Industrial Revolution 4.0
View Point
by Oxford Brookes @xtina1981 Travel To The Future 4.0
Consultants
3TC 4.0
1
Structural changes disrupting business
Structural Changes disrupting everything
Ethics and
Identity
Security &
Conflict
Inequality Technology
Fusion
Agile
Governance
Innovation
Productivity
Business
Disruption
Disruption
Jobs & Skills
Internal Environment
External
Environment
Industrial
Environment
What Can I do?
Biological
Digital
Physical
Model Explanation:
The Model uses an SCQA structure. The Situation is used to introduce IR4, its
complexity and uniqueness. Then using a divergent top-down construction, present
different aspects in which IR4 would impact in almost everything, leading with a set
of consequences using the World Economic Forum approach. The consequences
would serve as the endpoint of S and the starting point of the Complication; the
evaluation is done using a convergent method to narrow down the problem to the
industrial sector “Structural Changes disrupting Business” as IR4 would impact in their
environments, external, industrial and internal.
The framework can be adapted to address different disrupted aspects depending on
the audience and the impact, for example:
Structural changes disrupting *_____________ “
* Labour Market, *Society, *Humankind (Identity and ethics), *Politics
and public affairs, *Sustainability…
Question: Conclude and link the S and C to the Answer. The Answer would lead
inductively to the different services 3TC4.0 has to offer, .
2
3TC
Solutions 4.0
Collaboration networks, Networking, Knowledge
generation and share, consultancy services.
What Can I do?
Book ticket in
advance and arrive
safe to station.
Wait ready, informed at the
station, then chose the best
option
Make your way with
us toward the Future
4.0
Make your own
way
Advantages
Disadvantages
Why? Who?
Everyone
Collaboration
Too Small?
NO
How?
3TC 4.0
The Answer, following the brand name theme Travel To The Future4.0 Consultants
(3TC 4.0) presents the different options using a travel metaphor which destination is
the Future 4.0, 3TC4.0. As when planning a trip to an exotic, remote and unexplored
land, one, have different options, from
* Hire an agency that plans, book and guide you to and within the destination,
benefiting from the agent experience and expertise. It is linked to the integral
transformation consultancy services (Design, Build and Implementation).
* You can also book and plan your trip, with some professional help. This option
will be linked with strategy consultancy services.
* Wait ready and informed at the station linked to knowledge and training
services.
* Make your way.
3
IR4IR3IR2IR1
Digital Divide
Situation –
Historical context: a brief introduction of the evolution of IR’s, First and Second
Industrial revolutions, highlighting the technological advancements that made them
possible, the timescale, and how they change business models. From mechanization
> mass production > Digitalization and connectedness (globalization) > to 4.0
technologies
To create impact explain the negative consequences that IR3 (digital divide) for that
business, employees did not react and adapt on time, and how the digitalisation and
internet influenced in the companies, changing both internal and external
environments. Link the disruption of IR3 to the forecasted disruption of IR4 and
another possible divide.
4
From IR3 to IR4.
IR4.0
IR3.0
artificial
intelligence
Robotics
the Internet of
Things (or
Everything)
autonomous
vehicles
3-D printing
Nano-
technology
Bio-
technology
materials
science
energy
storage
quantum
computing.
Block-
chain
InternetPC
Smart-tech
Merging technologies
Adapted from (Zhulenev, 2017)
Situation
…Short after the Third Industrial Revolution (Which added a digital layer to all the
things) , the world is rapidly approaching to a New Revolution the Fourth Industrial
Revolution (building on IR3 technological developments is blurring the line between
the physical, biological and digital spheres. Powered by data, 4.0 technology* and its
combinations are bringing new opportunities and challenges to staging impacting in
almost everything we know (Zhulenev, 2017)
.
*IR4 technology: artificial intelligence, robotics, the Internet of Things, autonomous
vehicles, 3-D printing, nanotechnology, biotechnology, materials science, energy
storage, and quantum computing, block Chain and their interaction are shaping the
future and will have an impact in businesses, economies, jobs and society.
The slide design represents both, the complexity of the subject and the relationship
between the different technological advancements, and the exponential growth of
speed, scope and impact of IR4 from IR3.
5
As a rule of thumb for IR4 with regards to Business is that It would impact in the
external, Industrial and Internal Environments, as never before.
Question – What can I do?
Answer - … Next slide
5
IR4 Main disruptions
Ethics and Identity
Security & Conflict
Inequality
Technology Fusion
Agile Governance
Innovation
Productivity
Business Disruption
Disruption Jobs &
Skills
IR4.0
“Biotechnology and AI Innovations are redefining
what it means to be human”
”impact on productivity, changing traditional means
and ways of production”
(World Economic
Forum, 2018) social stability, NT can opportunities for
employment, entrepreneurship, education and
knowledge exacerbate inequality and social
fragmentation.
