Customer Focus of Wireless
Telecom Companies in India
A PROJECT REPORT SUBMITTED IN PARTIAL FULFILLMENT OF THE
REQUIREMENT FOR THE AWARD OF THE DEGREE OF

MASTER OF BUSINESS ADMINISTRATION
2008-10
BY

Satya Narayan Behera
(Regd.No. 08482)

SCHOOL OF BUSINESS MANAGEMENT, ACCOUNTING & FINANCE

SRI SATHYA SAI UNIVERSITY
(Established under Section 3 of the UGC Act, 1956)

Accredited by NAAC at A++ level

PRASANTHI NILAYAM
2008-2010
(DECEMBER 2009)
OFFERING AT THY
divine LOTUS
FEET...
SRI SATHYA SAI UNIVERSITY
(Established Under Section 3 of the UGC Act 1956
Accredited by NAAC at A++ Level)

SCHOOL OF BUSINESS MANAGEMENT, ACCOUNTING AND FINANCE

CERTIFICATE & DECLARATION

This project entitled “Customer Focus of Wireless Telecom Companies in India”
is an original work done by me under the supervision of Prof. Ramaier Sriram,
School of Business Management, Accounting & Finance, Sri Sathya Sai
University, Prasanthi Nilayam, in partial fulfillment of the requirements for the
award of the degree of Master of Business Administration of this University, and
has not formed the basis for the award of any degree, diploma or any other such
title by this or any other university.

Prof. Ramaier Sriram
(Project Guide)

Place: Prasanthi Nilayam

Satya Narayan Behera
(Regd. No. 08482)

A. Sudhir Bhaskar
(Prof. and Dean)

Date:
ACKNOWLEDGEMENTS

First and foremost, I would like to express my heartfelt gratitude to my
beloved Master, Bhagawan Sri Sathya Sai Baba, with whose grace and
blessings alone this project has been successful.
I wish to thank my parents and my sisters for their continuous concern
and prayers which enabled me to complete this endeavour.
I sincerely thank my guide Dr Ramaier Sriram for his constant guidance,
encouragement and support.
I would like to express my sincere thanks to Shri Renju Reghuveeran, Shri
Piyush Shrivastava, Shri Prakash Chittaranjan and the Library staff
members for extending to me all the resources necessary to complete
this project.
I would like to convey my gratitude to the members of Hostel Computer
Center and Sai Images Department for their help and support.
I also thank all my classmates and roommates for their kind cooperation
and encouragement in helping me to complete this project.
I cannot possibly name all those who have helped me in the completion
of this work. But, I will be failing in my duty if I do not express my
gratitude to those noble souls who have directly or indirectly provided
the necessary help to complete this project.

Satya Narayan Behera
Table of Contents
1

INTRODUCTION .......................................................................................................... 1
1.1
1.2

Statement of the problem ......................................................................................... 4

1.3

Nature of study ......................................................................................................... 4

1.4

Objective of study .................................................................................................... 4

1.5

Scope of study .......................................................................................................... 5

1.6

Limitations of study.................................................................................................. 5

1.7
2

Overview of wireless telecom industry .................................................................... 1

Scheme of chapterisation.......................................................................................... 5

LITERATURE REVIEW ............................................................................................... 7
2.1
2.2

Characteristics of customer-focused organizations .................................................. 7

2.3

Customer satisfaction ............................................................................................... 8

2.4

Customer satisfaction tests ....................................................................................... 9

2.5

TRAI‘s quality of service initiative ........................................................................ 10

2.6
3

Customer focus ......................................................................................................... 7

Need of the hour: Customer Relationship Management ........................................ 11

THEORETICAL BACKGROUND .............................................................................. 15
3.1

SWOT Analysis (Strengths, Weaknesses, Opportunities, Threats) ....................... 15

3.1.1

External environment (opportunity and threat) analysis ................................. 15

3.1.2

Internal environment (strengths/weaknesses) analysis ................................... 16

3.2
3.3

Factor analysis ........................................................................................................ 17

3.4
4

Oneway ANOVA Test ........................................................................................... 16

Multivariate regression analysis ............................................................................. 18

METHODOLOGY AND DESIGN OF STUDY .......................................................... 20

Page i
4.1

Research design for the study ................................................................................. 20

4.2

Data collection ........................................................................................................ 21

4.3

Survey construction ................................................................................................ 21

4.3.1

Sampling plan ................................................................................................. 21

4.3.2

Questionnaire design ....................................................................................... 21

4.3.3

Scale construction ........................................................................................... 23

4.4

Tools used for the study ......................................................................................... 23

4.5

Treatment of data.................................................................................................... 24

4.5.1
5

Weighted satisfaction scores ........................................................................... 24

ANALYSIS AND FINDINGS...................................................................................... 26
5.1

Questionnaire analysis ............................................................................................ 26

5.1.1

Demographic profile of respondents ............................................................... 26

5.1.2

Oneway ANOVA on survey data operator-wise............................................. 32

5.1.3

Oneway ANOVA on TRAI data operator-wise .............................................. 35

5.1.4

Overall customer satisfaction scores from survey .......................................... 37

5.2

Airtel – A case analysis .......................................................................................... 38

5.2.1
5.2.2

Partners............................................................................................................ 39

5.2.3

Swot analysis................................................................................................... 39

5.2.4

Top competitors .............................................................................................. 44

5.2.5

Customer focussed strategies of Airtel ........................................................... 44

5.2.6

Airtel quantitative data analysis ...................................................................... 46

5.2.7

Airtel qualitative data analysis ........................................................................ 88

5.2.8
6

Airtel: profile................................................................................................... 38

Overall Findings of customer‘s perception of Airtel‘s services: .................... 95

RECOMMENDATIONS ............................................................................................ 101

Page ii
6.1.1

Recommendations/Suggestions based on study of CRM for the present

situation of Bharti Airtel ............................................................................................. 101
7

CONCLUSIONS ......................................................................................................... 106
7.1

8

Conclusion ............................................................................................................ 106

APPENDIX ................................................................................................................. 107
8.1
8.2

9

Questionnaire........................................................................................................ 107
Tables ................................................................................................................... 123

BIBLIOGRAPHY AND REFERENCES ................................................................... 150

Page iii
List of Tables
Table 1: Summary of age profile of respondents for the survey ........................................... 26
Table 2: Summary of gender profile of respondents for the survey ..................................... 27
Table 3: Summary of occupation profile of respondents for the survey ............................... 28
Table 4: Summary of operator profile of respondents for the survey ................................... 29
Table 5: Summary of Area profile of respondents for the survey......................................... 30
Table 6: Summary of User type profile of respondents for the survey ................................. 30
Table 7: Summary of Technology type profile of respondents for the survey ..................... 31
Table 8: Test of homogeneity of variances ........................................................................... 32
Table 9: Oneway ANOVA test results .................................................................................. 33
Table 10: Test of homogeneity of variances ......................................................................... 36
Table 11: ANOVA results..................................................................................................... 36
Table 12: Airtel‘s strategic partners ...................................................................................... 39
Table 13: SWOT analysis of Airtel....................................................................................... 40
Table 14: Descriptives of oneway ANOVA test ................................................................... 57
Table 15: Test of Homogeneity of Variances ....................................................................... 58
Table 16: Oneway ANOVA test results ................................................................................ 58
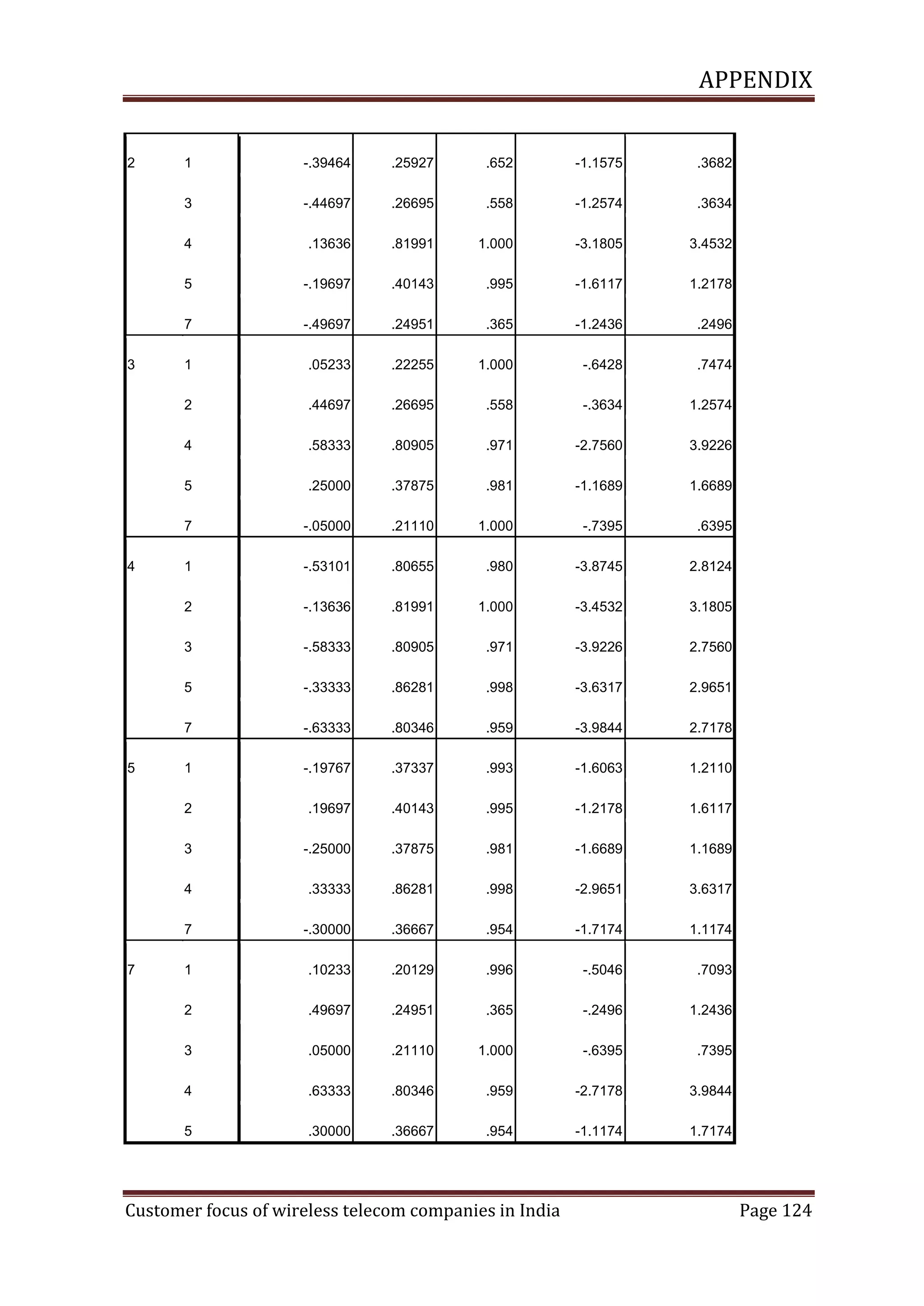
Table 17: Games-Howell test for post-hoc analysis segment-wise ...................................... 59
Table 18: Tukey‘s test for homogeneous grouping of means ............................................... 60
Table 19: Descriptives of oneway ANOVA test between telecom regions .......................... 62
Table 20: Test of Homogeneity of Variances ....................................................................... 62
Table 21: Oneway ANOVA test results between telecom regions ....................................... 63
Table 22: Games-Howell test for post-hoc analysis for telecom regions ............................. 63
Table 23: Tukey‘s test for grouping of homogeneous means of telecom regions ................ 64
Table 24: One sample Statistics ............................................................................................ 69
Page iv
Table 25: One sample T test on overall quality satisfaction scores between survey data and
TRAI data .............................................................................................................................. 70
Table 26: Descriptive statistics for regression analysis of Airtel postpaid customers .......... 75
Table 27: Regression model for Airtel postpaid customers .................................................. 76
Table 28: Oneway ANOVA test on Airtel postpaid customers ............................................ 76
Table 29: Regression model components for Airtel postpaid customers.............................. 77
Table 30: Descriptive statistics for regression analysis of Airtel prepaid customers ........... 83
Table 31: Regression model for Airtel prepaid customers ................................................... 84
Table 32: Oneway ANOVA test on Airtel prepaid customers .............................................. 84
Table 33: Regression model components for Airtel prepaid customers ............................... 85
Table 34: Factors affecting the postpaid and prepaid Airtel customers ................................ 88
Table 35: Crosstabulation of time frame of acquisition of service and time taken to activate
service for Airtel respondents ............................................................................................... 89
Table 36: Descriptives of Oneway ANOVA test between operators from survey ............. 123
Table 37: Games-Howell test for post-hoc analysis ........................................................... 123
Table 38: Tukey‘s test for homogeneous grouping of means ............................................. 125
Table 39: Descriptives of ANOVA TRAI operator-wise ................................................... 125
Table 40: Tukey's test for ANOVA TRAI operator-wise ................................................... 126
Table 41: Comparison of satisfaction scores of TRAI survey, survey and TRAI benchmark
............................................................................................................................................. 127
Table 42: TRAI data on customer satisfaction with provision of service ........................... 129
Table 43: TRAI data on customer satisfaction with postpaid billing performance ............ 130
Table 44: TRAI data on customer satisfaction with prepaid billing performance .............. 130
Table 45: TRAI data on customer satisfaction with help services ...................................... 131
Table 46: TRAI data on customer satisfaction with network performance, reliability and
availability ........................................................................................................................... 132

Page v
Table 47: TRAI data on customer satisfaction with maintainability .................................. 133
Table 48: TRAI data on customer satisfaction with offered supplementary services......... 133
Table 49: TRAI data on customer satisfaction with overall quality of service ................... 134
Table 50: Comparison of satisfaction scores of TRAI survey, survey and TRAI benchmark
for Airtel .............................................................................................................................. 135
Table 51: Descriptive statistics of factor analysis of Airtel postpaid customers ................ 137
Table 52: Communalities of factor analysis of Airtel postpaid customers ......................... 138
Table 53: Factor analysis of Airtel postpaid customers ...................................................... 139
Table 54: Descriptive statistics for factor analysis of Airtel prepaid cusotmers ................ 141
Table 55: Rotated Component Matrix for factor analysis for Airtel postpaid customers ... 142
Table 56: Correlations between the factors selected for regression analysis for Airtel
postpaid customers .............................................................................................................. 143
Table 57: Communalities of factor analysis of Airtel prepaid customers ........................... 144
Table 58: Factor analysis of Airtel prepaid customers ....................................................... 145
Table 59: Rotated Component Matrix for factor analysis for Airtel prepaid customers .... 146
Table 60: Correlations between the factors selected for regression analysis for Airtel
prepaid customers ............................................................................................................... 148

Page vi
Table of Figures
Figure 5-1: Age profile of respondents for the survey .......................................................... 26
Figure 5-2: Occupation profile of respondents for the survey .............................................. 27
Figure 5-3: Operator profile of respondents for the survey .................................................. 28
Figure 5-4: Area profile of respondents for the survey ......................................................... 29
Figure 5-5: User type profile of respondents for the survey ................................................. 30
Figure 5-6: Technology type profile of respondents for the survey ..................................... 31
Figure 5-7: Plot of overall quality satisfaction means versus telecom operator ................... 34
Figure 5-8: Plot of Operator vs overall satisfaction .............................................................. 37
Figure 5-9: Plot of TRAI data on customer satisfaction with provision of service .............. 47
Figure 5-10: Plot of TRAI data on customer satisfaction with postpaid billing performance
............................................................................................................................................... 48
Figure 5-11: Plot of TRAI data on customer satisfaction with prepaid billing performance 49
Figure 5-12: Plot of TRAI data on customer satisfaction with help services ....................... 50
Figure 5-13: Plot of TRAI data on customer satisfaction with network performance,
reliability and availability ..................................................................................................... 51
Figure 5-14: Plot of TRAI data on customer satisfaction with maintainability .................... 52
Figure 5-15: Plot of TRAI data on customer satisfaction with offered supplementary
services .................................................................................................................................. 53
Figure 5-16: Plot of TRAI data on customer satisfaction with overall quality of service .... 54
Figure 5-17: Plot of TRAI data on customer satisfaction with overall quality of service .... 54
Figure 5-18: Plot of overall quality satisfaction means versus telecom segments ................ 60
Figure 5-19: Plot of telecom regions versus the overall satisfaction score means ............... 65
Figure 5-20: Age profile of Airtel respondents ..................................................................... 66
Figure 5-21: Gender profile of Airtel respondents ................................................................ 66
Figure 5-22: Occupation profile of Airtel respondents ......................................................... 67
Page vii
Figure 5-23: Area profile of Aitel respondents ..................................................................... 67
Figure 5-24: User type profile of Airtel respondents ............................................................ 68
Figure 5-25: Plot of Factors extracted versus the eigen values for Airtel postpaid customers
............................................................................................................................................... 71
Figure 5-26: Customer satisfaction model for Airtel postpaid customers ............................ 78
Figure 5-27: Plot of overall quality satisfaction score means with frequency for Airtel
postpaid customers ................................................................................................................ 79
Figure 5-28: Plot of observed overall quality satisfaction score means with expected values
for Airtel postpaid customers ................................................................................................ 79
Figure 5-29: Plot of Factors extracted versus the eigen values for Airtel prepaid customers
............................................................................................................................................... 80
Figure 5-30: Customer satisfaction model for Airtel prepaid customers .............................. 86
Figure 5-31: Plot of overall quality satisfaction score means with frequency for Airtel
prepaid customers ................................................................................................................. 87
Figure 5-32: Plot of observed overall quality satisfaction score means with expected values
for Airtel prepaid customers ................................................................................................. 87
Figure 5-33: Pie chart for time frame of acquisition of service by Airtel respondents ......... 89
Figure 5-34: Pie chart for time taken to activate service for Airtel respondents .................. 89
Figure 5-35: Pie chart for issues related with prepaid charges for Airtel respondents ......... 90
Figure 5-36: Pie chart for issues related with accuracy of postpaid bills for Airtel
respondents............................................................................................................................ 91
Figure 5-37: Pie chart for issues related with clarity of postpaid bills for Airtel respondents
............................................................................................................................................... 91
Figure 5-38: Pie chart for reasons for not querying customer care for Airtel respondents ... 92
Figure 5-39: Pie chart for usage of value added services for Airtel respondents ................. 93
Figure 5-40: Pie chart for reasons for not using value added services for Airtel respondents
............................................................................................................................................... 93

Page viii
Figure 5-41: Pie chart for usage of types of value added services for Airtel respondents .... 94
Figure 5-42: Pie chart for knowledge about reception of subscription of service details for
Airtel respondents ................................................................................................................. 94

Page ix
ABSTRACT
The purpose of this study is to analyse the customer focus of wireless
telecom industry in India. In the competitive and regulated
environment, telecom service providers have to focus on improving
customer satisfaction levels so as to be characterized as customer
focussed. Thus they will be able to provide superior service quality
resulting in higher satisfaction levels leading to the retaining of loyal
customers and achievement of organizational goals.
The study conducted a survey among wireless telecom service users
to establish the satisfaction levels among the customer. The study
also used factor analysis and multivariate regression analysis to find
the factors affecting the Indian telecom user’s customer satisfaction.
It also used TRAI survey reports to find the satisfaction levels over
the years and validate the survey results.
It has been found from the study that the customers of wireless
telecom services are not satisfied with customer care services and
value added services. This shows that the perceived performance is
not matching the expectations of customers. Therefore the study
concludes that wireless services overall satisfaction can be improved
by improving the internal processes by using solutions based on CRM
and analytics.

Page x
Chapter 1
Introduction
INTRODUCTION
1 INTRODUCTION
1.1 Overview of wireless telecom industry
In the 21st century most organizations are trying to become more customer focussed. The
new breed of customer is very well informed. These customers are swapping passive roles
for much deeper involvement. ―Consumers‖ are becoming ―producers,‖ often creating
entertainment and advertising content for their peers, while demanding flexibility and
responsiveness from companies with whom they choose to do business. Therefore a lot of
importance is given by organizations, to the relationship they have with their customers.
This phenomenon is also observed in Indian organizations.
According to Reserve Bank of India‘s annual report 2008-09[21] the Indian services sector
has not only exhibited minimum growth of 9 per cent in the recent five years, but its share
in aggregate GDP has also increased to about 64.5 per cent. The current global economic
crisis being unprecedented in the recent history in terms of the magnitude of the impact as
well as the duration, the past resilience of the services sector could be tested in future.
While services sector‘s share in GDP improved marginally from 63.0 per cent in 2007-08 to
64.5 per cent during 2008-09, its relative contribution to GDP growth rate increased
significantly from 74.1 per cent to 88.2 per cent during the same period.
According to Mani[19] Communications is the fastest growing sector in India‘s economy.
No other sector of the economy has clocked such a rate of growth. The sector accounts for
about 4 per cent of GDP and the recent high rate of growth has contributed to about 11 per
cent of the growth in overall GDP of the country. Consequently, it is generally opined that a
revolution of sorts is taking place in the Indian telecom industry. One of the dimensions of
this growth taking place in the Indian telecom industry is the dominance of wireless
technology. The Indian telecom sector is now heavily dominated by wireless technologies,
which include cellular mobile and fixed wireless technologies. In fact, almost the entire
increase in the availability of telephones has been contributed by wireless technologies. The
ratio of wireless to wireline services is now almost five which is the highest in the history
of telecom industry in India. In fact what is interesting is that since 2005, the wireline
services have started falling in terms of sales. A number of factors explain this decrease in

Customer focus of wireless telecom companies in India

Page 1
INTRODUCTION
the popularity of fixed telephones, which has now become a worldwide trend. This heavy
reliance of wireless technologies, while extremely positive from the availability point of
view, has some implications for the diffusion of other services in the country.
Total Wireless Subscribers in the country stand at 391.76 million[27]. This results in a
percentage growth of 12.93% during the quarter. Out of this the Urban Wireless
Subscribers are 282.05 Million (72%) and Rural Wireless Subscribers 109.71 Million
(28%); the GSM Subscribers are 297.26 Million (75.88%) and CDMA Subscribers 94.50
Million (24.12%). This leads us to make the following observation that rate of growth in
mobile subscriber base has been substantially high.
Some of the characteristics exhibited by the wireless telecom industry in India are the
following:


The cost of ownership of mobile services is very low. Therefore the customer base
of wireless telecom services is increasing at such a fast pace.



The need for connection and communication with others helps in fulfilling
emotional needs.



The use of communication services is shared by all households, compared only by
services like utilities, banking and other financial services.



On top of this wireless telecom services also create and enhance a lot of
individualism leading to attraction of these services.

The wireless telecom sector is dynamic and experiencing explosive growth. It is having a
lot of opportunities as well as facing a lot of threats. Mobile number portability, where a
subscriber would be able to shift from one operator to another without changing his/her
number, is such a disruptive threat. Therefore the telecom operators foreseeing the future
where they will have to compete on brand value and service offerings have to tighten their
belts as the switching costs for customers will dramatically lower.
Another interesting development has been the advent of mobile virtual network operators
(MVNO). These companies buy airtime and SIM cards in bulk from telecom operators and
sell them under their own brand. It is expected that the virtual operators will help shore up

Customer focus of wireless telecom companies in India

Page 2
INTRODUCTION
the fallen Average Revenue Per User‘s (ARPU) from Rs 450 in 2000 to about Rs 200
today. They will help the new telecom licensees to acquire customers faster, as well as
established licensees in better utilisation of resources for netting higher revenues.
In this dynamic and regulated environment, telecom service providers have a very
important goal in acquiring new customers and retaining loyal customers. They also have to
do this in a fast manner, as the market is growing at such a scorching pace that every month
world records are being created in adding new subscribers. While this has helped in
increasing the tele-density of the country, consequently helping people network and
communicate much faster, cheaper and effectively, whether the quality of service provided
has improved, or at least remained at a desired level is questionable. When more
subscribers are added on a daily basis, there should be capacity to enable services with the
desired level of quality.
In this context, marketing philosophy is fundamentally based upon the satisfaction of
customer needs and achievement of organisational goals. Essentially, it has always been an
inclusive aspect of the marketing orientation that there should be customer care and
satisfaction in order to meet customer needs.
Therefore the question is, to what degree telecom service providers are customer oriented to
meet customer‘s satisfaction needs. For this we need to find out the present degree of
customer satisfaction for telecom service providers. According to Telecom Regulatory
Authority of India (TRAI) survey reports on customer perception of service provided27], the
overall satisfaction scores of all the telecom service providers in all the telecom circles
remain below the acceptable benchmark of TRAI. This clearly brings out the fact that the
service providers are yet to achieve the desired level of quality for providing customer
satisfaction. But there has been very little research in collating the survey reports and seeing
a holistic picture for a service provider over a period of time. There is also sparse literature
available to find factors affecting the Indian telecom customer‘s satisfaction. Based on
these findings, the Indian telecom customer‘s requirements could be established.
Many researchers have found the effective application of Customer Relationship
Management (CRM) in the telecom sector in helping to get a complete view of the

Customer focus of wireless telecom companies in India

Page 3
INTRODUCTION
customer. This complete view serves the service provider in providing excellent customer
service to the exact needs of the customer. The use of CRM will also help in personalizing
the service for the customer. The use of CRM in this way helps in satisfying the customer‘s
need of identity and personalized service contributing to satisfaction. Hence satisfied and
loyal customers will prove the service provider to be customer focused.

1.2 Statement of the problem
There is a wide gap between the customer satisfaction from Quality of Service (QoS)
provided by telecom service providers according to TRAI benchmarks and customer‘s
voice.

1.3 Nature of study
The project studies the nature of wireless telecom industry and determines the customer
orientation of the industry. It determines the extent of satisfaction or dissatisfaction with
service quality of telecom service providers. The project also studies the underlying factors
of Indian customer‘s satisfaction leading to insights which help in improving customers‘
perception of service quality delivered.

1.4 Objective of study
1. To study wireless telecom industry‘s customer focus initiatives from their public
documents and conduct SWOT analysis.
2. To analyze the customer satisfaction provided by the wireless telecom industry by
analyzing primary and secondary data. To find factors which affect customer
satisfaction and find the relationships between overall customer satisfaction and the
factors affecting it.
3. To suggest solutions based on CRM and analytics which can help enhance the
customer focus of wireless telecom industry.

Customer focus of wireless telecom companies in India

Page 4
INTRODUCTION
1.5 Scope of study
1. Analyse wireless telecom industry‘s public documents towards customer focus
initiatives.
2. Conduct survey on customer satisfaction from wireless telecom services.
3. Use of secondary information sources including TRAI Reports on telecom industry.
4. Evaluating solutions provided by CRM and analytics for wireless telecom industry.

1.6 Limitations of study
1. The generalizability of the results should not be overstated. One reason may be this is
based on reported than actual behaviour.
2. The telecom service provider‘s customer oriented initiatives are based on their public
documents only.
3. The study is based on TRAI‘s construct of QoS and therefore other constructs which
might affect customer satisfaction have not been taken into consideration.
In view of the above, this study cannot be considered to be exhaustive in nature, but can be
used as a prelude for further research.

1.7 Scheme of chapterisation
CHAPTER 1: INTRODUCTION: This chapter gives a brief Introduction about the study
along with the Nature, Objective and limitations of the study.

CHAPTER 2: LITERATURE REVIEW: This chapter briefly summarizes the definitions
of key terms, importance and effect of customer focus and customer satisfaction on the
fortunes of telecom service providers and factors which influence customer satisfaction

CHAPTER 3: THEORETICAL BACKGROUND: This chapter covers various
theoretical and conceptual aspects related with customer focus and customer satisfaction.

Customer focus of wireless telecom companies in India

Page 5
INTRODUCTION
CHAPTER 4: METHODOLOGY AND DESIGN OF STUDY: This chapter includes the
methodology adopted for carrying out the survey and the discussion on the treatment of
data.

CHAPTER 5: ANALYSIS AND FINDINGS: This chapter analyses the data gathered and
finds insights about the customer satisfaction levels in the country.
CHAPTER 6: SUMMARY AND CONCLUSIONS: This chapter summarizes all the
previous chapters and provides conclusion to the study.

Customer focus of wireless telecom companies in India

Page 6
Chapter 2
Literature
Review
LITERATURE REVIEW
2 LITERATURE REVIEW
The literature review section presents a comprehensive summary of the relevant knowledge
present in the area of customer focus of telecom service providers.

2.1 Customer focus
We have analysed the common and widely accepted definitions of customer focus and
present a comprehensive definition for customer focus:
It is an organizational orientation [3] towards providing excellent customer service [5] and


Satisfy needs of potential and actual customers[3].



Follow customer specifications [12].



Greatly value customer relationships [5].



Involve customers in product development and service development [5].



Build trust and maintain integrity and strategic partnerships with customers [5].



Structure the company so every tier supports the person providing the service to the
customer [5].



Move beyond the notions of customer satisfaction and loyalty and encourage
customers to be advocates for a product or service [5].



Treat colleagues like customers by building obliging, responsive and respectful
relationships [5].

2.2 Characteristics of customer-focused organizations
Through the analysis of literature, we have found the following characteristics which a
customer focussed company should possess.


They always interact with customers and seek feedback from them. They analyse
feedback and use the relevant information to change their internal processes and
respond swiftly [18].

Customer focus of wireless telecom companies in India

Page 7
LITERATURE REVIEW


They take customer care seriously by providing toll-free number and help desks so
that they get valuable immediate feedback. They try to help fix problems within an
acceptable timeframe [18].



They value customer satisfaction metrics and results on par with financial metrics
[18]

.

Through the review of literature, we have been able to understand that for a telecom service
provider to be customer focussed, it has to be able to satisfy the needs of its potential and
actual customers by providing excellent customer service. To satisfy the needs of
customers, the service provider has to constantly monitor and receive feedback from
customers. Using customer satisfaction results, the service provider receives feedback about
its services and consequently feeds the information to its process to improve service quality
and satisfy customers.
Therefore the need for critical review of customer satisfaction has to be there so as to
understand how a telecom service provider can satisfy its customers.

2.3 Customer satisfaction
Through the analysis of current literature on customer satisfaction we arrive at the
following definition of customer satisfaction.
Customer satisfaction is defined as a person‘s feelings of pleasure or disappointment
resulting from the comparison of a product/service‘s perceived performance in relation with
his or her expectation [2].
Hence for telecom service providers to achieve customer satisfaction, researchers
recommend the following action:


Mobile carriers must focus on service quality and offer customer-oriented services
to heighten customer satisfaction [13].



Customer satisfaction can be improved by the use of improving service quality and
perceived value [16].

Customer focus of wireless telecom companies in India

Page 8
LITERATURE REVIEW


Mobile service providers must change either customer perception or service quality
to improve customer satisfaction [9].



Acceptance and satisfaction of value added services is heavily influenced on quality
of service experienced by the user [14].

Therefore telecom service providers should look to improve service quality. Researchers
have empirically found out the factors affecting service quality so that service providers can
act decisively. Call quality, value-added services, and customer support were among the
important factors having significant impact on service quality.
The improvement in service quality by making an impact on improving the factors affecting
service quality will lead to improvement in customer satisfaction levels. This will provide
lots of benefits. A high customer satisfaction level heightens customer loyalty and prevents
customer churn, lowers customers‘ price sensitivity, reduces the costs of failed marketing
and of new customer creation, reduces operating costs due to customer number increases,
improves the effectiveness of advertising, and enhances business reputation [1].
Researchers give another way of improving customer satisfaction, which is by keeping a tab
on the early warning signals for the degree of customer retention. There are two factors
which provide us such early warning signals. They are the customer assessment about the
prices charged being good and fair (compared against competitors), and, the customer
perception of the functional benefit of mobile communications services [11].

2.4 Customer satisfaction tests
From present understanding of customer satisfaction we can infer that the telecom operators
have to look at customer satisfaction as a metric to provide the perception of the functional
benefits being enjoyed by the customer. This will give the telecom operators an indication
of what the customer is thinking about them.
This leads us to arrive at user perceptions as a means of improving customer satisfaction.
User perceptions are psychological constructs that must be measured indirectly using
psychological instruments

[14]

. There are two major approaches for the measurement of

Customer focus of wireless telecom companies in India

Page 9
LITERATURE REVIEW
quality of service from the user‘s point of view: opinion polls and customer satisfaction
surveys. Customer satisfaction tests are suggested to be closely related to usability testing.
Usability testing is defined as techniques to collect empirical data while observing
representative end users using the product itself [22]. The main difference between usability
testing and customer satisfaction tests is the focus. Customer satisfactions tests analyze the
quality of service as a whole.

2.5 TRAI’s quality of service initiative
In the Indian telecom sector context, the telecom regulator TRAI has come up with
regulation named, ―Regulation on Quality of Service of Basic and Cellular Mobile
Telephone Services, 2005‖

[26]

to lay-down the standards of quality of service to be

provided by the service providers. The regulation also states about the regular testing of
QoS performance and assessment of customer satisfaction with QoS. Hence TRAI regularly
undertakes customer satisfaction tests for the industry. This provides valuable information
to service providers about customer perception of QoS delivered. According to TRAI [26],
Quality of service is the main indicator of the performance of a telephone network and of
the degree to which the network conforms to the stipulated norms. The subscriber‘s
perception of the QoS is determined by a number of performance factors. The purpose of
laying down Quality of Service Parameters is to:
1. Create conditions for consumer satisfaction by making known the quality of service
which the service provider is required to provide and the user has a right to expect.
2. Measure the Quality of Service provided by the Service Providers from time to time
and to compare them with the norms so as to assess the level of performance.
3. Generally protect the interests of consumers of telecommunication services.
Therefore we have been able to arrive at the need for customer satisfaction test to be
customer focussed. Hence the service providers should be able to continuously monitor
customer satisfaction levels, satisfy the customers and be customer focussed. But to retain
these satisfied customers, service providers have to make these customers loyal by building
Customer focus of wireless telecom companies in India

Page 10
LITERATURE REVIEW
longer and stronger relationships. By building relationships with customers, service
provider takes the level of trust and commitment between them a notch higher. The service
provider will be able to build a switching barrier which is above monetary benefits and
consists of emotional benefits. Researchers have shown that CRM is used for building
relationships and improving switching barrier. Switching barrier is the hurdle which
customers would have to jump to switch to a different service provider. The factors
significantly affecting the switching barrier appeared to be switching costs such as loss cost,
move-in cost and interpersonal relationships. Hence mobile carriers must develop a threepronged strategy of developing customer reward programs that compensate customers,
increasing the cost of switching and developing and carrying out relationship-oriented
marketing to enhance interpersonal relationship with customers[13].

2.6 Need of the hour: Customer Relationship Management
From the review of literature, we have been able to arrive at the following definition for
CRM.
It consists of the processes a company uses to track and organize its contacts with its
current and prospective customers. Hence it is not just about technology but about strategy
and process [7].
Researchers say that CRM gives the complete information and provides a holistic view of
the customer. Some of the views suggested by researchers are:


CRM is an attitude that needs to pervade the company, but it needs a solid
foundation of knowledge of customers [29].



With the help of enterprise applications like CRM the telecom service providers are
now able to obtain complete customer information. They are now able to have a
unified view of the customer so that all the interactions of different departments and
services of the company with the customer are at the dashboard [4].

Therefore the value provided by CRM is:

Customer focus of wireless telecom companies in India

Page 11
LITERATURE REVIEW


The knowledge about customers and their interactions with the company facilitates
better business decisions and encourages customer loyalty and retention [29].



Telecom service providers have been able to streamline their business processes to
reduce variability, improve of quality of service and hence lead to positive financial
results for the company. Through the use of better technology companies can handle
more in less time, be more accurate, and hence lead to more quality services for the
customer [4].



In this way the company can provide more value to the customer, more satisfaction
thereby increasing customer loyalty leading to retention and revenues [4].



Online CRM provide online billing, online repair, ordering of routers and private
branch exchanges, provide access to consultants online. This has helped the
customers in faster access to bills, faster resolution of bills, easier access to services
and provisions. This ultimately leads to richer customer interaction and higher
customer satisfaction [28].



Analytical CRM solutions can perform precise market segmentation, trending and
modelling, customer analysis and reporting using centralized customer data from
disparate sources. By doing this telecom service providers will be able to understand
what products are helping to retain the customers and which ones are experiencing a
loss of customers [6].

Hence we can see the value provided by CRM in satisfying customers and building a
relationship with them. But literature also has failures stories about the implementation of
solutions related with CRM.
Literature says that most telecom companies haven‘t been able to understand what CRM
stands for. Most of them have thought of it as a technological solution and not as a change
in business processes. So they have not been able to focus on getting their CRM strategy
right [17]. According to analysts most CRM initiatives have disappointed telecom companies
because they are too focused on management and have done little to improve the customer
relationship experience. Because of the detoured focus on management, carriers don't
integrate CRM with all touch-points in the customer lifecycle, miss out key opportunities to
analyze and improve on the customer experience, and overlook the importance of sharing
customer data across departments and even back-office application silos. As a result, there
Customer focus of wireless telecom companies in India

Page 12
LITERATURE REVIEW
is little synergy across departments, resulting in skyrocketing costs while process gaps
remain the norm. Some of the other problems are the integration with the legacy systems
and other technical barriers, the gap between the CRM application software solution and
functionality, the need for vendors to increase the functionality critical for carriers and offer
a more valuable solution.
Therefore telecom service providers should learn from the successes and failures of other
industries and follow a set of guidelines for successful implementation. Some of the things
which they should do are:
1. They have to collect and integrate data to create a single comprehensive view of the
customer across all the services. They have to design systems that allow them to
take information about customer data, profitability, customer usage, likes and
dislikes, and using that information to extend the customer‘s relationship with the
organisation.
2. They have to focus the majority of their efforts on servicing their most profitable
customers. It is the issue of spending the right amount of money in order to market
the right bundle to the right customers.
3. They have to provide a virtual branch office on the web even though all the
customers are not yet willing to move all their transactions to the internet. So they
should promote the web services at every touch point to remind the customer about
self-service. They also have to make the websites more user-friendly for faster
adoption.
4. They can rethink their expectations out of CRM and slowly rollout CRM strategy in
a phased manner to discourage huge investments and consequently high
expectations of results.
5. They have to basically change their mindset in the way they interact with the
customer. They have to move from a relationship driven by price to a bonded
relationship based on a combination of factors, including trust, reciprocity, loyalty,
concern etc.
Customer focus of wireless telecom companies in India

Page 13
LITERATURE REVIEW
Hence summarizing the literature review section, we started with looking into the
characteristics of customer focused organizations and the need for them to improve
customer satisfaction. In the Indian telecom context, the assessment of customer
satisfaction is done by the regulator, TRAI. But the telecom service providers cannot retain
satisfied customers only through improving service quality. They need to change the
perception of these customers and build strong relationships. Research shows that CRM is
an effective strategy to improve service quality, satisfy customers and build long-term
relationships.

Customer focus of wireless telecom companies in India

Page 14
Chapter 3
Theoretical
background
THEORETICAL BACKGROUND
3 THEORETICAL BACKGROUND
The theoretical background discusses about the theory of analytical tools used for
explaining the concept of customer focus and customer satisfaction, which have been used
in analysis and findings of the study.

3.1 SWOT Analysis (Strengths, Weaknesses, Opportunities, Threats)
According to Kotler et al. [15], the overall evaluation of a company‘s strengths, weaknesses,
opportunities, and threats is called SWOT analysis. It involves monitoring the external and
internal business environment. They have divided the analysis into the following two parts.
SWOT analysis has been used in the study to discuss the strengths and weakness of a
telecom service provider in its ability to compete in the telecom sector and in providing
QoS contributing to overall satisfaction for customers.
3.1.1 External environment (opportunity and threat) analysis
A business unit has to monitor the key macro environment forces like demographic,
cultural, technological forces etc and significant microenvironment actors like customers,
competitors, suppliers etc. that affect its ability to earn Profits. The business should set up a
marketing intelligence system to track trends and important developments. For each event
or development management needs to identify the associated opportunities and threats.
An opportunity is an area of buyer need and interest in which there is a high probability that
a company can profitably satisfy that need. There are three main sources of market
opportunities. The first is to supply something that is in short supply, the second to supply
an existing product or service in a new or superior way, the third source often leads to a
totally new product or service.
An environmental threat is a challenge posed by an unfavourable trend or development that
would lead, in the absence of defensive marketing action to lower sales or profit. Threats
should be classified according to seriousness and probability of occurrence.

Customer focus of wireless telecom companies in India

Page 15
THEORETICAL BACKGROUND
3.1.2 Internal environment (strengths/weaknesses) analysis
Each business needs to evaluate its internal strengths and weaknesses. This does not mean
that the business needs to correct all its weaknesses nor should it harp about the strengths it
possesses. The business has to consider about limiting itself to those opportunities where it
possesses strengths or whether it should consider opportunities where it might have to
develop certain strengths.
Stalk et al.

[24]

suggest that winning companies are those that have achieved superior in-

company capabilities. Although each department may possess specific core competencies
the challenge for the business is to develop superior competitive capability in managing
company's key processes.
Thus we arrive at the need and use of SWOT analysis for the business. It provides us with a
competitive analysis of the business. We also have to look at other analysis techniques used
for study.

3.2 Oneway ANOVA Test
Oneway ANOVA test helps us in comparing the satisfaction levels between different
groups, thus contributing in proving whether satisfaction levels are similar or homogeneous
across the groups.
According to Joaquim P. Marques de Sá [20], ANOVA or analysis of variance is the test of
hypothesis that three or more means are the same or not. It produces an F-statistic that
compares the amount of systematic variance in the data to the amount of unsystematic
variance in the data. It is done by producing a one-way analysis of variance for a
quantitative dependent variable by a single factor (independent) variable. This technique is
an extension of the two-sample t test.
The assumptions made are each group is an independent random sample from a normal
population. Analysis of variance is robust to departures from normality, although the data
should be symmetric. The groups should come from populations with equal variances. To
test this assumption, we use Levene's homogeneity-of-variance test.

Customer focus of wireless telecom companies in India

Page 16
THEORETICAL BACKGROUND
In addition to determining the differences existing among the means, we can also know
which means differ. Post hoc range tests and pair wise multiple comparisons can determine
which means differ. Range tests identify homogeneous subsets of means that are not
different from each other. Pair wise multiple comparisons test the difference between each
pair of means and yield a matrix where asterisks indicate significantly different group
means at an alpha level of 0.05.
Tukey‘s test uses the Studentized range statistic to make all of the pair wise comparisons
between groups. It provides a homogeneous set of means which are significantly not
different. Games-Howell test is a pair wise comparison test that is sometimes liberal. This
test is appropriate when the variances are unequal.
Thus using Oneway ANOVA we will be able test for the equality of satisfaction scores
given by different populations. It will help us finding if the population characteristic of
satisfaction is similar across the country.

3.3 Factor analysis
The study uses factor analysis to reduce the number of variables affecting overall
satisfaction into factors which can explain the underlying behaviour of overall satisfaction.
According to SPSS also known as Statistical Package for Social Sciences

[23]

, Factor

analysis attempts to identify underlying variables, or factors, and that explain the pattern of
correlations within a set of observed variables. Factor analysis is often used in data
reduction to identify a small number of factors that explain most of the variance that is
observed in a much larger number of manifest variables. Factor analysis can also be used to
generate hypotheses regarding causal mechanisms or to screen variables for subsequent
analysis (for example, to identify co-linearity prior to performing a linear regression
analysis).
The assumptions made are that the data should have a bivariate normal distribution for each
pair of variables, and observations should be independent. The factor analysis model
specifies that variables are determined by common factors (the factors estimated by the
model) and unique factors (which do not overlap between observed variables); the
Customer focus of wireless telecom companies in India

Page 17
THEORETICAL BACKGROUND
computed estimates are based on the assumption that all unique factors are uncorrelated
with each other and with the common factors.
The method used is Principal Components Analysis. It is a factor extraction method used to
form uncorrelated linear combinations of the observed variables. The first component has
maximum variance. Successive components explain progressively smaller portions of the
variance and are all uncorrelated with each other. Principal components analysis is used to
obtain the initial factor solution.
Scree plot is the plot of the variance that is associated with each factor. This plot is used to
determine how many factors should be kept. Typically the plot shows a distinct break
between the steep slope of the large factors and the gradual trailing of the rest (the scree).
Varimax Method is an orthogonal rotation method that minimizes the number of variables
that have high loadings on each factor. This method simplifies the interpretation of the
factors.
Thus using factor analysis we will able to find the underlying factors behind the satisfaction
of customers from telecom services. Using these factors we can be able to build a model for
satisfaction from telecom services.

3.4 Multivariate regression analysis
Multivariate regression analysis has been used in the study to find the relationship between
factors affecting overall satisfaction and the overall satisfaction level.
According to Field [10], Linear Regression estimates the coefficients of the linear equation,
involving one or more independent variables that best predict the value of the dependent
variable.
The assumptions for using this analysis are that for each value of the independent variable,
the distribution of the dependent variable must be normal. The variance of the distribution
of the dependent variable should be constant for all values of the independent variable. The
relationship between the dependent variable and each independent variable should be linear,
and all observations should be independent.
Customer focus of wireless telecom companies in India

Page 18
THEORETICAL BACKGROUND
The R squared change value is produced by adding or deleting an independent variable. If
the R2 change associated with a variable is large, that means that the variable is a good
predictor of the dependent variable.
Thus using regression analysis we will able to build the customer satisfaction model based
on the factors found earlier.

Customer focus of wireless telecom companies in India

Page 19
Chapter 4
METHODOLOGY AND
DESIGN OF STUDY
METHODOLOGY AND DESIGN OF STUDY
4 METHODOLOGY AND DESIGN OF STUDY
4.1 Research design for the study
This study is an attempt to understand the customer focus orientation of telecom operators
towards the retail customer by finding out their customer service initiatives and the end
consumer‘s perception about the service quality offered. The study is basically exploratory
in nature. The objective of exploratory research is to explore or search through a problem or
the situation to provide insights and understanding.
The study uses the survey reports from TRAI on customer perception of service. The TRAI
data describes customer satisfaction across providers and the nation. The study is also
conducting a survey among customers to find out the satisfaction levels from the services of
the telecom companies, and if it matches with the findings of the survey reports of TRAI.
CRM solutions and analytics will be used for enhancing customer focus of telecom
companies by enabling them to provide better customer service and overall experience.
The data consists of quantitative as well as qualitative data. Survey has been used as a
research instrument for the study. Many researchers state that quantitative research based
on survey is an appropriate research method because it provides economy of design by
being able to reach out to a larger population and allows rapid turnaround in data collection.
Survey requires standardized information from or about the subjects being studied.
(Subjects might be individuals, groups, organisations, projects or systems). It helps in
generating information that can be projected to the whole population using a representative
sample.
The data collected will be used in the form of statistical information, for the calculation of
satisfaction scores of customers. The data collected from the Quality of Service (QoS)
survey reports by TRAI will also be used to identify the causes of success or failure of
customer focus initiatives of telecom companies.
The step wise design adopted for the study is described in the following sections.

Customer focus of wireless telecom companies in India

Page 20
METHODOLOGY AND DESIGN OF STUDY
4.2 Data collection
Structured online questionnaire will be web-hosted and made available to all the
respondents in the country. The questionnaire consists of different factors of service quality
of telecom services, established by TRAI. The questions asked mainly elicit satisfaction of
customers with the present services offered to them.
The major sources of secondary data are the TRAI‘s QoS survey reports, various journals,
government reports and policies, research articles, newspaper reports and the internet. The
two approaches of using primary data and secondary data helped in getting a clear
understanding of the situation.

4.3 Survey construction
4.3.1 Sampling plan
The sample plan for the study involves the following decisions to be taken. The researcher
has used non probability convenience and snowball sampling as sampling method. This is
due to the time and cost constraints involved with the study. The survey will be web-hosted
and made available for all to respond. It has been spread through word of mouth. The
respondents represented various parts of the country to present the perceptions of customers
from all parts of the country.
4.3.2 Questionnaire design
The questionnaire is designed to find out from the customers about their perception of the
service quality provided by the telecom operators. It is based on the TRAI‘s QoS survey
questionnaire. The questions consist of a combination of open and closed end questions.
The type of closed ended questions used are scaled, multiple choice and yes/no questions.
The questionnaire was divided into the following parts:


Personal information

In this part general information about the respondents is collected like:

Customer focus of wireless telecom companies in India

Page 21
METHODOLOGY AND DESIGN OF STUDY
Name of the respondent, Age of the respondent, Gender, Occupation, Telecom operator,
Area (Metropolitan/Rural/Semi-urban/Urban), User type (Prepaid/Postpaid), Technology
type (GSM/CDMA)


Service provision

It consists of questions regarding the point of sale experience of customers regarding the
services provided by the telecom operators.


Prepaid billing

It consists of questions regarding the perception of customers about the pricing of services
by the telecom operators.


Postpaid billing

It consists of questions regarding the perception of customers about the different aspects of
bills and the bill-related complaint resolution process.


Customer care

It consists of questions regarding the customer services provided by the telecom operators,
the general complaint resolution process and the problem solving ability of customer
representatives.


Network performance

It consists of questions regarding the network performance, reliability, availability and
maintainability of the network of the telecom operators.


Value added services

It consists of questions regarding the value added services provided by the telecom
operators.


Overall customer satisfaction

Customer focus of wireless telecom companies in India

Page 22
METHODOLOGY AND DESIGN OF STUDY
It has questions to gauge the overall satisfaction of customers from the telecom services.


General information

It has general questions regarding different statutory services to be provided by the telecom
operators under the regulations of the industry.
4.3.3 Scale construction
For scaled questions used in the questionnaire, the non-comparative scaling technique of
Likert scale consisting of a 5 point satisfaction scale is used.
The 5 point scale is used to avoid the following problems:


An even number of points may force a commitment, while odd number of points
permits respondents to adopt a neutral position.



―Floor‖ or ―ceiling‖ effect is avoided. In this phenomenon, subjects tend to choose
responses that cluster at either the top or bottom of any scale. As a result of this
clustering, the instrument may not capture a significant amount of the true
variability in opinion among respondents.

The scale is observed for reliability, generalizability, and validity. To validate the scale, the
scale must properly represent the psychological construct of the customer which has been
captured in the range of ‗very satisfying‘ to ‗very dissatisfying‘, so as to draw accurate
theoretical conclusions using such instruments. For reliability, the scale being modified
from TRAI‘s QoS survey validates that the responses can be consistent in giving same kind
of results. To be able to generalize the responses across the population, the secondary data
from TRAI‘s QoS survey has been used to show that customer satisfaction across the
country is fairly homogeneous in nature.

