1
Modyul 5: 1986 EDSA People Power Revolution at ang Hamon ng Pagbabago
Mga Paksa:
1. 1986 EDSA People Power Revolution
1.1 Mga Pangyayari tungo sa 1986 EDSA People Power Revolution
1.2 Ang 1986 EDSA People Power Revolution
2. Panunumbalik ng Demokrasya
2.1 Panunumpa ni Corazon Aquino bilang Pangulo
2.2 1986 Freedom Constitution
2.3 1987 Saligang Batas ng Pilipinas
3. Kalagayan ng Pilipinas pagkatapos ng 1986 EDSA People Power Revolution
3.1 Kahalagahan ng 1986 People Power Revolution
3.2 Mga hamon ng 1986 EDSA People Power Revolution sa kasalukuyan
Tema:
A. Karapatan, Pananagutan at Pagkamamamayan
B. Kapangyarihan, Awtoridad at Pamamahala
Bilang ng Oras: anim (6)
Alignment Matrix
Paksa Sanggunian Ano ang kakayahang
nakapaloob
sa sanggunian?
Saang gawain
makakamit ang
kakayahan?
Anong level of
assessment
nakapaloob ang
gawain?
Bilang ng
oras
1986 EDSA People
Power Revolution
Mga Imahe ng
1986 EDSA
People Power
Revolution
1. Naisasalaysay ang
pagkakasunod-sunod ng
mga pangyayaring naging
dahilan upang maibalik ang
demokrasya noong 1986
2. Natatalakay ang mga salik
na nakatulong sa
pagtatagumpay ng 1986
EDSA People Power
Revolution
3. Napahahalagahan ang
mga kontribusyong ng 1986
EDSA People Power
Revolution sa pamamagitan
ng pagsulat ng repleksiyon
Gawain 2
Gawain 1
Gawain 6
Knoweledge
Knowledge
Understanding
* Maglaan
ng 30
minuto
para sa
pagtalakay
ng
panimula
1 and ½
2
4. Nasusuri ang epekto ng
sama-samang pagkilos ng
mamamayan para sa
kalayaan, demokrasya at
karapatang pantao
Gawain 3
Gawain 4
Gawain 5
Knowledge,
Understanding
Knowledge,
Skill/Processes
Understanding
Panunumbalik ng
Demokrasya
Inaugural
Address ni
Pangulong
Corazon Aquino
5. Nasusuri ang epekto ng
sama-samang pagkilos ng
mamamayan para sa
kalayaan, demokrasya at
karapatang pantao
6. Nasusuri ang talumpati ni
Pang. Corazon Aquino sa
kaniyang inagurasyong
bilang pangulo hinggil sa
kinaharap na hamon sa
bayan sa pagpapanatili ng
demokrasya
Gawain 7
Gawain 8
Gawain 9
Gawain 10
Gawain 11
Knowledge
Knowledge,
Skill/Process
Skill/Process,
Understanding
Knowledge,
Skill/Process,
Understanding
Knowledge,
Understanding
2
Bahagi ng 1986
Provisional
“Freedom”
Constitution of
the Philippines
Gawain 12
Gawain 13
Knowledge
Knowledge,
Understanding
Bahagi ng 1987
Saligang Batas
ng Pilipinas
7. Naipahahayag ang
paggalang sa opinyon at
paniniwala ng kapwa mag-
aaral tungkol sa mga
pangyayari na may
kaugnayan sa 1986 EDSA
People Power Revolution
8. Nasusuri ang epekto ng
sama-samang pagkilos ng
mamamayan para sa
kalayaan, demokrasya at
karapatang pantao
9. Nasusuri ang talumpati ni
Pang. Corazon Aquino sa
kaniyang inagurasyong
bilang pangulo hinggil sa
kinaharap na hamon sa
bayan sa pagpapanatili ng
demokrasya
Gawain 14
Gawain 15
Knowledge
Knowledge,
Understanding
Kalagayan ng
Pilipinas
pagkatapos ng
1986 EDSA People
Power Revolution
26 Years of
Freedom
26 Years after
EDSA, where did
we go wrong?
5 Lessons to
Remember from
10. Naiuugnay ang mga
kasalukuyang pangyayari sa
mga hangarin noong 1986
EDSA People Power
Revolution
11. Nasusuri ang mga
suliraning hindi pa nalulutas
sa kasalukuyan
12. Naipaliliwanag kung
bakit mahirap lutasin ang
Gawain 16
Gawain 17
Gawain 18
Knowledge,
Skill/Process
Understanding 2
3
the EDSA People
Power
Revolution
mga suliraning ito
13. Nailalahad ang mga
mungkahi na dapat gawin ng
pamahalaan at ng kabataan
upang makamit ang
hinahangad na pagbabago.
14. Naipahahayag ang
paggalang sa opinyon at
paniniwala ng kapwa mag-
aaral tungkol sa mga
pangyayari na may
kaugnayan sa 1986 EDSA
People Power Revolution
15. Napahahalagahan ang
mga kontribusyong ng 1986
EDSA People Power
Revolution sa pamamagitan
ng pagsulat ng repleksiyon
Gawain 19
Gawain 19
Gawain 20
Knowledge,
Skill/Process
Understanding
Pagganyak
a. Ipaliwanag ang panuto para sa Awit-Guhit.
b. Ipaskil ang lyrics ng awit na Handog ng Pilipino sa Mundo. Iparinig sa mga mag-aaral ang awit.
(Maaari ding ipakanta kung walang sapat na kagamitan).
c. Bigyan ng kaukulang minuto ang mga mag-aaral sa pagguhit ng simbolo.
d. Tumawag ng mga volunteer upang ipaliwanag ang naiguhit na simbolo sa klase.
*Paalala: Kunin lamang ang pangkalahatang ideya ng klase ukol sa awitin.
e. Ipasagot ang pamprosesong tanong. Ang sumusunod ang inaasahang sagot sa mga ito:
1. Kalapati. Dahil ito po ay simbolo ng kapayapaan at kalayaan na siyang mensahe ng
awitin.
*Paalala: Maaaring tanggapin ng guro ang paliwanag ng mag-aaral kung ito ay kaniyang
mapapangatuwiranan.
2. 1986 EDSA People Power Revolution.
f. Ipaliwanag ang pangkalahatang tanong sa pagtalakay at pagsuri ng mga primaryang sanggunian
sa modyul. Ang tanong ay “Paano ipinaglaban ng mga Pilipino ang kanilang karapatan at
kalayaan sa ilalim ng pamumuno ni Pangulong Marcos?”
*Paalala: Sabihin sa mga mag-aaral na dapat nilang maipaliwanag ang sagot sa tanong bago matapos
ang pagtalakay sa modyul na ito.
g. Ipabasa ang mga kakayahan na inaasahang makakamit sa pag-aaral ng Modyul 5.
Pagtalakay sa Panimula
a. Talakayin ang panimula at kontekstong pangkasaysayan tungkol sa mga pangyayaring nagbigay-
daan sa 1986 EDSA People Power Revolution. Maaaring gumamit ng larawan, dokyumentaryo at
video clips ukol sa nasabing pangyayari.
b. Ipaunawa ang timeline at graphic organizer na nasa Panimula.
c. Magbigay ng maikling pagsubok upang matiyak na naunawaan ng mga mag-aaral ang
kontekstong pangkasaysayan.
4
Pagsuri sa mga Sanggunian:
1986 EDSA People Power Revolution
Sanggunian 1: Mga Imahe ng 1986 EDSA People Power Revolution
Gawain 1: Photo-Suri
LARAWAN DESKRIPSIYON SEKTOR
(Mamili sa mga
sumusunod:
Simbahan,
Pamahalaan,
Sundalo,
Pangkaraniwang
Mamamayan)
PAANO IPINAKITA
ANG
PAKIKIPAGLABAN
PARA SA
KALAYAAN
KAHALAGAHAN O
KONTRIBUSYON PARA
SA PAGKAMIT NG
KALAYAAN
LARAWAN A Sama-samang
nagtutulungan at
nagdarasal ang mga
pangkaraniwang tao, mga
madre at pari kaharap
ang mga sundalo at
tangke
Simbahan Sa pamamagitan
ng mapayapang
paraan
Sa pamamagitan
ng pagdarasal
Sa pamamagitan
ng paghingi ng
tulong sa Diyos
Ang matibay na
paniniwala sa Diyos ay
nagbuklod sa mga
mamamayang Pilipino na
nakatulong sa pagkamit
ng kalayaan
LARAWAN B Mga pangkaraniwang
mamamayan, bata,
matanda, babae o lalaki
ay nagsasama-sama
Pangkaraniwang
Mamamayan
Sa pamamagitan
ng pagkakapit-
bisig
Sa pamamagitan
ng mapayapang
paraan
Ang pagkakaisa ng mga
mamamayan kahit na
magkakaiba ang kanilang
estado sa buhay ay
nakatulong upang
makamit ang kalayaan
LARAWAN C Mga kilalang
personalidad at opisyales
ng pamahalaan at militar
Pamahalaan Sa pamamagitan
ng hindi pagsunod
sa utos ng pangulo
Sa pamamagitan
ng mapayapang
paraan
Ang pakikibahagi ng mga
kilalang personalidad sa
lipunan at pamahalaan ay
nagpatibay sa pakikibaka
upang makamit ang
kalayaan
LARAWAN D Mga sundalo na
inaabutan ng pagkain,
rosary at bulaklak ng mga
mamamayan
Sundalo Sa pamamagitan
ng hindi pagsunod
sa utos ng pangulo
Sa pamamagitan
ng pakikiisa sa
taong bayan
Ang pagdedesisyon ng
mga sundalo na makiisa
sa taong bayan sa halip
na sila ay paalisin ay
isang mahalagang salik na
nakatulong sa pagkamit
ng kalayaan
5
Pamprosesong Tanong:
1. Opo. Dahil ang layunin ng pagkilos na ito ay upang mapaalis si Pangulong Marcos na siyang
dahilan ng pagkawala ng kalayaan sa pagpapahayag ng mga Pilipino.
2. Opo. Nagtipon at nagkaisa ang mga Pilipino mula sa iba’t ibang antas at sektor ng lipunan
tulad ng simbahan, pamahalaan, mga negosyante, estudyante, at mga pangkaraniwang
mamamayan.
3. Masasabi ko po na ang pagkakaisa at pananalig sa Diyos ay mga dahilan ng tagumpay ng 1986
EDSA People Power Revolution.
Mungkahi sa Guro: Sa mas epektibong pagtalakay ng sanggunian, palakihin ang larawan at ipaskil sa pisara.
Gawain 3 – Tulong-Isipan
a. Ipaliwanag sa klase ang panuto ng gawain. Bigyan ng kaukulang minuto upang makahanap
sila ng kanilang kapareha. Maaari din naman na ang guro ang magtakda ng magiging
magkapareha sa gawaing ito. Halimbawa, ipareha ang isang aktibong mag-aaral sa isang hindi
gaanong aktibo.
b. Ipaskil sa klase ang graphic organizer. Sabihin sa mag-aaral na kopyahin ito sa notebook at
lagyan ng pananda na Group Activity No. 1. Bigyan ng kaukulang minuto upang masagutan ng
mag-aaral ang gawain.