Governments become more accessible, increase
transparency and trust. Also governance challenges.
Collaboration between disciplines
Opportunities and
Challenges in all aspects
of life
changing the nature and reasons of conflict
shifting job roles and skill sets
Current business foundations and models are being
challenged, and IR4 is impacting in Business
Environments
Complication -#
It is expected IR4 would bring structural changes affecting every aspect of life. It is
an unique process in terms of impact, speed and scope, with high doses of
uncertainty with regards to how and when. It is sure it will have an impact in almost
everything, from Humankind, to the universe, Including Business and Labour Markets.
IR4 is merging th
6
IR4 Impact in
Business
Structural changes disrupting the Industry
and Manufacturing sector
External Environment
Economic
Political
Social
Legal
Environmental
Technological
Industrial/Competitive
Environment
Supplier Power
Buyer Power
Threads for New
Entries
Threads for
Substitutes
Internal
Environment
The slide try to highlight the impact on Business environments in the manufacturing
sector, and the reciprocal relationship as IR4 would impact in Business and their
environments, but also in the other way, as will be business and other external
environment powers would shape IR4 (Renjen, 2018).
.
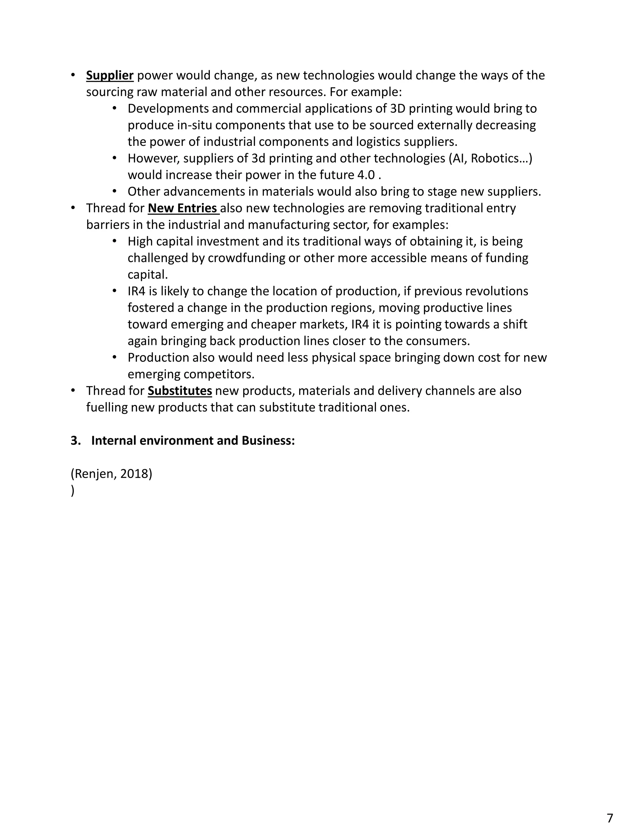
1. External Environmental Factor Political, Economic, Social, Technological, Legal
and Environmental It is known based on previous Industrial Revolutions that they
bring structural changes to the external environment. However, based on the
significant disruption delivered by the IR3, it is likely that IR4 would be even more
disruptive. It is expected and needed a change in regulatory frameworks; new
policies would need to meet new requirements, social changes are also likely to
happen especially about inequality and value of labour. The technological
environment too is doomed to change as new developments and improvement
are arising in all technology areas.
2. Industrial environment the industrial environment will also suffer a change in the
power and balance of the different players in the sector as IR4 is blurring lines
between industries:
• Buyers will be more informed and demanding, and also they would have a broader
range of choices, increasing their power.
7
• Supplier power would change, as new technologies would change the ways of the
sourcing raw material and other resources. For example:
• Developments and commercial applications of 3D printing would bring to
produce in-situ components that use to be sourced externally decreasing
the power of industrial components and logistics suppliers.
• However, suppliers of 3d printing and other technologies (AI, Robotics…)
would increase their power in the future 4.0 .
• Other advancements in materials would also bring to stage new suppliers.
• Thread for New Entries also new technologies are removing traditional entry
barriers in the industrial and manufacturing sector, for examples:
• High capital investment and its traditional ways of obtaining it, is being
challenged by crowdfunding or other more accessible means of funding
capital.
• IR4 is likely to change the location of production, if previous revolutions
fostered a change in the production regions, moving productive lines
toward emerging and cheaper markets, IR4 it is pointing towards a shift
again bringing back production lines closer to the consumers.
• Production also would need less physical space bringing down cost for new
emerging competitors.
• Thread for Substitutes new products, materials and delivery channels are also
fuelling new products that can substitute traditional ones.
3. Internal environment and Business:
(Renjen, 2018)
)
7
IR4 Impact in
Business
Structural changes disrupting the Industry
and Manufacturing
External
Environment
Industrial
Environment
Internal Environment
New Opportunities & Challenges
New Capabilities
New Business Models
New Needs (skills, resources,
knowledge)
Do not need to mention the deep relation and influence of the external and industrial
environment in business and their internal environment, bringing at the same time
opportunities and challenges, new capabilities, and needs and new business models.
