Advanced plain and reinforced
concrete
Dr. Muneeb Ayoub Memon
Lecture 3
• STRUCTURAL CONCRETE The design of different structures is achieved by performing,
in general, two main steps: (1) determining the different forces acting on the structure using
proper methods of structural analysis and (2) proportioning all structural members
economically, considering the safety, stability, serviceability, and functionality of the
structure. Structural concrete is one of the materials commonly used to design all types of
buildings. Its two component materials, concrete and steel, work together to form structural
members that can resist many types of loadings. The key to its performance lies in strengths
that are complementary: Concrete resists compression and steel reinforcement resists tension
forces.
• The term structural concrete indicates all types of concrete used in structural applications.
Structural concrete may be plain, reinforced, prestressed, or partially prestressed concrete; in
addition, concrete is used in composite design. Composite design is used for any structural
member, such as beams or columns, when the member contains a combination of concrete
and steel shapes.
• ADVANTAGES AND DISADVANTAGES OF REINFORCED CONCRETE
Reinforced concrete, as a structural material, is widely used in many types of structures.
It is competitive with steel if economically designed and executed.
The advantages of reinforced concrete can be summarized as follows:
1. It has a relatively high compressive strength.
2. It has better resistance to fire than steel.
3. It has a long service life with low maintenance cost.
4. In some types of structures, such as dams, piers, and footings, it is the most
economical structural material.
5. It can be cast to take the shape required, making it widely used in precast structural
components. It yields rigid members with minimum apparent deflection
The disadvantages of reinforced concrete can be summarized as follows:
1. It has a low tensile strength of about one-tenth of its compressive strength.
2. It needs mixing, casting, and curing, all of which affect the final strength of
concrete.
3. The cost of the forms used to cast concrete is relatively high. The cost of form
material and artisanry may equal the cost of concrete placed in the forms.
4. It has a low compressive strength as compared to steel (the ratio is about 1:10,
depending on materials), which leads to large sections in columns of multistory
buildings.
5. Cracks develop in concrete due to shrinkage and the application of live loads
• DESIGN PHILOSOPHY AND CONCEPTS
The design of a structure may be regarded as the process of selecting the proper materials
and proportioning the different elements of the structure according to state-of-the-art
engineering science and technology. In order to fulfill its purpose, the structure must meet
the conditions of safety, serviceability, economy, and functionality. This can be achieved
using design approach-based strain limits in concrete and steel reinforcement.
The unified design method (UDM) is based on the strength of structural members assuming
a failure condition, whether due to the crushing of the concrete or to the yield of the
reinforcing steel bars. Although there is some additional strength in the bars after yielding
(due to strain hardening), this additional strength is not considered in the analysis of
reinforced concrete members. In this approach, the actual loads, or working loads, are
multiplied by load factors to obtain the factored design loads. The load factors represent a
high percentage of the factor for safety required in the design.
A basic method that is not commonly used is called the working stress design or the
elastic design method. The design concept is based on the elastic theory assuming a
straight-line stress distribution along the depth of the concrete section under service
loads. The members are proportioned on the basis of certain allowable stresses in
concrete and steel. The allowable stresses are fractions of the crushing strength of
concrete and yield strength of steel. This method has been deleted from the ACI Code.
Limit state design is a further step in the strength design method. It indicates the state
of the member in which it ceases to meet the service requirements such as losing its
ability to withstand external loads or suffering excessive deformation, cracking, or
local damage.
According to the limit state design, reinforced concrete members have to be analyzed
with regard to three limiting states:
1. Load-carrying capacity (safety, stability, and durability)
2. Deformation (deflections, vibrations, and impact)
3. Formation of cracks The aim of this analysis is to ensure that no limiting state will
appear in the structural member during its service life
• DESIGN ASSUMPTIONS
Reinforced concrete sections are heterogeneous (nonhomogeneous), because they are made of two different
materials, concrete and steel.
Therefore, proportioning structural members by strength design approach is based on the following assumptions:
1. Strain in concrete is the same as in reinforcing bars at the same level, provided that the bond between the steel
and concrete is adequate.
2. Strain in concrete is linearly proportional to the distance from the neutral axis.
3. The modulus of elasticity of all grades of steel is taken as Es = 29 × 106 lb/in.2 (200,000 MPa or N/mm2). The
stress in the elastic range is equal to the strain multiplied by Es.
