EXPERIMENTAL STUDIES ON HIGH-SPEED CO-FLOW
JETS
Saumya Jain, Sumeet Kumar, MGR Sandeep, Ashish Vashishtha, P. Lovaraju and E. Rathakrishnan
jainsaumya@gmail.com, sumeet.iitk@gmail.com, imsandy@gmail.com,ash.aeroiitk@gmail.com
lovaraju@gmail.com, erath@gmail.com
Indian Institute of Technology Kanpur
Abstract
This paper presents results of high-speed co-flow jets from orifices with various annular gaps
tested with a single feed system. The co-flow models consisted of a primary orifice of 10 mm
diameter surrounded by 12 secondary orifices of 3 mm diameter each, positioned in an annular
fashion around the primary orifice. The annular gap between the edge of primary orifice and the
secondary orifices were 1.5 mm, 2.5 mm, 3.5 mm and 4.5 mm. The co-flow is found to reduce the
potential core of the primary jet at all Mach numbers. The 4.5 mm annular gap is found to be more
efficient in promoting the mixing of the primary jet.
Nomenclature
D = equivalent diameter
Me = Mach number at the orifice exit
Mj = Mach number in the jet field
R = co-ordinate along radial direction
X = co-ordinate along jet axis
Introduction
Co-flow jets are an integral part of many
engineering devices where mixing of
different fluids is required. These jets play an
important role to provide mixing between
fuel and oxidizer in the combustor of
propulsion systems. In combustion systems,
mixing enhancement leads to improved
combustion efficiency, reduction in
combustor size and improved combustor
lifetime. Further, such flows find important
place in mixing of exhaust gases from
automobile engines with the surrounding air,
which leads to a reduction of the pollutant
intensity. In the case of missiles, by
increasing the rate of mixing with the cold
ambient air, the infrared radiation of a hot jet
plume can be significantly reduced. In many
applications it is desirable to have rapid jet
mixing. In an effort to increase mixing in jet
flows, various passive control methods have
been investigated in past several years. The
most notable passive controls are tabs and
cross-wire. A cross-wire is found to be
effective in enhancing mixing for all the
subsonic and fully expanded sonic jets [1].
Both cross-wire and tabs were found to be
effective in modifying the jet structure
significantly, resulting in faster characteristic
decay of the jet [2].
A characterization and understanding of
co-flow phenomenon is essential to control
the promotion of mixing to suit an
application. The mixing between jet streams
is connected with and controlled by the
dynamics and interaction of the vortices that
are present in the shear layers developing
between the two jets and the outer jets and
the ambient fluid [3]. The co-flow is effective
in elongating the supersonic core-length at all
levels of underexpansion [4]. Co-flow jets
were found to retard the mixing of central jet
for two circular coaxial convergent nozzles,
one surrounded by the other with an annular
gap of 4.5 mm [5]. The mixing phenomenon
in co-flow jets is strongly governed by the
geometrical parameters of the model and also
the operating conditions. In the co-flow jet
configuration, mixing between the two
streams may strongly depend on the annular
gap between the two nozzles. Above cited
literature on co-flow mainly concludes the
mixing inhibition characteristics. When
nozzles (two circular co-axial convergent
nozzles one surrounded by the other) are used
for co-flow studies, flow through the
surrounding nozzle experiences a severe
pressure loss by the presence of the central
nozzle inside. Because of this, in a single
feed system the velocities at the exit of the
central nozzle and the surrounding nozzle are
distinctly different. In the present study, in
order to study the effect of co-flow on the
primary jet when both the co-flow and
primary jet are delivered at same velocity, co-
flow models made of orifices are chosen.
High-speed co-flow jets from orifices with
various annular gaps are tested with a single
feed system.
Experimental Details
The experiments were carried out at the
open jet facility at the high speed
Aerodynamics Laboratory, Indian Institute of
Technology Kanpur, India. The co-flow
models consisted of a primary orifice of 10
mm diameter surrounded by 12 secondary
orifices of 3 mm diameter each, positioned in
an annular fashion around the primary orifice.
Four models were designed for the co-flow
studies for four different annular gaps (gap
between the edge of primary orifice and the
secondary orifices). The annular gaps chosen
in the present study are 1.5 mm, 2.5 mm, 3.5
mm and 4.5 mm. Thus, on these models, the
secondary orifices were positioned
correspondingly in a locus of a circle
(concentric with the primary orifice) having
diameters 16 mm, 18 mm, 20 mm and 22
mm. Co-flow experimental models are shown
in Fig. 1 and are named as 16 mm model, 18
mm model, 20 mm model and 22 mm model.
For the comparative study, a primary orifice
of diameter 14.42 mm (equivalent to the total
exit area of the co-flow models) was used.
Pressure measurements were carried out
using a Pitot probe mounted on a traverse
mechanism. The Pitot pressure and the
stagnation chamber pressure were measured
using a 9016 model pressure transducer.
LabVIEW was used to interface the
transducer and computer. Pressure
measurements were made along the
centreline of the jet axis at an interval of
1mm up to 100 mm and thereafter, at an
interval of 2 mm up to 200 mm. The jet Mach
numbers chosen for this study are 0.2 to 1, in
steps of 0.1. In addition, radial Pitot pressure
measurements were made at X/D = 1, 2, 3, 4,
5, 6, 9, 12 and 15, for jet Mach number 0.6
for all the models.
Results and Discussions
This study was mainly carried out for
high speed jets, which have the property that
the kinetic energy content of the fluid is very
large compared to its heat content so that the
variations in the temperature becomes
substantial [6]. This takes place above flow
velocities of 650 kmph, which is equivalent
to Mach 0.5 at standard sea level conditions.
