ASSMAteDate
Page L
INTRODUCTLON:AUELOINGTH EORY
S
7oY Smins 0 7x5fo.3 X 20=
hoomvh ya ekpect to Wait on
475
3oY. 20mins
avesaq
2
Ctoettng tonmeLo
2-S
total tme 7xs + 20* 3
5 60 S mins
avg.watingtme 3sx 60 20/
7.23
0.8 5 min 2x30+_8xs
.22 mins 60
avg tattHngHme 05 4 030 ,
AK erLang Caoa)
SHudieeand ormalized queing theorybor tale phone-
networKS robbic_enggenagCirpor take-oh londing
alassMAte
Data
13 %20t
Paga
PROBABLITN THEORy
events probabilt Sample Space
F p
F C 2 P Fg2
i s discrete F 2**
ih s centinuoLK F 2
AXIOMS OF PROBABILITY
pCa):L
E0E E,EeF
hen pCE) + p (E p CEvE)
CoROLLARIES
iACB
p(A) p(B)
Au (en A)
Since pC)o A0CE
elAsSmAte
Date 13 82r2D
Page
2 CEUE p ) p(E) ENE)
pCEUE) E
pE v (EaE))
pCE)p (E,E EnE2
pE)p(CE,OE) CEVE.))
EOE (EE
NE)p)-pE, 0E
PCE DE)pCE) (SE)
p (E p(E)-plEOE)
CoNDITLDNALPROBABILTY
CABD pr bability of evet A given B as ocured
A BeF
Q tS dkcrete
Sat
auu outcomes qually KalyaB
p (AIB) NCANB
N)AnS
classmate
Data138.2020
Paga
PROBABILITY MASS FONCILON PME
C)=
HWrOll_a_dice. wtcaj
X (Mi,n)>t na-
(XESu, 123 pi(5,) L6,5, C,O
36
ContinUOUS_random vaCiahle
noX
S
l i m
Ux
probabt lity alens'ty fpnethian-
CPDE)
cmulative distribution_Aunction (CDEE
E() Cxs) E Co
FxC-s)-o
edasSmate
Date 3,3-22
( Page
ECa E (X)
ACBCA
eR ()E O1 asSupp.ort opX-
auSS distrilbutoy
potssion distyibutto)
C-
27
O Standavd deulato).
O T tS Catlednormaldietrdbvtion
elassmate
Data'17:8:202p
Paga -
ExPECTATION
HI0. Aindout. binomial distribuhon-g0cmetrit distvebution
prove that E Cantb): af b
VE ax+b
y Ccw) a XCw +o
RECAP
probabilty axioms
derivedeD ¢mportant resolks
Condiionok probabilitp
random v artableS Cdiscret& ContinuoUs)
pm Pdg, cdt-
Co):1
EL,E e'E
pE AUE pCE tp(E,)
CALB)p (ADB)ipB)2o
PCB)
elAsSMAte
Date 72.2026,
Page
qau sslan diStributon
2
2 t 2
V2a
M0anmean T Standard oleviet'on0here2,
4uo t s ts called Dormal ouktrtbu
ExPECTATION OF RVV
X
hime3. b manuheadl_we ekpect)toss a_Coin
N
HTH..H T 2"Outorn
R x o,L,2,.nt
( ) =_# heads_dn wto
Semple
Kexperiments lxp erimevt S sSingcan n Hme
14
Knz hmes
JasSMe
vnte (7.22020
ECx) 0.K t_K2 4 n.Kn+
Samp Ov9
im 2 n.m kne6 im_K
Ko K
im
um K
K
pX-o))
m p (X=(-) C - n
K
erpecteion
Ex pX-)
neX(en) hor DRV
Xw)
Ex. da pectation -
dCRV
HO ind out binomial distribution
gcomctri distbtHm
Provethat E CoX+b) aEx+b
= aX+b
Nw X(w)+6
(l YC)
C a X()+b=y)
elassMAte
Date 18 202
Page
bernoull RV
Cec toss pCH)p
X
HX1
1-p
Prob
ELpA O. Ct-p):p. y S.143 -2e
V 5x+3 TY: S0 +33.
Ey 2p +3(1-)
Eis imear opArator,
Spt3
binomtal RV Chp.)
Soces ces n thdepeolent bernoili tralk
Y *hbernoulle trtal s Succea
O_eihertote
EY2EX 2P.p
alnssmate
Data 17-32020
Paga 5
poiss.on RV
X o2
px)
K!
Ex2 Ke k k-1)
e
VARIAN CE
much Spread he distribunoo valves Qvenow Prove
ECX-EX) E-[Ex1
M St momenk
Mean Cu alled nsret
mome RV
moment generahng
nctionsSataAE tS Called asthe Se ond
momen
E s taued he ih maman_
lAssmate
Date 17:20
Page 6-
MEM ORYLESSRV
expenantial RV )2e
O-0
Cc Ey)1
-
eA
p IB AOB)PCB)
P(x>t
P(x)to)
p(AC) - pCA)_ eato
- ( - E
- C1-s)p(t t.)
Cxt|X4 pX t-t
markov prepa
goma pay eorning elassate
phisics engine Dete 17.3.2t
Poge
X.ime atcwhith_ (S packet arYivel
0 0 t los
t 1oSec
ooesn_matfe
momory e.
mar kov
serversS2ved
savorage cr xpected packet costcmersrevesh d
2rvers
Aima Spas
the uHe
L -l(-
avG or ixpeCkEd ) theSustern
LtLs
clsSMAte
Date 17.4-2ta
Page
averoge rate o arrival
moAE)
Aron t t+At
pdhe amval At o (at)
o_ptmore thon ene armival
V4
IN avrivals in non-overlapping hterval ara
cndepent oeach other
Stata n U fime t npackek _Qrmved
H=prob. that thare om k arnvak ti time. b_
4 (-2At)
A t )
EAE)- )_ AQ--A
r K-0
+At -2Ae)
lassmate
Date17:8.2020
Page
9CtHAL t ) a)
n da,) -2a)im
dt
, )
Co) C
C ) e
im
Ao
da)
dt
daCt 29,ce)29,4)_
) (a)
k
(mepvyle
elSSMAt
Date 2-8.»a
Page
UE UIN THEORy
RECAP
memorless andem vaYiahloS
expenental (2) poiess.n (At) geometri
t h
twoSucces.Sive airivals indepenolent
At
pLexaty one arrival i At AAt + oAt
mare than one armival in At soCat)
hen the proCassis a PotsSon process oith
param2ter 2A._
n_arrarrivals in t tima units) e ( t
nl
a
vindhya
KCIS
claMAt
Dote 202202o
Paga
urd , 12,)t).nKarnivals cn t time units) e
+ O cn Second queu
E K mhtrst qveve
E k- in Lirst quevet n Second qveve
E th trstqueve K n Second GUve
pK packets in queweI& K-K packets en quwe2)
K 0
tdepenclt
(A (ate
Ko K1! Ck-K)I
e
K
poisson C2+2)
poisson RV X(A) Ex 2L
xpenentinl RvX(p) Ex V
AsSMAteDate 20 822
Page 3
tTt ho packas ànt.