4. Plane cross sections continue to be plane after bending.
5. Tensile strength of concrete is neglected because (a) concrete’s tensile strength is about 10% of its compressive
strength, (b) cracked concrete is assumed to be not effective, and (c) before cracking, the entire concrete
section is effective in resisting the external moment.
6. The method of elastic analysis, assuming an ideal behavior at all levels of stress, is not valid. At high stresses,
nonelastic behavior is assumed, which is in close agreement with the actual behavior of concrete and steel.
7. At failure the maximum strain at the extreme compression fibers is assumed equal to 0.003 by the ACI Code
provision.
8. For design strength, the shape of the compressive concrete stress distribution may be assumed to be
rectangular, parabolic, or trapezoidal.
• BEHAVIOR OF SIMPLY SUPPORTED REINFORCED
CONCRETE BEAM LOADED TO FAILURE
Concrete being weakest in tension, a concrete beam under an assumed
working load will definitely crack at the tension side, and the beam will
collapse if tensile reinforcement is not provided. Concrete cracks occur at a
loading stage when its maximum tensile stress reaches the modulus of
rupture of concrete. Therefore, steel bars are used to increase the moment
capacity of the beam; the steel bars resist the tensile force, and the concrete
resists the compressive force.
To study the behavior of a reinforced concrete beam under increasing load,
let us examine how two beams were tested to failure. Details of the beams
are shown in Figure
• LOAD FACTORS
For the design of structural members, the factored design load is obtained by multiplying the
dead load by a load factor and the specified live load by another load factor. The magnitude of
the load factor must be adequate to limit the probability of sudden failure and to permit an
economical structural design. The choice of a proper load factor or, in general, a proper factor
of safety depends mainly on the importance of the structure (whether a courthouse or a
warehouse), the degree of warning needed prior to collapse, the importance of each structural
member (whether a beam or column), the expectation of overload, the accuracy of artisanry,
and the accuracy of calculations.
Based on historical studies of various structures, experience, and the principles of probability,
the ACI Code adopts a load factor of 1.2 for dead loads and 1.6 for live loads. The dead-load
factor is smaller because the dead load can be computed with a greater degree of certainty than
the live load. Moreover, the choice of factors reflects the degree of the economical design as
well as the degree of safety and serviceability of the structure. It is also based on the fact that
the performance of the structure under actual loads must be satisfactorily within specific limits
• STRENGTH REDUCTION FACTOR 𝝓
The nominal strength of a section, say Mn, for flexural members, calculated in accordance
with the requirements of the ACI Code provisions must be multiplied by the strength
reduction factor, 𝜙, which is always less than 1. The strength reduction factor has several
purposes:
1. To allow for the probability of understrength sections due to variations in dimensions,
material properties, and inaccuracies in the design equations.
2. To reflect the importance of the member in the structure.
3. To reflect the degree of ductility and required reliability under the applied loads.
The ACI Code, Table 21.2.1, specifies the following values to be used:
For tension-controlled sections 𝜙 = 0.90
For compression-controlled sections
a. with spiral reinforcement 𝜙 = 0.75
b. other reinforced members 𝜙 = 0.65
For plain concrete 𝜙 = 0.60
For shear and torsion 𝜙 = 0.75
For bearing on concrete 𝜙 = 0.65
For strut and tie models 𝜙 = 0.75
• SIGNIFICANCE OF ANALYSIS AND DESIGN EXPRESSIONS
Two approaches for the investigations of a reinforced concrete member will
be used.
Analysis of a section implies that the dimensions and steel used in the section
(in addition to concrete strength and steel yield strength) are given, and it is
required to calculate the internal design moment capacity of the section so that
it can be compared with the applied external required moment.