In addition, low-speed jets have also been
analysed for the sake of completeness. The
information contained in the pressure survey
can be processed to compute the local Mach
number of the jet through isentropic relation.
While computing the local Mach number, it
has been assumed that the local static
pressure is atmospheric, since subsonic jets
are always correctly expanded.
Centerline Decay
In a jet flow, mass is entrained by the
formation of large-scale vortices that are
formed on the jet boundary. The entrained
mass at low momentum tries to gain
momentum from the high-speed fluid
elements that are prevailing in the vicinity of
the jet centreline. During this interaction, the
large-scale structures get fragmented and
carry the entrained mass towards the jet
centreline. This results in reduction of the
local Mach number along the centreline as
the jet propagates downstream. Thus, the
centreline studies of the co-flow give us an
idea of the effect of co-flow on jet mixing. A
subsonic jet is characterized by a potential
core surrounded by a region in which mixing
between the jet fluid and the entrained
ambient fluid takes place. At a downstream
location, the mixing region reaches the
centerline and the core no longer exist. The
distance from the nozzle exit to the location
where the mixing zone reaches the centerline
is termed potential core. Beyond this point,
the mixing region continues and the jet
spreads causing fast decay of centreline
velocity. The potential core of the jet is thus
defined as the axial extent upto which the exit
Mach number is preserved along the jet axis.
The extent of the potential core decreases or
increases with the enhancement or inhibition
of mixing, respectively.
The calculated local jet Mach number was
normalised with respect to the exit Mach
number (Mj/Me). The Mach number variation
along the axial distance (X/D) for Mach
numbers 0.2, 0.3, 0.4, 0.5, 0.6, 0.7, 0.8, 0.9
and 1.0 are shown in Figs. 2-10, respectively.
The centreline decay for low-speed jets
(Mach 0.2, 0.3 and 0.4) are shown in Figs. 2-
4.. The core length for equivalent jet extends
up to about X/D = 3.2, 3.5 nad 3.6 for Mach
0.2, 0.3 and 0.4 jet, respectively. For co-flow
jets the core length is reduced to about X/D =
2.7 for 16 mm and 1.7 for 18 mm models and
about X/D = 1.8 for 20 mm and 22 mm
models for Mach 0.2 jet. The Mach number
effect on co-flow is insignificant. The annular
gap influence on jet mixing is well
pronounced in characteristic decay region.
Figure 5 shows the effect of annular gap
on the jet centreline Mach number
characteristics (centreline Mach number
decay) for Mach 0.5 jet. The potential core
for the primary non co-flow model extends
up to 4D. For the 16 mm model, the core is
found to extend up to 2.6D and for the 18 mm
model, it is up to 2.1D. For the 20 mm and 22
mm models, it has been observed as 2D. At
an axial location say 5D, a successive
decrease in the centreline value with an
increase in annular gap of the models is
observed. This shows that the annular gap of
co-flow plays a dominant role both in the
potential core and the characteristic decay
region. Here it is interesting to note that the
16 mm and the 18 mm models behave very
similarly to each other. This is probably due
to their close proximity to the primary jet,
which may be a limiting parameter for
efficient mixing. The 22 mm model is
persistently superior to the equivalent and
other co-flow models, with respect to the
effectiveness of mixing.
Figure 6 shows the centreline Mach
number decay for Mach 0.6 jet. The potential
core length for the equivalent model extends
up to 3.8D. For 16 mm, 18 mm, 20 mm and
22 mm co-flow models, the potential core
length is 1.8D, 2.1D, 1.9D and 2.0D
respectively. All the co-flow jets behave as
explained for Mach 0.5. Figure 7 shows the
centreline Mach number decay for the Mach
0.7 jet. The percentage reduction in core
length for 16 mm, 18 mm, 20 mm and 22 mm
model is found to be 52%, 43%, 47% and
52%, respectively. For Mach 0.8 (Fig. 8) the
core length reduction achieved is 45%, 43%,
43% and 58% for 16 mm, 18 mm, 20 mm and
22 mm, co-flow models, respectively. Also,
for Mach 0.9 (Fig. 9) and Mach 1.0 (correctly
expanded, Fig. 10) similar reduction in
potential core is observed
Among the models, 16 mm and 18 mm
co-flow jets show almost a similar trend in
the decay region for at all low (Figs. 2 to 4)
and high-speed jets (Figs. 5 to 10). However,
as the annular gap is increased to 4.5 mm (22
mm model), the effect of co-flow is
significant in reducing the potential core and
promoting mixing in the decay region. It is
clearly seen that, in the near field (i.e. up to
2D) all the co-flow models behave almost
similar along the centreline. However, the
variation is significant in the decay region for
all the models
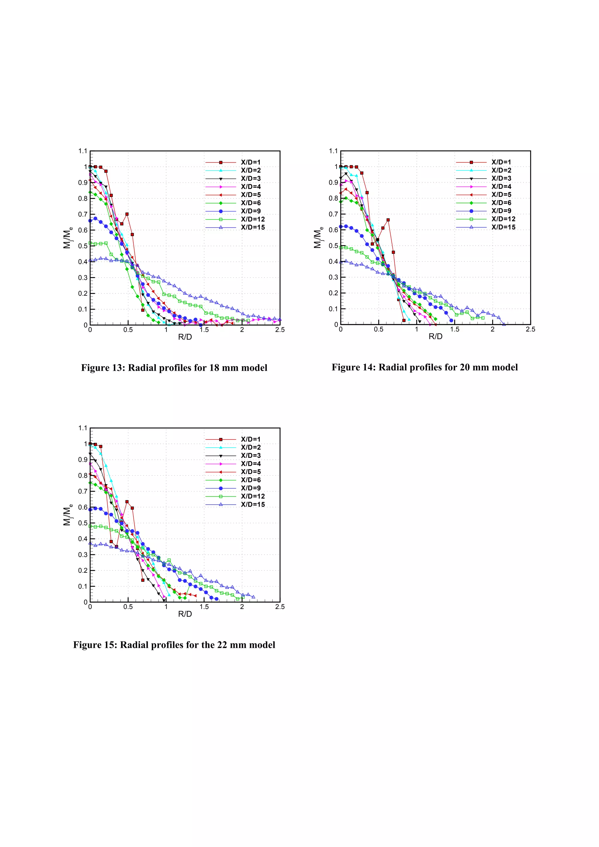
Jet Development
From the discussion in above section, a
gross picture of the jet behaviour in the
presence of co-flow has been discussed.