ext pa.ckat arrival time
-Tst) PT 1-
exponeryHiat-
A=5 packels Second
O. 03
5
5 packok h se.conda) e 1o
0:175 packais in Lsa.cond e 5
51
lo pLCKak in econd ey O183
A/B/c/D/E_ r A/B/
AOrmivalprocess mean 2
servite rate ()
Servey
max no o CUxfaners on packek he Sstem,
pepulahien max. nc o Cusfomer toill ouer need fb
Serv
elasSMAte
Dota20:8.2020/
Poge 4-
M/M
M-memcrylessCpotsson)2
M-Senuice process memoryleg Cu exponential
-oneServer
cobur copopulattonsize
BIRTH-DEATH PRoCESS
load bactor P A
P(E probabikity onceluctomers ch th system at
Ame t
n
t4At)At) : honew arrial9noneu) olepartre
yo were in State n at time t._
OR one ne arrival, yoULwer in Mate.
at ime t
R M neu olepartora
&OUwerr in_State nH at ime
SSMAte
Date 26.82020
Page
AL)
AAt )+uAt PTt
kaking lim_At>o
dp, (Atup,t) +Agt) 4uE)
or Steady &iate dnct)o
olt
Calculatinq loP
et
assnate
Date20.2.2220
Page 6
or D=
M/M
P A P
CtR
P A P -
P
elassMAteDate 20 2:0
Page
M/Mtlizathon -P P-
1
.9999 0,93 75
b.9
3
5
p (o 3)
-28 35p C2 Col2
tPtP+P+ P+R
-6.999
12timeA
(6
2
. 5
2 5 S O = S .
. 2 2
b12
2
O-0 2
clasSMAate
Date 21: 8.2020
Page
UEUIN GTHEORY_
RECAP
poLsSon process
on pois&on PrOcessS
2 potssooProceseA
birthcleafh proces
Stare n ocostornars/ packeis in Hhe sstem
AlBlc/D/E
A- arrval pracess (A) mean
B Service processs Cmean uD
C senverS
D- t maxek Cusfonarspacketk (bohtersize
E*populafion &ize thct uorl need service
AlBl A/BleD
Eo
MM on Serven
afivalproes
smemes
he service proASA-
s mema le
paiscan arivo orth_ Cexpoantiad Oth Seviea
Yote
elassnateData 24:826
Page
dpC
d
tCo we
willassome dh o
AP tALPE (ltu_p
loadacto
.
C-pP 2x Ct-p) +
aAssMte
Data 2482020
Paga 3-
LpL (1p)p(tP+¢2
L .9 L
0 - 5 4
P:5
S07
L
L
20Mbpt 99 Mbpss
SDMbps
L Lo t Ls tnivy 2 mn
A Lmin
09ost min
elasSmate
Date 2182020
Page .
QS LITTLE'SLALD
L_A avg. ma spent b each pacdet
Qvg.t pockek/Aime
Cvg. H packek|austamers
K=Vz
E EY. Ez X
not aluwauE Costemers Qrived
roein lo,t1):At
avg Rach costomRn sperds w unit of ma
total tme spent o ol the
E D0Stomors thosa uoha arcivedin to,t].
L
Fotal time Spnt by thae
Customers : lt
t Lt Atw
tmtn 2mA g0ee
temy mt 5m
L Au
t lau
alassmate
Data 24 8 2020/
Paga S-
0 . A: 9 customens/min
mins
A 9 Ccostomasmn MloCostornars min.
m i n : Wa twsoe
LL Lsar
L:0.9 9
Wser W
L-
3A=49 castonersmin ioCustorerimin
houo much time coil yo0 penchhe Quetx o averac22
C I min u - Wser min-0:1 0. mn 54Se.
- 1 CUstomermin 2o Customan mn_
Conct She xpectedfime to be Sp@nt in the Queue
P: 0.9
1-P
6.5min18
05-O.05 _o15min 21se2D
elasSmate
Date28-2020
Page
GAl9costormes/min 20 Costdmer/min
cohat is
L:19 tO -L
20 20
2custmers min = loCUstomare/min
O.2
min SO
20 Cust/min
to ceminHOO
wating ime u attng HmR
2e tstmy
A/MLN
AA-
-4 R
P u 'N
lAsSmate
Date 24. 2020
Paga
dt
O N
-P P
1-P
-pN
GUIZ
bloc kine prababilif
mon / hu.
M// MM/m 0n mooodle,_
sla buS: Dehob:theor
mml
classmate
Date 27:202t
Page
QUEOINTHEORY-
RECAP
N (N+1)
M/M/1/N
A/elcin/e
N)
max t CUStoMAri hthe
APE Pra
P
NP
-p Po
t1-P
oNblotkingprDpabilhy P
(T1-pNH
Pe.Chen quee i holl
or M/M[I_ P 2 N 2
2
elassMAte
Data27.8.2C20/
Paga
M/M//N
qprobable.N+J N+1
o9 P x 1o
- 0-S o.9999
0
0 5 P 508 P O.0l6
P 67
LP=2 = :ol6 PNE OSO8
L5 5 P P::0002
o . 9
N 4 7
2 PN 3
N 20
N (00b P 27x1o
L E n) . +LP +2 P t NRNR
P + 2p2 + 3p3 NN
NH)
+ 2 N)e+N
elassAte
Date 27.2 207
Page 3
LPL p+ p N
N
N+
LC-P P -pN) NpNN_pN
LC- N oNA (1-
Ne Nt
pN+
N 2
LpN+I
or LaA+2NNN+1
M/M/oo UEING SVSTEM Seruer
Ce StomeNS
L Lo+ Ls L ACo 0populatio
L -(N)
Cu tCH
elasSMte
Data27.2c20/
Paga
2
2
OgOrVêr
K PrO Server2 nALP
OServer n
p
n
L
n=
n'!
