priyam_harsh
https://t.me/harshpriyam
http://vdnt.in/HARSHPRIYAM
Connect Harsh sir @
Session 1 | Sets and
Relations & Functions
● Sets are generally denoted by capital letters A,
B, C, …. etc. and the elements of the set by a, b,
c... etc.
● If a is an element of a set A, then we write a ∈ A
and say a belongs to A.
If a does not belong to A then we write a ∉ A.
● e.g. The collection of first five prime natural
numbers is a set containing the elements 2, 3, 5,
7, 11.
A set is a collection of well defined objects
which are distinct from each other.
SET
SOME IMPORTANT NUMBER SETS:
N Set of all natural numbers
W Set of all whole numbers
Z Set of all Integers
Z+ Set of all +ve integers
Z- Set of all -ve integers
Z0 The set of all non-zero integers
Q The set of all rational numbers.
R The set of all real numbers
R − Q The set of all irrational numbers
In this method a set is described by listing
elements, separated by commas and enclose
then by curly brackets.
ROSTER METHOD
In this case we write down a property or rule p
Which gives us all the element of the set.
SET BUILDER FORM
TYPES OF SETS
Null set or
Empty set
A set having no element in it is
called an Empty set or a null set
or void set it is denoted by 𝜙 or { }.
Singleton A set consisting of a single
element is called a singleton set.
Finite Set A set which has only finite
number of elements is called a
finite set.
Infinite set : A set which has an infinite
number of elements is called an
infinite set.
Equal sets Two sets A and B are said to be
equal if every element of A is a
member of B, and every element
of B is a member of A.
Equivalent
sets
Two finite sets A and B are
equivalent if their number of
elements are same.
NOTE Equal sets always equivalent but
equivalent sets may not be equal.
TYPES OF SETS
OTHER IMPORTANT SETS
Universal
set
A set consisting of all possible
elements which occur in the
discussion is call set and is
denoted by U
Note: All sets are contained in the
universal set
Power set Let A be any set. They set of all
subsets of A is called power set of
A and is denoted by P(A)
Subsets Let A and B be two sets if every
element of A is an element B, then
A is called a subset of B if A is a
subset of B. we write A ⊆ B
OTHER IMPORTANT SETS
Proper
subset
If A is a subset of B and A ≠ B then A
is a proper subset of B. and we write
A ⊂ B
NOTE 1: Every set is a subset of itself i.e. A ⊆
A for all A
2: Empty set 𝜙 is a subset of every set
3: Clearly N ⊂ W ⊂ Z ⊂ Q ⊂ R ⊂ C
4: The total number of subsets of a
finite set containing n elements is 2n
SOME OPERATIONS ON SETS
Union of two
sets
A ∪ B = {x : x ∈ A or x ∈ B}
e.g. A = {1, 2, 3}, B = {2, 3, 4}
then A ∪ B = {1, 2, 3, 4}
Intersection
of two sets
A ⋂ B = {x : x ∈ A and x ∈ B}
e.g. A = {1, 2, 3}, B = {2, 3, 4}
then A ⋂ B = {2, 3}
Difference of
two sets:
A - B = {x : x ∈ A and x ∉ B}e.g. A
= {1, 2, 3}, B = {2, 3, 4}; A - B = {1}
Complement
of a set
A’ = {x : x ∉ A but x ∈ U} = U - A
e.g. U = {1, 2, ….., 10},
NOTE ● (A’)’ = A
● A ⊆ B ⇔ B’ ⊆ A’
SOME OPERATIONS ON SETS
De-Morgan
Laws
(A ∪ B)’ = A’ ⋂ B’
(A ⋂ B)’ = A’ ∪ B’
Distributive
Laws
A ∪ (B ⋂ C) = (A ∪ B) ⋂ (A ∪ C);
A ⋂ (B ∪ C) = (A ⋂ B) ∪ (A ⋂ C)
Commutative
Laws
A ∪ B = B ∪ A ;
A ⋂ B = B ⋂ A
Associative
Laws
(A ∪ B) ∪ C = A ∪ (B ∪ C) ;
(A ⋂ B) ⋂ C = A ⋂ (B ⋂ C)
SOME OPERATIONS ON SETS
Disjoint Sets If A ∩ B = 𝜙, then A, B are
disjoint.
For every set A, A and A’ are
disjoint sets.
Symmetric
Difference of
Sets
A Δ B = (A - B) ⋃ (B - A)
If A and B are any two sets, then
(i) A - B = A ∩ B’
(ii) B - A = B ∩ A’
VENN DIAGRAMS
Image source: Cuemath
VENN DIAGRAMS
Image source: Cuemath
● n(A ⋃ B) = n(A) + n(B) - n(A ⋂ B)
● n(A ⋃ B) = n(A) + n(B) ⇔ A, B are disjoint non-
void sets
● n(A - B) = n(A) - n(A ⋂ B)
i.e. n(A - B) + n(A ⋂ B) = n(A)
● n(A ⋃ B ⋃ C) = n(A) + n(B) + n(C) - n(A ⋂ B) -
n(B ⋂ C) - n(A ⋂ C) + n(A ⋂ B ⋂ C)
Important Results On Number
Of Elements In SETS
Let A and B be two non-empty sets.
The set of all ordered pairs (a, b), where a ∈ A
and b ∈ B, is known as the cartesian product
of sets A and B. It is denoted by A x B.
A x B = {(a, b) : a ∈ A and b ∈ B}
CARTESIAN PRODUCT
● If A and B are finite sets, then
n(A × B) = n(A) × n(B)
● If either A or B is infinite, then A × B is an
infinite set.
No. of Elements in
CARTESIAN PRODUCT
A relation from A to B is a subset of the
cartesian product A × B.
● R is a relation from A to B ⇔ R ⊆ A × B
● R is a relation from A to B ⇔ R ⊆ A × B
RELATION
If n (A) = p and n (B) = q,
Total number of relations from A to B
= Total number of subsets of A × B
= 2pq
The collection of the first elements of all the
ordered pairs of a relation R is known as the
domain of R.
DOMAIN
The collection of the second elements of all
the ordered pairs of a relation R is known as
the range of R.
RANGE
Let A, B be two sets and R be a relation
from A to B.
The inverse of R, denoted by R-1, is a
relation from B to A and is defined as the
following:
R-1 = {(b, a) : (a, b) ∈ R}
Thus, if (a, b) ∈ R ⇔ (b, a) ∈ R-1
INVERSE OF A RELATION
Reflexive A relation R on Set A such that
∀ a ∈ A (a, a) ∈ R
Symmetric For a, b ∈ A
(a, b) ∈ R ⇒ (b, a) ∈ R
Transitive For a, b, c ∈ A
(a, b), (b, c) ∈ R ⇒ (a, c) ∈ R
TYPES OF RELATION
Equivalence Relation
Reflexive Symmetric Transitive
Even if one of them fails, it is not a
Equivalence Relation.
A function ‘f’ from a non-empty set A to a non-
empty set B is a rule or a correspondence under
which: Every element of A is associated with
exactly one element of B.
Notation: f is a function from A to B f : A → B
FUNCTION
● A function is a special relation from A to B
such that : Every element of A is related to
exactly one element of B.
● Number of functions for the mapping f : A → B
will be n(B)n(A)
Let f : A → B be a function. Let a ∊ A.
