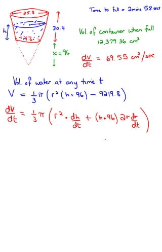
How fast is the depth of the water changing when the depth of the
water is 15 cm?
25.8 cm




                              30.4

h




          19.6




    When full, the volume of the truncated cone
    is 12, 379. 6 cm3.

    It took 2 mins and 58 seconds to fill the container so the container was being filled at a rate of




                      i.e
Related Rates

Finding the relationships between
different variables and the rates at which
these variables are changing.
Related Rate Problem Strategy




1. Draw a picture, naming all variables and constants.
   Use t for time and assume all variables are differentiable functions of t.



2. Write down all numerical information, in terms of your variables, stated
   in the problem.


3. Write down, in terms of your variables, what you are asked to find.



4. Write an equation that relates the variables.



5. Differentiate your equation with respect to t.



6. Evaluate the unknown rate using the known values.
The public observation platform from which to watch the
shuttle launch is three miles from the launch pad. Assume tha
the shuttle rises at an estimated speed of 583 feet per second.
How quickly is the angle of elevation changing
three seconds after the launch?




                                                                                       h




                     POP
                                                         3 miles                  LP




  GIVEN :




  FIND :                        when t = 3



 Notice: Miss - match of units with ft/sec and distance measured in miles.
         Shuttle travels 3(583) = 1749 ft in 3 seconds.



                                                                             see next page
h = 15840tanθ
              dh = dh dθ
              dt dθ dt
              dh = 15840sec2 θdθ
              dt         dt




                                                                                    what we want to find




 We are interested in dθ/dt when t = 3. Since the shuttle is moving at a speed of 583 ft/sec, it will
 be 583(3) = 1749 ft above the ground after 3 seconds and the situation will be as shown below.



                                                                           cosθ =   15840
                                      √(158402 + 17492)

h = 1749 ft                                                                         √(158402 + 17492)


                                                             θ

                                   15840 ft




                                       583 = 15840sec2θ dθ
                                                         dt




                                              dθ = 583 cos2 θ
                                              dt 15840
                                              dθ = 583       158402
                                              d
                                               t 15840 √158402 + 17492 )

                                              dθ = 0.0364 rad/sec
                                              dt
The radius of a sphere is increasing
at a constant rate of 0.5 inch/second.


a)When the radius of the sphere is 15 inches,
  at what rate is the volume of the sphere changing?




b) When the volume and the radius of the sphere are
changing at the same rate, what is the radius of the sphere?
The edges of a cube are increasing
at a rate of 2 cm/sec.


a) How fast is the volume of the cube increasing
when each edge is 5 cm long?




b) How fast is the surface area changing when
   each edge is 5 cm long?
A hot-air balloon rising straight up from
 a level field is tracked by a range finder
500 ft from the lift-off point. At the moment
the range finder's elevation angle is /4,
 the angle is increasing at the rate of
 0.14 rad/min. How fast is the balloon rising
 at that moment?
A police cruiser, approaching a right-angled                        image by lemoncat1



intersection from the north, is chasing a
speeding car that has turned the corner and
 is now moving east. When the cruiser is
 0.6 miles north of the intersection and the car is 0.8 miles to the east, the police
determine that the distance between them and the car is increasing at a rate of
20mph.
If the cruiser is moving at 60mph at the instant of measurement, what is the speed of
the car ?




                                                               when x = .8, y = .8 and
                                                               L = √((.8)2 + (.6)2 )
                                                                =1




      1(20) = .8 dx + .6( -60)
                 dt
       20 = .8 dx - 36
                dt

       56 = .8 dx
               dt

       56 = dx = 70 mph.
       .8   dt
Water runs into a conical tank at a rate of 9 ft3/min. The tank stands point
down and has a height of 10 ft and a base radius of 5 ft. How fast is the water
level rising when the water is 6 ft deep ?
HOMEWORK - 1st day Foerster P.177
s = distance between Hans Solo and the origin
         DV             v = distance between Darth Vader and the origin
                        L = distance between the spaceships


   v

               s         Given :
                   HS



                           Find :               when v = 1200 and s = 500


L2 = v2 + s2




                                      when v = 1200 and s= 500




                                    So distance between them is decreasing at a rate
                                    of approximately 15.4 km/min
Related rates
Related rates
Related rates
Related rates
Related rates
Related rates
Related rates
Related rates
Related rates
Related rates
Related rates
Related rates
Related rates
Related rates
Related rates
Related rates

