Revolution Via Social Media
An Empirical Study of Social Media as a Risk Factor for Social Conflict within Africa
Patrick Hipple
Economics Honors Thesis
College of the Holy Cross
Advisor: Prof. Anderton
Second Reader: Prof. Carter
Fall 2011
Abstract:
This paper investigates the social conflict implications of the internet and mobile phones within African
nations. This cross-country analysis uses a Poisson regression model to study the effects of social media,
measured by internet and mobile phone penetration rates, on the number of social conflicts from 2005-
2010. The dependent variable is the number of social conflict events aggregated per country per year.
Results show that both the internet and mobile phone penetration rates have a positive statistically
significant effect on the amount of social conflict within African countries.
Introduction
The causes of conflict and peace have long been an object of study. Policymakers,
academics, and the pubic have constant concern for the human and economic costs of the onset
and continuation of conflicts between and within states. The literature regarding conflict has
largely focused on larger scale conflict which includes interstate and civil wars. In this paper the
focus will be on lower level social conflict. These conflicts include protests, riots, small
rebellions, and strikes. These social conflicts largely go unnoticed by scholars and the
international community until they lead to a larger scale conflict or war.
Between the years 2010-2011 there has been a large uptick in the number of protests in
Africa and the Mideast. In a matter of weeks, the people of Tunisia and Egypt ousted the
autocratic regimes that had ruled in those countries for decades. Unlike past revolutions, no
individual, group, or event was solely credited with this shift in power. Algeria, Lebanon,
Jordon, Mauritania, Sudan, Oman, Yemen, Syria, Djibouti, Bahrain, and Libya have all
experienced similar protests. Yet the turning point that brought people together against their
abusive governments was not seen perceived by news outlets such as CNN and The New York
Times. These outlets have deemed some of these an Arab Spring or a “Facebook Revolution”
(LaMonica). CNN has cited that the presence of social media outlets fueled the fire of revolution.
These protesters have all shared techniques of civil resistance in sustained campaigns involving
strikes, demonstrations, marches and rallies, by using the internet or other social media devices
such as Facebook, Twitter, and YouTube. According to the World Bank approximately 1/3 of the
world’s population is connected via the internet or mobile phones. This statistic is growing
rapidly as the price falls dramatically for social media devices.
This paper hypothesizes that the presence of social media devices will cause the number
of social protests and conflicts to rise within African countries, ceteris paribus. This hypothesis
will be explored through various theoretical perspectives in the conflict literature. This will be
followed by an empirical test of the hypothesis on a sample of 45 African countries from the
time period of 2005-2009. In the time period studied, there appears to be statistically significant
support that the level of the internet and mobile phone technologies increased the risk of social
conflict within African countries.
I. LITERATURE REVIEW
Previous literature addresses the question of what risk factors affect conflict. Scholars
have examined an extensive number of risk variables relating to intrastate wars and sub-war
conflicts. In combination with these risk factors, theories have been developed that are relevant
for considering globalization and technology effects on conflict.
Selected Empirical Studies of Intrastate Conflict
Although the specific literature regarding the risk factors for the onset of intrastate
conflict is extensive (e.g. Sambanis 2005), there are few studies that examine effects of internet
and mobile phone technologies. Scholars use a variety of independent variables to assess risk
factors for intrastate conflict, including population, ethnic/religious fractionalization, GDP
growth, political participation, and political corruption. Although some include globalization as a
risk factor for conflict it is never disaggregated to examine pieces of the globalization indexes.
Also, most studies look at a larger aggregated variable of interstate war or civil war onset and not
the lower level disaggregated social conflicts that can lead up to these events.
Collier and Hoeffler (2004) examine two motivating factors that could possibly lead to
the onset of civil war. Their study examines civil war in the time period of 1960-1999. They
highlight that rebel leaders could be motivated by greed, grievance, or both. Rebel leaders
motivated by greed are interested in profit maximization by procuring natural resources, taxation,
illegal activities, or other forms of economic activity. Grievance motives result from a
mistreatment of a group, state corruption, or unhappiness towards policy. These two motives are
not mutually inclusive; a population can be motivated by a mixture of both motives. The result of
their study was that higher levels of grievance can cause a higher risk in conflict, but greed
motives are more important than grievance. Although this study is extensive, it does not include
a measure for internet or mobile phone usage which could be related to the grievance and greed
variables.
Fearon and Laitin (2003) investigate what factors cause the onset of civil war. Their
dependent variable was if civil war started in a country within a year period. The time frame was
1945-1999. They concluded that conditions that favor insurgency were state weakness, poverty,
a large population, and political instability. The variables they were testing, ethnic and religious
diversity, did not come up statistically significant. Although they find statistically significant
variables they omit the media variable. In this study we will assess a technology variable because
during the time period examined there have been vast changes in the areas of media which need
to be considered.
Hegre and Sambanis (2006) are examing the factors that bring about the onset of civil
war. The dependent variable defines civil war as an intrastate conflict with 1,000+ deaths in
total; their data is from the Uppsalla Conflict Data Program. This study’s results are that a large
population, low per capita real income and growth rate, recent political instability, inconsistent
democratic institutions, countries with small militaries increase the risk of civil war. The
importance of this study is that robustness checks were done with different data sets to highlight
that they are important in most conflict studies. Similar to previous studies there is no social
media variable present which will be the focus of this study.
Another cross-sectional study of risk factors for civil war is Nieman (2011), who uses
similar variables to Fearon and Laitin. This study examines the time period of 1970-1990 and
adds a globalization variable. He reasons that globalization has both positive and negative
properties and as globalization increases there is a tension between these two forces. He believes
that globalization gives states and individuals tremendous benefits, but sudden shocks can
overwhelm a state’s capacity to offset the negative impacts of globalization thus elevating the
risk of conflict. His dependent variable was the onset of civil war. The independent measure for
globalization shock was a non-disaggregated index. This index incorporated measures for the
levels of economic, political, and social globalization, which included measurements for social
media and the internet. The results of the study are that sudden shocks of globalization show
statistical significance as a catalyst for the onset of civil wars. Other variables that were found to
be statistically significant, supporting Fearon and Laitin’s study, were population, real
GDP/capita, and instability.
Selected Empirical Studies Low Level Conflict
The previous set of literature looked at risk factors for civil wars. The following studies
highlight risk factors relating to low level conflict. These include strikes, protests, political riots,
and a short duration interstate conflict.
Machado (2011) is investigating how an individual choses various forms of political
participation. Two choices that are examined are political protest and democratic discourse
through an institution. The study focuses on the different political institutions within 17 Latin
America counties from 2000-2007. Her reason for choosing Latin America is that most countries
were democratized in the 1980s but different types of protest and conflict are present in different
types of countries. Machado finds statistical significance that a well-functioning institutional
setting leads political discourse to be facilitated through the political institutions, and when
political institutions are weak individuals with grievances tend to go to the street. Furthermore,
she finds that a lack of respect for political institutions and experiences with corruption also
increase protest participation. Although she points out reasoning that political protests do occur,
she does not look at why or how they mobilize. The internet could be added to further her
models explanatory power.
Hutchison (2011) investigates whether defensive mobilization is elite led or due to an
overall pattern in non-voting political participation. He is examining 16 countries within Africa
from the years 1999-2003. The dependent variable was number of non-voters that still
participated politically. He found statistical significance that territorial threats are positively
associated with non-voting political participation. This paper does include a variable for media
exposure and this index includes the internet. This variable was positive and statistically
significant coefficient. Although this paper does include a media variable it does not
disaggregate the different parts of the index. My study will focus on the two elements of media
exposure of the internet and mobile phones. Also, Hutchison looks at an interstate dispute
whereas this paper looks at low level social conflict within a state.