Inaasahang sagot:
1. Mahalaga ang naganap na 1986 EDSA People Power Revolution dahil napanumbalik ang
kalayaan at karapatan ng mga Pilipino sa malayang pagpapahayag.
2. Opo. Dahil bilang Pilipino, tungkulin ko na makiisa sa mga gawain na nagpapakita ng
pagmamahal sa kapwa at sa ating bansa.
3. Dapat kong ipagmalaki ang 1986 EDSA People Power Revolution dahil nagtagumpay ang mga
Pilipino na mapaalis ang isang diktador na pinuno sa pamamagitan ng mapayapang paraan.
Gawain 2 – Guhit-Kasaysayan
1. Ipagawa ang Gawain 2 – pagguhit ng comic strip.
2. Ipaliwanag ang rubric para sa pagmamarka ng comic strip.
3. Italaga ito bilang Gawaing Bahay bilang 1.
4. Bago magsimula ang klase sa susunod na pagkikita ay tumawag ng
volunteer upang ilahad ang kaniyang comic strip.
5. Paalala: Ito ay mungkahing gawain bilang 1
Paalala: Mungkahing Gawain Bilang 1
6
Gawain 4 – Mga Pagbabago
a. Ipagawa ang Gawain 4 – Mga Pagbabago
b. Mga inaasahang sagot:
Pamahalaan – nagkaroon ng pagbabago sa mga namumuno. Nabago din ang mga batas na
ipinatutupad
Kalayaan sa Pamamahayag – muling nabigyan ng pagkakataon ang mga Pilipino na ipahayag ang
kanilang saloobin at opinyon sa pamahalaan
Ugnayan ng mga Mamamayan – nagkaisa ang mga mamamayan at nawala ang agwat sa
mayayaman at mahihirap
Diwa ng Demokrasya – muling naramdaman ang diwa ng demokrasya dahil nailuklok ang
pangulong tunay na nanalo sa halalan
Gawain 5 – Mind Map
a. Ipaliwanag sa klase ang panuto ng gawain. Maaari itong ipagawa sa bond paper at gumamit
ng makukulay na papel. Sabihan ang mga mag-aaral na magdala ng mga nabanggit na
kagamitan bago ipagawa ang mind map.
b. Inaasahang sagot:
Paalala: Tanggapin ang iba’t ibang konsepto na mabubuo ng mag-aaral ayon sa matalinong
paggabay ng guro.
*Ito ay mungkahing gawain bilang 2.
1986 EDSA
PEOPLE POWER
REVOLUTION
SAMA-SAMANG PAGKILOS
MAMAMAYAN
DEMOKRASYA
KALAYAAN
KARAPATANG PANTAO
Paliwanag:
1. Ang sama-samang pagkilos ng mga mamamayan noong 1986 EDSA People Power Revolution ay
nagbigay-daan sa pagpapanumbalik ng demokrasya, karapatang pantao, at kalayaan sa Pilipinas.
Paalala: Mungkahing Gawain Bilang 2
7
Gawain 6 – Pagsulat ng Repleksiyon
a. Ipaliwanag sa mga mag-aaral na ang pagsulat ng repleksiyon ay isang paraan upang malaya
nilang maipahayag ang kanilang mga saloobin, opinyon at mga naunawaan sa paksang tinalakay.
Nararapat din na ito ay naglalaman ng kanilang mga realisasyon o mga natutuhan na maaari
nilang magamit sa pang araw-araw na pamumuhay. Mahalagang ipaliwanag sa mga mag-aaral
na hindi ito pagbubuod ng paksa.
b. Italaga ito bilang Gawaing Bahay bilang 2.
c. Bago magsimula ang klase sa susunod na pagkikita ay tumawag ng volunteer upang ibahagi
ang kaniyang repleksiyon.
Sanggunian 2 – Bahagi ng Inaugural Address ni Pangulong Corazon Aquino
a. Ipakita sa mga mag-aaral ang larawan ni Pangulong Corazon Aquino habang siya ay nanunumpa.
b. Itanong sa mga mag-aaral ang sumusunod:
b.1 Sino ang nasa larawan? – Corazon Aquino
b.2 Bakit siya naging tanyag sa bansa at sa buong mundo? – Unang babaeng pangulo ng Pilipinas
at naging bahagi ng 1986 EDSA People Power Revoultion
c. Ipabasa sa mga mag-aaral ang panimula at ang nilalaman ng Sanggunian 2.
d. Ipasagot ang sumusunod na gawain:
Gawain 7 – Pagtukoy sa Tiyak na Impormasyon
1. Pebrero 25, 1986
2. Club Filipino, San Juan Metro Manila
3. Ang taong bayan/ Mamamayang Pilipino
4. Ang mamamayang Pilipino
5. Hinihikayat niya ang lahat ng mga mamamayan maging ang mga nasa panig ni Pangulong
Marcos na makiisa sa pamahalaan upang magtulong-tulong sa pagpapaunlad ng bansa.
8
Gawain 8 – Ayon sa Pangulo
a. Ipaliwanag ang panuto ng gawain – Ayon sa Pangulo.
b. Inaasahang Sagot
Pamprosesong Tanong:
1. Ang mga mamamayan/taong bayan
2. Pagpigil sa kalayaan ng mga Pilipino sa pamamahayag. Dahil mahirap mabuhay sa isang
lipunan at bansa na walang kalayaan ang mga mamamamyan.
3. Napanumbalik ang diwa ng demokrasya dahil sa pagkakaisa ng taong bayan at sa tulong ng
Panginoong Diyos.
4. Mahalaga ang pagkakahalal kay Corazon Aquino bilang pangulo kapalit ni Ferdinand Marcos
dahil nagkaroon ng pagbabago sa mga batas at layunin ng pamahalaan. Higit sa lahat ay
napanumbalik ang kalayaan sa pamamahayag ng mga Pilipino at naigalang ang diwa ng
demokrasya.
Paalala: Tanggapin ang iba pang pananaw ng mag-aaral na may matalinong gabay ng guro.
Gawain 9 – Suri-Teksto
a. Hatiin ang klase sa limang pangkat.
b. Ipaliwanag ang panuto ng gawain – Suri-teksto
c. Ipaskil sa pisara ang mga bahagi ng inaugural address ni Pangulong Corazon Aquino.
*Mungkahi sa guro: Palakihin ang mga bahagi ng inaugural address ni Pangulong Corazon Aquino upang
mas madaling mabasa ng mag-aaral.
d. Magsagawa ng talakayan ukol sa mga sagot ng pangkat.
e. Inaasahang sagot:
Pagpigil sa
kalayaan ng
Pilipino sa
pamamahayag
Pagiging diktador
ng pangulo/Pang-
aabuso sa
kapangyarihan
Pagkawala ng
diwa ng
demokrasya
Hindi paggalang
sa karapatang
pantao ng mga
mamamayan
Mga pangunahing hamon
o suliranin ng Pilipinas
ayon sa Talumpati ni
Pangulong Corazon
Aquino
9
Pangkat 1
Pangkat 2
Pangkat 3
Pangkat 4
Pangkat 5
1. I am grateful for the authority you have
given me today. And I promise to offer all that
I can do to serve you.
Sagot:
Binigyang-diin ni Pangulong Corazon Aquino na ang
kaniyang posisyon ay ipinagkaloob ng taong bayan.
Bilang ganti ay hindi niya bibiguin ang bansa at
paglilingkuran ito nang buong lakas at katapatan.
2. It is fitting and proper that, as the rights
and liberties of our people were taken away
at midnight twenty years ago, the people
should firmly recover those lost rights and
liberties in the full light of the day.
Sagot:
Nararapat na igalang ng pamahalaan ang karapatang
pantao ng mga mamamayan tulad ng kalayaan sa
pamamahayag at pakikilahok sa pamahalaan. Walang
halaga ang pamahalaan kung hindi ito maisasagawa.
3. . . . only the united strength of a people can
overturn a tyranny so evil and so well
organized . . . . That power has shattered the
dictatorship, . . . and today has established a
government dedicated to the protection and
meaningful fulfillment of the people’s rights
and liberties.
Sagot:
Pinararangalan niya ang kabayanihan ng nagkakaisang
taong bayan. Maraming mabuting maidudulot ang
pagkakaisa ng mga mamamayan para sa ikauunlad ng
kanilang pamumuhay at ng kanilang bansa.
4. And now, I would like to appeal to everyone
to work for national reconciliation . . . So I call
on all those countrymen of ours who are not
yet with us to join us at the earliest possible
time so that together we can rebuild our
beautiful country.
Sagot:
Hangad ni Pangulong Corazon Aquino na makamit ang
tunay na pagkakaisa. Batid niyang mayroong mga hindi
sang-ayon sa kaniyang pagigiging pangulo. Naniniwala
siya na muling makakabangon ang Pilipinas kung
mawawala ang mga balakid.
5. As I always did during the campaign I
would like to end with an appeal for you to
continue praying. Let us pray for God’s
help especially during these days.
Sagot:
Mahalagang bahagi ng tagumpay ng 1986 EDSA People
Power Revoultion ang ating pananampalataya. Ang
pagsusumikap ng tao na may kasamang pananalig at
panalangin ay magbubunga ng maganda.
10
Pamprosesong Tanong:
1. Nagpasalamat si Pangulong Corazon Aquino sa taong bayan dahil naniniwala siya na sila ang tunay na
dahilan ng tagumpay ng 1986 EDSA People Power Revolution.
2. Tinutukoy ni Pangulong Corazon Aquino na hatinggabi ang panahon ng Martial Law at ang umaga ang
1986 EDSA People Power Revolution.
3. Nabigyang wakas ang pamahalaang diktaturyal ni Pangulong Marcos sa pamamagitan ng mapayapang
pagkilos ng nagkakaisang taong bayan na nananalig sa Dakilang Lumikha.
4. Hinikayat ni Pangulong Corazon Aquino ang lahat na magkasundo at magkaunawaan upang
magtulong-tulong sa pagpapabuti ng kalidad ng pamumuhay ng mga mamamayan at kalagayan ng
bansa.
5. Ipinaalala ni Pangulong Corazon Aquino sa sambayanang Pilipino na palagiang magdasal dahil alam
niyang marami pang pagsubok na kakaharapin ang bansa at mahalagang magabayan ang bawat isa ng
Panginoong Diyos.