For example: smart factories in which machines are augmented with web
connectivity and connected to a system that can visualize the entire production chain
and make decisions on its own.
8
This Photo by Unknown Author is licensed under CC BY-SA
Where and When start,
How, Who,
Who with?
….
What Can I do?
9
Book ticket in advance and arrive safe to station.
Wait ready, informed and
with friends in the station,
then chose the best option
Make your way with us toward the Future 4.0
Make your own way
What Can I do?
Recommended Options
• Wait ready and informed in the station, then chose the best option: link to our
networking and knowledge sharing programmes, free or small subscription fee.
• Book tickets in advance and arrive safely to the station: link to advanced
consultancy services and other advanced collaboration projects.
• Make your way with us toward the Future 4.0: linked to full transformation
consultancy services
• Make your way Worth to keep informed and up to date with our knowledge
sharing programme.
10
Travel early and guided
toward the Future 4.0
Open new Markets
Shape them on your
way.
Be settled when the
other comes
Access earlier to new
markets
Secure your place.
Arrive earlier than the mass
Open new markets
Book ticket in advance
and arrive safe to
station.
Get the right train to
the right destination
Learn from previous
experiences.
Get a good last
minute deal
Wait ready and
informed in the
station
Make your own
Way
‽ Arrive to
destination
within the
budget.
‽ Be the King of
your new land.
‽ Spend on the
way more than
planned
‽ Get lost
- Get late, do not find
a place in the Future
- Never get the train
- You will arrive to a virgin
and unexplored land.
- Need more capital and
Knowledge
- No previous experiences
- Higher investment
- No much previous
experiences
- Difficulties of opening
new markets
Advantages and disadvantagesWhy?
11
Cost vs Benefits vs
Uncertainty
+ Benefits
Book ticket in
advance and
arrive safe to
station.
Travel early and
guided toward the
Future 4.0
Wait ready,
informed
at the
station
-Cost
-Benefits
Make your own Way
Uncertainty Span
+Cost
Next steps:
-Recommended
-No Recommended
Cost-Benefit-Uncertainty of the options. The model is based on a Cost/Benefits
Matrix, adding a third variable as the Uncertainty Span of the choice. The point is that
our services reduce the spam of uncertainty being more able to predict benefits and
costs.
* Wait ready and informed in the station is the lower cost, lower benefits and a
high degree of uncertainty especially with regards to the benefits. It is possible
to use the option as a starting point to make better and more informed
decisions on what to do next, pointing and recommending to move to our more
advanced and specific consultancy services.
* Make your way, least recommended option as it carries a high degree of
uncertainty, in both cost and benefits. As in a trip to a remote destination
making your way with your own resources, the journey and the outcomes will
depend on the available resources (Capital, Knowledge and experience, and a
bit of luck).
* Wealthier travellers will comfortably have a vehicle, carriers, those with less
resources would walk carrying everything on the shoulders, some would walk
together,. However, nothing guarantees neither the cost or the benefits. Maybe
12
one can arrive successfully at the destination, maybe get to the wrong place or
get to late, or waste too much on the way.
* Book a ticket and Travel early with us options both will have higher benefits,
lower uncertainty, being differentiated by cost.
-
12
Everyone from:
• Business all sizes and types
• Public and Private Institutions
• Policy makers
• Social and Economic Agents,
• Societies
• Individuals
• Investors
• Educative, academic community
• ….
Who should care?
(Marr, 2018)
13
Too Small, no capital,
no knowledge?
Whether you decide to “travel with us to the
future”, “Book in advance”, “make your own way”
or “wait ready and informed at the station”, it is
always better with relatives. Therefore, taking
advantage of Sharing and joining resources
(knowledge, money, experience, expertise,
failure and success, power, interest…) to bridge
technological and innovation gaps between small
and large firms (Nieto and Santamaría, 2010).
.
No! Unity
makes
strength
As Benefiting from “Group Tickets”, “hire a bus to the Future 4.0”, or “send an
exploring joint venture to the Future”.
14
Collaboration
IR3 had made collaboration easier than ever
removing barriers such distance, time, language
or resources. IR4 would make collaboration
more needed than ever.
Collaboration can be Geographical, sectorial,
across the supply and value chain,
transnational, Public and private, for-profit or
not. Permanent or time framed.
Who with
There is not a unique answer to who collaborated with and how, but bringing people
and business together collaboration ways can arise from common needs, interest,
worries and challenges. Collaboration can occur between different business in the
same geographical area facing common challenges and opportunities, between
players of the same sector, across the supply and value chain, between industry and
third sector.
