MASS TRANSFER FUNDAMENTALS
Diffusion, Concentration and Fick’s Law
Dr. Fahad Ali Rabbani
Oxidation
Roles of Diffusion
Creep
Aging
Sintering
Doping Carburizing
Metals
Precipitates
Steels
Semiconductors
Many more…
Many mechanisms
Material Joining Diffusion bonding
 Diffusion is relative flow of one material into another
 Mass flow process by which species change their position relative to their neighbours.
 Diffusion of a species occurs from a region of high concentration to low concentration
(usually). More accurately, diffusion occurs down the chemical potential (µ) gradient.
 To comprehend many materials related phenomenon (as in the figure below) one must understand
Diffusion.
Ar H2
Movable piston
with an orifice
H2 diffusion direction
Ar diffusion direction
Piston motion
Piston moves in the
direction of the slower
moving species
 When a perfume bottle is opened at one end of a room, its smell reaches the other end via
the diffusion of the molecules of the perfume.
 If we consider an experimental setup as below (with Ar and H2 on different sides of a
chamber separated by a movable piston), H2 will diffuse faster towards the left (as
compared to Ar). As obvious, this will lead to the motion of movable piston in the direction
of the slower moving species.
• Concentration in a mixture of components can be
expressed in many ways.
CONCENTRATION:
 Concentration gradient. Concentration can be designated in many ways (e.g. moles per unit
volume). Concentration gradient is the difference in concentration between two points
(usually close by).
 Steady state. The properties at a single point in the system does not change with time. These
properties in the case of fluid flow are pressure, temperature, velocity and mass flow rate.
 In the context of diffusion, steady state usually implies that, concentration of a given
species at a given point in space, does not change with time.
• Mass of a component per unit volume of the mixture.
• For component A in a mixture,
MASS CONCENTRATION:
TOTAL MASS CONCENTRATION:
• Density of the mixture, mass per unit volume of the
mixture.
Important terms
• Moles of a component per unit volume of the mixture.
• For component A in a mixture,
MOLAR CONCENTRATION:
• For a gaseous mixture,
• Total moles in a mixture per unit volume.
• For gaseous mixture,
TOTAL MOLAR CONCENTRATION:
• Mass concentration of a specie per unit total mass density.
MASS FRACTION:
• Molar concentration of a specie per unit total molar density.
• For liquid mixtures,
• For gas phase mixtures,
MOLE FRACTION:
• In a multicomponent mixture, the various species will
move at different velocities.
• Therefore evaluation of velocity of a gas mixture requires
averaging of the velocity of each specie.
I. Mass average velocity
II. Mole average velocity
VELOCITIES:
MASS AVERAGE VELOCITY:
MOLAR AVERAGE VELOCITY:
FRAMES OF REFERENCE:
• Mass of specie i that passes through a unit area per unit
time.
MASS FLUX:
MOLAR FLUX:
• Moles of specie i that passes through a unit area per unit
time.
• The basic law of diffusion given by Adolf Eugen Fick in 1885.
• The law states that molar flux of a species relative to an observer is
propotional to the concentration gradient of the species.
• If A diffuses in a binary mixture of A and B then,
• The constant of proportionality is the Diffusivity or Diffusion Coefficient
(D).
• ‘D’ is assumed to be independent of the concentration gradient.
• Diffusivity is a material property. It is a function of the composition of
the material and the temperature.
FICK’S LAW:
• Molar average velocity is given by
• Molar flux relative to a stationary observer is given by
• For a binary mixture of components A and B,
--------------(1)
FICK’S EQUATION (RELATIVE TO STATIONARY
COORDINATES):
• Fick’s Law equation:
• Molar flux relative to observer moving with molar average
velocity is given by
FICK’S EQUATION (RELATIVE TO STATIONARY
COORDINATES):
Bulk Flow Molecular Diffusion
• If the concentration of A in mixture is small (dilute solution)
• Same as for stationary observer.
