Kurikulum Bersepadu Sekolah Rendah

                       Huraian Sukatan Pelajaran
                                       SAINS
                                      Tahun Lima
                                         2003

                             Pusat Perkembangan Kurikulum
                            Kementerian Pendidikan Malaysia


© 2003 Pusat Perkembangan Kurikulum
Kementerian Pendidikan Malaysia
Pesiaran Duta
50604 Kuala Lumpur


Cetakan Pertama 2003

Hak Cipta Terpelihara. Tidak dibenar mengeluar ulang mana-mana bahagian artikel, ilustrasi, dan isi kandungan buku ini dalam apa
juga bentuk dan dengan cara apa jua sama ada secara elektronik, fotokopi, mekanik, rakaman, atau cara lain sebelum dapat izin
bertulis daripada Pengarah, Pusat Perkembangan Kurikulum, Kementerian Pendidikan Malaysia.


Perpustakaan Negara Malaysia. Data Pengkatalogan-dalam-Penerbitan

Malaysia. Pusat Perkembangan Malaysia


    Pusat Perkembangan Kurikulum,
   Kementerian Pendidikan Malaysia.
   ISBN
   1.
   2.
RUKUN NEGARA

BAHAWASANYA negara kita Malaysia mendukung cita-cita hendak mencapai perpaduan
yang lebih erat di kalangan seluruh masyarakatnya; memelihara satu cara hidup demokratik;
mencipta masyarakat yang adil di mana kemakmuran Negara akan dapat dinikmati bersama
secara adil dan saksama; menjamin satu cara yang liberal terhadap tradisi-tradisi
kebudayaannya yang kaya dan berbagai-bagai corak; membina satu masyarakat progresif
yang akan menggunakan sains dan teknologi moden;

MAKA KAMI, rakyat Malaysia, berikrar akan menumpukan seluruh tenaga dan usaha
kami untuk mencapai cita-cita tersebut berdasarkan prinsip-prinsip berikut:

                       KEPERCAYAAN KEPADA TUHAN
                   KESETIAAN KEPADA RAJA DAN NEGARA
                       KELUHURAN PERLEMBAGAAN
                      KEDAULATAN UNDANG-UNDANG
                       KESOPANAN DAN KESUSILAAN
FALSAFAH PENDIDIKAN KEBANGSAAN


Pendidikan di Malaysia adalah satu usaha berterusan ke arah lebih
memperkembangkan potensi individu secara menyeluruh dan bersepadu untuk
melahirkan insan yang seimbang dan harmonis dari segi intelek, rohani, emosi
dan jasmani berdasarkan kepercayaan dan kepatuhan kepada Tuhan. Usaha ini
adalah bertujuan untuk melahirkan warganegara Malaysia yang berilmu
pengetahuan, berketerampilan, berakhlak mulia, bertanggungjawab dan
berkeupayaan mencapai kesejahteraan diri serta memberikan sumbangan terhadap
keharmonian dan kemakmuran keluarga, masyarakat dan negara.
FALSAFAH PENDIDIKAN SAINS NEGARA

  Selaras dengan Falsafah Pendidikan Kebangsaan,
        pendidikan sains di Malaysia memupuk
budaya Sains dan Teknologi dengan memberi tumpuan
   kepada perkembangan individu yang kompetitif,
       dinamik, tangkas dan berdaya tahan serta
dapat menguasai ilmu sains dan keterampilan teknologi.
KANDUNGAN

Kata Pengantar                                xi
Pendahuluan                                   1
Matlamat dan Objektif                         5
Kemahiran Saintifik                           7
Kemahiran Berfikir                            10
Sikap Saintifik dan Nilai Murni               19
Strategi Pengajaran dan Pembelajaran          21
Organisasi Kandungan                          28
Bidang Pembelajaran
       Kemandirian Hidupan                    36
       Elektrik                               39
       Haba                                   42
       Cahaya                                 45
       Bunyi                                  50
       Tenaga                                 52
       Pepejal, Cecair dan Gas                55
       Asid dan Alkali                        58
       Pengaratan                             60
       Fenomena Alam                          63
       Struktur Binaan                        67
Penyumbang                                    70


                                       iii
Kata Pengantar                                                  5 diolah dalam lima tema iaitu Menyiasat Alam Kehidupan,
                                                                Menyiasat ALam Fizikal, Menyiasat Alam Bahan, Menyiasat
Huraian Sukatan Pelajaran ialah dokumen yang                    Bumi dan Alam Semesta dan Menyiasat Dunia Teknologi.
memperincikan Sukatan Pelajaran yang bertujuan untuk            Organisasi kandungan Sains Tahun 5 dapat mewujudkan
memenuhi cita-cita murni dan semangat Falsafah                  perkaitan antara pelbagai pengetahuan dalam bidang sains
Pendidikan Kebangsaan, dan menyediakan murid                    dan merangkumi ilmu sains yang diperlukan dalam
menghadapi arus globalisasi serta ekonomi berasaskan            pendidikan sains di peringkat sekolah rendah. Di samping
pengetahuan pada abad ke-21.                                    itu, kandungan Sains Tahun 5 menyepadukan pemerolehan
Dokumen ini menyarankan strategi pengajaran dan                 dan aplikasi pengetahuan, penguasaan kemahiran berfikir
pembelajaran yang merangkumi pelbagai aktiviti dan              dan saintifik, penerapan sikap saintifik dan nilai murni.
penggunaan sumber. Guru digalakkan menggunakan                  Kesepaduan ini memberi kefahaman yang lebih bermakna
kreativiti untuk memilih, menyusun dan mengolah aktiviti        dalam pembelajaran sains.
mengikut keperluan pengajaran dan pembelajaran.
Huraian ini akan dapat membantu guru merancang dan              Dalam penyediaan Huraian Sukatan Pelajaran ini, banyak
melaksanakan pengajaran dan pembelajaran secara                 pihak yang terlibat terutamanya guru, pensyarah maktab,
berkesan.                                                       pensyarah universiti, pegawai Kementerian Pendidikan,
                                                                dan individu yang mewakili organisasi tertentu. Kepada
Dalam aktiviti pengajaran dan pembelajaran, guru perlu          semua pihak yang telah memberikan sumbangan
memberikan penekanan pada unsur seperti kemahiran               kepakaran, masa, dan tenaga sehingga terhasilnya Huraian
berfikir, pembelajaran masteri, kemahiran belajar cara          Sukatan Pelajaran ini, Kementerian Pendidikan
belajar, kecerdasan pelbagai, pembelajaran kontekstual,         merakamkan setinggi-tinggi penghargaan dan ucapan
konstruktivisme, teknologi maklumat dan komunikasi,             terima kasih.
pembelajaran akses kendiri dan kajian masa depan. Di
samping itu, nilai murni, semangat patriotik dan
kewarganegaraan tetap diutamakan. Semua unsur ini
dapat mewujudkan pengajaran dan pembelajaran yang
berkesan untuk melahirkan murid yang dapat
mengaplikasikan kemahiran dan pengetahuan dalam                 (Dr. SHARIFAH MAIMUNAH BT. SYED ZIN)
kehidupan harian dan dunia pekerjaan.                           Pengarah
                                                                Pusat Perkembangan Kurikulum
Kandungan mata pelajaran Sains Sekolah Rendah Tahun             Kementerian Pendidikan Malaysia
                                                           ix
PUSAT PERKEMBANGAN KURIKULUM
KEMENTERIAN PENDIDIKAN MALAYSIA
              2003
PENDAHULUAN                                          inovatif serta menjadi penyumbang kepada
                                                                   tamadun sains dan teknologi masa depan. Di
Hasrat        Pendidikan di Malaysia adalah suatu usaha            samping itu, masyarakat ini juga berkebolehan
pendidikan
di Malaysia   berterusan untuk memperkembangkan lagi               untuk mengurus alam dan sumbernya secara op-
              potensi individu secara menyeluruh dan               timum dan bertanggungjawab. Bagi mencapai
              bersepadu supaya dapat melahirkan insan yang         hasrat ini, kita perlu membentuk warganegara
              seimbang, harmonis dan bermoral tinggi. Hasrat       kritis, kreatif dan berketerampilan yang
              ini termaktub dalam Falsafah Pendidikan              mengamalkan budaya sains dan teknologi.
              Kebangsaan. Dalam merealisasikan pembinaan           Warganegara yang berbudaya sains dan
              insan seperti yang dihasratkan itu, pendidikan       teknologi mempamerkan ciri-ciri seperti
              sains dalam Kurikulum Bersepadu Sekolah              bersemangat ingin tahu dan ingin mencuba, celik
              Rendah (KBSR) dan Kurikulum Bersepadu                sains, bersifat terbuka, membuat keputusan
              Sekolah Menengah (KBSM) diwacanakan agar             berdasarkan fakta yang nyata, menghargai
              berupaya membentuk rakyat Malaysia yang              sumbangan sains dan teknologi, menghargai
              seimbang daripada segi jasmani, emosi, rohani        keseimbangan alam, mempunyai iltizam dan
              dan intelek.                                         kesanggupan untuk menyumbang terhadap
                                                                   kemajuan sains dan teknologi.
Masyarakat             Sebagai sebuah negara yang sedang
berilmu,
saintifik     melangkah ke arah status negara maju,                         Sains    adalah satu bidang yang          Sains sebagai
                                                                                                                      bidang ilmu
dan                                                                merangkumi pengetahuan, kemahiran, sikap
progresif
              Malaysia perlu mewujudkan masyarakat yang                                                               pengetahuan
              saintifik dan progresif serta berilmu, yakni         saintifik dan nilai murni. Integrasi antara tiga
              masyarakat yang mempunyai daya perubahan             elemen ini amat penting untuk menjamin mutu
              yang tinggi, memandang jauh ke hadapan,              pendidikan sains. Sebagai satu bidang ilmu


                                                               1
pengetahuan, sains membekalkan satu rangka                      Kurikulum Sains KBSR dan KBSM            Kurikulum
                                                                                                                          sains dari
                 konsep yang membolehkan murid memahami                  digubal untuk murid dari sekolah rendah hingga   sekolah
                                                                                                                          rendah ke
                 alam sekeliling mereka. Ilmu pengetahuan sains          ke sekolah menengah. Kurikulum ini digubal       sekolah
                 ini menjadi lebih bermakna kepada murid                 berdasarkan penguasaan kemahiran dan             menengah

                 apabila       mereka      dibimbing       untuk         penerapan sikap saintifik dan nilai murni.
                 menghubungkaitkan fakta dengan konsep,                  Fokusnya adalah pada pembelajaran sains yang
                 membuat pengitlakan, mengaitkan pembelajaran            berfikrah dan mengoptimumkan hasil
                 baru dengan ilmu yang sedia ada serta                   pembelajaran. Kurikulum sains terdiri daripada
                 mengaplikasikan ilmu ini dalam kehidupan harian.        dua mata pelajaran teras dan empat mata
                                                                         pelajaran elektif. Mata-mata pelajaran teras
Sains sebagai            Sains juga merupakan satu proses yang           adalah Sains untuk sekolah rendah, dan Sains
proses inkuiri
                 mengutamakan kaedah inkuiri dan penyelesaian            untuk sekolah menengah. Mata-mata pelajaran
                 masalah. Justeru, ia memperkembangkan                   elektif ditawarkan di sekolah menengah atas.
                 kemahiran untuk menyiasat alam sekitar yang             Mata-mata pelajaran ini adalah Biologi, Fizik,
                 melibatkan kemahiran berfikir dan strategi              Kimia dan Sains Tambahan.
                 berfikir serta kemahiran saintifik. Ilmu
                 pengetahuan diperoleh sebagai hasil penyiasatan.                Mata pelajaran Sains untuk sekolah       Tujuan mata-
                                                                                                                          mata
                 Inkuiri secara saintifik juga memerlukan dan            rendah dan Sains untuk sekolah menengah          pelajaran
                                                                                                                          sains di
                 membolehkan murid memperkembangkan sikap                rendah direka bentuk untuk memberi               sekolah
                 yang positif. Pembelajaran sains menggalakkan           pengetahuan asas sains kepada murid,             rendah dan
                                                                                                                          sekolah
                 sikap saintifik dan nilai murni termasuk semangat       menyediakan murid supaya celik sains dan         menengah
                 ingin tahu, berfikiran terbuka, tabah, prihatin         mampu mengikuti sains di peringkat menengah
                 terhadap hidupan dan menghargai alam sekitar.           atas. Sains untuk sekolah menengah atas pula


                                                                     2
di samping menghasilkan murid yang celik sains,               Program ini memberikan asas yang
             inovatif, juga menyediakan murid untuk                kukuh kepada murid dalam pengetahuan sains,
             menceburi bidang sains dan teknologi yang lebih       kemahiran berfikir, kemahiran saintifik serta sikap
             umum. Manakala mata-mata pelajaran sains              saintifik dan nilai murni untuk menyediakan
             elektif bertujuan untuk menyediakan murid yang        mereka mempelajari sains di sekolah menengah.
             cenderung, berminat dan berupaya dalam bidang         Melalui program ini murid dapat menghubungkan
             sains untuk menceburi kerjaya bidang sains dan        fakta dengan konsep, membuat pengitlakan dan
             teknologi yang khusus dan profesional. Golongan       menghubungkaitkan pembelajaran baru dengan
             murid ini akan menjadi sumber tenaga manusia          pengetahuan sedia ada mereka.
             dalam bidang sains dan teknologi yang
             memainkan peranan penting dalam pembangunan                    Kurikulum diperjelaskan dalam dua             Kandungan
                                                                                                                          dokumen
             negara.                                               dokumen iaitu Sukatan Pelajaran(SP) dan                kurikulum
                                                                   Huraian Sukatan Pelajaran (HSP) untuk setiap
Fokus mata           Mata pelajaran Sains untuk sekolah            mata pelajaran. SP menggariskan penekanan
pelajaran
Sains        rendah merupakan program tiga tahun untuk mu-         matlamat, objektif dan kandungan kurikulum
Rendah
             rid Tahap II. Ia bertujuan untuk membolehkan          secara umum. HSP memperincikan kehendak
             murid mempelajari tentang diri sendiri dan alam       kurikulum mengikut Tahun. HSP mengandungi
             sekitar mereka melalui pengalaman dan juga            maklumat tentang matlamat dan objektif
             penyiasatan. Melalui program ini murid                kurikulum, penerangan ringkas tentang kemahiran
             berpeluang memahami sesuatu konsep atau               berfikir dan strategi berfikir, kemahiran saintifik,
             fenomena yang berlaku di sekeliling mereka dan        sikap saintifik dan nilai murni, strategi pengajaran
             memberi penjelasan secara saintifik tentang           dan pembelajaran, dan isi kandungan.
             kejadian fenomena tersebut.


                                                               3
Isi kandungan memberi spesifikasi tentang kurikulum
melalui Hasil Pembelajaran yang dihasratkan dan Cadangan
Aktiviti Pembelajaran. Di samping itu bahan sokongan
kurikulum yang bertujuan untuk membantu guru
melaksanakan kurikulum dengan berkesan juga disediakan.




                                                              4
MATLAMAT                                                          2. Memperoleh kefahaman tentang fakta dan konsep sains
                                                                     bagi membantu mereka memahami diri sendiri serta alam
Kurikulum Sains sekolah rendah bertujuan untuk menyemai              sekeliling.
minat murid terhadap sains dan teknologi dan memberi asas
pengetahuan dan kemahiran sains dan teknologi. Justeru,           3. Menguasai kemahiran berfikir dan strategi berfikir melalui
murid mempunyai landasan untuk mengaplikasikan sains dan             pembelajaran berfikrah.
teknologi dalam kehidupan harian untuk mengikuti pelajaran
sains di peringkat yang lebih tinggi di samping mengamalkan       4. Menguasai kemahiran saintifik iaitu kemahiran proses dan
budaya sains dan teknologi ke arah pembentukan masyarakat            kemahiran manipulatif melalui pendekatan inkuiri
bersifat prihatin, dinamik, progresif, bertanggungjawab              penemuan.
terhadap alam sekeliling serta mengagumi penciptaan alam.
                                                                  5. Mengaplikasikan pengetahuan dan kemahiran secara
                                                                     kritis dan kreatif berasaskan sikap saintifik dan nilai murni
                                                                     dalam penyelesaian masalah, membuat keputusan dan
OBJEKTIF
                                                                     mengkonsepsikan.

Kurikulum Sains untuk sekolah rendah membolehkan murid:
                                                                  6. Menilai maklumat berkenaan sains dan teknologi dengan
                                                                     bijak dan berkesan.
1. Memperoleh pengetahuan asas sains dan teknologi dan
   dapat menghubungkaitkan pengetahuan ini dengan
                                                                  7. Mengamalkan sikap saintifik dan nilai murni .
   fenomena alam semula jadi dan pengalaman harian.



                                                              5
8. Mengembangkan minat dalam bidang sains dan teknologi.       10. Menyedari saling hubungan antara kehidupan dan
                                                                   pengurusan alam semula jadi untuk kebeterusan hidup.
9. Menghargai sumbangan dalam sains dan teknologi untuk
   pembangunan negara dan kesejahteraan manusia sejagat.
                                                               11. Menyedari bahawa penemuan melalui penyelidikan sains
                                                                   adalah usaha manusia berasaskan kemampuan akal untuk
                                                                   memahami fenomena alam ke arah mencapai
                                                                   kesejahteraan hidup manusia sejagat.




                                                           6
KEMAHIRAN SAINTIFIK                                                         Penerangan tentang setiap kemahiran proses sains
                                                                   diberi seperti yang berikut:

Sains mengutamakan kaedah inkuiri dan penyelesaian                 Memerhatikan        Menggunakan deria penglihatan,
masalah. Dalam proses inkuiri dan menyelesaikan masalah,                               pendengaran, sentuhan, rasa atau bau
kemahiran saintifik dan kemahiran berfikir digunakan.                                  untuk mengumpulkan maklumat tentang
                                                                                       objek dan fenomena.
Kemahiran saintifik merupakan kemahiran yang penting untuk
menjalankan sebarang aktiviti mengikut kaedah saintifik.
                                                                   Mengelaskan         Mengasingkan dan mengumpulkan
Kaedah seperti eksperimen, penyelidikan, projek merupakan
                                                                                       objek atau fenomena kepada kumpulan
aktiviti yang menggunakan kemahiran saintifik. Kemahiran
                                                                                       masing-masing berdasarkan kriteria
saintifik terdiri daripada kemahiran proses sains dan
                                                                                       tertentu seperti ciri atau sifat.
kemahiran manipulatif.                                                                 Pengumpulan ini adalah berdasarkan
                                                                                       ciri atau sifat sepunya.
Kemahiran Proses Sains
                                                                   Mengukur dan        Membuat pemerhatian secara kuantitatif
Kemahiran proses sains ialah kemahiran yang membolehkan            menggunakan         dengan menggunakan nombor dan alat
murid mempersoalkan sesuatu dan mencari jawapan secara             nombor              berunit piawai    atau alat yang
bersistem. Kemahiran proses sains terdiri daripada kemahiran                           diseragamkan sebagai unit rujukan.
yang mudah kepada yang kompleks.                                                       Pengukuran menjadikan pemerhatian
                                                                                       lebih jitu.

                                                                   M embuat            Membuat kesimpulan awal yang
                                                                   inferens            munasabah, yang mungkin benar atau

                                                               7
tidak benar, untuk menerangkan sesuatu        Mendefinisikan   Memberi tafsiran tentang sesuatu
                peristiwa atau pemerhatian.                   secara operasi   konsep dengan menyatakan perkara
                                                                               yang dilakukan dan diperhatikan.
Meramalkan      Membuat jangkaan tentang sesuatu
                peristiwa berdasarkan pemerhatian dan         Mengawal         Mengenal pasti pemboleh ubah
                pengalaman yang lalu atau data yang           pemboleh ubah    dimanipulasikan, pemboleh ubah
                boleh dipercayai.                                              bergerak balas dan pemboleh ubah
                                                                               yang dimalarkan. Dalam sesuatu
Berkomunikasi   Menerima, memilih, menyusun dan                                penyiasatan satu pemboleh ubah
                mempersembahkan maklumat atau idea                             dimanipulasikan untuk memerhatikan
                dalam pelbagai bentuk seperti tulisan,                         hubungannya dengan pemboleh ubah
                lisan, jadual, graf, rajah atau model.                         yang bergerak balas. Pada masa yang
                                                                               sama pemboleh ubah yang lain
Menggunakan     Memerihalkan perubahan parameter                               dimalarkan.
perhubungan     seperti lokasi, arah, bentuk, saiz, isi
ruang           padu, berat dan jisim sesuatu objek           Membuat          Membuat sesuatu pernyataan umum
dan masa        dengan masa.                                  hipotesis        tentang hubungan antara pemboleh
                                                                               ubah      yang difikirkan benar bagi
Mentafsirkan    Memberi penerangan yang rasional                               menerangkan sesuatu perkara atau
data            tentang objek, peristiwa atau pola                             peristiwa. Pernyataan ini boleh diuji
                daripada data yang dikumpulkan.                                untuk membuktikan kesahihannya.




                                                          8
Mengeksperimen        Merancang dan menjalankan aktiviti
                      untuk menguji sesuatu hipotesis,
                      mengumpulkan data, mentafsirkan
                      data sehingga mendapat rumusan
                      daripada aktiviti itu.


Kemahiran Manipulatif

Kemahiran manipulatif merupakan kemahiran psikomotor
dalam penyiasatan sains yang membolehkan murid melakukan
perkara yang berikut:

•   Menggunakan dan mengendalikan peralatan dan bahan
    sains dengan betul.
•   Menyimpan peralatan dan bahan sains dengan betul dan
    selamat.
•   Membersihkan peralatan sains dengan cara yang betul.
•   Mengendalikan spesimen dengan betul dan cermat.
•   Melakar spesimen, peralatan dan bahan sains dengan
    tepat.




                                                           9
KEMAHIRAN BERFIKIR                                                dengan sistematik sebelum menerimanya. Seseorang yang
                                                                  berfikir secara kreatif mempunyai daya imaginasi tinggi,
                                                                  berupaya menjanakan idea yang inovatif dan asli, serta
Berfikir merupakan satu proses mental yang memerlukan
                                                                  boleh mengubah suai idea dan produk yang sedia ada.
individu menggabungjalinkan pengetahuan, kemahiran dan
                                                                  Strategi berfikir merupakan proses berfikir yang lebih
sikap yang ada pada dirinya bagi membolehkannya
                                                                  tinggi peringkatnya yang melibatkan beberapa langkah dan
memahami dan mencorakkan alam sekelilingnya. Salah
                                                                  setiap langkah melibatkan beberapa kemahiran berfikir
satu objektif sistem pendidikan negara adalah
                                                                  kritis dan kreatif. Strategi berfikir merupakan fungsi utama
mempertingkatkan daya berfikir di kalangan murid.
                                                                  dan matlamat akhir kepada proses berfikir.
Objektif ini boleh dicapai melalui kurikulum yang
menekankan pembelajaran berfikrah. Pembelajaran
                                                                  Kemahiran Berfikir Kritis
berfikrah boleh dicapai jika murid dilibatkan secara aktif
dalam proses pengajaran dan pembelajaran. Dalam
                                                                  Penerangan ringkas tentang setiap kemahiran berfikir kritis
proses ini aktiviti pengajaran dan pembelajaran yang
                                                                  adalah seperti yang berikut :
dirancangkan dapat mencungkil minda murid dan
mendorongnya untuk berfikir agar mereka dapat                     Mencirikan           Mengenal pasti kriteria seperti ciri,
mengkonsepsikan, menyelesaikan masalah dan membuat                                     sifat, kualiti dan unsur sesuatu konsep
keputusan. Pengajaran dan pembelajaran yang                                            atau objek.
menekankan kemahiran berfikir dan strategi berfikir adalah
teras kepada pembelajaran berfikrah.                              Membandingkan        Mencari persamaan dan perbezaan
                                                                  dan                  berdasarkan kriteria seperti ciri, sifat,
         Kemahiran berfikir boleh digolongkan kepada              membezakan           kualiti dan unsur sesuatu objek atau
pemikiran kritis dan pemikiran kreatif. Seseorang yang                                 peristiwa.
berfikir secara kritis akan sentiasa menilai sesuatu idea

                                                             10
Mengumpulkan   Mengasingkan dan mengumpulkan                     Mengesan      Mengesan pandangan atau pendapat
dan            objek atau fenomena kepada                        kecondongan   yang berpihak kepada atau menentang
mengelaskan    kumpulan masing-masing berdasarkan                              sesuatu.
               kriteria tertentu seperti ciri atau sifat.
               Pengumpulan ini adalah berdasarkan                Menilai       Membuat pertimbangan tentang
               ciri atau sifat sepunya.                                        sesuatu perkara dari segi kebaikan dan
                                                                               keburukan, berdasarkan bukti atau
Membuat        Menyusun objek dan maklumat                                     dalil yang sah.
urutan         mengikut tertib berdasarkan kualiti atau
               kuantiti ciri atau sifatnya seperti saiz,         Membuat       Membuat pernyataan tentang hasil
               masa, bentuk atau bilangan.                       kesimpulan    sesuatu kajian yang berdasarkan
                                                                               kepada sesuatu hipotesis atau
Menyusun       Menyusun objek atau maklumat                                    mengukuhkan sesuatu perkara
mengikut       mengikut       tertib    berdasarkan                            berdasarkan penyiasatan.
keutamaan      kepentingan atau kesegeraan.

Menganalisis   Mengolah      maklumat       dengan
               menghuraikannya kepada bahagian
               yang lebih kecil bagi memahami
               sesuatu konsep atau peristiwa serta
               mencari makna yang tersirat.




                                                            11
Kemahiran Berfikir Kreatif                                          Mengitlakkan     Membuat pernyataan umum terhadap
                                                                                     sesuatu perkara untuk keseluruhan
Penerangan ringkas tentang setiap kemahiran berfikir kreatif                         kumpulan berdasarkan pemerhatian ke
adalah seperti yang berikut:                                                         atas sampel atau beberapa maklumat
                                                                                     daripada kumpulan itu.
Menjanakan           Menghasilkan idea yang berkaitan
idea                 dengan sesuatu perkara.                        Membuat          Membuat         tanggapan       atau
                                                                    gambaran         membayangkan sesuatu idea, konsep,
Menghubungkait       Membuat perkaitan dalam sesuatu                mental           keadaan atau gagasan dalam minda atau
-kan                 keadaan atau peristiwa untuk mencari                            fikiran.
                     sesuatu struktur atau corak
                     perhubungan.                                   Mensintesiskan   Menggabungkan unsur yang berasingan
                                                                                     untuk menghasilkan satu gambaran
Membuat              Membuat kesimpulan awal yang                                    menyeluruh dalam bentuk seperti
inferens             munasabah, yang mungkin benar atau                              pernyataan, lukisan dan artifak.
                     tidak benar untuk menerangkan sesuatu
                     peristiwa atau pemerhatian.                    Membuat          Membuat sesuatu pernyataan umum
                                                                    hipotesis        tentang hubungan antara pemboleh ubah
Meramalkan           Membuat jangkaan tentang sesuatu                                yang difikirkan benar bagi menerangkan
                     peristiwa berdasarkan pemerhatian dan                           sesuatu perkara atau peristiwa.
                     pengalaman yang lalu atau data yang                             Pernyataan ini boleh diuji untuk
                     boleh dipercayai.                                               membuktikan kesahihannya.



