura periòdica (cada +/- 15 dies) d’una
        planta en funció dels dies          mostra a l’atzar (15 contenidors) de
           post-trasplantament            l’alçada de la planta desde la base del
                                             substrat del contenidor fins l’apex
                                                   vegetatiu més elevat
       Evolució del diàmetre de la      Mesura periòdica (cada +/- 15 dies) d’una
       copa de la planta en funció          mostra a l’atzar (15 contenidors) del
             dels dies post-                   diàmetre superior de la planta
             trasplantament
        Evolució de l’alçada de la Mesura periòdica (cada +/- 15 dies) d’una
       planta en funció del temps      mostra a l’atzar (15) contenidors) de
         tèrmic a partir del final   l’alçada de la planta desde la base del
              d’aclimatació        substrat del contenidor fins l’àpex vegetatiu
                                                    més elevat
                                        (Càlcul acumulat del temps tèrmic)

       Evolució del diàmetre de la      Mesura periòdica (cada +/- 15dies d’una
       copa de la planta en funció       mostra a l’atzar (15 contenidors) del
       del temps tèrmic a partit del        diàmetre superior de la planta
             final d’aclimatació          (Càlcul acumulat del temps tèrmic)
        Evolució del pes sec de la         Mesura del pes sec d’una planta
        planta en funció dels dies          representativa cada +/-15 dies
           post-trasplantament
          Evolució el pes sec en              Mesura de pes sec d’una planta
        funció del temps tèrmic a             representativa cada +/- 15 dies
       partir de final d’aclimatació




                                         20
4.         RESULTATS
     4.1. Multiplicació

     4.1.1. Multiplicació provinent de llavor

•        El percentatge de germinació de la Salvia oficinalis, objecte d’estudi, ha
sigut del 32 %



                                Percentatge de germinació

                 Llavors
             germinades; 122;
                   32%



                                                                  Llavors no germinades
                                                  Llavors no      Llavors germinades
                                               germinades; 263;
                                                     68%




Figura 1


•          El percentatge de supervivència al transplantament ha sigut del 100%


                    Percentatge de supervivència al transplantament

                      Plàntules mortes post-
                     transplantament; 0; 0%




                                                                      Plàntules vives
                                                                      pretransplantament
                                                                      Plàntules mortes post-
                                                                      transplantament
                        Plàntules vives
                      pretransplantament;
                           122; 100%




Figura 2




                                                 21
•          El percentatge de supervivència del cultiu ha sigut del 97 %


                            Percentatge de supervivència al cultiu
                            Plantes mortes al
                            final del cultiu; 4;
                                    3%



                                                                         Plantes vives al final del cultiu

                                                                         Plantes mortes al final del
                                                                         cultiu


                                     Plantes vives al
                                     final del cultiu;
                                        119; 97%

Figura 3

•          El percentatge de supervivència de tot l’experiment ha estat del 31%


    4.1.2 Multiplicació provinent d’esqueix

•        El percentatge d’arrelament de la Salvia oficinalis, objecte d’estudi, ha
estat del 50 %
                                  Percentatge d'arrelament




          Esqueixos no                             Esqueixos arrelats;
       arrelats; 155; 50%                              153; 50%            Esqueixos arrelats
                                                                           Esqueixos no arrelats




Figura 4




                                                     22
•          El percentatge de supervivència al transplantament ha estat del 100%

                 Percentatge de supervivència al transplantament
                                Plàntules mortes
                                      post-
                              transplantament; 0;
                                       0%



                                                                   Plàntules vives
                                                                   pretransplantament
                                                                   Plàntules mortes post-
                                                                   transplantament


                                Plàntules vives
                             pretrans plantament;
                                  153; 100%


Figura 5


•          El percentatge de supervivència del cultiu ha estat del 100%

                      Percentatge de supervivència al cultiu

                          Plantes mortes al
                          final del cultiu; 0;
                                  0%




                                                         Plantes vives al final del cultiu
                                                         Plantes mortes al final del cultiu




                         Plantes vives al final
                         del cultiu; 51; 100%


Figura 6

•          El percentatge de supervivencia de tot l’experiment ha estat del 50%




                                                    23
4.1.3. Calendari de multiplicació (esqueix i llavor)

Esqueix                                             Llavor
Implantació-inici d'arrelament (1)                  Sembra-inici de germinació (1)
Implantació-50% d'arrelament (2)                    Sembra-50% de germinació (2)
Implantacó-final d'arrelament (3)                   Sembra-final de germinació (3)
Implantació-trasplantament (4)                      Sembra-trasplantament (4)



                         Calendari comparatiu de multiplicació (llavor i
                                          esqueix)

                             4
   Variables




                             3                                                               Esqueix
                             2                                                               Llavor
                             1

                                 0             20          40           60           80
                                     1               2             3           4
                    Esqueix          12              49            56         63
                    Llavor           7               19            32         63
                                                          Dies

Figura 7



4.2 Desenvolupament del cultiu (esqueix i llavor)

4.2.1 Desenvolupament i dies naturals
4.2.1.1 Creixement en alçada
Gràfic que mostra com augmenta el creixement en alçada de la planta objecte
d’estudi a mesura que passen els dies

                                                    Creixement en alçada

               25

               20

                                                                                          Llavor
               15
   (cms.)




                                                                                          Esqueix
                                                                                          Exponencial (Esqueix)
               10
                                                                                          Exponencial (Llavor)
                5

                0
                    0                     50                100               150
                                      Dies post-transplantament

                                                                                                                  Fi
gura 8


                                                                  24
4.2.1.2. Creixement de diàmetre

Gràfic que mostra com creix en diàmetre a mesura que pasen els dies

                              Creixement de diàmetre

            20
            18
            16
            14
                                                             Llavor
            12
   (cms.)




                                                             Esqueix
            10
                                                             Exponencial (Esqueix)
             8
             6                                               Exponencial (Llavor)
             4
             2
             0
                 0     50                   100        150
                     Dies post-transplantament


Figura 9




4.2.1.3 Creixement en pes de la matèria seca

S’observa al gràfic com augmenta el pes de la planta a mida que pasen els dies

                            Creixement de la matèria seca

            18
            16
            14
            12                                               Llavor
            10
   (grs.)




                                                             Esqueix
             8                                               Exponencial (Esqueix)
             6                                               Exponencial (Llavor)
             4
             2
             0
                 0     50                   100        150
                            Dies naturals


Figura 10




                                                  25
4.2.2 Desenvolupament i temps tèrmic
4.2.2.1. Creixement en alçada

Aquest gràfic mostra el creixement en alçada de les plantes a mesura que
augmenta el temps tèrmic

                                   Creixement en alçada

              25


              20

                                                                Llavor
              15
     (cms.)




                                                                Esqueix
                                                                Exponencial (Esqueix)
              10
                                                                Exponencial (Llavor)

               5


               0
                   0   100   200        300        400    500
                               TT (ºC dia)

Figura 11

4.2.2.2 Creixement en diàmetre

Gràfic que mostra el creixement en diàmetre de les plantes de l’estudi a mida
que s’acumulen els graus dia

                               Creixement en diàmetre

              20
              18
              16
              14
                                                                Llavor
              12
   (cms.)




