In the last Few Days/Month you need
•The most DEDICATED TEAM
•DISTRACTION FREE ENVIRONMENT
•AN INSTITUTE which has proven track
record of producing great results
•COMPREHENSIVE CONTENT
Complex numbers
(1) | z | = 0 ⇒ z = 0
(2)
(3) | z1 z2| = | z1 | | z2 | ⇒| zn | = | z |n
(4)
(5)
(6) Triangle inequalities
(a) | z1 + z2| ≤ | z1 | + | z2 |
(b) | z1 - z2| ≥ || z1 | - | z2 ||
Properties of Modulus Properties of Argument
Note for argument (or amplitude):
● If θ is argument of z then 2n𝜋 + θ ; where n is integer, is also
an argument
● The value of argument which lies in (-𝜋, 𝜋] is called principal
value of argument or amplitude .
● Argument of purely imaginary number is
● Argument of purely real number is 0 or 𝜋
● If z = 0 then arg(z) is not defined.
Polar form
Z = r (cos θ + i sin θ)
Euler form
Z = reiθ
Representation of Complex Number in Polar and Euler Form
Z = x + i y
Note: If we know |z| & arg(z) then we can write z
Euler’s form is very efficient in handling big and bad powers of a
complex number
Consider, z3 = 1
Roots of this equation are called cube roots of
unity.
z3 = 1
z3 - 1 = 0
(z - 1) (z2 + z + 1) = 0
Cube Roots of Unity
Note:
Roots of z2 + z + 1 = 0 are 𝜔 & 𝜔2 and roots of z2 - z + 1 = 0 are -𝜔
& -𝜔2
1. 𝜔3 = 1
2. 1 + 𝜔 + 𝜔2 = 0
3. 𝜔3k + 𝜔3k+1 + 𝜔3k+2 = 0; k ∊ z
4. z3 - 1 = (z - 1) (z - 𝜔) (z - 𝜔2)
Properties of ω
Geometrical interpretation of Modulus
|z1| ⟶ distance of z1 from origin.
|z2 - z1|⟶ distance between z1 & z2
Sequence and series
Sequence
AP GP
an = a + (n - 1) d an = arn - 1
OR
Key Points for AP
1. Common terms of two AP’s, form an AP.
2. If a1, a2, a3 ➝ AP, then
(i) ka1, ka2, ka3 ➝ AP &
(ii) a1 ± k, a2 ± k, a3 ± k ➝ AP
3. Sum of the terms equidistant from beginning & end is same
4. Assuming terms: 3 terms ➝
4 terms ➝
5 terms ➝
Note:
1. nth odd number is 2n-1
2. Sum of first n odd numbers is n2
Key Points for GP
1. If a1, a2, a3 ➝ GP, then for k ≠ 0
(i) ka1, ka2, ka3 ➝ GP
(ii) (a1)k, (a2)k, (a3)k ➝ GP
2. If a, b, c, d ➝ GP, then a ± b, b ± c, c ± d ➝ GP
3. Product of terms equidistant from beginning and end is same
4. Assuming terms: 3 terms ➝
4 terms ➝
5 terms ➝
Arithmetic Mean
Arithmetic Mean
AM of Numbers AM’s between two numbers
1) ‘A1’ is called one AM between a & b
if a, A1, b ➝ AP
2) A1 & A2 are called two AM’s
between a & b if a, A1, A2, b ➝ AP
GM’s between two numbers
1) G1 is called one GM between a & b
if a, G1, b ➝ GP
2) G1, G2 are called two GM’s
between a & b if a, G1, G2, b ➝ GP
Geometric Mean
Geometric Mean
GM of Numbers (+ve numbers)
Sequence of the following form is called A.G.P.
a , (a + d) r , (a + 2d) r2 , . . . , (a+(n - 1)d) rn-1
Eg:
(a) 1 , 3x , 5x2 , 7x3 , . . .
(b) 1 , 40 , 700 , 10000 , . . .
Arithmetic - Geometric Progression
(observe that equality holds if a’s
are equal)
For any given +ve numbers:
Relation Between AM and GM
AM ≥ GM
AM = GM; if all the terms are equal.
AM > GM; otherwise
Note:
3 Hints to use AM ≥ GM
(1) If min value of some expression is asked
(2) Terms involved in expression are +ve.
(3) Product of terms involved in expression is good.
Properties:
Sigma Notation
Note
Result
Trigonometry
1. Sine of supplementary angles are same.
2. Cosines of supplementary angles are negative of
each other.
3. sin(-θ) = -sinθ and cos(-θ) = cosθ
Remarks
Compound Angles
1. sin(A + B) = sinA cosB + cosA sinB
2. sin(A - B) = sinA cosB - cosA sinB
3. cos(A + B) = cosA cosB - sinA sinB
4. cos(A - B) = cosA cosB + sinA sinB
Multiple Angle Formulae
Remark
1. sin 2θ and cos 2θ can be expressed in terms of tanθ as
2. sin(A + B) × sin(A - B) = sin2A - sin2B
cos(A + B) × cos(A - B) = cos2A - sin2B = cos2B - sin2A
List of most commonly used formulae and expressions.
a sin θ + b cos θ
Expressing in terms of cosine only.
Expressing in terms of sine only.
Transformation of product into sum and difference
2 sin A cos B = sin(A + B) + sin(A - B)
2 cos A sin B = sin(A + B) - sin(A - B)
2 cos A cos B = cos(A + B) + cos(A - B)
2 sin A sin B = cos(A - B) - cos(A + B)
Transformation Formulae
Transformation of sum and difference into product
Transformation Formulae
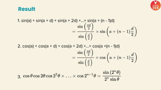
1. sin(a) + sin(a + d) + sin(a + 2d) +...+ sin(a + (n - 1)d)
2. cos(a) + cos(a + d) + cos(a + 2d) +...+ cos(a +(n - 1)d)
Result
3.
If A + B + C = 𝜋, then :
(a) sin2A + sin2B + sin2C = 4sinA sinB sinC
(b) cos2A + cos2B + cos2C = -1 -4 cosA cosB cosC
(d) tanA + tanB + tanC = tanA tanB tanC
Result :
Trigonometric Equations
(a) sinθ = 0 ⇒ θ =
(b) cosθ = 0 ⇒ θ =
(c) cosθ = 1 ⇒ θ =
(d) cosθ = -1 ⇒ θ =
Trigonometric Equations
Results
(a) (i) sinθ = sin⍺ ⇒ θ = n𝜋 + (-1)n ⍺
(ii) cosθ = cos⍺ ⇒ θ = 2n𝜋 ± ⍺
(iii) tanθ = tan⍺ ⇒ θ = n𝜋 + ⍺
(b) (i) sin2θ = sin2⍺
(ii) cos2θ = cos2⍺ ⇒ θ = n𝜋 ± ⍺
(iii) tan2θ = tan2⍺
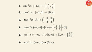
Inverse
Trigonometric
functions
3.
4.
5.
1.
2.
6.
Composition of trigonometric and its inverse function
1.
Domain (i.e., it’s always true)
2.
only if principal domain
Result 1: Inverse trigonometric function at ‘-x’
Result 2: ITF of Complementary Functions
Result 3: Inverse trigonometric functions at ‘ ’
ITF in terms of each other
Let us define, inverse trigonometric functions using right angled
Triangle.
Sum & Difference of ITF
Note:
Sum & Difference of ITF
Results:
under some good condition
under some good condition
under some good condition
under some good condition
Note
These good conditions are not required rather these formula also are of
least importance.
Binomial theorem
Results
(a) nCr + nCr+1 = n+1Cr+1
(c) nCx = nCy ⇒ x = y or x + y = n
There are two particular cases which are used very frequently.
(a) (1 + x)n = nC0 + nC1x + nC2x2 +....+ nCnxn
(b) (1 - x)n = nC0 - nC1x + nC2x2 - nC3x3 +....+ (-1)n nCnxn
(1) (1 + x)n -1 is divisible by x
(1) (1 + x)n -1 - nx is divisible by x2
Note:
(x + y)n = nC0xn + nC1xn-1y +….+ nCn-1xyn-1 + nCnyn
General term, Tk+1 = nCkxn-kyk
General Term of Binomial Expansion
Binomial Theorem for any Index
Let ‘n’ be a rational number & ‘x’ be a real number such that |x| < 1, then:
Some special cases:
(a) (1 + x)−1 = 1 − x + x2 − x3 +...+ (-1)r xr +...
(b) (1 − x)−1 = 1 + x + x2 + x3 +...+ xr +...
(c) (1 + x)−2 = 1 − 2x + 3x2 − 4x3 +...