However, to authenticate these results and to
investigate further into the flow phenomenon
and jet growth, pressures in the radial
directions were measured at axial stations of
1D, 2D, 3D, 4D, 5D, 6D, 9D, 12D and 15D,
for flow with exit Mach number 0.6. The
survey was done at radial intervals of 1 mm
starting from the jet axis to the jet outer edge.
Pressure measurements were made only in
one direction, ensuring a reasonable degree of
symmetry in the opposite radial direction.
The calculated Mach numbers were
normalised and plotted against R/D. (Figs. 11
to 15). The radial variations exhibit the nature
of jet growth and extent of influence of co-
flow.
In the equivalent model (Fig. 11) the
variations of the Mach number at axial
position 1D show that the centreline Mach
number (i.e. at R/D = 0) is retained up to R/D
= 0.25, which indicates the extent of the
potential core in the radial direction, after
which its decay is very steep. The profile at
X/D = 4 shows that the Mach number decay
is fast from the centreline itself, by
possessing a single peak profile. This
indicates the onset of mixing at the centreline
region at this axial station. This matches very
much with the centreline Mach number decay
(Fig. 6) which follows the same trend. For
farther axial stations, the centreline Mach
number successively decreases from unity,
indicating dominance of the mixing effect up
to the centreline. This corroborates the trends
seen in the centreline Mach number decay. It
is also observed that in the far-field axial
stations, the Mach profile decays more and
more gradually approaching the jet outer
edge. This goes well with the phenomenon of
jet spread and mass entrainment at
progressive axial locations. Further, the far
field Mach profiles for all the co-flow models
(Figs. 12 to 15) are very similar in trend to
the equivalent model (Fig. 11), thus
confirming the same fact from the centreline
Mach number decay.
The Mach number profiles for the 16 mm
model are shown in Fig. 12 compared to the
equivalent model profiles (Fig. 11). It is
observed that, the jet characteristics begin to
change right from the first measurement
location (X/D = 1.0). From this profile, it is
observed that the radial extent of the potential
core ends much earlier compared to the
equivalent model. From X/D = 2.0 onwards,
all the profiles assume single peak nature
which indicates the absence of potential core.
This is again evident in centreline Mach
number decay for Mach 0.6 (Fig. 6). At the
next downstream station (X/D = 3.0) and
onwards it is seen that the centreline Mach
number decreases progressively downstream.
Comparing the Mach profile at X/D = 1.0
across different models (Figs. 11 to 15) an
oscillatory trend in the radial extent of the
potential core is seen. This implies that the
effect of co-flow on potential core in the
radial direction varies from model to model.
For the equivalent model (Fig. 11) the radial
extent is 0.2D, which decreases to 1.0D for
the 16 mm case, increases to 1.5D and 2.0D
again for the 18 mm and 20 mm case
respectively, and then finally decreases to
1.0D for the 22 mm co-flow model. This
implies that the influence of co-flow on the
potential core along the radial direction is
significant in the minimum possible annular
gap model (16 mm model) and the farthest
annular gap model (22 mm model) in the
present study. However, for the intermediate
annular gap models (18 mm and 20 mm co-
flow models), the influence is not that
significant along the radial direction at X/D =
1.
Referring again to Fig. 12 for the 16 mm
model, the profiles at axial stations 1D, 2D
and 3D differ from the monotonous radial
decay of the primary model. There is a brief
zone of departure from monotonous decay,
where the radial Mach number decay
becomes less steep. This zone of departure is
located between 0.3D to 0.4D for X/D = 1,
0.2D to 0.3D for X/D = 2 and from 0.15D to
0.25D for X/D = 3. This probably
corresponds to the interaction of the
secondary jet flow and the primary flow. For
the 18 mm model (Fig. 13), the Mach profile
of X/D = 1 shows a reversal of the
monotonous decay from R/D = 0.5 to R/D =
0.6. As observed before, such peaks (or
departures from monotonous Mach profile
decay) might correspond to the interference
of the secondary jet. For 20 mm model too
(Fig. 14), a peak is observed at X/D = 1 from
R/D = 0.4 to R/D = 0.6. Also, in the near
field profiles (up to X/D = 6) for this model,
the profiles assume off-centre peaks. In the
22 mm model (Fig. 15), these peaks at X/D =
1 are especially notable. The profile in this
case shows the radial extent of the potential
core up to R/D = 0.2, followed by a decay up
to R/D = 0.35, after which the profile rises to
peak at R/D = 0.5 and then decays thereafter.
It appears from these observations that, the
presence of the secondary shear layer in the
co-flow case has an overall effect of
redistributing the entrained mass such that the
potential core gets disturbed much upstream.
This is seen as an enhancement of the mixing
phenomenon of jet growth.