4.4 Tools used for the study
Online web hosting is used as the tool for administering the questionnaire to the various
respondents. The web site used was http://www.surveygizmo.com.

Customer focus of wireless telecom companies in India

Page 23
METHODOLOGY AND DESIGN OF STUDY
4.5 Treatment of data
The raw data collected from questionnaires is suitably tabulated to make statistical
inference. The data is analysed using:


Microsoft Excel, and



SPSS ( Statistical Package for Social Sciences)

From the responses, suitable information is extracted, analyzed, tabulated and illustrated
using factor analysis, regression analysis and other tools. Various tables and graph obtained
by using Microsoft Excel and SPSS have been used for drawing inferences and make
suggestions thereupon.
The satisfaction scores have been represented in the following way based on the
methodology followed by the surveys conducted by TRAI:4.5.1 Weighted satisfaction scores
Overall weighted satisfaction score is ascertained using the following formula(s):
Mean score = A/N
Where:
A = (No of subscribers who have given a rating of very satisfied X 5 + No of subscribers
who have given a rating of satisfied X 4 + No of subscribers who have given a rating of
neutral X 3+ No of subscribers who have given a rating of dissatisfied X 2+ No of
subscribers who have given a rating of very dissatisfied X 1)
N=Total sample size achieved
Overall weighted satisfaction score = {(Mean score-1)/4} X100
Thus, if all customers are very satisfied, the operator can get a score of 100%. On the other
hand, if all the customers are very dissatisfied, the operator gets a score of 0%. Thus, the
Customer focus of wireless telecom companies in India

Page 24
METHODOLOGY AND DESIGN OF STUDY
scale has been calibrated to range between 0% and 100%. The satisfaction benchmarks
have been compared against weighted satisfaction scores.

Customer focus of wireless telecom companies in India

Page 25
Chapter 5
ANALYSIS AND
FINDINGS
ANALYSIS AND FINDINGS
5 ANALYSIS AND FINDINGS
5.1 Questionnaire analysis
The survey population consists of mobile/cell phone users. The questionnaire has been
attempted by 196 respondents of which 109 responses were complete and deemed usable.
5.1.1 Demographic profile of respondents
1. Age: the table and graph clearly depict that the majority of the respondents were in the
age group of 0-35 years. Therefore majority of sample population was young.

Figure ‎5-1: Age profile of respondents for the survey

Table 1: Summary of age profile of respondents for the survey
Summary
Value

Count Percent %

0-25 years

62

57%

25-35 years

43

39%

35-50 years

3

3%

50 years and above 1

1%

Customer focus of wireless telecom companies in India

Page 26
ANALYSIS AND FINDINGS
2. Gender: the majority of respondents were male clearly depicted by the pie chart and
table.
Figure ‎ -2: Gender profile of respondents for the survey
5

Table 2: Summary of gender profile of respondents for the survey
Summary
Value

Count Percent %

Male

81

74%

Female 28

26%

3. Occupation: most of the respondents were employed (57%) or student (41%). This
represents the dominant customer base for the wireless telecom services.

Figure ‎5-2: Occupation profile of respondents for the survey

Customer focus of wireless telecom companies in India

Page 27
ANALYSIS AND FINDINGS

Table 3: Summary of occupation profile of respondents for the survey
Summary
Value

Count Percent %

Employed

62

57%

Student

45

41%

Self employed (Business owner) 2

2%

4. Operator: 41% of the respondents were subscribers of Airtel while 30% were using
Vodafone. The other important operators whose subscribers responded for the survey are:
BSNL (7%), Reliance Communications (6%), Tata Teleservices (6%), Idea Cellular (3%)
and others (7%). This is clearly depicted in the pie-chart as well as the table.

Figure ‎5-3: Operator profile of respondents for the survey

Customer focus of wireless telecom companies in India

Page 28
ANALYSIS AND FINDINGS
Table 4: Summary of operator profile of respondents for the survey
Summary
Value

Count Percent %

Bharti airtel

45

41%

Vodafone

33

30%

BSNL

8

7%

Reliance communications 6

6%

Tata tele-services

6

6%

Idea

3

3%

MTNL

2

2%

Reliance telecom

2

2%

Aircel

1

1%

Others (Specify)

2

2%

Spice

1

1%

5. Area: 64% of the respondents belonged to the metropolitan area, while 19% belonged to
urban area. On the other hand, only 11% belonged to semi-urban area and 6% belonged to
rural area.
Figure ‎5-4: Area profile of respondents for the survey

Customer focus of wireless telecom companies in India

Page 29
ANALYSIS AND FINDINGS
Table 5: Summary of Area profile of respondents for the survey

Summary
Value

Count Percent %

Metropolitan 70

64%

Urban

21

19%

Semi-urban

12

11%

Rural

6

6%

6. User type: the majority of the respondents were prepaid (60%), while postpaid
respondents consisted of 40% of the sample.
Figure ‎5-5: User type profile of respondents for the survey

Table 6: Summary of User type profile of respondents for the survey
Summary
Value
Prepaid

Count Percent %
65

60%

Postpaid 44

40%

Customer focus of wireless telecom companies in India

Page 30
ANALYSIS AND FINDINGS
7. Technology type: the majority of the respondents were using the GSM phones (85%) of
telecom operators highlighting the popularity as well as market share of GSM technology
compared to CDMA technology.
Figure ‎5-6: Technology type profile of respondents for the survey

Table 7: Summary of Technology type profile of respondents for the survey
Summary
Value

Count Percent %

GSM

92

85%

CDMA 16

15%

We are analysing the survey and TRAI data by first looking at the overall satisfaction levels
of the customers found from the survey. To find the overall satisfaction levels we need to
see if customers across the telecom operators have similar satisfaction levels. Than we can
use the satisfaction levels of all the operators and find the average satisfaction levels which
can be projected for the population. Therefore to be able to do this, we need to test the
satisfaction levels between the operators. We use oneway ANOVA test to find out whether
the overall satisfaction scores are significantly not different.

Customer focus of wireless telecom companies in India

Page 31
ANALYSIS AND FINDINGS
5.1.2 Oneway ANOVA on survey data operator-wise
We conduct one way ANOVA for testing whether there is significant difference between
the means of overall quality for different operators from the survey data. Therefore for the
purpose of doing the analysis the selected operators (with sample size in brackets) are
Bharti Airtel (43), Vodafone (33), BSNL (8), Reliance Communications (6), Tata
Teleservices (6), Others (10). These operators have been coded for the purpose of analysis
as ‗Bharti Airtel = 1‘, ‗Vodafone = 2‘, ‗BSNL = 3‘, ‗Reliance Communications = 4‘, ‗Tata
Teleservices = 5‘, ‗Others = 7‘. Therefore we are testing a hypothesis that the group means
for overall quality are significantly equal.
H0: The group means of Bharti Airtel, Vodafone, BSNL, Reliance Communications, Tata
Teleservices and Others are equal.
H1: The group means of Bharti Airtel, Vodafone, BSNL, Reliance Communications, Tata
Teleservices and Others are not equal.
The descriptives of the ANOVA test illustrate the sample size, mean, standard deviation
and standard error of the circles as a group (refer to Table-35 in Appendix).
Levene‘s test is used to find whether the variances between the groups are significantly
different or not. Significance of 0.018 is lesser than 0.05 signifying that at 5% level of
significance, Levene‘s test is significant. Therefore we can say that the variances are
significantly different.
Table 8: Test of homogeneity of variances
OVLQUAL
Levene Statistic
2.873

df1

df2
5

Sig.
100

.018

The ANOVA summary table is divided into between group effects and within group effects.
The sum of squares represents the variances from between the group and within the group.
The degrees of freedom is shown in the next column. The mean square present in the next
Customer focus of wireless telecom companies in India

Page 32
ANALYSIS AND FINDINGS
column is found by dividing the sum of squares by the degrees of freedom. The mean
square represents the average amount of variance present between the groups and within the
groups. The F ratio tells us whether the group means are same or different. Here the value
of 0.844 signifies that there is higher variation within the group means than between the
group means. But the observed significance value of 0.521 is very high compared to the
cut-off of less than 0.05. Hence at 5% significance level we have to accept the null
hypothesis. Therefore we conclude that we have no statistical evidence to reject the null
hypothesis that the group means of Bharti Airtel, Vodafone, BSNL, Reliance
Communications, Tata Teleservices and Others are equal.

Table 9: Oneway ANOVA test results
OVLQUAL
Sum of Squares
Between Groups

df

Mean Square

4.791

5

.958

Within Groups

113.473

100

118.264

Sig.

1.135

Total

F
.844

.521

105

Post-hoc analysis helps us in finding whether there are significant differences between the
means. Since the ANOVA proves that there is no significant difference, we do post hoc
range tests and pairwise multiple comparisons to determine which means if any differ. The
Range test like Tukey‘s identifies homogeneous subsets of means that are not different
from each other. Pairwise multiple comparisons test like Games-Howell gives us the
difference between each pair of means and yield a matrix where asterisks indicate
significantly different group means at an alpha level of 0.05.
Games-Howell test shows that at 5% (.05) significance level, shown by the significance
column, the difference between the group means is not significant. Hence we can conclude
them to be similar (refer to Table-36 in Appendix).

Customer focus of wireless telecom companies in India

Page 33
ANALYSIS AND FINDINGS
Tukey‘s test has identified homogeneous subset of means that are not different from each
other having all the groups present in the same set signifying that the group means are fairly
homogeneous(refer to Table-37 in Appendix).
Here we plot the group means of Bharti Airtel (1), Vodafone (2), BSNL (3), Reliance
Communications (4), Tata Teleservices (5), Others (7) against the aggregate mean scores
for overall quality. This shows that the satisfaction is lower for Reliance Communications
(4) customers after taking into account the variable sample sizes for each operator.
Figure ‎5-7: Plot of overall quality satisfaction means versus telecom operator

Therefore we can conclude that customer satisfaction for all the operators for overall
quality is significantly not different. Therefore we can compile to see a holistic picture of
customer satisfaction across the country. We have compiled this data and compared it with
the TRAI survey data.
But to validate the findings of the survey we need to be able to compare the satisfaction
levels shown by the sample with that of other surveys. Here we use TRAI survey‘s on
assessment of quality of service. TRAI has done comprehensive surveys in each of the
telecom circles in India. Therefore, the satisfaction levels expressed in TRAI surveys can be
considered to be valid for the whole of the country. Now if we want to compare with TRAI
Customer focus of wireless telecom companies in India

Page 34
ANALYSIS AND FINDINGS
data, we have to compile an average of all the operators to see a satisfaction score
representing India. Therefore we need to test whether the satisfaction level for customers
across the operators is similar. Only then can we group them together. So we conduct a
oneway ANOVA test on TRAI data operator-wise to see whether the overall satisfaction
scores are significantly not different.
5.1.3 Oneway ANOVA on TRAI data operator-wise
We conduct one way ANOVA for testing whether there is significant difference between
the means of overall quality for different operators from the TRAI data. Therefore for the
purpose of doing the analysis the selected operators (with number of circles of operation in
brackets) are Aircel(9), Bharti Airtel (22), BSNL (22), Idea (10), Reliance Communications
(22), Tata Teleservices (19), Vodafone (19), Others (5). These operators have been coded
for the purpose of analysis as ‗Aircel = 1‘, ‗Bharti Airtel = 2‘, ‗BSNL = 3‘, ‗Idea = 4‘,
‗Reliance Communications = 5‘, ‗Tata Teleservices = 6‘, ‗Vodafone = 7‘, ‗Others = 8‘.
Therefore we are testing a hypothesis that the group means for overall quality are
significantly equal.
H0: The group means of Aircel, Bharti Airtel, BSNL, Idea, Reliance Communications, Tata
Teleservices, Vodafone and Others are equal.
H1: The group means of Aircel, Bharti Airtel, BSNL, Idea, Reliance Communications, Tata
Teleservices, Vodafone and Others are not equal.
The descriptives of the ANOVA test illustrate the sample size, mean, standard deviation
and standard error of the circles as a group (refer to Table-38 in Appendix).
Levene‘s test is used to find whether the variances between the groups are significantly
different or not. Significance of 0.017 is lesser than 0.05 signifying that at 5% level of
significance, Levene‘s test is significant. Therefore we can say that the variances are
significantly different.

Customer focus of wireless telecom companies in India

Page 35
ANALYSIS AND FINDINGS
Table 10: Test of homogeneity of variances
Levene Statistic

df1

2.565

df2
7

Sig.
117

.017

The ANOVA summary table is divided into between group effects and within group effects.
The sum of squares represents the variances from between the group and within the group.
The degrees of freedom is shown in the next column. The mean square present in the next
column is found by dividing the sum of squares by the degrees of freedom. The mean
square represents the average amount of variance present between the groups and within the
groups. The F ratio tells us whether the group means are same or different. Here the value
of 0.417 signifies that there is higher variation within the group means than between the
group means. But the observed significance value of 0.890 is very high compared to the
cut-off of less than 0.05. Hence at 5% significance level we have to accept the null
hypothesis. Therefore we conclude that we have no statistical evidence to reject the null
hypothesis that the group means of Aircel, Bharti Airtel, BSNL, Idea, Reliance
Communications, Tata Teleservices, Vodafone and Others are equal.
Table 11: ANOVA results
ANOVA
OVLQUAL
Sum of Squares
Between Groups

Df

Mean Square

.182

7

.026

Within Groups

7.282

117

7.464

Sig.

.062

Total

F
.417

.890

124

Tukey‘s test has identified homogeneous subset of means that are not different from each
other having all the groups present in the same set signifying that the group means are fairly
homogeneous(refer to Table-39 in Appendix).
Here we plot the group means of Aircel (1), Bharti Airtel (2), BSNL (3), Idea (4), Reliance
Communications (5), Tata Teleservices (6), Vodafone (7) and Others (8) against the
Customer focus of wireless telecom companies in India

Page 36
ANALYSIS AND FINDINGS
aggregate mean scores for overall quality. This shows that the satisfaction is lower for
BSNL (3), Idea (4) and Reliance Communications (5) customers after taking into account
the variable sample sizes for each operator.
Figure ‎5-8: Plot of Operator vs overall satisfaction

5.1.4 Overall customer satisfaction scores from survey

After the testing the survey data and TRAI data across the operators, we can conclude that
they are significantly not different across the operators. Therefore we can compare these
two data sets to see the similarities and dissimilarities (Refer to Table-40 in Appendix).
The satisfaction scores are comparable except for billing, customer care and value added
services categories. In these categories the satisfaction scores from the survey are
comparatively lower than that of the TRAI data. Hence based on this analysis we are
describing the case of Airtel. We have taken the case of Airtel, the leading telecom service
provider for analysing the research objectives. The reasons for using Airtel as a case, is
because it is at the forefront of providing customer focussed solutions. The survey data is
also sufficiently available for Airtel.

Customer focus of wireless telecom companies in India

Page 37
ANALYSIS AND FINDINGS
5.2 Airtel – A case analysis
5.2.1 Airtel: profile
Bharti Airtel is one of the leading providers of telecom service providers in India. The
company offers mobile, wireline, broadband and DTH services. The company primarily
operates in India and is headquartered in New Delhi. The company recorded revenues of
INR 373,520.8 million during the financial year ending March 2009 showing an increase of
38.3% over the previous year. Its net profits where INR 78,589.5 million for the same time
period, showing an increase of 22.9% over the previous year.
Bharti Airtel has three major business divisions: mobile services, telemedia services and
enterprise services division.
The company's mobile services division offers mobile services using GSM technology in all
the major telecom circles of India. It operates under the ‗Airtel‘ brand, and offers prepaid,
postpaid, roaming and value-added services through its sales and distribution channel. It
had over 93 million customers in the wireless segment of the market, thus capturing 24% of
the wireless segment of the overall telecom market in India.
The telemedia services division offers fixed line and broadband services through digital
subscriber line (DSL), direct to home (DTH) TV and IPTV services.
The enterprise services group, including enterprise services carriers and enterprise services
corporate segments, offers a portfolio of services to carrier and large enterprise customers,
respectively.
Bharti Airtel‘s other operations include passive infrastructure services. Bharti Infratel, a
subsidiary of the company, provides passive infrastructure services on a non-discriminatory
basis to all telecom operators in India. Bharti Infratel deploys, owns and manages passive
infrastructure in 11 circles of India. Bharti Infratel also holds 42% share in Indus Towers, a
joint venture between Bharti Infratel, Vodafone and Idea Cellular.
We are focussing on the mobile services division of Airtel in this study, as it is the biggest
segment contributing almost 80% to total revenues of the company. It is also the division
Customer focus of wireless telecom companies in India

Page 38
ANALYSIS AND FINDINGS
which can make maximum impact on people‘s lives as they are having above 90 million
subscribers.
5.2.2 Partners
According to their official website, the major partners of Bharti Airtel are:
Table 12:‎Airtel’s‎strategic‎partners
Network

Network Equipment

Nokia Siemens, Ericsson, Huawei

Equipment
Telemedia

&

Distance Services

Long Nokia Siemens, Wipro, Cisco, Alcatel
Lucent, ECI, Tellabs

Information Technology

IBM

Call Centre Operations

IBM

Daksh,

Hinduja

TMT,

Teleperformance,
Mphasis, Firstsource & Aegis

Equity Partner {Strategic}

Singtel

5.2.3 Swot analysis
According to Datamonitor [8], Bharti Airtel being in a highly competitive telecom industry
is still the leading provider of telecom services in India. Integrated operations and strategic
partnerships provide a competitive advantage to the company as it allows the company to
control the quality of services delivery and brand offerings. However, increasing
competition in the Indian telecom market could affect its market share in coming years.

Customer focus of wireless telecom companies in India

Page 39
ANALYSIS AND FINDINGS

Table 13: SWOT analysis of Airtel
Strengths

Weaknesses

Integrated operations

Relatively weak corporate house

Strong brand value

Billing

Significant strategic partnerships

Customer care

Sales and pre-sales
Network performance
VAS

Opportunities

Threats

Low penetration rates

Increasing competition

New services

Regulations

Expanding presence

Decreasing ARPU

Strengths


Integrated operations: the company is an integrated player by having presence in the
infrastructure, wholesale services, enterprise and customer services etc. areas of the
telecom market. Being an integrated player, the company enjoys the synergies
existing between the different services helping the company in diversifying their
product portfolio and to control the quality of service delivery. For example, the
company launched triple play services with ‗Airtel digital TV interactive‘ providing

Customer focus of wireless telecom companies in India

Page 40
ANALYSIS AND FINDINGS
telephone, broadband and TV on a single line. The company is also able to benefit
from its presence in all the 23 telecom circles of India by leveraging on its brand
value of providing reliable connectivity all over India.


Strong brand value: the company has a strong brand value, established over a period
of many years. It is evident from the numerous awards and accolades received by it
in recent years. It was ranked second behind LIC as the most trusted brand in the
country, by the Economic Times. It intends to be the Most Admired Brand in India
by 2010. Along with being a trusted and admired brand, they also intend to become
the most Innovative brand in the country, delivering the most exciting and creative
services in all domains.



Significant strategic partnerships: the company has strategic alliances with various
leading industry players. It has a long standing strategic alliance with SingTel,
which has enabled it to further enhance and expand telecommunications network in
India. Its equipment partners include Ericsson, Nokia Siemens and Huawei. Its
technology partners include IBM which has been working closely with the company
to transform IT systems, key business processes and establishing an enterprise
integration platform. Its telephone services and long distance networks equipment
partners include Siemens, Cisco, Wipro and Tellabs, among others. It is also
associated with Nortel, IBM Daksh, Mphasis, Firstsource, Teleperformance, Aegis
and HTMT for providing application servers and interactive applications to enhance
digital lifestyle for its customers. It also works with On Mobile, Comviva, Yahoo,
Google and Cellbrum to provide unique customer experience through dedicated call
center operations. It also has a strategic partnership with Infosys to provide a suite
of products, including devices, experience in the areas of CRBT (caller ring back
tone), Music on Demand, Email services and other Airtel Live applications. It also
has a joint venture with Alcatel Lucent for managed services for its broadband and
fixed line/ telephone services. Strategic partnerships enhance the company‘s ability
to introduce new services and compete effectively.



Sales and pre-sales: they have a strong sales and pre-sales focus. This is evident the
customer satisfaction surveys done by other agencies like voice and data. They have

Customer focus of wireless telecom companies in India

Page 41
ANALYSIS AND FINDINGS
established thousands of Airtel service outlets which add to the visibility of the
brand.


Network performance: Airtel has also got high customer satisfaction ratings for
network performance. This is evident from its push to have maximum network
towers. The idea of outsourcing the network operations to world-class leaders who
are experienced in managing networks has also helped Airtel in professional
management of the networks.



Value Added Services: Airtel has been at the forefront of providing value added
services and customer satisfaction levels over the years found by voice and data
conform these.

Weaknesses


Relatively weak corporate house: the promoter Bharti Enterprises, has a relatively
weak corporate house image compared to its major competitors. Despite having a
strong brand value for Airtel brand, Bharti Enterprises as a corporate house is
relatively weak compared to its major competitors like Tata Group (Tata
Teleservices), Aditya Birla Group (Idea Cellular) and Anil Dhirubhai Ambani
Group (Reliance Communications). Bharti Enterprise is not a conglomerate.
Companies being part of a conglomerate group would have synergies in various
aspects, including relationship with various agencies, well established distribution
network, cooperation between different units and brand recognition. While, weak
corporate image did not have a negative effect on the company, relatively weak
corporate image could result in competitive disadvantage for the company.



Billing: Airtel hasn‘t been rated well for billing services by customers over the years
found by voice and data.



Customer service: customers are also not happy with the satisfaction from customer
service provided. Voice and data surveys show low ratings for customer satisfaction
from customer service. Therefore we can consider these as weakness upon which
Airtel needs to work.

Opportunities
Customer focus of wireless telecom companies in India

Page 42
ANALYSIS AND FINDINGS


Low penetration rates: The Indian telecom market is one of the less penetrated
markets in the world having telecom penetration rate of 37% at the end of 2008,
wireless penetration rate of 33.7% and broadband penetration of 0.54%. The low
penetration rates signify potential for growth in coming years. The factors of
increasing urbanization, rising income levels, untapped rural markets and a large
young population is expected to support the growth of the telecom market further.
Airtel being the leading player is in an enviable position to take the market to its
next level of growth.



New services: the company has been introducing various new services in recent
times. In October 2008, it launched direct-to-home (DTH) TV services, digital TV,
in India. In January 2009, it introduced triple play service by launching Airtel digital
TV interactive, an internet protocol (IP) TV service combined with telephone and
broadband. The company‘s new services will allow it to diversify its offerings and
allow it to tap the growth potential of the market.



Expanding presence: the company has been expanding its presence outside India in
recent times. Airtel entered the Sri Lankan market for telecom services in January
2009. The company‘s experience in the Indian market and low cost business model
allowed it to enter Sri Lankan market. Additionally, the company launched the
virtual calling card service in the UK, Singapore and Canada, and calling rate of 1
cent per minute in the US on its online calling card service. The company‘s
expanding presence would diversify its operations and enhance its brand image.

Threats


Increasing competition: The competition in the Indian telecom market is increasing
in recent time owing to expansion of existing players and entry of new players. In
recent times, the market has experienced launch of services in new circles by
existing players and migration to GSM technology by CDMA players. International
players such as Vodafone and NTT DOCOMO also made a direct entry into the
market. NTT DOCOMO entered the market as TATA DOCOMO through an
alliance with Tata Teleservices, a CDMA service provider. Additionally, Tata

Customer focus of wireless telecom companies in India

Page 43
ANALYSIS AND FINDINGS
Teleservices also launched Virgin Mobile services targeting young generation
through a brand franchise agreement with Virgin Group. Increasing competition
could affect the company‘s market share in coming years.


Regulations: The telecom regulations being handled by the Department of
Telecommunication (DoT) and TRAI are ever increasing in their scope. In recent
times, there have been significant modifications and additions to regulations. The
regulatory changes could affect the company‘s revenues, and may require it to make
changes in organization to adapt to new regulations.



Decreasing ARPU: The telecom service charges in India have been decreasing in
recent times. Despite having one of the world‘s lowest tariffs for local and long
distance calls, the telecom services charges in India continue to fall due to
competitive pressures. As a result, average revenue per user (ARPU) of various
players in India has been decreasing. Although, revenues of telecom players in India
have been growing in recent year due to new customer additions, inability to attract
new customers and retain existing customers would affect the company‘s revenues
and profitability.

5.2.4 Top competitors
The following companies are the major competitors of Bharti Airtel Limited.










Vodafone Group PLC.
Bharat Sanchar Nigam Limited.
Videsh Sanchar Nigam Limited.
Aircel Limited.
Idea Cellular Ltd.
NTT DoCoMo, Inc.
Reliance Communications Ltd.
Tata Communications Limited.
Tata Teleservices (Maharashtra) Limited.

5.2.5 Customer focussed strategies of Airtel
After specifying the strengths, weaknesses, opportunities and threats for Bharti Airtel, we
focus on the specific customer-oriented strategies implemented by them in the recent past.
Customer focus of wireless telecom companies in India

Page 44
ANALYSIS AND FINDINGS
The customer focussed strategies will give us an idea of where Airtel stands in terms of its
ability to service the customer. The customer focussed strategies of Airtel are:


Rural India focus: The partnerships with IFFCO and Nokia, has led to a huge
transformational impact in rural India with enhanced agricultural productivity and
quality of life. Through the joint venture with IFFCO (IFFCO Kisan Sanchar Ltd.),
they have kicked off a unique initiative to harness the power of telecom to add value
to the farm sector. It provides information on key elements like weather, farming
techniques and commodity rates to the farmers to enhance their productivity.
Another initiative has been the creation of Airtel Service Centres. They already have
around 18,000 of these up and running in villages, enabling them to cater to 400
different languages and dialects. This concept has led to local people serving the
rural customers instead of town and city people.



M-commerce domain: M-commerce is the area of mobile commerce where the
mobile devices are used for conducting transactions. It has developed a solution
called m-Cheque along with partners, where special SIM card is used for financial
transactions replacing the credit card or hard currency. Some of the areas where
Airtel wants to focus are:
o Financial Inclusion: they want to unlock the market of the unbanked people
consisting of 80-85% of population by making the mobile phone act as their
ATM.
o Domestic money-transfer market: they want to offer alternative ways of
money transfer in the domestic market through the use of the mobiles which
have percolated in the market.
o International money transfer: they are planning to work with financial
institutions to speed up the money transfer process and adding value to the
offering by making it pervasive through their 1.2 million retail outlets.



Local city search: it has partnered with Asklaila, India‘s first local information
service, to provide up-to-date information about metro cities, free of cost, from the

Customer focus of wireless telecom companies in India

Page 45
ANALYSIS AND FINDINGS
extensive city information database for Delhi, Mumbai, Chennai, Hyderabad,
Kolkata and Bangalore.


Enhanced customer experience for platinum customers: it is providing enhanced
customer experience for top-end platinum customers by partnering with IBM Daksh
through process and technology innovation like regional language customer service
etc.



Superior service quality and customer experience: with the mobile services business
contributing 81% to the consolidated revenues of the company. Its prime focus is on
ensuring customer satisfaction through network quality; superior customer service
and continuous innovation in value added services that would help expand its
mobile subscriber base and drive up volumes. Their customer empowerment
strategy has already proved a key differentiator. At the heart of this strategy lies
robust processes that enable customers to change their bill plans or start and stop
services at will, reducing the need for intermediation.

From the customer focussed strategies, we can infer that Airtel is continuously looking for
avenues to improve the overall experience for its customers. But we need empirical
evidence to prove this to be so. Therefore the study uses quantitative and qualitative data
from customer satisfaction surveys done by TRAI as well as survey instrument to find the
customer perception of service quality delivered by Airtel. This data can be used to analyse
whether Airtel has been succeeding in providing superior customer service. Therefore we
first analyse quantitative data to arrive at findings.
5.2.6 Airtel quantitative data analysis
5.2.6.1 TRAI data analysis for Airtel
The telecom regulator TRAI has, under the regulation of ‗Regulation on Quality of Service
of Basic and Cellular Mobile Telephone Services, 2005‘ conducting annually audits and
surveys in all the telecom circles with the help of independent agencies. The surveys have
been conducted regarding the customer perception of the Quality of Service of all the
operators present in a given telecom circle. The results of these surveys provide satisfaction
Customer focus of wireless telecom companies in India

Page 46
ANALYSIS AND FINDINGS
scores for the sample under various parameters of Quality of service. They are Service
provision, network performance, reliability and availability, maintainability, help services,
billing, supplementary services and overall satisfaction. The following graphs present the
satisfaction scores for the various parameters mentioned above, for telecom operator Airtel,
in all the telecom circles it has presence in, for the years 2001, 2003, 2006, 2007 and 200809.
5.2.6.1.1 Customer satisfaction with the provision of service
Figure ‎5-9: Plot of TRAI data on customer satisfaction with provision of service

CUSTOMER SATISFACTION WITH PROVISION OF
SERVICE
120.00%
100.00%
80.00%
CUSTOMER
60.00%
SATISFACTION
40.00%

TRAI BENCHMARK
2001-02
2003-04

20.00%

2006

0.00%

2007
2008-09

TELECOM CIRCLES

From the table (refer to Table-41 in Appendix) we can make out that the customer
satisfaction with provision of service over the time period has decreased comparatively.
This might be for two reasons. Either it might be due to the learning curve of customers,
who have greater expectations or due to lower service quality level of Airtel. The data also
shows that telecom circles like Bihar, Himachal Pradesh (HP), North East (NE) show
drastic decrease in provision of service quality or otherwise pre-sales service. This may be
because the operator might be focusing on the major circles belonging to Metros, Type ‗A‘
and Type ‗B‘ circles which might be having higher ARPU‘s and hence higher revenue
potential. The graphical representation of the same data is given above.
Customer focus of wireless telecom companies in India

Page 47
ANALYSIS AND FINDINGS
5.2.6.1.2 Customer satisfaction with the postpaid billing performance

Figure ‎5-10: Plot of TRAI data on customer satisfaction with postpaid billing
performance

CUSTOMER SATISFACTION WITH POSTPAID
BILLING PERFORMANCE
120.00%
100.00%
80.00%
CUSTOMER
SATISFACTION

60.00%

TRAI BENCHMARK

40.00%

2001-02

20.00%

2003-04

0.00%

2006
2007
2008-09

TELECOM CIRCLES

For customer satisfaction from postpaid billing performance, when we see the table (refer to
Table-42 in Appendix) we can find that the satisfaction is far lower recently even though
the TRAI benchmark also is low. The circles of Assam, North east (NE) and HP show very
low satisfaction scores. This shows the lacunae in providing customer service in those
circles. Another observation which can be made is the gradual lowering of satisfaction
scores in most circles from 2006 to 2008. The graphical representation of the data has been
shown below.

Customer focus of wireless telecom companies in India

Page 48
ANALYSIS AND FINDINGS
5.2.6.1.3 Customer satisfaction with the prepaid billing performance

Figure ‎5-11: Plot of TRAI data on customer satisfaction with prepaid billing
performance

CUSTOMER SATISFACTION WITH PREPAID
BILLING PERFORMANCE
120.00%
100.00%
80.00%
CUSTOMER
SATISFACTION

60.00%

TRAI BENCHMARK

40.00%

2001-02

20.00%

2003-04

0.00%

2006
2007
2008-09

TELECOM CIRCLES

The next table (refer to Table-43 in Appendix) specifies about the prepaid billing
performance across the circles, but a distinct point which can be noted down is that the
customer satisfaction across the states has remained significantly similar while across time
it has gone down drastically. For the year 2006 customer satisfaction levels where in the
range of 90-100% except for two circles. In 2007 the satisfaction levels came down to 8090%. And in 2008-09 the satisfaction levels hover in the range of 60-80%. This might
indicate growing customer expectations regarding accuracy of prepaid charges as telecom
operators are always improving in providing this service.

Customer focus of wireless telecom companies in India

Page 49
ANALYSIS AND FINDINGS
5.2.6.1.4 Customer satisfaction with help services

Figure ‎5-12: Plot of TRAI data on customer satisfaction with help services

CUSTOMER SATISFACTION WITH HELP SERVICES
120.00%
100.00%
80.00%
CUSTOMER
SATISFACTION

TRAI BENCHMARK

60.00%

2001-02

40.00%

2003-04
20.00%

2006

0.00%

2007
2008-09

TELECOM CIRCLES

In case of customer satisfaction with help services (refer to Table-44 in Appendix) or
popularly known as customer care services, we can see a different trend compared to the
previous results. The customer satisfaction levels have remained stagnant over the years
from 2006 to 2008-09. They were at historically low levels from 2006, and still haven‘t
improved until 2008-09 according to customers. Therefore Airtel has a big task in trying to
improve the customer perception of the help services provided by them.

Customer focus of wireless telecom companies in India

Page 50
ANALYSIS AND FINDINGS
5.2.6.1.5 Customer satisfaction with network performance, reliability and availability

Figure ‎5-13: Plot of TRAI data on customer satisfaction with network performance,
reliability and availability

CUSTOMER SATISFACTION WITH NETWORK
PERFORMANCE
120.00%
100.00%
80.00%
CUSTOMER
SATISFACTION

60.00%

TRAI BENCHMARK

40.00%

2001-02

20.00%

2003-04

0.00%

2006
2007
2008-09

TELECOM CIRCLES

In case of customer satisfaction with network performance, reliability and availability we
can see from the table (refer to Table-45 in Appendix) and the graph as well that the
customer satisfaction level across time period is fairly similar. But the satisfaction levels
show wide disparity across the circles, which have remained so over the years. Circles like
Bihar, Gujarat, Kolkata, Tamil Nadu and West Bengal show customer satisfaction levels
below the TRAI benchmark consistently. Therefore Airtel can go through the TRAI audit
reports on the network performance of its towers to see if the problem is a reality or is the
problem only in the minds of customers. If the problem is first one, than Airtel can look at
improving network performance, while if the problem is the second one, than Airtel can try
to communicate specifically for these sectors about its good network performance.

Customer focus of wireless telecom companies in India

Page 51
ANALYSIS AND FINDINGS
5.2.6.1.6 Customer satisfaction with maintainability

Figure ‎5-14: Plot of TRAI data on customer satisfaction with maintainability

CUSTOMER SATISFACTION WITH
MAINTAINABILITY
120.00%
100.00%
80.00%
CUSTOMER
SATISFACTION

60.00%

TRAI BENCHMARK

40.00%

2001-02

20.00%

2003-04

0.00%

2006
2007
2008-09

TELECOM CIRCLES

Customer satisfaction with maintainability shows that satisfaction levels have remained
pretty stagnant over the years with high satisfaction levels in only some of the circles (refer
to Table-46 in Appendix). But a point to note is the drastic fall in customer ratings given to
Airtel for maintainability from 2006 to 2008-09 in the circles of Bihar (96% to 65%),
Gujarat (88% to 67%), Himachal Pradesh (100% to 66.4%) and Tamil Nadu (100% to
74%). Another point is the very low ratings in the UP West circle consistently over the
period of 4 years. Airtel should seriously take a look at those numbers and design it‘s
strategy.

Customer focus of wireless telecom companies in India

Page 52
ANALYSIS AND FINDINGS
5.2.6.1.7 Customer satisfaction with offered supplementary services

Figure ‎5-15: Plot of TRAI data on customer satisfaction with offered supplementary
services

CUSTOMER SATISFACTION WITH OFFERED
SUPPLEMENTARY SERVICES
120.00%
100.00%
80.00%
CUSTOMER
SATISFACTION

60.00%

TRAI BENCHMARK

40.00%

2001-02

20.00%

2003-04
2006

0.00%

2007
2008-09

TELECOM CIRCLES

Customer satisfaction with offered supplementary services or popularly known as value
added services shows that the satisfaction levels have come down over the period of 4 years
in all the circles signifying the higher expectations of customers (refer to Table-47 in
Appendix). The only circle showing a problem for Airtel is Himachal Pradesh (HP). They
should take a note of this.

Customer focus of wireless telecom companies in India

Page 53
ANALYSIS AND FINDINGS
5.2.6.1.8 Customer satisfaction with overall quality of service

Figure ‎5-16: Plot of TRAI data on customer satisfaction with overall quality of service

CUSTOMER SATISFACTION WITH OVERALL
QUALITY

120.00%
100.00%

80.00%
CUSTOMER
60.00%
SATISFACTION

TRAI BENCHMARK
2001-02

40.00%

2003

20.00%

2006

0.00%

2007
2008-09

TELECOM CIRCLES

Figure ‎5-17: Plot of TRAI data on customer satisfaction with overall quality of service

CUSTOMER SATISFACTION WITH OVERALL
QUALITY
100.00%
80.00%

CUSTOMER
SATISFACTION

60.00%
OVERALL CSAC SCORE

40.00%

TRAI BENCHMARK

20.00%
0.00%
2001-02 2003

2006

2007 2008-09

YEAR

Customer satisfaction with overall quality of service (QoS) provided by Airtel shows
similarities between time periods (refer to Table-48 in Appendix). That is the ratings given
Customer focus of wireless telecom companies in India

Page 54
ANALYSIS AND FINDINGS
by customers have remained similar for circles relative to other circles over the time period.
But there are wide differences in terms of ratings given across circles. And the ratings show
a downward trend over the years. Therefore Airtel has to improve overall performance of
its services across the circles, while also giving special attention to circles like Bihar,
Himachal Pradesh, Kolkata, Maharashtra, Mumbai and West Bengal where the ratings
lower relatively.
Through the critical analysis of TRAI survey data of customer satisfaction across the
telecom circles where Airtel has a presence, helps us in considering in detail the problems
associated with service quality related to different factors and different telecom circles. It
gives Airtel the rationale to make specific improvements in specific sectors of service
quality and in specific circles of India to improve overall satisfaction for its customers, as
well as brand image in the minds of its stakeholders.
5.2.6.2 Summarized findings of analysis of TRAI data for Airtel


Pre-sales service quality in Bihar, Himachal Pradesh, North East has gone down
drastically.



Postpaid service quality in Assam, North east and Himachal Pradesh is very low
among customers.



Prepaid service quality has remained stagnant relatively between circles, but the
satisfaction as a whole has come down over the years‘ according to customer‘s
perceptions.



Customer service quality has remained stagnant across the years as well as across
the circles.



Network performance quality in Bihar, Gujarat, Kolkata, Tamil Nadu and West
Bengal has remained below TRAI benchmark consistently over the years. While in
other circles like Andhra Pradesh, Chennai, Karnataka, Kerala, Orissa, Punjab and
Uttar Pradesh (East) network performance quality has remained high consistently.



Maintainability quality has come down in Bihar (96% to 65%), Gujarat (88% to
67%), Himachal Pradesh (100% to 66.4%) and Tamil Nadu (100% to 74%) from
2006 to 2008-09. It has remained low in UP West circle consistently over the period
of 4 years.



Value added services quality has come down across the circles from 2006 to 200809.

Customer focus of wireless telecom companies in India

Page 55
ANALYSIS AND FINDINGS


Overall quality of service according to customers has come down from 81.83% in
2001 to 70.43%in 2008-09, a change of 11.4% points over 8 years.



Airtel should give special attention to Bihar, Himachal Pradesh, Kolkata,
Maharashtra, Mumbai and West Bengal circles to improve their overall quality
satisfaction scores.

Now to find out specific causes for the problems identified earlier we have conducted a
primary online survey across 196 respondents out of which 109 have responded completely.
The objective of the survey is to find out underlying causes and factors behind the
downward trend of customer satisfaction levels. Out of the 109 respondents, 43 respondents
were Airtel customers. Now, to generalize the findings of the underlying causes for all the
Airtel customers across India, we have to first find out whether the overall satisfaction from
Airtel services is significantly similar across all the telecom circles according to TRAI data.
That is, we have to prove statistically that there is no significant difference between the
overall quality scores given as an aggregate for a circle with that of the other circles where
Airtel has a presence. If we are able to prove the overall quality scores being fairly similar
across the circles, it will imply that the overall quality of services (QoS) provided by Airtel
is perceived to be similar by Airtel customers across India. To prove the above statement
we will conduct Oneway ANOVA test in SPSS on the overall quality satisfaction scores
given by the Airtel customers according to TRAI data. The One-Way ANOVA procedure
produces a one-way analysis of variance for a quantitative dependent variable by a single
factor (independent) variable. Analysis of variance is used to test the hypothesis that several
means are equal.
5.2.6.3 Oneway ANOVA on TRAI data segment-wise
To perform the Oneway ANOVA test the telecom circles have to be divided into
meaningful groups or clusters. Therefore the telecom circles were divided into categories to
find whether there was any significant difference between the overall quality mean scores
of these categories. They were divided according to the classification given by the TRAI.
TRAI has divided the circles based on the income levels of the circles. Therefore the
metropolitan cities are categorized under the type ‗METRO‘ circles. High income states
like Andhra Pradesh, Gujarat and Tamil Nadu are categorized under type ‗A‘ circles.
Middle income states like Kerala, Rajasthan and Haryana have been categorized under type
‗B‘ circles. Low income states like Assam, Bihar, Orissa have been categorized under type
Customer focus of wireless telecom companies in India

Page 56
ANALYSIS AND FINDINGS
‗C‘ circles. Now these 4 types of circles have been grouped and been coded for conducting
the test. ‗METRO‘ circle consisting of metropolitan cities have coded ‗1‘. In the same way
Type ‗A‘, Type ‗B‘, Type ‗C‘ circles have been coded ‗2‘, ‘3‘, ‗4‘ respectively. Now these
circles coded as numbers 1-4 were named as CODE_I variable. Now these circles coded as
numbers 1-4 were compared with those circles mean aggregate scores for overall quality for
the year 2008-09 named as FOUR_POINT. Therefore we are testing a hypothesis that the
group means are significantly equal.
H0: The group means of METRO, A, B, C circles are equal.
H1: The group means of METRO, A, B, C circles are not equal.
The descriptives of the ANOVA test illustrate the mean, standard deviation and standard
error of the circles as a group.
Table 14: Descriptives of oneway ANOVA test
95% Confidence Interval for
Mean
N

Mean

Std. Deviation Std. Error Lower Bound

Upper Bound

Minimum Maximum

1.00

4

3.1158

.22789

.11394

2.7531

3.4784

2.92

3.43

2.00

5

3.0760

.18542

.08292

2.8458

3.3062

2.86

3.25

3.00

8

3.0754

.14916

.05274

2.9507

3.2001

2.83

3.24

4.00

6

3.1915

.40611

.16579

2.7653

3.6177

2.67

3.90

Total

23

3.1128

.24577

.05125

3.0065

3.2191

2.67

3.90

Levene‘s test is used to find whether the variances between the groups are significantly
different or not. Significance of 0.423 is higher than 0.05 signifying that at 5% level of
significance, Levene‘s test is not significant. Therefore we can say that the variances are not
significantly different. Hence we have not violated ANOVA‘s assumption of variances not
being significantly different.

Customer focus of wireless telecom companies in India

Page 57
ANALYSIS AND FINDINGS

Table 15: Test of Homogeneity of Variances
Levene Statistic

df1

.980

df2
3

Sig.
19

.423

The ANOVA summary table is divided into between group effects and within group effects.
The sum of squares represents the variances from between the group and within the group.
The degrees of freedom is shown in the next column. The mean square present in the next
column is found by dividing the sum of squares by the degrees of freedom. The mean
square represents the average amount of variance present between the groups and within the
groups. The F ratio tells us whether the group means are same or different. Here the value
of 0.274 signifies that there is higher variation within the group means than between the
group means. But the observed significance value of 0.843 is very high compared to the
cut-off of less than 0.05. Hence at 5% significance level we have to accept the null
hypothesis. Therefore we conclude that we have no statistical evidence to reject the null
hypothesis that the group means of METRO, A, B, C circles are equal.
Table 16: Oneway ANOVA test results
Sum of Squares
Between Groups

Df

Mean Square

.055

3

.018

Within Groups

1.274

19

1.329

Sig.

.067

Total

F
.274

.843

22

Post-hoc analysis helps us in finding whether there are significant differences between the
means. Since the ANOVA proves that there is no significant difference, we do post hoc
range tests and pairwise multiple comparisons to determine which means if any differ. The
Range test like Tukey‘s identifies homogeneous subsets of means that are not different
from each other. Pairwise multiple comparisons test like Games-Howell gives us the

Customer focus of wireless telecom companies in India

Page 58
ANALYSIS AND FINDINGS
difference between each pair of means and yield a matrix where asterisks indicate
significantly different group means at an alpha level of 0.05.

Table 17: Games-Howell test for post-hoc analysis segment-wise
95% Confidence Interval
(I)

(J)

CODE_I CODE_I
1.00

Mean Difference
(I-J)

Std. Error

Sig.

Lower Bound

Upper Bound

.991

-.4535

.5330

.04040

.12556

.987

-.4514

.5322

-.07575

.20117

.981

-.7218

.5703

1.00

-.03975

.14092

.991

-.5330

.4535

3.00

.00065

.09827

1.000

-.3221

.3234

4.00

-.11550

.18537

.922

-.7236

.4926

1.00

-.04040

.12556

.987

-.5322

.4514

2.00

-.00065

.09827

1.000

-.3234

.3221

4.00

-.11615

.17398

.906

-.7178

.4855

1.00

.07575

.20117

.981

-.5703

.7218

2.00

.11550

.18537

.922

-.4926

.7236

3.00

4.00

.14092

4.00

3.00

.03975

3.00

2.00

2.00

.11615

.17398

.906

-.4855

.7178

Games-Howell test shows that at 5% (.05) significance level, shown by the significance
column, the difference between the group means is not significant. Hence we can conclude
them to be similar.

Customer focus of wireless telecom companies in India

Page 59
ANALYSIS AND FINDINGS

Table 18:‎Tukey’s‎test‎for homogeneous grouping of means
Subset for alpha = 0.05
CODE_I
Tukey HSD

a,,b

N

1

3.00

8

3.0754

2.00

5

3.0760

1.00

4

3.1158

4.00

6

3.1915

Sig.

.881

Means for groups in homogeneous subsets are displayed.
a. Uses Harmonic Mean Sample Size = 5.393.
b. The group sizes are unequal. The harmonic mean of the group sizes is used. Type I error levels are not
guaranteed.

Tukey‘s test has identified homogeneous subset of means that are not different from each
other having all the groups present in the same set signifying that the group means are fairly
homogeneous.
Figure ‎5-18: Plot of overall quality satisfaction means versus telecom segments

Customer focus of wireless telecom companies in India

Page 60
ANALYSIS AND FINDINGS

Here we plot the group means of METRO (1.00), A (2.00), B (3.00), C (4.00) circles
against the aggregate mean scores for overall quality in 2008-09. This shows that the
satisfaction is higher in type C circles is compared to other circles significantly.
Hence we are able to conclude that the overall satisfaction from Airtel telecom services
across the country is not significantly different.

5.2.6.4 Oneway ANOVA on TRAI data region-wise
We also conduct oneway ANOVA for testing whether there is significant difference
between the means of overall quality for circles region-wise for the year 2008-09. Therefore
for the purpose of doing the analysis region-wise, the circles have been divided into four
distinct regions. They are North, East, South and West. Those circles which are present in
the northern region of the country according to the Indian political map have been classified
under north category. In the same way the circles have been classified under east, south and
west categories respectively. These categories have been coded for the purpose of analysis
as ‗north = 1‘, ‗east = 2‘, ‗south = 3‘, ‗west = 4‘.These coded regions were named under the
variable called CODE_II, and were compared with the aggregated overall satisfaction
means for these regions for the year 2008-09 named as FOR_POINT. Therefore we are
testing a hypothesis that the group means are significantly equal.
H0: The group means of North, East, South and West circles are equal.
H1: The group means of North, East, South and West circles are not equal.
The descriptives of the ANOVA test illustrate the mean, standard deviation and standard
error of the circles as a group.

Customer focus of wireless telecom companies in India

Page 61
ANALYSIS AND FINDINGS
Table 19: Descriptives of oneway ANOVA test between telecom regions
95% Confidence Interval for
Mean
N

Mean

Std. Deviation Std. Error Lower Bound

Upper Bound

Minimum Maximum

1.00

8

3.1878

.33600

.11879

2.9068

3.4687

2.67

3.90

2.00

6

3.0700

.15531

.06340

2.9070

3.2330

2.86

3.28

3.00

5

3.2346

.11961

.05349

3.0860

3.3831

3.11

3.43

4.00

4

2.8750

.03873

.01936

2.8134

2.9366

2.83

2.92

Total

23

3.1128

.24577

.05125

3.0065

3.2191

2.67

3.90

Levene‘s test is used to find whether the variances between the groups are significantly
different or not. Significance of 0.453 is higher than 0.05 signifying that at 5% level of
significance, Levene‘s test is not significant. Therefore we can say that the variances are not
significantly different. Hence we have not violated ANOVA‘s assumption of variances not
being significantly different.
Table 20: Test of Homogeneity of Variances
Levene Statistic
.915

df1

df2
3

Sig.
19

.453

The ANOVA summary table is divided into between group effects and within group effects.
The sum of squares represents the variances from between the group and within the group.
The degrees of freedom is shown in the next column. The mean square present in the next
column is found by dividing the sum of squares by the degrees of freedom. The mean
square represents the average amount of variance present between the groups and within the
groups. The F ratio tells us whether the group means are same or different. Here the value
of 2.320 signifies that there is higher variation between the group means than within the
group means. But the observed significance value of 0.108 is very high compared to the
cut-off of less than 0.05. Hence at 5% significance level we have to accept the null

Customer focus of wireless telecom companies in India

Page 62
ANALYSIS AND FINDINGS
hypothesis. Therefore we conclude that we have no statistical evidence to reject the null
hypothesis that the group means of North, East, South and West circles are equal.

Table 21: Oneway ANOVA test results between telecom regions
Sum of Squares

Df

Mean Square

Between Groups

.356

3

.119

Within Groups

.973

19

Sig.

