,,, i.'-.',           :,.^ -;-,t:-:Li-:,-f Ll,r"-,
                                                    I




                                                .                    ;      '/                    ,
                                           i.   ,*   .., _.,:   .'   i-..   t  ..', 1".
                                                                                !.- ! ;."     ,
                                                      ,
                                                          .          ..i'           t-
                                                          'i '- '::'i
                                                          i




,r^i6 h,1,,?fuû*
          Ô     ={rrçz) = -!,æ,t- -rf +*i-                                  ?"

              ftvlh" ù (o',n    )
           3 m,i*i) N ryt,*/ ,6/yi ,ur,rJt*,dlë<{É,r{)
         /e tE!,^w G lr ('aW,A*- fu,
 f,r,,t^u,r{Ê   cirn tfta^A,e,}

                 /7"                           1^              ,, t               t
             ;,), +
                                                                                                      t
                                         (""ûh L/i"Jtu
         "'(                                                                                ".é"'fu

              6o=f,r") 3
             Xu -- Koaâx 4                       ùnft t ) 1Qo
                It - Xo -y 6a                             p, p^                                               ( pæ d/-,f2^C,r-t)
                                                                                "r"!t^ f*f"(
                                                           6"        '   7stafuw,t
                                                                                              d"4 ûwÊo
 Q
     (orr, kt,    - --, æ,) :$tx)
    Xo   r        X+
                        '   T, -p     G,             lv €lP, : pas cJn g>aoLe^[
     lq{r")
              'Q,
     9,û {hr "ç-l Lrr" ,hn -,ôrft.)(ôo
Q"u-l^m, "r) -..1*                       -0, (Jsrace*s KÆ*t -=f-ft -pA Ge                                          7d,e-t/
                 lo     d;*^æ e qf                                                                        '*:;-
Ç.'[,t urt       f"tx       -.,,,
                                    ax   ,f 6 z5-[csa,s^ ytt
                    L, b rur,^d W                        6a rg,adû,b,                         oro!*o"
 9*4         ,Qko+Ar)               s to "+,l,Axo *n#;ft +--- ,'#J3r,
                                                                                                                                   o
- 't),t
              -t
                         ùx,
                                t0
                                  )xp
                                        i
                                            tl
                                                 #,, f:l
                                                    :



        =; 0.,- o ô"*G:Ax
     N?- Ax         --   -Yr"zo

                   -) aQ = (;ax             =y      6:6" <0
                    L> ô' (ô"




llwrkvÙtw/V.v *




      Ô1o,,, lb,)
                           "=ç, (ao, *a-f)+7
          [. - t:,)         =(:;,). + ou= 4
            G, G, --'L"=(:)
        -fu                ,e,7" P'//uoo

        &=    (:,)          ( r) .      h
                                      = (,
                                                        ;ii,' ),   (;;;)
         û^'             S[o,sz    +t,t'    )   n   ?'n'fL <U
,    ÛgL,,,-u)rt, cj'u^e {gr*'o 1'ueafiGArfu(                        :


     t

    Pb,kt-t&qk3---
         4*t-fft.r+47a1+.-.        ,h
         - e.L * 1rt, t47rt++'----,i
    è fz4blenæ .h,**n Sf eQ
    A= ["oJ
 8 = [gr]
gW.@v fturwth,utç<:t YUf^t llAX'Fll
          -W;eatu,y* b/Y i*t:gtt æ;'t mP*wtttm
                                       *r*'*"I.
                Yuo,0^la lt,#f -r,,u*4
     ,-*lah"rs'


    twtn'nl+er?Ô
                   -t             4)=
                           W             ilfrK-Ûttt
                                        =46WL% *(#-Q)'*(#Y'E)
          U ç2"**rr,? ,            &       ,(ntr-   A[&(*t-9]
                                           =(îtr -9)".â
                                            - l^AYlrA -B'A
                                                -/
                                            =
                                                Él4x - @"Bf