Related rates

  • 1.
    How fast isthe depth of the water changing when the depth of the water is 15 cm?
  • 2.
    25.8 cm 30.4 h 19.6 When full, the volume of the truncated cone is 12, 379. 6 cm3. It took 2 mins and 58 seconds to fill the container so the container was being filled at a rate of i.e
  • 6.
    Related Rates Finding therelationships between different variables and the rates at which these variables are changing.
  • 7.
    Related Rate ProblemStrategy 1. Draw a picture, naming all variables and constants. Use t for time and assume all variables are differentiable functions of t. 2. Write down all numerical information, in terms of your variables, stated in the problem. 3. Write down, in terms of your variables, what you are asked to find. 4. Write an equation that relates the variables. 5. Differentiate your equation with respect to t. 6. Evaluate the unknown rate using the known values.
  • 8.
    The public observationplatform from which to watch the shuttle launch is three miles from the launch pad. Assume tha the shuttle rises at an estimated speed of 583 feet per second. How quickly is the angle of elevation changing three seconds after the launch? h POP 3 miles LP GIVEN : FIND : when t = 3 Notice: Miss - match of units with ft/sec and distance measured in miles. Shuttle travels 3(583) = 1749 ft in 3 seconds. see next page
  • 9.
    h = 15840tanθ dh = dh dθ dt dθ dt dh = 15840sec2 θdθ dt dt what we want to find We are interested in dθ/dt when t = 3. Since the shuttle is moving at a speed of 583 ft/sec, it will be 583(3) = 1749 ft above the ground after 3 seconds and the situation will be as shown below. cosθ = 15840 √(158402 + 17492) h = 1749 ft √(158402 + 17492) θ 15840 ft 583 = 15840sec2θ dθ dt dθ = 583 cos2 θ dt 15840 dθ = 583 158402 d t 15840 √158402 + 17492 ) dθ = 0.0364 rad/sec dt
  • 10.
    The radius ofa sphere is increasing at a constant rate of 0.5 inch/second. a)When the radius of the sphere is 15 inches, at what rate is the volume of the sphere changing? b) When the volume and the radius of the sphere are changing at the same rate, what is the radius of the sphere?
  • 11.
    The edges ofa cube are increasing at a rate of 2 cm/sec. a) How fast is the volume of the cube increasing when each edge is 5 cm long? b) How fast is the surface area changing when each edge is 5 cm long?
  • 12.
    A hot-air balloonrising straight up from a level field is tracked by a range finder 500 ft from the lift-off point. At the moment the range finder's elevation angle is /4, the angle is increasing at the rate of 0.14 rad/min. How fast is the balloon rising at that moment?
  • 13.
    A police cruiser,approaching a right-angled image by lemoncat1 intersection from the north, is chasing a speeding car that has turned the corner and is now moving east. When the cruiser is 0.6 miles north of the intersection and the car is 0.8 miles to the east, the police determine that the distance between them and the car is increasing at a rate of 20mph. If the cruiser is moving at 60mph at the instant of measurement, what is the speed of the car ? when x = .8, y = .8 and L = √((.8)2 + (.6)2 ) =1 1(20) = .8 dx + .6( -60) dt 20 = .8 dx - 36 dt 56 = .8 dx dt 56 = dx = 70 mph. .8 dt
  • 14.
    Water runs intoa conical tank at a rate of 9 ft3/min. The tank stands point down and has a height of 10 ft and a base radius of 5 ft. How fast is the water level rising when the water is 6 ft deep ?
  • 15.
    HOMEWORK - 1stday Foerster P.177
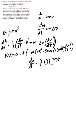
  • 23.
    s = distancebetween Hans Solo and the origin DV v = distance between Darth Vader and the origin L = distance between the spaceships v s Given : HS Find : when v = 1200 and s = 500 L2 = v2 + s2 when v = 1200 and s= 500 So distance between them is decreasing at a rate of approximately 15.4 km/min