Then, it is associated to exactly one
element of B, say b. Then, we write b =
f(a)
IMAGE: b is called ‘image of a under f’ or
‘the value of function f at a’.
PREIMAGE: a is the preimage of b under
the function f.
IMAGE & PREIMAGE
Let f : A → B, then the set A is known as
the domain of f .
DOMAIN
Let f : A → B, then the set B is known as
the co-domain of f .
CODOMAIN
Let f : A → B, then the set of all the images of
elements of A under f in B is known as the
range of f .
Range ⊆ codomain
RANGE
SOME STANDARD FUNCTIONS
Rational function
Greatest integer function
Signum function
Exponential function
Logarithmic function
Absolute value function
Constant function
Identity function
Polynomial function
SOME STANDARD FUNCTIONS
Rational function
Greatest integer function
Signum function
Exponential function
Logarithmic function
Absolute value function
Constant function
Identity function
Polynomial function
For two functions f and g
1. Scalar multiplication of a function:
(c f) (x) = cf(x), where c is a scalar.
1. Addition/subtraction of functions
(f ± g)(x) = f(x) ± g(x)
1. Multiplication of functions
(fg)(x) = (gf)(x) = f(x)g(x).
1. Division of functions
ALGEBRA OF FUNCTIONS
ONE-ONE & MANY-ONE FUNCTIONS:
A function f : A → B is said to be one-one
or injective if all elements of A have
difference images in B.
Otherwise it is called many one function.
Mathematically
if f(a) = f(b) ⇒ a = b
TYPES OF FUNCTIONS
ONTO & INTO FUNCTIONS:
A function f(x) from A to B is said to be
onto or surjective function if every
element of B is image of some element
of A. i.e. Range of f(x) = Co-domain of f(x)
BIJECTIVE:
A function f(x) from A to B is said to be
bijective, if it is both one-one & onto.
TYPES OF FUNCTIONS
(a)
(b)
(c)
(d) logba, a, > 0, b > 0, b ≠ 1
(e)
Some of the standard formats
to find the domain
Procedure of finding out range of function
For the function y = f(x)
(a) Express x explicitly in terms of y
(b) Find the possible values for y (like
domain for x)
(c) Eliminate value(s) of y w.r.t. x, if
applicable.
STEPS TO FIND THE RANGE
INVERSE OF A FUNCTION
Corresponding to every bijection,
f : A → B;
There exists another bijection;
g : B → A; defined by g(y) = x
if and only if f(x) = y
g : B → A is called inverse of f : A → B and
is denoted by f-1
Let f : A → B and g : B → C be two
functions. Then the composition of f and
g, denoted by fog, is defined as the
function fog : B → A given by
fog(x)=f(g(x)), ∀ x ⋲ B.
COMPOSITE FUNCTIONS
Image source: Cuemath
● A function f(x) is said to be even
function; if f(-x) = f(x) ∀ x.
● A function f(x) is said to be odd
function; if if f(-x) = - f(x) ∀ x.
Graph of an even function is symmetric
about y -axis.
EVEN-ODD FUNCTION
● A function f(x) is said to be periodic
function, if there exists a positive real
number such that f(x + T) = f(x) ∀x
● Least such value of ‘T’ is called
Fundamental Period of y = f(x).
● Graph of periodic functions, repeats at
fixed lengths of intervals
PERIODIC FUNCTION
Vedantu Results
Actions speak louder than words
Our NEET 2022 Achievers
Our NEET 2022 Achievers
Our NEET 2022 Achievers
1000
Padhai Dumdaar.
Results Shaandar.
Vedantu Students
Qualify NEET 2022
JEE Adv. 2022
V are proud of you,
Deevyanshu!
JEE Adv. 2022
V are proud of you,
Chaitanya!
JEE Adv. 2022
V are proud of you,
Krish!
Our JEE Adv. 2022 Achievers
Our JEE Adv. 2022 Achievers
Our JEE Adv. 2022 Achievers
Our JEE Adv. 2022 Achievers
Our JEE Adv. 2022 Achievers
Q. Let X = {n ∈ N : 1 ≤ n ≤ 50}. If
A = {n ∈ X : n is a multiple of 2} and
B = {n ∈ X : n is a multiple of 7}, then
the number of elements in the smallest
subset of X containing both A and B is _____.
JEE Mains 2021
Q. Let X = {n ∈ N : 1 ≤ n ≤ 50}. If
A = {n ∈ X : n is a multiple of 2} and
B = {n ∈ X : n is a multiple of 7}, then
the number of elements in the smallest
subset of X containing both A and B is _____.
JEE Mains 2021
Solution
Q. If the functions are defined as
Then what is
the common domain of the following
functions:
A
B
C
D
0 < x ≤ 1
0 ≤ x < 1
0 ≤ x ≤ 1
0 < x < 1
JEE Mains, 2021
Q. If the functions are defined as
Then what is
the common domain of the following
functions:
JEE Mains, 2021
Q. If the functions are defined as
Then what is
the common domain of the following
functions:
JEE Mains, 2021
Solution
Q. If the functions are defined as
Then what is
the common domain of the following
functions:
A
B
C
D
0 < x ≤ 1
0 ≤ x < 1
0 ≤ x ≤ 1
0 < x < 1
JEE Mains, 2021
Q. Let A = {1, 2, 3 ……, 10} and f: A → A be
defined as
Then the number of possible function
g: A → A such that gof = f is:
A
B
C
D
105
55
10C5
5!
JEE Mains, 2020
Q. Let A = {1, 2, 3 ……, 10} and f: A → A be
defined as
Then the number of possible function
g: A → A such that gof = f is:
JEE Mains, 2020
Q. Let A = {1, 2, 3 ……, 10} and f: A → A be
defined as
Then the number of possible function
g: A → A such that gof = f is:
JEE Mains, 2020
Solution
Q. Let A = {1, 2, 3 ……, 10} and f: A → A be
defined as
Then the number of possible function g: A →
A such that gof = f is:
A
B
C
D
105
55
10C5
5!
JEE Mains, 2020
Q. Let R be the set of real numbers.
Statement-1 : A = {(x, y) ∈ R × R : y - x is an integer}
is an equivalence relation on R
Statement-2 : B = {(x, y) ∈ R × R : x = 𝛼y for some
rational number 𝛼} is an equivalence relation on R.
A
B
C
D
Statement-1 is true, Statement -2 is
true; Statement-2 is a correct
explanation for Statement-1.
(2) Statement-1 is true, Statement-2 is
true; Statement-2 is a correct
explanation for Statement-1
Statement-1 is true, Statement-2,
false
Statement-1 is false, Statement-2 is
true
JEE Mains 2011
Q. Let R be the set of real numbers.
Statement-1 : A = {(x, y) ∈ R × R : y - x is an integer}
is an equivalence relation on R
Statement-2 : B = {(x, y) ∈ R × R : x = 𝛼y for some
rational number 𝛼} is an equivalence relation on R.
JEE Mains 2011
Q. Let R be the set of real numbers.
Statement-1 : A = {(x, y) ∈ R × R : y - x is an integer}
is an equivalence relation on R
Statement-2 : B = {(x, y) ∈ R × R : x = 𝛼y for some
rational number 𝛼} is an equivalence relation on R.
JEE Mains 2011
Solution
Q. Let R be the set of real numbers.
Statement-1 : A = {(x, y) ∈ R × R : y - x is an integer}
is an equivalence relation on R
Statement-2 : B = {(x, y) ∈ R × R : x = 𝛼y for some
rational number 𝛼} is an equivalence relation on R.
