Semiconductor Optoelectronics
Lecture 5: The pn Junction Diode
Dark Current Analysis
Asst. Prof. Dr. Ghusoon Mohsin Ali
4th year Electronics & Communication
Department of Electrical Engineering
College of Engineering
Mustansiriyah University
Text book
Semiconductor Physics
and Devices
Basic Principles
Third Edition
Donald A. Neamen
Chapter 8: The pn Junction Diode
Copyright © The McGraw-Hill Companies, Inc. Permission required for reproduction or display.
In Figure 8.1c, the total potential barrier is reduced. There will be a diffusion of
holes from the p region across the space charge region where they will flow into
the n region. Similarly, there will be a diffusion of electrons from the n region
across the space charge region where they will flow into the p region.
3
The ideal current–voltage relationship of a pn junction is derived on the basis
of four assumptions.
1.The abrupt depletion layer approximation applies. The space charge
regions have abrupt boundaries, and the semiconductor is neutral outside of
the depletion region.
2. The Maxwell–Boltzmann approximation applies to carrier statistics.
3. The concepts of low injection and complete ionization apply.
4a. The total current is a constant throughout the entire pn structure.
4b. The individual electron and hole currents are continuous functions
through the pn structure.
4c. The individual electron and hole currents are constant throughout the
depletion region.
The built‐in potential barrier prevents
this large density of electrons from
flowing into the p region.
4
5
The electric field Eapp induced by the applied voltage is in the opposite
direction to the thermal‐equilibrium space charge electric field, so the net
electric field in the space charge region is reduced below the equilibrium value.
The electric field force that prevented majority carriers from crossing the space
charge region is reduced; majority carrier electrons from the n side are now
injected across the depletion region into the p material, and majority carrier
holes from the p side are injected across the depletion region into the n
material.
6
Comment of Ex 8.1
The minority carrier
concentrations can increase by
many orders of magnitude
when a relatively small
forward‐bias voltage is applied.
7
Example 1
A silicon pn junction has impurity doping concentration of Nd = 2  1015 cm-3 and Na = 8  1015 cm-3.
Determine the minority carrier concentration at the edges of the space charge region for
a) Va = 0.45V
b) Va = 0.55V
c) Va = -0.55V
 
2
10
2
4 -3
15
1.5 10
2.8125 10 cm
8 10
i
po
a
n
n
N

   

 
2
10
2
5 -3
15
1.5 10
1.125 10 cm
2 10
i
no
d
n
p
N

   

  exp a
p p po
t
V
n x n
V
 
   
 
  exp a
n n no
t
V
p x p
V
 
  
 
   
5 12 -3
0.45
1.125 10 exp 3.95 10 cm
0.0259
n n
p x
 
   
 
 
   
4 11 -3
0.45
2.8125 10 exp 9.88 10 cm
0.0259
p p
n x
 
    
 
 
Example 1
A silicon pn junction has impurity doping concentration of Nd = 2  1015 cm-3
and Na = 8  1015 cm-3. Determine the minority carrier concentration at the edges
of the space charge region for
b) Va = 0.55V
   
5 14 -3
0.55
1.125 10 exp 1.88 10 cm
0.0259
n n
p x
 
   
 
 
   
4 13 -3
0.55
2.8125 10 exp 4.69 10 cm
0.0259
p p
n x
 
    
 
 
Example 1
A silicon pn junction has impurity doping concentration of Nd = 2  1015 cm-3
and Na = 8  1015 cm-3. Determine the minority carrier concentration at the edges
of the space charge region for
c) Va = -0.55V
   
5 -3
0.55
1.125 10 exp 0cm
0.0259
n n
p x

 
  
 
 
   
4 -3
0.55
2.8125 10 exp 0 cm
0.0259
p p
n x

 
   
 
 
If a reverse‐biased voltage greater than a few tenths of a volt is applied to the pn
junction, then we see from Equations (8.6) and (8.7) that the minority carrier
concentrations at the space charge edge are essentially zero.
8.1.4 Minority Carrier Distribution
11
1
2
9
The quasi‐Fermi levels are linear functions of distance in the neutral p and n
regions close to the space charge edge in the p region, EFn ‐ EFi > 0 which
means that δn > ni. Further from the space charge edge, EFn ‐ EFi < 0 which
means that δn < ni and the excess electron concentration is approaching
zero
.
8.1.5 Ideal pn Junction Current
the total pn junction current
will be the minority
carrier hole diffusion current
at x = xn plus the minority
carrier electron diffusion
current at x = ‐xp.
1
4
1
5
If the voltage Va becomes negative
(reverse bias) by a few kT eV,then
the reverse‐biased current density
becomes independent of the
reverse‐biased voltage.
The parameter Js is then referred to
as the reverse‐saturation current
density.
1
6
Consider a GaAs pn junction diode at T=300K. The
parameters of the device are Nd=2 1016 cm-3, Na=8 1015
cm-3, Dn=210 cm2/s, Dp=8 cm2/s, no= 10-7s and
po= 5  10-8 s. Determine the ideal reverse-saturation current
density.
Example 2
  