(d) (1 − x)−2 = 1 + 2x + 3x2 + 4x3 +...
Result
(1) nC0 + nC1 + nC2 +...+ nCn = 2n
(2) nC0 + nC2 + nC4 +... = nC1 + nC3 + nC5 +...
Permutations and
Combinations
Primarily chapter PnC is all about:
(1) Selection
(2) Selection and arrangement
(3) Distribution
Various varieties of selections
1. Selecting number of objects required
2. Selecting such that few particular objects are included or
excluded in selection.
3. Geometrical countings.
4. Total selections
Eg
Arrangement of alike objects
Number of ways of arranging p elements in a row if out of ‘p’ objects
‘m’ are alike & ‘n’ are alike & rest are distinct, is given by
While distributing the distinct objects, always see the number
of options that a given object to be distributed has
Remark:
Number of ways to distributing ‘n’ distinct objects among ‘m’
persons is mn
Result:
Distribution of Distinct Objects
Distribution of alike objects:
Result: No. of ways of distributing n identical
objects among r persons is
Straight lines
Centroid
It is the point of concurrence of the medians of a triangle.
F E
D
G
A (x1, y1)
C (x3, y3)
B (x2, y2)
Incentre
It is the point of concurrence of the internal angle
bisectors of a triangle.
c b
a
I
A (x1, y1)
C (x3, y3)
B (x2, y2)
Orthocentre
It is the point of concurrence of the altitudes of a triangle.
H
A (x1, y1)
B (x2, y2) C (x3, y3)
E
F
D
Circumcentre
It is the point of concurrence of the perpendicular
bisector of the sides of a triangle.
A
B C
O
E
D
F
(x3, y3)
(x, y)
(x1, y1)
(x2, y2)
In any scalene triangle,
Note :
Result
G
H
O
In an equilateral triangle, G, I, O and H, all coincide.
Angle between two Lines
where θ is the acute angle
between the two lines
Some Formulae
Distance of a Point from a Line
Special case : Distance of origin from is
(x1, y1)
eg : Distance of (1, 2) from 3x - 4y + 2 = 0 is .
Distance between two Parallel Lines
Eg : Distance between x + y + 2 = 0 and x + y + 4 = 0 is
Foot of Perpendicular from a Point to a Line
(x1, y1)
Eg : Foot of perpendicular of (2, 3) on x + 2y - 1 = 0 is given by
Image of a Point in a Line
(x1, y1)
Note
Any line through intersection point of L1 = 0 and L2 = 0 (that is a
member of their family) has equation of the form
Given any two lines L1 = 0 and L2 = 0, all the lines passing
through their point of intersection constitutes family of lines
of L1 = 0 and L2 = 0.
Family of Lines
Circles
Some Basic Geometrical Results
(a) Perpendicular from the centre to a chord of the circle
bisects the chord or we may say, perpendicular bisector
of chord, passes through the centre of the circle.
Some Basic Geometrical Results
(b) Secant theorem
(i)
(ii)
T
P A
A’
B’
B
B
B’
A’
A
P
P
B
A
PA × PB = PA × PB
PA × PB = PT2
(x - x1)2 + (y - y1)2 = r2
Centre : (x1, y1)
Radius : r
x2 + y2 + 2gx + 2fy + c = 0
Centre : (-g, -f)
Radius :
Note:
Diametric form : (x - α1)(x - α2) + (y - β1)(y - β2) = 0
where (α1, β1) & (α2, β2) are endpoints of diameter
Equations of a Circle
1. Circle touching X - axis
2. Circle touching Y - axis
X
(a, 0)
Y
(0, b)
Some Special Circles
5. Circle touching both axes
X
Y
X
Y
O
O
(0, 2b)
(2a, 0)
X
Y
O
6. Circle passing through origin and cutting both axes
r
Whenever a circle makes an intercept
on a line, always refer to this figure.
AB is the intercept made by circle on
the line y = mx + c
A
y = mx + c
Intercepts made by a Circle
A
B
Y
Intercepts made by a Circle on axes
(1) Intercept made by x2 + y2 + 2gx + 2fy + c = 0 on the X - axis.
A B
X
(2) Intercept made by x2 + y2 + 2gx + 2fy + c = 0 on the Y - axis.
As of now, that we are doing circles, so we have
(1) S ≡ x2 + y2 + 2gx + 2fy + c
Some Standard Notations
(2) For a point (x1, y1) : Value of S at (x1, y1) is
represented by S1 , that is
S1 = x1
2 + y1
2 + 2gx1 + 2fy1 + c
(3) For a point (x1, y1):
If we replace in S, then we get T, that is T
Find distance ‘d’ of centre of circle from given line
d < r
line cuts circle
d = r
line is tangential to
circle
d > r
line does not meet
circle
Position of a Line with respect to a Circle
Slope form Tangent at a Point on
a Circle
Parametric form
slope = m (x1, y1) P(θ)
Various Equations of Tangents of a Circle
T = 0
T = 0
Equations of tangents to x2 + y2 = r2, having slope m, are
given by .
Result
Note:
Equations of tangents to (x − x1)2 + (y − y1)2 = r2, with
slope m, are given by
(1)
(2)
(3)
⇒
⇒
⇒
4 common tangents
3 common tangents
2 common tangents
(4)
(5)
⇒
⇒
1 common tangent
0 common tangents
Number of Common tangents
S + 𝜆L = 0
(1)
S = 0 L = 0
Family of Circles
(2)
S = 0
S’ = 0
Note: S - S’ = 0 is the equation of common chord
L = 0
A (x1, y1)
(3) Family of circles tangent to a given line L=0 at a
given point A (x1, y1) :
(x − x1)2 + (y − y1)2 + 𝜆L = 0
(2) Equation of chord with given midpoint P(x1, y1)
(1) Equation of CoC (chord of contact) with respect to P(x1, y1)
P (x1, y1) Its equation is given by T = 0
S = 0
P (x1, y1) Its equation given by T = S1
S = 0
Chords of a Circle
Result : Length of CoC (chord of contact) with respect
to P(x1, y1) Length of chord of contact T1 T2 =
Chords of a Circle
r1
C2
d
r2
C1
Two circles intersect each other orthogonally if
Or 2 g1 g2 + 2 f1 f2 = c1 + c2
Condition for orthogonality
Conics
Remark
Depending upon the value of e, we get different conics.
(i) e = 1 gives parabola
(ii) e > 1 gives hyperbola
(iii) 0 < e < 1 gives ellipse
Given a general second degree equation in x and y, it
represents a pair of lines or different conics depending
upon the coefficients. Consider the equation ax2 + 2hxy +
by2 + 2gx + 2fy + c = 0 … (A)
1. Δ = 0 ⇒ equation (A) represents a pair of lines.
2. Δ ≠ 0
(i) and h2 − ab < 0 ⇒ equation (A) represents an ellipse.
(ii) and h2 − ab = 0 ⇒ equation (A) represents a parabola.
(iii) and h2 − ab > 0 ⇒ equation (A) represents a hyperbola.
Identifying the Conic
x = −a
LR = 4a
X
Y
O
Z (−a, 0) S (a, 0) S (−a, 0)
x = a
LR = 4a
X
Y
O Z (a, 0)
(1) y2 = 4ax (2) y2 = −4ax
Standard Parabolas having vertex at origin.
(3) x2 = 4ay (4) x2 = −4ay
LR = 4a
y = −a
X
Y
O
Z (0, −a)
y = a
LR = 4a
X
Y
S (0, −a)
Z (0, a)
O
Standard ellipses having centre at origin
A(a, 0)
S’(-ae, 0)
B(0, b)
S(ae, 0)
A’(-a, 0)
O
Y
X
O
Z
Z’
Standard hyperbolas having centre at origin
B’(0, -b)
S’(-ae, o)
B(0, b) A(a, 0)
A’(-a, 0)
S(ae, 0)
Two hyperbolas, such that the transverse and conjugate
axes of one, are the conjugate and transverse axes of the
other, respectively, are called conjugate hyperbolas.
Conjugate Hyperbolas
Result
If e1 and e2 are the eccentricities of two conjugate
hyperbolas, then
If a = b, that is lengths of transverse and conjugate axes
are equal, then the hyperbola is called rectangular or
equilateral.
Eg. The hyperbola x2 − y2 = a2 is a rectangular hyperbola.
Rectangular Hyperbola
Remark
1. Eccentricity of an equilateral hyperbola is always .
2. ax2 + 2hxy + by2 + 2gx + 2fy + c = 0 represents a
rectangular hyperbola if Δ ≠ 0 and a + b = 0.