The focus on media exposure and conflict is continued by Zeitzoff (2011). He is
examining the 2008-2009 Gaza Conflict and using social media to forecast how each actor
reacted to one another. This study is unique because it utilizes official blogs, twitter feeds,
internet news feeds, and other internet media sources as a measure of conflict intensity. The
more counts of media news within a time period meant that the conflict was more intense for that
period. Unlike previous studies Zeitzoff looks at shorter aggregated periods of time, 15 minutes,
instead of the usual year. The results of his study were that Israel was reacting more to Hamas,
until after the UN passed a resolution telling Israel to stop its attacks. Zeitzoff’s data shows that
at this point, Hamas actually increased the intensity of the conflict and Israel did not retaliate.
Zeitzoff used social media a shift in Hamas’ cost of conflict. In particular, Zeitzoff adds a
variable for social media, which includes the internet. Social media as a whole is used but he
does not break it down any further. Not directly stated in his paper is the idea that the large
presence of media increases the cost dramatically of an Israeli counterattack because reports
would easily be reported via the web.
Olzak’s (2010) empirical cross-country analysis finds that ethnic and religious diversity
and also globalization bring about a higher severity of ethnic conflict. She differentiates herself
from other studies by using severity (number of deaths) instead of onset or presence. Olzak’s
study has a globalization index variable which includes measurements for the level of trade,
media and information flows, political treaties, and political/economic negotiation. The media
and information flows include measurements for the internet. She finds statistical significance
that globalization increases the amount of non-ethnic and ethnic conflict. My study will focus on
the disaggregated variables, from her globalization index, of the internet and mobile phones on
low level social conflict.
Selected Theoretical Perspectives
Kuran (1989) examines the paradox that revolutions in hindsight seem to be inevitable
but are almost always overlooked in foresight. His definition of revolution is a massive shift in
peoples expressed political views. He supports this by noting that the French Revolution,
Russian Revolution, Iranian Revolution, and the fall of the USSR all took world experts by
surprise. Kuran’s hypothesis is that individuals hide their preferences for revolt until conditions
are more favorable. The idea is that there is a tradeoff, when grievances are present, the rewards
of revolution and the punishments the regime will put on the rebels. When individuals see that
the rewards of revolution are higher than the punishment they join the movement, which results
in a quickly moving bandwagon affect. He also hypothesizes that there is a domino effect where
individuals who support a government (or are indifferent) falsely support the rebel group because
the cost of counterrevolution is too high. Kuran calls this the spark and prairie fire affect. He
further argues that the reason we see spark after the revolution is because people unveil their
previously hidden grievances. However this study does not mention by what methods
individual’s use to measure a trade in this tradeoff. In a sense what is missing is the forces spark
this bandwagon affect. The internet could be introduced into his hypothesis as a way for an
individual to gather information on the potential probabilities for their tradeoffs.
Fritsch (2011) theorizes on how technology affects society. He states that technology has
always been a powerful driver of change in global society’s economic, political, military, and
cultural development. Technology has multiplied the destructiveness and global reach of armed
conflict and the newest part of this technology is the cyber world. Also, technology has affected
the social status quo which can upset a political or social balance. Although his piece is not
empirical, he points out that technology changes have caused the world to become more global,
and this globalization has an impact on the potential intensity of conflict.
One of the earliest studies to connect the internet and globalization is Houston (2003).
This study highlights the impact of the internet on globalization. He points out that the internet
brings new knowledge at low cost to populations. An important fact is that in 1998 that 1/5 of the
top 50 internet using countries was countries a GDP per capita of less than $2,000. This
highlights that the internet is present in all types of countries. He hypothesizes that with this new
and powerful way of gathering and interpreting information people will question current cultural
representations. This will lead to populations experimenting with their culture norms and in
effect trying to rewrite social operation manuals bringing about a more global society.
Laer and Aelst (2009) supports the finding of Houston (2003) that the low cost of the
internet brings knowledge to vast groups of populations. Taking their study farther they theorize
that the internet is used by activist groups in social and political protests. The protesters are able
to spread their knowledge faster and able to use the internet to mobilize. However, they do
differentiate two different types of protests internet based and internet supported. Although Laer
and Aelst do not look into empirical data they are supporting the fact that theoretically when the
internet is present the potential costs of protest are lowered.
These empirical and theoretical studies have examined the overall picture what risk
factors affect a societies risk for conflict. They have also shown that overall globalization has an
effect on the risk factor for conflict. They do not however look at individual variables contained
in globalization such strictly the internet’s effect on one type of conflict. Also, these empirical
studies do not cover the recent internet boom in less developed countries.
II. METHODOLOGY
The purpose of this study is to empirically examine the impact of two globalization
variables and their relation to social conflict within an African country. This study expands on
the studies of Fearon and Collier to attempt to examine risk factors for conflict, but this study
will use a lower scale measure civil strife. While studies when examining globalization indexes
as a risk factor variable (Olzak, Zeitzoff, Hutchison), this paper disaggregates mobile phone
users and internet users in order to explain what pieces of globalization cause low level civil
protest. Therefore, the results of this study help to explain under what circumstances a country
would expect an increase in civil protests to occur.
Drawing from the existing body of literature, papers have found theoretical support
between globalization and an increase in social unrest. This study uses an updated data set which
focuses on low levels of social conflict in order to uncover a significant relationship between the
internet, mobile phones, and this low level of conflict.
Theoretical Model
This paper hypothesis is that the
internet and mobile phones will make a
populous more inclined to engage in a
social conflict. The logic behind this is
that the presence of these variables will
spread the idea of a grievance or greed
across a population and it will give a
group the ability to mobilize more
efficiently. To understand this we can
introduce these variables into an altered
profit maximization model (Figure 1).
Cost’
The model is a simple cost versus revenue model where both cost and revenue have a
positive slope, but cost is convex and revenue is concave. The key to the model is social conflict
is a function of economic viability. The costs that are integrated into this model would be the
cost of guns, propaganda, communication devices, wages, and other costs incurred by the
protesting group. If there is not economic viability the protest cannot function. For example
when cost lies about revenue protest is not economical viable as reflected by in figure 1. By
introducing the internet and mobile phones into this model we can observe that within a country
where social conflict is not economically viable a rotation of cost due to these variables can
make social conflict occur. In this model we are assuming communication availability devices
are part of costs of social conflict. Over the last ten years access to social media devices
(computers, internet cafés, cell-phones, laptops, etc.) has increased worldwide, and at the same
time the cost has fallen for these goods. The increase in access and decrease in cost would
rotation the cost curve from its original position (Cost) to (Cost’) in the upper panel of figure 1.
The rotation is also reflected in the net revenue function by examining RC to RC’ in the lower
panel of figure 1. As a result we now observe a region of economically viability for social
conflict. Now we observe that there is now an economically visible region of rebellion from R0-
R1 in the lower panel of figure 1.
Drawing on Collier and Hoeffler, a populous is motivated by greed, grievance, or a
mixture of both. By adding their study to the net revenue model we can see that a populous
purely motivated by greed would have an
indifference curves tangent to the maximum
point of profit (see figure 2). Whereas a
populous motivated by grievance would have
vertical indifference curves throughout the area of economic viability favoring R1 (see figure 2).
A mixed motivated populous would have negatively sloped convex indifference curve (see figure
2). Since there is a rotation of the cost function this translates into an upward shift and outward
movement of the RC curve to RC’. Therefore, we would expect the decrease in cost from the
increased presence of mobile phone and internet users to increase protest or rebellion for any
populous with either greed or grievance motives or a combination of both.
Other variables that are integrated into this model that this study uses are population,
relative GDP per capita growth, and political corruption. Fearon and Latin (2003) associate per
capita income as a proxy for relative weakness or strength of a county. They point out that a
higher per capita income should be associated with lower risk of conflict because the state is
stronger. A fall in relative per capita income would then decrease the rebel cost function because
the state is weaker and rebel leader could expect a lower levels of government interference.
Again an area of economic viability would arise favoring all 3 types of rational for protest.