2
2
19 6
15 7 16 8
18 2
1 1
1 210 1 8
1.6 10 1.8 10
8 10 10 2 10 5 10
3.30 10 A/cm
p
n
s i
a no d po
s
D
D
J en
N N
J
 

 

 
 
 
 
 
 
    
 
  
 
 
Consider a GaAs pn junction with doping concentration Na=5 1016 cm-3,
Nd=1016 cm-3. The junction cross-sectional area is A=10-3 and the applied
forward bias voltage is Va=1.10V. Calculate the
a) Minority electron diffusion current at the edge of the space charge region
Example 3
 
  
 
    
2
2
19 6
16 8
2
3
exp exp
1.6 10 1.8 10 205 1.10
exp
5 10 5 10 0.0259
1.849 A/cm
10 1.849 A
n po a i n a
n p
n t a no t
n p
n n p
eD n V en D V
J x
L V N V
J x
I AJ x




   
   
   
   
   
   
   
 
  
1.85 mA
n
I 
Consider a GaAs pn junction with doping concentration Na=5 1016 cm-3,
Nd=1016 cm-3. The junction cross-sectional area is A=10-3 and the applied
forward bias voltage is Va=1.10V. Calculate the
b) Minority hole diffusion current at the end of the space charge region
Example 3
 
  
 
    
2
0
2
19 6
16 8
3
exp exp
1.6 10 1.8 10 9.80 1.10
exp
10 10 0.0259
4.521
10 4.521 A
p no p
a i a
p n
p t d p t
p n
p p n
eD p D
V en V
J x
L V N V
J x
I AJ x




   
  
   
   
   
   
 

 
4.52 mA
p
I 
Consider a GaAs pn junction with doping concentration Na=5 1016 cm-3,
Nd=1016 cm-3. The junction cross-sectional area is A=10-3 and the applied
forward bias voltage is Va=1.10V. Calculate the
c) Total current in the pn junction diode
Example 3
1.85 mA
4.52 mA
1.85 4.52 6.37 mA
n
p
n p
I
I
I I I


    
Calculate the applied reverse-biased voltage at which the
ideal reverse current in a pn junction diode at T=300K
reaches 90% of its reverse-saturation current value
Example 4
   
We have exp 1
Rewrite to 1 exp so that ln 1
In reverse bias,is negative, so at 0.90
We have 0.0259 ln 1 0.90 59.6 mV
S
t
t
S t S
S
V
I I
V
I V I
V V
I V I
I
I
V
 
 
 
 
 
 
 
   
   
   
   
 
   
A silicon pn junction with a cross-sectional area of 10-4 cm2 has the following
properties at T=300K
Example 6
n region p region
Nd = 1017 cm-3 Nda= 5× 1015 cm-3
p0 = 10-7 s n0 = 10-6 s
n = 850 cm2/V-s n = 1250 cm2/V-s
p = 320 cm2/V-s p = 420 cm2/V-s
a- Calculate the values of the Fermi level with respect to the intrinsic level on
each side of the junction.
b- Calculate the reverse-saturation current Is and determine the forward-bias
current I at a forward-bias voltage of 0.5V.
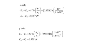
 
17
10
n side
10
ln 0.0259 ln
1.5 10
0.407 eV
d
F Fi
i
F Fi
N
E E kT
n
E E
   
  
   

 
 
 
 
15
10
p side
5 10
ln 0.0259 ln
1.5 10
0.329 eV
a
Fi F
i
Fi F
N
E E kT
n
E E
   

  
   

 
 
 
Example 6
  
  
2
2
We have
1250 0.0259 32.4 cm /s
320 0.0259 8.29 cm /s
n
p
D
D
 
 
Calculate the reverse-saturation current Is and determine the forward-
bias current I at a forward-bias voltage of 0.5V.
2 1 1 p
n
S i
a nO d pO
D
D
J en
N N
 
 
 
 
 
 
  
2
2
19 10
15 6 17 7
1 1
1 32.4 1 8.29
1.6 10 1.5 10
5 10 10 10 10
p
n
S i
a nO d pO
D
D
J en
N N
 