                                                                Esqueix
              10
                                                                Exponencial (Esqueix)
              8
                                                                Exponencial (Llavor)
              6
              4
              2
              0
                   0   100   200       300         400    500
                              TT (ºC dia)

Figura 12




                                              26
4.2.2.3 Creixement en pes de la matèria seca

Gràfic que diferencia el creixement de la matèria seca de les plantes provinents
d’esqueix i de llavor a raó del temps tèrmic acumulat

                                       Creixement de la matèria seca

                   18
                   16
                   14
                   12                                                                Llavor
   (grs.)




                   10                                                                Esqueix
                    8                                                                Exponencial (Llavor)
                    6                                                                Exponencial (Esqueix)
                    4
                    2
                    0
                        0       100    200           300        400        500
                                            TT (ºC dia)

Figura 13


4.2.3. Relacions entre variables
4.2.3.1 Cultiu provinent de llavor
4.2.3.1.1 Relació alçada-diàmetre

Gràfic que demostra la forma aèria de la planta
                                            Relació alçada-diàmetre

                   8,15
                    8,1
                   8,05
   Alçada (cms.)




                        8
                                                                                 Alçada/diàmetre
                   7,95
                                                                                 Lineal (Alçada/diàmetre)
                    7,9
                   7,85
                    7,8
                   7,75
                            0    2      4            6      8         10
                                      Diàm etre (cm s.)


Figura 14




                                                           27
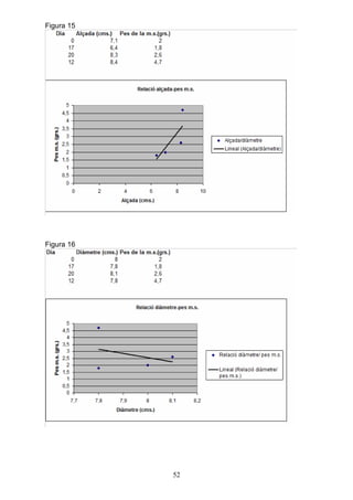
4.2.3.1.2 Relació alçada-pes de la matèria seca

Gràfic que relaciona el creixement en alçada amb l’augment del pes de la m.s.
                                               Relació alçada-pes m.s.

                       5
                     4,5
                       4
   Pes m.s. (grs.)




                     3,5
                       3
                                                                                   Alçada/diàmetre
                     2,5
                                                                                   Lineal (Alçada/diàmetre)
                       2
                     1,5
                       1
                     0,5
                       0
                            0     2       4            6         8         10
                                         Alçada (cms.)

Figura 15



4.2.3.1.3 Relació diàmetre-pes de la matèria seca

Gràfic que mostra la relació entre el diàmetre i el pes de la m.s.
                                              Relació diàmetre-pes m.s.

                       5
                     4,5
                       4
   Pes m.s. (grs.)




                     3,5
                                                                                Relació diàmetre/ pes m.s.
                       3
                     2,5
                       2                                                        Lineal (Relació diàmetre/ pes
                                                                                m.s.)
                     1,5
                       1
                     0,5
                       0
                           7,7   7,8   7,9         8       8,1       8,2
                                       Diàmetre (cms.)


Figura 16




                                                           28
4.2.3.2 Cultiu provinent d’esqueix

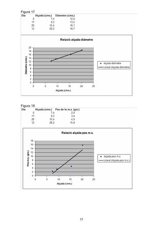
  4.2.3.2.1 Relació alçada-diàmetre

Gràfic que mostra la forma aèria a la que tendeix la Salvia officinalis, objecte
d’estudi
                                       Relació alçada-diàmetre

                     20
                     18
                     16
   Diàmetre (cms.)




                     14
                     12
                                                                      Alçada-diàmetre
                     10
                                                                      Lineal (Alçada-diàmetre)
                      8
                      6
                      4
                      2
                      0
                          0   5   10         15         20       25
                                  Alçada (cms.)

Figura 17




4.2.3.2.2 Relació alçada-pes de la matèria seca

Gràfic demostratiu de la planta quan creix en altura i en pes de matèria seca
                                       Relació alçada-pes m.s.

                     18
                     16
                     14
   Pes m.s. (grs.)




                     12
                     10                                               Alçada-pes m.s.
                      8                                               Lineal (Alçada-pes m.s.)
                     6
                     4
                     2
                     0
                          0   5   10         15         20       25
                                  Alçada (cms.)

Figura 18




                                                   29
4.2.3.2.3 Relació diàmetre-pes de la matèria seca

Gràfic que mostra la relació que hi ha entre diàmetre i pes de la m.s.
                                      Relació diàmetre-pes m.s.

                     18
                     16
                     14
   Pes m.s. (grs.)




                     12
                     10                                           Diàmetre-pes m.s.
                      8                                           Lineal (Diàmetre-pes m.s.)
                     6
                     4
                     2
                     0
                          0   5         10          15       20
                                  Diàmetre (cms.)

Figura 19




4.3 Calendari general del cultiu

4.3.1. Calendari de cultiu provinent de llavor




Figura 20




4.3.2. Esqueix


Figura 20



                                                    30
4.3.2 Calendari de cultiu provinent d’esqueix




Figura 21




5. DISCUSSIÓ
5.1 Cultiu a partir de llavor
En el cultiu es diferèncien tres etapes:

Etapa de multiplicació.

S’ha obtingut un 32% de germinació, que podria haver-se incrementat un 3% si
no hi hagués hagut baixes per rosegadors, el trobo molt baix en comparació al
80% de viabilitat que assegura el llavorista.
Probablement, una de les causes de la baixa germinació ha estat l’època de
sembra. Es van sembrar a l’octubre, tot i que a la pàgina web infoagro.com es
recomana els mesos de febrer i març com la millor època per què es pugui duu a
terme una germinació òptima.
Una altre causa del baix resultat, podria ser el tipus de sustrat. S’ha utilitzat un
substrat amb un pH d’entre 5’3 i 5’7 i, segons la informació de Javier Suarez
Candel a la seva pàgina web, aquesta espècie tolera un pH de 5 a 9, és a dir
que, és troba en el mínim tolerable.
A més, les necessitats nutricionals de la Salvia officinalis, estàn molt per sota
dels nutrient que tenia el substrat de multiplicació
Tal vegada ha pogut haver un periode curt de dies en que no s’hagi regat, per
tant s’han pogut estresar algunes llavors les quals no han germinat.




                                           31
Etapa d’aclimatació.
En aquest període no es va observar cap baixa, per tant, es aconsellable fer un
període d’aclimatació després del procés de transplantament, sobretot als mesos
d’hivern amb probabilitat de glaçades, per tal de no esposar el cultiu recentment
trasplantat a les baixes temperatures.

Etapa de cultiu.
En aquest període el percentatge ha sigut del 97%. Probablement, el 3% restant
de baixes ha sigut per podriment a causa de l’excés d’aigua.
A més, van passar molt temps als alvèols abans del transplantament, (com es
pot observar a la figura 7) ja que es recomana realitzar aquesta acció quan la
plàntula té 2 o 3 grups de fulles vertaderes.
També es va veure frenat el cultiu de llavor respecte al d’esqueix, potser perquè
quan es va treure de l’hivernacle, el cultiu de llavor tenia una àrea foliar de 8
centímetres de diàmetre i el cultiu provinent d’esqueix tenia un diàmetre de 12’4
centímetres de mitja de diàmetre, i per tant produïa menys energia.
A més, les temperatures mínimes de 2’6 ºC que es van enregistrar als 5 dies
posteriors del final de l’etapa d’aclimatació també va poder ser una de les causes
de l’alentiment del creixement del cultiu.