The fact that the potential core reduction
varies differently for each model, as well as
the variation in the existence of peaks (or
departure points) at different axial locations
in the Mach profiles indicate the shifting of
the region of influence of the co-flow. It is
suspected that since the region of influence
shifts without following a definite trend, the
nature of interaction itself must be different
for different models. It is known that the
mixing phenomenon involves generation of
eddies. For models with lesser annular gap,
the eddies are only semi developed when they
start interacting with the primary flow,
because of their proximity to the primary
flow. This may not be the case for the 20 mm
co-flow model, where the effect is observed
at downstream axial locations too. For the 22
mm model, the eddies might be more
developed before they start interacting, hence
their influence is significant in mixing
enhancement.
Conclusions
Co-flow is found to promote mixing at all
subsonic and correctly expanded sonic Mach
numbers. The annular gap of co-flow plays a
dominant role on both the potential core and
the characteristic decay region. In the present
range of annular gap the 16 mm and the 18
mm models behave almost similarly to each
other, probably due to their close proximity
to the primary jet, which may be viewed as a
limiting parameter for efficient mixing. The
22 mm model is superior to the equivalent
and other co-flow models in enhancing the
mixing. The Mach number has a marginal
influence on the centreline characteristics of
the co-flow jets.
References
[1] Lovaraju P., and Rathakrishnan E.,
“Subsonic and transonic jet control with
cross-wire,” AIAA Journal, Vol. 44, No.11,
pp. 2700-2705, 2006.
[2] Lovaraju P., Shibu Clement and
Rathakrishnan E., “Effect of cross-wire and
tabs on sonic jet structure,” Shock Waves,
Vol. 17, pp. 81-83, 2007.
[3] Erina Murakami, and Papamoschou D.,
“Mixing layer characteristics of coaxial
supersonic jets,” AIAA 2000-2060.
[4] Sukumar V.N., Sundaravadivelu T.,
Lovaraju P., Rathakrishnan E., “Effect of co-
flow on near-field shock structure of
underexpanded central jet,” 9th Asian
Symposium on visualization, ASV0031-001,
2007.
[5] Sundaravadivelu T., Sukumar V. N.,
Lovaraju P., and Rathakrishnan E.,
“Experimental studies of co-flowing jets for
mixing inhibition”, AIAA 2007-4497.
[6] Rathakrishnan, E., Gas Dynamics, 1st ed.,
Prentice Hall of India, Delhi, 1995, Chapter.
2, pp. 17.
Figure 1: Photographs of co-flow models
X/D
Mj
/Me
0 5 10 15
0
0.1
0.2
0.3
0.4
0.5
0.6
0.7
0.8
0.9
1
1.1
Equivalent flow
16 mm co-flow
18 mm co-flow
20 mm co-flow
22 mm co-flow
Figure 3: Centreline Mach number decay (Me = 0.3)
X/D
Mj
/Me
0 5 10 15
0
0.1
0.2
0.3
0.4
0.5
0.6
0.7
0.8
0.9
1
1.1
Equivalent flow
16 mm co-flow
18 mm co-flow
20 mm co-flow
22 mm co-flow
Figure 2: Centreline Mach number decay (Me = 0.2)
X/D
Mj
/Me
0 5 10 15
0
0.1
0.2
0.3
0.4
0.5
0.6
0.7
0.8
0.9
1
1.1
Equivalent flow
16 mm co-flow
18 mm co-flow
20 mm co-flow
22 mm co-flow
Figure 4: Centreline Mach number decay (Me = 0.4)
X/D
Mj
/Me
0 5 10 15
0
0.1
0.2
0.3
0.4
0.5
0.6
0.7
0.8
0.9
1
1.1
Equivalent flow
16 mm co-flow
18 mm co-flow
20 mm co-flow
22 mm co-flow
Figure 5: Centreline Mach number decay (Me = 0.5)
X/D
Mj
/Me
0 5 10 15
0
0.1
0.2
0.3
0.4
0.5
0.6
0.7
0.8
0.9
1
1.1
Equivalent flow
16 mm co-flow
18 mm co-flow
20 mm co-flow
22 mm co-flow
Figure7: Centreline Mach number decay (Me = 0.7)
X/D
Mj
/Me
0 5 10 15
0
0.1
0.2
0.3
0.4
0.5
0.6
0.7
0.8
0.9
1
1.1
Equivalent flow
16 mm co-flow
18 mm co-flow
20 mm co-flow
22 mm co-flow
Figure 6: Centreline Mach number decay (Me = 0.6)
X/D
Mj
/Me
0 5 10 15
0
0.1
0.2
0.3
0.4
0.5
0.6
0.7
0.8
0.9
1
1.1
Equivalent flow
16 mm co-flow
18 mm co-flow
20 mm co-flow
22 mm co-flow
Figure 8: Centreline Mach number decay (Me = 0.8)
X/D
Mj
/Me
0 5 10 15
0
0.1
0.2
0.3
0.4
0.5
0.6
0.7
0.8
0.9
1
1.1
Equivalent flow
16 mm co-flow
18 mm co-flow
20 mm co-flow
22 mm co-flow
Figure 9: Centreline Mach number decay (Me = 0.9)
R/D
Mj
/Me
0 0.5 1 1.5 2 2.5
0
0.1
0.2
0.3
0.4
0.5
0.6
0.7
0.8
0.9
1
1.1
X/D=1
X/D=2
X/D=3
X/D=4
X/D=5
X/D=6
X/D=9
X/D=12
X/D=15
Figure 11: Radial profiles for equivalent model
X/D
Mj
/Me
0 5 10 15
0
0.1
0.2
0.3
0.4
0.5
0.6
0.7
0.8
0.9
1
1.1
Equivalent flow
16 mm co-flow
18 mm co-flow
20 mm co-flow
22 mm co-flow
Figure 10: Centreline Mach number decay (Me = 1.0)
R/D
Mj
/Me
0 0.5 1 1.5 2 2.5
0
0.1
0.2
0.3
0.4
0.5
0.6
0.7
0.8
0.9
1
1.1
X/D=1
X/D=2
X/D=3
X/D=4
X/D=5
X/D=6
X/D=9
X/D=12
X/D=15
Figure 12: Radial profiles for 16 mm model
R/D
Mj
/Me
0 0.5 1 1.5 2 2.5
0
0.1
0.2
0.3
0.4
0.5
0.6
0.7
0.8
0.9
1
1.1
X/D=1
X/D=2
X/D=3
X/D=4
X/D=5
X/D=6
X/D=9
X/D=12
X/D=15
Figure 13: Radial profiles for 18 mm model
R/D
Mj
/Me
0 0.5 1 1.5 2 2.5
0
0.1
0.2
0.3
0.4
0.5
0.6
0.7
0.8
0.9
1
1.1
X/D=1
X/D=2
X/D=3
X/D=4
X/D=5
X/D=6
X/D=9
X/D=12
X/D=15
Figure 15: Radial profiles for the 22 mm model
R/D
Mj
/Me
0 0.5 1 1.5 2 2.5
0
0.1
0.2
0.3
0.4
0.5
0.6
0.7
0.8
0.9
1
1.1
X/D=1
X/D=2
X/D=3
X/D=4
X/D=5
X/D=6
X/D=9
X/D=12
X/D=15
Figure 14: Radial profiles for 20 mm model

P-118

  • 1.