L
elASSMAt
Date
Page.Menoryles seruiCA
MM/ QUELNG SYSTEM
m servers
omemery4leA arnival
2
m
mA P m
P n>mmiBem-m
n-
m LJ
m-mCA)
in MM/m
m
Cn-m) Pm
Cn-m).1n= m1
m m-
:PenBLmI C1-)
elassmate
Data 27.8.220/
Paga 6
aHer qveue siartskillingth he SySMem etartsbebeavin
Simarto M/M/1twith ServireYate ML
M/Mm/m UEUING SYSTEM
Memery less memaru leK- m server mM t Customes
Qrriva Service pacok (n Sidem
MG1 M/D/1
enera Seruice olo terminicHo Service
procesSrecess
dassmate
Date 312 2
Page
L min P
386 3
78
2C-068)
L: w minO
2C1-P
o,99x + O.olx30 0.43min3
0.olx3o 3 0
063 3 O63
0. 1715 14-115
classmate
Date 3t.82020
Page.
SO wHAT DID WESEE_LAST_CLASS
RECAP
M/MLlN 4ueve
M/M/0
L
P blo.cking probabit
N
NtI
o
L N/2
M/M/m
s P h
L4 1-P m-p)
Pcob:oh ueLing9
Pa Pm Pmz
L Cn-m)p 2 Cn-m)m"p" p
M/Mm m max m packets n4S1em
mser vers L
memory iesS_arVa memoA(ess Servic
sSMAte
Date 31.8.2a
Page 2
(o)pz uDP AAlc-p
A L
I+ An C ult
2 m
ua)=2u )-3uu
1
+
elasSMate
Date 21-8. 2026
3Page
M/G M- mmorles arava
C- qeneroseuice PCAL.
One Serer
tsepi time faken fo provicle ervia
to the Customev bumo
CefCrM,tsr isexpontniallyE
distributed)
er Vas Ct
ECtsar) How hat matche
weth L twhen
1-P
L +2
2C-P) fSer cexponentiolll,
distnibutedl..
BAD PoST OFECE
tca 20Sec O.9q prob
30min 0.01 prrb
Onecustomer amva por inor (a 1
CCUhat co be the vg. im Spontby the CUStome th he
post otcRi
On overage hoLo mony_CoStommre Co be hov nthe posS
L,w,us EL1se
Ex 2xP:-
classmateata
Page
2 0 x O.gq+_g00X 60 37.8See,
37-8
ser Ex2-(E)
0 0 x 0Qq (&O02 0.61 3 7 . 8 2
1367.6
78 0.626 (0.63)
12.9Y
CU
2.9 min-
A =_LcUstomer/min san 7-8Se
C (2.9 mn
0:63
M/D/
M-mamoyule arrrlal
t sskxecllcenSant Ddteministic gervce
2C1-)
lassmate
Date 2 202o
Page
LM/M) L (M/o)
O.11 O 06
O2s0 O.225o.2
O1S
2
49S
50
2PC-et
2-P)L 2C1L
2Ct-P) +
2
C-PLo
M/M2
LD
LqoCil D/D
MlCalL HDL
MM/I
Opproximates MM/
lssMAteData
318.0DPage
L="Aw HesVao
QUeUin
Sskem
M/M/
M/M
M/M/ N l
- pN
A
SelN/2
LaM/M/m a
-
(Pm+Pomnt
clAssmate- -
Date 3-8 2e
Poge 7-
20Mps 7OMbpSH u D e x e r c s e
2
s0Mbps ISDML- MM/L
toobps
PeOML
tTSDM&ps
tooMLpsM//
MA
1-h-6 & 2-6 _Strotagy
Ohich ane t beter
3 6 2-5-6 9raiag
clAssMAteDate 3.920
Page
ROUTNC
maka vilgo ata-
Vorse 33 Cwa'l_do our begt
Varse there is a uuanlda
A
to meven t DO dg
that isvrtualand.dikerent
uwalra upto he test
t can b So cold_
to tOrn mis D.orld ar.
makes us standl up pr uohats rignt-
Or hopR throluqh our ile
minichorusaaKge_reset ttto the start
mini-thorvs
Chonus hereLoe are goina-a
to Save oul tha we lave
giua, all wcv.got
minu-cheruswe LotlLMake it through
here uan, likea star
shininabright en yr ioerd
tocda Cmaka evil goaueay Noam Kania acals)
eode lyoka well,esetall
wnttencodeyeke b, there twhen you eall
Yga Amar
Fronck kellercdelyeko tronenatera
NISe2 o uorld omachines
AwORLD wITHOUT DANGER
on shadou homan natun eODE LYokO CTne 6 200)that twe need
e the wy to od the answen
ondcne thinq is onsore
chorus
lGsate
Dete 39 2020
RECAP
MIMImn
MMIm/m_ Quauing Sstem
MIal
M/DII
M/M/1
tabular SommaruWs Ltle Ls
70 Meps
(too ns
50
w
33-33
routing 3-6 & 2-S-6
-4-6 & 2--62
fouhng
,7o 2
10 07
ot delay fem23
o op s33:3.ns
30
7
3
2.C1-) 3x76 Xo
nte .
w:33:33nsA3 1oxto
Ch 2 33:33 ns
routing2
2-6
1 o 50
150
L 76 12.5 nS
70 C8o) xLo%
2- w _12.5 n
50
Met okela- 0 r wt O U2-Sns
olalays
loo
Control
outing
algorithm
altered
toad
fajected.