                                                               12
Menganalogikan        Membentuk kefahaman tentang sesuatu                                    saling berhubung kait.
                      konsep yang kompleks atau mujarad                Membuat               Memilih satu alternatif penyelesaian yang
                      secara mengaitkan konsep itu dengan              keputusan             terbaik daripada beberapa alternatif
                      konsep yang mudah atau maujud yang                                     berdasarkan kriteria tertentu bagi
                      mempunyai ciri yang serupa.                                            mencapai matlamat yang ditetapkan.

Mereka cipta          Menghasilkan sesuatu yang baru atau              Menyelesaikan         Mencari penyelesaian yang tepat secara
                      melakukan pengubahsuaian kepada                  masalah               terancang terhadap situasi yang tidak
                      sesuatu yang sedia ada untuk mengatasi                                 pasti atau mencabar ataupun kesulitan
                      masalah secara terancang.                                              yang tidak dijangkakan.

Kemahiran Berfikir Kritis dan Kreatif tersebut digunakan dalam                Selain daripada kemahiran berfikir dan strategi berfikir
strategi berfikir.                                                     yang tersebut, kemahiran menaakul merupakan satu lagi
                                                                       kemahiran yang diutamakan. Kemahiran menaakul ialah
                                                                       kemahiran yang digunakan dalam membuat pertimbangan
Strategi Berfikir                                                      secara logik, rasional, adil dan saksama. Penguasaan
                                                                       kemahiran berfikir kritis, kreatif dan strategi berfikir menjadi
Penerangan tentang setiap strategi berfikir adalah seperti yang
                                                                       lebih mudah jika seseorang itu berkebolehan membuat
berikut:
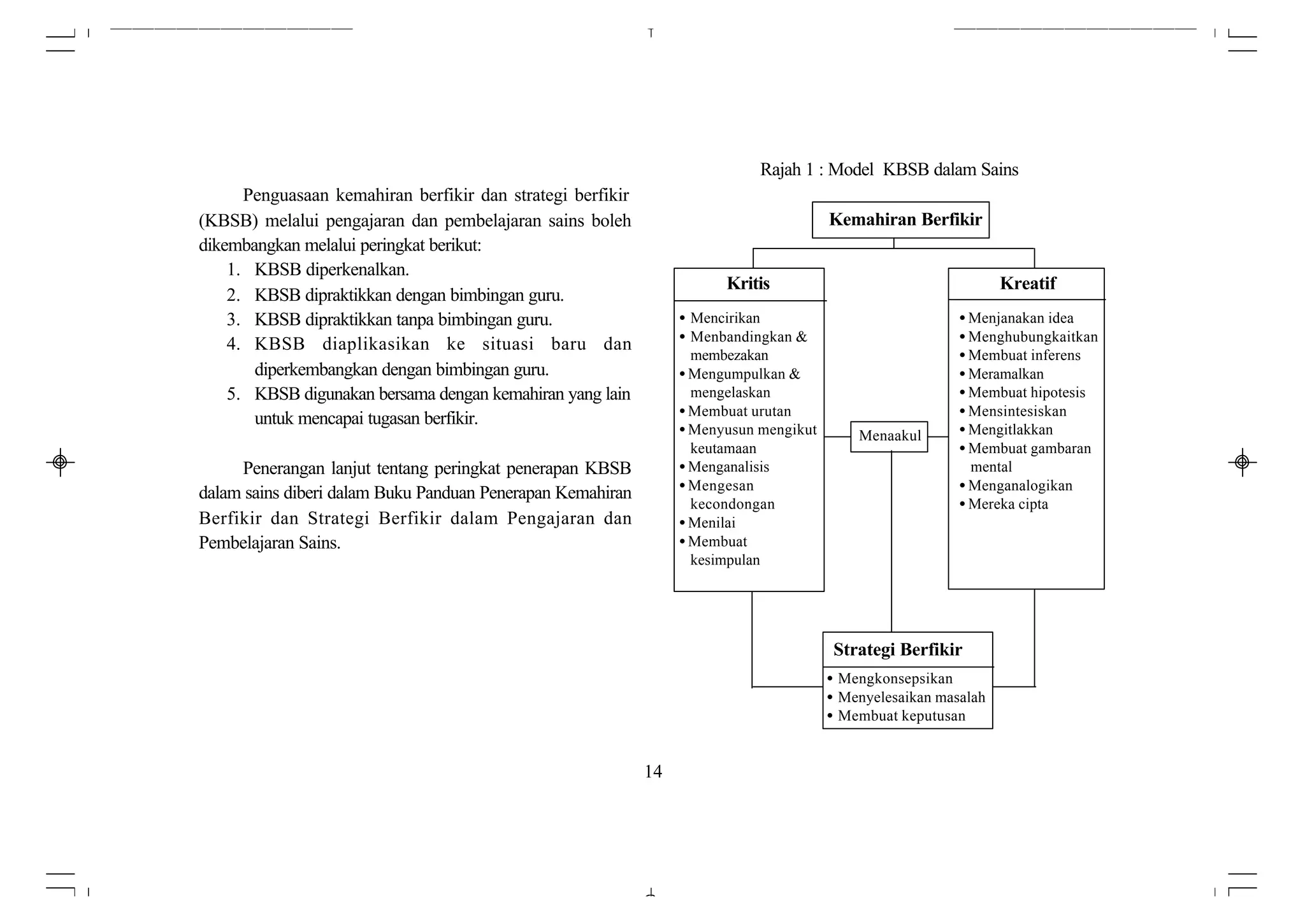
                                                                       penaakulan secara induktif dan deduktif. Rajah 1 memberi
Menkonsepsikan        Membuat pengitlakan ke arah membina              gambaran keseluruhan tentang kemahiran berfikir dan strategi
                      pengertian, konsep atau model                    berfikir.
                      berdasarkan ciri spesifik sepunya yang


                                                                  13
Rajah 1 : Model KBSB dalam Sains
      Penguasaan kemahiran berfikir dan strategi berfikir
(KBSB) melalui pengajaran dan pembelajaran sains boleh                                 Kemahiran Berfikir
dikembangkan melalui peringkat berikut:
    1. KBSB diperkenalkan.
                                                                       Kritis                                    Kreatif
    2. KBSB dipraktikkan dengan bimbingan guru.
    3. KBSB dipraktikkan tanpa bimbingan guru.                   • Mencirikan                             • Menjanakan idea
                                                                 • Menbandingkan &                        • Menghubungkaitkan
    4. KBSB diaplikasikan ke situasi baru dan
                                                                   membezakan                             • Membuat inferens
       diperkembangkan dengan bimbingan guru.                    • Mengumpulkan &                         • Meramalkan
    5. KBSB digunakan bersama dengan kemahiran yang lain           mengelaskan                            • Membuat hipotesis
                                                                 • Membuat urutan                         • Mensintesiskan
       untuk mencapai tugasan berfikir.
                                                                 • Menyusun mengikut       Menaakul       • Mengitlakkan
                                                                   keutamaan                              • Membuat gambaran
     Penerangan lanjut tentang peringkat penerapan KBSB          • Menganalisis                             mental
                                                                 • Mengesan                               • Menganalogikan
dalam sains diberi dalam Buku Panduan Penerapan Kemahiran
                                                                   kecondongan                            • Mereka cipta
Berfikir dan Strategi Berfikir dalam Pengajaran dan              • Menilai
Pembelajaran Sains.                                              • Membuat
                                                                   kesimpulan




                                                                                        Strategi Berfikir
                                                                                       • Mengkonsepsikan
                                                                                       • Menyelesaikan masalah
                                                                                       • Membuat keputusan


                                                            14
Perkaitan antara Kemahiran Berfikir dan                                 Kemahiran Proses   Kemahiran Berfikir
Kemahiran Proses Sains                                                  Sains
                                                                        Mengelaskan        Mencirikan
Kemahiran proses sains ialah kemahiran yang diperlukan untuk                               Membandingkan dan
mencari jawapan kepada sesuatu masalah atau membuat                                        membezakan
keputusan secara bersistem. Ia merupakan satu proses mental                                Mengumpulkan dan
yang menggalakkan pemikiran secara kritis, kreatif, analitis dan                           mengelaskan
sistematik. Penguasaan kemahiran proses sains bersama
dengan sikap dan pengetahuan yang sesuai menjamin                       Mengukur dan       Menghubungkaitkan
keupayaan murid untuk berfikir secara berkesan.                         menggunakan        Membandingkan dan
                                                                        nombor             membezakan
         Untuk menguasai kemahiran proses sains, seseorang
                                                                        Membuat            Menghubungkaitkan
perlu menguasai kemahiran berfikir yang berkaitan. Kemahiran
                                                                        inferens           Membandingkan dan
berfikir utama yang berkaitan dengan setiap kemahiran proses
                                                                                           membezakan
sains adalah seperti yang berikut:                                                         Menganalisis
                                                                                           Membuat inferens
Kemahiran Proses             Kemahiran Berfikir
Sains                                                                   Meramalkan         Menghubungkaitkan
Memerhatikan                 Mencirikan                                                    Membuat gambaran mental
                             Membandingkan dan
                             membezakan                                 Menggunakan        Membuat urutan
                             Menghubungkaitkan                          perhubungan        Menyusun mengikut keutamaan
                                                                        ruang dan masa


                                                                   15
Kemahiran Proses     Kemahiran Berfikir             Kemahiran Proses           Kemahiran Berfikir
Sains                                               Sains
Mentafsirkan data    Membandingkan dan                                         Membandingkan dan
                     membezakan                                                membezakan
                     Menganalisis                                              Menjanakan idea
                     Mengesan kecondongan                                      Membuat hipotesis
                     Membuat kesimpulan                                        Meramalkan
                     Mengitlakkan                                              Mensintesiskan
                     Menilai
                                                    Mengeksperimen             Semua kemahiran berfikir
Mendefinisi secara   Menghubungkaitkan
operasi              Menganalogikan                 Berkomunikasi              Semua kemahiran berfikir
                     Membuat gambaran mental
                     Menganalisis                   Pengajaran dan Pembelajaran yang
                                                    Berteraskan Kemahiran Berfikir dan
Mengawal pemboleh    Mencirikan                     Kemahiran Saintifik
ubah                 Membandingkan dan
                     membezakan                     Kurikulum sains ini menekankan pembelajaran berfikrah yang
                     Menghubungkaitkan              berteraskan kemahiran berfikir dan kemahiran saintifik. Dalam
                     Menganalisis                   kurikulum ini, hasil pembelajaran yang dihasratkan ditulis
                                                    secara mengintegrasikan pemerolehan pengetahuan dengan
Membuat hipotesis    Mencirikan                     penguasaan kemahiran iaitu kemahiran berfikir dan kemahiran
                     Menghubungkaitkan

                                               16
saintifik. Dalam pengajaran dan pembelajaran, guru perlu            Contoh (ii):
menitikberatkan penguasaan kemahiran bersama dengan
pemerolehan pengetahuan, di samping penerapan nilai murni           Hasil Pembelajaran:    Membuat kesimpulan             tentang
dan sikap saintifik.                                                                       pergerakan cahaya.

Berikut diberi beberapa contoh hasil pembelajaran yang              Kemahiran Proses       Membuat kesimpulan.
berkaitan dengan pengajaran dan pembelajaran yang                   Sains:
berteraskan kemahiran berfikir dan kemahiran saintifik serta
penerangannya.
                                                                     Penerangan:
Contoh (i):
                                                                     Sebelum hasil pembelajaran ini, murid telah membuat aktiviti
Hasil Pembelajaran:   Membuat inferens tentang penghasilan           sama ada menyusun skrin kadbod yang dilubangkan atau
                      bunyi.                                         menggunakan kebuk asapyang dipancarkan cahaya dan
                                                                     membuat pemerhatian. Untuk mencapai hasil pembelajaran
Kemahiran Berfikir:   Membuat inferens                               yang dihasratkan ini, murid perlu membuat inferens tentang
                                                                     pemerhatian mereka dan akhirnya membuat kesimpulan
                                                                     tentang pergerakan cahaya.
Penerangan:
Untuk mencapai hasil pembelajaran yang tersebut, pengetahuan
tentang pelbagai jenis bunyi dipelajari melalui aktiviti
membandingkan dan membezakan. Penguasaan kemahiran
membuat inferens adalah sama penting dengan pengetahuan
tentang bagaimana bunyi dihasilkan.

                                                               17
SIKAP SAINTIFIK DAN NILAI                                               •   Berfikiran kritikal dan analitis.
                                                                        •   Luwes dan berfikiran terbuka.
MURNI                                                                   •   Baik hati dan penyayang.
                                                                        •   Bersifat objektif.
Pengalaman pembelajaran sains boleh memupuk sikap dan nilai             •   Sistematik.
positif dalam diri murid. Sikap dan nilai positif yang dipupuk          •   Bekerjasama.
dalam pembelajaran sains di sekolah meliputi sikap saintifik dan        •   Adil dan saksama.
nilai murni seperti yang berikut:                                       •   Berani mencuba.
                                                                        •   Berfikir secara rasional.
•   Minat dan bersifat ingin tahu tentang alam sekeliling.              •   Yakin dan berdikari.
•   Jujur dan tepat dalam merekod dan mengesahkan data.
•   Rajin dan tabah dalam menjalankan atau menceburi sesuatu                  Penerapan sikap saintifik dan nilai murni secara umum
    perkara.                                                            berlaku mengikut peringkat berikut iaitu menyedari dan
•   Bertanggungjawab ke atas keselamatan diri dan rakan serta           memahami kepentingan dan keperluan sikap saintifik dan nilai
    terhadap alam sekitar.                                              murni, memberi perhatian serta respons, menghayati,
•   Menyedari bahawa sains merupakan satu dripada cara                  mengamalkan dan seterusnya menjadikan sikap saintifik dan
    untuk memahami alam.                                                nilai murni sebagai budaya kehidupan. Peringkat ini perlu
•   Menghargai dan mengamalkan kehidupan yang bersih dan                diambil kira semasa merancang aktiviti pengajaran dan
    sihat.                                                              pembelajaran sains agar penerapan sikap saintifik dan nilai murni
•   Menghargai keseimbangan alam semula jadi.                           berlaku secara berkesan.
•   Berhemah tinggi dan hormat-menghormati.
•   Menghargai sumbangan sains dan teknologi.                                 Dalam kurikulum ini, hasil pembelajaran untuk domain
•   Mensyukuri nikmat yang dikurniakan Tuhan.                           afektif dieksplisitkan di akhir setiap bidang pembelajaran.


                                                                   18
Walau bagaimanapun, dalam pengajaran dan pembelajaran,                Contoh (ii):
penerapan sikap saintifik dan nilai murni harus berlaku secara
berterusan. Contohnya semasa pelajaran yang melibatkan kerja          Hasil Pembelajaran:    Mensyukuri bahawa manusia adalah
amali, guru perlu sentiasa mengingatkan murid tentang                                        sebaik-baik kejadian.
kepentingan menjalankan eksperimen secara teliti, cermat,
                                                                      Sikap saintifik        Mensyukuri nikmat yang dikurniakan
bekerjasama, jujur dan tabah.
                                                                      dan nilai murni:       Tuhan.
         Perancangan yang rapi adalah diperlukan untuk
                                                                      Penerapan Unsur Patriotisme
mengoptimumkan penerapan sikap saintifik dan nilai murni
semasa pelajaran sains. Adalah digalakkan guru meneliti semua
                                                                      Kurikulum sains dapat mengukuhkan dan memupuk unsur
hasil pembelajaran dalam sesuatu bidang pembelajaran yang
                                                                      patriotisme dan nilai kewarganegaraan di kalangan murid bagi
berkaitan termasuk hasil pembelajaran tentang penerapan sikap
                                                                      meningkatkan komitmen individu terhadap bangsa dan negara.
saintifik dan nilai murni sebelum memulakan pelajaran untuk
                                                                      Melalui tajuk yang berkaitan dengan sumber bumi, kekayaan
sesuatu bidang pembelajaran. Berikut diberi contoh objektif
                                                                      dan kepelbagaian hidupan serta perkembangan sains dan
pembelajaran yang berkaitan dengan penerapan sikap saintifik
                                                                      teknologi di negara kita, semangat mencintai negara dapat
dan nilai murni.
                                                                      dikukuhkan.
Contoh (i):

Hasil Pembelajaran:    Menghargai sumbangan teknologi
                       dalam pengawetan makanan untuk
                       kesejahteraan hidup.
Sikap saintifik        Menghargai sumbangan sains dan
                       teknologi.
dan nilai murni:
                                                                 19
STRATEGI PENGAJARAN DAN                                               Pendekatan Pengajaran dan Pembelajaran
                                                                      Sains
PEMBELAJARAN
                                                                      Pendekatan Inkuiri Penemuan
Strategi pengajaran dan pembelajaran dalam kurikulum sains
mengutamakan pembelajaran berfikrah. Pembelajaran                     Pendekatan inkuiri penemuan merupakan pendekatan yang
berfikrah adalah satu proses pemerolehan dan penguasaan               mementingkan pembelajaran melalui pengalaman. Inkuiri
kemahiran dan ilmu pengetahuan yang dapat mengembangkan               secara am bermaksud mencari maklumat, menyoal dan
minda seseorang murid ke tahap yang optimum. Aktiviti yang            menyiasat sesuatu fenomena yang berlaku di sekeliling.
dirancangkan dalam pembelajaran berfikrah mesti yang dapat            Penemuan merupakan sifat utama inkuiri. Pembelajaran
mencetuskan pemikiran kritis dan kreatif murid dan bukan              secara penemuan berlaku apabila konsep dan prinsip utama
berbentuk rutin.      Murid perlu sedar secara eksplisit              dikaji dan ditemui oleh murid sendiri. Murid melalui aktiviti
kemahiran berfikir dan strategi berfikir yang digunakan dalam         seperti eksperimen akan menyiasat sesuatu fenomena dan
pembelajaran. Soalan atau masalah yang beraras tinggi                 mencapai kesimpulan sendiri. Guru kemudian membimbing
ditanyakan kepada murid dan murid diminta menyelesaikan               murid untuk memahami konsep sains melalui hasil inkuiri
masalah menggunakan daya kreatif dan kritis mereka. Murid             penemuan tersebut. Kemahiran berfikir dan kemahiran
dilibatkan secara aktif dalam pengajaran dan pembelajaran             saintifik dikembangkan semasa proses inkuiri penemuan ini.
yang       mengintegrasikan     pemerolehan       pengetahuan,        Namun demikian, perlu diingat bahawa pendekatan inkuiri
penguasaan kemahiran dan penerapan nilai murni dan sikap              penemuan tidak sesuai digunakan dalam semua situasi
saintifik.                                                            pengajaran dan pembelajaran. Beberapa konsep dan prinsip
          Pembelajaran berfikrah boleh berlaku melalui                lebih sesuai didedahkan secara langsung oleh guru atau
pendekatan seperti inkuiri, konstruktivisme, sains, teknologi         melalui inkuiri penemuan terbimbing.
dan masyarakat, pembelajaran kontekstual, pembelajaran
masteri.

                                                                 20
Konstruktivisme                                                  diwujudkan dalam kurikulum ini.         Pendekatan STM
                                                                 mengesyorkan pembelajaran sains melalui penyiasatan dan
Konstruktivisme ialah satu fahaman yang mencadangkan             perbincangan berlandaskan isu sains dan teknologi dalam
bahawa murid belajar sesuatu dengan cara membina sendiri         masyarakat. Pengetahuan sains dan teknologi dipelajari
pemahaman yang bermakna terhadap alam sekeliling mereka.         bersama dengan aplikasi sains dan teknologi serta implikasi
Antara unsur penting dalam konstruktivisme adalah seperti        kepada masyarakat.
berikut:
                                                                 Pembelajaran Kontekstual
§   Guru mengambil kira pengetahuan sedia ada murid.
§   Pembelajaran adalah hasil usaha murid itu sendiri.           Pembelajaran kontekstual adalah pembelajaran yang
§   Pembelajaran berlaku bila murid menghubungkan idea           dikaitkan dengan kehidupan harian murid. Pendekatan
    asal dengan idea baru bagi menstrukturkan semula idea        kontekstual digunakan di mana murid belajar secara
    mereka.                                                      menyiasat seperti dalam pendekatan inkuiri-penemuan.
§   Murid berpeluang bekerjasama, berkongsi idea dan             Dalam pembelajaran kontekstual, kaitan di antara bahan yang
    pengalaman serta membuat refleksi.                           diajar dengan kehidupan harian dieksplisitkan. Dalam
                                                                 konteks ini, murid tidak belajar secara teori sahaja tetapi
Pendekatan Sains, Teknologi dan Masyarakat                       dapat menghayati kerelevanan pembelajaran sains dengan
                                                                 kehidupan mereka.
Pembelajaran yang bermakna akan berlaku jika murid dapat
menghubungkaitkan apa yang dipelajari dengan kehidupan           Pembelajaran Masteri
harian mereka. Pembelajaran bermakna berlaku dalam
pendekatan seperti pembelajaran kontekstual dan                  Pembelajaran Masteri merupakan satu pendekatan yang
Pendekatan Sains, Teknologi dan Masyarakat (STM). Tema           memastikan semua murid menguasai objektif pembelajaran
dan objektif pembelajaran yang berunsurkan STM                   yang ditetapkan. Pendekatan ini berpegang kepada prinsip

                                                            21
bahawa setiap murid mampu belajar jika diberi peluang.               pengajaran dan pembelajaran. Guru perlu prihatin terhadap
Peluang perlu diberi kepada murid untuk belajar mengikut             kepelbagaian jenis kecerdasan di kalangan murid. Kaedah
kadarnya, tindakan pengayaan dan pemulihan perlu dijadikan           dan aktiviti yang berbeza perlu dirancang untuk murid yang
sebahagian daripada proses pengajaran dan pembelajaran.              berbeza kecerdasan . Contoh kecerdasan ini adalah visual
                                                                     dan ruang, verbal linguistik, muzik dan irama, logikal
Kaedah Pengajaran dan Pembelajaran                                   matematik, kinestetik, perhubungan antara individu,
                                                                     perhubungan dengan diri sendiri, perhubungan antara insan
Pendekatan pengajaran dan pembelajaran tersebut boleh                dengan Penciptanya, pemahaman tentang alam sekitar.
dilaksanakan melalui pelbagai kaedah pengajaran dan
pembelajaran seperti eksperimen, perbincangan, simulasi,                     Berikut diberikan     penerangan ringkas tentang
projek, penggunaan sumber luar bilik darjah, kajian masa             kaedah ini.
depan dan penyelesaian masalah. Dalam kurikulum ini,
cadangan kaedah pengajaran dan pembelajaran untuk                    Eksperimen
mencapai objektif pembelajaran yang tertentu dinyatakan
secara eksplisit dalam bentuk cadangan aktiviti pembelajaran.        E ksperimen adalah satu kaedah yang lazim dijalankan dalam
Walau bagaimanapun guru boleh mengubahsuaikan cadangan               pelajaran sains. Murid menguji hipotesis secara penyiasatan
aktiviti pembelajaran jika perlu.                                    untuk menemui konsep atau idea sains yang tertentu. Kaedah
                                                                     saintifik digunakan semasa eksperimen. Menjalankan
        Penentuan kaedah pengajaran dan pembelajaran                 eksperimen menggunakan kemahiran berfikir, kemahiran
seharusnya berdasarkan kandungan kurikulum, kebolehan                proses dan kemahiran manipulatif.
dan kepelbagaian jenis kecerdasan murid serta sumber dan
prasarana yang ada. Di samping berperanan sebagai                         Secara kebiasaan, langkah yang diikuti semasa
penyampai pengetahuan dan pakar rujuk bidang                         menjalankan eksperimen adalah seperti yang berikut:
pengajarannya, guru juga berperanan sebagai fasilitator dalam        § Mengenal pasti masalah

                                                                22
§   Membuat hipotesis                                             Perbincangan
§   Merancang eksperimen
     - mengawal pemboleh ubah                                     Perbincangan adalah aktiviti di mana murid menyoal dan
     - menentukan peralatan dan bahan yang diperlukan             mengemukakan pendapat berlandaskan dalil atau alasan yang
     - menentukan langkah       menjalankan eksperimen,           sahih. Semasa perbincangan, murid perlu mempunyai fikiran
       kaedah mengumpulkan data dan menganalisis data             terbuka untuk menerima pendapat orang lain. Perbincangan
§   Melakukan eksperimen                                          perlu dijalankan semasa dan selepas menjalankan
§   Mengumpulkan data                                             eksperimen, projek, aktiviti mengumpulkan dan mentafsirkan
§   Menganalisis data                                             data, simulasi, penggunaan sumber luar bilik darjah,
§   Mentafsirkan data                                             penyelesaian masalah dan lain-lain.
§   Membuat kesimpulan
§   Membuat pelaporan                                             Simulasi

Dalam kurikulum ini, adalah dicadangkan selain daripada           Simulasi adalah aktiviti yang dijalankan menyerupai yang
eksperimen yang di bimbing oleh guru, murid diberi peluang        sebenarnya. Simulasi boleh dilaksanakan melaui main
mereka bentuk eksperimen, iaitu mereka sendiri yang               peranan, permainan dan penggunaan model. Dalam main
merangka cara eksperimen yang berkenaan              boleh        peranan, murid melakonkan sesuatu peranan secara spontan
dijalankan, data yang boleh diukur dan bagaimana                  berdasarkan beberapa syarat yang telah ditentukan.
menganalisis data serta bagaimana membentangkan hasil             Permainan pula mempunyai peraturan yang harus dipatuhi.
eksperimen mereka. Aktiviti ini boleh dijalankan secara           Murid bermain untuk mempelajari sesuatu prinsip ataupun
bersendirian atau secara kumpulan kecil.                          untuk memahami proses membuat keputusan. Model boleh




                                                             23
digunakan untuk mewakili objek atau keadaan sebenar.                     di mana murid perlu menjalankan aktiviti atau melaksanakan
Murid dapat membayangkan situasi tersebut dan seterusnya                 tugasan semasa lawatan. Perbincangan selepas lawatan perlu
memahami konsep dan prinsip yang dipelajari.                             diadakan. Kajian lapangan yang sering dijalankan dalam tajuk
                                                                         ekologi merupakan satu daripada contoh kaedah ini.
Projek
                                                                         Kajian Masa Depan
Projek adalah aktiviti yang dijalankan oleh individu atau se
kumpulan murid untuk mencapai sesuatu tujuan tertentu dan                Murid menggunakan pemikiran kritis dan kreatif untuk
mengambil masa yang panjang serta menjangkau waktu                       meninjau perubahan keadaan daripada masa lalu ke masa
pembelajaran yang formal. Murid dikehendaki mengenal pasti               sekarang dan meramalkan keadaan pada masa depan.
kaedah untuk menyelesaikan masalah yang dikemukakan dan                  Pedagogi ini berpusatkan murid dan menggabungjalinkan
seterusnya merancang keseluruhan projek. Hasil projek                    pelbagai bidang seperti pendidikan moral dan pendidikan alam
dalam bentuk        laporan, artifak atau lain-lain perlu                sekitar. Nilai murni seperti bertanggungjawab dan bekerjasama
dibentangkan kepada guru dan murid lain.                                 dipupuk melalui kaedah ini.