    EXPERIMENTAL STUDIES ONHIGH-SPEED CO-FLOW JETS Saumya Jain, Sumeet Kumar, MGR Sandeep, Ashish Vashishtha, P. Lovaraju and E. Rathakrishnan jainsaumya@gmail.com, sumeet.iitk@gmail.com, imsandy@gmail.com,ash.aeroiitk@gmail.com lovaraju@gmail.com, erath@gmail.com Indian Institute of Technology Kanpur Abstract This paper presents results of high-speed co-flow jets from orifices with various annular gaps tested with a single feed system. The co-flow models consisted of a primary orifice of 10 mm diameter surrounded by 12 secondary orifices of 3 mm diameter each, positioned in an annular fashion around the primary orifice. The annular gap between the edge of primary orifice and the secondary orifices were 1.5 mm, 2.5 mm, 3.5 mm and 4.5 mm. The co-flow is found to reduce the potential core of the primary jet at all Mach numbers. The 4.5 mm annular gap is found to be more efficient in promoting the mixing of the primary jet. Nomenclature D = equivalent diameter Me = Mach number at the orifice exit Mj = Mach number in the jet field R = co-ordinate along radial direction X = co-ordinate along jet axis Introduction Co-flow jets are an integral part of many engineering devices where mixing of different fluids is required. These jets play an important role to provide mixing between fuel and oxidizer in the combustor of propulsion systems. In combustion systems, mixing enhancement leads to improved combustion efficiency, reduction in combustor size and improved combustor lifetime. Further, such flows find important place in mixing of exhaust gases from automobile engines with the surrounding air, which leads to a reduction of the pollutant intensity. In the case of missiles, by increasing the rate of mixing with the cold ambient air, the infrared radiation of a hot jet plume can be significantly reduced. In many applications it is desirable to have rapid jet mixing. In an effort to increase mixing in jet flows, various passive control methods have been investigated in past several years. The most notable passive controls are tabs and cross-wire. A cross-wire is found to be effective in enhancing mixing for all the subsonic and fully expanded sonic jets [1]. Both cross-wire and tabs were found to be effective in modifying the jet structure significantly, resulting in faster characteristic decay of the jet [2]. A characterization and understanding of co-flow phenomenon is essential to control the promotion of mixing to suit an application. The mixing between jet streams is connected with and controlled by the dynamics and interaction of the vortices that are present in the shear layers developing between the two jets and the outer jets and the ambient fluid [3]. The co-flow is effective in elongating the supersonic core-length at all levels of underexpansion [4]. Co-flow jets were found to retard the mixing of central jet for two circular coaxial convergent nozzles, one surrounded by the other with an annular gap of 4.5 mm [5]. The mixing phenomenon in co-flow jets is strongly governed by the geometrical parameters of the model and also the operating conditions. In the co-flow jet configuration, mixing between the two streams may strongly depend on the annular gap between the two nozzles. Above cited literature on co-flow mainly concludes the mixing inhibition characteristics. When nozzles (two circular co-axial convergent nozzles one surrounded by the other) are used for co-flow studies, flow through the surrounding nozzle experiences a severe pressure loss by the presence of the central
  • 2.