hroughpt oeedlload reected load
aSMAtr
ROUTINCn delays
algol
ensuredelays ar minimized
ocxèmize throughputs pocr=
protocalsreuttna atge2
algorithms
gcod
CStathio NS dummio hroughput
lat vS. hienarchical SSet
C-ttinta-donMainvS 0ter-clomaun
distribuied vs. Centralized
ingle VS. multipath
liok stiate vsdustonca Necton
nead toknoa Chieranhia bellman-ord
|whole netoonk routi
Cdjstra
RoOTNG ALOORITHMS DLJKSTRA
CShotestpath algorithms)
ChCV,E V et oh vertic8
0oiKshra Set o elges
ob 2
G)bellmarn focc 5
s(
2
Ve Step w add nocde
Shoctst pat e
ASSMAte
ute 20
nitia za tion O
P}
ALCORITHM
PD mi D
PPO Si
DD minD, Dt dij
2 + 3
gcto until Dz G
D 0 Dniki alazhio D,:o D n : 2
P:i
. P: 23
D,2, D2 D,o D Peoo
.P 2,31
D 2 D 2
P ,2, 3,s
D D 2 D S D-5S
GPa,2,s, s41
done
elassmate
Data 3.9 2AL
Pnga
rUnning time v) Nlv terati ons N-
OCM)n each deration
o) o(NlogM)OCIEI+V)loqtvl)
di Ksira disadlvaniago
)-Ve edges are no1 allowod
BELLMAN-FORD
ve edger ora allow d ho riesf path k no odekined
bvt, no-v w1 Cuclec
0
D i 2 -
Mgorithm D min oltD, Ct_D
turminate i D : D"
min Cest ot reaching usgatmost n edgei
min Sd +D"D
JF
averyStep shortestpoth with edge
is alczlatedto each node
elasSMate
Date 3.4.e
Page
2
5
Do D: D D = D co
Yonning am
oCIvllEL) oCN
v: N
O (mIE1
# terotion equred
m N
ElN
alassMAte
Data3,9.200
Page 8.
PROFOSITION
a D s aegeneated hyhe aloarthmare qual to
he ShoctestpaBh ramifu 1_o t ecoes h.
healgarithm terminates k alculesNOt_Cotamng nccle
Lare having non--Le costk. elgoferminates ttSo dn
hNe at tecmination De 's he cof of horteai path
romtolor to
HwKh prove htL
D. D 4 K h._
FLOYD-wARSHALL
all-pair sortest path
d Or h:0..N
h
minD P PeK
terahion-h:
te have the shortest path costromi fo, 'vsin9 0d-
2 h (h=O wlo any Yoole)
elassmate
Date 7.9.2020
Page
KoUTING AND VPN
RECAP
TOUhg-algorithms
hartest path)
olkstra-gre0elu
bellman-tprel
goydwarshall
progfaongUntast TOUHng-
broadast
min(s,1)
3
Kruskal's
rmin. Cs) MST
prims
mu tcast
33,53
s
M St M Spans 3,55
Cost C)> tW ts minimiaedeeM
min coSt Steiner tree NP (omplete
PIM
elassmate
Data7.9.2020
Paga
ARPANEL C96a
o DD 2
D DaD
2
5)D-S3
2 0
BELLMAN FORD
h D":o D,
D min d
e NG)
d des dd Cwhat ih oach Oocde sqnchronov2
sy sBaft
Ais htkengin-
nDde
D
h_node e=
h
D h-
min d +
jeNG)
t algprithm Coi olso Convege
m _ _ol
JEN C)
clAsSMAte
Date7:9.2
Page
825ms CoiL braodcast Ds fo Detghbaurs.25 ms
DYNAMIC RoUTING.
inkStatestanco vector?
YOute shoulol noto NOUierS Should nOO
only i neiahboor whole_networkK.
o kaRps only olit gov ka0p cwnole netewor
fo nerahbour ) Lno alL Rink Sates
delays-bellman-kool
Cslower dikstra
CAasior
qsomelink goes
do, knecolalge moreBU as ey
passigs slao) trnbtt is generatto)
ass B2 less
erokLi
Staic
*AicaluyrouhnaS-
xed
Csmcleraenizahon
elasSMAte
Dat 7.C2e20
Paga
ARPANET
clustanCe Veetor routm Ca6)
RIP C) RIP
Cea) REGEMS3
thops allowed t
be is Cmmenk.
DNAMIC RoUTINCa
C'hterion gafo QxteyiOr gateway
betwcen olkh AsLauke namaus siem AS
ink Siete_distance vcekon
1GRP
OSPE
RIPv2 ElGRP
CREL2453 RECT&&g)
port179) Bf
boreler godaay protaco
Corrent Verson 2006,-
RFL421
elassmAte
Dote 7:9-2
Page.
VPN
hat isNPN2
virtuak privats netuOork
Conmect ta Carporete Metwork
4oacceSs Conputing e Sooree3 w n 1UT_
tOhen oU+SIde Camp2
SeaUY OomYMunicaHton,-
to,0.0
C
INTERNET
CPubleo)
blie 1PtUT
eteutr
Cintranet
Cpauate- t ismyip"hone
oporo VPN or Some VPN Cllenk to brorkse
hHPS
Opera US
AUstralea
e N/
2Mbps
200MbsServex
0-2 Mbps
ehasAppcaul (pod
elassate
Data 7- 202
Page 6.
ComPo NTER -Qirtel
erabond
mail
Server
homahttps://mg.dct-acin.
home
Durpos o VPN
O.Drovole_dataankidentakity
data ihhegn 256 256 2S
thenthca tion encrupHon_
Ccase naShë(noS
Cpoblic k asymmetric e
SHA SHA Sumnetric ke
MDS
RSA ElamaLDES 2DES, AES
blosh
RIPEMD
66
VPN
Use to Service SSL
USe to LAN
COroS Tuwo_LAN
elasSMAte
Date 7.428R0
Page
LAN
LAN
bangalov (SEhyolerabad
-acternatserto
ticlar serViLe
PPTP Wmdows RS REC2637)_
L2TP REL26 6761 393
RFL30Se uSL or 2 LANS
cre
Febten Poster
2
LAM
CECPSec2 modeX
ranSpoyxt devace oleuc
tuYmel YoOteN=YOUeN oYY
device-roUte_
FNG ESP) RFC4303 (kE- 43%
AH AH REC4302
authen tHate He dota-@ncrepi ne dotu
Cauhantotton posSi be)
classmwte
Date7.202
Page
PSec tunnet ESP
DATA
TPDATA
1T DATA
lO. 102 npaASprt mode
ESP Quth
Folate|
Onypteol
IP Secintransport mode th_ESP
Quth.
datu
p
2.