                                                                         Penyelesaian Masalah
Penggunaan Sumber Luar Bilik Darjah
                                                                         Penyelesaian masalah adalah satu kaedah yang melibatkan
Pembelajaran sains melalui lawatan ke tempat seperti zoo,                murid secara aktif untuk membuat keputusan atau untuk
muzium, pusat sains, institut penyelidikan, paya bakau dan kilang        mencapai sasaran tertentu. Semasa penyelesaian masalah,
boleh menjadikan pembelajaran lebih berkesan,                            aktiviti seperti simulasi, perbincangan dan eksperimen boleh
menyeronokkan dan bermakna. Untuk mengoptimumkan                         dijalankan. Secara umum penyelesaian masalah melibatkan
pembelajaran melalui lawatan, ia mesti dirancang secara rapi             langkah seperti yang berikut:


                                                                    24
•   Kenal pasti dan faham masalah                                       kaedah untuk mengajar konsep sains yang mujarad dan sukar.
•   Jelaskan masalah                                                    Simulasi dan animasi berkomputer boleh dipersembahkan
•   Cari alternatif penyelesaian masalah                                dalam bentuk perisian atau melalui pembelajaran melalui laman
•   Lakukan operasi penyelesaian                                        web. Dalam konteks ini, teknologi maklumat berpotensi
•   Nilaikan penyelesaian                                               menjadikan pembelajaran lebih menyeronokkan dan berkesan.
                                                                        Selain daripada ini, teknologi maklumat seperti komputer juga
Penggunaan Teknologi dalam Pengajaran dan                               digunakan sebagai peralatan pemprosesan perkataan dan
Pembelajaran Sains                                                      persembahan.

Kemahiran memilih, mengumpul, mentafsir dan menilai data                      Penggunaan teknologi lain seperti penggunaan antara
merupakan kemahiran yang dihasratkan dalam kurikulum sains              muka berkomputer amat membantu dalam meningkatkan minat
ini. Data yang telah ditafsir dan diproses akan menjadi                 murid belajar sains dan meningkatkan keberkesanan pengajaran
maklumat. Data tidak semestinya wujud dalam bentuk                      dan pembelajaran sains. Antara muka berkomputer boleh
maklumat berangka. Proses pengumpulan data dan data yang                digunakan semasa menjalankan eksperimen untuk
diperoleh masing-masing akan membawa murid ke arah                      meningkatkan keberkesanan pengajaran dan pembelajaran.
pencapaian hasil pembelajaran. Murid boleh mengumpul data
daripada bahan cetak, bahan elektronik, pakar rujuk atau                       Teknologi maklumat digunakan sebagai satu saluran untuk
sumber lain. Dalam konteks ini, teknologi maklumat memainkan            mengoptimumkan hasil pembelajaran. Selain daripada itu,
peranan yang penting sebagai sumber data. Contoh teknologi              penggunaan teknologi secara umum memudahkan
maklumat dan komunikasi ialah televisyen, radio, video, perisian        pembelajaran terarah kendiri dan pembelajaran mengikut kadar
komputer, perisian kursus, Internet dan kemudahan telesidang.           sendiri yang seterusnya membenarkan integrasi mengufuk dan

       Simulasi dan animasi berkomputer merupakan satu lagi


                                                                   25
integrasi menegak berlaku dalam sistem persekolahan kita.            dalam membantu meningkatkan mutu pengajaran dan
                                                                     pembelajaran sains.
Bahan yang boleh membantu pengajaran dan
pembelajaran sains

Bersama dengan dokumen Sukatan Pelajaran dan Huraian
Sukatan Pelajaran ini, Pusat Perkembangan Kurikulum juga
menerbitkan beberapa bahan untuk membantu meningkatkan
keberkesanan pengajaran dan pembelajaran sains. Bahan ini
adalah seperti yang berikut:

   1. Buku Panduan Penerapan Kemahiran Berfikir dan
      Strategi Berfikir dalam Pengajaran dan Pembelajaran
      Sains
   2. Buku Panduan Pembelajaran Masteri
   3. Buku Panduan Pengurusan Makmal
   4. Buku Panduan Kemahiran Proses Sains
   5. Sistem Maklumat dalam Pengajaran dan Pembelajaran
      Sains

       Selain daripada bahan ini, bahan seperti buku teks,
perisian dan laman web yang dihasilkan oleh Kementerian
Pendidikan atau agensi lain yang berwibawa juga boleh dirujuk


                                                                26
ORGANISASI KANDUNGAN                                                  A2 dan A3 ditulis dalam bentuk objektif perlakuan yang boleh
                                                                      diukur. Objektif perlakuan ini mengandungi unsur pengetahuan,
                                                                      kemahiran saintifik, kemahiran berfikir, sikap saintifik dan nilai
Kurikulum sains KBSR Tahap II disusun atur mengikut                   murni yang sesuai dengan objektif pembelajaran umum yang
beberapa tema yang terdiri dari lima Bidang Penyiasatan (BP)          dinyatakan dalam HP. A1, A2 dan A3 merujuk kepada
iaitu Menyiasat Alam Kehidupan, Menyiasat Alam Fizikal,               kedalaman dan skop HP yang berkenaan. A1 adalah aras yang
Menyiasat Alam Bahan, Menyiasat Bumi dan Alam Semesta                 asas dan harus dikuasai oleh murid sebelum melanjut ke A2
dan Menyiasat Dunia Teknologi. Setiap BP mempunyai                    dan seterusnya ke A 3.
beberapa Hasil Pembelajaran (HP). HP terdiri daripada HP
umum dan HP khusus.                                                         Secara am, HP dalam sesuatu BP disusun secara
                                                                      berurutan daripada mudah ke kompleks. HP sebaik-baiknya
      HP umum ditulis mengikut peringkat dalam domain                 dipelajari mengikut urutannya dalam setiap BP. Walau
kognitif dan afektif. Peringkat dalam domain kognitif adalah          bagaimanapun, dalam pengajaran dan pembelajaran, urutan HP
mengetahui, memahami, mengaplikasikan, menganalisis,                  dan BP boleh diubahsuai mengikut keperluan atau konteks.
mensintesiskan dan menilai. Peringkat dalam domain afektif
adalah menyedari, menghargai, menghayati, mengagumi,                        Cadangan Aktiviti Pembelajaran memberi cadangan
menyayangi, mensyukuri dan mengamalkan. Hasil pembelajaran            pengalaman pembelajaran yang akan dilalui oleh murid. Ia juga
dalam domain psikomotor adalah tersirat dalam aktiviti                memberi maklumat tentang skop dan kedalaman sesuatu hasil
pembelajaran yang dicadangkan.                                        pemblajaran. Cadangan Aktiviti Pembelajaran diberi untuk
                                                                      membantu guru merancang aktiviti yang perlu dijalankan bagi
      Setiap HP umum seterusnya diperincikan kepada HP                mencapai HP yang berkaitan. Satu aktiviti mungkin
khusus yang ditulis dalam tiga aras, iaitu Aras 1 (A1), Aras 2        dicadangkan untuk mencapai satu atau lebih hasil
(A2) dan Aras 3 (A3). Hasil pembelajaran khusus dalam A1,             pembelajaran. Pada masa yang sama, lebih daripada satu aktiviti


                                                                 27
mungkin dicadangkan untuk satu hasil pembelajaran. Guru              Perkataan atau Frasa       Perkataan atau Frasa Yang
boleh mengubahsuai cadangan aktiviti ini sesuai dengan jenis        Yang Digunakan Dalam         Digunakan Dalam Hasil
kecerdasan, tahap kebolehan murid dan juga keadaan                    Hasil Pembelajaran          Pembelajaran Khusus
sekeliling mereka. Guru digalakkan mereka bentuk aktiviti                   Umum
tambahan yang inovatif dan berkesan untuk meningkatkan mutu                                 •   Memadankan
pengajaran dan pembelajaran sains.                                                          •   Menamakan
                                                                                            •   Menyatakan
Penulisan Hasil Pembelajaran                                                                •   Melukis
Hasil pembelajaran umum dan hasil pembelajaran khusus                                       •   Menulis
dalam domain kognitif dan domain psikomotor ditulis                                         •   Melakar
menggunakan perkataan mengikut prinsip yang telah digubal
                                                                    Memahami                •   Mengubah
bersesuaian dengan hierarki aras berfikir seperti dalam                                     •   Menganggar
Jadual 1: Perkataan atau Frasa Yang Digunakan dalam Hasil                                   •   Menerangkan
                                                                    - menterjemahkan
          Pembelajaran Domain Kognitif dan Domain
                                                                    bahan atau idea         •   Memberi contoh
          Psikomotor
                                                                    daripada satu bentuk    •   Mengukur
  Perkataan atau Frasa        Perkataan atau Frasa Yang                                     •   Menyukat
                                                                    ke bentuk lain;
 Yang Digunakan Dalam           Digunakan Dalam Hasil                                       •   Menentukan
                                                                    mentafsir bahan atau
   Hasil Pembelajaran            Pembelajaran Khusus                                        •   Menukar
                                                                    idea, menganggar        •   Membandingkan dan
         Umum                                                       trend masa depan.           membezakan
 Mengetahui               •   Mentakrifkan                                                  •   Meramalkan
 - mengingat kembali      •   Memerihalkan                                                  •   Membuat inferens
                          •   Mengenal pasti                                                •   Menghubungkaitkan
                          •   Melabelkan                                                    •   Mencirikan
                          •   Menyenaraikan                                                 •   Mengelaskan

                                                               28
Perkataan atau Frasa       Perkataan atau Frasa Yang          Perkataan atau Frasa       Perkataan atau Frasa Yang
Yang Digunakan Dalam         Digunakan Dalam Hasil            Yang Digunakan Dalam         Digunakan Dalam Hasil
  Hasil Pembelajaran          Pembelajaran Khusus               Hasil Pembelajaran          Pembelajaran Khusus
        Umum                                                          Umum
Mengaplikasikan         •   Mengira                                                   •   Membuat kesimpulan
                        •   Menghitung                                                •   Mengawal pemboleh ubah
- menggunakan           •   Menunjuk cara
bahan/idea dalam        •   Mengubah suai                     Mensintesiskan     •        Menggabungkan
situasi yang baru dan   •   Menjanakan idea                                      •        Merancang
konkrit                 •   Mengitlakkan                      - menggabungkan    •        Meringkaskan
                        •   Menjelaskan dengan contoh         komponen-komponen •         Membina
                                                              untuk menghasilkan •        Merangkakan
Menganalisis            •   Mencerakinkan                     keseluruhan idea   •        Mereka cipta
                        •   Menjelaskan melalui contoh        atau struktur yang •        Mereka bentuk
- mengasingkan          •   Memilih                           baru dan kreatif   •        Mengkonsepsikan
maklumat kepada         •   Mengasingkan                                         •        Menganalogikan
komponen-               •   Membuat andaian                                      •        Mebuat gambaran mental
komponennya untuk       •   Menghuraikan                                         •        Mendefinisikan secara
memahami struktur       •   Menyelesaikan masalah                                         operasi
organisasinya dan       •   Membuat urutan                                            •   Berkomunikasi
perhubungan antara      •   Menyusun mengikut                                         •   Mengeksperimen
komponen                    keutamaan                                                 •   Membuat hipotesis
                        •   Menggunakan perhubungan
                            ruang dan masa


                                                         29
Perkataan atau Frasa          Perkataan atau Frasa Yang                 Perkataan atau Frasa       Perkataan atau Frasa Yang
 Yang Digunakan Dalam            Digunakan Dalam Hasil                   Yang Digunakan Dalam         Digunakan Dalam Hasil
   Hasil Pembelajaran             Pembelajaran Khusus                      Hasil Pembelajaran          Pembelajaran Khusus
         Umum                                                                    Umum
                                                                                                 •    Menjawab
 Menilai                    •   Menaksir
                                                                                                 •    Melaporkan
 - menilai idea/            •   Mengkritik
                                                                                                 •    Memberitahu
 bahan/maklumat/            •   Mentafsir
                                                                                                 •    Menyoal
 kaedah berdasarkan         •   Menyokong
                                                                                                 •    Menerangkan
 kriteria yang spesifik     •   Mewajarkan                                                       •    Mengenali
 untuk tujuan yang          •   Mengesan kecondongan                                             •    Menyatakan
 tertentu                   •   Membuat keputusan                                                •    Mengenal pasti

Hasil pembelajaran umum dan hasil pembelajaran khusus dalam              Menghargai              •    Memilih
domain afektif ditulis menggunakan perkataan mengikut satu               Menghayati              •    Menunjukkan minat
prinsip yang telah digubal bersesuaian dengan peringkat                  Mengagumi               •    Mempertahankan
penerapan sikap saintifik dan nilai murni seperti dalam Jadual 2:                                •    Membandingkan dan
                                                                                                      membezakan
Jadual 2: Perkataan atau Frasa yang Digunakan dalam Hasil                                        •    Mencadangkan
          Pembelajaran Domain Afektif                                                            •    Mengitlakkan
   Perkataan atau Frasa         Perkataan atau Frasa Yang                                        •    Menyepadukan
  Yang Digunakan Dalam           Digunakan Dalam Hasil                                           •    Menghubungkaitkan
    Hasil Pembelajaran            Pembelajaran Khusus                                            •    Mewajarkan
           Umum                                                                                  •    Menerima
                                                                                                 •    Meramalkan
 Menyedari                   • Memerihalkan

                                                                    30
Perkataan atau Frasa       Perkataan atau Frasa Yang
Yang Digunakan Dalam         Digunakan Dalam Hasil
  Hasil Pembelajaran          Pembelajaran Khusus
        Umum
Menyayangi              •   Menolong
Mensyukuri              •   Mengambil bahagian
Mengamalkan             •   Menderma
                        •   Memberi
                        •   Mempraktikkan
                        •   Melakukan
                        •   Membina
                        •   Mengerjakan
                        •   Memulihara
                        •   Mengendalikan
                        •   Memelihara
                        •   Menyertai
                        •   Membantu
                        •   Menggunakan
                        •   Menyelesaikan
                        •   Melaksanakan
                        •   Menyediakan
                        •   Mengucapkan
                        •   Mengambil
                        •   Menjaga
                        •   Menghormati

                                                        31
Tajuk dan Bidang Pembelajaran                                        bagi keseimbangan alam secara semula jadi. Tema ini juga
                                                                    memberi tumpuan tentang proses hidup yang berlaku pada
Kandungan pengetahuan mata pelajaran Sains Sekolah Rendah           manusia bagi membolehkan murid memahami diri mereka
Tahun 4, 5 dan 6 di olah dalam lima tema seperti berikut:           sendiri.
       A.      Menyiasat Alam Kehidupan
       B.      Menyiasat Alam Fizikal                               Bidang Pembelajaran dalam tema ini adalah:
       C.      Menyiasat Alam Bahan
       D.      Menyiasat Bumi dan Alam Semesta                      1.     Kepelbagaian Hidupan Dalam Alam.
       E.      Menyiasat Dunia Teknologi                            2.     Hidupan dan Proses Hidup.
                                                                    3.     Kemandirian Hidupan.
Pendekatan bertema ini dapat mewujudkan perkaitan antara            4.     Interaksi Antara Hidupan.
pelbagai pengetahuan untuk memahami diri dan fenomena yang
berlaku dalam alam. Di samping itu pendekatan ini juga
menyepadukan pemerolehan dan aplikasi pengetahuan,                  B.     Menyiasat Alam Fizikal
penguasaan kemahiran berfikir dan saintifik, penerapan sikap
saintifik dan nilai murni. Kesepaduan ini memberi kefahaman         Murid didedahkan kepada kuantiti fizik yang asas. Tema ini
yang lebih bermakna dalam pembelajaran sains.                       juga membincangkan fenomena cahaya, haba, bunyi, daya,
                                                                    gerakan, elektrik, magnet dan tenaga.
Berikut diberikan kandungan pengetahuan dalam setiap tema.
                                                                    Bidang Pembelajaran dalam tema ini adalah:
A.      Menyiasat Alam Kehidupan
                                                                    1.     Kuantiti Fizik.
Tema ini bertujuan memberikan asas kefahaman tentang                2.     Kemagnetan.
kepelbagaian hidupan, proses hidup, interaksi antara hidupan        3.     Elektrik.
dan bagaimana hidupan memastikan kemandirian spesiesnya             4.     Haba


                                                               32
5.      Cahaya                                                    D.     Menyiasat Bumi dan Alam Semesta
6.      Bunyi
7.      Tenaga                                                    Tema ini memberi peluang kepada murid memahami tentang
8.      Daya dan Gerakan.                                         Bumi, Bulan dan Matahari serta jasad lain dalam Sistem Suria.
                                                                  Murid juga berpeluang kesan pergerakan Bumi, Bulan dan
                                                                  Matahari dan bagaimana pergerakan ini dapat memberi manfaat
C.     Menyiasat Alam Bahan
                                                                  kepada manusia.
Tema ini membolehkan murid menyiasat bahan semula jadi dan
                                                                  Bidang Pembelajaran dalam tema ini adalah:
bahan buatan. Murid menggunakan pengetahuan mereka
                                                                  1.     Bumi, Bulan dan Matahari.
tentang sifat bahan dan mengaitkan dengan kegunaannya.
                                                                  2.     Fenomena Alam.
Selain daripada itu murid juga dapat memahami konsep di
                                                                  3.     Astronomi.
sebalik kejadian awan dan hujan.
                                                                  E.      Menyiasat Dunia Teknologi
Bidang Pembelajaran dalam tema ini adalah:
                                                                  Tema ini memberi peluang kepada murid untuk menyiasat sejarah
1.     Bahan Asli dan Bahan Sintetik.
                                                                  perkembangan teknologi dan teknologi semasa yang digunakan
2.     Pepejal, Cecair dan Gas.
                                                                  dalam bidang pertanian, komunikasi, pengangkutan dan
3.     Asid dan Alkali.
                                                                  pembinaan. Selain dari itu murid juga berpeluang mereka cipta
4.     Pengaratan.
                                                                  alat dengan menggunakan prinsip sains yang telah mereka
5.     Pengawetan Bahan Makanan.
                                                                  pelajari.
6.     Pengendalian Bahan Buangan.
                                                                  Bidang Pembelajaran dalam tema ini adalah:
                                                                  1.     Perkembangan Teknologi.
                                                                  2.     Struktur Binaan.
                                                                  3.     Mesin.

                                                             33
Haba
 Objektif Pembelajaran Sains Tahun Lima
                                                                     1.       Memahami haba.
 Objektif Pembelajaran untuk setiap tema dan Bidang                  2.       Menganalisis kesan haba ke atas bahan.
 Pembelajaran ditulis dalam bentuk Hasil Pembelajaran seperti        3.       Menyedari kepentingan haba dalam kehidupan
 berikut:                                                                     harian.

 MENYIASAT ALAM KEHIDUPAN                                             Cahaya
                                                                     1.    Mensintesiskan idea tentang pergerakan cahaya
 Kemandirian Hidupan                                                       menembusi objek.
                                                                     2.    Mengaplikasikan pantulan cahaya.
                                                                     3.    Memahami cahaya boleh dibiaskan.
 1.        Memahami kemandirian spesies haiwan dan                   4.    Menganalisis penyebaran cahaya Matahari.
           tumbuhan.                                                 5.    Mengagumi kepelbagaian sifat cahaya ciptaan Tuhan.
 2.        Mensintesiskan hubungan makanan antara hidupan.
 3.        Menghayati kepentingan hubungan antara hidupan            Bunyi
           dalam siratan makanan.
                                                                     1.      Memahami bunyi.
                                                                     2.      Mengamalkan sikap bertimbang rasa dalam
MENYIASAT ALAM FIZIKAL                                                       pengendalian sumber bunyi.

Elektrik                                                             Tenaga
1.     Mensintesiskan litar elektrik lengkap.                        1.      Memahami tenaga.
2.     Mensintesiskan idea tentang kebolehan bahan                   2.      Memahami tenaga elektrik.
       mengalirkan arus elektrik.                                    3.      Menghargai sumbangan sains dan teknologi dalam
3.     Mengamalkan sikap sistematik dalam membina litar                      penciptaan alat yang boleh mengubah bentuk tenaga.
       elektrik.

                                                                34
MENYIASAT ALAM BAHAN                                               MENYIASAT BUMI DAN ALAM SEMESTA

Pepejal, Cecair dan Gas                                            Fenomena Alam

1.     Mengaplikasikan idea tentang keadaan pepejal,                1.    Memahami fenomena alam yang terhasil daripada
       cecair dan gas.                                                    keadaan yang wujud dalam Bumi.
2.     Menganalisis perubahan pada keadaan bahan apabila            2.    Memahami fenomena siang dan malam.
       dipanaskan atau disejukkan.                                  3.    Menganalisis fenomena fasa bulan.
3.     Menghargai fenomena perubahan keadaan air.                   4.    Mensyukuri pergerakan Bumi dan Bulan memberi
                                                                          manfaat kepada manusia.


Asid dan Alkali
1.     Mensintesiskan idea tentang bahan berasid, beralkali        MENYIASAT DUNIA TEKNOLOGI
       dan neutral.
2.     Mengamalkan sikap bertanggung jawab atas                    Struktur Binaan
       keselamatan diri dan rakan semasa menggunakan
       bahan berasid dan beralkali.                                1.    Mensintesis idea tentang kekuatan dan kestabilan
                                                                         sesuatu binaan.
                                                                   2.    Menghargai sumbangan teknologi dalam
Pengaratan                                                               menghasilkan struktur binaan yang kuat dan stabil.
1.     Menganalisis pengaratan bahan.
2.     Menganalisis pencegahan pengaratan.
3.     Mengamalkan langkah mencegah pengaratan.



                                                              35
SAINS TAHUN 5
MENYIASAT ALAM KEHIDUPAN
    Bidang                  Hasil Pembelajaran                       Cadangan Aktiviti Pembelajaran
  Pembelajaran
Kemandirian      1. Memahami kemandirian spesies haiwan    Mengadakan perbincangan tentang kemandirian
Hidupan             dan tumbuhan.                          spesies haiwan melalui cara berikut:
                                                           (a) Penjagaan dan perlindungan telur dan anak.
                    Aras 1                                 (b) Bertelur banyak dan melahirkan anak.
                    • Menerangkan cara kemandirian
                       spesies haiwan.                     Mengadakan perbincangan tentang kemandirian
                    • Menerangkan cara kemandirian         spesies tumbuhan melalui cara berikut:
                       spesies tumbuhan.                   (a) Ciri khas tumbuhan.
                                                           (b) Pencaran biji benih.
                    Aras 2
                    • Menghubungkaitkan ciri khas haiwan   Memerhati dan mengkaji tentang ciri khas pada
                       dengan kemandirian spesiesnya.      haiwan dan tumbuhan berhubung dengan kemandirian
                    • Menghubungkaitkan ciri khas          spesiesnya.
                       tumbuhan dengan kemandirian
                       spesiesnya.                         Membuat ramalan cara hidupan tertentu bermandiri
                                                           jika berlaku situasi baru seperti kemarau yang
                    Aras 3                                 berpanjangan, kekurangan makanan atau perubahan
                    • Meramalkan cara hidupan              habitat.
                       bermandiri dalam situasi baru.


                                       36
MENYIASAT ALAM KEHIDUPAN                                                       SAINS TAHUN 5

   Bidang                  Hasil Pembelajaran                    Cadangan Aktiviti Pembelajaran
 Pembelajaran
                2. Mensintesiskan hubungan makanan       Menyanyikan lagu seperti “Bangau Oh Bangau” yang
                   antara haiwan.                        telah diubahsuaikan liriknya bagi menggambarkan
                                                         rantai makanan.
                   Aras 1
                   • Memberi contoh beberapa haiwan      Membina beberapa rantai makanan.
                      dan makanannya.
                   • Menghubungkaitkan haiwan dengan     Nota:
                      makanannya dalam bentuk rantai     Rantai makanan bermula dengan tumbuhan.
                      makanan.
                                                         Menjalankan aktiviti untuk menggabungkan beberapa
                   Aras 2                                rantai makanan dalam satu habitat untuk membentuk
                   • Menghubungkaitkan beberapa rantai   siratan makanan.
                      makanan untuk membentuk siratan
                      makanan.                           Menjalankan aktiviti permainan untuk
                                                         menggambarkan rantai makanan dan siratan
                   Aras 3                                makanan.
                   • Membina siratan makanan yang
                      terdapat dalam pelbagai habitat.   Menyiasat hidupan di beberapa kawasan seperti
                                                         taman, parit dan kolam bagi membina rantai makanan
                                                         dan siratan makanan habitat yang berkenaan.


                                   37
MENYIASAT ALAM KEHIDUPAN                                                         SAINS TAHUN 5

   Bidang                   Hasil Pembelajaran                      Cadangan Aktiviti Pembelajaran
 Pembelajaran
                3. Menghayatikepentingan hubungan          Membincangkan kesan terhadap hidupan jika
                   antara hidupan dalam siratan makanan.   berlaku perubahan kepada salah satu hidupan dalam
                                                           siratan makanan yang berkenaan.
                   •   Mewajarkan kepentingan sesuatu
                       hidupan kepada hidupan lain dalam   Mengadakan perbincangan untuk menimbulkan
                       siratan makanan.                    kesedaran bahawa setiap hidupan berperanan dalam
                                                           siratan makannnya.