.051

1.329

F

22

Total

2.320

.108

Post-hoc analysis helps us in finding whether there are significant differences between the
means. Since the ANOVA proves that there is no significant difference, we do post hoc
range tests and pairwise multiple comparisons to determine which means if any differ. The
Range test like Tukey‘s identifies homogeneous subsets of means that are not different
from each other. Pairwise multiple comparisons test like Games-Howell gives us the
difference between each pair of means and yield a matrix where asterisks indicate
significantly different group means at an alpha level of 0.05.
Table 22: Games-Howell test for post-hoc analysis for telecom regions
(I)

(J)

95% Confidence Interval

CODE_I CODE_I Mean Difference
I

I

1.00

2.00

.11775

.13465

.818

-.2915

.5270

3.00

-.04681

.13028

.983

-.4497

.3560

4.00

.31275

.12036

.123

-.0805

.7060

1.00

-.11775

.13465

.818

-.5270

.2915

3.00

-.16456

.08295

.262

-.4237

.0946

4.00

.19500

.06629

.094

-.0358

.4258

1.00

.04681

.13028

.983

-.3560

.4497

2.00

.16456

.08295

.262

-.0946

.4237

2.00

3.00

(I-J)

Std. Error

Sig.

Customer focus of wireless telecom companies in India

Lower Bound

Upper Bound

Page 63
ANALYSIS AND FINDINGS

4.00

*

.05689

.006

.1497

.5694

1.00

-.31275

.12036

.123

-.7060

.0805

2.00

-.19500

.06629

.094

-.4258

.0358

3.00

4.00

.35956

-.35956

*

.05689

.006

-.5694

-.1497

*. The mean difference is significant at the 0.05 level.

Games-Howell test shows that at 5% (.05) significance level, shown by the significance
column, the difference between the group means is not significant, except for between 3
and 4 denoting the South and West regions (Significance value of 0.006) . Hence we can
conclude them to be similar, except the relationship between the south and west regions
where the means for overall quality are significantly different.
Table 23:‎Tukey’s‎test‎for‎grouping‎of‎homogeneous‎means‎of‎telecom‎regions
Subset for alpha
= 0.05
CODE_I
I
Tukey HSD

a,,b

N

1

4.00

4

2.8750

2.00

6

3.0700

1.00

8

3.1878

3.00

5

3.2346

Sig.

.075

Means for groups in homogeneous subsets are displayed.
a. Uses Harmonic Mean Sample Size = 5.393.
b. The group sizes are unequal. The harmonic mean of
the group sizes is used. Type I error levels are not
guaranteed.

Customer focus of wireless telecom companies in India

Page 64
ANALYSIS AND FINDINGS
Tukey‘s test has identified homogeneous subset of means that are not different from each
other having all the groups present in the same set signifying that the group means are fairly
homogeneous.
Here we plot the group means of North (1.00), East (2.00), South (3.00), West (4.00) circles
against the aggregate mean scores for overall quality in 2008-09. This shows that the
satisfaction is lower in western region compared to other regions significantly.
Figure ‎5-19: Plot of telecom regions versus the overall satisfaction score means

Hence through test based on differentiation of circles according to their income levels and
the regions they belong to, we conclude that overall satisfaction from Airtel telecom
services is significantly not different across the country.

5.2.6.5 Results of survey data
After concluding that the satisfaction from telecom services to be homogeneous, we
compare the satisfaction scores of the survey data with that of the TRAI data consolidated
for the country.

Customer focus of wireless telecom companies in India

Page 65
ANALYSIS AND FINDINGS
5.2.6.5.1 Demographics of Airtel customers’ participation in the survey:
The demographic characteristics of the Airtel customers‘ who participated in the survey are:
1. Age
Figure ‎5-20: Age profile of Airtel respondents
50 years and
above
2%

25-35 years
47%

0-25 years
51%

2. Gender
Figure ‎5-21: Gender profile of Airtel respondents

Female
28%

Male
72%

Customer focus of wireless telecom companies in India

Page 66
ANALYSIS AND FINDINGS
3. Occupation
Figure ‎5-22: Occupation profile of Airtel respondents
Self employed
(Business
owner)
2%

Student
35%

Employed
63%

4. Area
Figure ‎5-23: Area profile of Aitel respondents

Rural
5%
Semi-urban
11%
Urban
7%

Metropolitan
77%

Customer focus of wireless telecom companies in India

Page 67
ANALYSIS AND FINDINGS
5. User type
Figure ‎5-24: User type profile of Airtel respondents

Postpaid
51%

Prepaid
49%

We have shown the results of the compounding of the satisfaction scores for all the various
parameters being measured under the Quality of Service (QoS) for Airtel services given by
the formula discussed in the methodology. This has been compounded with the aggregated
TRAI results for the year 2008-09 across all the circles (refer to Table-49 in Appendix).
This result gives us insights into specific areas for Airtel to concentrate on:


They should concentrate on improving their customer care services and value
added services.



In customer services, they should specifically try to improve their processes of ease
of access of the customer representatives for the customers.



They should also try to improve the time to respond to query process, problem
solving ability of the customer representatives and the time to resolve complaint
processes.



In value added services and other supplementary services they should specifically
look at the VAS charges for providing value for the customers.

Customer focus of wireless telecom companies in India

Page 68
ANALYSIS AND FINDINGS


Some of the problems recognized by Airtel customers are satisfaction with
reactivation of accounts, prepaid accuracy charges, postpaid billing complaint
resolution process and network complaint resolution process.

5.2.6.6 Hypothesis testing on TRAI data and survey data
After establishing that the aggregate satisfaction scores given for overall quality by
customers for Airtel across all telecom circles for 2008-09, to be fairly homogeneous
statistically, we have to test the hypothesis whether the weighted mean for overall quality
from the survey is significantly different from the weighted mean of overall quality given
for all the circles from the TRAI data.
H0: The means of overall quality from survey and TRAI data (2008-09) are equal.
H1: The means of overall quality from survey and TRAI data (2008-09) are not equal.
To test the hypothesis a One Sample T-Test was done on the data. The means of all circles
for overall quality was compared with the observed survey mean for overall quality of 3.88
out of 5. The statistics of the means of all the circles is given below.

Table 24: One sample Statistics
N
SCORES

Mean
22

3.8164

Std. Deviation
.33454

Std. Error Mean
.07132

The results of the test show a significance value of 0.382 which leads us to accept the null
hypothesis at 5% (0.05) significance level. Therefore we accept the null hypothesis that the
means of overall quality from survey and TRAI data (2008-09) are equal.

Customer focus of wireless telecom companies in India

Page 69
ANALYSIS AND FINDINGS

Table 25: One sample T test on overall quality satisfaction scores between survey data
and TRAI data
One-Sample Test
Test Value = 3.88
95% Confidence Interval of the
Difference
t
SCORES

df
-.892

Sig. (2-tailed)
21

.382

Mean Difference
-.06364

Lower
-.2120

Upper
.0847

Therefore from this test we are able to statistically prove that the sample mean for overall
quality from the survey and sample mean for overall quality for all the circles from TRAI
data for 2008-09 are significantly not different. So we can conclude that the sample mean of
survey data for overall quality can be a representative for the Airtel‘s customer population
in India.
5.2.6.7 Factor and multivariate regression analysis on survey data
We have been able to compare sample mean on overall quality from survey data with that
of the TRAI data. Therefore we have been able to establish that the sample mean for overall
quality is statistically equal to that of the means for overall quality for all the telecom
circles. Therefore the answers and values found from the survey can be generalized for the
Airtel customers‘ population of India. Now we did a factor analysis of the satisfaction
scores given to all aspects of Quality of Service (QoS) by Airtel customers. Factor analysis
is useful when we measure several variables, then the correlation between each pair of
variables can exist. The existence of clusters of large correlation coefficients between
subsets of variables suggests that the variables could be measuring aspects of the same
underlying dimension. These underlying dimensions are known as factors (or latent
variables).
Now we have done the Factor analysis for postpaid and prepaid customers separately due to
the influence of the user type on usage characteristics. Another reason for doing this is the
Customer focus of wireless telecom companies in India

Page 70
ANALYSIS AND FINDINGS
use of prepaid and postpaid billing sections in the questionnaire. Since these sections were
mutually exclusive for postpaid and prepaid customers, there were significant blank
answers in the section of postpaid billing for prepaid customers and vice versa.
5.2.6.7.1 Factor analysis of Airtel postpaid customers

The correlation between the variables as a whole is not positive. Therefore the KMO test of
sampling adequacy and Bartlett‘s test of sphericity have not been given. The communalities
show the proportion of common variance within a sample. Therefore we can say that
extraction column tells us the amount of variance which is shared by other variables as well
(refer to Table-50 for Descriptive Statistics and Table-51 for Communalities in Appendix).
Now the factor extraction method identifies the factors. The criterion to select factors is
based on values having Eigen values above 1. Therefore we are extracting the 7 factors
which are having eigen value of greater than 1 which explain 83.64% of variance observed
among the variables (refer to Table-52 in Appendix).
The scree plot gives the eigen values of each of the factors. From the graph we can make
which factors contribute to the variance the most. The first five contribute the most to
variance exhibited by the variables.
Figure ‎5-25: Plot of Factors extracted versus the eigen values for Airtel postpaid
customers

Customer focus of wireless telecom companies in India

Page 71
ANALYSIS AND FINDINGS
Now the Rotated Component matrix (refer to Table-54 in Appendix) gives us final
variables present under each of the factors and which are highly uncorrelated between the
factors but highly correlated within each factor. Those variables which have very high
values compared to others (above 0.6) for each factor are used to explain the factors.
Based on the table we describe each factor below. They are:
1. Factor 1: These variables represent the network and billing requirements of the
customers. So if customers have rated these variables closely, than the process of
satisfaction from these services might be similar for Airtel. So this factor can be
named as ‗Network and billing requirements or critical requirements‘.


Availability of network signal in locality.



Ability to make or receive calls easily.



Availability of network signal when on the move.



Clarity of the bills in terms of transparency and understandability.



Ability to make or receive calls/SMS during peak hours.



Accuracy of the postpaid bills.

2. Factor 2: This factor consists of variables related to value added services (VAS) and
customization of offers. Therefore postpaid customers might perceive customization
to be an important requirement for them. Therefore we can name this factor as
‗VAS and Customization requirements‘.


Value added services can be customized for usage requirements.



Present process of resolving customer complaints.



Quality of the value added services provided.



Tariff plan can be customized for usage requirements.

3. Factor 3: This factor consists of variables related to the aspect of postpaid billing.
Therefore we can name this factor as ‗Billing and payment requirements‘.


Payment process for the bills.



Bill payment options can be customized for usage requirements.



Timely delivery of the bills.



Tariff plan can be customized for usage requirements.

Customer focus of wireless telecom companies in India

Page 72
ANALYSIS AND FINDINGS
4. Factor 4: This factor consists of variables related to customer service. Therefore we
can name this factor as ‗Customer service requirements‘.


Time taken by the customer care to resolve complaint.



Problem solving ability of the customer care executive(s).

5. Factor 5: This factor consists of variables related to areas with which customers are
generally dissatisfied, giving rise to higher overall dissatisfaction (See table ‗results
of survey data‘). Therefore we can name this factor as ‗Satisfaction requirements‘.


Process of resolution of billing complaints.



Charges of value added services.

6. Factor 6: This factor consists of variables related to areas with which customers are
generally satisfied, giving rise to higher overall satisfaction (See table ‗results of
survey data‘). Therefore we can name this factor as ‗Delight requirements‘.


Time taken to respond to call by a customer care executive.



Voice quality.

7. Factor 7: This factor consists of variables which don‘t seem to be related. Therefore
this factor can be named as ‗Network and pre-sales requirements or extra
requirements‘.


Complete process of acquiring the mobile phone connection.



Ability of the service provider to resolve problems related with the network signal.

Therefore based on factor analysis the factors which affect Airtel‘s postpaid customers‘
perception of service quality are the following:


Network and billing requirements



VAS and Customization requirements



Billing and payment requirements

Customer focus of wireless telecom companies in India

Page 73
ANALYSIS AND FINDINGS


Customer service requirements



Satisfaction requirements



Delight requirements



Network and pre-sales requirements

5.2.6.8 Multivariate regression analysis of Airtel postpaid customers

After finding the factors which affect Airtel's postpaid customers we try to build a model to
see how much each of the factors affect the value of overall quality. In this way we will be
able to build a relationship model between the different factors affecting quality of service
based on the perceptions of the end customers. To build the model, we use multivariate
regression analysis on the survey data of Airtel postpaid customers. We have taken the
factors determined in the previous step and found a factor score by taking the mean of the
scores of the variables coming under those factors. These factors scores have been
compared with scores given for overall quality by the Airtel postpaid customers. These
factors are CRITICAL, CUSTOMIZATION, BILLING, CUSTOMER SERVICE,
SATISFACTION, DELIGHT, EXTRA. Descriptive statistics tells us about the mean,
standard deviation and sample size of the variables for the test.

Customer focus of wireless telecom companies in India

Page 74
ANALYSIS AND FINDINGS

Table 26: Descriptive statistics for regression analysis of Airtel postpaid customers
Mean

Std. Deviation

N

OVERALL_QUALITY

3.8095

.51177

21

CRITICAL

3.7000

.85460

21

CUSTOMIZATION

3.6229

.75909

21

BILLING

3.8452

.90649

21

CUST_SERVICE

3.3810

.65009

21

SATISFACTION

2.8095

.81358

21

DELIGHT

3.7381

.62488

21

EXTRA

3.7857

.64365

21

The correlation between the variables is shown in the table (refer to Table-55 in Appendix).
The table shows that there are significant positive and negative correlations between the
variables.
The regression model summary table tells us about the value of R2, which is 0.647. The R
square value tells us that 64.7% of the variance in overall quality can be explained by the
regression model consisting of the factors. The adjusted R square gives us some idea of
how well the model generalises for the population.

Customer focus of wireless telecom companies in India

Page 75
ANALYSIS AND FINDINGS
Table 27: Regression model for Airtel postpaid customers
Change Statistics
Std. Error
R
Model
1

.804

a

of the

R Square

F

Square

R

Adjusted R
Square

Estimate

Change

Change

.647

.457

.37721

.647

3.402

Sig. F
df1

Change

df2
7

DurbinWatson

13

.027

2.584

a. Predictors: (Constant), EXTRA, SATISFACTION, DELIGHT, BILLING, CUSTOMIZATION, CUST_SERVICE,
CRITICAL
b. Dependent Variable: OVERALL_QUALITY

The ANOVA table gives the value of F-statistic which is 3.402. The value being greater
than one implies that the variance in overall quality explained by the regression model is
greater than the variance explained by residual values. The significance of 0.027 is highly
significant making it very unlikely for the F-statistic to have happened by chance.
Table 28: Oneway ANOVA test on Airtel postpaid customers
b

ANOVA
Model
1

Sum of Squares

df

Mean Square

Regression

3.388

7

.484

Residual

1.850

13

5.238

3.402

Sig.
.027

a

.142

Total

F

20

a. Predictors: (Constant), EXTRA, SATISFACTION, DELIGHT, BILLING, CUSTOMIZATION,
CUST_SERVICE, CRITICAL
b. Dependent Variable: OVERALL_QUALITY

Here we have the coefficients for the factors in the equation explaining overall quality. The
regression equation is as follows:

Customer focus of wireless telecom companies in India

Page 76
ANALYSIS AND FINDINGS
Overall Quality = 1.739 + 0.032 (Network and billing) + 0.269 (VAS and Customization) +
0.208 (Billing) + 0.293 (Customer service) – 0.082 (Satisfaction) – 0.234 (Delight) + 0.076
(Network and pre-sales)

Table 29: Regression model components for Airtel postpaid customers
Coefficients

a

Unstandardized Standardized
Coefficients

95.0% Confidence

Coefficients

Interval for B

Std.
Model
1

B

Error

Correlations

Lower
Beta

(Constant)

1.739

.872

CRITICAL

.032

.148

.054

CUSTOMIZATION

.269

BILLING

t

Sig.

Upper

Zero-

Bound

Bound

order Partial Part

1.995

.068

-.145

3.623

.218

.831

-.287

.352

.457

.060 .036

.139

.400 1.933

.075

-.032

.571

.632

.472 .319

.208

.115

.369 1.815

.093

-.040

.457

.580

.450 .299

CUST_SERVICE

.293

.191

.372 1.530

.150

-.121

.707

.379

.391 .252

SATISFACTION

-.082

.126

-.131 -.654

.525

-.355

.190

.089 -.178 -.108

DELIGHT

-.234

.150

-.285

.143

-.557

.090

-.007 -.397 -.257

.646

-.273

.425

1.558

EXTRA

.076

.162

.095

.470

.249

.129 .077

a. Dependent Variable: OVERALL_QUALITY

Customer focus of wireless telecom companies in India

Page 77
ANALYSIS AND FINDINGS
Customer satisfaction model developed from regression analysis for Airtel postpaid
customers:
Figure ‎5-26: Customer satisfaction model for Airtel postpaid customers

Network and billing
requirements (0.032)

VAS

and

Customization
requirements (0.269)

Billing requirements
(0.208)

Customer

service

requirements (0.293)

CUSTOMER
SATISFACTION

Satisfaction
requirements (0.082)

Delight requirements
(0.234)

Network and presales

requirements

(0.076)
Customer focus of wireless telecom companies in India

Page 78
ANALYSIS AND FINDINGS
Now we have two graphs to show that the data chosen for the regression model follows
normal distribution.
Figure ‎5-27: Plot of overall quality satisfaction score means with frequency for Airtel
postpaid customers

Figure 5-28: Plot of observed overall quality satisfaction score means with expected values
for Airtel postpaid customers

Customer focus of wireless telecom companies in India

Page 79
ANALYSIS AND FINDINGS
5.2.6.9 Factor analysis of Airtel’s prepaid customers:

The correlation between the variables as a whole is not positive. Therefore the KMO test of
sampling adequacy and Bartlett‘s test of sphericity have not been given. The communalities
show the proportion of common variance within a sample. Therefore we can say that
extraction column tells us the amount of variance which is shared by other variables as well
(refer to Table-53 for Descriptive statistics and Table-56 for Communalities in Appendix).
Now the factor extraction method identifies the factors. The criterion to select factors is
based on values having Eigen values above 1. Therefore we are extracting the 5 factors
which are having eigen value of greater than 1 which explain 78.14% of variance observed
among the variables (refer to Table-57 in Appendix).
The scree plot gives the eigen values of each of the factors.
Figure ‎5-29: Plot of Factors extracted versus the eigen values for Airtel prepaid
customers

Now the Rotated Component matrix gives us final variables present under each of the
factors and which are highly uncorrelated between the factors but highly correlated within
Customer focus of wireless telecom companies in India

Page 80
ANALYSIS AND FINDINGS
each factor. Those variables which have very high values compared to others (above 0.6)
for each factor are used to explain the factors (refer to Table-59 in Appendix).
Based on the table we describe each factor below. They are:

1. Factor 1: This factor consists of variables which are related to customer service
aspects of Quality of Service (QoS). Therefore this factor can be named as
‗Customer care requirements‘.


Time taken by the customer care to resolve complaint.



Time taken to respond to call by customer care executive.



Present process of resolving customer complaints.



Problem solving ability of the customer care executive(s).



Ease of access of call centre/customer care/online website.

2. Factor 2: this factor consists of variables which are related to the ability to make
calls and SMS. Therefore this factor can be named as ‗Call/SMS ability
requirements‘.


Ability to make or receive calls/SMS during peak hours.



Time taken for reactivation.



Availability of network signal when on the move.



Ability to make or receive SMS.

3. Factor 3: this factor consists of variables which are related to the aspects of prepaid
billing. Therefore this factor can be named as ‗Prepaid billing requirements‘.


Overall quality of your mobile service.



Accuracy of the charges, i.e. amount deducted on every usage.



Tariff plan can be customized for usage requirements.

Customer focus of wireless telecom companies in India

Page 81
ANALYSIS AND FINDINGS
4. Factor 4: this factor consists of variables related to the aspects of value-added
services and other supplementary services. Therefore this factor can be named as
‗VAS requirements‘.


Charges of value added services.



Quality of the value added services provided.



Value added services can be customized for usage requirements.

5. Factor 5: this factor consists of variables related to the aspects of network
performance. Therefore this factor can be named as ‗Network performance
requirements‘.


Ability of the service provider to resolve problems related with the network signal.

Therefore based on factor analysis the factors which affect Airtel‘s postpaid customers‘
perception of service quality are the following:


Customer care requirements



Call/SMS ability requirements



Prepaid billing requirements



VAS requirements



Network performance requirements

These factors help in finding out the latent variables which affect the choices made by the
postpaid and prepaid users while assessing the Quality of service provided by the Airtel.
5.2.6.10 Multivariate Regression analysis of Airtel’s prepaid customers
After finding the factors which affect Airtel's prepaid customers we try to build a model to
see how much each of the factors affect the value of overall quality. In this way we will be

Customer focus of wireless telecom companies in India

Page 82
ANALYSIS AND FINDINGS
able to build a relationship model between the different factors affecting quality of service
based on the perceptions of the end customers. To build the model, we use multivariate
regression analysis on the survey data of Airtel prepaid customers. We have taken the
factors determined in the previous step and found a factor score by taking the mean of the
scores of the variables coming under those factors. These factors scores have been
compared with scores given for overall quality by the Airtel postpaid customers. These
factors are CUSTOMER CARE, CALL/SMS ABILITY, PREPAID BILLING, VAS,
NETWORK PERFORMANCE. Descriptive statistics tells us about the mean, standard
deviation and sample size of the variables for the test.

Table 30: Descriptive statistics for regression analysis of Airtel prepaid customers

Descriptive Statistics
Mean

Std. Deviation

N

OVERALL_QUALITY

4.0000

.57735

19

CUST_CARE

3.0842

1.26854

19

CALL_SMS_ABILITY

3.9842

.58997

19

BILLING

3.7368

.77043

19

VAS

3.1895

1.35109

19

NETWORK_PERF

3.0000

1.45297

19

The correlation between the variables is shown in this table. The table shows that there are
significant positive and negative correlations between the variables (refer to Table-60 in
Appendix).
The regression model summary table tells us about the value of R2, which is 0.744. The R
square value tells us that 74.4% of the variance in overall quality can be explained by the
regression model consisting of the factors. The adjusted R square gives us some idea of
how well the model generalises for the population.

Customer focus of wireless telecom companies in India

Page 83
ANALYSIS AND FINDINGS

Table 31: Regression model for Airtel prepaid customers
b

Model Summary

Change Statistics
Std. Error
R
Model
1

.862

a

of the

R Square

F

Square

R

Adjusted R
Square

Estimate

Change

Change

.744

.645

.34380

.744

7.553

Sig. F
df1

Change

df2
5

DurbinWatson

13

.002

1.526

a. Predictors: (Constant), NETWORK_PERF, VAS, CALL_SMS_ABILITY, CUST_CARE, BILLING
b. Dependent Variable: OVERALL_QUALITY

The ANOVA table gives the value of F-statistic which is 7.553. The value being greater
than one implies that the variance in overall quality explained by the regression model is
greater than the variance explained by residual values. The significance of 0.002 is highly
significant making it very unlikely for the F-statistic to have happened by chance.
Table 32: Oneway ANOVA test on Airtel prepaid customers
b

ANOVA
Model
1

Sum of Squares

df

Mean Square

Regression

4.463

5

.893

Residual

1.537

13

6.000

7.553

Sig.
.002

a

.118

Total

F

18

a. Predictors: (Constant), NETWORK_PERF, VAS, CALL_SMS_ABILITY, CUST_CARE, BILLING
b. Dependent Variable: OVERALL_QUALITY

Here we have the coefficients for the factors in the equation explaining overall quality. The
regression equation is as follows:

Customer focus of wireless telecom companies in India

Page 84
ANALYSIS AND FINDINGS
Overall Quality = 0.95 - 0.096 (Customer Care) + 0.478 (Call/SMS ability) + 0.394
(Billing) + 0.022 (VAS) – 0.034 (Network Performance)

Table 33: Regression model components for Airtel prepaid customers
Coefficients

a

Unstandardized Standardized
Coefficients

95.0% Confidence

Coefficients

Interval for B

Std.
Model

B

1

.950
-.096

.071

Lower

.710

(Constant)
CUST_CARE

Error

Correlations

Beta

t

Sig.

Upper

Zero-

Bound

Bound

order Partial Part

1.338 .204
-.212

-.584

2.484

- .198

-.250

.057

-.023 -.353 -.191

1.358
CALL_SMS_ABILITY

.478

.161

.489 2.960 .011

.129

.827

.652

.635 .416

BILLING

.394

.123

.526 3.195 .007

.128

.661

.749

.663 .448

VAS

.022

.063

.052 .355 .728

-.113

.158

.071

.098 .050

-.034

.062

-.085 -.548 .593

-.167

.099

NETWORK_PERF

-.265 -.150 -.077

a. Dependent Variable: OVERALL_QUALITY

Customer focus of wireless telecom companies in India

Page 85
ANALYSIS AND FINDINGS
Customer satisfaction model developed from regression analysis for Airtel prepaid
customers:
Figure ‎ -30: Customer satisfaction model for Airtel prepaid customers
5

Customer care
requirements (0.032)

Call/SMS ability
requirements (0.269)

Billing requirements

CUSTOMER

(0.208)

SATISFACTION

VAS

requirements

(0.293)

Network
performance
requirements (0.082)

Customer focus of wireless telecom companies in India

Page 86
ANALYSIS AND FINDINGS
Now we have two graphs to show that the data chosen for the regression model follows
normal distribution.
Figure ‎5-31: Plot of overall quality satisfaction score means with frequency for Airtel
prepaid customers

Figure ‎5-32: Plot of observed overall quality satisfaction score means with expected
values for Airtel prepaid customers

Customer focus of wireless telecom companies in India

Page 87
ANALYSIS AND FINDINGS
Therefore we can now see the factors for both the prepaid and postpaid customers compare
them to see if there are significantly different factors affecting the overall satisfaction for
both postpaid and prepaid customers.
Table 34: Factors affecting the postpaid and prepaid Airtel customers
POSTPAID FACTORS

PREPAID FACTORS

Call/SMS ability

Customer service

Billing

VAS and Customization

VAS

Billing

Network performance

Network and pre-sales experience

Customer service

Network and billing
Satisfaction
Delight

We can see that most of the factors rank similarly between the two groups. Therefore we
can see that the overall satisfaction which, postpaid and prepaid customers get from
different aspects of mobile services are quite similar.

5.2.7 Airtel qualitative data analysis
After doing the quantitative analysis, we have arrived at frameworks for customer
satisfaction model for Airtel prepaid and postpaid users. Now we analyse some of the
qualitative aspects of the data to find out insights about the expectations, and behavioural
characteristics of Airtel‘s customers. Therefore we analyse the responses given to the
following questions present in the questionnaire by Airtel customers.
5.2.7.1 Service provision
Q. 8) When did you apply for your latest mobile phone connection?

Customer focus of wireless telecom companies in India

Page 88
ANALYSIS AND FINDINGS
Figure ‎5-33: Pie chart for time frame of acquisition of service by Airtel respondents
Less than 6
months
14%
6-12 months
12%

Greater than 12
months/Don't
remember
74%

Q. 9) How much time was taken to activate the connection after you applied and completed
the formalities?
Figure ‎5-34: Pie chart for time taken to activate service for Airtel respondents
Don't
remember
16%
4-7 days
10%

2-3 days
23%

1 day
51%

Table 35: Crosstabulation of time frame of acquisition of service and time taken to
activate service for Airtel respondents
Crosstabulation

Time taken for activation
1 day 2-3 days 4-7 days Don't remember total
Less than 6 months

Applied for
mobile service

6

0

0

0

6

6-12 months

1

3

1

0

5

14

7

3

0

24

1

0

0

7

8

22

10

4

7

Greater than 12 months
Don't remember
total

Customer focus of wireless telecom companies in India

Page 89
ANALYSIS AND FINDINGS
When we analyse the pie charts and the table above, we see that may be the process used by
Airtel to activate accounts has improved as can be seen in the reduction of time taken for
activation from older users to newer users.
5.2.7.2 Prepaid billing
Q. 13) If you had issues or complaints with prepaid charges deducted, please specify the
reasons for your dissatisfaction?
Figure ‎5-35: Pie chart for issues related with prepaid charges for Airtel respondents
Charged for
value-added
services not
requested
22%

Tariff plan
changed
without notice
22%

Charges for
calls/services
not made/used
34%

Charges not
as per plan
subscribed
22%

Percentage of sample with issues: 85.71%
This shows that Airtel prepaid customers are not happy with the billing process. There are
many instances where we see that the customers have problems with the balance of money
being deducted from their accounts. This might be due to the inherent nature of prepaid
model that the upper hand in the transaction is with the operator.
5.2.7.3 Postpaid billing
Q. 16) If you had issues or complaints with accuracy of bills, please specify the reasons for
your dissatisfaction?

Customer focus of wireless telecom companies in India

Page 90
ANALYSIS AND FINDINGS
Figure ‎5-36: Pie chart for issues related with accuracy of postpaid bills for Airtel
respondents
Charges not as
per plan
subscribed
11%

Tariff plan
changed
without
consent
22%

Charged for
value-added
services not
requested
34%

Charges for
calls/services
not made/used
33%

Percentage of sample with issues: 40.91%
Here we can see that the Airtel postpaid customers are more happy with the billing process.
This might be due to the nature of postpaid model, where the customer has the power to pay
the bills only after clarification of such issues.
Q. 26) If you had issues or complaints with the clarity of bills, please specify the reasons?
Figure ‎5-37: Pie chart for issues related with clarity of postpaid bills for Airtel
respondents
Payment only
during office
hours
17%

Payment
through
internet not
available
33%

Payment
only at the
designated
centers
50%

Customer focus of wireless telecom companies in India

Page 91
ANALYSIS AND FINDINGS
Percentage of sample with issues: 50.00%
While Airtel has gone for a revamp, and the present bills are very comprehensive, the
customers‘ are saying that they are still having problems. This might lead us to infer that
Airtel might have to look for newer manner for presenting the bills.
5.2.7.4 Customer care
Q.28) If no, can you specify the reasons for not making a query or filing a complaint with
the customer care service in the last one year?
Figure ‎5-38: Pie chart for reasons for not querying customer care for Airtel
respondents
I don't know
the complaint
process The complaint
9% process is too
tedious
18%

There were
small
complaints/Not
hing to
complain about
73%

Percentage of sample having no/small complaints: 64%
This is a very important finding that almost 64% of the sample hasn‘t felt the need to call
up the customer care services. This can lead us to infer that Airtel has been proactive in
providing customer services and minimising dissatisfaction.
5.2.7.5 Value added services
Q. 42) Do you use value added services like roaming, ring tone, GPRS, e-mail, voice mail
or any other such services?

Customer focus of wireless telecom companies in India

Page 92
ANALYSIS AND FINDINGS
Figure ‎5-39: Pie chart for usage of value added services for Airtel respondents

No
39%
Yes
61%

Percentage of sample using value added services: 58.14%
Q. 43) If you don‘t use value added services, please specify the reasons?
Figure ‎5-40: Pie chart for reasons for not using value added services for Airtel
respondents
I was never
informed by the
service provider
5%
I knew, but it I knew, but
the service
was very
charges
complicated
were not
to try
affordable
10%
15%

I never felt
the need for
it
70%

Percentage of sample who never felt the need for VAS: 70%
This is also an important finding that almost 70% of the sample, who don‘t use value added
services, don‘t feel the need for using value added services. While the operators are bullish
about VAS being the driver of ARPU‘s (average revenue per user) in the future, here is an
insight where the customer doesn‘t need VAS itself. Therefore Airtel has an important
customer segment to tap for growth.
Q. 44) If yes, please specify those value added services which you use most?

Customer focus of wireless telecom companies in India

Page 93
ANALYSIS AND FINDINGS
Figure ‎5-41: Pie chart for usage of types of value added services for Airtel respondents

others
11%
caller
tunes
17%

roaming
46%

GPRS/email
26%

This pie chart shows that roaming is still the most important supplementary service required
by customers. Even though they might be using other value added services, for the
customer segment as a whole, roaming is still the most important VAS. Therefore, if Airtel
is able to differentiate it‘s roaming services rather than just pricing it competitively, it will
be able to gain strategic advantage.
Q. 51) Have you been informed in writing, at the time of subscription of service or within a
week of activation of service, the complete details of your tariff plan?
Figure ‎5-42: Pie chart for knowledge about reception of subscription of service details
for Airtel respondents

No
55%

Yes
45%

Customer focus of wireless telecom companies in India

Page 94
ANALYSIS AND FINDINGS
This is an important area where Airtel can gain goodwill of customer as well as delight the
customer. If Airtel is able to provide the details of the account plan to the customers after
they subscribe, the customers would get a perception of the operator caring for them.
Some of the other important findings are:


Most customers who call to customer care call regarding value added services, tariff
plan and billing charges.



Suggestions from customers regarding improving the customer complaint resolution
process are mostly towards empowering the customer care executives in solving the
customer‘s problem.



The most important criterion for overall quality of Airtel services is Ability to make
Calls/SMS and the network performance. On this criterion most customers are
satisfied with Airtel‘s services.



The second most important criterion for overall quality of Airtel services is tariff
and billing related aspects. Here there are mixed views among customers.



The third most important criterion for overall quality of Airtel services is the
customer services provided. However an important thing to note is the unnecessary
campaigns which Airtel runs a lot through calls and SMS. It should do target
campaigning more strategically with using Business analytics.



There is still not much awareness (only 21%) about the Do Not Call (DNC) registry
among customers. And those who have registered for DNC still keep receiving
(over 71%) the unwanted calls/SMS. This gives an important insight where Airtel
can focus to provide customer satisfaction. As these can lead to high rate of
customer dissatisfaction leading to higher churn.

5.2.8 Overall Findings of customer’s perception of Airtel’s services:
Finally we summarize overall findings of the data analysis done for Airtel. These findings
give us insights as to where Airtel can improve upon so as improve the Quality of Services

Customer focus of wireless telecom companies in India

Page 95
ANALYSIS AND FINDINGS
leading to higher satisfaction for customers and in the process making Airtel truly customer
focussed.


Pre-sales service quality in Bihar, Himachal Pradesh, North East has gone down
drastically.



Postpaid service quality in Assam, North east and Himachal Pradesh is very low
among customers.



Prepaid service quality has remained stagnant relatively between circles, but the
satisfaction as a whole has come down over the years‘ according to customer‘s
perceptions.



Customer service quality has remained stagnant across the years as well as across
the circles.



Network performance quality in Bihar, Gujarat, Kolkata, Tamil Nadu and West
Bengal has remained below TRAI benchmark consistently over the years. While in
other circles like Andhra Pradesh, Chennai, Karnataka, Kerala, Orissa, Punjab and
Uttar Pradesh (East) network performance quality has remained high consistently.



Maintainability quality has come down in Bihar (96% to 65%), Gujarat (88% to
67%), Himachal Pradesh (100% to 66.4%) and Tamil Nadu (100% to 74%) from
2006 to 2008-09. It has remained low in UP West circle consistently over the period
of 4 years.



Value added services quality has come down across the circles from 2006 to 200809.



Overall quality of service according to customers has come down from 81.83% in
2001 to 70.43%in 2008-09, a change of 11.4% points over 8 years.



Airtel should give special attention to Bihar, Himachal Pradesh, Kolkata,
Maharashtra, Mumbai and West Bengal circles to improve their overall quality
satisfaction scores.

Customer focus of wireless telecom companies in India

Page 96
ANALYSIS AND FINDINGS


Overall satisfaction from Airtel telecom services across the country is not
significantly different.



Customer care services and value added services scores from the survey were low
for Airtel services.



In customer services, they should specifically try to improve their processes of ease
of access of the customer representatives for the customers.



They should also try to improve the time to respond to query process, problem
solving ability of the customer representatives and the time to resolve complaint
processes.



In value added services and other supplementary services they should specifically
look at the VAS charges for providing value for the customers.



Some of the problems recognized by Airtel customers are satisfaction with
reactivation of accounts, prepaid accuracy charges, postpaid billing complaint
resolution process and network complaint resolution process.



The means of overall quality from survey and TRAI data (2008-09) are significantly
not different.



The factors which affect Airtel‘s postpaid customers‘ perception of service quality
are the following:
o Network and billing requirements
o VAS and Customization requirements
o Billing and payment requirements
o Customer service requirements
o Satisfaction requirements
o Delight requirements
o Network and pre-sales requirements

Customer focus of wireless telecom companies in India

Page 97
ANALYSIS AND FINDINGS


Multivariate regression model for explaining customer satisfaction for Airtel‘s
postpaid customer:
Overall Quality = 1.739 + 0.032 (Critical) + 0.269 (Customization) + 0.208 (Billing)
+ 0.293 (Customer service) – 0.082 (Satisfaction) – 0.234 (Delight) + 0.076 (Extra)



The factors which affect Airtel‘s prepaid customers‘ perception of service quality
are the following:
o Customer care requirements
o Call/SMS ability requirements
o Prepaid billing requirements
o VAS requirements
o Network performance requirements



Multivariate regression model for explaining customer satisfaction for Airtel‘s
prepaid customer:
Overall Quality = 0.95 - 0.096 (Customer Care) + 0.478 (Call/SMS ability) + 0.394
(Billing) + 0.022 (VAS) – 0.034 (Network Performance)



According to the survey, the process used by Airtel to activate accounts has
improved.



Airtel prepaid customers are not happy with the billing process. There are many
instances where we see that the customers have problems with the balance of money
being deducted from their accounts. This might be due to the inherent nature of
prepaid model, where the upper hand in the transaction is with the operator.



Airtel postpaid customers are more happy with the billing process. This might be
due to the nature of postpaid model, where the customer has the power to pay the
bills only after clarification of such issues.

Customer focus of wireless telecom companies in India

Page 98
ANALYSIS AND FINDINGS


While Airtel has gone for a revamp, and the present bills are very comprehensive,
the customers‘ are saying that they are still having problems. This might lead us to
infer that Airtel might have to look for newer manner for presenting the bills.



Almost 64% of the sample hasn‘t felt the need to call up the customer care services.
This can lead us to infer that Airtel has been proactive in providing customer
services and minimising dissatisfaction.



Almost 70% of the sample, who don‘t use value added services, don‘t feel the need
for using value added services. While the operators are bullish about VAS being the
driver of ARPU‘s (average revenue per user) in the future, here is an insight where
the customer doesn‘t need VAS itself. Therefore Airtel has an important customer
segment to tap for growth.



Roaming is still the most important supplementary service required by customers.
Even though they might be using other value added services, for the customer
segment as a whole, roaming is still the most important VAS. Therefore, if Airtel is
able to differentiate its roaming services rather than just pricing it competitively, it
will be able to gain strategic advantage.



Airtel can gain goodwill of customer by providing the details of the account plan to
the customers after they subscribe. If Airtel is able to provide the details of the
account plan to the customers after they subscribe, the customers would get a
perception of the operator caring for them.



Most customers who call to customer care call regarding value added services, tariff
plan and billing charges.



Suggestions from customers regarding improving the customer complaint resolution
process are mostly towards empowering the customer care executives in solving the
customer‘s problem.



The most important criterion for overall quality of Airtel services is Ability to make
Calls/SMS and the network performance. On this criterion most customers are
satisfied with Airtel‘s services.

Customer focus of wireless telecom companies in India

Page 99
ANALYSIS AND FINDINGS


The second most important criterion for overall quality of Airtel services is tariff
and billing related aspects. Here there are mixed views among customers.



The third most important criterion for overall quality of Airtel services is the
customer services provided. However an important thing to note is the unnecessary
campaigns which Airtel runs a lot through calls and SMS. It should do target
campaigning more strategically with using Business analytics.



There is still not much awareness (only 21%) about the Do Not Call (DNC) registry
among customers. And those who have registered for DNC still keep receiving
(over 71%) the unwanted calls/SMS. This gives an important insight where Airtel
can focus to provide customer satisfaction. As these can lead to high rate of
customer dissatisfaction leading to higher churn.

Based on the overall findings of the study, we can now see the picture of Airtel‘s
perspective of serving its customer and the customer‘s perspective about Airtel‘s services.
This picture gave us areas for scope of improvement for Airtel. Based on the study of
Customer Relationship Management in the telecom sector in the literature review section,
we will be able to provide suggestions for improving the customer‘s perspective of Airtel‘s
services. Customer Relationship Management is one of the strategies which have to be
used, but it can be used as a strategic lever to provide competitive advantage. The rationale
for using CRM is that telecom being a data-driven industry with the service being provided
through a remote device, gives the operator opportunity to monitor the customer usage
pattern as well as its service delivery in real time without affecting the service. This
environment gives us an ideal opportunity to use Customer management to profitably
acquire new customers as well as retain loyal customers. With the price and product/service
features being quite similar as well as attainable in a short period of time, due to the
technological nature of the industry, the only differentiator for Airtel can be its customer
management strategy. Therefore we provide recommendations/suggestions based on
Customer Relationship Management for Airtel.

Customer focus of wireless telecom companies in India

Page 100
Chapter 6
RECOMMENDATIONS
RECOMMENDATIONS
6 RECOMMENDATIONS
6.1.1 Recommendations/Suggestions based on study of CRM for the present
situation of Bharti Airtel
We have analysed the case of Airtel to gain understanding of the situation of the wireless
telecom sector. The knowledge which we have gained from analysis is that Airtel is weaker
in the areas of customer service and value added services. The factors which affect the
Indian customer are predominantly customer service, billing, value added services,
customization, and network performance. This might be lead us to suggest Airtel to focus
on improving in those areas where customers rate Airtel‘s performance lower as well as
affect overall satisfaction considerably. In that manner we will be able to target Airtel‘s
weakness and improve overall satisfaction considerably. Therefore the areas identified to be
addressed using CRM are customer services, value added services, customized services,
customer segmentation based on analytics.


Customer care services
Customer services are an integral part of a service offering as it brings a sense of
assurance that someone is there in case of difficulty. In case of Airtel, has
outsourced its IT systems management to IBM, including customer services. Prior
to this the customer care services were handled by Oracle. Now to make the
outsourcing work on such a huge scale Airtel has created very tight, extremely
detailed Service Level Agreements (SLAs). But still the findings from analysis
show that the customer service satisfaction levels are quite low over the years. This
has been substantiated by TRAI data as well as survey data. The analysis also
proves that customer service is a very important factor in the determinant of overall
satisfaction. So this leads us to question the SLAs designed by Airtel. Are the SLAs
sufficiently ensuring quality of service is the question to be asked. Therefore Airtel
has to design the SLA from two perspectives. One is the actual performance shown
by IBM. The other is the perceived performance by customers of the services which
Airtel has outsourced to IBM. This can validate the actual performance. In this way
Airtel will be able to clear define its customer service strategy and give clear
guidelines for IBM to follow. This is very important because from the analysis we
have been able to find that the biggest weakness according to customers of Airtel is

Customer focus of wireless telecom companies in India

Page 101
RECOMMENDATIONS
its customer care services. And customer services have been contributing a lot to the
overall satisfaction scores as found from the analysis. Therefore Airtel has to
redefine its customer service strategy. As part of the customer services strategy,
Airtel can use its website as a strategic tool to service customers as well build
loyalty among the customers. For mobile users, websites aren‘t that important. But
Airtel can personalize and provide more ease of service through use of Airtel
website to help in the processes of billing, customer care, value added services.
Using innovative web 2.0 tools, services, add-ins, applications etc, Airtel can try to
build a community of Airtel users. Therefore Airtel website can act as the change
agent for Airtel in improving its Quality of services. Airtel should also realise the
strategic importance of people. They are the ones who enable all strategies and
make them functional and effective. Therefore Airtel can concentrate on its
employees and use them as strategic assets. It can also use customer care services
which have been outsourced at present, to come under its ambit and use it to provide
superior customer experience for the customer. Analysis shows that customers
mostly are unhappy with the complaint resolution process where customer reps are
not empowered to take desicions. Therefore Airtel has to use assets in the form of
people to communicate the same message across all the touch-points to the
customer.


Value added services
The concept of value added services is that they should give value to the customers
on top of the communication services provided by the operator. Therefore Airtel has
to use traditional marketing methods like market research techniques to find out
useful value added services which can add value in the daily life of the customers.
Airtel has to look for latent needs which can be fulfil through value added services.
In the study, we have been able to find that Airtel has come up with a lot of value
added services which help people in their daily lives. Some of these are the
initiatives for the rural customers where they provide daily updates, m-Cheque
special SIM cards which help in financial transactions, Asklaila city search. These
value added services are value adding. Even if some of them are not value adding
for improving productivity, they can still be able to fulfil needs of customers. They
can create needs for the customer and market them like in the case of ipod. Findings

Customer focus of wireless telecom companies in India

Page 102
RECOMMENDATIONS
from the research point out to that most of the customers who don‘t use VAS, don‘t
feel the need for them. Therefore Airtel has a huge untapped market there to serve
with VAS. And VAS is termed as the engine for revenue growth for all the service
providers. So for Airtel it becomes more important to look at the requirements of
different segments and then target appropriate VAS by developing appropriate
products. Therefore product development also comes into picture here. Airtel also
has to look at the pricing of VAS, because customers are most dissatisfied from the
prices of VAS. This has been substantiated by the analysis of survey. Therefore
Airtel has to look at the tendency of customers to measure the prices of VAS in lieu
with voice charges. Therefore Airtel has to price the VAS carefully.


Customized services
The analysis of results showed us that customers wanted more customized offerings
from Airtel in all aspects of customer service. They are billing, customer care and
value added services. That means customers wanted services which were more in
tune with their needs. Therefore for Airtel it becomes imperative to find out what
personal information the customer wants it to know, so as to better serve the
customer by recommending usage plans which tuned to his/her needs. It must than
seek the customer‘s permission to use this information. The 3 steps it should follow
are:
o Interact: It should talk to customers, establish dialogue and understand their
needs. It should use market research to find out what customers want to be
personalized. While this is obvious, Airtel has to use the strategy of website
as an important component in building a community for Airtel. This will
help Airtel in building loyal customers who are ready to help in Airtel‘s
services and create a feeling of belongingness between them.
o Invent: It should use the data differently than competitors. Airtel has to use
the data it is already having about its customers to personalize the service
which is more meaningful for the customers.
o Personalize: It should personalize uniquely for each customer. For
personalizing they can modify the three levers of Content of the service,
Context of the use and Contact with the customer. Personalization doesn‘t

Customer focus of wireless telecom companies in India

Page 103
RECOMMENDATIONS
more costly for the customer. But if Airtel is able to provide customized
solutions using IT as a powerful tool, and then able to communicate this to
customers than Airtel can gain strategic advantage. Airtel also has to target
the segments with personalized content.


Customer retention strategy using churn modelling
Airtel has to articulate its customer retention strategy more clearly. Customer
retention is retaining loyal customers over a period of time so that they create a winwin relationship for both the parties involved. The most important reason for
investing in retention is, because the cost of acquiring new customers is five times
more than the cost of retaining existing customers. Therefore it makes more sense
for Airtel to go for customer retention strategy than going for customer acquistion.
Therefore the objective is to nurture long-term relationships with customers through
trust, responsiveness, customized services and reliability. Customer care, therefore
has become the most important activity for providing superior customer satisfaction
as established from the analysis.
For articulating the customer retention strategy Airtel has to follow the following
steps:
o They have to analyse the internal data generated from customer usage of
service. They have to look at the activity patterns and needs of the
customers.
o They have to now segment the customers based on historic and real time
data being captured, using data mining tools like clustering into meaningful
segments.
o They have to identify the propensity to churn for each segment. That is the
probability of the customer disabling the services in a given time period.
This can be found out by using reporting tools to analyse characteristics of
customer churn.

Customer focus of wireless telecom companies in India

Page 104
RECOMMENDATIONS
o They have to identify the customer profitability in terms of net present value
of the difference between revenue from retaining customer to the campaign
costs.
o They have apply the propensity to churn model and customer profitability
models to the customer segments and then design campaigns which have net
present value of greater than zero.
o They have to than execute these campaigns effectively. While it shows the
importance of technology here. It is not so. The most important aspect are
the people who have to execute the strategies with customer in mind.


Customer segmentation based on analytics
Airtel has to look for new micro-customer segments within the broad segments
taking into account their location and other preferences. To help in the search of
micro segments it has to get a holistic picture of these customers from aspects like
cultural, psychological, behavioural, geographical etc. This can be done through
qualitative techniques as well as using data analytics. While Airtel as well as other
operators are already doing it, it hasn‘t resulted in strategic gains for any of them.
Therefore Airtel has to focus on this aspect. Analysis from the study suggests that
there can be micro segments of customers. This has been substantiated by the
different preferences shown by postpaid and prepaid customers. While the user
profile of the prepaid customer can be seen as younger with higher desires but less
propensity to pay. While the user profile of postpaid customer can be seen as
slightly older with desires but higher propensity to pay. Therefore here Airtel has to
understand customer preferences and than design campaigns specifically for these
micro-segments. Airtel has to use the concept of predictive CRM coming out of
analytical CRM. Predictive CRM is the ability to understand customer preferences,
anticipate customer needs, take proactive steps and deliver at the critical ‗moments
of truth‘ for the customer. This requires overall understanding of the consumption of
telecom service by the customer to provide him a hassle-free customer experience.

Customer focus of wireless telecom companies in India

Page 105
CHAPTER 7
CONCLUSIONS
CONCLUSIONS
7 CONCLUSIONS
7.1 Conclusion
The results of this study contribute to the recent, albeit sparse body of literature about
customer focus of wireless telecom industry. In this study we have been able to conclude
the following findings:


Airtel has been considered as a case as it is the leading service provider. It has got
average overall customer satisfaction of 71.95% while having weakness in customer
care services and value added services.



In customer services, Airtel has to look at its strategy of using SLAs to measure
performance of customer services. Therefore Airtel has to look at perceived
performance of customer service given by customers as an important criterion to
measure SLAs.



In value added services and other supplementary services they should specifically
look at the VAS charges for providing value for the customers.



The factors affecting the overall satisfaction for Airtel‘s postpaid customers are
call/SMS ability, billing, VAS, network performance and customer service.



The factors affecting the overall satisfaction for Airtel‘s prepaid customers are
customer service, VAS and customization, billing, network performance and presales experience.



Therefore Airtel has to use CRM strategies to help in providing better customer
services and value added services.



Airtel also has to provide customized services using CRM, as customers are ready
for customization of telecom services.
Airtel has to push its utility-based value added services forward like m-cheque,
Asklaila city search etc to create the demand for VAS, as most customers don‘t feel
the need for VAS except roaming.