VPN-A_ VPN-B
3PES CRC AFS
HMACSHA1 AFG-XCBC
o2 bit 2atRbit
IkE RFL 486e hatall co4ptogmphi 0peatio)
Spparteol
hel man

Queuing theory : Notes

  • 1.
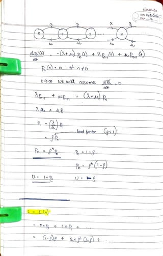
    ASSMAteDate Page L INTRODUCTLON:AUELOINGTH EORY S 7oYSmins 0 7x5fo.3 X 20= hoomvh ya ekpect to Wait on 475 3oY. 20mins avesaq 2 Ctoettng tonmeLo 2-S total tme 7xs + 20* 3 5 60 S mins avg.watingtme 3sx 60 20/ 7.23 0.8 5 min 2x30+_8xs .22 mins 60 avg tattHngHme 05 4 030 , AK erLang Caoa) SHudieeand ormalized queing theorybor tale phone- networKS robbic_enggenagCirpor take-oh londing
  • 2.
    alassMAte Data 13 %20t Paga PROBABLITN THEORy eventsprobabilt Sample Space F p F C 2 P Fg2 i s discrete F 2** ih s centinuoLK F 2 AXIOMS OF PROBABILITY pCa):L E0E E,EeF hen pCE) + p (E p CEvE) CoROLLARIES iACB p(A) p(B) Au (en A) Since pC)o A0CE
  • 3.
    elAsSmAte Date 13 82r2D Page 2CEUE p ) p(E) ENE) pCEUE) E pE v (EaE)) pCE)p (E,E EnE2 pE)p(CE,OE) CEVE.)) EOE (EE NE)p)-pE, 0E PCE DE)pCE) (SE) p (E p(E)-plEOE) CoNDITLDNALPROBABILTY CABD pr bability of evet A given B as ocured A BeF Q tS dkcrete Sat auu outcomes qually KalyaB p (AIB) NCANB N)AnS
  • 4.
    classmate Data138.2020 Paga PROBABILITY MASS FONCILONPME C)= HWrOll_a_dice. wtcaj X (Mi,n)>t na- (XESu, 123 pi(5,) L6,5, C,O 36 ContinUOUS_random vaCiahle noX S l i m Ux probabt lity alens'ty fpnethian- CPDE) cmulative distribution_Aunction (CDEE E() Cxs) E Co FxC-s)-o
  • 5.
    edasSmate Date 3,3-22 ( Page ECaE (X) ACBCA eR ()E O1 asSupp.ort opX- auSS distrilbutoy potssion distyibutto) C- 27 O Standavd deulato). O T tS Catlednormaldietrdbvtion
  • 6.
    elassmate Data'17:8:202p Paga - ExPECTATION HI0. Aindout.binomial distribuhon-g0cmetrit distvebution prove that E Cantb): af b VE ax+b y Ccw) a XCw +o RECAP probabilty axioms derivedeD ¢mportant resolks Condiionok probabilitp random v artableS Cdiscret& ContinuoUs) pm Pdg, cdt- Co):1 EL,E e'E pE AUE pCE tp(E,) CALB)p (ADB)ipB)2o PCB)
  • 7.
    elAsSMAte Date 72.2026, Page qau sslandiStributon 2 2 t 2 V2a M0anmean T Standard oleviet'on0here2, 4uo t s ts called Dormal ouktrtbu ExPECTATION OF RVV X hime3. b manuheadl_we ekpect)toss a_Coin N HTH..H T 2"Outorn R x o,L,2,.nt ( ) =_# heads_dn wto Semple Kexperiments lxp erimevt S sSingcan n Hme 14 Knz hmes
  • 8.
    JasSMe vnte (7.22020 ECx) 0.Kt_K2 4 n.Kn+ Samp Ov9 im 2 n.m kne6 im_K Ko K im um K K pX-o)) m p (X=(-) C - n K erpecteion Ex pX-) neX(en) hor DRV Xw) Ex. da pectation - dCRV HO ind out binomial distribution gcomctri distbtHm Provethat E CoX+b) aEx+b = aX+b Nw X(w)+6 (l YC) C a X()+b=y)
  • 9.
    elassMAte Date 18 202 Page bernoullRV Cec toss pCH)p X HX1 1-p Prob ELpA O. Ct-p):p. y S.143 -2e V 5x+3 TY: S0 +33. Ey 2p +3(1-) Eis imear opArator, Spt3 binomtal RV Chp.) Soces ces n thdepeolent bernoili tralk Y *hbernoulle trtal s Succea O_eihertote EY2EX 2P.p
  • 10.
    alnssmate Data 17-32020 Paga 5 poiss.onRV X o2 px) K! Ex2 Ke k k-1) e VARIAN CE much Spread he distribunoo valves Qvenow Prove ECX-EX) E-[Ex1 M St momenk Mean Cu alled nsret mome RV moment generahng nctionsSataAE tS Called asthe Se ond momen E s taued he ih maman_
  • 11.
    lAssmate Date 17:20 Page 6- MEMORYLESSRV expenantial RV )2e O-0 Cc Ey)1 - eA p IB AOB)PCB) P(x>t P(x)to) p(AC) - pCA)_ eato - ( - E - C1-s)p(t t.) Cxt|X4 pX t-t markov prepa
  • 12.
    goma pay eorningelassate phisics engine Dete 17.3.2t Poge X.ime atcwhith_ (S packet arYivel 0 0 t los t 1oSec ooesn_matfe momory e. mar kov serversS2ved savorage cr xpected packet costcmersrevesh d 2rvers Aima Spas the uHe L -l(- avG or ixpeCkEd ) theSustern LtLs
  • 13.