Lastly, political corruption is the use of legislated powers by government officials for illegitimate
private gain. This variable either moves the cost function up causing noneconomic viability, or
does not affect the cost function dependent on the situation. A population’s response to this
would be strictly grievance motivated, thus if an area of economic viability exists we would
expect rebellion to occur.
The internet and mobile phone penetration moves the cost function for rebellion. This
rotation in the cost function can magnify the previous variables by creating an area of economic
variability for rebellion that would not be present if it was strictly one of those variables. Therfor
this study theoretical conclusion is that for all three motives proposed by Collier and Hoeffler the
internet has an indirect or direct effect on creating an area of economic viability for rebellion and
thus increasing the likelihood of social conflict occurring within a country with higher levels
internet and mobile phone users.
III. Empirical Method: just show how they are proxied
Defining Conflict (Dependent Variable)
To examine conflict in African countries for 2005-2009 our definition of conflict must be
defined. The conflict data used was from the The Robert S. Strauss Center’s Climate Change and
African Political Stability database (SCAD, 2010). This database identifies 6,100 social conflicts
within African countries from 1990-2009. The sample we will be looking at is from 2007 where
1,340 conflicts fit within our criteria. This dependent variable is different from that used in
previous studies because it measures a large array of very small low level conflicts instead of
larger scale intrastate or interstate conflicts.
The dependent variable is a count of social conflict events defined by the following
criteria: (1) Distinct, continuous, and largely peaceful action directed toward members of a
distinct “other” group or government authorities. (2) Distinct, continuous and violent action
directed toward members of a distinct “other” group or government authorities. The participants
intend to cause physical injury and/or property damage. In this event, clear leadership or
organization(s) can be identified (5) Members of an organization or union engage in a total
abandonment of workplaces and public facilities. (6) Members of an organization or union
engage in the abandonment of workplaces in limited sectors or industries. (7) Distinct violent
event waged primarily by government authorities, or by groups acting in explicit support of
government authority, targeting individual, or “collective individual,” members of an alleged
opposition group or movement. (SCAD). If an event meets one of these criteria it was counted as
one conflict for the country during the time period examined. If multiple conflicts occurred
within the year they were aggregated.
Independent Variables:
The data source for the independent variables is the World Bank data set of African
Development Indicators. The variables will include number of mobile phone and internet users,
population, real per capita GDP growth, and a dummy for political corruption. This data set has
yearly economic and social data for every country in Africa from 1940-2010. We are limited to
looking at the years 2005-2009 because of a lack of data regarding the internet and mobile phone
users for years previous. The descriptive statistics can be viewed on Table 1.
Statistical Model:
In order to assess the potential relationship between social media and the risk of social
conflict, I estimate a model using social conflict counts as the dependent variable and
internet/mobile phone variables along with several control variables as independent variables.
This model also uses year to year dummy variables to control for time-variant factors of conflict.
This study uses a Poisson estimation method and will use robust standard errors (but they are not
reported). The estimation method is appropriate because there are multiple events within a
country each year and there cannot be a negative number of conflicts per year. Three different
regressions will be used to estimate the effects that internet and mobile phones have on social
conflict.
The following models will look at social media’s relationship to social conflict. The first
model examines internet alone, the second looks at mobile phones alone. The third regression is
a robustness check for the internet variable. In the third model the internet variable is changed to
look at internet penetration rate opposed to strictly the number of users. This variable is simply
internet users per country divided by total population of the country
Model 1: e(β1+β2Internet Users+β3Population+β4GDPgrowth+β5Corruption+β6*2006+β7*2007+β8*2008+β9*2009)
Model 2: e(β1+β2Mobile Users+β3Population+β4GDPgrowth+β5Corruption+β6*2006+β7*2007+β8*2008+β9*2009)
Model 3: e(β1+β2Internet Penetration+β3Population+β4GDPgrowth+β5Corruption+β6*2006+β7*2007+β8*2008+β9*2009)
III. Results
Table 1 investigates the impact of the internet on social conflict within African countries.
The statistically significant year dummy variables and constant coefficient represent an expected
number of conflicts relative to year 2005. Also, all the control variables come in statistically
significant with expected signs. The internet variable is positive and marginally statistically
significant at the 5% level using a one-tailed test. A one-tailed test is appropriate here because
we are hypothesizing that the internet will have a positive effect on the number of conflicts.
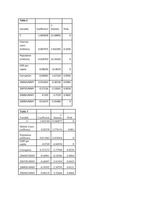
Table 2 investigates the impact of mobile phone users on the social conflict within
African countries. The results show that most of the year dummy variables and control variables
come in statistically significant. The mobile phone variable also comes in positive and
statistically significant at the 1% level using a one-tailed test. Its coefficient of .02558 implies
that an increase in mobile phone users by one million would lead to an increase of social conflict
of 2.558%. Although this might seem small, Africa leads the world in mobile phone growth rates
since 2008 and is expected to increase exponentially in the future (Africa News.com). From 2005
to 2009 mobile phone subscriptions have increased by 500 million users (across the continent).
This regression points to an increase in social conflict as a result of the growth trend in mobile
phone users.
Table 3 investigates a different method of looking at the internet and its effect on social
conflict. It changes the variable to look at the penetration of the internet instead of users. In this
model the results of the year dummies and control variables hold similar to the previous models.
The internet penetration variable is positive and highly statistically significant. The coefficient
estimate .03617 implies that an increase of internet penetration by one percentage point would
increase the amount of social conflict by 3.617%.
IIII. Conclusion
The results of my theoretical and empirical inquiry lend clear support for the relationship
of social media devices and social conflict. The internet variable in the first model was
marginally statistically significant for a one-tailed test, while the media variables in the second
and third models were highly statistically significant. Hence, my thesis is supportive of the view
that social media does indeed affect social conflict within African countries.
In this study I tested only African countries. One explanation for the results is that the
relatively recent introduction of these devices has given Africans a more efficient means of
mobilization for social conflict. Another explanation for the results is that the introduction of
social media devices gives the African citizenry a point of reference to other standards of living
around the world. This point of reference could make African’s feel relatively worse off to the
rest of the world. These differences could motivate individuals for both greed and grievance
reasons to participate in social conflict.
The increasing number of Africans who use social media devices suggests that the
number of social conflicts will tend to increase, ceteris paribus. This also suggests that whether
Africans are motivated by greed or grievance, the presence of social media devices has resulted
in an increase of social conflict.
Table 1 GDP per capita (current US$) Population, total Internet users Control of Corruption (estimate) GDP growth (annual %) Mobile User
Mean 1694.362076 21081640.01 1462581 -0.597742132 4.7029232 6291251
Standard Error 159.6206725 1849869.003 278479.6362 0.036699939 0.280208082 766574.284
Median 609.9908657 11956408 232000 -0.652940961 4.918480831 1851020
Standard Deviation 2367.557179 27437991.4 4102261.204 0.544348071 4.156157511 11318333.6
Sample Variance 5605326.998 7.5284E+14 1.68285E+13 0.296314823 17.27364525 1.28105E+1
Minimum 107.8705557 1124410 11000 -1.535497028 -17.25418063 40438
Maximum 14802.19617 154728892 43982200 1.074671963 20.61324022 73099312
Count 220 220 220 220 220 218
Table 2
Variable Coefficient
z-
Statistic Prob.
C 1.683058 21.68856 0
Internet
users
(millions) 0.007475 1.632395 0.1026
Population
(millions) 0.018793 22.24343 0
GDP per
capita -0.08039 -11.8674 0
Corruption -0.09683 -1.67224 0.0945
2006DUMMY 0.031692 0.38736 0.6985
2007DUMMY -0.27126 -3.12641 0.0018
2008DUMMY -0.329 -3.7529 0.0002
2009DUMMY -0.53475 -5.55489 0
Table 3
Variable Coefficient
z-
Statistic Prob.