                                       38
SAINS TAHUN 5
MENYIASAT ALAM FIZIKAL
     Bidang                   Hasil Pembelajaran                        Cadangan Aktiviti Pembelajaran
   Pembelajaran
Elektrik          1. Mensintesiskan litar elektrik lengkap.   Menjalankan aktiviti membina litar elektrik lengkap
                                                              dengan menggunakan mentol, wayar penyambung dan
                     Aras 1                                   sel kering.
                     • Membina litar elektrik lengkap.
                     • Memerihalkan litar elektrik lengkap.   Menyiasat fungsi suis, mentol, sel kering dan wayar
                                                              penyambung dalam litar elektrik.
                     Aras 2
                     • Mengenal pasti komponen dalam          Nota:
                        litar elektrik.                       Mentol boleh digantikan dengan komponen lain
                     • Menerangkan komponen dalam litar       seperti loceng elektrik atau motor elektrik.
                        elektrik.
                     • Melukiskan litar elektrik lengkap      Menjalankan aktiviti melukis rajah litar elektrik
                        menggunakan simbol.                   lengkap menggunakan simbol.

                     Aras 3                                   Mengadakan perbincangan untuk mendefinisikan
                     • Mendefinisi secara operasi litar       secara operasi litar elektrik lengkap iaitu litar yang
                        elektrik lengkap.                     disambungkan wayar penyambung, sel kering dan
                                                              mentol sehingga membolehkan mentol menyala.




                                       39
MENYIASAT ALAM FIZIKAL                                                                 SAINS TAHUN 5

    Bidang                  Hasil Pembelajaran                         Cadangan Aktiviti Pembelajaran
  Pembelajaran
                                                            Menjalankan eksperimen untuk menyiasat pelbagai
                 2. Mensintesiskan idea tentang kebolehan
                                                            objek dan bahan seperti dawai, paku besi, penyedut
                    bahan mengalirkan arus elektrik.
                                                            minuman, tali rafia, duit syiling, paku tekan, klip kertas,
                                                            pembaris kayu, air limau, cuka, air gula, air garam, air
                    Aras 1
                                                            paip dan air sabun untuk menentukan objek atau
                    • Membuat hipotesis tentang
                                                            bahan tersebut konduktor atau penebat.
                       kebolehan bahan mengalirkan arus
                       elektrik.
                    • Mendefinisikan secara operasi
                       konduktor dan penebat.

                    Aras 2
                    • Mengawal pembolehubah dalam
                       eksperimen untuk menguji
                       kebolehan bahan mengalirkan arus
                       elektrik.

                    Aras 3
                    • Membuat kesimpulan kebolehan
                       bahan mengalirkan arus elektrik.


                                      40
MENYIASAT ALAM FIZIKAL                                                          SAINS TAHUN 5

    Bidang                  Hasil Pembelajaran                    Cadangan Aktiviti Pembelajaran
  Pembelajaran
                 3. Mengamalkan sikap sistematik dalam   Menjalankan eksperimen membina litar elektrik lengkap
                    membina litar elektrik.              secara sistematik.

                    •   Mempamerkan ketertiban semasa
                        menjalankan eksperimen membina
                        litar elektrik.




                                    41
SAINS TAHUN 5
MENYIASAT ALAM FIZIKAL
    Bidang                 Hasil Pembelajaran                      Cadangan Aktiviti Pembelajaran
  Pembelajaran
Haba             1. Memahami haba.                         Merasa dengan sentuhan jari kepanasan air pada
                                                           suhu yang berbeza.
                    Aras 1
                    • Menyatakan sesuatu bahan itu panas   Menjalankan aktiviti memanaskan air dan merasa
                       atau sejuk.                         dengan sentuhan untuk membezakan kepanasan air
                    • Membuat inferens tentang perbezaan   sebelum dan selepas pemanasan dan seterusnya
                       kepanasan air.                      membuat inferens tentang perbezaan tersebut.
                                                           Nota:
                    Aras 2                                 Jangan gunakan air terlalu panas.
                    • Menyatakan suhu adalah darjah
                       kepanasan.                          Membincangkan kepanasan disebabkan haba
                    • Mengukur suhu air dengan             manakala suhu adalah darjah kepanasan.
                       menggunakan termometer.
                                                           Mengukur perubahan suhu air yang dipanaskan dan
                    Aras 3                                 dibiarkan sejuk menggunakan termometer dengan
                    • Menghubungkaitkan penambahan         teknik dan unit yang betul.
                       dan kehilangan haba dengan          Nota:
                       perubahan suhu.                     Air tidak perlu dipanaskan hingga mendidih.
                                                           Membincangkan perhubungan antara penambahan
                                                           dan kehilangan haba dengan penambahan dan
                                                           penurunan suhu.

                                     42
MENYIASAT ALAM FIZIKAL                                                          SAINS TAHUN 5

    Bidang                 Hasil Pembelajaran                      Cadangan Aktiviti Pembelajaran
  Pembelajaran
                 2. Menganalisiskan kesan haba ke atas   Menjalankan aktiviti sumbang saran tentang kesan haba
                    bahan.                               ke atas bahan.

                    Aras 1                               Menjalankan aktiviti untuk menyiasat pengembangan
                    • Memerihalkan kesan haba ke atas    dan pengecutan pepejal, cecair dan gas.
                       bahan.
                                                         Mengumpulkan dan mentafsirkan data berkaitan dengan
                    Aras 2                               aplikasi pengembangan dan pengecutan bahan dalam
                    • Menghubungkaitkan perubahan        kehidupan harian.
                       suhu dengan pengembangan
                       dan pengecutan bahan.

                    Aras 3
                    • Menjelaskan melalui contoh
                       pengembangan bahan dalam
                       kehidupan harian.




                                    43
MENYIASAT ALAM FIZIKAL                                                        SAINS TAHUN 5

   Bidang                 Hasil Pembelajaran                     Cadangan Aktiviti Pembelajaran
 Pembelajaran
                3. Menyedari kepentingan haba dalam      Membincangkan cara manusia memanfaatkan
                   kehidupan harian.                     pengetahuan tentang pengembangan dan pengecutan
                                                         bahan dalam kehidupan harian.
                   •   Menerangkan secara kritis
                       kepentingan pengetahuan tentang
                       pengembangan dan pengecutan
                       bahan dalam kehidupan harian.




                                     44
SAINS TAHUN 5
MENYIASAT ALAM FIZIKAL
    Bidang                  Hasil Pembelajaran                         Cadangan Aktiviti Pembelajaran
  Pembelajaran
Cahaya           1. Mensintesiskan idea tentang pergerakan    Membincangkan sumber-sumber cahaya.
                    cahaya menembusi objek.
                                                              Menjalankan eksperimen untuk mengkaji bahawa
                    Aras 1                                    cahaya bergerak lurus.
                    • Menyenaraikan sumber cahaya.
                    • Membuat kesimpulan tentang              Menyiasat kebolehan cahaya menembusi objek.
                       pergerakan cahaya.
                                                              Membuat pengelasan objek lutsinar, lutcahaya dan
                    Aras 2                                    legap berdasarkan kebolehan cahaya menembusinya.
                    • Menyatakan kebolehan cahaya
                       menembusi objek.                       Menjalankan eksperimen untuk menyiasat saiz
                    • Mengelaskan objek berdasarkan           bayang-bayang yang terhasil oleh pelbagai objek
                       sifat lutsinar, lutcahaya dan legap.   legap.

                    Aras 3                                    Menjalankan aktiviti untuk menyiasat bentuk bayang-
                    • Mengeksperimen pembentukan              bayang yang terhasil oleh pelbagai objek legap.
                       bayang-bayang oleh objek legap.




                                     45
SAINS TAHUN 5
MENYIASAT ALAM FIZIKAL
   Bidang                 Hasil Pembelajaran                   Cadangan Aktiviti Pembelajaran
 Pembelajaran
                2. Mengaplikasikan pantulan cahaya.    Menjalankan aktiviti memantulkan cahaya matahari
                                                       menggunakan cermin.
                   Aras 1
                   • Menyatakan cahaya boleh           Mengkaji pantulan cahaya oleh pelbagai permukaan
                      dipantulkan.                     seperti permukaan licin, berkilat dan tidak rata.

                   Aras 2                              Membincangkan pantulan cahaya dalam kehidupan
                   • Menyatakan pantulan cahaya oleh   harian.
                      sesuatu permukaan.
                                                       Mengumpulkan dan mentafsirkan data tentang alat
                   Aras 3                              yang menggunakan sifat pantulan cahaya.
                   • Memberi contoh alat yang
                      menggunakan sifat pantulan       Menjalankan projek membina alat yang
                      cahaya.                          menggunakan sifat pantulan cahaya seperti periskop
                   • Menjanakan idea untuk membina     dan kleidoskop.
                      alat yang menggunakan sifat
                      pantulan cahaya.




                                    46
SAINS TAHUN 5
MENYIASAT ALAM FIZIKAL
   Bidang                 Hasil Pembelajaran                       Cadangan Aktiviti Pembelajaran
 Pembelajaran
                3. Memahami cahaya boleh dibiaskan.       Menjalankan aktiviti menyiasat pergerakan cahaya
                                                          yang melalui medium yang berbeza iaitu udara-air,
                   Aras 1                                 air-udara, udara-kaca, kaca-udara.
                   • Memerihalkan pergerakan cahaya
                      melalui medium yang berbeza.        Menyiasat fenomena pembiasan cahaya dalam
                                                          kehidupan harian.
                   Aras 2
                   • Menyatakan cahaya dibiaskan
                      apabila bergerak dari satu medium
                      ke medium lain.

                   Aras 3
                   • Menerangkan contoh fenomena
                      biasan cahaya.




                                  47
SAINS TAHUN 5
MENYIASAT ALAM FIZIKAL
   Bidang                 Hasil Pembelajaran                    Cadangan Aktiviti Pembelajaran
 Pembelajaran
                4. Menganalisis penyebaran cahaya       Menyiasat sebaran cahaya Matahari dengan
                   Matahari.                            menggunakan alat seperti berikut:
                                                        (a) Cermin dan sebesen air.
                   Aras 1                               (b) Alat semburan air.
                   • Memerihalkan sebaran cahaya        (c) Prisma.
                      Matahari.
                                                        Membincangkan contoh fenomena alam yang
                   Aras 2                               menunjukkan sebaran cahaya seperti pelangi.
                   • Membuat urutan warna dalam
                      spektrum cahaya Matahari.

                   Aras 3
                   • Memberi contoh fenomena alam
                      yang menunjukkan sebaran cahaya
                      Matahari.




                                    48
SAINS TAHUN 5
MENYIASAT ALAM FIZIKAL
   Bidang                 Hasil Pembelajaran                        Cadangan Aktiviti Pembelajaran
 Pembelajaran
                5. Mengagumi kepelbagaian sifat cahaya      Membincangkan keadaan kehidupan manusia jika
                   ciptaan Tuhan.                           cahaya tidak:
                                                            (a) bergerak lurus.
                   •   Memerihalkan manfaat sifat cahaya    (b) dipantulkan.
                       kepada kehidupan manusia.            (c) dibiaskan.
                   •   Menjanakan idea untuk penciptaan     (d) diserakan.
                       alat yang menggunakan sifat cahaya
                       untuk kesejahteraan hidup.           Menjalankan aktiviti menggunakan alat yang dicipta
                                                            berdasarkan sifat cahaya.

                                                            Menjalankan perbincangan menjanakan idea tentang
                                                            penciptaan alat yang menggunakan sifat cahaya.




                                  49
SAINS TAHUN 5
MENYIASAT ALAM FIZIKAL
    Bidang                Hasil Pembelajaran                   Cadangan Aktiviti Pembelajaran
  Pembelajaran
Bunyi            1. Memahami bunyi.                   Menjalankan aktiviti untuk membuat inferens tentang
                                                      penghasilan bunyi.
                    Aras 1
                    • Membuat inferens tentang        Menyiasat pelbagai cara untuk menghasilkan getaran
                       penghasilan bunyi.             seperti tiupan, ketukan dan goncangan.
                    • Menghubungkaitkan penghasilan
                       bunyi dengan getaran.          Membincangkan kepentingan bunyi dalam kehidupan
                                                      harian.
                    Aras 2
                    • Memerihalkan pelbagai cara
                       menghasilkan getaran.

                    Aras 3
                    • Menerangkan kepentingan bunyi
                       dalam kehidupan harian.




                                      50
SAINS TAHUN 5
MENYIASAT ALAM FIZIKAL
   Bidang                  Hasil Pembelajaran                       Cadangan Aktiviti Pembelajaran
 Pembelajaran
                2. Mengamalkan sikap bertimbang rasa       Membincangkan:
                   dalam pengendalian sumber bunyi.        (a) Bunyi yang berfaedah dan bunyi yang memudaratkan
                                                               dalam kehidupan.
                   •   Memerihalkan bunyi yang berfaedah   (b) Kesan bunyi yang berfaedah dan bunyi yang
                       dan bunyi yang memudaratkan.            memudaratkan kepada kesihatan, keselamatan dan
                   •   Menerangkan kesan bunyi yang            keharmonian hidup manusia.
                       berfaedah dan bunyi yang
                       memudaratkan kepada                 Mengadakan kempen kesedaran sikap bertimbang rasa
                       kesejahteraan manusia.              berhubung dengan pengendalian sumber bunyi.
                   •   Mempraktikkan sikap bertimbang
                       rasa dalam pengendalian sumber
                       bunyi.




                                   51
SAINS TAHUN 5
MENYIASAT ALAM FIZIKAL
     Bidang                 Hasil Pembelajaran                    Cadangan Aktiviti Pembelajaran
   Pembelajaran
Tenaga            1. Memahami tenaga.                   Membincangkan tentang:
                                                        (a) Pelbagai sumber tenaga seperti matahari,
                     Aras 1                                 makanan, air, angin dan petroleum.
                     • Menyatakan pelbagai sumber       (b) Pelbagai bentuk tenaga iaitu tenaga bunyi, tenaga
                        tenaga.                             haba, tenaga cahaya, tenaga elektrik, tenaga
                                                            kinetik dan tenaga kimia.
                     Aras 2
                     • Mengenal pasti pelbagai bentuk   Membincangkan tenaga daripada aspek:
                        tenaga.                         (a) Kebolehan bergerak dan membuat kerja.
                                                        (b) Keperluan untuk pertumbuhan hidupan.
                     Aras 3
                     • Menerangan konsep tenaga.




                                      52
SAINS TAHUN 5
MENYIASAT ALAM FIZIKAL
   Bidang                 Hasil Pembelajaran                        Cadangan Aktiviti Pembelajaran
 Pembelajaran
                2. Memahami tenaga elektrik.              Membincangkan pelbagai alat yang menghasilkan
                                                          tenaga elektrik seperti sel kering, sel suria, dinamo,
                   Aras 1                                 akumulator dan penjana elektrik.
                   • Memberi contoh pelbagai alat yang
                      menghasilkan tenaga elektrik.       Memerhatikan mentol yang sedang menyala dan
                                                          membincangkan perubahan tenaga yang berlaku.
                   Aras 2
                   • Memerihalkan tenaga elektrik         Menjalankan eksperimen untuk mengkaji perubahan
                      boleh diubah kepada bentuk tenaga   tenaga elektrik ke bentuk tenaga lain seperti pengaliran
                      lain.                               arus elektrik melalui dawai nikrom.

                   Aras 3                                 Memerhatikan pelbagai alat elektrik dan
                   • Menerangkan penjimatan               membincangkan perubahan bentuk tenaga yang berlaku.
                      penggunaan tenaga elektrik.
                                                          Membincangkan secara kritis penggunaan tenaga
                                                          elektrik secara bijaksana.

                                                          Menjalankan aktiviti sumbang saran tentang
                                                          penggunaan dan kaedah inovatif untuk menjimatkan
                                                          penggunaan tenaga elektrik.


                                  53
SAINS TAHUN 5
MENYIASAT ALAM FIZIKAL
   Bidang                  Hasil Pembelajaran                         Cadangan Aktiviti Pembelajaran
 Pembelajaran
                3. Menghargai sumbangan sains dan            Mengadakan perbincangan untuk mewajarkan
                   teknologi dalam penciptaan alat yang      penciptaan alat elektrik yang boleh mengubah tenaga
                   boleh mengubah bentuk tenaga.             elektrik kepada bentuk tenaga yang diperlukan untuk
                                                             keselesaan hidup.
                   •   Mewajarkan kepentingan
                       penciptaan alat elektrik yang boleh
                       mengubah tenaga elektrik kepada
                       bentuk tenaga yang diperlukan
                       untuk keselesaan hidup.




                                      54
SAINS TAHUN 5
 MENYIASAT ALAM BAHAN
      Bidang                        Hasil Pembelajaran                       Cadangan Aktiviti Pembelajaran
    Pembelajaran

Pepejal, Cecair dan Gas   1. Mengaplikasikan idea tentang keadaan   Membincangkan bahan dan objek di sekeliling wujud
                             pepejal, cecair dan gas.               dalam keadaan pepejal, cecair dan gas.

                             Aras 1                                 Memerhati pelbagai objek pepejal dan membuat
                             • Menyatakan keadaan bahan.            pengitlakan bahawa pepejal mempunyai bentuk
                                                                    tetap dan mempunyai jisim.
                             Aras 2
                             • Mengitlakkan sifat bahan dalam       Memerhatikan cecair dalam pelbagai bekas dan
                                yang wujud dalam keadaan            membuat pengitlakan bahawa cecair mengikut
                                pepejal.                            bentuk bekas yang mengisinya dan mempunyai jisim.
                             • Mengitlakkan sifat bahan dalam
                                yang wujud dalam keadaan            Menyiasat untuk menentukan sama ada:
                                cecair.                             (a) Udara mempunyai jisim.
                             • Mengitlakkan sifat bahan dalam       (b) Udara memenuhi ruang.
                                yang wujud dalam keadaan
                                gas.                                Mengadakan perbincangan dan membuat pengitlakan
                                                                    bahawa gas mempunyai jisim dan memenuhi
                             Aras 3                                 keseluruhan bekas.
                             • Mengelaskan bahan kepada
                                pepejal, cecair dan gas.            Mengumpulkan dan mengelaskan bahan dan objek
                                                                    kepada pepejal, cecair dan gas.

                                             55
SAINS TAHUN 5
MENYIASAT ALAM BAHAN
   Bidang                 Hasil Pembelajaran                      Cadangan Aktiviti Pembelajaran
 Pembelajaran
                2. Menganalisis perubahan pada keadaan   Menyiasat fenomena:
                   bahan apabila dipanaskan atau         (a) Peleburan ais.
                   disejukkan.                           (b) Pendidihan apabila air dipanaskan hingga
                                                             mendidih.
                   Aras 1                                (c) Penyejatan apabila air didedahkan.
                   • Memerihalkan peleburan ais,         (d) Pembekuan apabila air disejukbekukan.
                      pendidihan air, penyejatan air,    (e) Kondensasi apabila wap air disejukkan.
                      pembekuan air dan kondensasi
                      wap air.                           Menjalankan aktiviti untuk menentukan takat lebur ais
                   • Mengukur takat didih air.           dan takat didih air.
                   • Mengukur takat lebur ais.
                                                         Nota:
                   Aras 2                                Berhati-hati ketika mengendalikan air mendidih.
                   • Membuat kesimpulan perubahan
                      keadaan bahan apabila dipanaskan   Menjalankan simulasi pembentukan awan dan hujan.
                      atau disejukkan.
                                                         Melukis rajah yang menunjukkan perubahan pada
                   Aras 3                                keadaan air dalam pembentukan hujan.
                   • Menghubungkaitkan perubahan
                      keadaan air dengan pembentukkan
                      awan dan hujan.
                                    56
SAINS TAHUN 5
MENYIASAT ALAM BAHAN
   Bidang                 Hasil Pembelajaran                 Cadangan Aktiviti Pembelajaran
 Pembelajaran
                3. Menghargai fenomena perubahan     Mengadakan aktiviti perbincangan untuk
                   keadaan air.                      mewajarkan kepentingan perubahan pada keadaan
                                                     air dalam pembentukan awan dan hujan.
                   •   Mewajarkan kepentingan
                       perubahan keadaan air dalam
                       pembenrukan awan dan hujan.




                                  57
SAINS TAHUN 5
MENYIASAT ALAM BAHAN
    Bidang                   Hasil Pembelajaran                      Cadangan Aktiviti Pembelajaran
  Pembelajaran
Asid dan Alkali   1. Mensintesiskan idea tentang bahan       Menjalankan aktiviti untuk mengenal pasti bahan
                     berasid, beralkali dan neutral.         berasid, beralkali dan neutral bagi bahan makanan
                                                             dan keperluan rumah dengan cara:
                     Aras 1                                  (a) Menggunakan kertas litmus bagi bahan makanan
                     • Mengenal pasti bahan yang berasid,        dan keperluan rumah.
                        beralkali dan neutral dengan         (b) Merasa dengan lidah bagi bahan makanan.
                        menggunakan kertas litmus.           Nota:
                     • Mendefinisikan secara operasi asid.   Ujian merasa bahan makanan hanya dilakukan
                     • Mendefinisikan secara operasi         dengan pengawasan guru.
                        alkali.
                                                             Mengadakan perbincangan untuk mendefinisikan
                     Aras 2                                  secara operasi asid dan alkali berdasarkan
                     • Mengitlakkan rasa asid.               perubahan warna kertas litmus.
                     • Mengitlakkan rasa alkali.
                                                             Mengadakan prbincangan untuk membuat
                     Aras 3                                  pengitlakan bahawa rasa asid adalah masam dan rasa
                     • Mengelaskan bahan kepada bahan        alkali adalah pahit.
                        berasid, beralkali dan neutral.
                                                             Menjalankan aktiviti mengelaskan bahan kepada
                                                             bahan berasid, beralkali dan neutral.


                                       58
SAINS TAHUN 5
MENYIASAT ALAM BAHAN
   Bidang                  Hasil Pembelajaran                        Cadangan Aktiviti Pembelajaran
 Pembelajaran
                2. Mengamalkan sikap bertanggung jawab      Mengadakan perbincangan untuk mewajarkan
                   atas keselamatan diri dan rakan semasa   keperluan sikap berhati-hati semasa menggunakan
                   menggunakan bahan berasid dan            bahan berasid dan beralkali.
                   beralkali.
                                                            Menjalankan aktiviti dengan berhati-hati semasa
                   •   Mewajarkan keperluan sikap           menggunakan bahan berasid dan beralkali.
                       berhati-hati semasa menggunakan
                       bahan berasid dan beralkali.         Membincangkan langkah-langkah keselamatan yang
                   •   Mematuhi peraturan keselamatan       perlu diambil semasa mengendalikan bahan berasid
                       semasa mengendalikan bahan           dan beralkali.
                       berasid dan beralkali.




                                   59
SAINS TAHUN 5
MENYIASAT ALAM BAHAN
     Bidang                  Hasil Pembelajaran                     Cadangan Aktiviti Pembelajaran
   Pembelajaran
Pengaratan        1. Menganalisis pengaratan bahan.        Memerhatikan pelbagai bahan yang berkarat dan
                                                           tidak berkarat.
                     Aras 1
                     • Mengenal pasti bahan yang boleh     Mengadakan perbincangan menghubungkaitkan
                        berkarat.                          objek yang berkarat dengan bahannya.

                     Aras 2                                Menjalankan eksperimen untuk mengkaji faktor
                     • Membuat hipotesis faktor yang       yang menyebabkan pengaratan iaitu air dan udara.
                        menyebabkan pengaratan.
                     • Mengawal pemboleh ubah untuk
                        mengkaji faktor yang menyebabkan
                        pengaratan.

                     Aras 3
                     • Membuat kesimpulan faktor yang
                        menyebabkan pengaratan.




                                       60
SAINS TAHUN 5
MENYIASAT ALAM BAHAN
   Bidang                  Hasil Pembelajaran                     Cadangan Aktiviti Pembelajaran
 Pembelajaran
                2. Menganalisis pencegahan pengaratan.   Membincangkan cara mengelakkan bahan daripada
                                                         berkarat seperti penyaduran, menyapu minyak dan
                   Aras 1                                mengecat.
                   • Menjanakan idea cara mengelakkan
                      bahan daripada berkarat.           Menjalankan eksperimen untuk mengkaji cara
                                                         mencegah pengaratan.
                   Aras 2
                   • Membuat hipotesis cara mencegah     Mengumpulkan dan mentafsirkan data tentang faedah
                      pengaratan.                        mencegah pengaratan.
                   • Mengawal pemboleh ubah untuk
                      mengkaji cara mencegah
                      pengaratan.

                   Aras 3
                   • Membuat kesimpulan cara
                      mencegah pengaratan.
                   • Menerangkan faedah mencegah
                      pengaratan.




                                   61
SAINS TAHUN 5
MENYIASAT ALAM BAHAN
   Bidang                 Hasil Pembelajaran                Cadangan Aktiviti Pembelajaran
 Pembelajaran
                3. Mengamalkan langkah mencegah    Mengambil bahagian dalam aktiviti mencegah
                   pengaratan.                     pengaratan dalam kawasan sekolah.

                   •   Memelihara bahan daripada
                       berkarat.




                                    62
SAINS TAHUN 5
 MENYIASAT BUMI DAN ALAM SEMESTA
     Bidang                  Hasil Pembelajaran                      Cadangan Aktiviti Pembelajaran
   Pembelajaran
Fenomena Alam     1. Memahami fenomena alam yang terhasil   Membuat model atau melukis lapisan Bumi iaitu
                     daripada keadaan yang wujud dalam      kerak, mantel, teras luar dan teras dalam dan
                     Bumi.                                  melabelkannya.

                     Aras 1                                 Mengumpulkan dan mentafsirkan data tentang:
                     • Mengenal pasti lapisan Bumi.         (a) Keadaan lapisan Bumi.
                                                            (b) Kejadian fenomena alam iaitu kolam air panas,
                     Aras 2                                     geiser, letusan gunung berapi dan gempa Bumi.
                     • Memerihalkan lapisan Bumi.
                                                            Mengadakan perbincangan untuk menghubungkaitkan
                     Aras 3                                 keadaan lapisan Bumi dengan fenomena alam.
                     • Menghubungkaitkan keadaan
                        lapisan Bumi dengan fenomena
                        alam.




                                     63
SAINS TAHUN 5
MENYIASAT BUMI DAN ALAM SEMESTA
   Bidang                 Hasil Pembelajaran                     Cadangan Aktiviti Pembelajaran
 Pembelajaran
                2. Memahami fenomena siang dan malam.   Menyiasat putaran Bumi dengan merekodkan
                                                        perubahan ukuran dan kedudukan bayang-bayang
                   Aras 1                               sesuatu objek dari semasa ke semasa.
                   • Memerihalkan putaran Bumi pada
                      paksinya.                         Menjalankan simulasi putaran Bumi dengan memutarkan
                   • Menerangkan perubahan bayang-      glob (dari barat ke timur) yang telah dilekatkan dengan
                      bayang akibat perubahan putaran   sebatang lidi dalam sinaran lampu suluh.
                      Bumi.
                                                        Menjalankan simulasi untuk menunjukkan Bumi
                   Aras 2                               berputar dan pada masa yang sama beredar
                   • Menerangkan kejadian siang dan     mengelilingi Matahari.
                      malam.