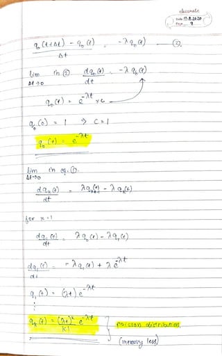
    clsSMAte Date 17.4-2ta Page averoge rateo arrival moAE) Aron t t+At pdhe amval At o (at) o_ptmore thon ene armival V4 IN avrivals in non-overlapping hterval ara cndepent oeach other Stata n U fime t npackek _Qrmved H=prob. that thare om k arnvak ti time. b_ 4 (-2At) A t ) EAE)- )_ AQ--A r K-0 +At -2Ae)
  • 14.
    lassmate Date17:8.2020 Page 9CtHAL t )a) n da,) -2a)im dt , ) Co) C C ) e im Ao da) dt daCt 29,ce)29,4)_ ) (a) k (mepvyle
  • 15.
    elSSMAt Date 2-8.»a Page UE UINTHEORy RECAP memorless andem vaYiahloS expenental (2) poiess.n (At) geometri t h twoSucces.Sive airivals indepenolent At pLexaty one arrival i At AAt + oAt mare than one armival in At soCat) hen the proCassis a PotsSon process oith param2ter 2A._ n_arrarrivals in t tima units) e ( t nl a vindhya KCIS
  • 16.
    claMAt Dote 202202o Paga urd ,12,)t).nKarnivals cn t time units) e + O cn Second queu E K mhtrst qveve E k- in Lirst quevet n Second qveve E th trstqueve K n Second GUve pK packets in queweI& K-K packets en quwe2) K 0 tdepenclt (A (ate Ko K1! Ck-K)I e K poisson C2+2) poisson RV X(A) Ex 2L xpenentinl RvX(p) Ex V
  • 17.
    AsSMAteDate 20 822 Page3 tTt ho packas ànt. ext pa.ckat arrival time -Tst) PT 1- exponeryHiat- A=5 packels Second O. 03 5 5 packok h se.conda) e 1o 0:175 packais in Lsa.cond e 5 51 lo pLCKak in econd ey O183 A/B/c/D/E_ r A/B/ AOrmivalprocess mean 2 servite rate () Servey max no o CUxfaners on packek he Sstem, pepulahien max. nc o Cusfomer toill ouer need fb Serv
  • 18.
    elasSMAte Dota20:8.2020/ Poge 4- M/M M-memcrylessCpotsson)2 M-Senuice processmemoryleg Cu exponential -oneServer cobur copopulattonsize BIRTH-DEATH PRoCESS load bactor P A P(E probabikity onceluctomers ch th system at Ame t n t4At)At) : honew arrial9noneu) olepartre yo were in State n at time t._ OR one ne arrival, yoULwer in Mate. at ime t R M neu olepartora &OUwerr in_State nH at ime
  • 19.
    SSMAte Date 26.82020 Page AL) AAt )+uAtPTt kaking lim_At>o dp, (Atup,t) +Agt) 4uE) or Steady &iate dnct)o olt Calculatinq loP et
  • 20.
  • 21.
    elassMAteDate 20 2:0 Page M/Mtlizathon-P P- 1 .9999 0,93 75 b.9 3 5 p (o 3) -28 35p C2 Col2 tPtP+P+ P+R -6.999 12timeA (6 2 . 5 2 5 S O = S . . 2 2 b12 2 O-0 2
  • 22.
    clasSMAate Date 21: 8.2020 Page UEUINGTHEORY_ RECAP poLsSon process on pois&on PrOcessS 2 potssooProceseA birthcleafh proces Stare n ocostornars/ packeis in Hhe sstem AlBlc/D/E A- arrval pracess (A) mean B Service processs Cmean uD C senverS D- t maxek Cusfonarspacketk (bohtersize E*populafion &ize thct uorl need service AlBl A/BleD Eo MM on Serven afivalproes smemes he service proASA- s mema le paiscan arivo orth_ Cexpoantiad Oth Seviea Yote
  • 23.
    elassnateData 24:826 Page dpC d tCo we willassomedh o AP tALPE (ltu_p loadacto . C-pP 2x Ct-p) +
  • 24.
    aAssMte Data 2482020 Paga 3- LpL(1p)p(tP+¢2 L .9 L 0 - 5 4 P:5 S07 L L 20Mbpt 99 Mbpss SDMbps L Lo t Ls tnivy 2 mn A Lmin 09ost min
  • 25.
    elasSmate Date 2182020 Page . QSLITTLE'SLALD L_A avg. ma spent b each pacdet Qvg.t pockek/Aime Cvg. H packek|austamers K=Vz E EY. Ez X not aluwauE Costemers Qrived roein lo,t1):At avg Rach costomRn sperds w unit of ma total tme spent o ol the E D0Stomors thosa uoha arcivedin to,t]. L Fotal time Spnt by thae Customers : lt t Lt Atw tmtn 2mA g0ee temy mt 5m L Au t lau
  • 26.
    alassmate Data 24 82020/ Paga S- 0 . A: 9 customens/min mins A 9 Ccostomasmn MloCostornars min. m i n : Wa twsoe LL Lsar L:0.9 9 Wser W L- 3A=49 castonersmin ioCustorerimin houo much time coil yo0 penchhe Quetx o averac22 C I min u - Wser min-0:1 0. mn 54Se. - 1 CUstomermin 2o Customan mn_ Conct She xpectedfime to be Sp@nt in the Queue P: 0.9 1-P 6.5min18 05-O.05 _o15min 21se2D
  • 27.
    elasSmate Date28-2020 Page GAl9costormes/min 20 Costdmer/min cohatis L:19 tO -L 20 20 2custmers min = loCUstomare/min O.2 min SO 20 Cust/min to ceminHOO wating ime u attng HmR 2e tstmy A/MLN AA- -4 R P u 'N
  • 28.
    lAsSmate Date 24. 2020 Paga dt ON -P P 1-P -pN GUIZ bloc kine prababilif mon / hu. M// MM/m 0n mooodle,_ sla buS: Dehob:theor mml
  • 29.
    classmate Date 27:202t Page QUEOINTHEORY- RECAP N (N+1) M/M/1/N A/elcin/e N) maxt CUStoMAri hthe APE Pra P NP -p Po t1-P oNblotkingprDpabilhy P (T1-pNH Pe.Chen quee i holl or M/M[I_ P 2 N 2 2
  • 30.
    elassMAte Data27.8.2C20/ Paga M/M//N qprobable.N+J N+1 o9 Px 1o - 0-S o.9999 0 0 5 P 508 P O.0l6 P 67 LP=2 = :ol6 PNE OSO8 L5 5 P P::0002 o . 9 N 4 7 2 PN 3 N 20 N (00b P 27x1o L E n) . +LP +2 P t NRNR P + 2p2 + 3p3 NN NH) + 2 N)e+N
  • 31.
