Highway Design Senior Project                                                     2010



Part- I

Section-1: Introduction

There is a growing universal demand for well prepared professionals in all disciplines. In
addition, increased pressure has consequently been placed in educational institution to prepare
the required number of qualified professional to fulfill society’s need. It is imperative that there
is a large need in the industry for engineers with training and experience, and the academic
should move successfully to fill the need. This is especially true for in the situation of Ethiopia
where there is a lack of well trained and experienced urban engineer’s.

Therefore, the integration of academic program and exposing students to more practical project
results in well-seasoned and, well-educated professionals.

Thus, this high way design project is intended to equip the students with practical design
reinforcing what they have attained theoretically in the class.

It is already known that, for rapid economic, industrial and cultural growth of any country, a
good system of transportation is very essential. One of the transportation systems that are
economical for developing countries like Ethiopia is road. A well – designed road network plays
an important role in transporting people and other industrial products to any direction with in
short time. Roads, to satisfy their intended purpose, must be constructed to be safe, easy,
economical, environmentally friend and must full fill the needs of inhabitants. Being safe, the
number of accidents that can occur will be minimized. Easiness decreases operation cost,
pollution and even time cost. Economical roads assure their feasibility according to their plans
and initiate further construction of roads. Schemes that do not satisfy the needs of localities may
not get the maximum utilization of the surplus man power that is really to exist in the rural
community and also its economical value may also decrease. Therefore, from this project it is
expected to understand and to get acquainted with the above facts by going through on the
following design aspects.




1.1    General Background


                                                                                                  1

ECSC, IUDS, Urban Engineering Department (UE)
Highway Design Senior Project                                                      2010


This high way design project is taken from the Hargele - Afder – Bare - Yet road project, which
is located in the Eastern part of the country in Somali National Regional State, Afder
Administrative Zone, Afder and Bare Woredas. The project is intended to facilitate the existing
and for the expected traffic load in the future, because the town is developing.

From this road we have given a stretch of 3 km emanating from station 12+500 to 15+500 for
this project to do geometric and pavement design in general.

1.2      Objectives

This final year design project on high-way has the following major objectives:-

       To expose the prospective graduates to a detail and organized design on road projects;
       To implement the knowledge that the prospective graduates have learned theoretically in
         classes;
       To ensure a good carrier development;


1.3      Brief Description of The Project Area

The Hargele - Afder – Bare - Yet road project, is located in the Eastern part of the country in
Somali National Regional State, Afder Administrative Zone, Afder and Bare Woredas. The
project starts at Hargele (5º13’N and 42º 11’E) and pass through Hargele, Afder, Bare, town and
ends at Yet. The project length is estimated to be 142.4km. The Location map together with the
topographic map of the project area is shown below.




                                    Fig. 1.1 Project Location Map



                                                                                                  2

ECSC, IUDS, Urban Engineering Department (UE)
Highway Design Senior Project                                                          2010




                                                                         Location of the Project Road




                       Fig. 1.3.3 Digitized Proposed Project Alternative Alignments




                                                                                                        3

ECSC, IUDS, Urban Engineering Department (UE)
Highway Design Senior Project                                                       2010



Climate:

One of the environmental factors that affect performance of pavements structures is climate.
Hence, climate data of the project area mainly rainfall intensity, in terms of mean monthly and
mean annual and, temperature are required. According to the map shown on National Atlas of
Ethiopian Atlas, the project area is located in the region of the lowest annual rainfall. The mean
annual rainfall in this region is 300mm per year. The rainfall of the project area is characterized
by the following rainfall distribution:

        April, May and October                       The wettest Months
        And in the remaining months                  The driest months.


Topography:

The terrain of the project area through which the road alignment traverses is rolling in substantial
section of the project which is intercepted by mountainous terrain in some sections.

Potential of the area:

In the project area limited crop production, livestock and livestock products are available in the
area of influence of the road project even though the area is under attention to reverse food
deficit. There is an initiative to change the area that the potential resources of oil mining and salt
production may attract private investors and governmental agencies.




1.4 Scope of the project

The scope of the project goes as far as designing the geometry and pavement of a given road
section, with its appropriate drainage structures.




                                                                                                      4

ECSC, IUDS, Urban Engineering Department (UE)
Highway Design Senior Project                                                    2010


Section-2:     Geometric design

2.1 Geometric design Control and Criteria

2.1.1 Terrain classification

2.1.1.1 Contour generation

The surveying data x, Y and Z coordinate taken from the road corridor using Hand Held GPS are
converted to a contour using GIS software.

2.1.1.2 Selection of center line

The center line of the road is delineated on the given road corridor using the contour elevations
by considering to have minimum earth work along the corridor.

2.1.1.3 Transverse terrain property
In order to know the type of the terrain along the selected center line or corridor, we took
horizontal distance perpendicular to the center line and vertical elevation measurements across
the road. Each measurement is taken longitudinally along the rod at 20m interval to get better
terrain classification. The values obtained are summarized in index table 2-1.
Slop= (vertical elevation / horizontal elevation)*100

Therefore, we generalize the following terrains classification along the road corridor:

                           STATION

                         From         To        TERRAIN       AVG. SLOPE
                                             CLASSIFICATION      (%)

                        12+ 500    12+ 760        Rolling         23.14

                       12 + 760    13+ 080      Mountainous       26.63

                       13 + 080    13+ 520        Rolling         18.75

                       13 + 520    13+ 820      Mountainous       32.234

                       13 + 820    15 +500        Rolling         16.87

 Table 2-2 Terrain Classification




                                                                                                5

ECSC, IUDS, Urban Engineering Department (UE)
Highway Design Senior Project                   2010




Fig 2-1 Generated contour.