                                             =HI+g
         o,vecil-4?4 ,k c-lM c ,*{4
          -
           )
             G, ll[+c *Lon^r'v.y---H^ç
           =, X*'       (4'4*n'g
             UL^*eP-'                   n*î*h*
    I&                  âg^r^^,   ta:   !" ,"trlrr" p-,*ëi/b$ (rh   Lt   p ,*tt   */tnhin'
         çzrà-a*
     'ftuWzf        *r*       d,?kh     px"U2r'* a's/,&n"*n*n oanv cût$'"^h
            L 4+-- ffA
                                                                                              @
jnt-gêpi--.>9
{bs Y ^7^",-eÀ       tnoù An   rwO'thç

                        -2< ftn{3
                           &"3
Fl   ftn4h,   ô(r)
     f". 1f 1! V**,
     L, /kl/,rd- J^ fz^&t h1*,-fi-/6a       a ca-J*âw
       d( ft*.f*'lr*, !, @ aaaoh6. ,,/rrf
                                   ^
Ç' a lwv-t ,;rJ6* lrtetW                         rw-wv/,t*'x)( n-'o'y(7tnti^1
               ,l*'6 o Mgf                 "tz
                                                 câ""'ttu'ut
     =
:,,'i i',l*1rr,lo; (,,1 oy   r'+1,,   *f

 I     U^-.      *Jlr^                rù/r$&^Y"
                      Y,r^^n      {xr1 t**
 z)dtJ* b",-1, < Go
a)T/,æl*, l* q#*"J"
       U u^ eb^a't.* dr 1t € C,' 'J
L) %ru* l,t,uofron ola,.ç aô{htu e} ruzz,gu 2t,

ù îrfuu,n o. s)