5.2 Cultiu a partir d’esqueix
El cultiu consta de tres fases:

Fase de multiplicació.

El percentatge d’arrelament obtingut és del 50%, tot i que es podria haver
incrementat el percentatge amb l’aplicació d’hormones del tipus AIB als
esqueixos.
Una altre causa del baix arrelament, ha pogut ser la possible infecció en les
eines de tall, ja que no es van desinfectar.
Possiblement l’època en la que es van fer els esqueixos no era la més adequada
ja que es recomana realitzar aquesta acció als mesos de març o abril 14, i es va
portar a terme el mes de novembre.

Fase d’aclimatació.

Al no observar-xe baixes, es pot recomanar un periode d’aclimatació després del
transplantament fins arribar als mesos de maig o juny.15
Com a conclusió, es pot considerar recomanable un sustrat de cultiu de 30%
sorra i 70% torba rosa.

Fase de cultiu.

En aquesta fase, s’ha vist un augment favorable del tamany de les plantes
(gràfics 11,12 i 13), coincidint amb l’augment de les temperatures.
A més, no ha hagut cap baixa i les plujes de primavera no han afectat a les
plantes, probablement per la maduració del cultiu.


 14, 15
          Recomanacions de la pàgina web infoagro.com

                                                    32
6. CONCLUSIONS
Reproducció per llavor:
El percentatge de germinació obtingut, ha estat del 32%
La supervivència al transplantament ha tingut un resultat d’un 100%
S’ha observat una supervivència al cultiu d’un 97%
La fase de multiplicació ha durat 63 dies, la fase d’aclimatació 89 dies i un últim
període de cultiu de 49 dies
S’aprecia un lent creixement de la part aèria
Tal com s’oberva al gràfic de la relació entre el creixement d’alçada i el
creixement de diàmetre, domina el creixement en alçada
No s’ha observat cap plaga ni malaltia

Reproducció per esqueix:
El percentatge d’arrelament ha tingut un èxit del 50%
La supervivència al transplantament ha tingut un resultat del 100%
S’ha observat una supervivència al cultiu del 100%
La fase de multiplicació ha durat 63 dies, el periode de multiplicació 47 dies i la
fase de cultiu 49 dies
S’observa un creixement exponencial proporcionat en alçada i pes de la matèria
seca. El creixement en diàmetre transcorre més lent.
No s’ha observat cap plaga ni malaltia
Tal com s’observa als gràfics de creixement, la multiplicació provinent d’esqueix
té una notable diferència en millors resutats que la propagació per llavor




                                          33
7. WEBGRAFIA
www.2009.ctfc.cat/publi/CultivodePAMenCataluna.pdf
www.avogel.es/enciclopedia-de-plantas/salvia_officinalis.php
www.diputoledo.es/global/ver_pdf.php?id=9903
www.infoagro.com/aromaticas/salvia.htm
www.jardindelasalud.blogspot.com.es/2009/03/salvia-europea-salvia-officinalis-
l.html
www.javiersuarezcandel.com/search?q=Salvia+officinalis
www.plantasparacurar.com/propiedades-medicinales-de-la-salvia/




