THE INDIAN ACADEMY, DUBAI
•Date : 22-04-2024
•Teacher: Ms. Shahanaz
•Grade & Section: 11 A / B
• Subject: Physics
•Topic: Motion in a straight line
MIND MAP
Pre Assessment
• Distinguish between distance and displacement
• Distinguish between speed and velocity
• What do you mean by a uniform motion?
• What is acceleration?
• Give the three equations of motion
LEARNING OBJECTIVE
Classify motion based on the number of
dimensions.
1. Frame of reference
2. Motion in a straight line
3. Elementary concepts of differentiation
and integration for describing motion
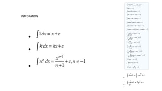
INTEGRATION
4. uniform
and non-
uniform
motion
5. instantaneous velocity
6. uniformly accelerated motion
The uniformly accelerated motion is defined by a
motion in a straight line with a constant acceleration
and zero difference. Hence the velocity of an item in
this movement continually changes depending on the
velocity direction
In general, a uniformly accelerated motion is the one in
which the acceleration of the particle throughout the
motion is uniform
7. velocity – time graph
8. position-time graph
9. Relations for uniformly accelerated
motion (graphical treatment)
https://byjus.com/physics/derivation-of-equation-of-motion/
RLA
1.Relative Motion of Objects:
1. Understanding relative velocity is essential in real-life scenarios. For
instance:
1. When you’re on a moving train, the relative velocity between you
and objects outside the train affects your perception of their
motion.
2. Observing the relative motion of vehicles on the road helps drivers
make safe decisions.
2.Free Fall Under Gravity:
1. Galileo’s Famous Gravity Experiment demonstrated that all bodies,
regardless of weight, fall freely under gravity with the same
acceleration (assuming no air resistance).
2. This concept is crucial for understanding phenomena like falling
objects, skydiving, and even the motion of planets.
3.Throwing Up and Falling Down of a Ball:
1. Whether you throw a ball upward or let it fall from a height, the time it
takes to reach the ground and its speed are the same (assuming the
initial and final heights are equal).
2. This similarity in motion is due to the acceleration due to gravity acting
CCL
1.Mathematics - Calculus:
1.The study of motion in physics is deeply connected to calculus.
Concepts like velocity and acceleration are fundamentally tied to
derivatives and integrals, which are core topics in calculus.
2.Biology - Human Physiology:
1.Understanding motion is crucial in sports science and human
physiology. For example, analyzing the straight-line motion of a
sprinter can help in improving performance and understanding
biomechanics.
3.Technology - Transportation Engineering:
1.The principles of motion are applied in designing vehicles and
transportation systems. Engineers use these concepts to
optimize fuel efficiency, safety, and performance of vehicles.
These links show how the principles of motion in a straight line are rel
evant across various fields, demonstrating the interdisciplinary nature
NUMERICAL 1
NUMERICAL 2
NUMERICAL 3
NUMERICAL 4
NUMERICAL
5
Word Web or Key Words
Frame of reference, Motion in a
straight line, Elementary concepts of
differentiation and integration for
describing motion, uniform and
nonuniform motion, and instantaneous
velocity, uniformly accelerated motion,
velocity - time and position-time
graphs. Relations for uniformly
accelerated motion (graphical
treatment).
POST ASSESSMENT
Give 5 characteristics each for
-displacement time graph
-velocity time graph

Physics motion in a straight line class 11

  • 1.
    THE INDIAN ACADEMY,DUBAI •Date : 22-04-2024 •Teacher: Ms. Shahanaz •Grade & Section: 11 A / B • Subject: Physics •Topic: Motion in a straight line
  • 2.
  • 3.
    Pre Assessment • Distinguishbetween distance and displacement • Distinguish between speed and velocity • What do you mean by a uniform motion? • What is acceleration? • Give the three equations of motion
  • 4.
    LEARNING OBJECTIVE Classify motionbased on the number of dimensions.
  • 5.
    1. Frame ofreference
  • 8.
    2. Motion ina straight line
  • 9.
    3. Elementary conceptsof differentiation and integration for describing motion
  • 10.
  • 11.
  • 12.
  • 13.
    6. uniformly acceleratedmotion The uniformly accelerated motion is defined by a motion in a straight line with a constant acceleration and zero difference. Hence the velocity of an item in this movement continually changes depending on the velocity direction In general, a uniformly accelerated motion is the one in which the acceleration of the particle throughout the motion is uniform
  • 14.
    7. velocity –time graph
  • 16.
  • 18.
    9. Relations foruniformly accelerated motion (graphical treatment) https://byjus.com/physics/derivation-of-equation-of-motion/
  • 22.
    RLA 1.Relative Motion ofObjects: 1. Understanding relative velocity is essential in real-life scenarios. For instance: 1. When you’re on a moving train, the relative velocity between you and objects outside the train affects your perception of their motion. 2. Observing the relative motion of vehicles on the road helps drivers make safe decisions. 2.Free Fall Under Gravity: 1. Galileo’s Famous Gravity Experiment demonstrated that all bodies, regardless of weight, fall freely under gravity with the same acceleration (assuming no air resistance). 2. This concept is crucial for understanding phenomena like falling objects, skydiving, and even the motion of planets. 3.Throwing Up and Falling Down of a Ball: 1. Whether you throw a ball upward or let it fall from a height, the time it takes to reach the ground and its speed are the same (assuming the initial and final heights are equal). 2. This similarity in motion is due to the acceleration due to gravity acting
  • 23.
    CCL 1.Mathematics - Calculus: 1.Thestudy of motion in physics is deeply connected to calculus. Concepts like velocity and acceleration are fundamentally tied to derivatives and integrals, which are core topics in calculus. 2.Biology - Human Physiology: 1.Understanding motion is crucial in sports science and human physiology. For example, analyzing the straight-line motion of a sprinter can help in improving performance and understanding biomechanics. 3.Technology - Transportation Engineering: 1.The principles of motion are applied in designing vehicles and transportation systems. Engineers use these concepts to optimize fuel efficiency, safety, and performance of vehicles. These links show how the principles of motion in a straight line are rel evant across various fields, demonstrating the interdisciplinary nature
  • 24.
  • 25.
  • 26.
  • 27.
  • 28.
  • 29.
    Word Web orKey Words Frame of reference, Motion in a straight line, Elementary concepts of differentiation and integration for describing motion, uniform and nonuniform motion, and instantaneous velocity, uniformly accelerated motion, velocity - time and position-time graphs. Relations for uniformly accelerated motion (graphical treatment).
  • 30.
    POST ASSESSMENT Give 5characteristics each for -displacement time graph -velocity time graph