Design of a section implies that the external required moment is known from
structural analysis, and it is required to compute the dimensions of an
adequate concrete section and the amount of steel reinforcement. Concrete
strength and yield strength of steel used are given
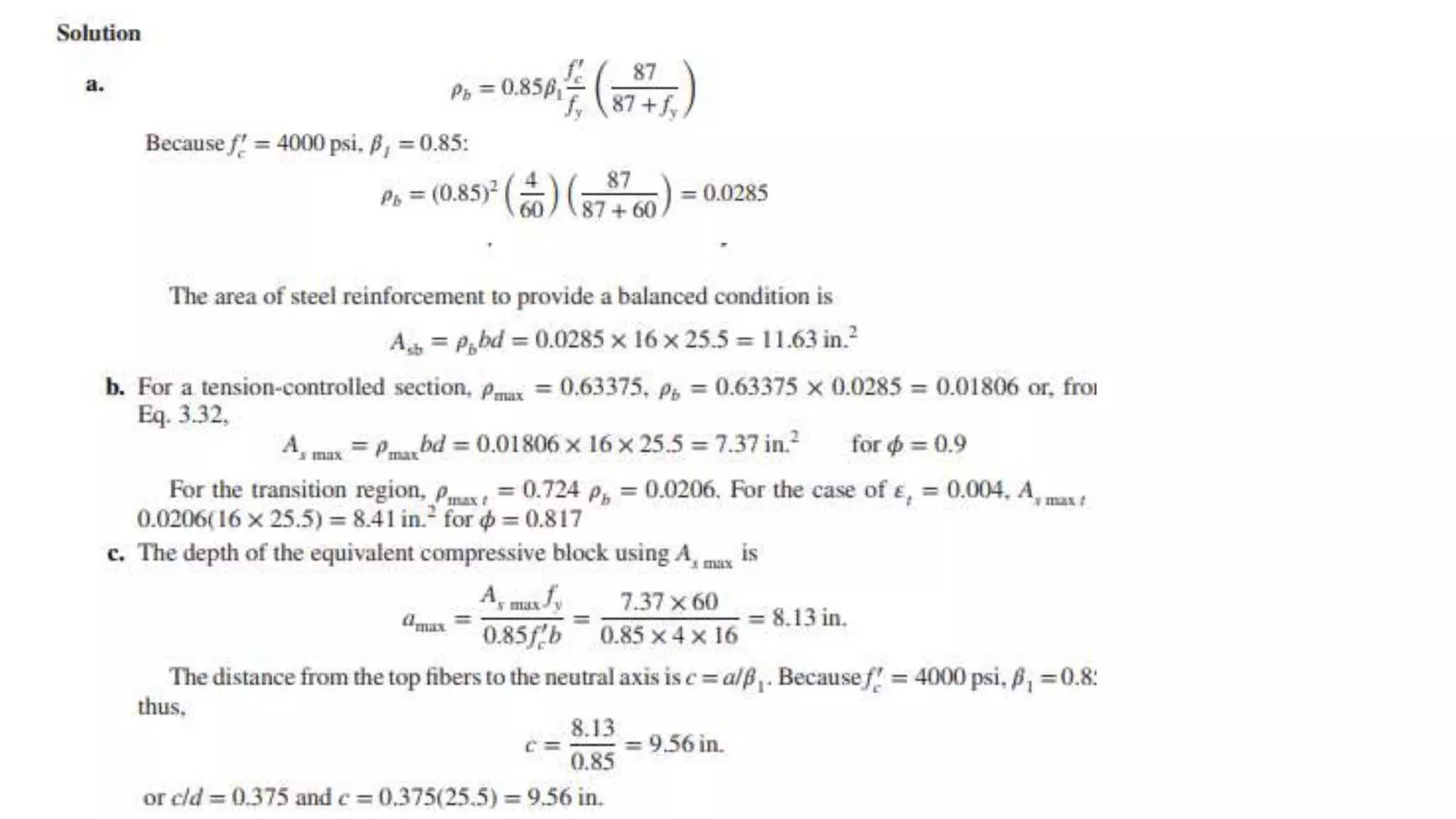
• Example
For the section shown in Figure calculate
a. The balanced steel reinforcement
b. The maximum reinforcement area allowed by the ACI Code for a tension-controlled section and in
the transition region
c. The position of the neutral axis and the depth of the equivalent compressive stress block for the
tension-controlled section in b.
Given: f ′ c = 4 ksi and fy = 60 ksi
Lecture 3 AP and RC MCEM.pptx

Lecture 3 AP and RC MCEM.pptx

  • 1.
    Advanced plain andreinforced concrete Dr. Muneeb Ayoub Memon Lecture 3
  • 2.