A
B
C
D
Statement-1 is true, Statement -2 is
true; Statement-2 is a correct
explanation for Statement-1.
(2) Statement-1 is true, Statement-2 is
true; Statement-2 is a correct
explanation for Statement-1
Statement-1 is true, Statement-2,
false
Statement-1 is false, Statement-2 is
true
JEE Mains 2011
Q. Let f : R → R be defined as f(x) = 2x - 1 and
g : R - {1} → R be defined as
Then the composition function f(g(x)) is:
A
B
C
D
Both one-one and onto
Onto but not one-one
Neither one-one nor onto
One-one but not onto
JEE Mains, 2021
Q. Let f : R → R be defined as f(x) = 2x - 1 and
g : R - {1} → R be defined as
Then the composition function f(g(x)) is:
JEE Mains, 2021
Q. Let f : R → R be defined as f(x) = 2x - 1 and
g : R - {1} → R be defined as
Then the composition function f(g(x)) is:
JEE Mains, 2021
Solution
Q. Let f : R → R be defined as f(x) = 2x - 1 and
g : R - {1} → R be defined as
Then the composition function f(g(x)) is:
A
B
C
D
Both one-one and onto
Onto but not one-one
Neither one-one nor onto
One-one but not onto
JEE Mains, 2021
Q. The domain of the function
is (-∞, -a] ⋃ [a, ∞].
Then a is equal to
A
B
C
D
JEE Mains, 2020
Q. The domain of the function
is (-∞, -a] ⋃ [a, ∞].
Then a is equal to
JEE Mains, 2020
Q. The domain of the function
is (-∞, -a] ⋃ [a, ∞].
Then a is equal to
JEE Mains, 2020
Solution
Q. The domain of the function
is (-∞, -a] ⋃ [a, ∞].
Then a is equal to
A
B
C
D
JEE Mains, 2020
Q. Let Z be the set of integers. If
and
B = {x ∈ Z : -3 < 2x - 1 < 9}, then the number
of subsets of the set A × B, is :
A
B
C
D
215
218
212
210
JEE Mains 2019
Q. Let Z be the set of integers. If
and
B = {x ∈ Z : -3 < 2x - 1 < 9}, then the number
of subsets of the set A × B, is :
JEE Mains 2019
Q. Let Z be the set of integers. If
and
B = {x ∈ Z : -3 < 2x - 1 < 9}, then the number
of subsets of the set A × B, is :
JEE Mains 2019
Solution
Q. Let Z be the set of integers. If
and
B = {x ∈ Z : -3 < 2x - 1 < 9}, then the number
of subsets of the set A × B, is :
A
B
C
D
215
218
212
210
JEE Mains 2019
Q. Set A has m elements and set B has n
elements. If the total number of subsets of A
is 112 more than the total number of subsets
of B, then the value of m.n is _____.
JEE Mains 2020
Q. Set A has m elements and set B has n
elements. If the total number of subsets of A
is 112 more than the total number of subsets
of B, then the value of m.n is _____.
JEE Mains 2020
Q. Set A has m elements and set B has n
elements. If the total number of subsets of A
is 112 more than the total number of subsets
of B, then the value of m.n is _____.
JEE Mains 2020
Solution
Q. Let S = {1, 2, 3, ….., 100}. The number of
non-empty subsets A of S such that the
product of elements in A is even is :
A
B
C
D
2100 -1
250(250 -1)
250 - 1
250 + 1
JEE Mains 2019
Q. Let S = {1, 2, 3, ….., 100}. The number of
non-empty subsets A of S such that the
product of elements in A is even is :
A
B
C
D
2100 -1
250(250 -1)
250 - 1
250 + 1
JEE Mains 2019
Q. Let f(x) be a quadratic polynomial such
that f(-1) + f(2) = 0. If one of the roots of
f(x) = 0 is 3, then its other root lies in
A
B
C
D
(-1, 0)
(1, 3)
(-3, -1)
(0, 1)
JEE Mains, 2015
Q. Let f(x) be a quadratic polynomial such
that f(-1) + f(2) = 0. If one of the roots of
f(x) = 0 is 3, then its other root lies in
JEE Mains, 2015
Q. Let f(x) be a quadratic polynomial such
that f(-1) + f(2) = 0. If one of the roots of
f(x) = 0 is 3, then its other root lies in
JEE Mains, 2015
Solution
Q. Let f(x) be a quadratic polynomial such
that f(-1) + f(2) = 0. If one of the roots of
f(x) = 0 is 3, then its other root lies in
A
B
C
D
(-1, 0)
(1, 3)
(-3, -1)
(0, 1)
JEE Mains, 2015
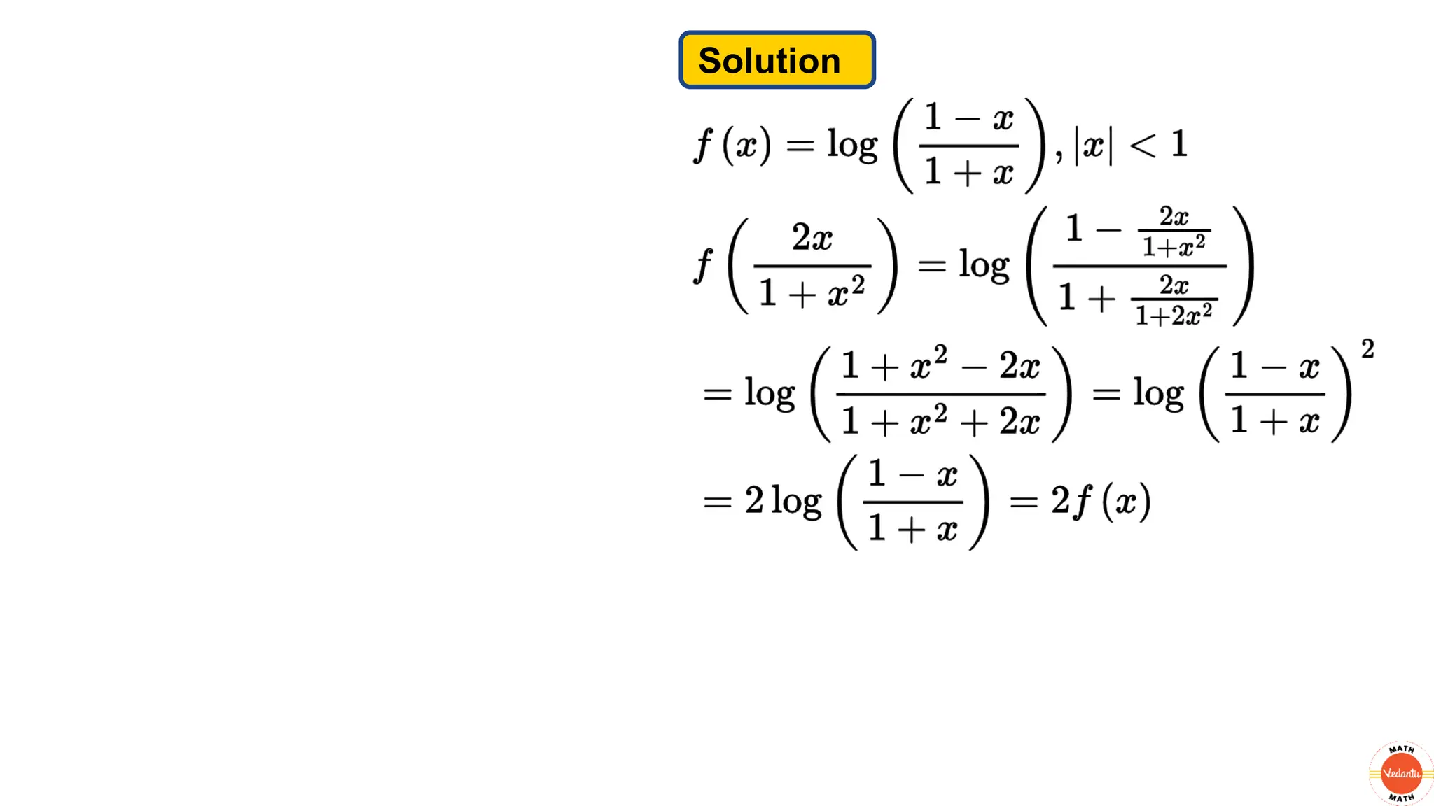
Q. If
Is equal to:
A
B
C
D
2f(x)
2f(x2)
(2(f(x))2
-2f(x)
JEE Mains, 2019
Q. If