(1) y2 = 4ax ⇒ (at2, 2at)
(2) x2 = 4ay ⇒ (2at, at2)
(3) (y − k)2 = 4a(x − h) ⇒ (h + at2, k + 2at)
(4) (x − h)2 = 4a(y − k) ⇒ (h + 2at, k + at2)
Parametric forms of Conics
General Method
Solve line with conic to get a quadratic equation.
D > 0 ⇒ line cuts the conics
D = 0 ⇒ line is tangent to conics
D < 0 ⇒ line does not meet conics
Position of a Line with respect to a Conic
Various equations of tangents to y2 = 4ax
Slope form Tangent at a point Parametric form
Y
X
O
y2 = 4ax
Y
X
O
P(t)
y2 = 4ax
T = 0 ⇒ ty = x + at2
slope = m Y
X
O
(x1, y1)
y2 = 4ax
T = 0
Equations of Tangents of a Conic
Note
(1) Slope of tangent to y2 = 4ax
at P(t) is
(2) Parametric tangent of x2 = 4ay can be obtained by interchanging x
and y in corresponding formula for y2 = 4ax. It does not happen in
equation of tangent having given slope m.
Equations of Tangents of a Parabola
ty = x + at2
Note
(3) Point of intersection of tangents to y2 = 4ax at P(t1) and
Q(t2) is
(a t1 t2, a(t1 + t2)) (at1t2, a(t1 + t2)) P(t1)
Q(t2)
Equations of Tangents of a Parabola
For Hyperbola :
Slope form
Equations of Tangents of an Ellipse and Hyperbola
Hence, tangent of slope m is given by
For Ellipse : Tangent is
For Hyperbola : Tangent is
Focal Chord
Any chord passing through the focus of a conic is called a
focal chord.
We should be remembering some results related to focal
chords of parabola.
Focal Chords
Result
(1) For y2 = 4ax, if P(t1) and Q(t2) are the endpoints of a focal
chord then t1t2 = − 1.
(2) Tangents at endpoints of a focal chord are perpendicular
and hence intersect on directrix.
(3) Length of a focal chord of y2 = 4ax, making an angle α
with the X-axis, is 4a cosec2 α.
For parabola y2 = 4ax:
Normal at P(t) is given by
y + tx = 2at + at3
Normal having given slope ‘m’ is given by
y = mx − 2am − am3
Equation of normal at P(x1, y1) on
P(x1, y1)
Equations of Normals of an Ellipse
Equation of normal at P(x1, y1) on
Equations of Normals of a Hyperbola
The formulae for the equation of the chord of contact and a
chord with given midpoint remain the same for all conics, that
is
Chord of Contact : T = 0
Chord with given mid point : T = S1
Chords of a Conic
Limits, continuity
and differentiability
Definition
If
then we say exists
We have indeterminate forms,
(Here 0 is denoting a function tending to zero, similarly ∞ & 1
are denoting functions tending to ∞ & 1 respectively).
Methods for Evaluating Limits
(a) L Hospital Rule:
(b) Factorization Method:
(c) Rationalization Method:
This is normally used when either numerator or denominator
or both involve square roots.
(d) Method of evaluating algebraic limit when x tends to
infinity Just take biggest terms in numerator & denominator
common
(e) Trigonometric limits: We have standard results
(f) Logarithmic limits:
We have standard result
(g) Exponential limits:
We have standard result
(h) Form (1)∞
We have standard result
Method of Evaluating Algebraic Limit
When x ➝ ∞ or − ∞
Just take biggest terms in numerator & denominator common
Evaluate the following:
Q
Trigonometric Limits
IIT 1999
Evaluate the following:
Q
Logarithmic limits
Exponential limits
Form (1)∞
Result
where f(x) ➝ 0 & g(x) ➝ ∞ when x ➝ a
Limits Using Expansion Series
Evaluate:
Remark:
IIT 1999
Q
Whenever the function under consideration has one of the
following traits, always check RHL & LHL for existence of
limit.
(a) It has , [.], {.} or mod
(b) Its piecewise defined
(c) It has and
Note:
Try to observe
(a) is ______; here [.] ⟶ GIF
(b) is ______; here [.] ⟶ GIF
(c) is ______; here [.] ⟶ GIF
(d) is ______; here {.} ⟶ FPF
A function is said to be continuous at x = a
In simple words limit at x = a is f(a).
Continuity at a point
Normally, we have 2 varieties:
(1) Function is given, and we need to check continuity.
(2) Function is given to be continuous and we need to find
some constant(s).
Now, let me tell you the simplest way of checking
continuity of composite functions.
then check continuity fog(x) at x = 2
Q
then check continuity fog(x) at x = 2
Q
Solution :
Types of Discontinuity
Applications of
derivatives
We need to study
Equation of tangent and normal having given slope
Equation of tangent and normal at a given point on the curve
Equation of tangent and normal through external point.
Tangents and Normals
m1 = f’(x1)
m2 = g’(x1)
Where (x1, y1) is point of intersection of two curves
⇒ Condition of orthogonality: m1m2 = -1
Angle of Intersection between two curves
PT = Length of tangent
PN = Length of normal
TG = Length of subtangent
GN = Length of subnormal = |y1 m|
Where,
θ
P(x1, y1)
T G N
Length of tangent, normal, subtangent and subnormal
Mean value Theorems
Rolle’s theorem
If y = f(x) is a function such that:
(i) its continuous in [a, b]
(ii) its differentiable in (a, b)
(iii) f(a) = f(b)
then there exists c ∈ (a, b) such that f’(c) = 0 i.e., f’(x) = 0 has at least
one root in (a, b)
Lagrange Mean value theorem
If a function y = f(x) satisfies
(i) f(x) is continuous in [a, b]
(ii) f(x) is differentiable in (a, b)
Then there exist such that
Definition:
f(x) is said to be strictly increasing over an interval [a, b] if:
x2 > x1 ⇒ f(x2) > f(x1), ∀ x1, x2 ∈ [a, b]
While it is said to be increasing (or non-decreasing) if:
x2 > x1 ⇒ f(x2) ≥ f(x1), ∀ x1, x2 ∈ [a, b]
Increasing and Decreasing functions
For a differentiable function:
(1) f’(x) ≥ 0 ⇒ f(x) is strictly increasing
(provided the points for which f’ (x) = 0 do not form an interval)
(2) f’(x) ≤ 0 ⇒ f(x) is strictly decreasing
(provided the points for which f’(x) = 0 do not form an interval)
Interval of Increase and Decrease
Note:
(i) f(x) is monotonic in [a, c]
(ii) f(x) is not monotonic in [a, b]
(iii) f(x) is monotonic in [c, b]
(iv) f(x) is not monotonic in neighbourhood of x = c
This chapter is all about:
(1) Local maxima
(2) Local minima
(3) Global maxima
(4) Global minima
Maxima and Minima
It is collection of points where either f’ (x) = 0 or f’ (x) fails to
exist
Note:
It is to be noted that critical points are the interior points of an
interval.
Critical points are contenders for giving maxima and minima.
Critical Points
For a continuous function:
(a) If f’(x) changes sign about a critical point, then we have
maxima or minima there.
(b) If f’ (x) does not change sign about a critical point, then
function does not have maxima or minima there.
First Derivative Test
If f’(x) = 0 at x = a, then
(1) f”(a) > 0 ⇒ f(x) has local minima at x = a
(2) f”(a) < 0 ⇒ f(x) has local maxima at x = a
Remark
If f’(a) = 0 and also f”(a) = 0 then Double Derivative Test is
inconclusive.
Double Derivative Test
Integration
If our integral is in the form:
Then we put, g(x) = t
⇒ g’(x)dx = dt
Remark
Integration by Substitution
Some special cases of substitution
Some standard substitutions:
Some standard algebraic formats:
Format 1:
Working strategy: Just complete the square in denominator
Format 2:
Working strategy: Create derivative of quadratic, in the
numerator,
Remark: Whenever deg(Nr) ≥ deg (Dr) we use above
strategy
Format 3:
Working strategy: Use division algorithm to write P(x) in
terms of ax2 + bx + c
Partial fractions : In a proper fraction we can
represent
Choosing first and second function:
Take that function as first function which comes first in ILATE.
Integration by Parts
Remark:
Basically, function whose integration is easy, is taken as
second function.
If integrand contains only one function which cannot be
integrated directly (eg: ln x, sin-1 x etc) then we take second
function as “1” and try “By Parts”
Now lets see classic integral, which is very important
Second Fundamental Theorem of Calculus
Let f (x) be a continuous function defined in [a, b]
If F(x) is an anti-derivative or primitive of f (x), then
This is called the Second Fundamental Theorem of Calculus.