Customer focus of wireless telecom companies in India

Page 106
CHAPTER 8
APPENDIX
APPENDIX
8 APPENDIX
8.1 Questionnaire
Personal information
Note: please mark your response number in the box provided.
Name: __________________________________
Age:

1
2
3
4

Gender:

Occupation:

0-25 years
25-35 years
35-50 years
50 years and above

1
2

Male
Female

1
2
3
4
5

Employed
Self employed (Business owner)
Student
Housewife
Retired

Operator:
1
2
3
4
5
6
7
8
9
10
11
12
13
14
15

Bharti airtel
Aircel
Reliance communications
Reliance telecom
Vodafone
Tata teleservices
Idea
Shyam telelink
BSNL
MTNL
Spice
BPL
HFCL
RISL
Dishnet

Customer focus of wireless telecom companies in India

Page 107
APPENDIX
Others (Specify)_______________________________________
Area:
1
2
3
4

Metropolitan
Urban
Semi-urban
Rural

1. Metropolitan: In India, the Census Commission defines a metropolitan city as one
having a population of over 40 lakh (4 million). Mumbai, Delhi, Chennai, Kolkata,
Bengaluru, Hyderabad, Ahmedabad are the seven cities that qualify.
2. Urban: a geographical area constituting a city having a population between 40 lakh
and 1 lakh.
3. Semi-urban: a geographical area constituting a town having a population between 1
lakh and 10000.
4. Rural: An area with low population density such as a village or the countryside
having a population of 10000 or less.
User type:

1
2

Technology type:

Prepaid
Postpaid

GSM
CDMA

Service provision
1. When did you apply for your latest mobile phone connection?
1
2
3
4

Less than 6 months
6-12 months
Greater than 12 months
Don‘t remember

2. How much time was taken to activate the connection after you applied and
completed the formalities?
1
2

1 day
2-3 days

Customer focus of wireless telecom companies in India

Page 108
APPENDIX
3
4
5

4-7 days
Greater than 7 days
Don‘t remember

3. How was the complete process of acquiring the mobile phone connection according
to you?
1
2
3
4
5

Very dissatisfying
Dissatisfying
Neutral
Satisfying
Very satisfying

4. In case you had some problems with the connection, are you satisfied with the time
taken for reactivation?
1
2
3
4
5

Very dissatisfied
Dissatisfied
Neutral
Satisfied
Very satisfied

Prepaid billing (for prepaid users only)
5. How satisfied are you with the accuracy of the charges, i.e. amount deducted on
every usage?
1
2
3
4
5

Very dissatisfied
Dissatisfied
Neutral
Satisfied
Very satisfied

6. If you had issues or complaints with charges deducted, please specify the reasons
for your dissatisfaction?(multiple answers possible)
1
2
3

Charges not as per plan
subscribed
Tariff plan changed without
notice
Charges for calls/services not

Customer focus of wireless telecom companies in India

Page 109
APPENDIX

4
5

made/used
Charged for value-added
services not requested
Others(please specify)

Others:______________________________________________________
7. How satisfied are you if the tariff plan can be customized for your usage
requirements?
1
2
3
4
5

Very dissatisfied
Dissatisfied
Neutral
Satisfied
Very satisfied

Postpaid billing (for postpaid users only)

Note: Accuracy of bills refers to charges in the bill as per the tariff plan subscribed.
8. How satisfied are you with the accuracy of the postpaid bills?
1
2
3
4
5

Very dissatisfied
Dissatisfied
Neutral
Satisfied
Very satisfied

If your response is Satisfied or Very satisfied, please skip to question 10, otherwise
continue.

9. If you had issues or complaints with accuracy of bills, please specify the reasons for
your dissatisfaction? (multiple responses acceptable)
1
2
3
4
5

Charges not as per plan
subscribed
Tariff plan changed without
consent
Charges for calls/services not
made/used
Charged for value-added
services not requested
Others(please specify)

Customer focus of wireless telecom companies in India

Page 110
APPENDIX
Others:______________________________________________________

10. How satisfied are you with the timely delivery of the bills?
1
2
3
4
5

Very dissatisfied
Dissatisfied
Neutral
Satisfied
Very satisfied

11. How satisfied are you with the payment process for the bills?
1
2
3
4
5

Very dissatisfied
Dissatisfied
Neutral
Satisfied
Very satisfied

If your response is Satisfied or Very satisfied, please skip to question 13, otherwise
continue.

12. If you had issues or complaints with the payment process, please specify the reasons
for your dissatisfaction?(multiple answers possible)
1
2
3
4
5

Payment only at the designated
centers
Payment only through cash
Payment only during office
hours
Payment through internet not
available
Others(please specify)

Others:______________________________________________________

Customer focus of wireless telecom companies in India

Page 111
APPENDIX
13. How satisfied are you if the tariff plan can be customized for your usage
requirements?

1
2
3
4
5

Very dissatisfied
Dissatisfied
Neutral
Satisfied
Very satisfied

14. How satisfied are you if the bill payment options can be customized for your usage
requirements?
1
2
3
4
5

Very dissatisfied
Dissatisfied
Neutral
Satisfied
Very satisfied

15. Have you made any billing related complaints in last 12 months?
1 Yes
2 No
If no, please skip to question 18, otherwise continue.

16. How many complaints have you made in the last 12 months?
1
2
3
4
5

0-3
4-6
7-9
10-12
12 and more

Customer focus of wireless telecom companies in India

Page 112
APPENDIX
17. How satisfied are you with the process of resolution of billing complaints?
1
2
3
4
5

Very dissatisfied
Dissatisfied
Neutral
Satisfied
Very satisfied

18. How satisfied are you with the clarity of the bills issued by your service provider in
terms of transparency and understandability?

1
2
3
4
5

Very dissatisfied
Dissatisfied
Neutral
Satisfied
Very satisfied

If your response is Satisfied or Very satisfied, skip to question 20, otherwise continue.

19. If you had issues or complaints with the clarity of bills, please you specify the
reasons?(multiple answers possible)
1
2
3
4
5

Difficult to read the bill
Difficult to understand the
language
Calculations not clear
Item-wise breakdown of charges
not given
Others(please specify)

Others:______________________________________________________
Customer care

20. Did you complain or make a query in the last 12 months to the customer care toll
free number of your service provider regarding any non-billing complaints?
1 Yes
2 No
Customer focus of wireless telecom companies in India

Page 113
APPENDIX

If yes, please skip to question 22, otherwise continue.

21. If no, can you specify the reasons? (multiple answers possible)
1
2
3
4
5

Nothing to complain about.
There were small complaints.
I don‘t know the complaint
process
The complaint process is too
tedious
Others(please specify)

Others:______________________________________________________

22. Please specify the reasons for your response in question no. 20?

1) ___________________________________________________________________
_________________________________________________________________

2) ___________________________________________________________________
_________________________________________________________________

3) ___________________________________________________________________
_________________________________________________________________

23. How satisfied are you with the ease of access of call center/customer care/online
website?
1
2
3
4
5

Very dissatisfied
Dissatisfied
Neutral
Satisfied
Very satisfied

24. How satisfied are you with the time taken to respond to your call by a customer care
executive?

Customer focus of wireless telecom companies in India

Page 114
APPENDIX

1
2
3
4
5

Very dissatisfied
Dissatisfied
Neutral
Satisfied
Very satisfied

25. How satisfied were you with the problem solving ability of the customer care
executive(s)?

1
2
3
4
5

Very dissatisfied
Dissatisfied
Neutral
Satisfied
Very satisfied

26. How satisfied were you with the time taken by the customer care to resolve your
complaint?

1
2
3
4
5

Very dissatisfied
Dissatisfied
Neutral
Satisfied
Very satisfied

27. How satisfied are you with the present process of resolving customer complaints by
your service provider?

1
2
3
4
5

Very dissatisfied
Dissatisfied
Neutral
Satisfied
Very satisfied

If your response is Satisfied or Very satisfied, please skip to question 29, otherwise
continue.

Customer focus of wireless telecom companies in India

Page 115
APPENDIX
28. If you have issues or complaints with the process of resolving customer complaints,
please you specify better solutions? (multiple answers possible)

Network performance

29. How satisfied are you with the availability of network signal of your service
provider in your locality?
1
2
3
4
5

Very dissatisfied
Dissatisfied
Neutral
Satisfied
Very satisfied

30. How satisfied are you with the availability of network signal when on the move?
1
2
3
4
5

Very dissatisfied
Dissatisfied
Neutral
Satisfied
Very satisfied

31. How satisfied are you with the ability of the service provider to resolve problems
related with the network signal?

1
2
3
4
5

Very dissatisfied
Dissatisfied
Neutral
Satisfied
Very satisfied

Customer focus of wireless telecom companies in India

Page 116
APPENDIX
32. How satisfied are you with the ability to make or receive calls easily?
1
2
3
4
5

Very dissatisfied
Dissatisfied
Neutral
Satisfied
Very satisfied

33. How satisfied are you with the ability to make or receive SMS?
1
2
3
4
5

Very dissatisfied
Dissatisfied
Neutral
Satisfied
Very satisfied

34. How satisfied are you with the voice quality?
1
2
3
4
5

Very dissatisfied
Dissatisfied
Neutral
Satisfied
Very satisfied

35. How satisfied are you with your ability to make or receive calls/SMS during peak
hours?

1
2
3
4
5

Very dissatisfied
Dissatisfied
Neutral
Satisfied
Very satisfied

Value added services

36. Do you use value added services like roaming, ring tone, GPRS, e-mail, voice mail
or any other such services?
1 Yes
2 No
Customer focus of wireless telecom companies in India

Page 117
APPENDIX

If yes please skip to question 38, otherwise continue.

37. If no, please you specify the reasons? (multiple answers possible)
1
2
3
4
5

I was never informed by the
service provider
I knew, but it was very
complicated to try
I knew, but the service charges
were not affordable
I never felt the need for it
Others(please specify)

Others:______________________________________________________

38. If yes, please specify those value added services which you use most?

1) __________________________________________________________________
2) __________________________________________________________________
3) __________________________________________________________________
4) __________________________________________________________________
5) __________________________________________________________________

39. If yes, did the service provider get your explicit consent for providing the value
added service?
1 Yes
2 No
40. How satisfied are you with the quality of the value added services provided?
1
2
3
4
5

Very dissatisfied
Dissatisfied
Neutral
Satisfied
Very satisfied

Customer focus of wireless telecom companies in India

Page 118
APPENDIX

41. How satisfied are you with the charges of value added services?
1
2
3
4
5

Very dissatisfied
Dissatisfied
Neutral
Satisfied
Very satisfied

42. How satisfied are you if the value added services can be customized for your usage
requirements?

1
2
3
4
5

Very dissatisfied
Dissatisfied
Neutral
Satisfied
Very satisfied

Overall customer satisfaction

43. How satisfied are you with the overall quality of your mobile service?
1
2
3
4
5

Very dissatisfied
Dissatisfied
Neutral
Satisfied
Very satisfied

44. Please specify the reasons for your response to question no. 41 or any additional
comments?

1) ___________________________________________________________________
_________________________________________________________________

2) ___________________________________________________________________
_________________________________________________________________

Customer focus of wireless telecom companies in India

Page 119
APPENDIX
3) ___________________________________________________________________
_________________________________________________________________

General information

45. Have you been informed in writing, at the time of subscription of service or within a
week of activation of service the complete details of your tariff plan?

1 Yes
2 No
46. Have you terminated you mobile phone connection in the last 12 months?
1 Yes
2 No
If no, please skip to question number 49, otherwise continue.

47. If yes, please name your previous service provider?

__________________________________________________________________

48. If yes please specify the reasons for your response to question no. 46?

1) ___________________________________________________________________
_________________________________________________________________

2) ___________________________________________________________________
_________________________________________________________________

3) ___________________________________________________________________
_________________________________________________________________

Customer focus of wireless telecom companies in India

Page 120
APPENDIX
49. How many days were taken by previous service provider for termination of your
mobile phone connection?
1
2
3
4
5

1 day
1-3 days
3-7 days
Greater than 7 days
Don‘t remember

50. Did your service provider adjust your security deposit in the bill raised after you
requested for termination?

1 Yes
2 No
51. Have you registered your mobile number for the Do Not Call (DNC) registry with
your service provider so that you do not receive unsolicited commercial calls/SMS?
1 Yes
2 No
If yes, than please continue, or else stop here.

52. Do you still receive unsolicited commercial calls/SMS and whether there has been
any change in the frequency of such calls/SMS?
1
2
3
4

Continued receiving
Slight decrease
Considerable decrease
Stopped receiving

53. Have you made any complaint to your service provider on getting such unsolicited
calls/SMS after registering for the National Do Not Call (DNC) registry?
1 Yes
2 No

Customer focus of wireless telecom companies in India

Page 121
APPENDIX
If no, please skip to question number 55, otherwise continue.

54. Please indicate the outcome of your complaint?
1 Compliant was registered by the
service provider
2 Service provider refused to
register the complaint
55. Please tell me the telephone number and the company/agency from which the
unsolicited calls/SMS were received?

_________________________________________________________________________
_________________________________________________________________________
____________________________________________________

Customer focus of wireless telecom companies in India

Page 122
APPENDIX
8.2 Tables
Table 36: Descriptives of Oneway ANOVA test between operators from survey
Descriptives
OVLQUAL
95% Confidence Interval for
Mean
N

Mean

Std. Deviation Std. Error Lower Bound

Upper Bound

Minimum Maximum

1

43

3.6977

.98886

.15080

3.3933

4.0020

.00

5.00

2

33

3.3030

1.21153

.21090

2.8734

3.7326

.00

4.00

3

8

3.7500

.46291

.16366

3.3630

4.1370

3.00

4.00

4

6

3.1667

1.94079

.79232

1.1299

5.2034

.00

5.00

5

6

3.5000

.83666

.34157

2.6220

4.3780

2.00

4.00

7

10

3.8000

.42164

.13333

3.4984

4.1016

3.00

4.00

106

3.5472

1.06128

.10308

3.3428

3.7516

.00

5.00

Total

Table 37: Games-Howell test for post-hoc analysis
Multiple Comparisons
OVLQUAL
Games-Howell
(I)

(J)

95% Confidence Interval

OPERA OPERA Mean Difference
TOR

TOR

(I-J)

Std. Error

Sig.

Lower Bound

1

2

.39464

.25927

.652

-.3682

1.1575

3

-.05233

.22255

1.000

-.7474

.6428

4

.53101

.80655

.980

-2.8124

3.8745

5

.19767

.37337

.993

-1.2110

1.6063

7

-.10233

.20129

.996

-.7093

.5046

Customer focus of wireless telecom companies in India

Upper Bound

Page 123
APPENDIX

2

-1.1575

.3682

-.44697

.26695

.558

-1.2574

.3634

.13636

.81991

1.000

-3.1805

3.4532

-.19697

.40143

.995

-1.6117

1.2178

7

-.49697

.24951

.365

-1.2436

.2496

1

.05233

.22255

1.000

-.6428

.7474

2

.44697

.26695

.558

-.3634

1.2574

4

.58333

.80905

.971

-2.7560

3.9226

5

.25000

.37875

.981

-1.1689

1.6689

7

-.05000

.21110

1.000

-.7395

.6395

1

-.53101

.80655

.980

-3.8745

2.8124

2

-.13636

.81991

1.000

-3.4532

3.1805

3

-.58333

.80905

.971

-3.9226

2.7560

5

-.33333

.86281

.998

-3.6317

2.9651

7

-.63333

.80346

.959

-3.9844

2.7178

1

-.19767

.37337

.993

-1.6063

1.2110

2

.19697

.40143

.995

-1.2178

1.6117

3

-.25000

.37875

.981

-1.6689

1.1689

4

.33333

.86281

.998

-2.9651

3.6317

7

-.30000

.36667

.954

-1.7174

1.1174

1

.10233

.20129

.996

-.5046

.7093

2

.49697

.24951

.365

-.2496

1.2436

3

.05000

.21110

1.000

-.6395

.7395

4

.63333

.80346

.959

-2.7178

3.9844

5

7

.652

5

5

.25927

4

4

-.39464

3

3

1

.30000

.36667

.954

-1.1174

1.7174

Customer focus of wireless telecom companies in India

Page 124
APPENDIX
Table 38:‎Tukey’s‎test‎for‎homogeneous‎grouping‎of‎means
Subset for alpha = 0.05
OPERATOR

N

1

4

6

3.1667

2

33

3.3030

5

6

3.5000

1

43

3.6977

3

8

3.7500

7

10

3.8000

Sig.

.775

Means for groups in homogeneous subsets are displayed.
a. Uses Harmonic Mean Sample Size = 9.806.
b. The group sizes are unequal. The harmonic mean of the group sizes is used. Type I error levels are not
guaranteed.

Table 39: Descriptives of ANOVA TRAI operator-wise
Descriptives
OVLQUAL
95% Confidence
Interval for Mean
BetweenStd.
N

Mean Deviation

Std.

Lower

Upper

Error

Bound

Bound

Component
Minimum Maximum Variance

1.00

9 3.0667

.47011 .15670

2.7053

3.4280

2.32

3.95

2.00

22 3.1132

.25203 .05373

3.0014

3.2249

2.67

3.90

3.00

22 3.0155

.27779 .05923

2.8923

3.1386

2.56

3.92

4.00

10 3.0210

.14791 .04677

2.9152

3.1268

2.71

3.19

5.00

22 3.0218

.28319 .06038

2.8963

3.1474

2.62

3.94

Customer focus of wireless telecom companies in India

Page 125
APPENDIX

6.00

19 3.0547

.15079 .03459

2.9821

3.1274

2.65

3.32

7.00

16 3.0844

.11838 .02959

3.0213

3.1475

2.89

3.37

8.00

5 3.1220

.12153 .05435

2.9711

3.2729

2.98

3.24

Total

125 3.0570

.24534 .02194

3.0135

3.1004

2.32

3.95

.24948 .02231

3.0128

3.1012

Model Fixed
Effects
Random

.02231

a

3.0042

a

3.1097

a

-.00238

Effects
a. Warning: Between-component variance is negative. It was replaced by 0.0 in computing this random effects
measure.

Table 40: Tukey's test for ANOVA TRAI operator-wise
OVLQUAL
Subset for alpha
= 0.05
OPERA
TOR
Tukey HSD

a,,b

N

1

3.00

22

3.0155

4.00

10

3.0210

5.00

22

3.0218

6.00

19

3.0547

1.00

9

3.0667

7.00

16

3.0844

2.00

22

3.1132

8.00

5

3.1220

Sig.

.966

Means for groups in homogeneous subsets are displayed.
a. Uses Harmonic Mean Sample Size = 12.074.

Customer focus of wireless telecom companies in India

Page 126
APPENDIX

OVLQUAL
Subset for alpha
= 0.05
OPERA
TOR
Tukey HSD

a,,b

N

1

3.00

22

3.0155

4.00

10

3.0210

5.00

22

3.0218

6.00

19

3.0547

1.00

9

3.0667

7.00

16

3.0844

2.00

22

3.1132

8.00

5

3.1220

Sig.

.966

Means for groups in homogeneous subsets are displayed.
a. Uses Harmonic Mean Sample Size = 12.074.
b. The group sizes are unequal. The harmonic mean of
the group sizes is used. Type I error levels are not
guaranteed.

Table 41: Comparison of satisfaction scores of TRAI survey, survey and TRAI
benchmark

DETAILS

TRAI
DATA1

SURVEY DATA

TRAI
BENCHMARK

OVERALL CSAC2 SCORE

70.43%

68.93%

95%

SERVICE PROVISION CSAC SCORE

72.43%

69.27%

95%

Satisfaction with time taken to provide new
connection
1
2

69.27%

Data from the survey done for the year 2008-09 and has been consolidated across India.
Customer Satisfaction

Customer focus of wireless telecom companies in India

Page 127
APPENDIX
Satisfaction with re-activation

PREPAID BILLING CSAC SCORE

42.59%

71.05%

58.06%

66.96%

90%

63.61%

95%

53.38%

95%

58.06%

Tariff customization

90%

55.04%

Accuracy of charges

90%

73.36%

POSTPAID BILLING CSAC SCORE

69.49%

Accuracy of bills

69.77%

Timely delivery of bills

73.17%

Payment process for bills

74.42%

Tariff customization

73.17%

Bill payment customization

74.42%

Billing complaint resolution process

50.96%

Clarity of bills

66.46%

CUSTOMER CARE CSAC SCORE

66.92%

Ease of access

55.83%

Time to respond

56.07%

Problem solving ability

53.68%

Time to resolve complaint

54.13%

Customer complaint process

55.53%

NETWORK PERFORMANCE CSAC SCORE

72.25%

Local network

63.86%

Travel network

60.89%

Problem resolution regarding network

50.25%

Call ability

67.93%

SMS ability

71.78%

Voice quality

66.33%

Call/SMS during peak hours

64.25%

VALUE ADDED SERVICES CSAC SCORE

69.00%

VAS quality

Customer focus of wireless telecom companies in India

59.24%

Page 128
APPENDIX
VAS charges

47.53%

VAS customization

65.72%

CUSTOMIZATION SCORES

71.67%

Tariff customization-prepaid

73.36%

Tariff customization-postpaid

73.17%

Bill payment customization-postpaid

74.42%

VAS customization

65.72%

Table 42: TRAI data on customer satisfaction with provision of service
CIRCLE

TRAI BENCHMARK

2001-02

2003-04

2006

2007

2008-09

93%

96%

97.00%

90.00%

83.00%

AP

95.00%

ASSAM

95.00%

99.00%

83.00%

67.00%

BIHAR

95.00%

86.00%

75.50%

65.00%

CHENNAI

95.00%

96%

96%

98.00%

89.50%

81.00%

DELHI

95.00%

96%

96%

100.00%

88.50%

77.00%

GUJARAT

95.00%

93%

98.00%

85.50%

73.00%

HARYANA

95.00%

98%

89.00%

81.30%

73.60%

HP

95.00%

89%

88.00%

70.05%

52.10%

J&K

95.00%

87.00%

84.10%

81.20%

KARNATAKA

95.00%

88%

100.00%

91.50%

83.00%

KERALA

95.00%

89%

100.00%

100.00%

KOLKATA

95.00%

94%

97.00%

83.50%

70.00%

MAHARASHTRA

95.00%

90%

94.00%

83.50%

73.00%

MP

95.00%

82%

98.00%

83.50%

69.00%

MUMBAI

95.00%

90%

95.00%

81.00%

67.00%

NE

95.00%

73.00%

73.00%

ORISSA

95.00%

98.00%

89.50%

81.00%

PUNJAB

95.00%

100.00%

87.80%

75.60%

RAJASTHAN

95.00%

96.00%

80.60%

65.20%

TAMILNADU

95.00%

100.00%

87.00%

74.00%

UP EAST

95.00%

91.00%

81.65%

72.30%

UP WEST

95.00%

94.00%

82.70%

71.40%

WEST BENGAL

95.00%

99.00%

82.50%

66.00%

95.64%

84.14%

72.43%

OVERALL CSAC SCORE

100%

93%

90%

94%

96%

98%

94.67%

92.60%

Customer focus of wireless telecom companies in India

Page 129
APPENDIX
TRAI BENCHMARK

85.00%

95.00%

95.00%

95.00%

95.00%

Table 43: TRAI data on customer satisfaction with postpaid billing performance
CIRCLE

TRAI BENCHMARK

2001-02

2003-04

2006

2007

2008-09

88%

90%

100%

91.50%

83.00%

AP

90.00%

ASSAM

90.00%

58.00%

66.00%

74.00%

BIHAR

90.00%

90.00%

76.50%

63.00%

CHENNAI

90.00%

92%

90%

82%

81.50%

81.00%

DELHI

90.00%

87%

91%

82%

74.00%

66.00%

GUJARAT

90.00%

90%

80%

74.50%

69.00%

HARYANA

90.00%

89%

87.00%

76.85%

66.70%

HP

90.00%

80%

97.00%

81.35%

65.70%

J&K

90.00%

89.00%

78.50%

68.00%

KARNATAKA

90.00%

84%

100%

87.50%

75.00%

KERALA

90.00%

76%

100.00%

100.00%

KOLKATA

90.00%

77%

81%

71.50%

62.00%

MAHARASHTRA

90.00%

83%

100.00%

85.00%

70.00%

MP

90.00%

80%

100.00%

84.00%

68.00%

MUMBAI

90.00%

80%

99.00%

81.00%

63.00%

NE

90.00%

64.00%

64.00%

ORISSA

90.00%

78.00%

78.50%

79.00%

PUNJAB

90.00%

98.00%

84.35%

70.70%

RAJASTHAN

90.00%

84.00%

76.45%

68.90%

TAMILNADU

90.00%

99.00%

83.50%

68.00%

UP EAST

90.00%

92.00%

80.15%

68.30%

UP WEST

90.00%

90.00%

78.20%

66.40%

WEST BENGAL

90.00%

100.00%

84.50%

69.00%

67%

90%

79%

90%

84%

87%

OVERALL CSAC SCORE

83.83%

84.73%

90.27%

79.97%

69.49%

TRAI BENCHMARK

85.00%

90.00%

90.00%

90.00%

90.00%

Table 44: TRAI data on customer satisfaction with prepaid billing performance
CIRCLE

TRAI BENCHMARK

2001-02

2003-04

2006

2007

2008-09

88%

90%

100%

90.50%

81.00%

AP

90.00%

ASSAM

90.00%

98.00%

83.00%

68.00%

BIHAR

90.00%

85.00%

74.00%

63.00%

CHENNAI

90.00%

97%

88.50%

80.00%

92%

90%

Customer focus of wireless telecom companies in India

Page 130
APPENDIX
DELHI

90.00%

GUJARAT

87%

91%

98%

83.80%

69.60%

90.00%

90%

74%

72.00%

70.00%

HARYANA

90.00%

89%

91.00%

80.15%

69.30%

HP

90.00%

80%

98.00%

82.85%

67.70%

J&K

90.00%

97.00%

90.35%

83.70%

KARNATAKA

90.00%

84%

100%

89.50%

79.00%

KERALA

90.00%

76%

100.00%

100.00%

KOLKATA

90.00%

77%

91%

78.00%

65.00%

MAHARASHTRA

90.00%

83%

92.00%

81.00%

70.00%

MP

90.00%

80%

100.00%

84.00%

68.00%

MUMBAI

90.00%

80%

98%

82.50%

67.00%

NE

90.00%

72.00%

72.00%

ORISSA

90.00%

89.00%

81.50%

74.00%

PUNJAB

90.00%

99.00%

86.25%

73.50%

RAJASTHAN

90.00%

90.00%

79.45%

68.90%

TAMILNADU

90.00%

99.00%

86.00%

73.00%

UP EAST

90.00%

77.00%

74.05%

71.10%

UP WEST

90.00%

99.00%

82.70%

66.40%

WEST BENGAL

90.00%

98.00%

80.50%

63.00%

67%

90%

79%

90%

84%

87%

OVERALL CSAC SCORE

83.83%

84.73%

94.09%

82.72%

71.05%

TRAI BENCHMARK

85.00%

90.00%

90.00%

90.00%

90.00%

Table 45: TRAI data on customer satisfaction with help services
CIRCLE

TRAI BENCHMARK

2001-02

2003-04

2006

2007

2008-09

92%

92%

64%

71.00%

78.00%

AP

90.00%

ASSAM

90.00%

78.00%

69.50%

61.00%

BIHAR

90.00%

65.00%

60.00%

55.00%

CHENNAI

90.00%

96%

92%

61.00%

70.50%

80.00%

DELHI

90.00%

89%

91%

86.00%

76.10%

66.20%

GUJARAT

90.00%

89%

74%

69.50%

65.00%

HARYANA

90.00%

93%

70.00%

69.00%

68.00%

HP

90.00%

79%

67.00%

65.90%

64.80%

J&K

90.00%

62.00%

68.20%

74.40%

KARNATAKA

90.00%

86%

61%

70.00%

79.00%

KERALA

90.00%

82%

60.00%

60.00%

KOLKATA

90.00%

80%

69%

63.50%

58.00%

MAHARASHTRA

90.00%

81%

66.00%

65.00%

64.00%

78%

90%

81%

Customer focus of wireless telecom companies in India

Page 131
APPENDIX
MP

90.00%

88%

76.00%

70.00%

64.00%

MUMBAI

90.00%

79%

68.00%

64.00%

60.00%

NE

90.00%

61.00%

61.00%

ORISSA

90.00%

68.00%

65.00%

62.00%

PUNJAB

90.00%

69.00%

70.70%

72.40%

RAJASTHAN

90.00%

64.00%

68.60%

73.20%

TAMILNADU

90.00%

60.00%

63.00%

66.00%

UP EAST

90.00%

68.00%

71.15%

74.30%

UP WEST

90.00%

70.00%

69.95%

69.90%

WEST BENGAL

90.00%

72.00%

64.00%

56.00%

86%

89%

91%

OVERALL CSAC SCORE

87.67%

86.53%

68.09%

67.20%

66.92%

TRAI BENCHMARK

85.00%

90.00%

90.00%

90.00%

90.00%

Table 46: TRAI data on customer satisfaction with network performance, reliability
and availability
CIRCLE

TRAI BENCHMARK

2001-02

2003-04

2006

2007

2008-09

88%

93%

91%

86.00%

81.00%

AP

95.00%

ASSAM

95.00%

73.00%

72.50%

72.00%

BIHAR

95.00%

53.00%

59.00%

65.00%

CHENNAI

95.00%

85%

93%

73%

76.50%

80.00%

DELHI

95.00%

90%

93%

90%

80.80%

71.60%

GUJARAT

95.00%

89%

60%

63.00%

66.00%

HARYANA

95.00%

91%

89.00%

79.75%

70.50%

HP

95.00%

83%

89.00%

78.50%

68.00%

J&K

95.00%

66.00%

81.20%

96.40%

KARNATAKA

95.00%

84%

74%

76.00%

78.00%

KERALA

95.00%

76%

99.00%

99.00%

KOLKATA

95.00%

78%

73%

65.50%

58.00%

MAHARASHTRA

95.00%

82%

82.00%

73.50%

65.00%

MP

95.00%

81%

86.00%

75.50%

65.00%

MUMBAI

95.00%

79%

88%

74.00%

60.00%

NE

95.00%

75.00%

75.00%

ORISSA

95.00%

72.00%

75.50%

79.00%

PUNJAB

95.00%

96.00%

86.40%

76.80%

RAJASTHAN

95.00%

87.00%

79.15%

71.30%

TAMILNADU

95.00%

58.00%

65.50%

73.00%

UP EAST

95.00%

76.00%

77.50%

79.00%

89%

88%

68%

88%

90%

Customer focus of wireless telecom companies in India

Page 132
APPENDIX
UP WEST

95.00%

WEST BENGAL

91%

79.00%

95.00%

76.95%

74.90%

65.00%

64.50%

64.00%

OVERALL CSAC SCORE

84.67%

86.07%

78.14%

75.71%

72.25%

TRAI BENCHMARK

85.00%

95.00%

95.00%

95.00%

95.00%

Table 47: TRAI data on customer satisfaction with maintainability
CIRCLE

TRAI BENCHMARK

2001-02

2003-04

2006

2007

2008-09

84%

91%

80%

80.50%

81.00%

AP

95.00%

ASSAM

95.00%

76.00%

74.50%

73.00%

BIHAR

95.00%

96.00%

80.50%

65.00%

CHENNAI

95.00%

90%

91%

76%

78.50%

81.00%

DELHI

95.00%

85%

89%

68%

69.25%

70.50%

GUJARAT

95.00%

85%

88%

77.50%

67.00%

HARYANA

95.00%

92%

73.00%

72.10%

71.20%

HP

95.00%

77%

100.00%

83.20%

66.40%

J&K

95.00%

76.00%

84.40%

92.80%

KARNATAKA

95.00%

77.00%

77.00%

KERALA

95.00%

KOLKATA

95.00%

MAHARASHTRA

95.00%

71%

MP

95.00%

59%

MUMBAI

95.00%

75%

NE

95.00%

ORISSA

95.00%

PUNJAB

95.00%

RAJASTHAN

95.00%

TAMILNADU

95.00%

UP EAST

95.00%

UP WEST

95.00%

WEST BENGAL

95.00%

86%

90%

83%
76%

100.00%

71%

78%

72.50%

67.00%

66.00%

66.00%

81.00%

73.00%

65.00%

80%

71.00%

62.00%

78.00%

78.00%

82.00%

79.00%

76.00%

90.00%

81.45%

72.90%

86.00%

78.70%

71.40%

100%

87.00%

74.00%

71.00%

74.10%

77.20%

58.00%

63.15%

68.30%

88.00%

73%

100.00%

76.00%

64.00%

86%

86%

79%

OVERALL CSAC SCORE

84.67%

80.73%

82.35%

77.28%

72.12%

TRAI BENCHMARK

85.00%

95.00%

95.00%

95.00%

95.00%

Table 48: TRAI data on customer satisfaction with offered supplementary services

CIRCLE

TRAI
BENCHMARK

2001-02

2003-04

Customer focus of wireless telecom companies in India

2006

2007

2008-09

Page 133
APPENDIX
AP

95.00%

ASSAM

96%

86.00%

76.00%

95.00%

98.00%

82.00%

66.00%

BIHAR

95.00%

97.00%

81.50%

66.00%

CHENNAI

95.00%

95%

87%

98%

86.00%

74.00%

DELHI

95.00%

92%

94%

100%

83.35%

66.70%

GUJARAT

95.00%

95%

98%

85.00%

72.00%

HARYANA

95.00%

93%

71.00%

71.55%

72.10%

HP

95.00%

87%

72.00%

62.65%

53.30%

J&K

95.00%

100.00%

93.50%

87.00%

KARNATAKA

95.00%

84%

95%

81.50%

68.00%

KERALA

95.00%

84%

100.00%

100.00%

KOLKATA

95.00%

82%

98%

80.00%

62.00%

MAHARASHTRA

95.00%

86%

91%

82.50%

74.00%

MP

95.00%

93%

88.00%

76.50%

65.00%

MUMBAI

95.00%

83%

98%

83.50%

69.00%

NE

95.00%

74.00%

74.00%

ORISSA

95.00%

95.00%

81.00%

67.00%

PUNJAB

95.00%

99.00%

82.85%

66.70%

RAJASTHAN

95.00%

92.00%

79.45%

66.90%

TAMILNADU

95.00%

100%

85.00%

70.00%

UP EAST

95.00%

92.00%

79.35%

66.70%

UP WEST

95.00%

96.00%

81.35%

66.70%

WEST BENGAL

95.00%

97.00%

79.00%

61.00%

OVERALL
SCORE

87%

95%

95%

96%

87%

91%

89%

88%

CSAC

TRAI BENCHMARK

92.00%

88.73%

94.14%

81.63%

69.00%

85.00%

95.00%

95.00%

95.00%

95.00%

Table 49: TRAI data on customer satisfaction with overall quality of service
CIRCLE

TRAI BENCHMARK

2001-02

2003

2006

2007

2008-09

85.00%

93.00%

91.00%

83.00%

75.00%

AP

95.00%

ASSAM

95.00%

86.00%

79.00%

72.00%

BIHAR

95.00%

78.00%

72.00%

66.00%

CHENNAI

95.00%

87.00%

93.00%

85%

83.00%

81.00%

DELHI

95.00%

85.00%

91.00%

93%

82.05%

71.10%

GUJARAT

95.00%

91.00%

78.00%

70.50%

63.00%

HARYANA

95.00%

88.00%

82.00%

76.65%

71.30%

HP

95.00%

75.00%

85.00%

70.35%

55.70%

78.00%

Customer focus of wireless telecom companies in India

Page 134
APPENDIX
J&K

95.00%

82.00%

89.30%

96.60%

KARNATAKA

95.00%

86.00%

79.50%

73.00%

KERALA

95.00%

83.00%

98.00%

98.00%

KOLKATA

95.00%

73.00%

83%

74.50%

66.00%

MAHARASHTRA

95.00%

76.00%

86%

74.00%

62.00%

MP

95.00%

80.00%

90.00%

75.50%

61.00%

MUMBAI

95.00%

86.00%

91%

77.50%

64.00%

NE

95.00%

83.00%

76.00%

76.00%

ORISSA

95.00%

82.00%

77.00%

72.00%

PUNJAB

95.00%

92.00%

83.30%

74.60%

RAJASTHAN

95.00%

86.00%

79.00%

72.00%

TAMILNADU

95.00%

82%

77.50%

73.00%

UP EAST

95.00%

83.00%

77.75%

72.50%

UP WEST

95.00%

87.00%

78.30%

69.60%

WEST BENGAL

95.00%

89.00%

84.00%

73.00%

62.00%

90.00%

66.00%

84.00%

83.00%

OVERALL CSAC SCORE

81.83%

84.53%

85.91%

78.55%

70.43%

TRAI BENCHMARK

85.00%

95.00%

95.00%

95.00%

95.00%

Table 50: Comparison of satisfaction scores of TRAI survey, survey and TRAI
benchmark for Airtel

DETAILS

TRAI
DATA3

SURVEY DATA

TRAI
BENCHMARK

OVERALL CSAC SCORE

70.43%

71.95%

95%

SERVICE PROVISION CSAC SCORE

72.43%

69.77%

95%

53.57%

90%

Satisfaction with time taken to provide new
connection

69.77
%

Satisfaction with re-activation

42.44
%

PREPAID BILLING CSAC SCORE

71.05%

Accuracy of charges

53.57
%

Tariff customization

77.38
%

3

Data from the survey done for the year 2008-09 and has been consolidated across India.

Customer focus of wireless telecom companies in India

Page 135
APPENDIX

POSTPAID BILLING CSAC SCORE

69.49%

62.84%

56.79%

70.24
%

Payment process for bills

72.73
%

Tariff customization

67.86
%

Bill payment customization

77.27
%

Billing complaint resolution process

41.67
%

Clarity of bills

95%

67.05
%

Timely delivery of bills

90%

69.24%

Accuracy of bills

90%

62.50
%

CUSTOMER CARE CSAC SCORE

66.92%

Ease of access

51.25
%

Time to respond

58.75
%

Problem solving ability

57.05
%

Time to resolve complaint

56.88
%

Customer complaint process

60.00
%

NETWORK PERFORMANCE CSAC SCORE

72.25%

Local network

70.73
%

Travel network

67.07
%

Problem resolution regarding network

52.44
%

Call ability

75.00
%

SMS ability

75.61

Customer focus of wireless telecom companies in India

Page 136
APPENDIX
%
Voice quality

73.72
%

Call/SMS during peak hours

70.12
%

VALUE ADDED SERVICES CSAC SCORE

69.00%

55.56%

VAS quality

62.50
%

VAS charges

48.61
%

VAS customization

95%

67.50
%

CUSTOMIZATION SCORES

72.50%

Tariff customization-prepaid

77.38
%

Tariff customization-postpaid

67.86
%

Bill payment customization-postpaid

77.27
%

VAS customization

67.50
%

Table 51: Descriptive statistics of factor analysis of Airtel postpaid customers
Descriptive Statistics
Mean

Std. Deviation

Analysis N

AQRCN

4.0500

.60481

20

REACT

2.6000

1.75919

20

ACCBL

3.6000

.99472

20

TIMBL

3.6500

1.38697

20

PAYBL

3.9000

.91191

20

TRFCZ

3.5000

1.31789

20

Customer focus of wireless telecom companies in India

Page 137
APPENDIX

BILCZ

4.0500

.94451

20

BILCM

1.8500

1.69442

20

BILCL

3.1000

1.29371

20

CCACS

3.0500

.75915

20

CCRST

3.5000

.82717

20

CCPSL

3.3000

.80131

20

CCRSC

3.4000

.59824

20

RSCPP

3.6000

.75394

20

NSAVL

3.8000

1.10501

20

NSMOV

3.6500

1.13671

20

NSPSA

3.2000

1.43637

20

MKCAL

4.0000

.91766

20

MKSMS

4.1000

.85224

20

VCQUL

3.8000

1.15166

20

MCLSM

3.7000

.97872

20

VASQL

3.4500

.94451

20

VASCG

2.8000

.89443

20

VASCZ

3.7500

1.01955

20

OVLQL

3.8000

.52315

20

Table 52: Communalities of factor analysis of Airtel postpaid customers
Communalities
Initial

Extraction

AQRCN

1.000

.900

REACT

1.000

.649

ACCBL

1.000

.835

TIMBL

1.000

.932

Customer focus of wireless telecom companies in India

Page 138
APPENDIX

PAYBL

1.000

.938

TRFCZ

1.000

.929

BILCZ

1.000

.886

BILCM

1.000

.721

BILCL

1.000

.896

CCACS

1.000

.617

CCRST

1.000

.832

CCPSL

1.000

.929

CCRSC

1.000

.804

RSCPP

1.000

.854

NSAVL

1.000

.897

NSMOV

1.000

.813

NSPSA

1.000

.837

MKCAL

1.000

.943

MKSMS

1.000

.956

VCQUL

1.000

.752

MCLSM

1.000

.759

VASQL

1.000

.790

VASCG

1.000

.724

VASCZ

1.000

.948

OVLQL

1.000

.770

Extraction Method: Principal Component Analysis.

Table 53: Factor analysis of Airtel postpaid customers
Total Variance Explained
Extraction Sums of Squared
Component

Initial Eigenvalues

Rotation Sums of Squared

Loadings

Loadings

Customer focus of wireless telecom companies in India

Page 139
APPENDIX

% of
Total

Cumulative

Variance

%

% of
Total

Cumulative

Variance

%

% of
Total

Cumulative

Variance

%

1

7.671

30.686

30.686

7.671

30.686

30.686

5.748

22.991

22.991

2

4.090

16.362

47.047

4.090

16.362

47.047

3.574

14.296

37.288

3

2.877

11.508

58.556

2.877

11.508

58.556

3.549

14.198

51.485

4

2.109

8.436

66.992

2.109

8.436

66.992

2.338

9.351

60.837

5

1.768

7.074

74.066

1.768

7.074

74.066

2.062

8.249

69.085

6

1.240

4.961

79.028

1.240

4.961

79.028

2.062

8.248

77.333

7

1.154

4.616

83.644

1.154

4.616

83.644

1.578

6.310

83.644

8

.906

3.626

87.269

9

.821

3.284

90.554

10

.590

2.362

92.916

11

.521

2.086

95.002

12

.378

1.511

96.513

13

.237

.947

97.460

14

.225

.901

98.362

15

.171

.685

99.047

16

.100

.402

99.448

17

.064

.256

99.705

18

.051

.202

99.907

19

.023

.093

100.000

3.855E- 1.542E-15

100.000

20

16
21

2.062E- 8.249E-16

100.000

16
22

1.194E- 4.775E-16

100.000

16

Customer focus of wireless telecom companies in India

Page 140
APPENDIX

23

16

-2.049E-

-8.197E-

16

16

-2.601E-

-1.040E-

16

25

-3.395E-

17
24

-8.487E-

100.000

15

100.000

100.000

Extraction Method: Principal Component Analysis.

Table 54: Descriptive statistics for factor analysis of Airtel prepaid cusotmers
Descriptive Statistics
Mean

Std. Deviation

Analysis N

AQRCN

3.6000

1.42902

20

REACT

2.9500

1.87715

20

BILCG

3.2000

.95145

20

TRFCZ

4.1000

1.25237

20

CCACS

2.7500

1.71295

20

CCRST

2.9000

1.48324

20

CCPSL

2.8500

1.63111

20

CCRSC

2.9000

1.51831

20

RSCPP

2.9500

1.60509

20

NSAVL

3.8500

.98809

20

NSMOV

3.7500

.91047

20

NSPSA

3.0000

1.41421

20

MKCAL

3.8000

1.15166

20

MKSMS

3.9500

1.05006

20

VCQUL

3.7000

1.49032

20

MCLSM

3.9000

.96791

20

VASQL

2.7000

1.78001

20

Customer focus of wireless telecom companies in India

Page 141
APPENDIX

VASCG

2.3500

1.66307

20

VASCZ

3.5000

1.50438

20

OVLQL

3.9500

.60481

20

Table 55: Rotated Component Matrix for factor analysis for Airtel postpaid
customers
Rotated Component Matrix

a

Component
1

2

NSAVL

.768

ACCBL

7

.838

MCLSM

6

.853

BILCL

5

.885

NSMOV

4

.886

MKCAL

3

.700

REACT
CCACS
VASCZ

.950

RSCPP

.751

VASQL

.638

MKSMS
OVLQL
PAYBL

.918

BILCZ

.868

TIMBL

.865

TRFCZ
CCRSC

.613

.644
.826

Customer focus of wireless telecom companies in India

Page 142
APPENDIX

CCPSL

.698

BILCM

.802

VASCG

.786

CCRST

.846

VCQUL

.654

AQRCN

.891

NSPSA

.740

Extraction Method: Principal Component Analysis.
Rotation Method: Varimax with Kaiser Normalization.
a. Rotation converged in 8 iterations.

Table 56: Correlations between the factors selected for regression analysis for Airtel
postpaid customers
Correlations
OVERALL_QU CRITIC CUSTOMIZA BILLI CUST_SER SATISFAC DELIG EXT
ALITY
Pearso OVERALL_QU

AL

TION

NG

VICE

TION

HT

RA

.457

.632

.580

.379

.089

-.007 .249

CRITICAL

.457

1.000

.341

.339

.510

.275

.213 .513

CUSTOMIZATI

.632

.341

1.000

.484

.339

.121

.269 .018

BILLING

.580

.339

.484 1.000

.020

-.076

.123 .176

CUST_SERVI

n

1.000

.379

.510

.339

.020

1.000

.546

.350 .085

.089

.275

.121 -.076

.546

1.000

.069 .014

-.007

.213

.269

.123

.350

.069 1.000 -.084

.249

.513

.018

.176

.085

.014

ALITY

Correlat
ion

ON

CE
SATISFACTIO
N
DELIGHT
EXTRA

-.084 1.00
0

Customer focus of wireless telecom companies in India

Page 143
APPENDIX

Sig. (1- OVERALL_QU

.019

.001

.003

.045

.351

.487 .138

CRITICAL

.019

.

.065

.066

.009

.114

.177 .009

CUSTOMIZATI

.001

.065

.

.013

.066

.301

.119 .469

BILLING

.003

.066

.013

.

.465

.372

.297 .223

CUST_SERVI

.045

.009

.066

.465

.

.005

.060 .356

.351

.114

.301

.372

.005

.

.383 .477

DELIGHT

.487

.177

.119

.297

.060

.383

. .358

EXTRA

.138

.009

.469

.223

.356

.477

.358

.

21

21

21

21

21

21

21

21

CRITICAL

21

21

21

21

21

21

21

21

CUSTOMIZATI

21

21

21

21

21

21

21

21

BILLING

21

21

21

21

21

21

21

21

CUST_SERVI

21

21

21

21

21

21

21

21

21

21

21

21

21

21

21

21

DELIGHT

21

21

21

21

21

21

21

21

EXTRA

tailed)

.

21

21

21

21

21

21

21

21

ALITY

ON

CE
SATISFACTIO
N

N

OVERALL_QU
ALITY

ON

CE
SATISFACTIO
N

Table 57: Communalities of factor analysis of Airtel prepaid customers
Communalities
Initial
AQRCN

1.000

Extraction
.565

Customer focus of wireless telecom companies in India

Page 144
APPENDIX

REACT

1.000

.825

BILCG

1.000

.437

TRFCZ

1.000

.459

CCACS

1.000

.784

CCRST

1.000

.885

CCPSL

1.000

.863

CCRSC

1.000

.914

RSCPP

1.000

.875

NSAVL

1.000

.824

NSMOV

1.000

.845

NSPSA

1.000

.922

MKCAL

1.000

.422

MKSMS

1.000

.792

VCQUL

1.000

.707

MCLSM

1.000

.955

VASQL

1.000

.902

VASCG

1.000

.931

VASCZ

1.000

.810

OVLQL

1.000

.910

Method:

Principal

Extraction

Component Analysis.

Table 58: Factor analysis of Airtel prepaid customers

Total Variance Explained
Extraction Sums of Squared
Component

Initial Eigenvalues

Rotation Sums of Squared

Loadings

Loadings

Customer focus of wireless telecom companies in India

Page 145
APPENDIX

% of
Total

Cumulative

Variance

%

% of
Total

Cumulative

Variance

%

% of
Total

Cumulative

Variance

%

1

6.931

34.654

34.654

6.931

34.654

34.654

4.911

24.556

24.556

2

3.062

15.311

49.965

3.062

15.311

49.965

3.765

18.826

43.382

3

2.380

11.900

61.865

2.380

11.900

61.865

2.911

14.553

57.936

4

1.895

9.474

71.339

1.895

9.474

71.339

2.583

12.917

70.852

5

1.361

6.804

78.142

1.361

6.804

78.142

1.458

7.290

78.142

6

.938

4.692

82.835

7

.871

4.355

87.189

8

.759

3.796

90.985

9

.517

2.587

93.572

10

.426

2.128

95.699

11

.355

1.774

97.473

12

.198

.990

98.463

13

.107

.535

98.998

14

.089

.445

99.444

15

.066

.328

99.772

16

.020

.098

99.870

17

.016

.079

99.948

18

.005

.027

99.975

19

.005

.025

100.000

20

-2.815E-

-1.408E-

100.000

16

15

Extraction Method: Principal Component Analysis.

Table 59: Rotated Component Matrix for factor analysis for Airtel prepaid customers
Component

Customer focus of wireless telecom companies in India

Page 146
APPENDIX

1

2

CCRSC

.862

CCPSL

.854

CCACS

5

.903

RSCPP

4

.930

CCRST

3

.837

AQRCN
MCLSM

.894

REACT

.879

NSMOV

.697

MKSMS

.657

OVLQL

.823

BILCG

.640

TRFCZ

.623

MKCAL
NSAVL
VASCG

.921

VASQL

.913

VASCZ

.677

NSPSA

.873

VCQUL
Extraction Method: Principal Component Analysis.
Rotation Method: Varimax with Kaiser Normalization.
a.

Rotation converged in 6 iterations.

Customer focus of wireless telecom companies in India

Page 147
APPENDIX

Table 60: Correlations between the factors selected for regression analysis for Airtel
prepaid customers
Correlations
OVERALL_QUALI CUST_CA CALL_SMS_ABILI BILLIN
TY
Pearson OVERALL_QUALI

RE

TY

G

NETWORK_PE
VAS

RF

1.000

-.023

.652

.749 .071

-.265

-.023

1.000

.297

.030 .054

-.304

.652

.297

1.000

.406

-.214

Correlati TY
on
CUST_CARE
CALL_SMS_ABILI
TY

.095

BILLING

.749

.030

.406

1.000 .157

-.273

VAS

.071

.054

-.095

.157 1.00

.068

0
NETWORK_PER

-.265

-.304

-.214

-.273 .068

1.000

.