• For gas phase diffusion,
FICK’S EQUATION (RELATIVE TO STATIONARY
COORDINATES):
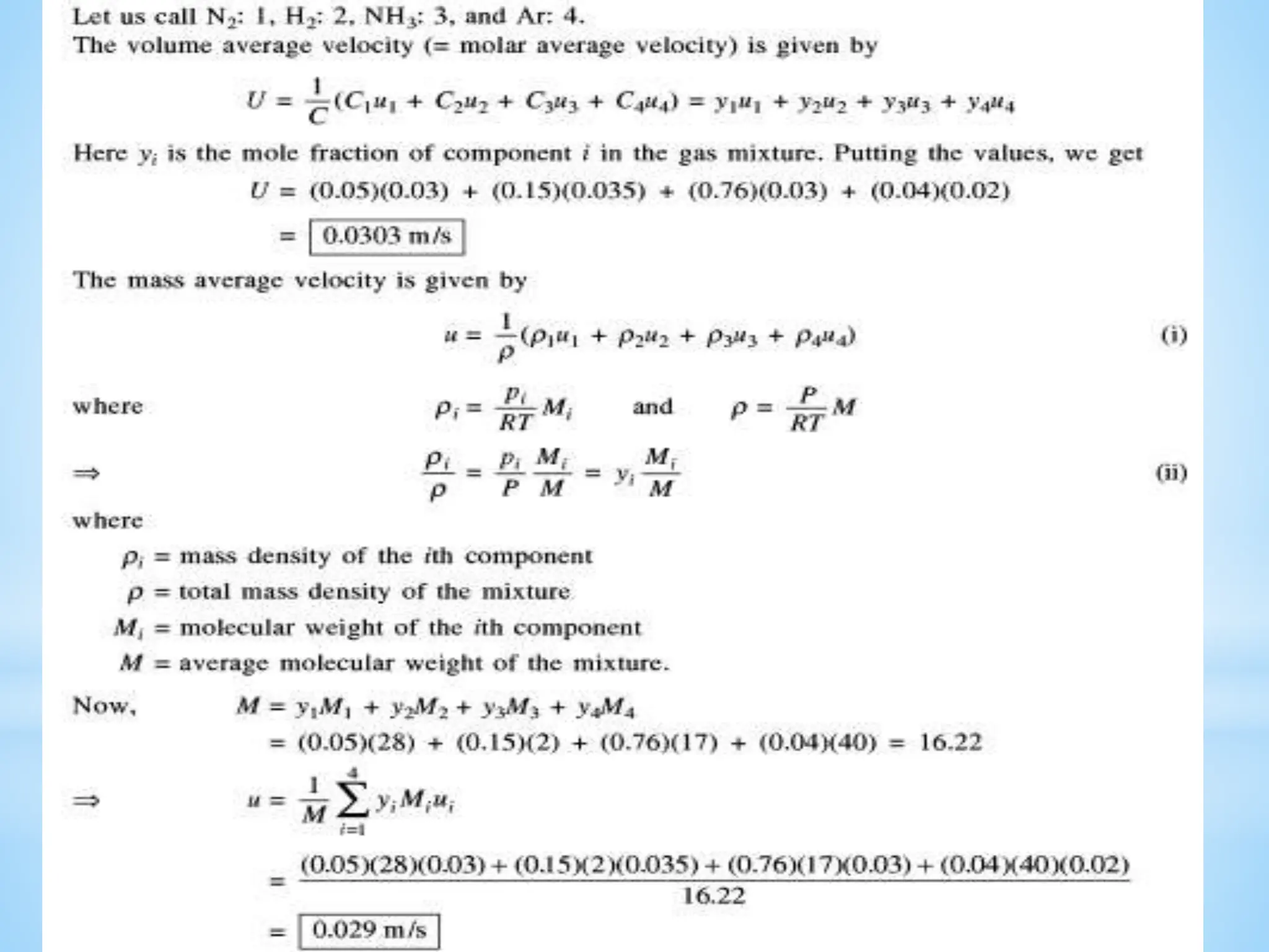
PROBLEM:
*

Separation process-1 and Mass transfer slides

  • 1.
