Embed presentation
Download as PDF, PPTX

















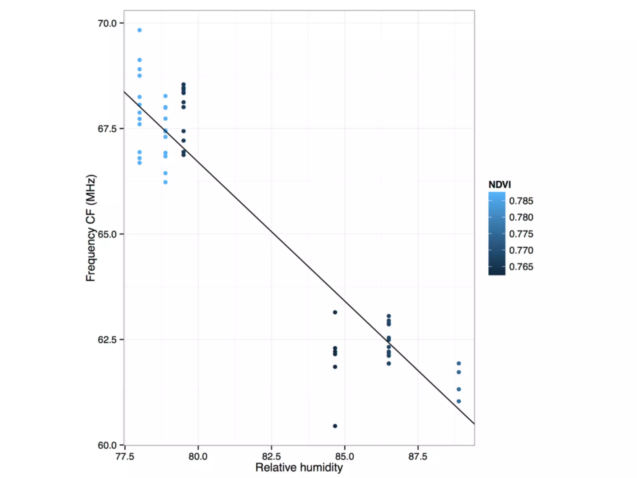
This document discusses a study that integrated population genetic and quantitative genetic models to reveal selection in the echolocation of bats. The study examined divergence in echolocation calls between two bat species, Pteronotus parnellii, which uses Doppler shift compensation, and another New World bat. The authors considered several hypotheses for this divergence, such as genetic drift, selection pressures from habitat physical features like clutter and humidity, morphological differences, interactions with other species or prey. The study was able to find evidence for selection by combining genetic data with quantitative trait information and data on habitat characteristics, ruling out neutral processes like genetic drift. It thanks collaborators in Puerto Rico and the Dominican Republic for their contributions to the research.















