Network aNalysis
Module-1
• Basic Concepts: Practical sources, Source transformations, Network reduction using Star - Delta
transformation, Loop and node analysis with linearly dependent and independent sources for DC and
AC networks.
Module-2
• Network Theorems: Superposition, Millman's theorems, Thevenin's and Norton’s theorems, Maximum
Power transfer theorem.
Module-3
• Transient behavior and initial conditions: Behavior of circuit elements under switching condition and
their Representation, evaluation of initial and final conditions in RL, RC and RLC circuits for AC and
DC excitations.
Module-4
• Laplace Transformation &Applications: Solution of networks, step, ramp and impulse responses,
waveform Synthesis.
Module-5
• Two port network parameters: Definition of Z,Y, h and Transmission parameters, modelling with
these parameters, relationship between parameters sets. Resonance: Series Resonance: Variation of
Current and Voltage with Frequency, SelectivityandBandwidth,Q-
Factor,CircuitMagnificationFactor,Selectivity with Variable Capacitance, Selectivity with Variable
Inductance. Parallel Resonance: Selectivity and Bandwidth, Maximum Impedance Conditions with C,
Land f Variable, current in Anti-Resonant Circuit, The General Case-Resistance Present in both
Branches.
• Suggested Learning Resources:
• Books
1. M.E.Van Valkenburg (2000), Network Analysis, Prentice Hall of India, 3rdedition, 2000,
ISBN:9780136110958.
2. Roy Choudhury-Networks and Systems, 2nd edition, New Age International
Publications, 2006, ISBN: 9788122427677
ReferenceBooks:
3. Hayt, Kemmerly and Durbin-Engineering Circuit Analysis, TMH7th Edition, 2010.
4. J.David Irwin/ R.Mark Nelms- Basic Engineering Circuit Analysis
JohnWiley,8thed,2006.
5. Charles K Alexander and Mathew NO Sadiku-Fundamentals of Electric Circuits
Course outcome (Course Skill Set)
At the end of the course, the student will be able to :
1. Determine currents and voltages using source transformation/ source shifting/ mesh/ nodal
analysis and reduce given network using star- delta transformation.
2. Solve problems by applying Network Theorems and electrical laws to reduce circuit
complexities and to arrive at feasible solutions.
3. Analyse the circuit parameters during switching transients and apply Laplace transform to
solve the given network
4. Evaluate the frequency response for resonant circuits and the network parameters for two
port networks
Electric circuit
• An electric circuit or electric network is an interconnection of electrical elements linked
together in a closed path so that an electric current may continuously flow.
• Alternatively, an electric circuit is essentially a pipe-line that facilitates the transfer of charge
from one point to another.
• Current is the time rate of flow of electric charge past a given point .
• The voltage across an element is the work done in moving a positive charge of 1 coulomb
from first terminal through the element to second terminal.
• Energy is the capacity to perform work
Linear, active and passive elements
• A linear element is one that satisfies the principle of superposition and homogeneity.
• The excitation is the current, and the response is the voltage, When the element is subjected
to a current i1, it provides a response v1.
• Furthermore, when the element is subjected to a current i2, it provides a response v2. If the
principle of superposition is true, then the excitation i1 + i2 must produce a response v1 + v2.
Passive Circuit Elements
• An element is said to be passive if the total energy delivered to it from the rest of the circuit is
either zero or positive.
• Examples of passive elements are resistors, capacitors and inductors.
• Active Circuit Elements
• An active two-terminal element that supplies energy to a circuit is a source of energy
Unilateral and bilateral networks
• A Unilateral network is one whose properties or characteristics change with the direction
• A bilateral network is one whose properties or characteristics are same in either directions.
• Lumped elements
• These are small, separate elements that are treated as discrete components with properties
concentrated at a single point. Examples include resistors, capacitors, and inductors. Lumped
elements are analyzed using simpler circuit theory.
• Distributed elements
• These are circuit elements that are distributed throughout the length of the circuit and cannot
be separated. Distributed elements are analyzed using transmission line theory.
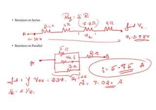
• Resistors in Series
• Resistors in Parallel
Division of Current in a Parallel Circuit
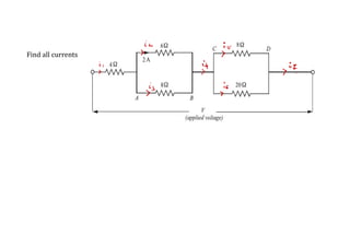
Find all currents
Find the value of R in the circuit
(i) Node: A node of a network is an equi-potential surface at which two or more circuit
elements are joined.
(ii) Junction: A junction is that point in a network, where three or more circuit elements
are joined.
(iii) Branch: A branch is that part of a network which lies between two junction points.
(iv) Loop: A loop is any closed path of a network.
(v) Mesh: A mesh is the most elementary form of a loop and cannot be further divided
into other loops.