.463

.001

.000 .386

.137

CUST_CARE

.463

.

.109

.452 .413

.103

CALL_SMS_ABILI

.001

.109

.

.042 .349

.190

BILLING

.000

.452

.042

. .260

.129

VAS

.386

.413

.349

.260

.

.391

NETWORK_PER

.137

.103

.190

.129 .391

.

19

19

19

19

19

19

CUST_CARE

19

19

19

19

19

19

CALL_SMS_ABILI

19

19

19

19

19

19

F
Sig.
tailed)

(1- OVERALL_QUALI
TY

TY

F
N

OVERALL_QUALI
TY

TY

Customer focus of wireless telecom companies in India

Page 148
APPENDIX

BILLING

19

19

19

19

19

19

VAS

19

19

19

19

19

19

NETWORK_PER

19

19

19

19

19

19

F

Customer focus of wireless telecom companies in India

Page 149
Chapter 9
Bibliography &
references
BIBLIOGRAPHY

9 BIBLIOGRAPHY AND REFERENCES
1. Anderson, E. W., Fornell, C., & Rust, R. T. (1997). Customer satisfaction,
productivity, and profitability: Differences between goods and services. Marketing
Science , 129-145.
2. BNET Business Dictionary. (2009, May 11). Customer Focus Definition and
additional resources from BNET. Retrieved October 21, 2009, from CBS Interactive
Inc website: http://www.bnet.com
3. BNET Business Dictionary. (2009, May 11). Customer Satisfaction: Definition and
additional resources from BNET. Retrieved October 21, 2009, from CBS Interactive
Inc. website: http://www.bnet.com
4. Britt, P. (2005). CRM gets the call. Customer Relationship Management , 40-44.
5. Business SA. (2004, December 3). Customer Focus. pp. 1-9.
6. Callaghan, D. (2001, May 2). Fighting to keep users loyal. eweek , p. 33.
7. Chau, F. (2005). CRM: moving back to customer centricity. Telecom Asia , 30-32.
8. Datamonitor plc. (2009). Bharti Airtel Limited : Company Profile. New Delhi:
Datamonitor plc.
9. Erevelles, S., Srinivasan, S., & Rangel, S. (2003). Consumer satisfaction for internet
service providers: an analysis of underlying process. Information Technology and
Management , 69-89.
10. Field, A. (2002). Discovering Statistics using SPSS for Windows. London: SAGE
Publications Ltd.

Customer focus of wireless telecom companies in India

Page 150
BIBLIOGRAPHY
11. Gerpott, T. J., Rams, W., & Schindler, A. (2001). Customer retention, loyalty, and
satisfaction

in

the

German

mobile

cellular

telecommunications

market.

Telecommunications Policy , 249-269.
12. iSixSigma. (2002, November 1). Customer Focus. Retrieved November 14, 2009,
from iSixSigma website: http://www.isixsigma.com
13. Kim, M. K., Park, M. C., & Jeong, D. H. (2004). The effects of customer
satisfaction and switching barrier on customer loyalty in Korean mobile
telecommunication services. Telecommunications Policy , 145-159.
14. Koivisto, M., & Urbaczewski, A. (2004). The relationship between quality of
service perceived and delivered in mobile internet communications. Information
Systems and e-Business Management , 309-323.
15. Kotler, P., Keller, K. L., Koshy, A., & Jha, M. (2007). Marketing Management - A
South Asian Perspective. New Delhi: Dorling Kindersley (India) Pvt. Ltd.
16. Lai, T. L. (2004). Service quality and perceived value‘s impact on satisfaction,
intention and usage of short message service (SMS). Information Systems Frontiers
, 353-368.
17. Levine, S. (2002). Lessons in CRM. Telecom Asia , 38-42.
18. Lulla, S. (2009, November 14). How customer focus is helping Bajaj Auto, ITC cut
deeper - dnaindia.com. Retrieved November 14, 2009, from Diligent Media
Corporation website: http://www.dnaindia.com
19. Mani, S. (2008). Growth of India's Telecom Services (1991-2007): Can it Lead to
Emergence of a Manufacturing Hub? Economic & Political Weekly , 40-46.
20. Marques de Sa, J. P. (2007). Applied Statistics using SPSS, STATISTICA, MATLAB
and R. Berlin: Springer-Verlag Berlin Heidelberg.
21. Reserve Bank of India. (2008-09). Annual Report. Reserve Bank of India.
Customer focus of wireless telecom companies in India

Page 151
BIBLIOGRAPHY
22. Rubin, J. (1994). Handbook of Usability Testing. New York: John Wiley & Sons.
23. SPSS. (2008, August 23). SPSS Statistics 17.0. SPSS.
24. Stalk, G., Evans, P., & Shulman, L. E. (1992). Competing Capabilities: The New
Rules of Corporate Strategy. Harvard Business Review , 57-69.
25. Telecom Regulatory Authority of India. (2009). Quality of Service Assessment.
Telecom Regulatory Authority of India.
26. Telecom Regulatory Authority of India. (2005, July 1). Telecom Regulatory
Authority of India Notification. Telecom Regulatory Authority of India Notification .
New Delhi, New Delhi, India: Telecom Regulatory Authority of India.
27. Telecom Regulatory Authority of India. (2009). The Indian Telecom Services
Performance Indicators January-March 2009. New Delhi: Telecom Regulatory
Authority of India.
28. Thyfault, M. (2001, April 2). Eliminating the Middle Man. Interactive Week , pp.
45-46.
29. Wright, L. T., Stone, M., & Abbott, J. (2002). The CRM imperative — Practice vs
theory in the telecommunications industry. Journal of Database Marketing , 339349.