Remark
If f(x) is discontinuous at x = c, where a < c < b, then, we have
to write
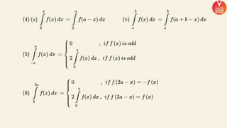
Properties of Definite Integrals
Remark
(a) If f (UL − x) = f (x) or − f (x) , then we use prop (6)
(b) If f (UL − x) is something else, then we try using Prop (4)
For eg:
Definite Integration of Periodic Functions
1. where T is the period of the
function and n ∈ I, (i.e., f(x + T) = f(x)).
2.
3. where T is the period of the
function and m, n ∈ I.
4. where T is the period of the function
and n ∈ I.
Bounds of Definite Integrals
Vectors
Clearly, the angle between is given by Cos
Dot Product of Two Vectors
Notes:
(a) are perpendicular to each other
(b)
(c)
(d)
Dot Product of Two Vectors
Let’s look at the projection of a vector along another vector.
Note
is called projection vector (or component vector) of
along
Geometrical Significance of the Dot Product
Remark:
If are any three mutually perpendicular vectors
then Any vector can be expressed as
Cross Product of Two Vectors
Remarks
Properties of Cross Product
Cross Product of Two Vectors
There are two kinds of triple products, namely
(1) Scalar triple product
(2) Vector triple product
Triple Products
Scalar Triple Product (Box Product)
Properties of Box Product
Remarks
Result
The magnitude of gives the volume of the
parallelepiped whose coinitial edges are
Geometrical Significance of the Box Product
Remark
The magnitude of gives the volume of the
tetrahedron whose coinitial edges are
For three vectors are
called vector triple products.
Theorem
1 2 3 1 3 2 1 2 3
(better remembered as 132 - 123)
Vector Triple Product
Note
Geometrically, is a vector which is perpendicular to
and lies in the plane of and .
Geometrical Significance of the Vector Triple Product
Three Dimensional
Geometry
If vector parallel to a given line makes angles α, β & γ with x,
y & z axis respectively then the triplet (cos ⍺, cos β, cos 𝛾) are
called Direction cosine of line
and are generally denoted by (l, m, n). Z
X
Y
∝
β
𝜸
Note: Clearly,
Direction Cosine
Three numbers a, b, c proportional to DC (l, m, n) are known
as DR. Basically, if line is parallel to a vector
then DR of line are (a, b, c), or better to say DR ∝ (a, b, c)
Direct Ratios
Let be a general point on line
r
a
O
Line through a given point & Parallel to Given Vector
i.e.
pv of general
point on line
pv of given
point on line
Vector parallel
to line
This is parametric from of line
= + λ
Now, that we have equation of line in vector form, we can easily write
it in cartesian form also
Comparing, we get:
Here a, b, c are DR of line. Obviously, few can be zero also.
Remark:
Many times we will be required to assume a point on line. It
plays very critical role many times. So, lets see how to assume
a point on line & few examples on it
Assuming a Point on Line
A general point on this line is assumed as : ( x1 + aλ, y1 + bλ, z1 + cλ)
Eg: General point on
(a) is taken as (1 + λ, 2 - λ, 3 + 2λ)
(b) is taken as(1 + λ, -1, 2 + 3λ)
Consider a Line:
For skew line: For parallel line:
Shortest Distance Between Two Line is:
A( a )
R( r )
a
r
O
n
Plane through a fixed point & normal to a given vector:
Let be a general point on plane
This is the required vector form of plane
In particular if we use instead of then equation is
called normal form of plane.
Here is perpendicular distance of plane from origin
Remark:
Equations of Plane
For cartesian form: Let A & R be (x1, y1, z1,) & (x, y, z) respectively & DR
of be (a, b, c), then
Note:
In cartesian equation of plane the coefficients of x, y & z are DR of
⇒ ax + by + cz = ax1 + by1 + cz1
I.e. ax + by + cz + d = 0
General equation of a plane
a( x - x1 ) + b( y - y1 ) + c( z - z1 ) = 0
Equation of plane through (x1, y1, z1) &
having (a, b, c) as DR of normal vector
A ( a )
Equation of plane passing through & parallel to non-collinear
vectors
Equation of plane passing through three points:
A ( a )
Equation of plane having x, y, & z intercepts as a, b & c
respectively is:
Intercept form:
Similar to family of lines in 2-D ( i.e. L1 + λL2 = 0 ) we have a
family of planes in 3D.
Any plane through line of intersection of P1 : a1x + b1y + c1z + d1
= 0 & P2 : a2x + b2y + c2z + d2 = 0 is of the form P1 + λP2 = 0 .
Remark:
Angle between two planes:
Angle between a plane and line:
Some Formulae
Distance of a point from plane, distance between two
parallel planes, foot of perpendicular, image of a point in
plane, bisector of acute and obtuse angle between two
planes all are generalisation of 2-D results for straight lines
Remark
(1) Distance of (x1, y1, z1) from ax + by + cz + d = 0
(2) Distance between two parallel planes
ax + by + cz + d1 = 0 and ax + by + cz + d2 = 0
M (x, y,
z)
P (x1, y1, z1)
ax + by + cz + d1 = 0
ax + by + cz + d2 = 0
(4) Image of a point (x1, y1, z1) in (ax + by + cz + d = 0)
(3) Foot of perpendicular of (x1, y1, z1) on ax + by + cz + d = 0
(5) Ratio in which plane ax + by + cz + d = 0 divides join of A and B
ax + by + cz + d = 0
(x2, y2, z2 )
B
Probability
Recall
(a) P( A ∪ B) = P(A) + P(B) - P(A ∩ B)
(b) P(A ∪ B ∪ C) = P(A) + P(B) + P(C) - P(A ∩ B) - P(B ∩ C) - P(C ∩ A)
+ P(A ∩ B ∩ C)
(a) P(Ac) = 1 - P(A)
(b) P(Ac ∩ Bc) = 1 - P(A ∪ B)
Remark
As we use Venn diagram for cardinality problems of sets, same way
Venn diagrams are used here in probability problems.
Probability of occurrence of event A given that event B has
already occurred is known as conditional probability.
Conditional Probability
Probability of occurrence of event A given that event B
has already occurred is known as conditional probability.
a c b
d
B
A
This is called multiplication theorem.
General:
Note: Multiplication theorem comes into play when order
matters.
Multiplication Theorem
Two events are independent if
Therefore two events are independent if
P(A ∩ B) = P(A) × P(B)
Note: If A & B are independent events then so are
Independent Events
E1
E2
E3
A
Total Probability Law
Remark:
Whenever the outcome of an experiment is given &
probability of it being occurring through a particular path is
asked, then Baye’s theorem is applied. Paths are denoted
by Ei’s & outcome is denoted by A.
Baye’s Theorem
Random Variable:
Let S be the sample space associated with given experiment.
The real valued function ‘X’ whose domain is S is called a
random variable.
Probability Distribution Function:
If a random variable takes value x1, x2, …., xn with respective
probabilities P1, P2, …., Pn. Then
is called Probability Distribution Function of ‘x’.
Random Variable and its Probability Distribution
Remark
(a) Mean (or Expectation) of X i.e.
Here, Pi = P(X = xi)
(b) Variance of X i.e. V(X) = E(X2) - (E(X))2
Binomial distribution:
P(X = r) = nCr (p)r (q)n-r, where p + q = 1
Here, X is said to follow binomial distribution with parameters
‘n’ & ‘p’
Result
If X : B(n, p) then:
(a) E(X) = np
(b) V(X) = npq
Last+minute+revision(+Final)+(1) (1).pptx
Last+minute+revision(+Final)+(1) (1).pptx
Last+minute+revision(+Final)+(1) (1).pptx
Last+minute+revision(+Final)+(1) (1).pptx
Last+minute+revision(+Final)+(1) (1).pptx
Last+minute+revision(+Final)+(1) (1).pptx

Last+minute+revision(+Final)+(1) (1).pptx

  • 4.
    In the lastFew Days/Month you need •The most DEDICATED TEAM •DISTRACTION FREE ENVIRONMENT •AN INSTITUTE which has proven track record of producing great results •COMPREHENSIVE CONTENT
  • 9.
  • 10.
    (1) | z| = 0 ⇒ z = 0 (2) (3) | z1 z2| = | z1 | | z2 | ⇒| zn | = | z |n (4) (5) (6) Triangle inequalities (a) | z1 + z2| ≤ | z1 | + | z2 | (b) | z1 - z2| ≥ || z1 | - | z2 || Properties of Modulus Properties of Argument
  • 12.