 
 
 
 
 
 
 
    
 

 
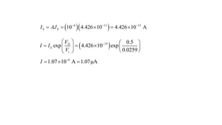
11
4.426 10
S
J 
 
 
15 0.5
exp 4.426 10 exp
0.0259
D
S
t
V
I I
V

   
  
   
 
 
6
1.07 10 A 1.07μA
I 
  
  
4 11 15
10 4.426 10 4.426 10 A
S S
I AJ   
    

Lecture 14+.pdf

  • 1.
    Semiconductor Optoelectronics Lecture 5:The pn Junction Diode Dark Current Analysis Asst. Prof. Dr. Ghusoon Mohsin Ali 4th year Electronics & Communication Department of Electrical Engineering College of Engineering Mustansiriyah University
  • 2.
    Text book Semiconductor Physics andDevices Basic Principles Third Edition Donald A. Neamen Chapter 8: The pn Junction Diode Copyright © The McGraw-Hill Companies, Inc. Permission required for reproduction or display.
  • 3.
    In Figure 8.1c,the total potential barrier is reduced. There will be a diffusion of holes from the p region across the space charge region where they will flow into the n region. Similarly, there will be a diffusion of electrons from the n region across the space charge region where they will flow into the p region. 3
  • 4.
    The ideal current–voltagerelationship of a pn junction is derived on the basis of four assumptions. 1.The abrupt depletion layer approximation applies. The space charge regions have abrupt boundaries, and the semiconductor is neutral outside of the depletion region. 2. The Maxwell–Boltzmann approximation applies to carrier statistics. 3. The concepts of low injection and complete ionization apply. 4a. The total current is a constant throughout the entire pn structure. 4b. The individual electron and hole currents are continuous functions through the pn structure. 4c. The individual electron and hole currents are constant throughout the depletion region. The built‐in potential barrier prevents this large density of electrons from flowing into the p region. 4
  • 5.
  • 6.
    The electric fieldEapp induced by the applied voltage is in the opposite direction to the thermal‐equilibrium space charge electric field, so the net electric field in the space charge region is reduced below the equilibrium value. The electric field force that prevented majority carriers from crossing the space charge region is reduced; majority carrier electrons from the n side are now injected across the depletion region into the p material, and majority carrier holes from the p side are injected across the depletion region into the n material. 6
  • 7.
    Comment of Ex8.1 The minority carrier concentrations can increase by many orders of magnitude when a relatively small forward‐bias voltage is applied. 7
  • 8.
    Example 1 A siliconpn junction has impurity doping concentration of Nd = 2  1015 cm-3 and Na = 8  1015 cm-3. Determine the minority carrier concentration at the edges of the space charge region for a) Va = 0.45V b) Va = 0.55V c) Va = -0.55V   2 10 2 4 -3 15 1.5 10 2.8125 10 cm 8 10 i po a n n N         2 10 2 5 -3 15 1.5 10 1.125 10 cm 2 10 i no d n p N         exp a p p po t V n x n V           exp a n n no t V p x p V            5 12 -3 0.45 1.125 10 exp 3.95 10 cm 0.0259 n n p x               4 11 -3 0.45 2.8125 10 exp 9.88 10 cm 0.0259 p p n x           
  • 9.
    Example 1 A siliconpn junction has impurity doping concentration of Nd = 2  1015 cm-3 and Na = 8  1015 cm-3. Determine the minority carrier concentration at the edges of the space charge region for b) Va = 0.55V     5 14 -3 0.55 1.125 10 exp 1.88 10 cm 0.0259 n n p x               4 13 -3 0.55 2.8125 10 exp 4.69 10 cm 0.0259 p p n x           
  • 10.
    Example 1 A siliconpn junction has impurity doping concentration of Nd = 2  1015 cm-3 and Na = 8  1015 cm-3. Determine the minority carrier concentration at the edges of the space charge region for c) Va = -0.55V     5 -3 0.55 1.125 10 exp 0cm 0.0259 n n p x               4 -3 0.55 2.8125 10 exp 0 cm 0.0259 p p n x           
  • 11.
    If a reverse‐biasedvoltage greater than a few tenths of a volt is applied to the pn junction, then we see from Equations (8.6) and (8.7) that the minority carrier concentrations at the space charge edge are essentially zero. 8.1.4 Minority Carrier Distribution 11
  • 12.
  • 13.