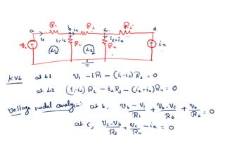
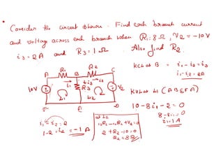
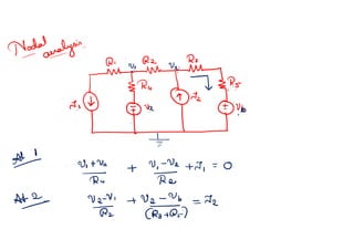
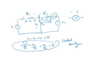
• Kirchhoff’s Current Law
The sum of currents entering a node is equal to the sum of currents leaving the node.
• Kirchhoff’s Voltage Law
Kirchhoff’s voltage law(KVL) states that the algebraic sum of voltages around any
closed path in a circuit is zero.
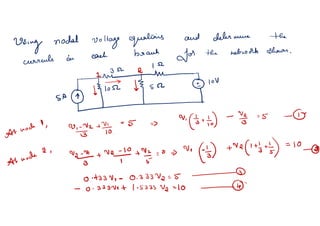
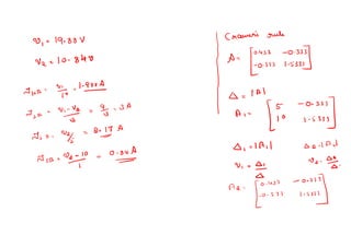
Find vx and vy
Multiple current source networks
Source transformations
• Source transformation is a procedure which transforms one source into another while
retaining the terminal characteristics of the original source.
• Source transformation is based on the concept of equivalence.
• An equivalent circuit is one whose terminal characteristics remain identical to those of the
original circuit.
• The term equivalence as applied to circuits means an identical effect at the terminals, but not
within the equivalent circuits themselves.
• If we have embedded within a network, a current source I in parallel with a resistor R can be
replaced with a voltage source of value V= IR in series with the resistor R.
• The reverse is also true; that is, a voltage source V in series with a resistor R can be
• replaced with a current source of value I=V/R in parallel with the resistor .
• Parameters within the circuit are unchanged under these transformation.
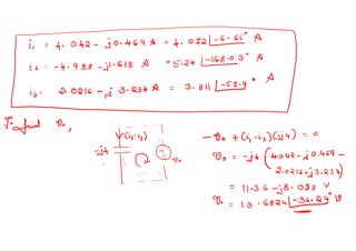
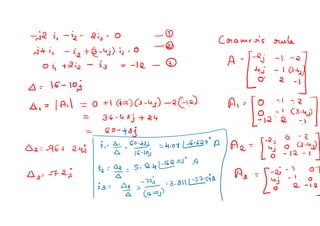
Find the current by reducing the circuit to the right of the terminals x-y to its simplest form using source
transformations.
Find current i1
Convert the overall circuit into a simpler circuit with single resistor and one
current source
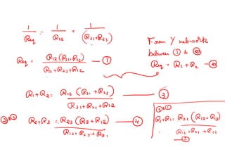
Wye - Delta transformation
Find the equivalent resistance between a and b.
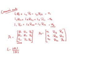
Network Analysis including KCL , KVL, STAR and Detla transformatios
Network Analysis including KCL , KVL, STAR and Detla transformatios
Network Analysis including KCL , KVL, STAR and Detla transformatios
Network Analysis including KCL , KVL, STAR and Detla transformatios
Network Analysis including KCL , KVL, STAR and Detla transformatios
Network Analysis including KCL , KVL, STAR and Detla transformatios
Network Analysis including KCL , KVL, STAR and Detla transformatios
Network Analysis including KCL , KVL, STAR and Detla transformatios
Network Analysis including KCL , KVL, STAR and Detla transformatios
Network Analysis including KCL , KVL, STAR and Detla transformatios
Network Analysis including KCL , KVL, STAR and Detla transformatios
Network Analysis including KCL , KVL, STAR and Detla transformatios
Network Analysis including KCL , KVL, STAR and Detla transformatios
Network Analysis including KCL , KVL, STAR and Detla transformatios

Network Analysis including KCL , KVL, STAR and Detla transformatios

  • 1.
  • 3.
    Module-1 • Basic Concepts:Practical sources, Source transformations, Network reduction using Star - Delta transformation, Loop and node analysis with linearly dependent and independent sources for DC and AC networks. Module-2 • Network Theorems: Superposition, Millman's theorems, Thevenin's and Norton’s theorems, Maximum Power transfer theorem. Module-3 • Transient behavior and initial conditions: Behavior of circuit elements under switching condition and their Representation, evaluation of initial and final conditions in RL, RC and RLC circuits for AC and DC excitations. Module-4 • Laplace Transformation &Applications: Solution of networks, step, ramp and impulse responses, waveform Synthesis. Module-5 • Two port network parameters: Definition of Z,Y, h and Transmission parameters, modelling with these parameters, relationship between parameters sets. Resonance: Series Resonance: Variation of Current and Voltage with Frequency, SelectivityandBandwidth,Q- Factor,CircuitMagnificationFactor,Selectivity with Variable Capacitance, Selectivity with Variable Inductance. Parallel Resonance: Selectivity and Bandwidth, Maximum Impedance Conditions with C, Land f Variable, current in Anti-Resonant Circuit, The General Case-Resistance Present in both Branches.