    Note for argument(or amplitude): ● If θ is argument of z then 2n𝜋 + θ ; where n is integer, is also an argument ● The value of argument which lies in (-𝜋, 𝜋] is called principal value of argument or amplitude . ● Argument of purely imaginary number is ● Argument of purely real number is 0 or 𝜋 ● If z = 0 then arg(z) is not defined.
  • 13.
    Polar form Z =r (cos θ + i sin θ) Euler form Z = reiθ Representation of Complex Number in Polar and Euler Form Z = x + i y Note: If we know |z| & arg(z) then we can write z Euler’s form is very efficient in handling big and bad powers of a complex number
  • 15.
    Consider, z3 =1 Roots of this equation are called cube roots of unity. z3 = 1 z3 - 1 = 0 (z - 1) (z2 + z + 1) = 0 Cube Roots of Unity
  • 16.
    Note: Roots of z2+ z + 1 = 0 are 𝜔 & 𝜔2 and roots of z2 - z + 1 = 0 are -𝜔 & -𝜔2 1. 𝜔3 = 1 2. 1 + 𝜔 + 𝜔2 = 0 3. 𝜔3k + 𝜔3k+1 + 𝜔3k+2 = 0; k ∊ z 4. z3 - 1 = (z - 1) (z - 𝜔) (z - 𝜔2) Properties of ω
  • 17.
    Geometrical interpretation ofModulus |z1| ⟶ distance of z1 from origin. |z2 - z1|⟶ distance between z1 & z2
  • 18.
  • 19.
    Sequence AP GP an =a + (n - 1) d an = arn - 1 OR
  • 20.
    Key Points forAP 1. Common terms of two AP’s, form an AP. 2. If a1, a2, a3 ➝ AP, then (i) ka1, ka2, ka3 ➝ AP & (ii) a1 ± k, a2 ± k, a3 ± k ➝ AP 3. Sum of the terms equidistant from beginning & end is same 4. Assuming terms: 3 terms ➝ 4 terms ➝ 5 terms ➝ Note: 1. nth odd number is 2n-1 2. Sum of first n odd numbers is n2
  • 21.
    Key Points forGP 1. If a1, a2, a3 ➝ GP, then for k ≠ 0 (i) ka1, ka2, ka3 ➝ GP (ii) (a1)k, (a2)k, (a3)k ➝ GP 2. If a, b, c, d ➝ GP, then a ± b, b ± c, c ± d ➝ GP 3. Product of terms equidistant from beginning and end is same 4. Assuming terms: 3 terms ➝ 4 terms ➝ 5 terms ➝
  • 22.
    Arithmetic Mean Arithmetic Mean AMof Numbers AM’s between two numbers 1) ‘A1’ is called one AM between a & b if a, A1, b ➝ AP 2) A1 & A2 are called two AM’s between a & b if a, A1, A2, b ➝ AP
  • 23.
    GM’s between twonumbers 1) G1 is called one GM between a & b if a, G1, b ➝ GP 2) G1, G2 are called two GM’s between a & b if a, G1, G2, b ➝ GP Geometric Mean Geometric Mean GM of Numbers (+ve numbers)
  • 24.
    Sequence of thefollowing form is called A.G.P. a , (a + d) r , (a + 2d) r2 , . . . , (a+(n - 1)d) rn-1 Eg: (a) 1 , 3x , 5x2 , 7x3 , . . . (b) 1 , 40 , 700 , 10000 , . . . Arithmetic - Geometric Progression
  • 25.
    (observe that equalityholds if a’s are equal) For any given +ve numbers: Relation Between AM and GM AM ≥ GM AM = GM; if all the terms are equal. AM > GM; otherwise
  • 26.
    Note: 3 Hints touse AM ≥ GM (1) If min value of some expression is asked (2) Terms involved in expression are +ve. (3) Product of terms involved in expression is good.
  • 27.
  • 28.
  • 29.
  • 30.
    1. Sine ofsupplementary angles are same. 2. Cosines of supplementary angles are negative of each other. 3. sin(-θ) = -sinθ and cos(-θ) = cosθ Remarks
  • 31.
    Compound Angles 1. sin(A+ B) = sinA cosB + cosA sinB 2. sin(A - B) = sinA cosB - cosA sinB 3. cos(A + B) = cosA cosB - sinA sinB 4. cos(A - B) = cosA cosB + sinA sinB
  • 32.
  • 33.
    Remark 1. sin 2θand cos 2θ can be expressed in terms of tanθ as 2. sin(A + B) × sin(A - B) = sin2A - sin2B cos(A + B) × cos(A - B) = cos2A - sin2B = cos2B - sin2A
  • 34.
    List of mostcommonly used formulae and expressions.
  • 35.
    a sin θ+ b cos θ Expressing in terms of cosine only. Expressing in terms of sine only.
  • 36.
    Transformation of productinto sum and difference 2 sin A cos B = sin(A + B) + sin(A - B) 2 cos A sin B = sin(A + B) - sin(A - B) 2 cos A cos B = cos(A + B) + cos(A - B) 2 sin A sin B = cos(A - B) - cos(A + B) Transformation Formulae
  • 37.
    Transformation of sumand difference into product Transformation Formulae
  • 38.
    1. sin(a) +sin(a + d) + sin(a + 2d) +...+ sin(a + (n - 1)d) 2. cos(a) + cos(a + d) + cos(a + 2d) +...+ cos(a +(n - 1)d) Result 3.
  • 39.
    If A +B + C = 𝜋, then : (a) sin2A + sin2B + sin2C = 4sinA sinB sinC (b) cos2A + cos2B + cos2C = -1 -4 cosA cosB cosC (d) tanA + tanB + tanC = tanA tanB tanC Result :
  • 41.
    Trigonometric Equations (a) sinθ= 0 ⇒ θ = (b) cosθ = 0 ⇒ θ = (c) cosθ = 1 ⇒ θ = (d) cosθ = -1 ⇒ θ =
  • 42.
    Trigonometric Equations Results (a) (i)sinθ = sin⍺ ⇒ θ = n𝜋 + (-1)n ⍺ (ii) cosθ = cos⍺ ⇒ θ = 2n𝜋 ± ⍺ (iii) tanθ = tan⍺ ⇒ θ = n𝜋 + ⍺ (b) (i) sin2θ = sin2⍺ (ii) cos2θ = cos2⍺ ⇒ θ = n𝜋 ± ⍺ (iii) tan2θ = tan2⍺
  • 43.
  • 44.
  • 45.
    Composition of trigonometricand its inverse function 1. Domain (i.e., it’s always true) 2. only if principal domain
  • 46.
    Result 1: Inversetrigonometric function at ‘-x’
  • 47.
    Result 2: ITFof Complementary Functions
  • 48.
    Result 3: Inversetrigonometric functions at ‘ ’
  • 49.
    ITF in termsof each other Let us define, inverse trigonometric functions using right angled Triangle.
  • 50.
    Sum & Differenceof ITF Note:
  • 51.
  • 52.
    Results: under some goodcondition under some good condition under some good condition under some good condition Note These good conditions are not required rather these formula also are of least importance.
  • 53.
  • 54.
    Results (a) nCr +nCr+1 = n+1Cr+1 (c) nCx = nCy ⇒ x = y or x + y = n
  • 55.
    There are twoparticular cases which are used very frequently. (a) (1 + x)n = nC0 + nC1x + nC2x2 +....+ nCnxn (b) (1 - x)n = nC0 - nC1x + nC2x2 - nC3x3 +....+ (-1)n nCnxn (1) (1 + x)n -1 is divisible by x (1) (1 + x)n -1 - nx is divisible by x2 Note:
  • 56.
    (x + y)n= nC0xn + nC1xn-1y +….+ nCn-1xyn-1 + nCnyn General term, Tk+1 = nCkxn-kyk General Term of Binomial Expansion Binomial Theorem for any Index Let ‘n’ be a rational number & ‘x’ be a real number such that |x| < 1, then:
  • 57.
    Some special cases: (a)(1 + x)−1 = 1 − x + x2 − x3 +...+ (-1)r xr +... (b) (1 − x)−1 = 1 + x + x2 + x3 +...+ xr +... (c) (1 + x)−2 = 1 − 2x + 3x2 − 4x3 +... (d) (1 − x)−2 = 1 + 2x + 3x2 + 4x3 +...
  • 58.
    Result (1) nC0 +nC1 + nC2 +...+ nCn = 2n (2) nC0 + nC2 + nC4 +... = nC1 + nC3 + nC5 +...
  • 59.
  • 60.
    Primarily chapter PnCis all about: (1) Selection (2) Selection and arrangement (3) Distribution
  • 61.