3TC 4.0 can benefice from fostering collaboration between smaller players, as can
offer them collaborative projects to cover their need while sharing costs, as may be
individually they would not access to advance consultancy services, but together as a
group, they do. Also knowing common needs can also help to develop and improve
our services.
15
Vertical Collaboration example:
S: A Medium size manufactured, a Small component supplier, Small
industrial technology supplier, 3TC consultant.
C: All of them know the impact of tech on their business, non of them have
all the resources (knowledge, capital, experience and expertise) to adapt to
the new Technological environment.
Q: What can they do for a win/win/win solution?
A: Find a way of collaborate. Supplier and Manufactured, can join their
resources capital and knowledge to hire the expertise of a consultant. The
consultant will have the experience in leading complex technological
solutions in the industry and the contact of the Technology supplier. And all
together will get a solution that benefice all of them
The Collaborations examples should be adapted to the audience and the desired impact.
Vertical Collaboration
S:
• Medium size manufactured using components from different smaller suppliers, knowing
about benefits of 3d printing inhouse raw components.
• Small component supplier threated for the New Technology.
• Industrial technology supplier looking for an underexploited market.
• 3TC consultants.
C:
All of them know the impact of tech on their business, non of them have all the resources
(knowledge, capital, experience and expertise) to adapt to the new environment.
Q: What can they do for a win/win/win solution?
A:
Find a way of collaborate. Supplier and Manufactured, can join their resources capital and
knowledge to hire the expertise of a consultant. The consultant will have the experience in
16
leading complex technological solutions in the industry and the contact of the Technology
supplier. And all together will get a solution that benefice all of them
16
Sectoral Collaboration example:
S: A group of business within a traditional mature industry (or in a specific
area), which is being threaten by the current external and technological
environment.
C: As a group they have some degree of knowledge, experience and
expertise in the sector until now, but current industrial environment is
escaping from their understanding and individual control.
Q: What can they do to maintain and improve their competitiveness?
A: Find a way of collaborate in a sector level, joining resources to improve
the situation, to participate of economies of scale and to face competence.
Ensure the results hiring professional expertise.
Sector Collaboration
17
Geographic Collaboration example:
S: A geographical area with a mature traditional sector that has lost
competitiveness.
C: The population is suffering the consequences of lack of opportunities,
poverty and deprivation. While the industrial side is suffering the
consequences of luck of the skills needed to compete within IR4 rules.
Q: What can authorities, business and social representatives to improve the
situation?
A: Find a way of collaborate in a local level, taking on board the most
affected and influential stakeholders groups: local government, civil society,
business community, educative institutions for together dynamize the area,
Sector Collaboration
18
3TC 4.0
Wide experience, working
in partnerships with
major industrial and third
sector partners.
Why 3TC?
3TC
Consultants
Collaboration networks,
Advance collaborative
projects and
Networking, Knowledge
generation and share,
consultancy services.
Where to
start?
19
Advance Consultancy Services
3TC 4.0
Strategy Consultancy Services
Advanced Strategy consultancy services
with standard solutions. Dedicated
collaborative projects, Tailored individual
assessments SWOT.
Integral Transformation solutions.
Complete transformation services including
Design, Build and Implementation of
unique and dedicated solutions 4.0.
Who?
✓ Business
✓ Business Unions
✓ Governments
✓ Other Institutions
20
Knowledge share
3TC 4.0
Knowledge sharing,
Standard networking.
Follow us in Social Network for free, subscribe to
our premium knowledge platform with access to
news and online resources as training.
Premium online services.
(different prices)
Online Assessments and specialised reports,
Advanced collaborative network (including
crowdfunding), advance training.
Who?
✓ Employees or job seekers
✓ Business
✓ Other public and private
institutions
✓ Unions and
representatives
In 3TC 4.0 we are conscious with the duty of share and generate knowledge to have a
positive impact in tackle inequality and disadvantage that IR4 would bring to the
weaker and with fewer resources stakeholder:, smaller business and labour force. For
which as part of our CSR programme, we have implemented the Knowledge Share
services. The idea is to create and develop a database of potential customers, to
generate and collect data with regard their interests, needs and fears and to foster a
collaborative environment and projects. Then we can use the info to design and
develop new services accordingly and to target better potential customers. The
Knowledge platform can be promoted to individuals, educative institutions, regional,
sectoral business unions… and will help to raise awareness of our company, and also
provide us with data and information.
21
IR4 more
complications
Structural changes disrupting
Labour and Skill Market
Structural changes disrupting
sustainability
Structural changes disrupting
Society
Structural changes disrupting
Politics
Use to introduce other challenges to different audiences f.e students, unemployed,
job seekers, educative community, policymakers. Moreover, to raise interest for
other aspects of the IR4.
22
“IR4 is the God of the past
and the Science Fiction of
the present”
Oh my IR4!
(Reflexion 4.0)
23
• Renjen, P. (2018) 'Industry 4.0: Are you ready?', Deloitte Insights, Available:
@DeloitteInsight.