                   Aras 3
                   • Memerihalkan edaran dan putaran
                      Bumi.




                                    64
SAINS TAHUN 5
MENYIASAT BUMI DAN ALAM SEMESTA
   Bidang                   Hasil Pembelajaran                       Cadangan Aktiviti Pembelajaran
 Pembelajaran
                3. Menganalisis fenomena fasa bulan.        Menjalankan simulasi pantulan cahaya Matahari oleh
                                                            Bulan.
                   Aras 1
                   • Memerihalkan pantulan cahaya           Menjalankan simulasi untuk memerhatikan fasa-fasa
                      Matahari oleh Bulan.                  bulan dengan menggunakan bola ping pong yang
                                                            dipancarkan dengan cahaya daripada lampu suluh.
                   Aras 2
                   • Memerihalkan edaran Bulan              Menyusun fasa bulan mengikut urutan .
                      mengelilingi Bumi.
                   • Menggunakan perhubungan ruang          Menjalankan projek untuk memerhatikan dan
                      dan masa untuk menggambarkan          merekodkan fasa bulan selama 1 bulan berdasarkan
                      fasa bulan dalam satu edaran yang     takwim Qamari.
                      lengkap.
                                                            Menjalankan simulasi untuk menunjukkan putaran
                   Aras 3                                   dan peredaran Bulan dan Bumi mengelilingi Matahari.
                   • Memerihalkan Bulan berputar pada
                      paksinya dan beredar mengelilingi
                      Bumi dan pada masa yang sama
                      Bumi dan Bulan beredar mengelilingi
                      Matahari.


                                    65
SAINS TAHUN 5
MENYIASAT BUMI DAN ALAM SEMESTA
   Bidang                 Hasil Pembelajaran                       Cadangan Aktiviti Pembelajaran
 Pembelajaran
                4. Mensyukuri pergerakan Bumi dan Bulan   Membincangkan kegunaan takwim Qamari dalam
                   memberi manfaat kepada manusia.        kehidupan harian seperti kegiatan perikanan dan
                                                          keagamaan.
                   •   Menghubungkaitkan penggunaan
                       takwim Qamari dengan kehidupan     Merancang dan membina jadual aktiviti harian dengan
                       manusia.                           memanfaatkan fenomena siang dan malam serta
                   •   Mengendalikan aktiviti harian      menyatakan alasan bagi setiap aktiviti mengikut masa.
                       dengan memanfaatkan fenomena
                       siang dan malam.                   Menulis karangan, sajak, pantun atau menyanyi tentang
                   •   Memerihalkan keindahan malam       keindahaan malam semasa bulan purnama.
                       semasa bulan purnama.




                                    66
MENYIASAT DUNIA TEKNOLOGI                                                          SAINS TAHUN 5

     Bidang                  Hasil Pembelajaran                       Cadangan Aktiviti Pembelajaran
   Pembelajaran

Struktur Binaan   1. Mensintesiskan idea tentang kekuatan   Mengumpulkan maklumat berkaitan dengan binaan
                     dan kestabilan sesuatu binaan.         seperti bangunan, jambatan, menara dan pintu gerbang.

                     Aras 1                                 Memerhatikan struktur pelbagai binaan untuk mengenal
                     • Membezakan bentuk yang terdapat      pasti bentuk-bentuk yang digunakan seperti bentuk
                        dalam struktur sesuatu binaan.      kubus, kuboid, sfera, piramid, kon dan selinder.

                     Aras 2                               Menyiasat binaan yang mempunyai struktur yang kuat
                     • Mengitlak yang menentukan kekuatan dan stabil daripada aspek bentuk, luas tapak dan
                        dan kestabilan struktur.          ketinggian.

                     Aras 3                                 Membina model suatu struktur yang kuat dan stabil.
                     • Mereka cipta model satu struktur
                        yang kuat dan stabil.




                                      67
SAINS TAHUN 5
MENYIASAT DUNIA TEKNOLOGI
   Bidang                  Hasil Pembelajaran                        Cadangan Aktiviti Pembelajaran
 Pembelajaran
                2. Menghargai sumbangan teknologi dalam     Menjalankan projek membuat buku skrap tentang
                   menghasilkan struktur binaan yang kuat   binaan yang terdapat di negara kita dan mengadakan
                   dan stabil.                              perbincangan tentang binaan tersebut.

                   •   Memerihalkan sumbangan teknologi
                       dalam pembinaan sesuatu struktur
                       yang kuat dan stabil.




                                     68
PENYUMBANG
           Penasihat            Sharifah Maimunah Syed Zin (Ph.D)          Pengarah
                                                                           Pusat Perkembangan Kurikulum
                                Rohani Abdul Hamid (Ph.D)                  Timbalan Pengarah
                                                                           Pusat Perkembangan Kurikulum
          Penasihat Editorial   Ahmad Hozi H.A. Rahman                     Ketua Penolong Pengarah
                                                                           Pusat Perkembangan Kurikulum
                                Yeap Chin Heng (Ph.D)                      Penolong Pengarah
                                                                           Pusat Perkembangan Kurikulum
                                                                           Penolong Pengarah
                                 Cheah Eng Joo
                                                                           Pusat Perkembangan Kurikulum
          Editor                Zainon Abd Majid                           Penolong Pengarah
                                                                           Pusat Perkembangan Kurikulum
                                                   Penulis

Ahmad Hozi H.A. Rahman     Pusat Perkembangan           Johari Shamsudin              Pusat Perkembangan
                           Kurikulum                                                  Kurikulum
Cheah Eng Joo              Pusat Perkembangan           Rohana Mahmood                Pusat Perkembangan
                           Kurikulum                                                  Kurikulum
Yeap Chin Heng (Ph.D)      Pusat Perkembangan           Rosli Suleiman                Pusat Perkembangan
                           Kurikulum                                                  Kurikulum
Zainon Abd Majid           Pusat Perkembangan           Rusilawati Othman             Pusat Perkembangan
                           Kurikulum                                                  Kurikulum

                                                    69
Salbiah Mohd. Som            Pusat Perkembangan   Narajan Karupayah         SK King George V
                             Kurikulum                                      Perak
Salina Hanum Osman           Pusat Perkembangan   Rohana Hussein            SK Seri Sekamat
Mohamed                      Kurikulum                                      Selangor

Zaidah Mohd. Yusoff          Pusat Perkembangan   Adonie Adnan              SK Taman Cuepacs
                             Kurikulum                                      Selangor
Ho Heng Leng                 Pusat Perkembangan   Mohd Yatim Dolir          SK Lembah Keramat
                             Kurikulum                                      Selangor

Zaidi Yazid                  Pusat Perkembangan   Azalawati Safar           SK Pengkalan Tentera
                             Kurikulum                                      Kuala Lumpur
                             Pusat Perkembangan   Leo@Leon Mariadass        SJKT Ladang Linsum
Salehuddin Mustaffa
                             Kurikulum                                      Negeri Sembilan
Aizatul Adzwa Mohd Basri     Pusat Perkembangan   Insha’ary Hj Ahmad        SK Alor Gajah
                             Kurikulum                                      Melaka
                                                  Kamal Huzaimi Hj. Kamis   SK Felda Semechu
Tuan Zubaidah Tuan Hussain   SK Kayang                                      Johor
                             Perlis
                                                  Wahab Abu Bakar           SK Felda Sg Rentang
Indon Sulong                 SK Mergong II
                                                                            Pahang
                             Kedah
                                                  Nik Ahmad Suhaidi         SK Pulau rusa
Shamsir Jemain               SK Sg Nyiur                                    Terengganu
                             P.Pinang



                                                  70
Hanafi Mohd Yunus           SK Nik Daud                    Saripah Ahmad       Bahagian Buku Teks
                            Kelantan
Imberan Yunus               SK Patau-Patau                 Kao Thuan Keat      Maktab Perguruan Ipoh
                            Labuan                                             Perak

Awang Zakaria Awang Jabai   SK Tambirat                    Sopia Yasin(Ph.D)   Universiti Perguruan
                            Sarawak                                            Sultan Idris
                                                                               Perak
Cheah Ghaik Khim            SJKC Chung Sin
                            Perak




Pereka Bentuk dan
Penyusun Atur
Zainon Abd Majid            Pusat Perkembangan Kurikulum