    • STRUCTURAL CONCRETEThe design of different structures is achieved by performing, in general, two main steps: (1) determining the different forces acting on the structure using proper methods of structural analysis and (2) proportioning all structural members economically, considering the safety, stability, serviceability, and functionality of the structure. Structural concrete is one of the materials commonly used to design all types of buildings. Its two component materials, concrete and steel, work together to form structural members that can resist many types of loadings. The key to its performance lies in strengths that are complementary: Concrete resists compression and steel reinforcement resists tension forces. • The term structural concrete indicates all types of concrete used in structural applications. Structural concrete may be plain, reinforced, prestressed, or partially prestressed concrete; in addition, concrete is used in composite design. Composite design is used for any structural member, such as beams or columns, when the member contains a combination of concrete and steel shapes.
  • 3.
    • ADVANTAGES ANDDISADVANTAGES OF REINFORCED CONCRETE Reinforced concrete, as a structural material, is widely used in many types of structures. It is competitive with steel if economically designed and executed. The advantages of reinforced concrete can be summarized as follows: 1. It has a relatively high compressive strength. 2. It has better resistance to fire than steel. 3. It has a long service life with low maintenance cost. 4. In some types of structures, such as dams, piers, and footings, it is the most economical structural material. 5. It can be cast to take the shape required, making it widely used in precast structural components. It yields rigid members with minimum apparent deflection
  • 4.
    The disadvantages ofreinforced concrete can be summarized as follows: 1. It has a low tensile strength of about one-tenth of its compressive strength. 2. It needs mixing, casting, and curing, all of which affect the final strength of concrete. 3. The cost of the forms used to cast concrete is relatively high. The cost of form material and artisanry may equal the cost of concrete placed in the forms. 4. It has a low compressive strength as compared to steel (the ratio is about 1:10, depending on materials), which leads to large sections in columns of multistory buildings. 5. Cracks develop in concrete due to shrinkage and the application of live loads
  • 5.
    • DESIGN PHILOSOPHYAND CONCEPTS The design of a structure may be regarded as the process of selecting the proper materials and proportioning the different elements of the structure according to state-of-the-art engineering science and technology. In order to fulfill its purpose, the structure must meet the conditions of safety, serviceability, economy, and functionality. This can be achieved using design approach-based strain limits in concrete and steel reinforcement. The unified design method (UDM) is based on the strength of structural members assuming a failure condition, whether due to the crushing of the concrete or to the yield of the reinforcing steel bars. Although there is some additional strength in the bars after yielding (due to strain hardening), this additional strength is not considered in the analysis of reinforced concrete members. In this approach, the actual loads, or working loads, are multiplied by load factors to obtain the factored design loads. The load factors represent a high percentage of the factor for safety required in the design.
  • 6.
    A basic methodthat is not commonly used is called the working stress design or the elastic design method. The design concept is based on the elastic theory assuming a straight-line stress distribution along the depth of the concrete section under service loads. The members are proportioned on the basis of certain allowable stresses in concrete and steel. The allowable stresses are fractions of the crushing strength of concrete and yield strength of steel. This method has been deleted from the ACI Code. Limit state design is a further step in the strength design method. It indicates the state of the member in which it ceases to meet the service requirements such as losing its ability to withstand external loads or suffering excessive deformation, cracking, or local damage. According to the limit state design, reinforced concrete members have to be analyzed with regard to three limiting states: 1. Load-carrying capacity (safety, stability, and durability) 2. Deformation (deflections, vibrations, and impact) 3. Formation of cracks The aim of this analysis is to ensure that no limiting state will appear in the structural member during its service life
  • 7.