• Marr, B. (2018) Why Everyone Must Get Ready For The 4th Industrial
Revolution: @forbes. Available at:
https://www.forbes.com/sites/bernardmarr/2016/04/05/why-everyone-must-
get-ready-for-4th-industrial-revolution/ (Accessed: 22/04/2018.
• Nieto, MJ, & Santamaría, L 2010, 'Technological Collaboration: Bridging the
Innovation Gap between Small and Large Firms', Journal of Small Business
Management, vol. 48, no. 1, pp. 44-69. Available from: 10.1111/j.1540-
627X.2009.00286.x. [30 April 2018].
• World Economic Forum (2018) The Fourth Industrial Revolution | Explore |
TOPLINK. Online. Available at:
https://toplink.weforum.org/knowledge/insight/a1Gb0000001RIhBEAW/explo
re/summary (Accessed: 22/04/2018.
• Zhulenev, A. (2017) The Fourth Industrial Revolution Is Here. Is Your Business
Ready? - Silicon Valley Innovation Center. Available at:
https://siliconvalley.center/the-fourth-industrial-revolution-is-here-is-your-
business-ready/ (Accessed: 22/04/2018.
References
24

Ir4 viewpoint byxtina1981

  • 1.
    Industrial Revolution 4.0 ViewPoint by Oxford Brookes @xtina1981 Travel To The Future 4.0 Consultants 3TC 4.0 1
  • 2.
    Structural changes disruptingbusiness Structural Changes disrupting everything Ethics and Identity Security & Conflict Inequality Technology Fusion Agile Governance Innovation Productivity Business Disruption Disruption Jobs & Skills Internal Environment External Environment Industrial Environment What Can I do? Biological Digital Physical Model Explanation: The Model uses an SCQA structure. The Situation is used to introduce IR4, its complexity and uniqueness. Then using a divergent top-down construction, present different aspects in which IR4 would impact in almost everything, leading with a set of consequences using the World Economic Forum approach. The consequences would serve as the endpoint of S and the starting point of the Complication; the evaluation is done using a convergent method to narrow down the problem to the industrial sector “Structural Changes disrupting Business” as IR4 would impact in their environments, external, industrial and internal. The framework can be adapted to address different disrupted aspects depending on the audience and the impact, for example: Structural changes disrupting *_____________ “ * Labour Market, *Society, *Humankind (Identity and ethics), *Politics and public affairs, *Sustainability… Question: Conclude and link the S and C to the Answer. The Answer would lead inductively to the different services 3TC4.0 has to offer, . 2
  • 3.
    3TC Solutions 4.0 Collaboration networks,Networking, Knowledge generation and share, consultancy services. What Can I do? Book ticket in advance and arrive safe to station. Wait ready, informed at the station, then chose the best option Make your way with us toward the Future 4.0 Make your own way Advantages Disadvantages Why? Who? Everyone Collaboration Too Small? NO How? 3TC 4.0 The Answer, following the brand name theme Travel To The Future4.0 Consultants (3TC 4.0) presents the different options using a travel metaphor which destination is the Future 4.0, 3TC4.0. As when planning a trip to an exotic, remote and unexplored land, one, have different options, from * Hire an agency that plans, book and guide you to and within the destination, benefiting from the agent experience and expertise. It is linked to the integral transformation consultancy services (Design, Build and Implementation). * You can also book and plan your trip, with some professional help. This option will be linked with strategy consultancy services. * Wait ready and informed at the station linked to knowledge and training services. * Make your way. 3
  • 4.
    IR4IR3IR2IR1 Digital Divide Situation – Historicalcontext: a brief introduction of the evolution of IR’s, First and Second Industrial revolutions, highlighting the technological advancements that made them possible, the timescale, and how they change business models. From mechanization > mass production > Digitalization and connectedness (globalization) > to 4.0 technologies To create impact explain the negative consequences that IR3 (digital divide) for that business, employees did not react and adapt on time, and how the digitalisation and internet influenced in the companies, changing both internal and external environments. Link the disruption of IR3 to the forecasted disruption of IR4 and another possible divide. 4
  • 5.
    From IR3 toIR4. IR4.0 IR3.0 artificial intelligence Robotics the Internet of Things (or Everything) autonomous vehicles 3-D printing Nano- technology Bio- technology materials science energy storage quantum computing. Block- chain InternetPC Smart-tech Merging technologies Adapted from (Zhulenev, 2017) Situation …Short after the Third Industrial Revolution (Which added a digital layer to all the things) , the world is rapidly approaching to a New Revolution the Fourth Industrial Revolution (building on IR3 technological developments is blurring the line between the physical, biological and digital spheres. Powered by data, 4.0 technology* and its combinations are bringing new opportunities and challenges to staging impacting in almost everything we know (Zhulenev, 2017) . *IR4 technology: artificial intelligence, robotics, the Internet of Things, autonomous vehicles, 3-D printing, nanotechnology, biotechnology, materials science, energy storage, and quantum computing, block Chain and their interaction are shaping the future and will have an impact in businesses, economies, jobs and society. The slide design represents both, the complexity of the subject and the relationship between the different technological advancements, and the exponential growth of speed, scope and impact of IR4 from IR3. 5
  • 6.