Rech. op. ch3

  • 1.
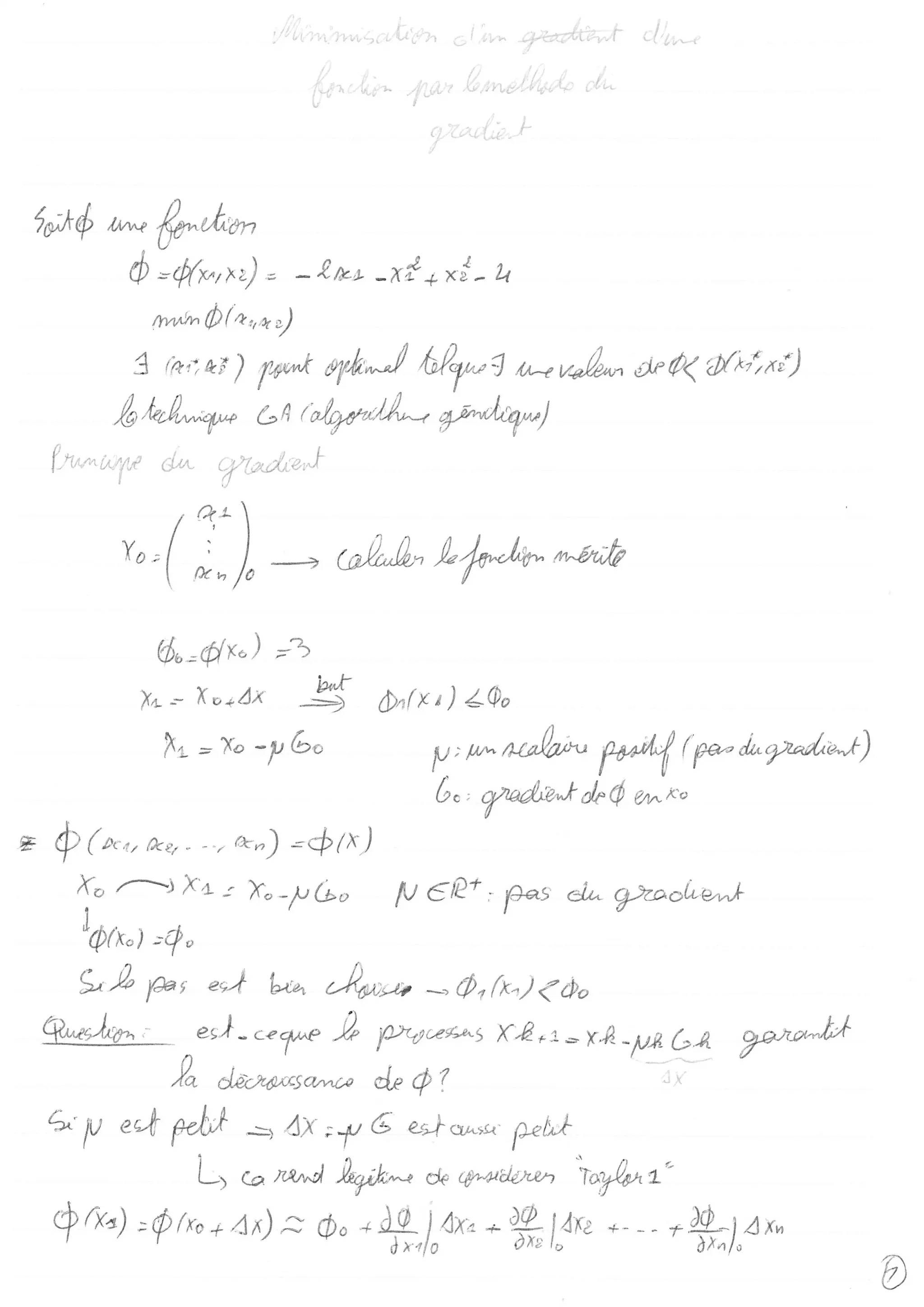
    ,,, i.'-.', :,.^ -;-,t:-:Li-:,-f Ll,r"-, I . ; '/ , i. ,* .., _.,: .' i-.. t ..', 1". !.- ! ;." , , . ..i' t- 'i '- '::'i i ,r^i6 h,1,,?fuû* Ô ={rrçz) = -!,æ,t- -rf +*i- ?" ftvlh" ù (o',n ) 3 m,i*i) N ryt,*/ ,6/yi ,ur,rJt*,dlë<{É,r{) /e tE!,^w G lr ('aW,A*- fu, f,r,,t^u,r{Ê cirn tfta^A,e,} /7" 1^ ,, t t ;,), + t (""ûh L/i"Jtu "'( ".é"'fu 6o=f,r") 3 Xu -- Koaâx 4 ùnft t ) 1Qo It - Xo -y 6a p, p^ ( pæ d/-,f2^C,r-t) "r"!t^ f*f"( 6" ' 7stafuw,t d"4 ûwÊo Q (orr, kt, - --, æ,) :$tx) Xo r X+ ' T, -p G, lv €lP, : pas cJn g>aoLe^[ lq{r") 'Q, 9,û {hr "ç-l Lrr" ,hn -,ôrft.)(ôo Q"u-l^m, "r) -..1* -0, (Jsrace*s KÆ*t -=f-ft -pA Ge 7d,e-t/ lo d;*^æ e qf '*:;- Ç.'[,t urt f"tx -.,,, ax ,f 6 z5-[csa,s^ ytt L, b rur,^d W 6a rg,adû,b, oro!*o" 9*4 ,Qko+Ar) s to "+,l,Axo *n#;ft +--- ,'#J3r, o