Pereka Bentuk Kulit
Mohd. Lufti Mahfudz         Pusat Perkembangan Kurikulum




                                                      71

Hsp sc y5

  • 1.
    Kurikulum Bersepadu SekolahRendah Huraian Sukatan Pelajaran SAINS Tahun Lima 2003 Pusat Perkembangan Kurikulum Kementerian Pendidikan Malaysia © 2003 Pusat Perkembangan Kurikulum
  • 2.
    Kementerian Pendidikan Malaysia PesiaranDuta 50604 Kuala Lumpur Cetakan Pertama 2003 Hak Cipta Terpelihara. Tidak dibenar mengeluar ulang mana-mana bahagian artikel, ilustrasi, dan isi kandungan buku ini dalam apa juga bentuk dan dengan cara apa jua sama ada secara elektronik, fotokopi, mekanik, rakaman, atau cara lain sebelum dapat izin bertulis daripada Pengarah, Pusat Perkembangan Kurikulum, Kementerian Pendidikan Malaysia. Perpustakaan Negara Malaysia. Data Pengkatalogan-dalam-Penerbitan Malaysia. Pusat Perkembangan Malaysia Pusat Perkembangan Kurikulum, Kementerian Pendidikan Malaysia. ISBN 1. 2.
  • 3.
    RUKUN NEGARA BAHAWASANYA negarakita Malaysia mendukung cita-cita hendak mencapai perpaduan yang lebih erat di kalangan seluruh masyarakatnya; memelihara satu cara hidup demokratik; mencipta masyarakat yang adil di mana kemakmuran Negara akan dapat dinikmati bersama secara adil dan saksama; menjamin satu cara yang liberal terhadap tradisi-tradisi kebudayaannya yang kaya dan berbagai-bagai corak; membina satu masyarakat progresif yang akan menggunakan sains dan teknologi moden; MAKA KAMI, rakyat Malaysia, berikrar akan menumpukan seluruh tenaga dan usaha kami untuk mencapai cita-cita tersebut berdasarkan prinsip-prinsip berikut: KEPERCAYAAN KEPADA TUHAN KESETIAAN KEPADA RAJA DAN NEGARA KELUHURAN PERLEMBAGAAN KEDAULATAN UNDANG-UNDANG KESOPANAN DAN KESUSILAAN
  • 4.
    FALSAFAH PENDIDIKAN KEBANGSAAN Pendidikandi Malaysia adalah satu usaha berterusan ke arah lebih memperkembangkan potensi individu secara menyeluruh dan bersepadu untuk melahirkan insan yang seimbang dan harmonis dari segi intelek, rohani, emosi dan jasmani berdasarkan kepercayaan dan kepatuhan kepada Tuhan. Usaha ini adalah bertujuan untuk melahirkan warganegara Malaysia yang berilmu pengetahuan, berketerampilan, berakhlak mulia, bertanggungjawab dan berkeupayaan mencapai kesejahteraan diri serta memberikan sumbangan terhadap keharmonian dan kemakmuran keluarga, masyarakat dan negara.
  • 5.
    FALSAFAH PENDIDIKAN SAINSNEGARA Selaras dengan Falsafah Pendidikan Kebangsaan, pendidikan sains di Malaysia memupuk budaya Sains dan Teknologi dengan memberi tumpuan kepada perkembangan individu yang kompetitif, dinamik, tangkas dan berdaya tahan serta dapat menguasai ilmu sains dan keterampilan teknologi.
  • 6.
    KANDUNGAN Kata Pengantar xi Pendahuluan 1 Matlamat dan Objektif 5 Kemahiran Saintifik 7 Kemahiran Berfikir 10 Sikap Saintifik dan Nilai Murni 19 Strategi Pengajaran dan Pembelajaran 21 Organisasi Kandungan 28 Bidang Pembelajaran Kemandirian Hidupan 36 Elektrik 39 Haba 42 Cahaya 45 Bunyi 50 Tenaga 52 Pepejal, Cecair dan Gas 55 Asid dan Alkali 58 Pengaratan 60 Fenomena Alam 63 Struktur Binaan 67 Penyumbang 70 iii
  • 7.
    Kata Pengantar 5 diolah dalam lima tema iaitu Menyiasat Alam Kehidupan, Menyiasat ALam Fizikal, Menyiasat Alam Bahan, Menyiasat Huraian Sukatan Pelajaran ialah dokumen yang Bumi dan Alam Semesta dan Menyiasat Dunia Teknologi. memperincikan Sukatan Pelajaran yang bertujuan untuk Organisasi kandungan Sains Tahun 5 dapat mewujudkan memenuhi cita-cita murni dan semangat Falsafah perkaitan antara pelbagai pengetahuan dalam bidang sains Pendidikan Kebangsaan, dan menyediakan murid dan merangkumi ilmu sains yang diperlukan dalam menghadapi arus globalisasi serta ekonomi berasaskan pendidikan sains di peringkat sekolah rendah. Di samping pengetahuan pada abad ke-21. itu, kandungan Sains Tahun 5 menyepadukan pemerolehan Dokumen ini menyarankan strategi pengajaran dan dan aplikasi pengetahuan, penguasaan kemahiran berfikir pembelajaran yang merangkumi pelbagai aktiviti dan dan saintifik, penerapan sikap saintifik dan nilai murni. penggunaan sumber. Guru digalakkan menggunakan Kesepaduan ini memberi kefahaman yang lebih bermakna kreativiti untuk memilih, menyusun dan mengolah aktiviti dalam pembelajaran sains. mengikut keperluan pengajaran dan pembelajaran. Huraian ini akan dapat membantu guru merancang dan Dalam penyediaan Huraian Sukatan Pelajaran ini, banyak melaksanakan pengajaran dan pembelajaran secara pihak yang terlibat terutamanya guru, pensyarah maktab, berkesan. pensyarah universiti, pegawai Kementerian Pendidikan, dan individu yang mewakili organisasi tertentu. Kepada Dalam aktiviti pengajaran dan pembelajaran, guru perlu semua pihak yang telah memberikan sumbangan memberikan penekanan pada unsur seperti kemahiran kepakaran, masa, dan tenaga sehingga terhasilnya Huraian berfikir, pembelajaran masteri, kemahiran belajar cara Sukatan Pelajaran ini, Kementerian Pendidikan belajar, kecerdasan pelbagai, pembelajaran kontekstual, merakamkan setinggi-tinggi penghargaan dan ucapan konstruktivisme, teknologi maklumat dan komunikasi, terima kasih. pembelajaran akses kendiri dan kajian masa depan. Di samping itu, nilai murni, semangat patriotik dan kewarganegaraan tetap diutamakan. Semua unsur ini dapat mewujudkan pengajaran dan pembelajaran yang berkesan untuk melahirkan murid yang dapat mengaplikasikan kemahiran dan pengetahuan dalam (Dr. SHARIFAH MAIMUNAH BT. SYED ZIN) kehidupan harian dan dunia pekerjaan. Pengarah Pusat Perkembangan Kurikulum Kandungan mata pelajaran Sains Sekolah Rendah Tahun Kementerian Pendidikan Malaysia ix
  • 8.
  • 9.
    PENDAHULUAN inovatif serta menjadi penyumbang kepada tamadun sains dan teknologi masa depan. Di Hasrat Pendidikan di Malaysia adalah suatu usaha samping itu, masyarakat ini juga berkebolehan pendidikan di Malaysia berterusan untuk memperkembangkan lagi untuk mengurus alam dan sumbernya secara op- potensi individu secara menyeluruh dan timum dan bertanggungjawab. Bagi mencapai bersepadu supaya dapat melahirkan insan yang hasrat ini, kita perlu membentuk warganegara seimbang, harmonis dan bermoral tinggi. Hasrat kritis, kreatif dan berketerampilan yang ini termaktub dalam Falsafah Pendidikan mengamalkan budaya sains dan teknologi. Kebangsaan. Dalam merealisasikan pembinaan Warganegara yang berbudaya sains dan insan seperti yang dihasratkan itu, pendidikan teknologi mempamerkan ciri-ciri seperti sains dalam Kurikulum Bersepadu Sekolah bersemangat ingin tahu dan ingin mencuba, celik Rendah (KBSR) dan Kurikulum Bersepadu sains, bersifat terbuka, membuat keputusan Sekolah Menengah (KBSM) diwacanakan agar berdasarkan fakta yang nyata, menghargai berupaya membentuk rakyat Malaysia yang sumbangan sains dan teknologi, menghargai seimbang daripada segi jasmani, emosi, rohani keseimbangan alam, mempunyai iltizam dan dan intelek. kesanggupan untuk menyumbang terhadap kemajuan sains dan teknologi. Masyarakat Sebagai sebuah negara yang sedang berilmu, saintifik melangkah ke arah status negara maju, Sains adalah satu bidang yang Sains sebagai bidang ilmu dan merangkumi pengetahuan, kemahiran, sikap progresif Malaysia perlu mewujudkan masyarakat yang pengetahuan saintifik dan progresif serta berilmu, yakni saintifik dan nilai murni. Integrasi antara tiga masyarakat yang mempunyai daya perubahan elemen ini amat penting untuk menjamin mutu yang tinggi, memandang jauh ke hadapan, pendidikan sains. Sebagai satu bidang ilmu 1
  • 10.
    pengetahuan, sains membekalkansatu rangka Kurikulum Sains KBSR dan KBSM Kurikulum sains dari konsep yang membolehkan murid memahami digubal untuk murid dari sekolah rendah hingga sekolah rendah ke alam sekeliling mereka. Ilmu pengetahuan sains ke sekolah menengah. Kurikulum ini digubal sekolah ini menjadi lebih bermakna kepada murid berdasarkan penguasaan kemahiran dan menengah apabila mereka dibimbing untuk penerapan sikap saintifik dan nilai murni. menghubungkaitkan fakta dengan konsep, Fokusnya adalah pada pembelajaran sains yang membuat pengitlakan, mengaitkan pembelajaran berfikrah dan mengoptimumkan hasil baru dengan ilmu yang sedia ada serta pembelajaran. Kurikulum sains terdiri daripada mengaplikasikan ilmu ini dalam kehidupan harian. dua mata pelajaran teras dan empat mata pelajaran elektif. Mata-mata pelajaran teras Sains sebagai Sains juga merupakan satu proses yang adalah Sains untuk sekolah rendah, dan Sains proses inkuiri mengutamakan kaedah inkuiri dan penyelesaian untuk sekolah menengah. Mata-mata pelajaran masalah. Justeru, ia memperkembangkan elektif ditawarkan di sekolah menengah atas. kemahiran untuk menyiasat alam sekitar yang Mata-mata pelajaran ini adalah Biologi, Fizik, melibatkan kemahiran berfikir dan strategi Kimia dan Sains Tambahan. berfikir serta kemahiran saintifik. Ilmu pengetahuan diperoleh sebagai hasil penyiasatan. Mata pelajaran Sains untuk sekolah Tujuan mata- mata Inkuiri secara saintifik juga memerlukan dan rendah dan Sains untuk sekolah menengah pelajaran sains di membolehkan murid memperkembangkan sikap rendah direka bentuk untuk memberi sekolah yang positif. Pembelajaran sains menggalakkan pengetahuan asas sains kepada murid, rendah dan sekolah sikap saintifik dan nilai murni termasuk semangat menyediakan murid supaya celik sains dan menengah ingin tahu, berfikiran terbuka, tabah, prihatin mampu mengikuti sains di peringkat menengah terhadap hidupan dan menghargai alam sekitar. atas. Sains untuk sekolah menengah atas pula 2
  • 11.
    di samping menghasilkanmurid yang celik sains, Program ini memberikan asas yang inovatif, juga menyediakan murid untuk kukuh kepada murid dalam pengetahuan sains, menceburi bidang sains dan teknologi yang lebih kemahiran berfikir, kemahiran saintifik serta sikap umum. Manakala mata-mata pelajaran sains saintifik dan nilai murni untuk menyediakan elektif bertujuan untuk menyediakan murid yang mereka mempelajari sains di sekolah menengah. cenderung, berminat dan berupaya dalam bidang Melalui program ini murid dapat menghubungkan sains untuk menceburi kerjaya bidang sains dan fakta dengan konsep, membuat pengitlakan dan teknologi yang khusus dan profesional. Golongan menghubungkaitkan pembelajaran baru dengan murid ini akan menjadi sumber tenaga manusia pengetahuan sedia ada mereka. dalam bidang sains dan teknologi yang memainkan peranan penting dalam pembangunan Kurikulum diperjelaskan dalam dua Kandungan dokumen negara. dokumen iaitu Sukatan Pelajaran(SP) dan kurikulum Huraian Sukatan Pelajaran (HSP) untuk setiap Fokus mata Mata pelajaran Sains untuk sekolah mata pelajaran. SP menggariskan penekanan pelajaran Sains rendah merupakan program tiga tahun untuk mu- matlamat, objektif dan kandungan kurikulum Rendah rid Tahap II. Ia bertujuan untuk membolehkan secara umum. HSP memperincikan kehendak murid mempelajari tentang diri sendiri dan alam kurikulum mengikut Tahun. HSP mengandungi sekitar mereka melalui pengalaman dan juga maklumat tentang matlamat dan objektif penyiasatan. Melalui program ini murid kurikulum, penerangan ringkas tentang kemahiran berpeluang memahami sesuatu konsep atau berfikir dan strategi berfikir, kemahiran saintifik, fenomena yang berlaku di sekeliling mereka dan sikap saintifik dan nilai murni, strategi pengajaran memberi penjelasan secara saintifik tentang dan pembelajaran, dan isi kandungan. kejadian fenomena tersebut. 3
  • 12.
    Isi kandungan memberispesifikasi tentang kurikulum melalui Hasil Pembelajaran yang dihasratkan dan Cadangan Aktiviti Pembelajaran. Di samping itu bahan sokongan kurikulum yang bertujuan untuk membantu guru melaksanakan kurikulum dengan berkesan juga disediakan. 4
  • 13.
    MATLAMAT 2. Memperoleh kefahaman tentang fakta dan konsep sains bagi membantu mereka memahami diri sendiri serta alam Kurikulum Sains sekolah rendah bertujuan untuk menyemai sekeliling. minat murid terhadap sains dan teknologi dan memberi asas pengetahuan dan kemahiran sains dan teknologi. Justeru, 3. Menguasai kemahiran berfikir dan strategi berfikir melalui murid mempunyai landasan untuk mengaplikasikan sains dan pembelajaran berfikrah. teknologi dalam kehidupan harian untuk mengikuti pelajaran sains di peringkat yang lebih tinggi di samping mengamalkan 4. Menguasai kemahiran saintifik iaitu kemahiran proses dan budaya sains dan teknologi ke arah pembentukan masyarakat kemahiran manipulatif melalui pendekatan inkuiri bersifat prihatin, dinamik, progresif, bertanggungjawab penemuan. terhadap alam sekeliling serta mengagumi penciptaan alam. 5. Mengaplikasikan pengetahuan dan kemahiran secara kritis dan kreatif berasaskan sikap saintifik dan nilai murni dalam penyelesaian masalah, membuat keputusan dan OBJEKTIF mengkonsepsikan. Kurikulum Sains untuk sekolah rendah membolehkan murid: 6. Menilai maklumat berkenaan sains dan teknologi dengan bijak dan berkesan. 1. Memperoleh pengetahuan asas sains dan teknologi dan dapat menghubungkaitkan pengetahuan ini dengan 7. Mengamalkan sikap saintifik dan nilai murni . fenomena alam semula jadi dan pengalaman harian. 5
  • 14.
    8. Mengembangkan minatdalam bidang sains dan teknologi. 10. Menyedari saling hubungan antara kehidupan dan pengurusan alam semula jadi untuk kebeterusan hidup. 9. Menghargai sumbangan dalam sains dan teknologi untuk pembangunan negara dan kesejahteraan manusia sejagat. 11. Menyedari bahawa penemuan melalui penyelidikan sains adalah usaha manusia berasaskan kemampuan akal untuk memahami fenomena alam ke arah mencapai kesejahteraan hidup manusia sejagat. 6
  • 15.
    KEMAHIRAN SAINTIFIK Penerangan tentang setiap kemahiran proses sains diberi seperti yang berikut: Sains mengutamakan kaedah inkuiri dan penyelesaian Memerhatikan Menggunakan deria penglihatan, masalah. Dalam proses inkuiri dan menyelesaikan masalah, pendengaran, sentuhan, rasa atau bau kemahiran saintifik dan kemahiran berfikir digunakan. untuk mengumpulkan maklumat tentang objek dan fenomena. Kemahiran saintifik merupakan kemahiran yang penting untuk menjalankan sebarang aktiviti mengikut kaedah saintifik. Mengelaskan Mengasingkan dan mengumpulkan Kaedah seperti eksperimen, penyelidikan, projek merupakan objek atau fenomena kepada kumpulan aktiviti yang menggunakan kemahiran saintifik. Kemahiran masing-masing berdasarkan kriteria saintifik terdiri daripada kemahiran proses sains dan tertentu seperti ciri atau sifat. kemahiran manipulatif. Pengumpulan ini adalah berdasarkan ciri atau sifat sepunya. Kemahiran Proses Sains Mengukur dan Membuat pemerhatian secara kuantitatif Kemahiran proses sains ialah kemahiran yang membolehkan menggunakan dengan menggunakan nombor dan alat murid mempersoalkan sesuatu dan mencari jawapan secara nombor berunit piawai atau alat yang bersistem. Kemahiran proses sains terdiri daripada kemahiran diseragamkan sebagai unit rujukan. yang mudah kepada yang kompleks. Pengukuran menjadikan pemerhatian lebih jitu. M embuat Membuat kesimpulan awal yang inferens munasabah, yang mungkin benar atau 7
  • 16.
    tidak benar, untukmenerangkan sesuatu Mendefinisikan Memberi tafsiran tentang sesuatu peristiwa atau pemerhatian. secara operasi konsep dengan menyatakan perkara yang dilakukan dan diperhatikan. Meramalkan Membuat jangkaan tentang sesuatu peristiwa berdasarkan pemerhatian dan Mengawal Mengenal pasti pemboleh ubah pengalaman yang lalu atau data yang pemboleh ubah dimanipulasikan, pemboleh ubah boleh dipercayai. bergerak balas dan pemboleh ubah yang dimalarkan. Dalam sesuatu Berkomunikasi Menerima, memilih, menyusun dan penyiasatan satu pemboleh ubah mempersembahkan maklumat atau idea dimanipulasikan untuk memerhatikan dalam pelbagai bentuk seperti tulisan, hubungannya dengan pemboleh ubah lisan, jadual, graf, rajah atau model. yang bergerak balas. Pada masa yang sama pemboleh ubah yang lain Menggunakan Memerihalkan perubahan parameter dimalarkan. perhubungan seperti lokasi, arah, bentuk, saiz, isi ruang padu, berat dan jisim sesuatu objek Membuat Membuat sesuatu pernyataan umum dan masa dengan masa. hipotesis tentang hubungan antara pemboleh ubah yang difikirkan benar bagi Mentafsirkan Memberi penerangan yang rasional menerangkan sesuatu perkara atau data tentang objek, peristiwa atau pola peristiwa. Pernyataan ini boleh diuji daripada data yang dikumpulkan. untuk membuktikan kesahihannya. 8
  • 17.
    Mengeksperimen Merancang dan menjalankan aktiviti untuk menguji sesuatu hipotesis, mengumpulkan data, mentafsirkan data sehingga mendapat rumusan daripada aktiviti itu. Kemahiran Manipulatif Kemahiran manipulatif merupakan kemahiran psikomotor dalam penyiasatan sains yang membolehkan murid melakukan perkara yang berikut: • Menggunakan dan mengendalikan peralatan dan bahan sains dengan betul. • Menyimpan peralatan dan bahan sains dengan betul dan selamat. • Membersihkan peralatan sains dengan cara yang betul. • Mengendalikan spesimen dengan betul dan cermat. • Melakar spesimen, peralatan dan bahan sains dengan tepat. 9
  • 18.
    KEMAHIRAN BERFIKIR dengan sistematik sebelum menerimanya. Seseorang yang berfikir secara kreatif mempunyai daya imaginasi tinggi, berupaya menjanakan idea yang inovatif dan asli, serta Berfikir merupakan satu proses mental yang memerlukan boleh mengubah suai idea dan produk yang sedia ada. individu menggabungjalinkan pengetahuan, kemahiran dan Strategi berfikir merupakan proses berfikir yang lebih sikap yang ada pada dirinya bagi membolehkannya tinggi peringkatnya yang melibatkan beberapa langkah dan memahami dan mencorakkan alam sekelilingnya. Salah setiap langkah melibatkan beberapa kemahiran berfikir satu objektif sistem pendidikan negara adalah kritis dan kreatif. Strategi berfikir merupakan fungsi utama mempertingkatkan daya berfikir di kalangan murid. dan matlamat akhir kepada proses berfikir. Objektif ini boleh dicapai melalui kurikulum yang menekankan pembelajaran berfikrah. Pembelajaran Kemahiran Berfikir Kritis berfikrah boleh dicapai jika murid dilibatkan secara aktif dalam proses pengajaran dan pembelajaran. Dalam Penerangan ringkas tentang setiap kemahiran berfikir kritis proses ini aktiviti pengajaran dan pembelajaran yang adalah seperti yang berikut : dirancangkan dapat mencungkil minda murid dan mendorongnya untuk berfikir agar mereka dapat Mencirikan Mengenal pasti kriteria seperti ciri, mengkonsepsikan, menyelesaikan masalah dan membuat sifat, kualiti dan unsur sesuatu konsep keputusan. Pengajaran dan pembelajaran yang atau objek. menekankan kemahiran berfikir dan strategi berfikir adalah teras kepada pembelajaran berfikrah. Membandingkan Mencari persamaan dan perbezaan dan berdasarkan kriteria seperti ciri, sifat, Kemahiran berfikir boleh digolongkan kepada membezakan kualiti dan unsur sesuatu objek atau pemikiran kritis dan pemikiran kreatif. Seseorang yang peristiwa. berfikir secara kritis akan sentiasa menilai sesuatu idea 10
  • 19.
    Mengumpulkan Mengasingkan dan mengumpulkan Mengesan Mengesan pandangan atau pendapat dan objek atau fenomena kepada kecondongan yang berpihak kepada atau menentang mengelaskan kumpulan masing-masing berdasarkan sesuatu. kriteria tertentu seperti ciri atau sifat. Pengumpulan ini adalah berdasarkan Menilai Membuat pertimbangan tentang ciri atau sifat sepunya. sesuatu perkara dari segi kebaikan dan keburukan, berdasarkan bukti atau Membuat Menyusun objek dan maklumat dalil yang sah. urutan mengikut tertib berdasarkan kualiti atau kuantiti ciri atau sifatnya seperti saiz, Membuat Membuat pernyataan tentang hasil masa, bentuk atau bilangan. kesimpulan sesuatu kajian yang berdasarkan kepada sesuatu hipotesis atau Menyusun Menyusun objek atau maklumat mengukuhkan sesuatu perkara mengikut mengikut tertib berdasarkan berdasarkan penyiasatan. keutamaan kepentingan atau kesegeraan. Menganalisis Mengolah maklumat dengan menghuraikannya kepada bahagian yang lebih kecil bagi memahami sesuatu konsep atau peristiwa serta mencari makna yang tersirat. 11
  • 20.
    Kemahiran Berfikir Kreatif Mengitlakkan Membuat pernyataan umum terhadap sesuatu perkara untuk keseluruhan Penerangan ringkas tentang setiap kemahiran berfikir kreatif kumpulan berdasarkan pemerhatian ke adalah seperti yang berikut: atas sampel atau beberapa maklumat daripada kumpulan itu. Menjanakan Menghasilkan idea yang berkaitan idea dengan sesuatu perkara. Membuat Membuat tanggapan atau gambaran membayangkan sesuatu idea, konsep, Menghubungkait Membuat perkaitan dalam sesuatu mental keadaan atau gagasan dalam minda atau -kan keadaan atau peristiwa untuk mencari fikiran. sesuatu struktur atau corak perhubungan. Mensintesiskan Menggabungkan unsur yang berasingan untuk menghasilkan satu gambaran Membuat Membuat kesimpulan awal yang menyeluruh dalam bentuk seperti inferens munasabah, yang mungkin benar atau pernyataan, lukisan dan artifak. tidak benar untuk menerangkan sesuatu peristiwa atau pemerhatian. Membuat Membuat sesuatu pernyataan umum hipotesis tentang hubungan antara pemboleh ubah Meramalkan Membuat jangkaan tentang sesuatu yang difikirkan benar bagi menerangkan peristiwa berdasarkan pemerhatian dan sesuatu perkara atau peristiwa. pengalaman yang lalu atau data yang Pernyataan ini boleh diuji untuk boleh dipercayai. membuktikan kesahihannya. 12
  • 21.
    Menganalogikan Membentuk kefahaman tentang sesuatu saling berhubung kait. konsep yang kompleks atau mujarad Membuat Memilih satu alternatif penyelesaian yang secara mengaitkan konsep itu dengan keputusan terbaik daripada beberapa alternatif konsep yang mudah atau maujud yang berdasarkan kriteria tertentu bagi mempunyai ciri yang serupa. mencapai matlamat yang ditetapkan. Mereka cipta Menghasilkan sesuatu yang baru atau Menyelesaikan Mencari penyelesaian yang tepat secara melakukan pengubahsuaian kepada masalah terancang terhadap situasi yang tidak sesuatu yang sedia ada untuk mengatasi pasti atau mencabar ataupun kesulitan masalah secara terancang. yang tidak dijangkakan. Kemahiran Berfikir Kritis dan Kreatif tersebut digunakan dalam Selain daripada kemahiran berfikir dan strategi berfikir strategi berfikir. yang tersebut, kemahiran menaakul merupakan satu lagi kemahiran yang diutamakan. Kemahiran menaakul ialah kemahiran yang digunakan dalam membuat pertimbangan Strategi Berfikir secara logik, rasional, adil dan saksama. Penguasaan kemahiran berfikir kritis, kreatif dan strategi berfikir menjadi Penerangan tentang setiap strategi berfikir adalah seperti yang lebih mudah jika seseorang itu berkebolehan membuat berikut: penaakulan secara induktif dan deduktif. Rajah 1 memberi Menkonsepsikan Membuat pengitlakan ke arah membina gambaran keseluruhan tentang kemahiran berfikir dan strategi pengertian, konsep atau model berfikir. berdasarkan ciri spesifik sepunya yang 13
  • 22.
    Rajah 1 :Model KBSB dalam Sains Penguasaan kemahiran berfikir dan strategi berfikir (KBSB) melalui pengajaran dan pembelajaran sains boleh Kemahiran Berfikir dikembangkan melalui peringkat berikut: 1. KBSB diperkenalkan. Kritis Kreatif 2. KBSB dipraktikkan dengan bimbingan guru. 3. KBSB dipraktikkan tanpa bimbingan guru. • Mencirikan • Menjanakan idea • Menbandingkan & • Menghubungkaitkan 4. KBSB diaplikasikan ke situasi baru dan membezakan • Membuat inferens diperkembangkan dengan bimbingan guru. • Mengumpulkan & • Meramalkan 5. KBSB digunakan bersama dengan kemahiran yang lain mengelaskan • Membuat hipotesis • Membuat urutan • Mensintesiskan untuk mencapai tugasan berfikir. • Menyusun mengikut Menaakul • Mengitlakkan keutamaan • Membuat gambaran Penerangan lanjut tentang peringkat penerapan KBSB • Menganalisis mental • Mengesan • Menganalogikan dalam sains diberi dalam Buku Panduan Penerapan Kemahiran kecondongan • Mereka cipta Berfikir dan Strategi Berfikir dalam Pengajaran dan • Menilai Pembelajaran Sains. • Membuat kesimpulan Strategi Berfikir • Mengkonsepsikan • Menyelesaikan masalah • Membuat keputusan 14
  • 23.
    Perkaitan antara KemahiranBerfikir dan Kemahiran Proses Kemahiran Berfikir Kemahiran Proses Sains Sains Mengelaskan Mencirikan Kemahiran proses sains ialah kemahiran yang diperlukan untuk Membandingkan dan mencari jawapan kepada sesuatu masalah atau membuat membezakan keputusan secara bersistem. Ia merupakan satu proses mental Mengumpulkan dan yang menggalakkan pemikiran secara kritis, kreatif, analitis dan mengelaskan sistematik. Penguasaan kemahiran proses sains bersama dengan sikap dan pengetahuan yang sesuai menjamin Mengukur dan Menghubungkaitkan keupayaan murid untuk berfikir secara berkesan. menggunakan Membandingkan dan nombor membezakan Untuk menguasai kemahiran proses sains, seseorang Membuat Menghubungkaitkan perlu menguasai kemahiran berfikir yang berkaitan. Kemahiran inferens Membandingkan dan berfikir utama yang berkaitan dengan setiap kemahiran proses membezakan sains adalah seperti yang berikut: Menganalisis Membuat inferens Kemahiran Proses Kemahiran Berfikir Sains Meramalkan Menghubungkaitkan Memerhatikan Mencirikan Membuat gambaran mental Membandingkan dan membezakan Menggunakan Membuat urutan Menghubungkaitkan perhubungan Menyusun mengikut keutamaan ruang dan masa 15
  • 24.
    Kemahiran Proses Kemahiran Berfikir Kemahiran Proses Kemahiran Berfikir Sains Sains Mentafsirkan data Membandingkan dan Membandingkan dan membezakan membezakan Menganalisis Menjanakan idea Mengesan kecondongan Membuat hipotesis Membuat kesimpulan Meramalkan Mengitlakkan Mensintesiskan Menilai Mengeksperimen Semua kemahiran berfikir Mendefinisi secara Menghubungkaitkan operasi Menganalogikan Berkomunikasi Semua kemahiran berfikir Membuat gambaran mental Menganalisis Pengajaran dan Pembelajaran yang Berteraskan Kemahiran Berfikir dan Mengawal pemboleh Mencirikan Kemahiran Saintifik ubah Membandingkan dan membezakan Kurikulum sains ini menekankan pembelajaran berfikrah yang Menghubungkaitkan berteraskan kemahiran berfikir dan kemahiran saintifik. Dalam Menganalisis kurikulum ini, hasil pembelajaran yang dihasratkan ditulis secara mengintegrasikan pemerolehan pengetahuan dengan Membuat hipotesis Mencirikan penguasaan kemahiran iaitu kemahiran berfikir dan kemahiran Menghubungkaitkan 16
  • 25.
    saintifik. Dalam pengajarandan pembelajaran, guru perlu Contoh (ii): menitikberatkan penguasaan kemahiran bersama dengan pemerolehan pengetahuan, di samping penerapan nilai murni Hasil Pembelajaran: Membuat kesimpulan tentang dan sikap saintifik. pergerakan cahaya. Berikut diberi beberapa contoh hasil pembelajaran yang Kemahiran Proses Membuat kesimpulan. berkaitan dengan pengajaran dan pembelajaran yang Sains: berteraskan kemahiran berfikir dan kemahiran saintifik serta penerangannya. Penerangan: Contoh (i): Sebelum hasil pembelajaran ini, murid telah membuat aktiviti Hasil Pembelajaran: Membuat inferens tentang penghasilan sama ada menyusun skrin kadbod yang dilubangkan atau bunyi. menggunakan kebuk asapyang dipancarkan cahaya dan membuat pemerhatian. Untuk mencapai hasil pembelajaran Kemahiran Berfikir: Membuat inferens yang dihasratkan ini, murid perlu membuat inferens tentang pemerhatian mereka dan akhirnya membuat kesimpulan tentang pergerakan cahaya. Penerangan: Untuk mencapai hasil pembelajaran yang tersebut, pengetahuan tentang pelbagai jenis bunyi dipelajari melalui aktiviti membandingkan dan membezakan. Penguasaan kemahiran membuat inferens adalah sama penting dengan pengetahuan tentang bagaimana bunyi dihasilkan. 17