Customer focus of wireless telecom companies in India

Page 152

Satya final project

  • 1.
    Customer Focus ofWireless Telecom Companies in India A PROJECT REPORT SUBMITTED IN PARTIAL FULFILLMENT OF THE REQUIREMENT FOR THE AWARD OF THE DEGREE OF MASTER OF BUSINESS ADMINISTRATION 2008-10 BY Satya Narayan Behera (Regd.No. 08482) SCHOOL OF BUSINESS MANAGEMENT, ACCOUNTING & FINANCE SRI SATHYA SAI UNIVERSITY (Established under Section 3 of the UGC Act, 1956) Accredited by NAAC at A++ level PRASANTHI NILAYAM 2008-2010 (DECEMBER 2009)
  • 2.
  • 3.
    SRI SATHYA SAIUNIVERSITY (Established Under Section 3 of the UGC Act 1956 Accredited by NAAC at A++ Level) SCHOOL OF BUSINESS MANAGEMENT, ACCOUNTING AND FINANCE CERTIFICATE & DECLARATION This project entitled “Customer Focus of Wireless Telecom Companies in India” is an original work done by me under the supervision of Prof. Ramaier Sriram, School of Business Management, Accounting & Finance, Sri Sathya Sai University, Prasanthi Nilayam, in partial fulfillment of the requirements for the award of the degree of Master of Business Administration of this University, and has not formed the basis for the award of any degree, diploma or any other such title by this or any other university. Prof. Ramaier Sriram (Project Guide) Place: Prasanthi Nilayam Satya Narayan Behera (Regd. No. 08482) A. Sudhir Bhaskar (Prof. and Dean) Date:
  • 4.
    ACKNOWLEDGEMENTS First and foremost,I would like to express my heartfelt gratitude to my beloved Master, Bhagawan Sri Sathya Sai Baba, with whose grace and blessings alone this project has been successful. I wish to thank my parents and my sisters for their continuous concern and prayers which enabled me to complete this endeavour. I sincerely thank my guide Dr Ramaier Sriram for his constant guidance, encouragement and support. I would like to express my sincere thanks to Shri Renju Reghuveeran, Shri Piyush Shrivastava, Shri Prakash Chittaranjan and the Library staff members for extending to me all the resources necessary to complete this project. I would like to convey my gratitude to the members of Hostel Computer Center and Sai Images Department for their help and support. I also thank all my classmates and roommates for their kind cooperation and encouragement in helping me to complete this project. I cannot possibly name all those who have helped me in the completion of this work. But, I will be failing in my duty if I do not express my gratitude to those noble souls who have directly or indirectly provided the necessary help to complete this project. Satya Narayan Behera
  • 5.
    Table of Contents 1 INTRODUCTION.......................................................................................................... 1 1.1 1.2 Statement of the problem ......................................................................................... 4 1.3 Nature of study ......................................................................................................... 4 1.4 Objective of study .................................................................................................... 4 1.5 Scope of study .......................................................................................................... 5 1.6 Limitations of study.................................................................................................. 5 1.7 2 Overview of wireless telecom industry .................................................................... 1 Scheme of chapterisation.......................................................................................... 5 LITERATURE REVIEW ............................................................................................... 7 2.1 2.2 Characteristics of customer-focused organizations .................................................. 7 2.3 Customer satisfaction ............................................................................................... 8 2.4 Customer satisfaction tests ....................................................................................... 9 2.5 TRAI‘s quality of service initiative ........................................................................ 10 2.6 3 Customer focus ......................................................................................................... 7 Need of the hour: Customer Relationship Management ........................................ 11 THEORETICAL BACKGROUND .............................................................................. 15 3.1 SWOT Analysis (Strengths, Weaknesses, Opportunities, Threats) ....................... 15 3.1.1 External environment (opportunity and threat) analysis ................................. 15 3.1.2 Internal environment (strengths/weaknesses) analysis ................................... 16 3.2 3.3 Factor analysis ........................................................................................................ 17 3.4 4 Oneway ANOVA Test ........................................................................................... 16 Multivariate regression analysis ............................................................................. 18 METHODOLOGY AND DESIGN OF STUDY .......................................................... 20 Page i
  • 6.
    4.1 Research design forthe study ................................................................................. 20 4.2 Data collection ........................................................................................................ 21 4.3 Survey construction ................................................................................................ 21 4.3.1 Sampling plan ................................................................................................. 21 4.3.2 Questionnaire design ....................................................................................... 21 4.3.3 Scale construction ........................................................................................... 23 4.4 Tools used for the study ......................................................................................... 23 4.5 Treatment of data.................................................................................................... 24 4.5.1 5 Weighted satisfaction scores ........................................................................... 24 ANALYSIS AND FINDINGS...................................................................................... 26 5.1 Questionnaire analysis ............................................................................................ 26 5.1.1 Demographic profile of respondents ............................................................... 26 5.1.2 Oneway ANOVA on survey data operator-wise............................................. 32 5.1.3 Oneway ANOVA on TRAI data operator-wise .............................................. 35 5.1.4 Overall customer satisfaction scores from survey .......................................... 37 5.2 Airtel – A case analysis .......................................................................................... 38 5.2.1 5.2.2 Partners............................................................................................................ 39 5.2.3 Swot analysis................................................................................................... 39 5.2.4 Top competitors .............................................................................................. 44 5.2.5 Customer focussed strategies of Airtel ........................................................... 44 5.2.6 Airtel quantitative data analysis ...................................................................... 46 5.2.7 Airtel qualitative data analysis ........................................................................ 88 5.2.8 6 Airtel: profile................................................................................................... 38 Overall Findings of customer‘s perception of Airtel‘s services: .................... 95 RECOMMENDATIONS ............................................................................................ 101 Page ii
  • 7.
    6.1.1 Recommendations/Suggestions based onstudy of CRM for the present situation of Bharti Airtel ............................................................................................. 101 7 CONCLUSIONS ......................................................................................................... 106 7.1 8 Conclusion ............................................................................................................ 106 APPENDIX ................................................................................................................. 107 8.1 8.2 9 Questionnaire........................................................................................................ 107 Tables ................................................................................................................... 123 BIBLIOGRAPHY AND REFERENCES ................................................................... 150 Page iii
  • 8.
    List of Tables Table1: Summary of age profile of respondents for the survey ........................................... 26 Table 2: Summary of gender profile of respondents for the survey ..................................... 27 Table 3: Summary of occupation profile of respondents for the survey ............................... 28 Table 4: Summary of operator profile of respondents for the survey ................................... 29 Table 5: Summary of Area profile of respondents for the survey......................................... 30 Table 6: Summary of User type profile of respondents for the survey ................................. 30 Table 7: Summary of Technology type profile of respondents for the survey ..................... 31 Table 8: Test of homogeneity of variances ........................................................................... 32 Table 9: Oneway ANOVA test results .................................................................................. 33 Table 10: Test of homogeneity of variances ......................................................................... 36 Table 11: ANOVA results..................................................................................................... 36 Table 12: Airtel‘s strategic partners ...................................................................................... 39 Table 13: SWOT analysis of Airtel....................................................................................... 40 Table 14: Descriptives of oneway ANOVA test ................................................................... 57 Table 15: Test of Homogeneity of Variances ....................................................................... 58 Table 16: Oneway ANOVA test results ................................................................................ 58 Table 17: Games-Howell test for post-hoc analysis segment-wise ...................................... 59 Table 18: Tukey‘s test for homogeneous grouping of means ............................................... 60 Table 19: Descriptives of oneway ANOVA test between telecom regions .......................... 62 Table 20: Test of Homogeneity of Variances ....................................................................... 62 Table 21: Oneway ANOVA test results between telecom regions ....................................... 63 Table 22: Games-Howell test for post-hoc analysis for telecom regions ............................. 63 Table 23: Tukey‘s test for grouping of homogeneous means of telecom regions ................ 64 Table 24: One sample Statistics ............................................................................................ 69 Page iv
  • 9.
    Table 25: Onesample T test on overall quality satisfaction scores between survey data and TRAI data .............................................................................................................................. 70 Table 26: Descriptive statistics for regression analysis of Airtel postpaid customers .......... 75 Table 27: Regression model for Airtel postpaid customers .................................................. 76 Table 28: Oneway ANOVA test on Airtel postpaid customers ............................................ 76 Table 29: Regression model components for Airtel postpaid customers.............................. 77 Table 30: Descriptive statistics for regression analysis of Airtel prepaid customers ........... 83 Table 31: Regression model for Airtel prepaid customers ................................................... 84 Table 32: Oneway ANOVA test on Airtel prepaid customers .............................................. 84 Table 33: Regression model components for Airtel prepaid customers ............................... 85 Table 34: Factors affecting the postpaid and prepaid Airtel customers ................................ 88 Table 35: Crosstabulation of time frame of acquisition of service and time taken to activate service for Airtel respondents ............................................................................................... 89 Table 36: Descriptives of Oneway ANOVA test between operators from survey ............. 123 Table 37: Games-Howell test for post-hoc analysis ........................................................... 123 Table 38: Tukey‘s test for homogeneous grouping of means ............................................. 125 Table 39: Descriptives of ANOVA TRAI operator-wise ................................................... 125 Table 40: Tukey's test for ANOVA TRAI operator-wise ................................................... 126 Table 41: Comparison of satisfaction scores of TRAI survey, survey and TRAI benchmark ............................................................................................................................................. 127 Table 42: TRAI data on customer satisfaction with provision of service ........................... 129 Table 43: TRAI data on customer satisfaction with postpaid billing performance ............ 130 Table 44: TRAI data on customer satisfaction with prepaid billing performance .............. 130 Table 45: TRAI data on customer satisfaction with help services ...................................... 131 Table 46: TRAI data on customer satisfaction with network performance, reliability and availability ........................................................................................................................... 132 Page v
  • 10.
    Table 47: TRAIdata on customer satisfaction with maintainability .................................. 133 Table 48: TRAI data on customer satisfaction with offered supplementary services......... 133 Table 49: TRAI data on customer satisfaction with overall quality of service ................... 134 Table 50: Comparison of satisfaction scores of TRAI survey, survey and TRAI benchmark for Airtel .............................................................................................................................. 135 Table 51: Descriptive statistics of factor analysis of Airtel postpaid customers ................ 137 Table 52: Communalities of factor analysis of Airtel postpaid customers ......................... 138 Table 53: Factor analysis of Airtel postpaid customers ...................................................... 139 Table 54: Descriptive statistics for factor analysis of Airtel prepaid cusotmers ................ 141 Table 55: Rotated Component Matrix for factor analysis for Airtel postpaid customers ... 142 Table 56: Correlations between the factors selected for regression analysis for Airtel postpaid customers .............................................................................................................. 143 Table 57: Communalities of factor analysis of Airtel prepaid customers ........................... 144 Table 58: Factor analysis of Airtel prepaid customers ....................................................... 145 Table 59: Rotated Component Matrix for factor analysis for Airtel prepaid customers .... 146 Table 60: Correlations between the factors selected for regression analysis for Airtel prepaid customers ............................................................................................................... 148 Page vi
  • 11.
    Table of Figures Figure5-1: Age profile of respondents for the survey .......................................................... 26 Figure 5-2: Occupation profile of respondents for the survey .............................................. 27 Figure 5-3: Operator profile of respondents for the survey .................................................. 28 Figure 5-4: Area profile of respondents for the survey ......................................................... 29 Figure 5-5: User type profile of respondents for the survey ................................................. 30 Figure 5-6: Technology type profile of respondents for the survey ..................................... 31 Figure 5-7: Plot of overall quality satisfaction means versus telecom operator ................... 34 Figure 5-8: Plot of Operator vs overall satisfaction .............................................................. 37 Figure 5-9: Plot of TRAI data on customer satisfaction with provision of service .............. 47 Figure 5-10: Plot of TRAI data on customer satisfaction with postpaid billing performance ............................................................................................................................................... 48 Figure 5-11: Plot of TRAI data on customer satisfaction with prepaid billing performance 49 Figure 5-12: Plot of TRAI data on customer satisfaction with help services ....................... 50 Figure 5-13: Plot of TRAI data on customer satisfaction with network performance, reliability and availability ..................................................................................................... 51 Figure 5-14: Plot of TRAI data on customer satisfaction with maintainability .................... 52 Figure 5-15: Plot of TRAI data on customer satisfaction with offered supplementary services .................................................................................................................................. 53 Figure 5-16: Plot of TRAI data on customer satisfaction with overall quality of service .... 54 Figure 5-17: Plot of TRAI data on customer satisfaction with overall quality of service .... 54 Figure 5-18: Plot of overall quality satisfaction means versus telecom segments ................ 60 Figure 5-19: Plot of telecom regions versus the overall satisfaction score means ............... 65 Figure 5-20: Age profile of Airtel respondents ..................................................................... 66 Figure 5-21: Gender profile of Airtel respondents ................................................................ 66 Figure 5-22: Occupation profile of Airtel respondents ......................................................... 67 Page vii
  • 12.
    Figure 5-23: Areaprofile of Aitel respondents ..................................................................... 67 Figure 5-24: User type profile of Airtel respondents ............................................................ 68 Figure 5-25: Plot of Factors extracted versus the eigen values for Airtel postpaid customers ............................................................................................................................................... 71 Figure 5-26: Customer satisfaction model for Airtel postpaid customers ............................ 78 Figure 5-27: Plot of overall quality satisfaction score means with frequency for Airtel postpaid customers ................................................................................................................ 79 Figure 5-28: Plot of observed overall quality satisfaction score means with expected values for Airtel postpaid customers ................................................................................................ 79 Figure 5-29: Plot of Factors extracted versus the eigen values for Airtel prepaid customers ............................................................................................................................................... 80 Figure 5-30: Customer satisfaction model for Airtel prepaid customers .............................. 86 Figure 5-31: Plot of overall quality satisfaction score means with frequency for Airtel prepaid customers ................................................................................................................. 87 Figure 5-32: Plot of observed overall quality satisfaction score means with expected values for Airtel prepaid customers ................................................................................................. 87 Figure 5-33: Pie chart for time frame of acquisition of service by Airtel respondents ......... 89 Figure 5-34: Pie chart for time taken to activate service for Airtel respondents .................. 89 Figure 5-35: Pie chart for issues related with prepaid charges for Airtel respondents ......... 90 Figure 5-36: Pie chart for issues related with accuracy of postpaid bills for Airtel respondents............................................................................................................................ 91 Figure 5-37: Pie chart for issues related with clarity of postpaid bills for Airtel respondents ............................................................................................................................................... 91 Figure 5-38: Pie chart for reasons for not querying customer care for Airtel respondents ... 92 Figure 5-39: Pie chart for usage of value added services for Airtel respondents ................. 93 Figure 5-40: Pie chart for reasons for not using value added services for Airtel respondents ............................................................................................................................................... 93 Page viii
  • 13.
    Figure 5-41: Piechart for usage of types of value added services for Airtel respondents .... 94 Figure 5-42: Pie chart for knowledge about reception of subscription of service details for Airtel respondents ................................................................................................................. 94 Page ix
  • 14.
    ABSTRACT The purpose ofthis study is to analyse the customer focus of wireless telecom industry in India. In the competitive and regulated environment, telecom service providers have to focus on improving customer satisfaction levels so as to be characterized as customer focussed. Thus they will be able to provide superior service quality resulting in higher satisfaction levels leading to the retaining of loyal customers and achievement of organizational goals. The study conducted a survey among wireless telecom service users to establish the satisfaction levels among the customer. The study also used factor analysis and multivariate regression analysis to find the factors affecting the Indian telecom user’s customer satisfaction. It also used TRAI survey reports to find the satisfaction levels over the years and validate the survey results. It has been found from the study that the customers of wireless telecom services are not satisfied with customer care services and value added services. This shows that the perceived performance is not matching the expectations of customers. Therefore the study concludes that wireless services overall satisfaction can be improved by improving the internal processes by using solutions based on CRM and analytics. Page x
  • 15.
  • 16.
    INTRODUCTION 1 INTRODUCTION 1.1 Overviewof wireless telecom industry In the 21st century most organizations are trying to become more customer focussed. The new breed of customer is very well informed. These customers are swapping passive roles for much deeper involvement. ―Consumers‖ are becoming ―producers,‖ often creating entertainment and advertising content for their peers, while demanding flexibility and responsiveness from companies with whom they choose to do business. Therefore a lot of importance is given by organizations, to the relationship they have with their customers. This phenomenon is also observed in Indian organizations. According to Reserve Bank of India‘s annual report 2008-09[21] the Indian services sector has not only exhibited minimum growth of 9 per cent in the recent five years, but its share in aggregate GDP has also increased to about 64.5 per cent. The current global economic crisis being unprecedented in the recent history in terms of the magnitude of the impact as well as the duration, the past resilience of the services sector could be tested in future. While services sector‘s share in GDP improved marginally from 63.0 per cent in 2007-08 to 64.5 per cent during 2008-09, its relative contribution to GDP growth rate increased significantly from 74.1 per cent to 88.2 per cent during the same period. According to Mani[19] Communications is the fastest growing sector in India‘s economy. No other sector of the economy has clocked such a rate of growth. The sector accounts for about 4 per cent of GDP and the recent high rate of growth has contributed to about 11 per cent of the growth in overall GDP of the country. Consequently, it is generally opined that a revolution of sorts is taking place in the Indian telecom industry. One of the dimensions of this growth taking place in the Indian telecom industry is the dominance of wireless technology. The Indian telecom sector is now heavily dominated by wireless technologies, which include cellular mobile and fixed wireless technologies. In fact, almost the entire increase in the availability of telephones has been contributed by wireless technologies. The ratio of wireless to wireline services is now almost five which is the highest in the history of telecom industry in India. In fact what is interesting is that since 2005, the wireline services have started falling in terms of sales. A number of factors explain this decrease in Customer focus of wireless telecom companies in India Page 1
  • 17.
    INTRODUCTION the popularity offixed telephones, which has now become a worldwide trend. This heavy reliance of wireless technologies, while extremely positive from the availability point of view, has some implications for the diffusion of other services in the country. Total Wireless Subscribers in the country stand at 391.76 million[27]. This results in a percentage growth of 12.93% during the quarter. Out of this the Urban Wireless Subscribers are 282.05 Million (72%) and Rural Wireless Subscribers 109.71 Million (28%); the GSM Subscribers are 297.26 Million (75.88%) and CDMA Subscribers 94.50 Million (24.12%). This leads us to make the following observation that rate of growth in mobile subscriber base has been substantially high. Some of the characteristics exhibited by the wireless telecom industry in India are the following:  The cost of ownership of mobile services is very low. Therefore the customer base of wireless telecom services is increasing at such a fast pace.  The need for connection and communication with others helps in fulfilling emotional needs.  The use of communication services is shared by all households, compared only by services like utilities, banking and other financial services.  On top of this wireless telecom services also create and enhance a lot of individualism leading to attraction of these services. The wireless telecom sector is dynamic and experiencing explosive growth. It is having a lot of opportunities as well as facing a lot of threats. Mobile number portability, where a subscriber would be able to shift from one operator to another without changing his/her number, is such a disruptive threat. Therefore the telecom operators foreseeing the future where they will have to compete on brand value and service offerings have to tighten their belts as the switching costs for customers will dramatically lower. Another interesting development has been the advent of mobile virtual network operators (MVNO). These companies buy airtime and SIM cards in bulk from telecom operators and sell them under their own brand. It is expected that the virtual operators will help shore up Customer focus of wireless telecom companies in India Page 2
  • 18.
    INTRODUCTION the fallen AverageRevenue Per User‘s (ARPU) from Rs 450 in 2000 to about Rs 200 today. They will help the new telecom licensees to acquire customers faster, as well as established licensees in better utilisation of resources for netting higher revenues. In this dynamic and regulated environment, telecom service providers have a very important goal in acquiring new customers and retaining loyal customers. They also have to do this in a fast manner, as the market is growing at such a scorching pace that every month world records are being created in adding new subscribers. While this has helped in increasing the tele-density of the country, consequently helping people network and communicate much faster, cheaper and effectively, whether the quality of service provided has improved, or at least remained at a desired level is questionable. When more subscribers are added on a daily basis, there should be capacity to enable services with the desired level of quality. In this context, marketing philosophy is fundamentally based upon the satisfaction of customer needs and achievement of organisational goals. Essentially, it has always been an inclusive aspect of the marketing orientation that there should be customer care and satisfaction in order to meet customer needs. Therefore the question is, to what degree telecom service providers are customer oriented to meet customer‘s satisfaction needs. For this we need to find out the present degree of customer satisfaction for telecom service providers. According to Telecom Regulatory Authority of India (TRAI) survey reports on customer perception of service provided27], the overall satisfaction scores of all the telecom service providers in all the telecom circles remain below the acceptable benchmark of TRAI. This clearly brings out the fact that the service providers are yet to achieve the desired level of quality for providing customer satisfaction. But there has been very little research in collating the survey reports and seeing a holistic picture for a service provider over a period of time. There is also sparse literature available to find factors affecting the Indian telecom customer‘s satisfaction. Based on these findings, the Indian telecom customer‘s requirements could be established. Many researchers have found the effective application of Customer Relationship Management (CRM) in the telecom sector in helping to get a complete view of the Customer focus of wireless telecom companies in India Page 3
  • 19.
    INTRODUCTION customer. This completeview serves the service provider in providing excellent customer service to the exact needs of the customer. The use of CRM will also help in personalizing the service for the customer. The use of CRM in this way helps in satisfying the customer‘s need of identity and personalized service contributing to satisfaction. Hence satisfied and loyal customers will prove the service provider to be customer focused. 1.2 Statement of the problem There is a wide gap between the customer satisfaction from Quality of Service (QoS) provided by telecom service providers according to TRAI benchmarks and customer‘s voice. 1.3 Nature of study The project studies the nature of wireless telecom industry and determines the customer orientation of the industry. It determines the extent of satisfaction or dissatisfaction with service quality of telecom service providers. The project also studies the underlying factors of Indian customer‘s satisfaction leading to insights which help in improving customers‘ perception of service quality delivered. 1.4 Objective of study 1. To study wireless telecom industry‘s customer focus initiatives from their public documents and conduct SWOT analysis. 2. To analyze the customer satisfaction provided by the wireless telecom industry by analyzing primary and secondary data. To find factors which affect customer satisfaction and find the relationships between overall customer satisfaction and the factors affecting it. 3. To suggest solutions based on CRM and analytics which can help enhance the customer focus of wireless telecom industry. Customer focus of wireless telecom companies in India Page 4
  • 20.
    INTRODUCTION 1.5 Scope ofstudy 1. Analyse wireless telecom industry‘s public documents towards customer focus initiatives. 2. Conduct survey on customer satisfaction from wireless telecom services. 3. Use of secondary information sources including TRAI Reports on telecom industry. 4. Evaluating solutions provided by CRM and analytics for wireless telecom industry. 1.6 Limitations of study 1. The generalizability of the results should not be overstated. One reason may be this is based on reported than actual behaviour. 2. The telecom service provider‘s customer oriented initiatives are based on their public documents only. 3. The study is based on TRAI‘s construct of QoS and therefore other constructs which might affect customer satisfaction have not been taken into consideration. In view of the above, this study cannot be considered to be exhaustive in nature, but can be used as a prelude for further research. 1.7 Scheme of chapterisation CHAPTER 1: INTRODUCTION: This chapter gives a brief Introduction about the study along with the Nature, Objective and limitations of the study. CHAPTER 2: LITERATURE REVIEW: This chapter briefly summarizes the definitions of key terms, importance and effect of customer focus and customer satisfaction on the fortunes of telecom service providers and factors which influence customer satisfaction CHAPTER 3: THEORETICAL BACKGROUND: This chapter covers various theoretical and conceptual aspects related with customer focus and customer satisfaction. Customer focus of wireless telecom companies in India Page 5
  • 21.
    INTRODUCTION CHAPTER 4: METHODOLOGYAND DESIGN OF STUDY: This chapter includes the methodology adopted for carrying out the survey and the discussion on the treatment of data. CHAPTER 5: ANALYSIS AND FINDINGS: This chapter analyses the data gathered and finds insights about the customer satisfaction levels in the country. CHAPTER 6: SUMMARY AND CONCLUSIONS: This chapter summarizes all the previous chapters and provides conclusion to the study. Customer focus of wireless telecom companies in India Page 6
  • 22.
  • 23.
    LITERATURE REVIEW 2 LITERATUREREVIEW The literature review section presents a comprehensive summary of the relevant knowledge present in the area of customer focus of telecom service providers. 2.1 Customer focus We have analysed the common and widely accepted definitions of customer focus and present a comprehensive definition for customer focus: It is an organizational orientation [3] towards providing excellent customer service [5] and  Satisfy needs of potential and actual customers[3].  Follow customer specifications [12].  Greatly value customer relationships [5].  Involve customers in product development and service development [5].  Build trust and maintain integrity and strategic partnerships with customers [5].  Structure the company so every tier supports the person providing the service to the customer [5].  Move beyond the notions of customer satisfaction and loyalty and encourage customers to be advocates for a product or service [5].  Treat colleagues like customers by building obliging, responsive and respectful relationships [5]. 2.2 Characteristics of customer-focused organizations Through the analysis of literature, we have found the following characteristics which a customer focussed company should possess.  They always interact with customers and seek feedback from them. They analyse feedback and use the relevant information to change their internal processes and respond swiftly [18]. Customer focus of wireless telecom companies in India Page 7
  • 24.
    LITERATURE REVIEW  They takecustomer care seriously by providing toll-free number and help desks so that they get valuable immediate feedback. They try to help fix problems within an acceptable timeframe [18].  They value customer satisfaction metrics and results on par with financial metrics [18] . Through the review of literature, we have been able to understand that for a telecom service provider to be customer focussed, it has to be able to satisfy the needs of its potential and actual customers by providing excellent customer service. To satisfy the needs of customers, the service provider has to constantly monitor and receive feedback from customers. Using customer satisfaction results, the service provider receives feedback about its services and consequently feeds the information to its process to improve service quality and satisfy customers. Therefore the need for critical review of customer satisfaction has to be there so as to understand how a telecom service provider can satisfy its customers. 2.3 Customer satisfaction Through the analysis of current literature on customer satisfaction we arrive at the following definition of customer satisfaction. Customer satisfaction is defined as a person‘s feelings of pleasure or disappointment resulting from the comparison of a product/service‘s perceived performance in relation with his or her expectation [2]. Hence for telecom service providers to achieve customer satisfaction, researchers recommend the following action:  Mobile carriers must focus on service quality and offer customer-oriented services to heighten customer satisfaction [13].  Customer satisfaction can be improved by the use of improving service quality and perceived value [16]. Customer focus of wireless telecom companies in India Page 8
  • 25.
    LITERATURE REVIEW  Mobile serviceproviders must change either customer perception or service quality to improve customer satisfaction [9].  Acceptance and satisfaction of value added services is heavily influenced on quality of service experienced by the user [14]. Therefore telecom service providers should look to improve service quality. Researchers have empirically found out the factors affecting service quality so that service providers can act decisively. Call quality, value-added services, and customer support were among the important factors having significant impact on service quality. The improvement in service quality by making an impact on improving the factors affecting service quality will lead to improvement in customer satisfaction levels. This will provide lots of benefits. A high customer satisfaction level heightens customer loyalty and prevents customer churn, lowers customers‘ price sensitivity, reduces the costs of failed marketing and of new customer creation, reduces operating costs due to customer number increases, improves the effectiveness of advertising, and enhances business reputation [1]. Researchers give another way of improving customer satisfaction, which is by keeping a tab on the early warning signals for the degree of customer retention. There are two factors which provide us such early warning signals. They are the customer assessment about the prices charged being good and fair (compared against competitors), and, the customer perception of the functional benefit of mobile communications services [11]. 2.4 Customer satisfaction tests From present understanding of customer satisfaction we can infer that the telecom operators have to look at customer satisfaction as a metric to provide the perception of the functional benefits being enjoyed by the customer. This will give the telecom operators an indication of what the customer is thinking about them. This leads us to arrive at user perceptions as a means of improving customer satisfaction. User perceptions are psychological constructs that must be measured indirectly using psychological instruments [14] . There are two major approaches for the measurement of Customer focus of wireless telecom companies in India Page 9
  • 26.
    LITERATURE REVIEW quality ofservice from the user‘s point of view: opinion polls and customer satisfaction surveys. Customer satisfaction tests are suggested to be closely related to usability testing. Usability testing is defined as techniques to collect empirical data while observing representative end users using the product itself [22]. The main difference between usability testing and customer satisfaction tests is the focus. Customer satisfactions tests analyze the quality of service as a whole. 2.5 TRAI’s quality of service initiative In the Indian telecom sector context, the telecom regulator TRAI has come up with regulation named, ―Regulation on Quality of Service of Basic and Cellular Mobile Telephone Services, 2005‖ [26] to lay-down the standards of quality of service to be provided by the service providers. The regulation also states about the regular testing of QoS performance and assessment of customer satisfaction with QoS. Hence TRAI regularly undertakes customer satisfaction tests for the industry. This provides valuable information to service providers about customer perception of QoS delivered. According to TRAI [26], Quality of service is the main indicator of the performance of a telephone network and of the degree to which the network conforms to the stipulated norms. The subscriber‘s perception of the QoS is determined by a number of performance factors. The purpose of laying down Quality of Service Parameters is to: 1. Create conditions for consumer satisfaction by making known the quality of service which the service provider is required to provide and the user has a right to expect. 2. Measure the Quality of Service provided by the Service Providers from time to time and to compare them with the norms so as to assess the level of performance. 3. Generally protect the interests of consumers of telecommunication services. Therefore we have been able to arrive at the need for customer satisfaction test to be customer focussed. Hence the service providers should be able to continuously monitor customer satisfaction levels, satisfy the customers and be customer focussed. But to retain these satisfied customers, service providers have to make these customers loyal by building Customer focus of wireless telecom companies in India Page 10
  • 27.
    LITERATURE REVIEW longer andstronger relationships. By building relationships with customers, service provider takes the level of trust and commitment between them a notch higher. The service provider will be able to build a switching barrier which is above monetary benefits and consists of emotional benefits. Researchers have shown that CRM is used for building relationships and improving switching barrier. Switching barrier is the hurdle which customers would have to jump to switch to a different service provider. The factors significantly affecting the switching barrier appeared to be switching costs such as loss cost, move-in cost and interpersonal relationships. Hence mobile carriers must develop a threepronged strategy of developing customer reward programs that compensate customers, increasing the cost of switching and developing and carrying out relationship-oriented marketing to enhance interpersonal relationship with customers[13]. 2.6 Need of the hour: Customer Relationship Management From the review of literature, we have been able to arrive at the following definition for CRM. It consists of the processes a company uses to track and organize its contacts with its current and prospective customers. Hence it is not just about technology but about strategy and process [7]. Researchers say that CRM gives the complete information and provides a holistic view of the customer. Some of the views suggested by researchers are:  CRM is an attitude that needs to pervade the company, but it needs a solid foundation of knowledge of customers [29].  With the help of enterprise applications like CRM the telecom service providers are now able to obtain complete customer information. They are now able to have a unified view of the customer so that all the interactions of different departments and services of the company with the customer are at the dashboard [4]. Therefore the value provided by CRM is: Customer focus of wireless telecom companies in India Page 11
  • 28.
    LITERATURE REVIEW  The knowledgeabout customers and their interactions with the company facilitates better business decisions and encourages customer loyalty and retention [29].  Telecom service providers have been able to streamline their business processes to reduce variability, improve of quality of service and hence lead to positive financial results for the company. Through the use of better technology companies can handle more in less time, be more accurate, and hence lead to more quality services for the customer [4].  In this way the company can provide more value to the customer, more satisfaction thereby increasing customer loyalty leading to retention and revenues [4].  Online CRM provide online billing, online repair, ordering of routers and private branch exchanges, provide access to consultants online. This has helped the customers in faster access to bills, faster resolution of bills, easier access to services and provisions. This ultimately leads to richer customer interaction and higher customer satisfaction [28].  Analytical CRM solutions can perform precise market segmentation, trending and modelling, customer analysis and reporting using centralized customer data from disparate sources. By doing this telecom service providers will be able to understand what products are helping to retain the customers and which ones are experiencing a loss of customers [6]. Hence we can see the value provided by CRM in satisfying customers and building a relationship with them. But literature also has failures stories about the implementation of solutions related with CRM. Literature says that most telecom companies haven‘t been able to understand what CRM stands for. Most of them have thought of it as a technological solution and not as a change in business processes. So they have not been able to focus on getting their CRM strategy right [17]. According to analysts most CRM initiatives have disappointed telecom companies because they are too focused on management and have done little to improve the customer relationship experience. Because of the detoured focus on management, carriers don't integrate CRM with all touch-points in the customer lifecycle, miss out key opportunities to analyze and improve on the customer experience, and overlook the importance of sharing customer data across departments and even back-office application silos. As a result, there Customer focus of wireless telecom companies in India Page 12
  • 29.
    LITERATURE REVIEW is littlesynergy across departments, resulting in skyrocketing costs while process gaps remain the norm. Some of the other problems are the integration with the legacy systems and other technical barriers, the gap between the CRM application software solution and functionality, the need for vendors to increase the functionality critical for carriers and offer a more valuable solution. Therefore telecom service providers should learn from the successes and failures of other industries and follow a set of guidelines for successful implementation. Some of the things which they should do are: 1. They have to collect and integrate data to create a single comprehensive view of the customer across all the services. They have to design systems that allow them to take information about customer data, profitability, customer usage, likes and dislikes, and using that information to extend the customer‘s relationship with the organisation. 2. They have to focus the majority of their efforts on servicing their most profitable customers. It is the issue of spending the right amount of money in order to market the right bundle to the right customers. 3. They have to provide a virtual branch office on the web even though all the customers are not yet willing to move all their transactions to the internet. So they should promote the web services at every touch point to remind the customer about self-service. They also have to make the websites more user-friendly for faster adoption. 4. They can rethink their expectations out of CRM and slowly rollout CRM strategy in a phased manner to discourage huge investments and consequently high expectations of results. 5. They have to basically change their mindset in the way they interact with the customer. They have to move from a relationship driven by price to a bonded relationship based on a combination of factors, including trust, reciprocity, loyalty, concern etc. Customer focus of wireless telecom companies in India Page 13
  • 30.
    LITERATURE REVIEW Hence summarizingthe literature review section, we started with looking into the characteristics of customer focused organizations and the need for them to improve customer satisfaction. In the Indian telecom context, the assessment of customer satisfaction is done by the regulator, TRAI. But the telecom service providers cannot retain satisfied customers only through improving service quality. They need to change the perception of these customers and build strong relationships. Research shows that CRM is an effective strategy to improve service quality, satisfy customers and build long-term relationships. Customer focus of wireless telecom companies in India Page 14
  • 31.
  • 32.
    THEORETICAL BACKGROUND 3 THEORETICALBACKGROUND The theoretical background discusses about the theory of analytical tools used for explaining the concept of customer focus and customer satisfaction, which have been used in analysis and findings of the study. 3.1 SWOT Analysis (Strengths, Weaknesses, Opportunities, Threats) According to Kotler et al. [15], the overall evaluation of a company‘s strengths, weaknesses, opportunities, and threats is called SWOT analysis. It involves monitoring the external and internal business environment. They have divided the analysis into the following two parts. SWOT analysis has been used in the study to discuss the strengths and weakness of a telecom service provider in its ability to compete in the telecom sector and in providing QoS contributing to overall satisfaction for customers. 3.1.1 External environment (opportunity and threat) analysis A business unit has to monitor the key macro environment forces like demographic, cultural, technological forces etc and significant microenvironment actors like customers, competitors, suppliers etc. that affect its ability to earn Profits. The business should set up a marketing intelligence system to track trends and important developments. For each event or development management needs to identify the associated opportunities and threats. An opportunity is an area of buyer need and interest in which there is a high probability that a company can profitably satisfy that need. There are three main sources of market opportunities. The first is to supply something that is in short supply, the second to supply an existing product or service in a new or superior way, the third source often leads to a totally new product or service. An environmental threat is a challenge posed by an unfavourable trend or development that would lead, in the absence of defensive marketing action to lower sales or profit. Threats should be classified according to seriousness and probability of occurrence. Customer focus of wireless telecom companies in India Page 15
  • 33.
    THEORETICAL BACKGROUND 3.1.2 Internalenvironment (strengths/weaknesses) analysis Each business needs to evaluate its internal strengths and weaknesses. This does not mean that the business needs to correct all its weaknesses nor should it harp about the strengths it possesses. The business has to consider about limiting itself to those opportunities where it possesses strengths or whether it should consider opportunities where it might have to develop certain strengths. Stalk et al. [24] suggest that winning companies are those that have achieved superior in- company capabilities. Although each department may possess specific core competencies the challenge for the business is to develop superior competitive capability in managing company's key processes. Thus we arrive at the need and use of SWOT analysis for the business. It provides us with a competitive analysis of the business. We also have to look at other analysis techniques used for study. 3.2 Oneway ANOVA Test Oneway ANOVA test helps us in comparing the satisfaction levels between different groups, thus contributing in proving whether satisfaction levels are similar or homogeneous across the groups. According to Joaquim P. Marques de Sá [20], ANOVA or analysis of variance is the test of hypothesis that three or more means are the same or not. It produces an F-statistic that compares the amount of systematic variance in the data to the amount of unsystematic variance in the data. It is done by producing a one-way analysis of variance for a quantitative dependent variable by a single factor (independent) variable. This technique is an extension of the two-sample t test. The assumptions made are each group is an independent random sample from a normal population. Analysis of variance is robust to departures from normality, although the data should be symmetric. The groups should come from populations with equal variances. To test this assumption, we use Levene's homogeneity-of-variance test. Customer focus of wireless telecom companies in India Page 16
  • 34.
    THEORETICAL BACKGROUND In additionto determining the differences existing among the means, we can also know which means differ. Post hoc range tests and pair wise multiple comparisons can determine which means differ. Range tests identify homogeneous subsets of means that are not different from each other. Pair wise multiple comparisons test the difference between each pair of means and yield a matrix where asterisks indicate significantly different group means at an alpha level of 0.05. Tukey‘s test uses the Studentized range statistic to make all of the pair wise comparisons between groups. It provides a homogeneous set of means which are significantly not different. Games-Howell test is a pair wise comparison test that is sometimes liberal. This test is appropriate when the variances are unequal. Thus using Oneway ANOVA we will be able test for the equality of satisfaction scores given by different populations. It will help us finding if the population characteristic of satisfaction is similar across the country. 3.3 Factor analysis The study uses factor analysis to reduce the number of variables affecting overall satisfaction into factors which can explain the underlying behaviour of overall satisfaction. According to SPSS also known as Statistical Package for Social Sciences [23] , Factor analysis attempts to identify underlying variables, or factors, and that explain the pattern of correlations within a set of observed variables. Factor analysis is often used in data reduction to identify a small number of factors that explain most of the variance that is observed in a much larger number of manifest variables. Factor analysis can also be used to generate hypotheses regarding causal mechanisms or to screen variables for subsequent analysis (for example, to identify co-linearity prior to performing a linear regression analysis). The assumptions made are that the data should have a bivariate normal distribution for each pair of variables, and observations should be independent. The factor analysis model specifies that variables are determined by common factors (the factors estimated by the model) and unique factors (which do not overlap between observed variables); the Customer focus of wireless telecom companies in India Page 17
  • 35.
    THEORETICAL BACKGROUND computed estimatesare based on the assumption that all unique factors are uncorrelated with each other and with the common factors. The method used is Principal Components Analysis. It is a factor extraction method used to form uncorrelated linear combinations of the observed variables. The first component has maximum variance. Successive components explain progressively smaller portions of the variance and are all uncorrelated with each other. Principal components analysis is used to obtain the initial factor solution. Scree plot is the plot of the variance that is associated with each factor. This plot is used to determine how many factors should be kept. Typically the plot shows a distinct break between the steep slope of the large factors and the gradual trailing of the rest (the scree). Varimax Method is an orthogonal rotation method that minimizes the number of variables that have high loadings on each factor. This method simplifies the interpretation of the factors. Thus using factor analysis we will able to find the underlying factors behind the satisfaction of customers from telecom services. Using these factors we can be able to build a model for satisfaction from telecom services. 3.4 Multivariate regression analysis Multivariate regression analysis has been used in the study to find the relationship between factors affecting overall satisfaction and the overall satisfaction level. According to Field [10], Linear Regression estimates the coefficients of the linear equation, involving one or more independent variables that best predict the value of the dependent variable. The assumptions for using this analysis are that for each value of the independent variable, the distribution of the dependent variable must be normal. The variance of the distribution of the dependent variable should be constant for all values of the independent variable. The relationship between the dependent variable and each independent variable should be linear, and all observations should be independent. Customer focus of wireless telecom companies in India Page 18
  • 36.
    THEORETICAL BACKGROUND The Rsquared change value is produced by adding or deleting an independent variable. If the R2 change associated with a variable is large, that means that the variable is a good predictor of the dependent variable. Thus using regression analysis we will able to build the customer satisfaction model based on the factors found earlier. Customer focus of wireless telecom companies in India Page 19
  • 37.
  • 38.
    METHODOLOGY AND DESIGNOF STUDY 4 METHODOLOGY AND DESIGN OF STUDY 4.1 Research design for the study This study is an attempt to understand the customer focus orientation of telecom operators towards the retail customer by finding out their customer service initiatives and the end consumer‘s perception about the service quality offered. The study is basically exploratory in nature. The objective of exploratory research is to explore or search through a problem or the situation to provide insights and understanding. The study uses the survey reports from TRAI on customer perception of service. The TRAI data describes customer satisfaction across providers and the nation. The study is also conducting a survey among customers to find out the satisfaction levels from the services of the telecom companies, and if it matches with the findings of the survey reports of TRAI. CRM solutions and analytics will be used for enhancing customer focus of telecom companies by enabling them to provide better customer service and overall experience. The data consists of quantitative as well as qualitative data. Survey has been used as a research instrument for the study. Many researchers state that quantitative research based on survey is an appropriate research method because it provides economy of design by being able to reach out to a larger population and allows rapid turnaround in data collection. Survey requires standardized information from or about the subjects being studied. (Subjects might be individuals, groups, organisations, projects or systems). It helps in generating information that can be projected to the whole population using a representative sample. The data collected will be used in the form of statistical information, for the calculation of satisfaction scores of customers. The data collected from the Quality of Service (QoS) survey reports by TRAI will also be used to identify the causes of success or failure of customer focus initiatives of telecom companies. The step wise design adopted for the study is described in the following sections. Customer focus of wireless telecom companies in India Page 20
  • 39.
    METHODOLOGY AND DESIGNOF STUDY 4.2 Data collection Structured online questionnaire will be web-hosted and made available to all the respondents in the country. The questionnaire consists of different factors of service quality of telecom services, established by TRAI. The questions asked mainly elicit satisfaction of customers with the present services offered to them. The major sources of secondary data are the TRAI‘s QoS survey reports, various journals, government reports and policies, research articles, newspaper reports and the internet. The two approaches of using primary data and secondary data helped in getting a clear understanding of the situation. 4.3 Survey construction 4.3.1 Sampling plan The sample plan for the study involves the following decisions to be taken. The researcher has used non probability convenience and snowball sampling as sampling method. This is due to the time and cost constraints involved with the study. The survey will be web-hosted and made available for all to respond. It has been spread through word of mouth. The respondents represented various parts of the country to present the perceptions of customers from all parts of the country. 4.3.2 Questionnaire design The questionnaire is designed to find out from the customers about their perception of the service quality provided by the telecom operators. It is based on the TRAI‘s QoS survey questionnaire. The questions consist of a combination of open and closed end questions. The type of closed ended questions used are scaled, multiple choice and yes/no questions. The questionnaire was divided into the following parts:  Personal information In this part general information about the respondents is collected like: Customer focus of wireless telecom companies in India Page 21
  • 40.
    METHODOLOGY AND DESIGNOF STUDY Name of the respondent, Age of the respondent, Gender, Occupation, Telecom operator, Area (Metropolitan/Rural/Semi-urban/Urban), User type (Prepaid/Postpaid), Technology type (GSM/CDMA)  Service provision It consists of questions regarding the point of sale experience of customers regarding the services provided by the telecom operators.  Prepaid billing It consists of questions regarding the perception of customers about the pricing of services by the telecom operators.  Postpaid billing It consists of questions regarding the perception of customers about the different aspects of bills and the bill-related complaint resolution process.  Customer care It consists of questions regarding the customer services provided by the telecom operators, the general complaint resolution process and the problem solving ability of customer representatives.  Network performance It consists of questions regarding the network performance, reliability, availability and maintainability of the network of the telecom operators.  Value added services It consists of questions regarding the value added services provided by the telecom operators.  Overall customer satisfaction Customer focus of wireless telecom companies in India Page 22
  • 41.
    METHODOLOGY AND DESIGNOF STUDY It has questions to gauge the overall satisfaction of customers from the telecom services.  General information It has general questions regarding different statutory services to be provided by the telecom operators under the regulations of the industry. 4.3.3 Scale construction For scaled questions used in the questionnaire, the non-comparative scaling technique of Likert scale consisting of a 5 point satisfaction scale is used. The 5 point scale is used to avoid the following problems:  An even number of points may force a commitment, while odd number of points permits respondents to adopt a neutral position.  ―Floor‖ or ―ceiling‖ effect is avoided. In this phenomenon, subjects tend to choose responses that cluster at either the top or bottom of any scale. As a result of this clustering, the instrument may not capture a significant amount of the true variability in opinion among respondents. The scale is observed for reliability, generalizability, and validity. To validate the scale, the scale must properly represent the psychological construct of the customer which has been captured in the range of ‗very satisfying‘ to ‗very dissatisfying‘, so as to draw accurate theoretical conclusions using such instruments. For reliability, the scale being modified from TRAI‘s QoS survey validates that the responses can be consistent in giving same kind of results. To be able to generalize the responses across the population, the secondary data from TRAI‘s QoS survey has been used to show that customer satisfaction across the country is fairly homogeneous in nature. 4.4 Tools used for the study Online web hosting is used as the tool for administering the questionnaire to the various respondents. The web site used was http://www.surveygizmo.com. Customer focus of wireless telecom companies in India Page 23
  • 42.
    METHODOLOGY AND DESIGNOF STUDY 4.5 Treatment of data The raw data collected from questionnaires is suitably tabulated to make statistical inference. The data is analysed using:  Microsoft Excel, and  SPSS ( Statistical Package for Social Sciences) From the responses, suitable information is extracted, analyzed, tabulated and illustrated using factor analysis, regression analysis and other tools. Various tables and graph obtained by using Microsoft Excel and SPSS have been used for drawing inferences and make suggestions thereupon. The satisfaction scores have been represented in the following way based on the methodology followed by the surveys conducted by TRAI:4.5.1 Weighted satisfaction scores Overall weighted satisfaction score is ascertained using the following formula(s): Mean score = A/N Where: A = (No of subscribers who have given a rating of very satisfied X 5 + No of subscribers who have given a rating of satisfied X 4 + No of subscribers who have given a rating of neutral X 3+ No of subscribers who have given a rating of dissatisfied X 2+ No of subscribers who have given a rating of very dissatisfied X 1) N=Total sample size achieved Overall weighted satisfaction score = {(Mean score-1)/4} X100 Thus, if all customers are very satisfied, the operator can get a score of 100%. On the other hand, if all the customers are very dissatisfied, the operator gets a score of 0%. Thus, the Customer focus of wireless telecom companies in India Page 24
  • 43.
    METHODOLOGY AND DESIGNOF STUDY scale has been calibrated to range between 0% and 100%. The satisfaction benchmarks have been compared against weighted satisfaction scores. Customer focus of wireless telecom companies in India Page 25
  • 44.
  • 45.
    ANALYSIS AND FINDINGS 5ANALYSIS AND FINDINGS 5.1 Questionnaire analysis The survey population consists of mobile/cell phone users. The questionnaire has been attempted by 196 respondents of which 109 responses were complete and deemed usable. 5.1.1 Demographic profile of respondents 1. Age: the table and graph clearly depict that the majority of the respondents were in the age group of 0-35 years. Therefore majority of sample population was young. Figure ‎5-1: Age profile of respondents for the survey Table 1: Summary of age profile of respondents for the survey Summary Value Count Percent % 0-25 years 62 57% 25-35 years 43 39% 35-50 years 3 3% 50 years and above 1 1% Customer focus of wireless telecom companies in India Page 26
  • 46.
    ANALYSIS AND FINDINGS 2.Gender: the majority of respondents were male clearly depicted by the pie chart and table. Figure ‎ -2: Gender profile of respondents for the survey 5 Table 2: Summary of gender profile of respondents for the survey Summary Value Count Percent % Male 81 74% Female 28 26% 3. Occupation: most of the respondents were employed (57%) or student (41%). This represents the dominant customer base for the wireless telecom services. Figure ‎5-2: Occupation profile of respondents for the survey Customer focus of wireless telecom companies in India Page 27
  • 47.
    ANALYSIS AND FINDINGS Table3: Summary of occupation profile of respondents for the survey Summary Value Count Percent % Employed 62 57% Student 45 41% Self employed (Business owner) 2 2% 4. Operator: 41% of the respondents were subscribers of Airtel while 30% were using Vodafone. The other important operators whose subscribers responded for the survey are: BSNL (7%), Reliance Communications (6%), Tata Teleservices (6%), Idea Cellular (3%) and others (7%). This is clearly depicted in the pie-chart as well as the table. Figure ‎5-3: Operator profile of respondents for the survey Customer focus of wireless telecom companies in India Page 28
  • 48.
    ANALYSIS AND FINDINGS Table4: Summary of operator profile of respondents for the survey Summary Value Count Percent % Bharti airtel 45 41% Vodafone 33 30% BSNL 8 7% Reliance communications 6 6% Tata tele-services 6 6% Idea 3 3% MTNL 2 2% Reliance telecom 2 2% Aircel 1 1% Others (Specify) 2 2% Spice 1 1% 5. Area: 64% of the respondents belonged to the metropolitan area, while 19% belonged to urban area. On the other hand, only 11% belonged to semi-urban area and 6% belonged to rural area. Figure ‎5-4: Area profile of respondents for the survey Customer focus of wireless telecom companies in India Page 29
  • 49.
    ANALYSIS AND FINDINGS Table5: Summary of Area profile of respondents for the survey Summary Value Count Percent % Metropolitan 70 64% Urban 21 19% Semi-urban 12 11% Rural 6 6% 6. User type: the majority of the respondents were prepaid (60%), while postpaid respondents consisted of 40% of the sample. Figure ‎5-5: User type profile of respondents for the survey Table 6: Summary of User type profile of respondents for the survey Summary Value Prepaid Count Percent % 65 60% Postpaid 44 40% Customer focus of wireless telecom companies in India Page 30
  • 50.
    ANALYSIS AND FINDINGS 7.Technology type: the majority of the respondents were using the GSM phones (85%) of telecom operators highlighting the popularity as well as market share of GSM technology compared to CDMA technology. Figure ‎5-6: Technology type profile of respondents for the survey Table 7: Summary of Technology type profile of respondents for the survey Summary Value Count Percent % GSM 92 85% CDMA 16 15% We are analysing the survey and TRAI data by first looking at the overall satisfaction levels of the customers found from the survey. To find the overall satisfaction levels we need to see if customers across the telecom operators have similar satisfaction levels. Than we can use the satisfaction levels of all the operators and find the average satisfaction levels which can be projected for the population. Therefore to be able to do this, we need to test the satisfaction levels between the operators. We use oneway ANOVA test to find out whether the overall satisfaction scores are significantly not different. Customer focus of wireless telecom companies in India Page 31
  • 51.
    ANALYSIS AND FINDINGS 5.1.2Oneway ANOVA on survey data operator-wise We conduct one way ANOVA for testing whether there is significant difference between the means of overall quality for different operators from the survey data. Therefore for the purpose of doing the analysis the selected operators (with sample size in brackets) are Bharti Airtel (43), Vodafone (33), BSNL (8), Reliance Communications (6), Tata Teleservices (6), Others (10). These operators have been coded for the purpose of analysis as ‗Bharti Airtel = 1‘, ‗Vodafone = 2‘, ‗BSNL = 3‘, ‗Reliance Communications = 4‘, ‗Tata Teleservices = 5‘, ‗Others = 7‘. Therefore we are testing a hypothesis that the group means for overall quality are significantly equal. H0: The group means of Bharti Airtel, Vodafone, BSNL, Reliance Communications, Tata Teleservices and Others are equal. H1: The group means of Bharti Airtel, Vodafone, BSNL, Reliance Communications, Tata Teleservices and Others are not equal. The descriptives of the ANOVA test illustrate the sample size, mean, standard deviation and standard error of the circles as a group (refer to Table-35 in Appendix). Levene‘s test is used to find whether the variances between the groups are significantly different or not. Significance of 0.018 is lesser than 0.05 signifying that at 5% level of significance, Levene‘s test is significant. Therefore we can say that the variances are significantly different. Table 8: Test of homogeneity of variances OVLQUAL Levene Statistic 2.873 df1 df2 5 Sig. 100 .018 The ANOVA summary table is divided into between group effects and within group effects. The sum of squares represents the variances from between the group and within the group. The degrees of freedom is shown in the next column. The mean square present in the next Customer focus of wireless telecom companies in India Page 32
  • 52.
    ANALYSIS AND FINDINGS columnis found by dividing the sum of squares by the degrees of freedom. The mean square represents the average amount of variance present between the groups and within the groups. The F ratio tells us whether the group means are same or different. Here the value of 0.844 signifies that there is higher variation within the group means than between the group means. But the observed significance value of 0.521 is very high compared to the cut-off of less than 0.05. Hence at 5% significance level we have to accept the null hypothesis. Therefore we conclude that we have no statistical evidence to reject the null hypothesis that the group means of Bharti Airtel, Vodafone, BSNL, Reliance Communications, Tata Teleservices and Others are equal. Table 9: Oneway ANOVA test results OVLQUAL Sum of Squares Between Groups df Mean Square 4.791 5 .958 Within Groups 113.473 100 118.264 Sig. 1.135 Total F .844 .521 105 Post-hoc analysis helps us in finding whether there are significant differences between the means. Since the ANOVA proves that there is no significant difference, we do post hoc range tests and pairwise multiple comparisons to determine which means if any differ. The Range test like Tukey‘s identifies homogeneous subsets of means that are not different from each other. Pairwise multiple comparisons test like Games-Howell gives us the difference between each pair of means and yield a matrix where asterisks indicate significantly different group means at an alpha level of 0.05. Games-Howell test shows that at 5% (.05) significance level, shown by the significance column, the difference between the group means is not significant. Hence we can conclude them to be similar (refer to Table-36 in Appendix). Customer focus of wireless telecom companies in India Page 33