C 1.665184 8.546877 0
Mobile Users
(millions) 0.02558 3.278116 0.001
Population
(millions) 0.011062 4.454564 0
GDP per
capita -0.0749 -4.84938 0
Corruption 0.321273 -2.27948 0.0226
2006DUMMY -0.04961 -0.24506 0.8064
2007DUMMY -0.40497 -2.01924 0.0435
2008DUMMY -0.58592 -2.50795 0.0121
2009DUMMY -0.88518 -3.52604 0.0004
Table 4
Variable Coefficient
z-
Statistic Prob
C 1.478209 6.409344 0
Internet
Penetration 0.036172 3.212171 0.0013
Population
(millions) 0.017181 12.0063 0
GDP per
capita -0.07131 -5.23058 0
Corruption 0.238781 -1.29489 0.1954
2006DUMMY -0.00364 -0.01982 0.9842
2007DUMMY -0.32232 -1.71616 0.0861
2008DUMMY -0.4588 -2.1239 0.0337
2009DUMMY -0.74961 -2.97008 0.003
Eviews Print-Outs (for reference)
Model 1
Dependent Variable: CONFLICTS_IN_YEAR
Method: ML/QML - Poisson Count (Quadratic hill climbing)
Date: 11/11/11 Time: 03:17
Sample: 1 220
Included observations: 220
Convergence achieved after 6 iterations
QML (Huber/White) standard errors & covariance
Variable Coefficient Std. Error z-Statistic Prob.
CONTROL_OF_CORRUPTION__E -0.096825 0.057901 -1.672241 0.0945
INTMILL 0.007475 0.004579 1.632395 0.1026
POPMILL 0.018793 0.000845 22.24343 0.0000
_2006_DUMMY 0.031692 0.081816 0.387360 0.6985
_2007_DUMMY -0.271257 0.086763 -3.126413 0.0018
_2008_DUMMY -0.328996 0.087665 -3.752902 0.0002
_2009_DUMMY -0.534748 0.096266 -5.554886 0.0000
GDP_GROWTH__ANNUAL___ -0.080386 0.006774 -11.86744 0.0000
C 1.683058 0.077601 21.68856 0.0000
R-squared 0.563825 Mean dependent var 6.147465
Adjusted R-squared 0.547049 S.D. dependent var 9.343071
S.E. of regression 6.288042 Akaike info criterion 7.450529
Sum squared resid 8224.211 Schwarz criterion 7.590709
Log likelihood -799.3823 Hannan-Quinn criter. 7.507156
Restr. log likelihood -1313.856 LR statistic 1028.948
Avg. log likelihood -3.683790 Prob(LR statistic) 0.000000
Model 2
Dependent Variable: CONFLICTS_IN_YEAR
Method: ML/QML - Poisson Count (Quadratic hill climbing)
Date: 11/11/11 Time: 03:17
Sample: 1 220
Included observations: 220
Convergence achieved after 5 iterations
QML (Huber/White) standard errors & covariance
Variable Coefficient Std. Error z-Statistic Prob.
CONTROL_OF_CORRUPTION__E 0.321273 0.140941 -2.279483 0.0226
POPMILL 0.011062 0.002483 4.454564 0.0000
_2006_DUMMY -0.049609 0.202435 -0.245063 0.8064
_2007_DUMMY -0.404970 0.200556 -2.019240 0.0435
_2008_DUMMY -0.585917 0.233624 -2.507945 0.0121
_2009_DUMMY -0.885184 0.251042 -3.526040 0.0004
GDP_GROWTH__ANNUAL___ -0.074897 0.015445 -4.849383 0.0000
MOBMILL 0.025580 0.007803 3.278116 0.0010
C 1.665184 0.194830 8.546877 0.0000
R-squared 0.502535 Mean dependent var 6.110092
Adjusted R-squared 0.483493 S.D. dependent var 9.331913
S.E. of regression 6.706696 Akaike info criterion 7.097875
Sum squared resid 9400.773 Schwarz criterion 7.237602
Log likelihood -764.6684 Hannan-Quinn criter. 7.154313
Restr. log likelihood -1319.516 LR statistic 1109.696
Avg. log likelihood -3.507653 Prob(LR statistic) 0.000000
Dependent Variable: CONFLICTS_IN_YEAR
Method: ML/QML - Poisson Count (Quadratic hill climbing)
Date: 11/11/11 Time: 03:19
Sample: 1 220
Included observations: 220
Convergence achieved after 5 iterations
QML (Huber/White) standard errors & covariance
Variable Coefficient Std. Error z-Statistic Prob.
CONTROL_OF_CORRUPTION__E 0.238781 0.184402 -1.294893 0.1954
POPMILL 0.017181 0.001431 12.00630 0.0000
_2006_DUMMY -0.003637 0.183502 -0.019819 0.9842
_2007_DUMMY -0.322319 0.187814 -1.716163 0.0861
_2008_DUMMY -0.458799 0.216018 -2.123895 0.0337
_2009_DUMMY -0.749607 0.252386 -2.970082 0.0030
GDP_GROWTH__ANNUAL___ -0.071312 0.013634 -5.230581 0.0000
INTPENPER 0.036172 0.011261 3.212171 0.0013
C 1.478209 0.230633 6.409344 0.0000
R-squared 0.553486 Mean dependent var 6.147465
Adjusted R-squared 0.536312 S.D. dependent var 9.343071
S.E. of regression 6.362129 Akaike info criterion 7.162483
Sum squared resid 8419.151 Schwarz criterion 7.302663
Log likelihood -768.1294 Hannan-Quinn criter. 7.219110
Restr. log likelihood -1313.856 LR statistic 1091.453
Avg. log likelihood -3.539767 Prob(LR statistic) 0.000000
Works Cited
"AfricaNews - Africa Tops Mobile Growth Rate - The AfricaNews Articles of Accreporter."
AfricaNews.com - Sharing Views on Africa. Web. 17 Dec. 2011.
<http://www.africanews.com/site/Africa_tops_mobile_growth_rate/list_messages/23470
>.
Anderton, Charles H., and John R. Carter. Principles of Conflict Economics: a Primer for Social
Scientists. Cambridge: Cambridge UP, 2009. Print.
Cullen S. Hendrix and Idean Salehyan. “Social Conflict in Africa Database
(SCAD).”www.scaddata.org , accessed on <2011>.
Fearon, James D., and David D. Laitin. "Ethnicity, Insurgency, and Civil War." American
Political Science Review 97.01 (2003): 75. Print.
Fritsch, Stefan. "Technology and Global Affairs." International Studies Perspectives 12.1
(2011): 27-47. Print.
Houston, Douglas A. "Can the Internet Promote Open Global Societies?" Independent Review
7.3 (2003). Print.
Hutchison, Marc L. "Territorial Threat, Mobilization, and Political Participation in Africa."
Conflict Management and Peace Science 28.183 (2011). Print.
Jewkes, Yvonne, Majid Yar, Joroen V. Laer, and Peter V. Aelst. Handbook of Internet Crime.
254th ed. Vol. 230. Cullompton: Willan, 2009. Print.
Kuran, Timur. "Sparks and Prairie Fires: A Theory of Unanticipated Political Revolution."
Public Choice 61.1 (1989): 41-74. Print.
LaMonica, By Gabe, and Taryn Fixel, CNN. "Starting a Revolution with Technology -
CNN.com." CNN.com - Breaking News, U.S., World, Weather, Entertainment & Video
News. Web. 17 Dec. 2011.
<http://www.cnn.com/2011/TECH/innovation/06/17/mesh.technology.revolution/index.h
tml?iref=allsearch>.
Machado, Fabiana. "Political Institutions and Street Protesters in Latin America." Journal of
Conflict Resolution 55.340 (2011). Print.
Nieman, Mark D. "Socks and Turbulence: Globalization and the Occurrence of Civil War."
International Interactions (2011). Print.
Olzak, Susan. "Does Globalization Breed Ethic Discontent?" Journal of Conflict Resolution
(2011). Print.