    As a ruleof thumb for IR4 with regards to Business is that It would impact in the external, Industrial and Internal Environments, as never before. Question – What can I do? Answer - … Next slide 5
  • 7.
    IR4 Main disruptions Ethicsand Identity Security & Conflict Inequality Technology Fusion Agile Governance Innovation Productivity Business Disruption Disruption Jobs & Skills IR4.0 “Biotechnology and AI Innovations are redefining what it means to be human” ”impact on productivity, changing traditional means and ways of production” (World Economic Forum, 2018) social stability, NT can opportunities for employment, entrepreneurship, education and knowledge exacerbate inequality and social fragmentation. Governments become more accessible, increase transparency and trust. Also governance challenges. Collaboration between disciplines Opportunities and Challenges in all aspects of life changing the nature and reasons of conflict shifting job roles and skill sets Current business foundations and models are being challenged, and IR4 is impacting in Business Environments Complication -# It is expected IR4 would bring structural changes affecting every aspect of life. It is an unique process in terms of impact, speed and scope, with high doses of uncertainty with regards to how and when. It is sure it will have an impact in almost everything, from Humankind, to the universe, Including Business and Labour Markets. IR4 is merging th 6
  • 8.
    IR4 Impact in Business Structuralchanges disrupting the Industry and Manufacturing sector External Environment Economic Political Social Legal Environmental Technological Industrial/Competitive Environment Supplier Power Buyer Power Threads for New Entries Threads for Substitutes Internal Environment The slide try to highlight the impact on Business environments in the manufacturing sector, and the reciprocal relationship as IR4 would impact in Business and their environments, but also in the other way, as will be business and other external environment powers would shape IR4 (Renjen, 2018). . 1. External Environmental Factor Political, Economic, Social, Technological, Legal and Environmental It is known based on previous Industrial Revolutions that they bring structural changes to the external environment. However, based on the significant disruption delivered by the IR3, it is likely that IR4 would be even more disruptive. It is expected and needed a change in regulatory frameworks; new policies would need to meet new requirements, social changes are also likely to happen especially about inequality and value of labour. The technological environment too is doomed to change as new developments and improvement are arising in all technology areas. 2. Industrial environment the industrial environment will also suffer a change in the power and balance of the different players in the sector as IR4 is blurring lines between industries: • Buyers will be more informed and demanding, and also they would have a broader range of choices, increasing their power. 7
  • 9.
    • Supplier powerwould change, as new technologies would change the ways of the sourcing raw material and other resources. For example: • Developments and commercial applications of 3D printing would bring to produce in-situ components that use to be sourced externally decreasing the power of industrial components and logistics suppliers. • However, suppliers of 3d printing and other technologies (AI, Robotics…) would increase their power in the future 4.0 . • Other advancements in materials would also bring to stage new suppliers. • Thread for New Entries also new technologies are removing traditional entry barriers in the industrial and manufacturing sector, for examples: • High capital investment and its traditional ways of obtaining it, is being challenged by crowdfunding or other more accessible means of funding capital. • IR4 is likely to change the location of production, if previous revolutions fostered a change in the production regions, moving productive lines toward emerging and cheaper markets, IR4 it is pointing towards a shift again bringing back production lines closer to the consumers. • Production also would need less physical space bringing down cost for new emerging competitors. • Thread for Substitutes new products, materials and delivery channels are also fuelling new products that can substitute traditional ones. 3. Internal environment and Business: (Renjen, 2018) ) 7
  • 10.
    IR4 Impact in Business Structuralchanges disrupting the Industry and Manufacturing External Environment Industrial Environment Internal Environment New Opportunities & Challenges New Capabilities New Business Models New Needs (skills, resources, knowledge) Do not need to mention the deep relation and influence of the external and industrial environment in business and their internal environment, bringing at the same time opportunities and challenges, new capabilities, and needs and new business models. For example: smart factories in which machines are augmented with web connectivity and connected to a system that can visualize the entire production chain and make decisions on its own. 8
  • 11.
    This Photo byUnknown Author is licensed under CC BY-SA Where and When start, How, Who, Who with? …. What Can I do? 9
  • 12.
    Book ticket inadvance and arrive safe to station. Wait ready, informed and with friends in the station, then chose the best option Make your way with us toward the Future 4.0 Make your own way What Can I do? Recommended Options • Wait ready and informed in the station, then chose the best option: link to our networking and knowledge sharing programmes, free or small subscription fee. • Book tickets in advance and arrive safely to the station: link to advanced consultancy services and other advanced collaboration projects. • Make your way with us toward the Future 4.0: linked to full transformation consultancy services • Make your way Worth to keep informed and up to date with our knowledge sharing programme. 10
  • 13.