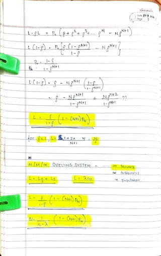
    elassAte Date 27.2 207 Page3 LPL p+ p N N N+ LC-P P -pN) NpNN_pN LC- N oNA (1- Ne Nt pN+ N 2 LpN+I or LaA+2NNN+1 M/M/oo UEING SVSTEM Seruer Ce StomeNS L Lo+ Ls L ACo 0populatio L -(N) Cu tCH
  • 32.
  • 33.
    elASSMAt Date Page.Menoryles seruiCA MM/ QUELNGSYSTEM m servers omemery4leA arnival 2 m mA P m P n>mmiBem-m n- m LJ m-mCA) in MM/m m Cn-m) Pm Cn-m).1n= m1 m m- :PenBLmI C1-)
  • 34.
    elassmate Data 27.8.220/ Paga 6 aHerqveue siartskillingth he SySMem etartsbebeavin Simarto M/M/1twith ServireYate ML M/Mm/m UEUING SYSTEM Memery less memaru leK- m server mM t Customes Qrriva Service pacok (n Sidem MG1 M/D/1 enera Seruice olo terminicHo Service procesSrecess
  • 35.
    dassmate Date 312 2 Page Lmin P 386 3 78 2C-068) L: w minO 2C1-P o,99x + O.olx30 0.43min3 0.olx3o 3 0 063 3 O63 0. 1715 14-115
  • 36.
    classmate Date 3t.82020 Page. SO wHATDID WESEE_LAST_CLASS RECAP M/MLlN 4ueve M/M/0 L P blo.cking probabit N NtI o L N/2 M/M/m s P h L4 1-P m-p) Pcob:oh ueLing9 Pa Pm Pmz L Cn-m)p 2 Cn-m)m"p" p M/Mm m max m packets n4S1em mser vers L memory iesS_arVa memoA(ess Servic
  • 37.
    sSMAte Date 31.8.2a Page 2 (o)pzuDP AAlc-p A L I+ An C ult 2 m ua)=2u )-3uu 1 +
  • 38.
    elasSMate Date 21-8. 2026 3Page M/GM- mmorles arava C- qeneroseuice PCAL. One Serer tsepi time faken fo provicle ervia to the Customev bumo CefCrM,tsr isexpontniallyE distributed) er Vas Ct ECtsar) How hat matche weth L twhen 1-P L +2 2C-P) fSer cexponentiolll, distnibutedl.. BAD PoST OFECE tca 20Sec O.9q prob 30min 0.01 prrb Onecustomer amva por inor (a 1 CCUhat co be the vg. im Spontby the CUStome th he post otcRi On overage hoLo mony_CoStommre Co be hov nthe posS L,w,us EL1se Ex 2xP:-
  • 39.
    classmateata Page 2 0 xO.gq+_g00X 60 37.8See, 37-8 ser Ex2-(E) 0 0 x 0Qq (&O02 0.61 3 7 . 8 2 1367.6 78 0.626 (0.63) 12.9Y CU 2.9 min- A =_LcUstomer/min san 7-8Se C (2.9 mn 0:63 M/D/ M-mamoyule arrrlal t sskxecllcenSant Ddteministic gervce 2C1-)
  • 40.
    lassmate Date 2 202o Page LM/M)L (M/o) O.11 O 06 O2s0 O.225o.2 O1S 2 49S 50 2PC-et 2-P)L 2C1L 2Ct-P) + 2 C-PLo M/M2 LD LqoCil D/D MlCalL HDL MM/I Opproximates MM/
  • 41.
  • 42.
    clAssmate- - Date 3-82e Poge 7- 20Mps 7OMbpSH u D e x e r c s e 2 s0Mbps ISDML- MM/L toobps PeOML tTSDM&ps tooMLpsM// MA 1-h-6 & 2-6 _Strotagy Ohich ane t beter 3 6 2-5-6 9raiag
  • 43.
    clAssMAteDate 3.920 Page ROUTNC maka vilgoata- Vorse 33 Cwa'l_do our begt Varse there is a uuanlda A to meven t DO dg that isvrtualand.dikerent uwalra upto he test t can b So cold_ to tOrn mis D.orld ar. makes us standl up pr uohats rignt- Or hopR throluqh our ile minichorusaaKge_reset ttto the start mini-thorvs Chonus hereLoe are goina-a to Save oul tha we lave giua, all wcv.got minu-cheruswe LotlLMake it through here uan, likea star shininabright en yr ioerd tocda Cmaka evil goaueay Noam Kania acals) eode lyoka well,esetall wnttencodeyeke b, there twhen you eall Yga Amar Fronck kellercdelyeko tronenatera NISe2 o uorld omachines AwORLD wITHOUT DANGER on shadou homan natun eODE LYokO CTne 6 200)that twe need e the wy to od the answen ondcne thinq is onsore chorus
  • 44.
    lGsate Dete 39 2020 RECAP MIMImn MMIm/m_Quauing Sstem MIal M/DII M/M/1 tabular SommaruWs Ltle Ls 70 Meps (too ns 50 w 33-33 routing 3-6 & 2-S-6 -4-6 & 2--62 fouhng ,7o 2 10 07 ot delay fem23 o op s33:3.ns 30 7 3 2.C1-) 3x76 Xo
  • 45.
    nte . w:33:33nsA3 1oxto Ch2 33:33 ns routing2 2-6 1 o 50 150 L 76 12.5 nS 70 C8o) xLo% 2- w _12.5 n 50 Met okela- 0 r wt O U2-Sns olalays loo Control outing algorithm altered toad fajected. hroughpt oeedlload reected load
  • 46.
    aSMAtr ROUTINCn delays algol ensuredelays arminimized ocxèmize throughputs pocr= protocalsreuttna atge2 algorithms gcod CStathio NS dummio hroughput lat vS. hienarchical SSet C-ttinta-donMainvS 0ter-clomaun distribuied vs. Centralized ingle VS. multipath liok stiate vsdustonca Necton nead toknoa Chieranhia bellman-ord |whole netoonk routi Cdjstra RoOTNG ALOORITHMS DLJKSTRA CShotestpath algorithms) ChCV,E V et oh vertic8 0oiKshra Set o elges ob 2 G)bellmarn focc 5 s( 2 Ve Step w add nocde Shoctst pat e
  • 47.