  • 53.
    ANALYSIS AND FINDINGS Tukey‘stest has identified homogeneous subset of means that are not different from each other having all the groups present in the same set signifying that the group means are fairly homogeneous(refer to Table-37 in Appendix). Here we plot the group means of Bharti Airtel (1), Vodafone (2), BSNL (3), Reliance Communications (4), Tata Teleservices (5), Others (7) against the aggregate mean scores for overall quality. This shows that the satisfaction is lower for Reliance Communications (4) customers after taking into account the variable sample sizes for each operator. Figure ‎5-7: Plot of overall quality satisfaction means versus telecom operator Therefore we can conclude that customer satisfaction for all the operators for overall quality is significantly not different. Therefore we can compile to see a holistic picture of customer satisfaction across the country. We have compiled this data and compared it with the TRAI survey data. But to validate the findings of the survey we need to be able to compare the satisfaction levels shown by the sample with that of other surveys. Here we use TRAI survey‘s on assessment of quality of service. TRAI has done comprehensive surveys in each of the telecom circles in India. Therefore, the satisfaction levels expressed in TRAI surveys can be considered to be valid for the whole of the country. Now if we want to compare with TRAI Customer focus of wireless telecom companies in India Page 34
  • 54.
    ANALYSIS AND FINDINGS data,we have to compile an average of all the operators to see a satisfaction score representing India. Therefore we need to test whether the satisfaction level for customers across the operators is similar. Only then can we group them together. So we conduct a oneway ANOVA test on TRAI data operator-wise to see whether the overall satisfaction scores are significantly not different. 5.1.3 Oneway ANOVA on TRAI data operator-wise We conduct one way ANOVA for testing whether there is significant difference between the means of overall quality for different operators from the TRAI data. Therefore for the purpose of doing the analysis the selected operators (with number of circles of operation in brackets) are Aircel(9), Bharti Airtel (22), BSNL (22), Idea (10), Reliance Communications (22), Tata Teleservices (19), Vodafone (19), Others (5). These operators have been coded for the purpose of analysis as ‗Aircel = 1‘, ‗Bharti Airtel = 2‘, ‗BSNL = 3‘, ‗Idea = 4‘, ‗Reliance Communications = 5‘, ‗Tata Teleservices = 6‘, ‗Vodafone = 7‘, ‗Others = 8‘. Therefore we are testing a hypothesis that the group means for overall quality are significantly equal. H0: The group means of Aircel, Bharti Airtel, BSNL, Idea, Reliance Communications, Tata Teleservices, Vodafone and Others are equal. H1: The group means of Aircel, Bharti Airtel, BSNL, Idea, Reliance Communications, Tata Teleservices, Vodafone and Others are not equal. The descriptives of the ANOVA test illustrate the sample size, mean, standard deviation and standard error of the circles as a group (refer to Table-38 in Appendix). Levene‘s test is used to find whether the variances between the groups are significantly different or not. Significance of 0.017 is lesser than 0.05 signifying that at 5% level of significance, Levene‘s test is significant. Therefore we can say that the variances are significantly different. Customer focus of wireless telecom companies in India Page 35
  • 55.
    ANALYSIS AND FINDINGS Table10: Test of homogeneity of variances Levene Statistic df1 2.565 df2 7 Sig. 117 .017 The ANOVA summary table is divided into between group effects and within group effects. The sum of squares represents the variances from between the group and within the group. The degrees of freedom is shown in the next column. The mean square present in the next column is found by dividing the sum of squares by the degrees of freedom. The mean square represents the average amount of variance present between the groups and within the groups. The F ratio tells us whether the group means are same or different. Here the value of 0.417 signifies that there is higher variation within the group means than between the group means. But the observed significance value of 0.890 is very high compared to the cut-off of less than 0.05. Hence at 5% significance level we have to accept the null hypothesis. Therefore we conclude that we have no statistical evidence to reject the null hypothesis that the group means of Aircel, Bharti Airtel, BSNL, Idea, Reliance Communications, Tata Teleservices, Vodafone and Others are equal. Table 11: ANOVA results ANOVA OVLQUAL Sum of Squares Between Groups Df Mean Square .182 7 .026 Within Groups 7.282 117 7.464 Sig. .062 Total F .417 .890 124 Tukey‘s test has identified homogeneous subset of means that are not different from each other having all the groups present in the same set signifying that the group means are fairly homogeneous(refer to Table-39 in Appendix). Here we plot the group means of Aircel (1), Bharti Airtel (2), BSNL (3), Idea (4), Reliance Communications (5), Tata Teleservices (6), Vodafone (7) and Others (8) against the Customer focus of wireless telecom companies in India Page 36
  • 56.
    ANALYSIS AND FINDINGS aggregatemean scores for overall quality. This shows that the satisfaction is lower for BSNL (3), Idea (4) and Reliance Communications (5) customers after taking into account the variable sample sizes for each operator. Figure ‎5-8: Plot of Operator vs overall satisfaction 5.1.4 Overall customer satisfaction scores from survey After the testing the survey data and TRAI data across the operators, we can conclude that they are significantly not different across the operators. Therefore we can compare these two data sets to see the similarities and dissimilarities (Refer to Table-40 in Appendix). The satisfaction scores are comparable except for billing, customer care and value added services categories. In these categories the satisfaction scores from the survey are comparatively lower than that of the TRAI data. Hence based on this analysis we are describing the case of Airtel. We have taken the case of Airtel, the leading telecom service provider for analysing the research objectives. The reasons for using Airtel as a case, is because it is at the forefront of providing customer focussed solutions. The survey data is also sufficiently available for Airtel. Customer focus of wireless telecom companies in India Page 37
  • 57.
    ANALYSIS AND FINDINGS 5.2Airtel – A case analysis 5.2.1 Airtel: profile Bharti Airtel is one of the leading providers of telecom service providers in India. The company offers mobile, wireline, broadband and DTH services. The company primarily operates in India and is headquartered in New Delhi. The company recorded revenues of INR 373,520.8 million during the financial year ending March 2009 showing an increase of 38.3% over the previous year. Its net profits where INR 78,589.5 million for the same time period, showing an increase of 22.9% over the previous year. Bharti Airtel has three major business divisions: mobile services, telemedia services and enterprise services division. The company's mobile services division offers mobile services using GSM technology in all the major telecom circles of India. It operates under the ‗Airtel‘ brand, and offers prepaid, postpaid, roaming and value-added services through its sales and distribution channel. It had over 93 million customers in the wireless segment of the market, thus capturing 24% of the wireless segment of the overall telecom market in India. The telemedia services division offers fixed line and broadband services through digital subscriber line (DSL), direct to home (DTH) TV and IPTV services. The enterprise services group, including enterprise services carriers and enterprise services corporate segments, offers a portfolio of services to carrier and large enterprise customers, respectively. Bharti Airtel‘s other operations include passive infrastructure services. Bharti Infratel, a subsidiary of the company, provides passive infrastructure services on a non-discriminatory basis to all telecom operators in India. Bharti Infratel deploys, owns and manages passive infrastructure in 11 circles of India. Bharti Infratel also holds 42% share in Indus Towers, a joint venture between Bharti Infratel, Vodafone and Idea Cellular. We are focussing on the mobile services division of Airtel in this study, as it is the biggest segment contributing almost 80% to total revenues of the company. It is also the division Customer focus of wireless telecom companies in India Page 38
  • 58.
    ANALYSIS AND FINDINGS whichcan make maximum impact on people‘s lives as they are having above 90 million subscribers. 5.2.2 Partners According to their official website, the major partners of Bharti Airtel are: Table 12:‎Airtel’s‎strategic‎partners Network Network Equipment Nokia Siemens, Ericsson, Huawei Equipment Telemedia & Distance Services Long Nokia Siemens, Wipro, Cisco, Alcatel Lucent, ECI, Tellabs Information Technology IBM Call Centre Operations IBM Daksh, Hinduja TMT, Teleperformance, Mphasis, Firstsource & Aegis Equity Partner {Strategic} Singtel 5.2.3 Swot analysis According to Datamonitor [8], Bharti Airtel being in a highly competitive telecom industry is still the leading provider of telecom services in India. Integrated operations and strategic partnerships provide a competitive advantage to the company as it allows the company to control the quality of services delivery and brand offerings. However, increasing competition in the Indian telecom market could affect its market share in coming years. Customer focus of wireless telecom companies in India Page 39
  • 59.
    ANALYSIS AND FINDINGS Table13: SWOT analysis of Airtel Strengths Weaknesses Integrated operations Relatively weak corporate house Strong brand value Billing Significant strategic partnerships Customer care Sales and pre-sales Network performance VAS Opportunities Threats Low penetration rates Increasing competition New services Regulations Expanding presence Decreasing ARPU Strengths  Integrated operations: the company is an integrated player by having presence in the infrastructure, wholesale services, enterprise and customer services etc. areas of the telecom market. Being an integrated player, the company enjoys the synergies existing between the different services helping the company in diversifying their product portfolio and to control the quality of service delivery. For example, the company launched triple play services with ‗Airtel digital TV interactive‘ providing Customer focus of wireless telecom companies in India Page 40
  • 60.
    ANALYSIS AND FINDINGS telephone,broadband and TV on a single line. The company is also able to benefit from its presence in all the 23 telecom circles of India by leveraging on its brand value of providing reliable connectivity all over India.  Strong brand value: the company has a strong brand value, established over a period of many years. It is evident from the numerous awards and accolades received by it in recent years. It was ranked second behind LIC as the most trusted brand in the country, by the Economic Times. It intends to be the Most Admired Brand in India by 2010. Along with being a trusted and admired brand, they also intend to become the most Innovative brand in the country, delivering the most exciting and creative services in all domains.  Significant strategic partnerships: the company has strategic alliances with various leading industry players. It has a long standing strategic alliance with SingTel, which has enabled it to further enhance and expand telecommunications network in India. Its equipment partners include Ericsson, Nokia Siemens and Huawei. Its technology partners include IBM which has been working closely with the company to transform IT systems, key business processes and establishing an enterprise integration platform. Its telephone services and long distance networks equipment partners include Siemens, Cisco, Wipro and Tellabs, among others. It is also associated with Nortel, IBM Daksh, Mphasis, Firstsource, Teleperformance, Aegis and HTMT for providing application servers and interactive applications to enhance digital lifestyle for its customers. It also works with On Mobile, Comviva, Yahoo, Google and Cellbrum to provide unique customer experience through dedicated call center operations. It also has a strategic partnership with Infosys to provide a suite of products, including devices, experience in the areas of CRBT (caller ring back tone), Music on Demand, Email services and other Airtel Live applications. It also has a joint venture with Alcatel Lucent for managed services for its broadband and fixed line/ telephone services. Strategic partnerships enhance the company‘s ability to introduce new services and compete effectively.  Sales and pre-sales: they have a strong sales and pre-sales focus. This is evident the customer satisfaction surveys done by other agencies like voice and data. They have Customer focus of wireless telecom companies in India Page 41
  • 61.
    ANALYSIS AND FINDINGS establishedthousands of Airtel service outlets which add to the visibility of the brand.  Network performance: Airtel has also got high customer satisfaction ratings for network performance. This is evident from its push to have maximum network towers. The idea of outsourcing the network operations to world-class leaders who are experienced in managing networks has also helped Airtel in professional management of the networks.  Value Added Services: Airtel has been at the forefront of providing value added services and customer satisfaction levels over the years found by voice and data conform these. Weaknesses  Relatively weak corporate house: the promoter Bharti Enterprises, has a relatively weak corporate house image compared to its major competitors. Despite having a strong brand value for Airtel brand, Bharti Enterprises as a corporate house is relatively weak compared to its major competitors like Tata Group (Tata Teleservices), Aditya Birla Group (Idea Cellular) and Anil Dhirubhai Ambani Group (Reliance Communications). Bharti Enterprise is not a conglomerate. Companies being part of a conglomerate group would have synergies in various aspects, including relationship with various agencies, well established distribution network, cooperation between different units and brand recognition. While, weak corporate image did not have a negative effect on the company, relatively weak corporate image could result in competitive disadvantage for the company.  Billing: Airtel hasn‘t been rated well for billing services by customers over the years found by voice and data.  Customer service: customers are also not happy with the satisfaction from customer service provided. Voice and data surveys show low ratings for customer satisfaction from customer service. Therefore we can consider these as weakness upon which Airtel needs to work. Opportunities Customer focus of wireless telecom companies in India Page 42
  • 62.
    ANALYSIS AND FINDINGS  Lowpenetration rates: The Indian telecom market is one of the less penetrated markets in the world having telecom penetration rate of 37% at the end of 2008, wireless penetration rate of 33.7% and broadband penetration of 0.54%. The low penetration rates signify potential for growth in coming years. The factors of increasing urbanization, rising income levels, untapped rural markets and a large young population is expected to support the growth of the telecom market further. Airtel being the leading player is in an enviable position to take the market to its next level of growth.  New services: the company has been introducing various new services in recent times. In October 2008, it launched direct-to-home (DTH) TV services, digital TV, in India. In January 2009, it introduced triple play service by launching Airtel digital TV interactive, an internet protocol (IP) TV service combined with telephone and broadband. The company‘s new services will allow it to diversify its offerings and allow it to tap the growth potential of the market.  Expanding presence: the company has been expanding its presence outside India in recent times. Airtel entered the Sri Lankan market for telecom services in January 2009. The company‘s experience in the Indian market and low cost business model allowed it to enter Sri Lankan market. Additionally, the company launched the virtual calling card service in the UK, Singapore and Canada, and calling rate of 1 cent per minute in the US on its online calling card service. The company‘s expanding presence would diversify its operations and enhance its brand image. Threats  Increasing competition: The competition in the Indian telecom market is increasing in recent time owing to expansion of existing players and entry of new players. In recent times, the market has experienced launch of services in new circles by existing players and migration to GSM technology by CDMA players. International players such as Vodafone and NTT DOCOMO also made a direct entry into the market. NTT DOCOMO entered the market as TATA DOCOMO through an alliance with Tata Teleservices, a CDMA service provider. Additionally, Tata Customer focus of wireless telecom companies in India Page 43
  • 63.
    ANALYSIS AND FINDINGS Teleservicesalso launched Virgin Mobile services targeting young generation through a brand franchise agreement with Virgin Group. Increasing competition could affect the company‘s market share in coming years.  Regulations: The telecom regulations being handled by the Department of Telecommunication (DoT) and TRAI are ever increasing in their scope. In recent times, there have been significant modifications and additions to regulations. The regulatory changes could affect the company‘s revenues, and may require it to make changes in organization to adapt to new regulations.  Decreasing ARPU: The telecom service charges in India have been decreasing in recent times. Despite having one of the world‘s lowest tariffs for local and long distance calls, the telecom services charges in India continue to fall due to competitive pressures. As a result, average revenue per user (ARPU) of various players in India has been decreasing. Although, revenues of telecom players in India have been growing in recent year due to new customer additions, inability to attract new customers and retain existing customers would affect the company‘s revenues and profitability. 5.2.4 Top competitors The following companies are the major competitors of Bharti Airtel Limited.          Vodafone Group PLC. Bharat Sanchar Nigam Limited. Videsh Sanchar Nigam Limited. Aircel Limited. Idea Cellular Ltd. NTT DoCoMo, Inc. Reliance Communications Ltd. Tata Communications Limited. Tata Teleservices (Maharashtra) Limited. 5.2.5 Customer focussed strategies of Airtel After specifying the strengths, weaknesses, opportunities and threats for Bharti Airtel, we focus on the specific customer-oriented strategies implemented by them in the recent past. Customer focus of wireless telecom companies in India Page 44
  • 64.
    ANALYSIS AND FINDINGS Thecustomer focussed strategies will give us an idea of where Airtel stands in terms of its ability to service the customer. The customer focussed strategies of Airtel are:  Rural India focus: The partnerships with IFFCO and Nokia, has led to a huge transformational impact in rural India with enhanced agricultural productivity and quality of life. Through the joint venture with IFFCO (IFFCO Kisan Sanchar Ltd.), they have kicked off a unique initiative to harness the power of telecom to add value to the farm sector. It provides information on key elements like weather, farming techniques and commodity rates to the farmers to enhance their productivity. Another initiative has been the creation of Airtel Service Centres. They already have around 18,000 of these up and running in villages, enabling them to cater to 400 different languages and dialects. This concept has led to local people serving the rural customers instead of town and city people.  M-commerce domain: M-commerce is the area of mobile commerce where the mobile devices are used for conducting transactions. It has developed a solution called m-Cheque along with partners, where special SIM card is used for financial transactions replacing the credit card or hard currency. Some of the areas where Airtel wants to focus are: o Financial Inclusion: they want to unlock the market of the unbanked people consisting of 80-85% of population by making the mobile phone act as their ATM. o Domestic money-transfer market: they want to offer alternative ways of money transfer in the domestic market through the use of the mobiles which have percolated in the market. o International money transfer: they are planning to work with financial institutions to speed up the money transfer process and adding value to the offering by making it pervasive through their 1.2 million retail outlets.  Local city search: it has partnered with Asklaila, India‘s first local information service, to provide up-to-date information about metro cities, free of cost, from the Customer focus of wireless telecom companies in India Page 45
  • 65.
    ANALYSIS AND FINDINGS extensivecity information database for Delhi, Mumbai, Chennai, Hyderabad, Kolkata and Bangalore.  Enhanced customer experience for platinum customers: it is providing enhanced customer experience for top-end platinum customers by partnering with IBM Daksh through process and technology innovation like regional language customer service etc.  Superior service quality and customer experience: with the mobile services business contributing 81% to the consolidated revenues of the company. Its prime focus is on ensuring customer satisfaction through network quality; superior customer service and continuous innovation in value added services that would help expand its mobile subscriber base and drive up volumes. Their customer empowerment strategy has already proved a key differentiator. At the heart of this strategy lies robust processes that enable customers to change their bill plans or start and stop services at will, reducing the need for intermediation. From the customer focussed strategies, we can infer that Airtel is continuously looking for avenues to improve the overall experience for its customers. But we need empirical evidence to prove this to be so. Therefore the study uses quantitative and qualitative data from customer satisfaction surveys done by TRAI as well as survey instrument to find the customer perception of service quality delivered by Airtel. This data can be used to analyse whether Airtel has been succeeding in providing superior customer service. Therefore we first analyse quantitative data to arrive at findings. 5.2.6 Airtel quantitative data analysis 5.2.6.1 TRAI data analysis for Airtel The telecom regulator TRAI has, under the regulation of ‗Regulation on Quality of Service of Basic and Cellular Mobile Telephone Services, 2005‘ conducting annually audits and surveys in all the telecom circles with the help of independent agencies. The surveys have been conducted regarding the customer perception of the Quality of Service of all the operators present in a given telecom circle. The results of these surveys provide satisfaction Customer focus of wireless telecom companies in India Page 46
  • 66.
    ANALYSIS AND FINDINGS scoresfor the sample under various parameters of Quality of service. They are Service provision, network performance, reliability and availability, maintainability, help services, billing, supplementary services and overall satisfaction. The following graphs present the satisfaction scores for the various parameters mentioned above, for telecom operator Airtel, in all the telecom circles it has presence in, for the years 2001, 2003, 2006, 2007 and 200809. 5.2.6.1.1 Customer satisfaction with the provision of service Figure ‎5-9: Plot of TRAI data on customer satisfaction with provision of service CUSTOMER SATISFACTION WITH PROVISION OF SERVICE 120.00% 100.00% 80.00% CUSTOMER 60.00% SATISFACTION 40.00% TRAI BENCHMARK 2001-02 2003-04 20.00% 2006 0.00% 2007 2008-09 TELECOM CIRCLES From the table (refer to Table-41 in Appendix) we can make out that the customer satisfaction with provision of service over the time period has decreased comparatively. This might be for two reasons. Either it might be due to the learning curve of customers, who have greater expectations or due to lower service quality level of Airtel. The data also shows that telecom circles like Bihar, Himachal Pradesh (HP), North East (NE) show drastic decrease in provision of service quality or otherwise pre-sales service. This may be because the operator might be focusing on the major circles belonging to Metros, Type ‗A‘ and Type ‗B‘ circles which might be having higher ARPU‘s and hence higher revenue potential. The graphical representation of the same data is given above. Customer focus of wireless telecom companies in India Page 47
  • 67.
    ANALYSIS AND FINDINGS 5.2.6.1.2Customer satisfaction with the postpaid billing performance Figure ‎5-10: Plot of TRAI data on customer satisfaction with postpaid billing performance CUSTOMER SATISFACTION WITH POSTPAID BILLING PERFORMANCE 120.00% 100.00% 80.00% CUSTOMER SATISFACTION 60.00% TRAI BENCHMARK 40.00% 2001-02 20.00% 2003-04 0.00% 2006 2007 2008-09 TELECOM CIRCLES For customer satisfaction from postpaid billing performance, when we see the table (refer to Table-42 in Appendix) we can find that the satisfaction is far lower recently even though the TRAI benchmark also is low. The circles of Assam, North east (NE) and HP show very low satisfaction scores. This shows the lacunae in providing customer service in those circles. Another observation which can be made is the gradual lowering of satisfaction scores in most circles from 2006 to 2008. The graphical representation of the data has been shown below. Customer focus of wireless telecom companies in India Page 48
  • 68.
    ANALYSIS AND FINDINGS 5.2.6.1.3Customer satisfaction with the prepaid billing performance Figure ‎5-11: Plot of TRAI data on customer satisfaction with prepaid billing performance CUSTOMER SATISFACTION WITH PREPAID BILLING PERFORMANCE 120.00% 100.00% 80.00% CUSTOMER SATISFACTION 60.00% TRAI BENCHMARK 40.00% 2001-02 20.00% 2003-04 0.00% 2006 2007 2008-09 TELECOM CIRCLES The next table (refer to Table-43 in Appendix) specifies about the prepaid billing performance across the circles, but a distinct point which can be noted down is that the customer satisfaction across the states has remained significantly similar while across time it has gone down drastically. For the year 2006 customer satisfaction levels where in the range of 90-100% except for two circles. In 2007 the satisfaction levels came down to 8090%. And in 2008-09 the satisfaction levels hover in the range of 60-80%. This might indicate growing customer expectations regarding accuracy of prepaid charges as telecom operators are always improving in providing this service. Customer focus of wireless telecom companies in India Page 49
  • 69.
    ANALYSIS AND FINDINGS 5.2.6.1.4Customer satisfaction with help services Figure ‎5-12: Plot of TRAI data on customer satisfaction with help services CUSTOMER SATISFACTION WITH HELP SERVICES 120.00% 100.00% 80.00% CUSTOMER SATISFACTION TRAI BENCHMARK 60.00% 2001-02 40.00% 2003-04 20.00% 2006 0.00% 2007 2008-09 TELECOM CIRCLES In case of customer satisfaction with help services (refer to Table-44 in Appendix) or popularly known as customer care services, we can see a different trend compared to the previous results. The customer satisfaction levels have remained stagnant over the years from 2006 to 2008-09. They were at historically low levels from 2006, and still haven‘t improved until 2008-09 according to customers. Therefore Airtel has a big task in trying to improve the customer perception of the help services provided by them. Customer focus of wireless telecom companies in India Page 50
  • 70.
    ANALYSIS AND FINDINGS 5.2.6.1.5Customer satisfaction with network performance, reliability and availability Figure ‎5-13: Plot of TRAI data on customer satisfaction with network performance, reliability and availability CUSTOMER SATISFACTION WITH NETWORK PERFORMANCE 120.00% 100.00% 80.00% CUSTOMER SATISFACTION 60.00% TRAI BENCHMARK 40.00% 2001-02 20.00% 2003-04 0.00% 2006 2007 2008-09 TELECOM CIRCLES In case of customer satisfaction with network performance, reliability and availability we can see from the table (refer to Table-45 in Appendix) and the graph as well that the customer satisfaction level across time period is fairly similar. But the satisfaction levels show wide disparity across the circles, which have remained so over the years. Circles like Bihar, Gujarat, Kolkata, Tamil Nadu and West Bengal show customer satisfaction levels below the TRAI benchmark consistently. Therefore Airtel can go through the TRAI audit reports on the network performance of its towers to see if the problem is a reality or is the problem only in the minds of customers. If the problem is first one, than Airtel can look at improving network performance, while if the problem is the second one, than Airtel can try to communicate specifically for these sectors about its good network performance. Customer focus of wireless telecom companies in India Page 51
  • 71.
    ANALYSIS AND FINDINGS 5.2.6.1.6Customer satisfaction with maintainability Figure ‎5-14: Plot of TRAI data on customer satisfaction with maintainability CUSTOMER SATISFACTION WITH MAINTAINABILITY 120.00% 100.00% 80.00% CUSTOMER SATISFACTION 60.00% TRAI BENCHMARK 40.00% 2001-02 20.00% 2003-04 0.00% 2006 2007 2008-09 TELECOM CIRCLES Customer satisfaction with maintainability shows that satisfaction levels have remained pretty stagnant over the years with high satisfaction levels in only some of the circles (refer to Table-46 in Appendix). But a point to note is the drastic fall in customer ratings given to Airtel for maintainability from 2006 to 2008-09 in the circles of Bihar (96% to 65%), Gujarat (88% to 67%), Himachal Pradesh (100% to 66.4%) and Tamil Nadu (100% to 74%). Another point is the very low ratings in the UP West circle consistently over the period of 4 years. Airtel should seriously take a look at those numbers and design it‘s strategy. Customer focus of wireless telecom companies in India Page 52
  • 72.
    ANALYSIS AND FINDINGS 5.2.6.1.7Customer satisfaction with offered supplementary services Figure ‎5-15: Plot of TRAI data on customer satisfaction with offered supplementary services CUSTOMER SATISFACTION WITH OFFERED SUPPLEMENTARY SERVICES 120.00% 100.00% 80.00% CUSTOMER SATISFACTION 60.00% TRAI BENCHMARK 40.00% 2001-02 20.00% 2003-04 2006 0.00% 2007 2008-09 TELECOM CIRCLES Customer satisfaction with offered supplementary services or popularly known as value added services shows that the satisfaction levels have come down over the period of 4 years in all the circles signifying the higher expectations of customers (refer to Table-47 in Appendix). The only circle showing a problem for Airtel is Himachal Pradesh (HP). They should take a note of this. Customer focus of wireless telecom companies in India Page 53
  • 73.
    ANALYSIS AND FINDINGS 5.2.6.1.8Customer satisfaction with overall quality of service Figure ‎5-16: Plot of TRAI data on customer satisfaction with overall quality of service CUSTOMER SATISFACTION WITH OVERALL QUALITY 120.00% 100.00% 80.00% CUSTOMER 60.00% SATISFACTION TRAI BENCHMARK 2001-02 40.00% 2003 20.00% 2006 0.00% 2007 2008-09 TELECOM CIRCLES Figure ‎5-17: Plot of TRAI data on customer satisfaction with overall quality of service CUSTOMER SATISFACTION WITH OVERALL QUALITY 100.00% 80.00% CUSTOMER SATISFACTION 60.00% OVERALL CSAC SCORE 40.00% TRAI BENCHMARK 20.00% 0.00% 2001-02 2003 2006 2007 2008-09 YEAR Customer satisfaction with overall quality of service (QoS) provided by Airtel shows similarities between time periods (refer to Table-48 in Appendix). That is the ratings given Customer focus of wireless telecom companies in India Page 54
  • 74.
    ANALYSIS AND FINDINGS bycustomers have remained similar for circles relative to other circles over the time period. But there are wide differences in terms of ratings given across circles. And the ratings show a downward trend over the years. Therefore Airtel has to improve overall performance of its services across the circles, while also giving special attention to circles like Bihar, Himachal Pradesh, Kolkata, Maharashtra, Mumbai and West Bengal where the ratings lower relatively. Through the critical analysis of TRAI survey data of customer satisfaction across the telecom circles where Airtel has a presence, helps us in considering in detail the problems associated with service quality related to different factors and different telecom circles. It gives Airtel the rationale to make specific improvements in specific sectors of service quality and in specific circles of India to improve overall satisfaction for its customers, as well as brand image in the minds of its stakeholders. 5.2.6.2 Summarized findings of analysis of TRAI data for Airtel  Pre-sales service quality in Bihar, Himachal Pradesh, North East has gone down drastically.  Postpaid service quality in Assam, North east and Himachal Pradesh is very low among customers.  Prepaid service quality has remained stagnant relatively between circles, but the satisfaction as a whole has come down over the years‘ according to customer‘s perceptions.  Customer service quality has remained stagnant across the years as well as across the circles.  Network performance quality in Bihar, Gujarat, Kolkata, Tamil Nadu and West Bengal has remained below TRAI benchmark consistently over the years. While in other circles like Andhra Pradesh, Chennai, Karnataka, Kerala, Orissa, Punjab and Uttar Pradesh (East) network performance quality has remained high consistently.  Maintainability quality has come down in Bihar (96% to 65%), Gujarat (88% to 67%), Himachal Pradesh (100% to 66.4%) and Tamil Nadu (100% to 74%) from 2006 to 2008-09. It has remained low in UP West circle consistently over the period of 4 years.  Value added services quality has come down across the circles from 2006 to 200809. Customer focus of wireless telecom companies in India Page 55
  • 75.
    ANALYSIS AND FINDINGS  Overallquality of service according to customers has come down from 81.83% in 2001 to 70.43%in 2008-09, a change of 11.4% points over 8 years.  Airtel should give special attention to Bihar, Himachal Pradesh, Kolkata, Maharashtra, Mumbai and West Bengal circles to improve their overall quality satisfaction scores. Now to find out specific causes for the problems identified earlier we have conducted a primary online survey across 196 respondents out of which 109 have responded completely. The objective of the survey is to find out underlying causes and factors behind the downward trend of customer satisfaction levels. Out of the 109 respondents, 43 respondents were Airtel customers. Now, to generalize the findings of the underlying causes for all the Airtel customers across India, we have to first find out whether the overall satisfaction from Airtel services is significantly similar across all the telecom circles according to TRAI data. That is, we have to prove statistically that there is no significant difference between the overall quality scores given as an aggregate for a circle with that of the other circles where Airtel has a presence. If we are able to prove the overall quality scores being fairly similar across the circles, it will imply that the overall quality of services (QoS) provided by Airtel is perceived to be similar by Airtel customers across India. To prove the above statement we will conduct Oneway ANOVA test in SPSS on the overall quality satisfaction scores given by the Airtel customers according to TRAI data. The One-Way ANOVA procedure produces a one-way analysis of variance for a quantitative dependent variable by a single factor (independent) variable. Analysis of variance is used to test the hypothesis that several means are equal. 5.2.6.3 Oneway ANOVA on TRAI data segment-wise To perform the Oneway ANOVA test the telecom circles have to be divided into meaningful groups or clusters. Therefore the telecom circles were divided into categories to find whether there was any significant difference between the overall quality mean scores of these categories. They were divided according to the classification given by the TRAI. TRAI has divided the circles based on the income levels of the circles. Therefore the metropolitan cities are categorized under the type ‗METRO‘ circles. High income states like Andhra Pradesh, Gujarat and Tamil Nadu are categorized under type ‗A‘ circles. Middle income states like Kerala, Rajasthan and Haryana have been categorized under type ‗B‘ circles. Low income states like Assam, Bihar, Orissa have been categorized under type Customer focus of wireless telecom companies in India Page 56
  • 76.
    ANALYSIS AND FINDINGS ‗C‘circles. Now these 4 types of circles have been grouped and been coded for conducting the test. ‗METRO‘ circle consisting of metropolitan cities have coded ‗1‘. In the same way Type ‗A‘, Type ‗B‘, Type ‗C‘ circles have been coded ‗2‘, ‘3‘, ‗4‘ respectively. Now these circles coded as numbers 1-4 were named as CODE_I variable. Now these circles coded as numbers 1-4 were compared with those circles mean aggregate scores for overall quality for the year 2008-09 named as FOUR_POINT. Therefore we are testing a hypothesis that the group means are significantly equal. H0: The group means of METRO, A, B, C circles are equal. H1: The group means of METRO, A, B, C circles are not equal. The descriptives of the ANOVA test illustrate the mean, standard deviation and standard error of the circles as a group. Table 14: Descriptives of oneway ANOVA test 95% Confidence Interval for Mean N Mean Std. Deviation Std. Error Lower Bound Upper Bound Minimum Maximum 1.00 4 3.1158 .22789 .11394 2.7531 3.4784 2.92 3.43 2.00 5 3.0760 .18542 .08292 2.8458 3.3062 2.86 3.25 3.00 8 3.0754 .14916 .05274 2.9507 3.2001 2.83 3.24 4.00 6 3.1915 .40611 .16579 2.7653 3.6177 2.67 3.90 Total 23 3.1128 .24577 .05125 3.0065 3.2191 2.67 3.90 Levene‘s test is used to find whether the variances between the groups are significantly different or not. Significance of 0.423 is higher than 0.05 signifying that at 5% level of significance, Levene‘s test is not significant. Therefore we can say that the variances are not significantly different. Hence we have not violated ANOVA‘s assumption of variances not being significantly different. Customer focus of wireless telecom companies in India Page 57
  • 77.
    ANALYSIS AND FINDINGS Table15: Test of Homogeneity of Variances Levene Statistic df1 .980 df2 3 Sig. 19 .423 The ANOVA summary table is divided into between group effects and within group effects. The sum of squares represents the variances from between the group and within the group. The degrees of freedom is shown in the next column. The mean square present in the next column is found by dividing the sum of squares by the degrees of freedom. The mean square represents the average amount of variance present between the groups and within the groups. The F ratio tells us whether the group means are same or different. Here the value of 0.274 signifies that there is higher variation within the group means than between the group means. But the observed significance value of 0.843 is very high compared to the cut-off of less than 0.05. Hence at 5% significance level we have to accept the null hypothesis. Therefore we conclude that we have no statistical evidence to reject the null hypothesis that the group means of METRO, A, B, C circles are equal. Table 16: Oneway ANOVA test results Sum of Squares Between Groups Df Mean Square .055 3 .018 Within Groups 1.274 19 1.329 Sig. .067 Total F .274 .843 22 Post-hoc analysis helps us in finding whether there are significant differences between the means. Since the ANOVA proves that there is no significant difference, we do post hoc range tests and pairwise multiple comparisons to determine which means if any differ. The Range test like Tukey‘s identifies homogeneous subsets of means that are not different from each other. Pairwise multiple comparisons test like Games-Howell gives us the Customer focus of wireless telecom companies in India Page 58
  • 78.
    ANALYSIS AND FINDINGS differencebetween each pair of means and yield a matrix where asterisks indicate significantly different group means at an alpha level of 0.05. Table 17: Games-Howell test for post-hoc analysis segment-wise 95% Confidence Interval (I) (J) CODE_I CODE_I 1.00 Mean Difference (I-J) Std. Error Sig. Lower Bound Upper Bound .991 -.4535 .5330 .04040 .12556 .987 -.4514 .5322 -.07575 .20117 .981 -.7218 .5703 1.00 -.03975 .14092 .991 -.5330 .4535 3.00 .00065 .09827 1.000 -.3221 .3234 4.00 -.11550 .18537 .922 -.7236 .4926 1.00 -.04040 .12556 .987 -.5322 .4514 2.00 -.00065 .09827 1.000 -.3234 .3221 4.00 -.11615 .17398 .906 -.7178 .4855 1.00 .07575 .20117 .981 -.5703 .7218 2.00 .11550 .18537 .922 -.4926 .7236 3.00 4.00 .14092 4.00 3.00 .03975 3.00 2.00 2.00 .11615 .17398 .906 -.4855 .7178 Games-Howell test shows that at 5% (.05) significance level, shown by the significance column, the difference between the group means is not significant. Hence we can conclude them to be similar. Customer focus of wireless telecom companies in India Page 59
  • 79.
    ANALYSIS AND FINDINGS Table18:‎Tukey’s‎test‎for homogeneous grouping of means Subset for alpha = 0.05 CODE_I Tukey HSD a,,b N 1 3.00 8 3.0754 2.00 5 3.0760 1.00 4 3.1158 4.00 6 3.1915 Sig. .881 Means for groups in homogeneous subsets are displayed. a. Uses Harmonic Mean Sample Size = 5.393. b. The group sizes are unequal. The harmonic mean of the group sizes is used. Type I error levels are not guaranteed. Tukey‘s test has identified homogeneous subset of means that are not different from each other having all the groups present in the same set signifying that the group means are fairly homogeneous. Figure ‎5-18: Plot of overall quality satisfaction means versus telecom segments Customer focus of wireless telecom companies in India Page 60
  • 80.
    ANALYSIS AND FINDINGS Herewe plot the group means of METRO (1.00), A (2.00), B (3.00), C (4.00) circles against the aggregate mean scores for overall quality in 2008-09. This shows that the satisfaction is higher in type C circles is compared to other circles significantly. Hence we are able to conclude that the overall satisfaction from Airtel telecom services across the country is not significantly different. 5.2.6.4 Oneway ANOVA on TRAI data region-wise We also conduct oneway ANOVA for testing whether there is significant difference between the means of overall quality for circles region-wise for the year 2008-09. Therefore for the purpose of doing the analysis region-wise, the circles have been divided into four distinct regions. They are North, East, South and West. Those circles which are present in the northern region of the country according to the Indian political map have been classified under north category. In the same way the circles have been classified under east, south and west categories respectively. These categories have been coded for the purpose of analysis as ‗north = 1‘, ‗east = 2‘, ‗south = 3‘, ‗west = 4‘.These coded regions were named under the variable called CODE_II, and were compared with the aggregated overall satisfaction means for these regions for the year 2008-09 named as FOR_POINT. Therefore we are testing a hypothesis that the group means are significantly equal. H0: The group means of North, East, South and West circles are equal. H1: The group means of North, East, South and West circles are not equal. The descriptives of the ANOVA test illustrate the mean, standard deviation and standard error of the circles as a group. Customer focus of wireless telecom companies in India Page 61
  • 81.
    ANALYSIS AND FINDINGS Table19: Descriptives of oneway ANOVA test between telecom regions 95% Confidence Interval for Mean N Mean Std. Deviation Std. Error Lower Bound Upper Bound Minimum Maximum 1.00 8 3.1878 .33600 .11879 2.9068 3.4687 2.67 3.90 2.00 6 3.0700 .15531 .06340 2.9070 3.2330 2.86 3.28 3.00 5 3.2346 .11961 .05349 3.0860 3.3831 3.11 3.43 4.00 4 2.8750 .03873 .01936 2.8134 2.9366 2.83 2.92 Total 23 3.1128 .24577 .05125 3.0065 3.2191 2.67 3.90 Levene‘s test is used to find whether the variances between the groups are significantly different or not. Significance of 0.453 is higher than 0.05 signifying that at 5% level of significance, Levene‘s test is not significant. Therefore we can say that the variances are not significantly different. Hence we have not violated ANOVA‘s assumption of variances not being significantly different. Table 20: Test of Homogeneity of Variances Levene Statistic .915 df1 df2 3 Sig. 19 .453 The ANOVA summary table is divided into between group effects and within group effects. The sum of squares represents the variances from between the group and within the group. The degrees of freedom is shown in the next column. The mean square present in the next column is found by dividing the sum of squares by the degrees of freedom. The mean square represents the average amount of variance present between the groups and within the groups. The F ratio tells us whether the group means are same or different. Here the value of 2.320 signifies that there is higher variation between the group means than within the group means. But the observed significance value of 0.108 is very high compared to the cut-off of less than 0.05. Hence at 5% significance level we have to accept the null Customer focus of wireless telecom companies in India Page 62
  • 82.
    ANALYSIS AND FINDINGS hypothesis.Therefore we conclude that we have no statistical evidence to reject the null hypothesis that the group means of North, East, South and West circles are equal. Table 21: Oneway ANOVA test results between telecom regions Sum of Squares Df Mean Square Between Groups .356 3 .119 Within Groups .973 19 Sig. .051 1.329 F 22 Total 2.320 .108 Post-hoc analysis helps us in finding whether there are significant differences between the means. Since the ANOVA proves that there is no significant difference, we do post hoc range tests and pairwise multiple comparisons to determine which means if any differ. The Range test like Tukey‘s identifies homogeneous subsets of means that are not different from each other. Pairwise multiple comparisons test like Games-Howell gives us the difference between each pair of means and yield a matrix where asterisks indicate significantly different group means at an alpha level of 0.05. Table 22: Games-Howell test for post-hoc analysis for telecom regions (I) (J) 95% Confidence Interval CODE_I CODE_I Mean Difference I I 1.00 2.00 .11775 .13465 .818 -.2915 .5270 3.00 -.04681 .13028 .983 -.4497 .3560 4.00 .31275 .12036 .123 -.0805 .7060 1.00 -.11775 .13465 .818 -.5270 .2915 3.00 -.16456 .08295 .262 -.4237 .0946 4.00 .19500 .06629 .094 -.0358 .4258 1.00 .04681 .13028 .983 -.3560 .4497 2.00 .16456 .08295 .262 -.0946 .4237 2.00 3.00 (I-J) Std. Error Sig. Customer focus of wireless telecom companies in India Lower Bound Upper Bound Page 63
  • 83.
    ANALYSIS AND FINDINGS 4.00 * .05689 .006 .1497 .5694 1.00 -.31275 .12036 .123 -.7060 .0805 2.00 -.19500 .06629 .094 -.4258 .0358 3.00 4.00 .35956 -.35956 * .05689 .006 -.5694 -.1497 *.The mean difference is significant at the 0.05 level. Games-Howell test shows that at 5% (.05) significance level, shown by the significance column, the difference between the group means is not significant, except for between 3 and 4 denoting the South and West regions (Significance value of 0.006) . Hence we can conclude them to be similar, except the relationship between the south and west regions where the means for overall quality are significantly different. Table 23:‎Tukey’s‎test‎for‎grouping‎of‎homogeneous‎means‎of‎telecom‎regions Subset for alpha = 0.05 CODE_I I Tukey HSD a,,b N 1 4.00 4 2.8750 2.00 6 3.0700 1.00 8 3.1878 3.00 5 3.2346 Sig. .075 Means for groups in homogeneous subsets are displayed. a. Uses Harmonic Mean Sample Size = 5.393. b. The group sizes are unequal. The harmonic mean of the group sizes is used. Type I error levels are not guaranteed. Customer focus of wireless telecom companies in India Page 64
  • 84.
    ANALYSIS AND FINDINGS Tukey‘stest has identified homogeneous subset of means that are not different from each other having all the groups present in the same set signifying that the group means are fairly homogeneous. Here we plot the group means of North (1.00), East (2.00), South (3.00), West (4.00) circles against the aggregate mean scores for overall quality in 2008-09. This shows that the satisfaction is lower in western region compared to other regions significantly. Figure ‎5-19: Plot of telecom regions versus the overall satisfaction score means Hence through test based on differentiation of circles according to their income levels and the regions they belong to, we conclude that overall satisfaction from Airtel telecom services is significantly not different across the country. 5.2.6.5 Results of survey data After concluding that the satisfaction from telecom services to be homogeneous, we compare the satisfaction scores of the survey data with that of the TRAI data consolidated for the country. Customer focus of wireless telecom companies in India Page 65
  • 85.
    ANALYSIS AND FINDINGS 5.2.6.5.1Demographics of Airtel customers’ participation in the survey: The demographic characteristics of the Airtel customers‘ who participated in the survey are: 1. Age Figure ‎5-20: Age profile of Airtel respondents 50 years and above 2% 25-35 years 47% 0-25 years 51% 2. Gender Figure ‎5-21: Gender profile of Airtel respondents Female 28% Male 72% Customer focus of wireless telecom companies in India Page 66
  • 86.
    ANALYSIS AND FINDINGS 3.Occupation Figure ‎5-22: Occupation profile of Airtel respondents Self employed (Business owner) 2% Student 35% Employed 63% 4. Area Figure ‎5-23: Area profile of Aitel respondents Rural 5% Semi-urban 11% Urban 7% Metropolitan 77% Customer focus of wireless telecom companies in India Page 67
  • 87.
    ANALYSIS AND FINDINGS 5.User type Figure ‎5-24: User type profile of Airtel respondents Postpaid 51% Prepaid 49% We have shown the results of the compounding of the satisfaction scores for all the various parameters being measured under the Quality of Service (QoS) for Airtel services given by the formula discussed in the methodology. This has been compounded with the aggregated TRAI results for the year 2008-09 across all the circles (refer to Table-49 in Appendix). This result gives us insights into specific areas for Airtel to concentrate on:  They should concentrate on improving their customer care services and value added services.  In customer services, they should specifically try to improve their processes of ease of access of the customer representatives for the customers.  They should also try to improve the time to respond to query process, problem solving ability of the customer representatives and the time to resolve complaint processes.  In value added services and other supplementary services they should specifically look at the VAS charges for providing value for the customers. Customer focus of wireless telecom companies in India Page 68
  • 88.
    ANALYSIS AND FINDINGS  Someof the problems recognized by Airtel customers are satisfaction with reactivation of accounts, prepaid accuracy charges, postpaid billing complaint resolution process and network complaint resolution process. 5.2.6.6 Hypothesis testing on TRAI data and survey data After establishing that the aggregate satisfaction scores given for overall quality by customers for Airtel across all telecom circles for 2008-09, to be fairly homogeneous statistically, we have to test the hypothesis whether the weighted mean for overall quality from the survey is significantly different from the weighted mean of overall quality given for all the circles from the TRAI data. H0: The means of overall quality from survey and TRAI data (2008-09) are equal. H1: The means of overall quality from survey and TRAI data (2008-09) are not equal. To test the hypothesis a One Sample T-Test was done on the data. The means of all circles for overall quality was compared with the observed survey mean for overall quality of 3.88 out of 5. The statistics of the means of all the circles is given below. Table 24: One sample Statistics N SCORES Mean 22 3.8164 Std. Deviation .33454 Std. Error Mean .07132 The results of the test show a significance value of 0.382 which leads us to accept the null hypothesis at 5% (0.05) significance level. Therefore we accept the null hypothesis that the means of overall quality from survey and TRAI data (2008-09) are equal. Customer focus of wireless telecom companies in India Page 69
  • 89.
    ANALYSIS AND FINDINGS Table25: One sample T test on overall quality satisfaction scores between survey data and TRAI data One-Sample Test Test Value = 3.88 95% Confidence Interval of the Difference t SCORES df -.892 Sig. (2-tailed) 21 .382 Mean Difference -.06364 Lower -.2120 Upper .0847 Therefore from this test we are able to statistically prove that the sample mean for overall quality from the survey and sample mean for overall quality for all the circles from TRAI data for 2008-09 are significantly not different. So we can conclude that the sample mean of survey data for overall quality can be a representative for the Airtel‘s customer population in India. 5.2.6.7 Factor and multivariate regression analysis on survey data We have been able to compare sample mean on overall quality from survey data with that of the TRAI data. Therefore we have been able to establish that the sample mean for overall quality is statistically equal to that of the means for overall quality for all the telecom circles. Therefore the answers and values found from the survey can be generalized for the Airtel customers‘ population of India. Now we did a factor analysis of the satisfaction scores given to all aspects of Quality of Service (QoS) by Airtel customers. Factor analysis is useful when we measure several variables, then the correlation between each pair of variables can exist. The existence of clusters of large correlation coefficients between subsets of variables suggests that the variables could be measuring aspects of the same underlying dimension. These underlying dimensions are known as factors (or latent variables). Now we have done the Factor analysis for postpaid and prepaid customers separately due to the influence of the user type on usage characteristics. Another reason for doing this is the Customer focus of wireless telecom companies in India Page 70
  • 90.
    ANALYSIS AND FINDINGS useof prepaid and postpaid billing sections in the questionnaire. Since these sections were mutually exclusive for postpaid and prepaid customers, there were significant blank answers in the section of postpaid billing for prepaid customers and vice versa. 5.2.6.7.1 Factor analysis of Airtel postpaid customers The correlation between the variables as a whole is not positive. Therefore the KMO test of sampling adequacy and Bartlett‘s test of sphericity have not been given. The communalities show the proportion of common variance within a sample. Therefore we can say that extraction column tells us the amount of variance which is shared by other variables as well (refer to Table-50 for Descriptive Statistics and Table-51 for Communalities in Appendix). Now the factor extraction method identifies the factors. The criterion to select factors is based on values having Eigen values above 1. Therefore we are extracting the 7 factors which are having eigen value of greater than 1 which explain 83.64% of variance observed among the variables (refer to Table-52 in Appendix). The scree plot gives the eigen values of each of the factors. From the graph we can make which factors contribute to the variance the most. The first five contribute the most to variance exhibited by the variables. Figure ‎5-25: Plot of Factors extracted versus the eigen values for Airtel postpaid customers Customer focus of wireless telecom companies in India Page 71
  • 91.
    ANALYSIS AND FINDINGS Nowthe Rotated Component matrix (refer to Table-54 in Appendix) gives us final variables present under each of the factors and which are highly uncorrelated between the factors but highly correlated within each factor. Those variables which have very high values compared to others (above 0.6) for each factor are used to explain the factors. Based on the table we describe each factor below. They are: 1. Factor 1: These variables represent the network and billing requirements of the customers. So if customers have rated these variables closely, than the process of satisfaction from these services might be similar for Airtel. So this factor can be named as ‗Network and billing requirements or critical requirements‘.  Availability of network signal in locality.  Ability to make or receive calls easily.  Availability of network signal when on the move.  Clarity of the bills in terms of transparency and understandability.  Ability to make or receive calls/SMS during peak hours.  Accuracy of the postpaid bills. 2. Factor 2: This factor consists of variables related to value added services (VAS) and customization of offers. Therefore postpaid customers might perceive customization to be an important requirement for them. Therefore we can name this factor as ‗VAS and Customization requirements‘.  Value added services can be customized for usage requirements.  Present process of resolving customer complaints.  Quality of the value added services provided.  Tariff plan can be customized for usage requirements. 3. Factor 3: This factor consists of variables related to the aspect of postpaid billing. Therefore we can name this factor as ‗Billing and payment requirements‘.  Payment process for the bills.  Bill payment options can be customized for usage requirements.  Timely delivery of the bills.  Tariff plan can be customized for usage requirements. Customer focus of wireless telecom companies in India Page 72
  • 92.
    ANALYSIS AND FINDINGS 4.Factor 4: This factor consists of variables related to customer service. Therefore we can name this factor as ‗Customer service requirements‘.  Time taken by the customer care to resolve complaint.  Problem solving ability of the customer care executive(s). 5. Factor 5: This factor consists of variables related to areas with which customers are generally dissatisfied, giving rise to higher overall dissatisfaction (See table ‗results of survey data‘). Therefore we can name this factor as ‗Satisfaction requirements‘.  Process of resolution of billing complaints.  Charges of value added services. 6. Factor 6: This factor consists of variables related to areas with which customers are generally satisfied, giving rise to higher overall satisfaction (See table ‗results of survey data‘). Therefore we can name this factor as ‗Delight requirements‘.  Time taken to respond to call by a customer care executive.  Voice quality. 7. Factor 7: This factor consists of variables which don‘t seem to be related. Therefore this factor can be named as ‗Network and pre-sales requirements or extra requirements‘.  Complete process of acquiring the mobile phone connection.  Ability of the service provider to resolve problems related with the network signal. Therefore based on factor analysis the factors which affect Airtel‘s postpaid customers‘ perception of service quality are the following:  Network and billing requirements  VAS and Customization requirements  Billing and payment requirements Customer focus of wireless telecom companies in India Page 73
  • 93.
    ANALYSIS AND FINDINGS  Customerservice requirements  Satisfaction requirements  Delight requirements  Network and pre-sales requirements 5.2.6.8 Multivariate regression analysis of Airtel postpaid customers After finding the factors which affect Airtel's postpaid customers we try to build a model to see how much each of the factors affect the value of overall quality. In this way we will be able to build a relationship model between the different factors affecting quality of service based on the perceptions of the end customers. To build the model, we use multivariate regression analysis on the survey data of Airtel postpaid customers. We have taken the factors determined in the previous step and found a factor score by taking the mean of the scores of the variables coming under those factors. These factors scores have been compared with scores given for overall quality by the Airtel postpaid customers. These factors are CRITICAL, CUSTOMIZATION, BILLING, CUSTOMER SERVICE, SATISFACTION, DELIGHT, EXTRA. Descriptive statistics tells us about the mean, standard deviation and sample size of the variables for the test. Customer focus of wireless telecom companies in India Page 74
  • 94.
    ANALYSIS AND FINDINGS Table26: Descriptive statistics for regression analysis of Airtel postpaid customers Mean Std. Deviation N OVERALL_QUALITY 3.8095 .51177 21 CRITICAL 3.7000 .85460 21 CUSTOMIZATION 3.6229 .75909 21 BILLING 3.8452 .90649 21 CUST_SERVICE 3.3810 .65009 21 SATISFACTION 2.8095 .81358 21 DELIGHT 3.7381 .62488 21 EXTRA 3.7857 .64365 21 The correlation between the variables is shown in the table (refer to Table-55 in Appendix). The table shows that there are significant positive and negative correlations between the variables. The regression model summary table tells us about the value of R2, which is 0.647. The R square value tells us that 64.7% of the variance in overall quality can be explained by the regression model consisting of the factors. The adjusted R square gives us some idea of how well the model generalises for the population. Customer focus of wireless telecom companies in India Page 75
  • 95.
    ANALYSIS AND FINDINGS Table27: Regression model for Airtel postpaid customers Change Statistics Std. Error R Model 1 .804 a of the R Square F Square R Adjusted R Square Estimate Change Change .647 .457 .37721 .647 3.402 Sig. F df1 Change df2 7 DurbinWatson 13 .027 2.584 a. Predictors: (Constant), EXTRA, SATISFACTION, DELIGHT, BILLING, CUSTOMIZATION, CUST_SERVICE, CRITICAL b. Dependent Variable: OVERALL_QUALITY The ANOVA table gives the value of F-statistic which is 3.402. The value being greater than one implies that the variance in overall quality explained by the regression model is greater than the variance explained by residual values. The significance of 0.027 is highly significant making it very unlikely for the F-statistic to have happened by chance. Table 28: Oneway ANOVA test on Airtel postpaid customers b ANOVA Model 1 Sum of Squares df Mean Square Regression 3.388 7 .484 Residual 1.850 13 5.238 3.402 Sig. .027 a .142 Total F 20 a. Predictors: (Constant), EXTRA, SATISFACTION, DELIGHT, BILLING, CUSTOMIZATION, CUST_SERVICE, CRITICAL b. Dependent Variable: OVERALL_QUALITY Here we have the coefficients for the factors in the equation explaining overall quality. The regression equation is as follows: Customer focus of wireless telecom companies in India Page 76
  • 96.
    ANALYSIS AND FINDINGS OverallQuality = 1.739 + 0.032 (Network and billing) + 0.269 (VAS and Customization) + 0.208 (Billing) + 0.293 (Customer service) – 0.082 (Satisfaction) – 0.234 (Delight) + 0.076 (Network and pre-sales) Table 29: Regression model components for Airtel postpaid customers Coefficients a Unstandardized Standardized Coefficients 95.0% Confidence Coefficients Interval for B Std. Model 1 B Error Correlations Lower Beta (Constant) 1.739 .872 CRITICAL .032 .148 .054 CUSTOMIZATION .269 BILLING t Sig. Upper Zero- Bound Bound order Partial Part 1.995 .068 -.145 3.623 .218 .831 -.287 .352 .457 .060 .036 .139 .400 1.933 .075 -.032 .571 .632 .472 .319 .208 .115 .369 1.815 .093 -.040 .457 .580 .450 .299 CUST_SERVICE .293 .191 .372 1.530 .150 -.121 .707 .379 .391 .252 SATISFACTION -.082 .126 -.131 -.654 .525 -.355 .190 .089 -.178 -.108 DELIGHT -.234 .150 -.285 .143 -.557 .090 -.007 -.397 -.257 .646 -.273 .425 1.558 EXTRA .076 .162 .095 .470 .249 .129 .077 a. Dependent Variable: OVERALL_QUALITY Customer focus of wireless telecom companies in India Page 77
  • 97.
    ANALYSIS AND FINDINGS Customersatisfaction model developed from regression analysis for Airtel postpaid customers: Figure ‎5-26: Customer satisfaction model for Airtel postpaid customers Network and billing requirements (0.032) VAS and Customization requirements (0.269) Billing requirements (0.208) Customer service requirements (0.293) CUSTOMER SATISFACTION Satisfaction requirements (0.082) Delight requirements (0.234) Network and presales requirements (0.076) Customer focus of wireless telecom companies in India Page 78
  • 98.
    ANALYSIS AND FINDINGS Nowwe have two graphs to show that the data chosen for the regression model follows normal distribution. Figure ‎5-27: Plot of overall quality satisfaction score means with frequency for Airtel postpaid customers Figure 5-28: Plot of observed overall quality satisfaction score means with expected values for Airtel postpaid customers Customer focus of wireless telecom companies in India Page 79
  • 99.
    ANALYSIS AND FINDINGS 5.2.6.9Factor analysis of Airtel’s prepaid customers: The correlation between the variables as a whole is not positive. Therefore the KMO test of sampling adequacy and Bartlett‘s test of sphericity have not been given. The communalities show the proportion of common variance within a sample. Therefore we can say that extraction column tells us the amount of variance which is shared by other variables as well (refer to Table-53 for Descriptive statistics and Table-56 for Communalities in Appendix). Now the factor extraction method identifies the factors. The criterion to select factors is based on values having Eigen values above 1. Therefore we are extracting the 5 factors which are having eigen value of greater than 1 which explain 78.14% of variance observed among the variables (refer to Table-57 in Appendix). The scree plot gives the eigen values of each of the factors. Figure ‎5-29: Plot of Factors extracted versus the eigen values for Airtel prepaid customers Now the Rotated Component matrix gives us final variables present under each of the factors and which are highly uncorrelated between the factors but highly correlated within Customer focus of wireless telecom companies in India Page 80
  • 100.
    ANALYSIS AND FINDINGS eachfactor. Those variables which have very high values compared to others (above 0.6) for each factor are used to explain the factors (refer to Table-59 in Appendix). Based on the table we describe each factor below. They are: 1. Factor 1: This factor consists of variables which are related to customer service aspects of Quality of Service (QoS). Therefore this factor can be named as ‗Customer care requirements‘.  Time taken by the customer care to resolve complaint.  Time taken to respond to call by customer care executive.  Present process of resolving customer complaints.  Problem solving ability of the customer care executive(s).  Ease of access of call centre/customer care/online website. 2. Factor 2: this factor consists of variables which are related to the ability to make calls and SMS. Therefore this factor can be named as ‗Call/SMS ability requirements‘.  Ability to make or receive calls/SMS during peak hours.  Time taken for reactivation.  Availability of network signal when on the move.  Ability to make or receive SMS. 3. Factor 3: this factor consists of variables which are related to the aspects of prepaid billing. Therefore this factor can be named as ‗Prepaid billing requirements‘.  Overall quality of your mobile service.  Accuracy of the charges, i.e. amount deducted on every usage.  Tariff plan can be customized for usage requirements. Customer focus of wireless telecom companies in India Page 81
  • 101.
    ANALYSIS AND FINDINGS 4.Factor 4: this factor consists of variables related to the aspects of value-added services and other supplementary services. Therefore this factor can be named as ‗VAS requirements‘.  Charges of value added services.  Quality of the value added services provided.  Value added services can be customized for usage requirements. 5. Factor 5: this factor consists of variables related to the aspects of network performance. Therefore this factor can be named as ‗Network performance requirements‘.  Ability of the service provider to resolve problems related with the network signal. Therefore based on factor analysis the factors which affect Airtel‘s postpaid customers‘ perception of service quality are the following:  Customer care requirements  Call/SMS ability requirements  Prepaid billing requirements  VAS requirements  Network performance requirements These factors help in finding out the latent variables which affect the choices made by the postpaid and prepaid users while assessing the Quality of service provided by the Airtel. 5.2.6.10 Multivariate Regression analysis of Airtel’s prepaid customers After finding the factors which affect Airtel's prepaid customers we try to build a model to see how much each of the factors affect the value of overall quality. In this way we will be Customer focus of wireless telecom companies in India Page 82
  • 102.
    ANALYSIS AND FINDINGS ableto build a relationship model between the different factors affecting quality of service based on the perceptions of the end customers. To build the model, we use multivariate regression analysis on the survey data of Airtel prepaid customers. We have taken the factors determined in the previous step and found a factor score by taking the mean of the scores of the variables coming under those factors. These factors scores have been compared with scores given for overall quality by the Airtel postpaid customers. These factors are CUSTOMER CARE, CALL/SMS ABILITY, PREPAID BILLING, VAS, NETWORK PERFORMANCE. Descriptive statistics tells us about the mean, standard deviation and sample size of the variables for the test. Table 30: Descriptive statistics for regression analysis of Airtel prepaid customers Descriptive Statistics Mean Std. Deviation N OVERALL_QUALITY 4.0000 .57735 19 CUST_CARE 3.0842 1.26854 19 CALL_SMS_ABILITY 3.9842 .58997 19 BILLING 3.7368 .77043 19 VAS 3.1895 1.35109 19 NETWORK_PERF 3.0000 1.45297 19 The correlation between the variables is shown in this table. The table shows that there are significant positive and negative correlations between the variables (refer to Table-60 in Appendix). The regression model summary table tells us about the value of R2, which is 0.744. The R square value tells us that 74.4% of the variance in overall quality can be explained by the regression model consisting of the factors. The adjusted R square gives us some idea of how well the model generalises for the population. Customer focus of wireless telecom companies in India Page 83
  • 103.
    ANALYSIS AND FINDINGS Table31: Regression model for Airtel prepaid customers b Model Summary Change Statistics Std. Error R Model 1 .862 a of the R Square F Square R Adjusted R Square Estimate Change Change .744 .645 .34380 .744 7.553 Sig. F df1 Change df2 5 DurbinWatson 13 .002 1.526 a. Predictors: (Constant), NETWORK_PERF, VAS, CALL_SMS_ABILITY, CUST_CARE, BILLING b. Dependent Variable: OVERALL_QUALITY The ANOVA table gives the value of F-statistic which is 7.553. The value being greater than one implies that the variance in overall quality explained by the regression model is greater than the variance explained by residual values. The significance of 0.002 is highly significant making it very unlikely for the F-statistic to have happened by chance. Table 32: Oneway ANOVA test on Airtel prepaid customers b ANOVA Model 1 Sum of Squares df Mean Square Regression 4.463 5 .893 Residual 1.537 13 6.000 7.553 Sig. .002 a .118 Total F 18 a. Predictors: (Constant), NETWORK_PERF, VAS, CALL_SMS_ABILITY, CUST_CARE, BILLING b. Dependent Variable: OVERALL_QUALITY Here we have the coefficients for the factors in the equation explaining overall quality. The regression equation is as follows: Customer focus of wireless telecom companies in India Page 84
  • 104.
    ANALYSIS AND FINDINGS OverallQuality = 0.95 - 0.096 (Customer Care) + 0.478 (Call/SMS ability) + 0.394 (Billing) + 0.022 (VAS) – 0.034 (Network Performance) Table 33: Regression model components for Airtel prepaid customers Coefficients a Unstandardized Standardized Coefficients 95.0% Confidence Coefficients Interval for B Std. Model B 1 .950 -.096 .071 Lower .710 (Constant) CUST_CARE Error Correlations Beta t Sig. Upper Zero- Bound Bound order Partial Part 1.338 .204 -.212 -.584 2.484 - .198 -.250 .057 -.023 -.353 -.191 1.358 CALL_SMS_ABILITY .478 .161 .489 2.960 .011 .129 .827 .652 .635 .416 BILLING .394 .123 .526 3.195 .007 .128 .661 .749 .663 .448 VAS .022 .063 .052 .355 .728 -.113 .158 .071 .098 .050 -.034 .062 -.085 -.548 .593 -.167 .099 NETWORK_PERF -.265 -.150 -.077 a. Dependent Variable: OVERALL_QUALITY Customer focus of wireless telecom companies in India Page 85
  • 105.
    ANALYSIS AND FINDINGS Customersatisfaction model developed from regression analysis for Airtel prepaid customers: Figure ‎ -30: Customer satisfaction model for Airtel prepaid customers 5 Customer care requirements (0.032) Call/SMS ability requirements (0.269) Billing requirements CUSTOMER (0.208) SATISFACTION VAS requirements (0.293) Network performance requirements (0.082) Customer focus of wireless telecom companies in India Page 86
  • 106.
    ANALYSIS AND FINDINGS Nowwe have two graphs to show that the data chosen for the regression model follows normal distribution. Figure ‎5-31: Plot of overall quality satisfaction score means with frequency for Airtel prepaid customers Figure ‎5-32: Plot of observed overall quality satisfaction score means with expected values for Airtel prepaid customers Customer focus of wireless telecom companies in India Page 87