    • DESIGN ASSUMPTIONS Reinforcedconcrete sections are heterogeneous (nonhomogeneous), because they are made of two different materials, concrete and steel. Therefore, proportioning structural members by strength design approach is based on the following assumptions: 1. Strain in concrete is the same as in reinforcing bars at the same level, provided that the bond between the steel and concrete is adequate. 2. Strain in concrete is linearly proportional to the distance from the neutral axis. 3. The modulus of elasticity of all grades of steel is taken as Es = 29 × 106 lb/in.2 (200,000 MPa or N/mm2). The stress in the elastic range is equal to the strain multiplied by Es. 4. Plane cross sections continue to be plane after bending. 5. Tensile strength of concrete is neglected because (a) concrete’s tensile strength is about 10% of its compressive strength, (b) cracked concrete is assumed to be not effective, and (c) before cracking, the entire concrete section is effective in resisting the external moment. 6. The method of elastic analysis, assuming an ideal behavior at all levels of stress, is not valid. At high stresses, nonelastic behavior is assumed, which is in close agreement with the actual behavior of concrete and steel. 7. At failure the maximum strain at the extreme compression fibers is assumed equal to 0.003 by the ACI Code provision. 8. For design strength, the shape of the compressive concrete stress distribution may be assumed to be rectangular, parabolic, or trapezoidal.
  • 8.
    • BEHAVIOR OFSIMPLY SUPPORTED REINFORCED CONCRETE BEAM LOADED TO FAILURE Concrete being weakest in tension, a concrete beam under an assumed working load will definitely crack at the tension side, and the beam will collapse if tensile reinforcement is not provided. Concrete cracks occur at a loading stage when its maximum tensile stress reaches the modulus of rupture of concrete. Therefore, steel bars are used to increase the moment capacity of the beam; the steel bars resist the tensile force, and the concrete resists the compressive force. To study the behavior of a reinforced concrete beam under increasing load, let us examine how two beams were tested to failure. Details of the beams are shown in Figure
  • 12.
    • LOAD FACTORS Forthe design of structural members, the factored design load is obtained by multiplying the dead load by a load factor and the specified live load by another load factor. The magnitude of the load factor must be adequate to limit the probability of sudden failure and to permit an economical structural design. The choice of a proper load factor or, in general, a proper factor of safety depends mainly on the importance of the structure (whether a courthouse or a warehouse), the degree of warning needed prior to collapse, the importance of each structural member (whether a beam or column), the expectation of overload, the accuracy of artisanry, and the accuracy of calculations. Based on historical studies of various structures, experience, and the principles of probability, the ACI Code adopts a load factor of 1.2 for dead loads and 1.6 for live loads. The dead-load factor is smaller because the dead load can be computed with a greater degree of certainty than the live load. Moreover, the choice of factors reflects the degree of the economical design as well as the degree of safety and serviceability of the structure. It is also based on the fact that the performance of the structure under actual loads must be satisfactorily within specific limits
  • 13.
    • STRENGTH REDUCTIONFACTOR 𝝓 The nominal strength of a section, say Mn, for flexural members, calculated in accordance with the requirements of the ACI Code provisions must be multiplied by the strength reduction factor, 𝜙, which is always less than 1. The strength reduction factor has several purposes: 1. To allow for the probability of understrength sections due to variations in dimensions, material properties, and inaccuracies in the design equations. 2. To reflect the importance of the member in the structure. 3. To reflect the degree of ductility and required reliability under the applied loads. The ACI Code, Table 21.2.1, specifies the following values to be used: For tension-controlled sections 𝜙 = 0.90 For compression-controlled sections a. with spiral reinforcement 𝜙 = 0.75 b. other reinforced members 𝜙 = 0.65 For plain concrete 𝜙 = 0.60 For shear and torsion 𝜙 = 0.75 For bearing on concrete 𝜙 = 0.65 For strut and tie models 𝜙 = 0.75
  • 14.
    • SIGNIFICANCE OFANALYSIS AND DESIGN EXPRESSIONS Two approaches for the investigations of a reinforced concrete member will be used. Analysis of a section implies that the dimensions and steel used in the section (in addition to concrete strength and steel yield strength) are given, and it is required to calculate the internal design moment capacity of the section so that it can be compared with the applied external required moment. Design of a section implies that the external required moment is known from structural analysis, and it is required to compute the dimensions of an adequate concrete section and the amount of steel reinforcement. Concrete strength and yield strength of steel used are given
  • 15.
    • Example For thesection shown in Figure calculate a. The balanced steel reinforcement b. The maximum reinforcement area allowed by the ACI Code for a tension-controlled section and in the transition region c. The position of the neutral axis and the depth of the equivalent compressive stress block for the tension-controlled section in b. Given: f ′ c = 4 ksi and fy = 60 ksi