Gawain 10 – Pagsulat ng sanaysay
a. Ipagawa sa mga mag-aaral ang Gawain 10 – Pagsulat ng sanaysay
b. Ipaliwanag ang rubric sa pagmamarka ng sanaysay.
c. Italaga ito bilang Gawaing Bahay bilang 3.
d. Bago magsimula ang klase sa susunod na pagkikita ay tumawag ng volunteer
upang ilahad ang naisulat na sanaysay.
e. Paalala: Ito ay isang mungkahing gawain bilang 3
Mungkahing Gawain Bilang 3
11
Sanggunian 3 – Bahagi ng 1986 Provisional “Freedom” Constitution of the Philippines
a. Ipasuri sa mga mag-aaral ang kasabihan na “No one is above the law”.
b. Itanong sa mga mag-aaral:
b.1 Ano ang ibig sabihin ng kasabihan – Lahat ay dapat sumunod sa batas
b.2 Sang-ayon ka ba dito? Bakit? – Opo. Upang magkaroon ng kaayusan
Lahat ng mamamayan ay dapat sumuno sa batas.
b.3 Ano ang pinakamataas na batas na umiiral sa Pilipinas? – Saligang Batas
c. Ipabasa sa mga mag-aaral ang panimula at nilalaman ng Sanggunian 3.
Gawain 12 – Pagtukoy sa Tiyak na Impormasyon
Inaasahang sagot:
1. Ang pangunahing layunin ng Proklamasyon bilang 3 ay ang paghahayag ng pansamantalang
konstitusyon ng Pilipinas bilang paghahanda sa pagbuo ng bagong Konstitusyon.
2. Si Pangulong Corazon C. Aquino
3. Opo. Dahil makikita sa Pansamantalang Konstitusyon ang mga plano sa pagbuo ng bagong
Konstitusyon upang hindi na maulit ang pang-aabuso sa kapangyarihan ng pangulo.
4. Sa aking palagay, tinawag itong “Freedom Constitution” dahil ginawa ito matapos lumaya ang
Pilipinas mula sa panahon ng Martial Law.
Iba pang mungkahing sagot:
Sa aking palagay, tinawag itong “Freedom Constitution” dahil binibigyang-diin dito ang
pangangalaga sa karapatan at kalayaan ng mga mamamayan sa pagpapahayag.
Gawain 11 – Exit Card
a. Ang exit card ay isang halimbawa ng formative assessment (See Deped Order No.
31 S. 2011). Mayroon itong dalawang layunin: (1) Upang mabatid ng guro ang antas
ng pag-unawa ng mga mag-aaral ukol sa paksa; at (2) Upang mabatid ng guro kung
epektibo ang kaniyang istratehiya. Bagamat ito ay Gawain bilang 11, nasa
pagpapasiya ng guro kung kailan niya ito ipagagawa.
b. Kapag nakita ng guro na hindi gaanong naunawaan at maraming katanungan ang
mga mag-aaral ukol sa aralin, dapat niyang balikan ang paksa upang masagot ang
mga tanong at maitama ang mga maling pag-unawa ng mga mag-aaral.
c. Paalala: Ito ay mungkahing gawain bilang 4
Mungkahing Gawain Bilang 4
12
Gawain 13 – Pagsusuri
a. Bago ang araw na ito ay ipaalala sa mga mag-aaral na dalhin ang nabuong graphic organizer sa
Gawain 8 na kanilang gagamitin sa pagsagot ng Gawain 13.
b. Ipaliwanag ang panuto para sa Gawain 13.
c. Mga inaasahang sagot:
SULIRANIN O HAMON PROBISYON NG FREEDOM
CONSTITUTION
PALIWANAG
Pagpigil sa kalayaan ng Pilipino sa
pamamahayag
Artikulo II. Seksiyon 1 (b) Binibigyang-diin ang pangangalaga sa karapatan
at kalayaan ng mga Pilipino.
Pagiging diktador/Pang-aabuso sa
kapangyarihan
Artikulo II. Seksiyon 1 (a) Sinasabi dito ang planong pagsasaayos ng
organisasyon ng pamahalaan at masiguro na
malilimitahan ang kanilang mga kapangyarihan
Pagkawala ng diwa ng demokrasya Artikulo V. Seksiyon 5 Isa sa mga halimbawa ng karapatan ng mga
mamamayan sa isang demokratikong bansa ay
ang kanilang partisipasyon sa pagbuo ng
konstitusyon tulad ng pakikilahok sa plebisito.
Hindi paggalang sa karapatang
pantao ng mga mamamayan
Artikulo II. Seksiyon 1 (b) Binibigyang-diin ang pangangalaga sa karapatan
at kalayaan ng mga Pilipino
Pamprosesong Tanong:
1. Maaaring malutas ng mga napili kong probisyon ang mga suliranin o hamon dahil malinaw na sinasabi
ang paglalagay sa konstitusyon ng mga batas na nakatuon sa paglutas ng mga suliranin o hamon.
2. Hindi po. Bagamat may mga batas sa konstitusyon, nakasalalay pa din sa mga mamamayan at sa
kanilang pagsunod kung malulutas o mabibigyan ng solusyon ang mga suliranin o hamon
3. Para sa akin, mahalaga ang Freedom Constitution dahil sinisiguro nito ang pagpapanumbalik sa
kalayaan sa pagpapahayag at paggalang sa karapatan ng mga mamamayan.
Sanggunian 4 – Bahagi ng 1987 Saligang Batas ng Pilipinas
a. Ipabasa sa mga mag-aaral ang panimula at nilalalaman ng Sanggunian 4
b. Talakayin ang flowchart tungkol sa proseso ng pagbuo ng Saligang Batas
Insert flowchart
Gawain 14 – Pagtukoy sa Tiyak na Impormasyon
1. Saligang Batas ng Pilipinas 1987
2. Pangulong Corazon C. Aquino
3. Isinagawa ang plebisito noong Pebrero 2, 1987
4. Ipaalala sa mga mag-aaral na dalhin ang chart na kanilang ginawa sa Gawain 13 na gagamitin
sa pagsagot sa Gawain 15 sa gagawin sa susunod na pagkikita.
13
Gawain 15 – Paghahambing
a. Ipaliwanag ang panuto sa pagsagot ng Gawain 15.
b. Upang madali itong masagot ng mga mag-aaral, ipaalala ng guro ang mga naging talakayan sa
pagsusuri ng bahagi ng Inaugural Address ni Pangulong Corazon Aquino at 1986 “Provisional” Freedom
Constitution.
c. Ipasasagot ang Gawain.
d. Inaasahang sagot:
SULIRANIN O HAMON
(Batay sa iyong sagot sa
Gawain 8)
Tukuyin ang tiyak na bilang na Artikulo na tutugon sa
suliranin
PALIWANAG
Bahagi ng Freedom
Constitution
Bahagi Saligang Batas
1987
Pagpigil sa kalayaan ng
Pilipino sa pamamahayag
Artikulo II. Seksiyon 1 (b) Artikulo VI. Seksiyon 5 (2)
Artikulo XIII. Seksiyon 15
at 16
Ipinapakita sa mga Artikulo
ng parehas na konsitusyon
ang pagbibigay ng kalayaan
sa mga Pilipino sa
pamamahayag
Pagiging diktador/Pang-
aabuso sa kapangyarihan
Artikulo II. Seksiyon 1 (a) Artikulo VII. Seksiyon 3,
at 21.
Artikulo VI. Seksiyon 1
Nasiguro sa mga nabanggit
na Artikulo at Seksiyon ang
paglilimita sa kapangyarihan
ng mga namumuno sa
pamahalaan partikular ang
pangulo ng bansa.
Pagkawala ng diwa ng
demokrasya
Artikulo V. Seksiyon 5 Artikulo VII. Seksiyon 4
Artikulo VI. Seksiyon 1
Binibigyang-diin sa mga
nabanggit na Aritkulo ang
partisipasyon ng mga
mamamayan sa mga
gawaing pampamahalaan
Hindi paggalang sa
karapatang pantao ng mga
mamamayan
Artikulo II. Seksiyon 1 (b) Artikulo XIII. Seksiyon 1,
3, 4 at 14
Ginagarantiyahan ng mga
nabanggit na Artikulo ang
paggalang sa karapatan ng
mga mamamayan.
Pamprosesong Tanong:
1. Mahalaga ang dokumento na Freedom Constitution at 1987 Saligang Batas ng Pilipinas dahil mayroon
ng legal na batayan upang maipaglaban ang karapatan at kalayaan ng mga mamamayan.
2.
a. Nalimitahan ang kapangyarihan ng Pangulo
b. Nasa kamay ng lehislatura ang kapangyarihan sa pagbuo ng batas. May partisipasyon din ang pangulo
at ang mga mamamayan.
c. Mas napapangalagaan at napahahalagahan ang karapatan ng mga mamamayan
14
3. Opo. Dahil mas binibigyan ng kapangyarihan ng 1987 Saligang Batas ang mga mamamayan at
nililimitahan namn ang kapangyarihan ng mga namumuno.
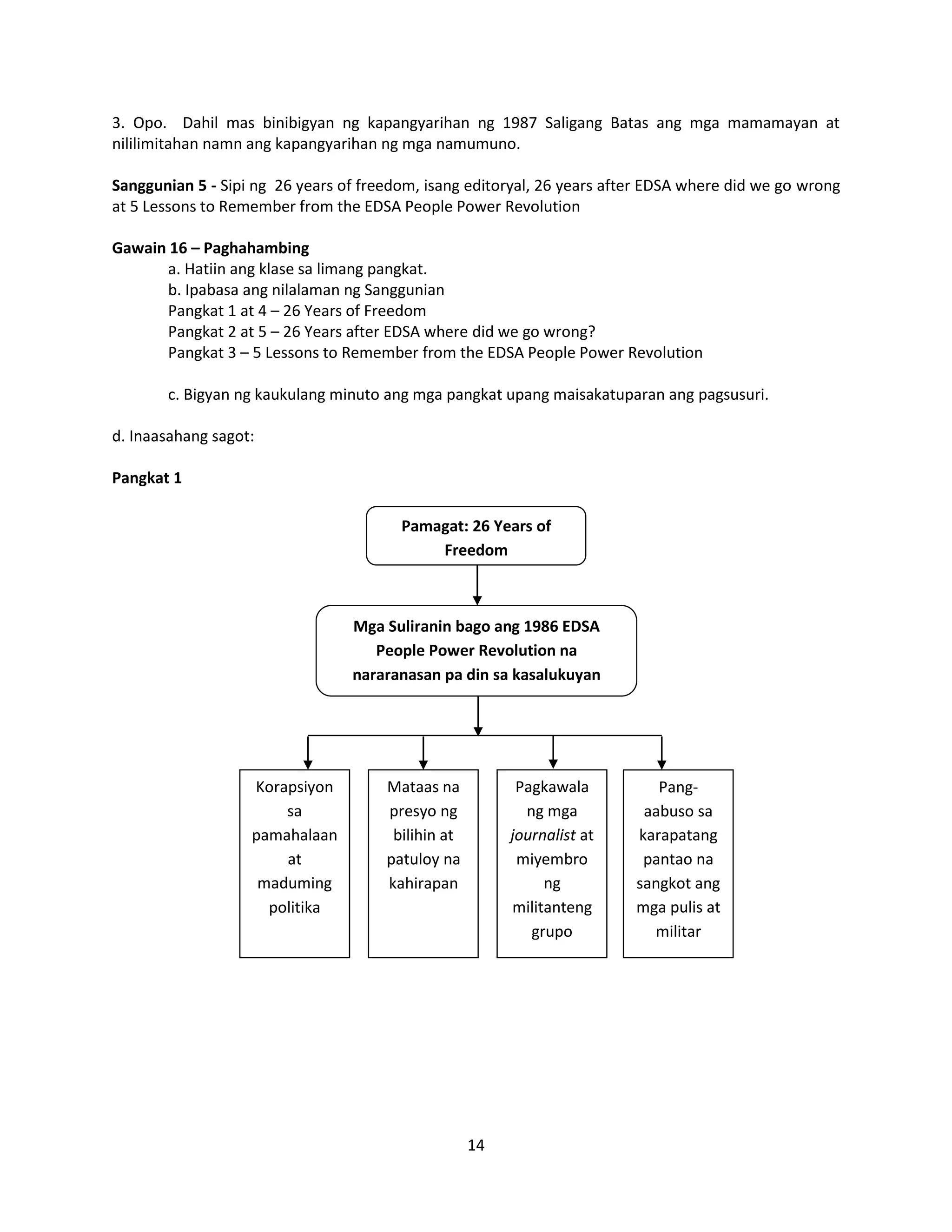
Sanggunian 5 - Sipi ng 26 years of freedom, isang editoryal, 26 years after EDSA where did we go wrong
at 5 Lessons to Remember from the EDSA People Power Revolution
Gawain 16 – Paghahambing
a. Hatiin ang klase sa limang pangkat.
b. Ipabasa ang nilalaman ng Sanggunian
Pangkat 1 at 4 – 26 Years of Freedom
Pangkat 2 at 5 – 26 Years after EDSA where did we go wrong?