  • 4.
    • Suggested LearningResources: • Books 1. M.E.Van Valkenburg (2000), Network Analysis, Prentice Hall of India, 3rdedition, 2000, ISBN:9780136110958. 2. Roy Choudhury-Networks and Systems, 2nd edition, New Age International Publications, 2006, ISBN: 9788122427677 ReferenceBooks: 3. Hayt, Kemmerly and Durbin-Engineering Circuit Analysis, TMH7th Edition, 2010. 4. J.David Irwin/ R.Mark Nelms- Basic Engineering Circuit Analysis JohnWiley,8thed,2006. 5. Charles K Alexander and Mathew NO Sadiku-Fundamentals of Electric Circuits
  • 5.
    Course outcome (CourseSkill Set) At the end of the course, the student will be able to : 1. Determine currents and voltages using source transformation/ source shifting/ mesh/ nodal analysis and reduce given network using star- delta transformation. 2. Solve problems by applying Network Theorems and electrical laws to reduce circuit complexities and to arrive at feasible solutions. 3. Analyse the circuit parameters during switching transients and apply Laplace transform to solve the given network 4. Evaluate the frequency response for resonant circuits and the network parameters for two port networks
  • 8.
    Electric circuit • Anelectric circuit or electric network is an interconnection of electrical elements linked together in a closed path so that an electric current may continuously flow. • Alternatively, an electric circuit is essentially a pipe-line that facilitates the transfer of charge from one point to another. • Current is the time rate of flow of electric charge past a given point . • The voltage across an element is the work done in moving a positive charge of 1 coulomb from first terminal through the element to second terminal. • Energy is the capacity to perform work
  • 9.
    Linear, active andpassive elements • A linear element is one that satisfies the principle of superposition and homogeneity. • The excitation is the current, and the response is the voltage, When the element is subjected to a current i1, it provides a response v1. • Furthermore, when the element is subjected to a current i2, it provides a response v2. If the principle of superposition is true, then the excitation i1 + i2 must produce a response v1 + v2.
  • 10.
    Passive Circuit Elements •An element is said to be passive if the total energy delivered to it from the rest of the circuit is either zero or positive. • Examples of passive elements are resistors, capacitors and inductors.
  • 11.
    • Active CircuitElements • An active two-terminal element that supplies energy to a circuit is a source of energy
  • 13.
    Unilateral and bilateralnetworks • A Unilateral network is one whose properties or characteristics change with the direction • A bilateral network is one whose properties or characteristics are same in either directions.
  • 14.
    • Lumped elements •These are small, separate elements that are treated as discrete components with properties concentrated at a single point. Examples include resistors, capacitors, and inductors. Lumped elements are analyzed using simpler circuit theory. • Distributed elements • These are circuit elements that are distributed throughout the length of the circuit and cannot be separated. Distributed elements are analyzed using transmission line theory.
  • 15.
    • Resistors inSeries • Resistors in Parallel
  • 17.
    Division of Currentin a Parallel Circuit
  • 18.
  • 19.
    Find the valueof R in the circuit
  • 20.
    (i) Node: Anode of a network is an equi-potential surface at which two or more circuit elements are joined. (ii) Junction: A junction is that point in a network, where three or more circuit elements are joined. (iii) Branch: A branch is that part of a network which lies between two junction points. (iv) Loop: A loop is any closed path of a network. (v) Mesh: A mesh is the most elementary form of a loop and cannot be further divided into other loops.
  • 21.
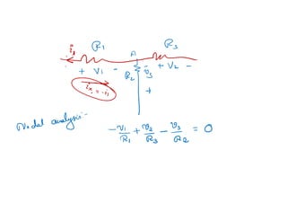
    • Kirchhoff’s CurrentLaw The sum of currents entering a node is equal to the sum of currents leaving the node. • Kirchhoff’s Voltage Law Kirchhoff’s voltage law(KVL) states that the algebraic sum of voltages around any closed path in a circuit is zero.
  • 27.
  • 37.
  • 38.
    Source transformations • Sourcetransformation is a procedure which transforms one source into another while retaining the terminal characteristics of the original source. • Source transformation is based on the concept of equivalence. • An equivalent circuit is one whose terminal characteristics remain identical to those of the original circuit. • The term equivalence as applied to circuits means an identical effect at the terminals, but not within the equivalent circuits themselves.
  • 39.
    • If wehave embedded within a network, a current source I in parallel with a resistor R can be replaced with a voltage source of value V= IR in series with the resistor R. • The reverse is also true; that is, a voltage source V in series with a resistor R can be • replaced with a current source of value I=V/R in parallel with the resistor . • Parameters within the circuit are unchanged under these transformation.
  • 40.
    Find the currentby reducing the circuit to the right of the terminals x-y to its simplest form using source transformations.
  • 41.
  • 42.
    Convert the overallcircuit into a simpler circuit with single resistor and one current source
  • 55.
    Wye - Deltatransformation
  • 63.
    Find the equivalentresistance between a and b.