Sambanis, N. "What Is Civil War?: Conceptual and Empirical Complexities of an Operational
Definition." Journal of Conflict Resolution 48.6 (2004): 814-58. Print.
Web.
Zeitzoff, Thomas. "Using Social Media to Measure Conflict Dynamics: An Application to the
2008-2009 Gaza Conflict." Journal of Conflict Resolution (2011). Print.

Patrick Hipple Honors Thesis

  • 1.
    Revolution Via SocialMedia An Empirical Study of Social Media as a Risk Factor for Social Conflict within Africa Patrick Hipple Economics Honors Thesis College of the Holy Cross Advisor: Prof. Anderton Second Reader: Prof. Carter Fall 2011 Abstract: This paper investigates the social conflict implications of the internet and mobile phones within African nations. This cross-country analysis uses a Poisson regression model to study the effects of social media, measured by internet and mobile phone penetration rates, on the number of social conflicts from 2005- 2010. The dependent variable is the number of social conflict events aggregated per country per year. Results show that both the internet and mobile phone penetration rates have a positive statistically significant effect on the amount of social conflict within African countries.
  • 2.
    Introduction The causes ofconflict and peace have long been an object of study. Policymakers, academics, and the pubic have constant concern for the human and economic costs of the onset and continuation of conflicts between and within states. The literature regarding conflict has largely focused on larger scale conflict which includes interstate and civil wars. In this paper the focus will be on lower level social conflict. These conflicts include protests, riots, small rebellions, and strikes. These social conflicts largely go unnoticed by scholars and the international community until they lead to a larger scale conflict or war. Between the years 2010-2011 there has been a large uptick in the number of protests in Africa and the Mideast. In a matter of weeks, the people of Tunisia and Egypt ousted the autocratic regimes that had ruled in those countries for decades. Unlike past revolutions, no individual, group, or event was solely credited with this shift in power. Algeria, Lebanon, Jordon, Mauritania, Sudan, Oman, Yemen, Syria, Djibouti, Bahrain, and Libya have all experienced similar protests. Yet the turning point that brought people together against their abusive governments was not seen perceived by news outlets such as CNN and The New York Times. These outlets have deemed some of these an Arab Spring or a “Facebook Revolution” (LaMonica). CNN has cited that the presence of social media outlets fueled the fire of revolution. These protesters have all shared techniques of civil resistance in sustained campaigns involving strikes, demonstrations, marches and rallies, by using the internet or other social media devices such as Facebook, Twitter, and YouTube. According to the World Bank approximately 1/3 of the world’s population is connected via the internet or mobile phones. This statistic is growing rapidly as the price falls dramatically for social media devices.
  • 3.
    This paper hypothesizesthat the presence of social media devices will cause the number of social protests and conflicts to rise within African countries, ceteris paribus. This hypothesis will be explored through various theoretical perspectives in the conflict literature. This will be followed by an empirical test of the hypothesis on a sample of 45 African countries from the time period of 2005-2009. In the time period studied, there appears to be statistically significant support that the level of the internet and mobile phone technologies increased the risk of social conflict within African countries. I. LITERATURE REVIEW Previous literature addresses the question of what risk factors affect conflict. Scholars have examined an extensive number of risk variables relating to intrastate wars and sub-war conflicts. In combination with these risk factors, theories have been developed that are relevant for considering globalization and technology effects on conflict. Selected Empirical Studies of Intrastate Conflict Although the specific literature regarding the risk factors for the onset of intrastate conflict is extensive (e.g. Sambanis 2005), there are few studies that examine effects of internet and mobile phone technologies. Scholars use a variety of independent variables to assess risk factors for intrastate conflict, including population, ethnic/religious fractionalization, GDP growth, political participation, and political corruption. Although some include globalization as a risk factor for conflict it is never disaggregated to examine pieces of the globalization indexes. Also, most studies look at a larger aggregated variable of interstate war or civil war onset and not the lower level disaggregated social conflicts that can lead up to these events. Collier and Hoeffler (2004) examine two motivating factors that could possibly lead to the onset of civil war. Their study examines civil war in the time period of 1960-1999. They
  • 4.
    highlight that rebelleaders could be motivated by greed, grievance, or both. Rebel leaders motivated by greed are interested in profit maximization by procuring natural resources, taxation, illegal activities, or other forms of economic activity. Grievance motives result from a mistreatment of a group, state corruption, or unhappiness towards policy. These two motives are not mutually inclusive; a population can be motivated by a mixture of both motives. The result of their study was that higher levels of grievance can cause a higher risk in conflict, but greed motives are more important than grievance. Although this study is extensive, it does not include a measure for internet or mobile phone usage which could be related to the grievance and greed variables. Fearon and Laitin (2003) investigate what factors cause the onset of civil war. Their dependent variable was if civil war started in a country within a year period. The time frame was 1945-1999. They concluded that conditions that favor insurgency were state weakness, poverty, a large population, and political instability. The variables they were testing, ethnic and religious diversity, did not come up statistically significant. Although they find statistically significant variables they omit the media variable. In this study we will assess a technology variable because during the time period examined there have been vast changes in the areas of media which need to be considered. Hegre and Sambanis (2006) are examing the factors that bring about the onset of civil war. The dependent variable defines civil war as an intrastate conflict with 1,000+ deaths in total; their data is from the Uppsalla Conflict Data Program. This study’s results are that a large population, low per capita real income and growth rate, recent political instability, inconsistent democratic institutions, countries with small militaries increase the risk of civil war. The importance of this study is that robustness checks were done with different data sets to highlight
  • 5.
    that they areimportant in most conflict studies. Similar to previous studies there is no social media variable present which will be the focus of this study. Another cross-sectional study of risk factors for civil war is Nieman (2011), who uses similar variables to Fearon and Laitin. This study examines the time period of 1970-1990 and adds a globalization variable. He reasons that globalization has both positive and negative properties and as globalization increases there is a tension between these two forces. He believes that globalization gives states and individuals tremendous benefits, but sudden shocks can overwhelm a state’s capacity to offset the negative impacts of globalization thus elevating the risk of conflict. His dependent variable was the onset of civil war. The independent measure for globalization shock was a non-disaggregated index. This index incorporated measures for the levels of economic, political, and social globalization, which included measurements for social media and the internet. The results of the study are that sudden shocks of globalization show statistical significance as a catalyst for the onset of civil wars. Other variables that were found to be statistically significant, supporting Fearon and Laitin’s study, were population, real GDP/capita, and instability. Selected Empirical Studies Low Level Conflict The previous set of literature looked at risk factors for civil wars. The following studies highlight risk factors relating to low level conflict. These include strikes, protests, political riots, and a short duration interstate conflict. Machado (2011) is investigating how an individual choses various forms of political participation. Two choices that are examined are political protest and democratic discourse through an institution. The study focuses on the different political institutions within 17 Latin
  • 6.