                                       34
ANNEXES




   35
Taula 1 Presa de mesures en camp, del cultiu a partir de llavor




                                        36
37
38
Taula 2 Presa de dades en camp del cultiu provinent d’esqueix




                                       39
40
Taula 3 Càlcul de temps tèrmic




                                 41
Figura 1




Figura 2




           42
Figura 3




Figura 4




           43
Figura 5




Figura 6




           44
Figura 7




           45
Figura 8




           46
Figura 9




           47
Figura 10




            48
Figura 11




            49
Figura 12




            50
Figura 13




Figura 14




            51
Figura 15




Figura 16




            52
Figura 17




Figura 18




            53
Figura 19




            54
Figura 20




            55
Figura 21




            56

Sintesi1

  • 1.
    CARACTERITZACIÓ DE LA MULTIPLICACIÓI DEL CULTIU DE LA SALVIA OFFICINALIS Antonio Jurado Bastidas Institut d’Horticultura i Jardineria de Reus 2n GORNP 2011/2012
  • 2.
  • 3.
    ÍNDEX MEMÒRIA............................................................................6 1. Introducció..............................................................................................7 1.1.Origen i distribució geogràfica...........................................................7 1.2. Descripció botànica ..........................................................................7 1.3. Necessitats de cultiu.........................................................................8 1.3.1. Necessitats edàfiques..................................................................8 1.3.2. Necessitats hídriques...................................................................8 1.3.3. Necessitats lumíniques................................................................8 1.3.4. Necessitats nutricionals...............................................................8 1.3.5 Època de multiplicació i cultiu.......................................................9 1.4. Plagues i malalties............................................................................9 1.5. Història...........................................................................................11 1.6. Aplicacions medicinals...................................................................12 2. Objectius..............................................................................................13 3. Material i mètodes................................................................................13 3.1. Localització de l’experiment............................................................14 3.2. Material vegetal de partida..............................................................14 3.3. Disseny de l’experiment..................................................................14 3.3.1. Caracterització del substrat.......................................................16 3.3.1.1. Substrat de multiplicació.......................................................16 3.3.1.2. Substrat de cultiu..................................................................16 3.3.2. Caracterització de les safates i els contenidors.........................17 3.3.2.1. Safates i contenidors de les llavors.......................................17 3.3.2.2 Safates i contenidors dels esqueixos.....................................17 3.4. Operacions de producció................................................................18 3.4.1.Producció per llavor....................................................................18 3.4.2.Producció per esqueix.................................................................18 3.5.Variables estudiades per a la caracterització del cultiu...................19 3.5.1.Propagació per llavor..................................................................19 3.5.2. Propagació per esqueix.............................................................20 4. Resultats..............................................................................................21 4.1. Multiplicació.....................................................................................21 4.1.1. Multiplicació provinent de llavor.................................................21 4.1.2 Multiplicació provinent d’esqueix.................................................22 4.1.3. Calendari de multiplicació (esqueix i llavor)...............................24 4.2. Desenvolupament del cultiu (esqueix i llavor).................................24 4.2.1. Desenvolupament i dies naturals...............................................25 4.2.1.1. Creixement en alçada...........................................................25 4.2.1.2. Creixement de diàmetre........................................................25 4.2.1.3. Creixement en pes de la matèria seca..................................25 4.2.2. Desenvolupament i temps tèrmic...............................................26 4.2.2.1. Creixement en alçada...........................................................26 4.2.2.2. Creixement en diàmetre........................................................26 4.2.2.3. Creixement en pes de la matèria seca..................................27 3
  • 4.
    4.2.3. Relacions entrevariables...........................................................27 4.2.3.1. Cultiu provinent de llavor.......................................................27 4.2.3.1.1. Relació alçada-diàmetre..................................................27 4.2.3.1.2. Relació alçada-pes de la matèria seca............................28 4.2.3.1.3. Relació diàmetre-pes de la matèria seca.........................28 4.2.3.2. Cultiu provinent d’esqueix.....................................................29 4.2.3.2.1. Relació alçada-diàmetre..................................................29 4.2.3.2.2. Relació alçada-pes de la matèria seca............................29 4.2.3.2.3. Relació diàmetre-pes de la matèria seca.........................30 4.3. Calendari general del cultiu.............................................................30 4.3.1. Calendari de cultiu provinent de llavor.......................................30 4.3.2. Calendari de cultiu provinent d’esqueix.....................................31 5. Discussió .............................................................................................31 5.1. Cultiu a partir de llavor....................................................................31 5.2. Cultiu a partir d’esqueix...................................................................32 6. Conclusions..........................................................................................33 7. Webgrafia.............................................................................................34 ANNEXES..........................................................................35 4
  • 5.
  • 6.
  • 7.
    1. INTRODUCCIÓ 1.1. Origeni distribució geogràfica Té una extensa distribució natural per tot el sector occidental de la conca mediterrània.1 Es una planta perenne, xeròfila y termòfila originària del Mediterrani oriental: Grècia, Yugoslàvia, etc. espontània en Itàlia, sud de França, Espanya, Marroc. És una espècie amb origen de les regions mediterrànies, molt coneguda desde l’antiguitat.2 1.2. Descripció botànica Petit arbust aromàtic que pertany a la família de les Labiatae, vivaç que pot arribar a una altura d’entre 20 i 60 cms. Amb nombroses branques tomentoses. Fulles oposades, senceres, rugoses, de color verd grisós en el revers y més clar en l’envés, recobertes per una pubescència blanquinosa, sobretot en aquesta última; les situades en la part inferior e la planta són llargament peciolades i amb el limbe oblongo- lanceolat, mes o menys cordiforme en la base; les superiors són sèssils i agudes i de tamany més petit. Flors amb peduncle curt, disposades en espiguetes terminals en número de 2, 4 i rarament en 6,10 verticils, de color blavós, vilat, a vegades blanc o rosat.3 El fruit està format per Quatre núcules d’uns 2-3 mm de tamany, que madura durant l’estiu. 4 1 Informació extreta de la pàgina web de la diputació de Toledo 2 3 , Informació extreta de la pàgina web: www.jardindelasalud.blogspot.com, 29 de març de 2009 4 Informació extreta de la pàgina web de la diputación de Toledo 7