    Various varieties ofselections 1. Selecting number of objects required 2. Selecting such that few particular objects are included or excluded in selection. 3. Geometrical countings. 4. Total selections
  • 62.
    Eg Arrangement of alikeobjects Number of ways of arranging p elements in a row if out of ‘p’ objects ‘m’ are alike & ‘n’ are alike & rest are distinct, is given by
  • 63.
    While distributing thedistinct objects, always see the number of options that a given object to be distributed has Remark: Number of ways to distributing ‘n’ distinct objects among ‘m’ persons is mn Result: Distribution of Distinct Objects
  • 64.
    Distribution of alikeobjects: Result: No. of ways of distributing n identical objects among r persons is
  • 65.
  • 66.
    Centroid It is thepoint of concurrence of the medians of a triangle. F E D G A (x1, y1) C (x3, y3) B (x2, y2)
  • 67.
    Incentre It is thepoint of concurrence of the internal angle bisectors of a triangle. c b a I A (x1, y1) C (x3, y3) B (x2, y2)
  • 68.
    Orthocentre It is thepoint of concurrence of the altitudes of a triangle. H A (x1, y1) B (x2, y2) C (x3, y3) E F D
  • 69.
    Circumcentre It is thepoint of concurrence of the perpendicular bisector of the sides of a triangle. A B C O E D F (x3, y3) (x, y) (x1, y1) (x2, y2)
  • 70.
    In any scalenetriangle, Note : Result G H O In an equilateral triangle, G, I, O and H, all coincide.
  • 71.
    Angle between twoLines where θ is the acute angle between the two lines
  • 72.
    Some Formulae Distance ofa Point from a Line Special case : Distance of origin from is (x1, y1) eg : Distance of (1, 2) from 3x - 4y + 2 = 0 is .
  • 73.
    Distance between twoParallel Lines Eg : Distance between x + y + 2 = 0 and x + y + 4 = 0 is
  • 74.
    Foot of Perpendicularfrom a Point to a Line (x1, y1) Eg : Foot of perpendicular of (2, 3) on x + 2y - 1 = 0 is given by
  • 75.
    Image of aPoint in a Line (x1, y1)
  • 76.
    Note Any line throughintersection point of L1 = 0 and L2 = 0 (that is a member of their family) has equation of the form Given any two lines L1 = 0 and L2 = 0, all the lines passing through their point of intersection constitutes family of lines of L1 = 0 and L2 = 0. Family of Lines
  • 77.
  • 78.
    Some Basic GeometricalResults (a) Perpendicular from the centre to a chord of the circle bisects the chord or we may say, perpendicular bisector of chord, passes through the centre of the circle.
  • 79.
    Some Basic GeometricalResults (b) Secant theorem (i) (ii) T P A A’ B’ B B B’ A’ A P P B A PA × PB = PA × PB PA × PB = PT2
  • 80.
    (x - x1)2+ (y - y1)2 = r2 Centre : (x1, y1) Radius : r x2 + y2 + 2gx + 2fy + c = 0 Centre : (-g, -f) Radius : Note: Diametric form : (x - α1)(x - α2) + (y - β1)(y - β2) = 0 where (α1, β1) & (α2, β2) are endpoints of diameter Equations of a Circle
  • 81.
    1. Circle touchingX - axis 2. Circle touching Y - axis X (a, 0) Y (0, b) Some Special Circles
  • 82.
    5. Circle touchingboth axes X Y X Y O O (0, 2b) (2a, 0) X Y O 6. Circle passing through origin and cutting both axes
  • 83.
    r Whenever a circlemakes an intercept on a line, always refer to this figure. AB is the intercept made by circle on the line y = mx + c A y = mx + c Intercepts made by a Circle
  • 84.
    A B Y Intercepts made bya Circle on axes (1) Intercept made by x2 + y2 + 2gx + 2fy + c = 0 on the X - axis. A B X (2) Intercept made by x2 + y2 + 2gx + 2fy + c = 0 on the Y - axis.
  • 85.
    As of now,that we are doing circles, so we have (1) S ≡ x2 + y2 + 2gx + 2fy + c Some Standard Notations (2) For a point (x1, y1) : Value of S at (x1, y1) is represented by S1 , that is S1 = x1 2 + y1 2 + 2gx1 + 2fy1 + c (3) For a point (x1, y1): If we replace in S, then we get T, that is T
  • 86.
    Find distance ‘d’of centre of circle from given line d < r line cuts circle d = r line is tangential to circle d > r line does not meet circle Position of a Line with respect to a Circle
  • 87.
    Slope form Tangentat a Point on a Circle Parametric form slope = m (x1, y1) P(θ) Various Equations of Tangents of a Circle T = 0 T = 0
  • 88.
    Equations of tangentsto x2 + y2 = r2, having slope m, are given by . Result Note: Equations of tangents to (x − x1)2 + (y − y1)2 = r2, with slope m, are given by
  • 89.
    (1) (2) (3) ⇒ ⇒ ⇒ 4 common tangents 3common tangents 2 common tangents (4) (5) ⇒ ⇒ 1 common tangent 0 common tangents Number of Common tangents
  • 90.
    S + 𝜆L= 0 (1) S = 0 L = 0 Family of Circles (2) S = 0 S’ = 0 Note: S - S’ = 0 is the equation of common chord
  • 91.
    L = 0 A(x1, y1) (3) Family of circles tangent to a given line L=0 at a given point A (x1, y1) : (x − x1)2 + (y − y1)2 + 𝜆L = 0
  • 92.
    (2) Equation ofchord with given midpoint P(x1, y1) (1) Equation of CoC (chord of contact) with respect to P(x1, y1) P (x1, y1) Its equation is given by T = 0 S = 0 P (x1, y1) Its equation given by T = S1 S = 0 Chords of a Circle
  • 93.
    Result : Lengthof CoC (chord of contact) with respect to P(x1, y1) Length of chord of contact T1 T2 = Chords of a Circle
  • 94.
    r1 C2 d r2 C1 Two circles intersecteach other orthogonally if Or 2 g1 g2 + 2 f1 f2 = c1 + c2 Condition for orthogonality
  • 95.
  • 96.
    Remark Depending upon thevalue of e, we get different conics. (i) e = 1 gives parabola (ii) e > 1 gives hyperbola (iii) 0 < e < 1 gives ellipse
  • 97.
    Given a generalsecond degree equation in x and y, it represents a pair of lines or different conics depending upon the coefficients. Consider the equation ax2 + 2hxy + by2 + 2gx + 2fy + c = 0 … (A) 1. Δ = 0 ⇒ equation (A) represents a pair of lines. 2. Δ ≠ 0 (i) and h2 − ab < 0 ⇒ equation (A) represents an ellipse. (ii) and h2 − ab = 0 ⇒ equation (A) represents a parabola. (iii) and h2 − ab > 0 ⇒ equation (A) represents a hyperbola. Identifying the Conic
  • 98.
    x = −a LR= 4a X Y O Z (−a, 0) S (a, 0) S (−a, 0) x = a LR = 4a X Y O Z (a, 0) (1) y2 = 4ax (2) y2 = −4ax Standard Parabolas having vertex at origin. (3) x2 = 4ay (4) x2 = −4ay LR = 4a y = −a X Y O Z (0, −a) y = a LR = 4a X Y S (0, −a) Z (0, a) O
  • 99.
    Standard ellipses havingcentre at origin A(a, 0) S’(-ae, 0) B(0, b) S(ae, 0) A’(-a, 0) O
  • 101.
    Y X O Z Z’ Standard hyperbolas havingcentre at origin B’(0, -b) S’(-ae, o) B(0, b) A(a, 0) A’(-a, 0) S(ae, 0)
  • 103.
    Two hyperbolas, suchthat the transverse and conjugate axes of one, are the conjugate and transverse axes of the other, respectively, are called conjugate hyperbolas. Conjugate Hyperbolas Result If e1 and e2 are the eccentricities of two conjugate hyperbolas, then
  • 104.
    If a =b, that is lengths of transverse and conjugate axes are equal, then the hyperbola is called rectangular or equilateral. Eg. The hyperbola x2 − y2 = a2 is a rectangular hyperbola. Rectangular Hyperbola Remark 1. Eccentricity of an equilateral hyperbola is always . 2. ax2 + 2hxy + by2 + 2gx + 2fy + c = 0 represents a rectangular hyperbola if Δ ≠ 0 and a + b = 0.
  • 105.
    (1) y2 =4ax ⇒ (at2, 2at) (2) x2 = 4ay ⇒ (2at, at2) (3) (y − k)2 = 4a(x − h) ⇒ (h + at2, k + 2at) (4) (x − h)2 = 4a(y − k) ⇒ (h + 2at, k + at2) Parametric forms of Conics
  • 106.
