NUMBER SYSTEM
Number System
The number system or the numeral system is the
system of naming or representing numbers.
A number system is defined as a system of
writing to express numbers. It is the
mathematical notation for representing
numbers of a given set by using digits or other
symbols in a consistent manner.
A number system can be used to represent the
number of students in a class or number of
viewers watching a certain TV program etc.
The digital computer represents all kinds of data
and information in binary numbers. It includes
audio, graphics, video, text and numbers.
The total number of digits used in a number
system is called its base or RADIX.
The value of any digit in a number can be
determined by:
•The digit
•Its position in the number
•The base of the number system
Types of Number System
1. Decimal number system (Base- 10)
2. Binary number system (Base- 2)
3. Octal number system (Base-8)
4. Hexadecimal number system (Base- 16)
System Base Symbols
Decimal 10 0, 1, …, 9
Binary 2 0, 1
Octal 8 0, 1, …,7
Hexadecimal 16 0, 1, …, 9
A, B, …, F
Decimal Number System
(Base 10 Number System)
The number system that we use in our day-to-day life
is the decimal number system.
The way of denoting the decimal numbers with base
10 is also termed as DECIMAL NOTATION.
This number system is widely used in computer
applications. It is also called the base-10 number
system which consists of 10 digits, such as,
0,1,2,3,4,5,6,7,8,9.
Each digit in the decimal system has a position
and every digit is ten times more significant than
the previous digit.
In the decimal number system, the positions
successive to the left of the decimal point represent
units, tens, hundreds, thousands and so on.
Suppose, 25 is a decimal number, then 2 is ten times
more than 5.
Some examples of decimal numbers are:-
(12)10, (345)10, (119)10,
(200)10, (313.9)10
Every position shows a particular power of the
base (10).
For example, the decimal number 1,457 consists of
the digit 7 in the units position, 5 in the tens place,
4 in the hundreds position, and 1 in the thousands
place whose value can be written as
(1×103) + (4×102) + (5×101) + (7×100)
(1×1000) + (4×100) + (5×10) + (7×1)
1000 + 400 + 50 + 7
1,457
More examples:
(92)10 = (9×101)+(2×100)
(200)10 = (2×102)+(0x101)+(0x100)
The decimal numbers which have digits present on
the right side of the decimal (.) denote each digit with
decreasing power of 10. Some examples are:
(30.2)10= (3×101)+(0x100)+(2×10-1)
(212.367)10=(2×102)+(1×101)+(2×100)+(3×10-1) +
(6×10-2)+(7×10-3)
Express the following in expanded
form.
1. (27)10
2. (88)10
3. (600)10
4. (54.87)10
5. (321.906)10
Express the following in Base 10
6. (7×101)+(5×100) =
7. (4×103)+(2×102)+(9×101)+(2×100) =
8. (8×103) + (0×102) + (3×101) + (0×100) =
9. (5×101)+(3x100)+(9×10-1) =
10. (7×102)+(0×101)+(4×100)+(9×10-1)+ (3×10-
2)+(5×10-3) =
Binary Number System
(Base 2 Number System)
According to digital electronics and
mathematics, a binary number is defined as a
number that is expressed in the binary system or
base 2 numeral system.
It describes numeric values by two separate
symbols; 1 (one) and 0 (zero).
The base-2 system is the positional notation with
2 as a radix.
The binary system is applied internally by almost
all latest computers and computer-based
devices because of its direct implementation in
electronic circuits using logic gates.
Every digit is referred to as a BIT.
What is Bit in Binary Number?
A single binary digit is called a “Bit”.
A binary number consists of several bits.
Examples are:
10101 is a five-bit binary number
101 is a three-bit binary number
100001 is a six-bit binary number
Facts to Remember:
Binary numbers are made up of only 0’s and 1’s.
A binary number is represented with a base-2
A bit is a single binary digit.
Converting Decimal Number System
to Binary Number System
Convert 1310 to binary:
Division by 2 Quotient Remainder
13/2 6 1
6/2 3 0
3/2 1 1
1/2 0 1
So 1310 = 11012
Convert 17410 to binary
=101011102
Convert 5110 to binary
=1100112
Convert 21710 to binary
=110110012
Convert 802310 to binary
=11111010101112
Convert the following Decimal
Numbers to Binary Numbers
1. 1610
2. 4310
3. 3910
4. 4710
5. 1310
6. 14510
7. 12410
8. 11610
9. 18210
10.23810
Converting Binary Number System to
Decimal Number System
Examples:
101012 = 10
Solution:
10101
=(1×24)+(0×23)+(1×22)+(0×21)+(1×20)
=(1×16)+(0×8)+(1×4)+(0×2)+(1×1)
=21
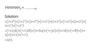
1101010012 = 10
Solution:
=(1×28)+(1×27)+(0×26)+(1×25)+(0×24)+(1×23)+(0×22)+(
0×21)+(1×20)
=(1×256)+(1×128)+(0×64)+(1×32)+(0×16)+(1×8)+(0×
4)+(0×2)+(1×1)
=425
Covert the following Binary Numbers to
Decimal Numbers
1. 112
2. 11002
3. 111002
4. 101012
5. 1001012
6. 1111002
7. 10110012
8. 1111112
9. 101000112
10.110110112

NUMBER SYSTEM.pptx

  • 1.