  • 8.
    1.3. Necessitats decultiu 1.3.1. Necessitats edàfiques Suporta p.H. desde 5 a 9 lo adient és que el sòl sigui poc argilòs, lleuger, esponjós, airejat y drenat i que estigui ben adobat amb matèria orgànica descomposta. Com usarem més les fulles, el tipus d’adob serà equilibrat o decantat al Nitrogen.5 1.3.2. Necessitats hídriques Reg freqüent però no abundant, ja que es propensa a la asfixia radicular, també suporta la sequía y no vol la excessiva humitat atmosfèrica.6 La Sàlvia es pot conrear en secà, amb una pluviometria anual mínima de 300- 400 mm / any. Però, l'aportació d'aigua pot millorar el creixement i la producció amb un reg de 450 mm / any: un reg de suport després de la plantació ajuda a l'establiment del cultiu, i un reg després del primer tall anual afavoreix el rebrot i possibilita un segon o tercer tall (Karamanos, 2000).7 1.3.3. Necessitats lumíniques Necessitat lumínica (sol): a ple sol i semi-ombra.8 1.3.4. Necessitats nutricionals Fertilització: les necessitats anuals per a aquest cultiu són les següents: (ITEIPMAI, 1992): Nitrogen: 70-80 UF 30 UF després del primer tall Fòsfor: 8-10 UF Potassi: 80-150 UF 9 1.3.5 Època de multiplicació i cultiu Es pot escollir entre la gàmica o la vegetativa. En el primer cas la sembra es pot fer o en planter o en ple camp. Per a ambdues, l'època millor recau al febrer - març. En cas que es recorri a la propagació àgama, s'obtenen plançons idèntics a la planta mare de la qual s'ha extret el material de multiplicació. Habitualment es recorre a esqueixos extrets de plantes de 2 o 3 anys al març - abril, de 8-10 centímetres de longitud amb almenys quatre rovells. La seva aptitud per arrelar és molt alta, no calen hormones o tècniques particulars. L'època d'extracció i per tant l'arrelament pot ajornar al mes de juny - juliol. 5 6 8 , , Informació extreta de la pàgina web de Javier Suarez Candel, 7 abr. 2011 7 9 , Informació extreta de la pàgina web del Centre Tecnològic Forestal de catalunya, 2009 8
  • 9.
    L'època, en elcas de les plantetes o dels esqueixos extrets al març - abril, serà maig - juny, mentre que en l'altre cas es podrà escollir entre el trasplantament a la tardor o a la primavera de l'any següent. Els avantatges d'aquest mètode són: obtenció de dos segues ja el primer any, elecció entre dues èpoques de trasplantament segons l'evolució de les estacions en les quals de tota manera no són indispensables els regs d'ajuda. 10 1.4 Plagues i malalties Damping-off. Causat per Pythium debaryanum i Pellicularia filamentosa. En els planters, on les plantes estan prou apinyades i sota moltes condicions alguns dels plançons morts poden ser la conseqüència de l'acció d'algun d'aquests fongs. El control que es pot realitzar ara per ara és difícil però es recomana la solarització dels sòls com a prevenció (Piron, 1978). Taques en les fulles: causat per Cercospora salviicola i Ramularia salviicola. Aquestes taques a les fulles són generalment poc importants en plantes de jardí. Arrencar i destruir les primeres fulles tacades freqüentment és utilitzat com a mètode de control preventiu (Piron, 1978). Royas: moltes espècies de royas ataquen principalment a espècies silvestres de Salvia. Algunes de les més comuns són Puccinia caulicola, P. farinacea, i P. salviicola. Rarament s'apliquen mètodes de control (Piron, 1978). S'han descrit atacs de Sclerotinia sclerotiorum en Salvia, primer al Canadà i després en els Estats Units. Els símptomes descrits van ser de marciment de fulles i extenses lesions en les tiges. Les lesions eren incolores, toves i s'estenien a partir de la línia del sòl per la tija. En algunes zones, els teixits externs van ser recoberts per un embull d'hifes aèries. (Jons et al, 1996). Als voltants de la ciutat de La Plata (Província de Buenos Aires) es van recol·lectar plantes de sàlvia entre altres labiades, degollades o amb símptomes necròtics severs a les fulles. En el cas de la sàlvia va ser identificat com a agent causal Colletotrichum gloeosporioides Penz. A la sàlvia en iniciar la infecció, les fulles presentaven nombroses taques puntiformes a l'anvers, marró clares, amb vores difusos, que en fer-se confluents cobrir progressivament els limbes i el pecíol formant àmplies àrees necròtiques. Aquest procés va evolucionar gairebé sempre des de la vora cap al centre i després de la clorosi dels teixits verds. Finalment es produïa la caiguda de les fulles. També van ser afectats els sèpals, el groc i ulterior necrosi es va estendre a partir del sector apical. Els acérvols 10 , Informació extreta de la pàgina web www.infoagro.com 9
  • 10.
    només es vanobservar sobre les tiges morts i degollats del terç superior de les plantes (Perello et al, 1995). Un altre paràsit vegetal és el mal blanc Oidium erysiphoides que apareix en forma d'una capa blanquinosa a la superfície de la fulla. Quan la infecció arriba a nivells d'alerta s'intervé amb sofre (Itepmai, 1992). Altres patologies trobades en els cultius de sàlvia es deuen a l'acció de hongos com: • El míldiu causat per: - Peronospora swinglei, (Messiaen et al, 1995). - Peronospora lamii, que a més ataca a moltes labiades entre elles a altres aromàtiques com l'alfàbrega. • Oïdi causat per: - Erysiphe cichoracearum (Piron, 1978) . - Erysiphe polygoni. - Erysiphe salviae. (Daulerio et al, 1995). • La podridura de les tiges causada per Sphaeropsis salviae (Piron, 1978). • marciment causats per Verticillium albo - atrum (Piron, 1978). • Antracnosis causada pel fong Colletotrichum dematium (Pers) Grove (Subbiah et al, 1996): • Podridura de les arrels causada per Rhizoctonia solani (Subbiah et al, 1996). • Taques en les fulles, Podospora inaequalis, (Subbiah et al, 1996). • Patologies com les causades per Ascochita sclareae i Phomopsis sclareae, (Subbiah et al, 1996). • Una malaltia dels plançons causada per Fusarium oxysporum (Subbiah et al, 1996): El 1996, plantacions comercials de Salvia officinalis a la Vall de Salines, al comtat de Monterrey (EUA), van ser afectades per una malaltia del coll i arrel. Les arrels estaven necrosades i el coll i tiges interiors es van tornar negres. Les plantes afectades acabaven morint. Una Phytophthora sp. va ser consistentment aïllada de les arrels i tiges de les plantes amb símptomes. L'espècie va ser identificada com Phytophthora cryptogea basant-se en la formació dels inflament hifal, morfologia dels esporangis i oosporas i creixement sota diverses temperatures. La patogenicitat dels aïllats va ser confirmada aplicant una suspensió de zoosporas sobre les arrels i coll de plantes de sàlvia sanes amb tres mesos de creixement. Una Phytophthora cryptogea va ser aïllada de les plantes amb símptomes i mortes i va tornar a ser identificada com a tal. 10
  • 11.