  • 26.
    SIKAP SAINTIFIK DANNILAI • Berfikiran kritikal dan analitis. • Luwes dan berfikiran terbuka. MURNI • Baik hati dan penyayang. • Bersifat objektif. Pengalaman pembelajaran sains boleh memupuk sikap dan nilai • Sistematik. positif dalam diri murid. Sikap dan nilai positif yang dipupuk • Bekerjasama. dalam pembelajaran sains di sekolah meliputi sikap saintifik dan • Adil dan saksama. nilai murni seperti yang berikut: • Berani mencuba. • Berfikir secara rasional. • Minat dan bersifat ingin tahu tentang alam sekeliling. • Yakin dan berdikari. • Jujur dan tepat dalam merekod dan mengesahkan data. • Rajin dan tabah dalam menjalankan atau menceburi sesuatu Penerapan sikap saintifik dan nilai murni secara umum perkara. berlaku mengikut peringkat berikut iaitu menyedari dan • Bertanggungjawab ke atas keselamatan diri dan rakan serta memahami kepentingan dan keperluan sikap saintifik dan nilai terhadap alam sekitar. murni, memberi perhatian serta respons, menghayati, • Menyedari bahawa sains merupakan satu dripada cara mengamalkan dan seterusnya menjadikan sikap saintifik dan untuk memahami alam. nilai murni sebagai budaya kehidupan. Peringkat ini perlu • Menghargai dan mengamalkan kehidupan yang bersih dan diambil kira semasa merancang aktiviti pengajaran dan sihat. pembelajaran sains agar penerapan sikap saintifik dan nilai murni • Menghargai keseimbangan alam semula jadi. berlaku secara berkesan. • Berhemah tinggi dan hormat-menghormati. • Menghargai sumbangan sains dan teknologi. Dalam kurikulum ini, hasil pembelajaran untuk domain • Mensyukuri nikmat yang dikurniakan Tuhan. afektif dieksplisitkan di akhir setiap bidang pembelajaran. 18
  • 27.
    Walau bagaimanapun, dalampengajaran dan pembelajaran, Contoh (ii): penerapan sikap saintifik dan nilai murni harus berlaku secara berterusan. Contohnya semasa pelajaran yang melibatkan kerja Hasil Pembelajaran: Mensyukuri bahawa manusia adalah amali, guru perlu sentiasa mengingatkan murid tentang sebaik-baik kejadian. kepentingan menjalankan eksperimen secara teliti, cermat, Sikap saintifik Mensyukuri nikmat yang dikurniakan bekerjasama, jujur dan tabah. dan nilai murni: Tuhan. Perancangan yang rapi adalah diperlukan untuk Penerapan Unsur Patriotisme mengoptimumkan penerapan sikap saintifik dan nilai murni semasa pelajaran sains. Adalah digalakkan guru meneliti semua Kurikulum sains dapat mengukuhkan dan memupuk unsur hasil pembelajaran dalam sesuatu bidang pembelajaran yang patriotisme dan nilai kewarganegaraan di kalangan murid bagi berkaitan termasuk hasil pembelajaran tentang penerapan sikap meningkatkan komitmen individu terhadap bangsa dan negara. saintifik dan nilai murni sebelum memulakan pelajaran untuk Melalui tajuk yang berkaitan dengan sumber bumi, kekayaan sesuatu bidang pembelajaran. Berikut diberi contoh objektif dan kepelbagaian hidupan serta perkembangan sains dan pembelajaran yang berkaitan dengan penerapan sikap saintifik teknologi di negara kita, semangat mencintai negara dapat dan nilai murni. dikukuhkan. Contoh (i): Hasil Pembelajaran: Menghargai sumbangan teknologi dalam pengawetan makanan untuk kesejahteraan hidup. Sikap saintifik Menghargai sumbangan sains dan teknologi. dan nilai murni: 19
  • 28.
    STRATEGI PENGAJARAN DAN Pendekatan Pengajaran dan Pembelajaran Sains PEMBELAJARAN Pendekatan Inkuiri Penemuan Strategi pengajaran dan pembelajaran dalam kurikulum sains mengutamakan pembelajaran berfikrah. Pembelajaran Pendekatan inkuiri penemuan merupakan pendekatan yang berfikrah adalah satu proses pemerolehan dan penguasaan mementingkan pembelajaran melalui pengalaman. Inkuiri kemahiran dan ilmu pengetahuan yang dapat mengembangkan secara am bermaksud mencari maklumat, menyoal dan minda seseorang murid ke tahap yang optimum. Aktiviti yang menyiasat sesuatu fenomena yang berlaku di sekeliling. dirancangkan dalam pembelajaran berfikrah mesti yang dapat Penemuan merupakan sifat utama inkuiri. Pembelajaran mencetuskan pemikiran kritis dan kreatif murid dan bukan secara penemuan berlaku apabila konsep dan prinsip utama berbentuk rutin. Murid perlu sedar secara eksplisit dikaji dan ditemui oleh murid sendiri. Murid melalui aktiviti kemahiran berfikir dan strategi berfikir yang digunakan dalam seperti eksperimen akan menyiasat sesuatu fenomena dan pembelajaran. Soalan atau masalah yang beraras tinggi mencapai kesimpulan sendiri. Guru kemudian membimbing ditanyakan kepada murid dan murid diminta menyelesaikan murid untuk memahami konsep sains melalui hasil inkuiri masalah menggunakan daya kreatif dan kritis mereka. Murid penemuan tersebut. Kemahiran berfikir dan kemahiran dilibatkan secara aktif dalam pengajaran dan pembelajaran saintifik dikembangkan semasa proses inkuiri penemuan ini. yang mengintegrasikan pemerolehan pengetahuan, Namun demikian, perlu diingat bahawa pendekatan inkuiri penguasaan kemahiran dan penerapan nilai murni dan sikap penemuan tidak sesuai digunakan dalam semua situasi saintifik. pengajaran dan pembelajaran. Beberapa konsep dan prinsip Pembelajaran berfikrah boleh berlaku melalui lebih sesuai didedahkan secara langsung oleh guru atau pendekatan seperti inkuiri, konstruktivisme, sains, teknologi melalui inkuiri penemuan terbimbing. dan masyarakat, pembelajaran kontekstual, pembelajaran masteri. 20
  • 29.
    Konstruktivisme diwujudkan dalam kurikulum ini. Pendekatan STM mengesyorkan pembelajaran sains melalui penyiasatan dan Konstruktivisme ialah satu fahaman yang mencadangkan perbincangan berlandaskan isu sains dan teknologi dalam bahawa murid belajar sesuatu dengan cara membina sendiri masyarakat. Pengetahuan sains dan teknologi dipelajari pemahaman yang bermakna terhadap alam sekeliling mereka. bersama dengan aplikasi sains dan teknologi serta implikasi Antara unsur penting dalam konstruktivisme adalah seperti kepada masyarakat. berikut: Pembelajaran Kontekstual § Guru mengambil kira pengetahuan sedia ada murid. § Pembelajaran adalah hasil usaha murid itu sendiri. Pembelajaran kontekstual adalah pembelajaran yang § Pembelajaran berlaku bila murid menghubungkan idea dikaitkan dengan kehidupan harian murid. Pendekatan asal dengan idea baru bagi menstrukturkan semula idea kontekstual digunakan di mana murid belajar secara mereka. menyiasat seperti dalam pendekatan inkuiri-penemuan. § Murid berpeluang bekerjasama, berkongsi idea dan Dalam pembelajaran kontekstual, kaitan di antara bahan yang pengalaman serta membuat refleksi. diajar dengan kehidupan harian dieksplisitkan. Dalam konteks ini, murid tidak belajar secara teori sahaja tetapi Pendekatan Sains, Teknologi dan Masyarakat dapat menghayati kerelevanan pembelajaran sains dengan kehidupan mereka. Pembelajaran yang bermakna akan berlaku jika murid dapat menghubungkaitkan apa yang dipelajari dengan kehidupan Pembelajaran Masteri harian mereka. Pembelajaran bermakna berlaku dalam pendekatan seperti pembelajaran kontekstual dan Pembelajaran Masteri merupakan satu pendekatan yang Pendekatan Sains, Teknologi dan Masyarakat (STM). Tema memastikan semua murid menguasai objektif pembelajaran dan objektif pembelajaran yang berunsurkan STM yang ditetapkan. Pendekatan ini berpegang kepada prinsip 21
  • 30.
    bahawa setiap muridmampu belajar jika diberi peluang. pengajaran dan pembelajaran. Guru perlu prihatin terhadap Peluang perlu diberi kepada murid untuk belajar mengikut kepelbagaian jenis kecerdasan di kalangan murid. Kaedah kadarnya, tindakan pengayaan dan pemulihan perlu dijadikan dan aktiviti yang berbeza perlu dirancang untuk murid yang sebahagian daripada proses pengajaran dan pembelajaran. berbeza kecerdasan . Contoh kecerdasan ini adalah visual dan ruang, verbal linguistik, muzik dan irama, logikal Kaedah Pengajaran dan Pembelajaran matematik, kinestetik, perhubungan antara individu, perhubungan dengan diri sendiri, perhubungan antara insan Pendekatan pengajaran dan pembelajaran tersebut boleh dengan Penciptanya, pemahaman tentang alam sekitar. dilaksanakan melalui pelbagai kaedah pengajaran dan pembelajaran seperti eksperimen, perbincangan, simulasi, Berikut diberikan penerangan ringkas tentang projek, penggunaan sumber luar bilik darjah, kajian masa kaedah ini. depan dan penyelesaian masalah. Dalam kurikulum ini, cadangan kaedah pengajaran dan pembelajaran untuk Eksperimen mencapai objektif pembelajaran yang tertentu dinyatakan secara eksplisit dalam bentuk cadangan aktiviti pembelajaran. E ksperimen adalah satu kaedah yang lazim dijalankan dalam Walau bagaimanapun guru boleh mengubahsuaikan cadangan pelajaran sains. Murid menguji hipotesis secara penyiasatan aktiviti pembelajaran jika perlu. untuk menemui konsep atau idea sains yang tertentu. Kaedah saintifik digunakan semasa eksperimen. Menjalankan Penentuan kaedah pengajaran dan pembelajaran eksperimen menggunakan kemahiran berfikir, kemahiran seharusnya berdasarkan kandungan kurikulum, kebolehan proses dan kemahiran manipulatif. dan kepelbagaian jenis kecerdasan murid serta sumber dan prasarana yang ada. Di samping berperanan sebagai Secara kebiasaan, langkah yang diikuti semasa penyampai pengetahuan dan pakar rujuk bidang menjalankan eksperimen adalah seperti yang berikut: pengajarannya, guru juga berperanan sebagai fasilitator dalam § Mengenal pasti masalah 22
  • 31.
    § Membuat hipotesis Perbincangan § Merancang eksperimen - mengawal pemboleh ubah Perbincangan adalah aktiviti di mana murid menyoal dan - menentukan peralatan dan bahan yang diperlukan mengemukakan pendapat berlandaskan dalil atau alasan yang - menentukan langkah menjalankan eksperimen, sahih. Semasa perbincangan, murid perlu mempunyai fikiran kaedah mengumpulkan data dan menganalisis data terbuka untuk menerima pendapat orang lain. Perbincangan § Melakukan eksperimen perlu dijalankan semasa dan selepas menjalankan § Mengumpulkan data eksperimen, projek, aktiviti mengumpulkan dan mentafsirkan § Menganalisis data data, simulasi, penggunaan sumber luar bilik darjah, § Mentafsirkan data penyelesaian masalah dan lain-lain. § Membuat kesimpulan § Membuat pelaporan Simulasi Dalam kurikulum ini, adalah dicadangkan selain daripada Simulasi adalah aktiviti yang dijalankan menyerupai yang eksperimen yang di bimbing oleh guru, murid diberi peluang sebenarnya. Simulasi boleh dilaksanakan melaui main mereka bentuk eksperimen, iaitu mereka sendiri yang peranan, permainan dan penggunaan model. Dalam main merangka cara eksperimen yang berkenaan boleh peranan, murid melakonkan sesuatu peranan secara spontan dijalankan, data yang boleh diukur dan bagaimana berdasarkan beberapa syarat yang telah ditentukan. menganalisis data serta bagaimana membentangkan hasil Permainan pula mempunyai peraturan yang harus dipatuhi. eksperimen mereka. Aktiviti ini boleh dijalankan secara Murid bermain untuk mempelajari sesuatu prinsip ataupun bersendirian atau secara kumpulan kecil. untuk memahami proses membuat keputusan. Model boleh 23
  • 32.
    digunakan untuk mewakiliobjek atau keadaan sebenar. di mana murid perlu menjalankan aktiviti atau melaksanakan Murid dapat membayangkan situasi tersebut dan seterusnya tugasan semasa lawatan. Perbincangan selepas lawatan perlu memahami konsep dan prinsip yang dipelajari. diadakan. Kajian lapangan yang sering dijalankan dalam tajuk ekologi merupakan satu daripada contoh kaedah ini. Projek Kajian Masa Depan Projek adalah aktiviti yang dijalankan oleh individu atau se kumpulan murid untuk mencapai sesuatu tujuan tertentu dan Murid menggunakan pemikiran kritis dan kreatif untuk mengambil masa yang panjang serta menjangkau waktu meninjau perubahan keadaan daripada masa lalu ke masa pembelajaran yang formal. Murid dikehendaki mengenal pasti sekarang dan meramalkan keadaan pada masa depan. kaedah untuk menyelesaikan masalah yang dikemukakan dan Pedagogi ini berpusatkan murid dan menggabungjalinkan seterusnya merancang keseluruhan projek. Hasil projek pelbagai bidang seperti pendidikan moral dan pendidikan alam dalam bentuk laporan, artifak atau lain-lain perlu sekitar. Nilai murni seperti bertanggungjawab dan bekerjasama dibentangkan kepada guru dan murid lain. dipupuk melalui kaedah ini. Penyelesaian Masalah Penggunaan Sumber Luar Bilik Darjah Penyelesaian masalah adalah satu kaedah yang melibatkan Pembelajaran sains melalui lawatan ke tempat seperti zoo, murid secara aktif untuk membuat keputusan atau untuk muzium, pusat sains, institut penyelidikan, paya bakau dan kilang mencapai sasaran tertentu. Semasa penyelesaian masalah, boleh menjadikan pembelajaran lebih berkesan, aktiviti seperti simulasi, perbincangan dan eksperimen boleh menyeronokkan dan bermakna. Untuk mengoptimumkan dijalankan. Secara umum penyelesaian masalah melibatkan pembelajaran melalui lawatan, ia mesti dirancang secara rapi langkah seperti yang berikut: 24
  • 33.
    Kenal pasti dan faham masalah kaedah untuk mengajar konsep sains yang mujarad dan sukar. • Jelaskan masalah Simulasi dan animasi berkomputer boleh dipersembahkan • Cari alternatif penyelesaian masalah dalam bentuk perisian atau melalui pembelajaran melalui laman • Lakukan operasi penyelesaian web. Dalam konteks ini, teknologi maklumat berpotensi • Nilaikan penyelesaian menjadikan pembelajaran lebih menyeronokkan dan berkesan. Selain daripada ini, teknologi maklumat seperti komputer juga Penggunaan Teknologi dalam Pengajaran dan digunakan sebagai peralatan pemprosesan perkataan dan Pembelajaran Sains persembahan. Kemahiran memilih, mengumpul, mentafsir dan menilai data Penggunaan teknologi lain seperti penggunaan antara merupakan kemahiran yang dihasratkan dalam kurikulum sains muka berkomputer amat membantu dalam meningkatkan minat ini. Data yang telah ditafsir dan diproses akan menjadi murid belajar sains dan meningkatkan keberkesanan pengajaran maklumat. Data tidak semestinya wujud dalam bentuk dan pembelajaran sains. Antara muka berkomputer boleh maklumat berangka. Proses pengumpulan data dan data yang digunakan semasa menjalankan eksperimen untuk diperoleh masing-masing akan membawa murid ke arah meningkatkan keberkesanan pengajaran dan pembelajaran. pencapaian hasil pembelajaran. Murid boleh mengumpul data daripada bahan cetak, bahan elektronik, pakar rujuk atau Teknologi maklumat digunakan sebagai satu saluran untuk sumber lain. Dalam konteks ini, teknologi maklumat memainkan mengoptimumkan hasil pembelajaran. Selain daripada itu, peranan yang penting sebagai sumber data. Contoh teknologi penggunaan teknologi secara umum memudahkan maklumat dan komunikasi ialah televisyen, radio, video, perisian pembelajaran terarah kendiri dan pembelajaran mengikut kadar komputer, perisian kursus, Internet dan kemudahan telesidang. sendiri yang seterusnya membenarkan integrasi mengufuk dan Simulasi dan animasi berkomputer merupakan satu lagi 25
  • 34.
    integrasi menegak berlakudalam sistem persekolahan kita. dalam membantu meningkatkan mutu pengajaran dan pembelajaran sains. Bahan yang boleh membantu pengajaran dan pembelajaran sains Bersama dengan dokumen Sukatan Pelajaran dan Huraian Sukatan Pelajaran ini, Pusat Perkembangan Kurikulum juga menerbitkan beberapa bahan untuk membantu meningkatkan keberkesanan pengajaran dan pembelajaran sains. Bahan ini adalah seperti yang berikut: 1. Buku Panduan Penerapan Kemahiran Berfikir dan Strategi Berfikir dalam Pengajaran dan Pembelajaran Sains 2. Buku Panduan Pembelajaran Masteri 3. Buku Panduan Pengurusan Makmal 4. Buku Panduan Kemahiran Proses Sains 5. Sistem Maklumat dalam Pengajaran dan Pembelajaran Sains Selain daripada bahan ini, bahan seperti buku teks, perisian dan laman web yang dihasilkan oleh Kementerian Pendidikan atau agensi lain yang berwibawa juga boleh dirujuk 26
  • 35.
    ORGANISASI KANDUNGAN A2 dan A3 ditulis dalam bentuk objektif perlakuan yang boleh diukur. Objektif perlakuan ini mengandungi unsur pengetahuan, kemahiran saintifik, kemahiran berfikir, sikap saintifik dan nilai Kurikulum sains KBSR Tahap II disusun atur mengikut murni yang sesuai dengan objektif pembelajaran umum yang beberapa tema yang terdiri dari lima Bidang Penyiasatan (BP) dinyatakan dalam HP. A1, A2 dan A3 merujuk kepada iaitu Menyiasat Alam Kehidupan, Menyiasat Alam Fizikal, kedalaman dan skop HP yang berkenaan. A1 adalah aras yang Menyiasat Alam Bahan, Menyiasat Bumi dan Alam Semesta asas dan harus dikuasai oleh murid sebelum melanjut ke A2 dan Menyiasat Dunia Teknologi. Setiap BP mempunyai dan seterusnya ke A 3. beberapa Hasil Pembelajaran (HP). HP terdiri daripada HP umum dan HP khusus. Secara am, HP dalam sesuatu BP disusun secara berurutan daripada mudah ke kompleks. HP sebaik-baiknya HP umum ditulis mengikut peringkat dalam domain dipelajari mengikut urutannya dalam setiap BP. Walau kognitif dan afektif. Peringkat dalam domain kognitif adalah bagaimanapun, dalam pengajaran dan pembelajaran, urutan HP mengetahui, memahami, mengaplikasikan, menganalisis, dan BP boleh diubahsuai mengikut keperluan atau konteks. mensintesiskan dan menilai. Peringkat dalam domain afektif adalah menyedari, menghargai, menghayati, mengagumi, Cadangan Aktiviti Pembelajaran memberi cadangan menyayangi, mensyukuri dan mengamalkan. Hasil pembelajaran pengalaman pembelajaran yang akan dilalui oleh murid. Ia juga dalam domain psikomotor adalah tersirat dalam aktiviti memberi maklumat tentang skop dan kedalaman sesuatu hasil pembelajaran yang dicadangkan. pemblajaran. Cadangan Aktiviti Pembelajaran diberi untuk membantu guru merancang aktiviti yang perlu dijalankan bagi Setiap HP umum seterusnya diperincikan kepada HP mencapai HP yang berkaitan. Satu aktiviti mungkin khusus yang ditulis dalam tiga aras, iaitu Aras 1 (A1), Aras 2 dicadangkan untuk mencapai satu atau lebih hasil (A2) dan Aras 3 (A3). Hasil pembelajaran khusus dalam A1, pembelajaran. Pada masa yang sama, lebih daripada satu aktiviti 27
  • 36.
    mungkin dicadangkan untuksatu hasil pembelajaran. Guru Perkataan atau Frasa Perkataan atau Frasa Yang boleh mengubahsuai cadangan aktiviti ini sesuai dengan jenis Yang Digunakan Dalam Digunakan Dalam Hasil kecerdasan, tahap kebolehan murid dan juga keadaan Hasil Pembelajaran Pembelajaran Khusus sekeliling mereka. Guru digalakkan mereka bentuk aktiviti Umum tambahan yang inovatif dan berkesan untuk meningkatkan mutu • Memadankan pengajaran dan pembelajaran sains. • Menamakan • Menyatakan Penulisan Hasil Pembelajaran • Melukis Hasil pembelajaran umum dan hasil pembelajaran khusus • Menulis dalam domain kognitif dan domain psikomotor ditulis • Melakar menggunakan perkataan mengikut prinsip yang telah digubal Memahami • Mengubah bersesuaian dengan hierarki aras berfikir seperti dalam • Menganggar Jadual 1: Perkataan atau Frasa Yang Digunakan dalam Hasil • Menerangkan - menterjemahkan Pembelajaran Domain Kognitif dan Domain bahan atau idea • Memberi contoh Psikomotor daripada satu bentuk • Mengukur Perkataan atau Frasa Perkataan atau Frasa Yang • Menyukat ke bentuk lain; Yang Digunakan Dalam Digunakan Dalam Hasil • Menentukan mentafsir bahan atau Hasil Pembelajaran Pembelajaran Khusus • Menukar idea, menganggar • Membandingkan dan Umum trend masa depan. membezakan Mengetahui • Mentakrifkan • Meramalkan - mengingat kembali • Memerihalkan • Membuat inferens • Mengenal pasti • Menghubungkaitkan • Melabelkan • Mencirikan • Menyenaraikan • Mengelaskan 28
  • 37.
    Perkataan atau Frasa Perkataan atau Frasa Yang Perkataan atau Frasa Perkataan atau Frasa Yang Yang Digunakan Dalam Digunakan Dalam Hasil Yang Digunakan Dalam Digunakan Dalam Hasil Hasil Pembelajaran Pembelajaran Khusus Hasil Pembelajaran Pembelajaran Khusus Umum Umum Mengaplikasikan • Mengira • Membuat kesimpulan • Menghitung • Mengawal pemboleh ubah - menggunakan • Menunjuk cara bahan/idea dalam • Mengubah suai Mensintesiskan • Menggabungkan situasi yang baru dan • Menjanakan idea • Merancang konkrit • Mengitlakkan - menggabungkan • Meringkaskan • Menjelaskan dengan contoh komponen-komponen • Membina untuk menghasilkan • Merangkakan Menganalisis • Mencerakinkan keseluruhan idea • Mereka cipta • Menjelaskan melalui contoh atau struktur yang • Mereka bentuk - mengasingkan • Memilih baru dan kreatif • Mengkonsepsikan maklumat kepada • Mengasingkan • Menganalogikan komponen- • Membuat andaian • Mebuat gambaran mental komponennya untuk • Menghuraikan • Mendefinisikan secara memahami struktur • Menyelesaikan masalah operasi organisasinya dan • Membuat urutan • Berkomunikasi perhubungan antara • Menyusun mengikut • Mengeksperimen komponen keutamaan • Membuat hipotesis • Menggunakan perhubungan ruang dan masa 29
  • 38.
    Perkataan atau Frasa Perkataan atau Frasa Yang Perkataan atau Frasa Perkataan atau Frasa Yang Yang Digunakan Dalam Digunakan Dalam Hasil Yang Digunakan Dalam Digunakan Dalam Hasil Hasil Pembelajaran Pembelajaran Khusus Hasil Pembelajaran Pembelajaran Khusus Umum Umum • Menjawab Menilai • Menaksir • Melaporkan - menilai idea/ • Mengkritik • Memberitahu bahan/maklumat/ • Mentafsir • Menyoal kaedah berdasarkan • Menyokong • Menerangkan kriteria yang spesifik • Mewajarkan • Mengenali untuk tujuan yang • Mengesan kecondongan • Menyatakan tertentu • Membuat keputusan • Mengenal pasti Hasil pembelajaran umum dan hasil pembelajaran khusus dalam Menghargai • Memilih domain afektif ditulis menggunakan perkataan mengikut satu Menghayati • Menunjukkan minat prinsip yang telah digubal bersesuaian dengan peringkat Mengagumi • Mempertahankan penerapan sikap saintifik dan nilai murni seperti dalam Jadual 2: • Membandingkan dan membezakan Jadual 2: Perkataan atau Frasa yang Digunakan dalam Hasil • Mencadangkan Pembelajaran Domain Afektif • Mengitlakkan Perkataan atau Frasa Perkataan atau Frasa Yang • Menyepadukan Yang Digunakan Dalam Digunakan Dalam Hasil • Menghubungkaitkan Hasil Pembelajaran Pembelajaran Khusus • Mewajarkan Umum • Menerima • Meramalkan Menyedari • Memerihalkan 30
  • 39.
    Perkataan atau Frasa Perkataan atau Frasa Yang Yang Digunakan Dalam Digunakan Dalam Hasil Hasil Pembelajaran Pembelajaran Khusus Umum Menyayangi • Menolong Mensyukuri • Mengambil bahagian Mengamalkan • Menderma • Memberi • Mempraktikkan • Melakukan • Membina • Mengerjakan • Memulihara • Mengendalikan • Memelihara • Menyertai • Membantu • Menggunakan • Menyelesaikan • Melaksanakan • Menyediakan • Mengucapkan • Mengambil • Menjaga • Menghormati 31
  • 40.
    Tajuk dan BidangPembelajaran bagi keseimbangan alam secara semula jadi. Tema ini juga memberi tumpuan tentang proses hidup yang berlaku pada Kandungan pengetahuan mata pelajaran Sains Sekolah Rendah manusia bagi membolehkan murid memahami diri mereka Tahun 4, 5 dan 6 di olah dalam lima tema seperti berikut: sendiri. A. Menyiasat Alam Kehidupan B. Menyiasat Alam Fizikal Bidang Pembelajaran dalam tema ini adalah: C. Menyiasat Alam Bahan D. Menyiasat Bumi dan Alam Semesta 1. Kepelbagaian Hidupan Dalam Alam. E. Menyiasat Dunia Teknologi 2. Hidupan dan Proses Hidup. 3. Kemandirian Hidupan. Pendekatan bertema ini dapat mewujudkan perkaitan antara 4. Interaksi Antara Hidupan. pelbagai pengetahuan untuk memahami diri dan fenomena yang berlaku dalam alam. Di samping itu pendekatan ini juga menyepadukan pemerolehan dan aplikasi pengetahuan, B. Menyiasat Alam Fizikal penguasaan kemahiran berfikir dan saintifik, penerapan sikap saintifik dan nilai murni. Kesepaduan ini memberi kefahaman Murid didedahkan kepada kuantiti fizik yang asas. Tema ini yang lebih bermakna dalam pembelajaran sains. juga membincangkan fenomena cahaya, haba, bunyi, daya, gerakan, elektrik, magnet dan tenaga. Berikut diberikan kandungan pengetahuan dalam setiap tema. Bidang Pembelajaran dalam tema ini adalah: A. Menyiasat Alam Kehidupan 1. Kuantiti Fizik. Tema ini bertujuan memberikan asas kefahaman tentang 2. Kemagnetan. kepelbagaian hidupan, proses hidup, interaksi antara hidupan 3. Elektrik. dan bagaimana hidupan memastikan kemandirian spesiesnya 4. Haba 32
  • 41.
    5. Cahaya D. Menyiasat Bumi dan Alam Semesta 6. Bunyi 7. Tenaga Tema ini memberi peluang kepada murid memahami tentang 8. Daya dan Gerakan. Bumi, Bulan dan Matahari serta jasad lain dalam Sistem Suria. Murid juga berpeluang kesan pergerakan Bumi, Bulan dan Matahari dan bagaimana pergerakan ini dapat memberi manfaat C. Menyiasat Alam Bahan kepada manusia. Tema ini membolehkan murid menyiasat bahan semula jadi dan Bidang Pembelajaran dalam tema ini adalah: bahan buatan. Murid menggunakan pengetahuan mereka 1. Bumi, Bulan dan Matahari. tentang sifat bahan dan mengaitkan dengan kegunaannya. 2. Fenomena Alam. Selain daripada itu murid juga dapat memahami konsep di 3. Astronomi. sebalik kejadian awan dan hujan. E. Menyiasat Dunia Teknologi Bidang Pembelajaran dalam tema ini adalah: Tema ini memberi peluang kepada murid untuk menyiasat sejarah 1. Bahan Asli dan Bahan Sintetik. perkembangan teknologi dan teknologi semasa yang digunakan 2. Pepejal, Cecair dan Gas. dalam bidang pertanian, komunikasi, pengangkutan dan 3. Asid dan Alkali. pembinaan. Selain dari itu murid juga berpeluang mereka cipta 4. Pengaratan. alat dengan menggunakan prinsip sains yang telah mereka 5. Pengawetan Bahan Makanan. pelajari. 6. Pengendalian Bahan Buangan. Bidang Pembelajaran dalam tema ini adalah: 1. Perkembangan Teknologi. 2. Struktur Binaan. 3. Mesin. 33
  • 42.
    Haba Objektif PembelajaranSains Tahun Lima 1. Memahami haba. Objektif Pembelajaran untuk setiap tema dan Bidang 2. Menganalisis kesan haba ke atas bahan. Pembelajaran ditulis dalam bentuk Hasil Pembelajaran seperti 3. Menyedari kepentingan haba dalam kehidupan berikut: harian. MENYIASAT ALAM KEHIDUPAN Cahaya 1. Mensintesiskan idea tentang pergerakan cahaya Kemandirian Hidupan menembusi objek. 2. Mengaplikasikan pantulan cahaya. 3. Memahami cahaya boleh dibiaskan. 1. Memahami kemandirian spesies haiwan dan 4. Menganalisis penyebaran cahaya Matahari. tumbuhan. 5. Mengagumi kepelbagaian sifat cahaya ciptaan Tuhan. 2. Mensintesiskan hubungan makanan antara hidupan. 3. Menghayati kepentingan hubungan antara hidupan Bunyi dalam siratan makanan. 1. Memahami bunyi. 2. Mengamalkan sikap bertimbang rasa dalam MENYIASAT ALAM FIZIKAL pengendalian sumber bunyi. Elektrik Tenaga 1. Mensintesiskan litar elektrik lengkap. 1. Memahami tenaga. 2. Mensintesiskan idea tentang kebolehan bahan 2. Memahami tenaga elektrik. mengalirkan arus elektrik. 3. Menghargai sumbangan sains dan teknologi dalam 3. Mengamalkan sikap sistematik dalam membina litar penciptaan alat yang boleh mengubah bentuk tenaga. elektrik. 34
  • 43.
    MENYIASAT ALAM BAHAN MENYIASAT BUMI DAN ALAM SEMESTA Pepejal, Cecair dan Gas Fenomena Alam 1. Mengaplikasikan idea tentang keadaan pepejal, 1. Memahami fenomena alam yang terhasil daripada cecair dan gas. keadaan yang wujud dalam Bumi. 2. Menganalisis perubahan pada keadaan bahan apabila 2. Memahami fenomena siang dan malam. dipanaskan atau disejukkan. 3. Menganalisis fenomena fasa bulan. 3. Menghargai fenomena perubahan keadaan air. 4. Mensyukuri pergerakan Bumi dan Bulan memberi manfaat kepada manusia. Asid dan Alkali 1. Mensintesiskan idea tentang bahan berasid, beralkali MENYIASAT DUNIA TEKNOLOGI dan neutral. 2. Mengamalkan sikap bertanggung jawab atas Struktur Binaan keselamatan diri dan rakan semasa menggunakan bahan berasid dan beralkali. 1. Mensintesis idea tentang kekuatan dan kestabilan sesuatu binaan. 2. Menghargai sumbangan teknologi dalam Pengaratan menghasilkan struktur binaan yang kuat dan stabil. 1. Menganalisis pengaratan bahan. 2. Menganalisis pencegahan pengaratan. 3. Mengamalkan langkah mencegah pengaratan. 35