    America counties from2000-2007. Her reason for choosing Latin America is that most countries were democratized in the 1980s but different types of protest and conflict are present in different types of countries. Machado finds statistical significance that a well-functioning institutional setting leads political discourse to be facilitated through the political institutions, and when political institutions are weak individuals with grievances tend to go to the street. Furthermore, she finds that a lack of respect for political institutions and experiences with corruption also increase protest participation. Although she points out reasoning that political protests do occur, she does not look at why or how they mobilize. The internet could be added to further her models explanatory power. Hutchison (2011) investigates whether defensive mobilization is elite led or due to an overall pattern in non-voting political participation. He is examining 16 countries within Africa from the years 1999-2003. The dependent variable was number of non-voters that still participated politically. He found statistical significance that territorial threats are positively associated with non-voting political participation. This paper does include a variable for media exposure and this index includes the internet. This variable was positive and statistically significant coefficient. Although this paper does include a media variable it does not disaggregate the different parts of the index. My study will focus on the two elements of media exposure of the internet and mobile phones. Also, Hutchison looks at an interstate dispute whereas this paper looks at low level social conflict within a state. The focus on media exposure and conflict is continued by Zeitzoff (2011). He is examining the 2008-2009 Gaza Conflict and using social media to forecast how each actor reacted to one another. This study is unique because it utilizes official blogs, twitter feeds, internet news feeds, and other internet media sources as a measure of conflict intensity. The
  • 7.
    more counts ofmedia news within a time period meant that the conflict was more intense for that period. Unlike previous studies Zeitzoff looks at shorter aggregated periods of time, 15 minutes, instead of the usual year. The results of his study were that Israel was reacting more to Hamas, until after the UN passed a resolution telling Israel to stop its attacks. Zeitzoff’s data shows that at this point, Hamas actually increased the intensity of the conflict and Israel did not retaliate. Zeitzoff used social media a shift in Hamas’ cost of conflict. In particular, Zeitzoff adds a variable for social media, which includes the internet. Social media as a whole is used but he does not break it down any further. Not directly stated in his paper is the idea that the large presence of media increases the cost dramatically of an Israeli counterattack because reports would easily be reported via the web. Olzak’s (2010) empirical cross-country analysis finds that ethnic and religious diversity and also globalization bring about a higher severity of ethnic conflict. She differentiates herself from other studies by using severity (number of deaths) instead of onset or presence. Olzak’s study has a globalization index variable which includes measurements for the level of trade, media and information flows, political treaties, and political/economic negotiation. The media and information flows include measurements for the internet. She finds statistical significance that globalization increases the amount of non-ethnic and ethnic conflict. My study will focus on the disaggregated variables, from her globalization index, of the internet and mobile phones on low level social conflict. Selected Theoretical Perspectives Kuran (1989) examines the paradox that revolutions in hindsight seem to be inevitable but are almost always overlooked in foresight. His definition of revolution is a massive shift in
  • 8.
    peoples expressed politicalviews. He supports this by noting that the French Revolution, Russian Revolution, Iranian Revolution, and the fall of the USSR all took world experts by surprise. Kuran’s hypothesis is that individuals hide their preferences for revolt until conditions are more favorable. The idea is that there is a tradeoff, when grievances are present, the rewards of revolution and the punishments the regime will put on the rebels. When individuals see that the rewards of revolution are higher than the punishment they join the movement, which results in a quickly moving bandwagon affect. He also hypothesizes that there is a domino effect where individuals who support a government (or are indifferent) falsely support the rebel group because the cost of counterrevolution is too high. Kuran calls this the spark and prairie fire affect. He further argues that the reason we see spark after the revolution is because people unveil their previously hidden grievances. However this study does not mention by what methods individual’s use to measure a trade in this tradeoff. In a sense what is missing is the forces spark this bandwagon affect. The internet could be introduced into his hypothesis as a way for an individual to gather information on the potential probabilities for their tradeoffs. Fritsch (2011) theorizes on how technology affects society. He states that technology has always been a powerful driver of change in global society’s economic, political, military, and cultural development. Technology has multiplied the destructiveness and global reach of armed conflict and the newest part of this technology is the cyber world. Also, technology has affected the social status quo which can upset a political or social balance. Although his piece is not empirical, he points out that technology changes have caused the world to become more global, and this globalization has an impact on the potential intensity of conflict. One of the earliest studies to connect the internet and globalization is Houston (2003). This study highlights the impact of the internet on globalization. He points out that the internet
  • 9.
    brings new knowledgeat low cost to populations. An important fact is that in 1998 that 1/5 of the top 50 internet using countries was countries a GDP per capita of less than $2,000. This highlights that the internet is present in all types of countries. He hypothesizes that with this new and powerful way of gathering and interpreting information people will question current cultural representations. This will lead to populations experimenting with their culture norms and in effect trying to rewrite social operation manuals bringing about a more global society. Laer and Aelst (2009) supports the finding of Houston (2003) that the low cost of the internet brings knowledge to vast groups of populations. Taking their study farther they theorize that the internet is used by activist groups in social and political protests. The protesters are able to spread their knowledge faster and able to use the internet to mobilize. However, they do differentiate two different types of protests internet based and internet supported. Although Laer and Aelst do not look into empirical data they are supporting the fact that theoretically when the internet is present the potential costs of protest are lowered. These empirical and theoretical studies have examined the overall picture what risk factors affect a societies risk for conflict. They have also shown that overall globalization has an effect on the risk factor for conflict. They do not however look at individual variables contained in globalization such strictly the internet’s effect on one type of conflict. Also, these empirical studies do not cover the recent internet boom in less developed countries. II. METHODOLOGY The purpose of this study is to empirically examine the impact of two globalization variables and their relation to social conflict within an African country. This study expands on the studies of Fearon and Collier to attempt to examine risk factors for conflict, but this study
  • 10.
    will use alower scale measure civil strife. While studies when examining globalization indexes as a risk factor variable (Olzak, Zeitzoff, Hutchison), this paper disaggregates mobile phone users and internet users in order to explain what pieces of globalization cause low level civil protest. Therefore, the results of this study help to explain under what circumstances a country would expect an increase in civil protests to occur. Drawing from the existing body of literature, papers have found theoretical support between globalization and an increase in social unrest. This study uses an updated data set which focuses on low levels of social conflict in order to uncover a significant relationship between the internet, mobile phones, and this low level of conflict. Theoretical Model This paper hypothesis is that the internet and mobile phones will make a populous more inclined to engage in a social conflict. The logic behind this is that the presence of these variables will spread the idea of a grievance or greed across a population and it will give a group the ability to mobilize more efficiently. To understand this we can introduce these variables into an altered profit maximization model (Figure 1). Cost’
  • 11.
    The model isa simple cost versus revenue model where both cost and revenue have a positive slope, but cost is convex and revenue is concave. The key to the model is social conflict is a function of economic viability. The costs that are integrated into this model would be the cost of guns, propaganda, communication devices, wages, and other costs incurred by the protesting group. If there is not economic viability the protest cannot function. For example when cost lies about revenue protest is not economical viable as reflected by in figure 1. By introducing the internet and mobile phones into this model we can observe that within a country where social conflict is not economically viable a rotation of cost due to these variables can make social conflict occur. In this model we are assuming communication availability devices are part of costs of social conflict. Over the last ten years access to social media devices (computers, internet cafés, cell-phones, laptops, etc.) has increased worldwide, and at the same time the cost has fallen for these goods. The increase in access and decrease in cost would rotation the cost curve from its original position (Cost) to (Cost’) in the upper panel of figure 1. The rotation is also reflected in the net revenue function by examining RC to RC’ in the lower panel of figure 1. As a result we now observe a region of economically viability for social conflict. Now we observe that there is now an economically visible region of rebellion from R0- R1 in the lower panel of figure 1. Drawing on Collier and Hoeffler, a populous is motivated by greed, grievance, or a mixture of both. By adding their study to the net revenue model we can see that a populous purely motivated by greed would have an indifference curves tangent to the maximum point of profit (see figure 2). Whereas a populous motivated by grievance would have
  • 12.
    vertical indifference curvesthroughout the area of economic viability favoring R1 (see figure 2). A mixed motivated populous would have negatively sloped convex indifference curve (see figure 2). Since there is a rotation of the cost function this translates into an upward shift and outward movement of the RC curve to RC’. Therefore, we would expect the decrease in cost from the increased presence of mobile phone and internet users to increase protest or rebellion for any populous with either greed or grievance motives or a combination of both. Other variables that are integrated into this model that this study uses are population, relative GDP per capita growth, and political corruption. Fearon and Latin (2003) associate per capita income as a proxy for relative weakness or strength of a county. They point out that a higher per capita income should be associated with lower risk of conflict because the state is stronger. A fall in relative per capita income would then decrease the rebel cost function because the state is weaker and rebel leader could expect a lower levels of government interference. Again an area of economic viability would arise favoring all 3 types of rational for protest. Lastly, political corruption is the use of legislated powers by government officials for illegitimate private gain. This variable either moves the cost function up causing noneconomic viability, or does not affect the cost function dependent on the situation. A population’s response to this would be strictly grievance motivated, thus if an area of economic viability exists we would expect rebellion to occur. The internet and mobile phone penetration moves the cost function for rebellion. This rotation in the cost function can magnify the previous variables by creating an area of economic variability for rebellion that would not be present if it was strictly one of those variables. Therfor this study theoretical conclusion is that for all three motives proposed by Collier and Hoeffler the internet has an indirect or direct effect on creating an area of economic viability for rebellion and
  • 13.