2.1.2 Design traffic volume


                                                       6

ECSC, IUDS, Urban Engineering Department (UE)
Highway Design Senior Project                                                          2010


2.1.2.1 Traffic data analysis

In order to design the road, traffic data analysis is very important. Therefore, the secondary data
of traffic analysis we get from the project site comprises traffic volume before design, during
implementation and up to the design life time of the road. As the secondary data shows the
project life is 15 year. The traffic volume data and the design life time are expressed in the
following table.
                                                                                  T&
       Year     Car    4 WD    S/ Bus   L/ Bus   S/ Truck   M/ Truck   L/ Truck          TOTAL
                                                                                   T

       2008      0       4        6       2        12          4          2       14          44

       2009      0       5        7       2        13          5          3       16          51

       2010      0       5        7       2        14          5          3       16          52

       2011      0       6        8       3        14          5          3       17          56

       2012      0       6        8       3        15          5          3       18          58

       2013      0      15        16      6        31         20         28       34      149

       2014      0      16        17      7        34         21         30       37      160

       2015      0      19        19      8        36         22         32       39      174

       2016      0      19        21      8        38         25         35       41      184

       2017      0      19        21      9        40         26         36       44      193

       2018      0      20        22      9        43         28         38       46      205

       2019      0      21        25     11        44         31         42       49      221

       2020      0      22        26     11        47         32         44       52      232

       2021      0      22        26     12        49         34         46       53      241

       2022      0      22        29     12        52         35         48       56      253

       2023      0      25        30     13        55         36         51       59      267

       2024      0      25        32     13        57         39         54       60      279

       2025      0      26        33     14        60         40         57       64      292

       2026      0      27        34     14        62         43         60       67      307

       2027      0      28        37     16        66         44         63       70      323

Table 2-3 Traffic data analysis

From the above data,

       o Traffic volume when the road open                  =149 veh/day
       o Traffic volume at the end of the project life =323 veh/day
                                                                                                      7

ECSC, IUDS, Urban Engineering Department (UE)
Highway Design Senior Project                                                      2010


2.1.3 Road functional classification

Some of the factors which affect road design control and criteria are functional classification of
the road. In Ethiopian case, we have five functional classes based on AADT and importance of
the road.

Since, AADT of the project lies between 200-1000, and the road expected to serve centers of
provisional importance, the road could be main access road (class II).

2.2 Geometric Design Standard

Based on the traffic data obtained from the above table we decide the project design standard to
be (DS4).

Because:-

   a) Even if the AADT at the opening of the road (2013) is 149 veh/day it will be greater than
       200 veh/ day after five year and it is 323 veh/day at the end of design life (15 years). So it
       fulfills the requirements of DS4. Since the recommended traffic volume for DS4 is 200-
       1000 veh/day.(ERA)
   b) The second reason is that since the area is an oil mining area, we expect the road will
       accommodate the expected traffic volume during the design life time.
   c) Based on the above reason, we decide the road to be DS4, to get full knowledge from the
       whole project since the project is for academic purpose.
Therefore, we took the entire design element based on DS4. Refer the above information from
ERA manual Table 2.1.

From Design Standards vs. Road Classification and AADT table of ERA for DS4,

AADT=200 – 1000 vehicle/day

Surface type = paved

Carriageway = 6.7m

Shoulder width =1.5m for rolling

               = 0.5m for mountainous
                                                                                                   8

ECSC, IUDS, Urban Engineering Department (UE)
Highway Design Senior Project                                                       2010


Design speed = 70km/hr for rolling

              = 60km/hr =for mountainous

2.2.1 Horizontal Alignment
Based on our proposal of the center line of the road, we have tangents and curves. The curves are
curve1, curve2, curve3, curve4, curve5, and curve6.

Based on our terrain classification, the curves fall in to different terrain classification that leads
us to determine the radius and different elements of each curve.

                                       Curve          Terrain type

                                      Curve 1            Rolling

                                      Curve 2            Rolling

                                      Curve 3            Rolling

                                      Curve 4          Error! Not a
                                                        valid link.

                                      Curve 5            Rolling

                                      Curve 6            Rolling

Table 2-4 Horizontal curves and their terrain classification

Since our road is DS4, the minimum radius of each curve based on the terrain is:-

          Minimum horizontal radius = 175m for rolling

                                      = 125m for mountainous

Refer the following table for the rest of the design elements of DS4 (ERA standards)

      Design Element           Unit    Flat Rolling Mountainous Escarpment         Urban/Peri- Urban

       Design Speed            km/h    85       70           60          50                50

Min. Stopping Sight Distance     m     155      110          85          55                55

Min. Passing Sight Distance      m     340      275         225          175               175

   % Passing Opportunity        %      25       25           15           0                20

Min. Horizontal Curve Radius     m     270      175         125          85                85

                                                                                                    9

ECSC, IUDS, Urban Engineering Department (UE)
Highway Design Senior Project                                             2010


 Transition Curves Required             Yes   Yes      No         No             No

  Max. Gradient (desirable)     %        4      5      7          7              7

  Max. Gradient (absolute)      %        6      7      9          9              9

     Minimum Gradient           %       0.5   0.5      0.5        0.5            0.5

 Maximum Super elevation        %        8      8      8          8              4