    Travel early andguided toward the Future 4.0 Open new Markets Shape them on your way. Be settled when the other comes Access earlier to new markets Secure your place. Arrive earlier than the mass Open new markets Book ticket in advance and arrive safe to station. Get the right train to the right destination Learn from previous experiences. Get a good last minute deal Wait ready and informed in the station Make your own Way ‽ Arrive to destination within the budget. ‽ Be the King of your new land. ‽ Spend on the way more than planned ‽ Get lost - Get late, do not find a place in the Future - Never get the train - You will arrive to a virgin and unexplored land. - Need more capital and Knowledge - No previous experiences - Higher investment - No much previous experiences - Difficulties of opening new markets Advantages and disadvantagesWhy? 11
  • 14.
    Cost vs Benefitsvs Uncertainty + Benefits Book ticket in advance and arrive safe to station. Travel early and guided toward the Future 4.0 Wait ready, informed at the station -Cost -Benefits Make your own Way Uncertainty Span +Cost Next steps: -Recommended -No Recommended Cost-Benefit-Uncertainty of the options. The model is based on a Cost/Benefits Matrix, adding a third variable as the Uncertainty Span of the choice. The point is that our services reduce the spam of uncertainty being more able to predict benefits and costs. * Wait ready and informed in the station is the lower cost, lower benefits and a high degree of uncertainty especially with regards to the benefits. It is possible to use the option as a starting point to make better and more informed decisions on what to do next, pointing and recommending to move to our more advanced and specific consultancy services. * Make your way, least recommended option as it carries a high degree of uncertainty, in both cost and benefits. As in a trip to a remote destination making your way with your own resources, the journey and the outcomes will depend on the available resources (Capital, Knowledge and experience, and a bit of luck). * Wealthier travellers will comfortably have a vehicle, carriers, those with less resources would walk carrying everything on the shoulders, some would walk together,. However, nothing guarantees neither the cost or the benefits. Maybe 12
  • 15.
    one can arrivesuccessfully at the destination, maybe get to the wrong place or get to late, or waste too much on the way. * Book a ticket and Travel early with us options both will have higher benefits, lower uncertainty, being differentiated by cost. - 12
  • 16.
    Everyone from: • Businessall sizes and types • Public and Private Institutions • Policy makers • Social and Economic Agents, • Societies • Individuals • Investors • Educative, academic community • …. Who should care? (Marr, 2018) 13
  • 17.
    Too Small, nocapital, no knowledge? Whether you decide to “travel with us to the future”, “Book in advance”, “make your own way” or “wait ready and informed at the station”, it is always better with relatives. Therefore, taking advantage of Sharing and joining resources (knowledge, money, experience, expertise, failure and success, power, interest…) to bridge technological and innovation gaps between small and large firms (Nieto and Santamaría, 2010). . No! Unity makes strength As Benefiting from “Group Tickets”, “hire a bus to the Future 4.0”, or “send an exploring joint venture to the Future”. 14
  • 18.
    Collaboration IR3 had madecollaboration easier than ever removing barriers such distance, time, language or resources. IR4 would make collaboration more needed than ever. Collaboration can be Geographical, sectorial, across the supply and value chain, transnational, Public and private, for-profit or not. Permanent or time framed. Who with There is not a unique answer to who collaborated with and how, but bringing people and business together collaboration ways can arise from common needs, interest, worries and challenges. Collaboration can occur between different business in the same geographical area facing common challenges and opportunities, between players of the same sector, across the supply and value chain, between industry and third sector. 3TC 4.0 can benefice from fostering collaboration between smaller players, as can offer them collaborative projects to cover their need while sharing costs, as may be individually they would not access to advance consultancy services, but together as a group, they do. Also knowing common needs can also help to develop and improve our services. 15
  • 19.
    Vertical Collaboration example: S:A Medium size manufactured, a Small component supplier, Small industrial technology supplier, 3TC consultant. C: All of them know the impact of tech on their business, non of them have all the resources (knowledge, capital, experience and expertise) to adapt to the new Technological environment. Q: What can they do for a win/win/win solution? A: Find a way of collaborate. Supplier and Manufactured, can join their resources capital and knowledge to hire the expertise of a consultant. The consultant will have the experience in leading complex technological solutions in the industry and the contact of the Technology supplier. And all together will get a solution that benefice all of them The Collaborations examples should be adapted to the audience and the desired impact. Vertical Collaboration S: • Medium size manufactured using components from different smaller suppliers, knowing about benefits of 3d printing inhouse raw components. • Small component supplier threated for the New Technology. • Industrial technology supplier looking for an underexploited market. • 3TC consultants. C: All of them know the impact of tech on their business, non of them have all the resources (knowledge, capital, experience and expertise) to adapt to the new environment. Q: What can they do for a win/win/win solution? A: Find a way of collaborate. Supplier and Manufactured, can join their resources capital and knowledge to hire the expertise of a consultant. The consultant will have the experience in 16
  • 20.
    leading complex technologicalsolutions in the industry and the contact of the Technology supplier. And all together will get a solution that benefice all of them 16
  • 21.