  • 2.
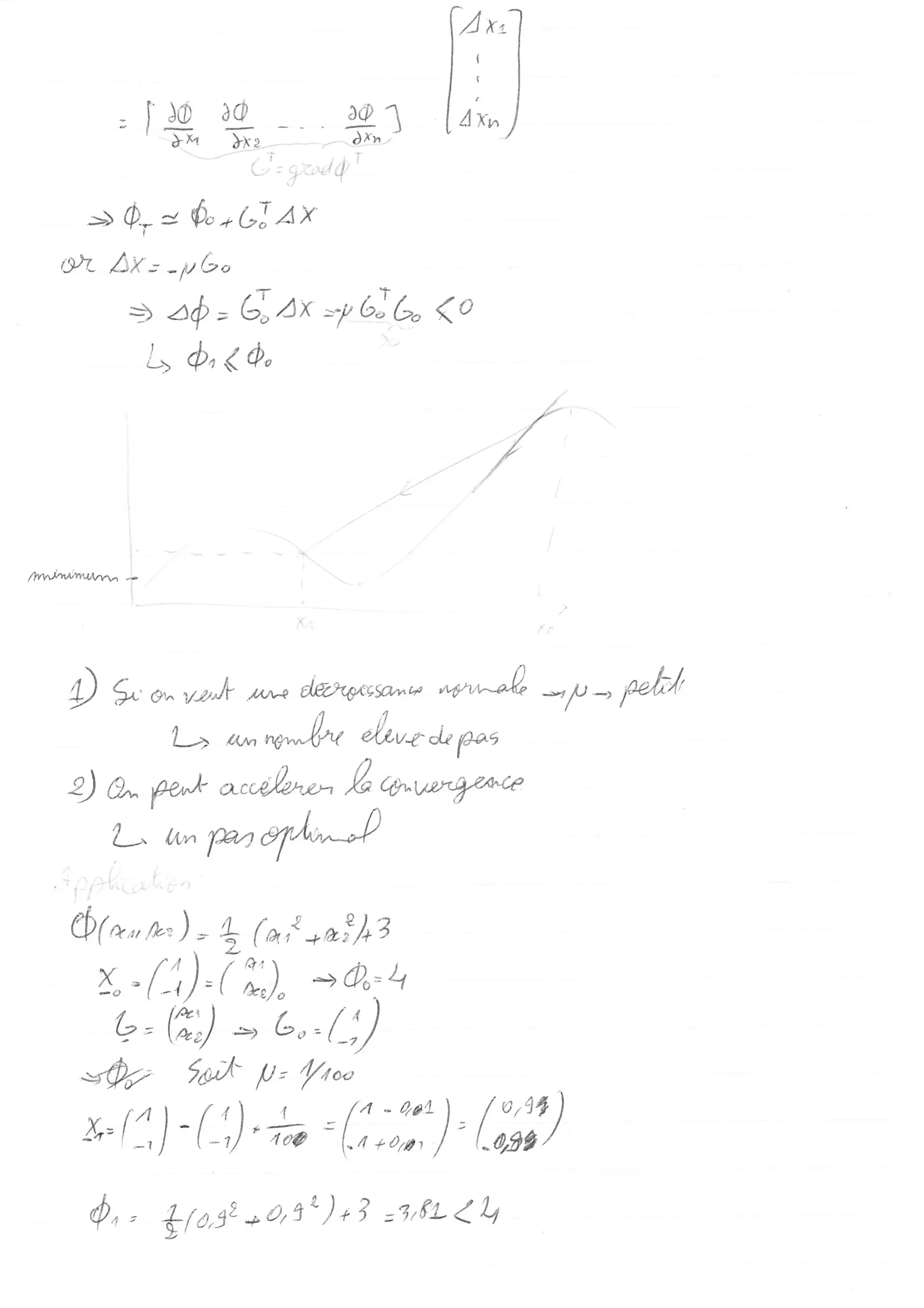
    - 't),t -t ùx, t0 )xp i tl #,, f:l : =; 0.,- o ô"*G:Ax N?- Ax -- -Yr"zo -) aQ = (;ax =y 6:6" <0 L> ô' (ô" llwrkvÙtw/V.v * Ô1o,,, lb,) "=ç, (ao, *a-f)+7 [. - t:,) =(:;,). + ou= 4 G, G, --'L"=(:) -fu ,e,7" P'//uoo &= (:,) ( r) . h = (, ;ii,' ), (;;;) û^' S[o,sz +t,t' ) n ?'n'fL <U
  • 3.
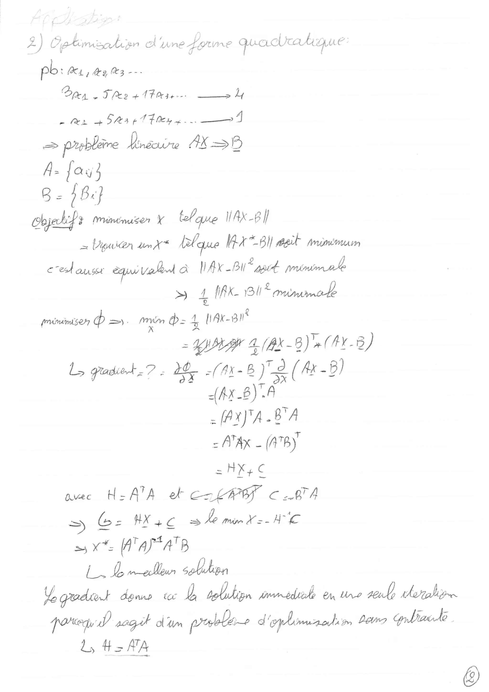
    , ÛgL,,,-u)rt, cj'u^e {gr*'o 1'ueafiGArfu( : t Pb,kt-t&qk3--- 4*t-fft.r+47a1+.-. ,h - e.L * 1rt, t47rt++'----,i è fz4blenæ .h,**n Sf eQ A= ["oJ 8 = [gr] gW.@v fturwth,utç<:t YUf^t llAX'Fll -W;eatu,y* b/Y i*t:gtt æ;'t mP*wtttm *r*'*"I. Yuo,0^la lt,#f -r,,u*4 ,-*lah"rs' twtn'nl+er?Ô -t 4)= W ilfrK-Ûttt =46WL% *(#-Q)'*(#Y'E) U ç2"**rr,? , & ,(ntr- A[&(*t-9] =(îtr -9)".