Is equal to:
JEE Mains, 2019
Q. If
Is equal to:
JEE Mains, 2019
Solution
Q. If
Is equal to:
A
B
C
D
2f(x)
2f(x2)
(2(f(x))2
-2f(x)
JEE Mains, 2019
Q. Let S = {1, 2, 3, ….., 100}. The number of
non-empty subsets A of S such that the
product of elements in A is even is :
JEE Mains 2019
Q. Let S = {1, 2, 3, ….., 100}. The number of
non-empty subsets A of S such that the
product of elements in A is even is :
JEE Mains 2019
Solution
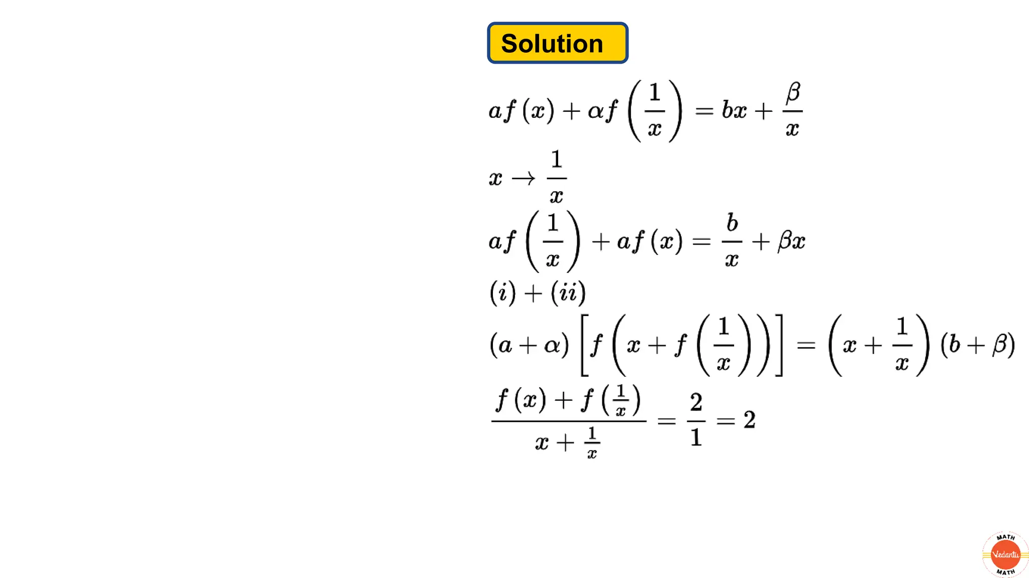
Q. If a + 𝛼 = 1, b + β = 2 and
value of the expression is
JEE Mains, 2019
Q. If a + 𝛼 = 1, b + β = 2 and
value of the expression is
JEE Mains, 2019
Q. If a + 𝛼 = 1, b + β = 2 and
value of the expression is
JEE Mains, 2019
Solution
Q. If and
S = {x ∈ R : f(x) = f(-x)} ; then S :
A
B
C
D
Contains exactly two
elements
Contains more than
two elements
Is an empty set
Contains exactly one
element
JEE Mains, 2016
Q. If and
S = {x ∈ R : f(x) = f(-x)} ; then S :
JEE Mains, 2016
Q. If and
S = {x ∈ R : f(x) = f(-x)} ; then S :
JEE Mains, 2016
Solution
Replacing ‘x’ with “1/x”
Q. If and
S = {x ∈ R : f(x) = f(-x)} ; then S :
A
B
C
D
Contains exactly two
elements
Contains more than
two elements
Is an empty set
Contains exactly one
element
JEE Mains, 2016
Q. Let x denote the total number of one-one
functions from a set A with 3 elements to a
set B with 5 elements and y denote the total
number of one-one functions from the set A
to the set A × B
A
B
C
D
y = 273x
2y = 91x
y = 91x
2y = 273x
JEE Mains, 2021
Q. Let x denote the total number of one-one
functions from a set A with 3 elements to a
set B with 5 elements and y denote the total
number of one-one functions from the set A
to the set A × B
JEE Mains, 2021
Q. Let x denote the total number of one-one
functions from a set A with 3 elements to a
set B with 5 elements and y denote the total
number of one-one functions from the set A
to the set A × B
JEE Mains, 2021
Solution
Q. Let x denote the total number of one-one
functions from a set A with 3 elements to a
set B with 5 elements and y denote the total
number of one-one functions from the set A
to the set A × B
A
B
C
D
y = 273x
2y = 91x
y = 91x
2y = 273x
JEE Mains, 2021
Q. Let R1 and R2 be two relations defined as
follows: R1 = {(a, b) ∊ R2 : a2 + b2 ∊ Q} and
R2 = {(a, b) ∊ R2 : a2 + b2 ∉ Q}, where Q is the
set of all rational numbers. Then :
A
B
C
D
Neither R1 or R2 is transitive
R2 is transitive but R1 is not
transitive
R1 is transitive but R2 is not
transitive
R1 and R2 are both transitive
JEE Mains, 2019
Q. Let R1 and R2 be two relations defined as
follows: R1 = {(a, b) ∊ R2 : a2 + b2 ∊ Q} and
R2 = {(a, b) ∊ R2 : a2 + b2 ∉ Q}, where Q is the
set of all rational numbers. Then :
JEE Mains, 2019
Q. Let R1 and R2 be two relations defined as
follows: R1 = {(a, b) ∊ R2 : a2 + b2 ∊ Q} and
R2 = {(a, b) ∊ R2 : a2 + b2 ∉ Q}, where Q is the
set of all rational numbers. Then :
JEE Mains, 2019
Solution
Q. Let R1 and R2 be two relations defined as
follows: R1 = {(a, b) ∊ R2 : a2 + b2 ∊ Q} and
R2 = {(a, b) ∊ R2 : a2 + b2 ∉ Q}, where Q is the
set of all rational numbers. Then :
A
B
C
D
Neither R1 or R2 is transitive
R2 is transitive but R1 is not
transitive
R1 is transitive but R2 is not
transitive
R1 and R2 are both transitive
JEE Mains, 2019
Q. Let f: R - {3} → R - {1} be defined by
Let g: R → R be given as
g(x) = 2x - 3. Then, the sum of all the values of x
for which is equal to
A
B
C
D
7
2
5
3
JEE Mains, 2021
Solution
x1
x2
Q. Let f: R - {3} → R - {1} be defined by
Let g: R → R be given as
g(x) = 2x - 3. Then, the sum of all the values of x
for which is equal to
A
B
C
D
7
2
5
3
JEE Mains, 2021
Q. Two newspapers A and B are published in a city.
It is known that 25% of the city population reads A
and 20% reads B while 8% reads both A and B.