    Crest Vertical Curve        k       60      31     18         10             10

     Sag Vertical Curve         k       36      25     18         12             12

     Normal Cross fall          %       2.5   2.5      2.5        2.5            2.5

     Shoulder Cross fall        %        4      4      4          4              4

       Right of Way             m       50      50     50         50             50

Table 2-5: Table 2-6 of ERA Geometric Design Parameters for Design Standard DS4 (Paved)

2.2.1.1 Horizontal curve elements

Curve-1 Design computation

a) Terrain type = Rolling

b) Deflection angle Δ = 390 (by measurement)

c) Point of intersection P.I=12+717.4m

d) Calculation of radius of the curve

             Vd 2
 Rmin =
          127(e + f )


Where, Rmin=minimum radius

       Vd=70km/hr…………….ERA, table 2.6

       ed= 8% (max design super elevation rate, ERA, table 2.6)

       f=0.14 (ERA. Table 8.1 for ed=8%)

                     70 2
Then, Rmin =                    =175.3m
               127(0.08 + 0.14)

                                                                                          10

ECSC, IUDS, Urban Engineering Department (UE)
Highway Design Senior Project                                                  2010


The calculated Rmin has no significant change from the recommended in ERA manual standard
(i.e., 175m), in addition to this, in order to minimize cut and fill, we use R min=175m from the
standard.

Therefore, radius of curve=Rc=175m

e) Tangent (T1)

                           ∆
              T1 = R * tan 
                          2

                            39 
            T1 = 175 * tan   = 61.97 m
                            2 

f) Point of curvature (PC)

         P.C1= P.I1 - T1

                   =12+717.4 – 0+061.97

                   =12+655.43m

g) Length of the curve (L)

                      2Π 
        L1 = ∆ * R *      
                      360 

                             2Π 
            L1 = 390 *175 *       = 119.12m
                             360 

h) Point of tangency (P.T)

            P.T1= P.C1+L1

                 =12+655.43+119.12

                 =12+774.55m

i) External distance (E)




                                                                                             11

ECSC, IUDS, Urban Engineering Department (UE)
Highway Design Senior Project                      2010


                          ∆ 
                E1 = R * sec  − 1
                          2 

                            39  
               E1 = 175 * sec  −1 = 10.65m
                            2  

j) Middle ordinate (M)

                                 ∆ 
               M 1 = R * 1 − cos 
                                 2 

                                   39 
               M 1 = 175 * 1 − cos  = 10.04m
                                   2 

k) Chord (Chord from P.C to P.T)

                            ∆
               C1 = 2 R sin  
                            2




                   39 
C1 = 2 *175 * sin   = 116.83m
                   2 




Fig.2.2 elements 0f curve-1
                                                          12

ECSC, IUDS, Urban Engineering Department (UE)
Highway Design Senior Project                                               2010


Curve-2 Design computation

a) Terrain type = Rolling

b) Deflection angle Δ = 330 (by measurement)

c) Point of intersection P.I=13+150.43m

d) Calculation of radius of the curve

             Vd 2
 Rmin =
          127(e + f )


Where, Rmin=minimum radius

       Vd=70km/hr…………….ERA, table 2.6

       ed= 8% (max design super elevation rate, ERA, table 2.6)

       f=0.14 (ERA. Table 8.1 for ed=8%)

                     70 2
Then, Rmin =                    =175.3m
               127(0.08 + 0.14)


The calculated Rmin has no significant change from the recommended in ERA manual standard
(i.e., 175m), in addition to this to prevent overlaps with curve 3, we use Rmin=175m from the
standard.

Therefore, radius of curve=Rc=175m

e) Tangent (T1)

            Rmin = 175m

              ∆
T2 = R * tan  
             2

                33 
T2 = 175 * tan   = 51.84m
                2 

f) Point of curvature (PC)

                                                                                          13

ECSC, IUDS, Urban Engineering Department (UE)
Highway Design Senior Project                     2010


         P.C2= P.I2 – T2

                =13+150.43– 0+051.84

                =13+098.59m

g) Length of the curve (L)

                      2Π 
        L2 = ∆ * R *      
                      360 

                          2Π 
         L2 = 330 *175 *       = 100.79m
                          360 

h) Point of tangency (P.T)

          P.T2= P.C2+L2

               =13+98.59+100.79

               =13+199.38m

i) External distance (E)

                          ∆ 
                E2 = R * sec  − 1
                          2 

                            33  
               E2 = 175 * sec  −1 = 7.52m
                            2  

j) Middle ordinate (M)

                                 ∆ 
               M 2 = R * 1 − cos 
                                 2 

                                   33 
               M 2 = 175 * 1 − cos  = 7.21m
                                   2 

k) Chord (Chord from P.C to P.T)



                                                         14

ECSC, IUDS, Urban Engineering Department (UE)
Highway Design Senior Project                                     2010