    Sectoral Collaboration example: S:A group of business within a traditional mature industry (or in a specific area), which is being threaten by the current external and technological environment. C: As a group they have some degree of knowledge, experience and expertise in the sector until now, but current industrial environment is escaping from their understanding and individual control. Q: What can they do to maintain and improve their competitiveness? A: Find a way of collaborate in a sector level, joining resources to improve the situation, to participate of economies of scale and to face competence. Ensure the results hiring professional expertise. Sector Collaboration 17
  • 22.
    Geographic Collaboration example: S:A geographical area with a mature traditional sector that has lost competitiveness. C: The population is suffering the consequences of lack of opportunities, poverty and deprivation. While the industrial side is suffering the consequences of luck of the skills needed to compete within IR4 rules. Q: What can authorities, business and social representatives to improve the situation? A: Find a way of collaborate in a local level, taking on board the most affected and influential stakeholders groups: local government, civil society, business community, educative institutions for together dynamize the area, Sector Collaboration 18
  • 23.
    3TC 4.0 Wide experience,working in partnerships with major industrial and third sector partners. Why 3TC? 3TC Consultants Collaboration networks, Advance collaborative projects and Networking, Knowledge generation and share, consultancy services. Where to start? 19
  • 24.
    Advance Consultancy Services 3TC4.0 Strategy Consultancy Services Advanced Strategy consultancy services with standard solutions. Dedicated collaborative projects, Tailored individual assessments SWOT. Integral Transformation solutions. Complete transformation services including Design, Build and Implementation of unique and dedicated solutions 4.0. Who? ✓ Business ✓ Business Unions ✓ Governments ✓ Other Institutions 20
  • 25.
    Knowledge share 3TC 4.0 Knowledgesharing, Standard networking. Follow us in Social Network for free, subscribe to our premium knowledge platform with access to news and online resources as training. Premium online services. (different prices) Online Assessments and specialised reports, Advanced collaborative network (including crowdfunding), advance training. Who? ✓ Employees or job seekers ✓ Business ✓ Other public and private institutions ✓ Unions and representatives In 3TC 4.0 we are conscious with the duty of share and generate knowledge to have a positive impact in tackle inequality and disadvantage that IR4 would bring to the weaker and with fewer resources stakeholder:, smaller business and labour force. For which as part of our CSR programme, we have implemented the Knowledge Share services. The idea is to create and develop a database of potential customers, to generate and collect data with regard their interests, needs and fears and to foster a collaborative environment and projects. Then we can use the info to design and develop new services accordingly and to target better potential customers. The Knowledge platform can be promoted to individuals, educative institutions, regional, sectoral business unions… and will help to raise awareness of our company, and also provide us with data and information. 21
  • 26.
    IR4 more complications Structural changesdisrupting Labour and Skill Market Structural changes disrupting sustainability Structural changes disrupting Society Structural changes disrupting Politics Use to introduce other challenges to different audiences f.e students, unemployed, job seekers, educative community, policymakers. Moreover, to raise interest for other aspects of the IR4. 22
  • 27.
    “IR4 is theGod of the past and the Science Fiction of the present” Oh my IR4! (Reflexion 4.0) 23
  • 28.
    • Renjen, P.(2018) 'Industry 4.0: Are you ready?', Deloitte Insights, Available: @DeloitteInsight. • Marr, B. (2018) Why Everyone Must Get Ready For The 4th Industrial Revolution: @forbes. Available at: https://www.forbes.com/sites/bernardmarr/2016/04/05/why-everyone-must- get-ready-for-4th-industrial-revolution/ (Accessed: 22/04/2018. • Nieto, MJ, & Santamaría, L 2010, 'Technological Collaboration: Bridging the Innovation Gap between Small and Large Firms', Journal of Small Business Management, vol. 48, no. 1, pp. 44-69. Available from: 10.1111/j.1540- 627X.2009.00286.x. [30 April 2018]. • World Economic Forum (2018) The Fourth Industrial Revolution | Explore | TOPLINK. Online. Available at: https://toplink.weforum.org/knowledge/insight/a1Gb0000001RIhBEAW/explo re/summary (Accessed: 22/04/2018. • Zhulenev, A. (2017) The Fourth Industrial Revolution Is Here. Is Your Business Ready? - Silicon Valley Innovation Center. Available at: https://siliconvalley.center/the-fourth-industrial-revolution-is-here-is-your- business-ready/ (Accessed: 22/04/2018. References 24