    nozzle inside. Becauseof this, in a single feed system the velocities at the exit of the central nozzle and the surrounding nozzle are distinctly different. In the present study, in order to study the effect of co-flow on the primary jet when both the co-flow and primary jet are delivered at same velocity, co- flow models made of orifices are chosen. High-speed co-flow jets from orifices with various annular gaps are tested with a single feed system. Experimental Details The experiments were carried out at the open jet facility at the high speed Aerodynamics Laboratory, Indian Institute of Technology Kanpur, India. The co-flow models consisted of a primary orifice of 10 mm diameter surrounded by 12 secondary orifices of 3 mm diameter each, positioned in an annular fashion around the primary orifice. Four models were designed for the co-flow studies for four different annular gaps (gap between the edge of primary orifice and the secondary orifices). The annular gaps chosen in the present study are 1.5 mm, 2.5 mm, 3.5 mm and 4.5 mm. Thus, on these models, the secondary orifices were positioned correspondingly in a locus of a circle (concentric with the primary orifice) having diameters 16 mm, 18 mm, 20 mm and 22 mm. Co-flow experimental models are shown in Fig. 1 and are named as 16 mm model, 18 mm model, 20 mm model and 22 mm model. For the comparative study, a primary orifice of diameter 14.42 mm (equivalent to the total exit area of the co-flow models) was used. Pressure measurements were carried out using a Pitot probe mounted on a traverse mechanism. The Pitot pressure and the stagnation chamber pressure were measured using a 9016 model pressure transducer. LabVIEW was used to interface the transducer and computer. Pressure measurements were made along the centreline of the jet axis at an interval of 1mm up to 100 mm and thereafter, at an interval of 2 mm up to 200 mm. The jet Mach numbers chosen for this study are 0.2 to 1, in steps of 0.1. In addition, radial Pitot pressure measurements were made at X/D = 1, 2, 3, 4, 5, 6, 9, 12 and 15, for jet Mach number 0.6 for all the models. Results and Discussions This study was mainly carried out for high speed jets, which have the property that the kinetic energy content of the fluid is very large compared to its heat content so that the variations in the temperature becomes substantial [6]. This takes place above flow velocities of 650 kmph, which is equivalent to Mach 0.5 at standard sea level conditions. In addition, low-speed jets have also been analysed for the sake of completeness. The information contained in the pressure survey can be processed to compute the local Mach number of the jet through isentropic relation. While computing the local Mach number, it has been assumed that the local static pressure is atmospheric, since subsonic jets are always correctly expanded. Centerline Decay In a jet flow, mass is entrained by the formation of large-scale vortices that are formed on the jet boundary. The entrained mass at low momentum tries to gain momentum from the high-speed fluid elements that are prevailing in the vicinity of the jet centreline. During this interaction, the large-scale structures get fragmented and carry the entrained mass towards the jet centreline. This results in reduction of the local Mach number along the centreline as the jet propagates downstream. Thus, the centreline studies of the co-flow give us an idea of the effect of co-flow on jet mixing. A subsonic jet is characterized by a potential core surrounded by a region in which mixing between the jet fluid and the entrained ambient fluid takes place. At a downstream location, the mixing region reaches the centerline and the core no longer exist. The distance from the nozzle exit to the location where the mixing zone reaches the centerline is termed potential core. Beyond this point, the mixing region continues and the jet spreads causing fast decay of centreline
  • 3.
    velocity. The potentialcore of the jet is thus defined as the axial extent upto which the exit Mach number is preserved along the jet axis. The extent of the potential core decreases or increases with the enhancement or inhibition of mixing, respectively. The calculated local jet Mach number was normalised with respect to the exit Mach number (Mj/Me). The Mach number variation along the axial distance (X/D) for Mach numbers 0.2, 0.3, 0.4, 0.5, 0.6, 0.7, 0.8, 0.9 and 1.0 are shown in Figs. 2-10, respectively. The centreline decay for low-speed jets (Mach 0.2, 0.3 and 0.4) are shown in Figs. 2- 4.. The core length for equivalent jet extends up to about X/D = 3.2, 3.5 nad 3.6 for Mach 0.2, 0.3 and 0.4 jet, respectively. For co-flow jets the core length is reduced to about X/D = 2.7 for 16 mm and 1.7 for 18 mm models and about X/D = 1.8 for 20 mm and 22 mm models for Mach 0.2 jet. The Mach number effect on co-flow is insignificant. The annular gap influence on jet mixing is well pronounced in characteristic decay region. Figure 5 shows the effect of annular gap on the jet centreline Mach number characteristics (centreline Mach number decay) for Mach 0.5 jet. The potential core for the primary non co-flow model extends up to 4D. For the 16 mm model, the core is found to extend up to 2.6D and for the 18 mm model, it is up to 2.1D. For the 20 mm and 22 mm models, it has been observed as 2D. At an axial location say 5D, a successive decrease in the centreline value with an increase in annular gap of the models is observed. This shows that the annular gap of co-flow plays a dominant role both in the potential core and the characteristic decay region. Here it is interesting to note that the 16 mm and the 18 mm models behave very similarly to each other. This is probably due to their close proximity to the primary jet, which may be a limiting parameter for efficient mixing. The 22 mm model is persistently superior to the equivalent and other co-flow models, with respect to the effectiveness of mixing. Figure 6 shows the centreline Mach number decay for Mach 0.6 jet. The potential core length for the equivalent model extends up to 3.8D. For 16 mm, 18 mm, 20 mm and 22 mm co-flow models, the potential core length is 1.8D, 2.1D, 1.9D and 2.0D respectively. All the co-flow jets behave as explained for Mach 0.5. Figure 7 shows the centreline Mach number decay for the Mach 0.7 jet. The percentage reduction in core length for 16 mm, 18 mm, 20 mm and 22 mm model is found to be 52%, 43%, 47% and 52%, respectively. For Mach 0.8 (Fig. 8) the core length reduction achieved is 45%, 43%, 43% and 58% for 16 mm, 18 mm, 20 mm and 22 mm, co-flow models, respectively. Also, for Mach 0.9 (Fig. 9) and Mach 1.0 (correctly expanded, Fig. 10) similar reduction in potential core is observed Among the models, 16 mm and 18 mm co-flow jets show almost a similar trend in the decay region for at all low (Figs. 2 to 4) and high-speed jets (Figs. 5 to 10). However, as the annular gap is increased to 4.5 mm (22 mm model), the effect of co-flow is significant in reducing the potential core and promoting mixing in the decay region. It is clearly seen that, in the near field (i.e. up to 2D) all the co-flow models behave almost similar along the centreline. However, the variation is significant in the decay region for all the models Jet Development From the discussion in above section, a gross picture of the jet behaviour in the presence of co-flow has been discussed. However, to authenticate these results and to investigate further into the flow phenomenon and jet growth, pressures in the radial directions were measured at axial stations of 1D, 2D, 3D, 4D, 5D, 6D, 9D, 12D and 15D, for flow with exit Mach number 0.6. The survey was done at radial intervals of 1 mm starting from the jet axis to the jet outer edge. Pressure measurements were made only in one direction, ensuring a reasonable degree of symmetry in the opposite radial direction. The calculated Mach numbers were normalised and plotted against R/D. (Figs. 11 to 15). The radial variations exhibit the nature of jet growth and extent of influence of co- flow.