                              ∆
                C2 = 2 R sin  
                             2

                                   33 
                C2 = 2 *175 * sin   = 99.41m
                                   2 




Fig 2.3 elements of curve-2

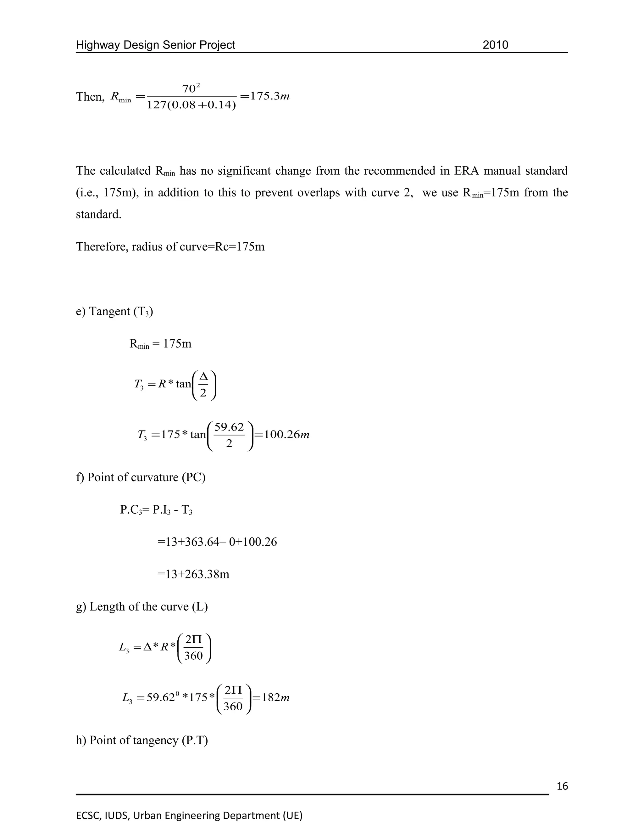
Curve-3 Design computation

a) Terrain type = Rolling

b) Deflection angle Δ = 59.620 (by measurement)

c) Point of intersection P.I=13+363.64m

d) Calculation of radius of the curve

             Vd 2
 Rmin =
          127(e + f )


Where, Rmin=minimum radius

       Vd=70km/hr…………….ERA, table 2.6

       ed= 8% (max design super elevation rate, ERA, table 2.6)

       f=0.14 (ERA. Table 8.1 for ed=8%)
                                                                         15

ECSC, IUDS, Urban Engineering Department (UE)
Highway Design Senior Project                                                2010


                      70 2
Then, Rmin =                     =175.3m
                127(0.08 + 0.14)




The calculated Rmin has no significant change from the recommended in ERA manual standard
(i.e., 175m), in addition to this to prevent overlaps with curve 2, we use R min=175m from the
standard.

Therefore, radius of curve=Rc=175m




e) Tangent (T3)

             Rmin = 175m

                           ∆
              T3 = R * tan  
                           2

                              59.62 
              T3 = 175 * tan         = 100.26m
                              2 

f) Point of curvature (PC)

        P.C3= P.I3 - T3

                   =13+363.64– 0+100.26

                   =13+263.38m

g) Length of the curve (L)

                      2Π 
        L3 = ∆ * R *      
                      360 

                                 2Π 
            L3 = 59.62 0 *175 *       = 182m
                                 360 

h) Point of tangency (P.T)


                                                                                           16

ECSC, IUDS, Urban Engineering Department (UE)
Highway Design Senior Project                             2010


          P.T3= P.C3+L3

               =13+263.38+182m

               =13+445.38m




i) External distance (E)

                          ∆ 
                E3 = R * sec  − 1
                          2 

                            59.62  
               E3 = 175 * sec      −1 = 26.69m
                            2  

j) Middle ordinate (M)

                                 ∆ 
               M 3 = R * 1 − cos 
                                 2 

                                   59.62 
               M 3 = 175 * 1 − cos        = 23.17 m
                                   2 

k) Chord (Chord from P.C to P.T)

