Integration
Introduction
Estimating with Finite Sums




n
k
k
k
n x
c
f
s
1
).
(
The Definite Integral
Example 1
Find the area A under
y = x over the interval
[0,b], b > 0
By integration,
Δx
2
0
2
2
2
2
0
0
2
b
b
x
dx
x
b
b

















Area of
triangle,
Area = ½ (base)
x (height)
Area = ½ (b)(b)
= 2
2
b
By integration,
Similarly,
 
2
5
2
3
-
4(3)
3
1
2
4
3
1
x
-
4
3
1
)
(
1
Average
2
3
0
2
3
0





















x
x
dx
dx
x
f
a
b
b
a
Example 2
Example 3
Calculate the area bounded by
the x-axis and the parabola
2
6 x
x
y 


Solution:
2
3
2
3
3
2
2
3
2
6
)
6
(


 










x
x
x
dx
x
x



















3
27
2
9
18
3
8
2
12
6
5
20

Example 4
2
1
2
)
(
of
graph
the
and
axis
-
between x
region
the
of
area
the
Find
2
3






x
x
x
x
x
f
12
5
3
4
)
2
(
:
0
1
2
3
4
0
1
2
3















x
x
x
dx
x
x
x
Solution
3
8
3
4
)
2
(
2
0
2
3
4
2
0
2
3














x
x
x
dx
x
x
x
2
units
12
37
3
8
12
5
area
enclosed
Total 



Definite integral
Area under the
curve
 

b
a
dx
x
g
x
f
Area )]
(
)
(
[
Find the solution by 3 steps:
1. Sketch the curves and shade the required
area.
2. Find the limits of integration by solving
simultaneous equations.
3. Calculate the area.
Find the area enclosed by the parabola y=2 – x2
and the line y = – x.
Example 5
origin
through
passing
slope
negative
line
straight
axis
-
y
on
intercept
c
slope,
m
where
,
line
straight
of
Equation
:
Revision









x
y
c
mx
y
y
x
y = – x
2
,
0
when
:
axis
-
on x
on
intersecti
Find
2
,
0
when
:
axis
-
y
on
on
intersecti
Find
2 2







x
y
y
x
x
y
y
x
(minima)
positive
(maxima),
negative
when
:
Note
(maxima)
2
(0,2)
point
turning
2
,
0
when
0
,
0
when
(slope)
2
2
2
2
2
2
2













dx
y
d
dx
y
d
y
x
x
dx
dy
x
dx
dy
x
y
y
x
)
2
(2,
and
1)
,
1
(
are
points
on
Intersecti
2
2
When
1
1
When
2
,
1
0
)
2
)(
1
(
0
2
2
:
and
2
for
Solve
:
curves
2
between
points
on
intersecti
Finding
2
2
2
























, y
x
, y
x
x
x
x
x
x
x
x
x
x
y
x
y
Combining both
graphs,
Note:
- Slope of curves
- Turning point
- Maxima
- Intersection points
2
2
1
3
2
2
1
2
2
1
2
unit
2
9
3
1
2
1
2
3
8
2
4
4
3
2
2
)
2
(
)]
(
)
2
[(
)]
(
)
(
[












































x
x
x
dx
x
x
dx
x
x
dx
x
g
x
f
A
b
a
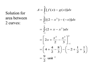
Solution for
area between
2 curves:
Example 6
6.
Solution:
Area A
Limits of integration are a=0, b=2.
Area B
Solving simultaneously 2
and 

 x
y
x
y
4
,
1
0
)
4
)(
1
(
0
4
5
4
4
)
2
(
2
2
2













x
x
x
x
x
x
x
x
x
x
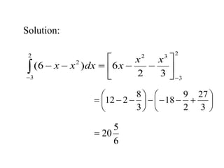
3
10
)
2
(
area
Total
4
2
2
0




 
 dx
x
x
dx
x
2)
-
(x
-
)
(
)
(
:
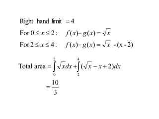
4
2
For
)
(
)
(
:
2
0
For
4
limit
hand
Right
x
x
g
x
f
x
x
x
g
x
f
x









Solution:
Solving simultaneous equation of
gives roots y=-1, y=2.
Limits a=0,b=2.
2
and
2


 y
x
y
x
3
10
)
2
(
)]
(
)
(
[
2
0
2








dy
y
y
dy
y
g
y
f
A
b
a
mathmathmathmathmathmathmathmathmathmath
mathmathmathmathmathmathmathmathmathmath
mathmathmathmathmathmathmathmathmathmath
mathmathmathmathmathmathmathmathmathmath

mathmathmathmathmathmathmathmathmathmath