Pangkat 3 – 5 Lessons to Remember from the EDSA People Power Revolution
c. Bigyan ng kaukulang minuto ang mga pangkat upang maisakatuparan ang pagsusuri.
d. Inaasahang sagot:
Pangkat 1
Pamagat: 26 Years of
Freedom
Mga Suliranin bago ang 1986 EDSA
People Power Revolution na
nararanasan pa din sa kasalukuyan
Korapsiyon
sa
pamahalaan
at
maduming
politika
Mataas na
presyo ng
bilihin at
patuloy na
kahirapan
Pagkawala
ng mga
journalist at
miyembro
ng
militanteng
grupo
Pang-
aabuso sa
karapatang
pantao na
sangkot ang
mga pulis at
militar
15
Pangkat 2
Pangkat 3
Pamagat: 26 Years after EDSA,
where did we go wrong?
Mga Suliranin bago ang 1986 EDSA
People Power Revolution na
nararanasan pa din sa kasalukuyan
Patuloy na
kahirapan ng
pamumuhay
Maling paniniwala
at pagtitiwala sa
mga politiko
Korapsiyon sa
pamahalaan
Pamagat: 5 Lessons to Remember from
the EDSA People Power Revolution
Mga aral na
natutuhan sa 1986
EDSA People
Power Revolution
Mahalaga ang
pagkakaisa ng mga
mamamayan
Dapat na pangalagaan
at ipagtanggol ang
demokrasya
Makakamit ang
ninanais na pagbabago
sa mapayapang paraan
Ipaglaban ang iyong
prinsipyo at
karapatan
Makabubuti ang
pagkakaroon ng tunay
na pananampalataya
16
Pangkat 4
TANONG
1. Sino ang sumulat ng artikulo?
3. Ano ang pananaw ng mga may-
akda ukol sa 1986 EDSA People
Power Revolution?
2. Ano ang kasalukuyang kalagayan
ng ekonomiya ng Pilipinas?
26 Years of Freedom
SAGOT
26 Years after EDSA, where did we go wrong?
-------- Bobit S. Avilla
Dapat na balikan ang mahahalagang
aral ng 1986 EDSA People Power
Revolution upang makatulong sa
pagpapabuti ng kalagayan ng Pilipinas
Ito ay isang pangyayari na dapat na
ikarangal ng mga Pilipino
Nahuhuli ang ekonomiya ng
Pilipinas kung ikukumpara sa ibang
bansa sa Asya
Kabilang pa din ang Pilipinas sa mga
tinatawag na 3rd
world countries
4. Sa iyong palagay, bakit
nagpapatuloy pa din ang mga
nabanggit na hamon o suliranin sa
bansa?
Dahil marami sa atin ang nakalimot sa tunay na diwa ng 1986 EDSA People Power
Revolution – ang pagkamit ng pagbabago sa mapayapang paraan. Kung muling
magkakaisa ang mga mamamayan at isasantabi ng mga nasa pamahalaan ang
kanilang pansariling interes ay makakamit natin ang tunay na pagbabago at pag-
unlad ng ating bansa.
17
Pangkat 5
TANONG
1. Para sa iyo, alin sa mga
nabanggit na aral ang
maituturing na
pinakamahalaga? Bakit?
2. Sang-ayon ka ba sa
nilalaman o pananaw ng mga
may-akda ng unang dalawang
artikulo? Pangatuwiranan.
SAGOT
Batay sa sagot ng mag-aaral na may matalinong gabay ng guro
3. Nararapat pa din ba nating
ipagmalaki ang 1986 EDSA
People Power Revolution?
Bakit?
Batay sa sagot ng mag-aaral na may matalinong gabay ng guro
Opo. Dahil napatunayan ng mga Pilipino sa buong daigdig na
kaya nating makamit ang ninanais na pagbabago sa
mapayapang pamamaraan. Ipinamalas din dito ang tunay na
pagkakaisa ng mamamayan at kabutihang naidudulot ng
matibay na pananalig sa Panginoong Diyos.
18
Gawain 17 – EDSA Fever
a. Ipabasa sa mag-aaral ang panimulang impormasyon.
b. Ipaliwanag ang panuto ng Gawain 17 – EDSA Fever. Italaga ito na Gawaing Bahay bilang 4.
c. Talakayin sa susunod na pagkikita ang sagot ng mga mag-aaral.
Paalala: Magdadala ang guro ng mapa ng daigdig. Maaaring gumamit ng makukulay na papel
bilang pananda sa bansa na pagtutuunan ng pansin.
d. Tumawag ng volunteer upang tukuyin sa mapa ang mga bansa na nagsagawa din ng People
Power batay sa kaniyang sagot sa Gawaing Bahay bilang 4.
e. Ipasuri sa klase ang sagot. Tumawag pa ng ibang mag-aaral kung sakaling mali o may kulang
sa sagot ng mga naunang mag-aaral.
f. Kapag tama at kumpleto na ang mga sagot ay talakayin na ang mga pamprosesong tanong.
g. Mga inaasahang sagot:
1.Natuwa at ipinagmamalaki ko na ako ay isang Pilipino dahil tinularan tayo ng ibang bansa ang
ating ginawang paraan para makamit ang pagbabago.
2. Sa pamamagitan ng pag-aaral nang mabuti, pagsunod sa batas, pakikilahok sa gawain ng
pamahalaan at pananalig sa Panginoong Diyos.
3. Ang mapayapang paraan ng pagkamit ng pagbabago.
4. Sagot sa tsart:
5. Paalala: Ito ay mungkahing gawain bilang 5
Mungkahing Gawain Bilang 5
1. Tatlong bansa na nagsulong ng
mapayapang pagkilos at kalian ito
isinagawa:
(a) Pilipinas, 1986
(b) Egypt, 2011
(c) Libya, 2011
2. Anong bansa ang nauna sa
paggamit ng mapayapang paraan sa
pagsulong ng pagbabago?
Sagot: Pilipinas
19
Gawain 18: Dokyu-Kasaysayan
a. Hatiin ang klase sa anim na pangkat. Ipaliwanag ang panuto para sa paggawa ng Dokyu-
kasaysayan.
b. Ipaalala sa mag-aaral ang sumusunod:
b.1 Ihanda ang mga katananungan na ibibigay sa taong kakapanayamin
b.2 Maghanap ng taong kakapanayamin at hingin ang kaniyang pagsang-ayon
b.3 Ibigay ang kopya ng mga katanungan sa taong kakapanayamin ng mas maaga sa takdang
araw ng panayam
b.4 Kung may kagamitan tulad ng video recorder o voice recorder, ipaalam muna ito sa taong
kakapanayamin. Kung wala, ipatala sa pangkat ang tugon ng kinakapanayam.
c. Upang magkaroon ng ideya ang klase ukol sa magkabilang panig, sundin ang pagkakahati ng
pangkat:
Pangkat 1 – 3 – kakapanayamin ang taong nagsasabing tagumpay ang 1986 EDSA People
Power Revoultion hanggang sa kasalukuyan
Pangkat 4 – 6 – kakapanayamin ang taong nagsasabing hindi tagumpay ang 1986 EDSA Poeple
Power Revolution dahil sa kalagayan ng Pilipinas sa kasalukuyan
d. Magtakda ng araw para sa presentasyon ng dokyumentaryo o panayam ng lahat ng pangkat.
e. Ipaliwanag ang rubric sa pagmamarka ng dokyumentaryo upang magabayan ang mag-aaral
sa pagsasakatuparan ng gawain.
f. Paalala: Ito ay mungkahing gawain bilang 6
Mungkahing Gawain Bilang 6
20
Gawain 19 - Pamana ng 1986 EDSA People Power Revolution
a. Matapos ang presentasyon ng bawat pangkat, ipagawa sa mga mag-aaral ang Gawain 19.
b. Ipaliwanag sa mga mag-aaral na kailangan nilang umisip ng pinakamahalagang pamana ng 1986 EDSA
People Power Revolution para sa kanila at ipaliwanag ito.
c. Paalala: Ito ay mungkahing gawain bilang 7
Inaasahang sagot:
Gawain 20 – Pagsulat ng repleksiyon
a. Matapos matalakay ang mg pangyayari, salik, epekto at kahalagahan ng 1986 EDSA People
Power Revolution, pasulatin ang mga mag-aaral ng repleksiyon ukol sa mga hakbang na maaari
nilang gawin bilang mag-aaral upang mapanatili ang diwa ng 1986 EDSA People Power
Revolution. Maaari din silang maglagay ng mga mungkahi kung paano matutugunan ang mga
hamon at suliranin na kinakaharap ng Pilipinas sa kasalukuyan.
b. Italaga ito bilang Gawaing Bahay bilang 5.
c. Bago magsimula ang klase sa susunod na pagkikita ay tumawag ng mag-aaral upang ibahagi
ang kaniyang repleksiyon.
Mungkahing Gawain Bilang 7
PINAKAMAHALAGANG
PAMANA NG 1986 EDSA
PEOPLE POWER
REVOLUTION
Mapayapang
Paraan ng
Pagbabago
PALIWANAG
Dahil sa kasalukuyan ay
tinutularan ng ibang bansa ang
mapayapang paraan ng
pagbabago na pinasimulan ng
mga Pilipino. Mahalaga din ito
sa pagbabago sa kasalukuyang
panahon.