    General Method Solve linewith conic to get a quadratic equation. D > 0 ⇒ line cuts the conics D = 0 ⇒ line is tangent to conics D < 0 ⇒ line does not meet conics Position of a Line with respect to a Conic
  • 107.
    Various equations oftangents to y2 = 4ax Slope form Tangent at a point Parametric form Y X O y2 = 4ax Y X O P(t) y2 = 4ax T = 0 ⇒ ty = x + at2 slope = m Y X O (x1, y1) y2 = 4ax T = 0 Equations of Tangents of a Conic
  • 108.
    Note (1) Slope oftangent to y2 = 4ax at P(t) is (2) Parametric tangent of x2 = 4ay can be obtained by interchanging x and y in corresponding formula for y2 = 4ax. It does not happen in equation of tangent having given slope m. Equations of Tangents of a Parabola ty = x + at2
  • 109.
    Note (3) Point ofintersection of tangents to y2 = 4ax at P(t1) and Q(t2) is (a t1 t2, a(t1 + t2)) (at1t2, a(t1 + t2)) P(t1) Q(t2) Equations of Tangents of a Parabola
  • 110.
    For Hyperbola : Slopeform Equations of Tangents of an Ellipse and Hyperbola Hence, tangent of slope m is given by For Ellipse : Tangent is For Hyperbola : Tangent is
  • 111.
    Focal Chord Any chordpassing through the focus of a conic is called a focal chord. We should be remembering some results related to focal chords of parabola. Focal Chords
  • 112.
    Result (1) For y2= 4ax, if P(t1) and Q(t2) are the endpoints of a focal chord then t1t2 = − 1. (2) Tangents at endpoints of a focal chord are perpendicular and hence intersect on directrix. (3) Length of a focal chord of y2 = 4ax, making an angle α with the X-axis, is 4a cosec2 α.
  • 113.
    For parabola y2= 4ax: Normal at P(t) is given by y + tx = 2at + at3 Normal having given slope ‘m’ is given by y = mx − 2am − am3
  • 114.
    Equation of normalat P(x1, y1) on P(x1, y1) Equations of Normals of an Ellipse
  • 115.
    Equation of normalat P(x1, y1) on Equations of Normals of a Hyperbola
  • 116.
    The formulae forthe equation of the chord of contact and a chord with given midpoint remain the same for all conics, that is Chord of Contact : T = 0 Chord with given mid point : T = S1 Chords of a Conic
  • 117.
  • 118.
  • 119.
    We have indeterminateforms, (Here 0 is denoting a function tending to zero, similarly ∞ & 1 are denoting functions tending to ∞ & 1 respectively). Methods for Evaluating Limits
  • 120.
    (a) L HospitalRule: (b) Factorization Method: (c) Rationalization Method: This is normally used when either numerator or denominator or both involve square roots. (d) Method of evaluating algebraic limit when x tends to infinity Just take biggest terms in numerator & denominator common (e) Trigonometric limits: We have standard results
  • 121.
    (f) Logarithmic limits: Wehave standard result (g) Exponential limits: We have standard result (h) Form (1)∞ We have standard result
  • 122.
    Method of EvaluatingAlgebraic Limit When x ➝ ∞ or − ∞ Just take biggest terms in numerator & denominator common
  • 123.
  • 124.
  • 125.
  • 126.
  • 127.
    Form (1)∞ Result where f(x)➝ 0 & g(x) ➝ ∞ when x ➝ a
  • 128.
  • 129.
  • 130.
    Whenever the functionunder consideration has one of the following traits, always check RHL & LHL for existence of limit. (a) It has , [.], {.} or mod (b) Its piecewise defined (c) It has and Note:
  • 131.
    Try to observe (a)is ______; here [.] ⟶ GIF (b) is ______; here [.] ⟶ GIF (c) is ______; here [.] ⟶ GIF (d) is ______; here {.} ⟶ FPF
  • 132.
    A function issaid to be continuous at x = a In simple words limit at x = a is f(a). Continuity at a point Normally, we have 2 varieties: (1) Function is given, and we need to check continuity. (2) Function is given to be continuous and we need to find some constant(s).
  • 133.
    Now, let metell you the simplest way of checking continuity of composite functions.
  • 134.
    then check continuityfog(x) at x = 2 Q
  • 135.
    then check continuityfog(x) at x = 2 Q Solution :
  • 136.
  • 137.
  • 138.
    We need tostudy Equation of tangent and normal having given slope Equation of tangent and normal at a given point on the curve Equation of tangent and normal through external point. Tangents and Normals
  • 139.
    m1 = f’(x1) m2= g’(x1) Where (x1, y1) is point of intersection of two curves ⇒ Condition of orthogonality: m1m2 = -1 Angle of Intersection between two curves
  • 140.
    PT = Lengthof tangent PN = Length of normal TG = Length of subtangent GN = Length of subnormal = |y1 m| Where, θ P(x1, y1) T G N Length of tangent, normal, subtangent and subnormal
  • 141.
    Mean value Theorems Rolle’stheorem If y = f(x) is a function such that: (i) its continuous in [a, b] (ii) its differentiable in (a, b) (iii) f(a) = f(b) then there exists c ∈ (a, b) such that f’(c) = 0 i.e., f’(x) = 0 has at least one root in (a, b)
  • 142.
    Lagrange Mean valuetheorem If a function y = f(x) satisfies (i) f(x) is continuous in [a, b] (ii) f(x) is differentiable in (a, b) Then there exist such that
  • 143.
    Definition: f(x) is saidto be strictly increasing over an interval [a, b] if: x2 > x1 ⇒ f(x2) > f(x1), ∀ x1, x2 ∈ [a, b] While it is said to be increasing (or non-decreasing) if: x2 > x1 ⇒ f(x2) ≥ f(x1), ∀ x1, x2 ∈ [a, b] Increasing and Decreasing functions
  • 144.
    For a differentiablefunction: (1) f’(x) ≥ 0 ⇒ f(x) is strictly increasing (provided the points for which f’ (x) = 0 do not form an interval) (2) f’(x) ≤ 0 ⇒ f(x) is strictly decreasing (provided the points for which f’(x) = 0 do not form an interval) Interval of Increase and Decrease
  • 145.
    Note: (i) f(x) ismonotonic in [a, c] (ii) f(x) is not monotonic in [a, b] (iii) f(x) is monotonic in [c, b] (iv) f(x) is not monotonic in neighbourhood of x = c
  • 146.
    This chapter isall about: (1) Local maxima (2) Local minima (3) Global maxima (4) Global minima Maxima and Minima
  • 147.
    It is collectionof points where either f’ (x) = 0 or f’ (x) fails to exist Note: It is to be noted that critical points are the interior points of an interval. Critical points are contenders for giving maxima and minima. Critical Points
  • 148.
    For a continuousfunction: (a) If f’(x) changes sign about a critical point, then we have maxima or minima there. (b) If f’ (x) does not change sign about a critical point, then function does not have maxima or minima there. First Derivative Test
  • 149.
    If f’(x) =0 at x = a, then (1) f”(a) > 0 ⇒ f(x) has local minima at x = a (2) f”(a) < 0 ⇒ f(x) has local maxima at x = a Remark If f’(a) = 0 and also f”(a) = 0 then Double Derivative Test is inconclusive. Double Derivative Test
  • 150.
  • 151.
    If our integralis in the form: Then we put, g(x) = t ⇒ g’(x)dx = dt Remark Integration by Substitution
  • 152.
    Some special casesof substitution
  • 153.
  • 154.
    Some standard algebraicformats: Format 1: Working strategy: Just complete the square in denominator Format 2: Working strategy: Create derivative of quadratic, in the numerator,
  • 155.
    Remark: Whenever deg(Nr)≥ deg (Dr) we use above strategy Format 3: Working strategy: Use division algorithm to write P(x) in terms of ax2 + bx + c
  • 156.
    Partial fractions :In a proper fraction we can represent
  • 157.
    Choosing first andsecond function: Take that function as first function which comes first in ILATE. Integration by Parts
  • 158.
    Remark: Basically, function whoseintegration is easy, is taken as second function. If integrand contains only one function which cannot be integrated directly (eg: ln x, sin-1 x etc) then we take second function as “1” and try “By Parts” Now lets see classic integral, which is very important
  • 159.
    Second Fundamental Theoremof Calculus Let f (x) be a continuous function defined in [a, b] If F(x) is an anti-derivative or primitive of f (x), then This is called the Second Fundamental Theorem of Calculus. Remark If f(x) is discontinuous at x = c, where a < c < b, then, we have to write
  • 160.