    thus increasing thelikelihood of social conflict occurring within a country with higher levels internet and mobile phone users. III. Empirical Method: just show how they are proxied Defining Conflict (Dependent Variable) To examine conflict in African countries for 2005-2009 our definition of conflict must be defined. The conflict data used was from the The Robert S. Strauss Center’s Climate Change and African Political Stability database (SCAD, 2010). This database identifies 6,100 social conflicts within African countries from 1990-2009. The sample we will be looking at is from 2007 where 1,340 conflicts fit within our criteria. This dependent variable is different from that used in previous studies because it measures a large array of very small low level conflicts instead of larger scale intrastate or interstate conflicts. The dependent variable is a count of social conflict events defined by the following criteria: (1) Distinct, continuous, and largely peaceful action directed toward members of a distinct “other” group or government authorities. (2) Distinct, continuous and violent action directed toward members of a distinct “other” group or government authorities. The participants intend to cause physical injury and/or property damage. In this event, clear leadership or organization(s) can be identified (5) Members of an organization or union engage in a total abandonment of workplaces and public facilities. (6) Members of an organization or union engage in the abandonment of workplaces in limited sectors or industries. (7) Distinct violent event waged primarily by government authorities, or by groups acting in explicit support of government authority, targeting individual, or “collective individual,” members of an alleged opposition group or movement. (SCAD). If an event meets one of these criteria it was counted as
  • 14.
    one conflict forthe country during the time period examined. If multiple conflicts occurred within the year they were aggregated. Independent Variables: The data source for the independent variables is the World Bank data set of African Development Indicators. The variables will include number of mobile phone and internet users, population, real per capita GDP growth, and a dummy for political corruption. This data set has yearly economic and social data for every country in Africa from 1940-2010. We are limited to looking at the years 2005-2009 because of a lack of data regarding the internet and mobile phone users for years previous. The descriptive statistics can be viewed on Table 1. Statistical Model: In order to assess the potential relationship between social media and the risk of social conflict, I estimate a model using social conflict counts as the dependent variable and internet/mobile phone variables along with several control variables as independent variables. This model also uses year to year dummy variables to control for time-variant factors of conflict. This study uses a Poisson estimation method and will use robust standard errors (but they are not reported). The estimation method is appropriate because there are multiple events within a country each year and there cannot be a negative number of conflicts per year. Three different regressions will be used to estimate the effects that internet and mobile phones have on social conflict. The following models will look at social media’s relationship to social conflict. The first model examines internet alone, the second looks at mobile phones alone. The third regression is
  • 15.
    a robustness checkfor the internet variable. In the third model the internet variable is changed to look at internet penetration rate opposed to strictly the number of users. This variable is simply internet users per country divided by total population of the country Model 1: e(β1+β2Internet Users+β3Population+β4GDPgrowth+β5Corruption+β6*2006+β7*2007+β8*2008+β9*2009) Model 2: e(β1+β2Mobile Users+β3Population+β4GDPgrowth+β5Corruption+β6*2006+β7*2007+β8*2008+β9*2009) Model 3: e(β1+β2Internet Penetration+β3Population+β4GDPgrowth+β5Corruption+β6*2006+β7*2007+β8*2008+β9*2009) III. Results Table 1 investigates the impact of the internet on social conflict within African countries. The statistically significant year dummy variables and constant coefficient represent an expected number of conflicts relative to year 2005. Also, all the control variables come in statistically significant with expected signs. The internet variable is positive and marginally statistically significant at the 5% level using a one-tailed test. A one-tailed test is appropriate here because we are hypothesizing that the internet will have a positive effect on the number of conflicts. Table 2 investigates the impact of mobile phone users on the social conflict within African countries. The results show that most of the year dummy variables and control variables come in statistically significant. The mobile phone variable also comes in positive and statistically significant at the 1% level using a one-tailed test. Its coefficient of .02558 implies that an increase in mobile phone users by one million would lead to an increase of social conflict
  • 16.
    of 2.558%. Althoughthis might seem small, Africa leads the world in mobile phone growth rates since 2008 and is expected to increase exponentially in the future (Africa News.com). From 2005 to 2009 mobile phone subscriptions have increased by 500 million users (across the continent). This regression points to an increase in social conflict as a result of the growth trend in mobile phone users. Table 3 investigates a different method of looking at the internet and its effect on social conflict. It changes the variable to look at the penetration of the internet instead of users. In this model the results of the year dummies and control variables hold similar to the previous models. The internet penetration variable is positive and highly statistically significant. The coefficient estimate .03617 implies that an increase of internet penetration by one percentage point would increase the amount of social conflict by 3.617%. IIII. Conclusion The results of my theoretical and empirical inquiry lend clear support for the relationship of social media devices and social conflict. The internet variable in the first model was marginally statistically significant for a one-tailed test, while the media variables in the second and third models were highly statistically significant. Hence, my thesis is supportive of the view that social media does indeed affect social conflict within African countries. In this study I tested only African countries. One explanation for the results is that the relatively recent introduction of these devices has given Africans a more efficient means of mobilization for social conflict. Another explanation for the results is that the introduction of social media devices gives the African citizenry a point of reference to other standards of living
  • 17.
    around the world.This point of reference could make African’s feel relatively worse off to the rest of the world. These differences could motivate individuals for both greed and grievance reasons to participate in social conflict. The increasing number of Africans who use social media devices suggests that the number of social conflicts will tend to increase, ceteris paribus. This also suggests that whether Africans are motivated by greed or grievance, the presence of social media devices has resulted in an increase of social conflict.
  • 18.
    Table 1 GDPper capita (current US$) Population, total Internet users Control of Corruption (estimate) GDP growth (annual %) Mobile User Mean 1694.362076 21081640.01 1462581 -0.597742132 4.7029232 6291251 Standard Error 159.6206725 1849869.003 278479.6362 0.036699939 0.280208082 766574.284 Median 609.9908657 11956408 232000 -0.652940961 4.918480831 1851020 Standard Deviation 2367.557179 27437991.4 4102261.204 0.544348071 4.156157511 11318333.6 Sample Variance 5605326.998 7.5284E+14 1.68285E+13 0.296314823 17.27364525 1.28105E+1 Minimum 107.8705557 1124410 11000 -1.535497028 -17.25418063 40438 Maximum 14802.19617 154728892 43982200 1.074671963 20.61324022 73099312 Count 220 220 220 220 220 218
  • 19.
    Table 2 Variable Coefficient z- StatisticProb. C 1.683058 21.68856 0 Internet users (millions) 0.007475 1.632395 0.1026 Population (millions) 0.018793 22.24343 0 GDP per capita -0.08039 -11.8674 0 Corruption -0.09683 -1.67224 0.0945 2006DUMMY 0.031692 0.38736 0.6985 2007DUMMY -0.27126 -3.12641 0.0018 2008DUMMY -0.329 -3.7529 0.0002 2009DUMMY -0.53475 -5.55489 0 Table 3 Variable Coefficient z- Statistic Prob. C 1.665184 8.546877 0 Mobile Users (millions) 0.02558 3.278116 0.001 Population (millions) 0.011062 4.454564 0 GDP per capita -0.0749 -4.84938 0 Corruption 0.321273 -2.27948 0.0226 2006DUMMY -0.04961 -0.24506 0.8064 2007DUMMY -0.40497 -2.01924 0.0435 2008DUMMY -0.58592 -2.50795 0.0121 2009DUMMY -0.88518 -3.52604 0.0004
  • 20.