Further, 30% of those who read A but not B look
into advertisements and 40% of those who read B
but not A also look into advertisements, while 50%
of those who read both A and B look into
advertisements. Then the percentage of the
population who look into advertisements is :
A
B
C
D
13.9
12.8
13
13.5
JEE Mains, 2019
Q. Two newspapers A and B are published in a city.
It is known that 25% of the city population reads A
and 20% reads B while 8% reads both A and B.
Further, 30% of those who read A but not B look
into advertisements and 40% of those who read B
but not A also look into advertisements, while 50%
of those who read both A and B look into
advertisements. Then the percentage of the
population who look into advertisements is :
JEE Mains, 2019
Q. Two newspapers A and B are published in a city.
It is known that 25% of the city population reads A
and 20% reads B while 8% reads both A and B.
Further, 30% of those who read A but not B look
into advertisements and 40% of those who read B
but not A also look into advertisements, while 50%
of those who read both A and B look into
advertisements. Then the percentage of the
population who look into advertisements is :
JEE Mains, 2019
Q. Two newspapers A and B are published in a city.
It is known that 25% of the city population reads A
and 20% reads B while 8% reads both A and B.
Further, 30% of those who read A but not B look
into advertisements and 40% of those who read B
but not A also look into advertisements, while 50%
of those who read both A and B look into
advertisements. Then the percentage of the
population who look into advertisements is :
JEE Mains, 2019
Solution
Q. Two newspapers A and B are published in a city.
It is known that 25% of the city population reads A
and 20% reads B while 8% reads both A and B.
Further, 30% of those who read A but not B look
into advertisements and 40% of those who read B
but not A also look into advertisements, while 50%
of those who read both A and B look into
advertisements. Then the percentage of the
population who look into advertisements is :
A
B
C
D
13.9
12.8
13
13.5
JEE Mains, 2019
My name is _______________.
I am in 10th grade and I want join the
family of _________. (JEE/NEET)
And I am texting after watching
Abhishek sir's session.
My name is _______________.
I am in _____(11th/12th) grade and I want join
the family of ___________ (JEE/NEET).
And I am texting after watching session of Harsh
priyam sir.
WhatsApp your Queries
@ 89511 83703
8th Jan 2020-(Shift 1)
JEE+Crash+course+_+Phase+I+_+Session+1+_+Sets+and++Relations+&+Functions+_+7th+Nov+ (1).pdf

JEE+Crash+course+_+Phase+I+_+Session+1+_+Sets+and++Relations+&+Functions+_+7th+Nov+ (1).pdf

  • 3.
  • 4.
    Session 1 |Sets and Relations & Functions
  • 8.
    ● Sets aregenerally denoted by capital letters A, B, C, …. etc. and the elements of the set by a, b, c... etc. ● If a is an element of a set A, then we write a ∈ A and say a belongs to A. If a does not belong to A then we write a ∉ A. ● e.g. The collection of first five prime natural numbers is a set containing the elements 2, 3, 5, 7, 11. A set is a collection of well defined objects which are distinct from each other. SET
  • 9.
    SOME IMPORTANT NUMBERSETS: N Set of all natural numbers W Set of all whole numbers Z Set of all Integers Z+ Set of all +ve integers Z- Set of all -ve integers Z0 The set of all non-zero integers Q The set of all rational numbers. R The set of all real numbers R − Q The set of all irrational numbers
  • 10.
    In this methoda set is described by listing elements, separated by commas and enclose then by curly brackets. ROSTER METHOD In this case we write down a property or rule p Which gives us all the element of the set. SET BUILDER FORM
  • 11.
    TYPES OF SETS Nullset or Empty set A set having no element in it is called an Empty set or a null set or void set it is denoted by 𝜙 or { }. Singleton A set consisting of a single element is called a singleton set. Finite Set A set which has only finite number of elements is called a finite set. Infinite set : A set which has an infinite number of elements is called an infinite set.
  • 12.
    Equal sets Twosets A and B are said to be equal if every element of A is a member of B, and every element of B is a member of A. Equivalent sets Two finite sets A and B are equivalent if their number of elements are same. NOTE Equal sets always equivalent but equivalent sets may not be equal. TYPES OF SETS
  • 13.
    OTHER IMPORTANT SETS Universal set Aset consisting of all possible elements which occur in the discussion is call set and is denoted by U Note: All sets are contained in the universal set Power set Let A be any set. They set of all subsets of A is called power set of A and is denoted by P(A) Subsets Let A and B be two sets if every element of A is an element B, then A is called a subset of B if A is a subset of B. we write A ⊆ B
  • 14.
    OTHER IMPORTANT SETS Proper subset IfA is a subset of B and A ≠ B then A is a proper subset of B. and we write A ⊂ B NOTE 1: Every set is a subset of itself i.e. A ⊆ A for all A 2: Empty set 𝜙 is a subset of every set 3: Clearly N ⊂ W ⊂ Z ⊂ Q ⊂ R ⊂ C 4: The total number of subsets of a finite set containing n elements is 2n
  • 15.
    SOME OPERATIONS ONSETS Union of two sets A ∪ B = {x : x ∈ A or x ∈ B} e.g. A = {1, 2, 3}, B = {2, 3, 4} then A ∪ B = {1, 2, 3, 4} Intersection of two sets A ⋂ B = {x : x ∈ A and x ∈ B} e.g. A = {1, 2, 3}, B = {2, 3, 4} then A ⋂ B = {2, 3} Difference of two sets: A - B = {x : x ∈ A and x ∉ B}e.g. A = {1, 2, 3}, B = {2, 3, 4}; A - B = {1} Complement of a set A’ = {x : x ∉ A but x ∈ U} = U - A e.g. U = {1, 2, ….., 10}, NOTE ● (A’)’ = A ● A ⊆ B ⇔ B’ ⊆ A’
  • 16.
    SOME OPERATIONS ONSETS De-Morgan Laws (A ∪ B)’ = A’ ⋂ B’ (A ⋂ B)’ = A’ ∪ B’ Distributive Laws A ∪ (B ⋂ C) = (A ∪ B) ⋂ (A ∪ C); A ⋂ (B ∪ C) = (A ⋂ B) ∪ (A ⋂ C) Commutative Laws A ∪ B = B ∪ A ; A ⋂ B = B ⋂ A Associative Laws (A ∪ B) ∪ C = A ∪ (B ∪ C) ; (A ⋂ B) ⋂ C = A ⋂ (B ⋂ C)
  • 17.
    SOME OPERATIONS ONSETS Disjoint Sets If A ∩ B = 𝜙, then A, B are disjoint. For every set A, A and A’ are disjoint sets. Symmetric Difference of Sets A Δ B = (A - B) ⋃ (B - A) If A and B are any two sets, then (i) A - B = A ∩ B’ (ii) B - A = B ∩ A’
  • 18.
  • 19.
  • 20.