                            ∆
               C3 = 2 R sin  
                            2

                                  59.62 
               C3 = 2 *175 * sin         = 173.99m
                                  2 


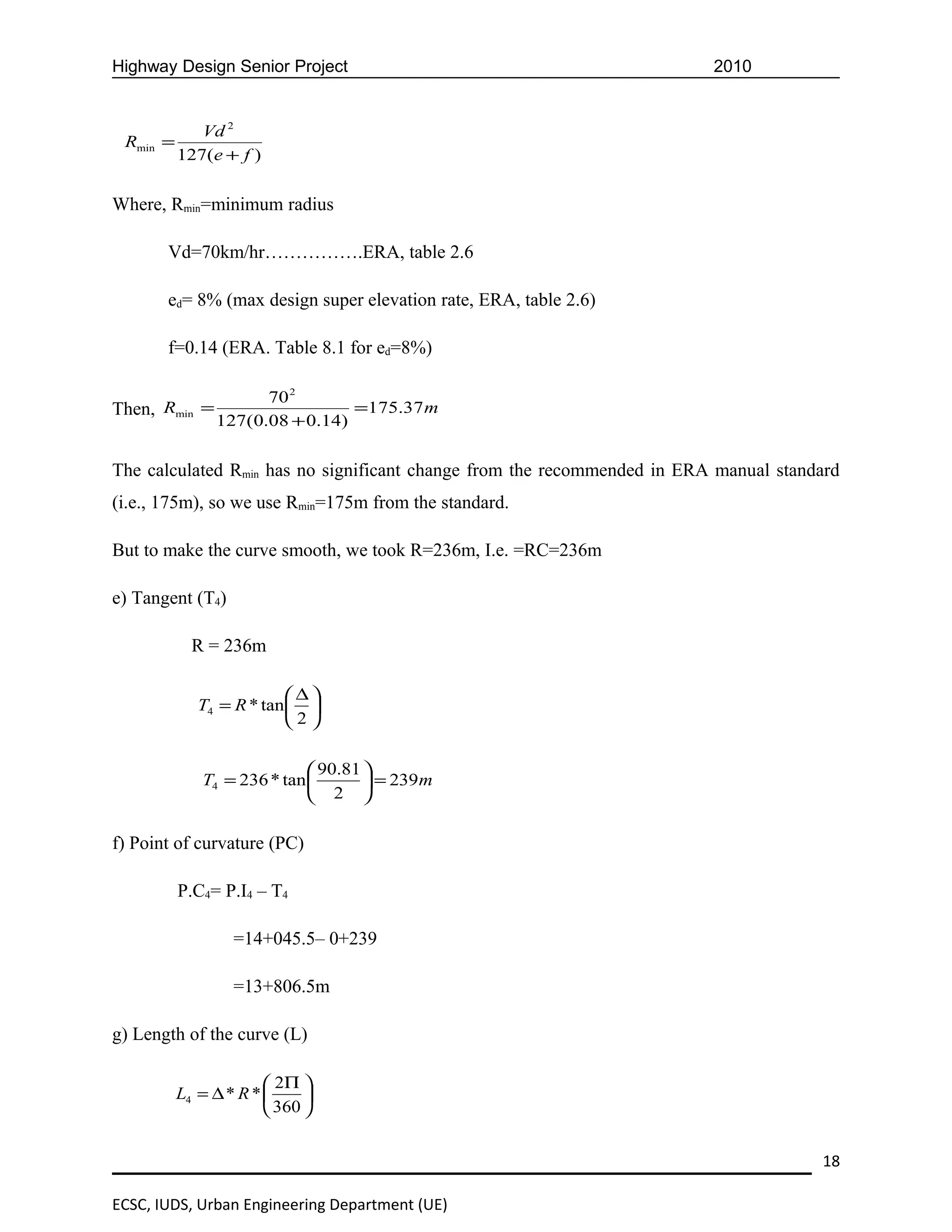
Curve-4 Design computation

a) Terrain type = Rolling

b) Deflection angle Δ = 90.810 (by measurement)

c) Point of intersection P.I=14+045.5m

d) Calculation of radius of the curve
                                                                 17

ECSC, IUDS, Urban Engineering Department (UE)
Highway Design Senior Project                                            2010


             Vd 2
 Rmin =
          127(e + f )


Where, Rmin=minimum radius

       Vd=70km/hr…………….ERA, table 2.6

       ed= 8% (max design super elevation rate, ERA, table 2.6)

       f=0.14 (ERA. Table 8.1 for ed=8%)

                     70 2
Then, Rmin =                    =175.37 m
               127(0.08 + 0.14)


The calculated Rmin has no significant change from the recommended in ERA manual standard
(i.e., 175m), so we use Rmin=175m from the standard.

But to make the curve smooth, we took R=236m, I.e. =RC=236m

e) Tangent (T4)

            R = 236m

                         ∆
             T4 = R * tan 
                         2

                             90.81 
             T4 = 236 * tan         = 239m
                             2 

f) Point of curvature (PC)

          P.C4= P.I4 – T4

                  =14+045.5– 0+239

                  =13+806.5m

g) Length of the curve (L)

                        2Π 
          L4 = ∆ * R *      
                        360 


                                                                                      18

ECSC, IUDS, Urban Engineering Department (UE)
Highway Design Senior Project                                 2010


                              2Π 
         L4 = 90.810 * 236 *       = 374.m
                              360 

h) Point of tangency (P.T)

          P.T4= P.C4+L4

               =13+806.5+374m

               =14+180.5m




i) External distance (E)

                          ∆ 
                E4 = R * sec  − 1
                          2 

                            90.81  
               E4 = 236 * sec      −1 = 100.12m
                            2  

j) Middle ordinate (M)

                                 ∆ 
               M 4 = R * 1 − cos 
                                 2 

                                   90.810     
               M 4 = 236 * 1 − cos
                                    2           = 70.31m
                                                
                                              

k) Chord (Chord from P.C to P.T)

                             ∆
               C4 = 2 R sin  
                            2

                                    90.810   
               C 4 = 2 * 236 * sin 
                                    2         = 336.10 m
                                              
                                             


Curve-5 Design computation

a) Terrain type = Rolling

                                                                     19

ECSC, IUDS, Urban Engineering Department (UE)
Highway Design Senior Project                                                  2010