    El test vaser repetit i el resultat va ser similar (Páez, 1995). En Thessalonika (Grècia), el 1991, va ser trobada en plantes mortes de Salvia Armillaria mellea. Es va identificar sobre la base dels caràcters morfològics i el% de creixement en un medi d'agar malta (3%) i àcid tànnic (0.05%), i segons la resposta al test de compatibilitat de Korhonen. Després aïllar el fong es va procedir a la seva inoculació en 10 plantes de sàlvia amb 2 controls (testimonis). Amb el temps les plantes de sàlvia presentaven extenses podridures radiculars associades al fong. Els testimonis es van mantenir saludables (Thanassouloupoulos, 1991).11 1.5 Història La sàlvia probablement ja va ser utilitzada pels antics egipcis, per tractar les malalties abdominals, mal de dents i l'asma. En el papir Ebers, 1500 aC, figurava ja com a remei contra les erupcions i picades. Els metges hipocràtics vanagloriaven seves propietats hemostàtiques, fortificants i curatives. Els autors romans Plinio, Dioscórides i Galeno la van descriure amb el nom de sàlvia, "curar", tenir bona salut. Recomanaven la sàlvia per les seves propietats calmants i astringents, per a la gola, la tos, els refredaments, per facilitar l'expulsió del fetus i combatre les úlceres. S'ignora a quin de les 900 espècies de sàlvia es referien. Ja l'any 790, s'esmentava en el "capitulars de villis" de Carlemany i Lluís el Piadós el cultiu de sàlvia en els jardins dels monestirs. Al segle IX, Walafrid Strabon, un monje del monestir de Reichenau al Llac de Constança, inicia el seu poema didàctic "Hortulus", sobre les plantes medicinals del seu jardí, amb les virtuts de la sàlvia: "La sàlvia brilla entre totes, agradable la seva olor, potent i benèfica en pocions, considerada per l'home com a saludable en la major part de les malalties, ben merescuda té la gràcia del seu verd perpetu ". La sàlvia va aparèixer molt aviat a Anglaterra, on des de llavors és utilitzada com a condiment . En l'Edat Mitjana la sàlvia també era molt apreciada. En l'alta escola de medicina de Salermo, ens arriben els versos "Salvia salvatrix, naturae conciliatrix", la sàlvia que cura, es concilia amb la Natura. Hieronymus Bock, escrivia en 1555: "De totes les begudes no trobem cap que superi la sàlvia, ja que és útil al cuiner, al metge, als cellers, als rics i als pobres. Beure vi de sàlvia o l'herba cuinada en el vi és beneficiosa per tot el cos, ja que la sàlvia elimina el verí, calma la tos, alleuja els problemes del pàncrees, escalfa el fetge i la matriu, és diürètica i resol els problemes femenins . Serveix per alleujar totes les malalties degudes al fred i no solament presa en tisanes. L'aigua de sàlvia, neteja i cura les nafres i les mossegades dels animals verinosos, calma les hemorràgies, neteja les úlceres purulentes i sana les crostes. Si es frega les dents amb fulles de sàlvia fresques es conservaran sòlids i un alè fresc. També els gargarismes amb la sàlvia bullida, serveix per controlar el mal de coll. Paullinia, metge d'Augsburg va consagrar a la sàlvia amb una monografia de 414 pàgines en 1688. Aquesta planta d'olor intens ha estat sempre utilitzada com a amulet de culte i protecció. 11 Informació extreta de la pàgina web www.infoagro.com 11
  • 12.
    La sàlvia, quese li atribueixen virtuts màgiques, és encara avui un element per a les fumigacions. A més de la Salvia officinalis, a Mèxic utilitzen una espècie amb propietats al·lucinògenes, la sàlvia divinorum.12 1.6 Aplicacions medicinals • El nom de sàlvia ve del llatí, que significa curar. Els romans ja la anomenàvem planta sacra per els nombroses aplicacions medicinals que es li atribuïssin. Molts autors consideren la sàlvia com la planta medicinal per excel·lència. • Com hipoglucemiant la sàlvia estimula l'eliminació de sucre de la sang, per això és considerada una excel·lent planta per regular els nivells de glucosa en les persones. • La planta de la sàlvia és antiespasmòdic, per això és molt útil per tractar còlics estomacals i situacions de diarrea. • La sàlvia ajuda a reduir els malestars de la menstruació, com els mals de cap, la irritabilitat i la inflor del ventre. • La sàlvia té propietats antisèptiques, per això resulta molt útil per netejar i desinfectar ferides producte de cops o talls. • La sàlvia és estimulant, per això és molt útil per tractar casos d'esgotament mental. Altres propietats medicinals de la sàlvia són: • Antisudorífica: la sàlvia redueix la sudoració, a més disminueix la mala olor de la suor. • Relaxant muscular: els olis essencials de la sàlvia són molt útils per superar l'esgotament muscular, s'ha de fer massatges amb els olis 13 essencials en les zones afectades. 12 Informació extreta de la pàgna web www.avogel.es 13 Informació extreta de la pàgina web www.plantasparacurar.com 12
  • 13.
    2. OBJECTIUS Caracterització de la multiplicació i el cultiu de la Salvia officinalis a partir de llavor i esqueix. 3. MATERIAL I MÈTODES 3.1 Localització de l’experiment L’experiment de la propagació de Salvia officinalis ha tingut lloc al institut de Jardineria i Horticultura de Reus (Tarragona) Autovia Bellisens km 1.5 - 43205 Reus En situació: 41º1' N , 1º 7' E a 80 metres sobre el nivell del mar 3.2 Material vegetal de partida Llavors de Salvia officinalis procedent de cultiu de Semillas silvestres, amb un pes de 140 llavors/gram utilitzant 385 llavors, amb una viabilitat del 80% Parteixo de 308 esqueixos apicals semillenyosos obtinguts de plantes mare del Institut d’Horticultura i Jardineria, amb un tamany de 7 a 8 centímetres 13
  • 14.
    3.3 Disseny del’experiment Propagació per llavor 1 llavor/alvèol Sembra Reg manual per difusió 63 dies hivernacle eventual 1 Plàntula/contenidor Trasplantament Reg manual per difusió Eventual 89 dies d’aclimatació Densitat: Portat al exterior Reg per aspersió 42 plantes/m2 49 dies 3 dies/setmana PLANTA COMERCIAL 14
  • 15.
    Propagació per esqueix 1esqueix/alvèol Implantació Reg manual per difusió 63 dies hivernacle eventual 3 Plàntules/contenidor Trasplantament Reg manual per difusió Eventual 47 dies d’aclimatació Densitat: 42 plantes/m2 Portat al exterior Reg per aspersió 49 dies 3 dies/setmana PLANTA COMERCIAL 15
  • 16.
    3.3.1 Caracterització delsubstrat 3.3.1.1 Substrat de multiplicació Llavor Nom comercial: SHAMROCK, Seed & Modular PH: 5,3–5,7 Ce: 24-33 mS/m Indicat per la preparació de plantes de llavorer i trasplantament, especialment dissenyat per safates modulars NUTRIENTS AFEGITS (mg/l) N P K 120 60 200 Esqueix Nom comercial: SHAMROCK, Seed & Modular PH: 5,3–5,7 Ce: 24-33 mS/m Indicat per la preparació de plantes de llavorer i trasplantament, especialment dissenyat per safates modulars NUTRIENTS AFEGITS (mg/l) N P K 120 60 200 3.3.1.2 Substrat de cultiu Llavor % materials: 30% arena, 70% torba rosa Esqueix % materials: 30% arena, 70% torba rosa 16
  • 17.
    3.3.2 Caracterització deles safates i els contenidors 3.3.2.1 Safates i contenidors de les llavors Safata Material: polipropilè Volum: 4x4x3,5 (cm)-56 cm³/alvèol Dimensions: 7x11 alvèols Contenidor Material: polietilè Color: marró Volum: diàmetre superior-11 cm diàmetre inferior-10 cm altura-10cm litres-1 3.3.2.2 Safates i contenidors dels esqueixos Safata Material: polipropilè Volum: 4x4x3,5 (cm)-56 cm³/alvèol Dimensions: 7x11 alvèols Contenidor Material: polietilè Color: marró Volum: diàmetre superior-11 cm diàmetre inferior-10 cm altura - 10cm litres - 1 17
  • 18.
    3.4 Operacions deproducció 3.4.1 Producció per llavor Data Operació Observacions 5-10-2011 sembra 12-10-2011 Inici germinació 24-10-2011 Desherbatge S’observen 11 baixes per rosegadors 7-12-2011 Implantació/aclimatació 11-1-2012 Desherbatge 8-2-2012 Desherbatge 5-3-2012 Final aclimatació/Desherbatge 1 baixa 22-3-2012 Desherbatge 11-4-2012 Desherbatge 2 baixes 23-4-2012 Desherbatge 1 baixa Planta comercial No s’han observat plagues ni malalties 3.4.2 Producció per esqueix Data Operació Observacions 16-11-2011 Implantació 1 esqueix per alvèol 28-11-2011 Inici arrelament 1ª arrel que es veu al aixecar la safata 21-12-2011 Desherbatge 18-1-2012 Implantació/aclimatació 3 plàntules per contenidor 8-2-2012 Desherbatge 5-3-2012 Final aclimatació/Desherbatge, tallar inflorescències 22-3-2012 Desherbatge, tallar inflorescències 11-4-2012 Desherbatge, tallar inflorescències 23-4-2012 Desherbatge, tallar Planta comercial inflorescències No hi ha hagut plagues ni malalties 18