    ● n(A ⋃B) = n(A) + n(B) - n(A ⋂ B) ● n(A ⋃ B) = n(A) + n(B) ⇔ A, B are disjoint non- void sets ● n(A - B) = n(A) - n(A ⋂ B) i.e. n(A - B) + n(A ⋂ B) = n(A) ● n(A ⋃ B ⋃ C) = n(A) + n(B) + n(C) - n(A ⋂ B) - n(B ⋂ C) - n(A ⋂ C) + n(A ⋂ B ⋂ C) Important Results On Number Of Elements In SETS
  • 21.
    Let A andB be two non-empty sets. The set of all ordered pairs (a, b), where a ∈ A and b ∈ B, is known as the cartesian product of sets A and B. It is denoted by A x B. A x B = {(a, b) : a ∈ A and b ∈ B} CARTESIAN PRODUCT
  • 22.
    ● If Aand B are finite sets, then n(A × B) = n(A) × n(B) ● If either A or B is infinite, then A × B is an infinite set. No. of Elements in CARTESIAN PRODUCT
  • 23.
    A relation fromA to B is a subset of the cartesian product A × B. ● R is a relation from A to B ⇔ R ⊆ A × B ● R is a relation from A to B ⇔ R ⊆ A × B RELATION If n (A) = p and n (B) = q, Total number of relations from A to B = Total number of subsets of A × B = 2pq
  • 24.
    The collection ofthe first elements of all the ordered pairs of a relation R is known as the domain of R. DOMAIN The collection of the second elements of all the ordered pairs of a relation R is known as the range of R. RANGE
  • 25.
    Let A, Bbe two sets and R be a relation from A to B. The inverse of R, denoted by R-1, is a relation from B to A and is defined as the following: R-1 = {(b, a) : (a, b) ∈ R} Thus, if (a, b) ∈ R ⇔ (b, a) ∈ R-1 INVERSE OF A RELATION
  • 26.
    Reflexive A relationR on Set A such that ∀ a ∈ A (a, a) ∈ R Symmetric For a, b ∈ A (a, b) ∈ R ⇒ (b, a) ∈ R Transitive For a, b, c ∈ A (a, b), (b, c) ∈ R ⇒ (a, c) ∈ R TYPES OF RELATION Equivalence Relation Reflexive Symmetric Transitive Even if one of them fails, it is not a Equivalence Relation.
  • 27.
    A function ‘f’from a non-empty set A to a non- empty set B is a rule or a correspondence under which: Every element of A is associated with exactly one element of B. Notation: f is a function from A to B f : A → B FUNCTION ● A function is a special relation from A to B such that : Every element of A is related to exactly one element of B. ● Number of functions for the mapping f : A → B will be n(B)n(A)
  • 28.
    Let f :A → B be a function. Let a ∊ A. Then, it is associated to exactly one element of B, say b. Then, we write b = f(a) IMAGE: b is called ‘image of a under f’ or ‘the value of function f at a’. PREIMAGE: a is the preimage of b under the function f. IMAGE & PREIMAGE
  • 29.
    Let f :A → B, then the set A is known as the domain of f . DOMAIN Let f : A → B, then the set B is known as the co-domain of f . CODOMAIN Let f : A → B, then the set of all the images of elements of A under f in B is known as the range of f . Range ⊆ codomain RANGE
  • 30.
    SOME STANDARD FUNCTIONS Rationalfunction Greatest integer function Signum function Exponential function Logarithmic function Absolute value function Constant function Identity function Polynomial function
  • 31.
    SOME STANDARD FUNCTIONS Rationalfunction Greatest integer function Signum function Exponential function Logarithmic function Absolute value function Constant function Identity function Polynomial function
  • 32.
    For two functionsf and g 1. Scalar multiplication of a function: (c f) (x) = cf(x), where c is a scalar. 1. Addition/subtraction of functions (f ± g)(x) = f(x) ± g(x) 1. Multiplication of functions (fg)(x) = (gf)(x) = f(x)g(x). 1. Division of functions ALGEBRA OF FUNCTIONS
  • 33.
    ONE-ONE & MANY-ONEFUNCTIONS: A function f : A → B is said to be one-one or injective if all elements of A have difference images in B. Otherwise it is called many one function. Mathematically if f(a) = f(b) ⇒ a = b TYPES OF FUNCTIONS
  • 34.
    ONTO & INTOFUNCTIONS: A function f(x) from A to B is said to be onto or surjective function if every element of B is image of some element of A. i.e. Range of f(x) = Co-domain of f(x) BIJECTIVE: A function f(x) from A to B is said to be bijective, if it is both one-one & onto. TYPES OF FUNCTIONS
  • 35.
    (a) (b) (c) (d) logba, a,> 0, b > 0, b ≠ 1 (e) Some of the standard formats to find the domain
  • 36.
    Procedure of findingout range of function For the function y = f(x) (a) Express x explicitly in terms of y (b) Find the possible values for y (like domain for x) (c) Eliminate value(s) of y w.r.t. x, if applicable. STEPS TO FIND THE RANGE
  • 37.
    INVERSE OF AFUNCTION Corresponding to every bijection, f : A → B; There exists another bijection; g : B → A; defined by g(y) = x if and only if f(x) = y g : B → A is called inverse of f : A → B and is denoted by f-1
  • 38.
    Let f :A → B and g : B → C be two functions. Then the composition of f and g, denoted by fog, is defined as the function fog : B → A given by fog(x)=f(g(x)), ∀ x ⋲ B. COMPOSITE FUNCTIONS Image source: Cuemath
  • 39.
    ● A functionf(x) is said to be even function; if f(-x) = f(x) ∀ x. ● A function f(x) is said to be odd function; if if f(-x) = - f(x) ∀ x. Graph of an even function is symmetric about y -axis. EVEN-ODD FUNCTION
  • 40.
    ● A functionf(x) is said to be periodic function, if there exists a positive real number such that f(x + T) = f(x) ∀x ● Least such value of ‘T’ is called Fundamental Period of y = f(x). ● Graph of periodic functions, repeats at fixed lengths of intervals PERIODIC FUNCTION
  • 41.
  • 42.
    Our NEET 2022Achievers
  • 43.
    Our NEET 2022Achievers
  • 44.
    Our NEET 2022Achievers
  • 46.
  • 47.
    JEE Adv. 2022 Vare proud of you, Deevyanshu!
  • 48.
    JEE Adv. 2022 Vare proud of you, Chaitanya!
  • 49.
    JEE Adv. 2022 Vare proud of you, Krish!
  • 51.
    Our JEE Adv.2022 Achievers
  • 52.
    Our JEE Adv.2022 Achievers
  • 53.
    Our JEE Adv.2022 Achievers
  • 54.
    Our JEE Adv.2022 Achievers
  • 55.
    Our JEE Adv.2022 Achievers
  • 56.
    Q. Let X= {n ∈ N : 1 ≤ n ≤ 50}. If A = {n ∈ X : n is a multiple of 2} and B = {n ∈ X : n is a multiple of 7}, then the number of elements in the smallest subset of X containing both A and B is _____. JEE Mains 2021
  • 57.
    Q. Let X= {n ∈ N : 1 ≤ n ≤ 50}. If A = {n ∈ X : n is a multiple of 2} and B = {n ∈ X : n is a multiple of 7}, then the number of elements in the smallest subset of X containing both A and B is _____. JEE Mains 2021
  • 58.
  • 59.