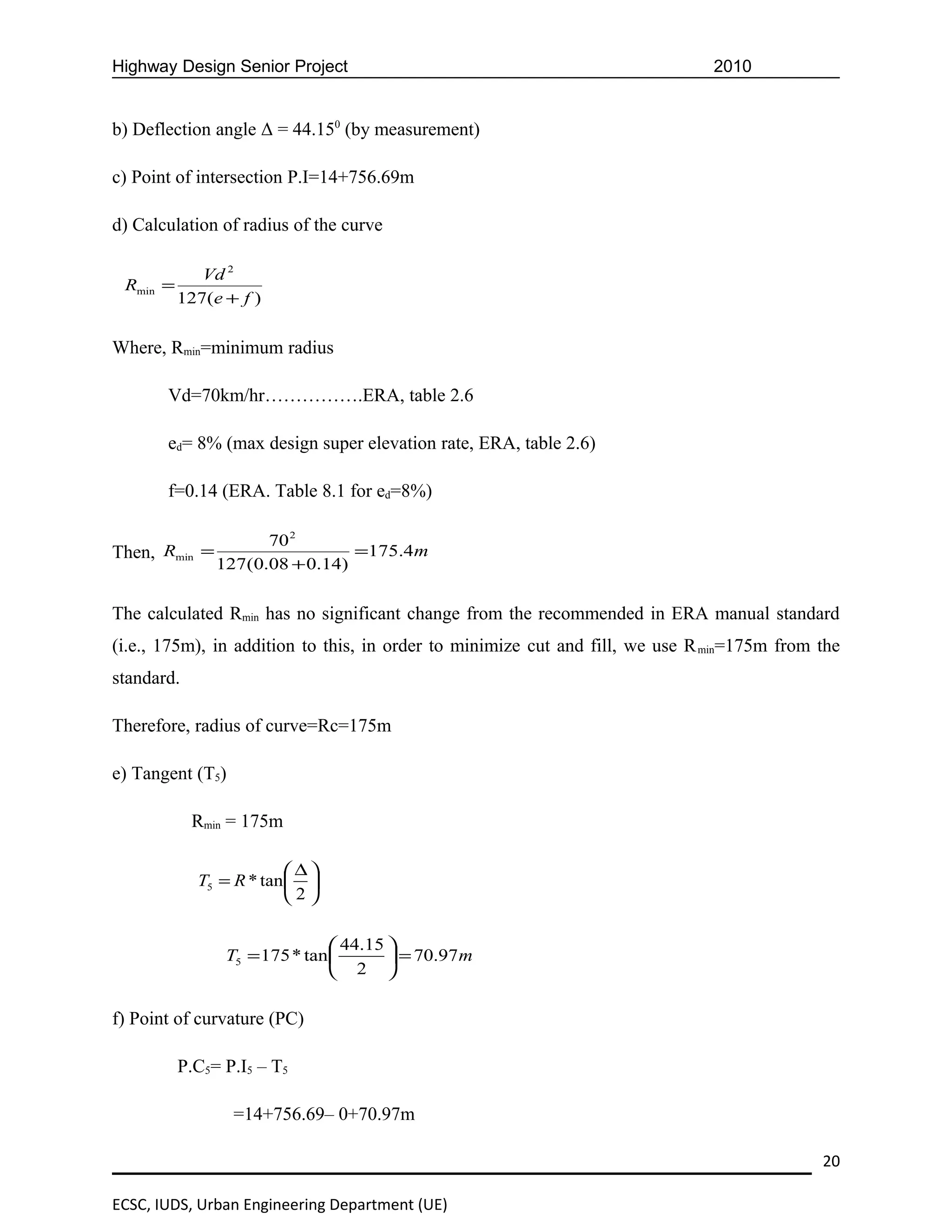
b) Deflection angle Δ = 44.150 (by measurement)

c) Point of intersection P.I=14+756.69m

d) Calculation of radius of the curve

             Vd 2
 Rmin =
          127(e + f )


Where, Rmin=minimum radius

       Vd=70km/hr…………….ERA, table 2.6

       ed= 8% (max design super elevation rate, ERA, table 2.6)

       f=0.14 (ERA. Table 8.1 for ed=8%)

                     70 2
Then, Rmin =                    =175.4m
               127(0.08 + 0.14)


The calculated Rmin has no significant change from the recommended in ERA manual standard
(i.e., 175m), in addition to this, in order to minimize cut and fill, we use R min=175m from the
standard.

Therefore, radius of curve=Rc=175m

e) Tangent (T5)

            Rmin = 175m

                        ∆
            T5 = R * tan 
                        2

                                44.15 
                T5 = 175 * tan         = 70.97 m
                                2 

f) Point of curvature (PC)

          P.C5= P.I5 – T5

                  =14+756.69– 0+70.97m

                                                                                             20

ECSC, IUDS, Urban Engineering Department (UE)
Highway Design Senior Project                            2010


                =14+685.72m

g) Length of the curve (L)

                      2Π 
        L5 = ∆ * R *      
                      360 

                             2Π 
         L5 = 44.150 *175 *       = 134.85m
                             360 

h) Point of tangency (P.T)

          P.T5= P.C5+L5

               =14+685.72+134.85m

               =14+820.57m

i) External distance (E)

                          ∆ 
                E5 = R * sec  − 1
                          2 

                            44.150     
               E5 = 175 * sec
                                        −1 = 13.84m
                                        
                            2          

j) Middle ordinate (M)


                                  ∆ 
                M 5 = R * 1 − cos 
                                  2 

                                   44.15 
               M 5 = 175 * 1 − cos        = 12.83m
                                   2 

k) Chord (Chord from P.C to P.T)

                            ∆
               C5 = 2 R sin  
                            2



                                                                21

ECSC, IUDS, Urban Engineering Department (UE)
Highway Design Senior Project                                                  2010


                                   44.150   
                C5 = 2 *175 * sin 
                                   2         = 131.54m
                                             
                                            


Curve-6 Design computation

a) Terrain type = Rolling

b) Deflection angle Δ = 32.480 (by measurement)

c) Point of intersection P.I=15+226.73m

d) Calculation of radius of the curve

             Vd 2
 Rmin =
          127(e + f )


Where, Rmin=minimum radius

       Vd=70km/hr…………….ERA, table 2.6

       ed= 8% (max design super elevation rate, ERA, table 2.6)

       f=0.14 (ERA. Table 8.1 for ed=8%)

                     70 2
Then, Rmin =                    =175.4m
               127(0.08 + 0.14)


The calculated Rmin has no significant change from the recommended in ERA manual standard
(i.e., 175m), in addition to this, in order to minimize cut and fill, we use R min=175m from the
standard.