  • 19.
    3.5 Variables estudiadesper a la caracterització del cultiu 3.5.1 Propagació per llavor VARIABLE OBTENCIÓ/MESURA Data inici germinació Dia en que germina la primera llavor 50% germinació Dia en que +/- s’observa que la meitat de les llavors han germinat Data final germinació Dia en que es dona per acabada lagerminació Data trasplantament-inici Data en que trasplantem a contenidor aclimatació superior Percentatge de germinació Nº de llavors sembrades-Nº llavors germinades final de ger minació Percentatge de Nº contenidors en cultiu-Nº de contenidors supervivència al amb plantes vives 15 dies després del transplantament període d’aclimatació Percentatge de Nº de contenidors en cultiu inicial-Nº de supervivència del cultiu contenidors amb plantes vives al final de cultiu Evolució de l’alçada de la Mesura periòdica (cada +/- 15 dies) d’una planta en funció dels dies mostra a l’atzar (15 contenidors) de l’alçada post-trasplantament de la planta desde la base del substrat del contenidor fins l’apex vegetatiu més elevat Evolució del diàmetre de la Mesura periòdica (cada +/- 15 dies) d’una copa de la planta en funció mostra a l’atzar (15 contenidors) del diàmetre dels dies post-trasplantament superior e la planta Evolució de l’alçada de la Mesura periòdica (cada +/- 15 dies) d’una planta en funció del temps mostra a l’atzar (15) contenidors) de l’alçada tèrmic a partir del final de la planta desde la base del substrat del d’aclimatació contenidor fins l’àpex vegetatiu més elevat (Càlcul acumulat del temps tèrmic) Evolució del diàmetre de la Mesura periòdica (cada +/- 15dies d’una copa de la planta en finció mostra a l’atzar (15 contenidors) del diàmetre del temps tèrmic a partit del superior de la planta final d’aclimatació (Càlcul acumulat del temps tèrmic) Evolució del pes sec de la Mesura del pes sec d’una mostra de 2-3 planta en funció dels dies plantes representatives cada +/-15 dies post-trasplantament Evolució el pes sec en funció Mesura de pes sec d’una mostra de 2-3 del temps tèrmic a partir de plantes representatives cada +/- 15 dies final d’aclimatació 19
  • 20.
    3.5.2 Propagació peresqueix VARIABLE OBTENCIÓ/MESURA Data inici d’arrelament Dia en que s’observa en aixecar la safata, la primera arrel Data 50% arrelament Dia en que s’observa +/- que la meitat dels esqueixos han arrelat en aixecar la safata Data final arrelament Dia en que es dona per acabat l’arrelament al observar davall de la safata, que no hi ha arrels noves Data trasplantament-inici Data en que trasplantem a contenidor aclimatació superior Percentatge d’arrelament Nº d’esqueixos sembrats-nº esqueixos arrelats Percentatge de Nº contenidors en cultiu-Nº de contenidors supervivència al amb plantes vives 15 dies després del transplantament període d’aclimatació Percentatge de Nº de contenidors en cultiu inicial-Nº de supervivència del cultiu contenidors amb plantes vives al final de cultiu Evolució de l’alçada de la Mesura periòdica (cada +/- 15 dies) d’una planta en funció dels dies mostra a l’atzar (15 contenidors) de post-trasplantament l’alçada de la planta desde la base del substrat del contenidor fins l’apex vegetatiu més elevat Evolució del diàmetre de la Mesura periòdica (cada +/- 15 dies) d’una copa de la planta en funció mostra a l’atzar (15 contenidors) del dels dies post- diàmetre superior de la planta trasplantament Evolució de l’alçada de la Mesura periòdica (cada +/- 15 dies) d’una planta en funció del temps mostra a l’atzar (15) contenidors) de tèrmic a partir del final l’alçada de la planta desde la base del d’aclimatació substrat del contenidor fins l’àpex vegetatiu més elevat (Càlcul acumulat del temps tèrmic) Evolució del diàmetre de la Mesura periòdica (cada +/- 15dies d’una copa de la planta en funció mostra a l’atzar (15 contenidors) del del temps tèrmic a partit del diàmetre superior de la planta final d’aclimatació (Càlcul acumulat del temps tèrmic) Evolució del pes sec de la Mesura del pes sec d’una planta planta en funció dels dies representativa cada +/-15 dies post-trasplantament Evolució el pes sec en Mesura de pes sec d’una planta funció del temps tèrmic a representativa cada +/- 15 dies partir de final d’aclimatació 20
  • 21.
    4. RESULTATS 4.1. Multiplicació 4.1.1. Multiplicació provinent de llavor • El percentatge de germinació de la Salvia oficinalis, objecte d’estudi, ha sigut del 32 % Percentatge de germinació Llavors germinades; 122; 32% Llavors no germinades Llavors no Llavors germinades germinades; 263; 68% Figura 1 • El percentatge de supervivència al transplantament ha sigut del 100% Percentatge de supervivència al transplantament Plàntules mortes post- transplantament; 0; 0% Plàntules vives pretransplantament Plàntules mortes post- transplantament Plàntules vives pretransplantament; 122; 100% Figura 2 21
  • 22.
    El percentatge de supervivència del cultiu ha sigut del 97 % Percentatge de supervivència al cultiu Plantes mortes al final del cultiu; 4; 3% Plantes vives al final del cultiu Plantes mortes al final del cultiu Plantes vives al final del cultiu; 119; 97% Figura 3 • El percentatge de supervivència de tot l’experiment ha estat del 31% 4.1.2 Multiplicació provinent d’esqueix • El percentatge d’arrelament de la Salvia oficinalis, objecte d’estudi, ha estat del 50 % Percentatge d'arrelament Esqueixos no Esqueixos arrelats; arrelats; 155; 50% 153; 50% Esqueixos arrelats Esqueixos no arrelats Figura 4 22
  • 23.
    El percentatge de supervivència al transplantament ha estat del 100% Percentatge de supervivència al transplantament Plàntules mortes post- transplantament; 0; 0% Plàntules vives pretransplantament Plàntules mortes post- transplantament Plàntules vives pretrans plantament; 153; 100% Figura 5 • El percentatge de supervivència del cultiu ha estat del 100% Percentatge de supervivència al cultiu Plantes mortes al final del cultiu; 0; 0% Plantes vives al final del cultiu Plantes mortes al final del cultiu Plantes vives al final del cultiu; 51; 100% Figura 6 • El percentatge de supervivencia de tot l’experiment ha estat del 50% 23
  • 24.
    4.1.3. Calendari demultiplicació (esqueix i llavor) Esqueix Llavor Implantació-inici d'arrelament (1) Sembra-inici de germinació (1) Implantació-50% d'arrelament (2) Sembra-50% de germinació (2) Implantacó-final d'arrelament (3) Sembra-final de germinació (3) Implantació-trasplantament (4) Sembra-trasplantament (4) Calendari comparatiu de multiplicació (llavor i esqueix) 4 Variables 3 Esqueix 2 Llavor 1 0 20 40 60 80 1 2 3 4 Esqueix 12 49 56 63 Llavor 7 19 32 63 Dies Figura 7 4.2 Desenvolupament del cultiu (esqueix i llavor) 4.2.1 Desenvolupament i dies naturals 4.2.1.1 Creixement en alçada Gràfic que mostra com augmenta el creixement en alçada de la planta objecte d’estudi a mesura que passen els dies Creixement en alçada 25 20 Llavor 15 (cms.) Esqueix Exponencial (Esqueix) 10 Exponencial (Llavor) 5 0 0 50 100 150 Dies post-transplantament Fi gura 8 24
  • 25.
    4.2.1.2. Creixement dediàmetre Gràfic que mostra com creix en diàmetre a mesura que pasen els dies Creixement de diàmetre 20 18 16 14 Llavor 12 (cms.) Esqueix 10 Exponencial (Esqueix) 8 6 Exponencial (Llavor) 4 2 0 0 50 100 150 Dies post-transplantament Figura 9 4.2.1.3 Creixement en pes de la matèria seca S’observa al gràfic com augmenta el pes de la planta a mida que pasen els dies Creixement de la matèria seca 18 16 14 12 Llavor 10 (grs.) Esqueix 8 Exponencial (Esqueix) 6 Exponencial (Llavor) 4 2 0 0 50 100 150 Dies naturals Figura 10 25
  • 26.