  • 4.
    In the equivalentmodel (Fig. 11) the variations of the Mach number at axial position 1D show that the centreline Mach number (i.e. at R/D = 0) is retained up to R/D = 0.25, which indicates the extent of the potential core in the radial direction, after which its decay is very steep. The profile at X/D = 4 shows that the Mach number decay is fast from the centreline itself, by possessing a single peak profile. This indicates the onset of mixing at the centreline region at this axial station. This matches very much with the centreline Mach number decay (Fig. 6) which follows the same trend. For farther axial stations, the centreline Mach number successively decreases from unity, indicating dominance of the mixing effect up to the centreline. This corroborates the trends seen in the centreline Mach number decay. It is also observed that in the far-field axial stations, the Mach profile decays more and more gradually approaching the jet outer edge. This goes well with the phenomenon of jet spread and mass entrainment at progressive axial locations. Further, the far field Mach profiles for all the co-flow models (Figs. 12 to 15) are very similar in trend to the equivalent model (Fig. 11), thus confirming the same fact from the centreline Mach number decay. The Mach number profiles for the 16 mm model are shown in Fig. 12 compared to the equivalent model profiles (Fig. 11). It is observed that, the jet characteristics begin to change right from the first measurement location (X/D = 1.0). From this profile, it is observed that the radial extent of the potential core ends much earlier compared to the equivalent model. From X/D = 2.0 onwards, all the profiles assume single peak nature which indicates the absence of potential core. This is again evident in centreline Mach number decay for Mach 0.6 (Fig. 6). At the next downstream station (X/D = 3.0) and onwards it is seen that the centreline Mach number decreases progressively downstream. Comparing the Mach profile at X/D = 1.0 across different models (Figs. 11 to 15) an oscillatory trend in the radial extent of the potential core is seen. This implies that the effect of co-flow on potential core in the radial direction varies from model to model. For the equivalent model (Fig. 11) the radial extent is 0.2D, which decreases to 1.0D for the 16 mm case, increases to 1.5D and 2.0D again for the 18 mm and 20 mm case respectively, and then finally decreases to 1.0D for the 22 mm co-flow model. This implies that the influence of co-flow on the potential core along the radial direction is significant in the minimum possible annular gap model (16 mm model) and the farthest annular gap model (22 mm model) in the present study. However, for the intermediate annular gap models (18 mm and 20 mm co- flow models), the influence is not that significant along the radial direction at X/D = 1. Referring again to Fig. 12 for the 16 mm model, the profiles at axial stations 1D, 2D and 3D differ from the monotonous radial decay of the primary model. There is a brief zone of departure from monotonous decay, where the radial Mach number decay becomes less steep. This zone of departure is located between 0.3D to 0.4D for X/D = 1, 0.2D to 0.3D for X/D = 2 and from 0.15D to 0.25D for X/D = 3. This probably corresponds to the interaction of the secondary jet flow and the primary flow. For the 18 mm model (Fig. 13), the Mach profile of X/D = 1 shows a reversal of the monotonous decay from R/D = 0.5 to R/D = 0.6. As observed before, such peaks (or departures from monotonous Mach profile decay) might correspond to the interference of the secondary jet. For 20 mm model too (Fig. 14), a peak is observed at X/D = 1 from R/D = 0.4 to R/D = 0.6. Also, in the near field profiles (up to X/D = 6) for this model, the profiles assume off-centre peaks. In the 22 mm model (Fig. 15), these peaks at X/D = 1 are especially notable. The profile in this case shows the radial extent of the potential core up to R/D = 0.2, followed by a decay up to R/D = 0.35, after which the profile rises to peak at R/D = 0.5 and then decays thereafter. It appears from these observations that, the presence of the secondary shear layer in the co-flow case has an overall effect of redistributing the entrained mass such that the potential core gets disturbed much upstream.
  • 5.
    This is seenas an enhancement of the mixing phenomenon of jet growth. The fact that the potential core reduction varies differently for each model, as well as the variation in the existence of peaks (or departure points) at different axial locations in the Mach profiles indicate the shifting of the region of influence of the co-flow. It is suspected that since the region of influence shifts without following a definite trend, the nature of interaction itself must be different for different models. It is known that the mixing phenomenon involves generation of eddies. For models with lesser annular gap, the eddies are only semi developed when they start interacting with the primary flow, because of their proximity to the primary flow. This may not be the case for the 20 mm co-flow model, where the effect is observed at downstream axial locations too. For the 22 mm model, the eddies might be more developed before they start interacting, hence their influence is significant in mixing enhancement. Conclusions Co-flow is found to promote mixing at all subsonic and correctly expanded sonic Mach numbers. The annular gap of co-flow plays a dominant role on both the potential core and the characteristic decay region. In the present range of annular gap the 16 mm and the 18 mm models behave almost similarly to each other, probably due to their close proximity to the primary jet, which may be viewed as a limiting parameter for efficient mixing. The 22 mm model is superior to the equivalent and other co-flow models in enhancing the mixing. The Mach number has a marginal influence on the centreline characteristics of the co-flow jets. References [1] Lovaraju P., and Rathakrishnan E., “Subsonic and transonic jet control with cross-wire,” AIAA Journal, Vol. 44, No.11, pp. 2700-2705, 2006. [2] Lovaraju P., Shibu Clement and Rathakrishnan E., “Effect of cross-wire and tabs on sonic jet structure,” Shock Waves, Vol. 17, pp. 81-83, 2007. [3] Erina Murakami, and Papamoschou D., “Mixing layer characteristics of coaxial supersonic jets,” AIAA 2000-2060. [4] Sukumar V.N., Sundaravadivelu T., Lovaraju P., Rathakrishnan E., “Effect of co- flow on near-field shock structure of underexpanded central jet,” 9th Asian Symposium on visualization, ASV0031-001, 2007. [5] Sundaravadivelu T., Sukumar V. N., Lovaraju P., and Rathakrishnan E., “Experimental studies of co-flowing jets for mixing inhibition”, AIAA 2007-4497. [6] Rathakrishnan, E., Gas Dynamics, 1st ed., Prentice Hall of India, Delhi, 1995, Chapter. 2, pp. 17.