21
Produkto/Pagganap
a. Ang Produkto/Pagganap sa modyul na ito ang siyang pangkalahatang produkto/pagganap (Final
Product/Performance Task) ng yunit. Ito ay nakasulat sang-ayon sa pormat na GRASPS upang
magabayan ang guro sa pagpapaliwanag ng gawain sa mga mag-aaral.
Goal – maipaalam sa mga tatakbong kandidato ang mga suliranin na nararanasan sa inyong
lugar
Role – miyembro ng samahan na nagsusulong ng aktibong pakikilahok ng mamamayan sa
gawain ng pamahalaan
Audience – mga kapwa kinatawan na kasama sa kumperensiya
Situation – kasama ka sa kumperensiya na pinatawag ng COMELEC upang mabigyan ng
kaalaman ang mga mamamayan ukol sa mga batas at alituntunin sa tuwing may halalan
Product – makagawa ng sulat na siyang maaaring maging batayan ng mga tumatakbong
kandidato sa pagbuo ng kanilang mga plano at proyekto
Standards – Ang nabuong sulat ay bibigyan ng marka batay sa mga sumusunod na pamantayan
ď‚· Nilalaman 30
ď‚· Partisipasyon 30
ď‚· Kaangkupan 20
ď‚· Organisasyon 20
Kabuuan 100
b. Hatiin ang klase sa limang pangkat. Ilahad sa klase ang sumusunod na panuto:
1. Ipagpalagay ng mga mag-aaral na sila ay kinatawan ng organisasyon na naimbitahan sa
kumperensiya na ipinatawag ng COMELEC.
2. Magsasagawa ng brainstorming ang mga mag-aaral ukol sa lalamanin ng sulat na kanilang
ilalahad sa iba pang miyembro ng kumperensiya.
3. Kinakailangan na ang sulat ay naglalaman ng mga suliranin at posibleng solusyon o magagawa
ng mamamamayan upang matulungan ang pamahalaan na malutas ang inihayag na suliranin.
4. Sa pagbuo ng sulat, dapat na isaaalang-alang ng pangkat ang rubric sa pagmamarka ng
produkto/pagganap.
c. Ipalahad sa pangkat ang nabuong sulat sa harap ng klase. Maaaring mag-imbita ng lokal na pinuno
upang masaksihan ang paglalahad. Kung hindi ito magagawa, ipaliwanag sa ibang pangkat na
ipagpapalagay nila na sila ay mga lokal na pinuno na siyang makikinig sa paglalahad.
d. Magsagawa ng malayang pagpapalitan ng kuro-kuro tungkol sa mga nilalaman ng sulat ng bawat
pangkat. Maaaring ipadala ang sulat sa kinauukulan matapos na ito ay mabigyan ng marka ng guro.

Module 5

  • 1.
    1 Modyul 5: 1986EDSA People Power Revolution at ang Hamon ng Pagbabago Mga Paksa: 1. 1986 EDSA People Power Revolution 1.1 Mga Pangyayari tungo sa 1986 EDSA People Power Revolution 1.2 Ang 1986 EDSA People Power Revolution 2. Panunumbalik ng Demokrasya 2.1 Panunumpa ni Corazon Aquino bilang Pangulo 2.2 1986 Freedom Constitution 2.3 1987 Saligang Batas ng Pilipinas 3. Kalagayan ng Pilipinas pagkatapos ng 1986 EDSA People Power Revolution 3.1 Kahalagahan ng 1986 People Power Revolution 3.2 Mga hamon ng 1986 EDSA People Power Revolution sa kasalukuyan Tema: A. Karapatan, Pananagutan at Pagkamamamayan B. Kapangyarihan, Awtoridad at Pamamahala Bilang ng Oras: anim (6) Alignment Matrix Paksa Sanggunian Ano ang kakayahang nakapaloob sa sanggunian? Saang gawain makakamit ang kakayahan? Anong level of assessment nakapaloob ang gawain? Bilang ng oras 1986 EDSA People Power Revolution Mga Imahe ng 1986 EDSA People Power Revolution 1. Naisasalaysay ang pagkakasunod-sunod ng mga pangyayaring naging dahilan upang maibalik ang demokrasya noong 1986 2. Natatalakay ang mga salik na nakatulong sa pagtatagumpay ng 1986 EDSA People Power Revolution 3. Napahahalagahan ang mga kontribusyong ng 1986 EDSA People Power Revolution sa pamamagitan ng pagsulat ng repleksiyon Gawain 2 Gawain 1 Gawain 6 Knoweledge Knowledge Understanding * Maglaan ng 30 minuto para sa pagtalakay ng panimula 1 and ½
  • 2.
    2 4. Nasusuri angepekto ng sama-samang pagkilos ng mamamayan para sa kalayaan, demokrasya at karapatang pantao Gawain 3 Gawain 4 Gawain 5 Knowledge, Understanding Knowledge, Skill/Processes Understanding Panunumbalik ng Demokrasya Inaugural Address ni Pangulong Corazon Aquino 5. Nasusuri ang epekto ng sama-samang pagkilos ng mamamayan para sa kalayaan, demokrasya at karapatang pantao 6. Nasusuri ang talumpati ni Pang. Corazon Aquino sa kaniyang inagurasyong bilang pangulo hinggil sa kinaharap na hamon sa bayan sa pagpapanatili ng demokrasya Gawain 7 Gawain 8 Gawain 9 Gawain 10 Gawain 11 Knowledge Knowledge, Skill/Process Skill/Process, Understanding Knowledge, Skill/Process, Understanding Knowledge, Understanding 2 Bahagi ng 1986 Provisional “Freedom” Constitution of the Philippines Gawain 12 Gawain 13 Knowledge Knowledge, Understanding Bahagi ng 1987 Saligang Batas ng Pilipinas 7. Naipahahayag ang paggalang sa opinyon at paniniwala ng kapwa mag- aaral tungkol sa mga pangyayari na may kaugnayan sa 1986 EDSA People Power Revolution 8. Nasusuri ang epekto ng sama-samang pagkilos ng mamamayan para sa kalayaan, demokrasya at karapatang pantao 9. Nasusuri ang talumpati ni Pang. Corazon Aquino sa kaniyang inagurasyong bilang pangulo hinggil sa kinaharap na hamon sa bayan sa pagpapanatili ng demokrasya Gawain 14 Gawain 15 Knowledge Knowledge, Understanding Kalagayan ng Pilipinas pagkatapos ng 1986 EDSA People Power Revolution 26 Years of Freedom 26 Years after EDSA, where did we go wrong? 5 Lessons to Remember from 10. Naiuugnay ang mga kasalukuyang pangyayari sa mga hangarin noong 1986 EDSA People Power Revolution 11. Nasusuri ang mga suliraning hindi pa nalulutas sa kasalukuyan 12. Naipaliliwanag kung bakit mahirap lutasin ang Gawain 16 Gawain 17 Gawain 18 Knowledge, Skill/Process Understanding 2
  • 3.
    3 the EDSA People Power Revolution mgasuliraning ito 13. Nailalahad ang mga mungkahi na dapat gawin ng pamahalaan at ng kabataan upang makamit ang hinahangad na pagbabago. 14. Naipahahayag ang paggalang sa opinyon at paniniwala ng kapwa mag- aaral tungkol sa mga pangyayari na may kaugnayan sa 1986 EDSA People Power Revolution 15. Napahahalagahan ang mga kontribusyong ng 1986 EDSA People Power Revolution sa pamamagitan ng pagsulat ng repleksiyon Gawain 19 Gawain 19 Gawain 20 Knowledge, Skill/Process Understanding Pagganyak a. Ipaliwanag ang panuto para sa Awit-Guhit. b. Ipaskil ang lyrics ng awit na Handog ng Pilipino sa Mundo. Iparinig sa mga mag-aaral ang awit. (Maaari ding ipakanta kung walang sapat na kagamitan). c. Bigyan ng kaukulang minuto ang mga mag-aaral sa pagguhit ng simbolo. d. Tumawag ng mga volunteer upang ipaliwanag ang naiguhit na simbolo sa klase. *Paalala: Kunin lamang ang pangkalahatang ideya ng klase ukol sa awitin. e. Ipasagot ang pamprosesong tanong. Ang sumusunod ang inaasahang sagot sa mga ito: 1. Kalapati. Dahil ito po ay simbolo ng kapayapaan at kalayaan na siyang mensahe ng awitin. *Paalala: Maaaring tanggapin ng guro ang paliwanag ng mag-aaral kung ito ay kaniyang mapapangatuwiranan. 2. 1986 EDSA People Power Revolution. f. Ipaliwanag ang pangkalahatang tanong sa pagtalakay at pagsuri ng mga primaryang sanggunian sa modyul. Ang tanong ay “Paano ipinaglaban ng mga Pilipino ang kanilang karapatan at kalayaan sa ilalim ng pamumuno ni Pangulong Marcos?” *Paalala: Sabihin sa mga mag-aaral na dapat nilang maipaliwanag ang sagot sa tanong bago matapos ang pagtalakay sa modyul na ito. g. Ipabasa ang mga kakayahan na inaasahang makakamit sa pag-aaral ng Modyul 5. Pagtalakay sa Panimula a. Talakayin ang panimula at kontekstong pangkasaysayan tungkol sa mga pangyayaring nagbigay- daan sa 1986 EDSA People Power Revolution. Maaaring gumamit ng larawan, dokyumentaryo at video clips ukol sa nasabing pangyayari. b. Ipaunawa ang timeline at graphic organizer na nasa Panimula. c. Magbigay ng maikling pagsubok upang matiyak na naunawaan ng mga mag-aaral ang kontekstong pangkasaysayan.
  • 4.
    4 Pagsuri sa mgaSanggunian: 1986 EDSA People Power Revolution Sanggunian 1: Mga Imahe ng 1986 EDSA People Power Revolution Gawain 1: Photo-Suri LARAWAN DESKRIPSIYON SEKTOR (Mamili sa mga sumusunod: Simbahan, Pamahalaan, Sundalo, Pangkaraniwang Mamamayan) PAANO IPINAKITA ANG PAKIKIPAGLABAN PARA SA KALAYAAN KAHALAGAHAN O KONTRIBUSYON PARA SA PAGKAMIT NG KALAYAAN LARAWAN A Sama-samang nagtutulungan at nagdarasal ang mga pangkaraniwang tao, mga madre at pari kaharap ang mga sundalo at tangke Simbahan Sa pamamagitan ng mapayapang paraan Sa pamamagitan ng pagdarasal Sa pamamagitan ng paghingi ng tulong sa Diyos Ang matibay na paniniwala sa Diyos ay nagbuklod sa mga mamamayang Pilipino na nakatulong sa pagkamit ng kalayaan LARAWAN B Mga pangkaraniwang mamamayan, bata, matanda, babae o lalaki ay nagsasama-sama Pangkaraniwang Mamamayan Sa pamamagitan ng pagkakapit- bisig Sa pamamagitan ng mapayapang paraan Ang pagkakaisa ng mga mamamayan kahit na magkakaiba ang kanilang estado sa buhay ay nakatulong upang makamit ang kalayaan LARAWAN C Mga kilalang personalidad at opisyales ng pamahalaan at militar Pamahalaan Sa pamamagitan ng hindi pagsunod sa utos ng pangulo Sa pamamagitan ng mapayapang paraan Ang pakikibahagi ng mga kilalang personalidad sa lipunan at pamahalaan ay nagpatibay sa pakikibaka upang makamit ang kalayaan LARAWAN D Mga sundalo na inaabutan ng pagkain, rosary at bulaklak ng mga mamamayan Sundalo Sa pamamagitan ng hindi pagsunod sa utos ng pangulo Sa pamamagitan ng pakikiisa sa taong bayan Ang pagdedesisyon ng mga sundalo na makiisa sa taong bayan sa halip na sila ay paalisin ay isang mahalagang salik na nakatulong sa pagkamit ng kalayaan
  • 5.