Therefore, radius of curve=Rc=175m

e) Tangent (T6)

            Rmin = 175m

                          ∆
            T6 = R * tan  
                         2




                                                                                             22

ECSC, IUDS, Urban Engineering Department (UE)
Highway Design Senior Project                         2010


                           32.48 
           T6 = 175 * tan         = 50.97 m
                           2 

f) Point of curvature (PC)

         P.C6= P.I6 – T6

                =15+226.73m – 0+050.97

                =15+175.76m

g) Length of the curve (L)

                      2Π 
        L6 = ∆ * R *      
                      360 

                              2Π 
         L6 = 32.48 0 *175 *       = 99.20m
                              360 

h) Point of tangency (P.T)

          P.T6= P.C6+L6

               =15+175.76m +99.20m

               =15+274.96m

i) External distance (E)

                          ∆ 
                E6 = R * sec  − 1
                          2 

                            32.480  
               E6 = 175 * sec
                                     −1 = 7.27 m
                                     
                            2  

j) Middle ordinate (M)

                                 ∆ 
               M 6 = R * 1 − cos 
                                 2 



                                                             23

ECSC, IUDS, Urban Engineering Department (UE)
Highway Design Senior Project                                                    2010


                                   32.480 
               M 6 = 175 * 1 − cos
                                    2  = 6.98m
                                            
                                          

k) Chord (Chord from P.C to P.T)

                            ∆
               C6 = 2 R sin  
                            2

                                  32.48 0   
               C6 = 2 *175 * sin 
                                  2          = 97.88m
                                             
                                            


2.2.1.2 Transition curve

When a vehicle traveling on a straight course enters a curve of finite radius, and suddenly
subjected to the centrifugal force which shock and sway. In order to avoid this it is customary to
provide a transition curve at the beginning of the circular curve having a radius equal to infinity
at the end of the straight and gradually reducing the radius to the radius of the circular curve
where the curve begins.

Mostly transition curves are introduced between:-

       A/ between tangents and curves

       B/ between two curves

Various forms of transition curves are suitable for high way transition, but the one most popular
and recommended for use is spiral.

Design of transition curve

Even if there are places to design transition curve, ERA design manual standard recommends
where and how to design this horizontal alignment design elements. Especially for Ethiopian
road, transition curves are a requirement for trunk and link road segments having a speed equal
to or greater than 80km/hr. (ERA)

But the characteristics of our project road segment is;-

                       Speed=60km/hr (for mountainous terrain)

                                                                                                24

ECSC, IUDS, Urban Engineering Department (UE)
Highway Design Senior Project                                                      2010


                        Speed=70km/hr (for rolling terrain)

                        Terrain= mostly rolling and mountainous

 Functional classification=Main access road.

Therefore, based on the ERA standard all curves in the project will not have transition curve. So,
it will be a simple curve with out transition curve.

2.2.1.3 Super elevation

Curve-1

When a vehicles moves in a circular path, it is forced radially by centrifugal force. The
centrifugal force is counter balanced by super elevation of the road way and/or the side friction
developed between the tire and the road surface. The centrifugal force is the result of design
speed, weight of car, friction, and gravitational acceleration having the following relation ship.

                       Wv 2
                Fc =
                       gR


Where, Fc= centrifugal force

                 W=weight of the car

                 V=design speed

                 g= acceleration due to gravity

                 R= radius of the curve

So, super elevation rate is changing the road cross section from the normal road to elevate
towards the center of the curve. I.e., it counteracts a part of the centrifugal force, the remaining
part being resisted by the lateral friction.

Terms in super elevation:

     Tangent run out(Lt)
     Super elevation runoff(Lr)

                                                                                                     25

ECSC, IUDS, Urban Engineering Department (UE)
Highway Design Senior Project                                                        2010


Tangent run out (Lt)

It is the longitudinal length along the road designed to remove the adverse crown to a zero slope.
i.e., the outer edge of the road is raised from a normal cross slope to a zero slope which equal to
the grade level of the road (the level of the center line of the road).

Super elevation runoff length (Lr)

Super elevation run-off is a length of the road section from the point of removal of adverse
crown of the road to the full super elevated point on the curve.

Super elevation is equal to the length of transition curve when there is a transition curve. When
there is no transition curve i.e., when it is a simple curve,1/3 rd of the length is placed on the curve
and 2/3rd of the length is placed on the tangent part(ERA). Therefore, we follow the second
standard to design our super elevation since all the curves do not have transition curve.

Design computation

A/ computation of super elevation run-off

Super elevation runoff length can be obtained from table 8.5 (ERA) using radius (Rc) and super
elevation rate (e), or it can be computed from the following formula. (AASHTO)


Lr =
       ( wn1 ) ed ( b )
                     w
          G

Where,

       Lr=minimum super elevation run-off (m)

       G=maximum relative gradient (percent)

       n1=number of lanes rotated

       Bw=adjustment factor for number of lane rotated

    w=width of one traffic lane (in our case, w/2)

    ed=design super elevation rate, percent

                                                                                                     26

ECSC, IUDS, Urban Engineering Department (UE)
Highway Design Senior Project                                                 2010


Then, n1=1, since the number of lane rotated is =1(AASHTO, exhibit 3-31)

       bw=1, for one lane rotated(AASHTO, exhibit 3-31)

            G=0.55%, for Vd=70km/hr (AASHTO, exhibit 3-31)

  Design speed(Km/h)(Vd)            Maximum relative       Equivalent maximum relative
                                     gradient(%)(G)                 slope (%)

                20                         0.80                       1:125

                30                         0.75                       1:133

                40                         0.70                       1:143

                50                         0.65                       1:150

                60                         0.60                       1:167

                70                         0.55                       1:182

                80                         0.50                       1:200

                90                         0.45                       1:213

                100                        0.40                       1:227

                110                        0.35                       1:244

                120                        0.30                       1:263

                130                        0.25                       1:286

Table2-6 (Exhibit 3-27 Maximum relative gradients of AASHTO)

                 6 .7 
                     *1 * 0.08
Therefore,       2     
           Lr =                  (1) = 48.87m
                      0.55

But ERA recommends Lr=52m for ed=8% and Rc=175m. Thus, take Lr=52m

B/ computation of tangent run out (Lt)

Tangent run-out can be computed using the following equation. (AASHTO)

       eNC
Lt =       * ( Lr )
        ed

Where,
                                                                                         27

ECSC, IUDS, Urban Engineering Department (UE)
Highway Design Senior Project                                                     2010


     Lt =minimum length of tangent run-out

    eNC=normal cross slope rate, percent

     ed =design super elevation, percent

     Lr=super elevation runoff length

                 0.025
Then,    Lt =          * ( 52 ) = 16.25m
                  0.08

C/ Location of super elevation run-off (Lr)

Since there is no transition curve (spiral) between the tangent and the curve in the project, 2/3 rd
of the super elevation length is placed on the tangent and 1/3rd of the length is placed on the
curve part.