    ASSMAte ute 20 nitia zation O P} ALCORITHM PD mi D PPO Si DD minD, Dt dij 2 + 3 gcto until Dz G D 0 Dniki alazhio D,:o D n : 2 P:i . P: 23 D,2, D2 D,o D Peoo .P 2,31 D 2 D 2 P ,2, 3,s D D 2 D S D-5S GPa,2,s, s41 done
  • 48.
    elassmate Data 3.9 2AL Pnga rUnningtime v) Nlv terati ons N- OCM)n each deration o) o(NlogM)OCIEI+V)loqtvl) di Ksira disadlvaniago )-Ve edges are no1 allowod BELLMAN-FORD ve edger ora allow d ho riesf path k no odekined bvt, no-v w1 Cuclec 0 D i 2 - Mgorithm D min oltD, Ct_D turminate i D : D" min Cest ot reaching usgatmost n edgei min Sd +D"D JF averyStep shortestpoth with edge is alczlatedto each node
  • 49.
    elasSMate Date 3.4.e Page 2 5 Do D:D D = D co Yonning am oCIvllEL) oCN v: N O (mIE1 # terotion equred m N ElN
  • 50.
    alassMAte Data3,9.200 Page 8. PROFOSITION a Ds aegeneated hyhe aloarthmare qual to he ShoctestpaBh ramifu 1_o t ecoes h. healgarithm terminates k alculesNOt_Cotamng nccle Lare having non--Le costk. elgoferminates ttSo dn hNe at tecmination De 's he cof of horteai path romtolor to HwKh prove htL D. D 4 K h._ FLOYD-wARSHALL all-pair sortest path d Or h:0..N h minD P PeK terahion-h: te have the shortest path costromi fo, 'vsin9 0d- 2 h (h=O wlo any Yoole)
  • 51.
    elassmate Date 7.9.2020 Page KoUTING ANDVPN RECAP TOUhg-algorithms hartest path) olkstra-gre0elu bellman-tprel goydwarshall progfaongUntast TOUHng- broadast min(s,1) 3 Kruskal's rmin. Cs) MST prims mu tcast 33,53 s M St M Spans 3,55 Cost C)> tW ts minimiaedeeM min coSt Steiner tree NP (omplete PIM
  • 52.
    elassmate Data7.9.2020 Paga ARPANEL C96a o DD2 D DaD 2 5)D-S3 2 0 BELLMAN FORD h D":o D, D min d e NG) d des dd Cwhat ih oach Oocde sqnchronov2 sy sBaft Ais htkengin- nDde D h_node e= h D h- min d + jeNG) t algprithm Coi olso Convege m _ _ol JEN C)
  • 53.
    clAsSMAte Date7:9.2 Page 825ms CoiL braodcastDs fo Detghbaurs.25 ms DYNAMIC RoUTING. inkStatestanco vector? YOute shoulol noto NOUierS Should nOO only i neiahboor whole_networkK. o kaRps only olit gov ka0p cwnole netewor fo nerahbour ) Lno alL Rink Sates delays-bellman-kool Cslower dikstra CAasior qsomelink goes do, knecolalge moreBU as ey passigs slao) trnbtt is generatto) ass B2 less erokLi Staic *AicaluyrouhnaS- xed Csmcleraenizahon
  • 54.
    elasSMAte Dat 7.C2e20 Paga ARPANET clustanCe Veetorroutm Ca6) RIP C) RIP Cea) REGEMS3 thops allowed t be is Cmmenk. DNAMIC RoUTINCa C'hterion gafo QxteyiOr gateway betwcen olkh AsLauke namaus siem AS ink Siete_distance vcekon 1GRP OSPE RIPv2 ElGRP CREL2453 RECT&&g) port179) Bf boreler godaay protaco Corrent Verson 2006,- RFL421
  • 55.
    elassmAte Dote 7:9-2 Page. VPN hat isNPN2 virtuakprivats netuOork Conmect ta Carporete Metwork 4oacceSs Conputing e Sooree3 w n 1UT_ tOhen oU+SIde Camp2 SeaUY OomYMunicaHton,- to,0.0 C INTERNET CPubleo) blie 1PtUT eteutr Cintranet Cpauate- t ismyip"hone oporo VPN or Some VPN Cllenk to brorkse hHPS Opera US AUstralea e N/ 2Mbps 200MbsServex 0-2 Mbps ehasAppcaul (pod
  • 56.
    elassate Data 7- 202 Page6. ComPo NTER -Qirtel erabond mail Server homahttps://mg.dct-acin. home Durpos o VPN O.Drovole_dataankidentakity data ihhegn 256 256 2S thenthca tion encrupHon_ Ccase naShë(noS Cpoblic k asymmetric e SHA SHA Sumnetric ke MDS RSA ElamaLDES 2DES, AES blosh RIPEMD 66 VPN Use to Service SSL USe to LAN COroS Tuwo_LAN
  • 57.
    elasSMAte Date 7.428R0 Page LAN LAN bangalov (SEhyolerabad -acternatserto ticlarserViLe PPTP Wmdows RS REC2637)_ L2TP REL26 6761 393 RFL30Se uSL or 2 LANS cre Febten Poster 2 LAM CECPSec2 modeX ranSpoyxt devace oleuc tuYmel YoOteN=YOUeN oYY device-roUte_ FNG ESP) RFC4303 (kE- 43% AH AH REC4302 authen tHate He dota-@ncrepi ne dotu Cauhantotton posSi be)
  • 58.
    classmwte Date7.202 Page PSec tunnet ESP DATA TPDATA 1TDATA lO. 102 npaASprt mode ESP Quth Folate| Onypteol IP Secintransport mode th_ESP Quth. datu p 2. VPN-A_ VPN-B 3PES CRC AFS HMACSHA1 AFG-XCBC o2 bit 2atRbit IkE RFL 486e hatall co4ptogmphi 0peatio) Spparteol hel man