    9 The quasi‐Fermi levelsare linear functions of distance in the neutral p and n regions close to the space charge edge in the p region, EFn ‐ EFi > 0 which means that δn > ni. Further from the space charge edge, EFn ‐ EFi < 0 which means that δn < ni and the excess electron concentration is approaching zero .
  • 14.
    8.1.5 Ideal pnJunction Current the total pn junction current will be the minority carrier hole diffusion current at x = xn plus the minority carrier electron diffusion current at x = ‐xp. 1 4
  • 15.
  • 16.
    If the voltageVa becomes negative (reverse bias) by a few kT eV,then the reverse‐biased current density becomes independent of the reverse‐biased voltage. The parameter Js is then referred to as the reverse‐saturation current density. 1 6
  • 17.
    Consider a GaAspn junction diode at T=300K. The parameters of the device are Nd=2 1016 cm-3, Na=8 1015 cm-3, Dn=210 cm2/s, Dp=8 cm2/s, no= 10-7s and po= 5  10-8 s. Determine the ideal reverse-saturation current density. Example 2    2 2 19 6 15 7 16 8 18 2 1 1 1 210 1 8 1.6 10 1.8 10 8 10 10 2 10 5 10 3.30 10 A/cm p n s i a no d po s D D J en N N J                                
  • 18.
    Consider a GaAspn junction with doping concentration Na=5 1016 cm-3, Nd=1016 cm-3. The junction cross-sectional area is A=10-3 and the applied forward bias voltage is Va=1.10V. Calculate the a) Minority electron diffusion current at the edge of the space charge region Example 3             2 2 19 6 16 8 2 3 exp exp 1.6 10 1.8 10 205 1.10 exp 5 10 5 10 0.0259 1.849 A/cm 10 1.849 A n po a i n a n p n t a no t n p n n p eD n V en D V J x L V N V J x I AJ x                                      1.85 mA n I 
  • 19.
    Consider a GaAspn junction with doping concentration Na=5 1016 cm-3, Nd=1016 cm-3. The junction cross-sectional area is A=10-3 and the applied forward bias voltage is Va=1.10V. Calculate the b) Minority hole diffusion current at the end of the space charge region Example 3             2 0 2 19 6 16 8 3 exp exp 1.6 10 1.8 10 9.80 1.10 exp 10 10 0.0259 4.521 10 4.521 A p no p a i a p n p t d p t p n p p n eD p D V en V J x L V N V J x I AJ x                                 4.52 mA p I 
  • 20.
    Consider a GaAspn junction with doping concentration Na=5 1016 cm-3, Nd=1016 cm-3. The junction cross-sectional area is A=10-3 and the applied forward bias voltage is Va=1.10V. Calculate the c) Total current in the pn junction diode Example 3 1.85 mA 4.52 mA 1.85 4.52 6.37 mA n p n p I I I I I       
  • 21.
    Calculate the appliedreverse-biased voltage at which the ideal reverse current in a pn junction diode at T=300K reaches 90% of its reverse-saturation current value Example 4     We have exp 1 Rewrite to 1 exp so that ln 1 In reverse bias,is negative, so at 0.90 We have 0.0259 ln 1 0.90 59.6 mV S t t S t S S V I I V I V I V V I V I I I V                                    
  • 22.
    A silicon pnjunction with a cross-sectional area of 10-4 cm2 has the following properties at T=300K Example 6 n region p region Nd = 1017 cm-3 Nda= 5× 1015 cm-3 p0 = 10-7 s n0 = 10-6 s n = 850 cm2/V-s n = 1250 cm2/V-s p = 320 cm2/V-s p = 420 cm2/V-s a- Calculate the values of the Fermi level with respect to the intrinsic level on each side of the junction. b- Calculate the reverse-saturation current Is and determine the forward-bias current I at a forward-bias voltage of 0.5V.
  • 23.
      17 10 n side 10 ln0.0259 ln 1.5 10 0.407 eV d F Fi i F Fi N E E kT n E E                     15 10 p side 5 10 ln 0.0259 ln 1.5 10 0.329 eV a Fi F i Fi F N E E kT n E E                   
  • 24.
    Example 6      2 2 We have 1250 0.0259 32.4 cm /s 320 0.0259 8.29 cm /s n p D D     Calculate the reverse-saturation current Is and determine the forward- bias current I at a forward-bias voltage of 0.5V. 2 1 1 p n S i a nO d pO D D J en N N                2 2 19 10 15 6 17 7 1 1 1 32.4 1 8.29 1.6 10 1.5 10 5 10 10 10 10 p n S i a nO d pO D D J en N N                            11 4.426 10 S J   
  • 25.
      15 0.5 exp4.426 10 exp 0.0259 D S t V I I V                 6 1.07 10 A 1.07μA I        4 11 15 10 4.426 10 4.426 10 A S S I AJ        