â - l^AYlrA -B'A -/ = Él4x - @"Bf =HI+g o,vecil-4?4 ,k c-lM c ,*{4 - ) G, ll[+c *Lon^r'v.y---H^ç =, X*' (4'4*n'g UL^*eP-' n*î*h* I& âg^r^^, ta: !" ,"trlrr" p-,*ëi/b$ (rh Lt p ,*tt */tnhin' çzrà-a* 'ftuWzf *r* d,?kh px"U2r'* a's/,&n"*n*n oanv cût$'"^h L 4+-- ffA @
  • 4.
    jnt-gêpi--.>9 {bs Y ^7^",-eÀ tnoù An rwO'thç -2< ftn{3 &"3 Fl ftn4h, ô(r) f". 1f 1! V**, L, /kl/,rd- J^ fz^&t h1*,-fi-/6a a ca-J*âw d( ft*.f*'lr*, !, @ aaaoh6. ,,/rrf ^
  • 5.
    Ç' a lwv-t,;rJ6* lrtetW rw-wv/,t*'x)( n-'o'y(7tnti^1 ,l*'6 o Mgf "tz câ""'ttu'ut = :,,'i i',l*1rr,lo; (,,1 oy r'+1,, *f I U^-. *Jlr^ rù/r$&^Y" Y,r^^n {xr1 t** z)dtJ* b",-1, < Go a)T/,æl*, l* q#*"J" U u^ eb^a't.* dr 1t € C,' 'J L) %ru* l,t,uofron ola,.ç aô{htu e} ruzz,gu 2t, ù îrfuu,n o. s)