    5 Pamprosesong Tanong: 1. Opo.Dahil ang layunin ng pagkilos na ito ay upang mapaalis si Pangulong Marcos na siyang dahilan ng pagkawala ng kalayaan sa pagpapahayag ng mga Pilipino. 2. Opo. Nagtipon at nagkaisa ang mga Pilipino mula sa iba’t ibang antas at sektor ng lipunan tulad ng simbahan, pamahalaan, mga negosyante, estudyante, at mga pangkaraniwang mamamayan. 3. Masasabi ko po na ang pagkakaisa at pananalig sa Diyos ay mga dahilan ng tagumpay ng 1986 EDSA People Power Revolution. Mungkahi sa Guro: Sa mas epektibong pagtalakay ng sanggunian, palakihin ang larawan at ipaskil sa pisara. Gawain 3 – Tulong-Isipan a. Ipaliwanag sa klase ang panuto ng gawain. Bigyan ng kaukulang minuto upang makahanap sila ng kanilang kapareha. Maaari din naman na ang guro ang magtakda ng magiging magkapareha sa gawaing ito. Halimbawa, ipareha ang isang aktibong mag-aaral sa isang hindi gaanong aktibo. b. Ipaskil sa klase ang graphic organizer. Sabihin sa mag-aaral na kopyahin ito sa notebook at lagyan ng pananda na Group Activity No. 1. Bigyan ng kaukulang minuto upang masagutan ng mag-aaral ang gawain. Inaasahang sagot: 1. Mahalaga ang naganap na 1986 EDSA People Power Revolution dahil napanumbalik ang kalayaan at karapatan ng mga Pilipino sa malayang pagpapahayag. 2. Opo. Dahil bilang Pilipino, tungkulin ko na makiisa sa mga gawain na nagpapakita ng pagmamahal sa kapwa at sa ating bansa. 3. Dapat kong ipagmalaki ang 1986 EDSA People Power Revolution dahil nagtagumpay ang mga Pilipino na mapaalis ang isang diktador na pinuno sa pamamagitan ng mapayapang paraan. Gawain 2 – Guhit-Kasaysayan 1. Ipagawa ang Gawain 2 – pagguhit ng comic strip. 2. Ipaliwanag ang rubric para sa pagmamarka ng comic strip. 3. Italaga ito bilang Gawaing Bahay bilang 1. 4. Bago magsimula ang klase sa susunod na pagkikita ay tumawag ng volunteer upang ilahad ang kaniyang comic strip. 5. Paalala: Ito ay mungkahing gawain bilang 1 Paalala: Mungkahing Gawain Bilang 1
  • 6.
    6 Gawain 4 –Mga Pagbabago a. Ipagawa ang Gawain 4 – Mga Pagbabago b. Mga inaasahang sagot: Pamahalaan – nagkaroon ng pagbabago sa mga namumuno. Nabago din ang mga batas na ipinatutupad Kalayaan sa Pamamahayag – muling nabigyan ng pagkakataon ang mga Pilipino na ipahayag ang kanilang saloobin at opinyon sa pamahalaan Ugnayan ng mga Mamamayan – nagkaisa ang mga mamamayan at nawala ang agwat sa mayayaman at mahihirap Diwa ng Demokrasya – muling naramdaman ang diwa ng demokrasya dahil nailuklok ang pangulong tunay na nanalo sa halalan Gawain 5 – Mind Map a. Ipaliwanag sa klase ang panuto ng gawain. Maaari itong ipagawa sa bond paper at gumamit ng makukulay na papel. Sabihan ang mga mag-aaral na magdala ng mga nabanggit na kagamitan bago ipagawa ang mind map. b. Inaasahang sagot: Paalala: Tanggapin ang iba’t ibang konsepto na mabubuo ng mag-aaral ayon sa matalinong paggabay ng guro. *Ito ay mungkahing gawain bilang 2. 1986 EDSA PEOPLE POWER REVOLUTION SAMA-SAMANG PAGKILOS MAMAMAYAN DEMOKRASYA KALAYAAN KARAPATANG PANTAO Paliwanag: 1. Ang sama-samang pagkilos ng mga mamamayan noong 1986 EDSA People Power Revolution ay nagbigay-daan sa pagpapanumbalik ng demokrasya, karapatang pantao, at kalayaan sa Pilipinas. Paalala: Mungkahing Gawain Bilang 2
  • 7.
    7 Gawain 6 –Pagsulat ng Repleksiyon a. Ipaliwanag sa mga mag-aaral na ang pagsulat ng repleksiyon ay isang paraan upang malaya nilang maipahayag ang kanilang mga saloobin, opinyon at mga naunawaan sa paksang tinalakay. Nararapat din na ito ay naglalaman ng kanilang mga realisasyon o mga natutuhan na maaari nilang magamit sa pang araw-araw na pamumuhay. Mahalagang ipaliwanag sa mga mag-aaral na hindi ito pagbubuod ng paksa. b. Italaga ito bilang Gawaing Bahay bilang 2. c. Bago magsimula ang klase sa susunod na pagkikita ay tumawag ng volunteer upang ibahagi ang kaniyang repleksiyon. Sanggunian 2 – Bahagi ng Inaugural Address ni Pangulong Corazon Aquino a. Ipakita sa mga mag-aaral ang larawan ni Pangulong Corazon Aquino habang siya ay nanunumpa. b. Itanong sa mga mag-aaral ang sumusunod: b.1 Sino ang nasa larawan? – Corazon Aquino b.2 Bakit siya naging tanyag sa bansa at sa buong mundo? – Unang babaeng pangulo ng Pilipinas at naging bahagi ng 1986 EDSA People Power Revoultion c. Ipabasa sa mga mag-aaral ang panimula at ang nilalaman ng Sanggunian 2. d. Ipasagot ang sumusunod na gawain: Gawain 7 – Pagtukoy sa Tiyak na Impormasyon 1. Pebrero 25, 1986 2. Club Filipino, San Juan Metro Manila 3. Ang taong bayan/ Mamamayang Pilipino 4. Ang mamamayang Pilipino 5. Hinihikayat niya ang lahat ng mga mamamayan maging ang mga nasa panig ni Pangulong Marcos na makiisa sa pamahalaan upang magtulong-tulong sa pagpapaunlad ng bansa.
  • 8.
    8 Gawain 8 –Ayon sa Pangulo a. Ipaliwanag ang panuto ng gawain – Ayon sa Pangulo. b. Inaasahang Sagot Pamprosesong Tanong: 1. Ang mga mamamayan/taong bayan 2. Pagpigil sa kalayaan ng mga Pilipino sa pamamahayag. Dahil mahirap mabuhay sa isang lipunan at bansa na walang kalayaan ang mga mamamamyan. 3. Napanumbalik ang diwa ng demokrasya dahil sa pagkakaisa ng taong bayan at sa tulong ng Panginoong Diyos. 4. Mahalaga ang pagkakahalal kay Corazon Aquino bilang pangulo kapalit ni Ferdinand Marcos dahil nagkaroon ng pagbabago sa mga batas at layunin ng pamahalaan. Higit sa lahat ay napanumbalik ang kalayaan sa pamamahayag ng mga Pilipino at naigalang ang diwa ng demokrasya. Paalala: Tanggapin ang iba pang pananaw ng mag-aaral na may matalinong gabay ng guro. Gawain 9 – Suri-Teksto a. Hatiin ang klase sa limang pangkat. b. Ipaliwanag ang panuto ng gawain – Suri-teksto c. Ipaskil sa pisara ang mga bahagi ng inaugural address ni Pangulong Corazon Aquino. *Mungkahi sa guro: Palakihin ang mga bahagi ng inaugural address ni Pangulong Corazon Aquino upang mas madaling mabasa ng mag-aaral. d. Magsagawa ng talakayan ukol sa mga sagot ng pangkat. e. Inaasahang sagot: Pagpigil sa kalayaan ng Pilipino sa pamamahayag Pagiging diktador ng pangulo/Pang- aabuso sa kapangyarihan Pagkawala ng diwa ng demokrasya Hindi paggalang sa karapatang pantao ng mga mamamayan Mga pangunahing hamon o suliranin ng Pilipinas ayon sa Talumpati ni Pangulong Corazon Aquino
  • 9.
    9 Pangkat 1 Pangkat 2 Pangkat3 Pangkat 4 Pangkat 5 1. I am grateful for the authority you have given me today. And I promise to offer all that I can do to serve you. Sagot: Binigyang-diin ni Pangulong Corazon Aquino na ang kaniyang posisyon ay ipinagkaloob ng taong bayan. Bilang ganti ay hindi niya bibiguin ang bansa at paglilingkuran ito nang buong lakas at katapatan. 2. It is fitting and proper that, as the rights and liberties of our people were taken away at midnight twenty years ago, the people should firmly recover those lost rights and liberties in the full light of the day. Sagot: Nararapat na igalang ng pamahalaan ang karapatang pantao ng mga mamamayan tulad ng kalayaan sa pamamahayag at pakikilahok sa pamahalaan. Walang halaga ang pamahalaan kung hindi ito maisasagawa. 3. . . . only the united strength of a people can overturn a tyranny so evil and so well organized . . . . That power has shattered the dictatorship, . . . and today has established a government dedicated to the protection and meaningful fulfillment of the people’s rights and liberties. Sagot: Pinararangalan niya ang kabayanihan ng nagkakaisang taong bayan. Maraming mabuting maidudulot ang pagkakaisa ng mga mamamayan para sa ikauunlad ng kanilang pamumuhay at ng kanilang bansa. 4. And now, I would like to appeal to everyone to work for national reconciliation . . . So I call on all those countrymen of ours who are not yet with us to join us at the earliest possible time so that together we can rebuild our beautiful country. Sagot: Hangad ni Pangulong Corazon Aquino na makamit ang tunay na pagkakaisa. Batid niyang mayroong mga hindi sang-ayon sa kaniyang pagigiging pangulo. Naniniwala siya na muling makakabangon ang Pilipinas kung mawawala ang mga balakid. 5. As I always did during the campaign I would like to end with an appeal for you to continue praying. Let us pray for God’s help especially during these days. Sagot: Mahalagang bahagi ng tagumpay ng 1986 EDSA People Power Revoultion ang ating pananampalataya. Ang pagsusumikap ng tao na may kasamang pananalig at panalangin ay magbubunga ng maganda.