    MASS TRANSFER FUNDAMENTALS Diffusion,Concentration and Fick’s Law Dr. Fahad Ali Rabbani
  • 2.
    Oxidation Roles of Diffusion Creep Aging Sintering DopingCarburizing Metals Precipitates Steels Semiconductors Many more… Many mechanisms Material Joining Diffusion bonding  Diffusion is relative flow of one material into another  Mass flow process by which species change their position relative to their neighbours.  Diffusion of a species occurs from a region of high concentration to low concentration (usually). More accurately, diffusion occurs down the chemical potential (µ) gradient.  To comprehend many materials related phenomenon (as in the figure below) one must understand Diffusion.
  • 3.
    Ar H2 Movable piston withan orifice H2 diffusion direction Ar diffusion direction Piston motion Piston moves in the direction of the slower moving species  When a perfume bottle is opened at one end of a room, its smell reaches the other end via the diffusion of the molecules of the perfume.  If we consider an experimental setup as below (with Ar and H2 on different sides of a chamber separated by a movable piston), H2 will diffuse faster towards the left (as compared to Ar). As obvious, this will lead to the motion of movable piston in the direction of the slower moving species.
  • 4.
    • Concentration ina mixture of components can be expressed in many ways. CONCENTRATION:
  • 5.
     Concentration gradient.Concentration can be designated in many ways (e.g. moles per unit volume). Concentration gradient is the difference in concentration between two points (usually close by).  Steady state. The properties at a single point in the system does not change with time. These properties in the case of fluid flow are pressure, temperature, velocity and mass flow rate.  In the context of diffusion, steady state usually implies that, concentration of a given species at a given point in space, does not change with time.
  • 6.
    • Mass ofa component per unit volume of the mixture. • For component A in a mixture, MASS CONCENTRATION: TOTAL MASS CONCENTRATION: • Density of the mixture, mass per unit volume of the mixture. Important terms
  • 7.
    • Moles ofa component per unit volume of the mixture. • For component A in a mixture, MOLAR CONCENTRATION: • For a gaseous mixture,
  • 8.
    • Total molesin a mixture per unit volume. • For gaseous mixture, TOTAL MOLAR CONCENTRATION:
  • 9.
    • Mass concentrationof a specie per unit total mass density. MASS FRACTION:
  • 10.
    • Molar concentrationof a specie per unit total molar density. • For liquid mixtures, • For gas phase mixtures, MOLE FRACTION:
  • 12.
    • In amulticomponent mixture, the various species will move at different velocities. • Therefore evaluation of velocity of a gas mixture requires averaging of the velocity of each specie. I. Mass average velocity II. Mole average velocity VELOCITIES:
  • 13.
  • 14.
  • 15.
    • Mass ofspecie i that passes through a unit area per unit time. MASS FLUX: MOLAR FLUX: • Moles of specie i that passes through a unit area per unit time.
  • 16.
    • The basiclaw of diffusion given by Adolf Eugen Fick in 1885. • The law states that molar flux of a species relative to an observer is propotional to the concentration gradient of the species. • If A diffuses in a binary mixture of A and B then, • The constant of proportionality is the Diffusivity or Diffusion Coefficient (D). • ‘D’ is assumed to be independent of the concentration gradient. • Diffusivity is a material property. It is a function of the composition of the material and the temperature. FICK’S LAW:
  • 17.
    • Molar averagevelocity is given by • Molar flux relative to a stationary observer is given by • For a binary mixture of components A and B, --------------(1) FICK’S EQUATION (RELATIVE TO STATIONARY COORDINATES):
  • 18.
    • Fick’s Lawequation: • Molar flux relative to observer moving with molar average velocity is given by FICK’S EQUATION (RELATIVE TO STATIONARY COORDINATES):
  • 19.
    Bulk Flow MolecularDiffusion • If the concentration of A in mixture is small (dilute solution) • Same as for stationary observer. • For gas phase diffusion, FICK’S EQUATION (RELATIVE TO STATIONARY COORDINATES):
  • 20.
  • 21.