  • 107.
    ANALYSIS AND FINDINGS Thereforewe can now see the factors for both the prepaid and postpaid customers compare them to see if there are significantly different factors affecting the overall satisfaction for both postpaid and prepaid customers. Table 34: Factors affecting the postpaid and prepaid Airtel customers POSTPAID FACTORS PREPAID FACTORS Call/SMS ability Customer service Billing VAS and Customization VAS Billing Network performance Network and pre-sales experience Customer service Network and billing Satisfaction Delight We can see that most of the factors rank similarly between the two groups. Therefore we can see that the overall satisfaction which, postpaid and prepaid customers get from different aspects of mobile services are quite similar. 5.2.7 Airtel qualitative data analysis After doing the quantitative analysis, we have arrived at frameworks for customer satisfaction model for Airtel prepaid and postpaid users. Now we analyse some of the qualitative aspects of the data to find out insights about the expectations, and behavioural characteristics of Airtel‘s customers. Therefore we analyse the responses given to the following questions present in the questionnaire by Airtel customers. 5.2.7.1 Service provision Q. 8) When did you apply for your latest mobile phone connection? Customer focus of wireless telecom companies in India Page 88
  • 108.
    ANALYSIS AND FINDINGS Figure‎5-33: Pie chart for time frame of acquisition of service by Airtel respondents Less than 6 months 14% 6-12 months 12% Greater than 12 months/Don't remember 74% Q. 9) How much time was taken to activate the connection after you applied and completed the formalities? Figure ‎5-34: Pie chart for time taken to activate service for Airtel respondents Don't remember 16% 4-7 days 10% 2-3 days 23% 1 day 51% Table 35: Crosstabulation of time frame of acquisition of service and time taken to activate service for Airtel respondents Crosstabulation Time taken for activation 1 day 2-3 days 4-7 days Don't remember total Less than 6 months Applied for mobile service 6 0 0 0 6 6-12 months 1 3 1 0 5 14 7 3 0 24 1 0 0 7 8 22 10 4 7 Greater than 12 months Don't remember total Customer focus of wireless telecom companies in India Page 89
  • 109.
    ANALYSIS AND FINDINGS Whenwe analyse the pie charts and the table above, we see that may be the process used by Airtel to activate accounts has improved as can be seen in the reduction of time taken for activation from older users to newer users. 5.2.7.2 Prepaid billing Q. 13) If you had issues or complaints with prepaid charges deducted, please specify the reasons for your dissatisfaction? Figure ‎5-35: Pie chart for issues related with prepaid charges for Airtel respondents Charged for value-added services not requested 22% Tariff plan changed without notice 22% Charges for calls/services not made/used 34% Charges not as per plan subscribed 22% Percentage of sample with issues: 85.71% This shows that Airtel prepaid customers are not happy with the billing process. There are many instances where we see that the customers have problems with the balance of money being deducted from their accounts. This might be due to the inherent nature of prepaid model that the upper hand in the transaction is with the operator. 5.2.7.3 Postpaid billing Q. 16) If you had issues or complaints with accuracy of bills, please specify the reasons for your dissatisfaction? Customer focus of wireless telecom companies in India Page 90
  • 110.
    ANALYSIS AND FINDINGS Figure‎5-36: Pie chart for issues related with accuracy of postpaid bills for Airtel respondents Charges not as per plan subscribed 11% Tariff plan changed without consent 22% Charged for value-added services not requested 34% Charges for calls/services not made/used 33% Percentage of sample with issues: 40.91% Here we can see that the Airtel postpaid customers are more happy with the billing process. This might be due to the nature of postpaid model, where the customer has the power to pay the bills only after clarification of such issues. Q. 26) If you had issues or complaints with the clarity of bills, please specify the reasons? Figure ‎5-37: Pie chart for issues related with clarity of postpaid bills for Airtel respondents Payment only during office hours 17% Payment through internet not available 33% Payment only at the designated centers 50% Customer focus of wireless telecom companies in India Page 91
  • 111.
    ANALYSIS AND FINDINGS Percentageof sample with issues: 50.00% While Airtel has gone for a revamp, and the present bills are very comprehensive, the customers‘ are saying that they are still having problems. This might lead us to infer that Airtel might have to look for newer manner for presenting the bills. 5.2.7.4 Customer care Q.28) If no, can you specify the reasons for not making a query or filing a complaint with the customer care service in the last one year? Figure ‎5-38: Pie chart for reasons for not querying customer care for Airtel respondents I don't know the complaint process The complaint 9% process is too tedious 18% There were small complaints/Not hing to complain about 73% Percentage of sample having no/small complaints: 64% This is a very important finding that almost 64% of the sample hasn‘t felt the need to call up the customer care services. This can lead us to infer that Airtel has been proactive in providing customer services and minimising dissatisfaction. 5.2.7.5 Value added services Q. 42) Do you use value added services like roaming, ring tone, GPRS, e-mail, voice mail or any other such services? Customer focus of wireless telecom companies in India Page 92
  • 112.
    ANALYSIS AND FINDINGS Figure‎5-39: Pie chart for usage of value added services for Airtel respondents No 39% Yes 61% Percentage of sample using value added services: 58.14% Q. 43) If you don‘t use value added services, please specify the reasons? Figure ‎5-40: Pie chart for reasons for not using value added services for Airtel respondents I was never informed by the service provider 5% I knew, but it I knew, but the service was very charges complicated were not to try affordable 10% 15% I never felt the need for it 70% Percentage of sample who never felt the need for VAS: 70% This is also an important finding that almost 70% of the sample, who don‘t use value added services, don‘t feel the need for using value added services. While the operators are bullish about VAS being the driver of ARPU‘s (average revenue per user) in the future, here is an insight where the customer doesn‘t need VAS itself. Therefore Airtel has an important customer segment to tap for growth. Q. 44) If yes, please specify those value added services which you use most? Customer focus of wireless telecom companies in India Page 93
  • 113.
    ANALYSIS AND FINDINGS Figure‎5-41: Pie chart for usage of types of value added services for Airtel respondents others 11% caller tunes 17% roaming 46% GPRS/email 26% This pie chart shows that roaming is still the most important supplementary service required by customers. Even though they might be using other value added services, for the customer segment as a whole, roaming is still the most important VAS. Therefore, if Airtel is able to differentiate it‘s roaming services rather than just pricing it competitively, it will be able to gain strategic advantage. Q. 51) Have you been informed in writing, at the time of subscription of service or within a week of activation of service, the complete details of your tariff plan? Figure ‎5-42: Pie chart for knowledge about reception of subscription of service details for Airtel respondents No 55% Yes 45% Customer focus of wireless telecom companies in India Page 94
  • 114.
    ANALYSIS AND FINDINGS Thisis an important area where Airtel can gain goodwill of customer as well as delight the customer. If Airtel is able to provide the details of the account plan to the customers after they subscribe, the customers would get a perception of the operator caring for them. Some of the other important findings are:  Most customers who call to customer care call regarding value added services, tariff plan and billing charges.  Suggestions from customers regarding improving the customer complaint resolution process are mostly towards empowering the customer care executives in solving the customer‘s problem.  The most important criterion for overall quality of Airtel services is Ability to make Calls/SMS and the network performance. On this criterion most customers are satisfied with Airtel‘s services.  The second most important criterion for overall quality of Airtel services is tariff and billing related aspects. Here there are mixed views among customers.  The third most important criterion for overall quality of Airtel services is the customer services provided. However an important thing to note is the unnecessary campaigns which Airtel runs a lot through calls and SMS. It should do target campaigning more strategically with using Business analytics.  There is still not much awareness (only 21%) about the Do Not Call (DNC) registry among customers. And those who have registered for DNC still keep receiving (over 71%) the unwanted calls/SMS. This gives an important insight where Airtel can focus to provide customer satisfaction. As these can lead to high rate of customer dissatisfaction leading to higher churn. 5.2.8 Overall Findings of customer’s perception of Airtel’s services: Finally we summarize overall findings of the data analysis done for Airtel. These findings give us insights as to where Airtel can improve upon so as improve the Quality of Services Customer focus of wireless telecom companies in India Page 95
  • 115.
    ANALYSIS AND FINDINGS leadingto higher satisfaction for customers and in the process making Airtel truly customer focussed.  Pre-sales service quality in Bihar, Himachal Pradesh, North East has gone down drastically.  Postpaid service quality in Assam, North east and Himachal Pradesh is very low among customers.  Prepaid service quality has remained stagnant relatively between circles, but the satisfaction as a whole has come down over the years‘ according to customer‘s perceptions.  Customer service quality has remained stagnant across the years as well as across the circles.  Network performance quality in Bihar, Gujarat, Kolkata, Tamil Nadu and West Bengal has remained below TRAI benchmark consistently over the years. While in other circles like Andhra Pradesh, Chennai, Karnataka, Kerala, Orissa, Punjab and Uttar Pradesh (East) network performance quality has remained high consistently.  Maintainability quality has come down in Bihar (96% to 65%), Gujarat (88% to 67%), Himachal Pradesh (100% to 66.4%) and Tamil Nadu (100% to 74%) from 2006 to 2008-09. It has remained low in UP West circle consistently over the period of 4 years.  Value added services quality has come down across the circles from 2006 to 200809.  Overall quality of service according to customers has come down from 81.83% in 2001 to 70.43%in 2008-09, a change of 11.4% points over 8 years.  Airtel should give special attention to Bihar, Himachal Pradesh, Kolkata, Maharashtra, Mumbai and West Bengal circles to improve their overall quality satisfaction scores. Customer focus of wireless telecom companies in India Page 96
  • 116.
    ANALYSIS AND FINDINGS  Overallsatisfaction from Airtel telecom services across the country is not significantly different.  Customer care services and value added services scores from the survey were low for Airtel services.  In customer services, they should specifically try to improve their processes of ease of access of the customer representatives for the customers.  They should also try to improve the time to respond to query process, problem solving ability of the customer representatives and the time to resolve complaint processes.  In value added services and other supplementary services they should specifically look at the VAS charges for providing value for the customers.  Some of the problems recognized by Airtel customers are satisfaction with reactivation of accounts, prepaid accuracy charges, postpaid billing complaint resolution process and network complaint resolution process.  The means of overall quality from survey and TRAI data (2008-09) are significantly not different.  The factors which affect Airtel‘s postpaid customers‘ perception of service quality are the following: o Network and billing requirements o VAS and Customization requirements o Billing and payment requirements o Customer service requirements o Satisfaction requirements o Delight requirements o Network and pre-sales requirements Customer focus of wireless telecom companies in India Page 97
  • 117.
    ANALYSIS AND FINDINGS  Multivariateregression model for explaining customer satisfaction for Airtel‘s postpaid customer: Overall Quality = 1.739 + 0.032 (Critical) + 0.269 (Customization) + 0.208 (Billing) + 0.293 (Customer service) – 0.082 (Satisfaction) – 0.234 (Delight) + 0.076 (Extra)  The factors which affect Airtel‘s prepaid customers‘ perception of service quality are the following: o Customer care requirements o Call/SMS ability requirements o Prepaid billing requirements o VAS requirements o Network performance requirements  Multivariate regression model for explaining customer satisfaction for Airtel‘s prepaid customer: Overall Quality = 0.95 - 0.096 (Customer Care) + 0.478 (Call/SMS ability) + 0.394 (Billing) + 0.022 (VAS) – 0.034 (Network Performance)  According to the survey, the process used by Airtel to activate accounts has improved.  Airtel prepaid customers are not happy with the billing process. There are many instances where we see that the customers have problems with the balance of money being deducted from their accounts. This might be due to the inherent nature of prepaid model, where the upper hand in the transaction is with the operator.  Airtel postpaid customers are more happy with the billing process. This might be due to the nature of postpaid model, where the customer has the power to pay the bills only after clarification of such issues. Customer focus of wireless telecom companies in India Page 98
  • 118.
    ANALYSIS AND FINDINGS  WhileAirtel has gone for a revamp, and the present bills are very comprehensive, the customers‘ are saying that they are still having problems. This might lead us to infer that Airtel might have to look for newer manner for presenting the bills.  Almost 64% of the sample hasn‘t felt the need to call up the customer care services. This can lead us to infer that Airtel has been proactive in providing customer services and minimising dissatisfaction.  Almost 70% of the sample, who don‘t use value added services, don‘t feel the need for using value added services. While the operators are bullish about VAS being the driver of ARPU‘s (average revenue per user) in the future, here is an insight where the customer doesn‘t need VAS itself. Therefore Airtel has an important customer segment to tap for growth.  Roaming is still the most important supplementary service required by customers. Even though they might be using other value added services, for the customer segment as a whole, roaming is still the most important VAS. Therefore, if Airtel is able to differentiate its roaming services rather than just pricing it competitively, it will be able to gain strategic advantage.  Airtel can gain goodwill of customer by providing the details of the account plan to the customers after they subscribe. If Airtel is able to provide the details of the account plan to the customers after they subscribe, the customers would get a perception of the operator caring for them.  Most customers who call to customer care call regarding value added services, tariff plan and billing charges.  Suggestions from customers regarding improving the customer complaint resolution process are mostly towards empowering the customer care executives in solving the customer‘s problem.  The most important criterion for overall quality of Airtel services is Ability to make Calls/SMS and the network performance. On this criterion most customers are satisfied with Airtel‘s services. Customer focus of wireless telecom companies in India Page 99
  • 119.
    ANALYSIS AND FINDINGS  Thesecond most important criterion for overall quality of Airtel services is tariff and billing related aspects. Here there are mixed views among customers.  The third most important criterion for overall quality of Airtel services is the customer services provided. However an important thing to note is the unnecessary campaigns which Airtel runs a lot through calls and SMS. It should do target campaigning more strategically with using Business analytics.  There is still not much awareness (only 21%) about the Do Not Call (DNC) registry among customers. And those who have registered for DNC still keep receiving (over 71%) the unwanted calls/SMS. This gives an important insight where Airtel can focus to provide customer satisfaction. As these can lead to high rate of customer dissatisfaction leading to higher churn. Based on the overall findings of the study, we can now see the picture of Airtel‘s perspective of serving its customer and the customer‘s perspective about Airtel‘s services. This picture gave us areas for scope of improvement for Airtel. Based on the study of Customer Relationship Management in the telecom sector in the literature review section, we will be able to provide suggestions for improving the customer‘s perspective of Airtel‘s services. Customer Relationship Management is one of the strategies which have to be used, but it can be used as a strategic lever to provide competitive advantage. The rationale for using CRM is that telecom being a data-driven industry with the service being provided through a remote device, gives the operator opportunity to monitor the customer usage pattern as well as its service delivery in real time without affecting the service. This environment gives us an ideal opportunity to use Customer management to profitably acquire new customers as well as retain loyal customers. With the price and product/service features being quite similar as well as attainable in a short period of time, due to the technological nature of the industry, the only differentiator for Airtel can be its customer management strategy. Therefore we provide recommendations/suggestions based on Customer Relationship Management for Airtel. Customer focus of wireless telecom companies in India Page 100
  • 120.
  • 121.
    RECOMMENDATIONS 6 RECOMMENDATIONS 6.1.1 Recommendations/Suggestionsbased on study of CRM for the present situation of Bharti Airtel We have analysed the case of Airtel to gain understanding of the situation of the wireless telecom sector. The knowledge which we have gained from analysis is that Airtel is weaker in the areas of customer service and value added services. The factors which affect the Indian customer are predominantly customer service, billing, value added services, customization, and network performance. This might be lead us to suggest Airtel to focus on improving in those areas where customers rate Airtel‘s performance lower as well as affect overall satisfaction considerably. In that manner we will be able to target Airtel‘s weakness and improve overall satisfaction considerably. Therefore the areas identified to be addressed using CRM are customer services, value added services, customized services, customer segmentation based on analytics.  Customer care services Customer services are an integral part of a service offering as it brings a sense of assurance that someone is there in case of difficulty. In case of Airtel, has outsourced its IT systems management to IBM, including customer services. Prior to this the customer care services were handled by Oracle. Now to make the outsourcing work on such a huge scale Airtel has created very tight, extremely detailed Service Level Agreements (SLAs). But still the findings from analysis show that the customer service satisfaction levels are quite low over the years. This has been substantiated by TRAI data as well as survey data. The analysis also proves that customer service is a very important factor in the determinant of overall satisfaction. So this leads us to question the SLAs designed by Airtel. Are the SLAs sufficiently ensuring quality of service is the question to be asked. Therefore Airtel has to design the SLA from two perspectives. One is the actual performance shown by IBM. The other is the perceived performance by customers of the services which Airtel has outsourced to IBM. This can validate the actual performance. In this way Airtel will be able to clear define its customer service strategy and give clear guidelines for IBM to follow. This is very important because from the analysis we have been able to find that the biggest weakness according to customers of Airtel is Customer focus of wireless telecom companies in India Page 101
  • 122.
    RECOMMENDATIONS its customer careservices. And customer services have been contributing a lot to the overall satisfaction scores as found from the analysis. Therefore Airtel has to redefine its customer service strategy. As part of the customer services strategy, Airtel can use its website as a strategic tool to service customers as well build loyalty among the customers. For mobile users, websites aren‘t that important. But Airtel can personalize and provide more ease of service through use of Airtel website to help in the processes of billing, customer care, value added services. Using innovative web 2.0 tools, services, add-ins, applications etc, Airtel can try to build a community of Airtel users. Therefore Airtel website can act as the change agent for Airtel in improving its Quality of services. Airtel should also realise the strategic importance of people. They are the ones who enable all strategies and make them functional and effective. Therefore Airtel can concentrate on its employees and use them as strategic assets. It can also use customer care services which have been outsourced at present, to come under its ambit and use it to provide superior customer experience for the customer. Analysis shows that customers mostly are unhappy with the complaint resolution process where customer reps are not empowered to take desicions. Therefore Airtel has to use assets in the form of people to communicate the same message across all the touch-points to the customer.  Value added services The concept of value added services is that they should give value to the customers on top of the communication services provided by the operator. Therefore Airtel has to use traditional marketing methods like market research techniques to find out useful value added services which can add value in the daily life of the customers. Airtel has to look for latent needs which can be fulfil through value added services. In the study, we have been able to find that Airtel has come up with a lot of value added services which help people in their daily lives. Some of these are the initiatives for the rural customers where they provide daily updates, m-Cheque special SIM cards which help in financial transactions, Asklaila city search. These value added services are value adding. Even if some of them are not value adding for improving productivity, they can still be able to fulfil needs of customers. They can create needs for the customer and market them like in the case of ipod. Findings Customer focus of wireless telecom companies in India Page 102
  • 123.
    RECOMMENDATIONS from the researchpoint out to that most of the customers who don‘t use VAS, don‘t feel the need for them. Therefore Airtel has a huge untapped market there to serve with VAS. And VAS is termed as the engine for revenue growth for all the service providers. So for Airtel it becomes more important to look at the requirements of different segments and then target appropriate VAS by developing appropriate products. Therefore product development also comes into picture here. Airtel also has to look at the pricing of VAS, because customers are most dissatisfied from the prices of VAS. This has been substantiated by the analysis of survey. Therefore Airtel has to look at the tendency of customers to measure the prices of VAS in lieu with voice charges. Therefore Airtel has to price the VAS carefully.  Customized services The analysis of results showed us that customers wanted more customized offerings from Airtel in all aspects of customer service. They are billing, customer care and value added services. That means customers wanted services which were more in tune with their needs. Therefore for Airtel it becomes imperative to find out what personal information the customer wants it to know, so as to better serve the customer by recommending usage plans which tuned to his/her needs. It must than seek the customer‘s permission to use this information. The 3 steps it should follow are: o Interact: It should talk to customers, establish dialogue and understand their needs. It should use market research to find out what customers want to be personalized. While this is obvious, Airtel has to use the strategy of website as an important component in building a community for Airtel. This will help Airtel in building loyal customers who are ready to help in Airtel‘s services and create a feeling of belongingness between them. o Invent: It should use the data differently than competitors. Airtel has to use the data it is already having about its customers to personalize the service which is more meaningful for the customers. o Personalize: It should personalize uniquely for each customer. For personalizing they can modify the three levers of Content of the service, Context of the use and Contact with the customer. Personalization doesn‘t Customer focus of wireless telecom companies in India Page 103
  • 124.
    RECOMMENDATIONS more costly forthe customer. But if Airtel is able to provide customized solutions using IT as a powerful tool, and then able to communicate this to customers than Airtel can gain strategic advantage. Airtel also has to target the segments with personalized content.  Customer retention strategy using churn modelling Airtel has to articulate its customer retention strategy more clearly. Customer retention is retaining loyal customers over a period of time so that they create a winwin relationship for both the parties involved. The most important reason for investing in retention is, because the cost of acquiring new customers is five times more than the cost of retaining existing customers. Therefore it makes more sense for Airtel to go for customer retention strategy than going for customer acquistion. Therefore the objective is to nurture long-term relationships with customers through trust, responsiveness, customized services and reliability. Customer care, therefore has become the most important activity for providing superior customer satisfaction as established from the analysis. For articulating the customer retention strategy Airtel has to follow the following steps: o They have to analyse the internal data generated from customer usage of service. They have to look at the activity patterns and needs of the customers. o They have to now segment the customers based on historic and real time data being captured, using data mining tools like clustering into meaningful segments. o They have to identify the propensity to churn for each segment. That is the probability of the customer disabling the services in a given time period. This can be found out by using reporting tools to analyse characteristics of customer churn. Customer focus of wireless telecom companies in India Page 104
  • 125.
    RECOMMENDATIONS o They haveto identify the customer profitability in terms of net present value of the difference between revenue from retaining customer to the campaign costs. o They have apply the propensity to churn model and customer profitability models to the customer segments and then design campaigns which have net present value of greater than zero. o They have to than execute these campaigns effectively. While it shows the importance of technology here. It is not so. The most important aspect are the people who have to execute the strategies with customer in mind.  Customer segmentation based on analytics Airtel has to look for new micro-customer segments within the broad segments taking into account their location and other preferences. To help in the search of micro segments it has to get a holistic picture of these customers from aspects like cultural, psychological, behavioural, geographical etc. This can be done through qualitative techniques as well as using data analytics. While Airtel as well as other operators are already doing it, it hasn‘t resulted in strategic gains for any of them. Therefore Airtel has to focus on this aspect. Analysis from the study suggests that there can be micro segments of customers. This has been substantiated by the different preferences shown by postpaid and prepaid customers. While the user profile of the prepaid customer can be seen as younger with higher desires but less propensity to pay. While the user profile of postpaid customer can be seen as slightly older with desires but higher propensity to pay. Therefore here Airtel has to understand customer preferences and than design campaigns specifically for these micro-segments. Airtel has to use the concept of predictive CRM coming out of analytical CRM. Predictive CRM is the ability to understand customer preferences, anticipate customer needs, take proactive steps and deliver at the critical ‗moments of truth‘ for the customer. This requires overall understanding of the consumption of telecom service by the customer to provide him a hassle-free customer experience. Customer focus of wireless telecom companies in India Page 105
  • 126.
  • 127.
    CONCLUSIONS 7 CONCLUSIONS 7.1 Conclusion Theresults of this study contribute to the recent, albeit sparse body of literature about customer focus of wireless telecom industry. In this study we have been able to conclude the following findings:  Airtel has been considered as a case as it is the leading service provider. It has got average overall customer satisfaction of 71.95% while having weakness in customer care services and value added services.  In customer services, Airtel has to look at its strategy of using SLAs to measure performance of customer services. Therefore Airtel has to look at perceived performance of customer service given by customers as an important criterion to measure SLAs.  In value added services and other supplementary services they should specifically look at the VAS charges for providing value for the customers.  The factors affecting the overall satisfaction for Airtel‘s postpaid customers are call/SMS ability, billing, VAS, network performance and customer service.  The factors affecting the overall satisfaction for Airtel‘s prepaid customers are customer service, VAS and customization, billing, network performance and presales experience.  Therefore Airtel has to use CRM strategies to help in providing better customer services and value added services.  Airtel also has to provide customized services using CRM, as customers are ready for customization of telecom services. Airtel has to push its utility-based value added services forward like m-cheque, Asklaila city search etc to create the demand for VAS, as most customers don‘t feel the need for VAS except roaming. Customer focus of wireless telecom companies in India Page 106
  • 128.
  • 129.
    APPENDIX 8 APPENDIX 8.1 Questionnaire Personalinformation Note: please mark your response number in the box provided. Name: __________________________________ Age: 1 2 3 4 Gender: Occupation: 0-25 years 25-35 years 35-50 years 50 years and above 1 2 Male Female 1 2 3 4 5 Employed Self employed (Business owner) Student Housewife Retired Operator: 1 2 3 4 5 6 7 8 9 10 11 12 13 14 15 Bharti airtel Aircel Reliance communications Reliance telecom Vodafone Tata teleservices Idea Shyam telelink BSNL MTNL Spice BPL HFCL RISL Dishnet Customer focus of wireless telecom companies in India Page 107
  • 130.
    APPENDIX Others (Specify)_______________________________________ Area: 1 2 3 4 Metropolitan Urban Semi-urban Rural 1. Metropolitan:In India, the Census Commission defines a metropolitan city as one having a population of over 40 lakh (4 million). Mumbai, Delhi, Chennai, Kolkata, Bengaluru, Hyderabad, Ahmedabad are the seven cities that qualify. 2. Urban: a geographical area constituting a city having a population between 40 lakh and 1 lakh. 3. Semi-urban: a geographical area constituting a town having a population between 1 lakh and 10000. 4. Rural: An area with low population density such as a village or the countryside having a population of 10000 or less. User type: 1 2 Technology type: Prepaid Postpaid GSM CDMA Service provision 1. When did you apply for your latest mobile phone connection? 1 2 3 4 Less than 6 months 6-12 months Greater than 12 months Don‘t remember 2. How much time was taken to activate the connection after you applied and completed the formalities? 1 2 1 day 2-3 days Customer focus of wireless telecom companies in India Page 108
  • 131.
    APPENDIX 3 4 5 4-7 days Greater than7 days Don‘t remember 3. How was the complete process of acquiring the mobile phone connection according to you? 1 2 3 4 5 Very dissatisfying Dissatisfying Neutral Satisfying Very satisfying 4. In case you had some problems with the connection, are you satisfied with the time taken for reactivation? 1 2 3 4 5 Very dissatisfied Dissatisfied Neutral Satisfied Very satisfied Prepaid billing (for prepaid users only) 5. How satisfied are you with the accuracy of the charges, i.e. amount deducted on every usage? 1 2 3 4 5 Very dissatisfied Dissatisfied Neutral Satisfied Very satisfied 6. If you had issues or complaints with charges deducted, please specify the reasons for your dissatisfaction?(multiple answers possible) 1 2 3 Charges not as per plan subscribed Tariff plan changed without notice Charges for calls/services not Customer focus of wireless telecom companies in India Page 109
  • 132.
    APPENDIX 4 5 made/used Charged for value-added servicesnot requested Others(please specify) Others:______________________________________________________ 7. How satisfied are you if the tariff plan can be customized for your usage requirements? 1 2 3 4 5 Very dissatisfied Dissatisfied Neutral Satisfied Very satisfied Postpaid billing (for postpaid users only) Note: Accuracy of bills refers to charges in the bill as per the tariff plan subscribed. 8. How satisfied are you with the accuracy of the postpaid bills? 1 2 3 4 5 Very dissatisfied Dissatisfied Neutral Satisfied Very satisfied If your response is Satisfied or Very satisfied, please skip to question 10, otherwise continue. 9. If you had issues or complaints with accuracy of bills, please specify the reasons for your dissatisfaction? (multiple responses acceptable) 1 2 3 4 5 Charges not as per plan subscribed Tariff plan changed without consent Charges for calls/services not made/used Charged for value-added services not requested Others(please specify) Customer focus of wireless telecom companies in India Page 110
  • 133.
    APPENDIX Others:______________________________________________________ 10. How satisfiedare you with the timely delivery of the bills? 1 2 3 4 5 Very dissatisfied Dissatisfied Neutral Satisfied Very satisfied 11. How satisfied are you with the payment process for the bills? 1 2 3 4 5 Very dissatisfied Dissatisfied Neutral Satisfied Very satisfied If your response is Satisfied or Very satisfied, please skip to question 13, otherwise continue. 12. If you had issues or complaints with the payment process, please specify the reasons for your dissatisfaction?(multiple answers possible) 1 2 3 4 5 Payment only at the designated centers Payment only through cash Payment only during office hours Payment through internet not available Others(please specify) Others:______________________________________________________ Customer focus of wireless telecom companies in India Page 111
  • 134.
    APPENDIX 13. How satisfiedare you if the tariff plan can be customized for your usage requirements? 1 2 3 4 5 Very dissatisfied Dissatisfied Neutral Satisfied Very satisfied 14. How satisfied are you if the bill payment options can be customized for your usage requirements? 1 2 3 4 5 Very dissatisfied Dissatisfied Neutral Satisfied Very satisfied 15. Have you made any billing related complaints in last 12 months? 1 Yes 2 No If no, please skip to question 18, otherwise continue. 16. How many complaints have you made in the last 12 months? 1 2 3 4 5 0-3 4-6 7-9 10-12 12 and more Customer focus of wireless telecom companies in India Page 112
  • 135.
    APPENDIX 17. How satisfiedare you with the process of resolution of billing complaints? 1 2 3 4 5 Very dissatisfied Dissatisfied Neutral Satisfied Very satisfied 18. How satisfied are you with the clarity of the bills issued by your service provider in terms of transparency and understandability? 1 2 3 4 5 Very dissatisfied Dissatisfied Neutral Satisfied Very satisfied If your response is Satisfied or Very satisfied, skip to question 20, otherwise continue. 19. If you had issues or complaints with the clarity of bills, please you specify the reasons?(multiple answers possible) 1 2 3 4 5 Difficult to read the bill Difficult to understand the language Calculations not clear Item-wise breakdown of charges not given Others(please specify) Others:______________________________________________________ Customer care 20. Did you complain or make a query in the last 12 months to the customer care toll free number of your service provider regarding any non-billing complaints? 1 Yes 2 No Customer focus of wireless telecom companies in India Page 113
  • 136.
    APPENDIX If yes, pleaseskip to question 22, otherwise continue. 21. If no, can you specify the reasons? (multiple answers possible) 1 2 3 4 5 Nothing to complain about. There were small complaints. I don‘t know the complaint process The complaint process is too tedious Others(please specify) Others:______________________________________________________ 22. Please specify the reasons for your response in question no. 20? 1) ___________________________________________________________________ _________________________________________________________________ 2) ___________________________________________________________________ _________________________________________________________________ 3) ___________________________________________________________________ _________________________________________________________________ 23. How satisfied are you with the ease of access of call center/customer care/online website? 1 2 3 4 5 Very dissatisfied Dissatisfied Neutral Satisfied Very satisfied 24. How satisfied are you with the time taken to respond to your call by a customer care executive? Customer focus of wireless telecom companies in India Page 114
  • 137.
    APPENDIX 1 2 3 4 5 Very dissatisfied Dissatisfied Neutral Satisfied Very satisfied 25.How satisfied were you with the problem solving ability of the customer care executive(s)? 1 2 3 4 5 Very dissatisfied Dissatisfied Neutral Satisfied Very satisfied 26. How satisfied were you with the time taken by the customer care to resolve your complaint? 1 2 3 4 5 Very dissatisfied Dissatisfied Neutral Satisfied Very satisfied 27. How satisfied are you with the present process of resolving customer complaints by your service provider? 1 2 3 4 5 Very dissatisfied Dissatisfied Neutral Satisfied Very satisfied If your response is Satisfied or Very satisfied, please skip to question 29, otherwise continue. Customer focus of wireless telecom companies in India Page 115
  • 138.
    APPENDIX 28. If youhave issues or complaints with the process of resolving customer complaints, please you specify better solutions? (multiple answers possible) Network performance 29. How satisfied are you with the availability of network signal of your service provider in your locality? 1 2 3 4 5 Very dissatisfied Dissatisfied Neutral Satisfied Very satisfied 30. How satisfied are you with the availability of network signal when on the move? 1 2 3 4 5 Very dissatisfied Dissatisfied Neutral Satisfied Very satisfied 31. How satisfied are you with the ability of the service provider to resolve problems related with the network signal? 1 2 3 4 5 Very dissatisfied Dissatisfied Neutral Satisfied Very satisfied Customer focus of wireless telecom companies in India Page 116
  • 139.
    APPENDIX 32. How satisfiedare you with the ability to make or receive calls easily? 1 2 3 4 5 Very dissatisfied Dissatisfied Neutral Satisfied Very satisfied 33. How satisfied are you with the ability to make or receive SMS? 1 2 3 4 5 Very dissatisfied Dissatisfied Neutral Satisfied Very satisfied 34. How satisfied are you with the voice quality? 1 2 3 4 5 Very dissatisfied Dissatisfied Neutral Satisfied Very satisfied 35. How satisfied are you with your ability to make or receive calls/SMS during peak hours? 1 2 3 4 5 Very dissatisfied Dissatisfied Neutral Satisfied Very satisfied Value added services 36. Do you use value added services like roaming, ring tone, GPRS, e-mail, voice mail or any other such services? 1 Yes 2 No Customer focus of wireless telecom companies in India Page 117
  • 140.
    APPENDIX If yes pleaseskip to question 38, otherwise continue. 37. If no, please you specify the reasons? (multiple answers possible) 1 2 3 4 5 I was never informed by the service provider I knew, but it was very complicated to try I knew, but the service charges were not affordable I never felt the need for it Others(please specify) Others:______________________________________________________ 38. If yes, please specify those value added services which you use most? 1) __________________________________________________________________ 2) __________________________________________________________________ 3) __________________________________________________________________ 4) __________________________________________________________________ 5) __________________________________________________________________ 39. If yes, did the service provider get your explicit consent for providing the value added service? 1 Yes 2 No 40. How satisfied are you with the quality of the value added services provided? 1 2 3 4 5 Very dissatisfied Dissatisfied Neutral Satisfied Very satisfied Customer focus of wireless telecom companies in India Page 118
  • 141.
    APPENDIX 41. How satisfiedare you with the charges of value added services? 1 2 3 4 5 Very dissatisfied Dissatisfied Neutral Satisfied Very satisfied 42. How satisfied are you if the value added services can be customized for your usage requirements? 1 2 3 4 5 Very dissatisfied Dissatisfied Neutral Satisfied Very satisfied Overall customer satisfaction 43. How satisfied are you with the overall quality of your mobile service? 1 2 3 4 5 Very dissatisfied Dissatisfied Neutral Satisfied Very satisfied 44. Please specify the reasons for your response to question no. 41 or any additional comments? 1) ___________________________________________________________________ _________________________________________________________________ 2) ___________________________________________________________________ _________________________________________________________________ Customer focus of wireless telecom companies in India Page 119
  • 142.
    APPENDIX 3) ___________________________________________________________________ _________________________________________________________________ General information 45.Have you been informed in writing, at the time of subscription of service or within a week of activation of service the complete details of your tariff plan? 1 Yes 2 No 46. Have you terminated you mobile phone connection in the last 12 months? 1 Yes 2 No If no, please skip to question number 49, otherwise continue. 47. If yes, please name your previous service provider? __________________________________________________________________ 48. If yes please specify the reasons for your response to question no. 46? 1) ___________________________________________________________________ _________________________________________________________________ 2) ___________________________________________________________________ _________________________________________________________________ 3) ___________________________________________________________________ _________________________________________________________________ Customer focus of wireless telecom companies in India Page 120
  • 143.
    APPENDIX 49. How manydays were taken by previous service provider for termination of your mobile phone connection? 1 2 3 4 5 1 day 1-3 days 3-7 days Greater than 7 days Don‘t remember 50. Did your service provider adjust your security deposit in the bill raised after you requested for termination? 1 Yes 2 No 51. Have you registered your mobile number for the Do Not Call (DNC) registry with your service provider so that you do not receive unsolicited commercial calls/SMS? 1 Yes 2 No If yes, than please continue, or else stop here. 52. Do you still receive unsolicited commercial calls/SMS and whether there has been any change in the frequency of such calls/SMS? 1 2 3 4 Continued receiving Slight decrease Considerable decrease Stopped receiving 53. Have you made any complaint to your service provider on getting such unsolicited calls/SMS after registering for the National Do Not Call (DNC) registry? 1 Yes 2 No Customer focus of wireless telecom companies in India Page 121
  • 144.
    APPENDIX If no, pleaseskip to question number 55, otherwise continue. 54. Please indicate the outcome of your complaint? 1 Compliant was registered by the service provider 2 Service provider refused to register the complaint 55. Please tell me the telephone number and the company/agency from which the unsolicited calls/SMS were received? _________________________________________________________________________ _________________________________________________________________________ ____________________________________________________ Customer focus of wireless telecom companies in India Page 122
  • 145.
    APPENDIX 8.2 Tables Table 36:Descriptives of Oneway ANOVA test between operators from survey Descriptives OVLQUAL 95% Confidence Interval for Mean N Mean Std. Deviation Std. Error Lower Bound Upper Bound Minimum Maximum 1 43 3.6977 .98886 .15080 3.3933 4.0020 .00 5.00 2 33 3.3030 1.21153 .21090 2.8734 3.7326 .00 4.00 3 8 3.7500 .46291 .16366 3.3630 4.1370 3.00 4.00 4 6 3.1667 1.94079 .79232 1.1299 5.2034 .00 5.00 5 6 3.5000 .83666 .34157 2.6220 4.3780 2.00 4.00 7 10 3.8000 .42164 .13333 3.4984 4.1016 3.00 4.00 106 3.5472 1.06128 .10308 3.3428 3.7516 .00 5.00 Total Table 37: Games-Howell test for post-hoc analysis Multiple Comparisons OVLQUAL Games-Howell (I) (J) 95% Confidence Interval OPERA OPERA Mean Difference TOR TOR (I-J) Std. Error Sig. Lower Bound 1 2 .39464 .25927 .652 -.3682 1.1575 3 -.05233 .22255 1.000 -.7474 .6428 4 .53101 .80655 .980 -2.8124 3.8745 5 .19767 .37337 .993 -1.2110 1.6063 7 -.10233 .20129 .996 -.7093 .5046 Customer focus of wireless telecom companies in India Upper Bound Page 123
  • 146.
    APPENDIX 2 -1.1575 .3682 -.44697 .26695 .558 -1.2574 .3634 .13636 .81991 1.000 -3.1805 3.4532 -.19697 .40143 .995 -1.6117 1.2178 7 -.49697 .24951 .365 -1.2436 .2496 1 .05233 .22255 1.000 -.6428 .7474 2 .44697 .26695 .558 -.3634 1.2574 4 .58333 .80905 .971 -2.7560 3.9226 5 .25000 .37875 .981 -1.1689 1.6689 7 -.05000 .21110 1.000 -.7395 .6395 1 -.53101 .80655 .980 -3.8745 2.8124 2 -.13636 .81991 1.000 -3.4532 3.1805 3 -.58333 .80905 .971 -3.9226 2.7560 5 -.33333 .86281 .998 -3.6317 2.9651 7 -.63333 .80346 .959 -3.9844 2.7178 1 -.19767 .37337 .993 -1.6063 1.2110 2 .19697 .40143 .995 -1.2178 1.6117 3 -.25000 .37875 .981 -1.6689 1.1689 4 .33333 .86281 .998 -2.9651 3.6317 7 -.30000 .36667 .954 -1.7174 1.1174 1 .10233 .20129 .996 -.5046 .7093 2 .49697 .24951 .365 -.2496 1.2436 3 .05000 .21110 1.000 -.6395 .7395 4 .63333 .80346 .959 -2.7178 3.9844 5 7 .652 5 5 .25927 4 4 -.39464 3 3 1 .30000 .36667 .954 -1.1174 1.7174 Customer focus ofwireless telecom companies in India Page 124
  • 147.
    APPENDIX Table 38:‎Tukey’s‎test‎for‎homogeneous‎grouping‎of‎means Subset foralpha = 0.05 OPERATOR N 1 4 6 3.1667 2 33 3.3030 5 6 3.5000 1 43 3.6977 3 8 3.7500 7 10 3.8000 Sig. .775 Means for groups in homogeneous subsets are displayed. a. Uses Harmonic Mean Sample Size = 9.806. b. The group sizes are unequal. The harmonic mean of the group sizes is used. Type I error levels are not guaranteed. Table 39: Descriptives of ANOVA TRAI operator-wise Descriptives OVLQUAL 95% Confidence Interval for Mean BetweenStd. N Mean Deviation Std. Lower Upper Error Bound Bound Component Minimum Maximum Variance 1.00 9 3.0667 .47011 .15670 2.7053 3.4280 2.32 3.95 2.00 22 3.1132 .25203 .05373 3.0014 3.2249 2.67 3.90 3.00 22 3.0155 .27779 .05923 2.8923 3.1386 2.56 3.92 4.00 10 3.0210 .14791 .04677 2.9152 3.1268 2.71 3.19 5.00 22 3.0218 .28319 .06038 2.8963 3.1474 2.62 3.94 Customer focus of wireless telecom companies in India Page 125
  • 148.
    APPENDIX 6.00 19 3.0547 .15079 .03459 2.9821 3.1274 2.65 3.32 7.00 163.0844 .11838 .02959 3.0213 3.1475 2.89 3.37 8.00 5 3.1220 .12153 .05435 2.9711 3.2729 2.98 3.24 Total 125 3.0570 .24534 .02194 3.0135 3.1004 2.32 3.95 .24948 .02231 3.0128 3.1012 Model Fixed Effects Random .02231 a 3.0042 a 3.1097 a -.00238 Effects a. Warning: Between-component variance is negative. It was replaced by 0.0 in computing this random effects measure. Table 40: Tukey's test for ANOVA TRAI operator-wise OVLQUAL Subset for alpha = 0.05 OPERA TOR Tukey HSD a,,b N 1 3.00 22 3.0155 4.00 10 3.0210 5.00 22 3.0218 6.00 19 3.0547 1.00 9 3.0667 7.00 16 3.0844 2.00 22 3.1132 8.00 5 3.1220 Sig. .966 Means for groups in homogeneous subsets are displayed. a. Uses Harmonic Mean Sample Size = 12.074. Customer focus of wireless telecom companies in India Page 126
  • 149.
    APPENDIX OVLQUAL Subset for alpha =0.05 OPERA TOR Tukey HSD a,,b N 1 3.00 22 3.0155 4.00 10 3.0210 5.00 22 3.0218 6.00 19 3.0547 1.00 9 3.0667 7.00 16 3.0844 2.00 22 3.1132 8.00 5 3.1220 Sig. .966 Means for groups in homogeneous subsets are displayed. a. Uses Harmonic Mean Sample Size = 12.074. b. The group sizes are unequal. The harmonic mean of the group sizes is used. Type I error levels are not guaranteed. Table 41: Comparison of satisfaction scores of TRAI survey, survey and TRAI benchmark DETAILS TRAI DATA1 SURVEY DATA TRAI BENCHMARK OVERALL CSAC2 SCORE 70.43% 68.93% 95% SERVICE PROVISION CSAC SCORE 72.43% 69.27% 95% Satisfaction with time taken to provide new connection 1 2 69.27% Data from the survey done for the year 2008-09 and has been consolidated across India. Customer Satisfaction Customer focus of wireless telecom companies in India Page 127
  • 150.
    APPENDIX Satisfaction with re-activation PREPAIDBILLING CSAC SCORE 42.59% 71.05% 58.06% 66.96% 90% 63.61% 95% 53.38% 95% 58.06% Tariff customization 90% 55.04% Accuracy of charges 90% 73.36% POSTPAID BILLING CSAC SCORE 69.49% Accuracy of bills 69.77% Timely delivery of bills 73.17% Payment process for bills 74.42% Tariff customization 73.17% Bill payment customization 74.42% Billing complaint resolution process 50.96% Clarity of bills 66.46% CUSTOMER CARE CSAC SCORE 66.92% Ease of access 55.83% Time to respond 56.07% Problem solving ability 53.68% Time to resolve complaint 54.13% Customer complaint process 55.53% NETWORK PERFORMANCE CSAC SCORE 72.25% Local network 63.86% Travel network 60.89% Problem resolution regarding network 50.25% Call ability 67.93% SMS ability 71.78% Voice quality 66.33% Call/SMS during peak hours 64.25% VALUE ADDED SERVICES CSAC SCORE 69.00% VAS quality Customer focus of wireless telecom companies in India 59.24% Page 128
  • 151.
    APPENDIX VAS charges 47.53% VAS customization 65.72% CUSTOMIZATIONSCORES 71.67% Tariff customization-prepaid 73.36% Tariff customization-postpaid 73.17% Bill payment customization-postpaid 74.42% VAS customization 65.72% Table 42: TRAI data on customer satisfaction with provision of service CIRCLE TRAI BENCHMARK 2001-02 2003-04 2006 2007 2008-09 93% 96% 97.00% 90.00% 83.00% AP 95.00% ASSAM 95.00% 99.00% 83.00% 67.00% BIHAR 95.00% 86.00% 75.50% 65.00% CHENNAI 95.00% 96% 96% 98.00% 89.50% 81.00% DELHI 95.00% 96% 96% 100.00% 88.50% 77.00% GUJARAT 95.00% 93% 98.00% 85.50% 73.00% HARYANA 95.00% 98% 89.00% 81.30% 73.60% HP 95.00% 89% 88.00% 70.05% 52.10% J&K 95.00% 87.00% 84.10% 81.20% KARNATAKA 95.00% 88% 100.00% 91.50% 83.00% KERALA 95.00% 89% 100.00% 100.00% KOLKATA 95.00% 94% 97.00% 83.50% 70.00% MAHARASHTRA 95.00% 90% 94.00% 83.50% 73.00% MP 95.00% 82% 98.00% 83.50% 69.00% MUMBAI 95.00% 90% 95.00% 81.00% 67.00% NE 95.00% 73.00% 73.00% ORISSA 95.00% 98.00% 89.50% 81.00% PUNJAB 95.00% 100.00% 87.80% 75.60% RAJASTHAN 95.00% 96.00% 80.60% 65.20% TAMILNADU 95.00% 100.00% 87.00% 74.00% UP EAST 95.00% 91.00% 81.65% 72.30% UP WEST 95.00% 94.00% 82.70% 71.40% WEST BENGAL 95.00% 99.00% 82.50% 66.00% 95.64% 84.14% 72.43% OVERALL CSAC SCORE 100% 93% 90% 94% 96% 98% 94.67% 92.60% Customer focus of wireless telecom companies in India Page 129
  • 152.
    APPENDIX TRAI BENCHMARK 85.00% 95.00% 95.00% 95.00% 95.00% Table 43:TRAI data on customer satisfaction with postpaid billing performance CIRCLE TRAI BENCHMARK 2001-02 2003-04 2006 2007 2008-09 88% 90% 100% 91.50% 83.00% AP 90.00% ASSAM 90.00% 58.00% 66.00% 74.00% BIHAR 90.00% 90.00% 76.50% 63.00% CHENNAI 90.00% 92% 90% 82% 81.50% 81.00% DELHI 90.00% 87% 91% 82% 74.00% 66.00% GUJARAT 90.00% 90% 80% 74.50% 69.00% HARYANA 90.00% 89% 87.00% 76.85% 66.70% HP 90.00% 80% 97.00% 81.35% 65.70% J&K 90.00% 89.00% 78.50% 68.00% KARNATAKA 90.00% 84% 100% 87.50% 75.00% KERALA 90.00% 76% 100.00% 100.00% KOLKATA 90.00% 77% 81% 71.50% 62.00% MAHARASHTRA 90.00% 83% 100.00% 85.00% 70.00% MP 90.00% 80% 100.00% 84.00% 68.00% MUMBAI 90.00% 80% 99.00% 81.00% 63.00% NE 90.00% 64.00% 64.00% ORISSA 90.00% 78.00% 78.50% 79.00% PUNJAB 90.00% 98.00% 84.35% 70.70% RAJASTHAN 90.00% 84.00% 76.45% 68.90% TAMILNADU 90.00% 99.00% 83.50% 68.00% UP EAST 90.00% 92.00% 80.15% 68.30% UP WEST 90.00% 90.00% 78.20% 66.40% WEST BENGAL 90.00% 100.00% 84.50% 69.00% 67% 90% 79% 90% 84% 87% OVERALL CSAC SCORE 83.83% 84.73% 90.27% 79.97% 69.49% TRAI BENCHMARK 85.00% 90.00% 90.00% 90.00% 90.00% Table 44: TRAI data on customer satisfaction with prepaid billing performance CIRCLE TRAI BENCHMARK 2001-02 2003-04 2006 2007 2008-09 88% 90% 100% 90.50% 81.00% AP 90.00% ASSAM 90.00% 98.00% 83.00% 68.00% BIHAR 90.00% 85.00% 74.00% 63.00% CHENNAI 90.00% 97% 88.50% 80.00% 92% 90% Customer focus of wireless telecom companies in India Page 130
  • 153.
    APPENDIX DELHI 90.00% GUJARAT 87% 91% 98% 83.80% 69.60% 90.00% 90% 74% 72.00% 70.00% HARYANA 90.00% 89% 91.00% 80.15% 69.30% HP 90.00% 80% 98.00% 82.85% 67.70% J&K 90.00% 97.00% 90.35% 83.70% KARNATAKA 90.00% 84% 100% 89.50% 79.00% KERALA 90.00% 76% 100.00% 100.00% KOLKATA 90.00% 77% 91% 78.00% 65.00% MAHARASHTRA 90.00% 83% 92.00% 81.00% 70.00% MP 90.00% 80% 100.00% 84.00% 68.00% MUMBAI 90.00% 80% 98% 82.50% 67.00% NE 90.00% 72.00% 72.00% ORISSA 90.00% 89.00% 81.50% 74.00% PUNJAB 90.00% 99.00% 86.25% 73.50% RAJASTHAN 90.00% 90.00% 79.45% 68.90% TAMILNADU 90.00% 99.00% 86.00% 73.00% UP EAST 90.00% 77.00% 74.05% 71.10% UP WEST 90.00% 99.00% 82.70% 66.40% WESTBENGAL 90.00% 98.00% 80.50% 63.00% 67% 90% 79% 90% 84% 87% OVERALL CSAC SCORE 83.83% 84.73% 94.09% 82.72% 71.05% TRAI BENCHMARK 85.00% 90.00% 90.00% 90.00% 90.00% Table 45: TRAI data on customer satisfaction with help services CIRCLE TRAI BENCHMARK 2001-02 2003-04 2006 2007 2008-09 92% 92% 64% 71.00% 78.00% AP 90.00% ASSAM 90.00% 78.00% 69.50% 61.00% BIHAR 90.00% 65.00% 60.00% 55.00% CHENNAI 90.00% 96% 92% 61.00% 70.50% 80.00% DELHI 90.00% 89% 91% 86.00% 76.10% 66.20% GUJARAT 90.00% 89% 74% 69.50% 65.00% HARYANA 90.00% 93% 70.00% 69.00% 68.00% HP 90.00% 79% 67.00% 65.90% 64.80% J&K 90.00% 62.00% 68.20% 74.40% KARNATAKA 90.00% 86% 61% 70.00% 79.00% KERALA 90.00% 82% 60.00% 60.00% KOLKATA 90.00% 80% 69% 63.50% 58.00% MAHARASHTRA 90.00% 81% 66.00% 65.00% 64.00% 78% 90% 81% Customer focus of wireless telecom companies in India Page 131
  • 154.
    APPENDIX MP 90.00% 88% 76.00% 70.00% 64.00% MUMBAI 90.00% 79% 68.00% 64.00% 60.00% NE 90.00% 61.00% 61.00% ORISSA 90.00% 68.00% 65.00% 62.00% PUNJAB 90.00% 69.00% 70.70% 72.40% RAJASTHAN 90.00% 64.00% 68.60% 73.20% TAMILNADU 90.00% 60.00% 63.00% 66.00% UP EAST 90.00% 68.00% 71.15% 74.30% UP WEST 90.00% 70.00% 69.95% 69.90% WESTBENGAL 90.00% 72.00% 64.00% 56.00% 86% 89% 91% OVERALL CSAC SCORE 87.67% 86.53% 68.09% 67.20% 66.92% TRAI BENCHMARK 85.00% 90.00% 90.00% 90.00% 90.00% Table 46: TRAI data on customer satisfaction with network performance, reliability and availability CIRCLE TRAI BENCHMARK 2001-02 2003-04 2006 2007 2008-09 88% 93% 91% 86.00% 81.00% AP 95.00% ASSAM 95.00% 73.00% 72.50% 72.00% BIHAR 95.00% 53.00% 59.00% 65.00% CHENNAI 95.00% 85% 93% 73% 76.50% 80.00% DELHI 95.00% 90% 93% 90% 80.80% 71.60% GUJARAT 95.00% 89% 60% 63.00% 66.00% HARYANA 95.00% 91% 89.00% 79.75% 70.50% HP 95.00% 83% 89.00% 78.50% 68.00% J&K 95.00% 66.00% 81.20% 96.40% KARNATAKA 95.00% 84% 74% 76.00% 78.00% KERALA 95.00% 76% 99.00% 99.00% KOLKATA 95.00% 78% 73% 65.50% 58.00% MAHARASHTRA 95.00% 82% 82.00% 73.50% 65.00% MP 95.00% 81% 86.00% 75.50% 65.00% MUMBAI 95.00% 79% 88% 74.00% 60.00% NE 95.00% 75.00% 75.00% ORISSA 95.00% 72.00% 75.50% 79.00% PUNJAB 95.00% 96.00% 86.40% 76.80% RAJASTHAN 95.00% 87.00% 79.15% 71.30% TAMILNADU 95.00% 58.00% 65.50% 73.00% UP EAST 95.00% 76.00% 77.50% 79.00% 89% 88% 68% 88% 90% Customer focus of wireless telecom companies in India Page 132
  • 155.
    APPENDIX UP WEST 95.00% WEST BENGAL 91% 79.00% 95.00% 76.95% 74.90% 65.00% 64.50% 64.00% OVERALLCSAC SCORE 84.67% 86.07% 78.14% 75.71% 72.25% TRAI BENCHMARK 85.00% 95.00% 95.00% 95.00% 95.00% Table 47: TRAI data on customer satisfaction with maintainability CIRCLE TRAI BENCHMARK 2001-02 2003-04 2006 2007 2008-09 84% 91% 80% 80.50% 81.00% AP 95.00% ASSAM 95.00% 76.00% 74.50% 73.00% BIHAR 95.00% 96.00% 80.50% 65.00% CHENNAI 95.00% 90% 91% 76% 78.50% 81.00% DELHI 95.00% 85% 89% 68% 69.25% 70.50% GUJARAT 95.00% 85% 88% 77.50% 67.00% HARYANA 95.00% 92% 73.00% 72.10% 71.20% HP 95.00% 77% 100.00% 83.20% 66.40% J&K 95.00% 76.00% 84.40% 92.80% KARNATAKA 95.00% 77.00% 77.00% KERALA 95.00% KOLKATA 95.00% MAHARASHTRA 95.00% 71% MP 95.00% 59% MUMBAI 95.00% 75% NE 95.00% ORISSA 95.00% PUNJAB 95.00% RAJASTHAN 95.00% TAMILNADU 95.00% UP EAST 95.00% UP WEST 95.00% WEST BENGAL 95.00% 86% 90% 83% 76% 100.00% 71% 78% 72.50% 67.00% 66.00% 66.00% 81.00% 73.00% 65.00% 80% 71.00% 62.00% 78.00% 78.00% 82.00% 79.00% 76.00% 90.00% 81.45% 72.90% 86.00% 78.70% 71.40% 100% 87.00% 74.00% 71.00% 74.10% 77.20% 58.00% 63.15% 68.30% 88.00% 73% 100.00% 76.00% 64.00% 86% 86% 79% OVERALL CSAC SCORE 84.67% 80.73% 82.35% 77.28% 72.12% TRAI BENCHMARK 85.00% 95.00% 95.00% 95.00% 95.00% Table 48: TRAI data on customer satisfaction with offered supplementary services CIRCLE TRAI BENCHMARK 2001-02 2003-04 Customer focus of wireless telecom companies in India 2006 2007 2008-09 Page 133
  • 156.
    APPENDIX AP 95.00% ASSAM 96% 86.00% 76.00% 95.00% 98.00% 82.00% 66.00% BIHAR 95.00% 97.00% 81.50% 66.00% CHENNAI 95.00% 95% 87% 98% 86.00% 74.00% DELHI 95.00% 92% 94% 100% 83.35% 66.70% GUJARAT 95.00% 95% 98% 85.00% 72.00% HARYANA 95.00% 93% 71.00% 71.55% 72.10% HP 95.00% 87% 72.00% 62.65% 53.30% J&K 95.00% 100.00% 93.50% 87.00% KARNATAKA 95.00% 84% 95% 81.50% 68.00% KERALA 95.00% 84% 100.00% 100.00% KOLKATA 95.00% 82% 98% 80.00% 62.00% MAHARASHTRA 95.00% 86% 91% 82.50% 74.00% MP 95.00% 93% 88.00% 76.50% 65.00% MUMBAI 95.00% 83% 98% 83.50% 69.00% NE 95.00% 74.00% 74.00% ORISSA 95.00% 95.00% 81.00% 67.00% PUNJAB 95.00% 99.00% 82.85% 66.70% RAJASTHAN 95.00% 92.00% 79.45% 66.90% TAMILNADU 95.00% 100% 85.00% 70.00% UP EAST 95.00% 92.00% 79.35% 66.70% UP WEST 95.00% 96.00% 81.35% 66.70% WESTBENGAL 95.00% 97.00% 79.00% 61.00% OVERALL SCORE 87% 95% 95% 96% 87% 91% 89% 88% CSAC TRAI BENCHMARK 92.00% 88.73% 94.14% 81.63% 69.00% 85.00% 95.00% 95.00% 95.00% 95.00% Table 49: TRAI data on customer satisfaction with overall quality of service CIRCLE TRAI BENCHMARK 2001-02 2003 2006 2007 2008-09 85.00% 93.00% 91.00% 83.00% 75.00% AP 95.00% ASSAM 95.00% 86.00% 79.00% 72.00% BIHAR 95.00% 78.00% 72.00% 66.00% CHENNAI 95.00% 87.00% 93.00% 85% 83.00% 81.00% DELHI 95.00% 85.00% 91.00% 93% 82.05% 71.10% GUJARAT 95.00% 91.00% 78.00% 70.50% 63.00% HARYANA 95.00% 88.00% 82.00% 76.65% 71.30% HP 95.00% 75.00% 85.00% 70.35% 55.70% 78.00% Customer focus of wireless telecom companies in India Page 134
  • 157.
    APPENDIX J&K 95.00% 82.00% 89.30% 96.60% KARNATAKA 95.00% 86.00% 79.50% 73.00% KERALA 95.00% 83.00% 98.00% 98.00% KOLKATA 95.00% 73.00% 83% 74.50% 66.00% MAHARASHTRA 95.00% 76.00% 86% 74.00% 62.00% MP 95.00% 80.00% 90.00% 75.50% 61.00% MUMBAI 95.00% 86.00% 91% 77.50% 64.00% NE 95.00% 83.00% 76.00% 76.00% ORISSA 95.00% 82.00% 77.00% 72.00% PUNJAB 95.00% 92.00% 83.30% 74.60% RAJASTHAN 95.00% 86.00% 79.00% 72.00% TAMILNADU 95.00% 82% 77.50% 73.00% UP EAST 95.00% 83.00% 77.75% 72.50% UP WEST 95.00% 87.00% 78.30% 69.60% WESTBENGAL 95.00% 89.00% 84.00% 73.00% 62.00% 90.00% 66.00% 84.00% 83.00% OVERALL CSAC SCORE 81.83% 84.53% 85.91% 78.55% 70.43% TRAI BENCHMARK 85.00% 95.00% 95.00% 95.00% 95.00% Table 50: Comparison of satisfaction scores of TRAI survey, survey and TRAI benchmark for Airtel DETAILS TRAI DATA3 SURVEY DATA TRAI BENCHMARK OVERALL CSAC SCORE 70.43% 71.95% 95% SERVICE PROVISION CSAC SCORE 72.43% 69.77% 95% 53.57% 90% Satisfaction with time taken to provide new connection 69.77 % Satisfaction with re-activation 42.44 % PREPAID BILLING CSAC SCORE 71.05% Accuracy of charges 53.57 % Tariff customization 77.38 % 3 Data from the survey done for the year 2008-09 and has been consolidated across India. Customer focus of wireless telecom companies in India Page 135
  • 158.
    APPENDIX POSTPAID BILLING CSACSCORE 69.49% 62.84% 56.79% 70.24 % Payment process for bills 72.73 % Tariff customization 67.86 % Bill payment customization 77.27 % Billing complaint resolution process 41.67 % Clarity of bills 95% 67.05 % Timely delivery of bills 90% 69.24% Accuracy of bills 90% 62.50 % CUSTOMER CARE CSAC SCORE 66.92% Ease of access 51.25 % Time to respond 58.75 % Problem solving ability 57.05 % Time to resolve complaint 56.88 % Customer complaint process 60.00 % NETWORK PERFORMANCE CSAC SCORE 72.25% Local network 70.73 % Travel network 67.07 % Problem resolution regarding network 52.44 % Call ability 75.00 % SMS ability 75.61 Customer focus of wireless telecom companies in India Page 136
  • 159.
    APPENDIX % Voice quality 73.72 % Call/SMS duringpeak hours 70.12 % VALUE ADDED SERVICES CSAC SCORE 69.00% 55.56% VAS quality 62.50 % VAS charges 48.61 % VAS customization 95% 67.50 % CUSTOMIZATION SCORES 72.50% Tariff customization-prepaid 77.38 % Tariff customization-postpaid 67.86 % Bill payment customization-postpaid 77.27 % VAS customization 67.50 % Table 51: Descriptive statistics of factor analysis of Airtel postpaid customers Descriptive Statistics Mean Std. Deviation Analysis N AQRCN 4.0500 .60481 20 REACT 2.6000 1.75919 20 ACCBL 3.6000 .99472 20 TIMBL 3.6500 1.38697 20 PAYBL 3.9000 .91191 20 TRFCZ 3.5000 1.31789 20 Customer focus of wireless telecom companies in India Page 137
  • 160.
  • 161.
    APPENDIX PAYBL 1.000 .938 TRFCZ 1.000 .929 BILCZ 1.000 .886 BILCM 1.000 .721 BILCL 1.000 .896 CCACS 1.000 .617 CCRST 1.000 .832 CCPSL 1.000 .929 CCRSC 1.000 .804 RSCPP 1.000 .854 NSAVL 1.000 .897 NSMOV 1.000 .813 NSPSA 1.000 .837 MKCAL 1.000 .943 MKSMS 1.000 .956 VCQUL 1.000 .752 MCLSM 1.000 .759 VASQL 1.000 .790 VASCG 1.000 .724 VASCZ 1.000 .948 OVLQL 1.000 .770 Extraction Method: PrincipalComponent Analysis. Table 53: Factor analysis of Airtel postpaid customers Total Variance Explained Extraction Sums of Squared Component Initial Eigenvalues Rotation Sums of Squared Loadings Loadings Customer focus of wireless telecom companies in India Page 139
  • 162.
    APPENDIX % of Total Cumulative Variance % % of Total Cumulative Variance % %of Total Cumulative Variance % 1 7.671 30.686 30.686 7.671 30.686 30.686 5.748 22.991 22.991 2 4.090 16.362 47.047 4.090 16.362 47.047 3.574 14.296 37.288 3 2.877 11.508 58.556 2.877 11.508 58.556 3.549 14.198 51.485 4 2.109 8.436 66.992 2.109 8.436 66.992 2.338 9.351 60.837 5 1.768 7.074 74.066 1.768 7.074 74.066 2.062 8.249 69.085 6 1.240 4.961 79.028 1.240 4.961 79.028 2.062 8.248 77.333 7 1.154 4.616 83.644 1.154 4.616 83.644 1.578 6.310 83.644 8 .906 3.626 87.269 9 .821 3.284 90.554 10 .590 2.362 92.916 11 .521 2.086 95.002 12 .378 1.511 96.513 13 .237 .947 97.460 14 .225 .901 98.362 15 .171 .685 99.047 16 .100 .402 99.448 17 .064 .256 99.705 18 .051 .202 99.907 19 .023 .093 100.000 3.855E- 1.542E-15 100.000 20 16 21 2.062E- 8.249E-16 100.000 16 22 1.194E- 4.775E-16 100.000 16 Customer focus of wireless telecom companies in India Page 140
  • 163.
    APPENDIX 23 16 -2.049E- -8.197E- 16 16 -2.601E- -1.040E- 16 25 -3.395E- 17 24 -8.487E- 100.000 15 100.000 100.000 Extraction Method: PrincipalComponent Analysis. Table 54: Descriptive statistics for factor analysis of Airtel prepaid cusotmers Descriptive Statistics Mean Std. Deviation Analysis N AQRCN 3.6000 1.42902 20 REACT 2.9500 1.87715 20 BILCG 3.2000 .95145 20 TRFCZ 4.1000 1.25237 20 CCACS 2.7500 1.71295 20 CCRST 2.9000 1.48324 20 CCPSL 2.8500 1.63111 20 CCRSC 2.9000 1.51831 20 RSCPP 2.9500 1.60509 20 NSAVL 3.8500 .98809 20 NSMOV 3.7500 .91047 20 NSPSA 3.0000 1.41421 20 MKCAL 3.8000 1.15166 20 MKSMS 3.9500 1.05006 20 VCQUL 3.7000 1.49032 20 MCLSM 3.9000 .96791 20 VASQL 2.7000 1.78001 20 Customer focus of wireless telecom companies in India Page 141
  • 164.
    APPENDIX VASCG 2.3500 1.66307 20 VASCZ 3.5000 1.50438 20 OVLQL 3.9500 .60481 20 Table 55: RotatedComponent Matrix for factor analysis for Airtel postpaid customers Rotated Component Matrix a Component 1 2 NSAVL .768 ACCBL 7 .838 MCLSM 6 .853 BILCL 5 .885 NSMOV 4 .886 MKCAL 3 .700 REACT CCACS VASCZ .950 RSCPP .751 VASQL .638 MKSMS OVLQL PAYBL .918 BILCZ .868 TIMBL .865 TRFCZ CCRSC .613 .644 .826 Customer focus of wireless telecom companies in India Page 142
  • 165.
    APPENDIX CCPSL .698 BILCM .802 VASCG .786 CCRST .846 VCQUL .654 AQRCN .891 NSPSA .740 Extraction Method: PrincipalComponent Analysis. Rotation Method: Varimax with Kaiser Normalization. a. Rotation converged in 8 iterations. Table 56: Correlations between the factors selected for regression analysis for Airtel postpaid customers Correlations OVERALL_QU CRITIC CUSTOMIZA BILLI CUST_SER SATISFAC DELIG EXT ALITY Pearso OVERALL_QU AL TION NG VICE TION HT RA .457 .632 .580 .379 .089 -.007 .249 CRITICAL .457 1.000 .341 .339 .510 .275 .213 .513 CUSTOMIZATI .632 .341 1.000 .484 .339 .121 .269 .018 BILLING .580 .339 .484 1.000 .020 -.076 .123 .176 CUST_SERVI n 1.000 .379 .510 .339 .020 1.000 .546 .350 .085 .089 .275 .121 -.076 .546 1.000 .069 .014 -.007 .213 .269 .123 .350 .069 1.000 -.084 .249 .513 .018 .176 .085 .014 ALITY Correlat ion ON CE SATISFACTIO N DELIGHT EXTRA -.084 1.00 0 Customer focus of wireless telecom companies in India Page 143
  • 166.
    APPENDIX Sig. (1- OVERALL_QU .019 .001 .003 .045 .351 .487.138 CRITICAL .019 . .065 .066 .009 .114 .177 .009 CUSTOMIZATI .001 .065 . .013 .066 .301 .119 .469 BILLING .003 .066 .013 . .465 .372 .297 .223 CUST_SERVI .045 .009 .066 .465 . .005 .060 .356 .351 .114 .301 .372 .005 . .383 .477 DELIGHT .487 .177 .119 .297 .060 .383 . .358 EXTRA .138 .009 .469 .223 .356 .477 .358 . 21 21 21 21 21 21 21 21 CRITICAL 21 21 21 21 21 21 21 21 CUSTOMIZATI 21 21 21 21 21 21 21 21 BILLING 21 21 21 21 21 21 21 21 CUST_SERVI 21 21 21 21 21 21 21 21 21 21 21 21 21 21 21 21 DELIGHT 21 21 21 21 21 21 21 21 EXTRA tailed) . 21 21 21 21 21 21 21 21 ALITY ON CE SATISFACTIO N N OVERALL_QU ALITY ON CE SATISFACTIO N Table 57: Communalities of factor analysis of Airtel prepaid customers Communalities Initial AQRCN 1.000 Extraction .565 Customer focus of wireless telecom companies in India Page 144
  • 167.
  • 168.
    APPENDIX % of Total Cumulative Variance % % of Total Cumulative Variance % %of Total Cumulative Variance % 1 6.931 34.654 34.654 6.931 34.654 34.654 4.911 24.556 24.556 2 3.062 15.311 49.965 3.062 15.311 49.965 3.765 18.826 43.382 3 2.380 11.900 61.865 2.380 11.900 61.865 2.911 14.553 57.936 4 1.895 9.474 71.339 1.895 9.474 71.339 2.583 12.917 70.852 5 1.361 6.804 78.142 1.361 6.804 78.142 1.458 7.290 78.142 6 .938 4.692 82.835 7 .871 4.355 87.189 8 .759 3.796 90.985 9 .517 2.587 93.572 10 .426 2.128 95.699 11 .355 1.774 97.473 12 .198 .990 98.463 13 .107 .535 98.998 14 .089 .445 99.444 15 .066 .328 99.772 16 .020 .098 99.870 17 .016 .079 99.948 18 .005 .027 99.975 19 .005 .025 100.000 20 -2.815E- -1.408E- 100.000 16 15 Extraction Method: Principal Component Analysis. Table 59: Rotated Component Matrix for factor analysis for Airtel prepaid customers Component Customer focus of wireless telecom companies in India Page 146
  • 169.
    APPENDIX 1 2 CCRSC .862 CCPSL .854 CCACS 5 .903 RSCPP 4 .930 CCRST 3 .837 AQRCN MCLSM .894 REACT .879 NSMOV .697 MKSMS .657 OVLQL .823 BILCG .640 TRFCZ .623 MKCAL NSAVL VASCG .921 VASQL .913 VASCZ .677 NSPSA .873 VCQUL Extraction Method: PrincipalComponent Analysis. Rotation Method: Varimax with Kaiser Normalization. a. Rotation converged in 6 iterations. Customer focus of wireless telecom companies in India Page 147
  • 170.
    APPENDIX Table 60: Correlationsbetween the factors selected for regression analysis for Airtel prepaid customers Correlations OVERALL_QUALI CUST_CA CALL_SMS_ABILI BILLIN TY Pearson OVERALL_QUALI RE TY G NETWORK_PE VAS RF 1.000 -.023 .652 .749 .071 -.265 -.023 1.000 .297 .030 .054 -.304 .652 .297 1.000 .406 -.214 Correlati TY on CUST_CARE CALL_SMS_ABILI TY .095 BILLING .749 .030 .406 1.000 .157 -.273 VAS .071 .054 -.095 .157 1.00 .068 0 NETWORK_PER -.265 -.304 -.214 -.273 .068 1.000 . .463 .001 .000 .386 .137 CUST_CARE .463 . .109 .452 .413 .103 CALL_SMS_ABILI .001 .109 . .042 .349 .190 BILLING .000 .452 .042 . .260 .129 VAS .386 .413 .349 .260 . .391 NETWORK_PER .137 .103 .190 .129 .391 . 19 19 19 19 19 19 CUST_CARE 19 19 19 19 19 19 CALL_SMS_ABILI 19 19 19 19 19 19 F Sig. tailed) (1- OVERALL_QUALI TY TY F N OVERALL_QUALI TY TY Customer focus of wireless telecom companies in India Page 148
  • 171.
  • 172.
  • 173.
    BIBLIOGRAPHY 9 BIBLIOGRAPHY ANDREFERENCES 1. Anderson, E. W., Fornell, C., & Rust, R. T. (1997). Customer satisfaction, productivity, and profitability: Differences between goods and services. Marketing Science , 129-145. 2. BNET Business Dictionary. (2009, May 11). Customer Focus Definition and additional resources from BNET. Retrieved October 21, 2009, from CBS Interactive Inc website: http://www.bnet.com 3. BNET Business Dictionary. (2009, May 11). Customer Satisfaction: Definition and additional resources from BNET. Retrieved October 21, 2009, from CBS Interactive Inc. website: http://www.bnet.com 4. Britt, P. (2005). CRM gets the call. Customer Relationship Management , 40-44. 5. Business SA. (2004, December 3). Customer Focus. pp. 1-9. 6. Callaghan, D. (2001, May 2). Fighting to keep users loyal. eweek , p. 33. 7. Chau, F. (2005). CRM: moving back to customer centricity. Telecom Asia , 30-32. 8. Datamonitor plc. (2009). Bharti Airtel Limited : Company Profile. New Delhi: Datamonitor plc. 9. Erevelles, S., Srinivasan, S., & Rangel, S. (2003). Consumer satisfaction for internet service providers: an analysis of underlying process. Information Technology and Management , 69-89. 10. Field, A. (2002). Discovering Statistics using SPSS for Windows. London: SAGE Publications Ltd. Customer focus of wireless telecom companies in India Page 150
  • 174.
    BIBLIOGRAPHY 11. Gerpott, T.J., Rams, W., & Schindler, A. (2001). Customer retention, loyalty, and satisfaction in the German mobile cellular telecommunications market. Telecommunications Policy , 249-269. 12. iSixSigma. (2002, November 1). Customer Focus. Retrieved November 14, 2009, from iSixSigma website: http://www.isixsigma.com 13. Kim, M. K., Park, M. C., & Jeong, D. H. (2004). The effects of customer satisfaction and switching barrier on customer loyalty in Korean mobile telecommunication services. Telecommunications Policy , 145-159. 14. Koivisto, M., & Urbaczewski, A. (2004). The relationship between quality of service perceived and delivered in mobile internet communications. Information Systems and e-Business Management , 309-323. 15. Kotler, P., Keller, K. L., Koshy, A., & Jha, M. (2007). Marketing Management - A South Asian Perspective. New Delhi: Dorling Kindersley (India) Pvt. Ltd. 16. Lai, T. L. (2004). Service quality and perceived value‘s impact on satisfaction, intention and usage of short message service (SMS). Information Systems Frontiers , 353-368. 17. Levine, S. (2002). Lessons in CRM. Telecom Asia , 38-42. 18. Lulla, S. (2009, November 14). How customer focus is helping Bajaj Auto, ITC cut deeper - dnaindia.com. Retrieved November 14, 2009, from Diligent Media Corporation website: http://www.dnaindia.com 19. Mani, S. (2008). Growth of India's Telecom Services (1991-2007): Can it Lead to Emergence of a Manufacturing Hub? Economic & Political Weekly , 40-46. 20. Marques de Sa, J. P. (2007). Applied Statistics using SPSS, STATISTICA, MATLAB and R. Berlin: Springer-Verlag Berlin Heidelberg. 21. Reserve Bank of India. (2008-09). Annual Report. Reserve Bank of India. Customer focus of wireless telecom companies in India Page 151
  • 175.
    BIBLIOGRAPHY 22. Rubin, J.(1994). Handbook of Usability Testing. New York: John Wiley & Sons. 23. SPSS. (2008, August 23). SPSS Statistics 17.0. SPSS. 24. Stalk, G., Evans, P., & Shulman, L. E. (1992). Competing Capabilities: The New Rules of Corporate Strategy. Harvard Business Review , 57-69. 25. Telecom Regulatory Authority of India. (2009). Quality of Service Assessment. Telecom Regulatory Authority of India. 26. Telecom Regulatory Authority of India. (2005, July 1). Telecom Regulatory Authority of India Notification. Telecom Regulatory Authority of India Notification . New Delhi, New Delhi, India: Telecom Regulatory Authority of India. 27. Telecom Regulatory Authority of India. (2009). The Indian Telecom Services Performance Indicators January-March 2009. New Delhi: Telecom Regulatory Authority of India. 28. Thyfault, M. (2001, April 2). Eliminating the Middle Man. Interactive Week , pp. 45-46. 29. Wright, L. T., Stone, M., & Abbott, J. (2002). The CRM imperative — Practice vs theory in the telecommunications industry. Journal of Database Marketing , 339349. Customer focus of wireless telecom companies in India Page 152