    Table 4 Variable Coefficient z- StatisticProb C 1.478209 6.409344 0 Internet Penetration 0.036172 3.212171 0.0013 Population (millions) 0.017181 12.0063 0 GDP per capita -0.07131 -5.23058 0 Corruption 0.238781 -1.29489 0.1954 2006DUMMY -0.00364 -0.01982 0.9842 2007DUMMY -0.32232 -1.71616 0.0861 2008DUMMY -0.4588 -2.1239 0.0337 2009DUMMY -0.74961 -2.97008 0.003
  • 21.
    Eviews Print-Outs (forreference) Model 1 Dependent Variable: CONFLICTS_IN_YEAR Method: ML/QML - Poisson Count (Quadratic hill climbing) Date: 11/11/11 Time: 03:17 Sample: 1 220 Included observations: 220 Convergence achieved after 6 iterations QML (Huber/White) standard errors & covariance Variable Coefficient Std. Error z-Statistic Prob. CONTROL_OF_CORRUPTION__E -0.096825 0.057901 -1.672241 0.0945 INTMILL 0.007475 0.004579 1.632395 0.1026 POPMILL 0.018793 0.000845 22.24343 0.0000 _2006_DUMMY 0.031692 0.081816 0.387360 0.6985 _2007_DUMMY -0.271257 0.086763 -3.126413 0.0018 _2008_DUMMY -0.328996 0.087665 -3.752902 0.0002 _2009_DUMMY -0.534748 0.096266 -5.554886 0.0000 GDP_GROWTH__ANNUAL___ -0.080386 0.006774 -11.86744 0.0000 C 1.683058 0.077601 21.68856 0.0000 R-squared 0.563825 Mean dependent var 6.147465 Adjusted R-squared 0.547049 S.D. dependent var 9.343071 S.E. of regression 6.288042 Akaike info criterion 7.450529 Sum squared resid 8224.211 Schwarz criterion 7.590709 Log likelihood -799.3823 Hannan-Quinn criter. 7.507156 Restr. log likelihood -1313.856 LR statistic 1028.948 Avg. log likelihood -3.683790 Prob(LR statistic) 0.000000 Model 2 Dependent Variable: CONFLICTS_IN_YEAR Method: ML/QML - Poisson Count (Quadratic hill climbing) Date: 11/11/11 Time: 03:17 Sample: 1 220 Included observations: 220 Convergence achieved after 5 iterations QML (Huber/White) standard errors & covariance Variable Coefficient Std. Error z-Statistic Prob. CONTROL_OF_CORRUPTION__E 0.321273 0.140941 -2.279483 0.0226 POPMILL 0.011062 0.002483 4.454564 0.0000 _2006_DUMMY -0.049609 0.202435 -0.245063 0.8064 _2007_DUMMY -0.404970 0.200556 -2.019240 0.0435 _2008_DUMMY -0.585917 0.233624 -2.507945 0.0121 _2009_DUMMY -0.885184 0.251042 -3.526040 0.0004 GDP_GROWTH__ANNUAL___ -0.074897 0.015445 -4.849383 0.0000 MOBMILL 0.025580 0.007803 3.278116 0.0010 C 1.665184 0.194830 8.546877 0.0000 R-squared 0.502535 Mean dependent var 6.110092 Adjusted R-squared 0.483493 S.D. dependent var 9.331913
  • 22.
    S.E. of regression6.706696 Akaike info criterion 7.097875 Sum squared resid 9400.773 Schwarz criterion 7.237602 Log likelihood -764.6684 Hannan-Quinn criter. 7.154313 Restr. log likelihood -1319.516 LR statistic 1109.696 Avg. log likelihood -3.507653 Prob(LR statistic) 0.000000 Dependent Variable: CONFLICTS_IN_YEAR Method: ML/QML - Poisson Count (Quadratic hill climbing) Date: 11/11/11 Time: 03:19 Sample: 1 220 Included observations: 220 Convergence achieved after 5 iterations QML (Huber/White) standard errors & covariance Variable Coefficient Std. Error z-Statistic Prob. CONTROL_OF_CORRUPTION__E 0.238781 0.184402 -1.294893 0.1954 POPMILL 0.017181 0.001431 12.00630 0.0000 _2006_DUMMY -0.003637 0.183502 -0.019819 0.9842 _2007_DUMMY -0.322319 0.187814 -1.716163 0.0861 _2008_DUMMY -0.458799 0.216018 -2.123895 0.0337 _2009_DUMMY -0.749607 0.252386 -2.970082 0.0030 GDP_GROWTH__ANNUAL___ -0.071312 0.013634 -5.230581 0.0000 INTPENPER 0.036172 0.011261 3.212171 0.0013 C 1.478209 0.230633 6.409344 0.0000 R-squared 0.553486 Mean dependent var 6.147465 Adjusted R-squared 0.536312 S.D. dependent var 9.343071 S.E. of regression 6.362129 Akaike info criterion 7.162483 Sum squared resid 8419.151 Schwarz criterion 7.302663 Log likelihood -768.1294 Hannan-Quinn criter. 7.219110 Restr. log likelihood -1313.856 LR statistic 1091.453 Avg. log likelihood -3.539767 Prob(LR statistic) 0.000000 Works Cited
  • 23.
    "AfricaNews - AfricaTops Mobile Growth Rate - The AfricaNews Articles of Accreporter." AfricaNews.com - Sharing Views on Africa. Web. 17 Dec. 2011. <http://www.africanews.com/site/Africa_tops_mobile_growth_rate/list_messages/23470 >. Anderton, Charles H., and John R. Carter. Principles of Conflict Economics: a Primer for Social Scientists. Cambridge: Cambridge UP, 2009. Print. Cullen S. Hendrix and Idean Salehyan. “Social Conflict in Africa Database (SCAD).”www.scaddata.org , accessed on <2011>. Fearon, James D., and David D. Laitin. "Ethnicity, Insurgency, and Civil War." American Political Science Review 97.01 (2003): 75. Print. Fritsch, Stefan. "Technology and Global Affairs." International Studies Perspectives 12.1 (2011): 27-47. Print. Houston, Douglas A. "Can the Internet Promote Open Global Societies?" Independent Review 7.3 (2003). Print. Hutchison, Marc L. "Territorial Threat, Mobilization, and Political Participation in Africa." Conflict Management and Peace Science 28.183 (2011). Print. Jewkes, Yvonne, Majid Yar, Joroen V. Laer, and Peter V. Aelst. Handbook of Internet Crime. 254th ed. Vol. 230. Cullompton: Willan, 2009. Print. Kuran, Timur. "Sparks and Prairie Fires: A Theory of Unanticipated Political Revolution." Public Choice 61.1 (1989): 41-74. Print.
  • 24.
    LaMonica, By Gabe,and Taryn Fixel, CNN. "Starting a Revolution with Technology - CNN.com." CNN.com - Breaking News, U.S., World, Weather, Entertainment & Video News. Web. 17 Dec. 2011. <http://www.cnn.com/2011/TECH/innovation/06/17/mesh.technology.revolution/index.h tml?iref=allsearch>. Machado, Fabiana. "Political Institutions and Street Protesters in Latin America." Journal of Conflict Resolution 55.340 (2011). Print. Nieman, Mark D. "Socks and Turbulence: Globalization and the Occurrence of Civil War." International Interactions (2011). Print. Olzak, Susan. "Does Globalization Breed Ethic Discontent?" Journal of Conflict Resolution (2011). Print. Sambanis, N. "What Is Civil War?: Conceptual and Empirical Complexities of an Operational Definition." Journal of Conflict Resolution 48.6 (2004): 814-58. Print. Web. Zeitzoff, Thomas. "Using Social Media to Measure Conflict Dynamics: An Application to the 2008-2009 Gaza Conflict." Journal of Conflict Resolution (2011). Print.