    4.2.2 Desenvolupament itemps tèrmic 4.2.2.1. Creixement en alçada Aquest gràfic mostra el creixement en alçada de les plantes a mesura que augmenta el temps tèrmic Creixement en alçada 25 20 Llavor 15 (cms.) Esqueix Exponencial (Esqueix) 10 Exponencial (Llavor) 5 0 0 100 200 300 400 500 TT (ºC dia) Figura 11 4.2.2.2 Creixement en diàmetre Gràfic que mostra el creixement en diàmetre de les plantes de l’estudi a mida que s’acumulen els graus dia Creixement en diàmetre 20 18 16 14 Llavor 12 (cms.) Esqueix 10 Exponencial (Esqueix) 8 Exponencial (Llavor) 6 4 2 0 0 100 200 300 400 500 TT (ºC dia) Figura 12 26
  • 27.
    4.2.2.3 Creixement enpes de la matèria seca Gràfic que diferencia el creixement de la matèria seca de les plantes provinents d’esqueix i de llavor a raó del temps tèrmic acumulat Creixement de la matèria seca 18 16 14 12 Llavor (grs.) 10 Esqueix 8 Exponencial (Llavor) 6 Exponencial (Esqueix) 4 2 0 0 100 200 300 400 500 TT (ºC dia) Figura 13 4.2.3. Relacions entre variables 4.2.3.1 Cultiu provinent de llavor 4.2.3.1.1 Relació alçada-diàmetre Gràfic que demostra la forma aèria de la planta Relació alçada-diàmetre 8,15 8,1 8,05 Alçada (cms.) 8 Alçada/diàmetre 7,95 Lineal (Alçada/diàmetre) 7,9 7,85 7,8 7,75 0 2 4 6 8 10 Diàm etre (cm s.) Figura 14 27
  • 28.
    4.2.3.1.2 Relació alçada-pesde la matèria seca Gràfic que relaciona el creixement en alçada amb l’augment del pes de la m.s. Relació alçada-pes m.s. 5 4,5 4 Pes m.s. (grs.) 3,5 3 Alçada/diàmetre 2,5 Lineal (Alçada/diàmetre) 2 1,5 1 0,5 0 0 2 4 6 8 10 Alçada (cms.) Figura 15 4.2.3.1.3 Relació diàmetre-pes de la matèria seca Gràfic que mostra la relació entre el diàmetre i el pes de la m.s. Relació diàmetre-pes m.s. 5 4,5 4 Pes m.s. (grs.) 3,5 Relació diàmetre/ pes m.s. 3 2,5 2 Lineal (Relació diàmetre/ pes m.s.) 1,5 1 0,5 0 7,7 7,8 7,9 8 8,1 8,2 Diàmetre (cms.) Figura 16 28
  • 29.
    4.2.3.2 Cultiu provinentd’esqueix 4.2.3.2.1 Relació alçada-diàmetre Gràfic que mostra la forma aèria a la que tendeix la Salvia officinalis, objecte d’estudi Relació alçada-diàmetre 20 18 16 Diàmetre (cms.) 14 12 Alçada-diàmetre 10 Lineal (Alçada-diàmetre) 8 6 4 2 0 0 5 10 15 20 25 Alçada (cms.) Figura 17 4.2.3.2.2 Relació alçada-pes de la matèria seca Gràfic demostratiu de la planta quan creix en altura i en pes de matèria seca Relació alçada-pes m.s. 18 16 14 Pes m.s. (grs.) 12 10 Alçada-pes m.s. 8 Lineal (Alçada-pes m.s.) 6 4 2 0 0 5 10 15 20 25 Alçada (cms.) Figura 18 29
  • 30.
    4.2.3.2.3 Relació diàmetre-pesde la matèria seca Gràfic que mostra la relació que hi ha entre diàmetre i pes de la m.s. Relació diàmetre-pes m.s. 18 16 14 Pes m.s. (grs.) 12 10 Diàmetre-pes m.s. 8 Lineal (Diàmetre-pes m.s.) 6 4 2 0 0 5 10 15 20 Diàmetre (cms.) Figura 19 4.3 Calendari general del cultiu 4.3.1. Calendari de cultiu provinent de llavor Figura 20 4.3.2. Esqueix Figura 20 30
  • 31.
    4.3.2 Calendari decultiu provinent d’esqueix Figura 21 5. DISCUSSIÓ 5.1 Cultiu a partir de llavor En el cultiu es diferèncien tres etapes: Etapa de multiplicació. S’ha obtingut un 32% de germinació, que podria haver-se incrementat un 3% si no hi hagués hagut baixes per rosegadors, el trobo molt baix en comparació al 80% de viabilitat que assegura el llavorista. Probablement, una de les causes de la baixa germinació ha estat l’època de sembra. Es van sembrar a l’octubre, tot i que a la pàgina web infoagro.com es recomana els mesos de febrer i març com la millor època per què es pugui duu a terme una germinació òptima. Una altre causa del baix resultat, podria ser el tipus de sustrat. S’ha utilitzat un substrat amb un pH d’entre 5’3 i 5’7 i, segons la informació de Javier Suarez Candel a la seva pàgina web, aquesta espècie tolera un pH de 5 a 9, és a dir que, és troba en el mínim tolerable. A més, les necessitats nutricionals de la Salvia officinalis, estàn molt per sota dels nutrient que tenia el substrat de multiplicació Tal vegada ha pogut haver un periode curt de dies en que no s’hagi regat, per tant s’han pogut estresar algunes llavors les quals no han germinat. 31
  • 32.
    Etapa d’aclimatació. En aquestperíode no es va observar cap baixa, per tant, es aconsellable fer un període d’aclimatació després del procés de transplantament, sobretot als mesos d’hivern amb probabilitat de glaçades, per tal de no esposar el cultiu recentment trasplantat a les baixes temperatures. Etapa de cultiu. En aquest període el percentatge ha sigut del 97%. Probablement, el 3% restant de baixes ha sigut per podriment a causa de l’excés d’aigua. A més, van passar molt temps als alvèols abans del transplantament, (com es pot observar a la figura 7) ja que es recomana realitzar aquesta acció quan la plàntula té 2 o 3 grups de fulles vertaderes. També es va veure frenat el cultiu de llavor respecte al d’esqueix, potser perquè quan es va treure de l’hivernacle, el cultiu de llavor tenia una àrea foliar de 8 centímetres de diàmetre i el cultiu provinent d’esqueix tenia un diàmetre de 12’4 centímetres de mitja de diàmetre, i per tant produïa menys energia. A més, les temperatures mínimes de 2’6 ºC que es van enregistrar als 5 dies posteriors del final de l’etapa d’aclimatació també va poder ser una de les causes de l’alentiment del creixement del cultiu. 5.2 Cultiu a partir d’esqueix El cultiu consta de tres fases: Fase de multiplicació. El percentatge d’arrelament obtingut és del 50%, tot i que es podria haver incrementat el percentatge amb l’aplicació d’hormones del tipus AIB als esqueixos. Una altre causa del baix arrelament, ha pogut ser la possible infecció en les eines de tall, ja que no es van desinfectar. Possiblement l’època en la que es van fer els esqueixos no era la més adequada ja que es recomana realitzar aquesta acció als mesos de març o abril 14, i es va portar a terme el mes de novembre. Fase d’aclimatació. Al no observar-xe baixes, es pot recomanar un periode d’aclimatació després del transplantament fins arribar als mesos de maig o juny.15 Com a conclusió, es pot considerar recomanable un sustrat de cultiu de 30% sorra i 70% torba rosa. Fase de cultiu. En aquesta fase, s’ha vist un augment favorable del tamany de les plantes (gràfics 11,12 i 13), coincidint amb l’augment de les temperatures. A més, no ha hagut cap baixa i les plujes de primavera no han afectat a les plantes, probablement per la maduració del cultiu. 14, 15 Recomanacions de la pàgina web infoagro.com 32
  • 33.
    6. CONCLUSIONS Reproducció perllavor: El percentatge de germinació obtingut, ha estat del 32% La supervivència al transplantament ha tingut un resultat d’un 100% S’ha observat una supervivència al cultiu d’un 97% La fase de multiplicació ha durat 63 dies, la fase d’aclimatació 89 dies i un últim període de cultiu de 49 dies S’aprecia un lent creixement de la part aèria Tal com s’oberva al gràfic de la relació entre el creixement d’alçada i el creixement de diàmetre, domina el creixement en alçada No s’ha observat cap plaga ni malaltia Reproducció per esqueix: El percentatge d’arrelament ha tingut un èxit del 50% La supervivència al transplantament ha tingut un resultat del 100% S’ha observat una supervivència al cultiu del 100% La fase de multiplicació ha durat 63 dies, el periode de multiplicació 47 dies i la fase de cultiu 49 dies S’observa un creixement exponencial proporcionat en alçada i pes de la matèria seca. El creixement en diàmetre transcorre més lent. No s’ha observat cap plaga ni malaltia Tal com s’observa als gràfics de creixement, la multiplicació provinent d’esqueix té una notable diferència en millors resutats que la propagació per llavor 33
  • 34.
  • 35.
  • 36.
    Taula 1 Presade mesures en camp, del cultiu a partir de llavor 36
  • 37.
  • 38.
  • 39.
    Taula 2 Presade dades en camp del cultiu provinent d’esqueix 39
  • 40.
  • 41.
    Taula 3 Càlculde temps tèrmic 41
  • 42.
  • 43.
  • 44.
  • 45.
  • 46.
  • 47.
  • 48.
  • 49.
  • 50.
  • 51.
  • 52.
  • 53.
  • 54.
  • 55.
  • 56.