  • 6.
    Figure 1: Photographsof co-flow models X/D Mj /Me 0 5 10 15 0 0.1 0.2 0.3 0.4 0.5 0.6 0.7 0.8 0.9 1 1.1 Equivalent flow 16 mm co-flow 18 mm co-flow 20 mm co-flow 22 mm co-flow Figure 3: Centreline Mach number decay (Me = 0.3) X/D Mj /Me 0 5 10 15 0 0.1 0.2 0.3 0.4 0.5 0.6 0.7 0.8 0.9 1 1.1 Equivalent flow 16 mm co-flow 18 mm co-flow 20 mm co-flow 22 mm co-flow Figure 2: Centreline Mach number decay (Me = 0.2) X/D Mj /Me 0 5 10 15 0 0.1 0.2 0.3 0.4 0.5 0.6 0.7 0.8 0.9 1 1.1 Equivalent flow 16 mm co-flow 18 mm co-flow 20 mm co-flow 22 mm co-flow Figure 4: Centreline Mach number decay (Me = 0.4)
  • 7.
    X/D Mj /Me 0 5 1015 0 0.1 0.2 0.3 0.4 0.5 0.6 0.7 0.8 0.9 1 1.1 Equivalent flow 16 mm co-flow 18 mm co-flow 20 mm co-flow 22 mm co-flow Figure 5: Centreline Mach number decay (Me = 0.5) X/D Mj /Me 0 5 10 15 0 0.1 0.2 0.3 0.4 0.5 0.6 0.7 0.8 0.9 1 1.1 Equivalent flow 16 mm co-flow 18 mm co-flow 20 mm co-flow 22 mm co-flow Figure7: Centreline Mach number decay (Me = 0.7) X/D Mj /Me 0 5 10 15 0 0.1 0.2 0.3 0.4 0.5 0.6 0.7 0.8 0.9 1 1.1 Equivalent flow 16 mm co-flow 18 mm co-flow 20 mm co-flow 22 mm co-flow Figure 6: Centreline Mach number decay (Me = 0.6) X/D Mj /Me 0 5 10 15 0 0.1 0.2 0.3 0.4 0.5 0.6 0.7 0.8 0.9 1 1.1 Equivalent flow 16 mm co-flow 18 mm co-flow 20 mm co-flow 22 mm co-flow Figure 8: Centreline Mach number decay (Me = 0.8)
  • 8.
    X/D Mj /Me 0 5 1015 0 0.1 0.2 0.3 0.4 0.5 0.6 0.7 0.8 0.9 1 1.1 Equivalent flow 16 mm co-flow 18 mm co-flow 20 mm co-flow 22 mm co-flow Figure 9: Centreline Mach number decay (Me = 0.9) R/D Mj /Me 0 0.5 1 1.5 2 2.5 0 0.1 0.2 0.3 0.4 0.5 0.6 0.7 0.8 0.9 1 1.1 X/D=1 X/D=2 X/D=3 X/D=4 X/D=5 X/D=6 X/D=9 X/D=12 X/D=15 Figure 11: Radial profiles for equivalent model X/D Mj /Me 0 5 10 15 0 0.1 0.2 0.3 0.4 0.5 0.6 0.7 0.8 0.9 1 1.1 Equivalent flow 16 mm co-flow 18 mm co-flow 20 mm co-flow 22 mm co-flow Figure 10: Centreline Mach number decay (Me = 1.0) R/D Mj /Me 0 0.5 1 1.5 2 2.5 0 0.1 0.2 0.3 0.4 0.5 0.6 0.7 0.8 0.9 1 1.1 X/D=1 X/D=2 X/D=3 X/D=4 X/D=5 X/D=6 X/D=9 X/D=12 X/D=15 Figure 12: Radial profiles for 16 mm model
  • 9.
    R/D Mj /Me 0 0.5 11.5 2 2.5 0 0.1 0.2 0.3 0.4 0.5 0.6 0.7 0.8 0.9 1 1.1 X/D=1 X/D=2 X/D=3 X/D=4 X/D=5 X/D=6 X/D=9 X/D=12 X/D=15 Figure 13: Radial profiles for 18 mm model R/D Mj /Me 0 0.5 1 1.5 2 2.5 0 0.1 0.2 0.3 0.4 0.5 0.6 0.7 0.8 0.9 1 1.1 X/D=1 X/D=2 X/D=3 X/D=4 X/D=5 X/D=6 X/D=9 X/D=12 X/D=15 Figure 15: Radial profiles for the 22 mm model R/D Mj /Me 0 0.5 1 1.5 2 2.5 0 0.1 0.2 0.3 0.4 0.5 0.6 0.7 0.8 0.9 1 1.1 X/D=1 X/D=2 X/D=3 X/D=4 X/D=5 X/D=6 X/D=9 X/D=12 X/D=15 Figure 14: Radial profiles for 20 mm model