  • 44.
    SAINS TAHUN 5 MENYIASATALAM KEHIDUPAN Bidang Hasil Pembelajaran Cadangan Aktiviti Pembelajaran Pembelajaran Kemandirian 1. Memahami kemandirian spesies haiwan Mengadakan perbincangan tentang kemandirian Hidupan dan tumbuhan. spesies haiwan melalui cara berikut: (a) Penjagaan dan perlindungan telur dan anak. Aras 1 (b) Bertelur banyak dan melahirkan anak. • Menerangkan cara kemandirian spesies haiwan. Mengadakan perbincangan tentang kemandirian • Menerangkan cara kemandirian spesies tumbuhan melalui cara berikut: spesies tumbuhan. (a) Ciri khas tumbuhan. (b) Pencaran biji benih. Aras 2 • Menghubungkaitkan ciri khas haiwan Memerhati dan mengkaji tentang ciri khas pada dengan kemandirian spesiesnya. haiwan dan tumbuhan berhubung dengan kemandirian • Menghubungkaitkan ciri khas spesiesnya. tumbuhan dengan kemandirian spesiesnya. Membuat ramalan cara hidupan tertentu bermandiri jika berlaku situasi baru seperti kemarau yang Aras 3 berpanjangan, kekurangan makanan atau perubahan • Meramalkan cara hidupan habitat. bermandiri dalam situasi baru. 36
  • 45.
    MENYIASAT ALAM KEHIDUPAN SAINS TAHUN 5 Bidang Hasil Pembelajaran Cadangan Aktiviti Pembelajaran Pembelajaran 2. Mensintesiskan hubungan makanan Menyanyikan lagu seperti “Bangau Oh Bangau” yang antara haiwan. telah diubahsuaikan liriknya bagi menggambarkan rantai makanan. Aras 1 • Memberi contoh beberapa haiwan Membina beberapa rantai makanan. dan makanannya. • Menghubungkaitkan haiwan dengan Nota: makanannya dalam bentuk rantai Rantai makanan bermula dengan tumbuhan. makanan. Menjalankan aktiviti untuk menggabungkan beberapa Aras 2 rantai makanan dalam satu habitat untuk membentuk • Menghubungkaitkan beberapa rantai siratan makanan. makanan untuk membentuk siratan makanan. Menjalankan aktiviti permainan untuk menggambarkan rantai makanan dan siratan Aras 3 makanan. • Membina siratan makanan yang terdapat dalam pelbagai habitat. Menyiasat hidupan di beberapa kawasan seperti taman, parit dan kolam bagi membina rantai makanan dan siratan makanan habitat yang berkenaan. 37
  • 46.
    MENYIASAT ALAM KEHIDUPAN SAINS TAHUN 5 Bidang Hasil Pembelajaran Cadangan Aktiviti Pembelajaran Pembelajaran 3. Menghayatikepentingan hubungan Membincangkan kesan terhadap hidupan jika antara hidupan dalam siratan makanan. berlaku perubahan kepada salah satu hidupan dalam siratan makanan yang berkenaan. • Mewajarkan kepentingan sesuatu hidupan kepada hidupan lain dalam Mengadakan perbincangan untuk menimbulkan siratan makanan. kesedaran bahawa setiap hidupan berperanan dalam siratan makannnya. 38
  • 47.
    SAINS TAHUN 5 MENYIASATALAM FIZIKAL Bidang Hasil Pembelajaran Cadangan Aktiviti Pembelajaran Pembelajaran Elektrik 1. Mensintesiskan litar elektrik lengkap. Menjalankan aktiviti membina litar elektrik lengkap dengan menggunakan mentol, wayar penyambung dan Aras 1 sel kering. • Membina litar elektrik lengkap. • Memerihalkan litar elektrik lengkap. Menyiasat fungsi suis, mentol, sel kering dan wayar penyambung dalam litar elektrik. Aras 2 • Mengenal pasti komponen dalam Nota: litar elektrik. Mentol boleh digantikan dengan komponen lain • Menerangkan komponen dalam litar seperti loceng elektrik atau motor elektrik. elektrik. • Melukiskan litar elektrik lengkap Menjalankan aktiviti melukis rajah litar elektrik menggunakan simbol. lengkap menggunakan simbol. Aras 3 Mengadakan perbincangan untuk mendefinisikan • Mendefinisi secara operasi litar secara operasi litar elektrik lengkap iaitu litar yang elektrik lengkap. disambungkan wayar penyambung, sel kering dan mentol sehingga membolehkan mentol menyala. 39
  • 48.
    MENYIASAT ALAM FIZIKAL SAINS TAHUN 5 Bidang Hasil Pembelajaran Cadangan Aktiviti Pembelajaran Pembelajaran Menjalankan eksperimen untuk menyiasat pelbagai 2. Mensintesiskan idea tentang kebolehan objek dan bahan seperti dawai, paku besi, penyedut bahan mengalirkan arus elektrik. minuman, tali rafia, duit syiling, paku tekan, klip kertas, pembaris kayu, air limau, cuka, air gula, air garam, air Aras 1 paip dan air sabun untuk menentukan objek atau • Membuat hipotesis tentang bahan tersebut konduktor atau penebat. kebolehan bahan mengalirkan arus elektrik. • Mendefinisikan secara operasi konduktor dan penebat. Aras 2 • Mengawal pembolehubah dalam eksperimen untuk menguji kebolehan bahan mengalirkan arus elektrik. Aras 3 • Membuat kesimpulan kebolehan bahan mengalirkan arus elektrik. 40
  • 49.
    MENYIASAT ALAM FIZIKAL SAINS TAHUN 5 Bidang Hasil Pembelajaran Cadangan Aktiviti Pembelajaran Pembelajaran 3. Mengamalkan sikap sistematik dalam Menjalankan eksperimen membina litar elektrik lengkap membina litar elektrik. secara sistematik. • Mempamerkan ketertiban semasa menjalankan eksperimen membina litar elektrik. 41
  • 50.
    SAINS TAHUN 5 MENYIASATALAM FIZIKAL Bidang Hasil Pembelajaran Cadangan Aktiviti Pembelajaran Pembelajaran Haba 1. Memahami haba. Merasa dengan sentuhan jari kepanasan air pada suhu yang berbeza. Aras 1 • Menyatakan sesuatu bahan itu panas Menjalankan aktiviti memanaskan air dan merasa atau sejuk. dengan sentuhan untuk membezakan kepanasan air • Membuat inferens tentang perbezaan sebelum dan selepas pemanasan dan seterusnya kepanasan air. membuat inferens tentang perbezaan tersebut. Nota: Aras 2 Jangan gunakan air terlalu panas. • Menyatakan suhu adalah darjah kepanasan. Membincangkan kepanasan disebabkan haba • Mengukur suhu air dengan manakala suhu adalah darjah kepanasan. menggunakan termometer. Mengukur perubahan suhu air yang dipanaskan dan Aras 3 dibiarkan sejuk menggunakan termometer dengan • Menghubungkaitkan penambahan teknik dan unit yang betul. dan kehilangan haba dengan Nota: perubahan suhu. Air tidak perlu dipanaskan hingga mendidih. Membincangkan perhubungan antara penambahan dan kehilangan haba dengan penambahan dan penurunan suhu. 42
  • 51.
    MENYIASAT ALAM FIZIKAL SAINS TAHUN 5 Bidang Hasil Pembelajaran Cadangan Aktiviti Pembelajaran Pembelajaran 2. Menganalisiskan kesan haba ke atas Menjalankan aktiviti sumbang saran tentang kesan haba bahan. ke atas bahan. Aras 1 Menjalankan aktiviti untuk menyiasat pengembangan • Memerihalkan kesan haba ke atas dan pengecutan pepejal, cecair dan gas. bahan. Mengumpulkan dan mentafsirkan data berkaitan dengan Aras 2 aplikasi pengembangan dan pengecutan bahan dalam • Menghubungkaitkan perubahan kehidupan harian. suhu dengan pengembangan dan pengecutan bahan. Aras 3 • Menjelaskan melalui contoh pengembangan bahan dalam kehidupan harian. 43
  • 52.
    MENYIASAT ALAM FIZIKAL SAINS TAHUN 5 Bidang Hasil Pembelajaran Cadangan Aktiviti Pembelajaran Pembelajaran 3. Menyedari kepentingan haba dalam Membincangkan cara manusia memanfaatkan kehidupan harian. pengetahuan tentang pengembangan dan pengecutan bahan dalam kehidupan harian. • Menerangkan secara kritis kepentingan pengetahuan tentang pengembangan dan pengecutan bahan dalam kehidupan harian. 44
  • 53.
    SAINS TAHUN 5 MENYIASATALAM FIZIKAL Bidang Hasil Pembelajaran Cadangan Aktiviti Pembelajaran Pembelajaran Cahaya 1. Mensintesiskan idea tentang pergerakan Membincangkan sumber-sumber cahaya. cahaya menembusi objek. Menjalankan eksperimen untuk mengkaji bahawa Aras 1 cahaya bergerak lurus. • Menyenaraikan sumber cahaya. • Membuat kesimpulan tentang Menyiasat kebolehan cahaya menembusi objek. pergerakan cahaya. Membuat pengelasan objek lutsinar, lutcahaya dan Aras 2 legap berdasarkan kebolehan cahaya menembusinya. • Menyatakan kebolehan cahaya menembusi objek. Menjalankan eksperimen untuk menyiasat saiz • Mengelaskan objek berdasarkan bayang-bayang yang terhasil oleh pelbagai objek sifat lutsinar, lutcahaya dan legap. legap. Aras 3 Menjalankan aktiviti untuk menyiasat bentuk bayang- • Mengeksperimen pembentukan bayang yang terhasil oleh pelbagai objek legap. bayang-bayang oleh objek legap. 45
  • 54.
    SAINS TAHUN 5 MENYIASATALAM FIZIKAL Bidang Hasil Pembelajaran Cadangan Aktiviti Pembelajaran Pembelajaran 2. Mengaplikasikan pantulan cahaya. Menjalankan aktiviti memantulkan cahaya matahari menggunakan cermin. Aras 1 • Menyatakan cahaya boleh Mengkaji pantulan cahaya oleh pelbagai permukaan dipantulkan. seperti permukaan licin, berkilat dan tidak rata. Aras 2 Membincangkan pantulan cahaya dalam kehidupan • Menyatakan pantulan cahaya oleh harian. sesuatu permukaan. Mengumpulkan dan mentafsirkan data tentang alat Aras 3 yang menggunakan sifat pantulan cahaya. • Memberi contoh alat yang menggunakan sifat pantulan Menjalankan projek membina alat yang cahaya. menggunakan sifat pantulan cahaya seperti periskop • Menjanakan idea untuk membina dan kleidoskop. alat yang menggunakan sifat pantulan cahaya. 46
  • 55.
    SAINS TAHUN 5 MENYIASATALAM FIZIKAL Bidang Hasil Pembelajaran Cadangan Aktiviti Pembelajaran Pembelajaran 3. Memahami cahaya boleh dibiaskan. Menjalankan aktiviti menyiasat pergerakan cahaya yang melalui medium yang berbeza iaitu udara-air, Aras 1 air-udara, udara-kaca, kaca-udara. • Memerihalkan pergerakan cahaya melalui medium yang berbeza. Menyiasat fenomena pembiasan cahaya dalam kehidupan harian. Aras 2 • Menyatakan cahaya dibiaskan apabila bergerak dari satu medium ke medium lain. Aras 3 • Menerangkan contoh fenomena biasan cahaya. 47
  • 56.
    SAINS TAHUN 5 MENYIASATALAM FIZIKAL Bidang Hasil Pembelajaran Cadangan Aktiviti Pembelajaran Pembelajaran 4. Menganalisis penyebaran cahaya Menyiasat sebaran cahaya Matahari dengan Matahari. menggunakan alat seperti berikut: (a) Cermin dan sebesen air. Aras 1 (b) Alat semburan air. • Memerihalkan sebaran cahaya (c) Prisma. Matahari. Membincangkan contoh fenomena alam yang Aras 2 menunjukkan sebaran cahaya seperti pelangi. • Membuat urutan warna dalam spektrum cahaya Matahari. Aras 3 • Memberi contoh fenomena alam yang menunjukkan sebaran cahaya Matahari. 48
  • 57.
    SAINS TAHUN 5 MENYIASATALAM FIZIKAL Bidang Hasil Pembelajaran Cadangan Aktiviti Pembelajaran Pembelajaran 5. Mengagumi kepelbagaian sifat cahaya Membincangkan keadaan kehidupan manusia jika ciptaan Tuhan. cahaya tidak: (a) bergerak lurus. • Memerihalkan manfaat sifat cahaya (b) dipantulkan. kepada kehidupan manusia. (c) dibiaskan. • Menjanakan idea untuk penciptaan (d) diserakan. alat yang menggunakan sifat cahaya untuk kesejahteraan hidup. Menjalankan aktiviti menggunakan alat yang dicipta berdasarkan sifat cahaya. Menjalankan perbincangan menjanakan idea tentang penciptaan alat yang menggunakan sifat cahaya. 49
  • 58.
    SAINS TAHUN 5 MENYIASATALAM FIZIKAL Bidang Hasil Pembelajaran Cadangan Aktiviti Pembelajaran Pembelajaran Bunyi 1. Memahami bunyi. Menjalankan aktiviti untuk membuat inferens tentang penghasilan bunyi. Aras 1 • Membuat inferens tentang Menyiasat pelbagai cara untuk menghasilkan getaran penghasilan bunyi. seperti tiupan, ketukan dan goncangan. • Menghubungkaitkan penghasilan bunyi dengan getaran. Membincangkan kepentingan bunyi dalam kehidupan harian. Aras 2 • Memerihalkan pelbagai cara menghasilkan getaran. Aras 3 • Menerangkan kepentingan bunyi dalam kehidupan harian. 50
  • 59.
    SAINS TAHUN 5 MENYIASATALAM FIZIKAL Bidang Hasil Pembelajaran Cadangan Aktiviti Pembelajaran Pembelajaran 2. Mengamalkan sikap bertimbang rasa Membincangkan: dalam pengendalian sumber bunyi. (a) Bunyi yang berfaedah dan bunyi yang memudaratkan dalam kehidupan. • Memerihalkan bunyi yang berfaedah (b) Kesan bunyi yang berfaedah dan bunyi yang dan bunyi yang memudaratkan. memudaratkan kepada kesihatan, keselamatan dan • Menerangkan kesan bunyi yang keharmonian hidup manusia. berfaedah dan bunyi yang memudaratkan kepada Mengadakan kempen kesedaran sikap bertimbang rasa kesejahteraan manusia. berhubung dengan pengendalian sumber bunyi. • Mempraktikkan sikap bertimbang rasa dalam pengendalian sumber bunyi. 51
  • 60.
    SAINS TAHUN 5 MENYIASATALAM FIZIKAL Bidang Hasil Pembelajaran Cadangan Aktiviti Pembelajaran Pembelajaran Tenaga 1. Memahami tenaga. Membincangkan tentang: (a) Pelbagai sumber tenaga seperti matahari, Aras 1 makanan, air, angin dan petroleum. • Menyatakan pelbagai sumber (b) Pelbagai bentuk tenaga iaitu tenaga bunyi, tenaga tenaga. haba, tenaga cahaya, tenaga elektrik, tenaga kinetik dan tenaga kimia. Aras 2 • Mengenal pasti pelbagai bentuk Membincangkan tenaga daripada aspek: tenaga. (a) Kebolehan bergerak dan membuat kerja. (b) Keperluan untuk pertumbuhan hidupan. Aras 3 • Menerangan konsep tenaga. 52
  • 61.
    SAINS TAHUN 5 MENYIASATALAM FIZIKAL Bidang Hasil Pembelajaran Cadangan Aktiviti Pembelajaran Pembelajaran 2. Memahami tenaga elektrik. Membincangkan pelbagai alat yang menghasilkan tenaga elektrik seperti sel kering, sel suria, dinamo, Aras 1 akumulator dan penjana elektrik. • Memberi contoh pelbagai alat yang menghasilkan tenaga elektrik. Memerhatikan mentol yang sedang menyala dan membincangkan perubahan tenaga yang berlaku. Aras 2 • Memerihalkan tenaga elektrik Menjalankan eksperimen untuk mengkaji perubahan boleh diubah kepada bentuk tenaga tenaga elektrik ke bentuk tenaga lain seperti pengaliran lain. arus elektrik melalui dawai nikrom. Aras 3 Memerhatikan pelbagai alat elektrik dan • Menerangkan penjimatan membincangkan perubahan bentuk tenaga yang berlaku. penggunaan tenaga elektrik. Membincangkan secara kritis penggunaan tenaga elektrik secara bijaksana. Menjalankan aktiviti sumbang saran tentang penggunaan dan kaedah inovatif untuk menjimatkan penggunaan tenaga elektrik. 53
  • 62.
    SAINS TAHUN 5 MENYIASATALAM FIZIKAL Bidang Hasil Pembelajaran Cadangan Aktiviti Pembelajaran Pembelajaran 3. Menghargai sumbangan sains dan Mengadakan perbincangan untuk mewajarkan teknologi dalam penciptaan alat yang penciptaan alat elektrik yang boleh mengubah tenaga boleh mengubah bentuk tenaga. elektrik kepada bentuk tenaga yang diperlukan untuk keselesaan hidup. • Mewajarkan kepentingan penciptaan alat elektrik yang boleh mengubah tenaga elektrik kepada bentuk tenaga yang diperlukan untuk keselesaan hidup. 54
  • 63.
    SAINS TAHUN 5 MENYIASAT ALAM BAHAN Bidang Hasil Pembelajaran Cadangan Aktiviti Pembelajaran Pembelajaran Pepejal, Cecair dan Gas 1. Mengaplikasikan idea tentang keadaan Membincangkan bahan dan objek di sekeliling wujud pepejal, cecair dan gas. dalam keadaan pepejal, cecair dan gas. Aras 1 Memerhati pelbagai objek pepejal dan membuat • Menyatakan keadaan bahan. pengitlakan bahawa pepejal mempunyai bentuk tetap dan mempunyai jisim. Aras 2 • Mengitlakkan sifat bahan dalam Memerhatikan cecair dalam pelbagai bekas dan yang wujud dalam keadaan membuat pengitlakan bahawa cecair mengikut pepejal. bentuk bekas yang mengisinya dan mempunyai jisim. • Mengitlakkan sifat bahan dalam yang wujud dalam keadaan Menyiasat untuk menentukan sama ada: cecair. (a) Udara mempunyai jisim. • Mengitlakkan sifat bahan dalam (b) Udara memenuhi ruang. yang wujud dalam keadaan gas. Mengadakan perbincangan dan membuat pengitlakan bahawa gas mempunyai jisim dan memenuhi Aras 3 keseluruhan bekas. • Mengelaskan bahan kepada pepejal, cecair dan gas. Mengumpulkan dan mengelaskan bahan dan objek kepada pepejal, cecair dan gas. 55
  • 64.
    SAINS TAHUN 5 MENYIASATALAM BAHAN Bidang Hasil Pembelajaran Cadangan Aktiviti Pembelajaran Pembelajaran 2. Menganalisis perubahan pada keadaan Menyiasat fenomena: bahan apabila dipanaskan atau (a) Peleburan ais. disejukkan. (b) Pendidihan apabila air dipanaskan hingga mendidih. Aras 1 (c) Penyejatan apabila air didedahkan. • Memerihalkan peleburan ais, (d) Pembekuan apabila air disejukbekukan. pendidihan air, penyejatan air, (e) Kondensasi apabila wap air disejukkan. pembekuan air dan kondensasi wap air. Menjalankan aktiviti untuk menentukan takat lebur ais • Mengukur takat didih air. dan takat didih air. • Mengukur takat lebur ais. Nota: Aras 2 Berhati-hati ketika mengendalikan air mendidih. • Membuat kesimpulan perubahan keadaan bahan apabila dipanaskan Menjalankan simulasi pembentukan awan dan hujan. atau disejukkan. Melukis rajah yang menunjukkan perubahan pada Aras 3 keadaan air dalam pembentukan hujan. • Menghubungkaitkan perubahan keadaan air dengan pembentukkan awan dan hujan. 56
  • 65.
    SAINS TAHUN 5 MENYIASATALAM BAHAN Bidang Hasil Pembelajaran Cadangan Aktiviti Pembelajaran Pembelajaran 3. Menghargai fenomena perubahan Mengadakan aktiviti perbincangan untuk keadaan air. mewajarkan kepentingan perubahan pada keadaan air dalam pembentukan awan dan hujan. • Mewajarkan kepentingan perubahan keadaan air dalam pembenrukan awan dan hujan. 57
  • 66.
    SAINS TAHUN 5 MENYIASATALAM BAHAN Bidang Hasil Pembelajaran Cadangan Aktiviti Pembelajaran Pembelajaran Asid dan Alkali 1. Mensintesiskan idea tentang bahan Menjalankan aktiviti untuk mengenal pasti bahan berasid, beralkali dan neutral. berasid, beralkali dan neutral bagi bahan makanan dan keperluan rumah dengan cara: Aras 1 (a) Menggunakan kertas litmus bagi bahan makanan • Mengenal pasti bahan yang berasid, dan keperluan rumah. beralkali dan neutral dengan (b) Merasa dengan lidah bagi bahan makanan. menggunakan kertas litmus. Nota: • Mendefinisikan secara operasi asid. Ujian merasa bahan makanan hanya dilakukan • Mendefinisikan secara operasi dengan pengawasan guru. alkali. Mengadakan perbincangan untuk mendefinisikan Aras 2 secara operasi asid dan alkali berdasarkan • Mengitlakkan rasa asid. perubahan warna kertas litmus. • Mengitlakkan rasa alkali. Mengadakan prbincangan untuk membuat Aras 3 pengitlakan bahawa rasa asid adalah masam dan rasa • Mengelaskan bahan kepada bahan alkali adalah pahit. berasid, beralkali dan neutral. Menjalankan aktiviti mengelaskan bahan kepada bahan berasid, beralkali dan neutral. 58
  • 67.
    SAINS TAHUN 5 MENYIASATALAM BAHAN Bidang Hasil Pembelajaran Cadangan Aktiviti Pembelajaran Pembelajaran 2. Mengamalkan sikap bertanggung jawab Mengadakan perbincangan untuk mewajarkan atas keselamatan diri dan rakan semasa keperluan sikap berhati-hati semasa menggunakan menggunakan bahan berasid dan bahan berasid dan beralkali. beralkali. Menjalankan aktiviti dengan berhati-hati semasa • Mewajarkan keperluan sikap menggunakan bahan berasid dan beralkali. berhati-hati semasa menggunakan bahan berasid dan beralkali. Membincangkan langkah-langkah keselamatan yang • Mematuhi peraturan keselamatan perlu diambil semasa mengendalikan bahan berasid semasa mengendalikan bahan dan beralkali. berasid dan beralkali. 59
  • 68.
    SAINS TAHUN 5 MENYIASATALAM BAHAN Bidang Hasil Pembelajaran Cadangan Aktiviti Pembelajaran Pembelajaran Pengaratan 1. Menganalisis pengaratan bahan. Memerhatikan pelbagai bahan yang berkarat dan tidak berkarat. Aras 1 • Mengenal pasti bahan yang boleh Mengadakan perbincangan menghubungkaitkan berkarat. objek yang berkarat dengan bahannya. Aras 2 Menjalankan eksperimen untuk mengkaji faktor • Membuat hipotesis faktor yang yang menyebabkan pengaratan iaitu air dan udara. menyebabkan pengaratan. • Mengawal pemboleh ubah untuk mengkaji faktor yang menyebabkan pengaratan. Aras 3 • Membuat kesimpulan faktor yang menyebabkan pengaratan. 60
  • 69.
    SAINS TAHUN 5 MENYIASATALAM BAHAN Bidang Hasil Pembelajaran Cadangan Aktiviti Pembelajaran Pembelajaran 2. Menganalisis pencegahan pengaratan. Membincangkan cara mengelakkan bahan daripada berkarat seperti penyaduran, menyapu minyak dan Aras 1 mengecat. • Menjanakan idea cara mengelakkan bahan daripada berkarat. Menjalankan eksperimen untuk mengkaji cara mencegah pengaratan. Aras 2 • Membuat hipotesis cara mencegah Mengumpulkan dan mentafsirkan data tentang faedah pengaratan. mencegah pengaratan. • Mengawal pemboleh ubah untuk mengkaji cara mencegah pengaratan. Aras 3 • Membuat kesimpulan cara mencegah pengaratan. • Menerangkan faedah mencegah pengaratan. 61
  • 70.
    SAINS TAHUN 5 MENYIASATALAM BAHAN Bidang Hasil Pembelajaran Cadangan Aktiviti Pembelajaran Pembelajaran 3. Mengamalkan langkah mencegah Mengambil bahagian dalam aktiviti mencegah pengaratan. pengaratan dalam kawasan sekolah. • Memelihara bahan daripada berkarat. 62
  • 71.
    SAINS TAHUN 5 MENYIASAT BUMI DAN ALAM SEMESTA Bidang Hasil Pembelajaran Cadangan Aktiviti Pembelajaran Pembelajaran Fenomena Alam 1. Memahami fenomena alam yang terhasil Membuat model atau melukis lapisan Bumi iaitu daripada keadaan yang wujud dalam kerak, mantel, teras luar dan teras dalam dan Bumi. melabelkannya. Aras 1 Mengumpulkan dan mentafsirkan data tentang: • Mengenal pasti lapisan Bumi. (a) Keadaan lapisan Bumi. (b) Kejadian fenomena alam iaitu kolam air panas, Aras 2 geiser, letusan gunung berapi dan gempa Bumi. • Memerihalkan lapisan Bumi. Mengadakan perbincangan untuk menghubungkaitkan Aras 3 keadaan lapisan Bumi dengan fenomena alam. • Menghubungkaitkan keadaan lapisan Bumi dengan fenomena alam. 63
  • 72.
    SAINS TAHUN 5 MENYIASATBUMI DAN ALAM SEMESTA Bidang Hasil Pembelajaran Cadangan Aktiviti Pembelajaran Pembelajaran 2. Memahami fenomena siang dan malam. Menyiasat putaran Bumi dengan merekodkan perubahan ukuran dan kedudukan bayang-bayang Aras 1 sesuatu objek dari semasa ke semasa. • Memerihalkan putaran Bumi pada paksinya. Menjalankan simulasi putaran Bumi dengan memutarkan • Menerangkan perubahan bayang- glob (dari barat ke timur) yang telah dilekatkan dengan bayang akibat perubahan putaran sebatang lidi dalam sinaran lampu suluh. Bumi. Menjalankan simulasi untuk menunjukkan Bumi Aras 2 berputar dan pada masa yang sama beredar • Menerangkan kejadian siang dan mengelilingi Matahari. malam. Aras 3 • Memerihalkan edaran dan putaran Bumi. 64
  • 73.
    SAINS TAHUN 5 MENYIASATBUMI DAN ALAM SEMESTA Bidang Hasil Pembelajaran Cadangan Aktiviti Pembelajaran Pembelajaran 3. Menganalisis fenomena fasa bulan. Menjalankan simulasi pantulan cahaya Matahari oleh Bulan. Aras 1 • Memerihalkan pantulan cahaya Menjalankan simulasi untuk memerhatikan fasa-fasa Matahari oleh Bulan. bulan dengan menggunakan bola ping pong yang dipancarkan dengan cahaya daripada lampu suluh. Aras 2 • Memerihalkan edaran Bulan Menyusun fasa bulan mengikut urutan . mengelilingi Bumi. • Menggunakan perhubungan ruang Menjalankan projek untuk memerhatikan dan dan masa untuk menggambarkan merekodkan fasa bulan selama 1 bulan berdasarkan fasa bulan dalam satu edaran yang takwim Qamari. lengkap. Menjalankan simulasi untuk menunjukkan putaran Aras 3 dan peredaran Bulan dan Bumi mengelilingi Matahari. • Memerihalkan Bulan berputar pada paksinya dan beredar mengelilingi Bumi dan pada masa yang sama Bumi dan Bulan beredar mengelilingi Matahari. 65
  • 74.
    SAINS TAHUN 5 MENYIASATBUMI DAN ALAM SEMESTA Bidang Hasil Pembelajaran Cadangan Aktiviti Pembelajaran Pembelajaran 4. Mensyukuri pergerakan Bumi dan Bulan Membincangkan kegunaan takwim Qamari dalam memberi manfaat kepada manusia. kehidupan harian seperti kegiatan perikanan dan keagamaan. • Menghubungkaitkan penggunaan takwim Qamari dengan kehidupan Merancang dan membina jadual aktiviti harian dengan manusia. memanfaatkan fenomena siang dan malam serta • Mengendalikan aktiviti harian menyatakan alasan bagi setiap aktiviti mengikut masa. dengan memanfaatkan fenomena siang dan malam. Menulis karangan, sajak, pantun atau menyanyi tentang • Memerihalkan keindahan malam keindahaan malam semasa bulan purnama. semasa bulan purnama. 66
  • 75.
    MENYIASAT DUNIA TEKNOLOGI SAINS TAHUN 5 Bidang Hasil Pembelajaran Cadangan Aktiviti Pembelajaran Pembelajaran Struktur Binaan 1. Mensintesiskan idea tentang kekuatan Mengumpulkan maklumat berkaitan dengan binaan dan kestabilan sesuatu binaan. seperti bangunan, jambatan, menara dan pintu gerbang. Aras 1 Memerhatikan struktur pelbagai binaan untuk mengenal • Membezakan bentuk yang terdapat pasti bentuk-bentuk yang digunakan seperti bentuk dalam struktur sesuatu binaan. kubus, kuboid, sfera, piramid, kon dan selinder. Aras 2 Menyiasat binaan yang mempunyai struktur yang kuat • Mengitlak yang menentukan kekuatan dan stabil daripada aspek bentuk, luas tapak dan dan kestabilan struktur. ketinggian. Aras 3 Membina model suatu struktur yang kuat dan stabil. • Mereka cipta model satu struktur yang kuat dan stabil. 67
  • 76.
    SAINS TAHUN 5 MENYIASATDUNIA TEKNOLOGI Bidang Hasil Pembelajaran Cadangan Aktiviti Pembelajaran Pembelajaran 2. Menghargai sumbangan teknologi dalam Menjalankan projek membuat buku skrap tentang menghasilkan struktur binaan yang kuat binaan yang terdapat di negara kita dan mengadakan dan stabil. perbincangan tentang binaan tersebut. • Memerihalkan sumbangan teknologi dalam pembinaan sesuatu struktur yang kuat dan stabil. 68
  • 77.
    PENYUMBANG Penasihat Sharifah Maimunah Syed Zin (Ph.D) Pengarah Pusat Perkembangan Kurikulum Rohani Abdul Hamid (Ph.D) Timbalan Pengarah Pusat Perkembangan Kurikulum Penasihat Editorial Ahmad Hozi H.A. Rahman Ketua Penolong Pengarah Pusat Perkembangan Kurikulum Yeap Chin Heng (Ph.D) Penolong Pengarah Pusat Perkembangan Kurikulum Penolong Pengarah Cheah Eng Joo Pusat Perkembangan Kurikulum Editor Zainon Abd Majid Penolong Pengarah Pusat Perkembangan Kurikulum Penulis Ahmad Hozi H.A. Rahman Pusat Perkembangan Johari Shamsudin Pusat Perkembangan Kurikulum Kurikulum Cheah Eng Joo Pusat Perkembangan Rohana Mahmood Pusat Perkembangan Kurikulum Kurikulum Yeap Chin Heng (Ph.D) Pusat Perkembangan Rosli Suleiman Pusat Perkembangan Kurikulum Kurikulum Zainon Abd Majid Pusat Perkembangan Rusilawati Othman Pusat Perkembangan Kurikulum Kurikulum 69
  • 78.
    Salbiah Mohd. Som Pusat Perkembangan Narajan Karupayah SK King George V Kurikulum Perak Salina Hanum Osman Pusat Perkembangan Rohana Hussein SK Seri Sekamat Mohamed Kurikulum Selangor Zaidah Mohd. Yusoff Pusat Perkembangan Adonie Adnan SK Taman Cuepacs Kurikulum Selangor Ho Heng Leng Pusat Perkembangan Mohd Yatim Dolir SK Lembah Keramat Kurikulum Selangor Zaidi Yazid Pusat Perkembangan Azalawati Safar SK Pengkalan Tentera Kurikulum Kuala Lumpur Pusat Perkembangan Leo@Leon Mariadass SJKT Ladang Linsum Salehuddin Mustaffa Kurikulum Negeri Sembilan Aizatul Adzwa Mohd Basri Pusat Perkembangan Insha’ary Hj Ahmad SK Alor Gajah Kurikulum Melaka Kamal Huzaimi Hj. Kamis SK Felda Semechu Tuan Zubaidah Tuan Hussain SK Kayang Johor Perlis Wahab Abu Bakar SK Felda Sg Rentang Indon Sulong SK Mergong II Pahang Kedah Nik Ahmad Suhaidi SK Pulau rusa Shamsir Jemain SK Sg Nyiur Terengganu P.Pinang 70
  • 79.
    Hanafi Mohd Yunus SK Nik Daud Saripah Ahmad Bahagian Buku Teks Kelantan Imberan Yunus SK Patau-Patau Kao Thuan Keat Maktab Perguruan Ipoh Labuan Perak Awang Zakaria Awang Jabai SK Tambirat Sopia Yasin(Ph.D) Universiti Perguruan Sarawak Sultan Idris Perak Cheah Ghaik Khim SJKC Chung Sin Perak Pereka Bentuk dan Penyusun Atur Zainon Abd Majid Pusat Perkembangan Kurikulum Pereka Bentuk Kulit Mohd. Lufti Mahfudz Pusat Perkembangan Kurikulum 71