    Q. If thefunctions are defined as Then what is the common domain of the following functions: A B C D 0 < x ≤ 1 0 ≤ x < 1 0 ≤ x ≤ 1 0 < x < 1 JEE Mains, 2021
  • 60.
    Q. If thefunctions are defined as Then what is the common domain of the following functions: JEE Mains, 2021
  • 61.
    Q. If thefunctions are defined as Then what is the common domain of the following functions: JEE Mains, 2021
  • 62.
  • 63.
    Q. If thefunctions are defined as Then what is the common domain of the following functions: A B C D 0 < x ≤ 1 0 ≤ x < 1 0 ≤ x ≤ 1 0 < x < 1 JEE Mains, 2021
  • 64.
    Q. Let A= {1, 2, 3 ……, 10} and f: A → A be defined as Then the number of possible function g: A → A such that gof = f is: A B C D 105 55 10C5 5! JEE Mains, 2020
  • 65.
    Q. Let A= {1, 2, 3 ……, 10} and f: A → A be defined as Then the number of possible function g: A → A such that gof = f is: JEE Mains, 2020
  • 66.
    Q. Let A= {1, 2, 3 ……, 10} and f: A → A be defined as Then the number of possible function g: A → A such that gof = f is: JEE Mains, 2020
  • 67.
  • 68.
    Q. Let A= {1, 2, 3 ……, 10} and f: A → A be defined as Then the number of possible function g: A → A such that gof = f is: A B C D 105 55 10C5 5! JEE Mains, 2020
  • 69.
    Q. Let Rbe the set of real numbers. Statement-1 : A = {(x, y) ∈ R × R : y - x is an integer} is an equivalence relation on R Statement-2 : B = {(x, y) ∈ R × R : x = 𝛼y for some rational number 𝛼} is an equivalence relation on R. A B C D Statement-1 is true, Statement -2 is true; Statement-2 is a correct explanation for Statement-1. (2) Statement-1 is true, Statement-2 is true; Statement-2 is a correct explanation for Statement-1 Statement-1 is true, Statement-2, false Statement-1 is false, Statement-2 is true JEE Mains 2011
  • 70.
    Q. Let Rbe the set of real numbers. Statement-1 : A = {(x, y) ∈ R × R : y - x is an integer} is an equivalence relation on R Statement-2 : B = {(x, y) ∈ R × R : x = 𝛼y for some rational number 𝛼} is an equivalence relation on R. JEE Mains 2011
  • 71.
    Q. Let Rbe the set of real numbers. Statement-1 : A = {(x, y) ∈ R × R : y - x is an integer} is an equivalence relation on R Statement-2 : B = {(x, y) ∈ R × R : x = 𝛼y for some rational number 𝛼} is an equivalence relation on R. JEE Mains 2011
  • 72.
  • 73.
    Q. Let Rbe the set of real numbers. Statement-1 : A = {(x, y) ∈ R × R : y - x is an integer} is an equivalence relation on R Statement-2 : B = {(x, y) ∈ R × R : x = 𝛼y for some rational number 𝛼} is an equivalence relation on R. A B C D Statement-1 is true, Statement -2 is true; Statement-2 is a correct explanation for Statement-1. (2) Statement-1 is true, Statement-2 is true; Statement-2 is a correct explanation for Statement-1 Statement-1 is true, Statement-2, false Statement-1 is false, Statement-2 is true JEE Mains 2011
  • 75.
    Q. Let f: R → R be defined as f(x) = 2x - 1 and g : R - {1} → R be defined as Then the composition function f(g(x)) is: A B C D Both one-one and onto Onto but not one-one Neither one-one nor onto One-one but not onto JEE Mains, 2021
  • 76.
    Q. Let f: R → R be defined as f(x) = 2x - 1 and g : R - {1} → R be defined as Then the composition function f(g(x)) is: JEE Mains, 2021
  • 77.
    Q. Let f: R → R be defined as f(x) = 2x - 1 and g : R - {1} → R be defined as Then the composition function f(g(x)) is: JEE Mains, 2021
  • 78.
  • 79.
    Q. Let f: R → R be defined as f(x) = 2x - 1 and g : R - {1} → R be defined as Then the composition function f(g(x)) is: A B C D Both one-one and onto Onto but not one-one Neither one-one nor onto One-one but not onto JEE Mains, 2021
  • 80.
    Q. The domainof the function is (-∞, -a] ⋃ [a, ∞]. Then a is equal to A B C D JEE Mains, 2020
  • 81.
    Q. The domainof the function is (-∞, -a] ⋃ [a, ∞]. Then a is equal to JEE Mains, 2020
  • 82.
    Q. The domainof the function is (-∞, -a] ⋃ [a, ∞]. Then a is equal to JEE Mains, 2020
  • 83.
  • 84.
    Q. The domainof the function is (-∞, -a] ⋃ [a, ∞]. Then a is equal to A B C D JEE Mains, 2020
  • 85.
    Q. Let Zbe the set of integers. If and B = {x ∈ Z : -3 < 2x - 1 < 9}, then the number of subsets of the set A × B, is : A B C D 215 218 212 210 JEE Mains 2019
  • 86.
    Q. Let Zbe the set of integers. If and B = {x ∈ Z : -3 < 2x - 1 < 9}, then the number of subsets of the set A × B, is : JEE Mains 2019
  • 87.
    Q. Let Zbe the set of integers. If and B = {x ∈ Z : -3 < 2x - 1 < 9}, then the number of subsets of the set A × B, is : JEE Mains 2019
  • 88.
  • 89.
    Q. Let Zbe the set of integers. If and B = {x ∈ Z : -3 < 2x - 1 < 9}, then the number of subsets of the set A × B, is : A B C D 215 218 212 210 JEE Mains 2019
  • 90.
    Q. Set Ahas m elements and set B has n elements. If the total number of subsets of A is 112 more than the total number of subsets of B, then the value of m.n is _____. JEE Mains 2020
  • 91.
    Q. Set Ahas m elements and set B has n elements. If the total number of subsets of A is 112 more than the total number of subsets of B, then the value of m.n is _____. JEE Mains 2020
  • 92.
    Q. Set Ahas m elements and set B has n elements. If the total number of subsets of A is 112 more than the total number of subsets of B, then the value of m.n is _____. JEE Mains 2020
  • 93.
  • 94.
    Q. Let S= {1, 2, 3, ….., 100}. The number of non-empty subsets A of S such that the product of elements in A is even is : A B C D 2100 -1 250(250 -1) 250 - 1 250 + 1 JEE Mains 2019
  • 95.
    Q. Let S= {1, 2, 3, ….., 100}. The number of non-empty subsets A of S such that the product of elements in A is even is : A B C D 2100 -1 250(250 -1) 250 - 1 250 + 1 JEE Mains 2019
  • 96.
    Q. Let f(x)be a quadratic polynomial such that f(-1) + f(2) = 0. If one of the roots of f(x) = 0 is 3, then its other root lies in A B C D (-1, 0) (1, 3) (-3, -1) (0, 1) JEE Mains, 2015
  • 97.
    Q. Let f(x)be a quadratic polynomial such that f(-1) + f(2) = 0. If one of the roots of f(x) = 0 is 3, then its other root lies in JEE Mains, 2015
  • 98.
    Q. Let f(x)be a quadratic polynomial such that f(-1) + f(2) = 0. If one of the roots of f(x) = 0 is 3, then its other root lies in JEE Mains, 2015
  • 99.