  • 162.
    Remark (a) If f(UL − x) = f (x) or − f (x) , then we use prop (6) (b) If f (UL − x) is something else, then we try using Prop (4) For eg:
  • 163.
    Definite Integration ofPeriodic Functions 1. where T is the period of the function and n ∈ I, (i.e., f(x + T) = f(x)). 2. 3. where T is the period of the function and m, n ∈ I. 4. where T is the period of the function and n ∈ I.
  • 164.
  • 165.
  • 166.
    Clearly, the anglebetween is given by Cos Dot Product of Two Vectors
  • 167.
    Notes: (a) are perpendicularto each other (b) (c) (d) Dot Product of Two Vectors
  • 168.
    Let’s look atthe projection of a vector along another vector. Note is called projection vector (or component vector) of along Geometrical Significance of the Dot Product
  • 169.
    Remark: If are anythree mutually perpendicular vectors then Any vector can be expressed as
  • 170.
    Cross Product ofTwo Vectors
  • 171.
    Remarks Properties of CrossProduct Cross Product of Two Vectors
  • 172.
    There are twokinds of triple products, namely (1) Scalar triple product (2) Vector triple product Triple Products
  • 173.
    Scalar Triple Product(Box Product)
  • 174.
    Properties of BoxProduct Remarks Result
  • 175.
    The magnitude ofgives the volume of the parallelepiped whose coinitial edges are Geometrical Significance of the Box Product Remark The magnitude of gives the volume of the tetrahedron whose coinitial edges are
  • 176.
    For three vectorsare called vector triple products. Theorem 1 2 3 1 3 2 1 2 3 (better remembered as 132 - 123) Vector Triple Product
  • 177.
    Note Geometrically, is avector which is perpendicular to and lies in the plane of and . Geometrical Significance of the Vector Triple Product
  • 178.
  • 179.
    If vector parallelto a given line makes angles α, β & γ with x, y & z axis respectively then the triplet (cos ⍺, cos β, cos 𝛾) are called Direction cosine of line and are generally denoted by (l, m, n). Z X Y ∝ β 𝜸 Note: Clearly, Direction Cosine
  • 180.
    Three numbers a,b, c proportional to DC (l, m, n) are known as DR. Basically, if line is parallel to a vector then DR of line are (a, b, c), or better to say DR ∝ (a, b, c) Direct Ratios
  • 181.
    Let be ageneral point on line r a O Line through a given point & Parallel to Given Vector i.e. pv of general point on line pv of given point on line Vector parallel to line This is parametric from of line = + λ
  • 182.
    Now, that wehave equation of line in vector form, we can easily write it in cartesian form also Comparing, we get: Here a, b, c are DR of line. Obviously, few can be zero also. Remark:
  • 183.
    Many times wewill be required to assume a point on line. It plays very critical role many times. So, lets see how to assume a point on line & few examples on it Assuming a Point on Line
  • 184.
    A general pointon this line is assumed as : ( x1 + aλ, y1 + bλ, z1 + cλ) Eg: General point on (a) is taken as (1 + λ, 2 - λ, 3 + 2λ) (b) is taken as(1 + λ, -1, 2 + 3λ) Consider a Line:
  • 185.
    For skew line:For parallel line: Shortest Distance Between Two Line is:
  • 186.
    A( a ) R(r ) a r O n Plane through a fixed point & normal to a given vector: Let be a general point on plane This is the required vector form of plane In particular if we use instead of then equation is called normal form of plane. Here is perpendicular distance of plane from origin Remark: Equations of Plane
  • 187.
    For cartesian form:Let A & R be (x1, y1, z1,) & (x, y, z) respectively & DR of be (a, b, c), then Note: In cartesian equation of plane the coefficients of x, y & z are DR of ⇒ ax + by + cz = ax1 + by1 + cz1 I.e. ax + by + cz + d = 0 General equation of a plane a( x - x1 ) + b( y - y1 ) + c( z - z1 ) = 0 Equation of plane through (x1, y1, z1) & having (a, b, c) as DR of normal vector
  • 188.
    A ( a) Equation of plane passing through & parallel to non-collinear vectors
  • 189.
    Equation of planepassing through three points: A ( a )
  • 190.
    Equation of planehaving x, y, & z intercepts as a, b & c respectively is: Intercept form: Similar to family of lines in 2-D ( i.e. L1 + λL2 = 0 ) we have a family of planes in 3D. Any plane through line of intersection of P1 : a1x + b1y + c1z + d1 = 0 & P2 : a2x + b2y + c2z + d2 = 0 is of the form P1 + λP2 = 0 . Remark:
  • 191.
    Angle between twoplanes: Angle between a plane and line: Some Formulae
  • 192.
    Distance of apoint from plane, distance between two parallel planes, foot of perpendicular, image of a point in plane, bisector of acute and obtuse angle between two planes all are generalisation of 2-D results for straight lines Remark
  • 193.
    (1) Distance of(x1, y1, z1) from ax + by + cz + d = 0 (2) Distance between two parallel planes ax + by + cz + d1 = 0 and ax + by + cz + d2 = 0 M (x, y, z) P (x1, y1, z1) ax + by + cz + d1 = 0 ax + by + cz + d2 = 0
  • 194.
    (4) Image ofa point (x1, y1, z1) in (ax + by + cz + d = 0) (3) Foot of perpendicular of (x1, y1, z1) on ax + by + cz + d = 0
  • 195.
    (5) Ratio inwhich plane ax + by + cz + d = 0 divides join of A and B ax + by + cz + d = 0 (x2, y2, z2 ) B
  • 196.
  • 197.
    Recall (a) P( A∪ B) = P(A) + P(B) - P(A ∩ B) (b) P(A ∪ B ∪ C) = P(A) + P(B) + P(C) - P(A ∩ B) - P(B ∩ C) - P(C ∩ A) + P(A ∩ B ∩ C) (a) P(Ac) = 1 - P(A) (b) P(Ac ∩ Bc) = 1 - P(A ∪ B) Remark As we use Venn diagram for cardinality problems of sets, same way Venn diagrams are used here in probability problems.
  • 198.
    Probability of occurrenceof event A given that event B has already occurred is known as conditional probability. Conditional Probability
  • 199.
    Probability of occurrenceof event A given that event B has already occurred is known as conditional probability. a c b d B A
  • 200.
    This is calledmultiplication theorem. General: Note: Multiplication theorem comes into play when order matters. Multiplication Theorem
  • 201.
    Two events areindependent if Therefore two events are independent if P(A ∩ B) = P(A) × P(B) Note: If A & B are independent events then so are Independent Events
  • 202.
  • 203.
    Remark: Whenever the outcomeof an experiment is given & probability of it being occurring through a particular path is asked, then Baye’s theorem is applied. Paths are denoted by Ei’s & outcome is denoted by A. Baye’s Theorem
  • 204.
    Random Variable: Let Sbe the sample space associated with given experiment. The real valued function ‘X’ whose domain is S is called a random variable. Probability Distribution Function: If a random variable takes value x1, x2, …., xn with respective probabilities P1, P2, …., Pn. Then is called Probability Distribution Function of ‘x’. Random Variable and its Probability Distribution
  • 205.
    Remark (a) Mean (orExpectation) of X i.e. Here, Pi = P(X = xi) (b) Variance of X i.e. V(X) = E(X2) - (E(X))2
  • 206.
    Binomial distribution: P(X =r) = nCr (p)r (q)n-r, where p + q = 1 Here, X is said to follow binomial distribution with parameters ‘n’ & ‘p’ Result If X : B(n, p) then: (a) E(X) = np (b) V(X) = npq

Editor's Notes

  • #31 ………………………………………………………………………………………
  • #32 ………………………………………………………………………………………
  • #33 ………………………………………………………………………………………
  • #34 ………………………………………………………………………………………
  • #35 ………………………………………………………………………………………
  • #36 ………………………………………………………………………………………
  • #37 ………………………………………………………………………………………
  • #38 ………………………………………………………………………………………
  • #39 ………………………………………………………………………………………
  • #40 ………………………………………………………………………………………
  • #67 ………………………………………………………………………………………
  • #68 ………………………………………………………………………………………
  • #69 ………………………………………………………………………………………
  • #70 ………………………………………………………………………………………
  • #71 ………………………………………………………………………………………
  • #72 ………………………………………………………………………………………
  • #73 ………………………………………………………………………………………
  • #74 ………………………………………………………………………………………
  • #75 ………………………………………………………………………………………
  • #76 ………………………………………………………………………………………
  • #192 Here have two diagram
  • #194 daigram