  • 10.
    10 Pamprosesong Tanong: 1. Nagpasalamatsi Pangulong Corazon Aquino sa taong bayan dahil naniniwala siya na sila ang tunay na dahilan ng tagumpay ng 1986 EDSA People Power Revolution. 2. Tinutukoy ni Pangulong Corazon Aquino na hatinggabi ang panahon ng Martial Law at ang umaga ang 1986 EDSA People Power Revolution. 3. Nabigyang wakas ang pamahalaang diktaturyal ni Pangulong Marcos sa pamamagitan ng mapayapang pagkilos ng nagkakaisang taong bayan na nananalig sa Dakilang Lumikha. 4. Hinikayat ni Pangulong Corazon Aquino ang lahat na magkasundo at magkaunawaan upang magtulong-tulong sa pagpapabuti ng kalidad ng pamumuhay ng mga mamamayan at kalagayan ng bansa. 5. Ipinaalala ni Pangulong Corazon Aquino sa sambayanang Pilipino na palagiang magdasal dahil alam niyang marami pang pagsubok na kakaharapin ang bansa at mahalagang magabayan ang bawat isa ng Panginoong Diyos. Gawain 10 – Pagsulat ng sanaysay a. Ipagawa sa mga mag-aaral ang Gawain 10 – Pagsulat ng sanaysay b. Ipaliwanag ang rubric sa pagmamarka ng sanaysay. c. Italaga ito bilang Gawaing Bahay bilang 3. d. Bago magsimula ang klase sa susunod na pagkikita ay tumawag ng volunteer upang ilahad ang naisulat na sanaysay. e. Paalala: Ito ay isang mungkahing gawain bilang 3 Mungkahing Gawain Bilang 3
  • 11.
    11 Sanggunian 3 –Bahagi ng 1986 Provisional “Freedom” Constitution of the Philippines a. Ipasuri sa mga mag-aaral ang kasabihan na “No one is above the law”. b. Itanong sa mga mag-aaral: b.1 Ano ang ibig sabihin ng kasabihan – Lahat ay dapat sumunod sa batas b.2 Sang-ayon ka ba dito? Bakit? – Opo. Upang magkaroon ng kaayusan Lahat ng mamamayan ay dapat sumuno sa batas. b.3 Ano ang pinakamataas na batas na umiiral sa Pilipinas? – Saligang Batas c. Ipabasa sa mga mag-aaral ang panimula at nilalaman ng Sanggunian 3. Gawain 12 – Pagtukoy sa Tiyak na Impormasyon Inaasahang sagot: 1. Ang pangunahing layunin ng Proklamasyon bilang 3 ay ang paghahayag ng pansamantalang konstitusyon ng Pilipinas bilang paghahanda sa pagbuo ng bagong Konstitusyon. 2. Si Pangulong Corazon C. Aquino 3. Opo. Dahil makikita sa Pansamantalang Konstitusyon ang mga plano sa pagbuo ng bagong Konstitusyon upang hindi na maulit ang pang-aabuso sa kapangyarihan ng pangulo. 4. Sa aking palagay, tinawag itong “Freedom Constitution” dahil ginawa ito matapos lumaya ang Pilipinas mula sa panahon ng Martial Law. Iba pang mungkahing sagot: Sa aking palagay, tinawag itong “Freedom Constitution” dahil binibigyang-diin dito ang pangangalaga sa karapatan at kalayaan ng mga mamamayan sa pagpapahayag. Gawain 11 – Exit Card a. Ang exit card ay isang halimbawa ng formative assessment (See Deped Order No. 31 S. 2011). Mayroon itong dalawang layunin: (1) Upang mabatid ng guro ang antas ng pag-unawa ng mga mag-aaral ukol sa paksa; at (2) Upang mabatid ng guro kung epektibo ang kaniyang istratehiya. Bagamat ito ay Gawain bilang 11, nasa pagpapasiya ng guro kung kailan niya ito ipagagawa. b. Kapag nakita ng guro na hindi gaanong naunawaan at maraming katanungan ang mga mag-aaral ukol sa aralin, dapat niyang balikan ang paksa upang masagot ang mga tanong at maitama ang mga maling pag-unawa ng mga mag-aaral. c. Paalala: Ito ay mungkahing gawain bilang 4 Mungkahing Gawain Bilang 4
  • 12.
    12 Gawain 13 –Pagsusuri a. Bago ang araw na ito ay ipaalala sa mga mag-aaral na dalhin ang nabuong graphic organizer sa Gawain 8 na kanilang gagamitin sa pagsagot ng Gawain 13. b. Ipaliwanag ang panuto para sa Gawain 13. c. Mga inaasahang sagot: SULIRANIN O HAMON PROBISYON NG FREEDOM CONSTITUTION PALIWANAG Pagpigil sa kalayaan ng Pilipino sa pamamahayag Artikulo II. Seksiyon 1 (b) Binibigyang-diin ang pangangalaga sa karapatan at kalayaan ng mga Pilipino. Pagiging diktador/Pang-aabuso sa kapangyarihan Artikulo II. Seksiyon 1 (a) Sinasabi dito ang planong pagsasaayos ng organisasyon ng pamahalaan at masiguro na malilimitahan ang kanilang mga kapangyarihan Pagkawala ng diwa ng demokrasya Artikulo V. Seksiyon 5 Isa sa mga halimbawa ng karapatan ng mga mamamayan sa isang demokratikong bansa ay ang kanilang partisipasyon sa pagbuo ng konstitusyon tulad ng pakikilahok sa plebisito. Hindi paggalang sa karapatang pantao ng mga mamamayan Artikulo II. Seksiyon 1 (b) Binibigyang-diin ang pangangalaga sa karapatan at kalayaan ng mga Pilipino Pamprosesong Tanong: 1. Maaaring malutas ng mga napili kong probisyon ang mga suliranin o hamon dahil malinaw na sinasabi ang paglalagay sa konstitusyon ng mga batas na nakatuon sa paglutas ng mga suliranin o hamon. 2. Hindi po. Bagamat may mga batas sa konstitusyon, nakasalalay pa din sa mga mamamayan at sa kanilang pagsunod kung malulutas o mabibigyan ng solusyon ang mga suliranin o hamon 3. Para sa akin, mahalaga ang Freedom Constitution dahil sinisiguro nito ang pagpapanumbalik sa kalayaan sa pagpapahayag at paggalang sa karapatan ng mga mamamayan. Sanggunian 4 – Bahagi ng 1987 Saligang Batas ng Pilipinas a. Ipabasa sa mga mag-aaral ang panimula at nilalalaman ng Sanggunian 4 b. Talakayin ang flowchart tungkol sa proseso ng pagbuo ng Saligang Batas Insert flowchart Gawain 14 – Pagtukoy sa Tiyak na Impormasyon 1. Saligang Batas ng Pilipinas 1987 2. Pangulong Corazon C. Aquino 3. Isinagawa ang plebisito noong Pebrero 2, 1987 4. Ipaalala sa mga mag-aaral na dalhin ang chart na kanilang ginawa sa Gawain 13 na gagamitin sa pagsagot sa Gawain 15 sa gagawin sa susunod na pagkikita.
  • 13.
    13 Gawain 15 –Paghahambing a. Ipaliwanag ang panuto sa pagsagot ng Gawain 15. b. Upang madali itong masagot ng mga mag-aaral, ipaalala ng guro ang mga naging talakayan sa pagsusuri ng bahagi ng Inaugural Address ni Pangulong Corazon Aquino at 1986 “Provisional” Freedom Constitution. c. Ipasasagot ang Gawain. d. Inaasahang sagot: SULIRANIN O HAMON (Batay sa iyong sagot sa Gawain 8) Tukuyin ang tiyak na bilang na Artikulo na tutugon sa suliranin PALIWANAG Bahagi ng Freedom Constitution Bahagi Saligang Batas 1987 Pagpigil sa kalayaan ng Pilipino sa pamamahayag Artikulo II. Seksiyon 1 (b) Artikulo VI. Seksiyon 5 (2) Artikulo XIII. Seksiyon 15 at 16 Ipinapakita sa mga Artikulo ng parehas na konsitusyon ang pagbibigay ng kalayaan sa mga Pilipino sa pamamahayag Pagiging diktador/Pang- aabuso sa kapangyarihan Artikulo II. Seksiyon 1 (a) Artikulo VII. Seksiyon 3, at 21. Artikulo VI. Seksiyon 1 Nasiguro sa mga nabanggit na Artikulo at Seksiyon ang paglilimita sa kapangyarihan ng mga namumuno sa pamahalaan partikular ang pangulo ng bansa. Pagkawala ng diwa ng demokrasya Artikulo V. Seksiyon 5 Artikulo VII. Seksiyon 4 Artikulo VI. Seksiyon 1 Binibigyang-diin sa mga nabanggit na Aritkulo ang partisipasyon ng mga mamamayan sa mga gawaing pampamahalaan Hindi paggalang sa karapatang pantao ng mga mamamayan Artikulo II. Seksiyon 1 (b) Artikulo XIII. Seksiyon 1, 3, 4 at 14 Ginagarantiyahan ng mga nabanggit na Artikulo ang paggalang sa karapatan ng mga mamamayan. Pamprosesong Tanong: 1. Mahalaga ang dokumento na Freedom Constitution at 1987 Saligang Batas ng Pilipinas dahil mayroon ng legal na batayan upang maipaglaban ang karapatan at kalayaan ng mga mamamayan. 2. a. Nalimitahan ang kapangyarihan ng Pangulo b. Nasa kamay ng lehislatura ang kapangyarihan sa pagbuo ng batas. May partisipasyon din ang pangulo at ang mga mamamayan. c. Mas napapangalagaan at napahahalagahan ang karapatan ng mga mamamayan
  • 14.
    14 3. Opo. Dahilmas binibigyan ng kapangyarihan ng 1987 Saligang Batas ang mga mamamayan at nililimitahan namn ang kapangyarihan ng mga namumuno. Sanggunian 5 - Sipi ng 26 years of freedom, isang editoryal, 26 years after EDSA where did we go wrong at 5 Lessons to Remember from the EDSA People Power Revolution Gawain 16 – Paghahambing a. Hatiin ang klase sa limang pangkat. b. Ipabasa ang nilalaman ng Sanggunian Pangkat 1 at 4 – 26 Years of Freedom Pangkat 2 at 5 – 26 Years after EDSA where did we go wrong? Pangkat 3 – 5 Lessons to Remember from the EDSA People Power Revolution c. Bigyan ng kaukulang minuto ang mga pangkat upang maisakatuparan ang pagsusuri. d. Inaasahang sagot: Pangkat 1 Pamagat: 26 Years of Freedom Mga Suliranin bago ang 1986 EDSA People Power Revolution na nararanasan pa din sa kasalukuyan Korapsiyon sa pamahalaan at maduming politika Mataas na presyo ng bilihin at patuloy na kahirapan Pagkawala ng mga journalist at miyembro ng militanteng grupo Pang- aabuso sa karapatang pantao na sangkot ang mga pulis at militar
  • 15.