  • 2.
    Number System The numbersystem or the numeral system is the system of naming or representing numbers. A number system is defined as a system of writing to express numbers. It is the mathematical notation for representing numbers of a given set by using digits or other symbols in a consistent manner.
  • 3.
    A number systemcan be used to represent the number of students in a class or number of viewers watching a certain TV program etc. The digital computer represents all kinds of data and information in binary numbers. It includes audio, graphics, video, text and numbers. The total number of digits used in a number system is called its base or RADIX.
  • 4.
    The value ofany digit in a number can be determined by: •The digit •Its position in the number •The base of the number system
  • 5.
    Types of NumberSystem 1. Decimal number system (Base- 10) 2. Binary number system (Base- 2) 3. Octal number system (Base-8) 4. Hexadecimal number system (Base- 16)
  • 6.
    System Base Symbols Decimal10 0, 1, …, 9 Binary 2 0, 1 Octal 8 0, 1, …,7 Hexadecimal 16 0, 1, …, 9 A, B, …, F
  • 7.
    Decimal Number System (Base10 Number System)
  • 8.
    The number systemthat we use in our day-to-day life is the decimal number system. The way of denoting the decimal numbers with base 10 is also termed as DECIMAL NOTATION.
  • 9.
    This number systemis widely used in computer applications. It is also called the base-10 number system which consists of 10 digits, such as, 0,1,2,3,4,5,6,7,8,9. Each digit in the decimal system has a position and every digit is ten times more significant than the previous digit.
  • 10.
    In the decimalnumber system, the positions successive to the left of the decimal point represent units, tens, hundreds, thousands and so on. Suppose, 25 is a decimal number, then 2 is ten times more than 5. Some examples of decimal numbers are:- (12)10, (345)10, (119)10, (200)10, (313.9)10
  • 11.
    Every position showsa particular power of the base (10). For example, the decimal number 1,457 consists of the digit 7 in the units position, 5 in the tens place, 4 in the hundreds position, and 1 in the thousands place whose value can be written as (1×103) + (4×102) + (5×101) + (7×100) (1×1000) + (4×100) + (5×10) + (7×1) 1000 + 400 + 50 + 7 1,457
  • 12.
    More examples: (92)10 =(9×101)+(2×100) (200)10 = (2×102)+(0x101)+(0x100) The decimal numbers which have digits present on the right side of the decimal (.) denote each digit with decreasing power of 10. Some examples are: (30.2)10= (3×101)+(0x100)+(2×10-1) (212.367)10=(2×102)+(1×101)+(2×100)+(3×10-1) + (6×10-2)+(7×10-3)
  • 13.
    Express the followingin expanded form. 1. (27)10 2. (88)10 3. (600)10 4. (54.87)10 5. (321.906)10
  • 14.
    Express the followingin Base 10 6. (7×101)+(5×100) = 7. (4×103)+(2×102)+(9×101)+(2×100) = 8. (8×103) + (0×102) + (3×101) + (0×100) = 9. (5×101)+(3x100)+(9×10-1) = 10. (7×102)+(0×101)+(4×100)+(9×10-1)+ (3×10- 2)+(5×10-3) =
  • 16.
  • 17.
    According to digitalelectronics and mathematics, a binary number is defined as a number that is expressed in the binary system or base 2 numeral system. It describes numeric values by two separate symbols; 1 (one) and 0 (zero). The base-2 system is the positional notation with 2 as a radix.
  • 18.
    The binary systemis applied internally by almost all latest computers and computer-based devices because of its direct implementation in electronic circuits using logic gates. Every digit is referred to as a BIT.
  • 19.
    What is Bitin Binary Number? A single binary digit is called a “Bit”. A binary number consists of several bits. Examples are: 10101 is a five-bit binary number 101 is a three-bit binary number 100001 is a six-bit binary number
  • 20.
    Facts to Remember: Binarynumbers are made up of only 0’s and 1’s. A binary number is represented with a base-2 A bit is a single binary digit.
  • 21.
    Converting Decimal NumberSystem to Binary Number System
  • 22.
    Convert 1310 tobinary: Division by 2 Quotient Remainder 13/2 6 1 6/2 3 0 3/2 1 1 1/2 0 1 So 1310 = 11012
  • 23.
    Convert 17410 tobinary =101011102 Convert 5110 to binary =1100112 Convert 21710 to binary =110110012 Convert 802310 to binary =11111010101112
  • 24.
    Convert the followingDecimal Numbers to Binary Numbers 1. 1610 2. 4310 3. 3910 4. 4710 5. 1310 6. 14510 7. 12410 8. 11610 9. 18210 10.23810
  • 25.
    Converting Binary NumberSystem to Decimal Number System
  • 26.
  • 27.
  • 28.
    Covert the followingBinary Numbers to Decimal Numbers 1. 112 2. 11002 3. 111002 4. 101012 5. 1001012 6. 1111002 7. 10110012 8. 1111112 9. 101000112 10.110110112