  • 100.
    Q. Let f(x)be a quadratic polynomial such that f(-1) + f(2) = 0. If one of the roots of f(x) = 0 is 3, then its other root lies in A B C D (-1, 0) (1, 3) (-3, -1) (0, 1) JEE Mains, 2015
  • 101.
    Q. If Is equalto: A B C D 2f(x) 2f(x2) (2(f(x))2 -2f(x) JEE Mains, 2019
  • 102.
    Q. If Is equalto: JEE Mains, 2019
  • 103.
    Q. If Is equalto: JEE Mains, 2019
  • 104.
  • 105.
    Q. If Is equalto: A B C D 2f(x) 2f(x2) (2(f(x))2 -2f(x) JEE Mains, 2019
  • 106.
    Q. Let S= {1, 2, 3, ….., 100}. The number of non-empty subsets A of S such that the product of elements in A is even is : JEE Mains 2019
  • 107.
    Q. Let S= {1, 2, 3, ….., 100}. The number of non-empty subsets A of S such that the product of elements in A is even is : JEE Mains 2019
  • 108.
  • 109.
    Q. If a+ 𝛼 = 1, b + β = 2 and value of the expression is JEE Mains, 2019
  • 110.
    Q. If a+ 𝛼 = 1, b + β = 2 and value of the expression is JEE Mains, 2019
  • 111.
    Q. If a+ 𝛼 = 1, b + β = 2 and value of the expression is JEE Mains, 2019
  • 112.
  • 113.
    Q. If and S= {x ∈ R : f(x) = f(-x)} ; then S : A B C D Contains exactly two elements Contains more than two elements Is an empty set Contains exactly one element JEE Mains, 2016
  • 114.
    Q. If and S= {x ∈ R : f(x) = f(-x)} ; then S : JEE Mains, 2016
  • 115.
    Q. If and S= {x ∈ R : f(x) = f(-x)} ; then S : JEE Mains, 2016
  • 116.
  • 117.
    Q. If and S= {x ∈ R : f(x) = f(-x)} ; then S : A B C D Contains exactly two elements Contains more than two elements Is an empty set Contains exactly one element JEE Mains, 2016
  • 118.
    Q. Let xdenote the total number of one-one functions from a set A with 3 elements to a set B with 5 elements and y denote the total number of one-one functions from the set A to the set A × B A B C D y = 273x 2y = 91x y = 91x 2y = 273x JEE Mains, 2021
  • 119.
    Q. Let xdenote the total number of one-one functions from a set A with 3 elements to a set B with 5 elements and y denote the total number of one-one functions from the set A to the set A × B JEE Mains, 2021
  • 120.
    Q. Let xdenote the total number of one-one functions from a set A with 3 elements to a set B with 5 elements and y denote the total number of one-one functions from the set A to the set A × B JEE Mains, 2021
  • 121.
  • 122.
    Q. Let xdenote the total number of one-one functions from a set A with 3 elements to a set B with 5 elements and y denote the total number of one-one functions from the set A to the set A × B A B C D y = 273x 2y = 91x y = 91x 2y = 273x JEE Mains, 2021
  • 123.
    Q. Let R1and R2 be two relations defined as follows: R1 = {(a, b) ∊ R2 : a2 + b2 ∊ Q} and R2 = {(a, b) ∊ R2 : a2 + b2 ∉ Q}, where Q is the set of all rational numbers. Then : A B C D Neither R1 or R2 is transitive R2 is transitive but R1 is not transitive R1 is transitive but R2 is not transitive R1 and R2 are both transitive JEE Mains, 2019
  • 124.
    Q. Let R1and R2 be two relations defined as follows: R1 = {(a, b) ∊ R2 : a2 + b2 ∊ Q} and R2 = {(a, b) ∊ R2 : a2 + b2 ∉ Q}, where Q is the set of all rational numbers. Then : JEE Mains, 2019
  • 125.
    Q. Let R1and R2 be two relations defined as follows: R1 = {(a, b) ∊ R2 : a2 + b2 ∊ Q} and R2 = {(a, b) ∊ R2 : a2 + b2 ∉ Q}, where Q is the set of all rational numbers. Then : JEE Mains, 2019
  • 126.
  • 127.
    Q. Let R1and R2 be two relations defined as follows: R1 = {(a, b) ∊ R2 : a2 + b2 ∊ Q} and R2 = {(a, b) ∊ R2 : a2 + b2 ∉ Q}, where Q is the set of all rational numbers. Then : A B C D Neither R1 or R2 is transitive R2 is transitive but R1 is not transitive R1 is transitive but R2 is not transitive R1 and R2 are both transitive JEE Mains, 2019
  • 128.
    Q. Let f:R - {3} → R - {1} be defined by Let g: R → R be given as g(x) = 2x - 3. Then, the sum of all the values of x for which is equal to A B C D 7 2 5 3 JEE Mains, 2021
  • 129.
  • 130.
    Q. Let f:R - {3} → R - {1} be defined by Let g: R → R be given as g(x) = 2x - 3. Then, the sum of all the values of x for which is equal to A B C D 7 2 5 3 JEE Mains, 2021
  • 131.
    Q. Two newspapersA and B are published in a city. It is known that 25% of the city population reads A and 20% reads B while 8% reads both A and B. Further, 30% of those who read A but not B look into advertisements and 40% of those who read B but not A also look into advertisements, while 50% of those who read both A and B look into advertisements. Then the percentage of the population who look into advertisements is : A B C D 13.9 12.8 13 13.5 JEE Mains, 2019
  • 132.
    Q. Two newspapersA and B are published in a city. It is known that 25% of the city population reads A and 20% reads B while 8% reads both A and B. Further, 30% of those who read A but not B look into advertisements and 40% of those who read B but not A also look into advertisements, while 50% of those who read both A and B look into advertisements. Then the percentage of the population who look into advertisements is : JEE Mains, 2019
  • 133.
    Q. Two newspapersA and B are published in a city. It is known that 25% of the city population reads A and 20% reads B while 8% reads both A and B. Further, 30% of those who read A but not B look into advertisements and 40% of those who read B but not A also look into advertisements, while 50% of those who read both A and B look into advertisements. Then the percentage of the population who look into advertisements is : JEE Mains, 2019
  • 134.
    Q. Two newspapersA and B are published in a city. It is known that 25% of the city population reads A and 20% reads B while 8% reads both A and B. Further, 30% of those who read A but not B look into advertisements and 40% of those who read B but not A also look into advertisements, while 50% of those who read both A and B look into advertisements. Then the percentage of the population who look into advertisements is : JEE Mains, 2019
  • 135.
  • 136.
    Q. Two newspapersA and B are published in a city. It is known that 25% of the city population reads A and 20% reads B while 8% reads both A and B. Further, 30% of those who read A but not B look into advertisements and 40% of those who read B but not A also look into advertisements, while 50% of those who read both A and B look into advertisements. Then the percentage of the population who look into advertisements is : A B C D 13.9 12.8 13 13.5 JEE Mains, 2019
  • 138.
    My name is_______________. I am in 10th grade and I want join the family of _________. (JEE/NEET) And I am texting after watching Abhishek sir's session. My name is _______________. I am in _____(11th/12th) grade and I want join the family of ___________ (JEE/NEET). And I am texting after watching session of Harsh priyam sir. WhatsApp your Queries @ 89511 83703
  • 139.