    15 Pangkat 2 Pangkat 3 Pamagat:26 Years after EDSA, where did we go wrong? Mga Suliranin bago ang 1986 EDSA People Power Revolution na nararanasan pa din sa kasalukuyan Patuloy na kahirapan ng pamumuhay Maling paniniwala at pagtitiwala sa mga politiko Korapsiyon sa pamahalaan Pamagat: 5 Lessons to Remember from the EDSA People Power Revolution Mga aral na natutuhan sa 1986 EDSA People Power Revolution Mahalaga ang pagkakaisa ng mga mamamayan Dapat na pangalagaan at ipagtanggol ang demokrasya Makakamit ang ninanais na pagbabago sa mapayapang paraan Ipaglaban ang iyong prinsipyo at karapatan Makabubuti ang pagkakaroon ng tunay na pananampalataya
  • 16.
    16 Pangkat 4 TANONG 1. Sinoang sumulat ng artikulo? 3. Ano ang pananaw ng mga may- akda ukol sa 1986 EDSA People Power Revolution? 2. Ano ang kasalukuyang kalagayan ng ekonomiya ng Pilipinas? 26 Years of Freedom SAGOT 26 Years after EDSA, where did we go wrong? -------- Bobit S. Avilla Dapat na balikan ang mahahalagang aral ng 1986 EDSA People Power Revolution upang makatulong sa pagpapabuti ng kalagayan ng Pilipinas Ito ay isang pangyayari na dapat na ikarangal ng mga Pilipino Nahuhuli ang ekonomiya ng Pilipinas kung ikukumpara sa ibang bansa sa Asya Kabilang pa din ang Pilipinas sa mga tinatawag na 3rd world countries 4. Sa iyong palagay, bakit nagpapatuloy pa din ang mga nabanggit na hamon o suliranin sa bansa? Dahil marami sa atin ang nakalimot sa tunay na diwa ng 1986 EDSA People Power Revolution – ang pagkamit ng pagbabago sa mapayapang paraan. Kung muling magkakaisa ang mga mamamayan at isasantabi ng mga nasa pamahalaan ang kanilang pansariling interes ay makakamit natin ang tunay na pagbabago at pag- unlad ng ating bansa.
  • 17.
    17 Pangkat 5 TANONG 1. Parasa iyo, alin sa mga nabanggit na aral ang maituturing na pinakamahalaga? Bakit? 2. Sang-ayon ka ba sa nilalaman o pananaw ng mga may-akda ng unang dalawang artikulo? Pangatuwiranan. SAGOT Batay sa sagot ng mag-aaral na may matalinong gabay ng guro 3. Nararapat pa din ba nating ipagmalaki ang 1986 EDSA People Power Revolution? Bakit? Batay sa sagot ng mag-aaral na may matalinong gabay ng guro Opo. Dahil napatunayan ng mga Pilipino sa buong daigdig na kaya nating makamit ang ninanais na pagbabago sa mapayapang pamamaraan. Ipinamalas din dito ang tunay na pagkakaisa ng mamamayan at kabutihang naidudulot ng matibay na pananalig sa Panginoong Diyos.
  • 18.
    18 Gawain 17 –EDSA Fever a. Ipabasa sa mag-aaral ang panimulang impormasyon. b. Ipaliwanag ang panuto ng Gawain 17 – EDSA Fever. Italaga ito na Gawaing Bahay bilang 4. c. Talakayin sa susunod na pagkikita ang sagot ng mga mag-aaral. Paalala: Magdadala ang guro ng mapa ng daigdig. Maaaring gumamit ng makukulay na papel bilang pananda sa bansa na pagtutuunan ng pansin. d. Tumawag ng volunteer upang tukuyin sa mapa ang mga bansa na nagsagawa din ng People Power batay sa kaniyang sagot sa Gawaing Bahay bilang 4. e. Ipasuri sa klase ang sagot. Tumawag pa ng ibang mag-aaral kung sakaling mali o may kulang sa sagot ng mga naunang mag-aaral. f. Kapag tama at kumpleto na ang mga sagot ay talakayin na ang mga pamprosesong tanong. g. Mga inaasahang sagot: 1.Natuwa at ipinagmamalaki ko na ako ay isang Pilipino dahil tinularan tayo ng ibang bansa ang ating ginawang paraan para makamit ang pagbabago. 2. Sa pamamagitan ng pag-aaral nang mabuti, pagsunod sa batas, pakikilahok sa gawain ng pamahalaan at pananalig sa Panginoong Diyos. 3. Ang mapayapang paraan ng pagkamit ng pagbabago. 4. Sagot sa tsart: 5. Paalala: Ito ay mungkahing gawain bilang 5 Mungkahing Gawain Bilang 5 1. Tatlong bansa na nagsulong ng mapayapang pagkilos at kalian ito isinagawa: (a) Pilipinas, 1986 (b) Egypt, 2011 (c) Libya, 2011 2. Anong bansa ang nauna sa paggamit ng mapayapang paraan sa pagsulong ng pagbabago? Sagot: Pilipinas
  • 19.
    19 Gawain 18: Dokyu-Kasaysayan a.Hatiin ang klase sa anim na pangkat. Ipaliwanag ang panuto para sa paggawa ng Dokyu- kasaysayan. b. Ipaalala sa mag-aaral ang sumusunod: b.1 Ihanda ang mga katananungan na ibibigay sa taong kakapanayamin b.2 Maghanap ng taong kakapanayamin at hingin ang kaniyang pagsang-ayon b.3 Ibigay ang kopya ng mga katanungan sa taong kakapanayamin ng mas maaga sa takdang araw ng panayam b.4 Kung may kagamitan tulad ng video recorder o voice recorder, ipaalam muna ito sa taong kakapanayamin. Kung wala, ipatala sa pangkat ang tugon ng kinakapanayam. c. Upang magkaroon ng ideya ang klase ukol sa magkabilang panig, sundin ang pagkakahati ng pangkat: Pangkat 1 – 3 – kakapanayamin ang taong nagsasabing tagumpay ang 1986 EDSA People Power Revoultion hanggang sa kasalukuyan Pangkat 4 – 6 – kakapanayamin ang taong nagsasabing hindi tagumpay ang 1986 EDSA Poeple Power Revolution dahil sa kalagayan ng Pilipinas sa kasalukuyan d. Magtakda ng araw para sa presentasyon ng dokyumentaryo o panayam ng lahat ng pangkat. e. Ipaliwanag ang rubric sa pagmamarka ng dokyumentaryo upang magabayan ang mag-aaral sa pagsasakatuparan ng gawain. f. Paalala: Ito ay mungkahing gawain bilang 6 Mungkahing Gawain Bilang 6
  • 20.
    20 Gawain 19 -Pamana ng 1986 EDSA People Power Revolution a. Matapos ang presentasyon ng bawat pangkat, ipagawa sa mga mag-aaral ang Gawain 19. b. Ipaliwanag sa mga mag-aaral na kailangan nilang umisip ng pinakamahalagang pamana ng 1986 EDSA People Power Revolution para sa kanila at ipaliwanag ito. c. Paalala: Ito ay mungkahing gawain bilang 7 Inaasahang sagot: Gawain 20 – Pagsulat ng repleksiyon a. Matapos matalakay ang mg pangyayari, salik, epekto at kahalagahan ng 1986 EDSA People Power Revolution, pasulatin ang mga mag-aaral ng repleksiyon ukol sa mga hakbang na maaari nilang gawin bilang mag-aaral upang mapanatili ang diwa ng 1986 EDSA People Power Revolution. Maaari din silang maglagay ng mga mungkahi kung paano matutugunan ang mga hamon at suliranin na kinakaharap ng Pilipinas sa kasalukuyan. b. Italaga ito bilang Gawaing Bahay bilang 5. c. Bago magsimula ang klase sa susunod na pagkikita ay tumawag ng mag-aaral upang ibahagi ang kaniyang repleksiyon. Mungkahing Gawain Bilang 7 PINAKAMAHALAGANG PAMANA NG 1986 EDSA PEOPLE POWER REVOLUTION Mapayapang Paraan ng Pagbabago PALIWANAG Dahil sa kasalukuyan ay tinutularan ng ibang bansa ang mapayapang paraan ng pagbabago na pinasimulan ng mga Pilipino. Mahalaga din ito sa pagbabago sa kasalukuyang panahon.
  • 21.
    21 Produkto/Pagganap a. Ang Produkto/Pagganapsa modyul na ito ang siyang pangkalahatang produkto/pagganap (Final Product/Performance Task) ng yunit. Ito ay nakasulat sang-ayon sa pormat na GRASPS upang magabayan ang guro sa pagpapaliwanag ng gawain sa mga mag-aaral. Goal – maipaalam sa mga tatakbong kandidato ang mga suliranin na nararanasan sa inyong lugar Role – miyembro ng samahan na nagsusulong ng aktibong pakikilahok ng mamamayan sa gawain ng pamahalaan Audience – mga kapwa kinatawan na kasama sa kumperensiya Situation – kasama ka sa kumperensiya na pinatawag ng COMELEC upang mabigyan ng kaalaman ang mga mamamayan ukol sa mga batas at alituntunin sa tuwing may halalan Product – makagawa ng sulat na siyang maaaring maging batayan ng mga tumatakbong kandidato sa pagbuo ng kanilang mga plano at proyekto Standards – Ang nabuong sulat ay bibigyan ng marka batay sa mga sumusunod na pamantayan  Nilalaman 30  Partisipasyon 30  Kaangkupan 20  Organisasyon 20 Kabuuan 100 b. Hatiin ang klase sa limang pangkat. Ilahad sa klase ang sumusunod na panuto: 1. Ipagpalagay ng mga mag-aaral na sila ay kinatawan ng organisasyon na naimbitahan sa kumperensiya na ipinatawag ng COMELEC. 2. Magsasagawa ng brainstorming ang mga mag-aaral ukol sa lalamanin ng sulat na kanilang ilalahad sa iba pang miyembro ng kumperensiya. 3. Kinakailangan na ang sulat ay naglalaman ng mga suliranin at posibleng solusyon o magagawa ng mamamamayan upang matulungan ang pamahalaan na malutas ang inihayag na suliranin. 4. Sa pagbuo ng sulat, dapat na isaaalang-alang ng pangkat ang rubric sa pagmamarka ng produkto/pagganap. c. Ipalahad sa pangkat ang nabuong sulat sa harap ng klase. Maaaring mag-imbita ng lokal na pinuno upang masaksihan ang paglalahad. Kung hindi ito magagawa, ipaliwanag sa ibang pangkat na ipagpapalagay nila na sila ay mga lokal na pinuno na siyang makikinig sa paglalahad. d. Magsagawa ng malayang pagpapalitan ng kuro-kuro tungkol sa mga nilalaman ng sulat ng bawat pangkat. Maaaring ipadala ang sulat sa kinauukulan matapos na ito ay mabigyan ng marka ng guro.