                1
        i.e.,     * 52 =17.33m (on the curve)
                3

                   2
                     * 52 = 34.67 m (On the tangent)
                   3

Then,

The beginning of the super elevation runoff length is:-

        =P.C-34.67m

        =12+655.43-0+034.67

        =12+620.76m




The end of the super elevation runoff length is:-

        =P.C+17.33m

        =12+655.43+0+017.33m

        =12+672.76m

                                                                                                 28

ECSC, IUDS, Urban Engineering Department (UE)
Highway Design Senior Project                                                    2010


D/ location of tangent run-out length

     Beginning=beginning of Lr minus Lt

                =12+620.76-16.25m

                =12+604.51m

            End=12+620.76m

E/ station where outer and inner edge of the road will have the same normal cross fall i.e., 2.5%

It is a length(R) where total crown removal is attained.

    So, R=2*Lt

          =2*16.25

        =32.50m,

Then, the station is,

       Beginning= station of beginning of adverse crown removal

                  =12+604.51m

            End=station of beginning of adverse crown removal plus +R

                 =12+604.51+32.50m

                 =12+637.01m

On the same process we can do the super elevation at the exit of the curve.

We know that the length of curve 1=119.12m

Then the part of the curve to be full super elevated is

           =119.12-2*(1/3*Lr)

           =119.12-2*(1/3*52)

             =84.46m
                                                                                                29

ECSC, IUDS, Urban Engineering Department (UE)
Highway Design Senior Project                                                 2010


F/ Then, the station of end of full super elevation is

             =12+672.76+84.46m

             =12+757.22m

G/ station of end of super elevation runoff is

             =12+757.22+52m

             =12+809.22m

H/ station of recovering adverse crown is

             =12+809.22+16.25m

             =12+825.47

Attainment of full super elevation:-

From three methods attaining full super elevation we use the method in which rotating the
surface of the road about the center line of the carriageway, gradually lowering the inner edge
and raising the upper edge, keeping the center line constant.

Illustration:




                                                                                            30

ECSC, IUDS, Urban Engineering Department (UE)
Highway Design Senior Project                                                   2010




Fig.2-4 Attainment of super elevation

Based on the above super elevation attainment, the results are shown on the following figure.




                                                                                                31

ECSC, IUDS, Urban Engineering Department (UE)
Highway Design Senior Project                                               2010




Fig.2-5 Super elevation at entrance and exit for curve 1

Curve-2 Design computation

A/ computation of super elevation run-off


Lr =
       ( wn1 ) ed ( b )
                     w
          G

       n1=1, since the number of lane rotated is =1(AASHTO, exhibit 3-31)

       bw=1, for one lane rotated(AASHTO, exhibit 3-31)

       G=0.55%, (AASHTO, exhibit 3-31)

                        6.7 
                           *1 * 0.08
Therefore,              2    
                  Lr =                 * (1) = 48.78m
                            0.55

But ERA recommends Lr=52m for ed=8% and Rc=175m. Thus, take Lr=52m

B/ computation of tangent run out (Lt)


                                                                                   32

ECSC, IUDS, Urban Engineering Department (UE)
Highway Design Senior Project                                                     2010


Tangent run-out can be computed using the following equation. (AASHTO)

       eNC
Lt =       * ( Lr )
        ed

                   0.025
Then,       Lt =         * ( 52 ) = 16.25m
                    0.08

C/ Location of super elevation run-off (Lr)

Since there is no transition curve (spiral) between the tangent and the curve in the project, 2/3 rd
of the super elevation length is placed on the tangent and 1/3rd of the length is placed on the
curve part.

                 1
         i.e.,     * 52 =17.33m (on the curve)
                 3

                      2
                        * 52 = 34.67 m (On the tangent)
                      3

Then,

The beginning of the super elevation runoff length is:-

         =P.C-34.67m

         =13+98.59-0+034.67

         =13+63.92m




The end of the super elevation runoff length is:-

         =P.C+17.33m

         =13+98.59+0+017.33m

         =13+115.92m

D/ location of tangent run-out length


                                                                                                 33

ECSC, IUDS, Urban Engineering Department (UE)
Highway Design Senior Project                                                    2010


Beginning=beginning of Lr minus Lt

         =13+63.92 -16.25m

         =13+47.67m

End=13+63.92m

E/ station where outer and inner edge of the road will have the same normal cross fall i.e., 2.5%

It is a length(R) where total crown removal is attained.

   So, R=2*Lt

          =2*16.25

       =32.50m,

Then, the station is

Beginning= station of beginning of adverse crown removal

            =13+047.67m

End=station of beginning of adverse crown removal plus +R

         =13+47.67m +32.50m

             =13+080.17m

On the same process we can do the super elevation at the exit of the curve.

We know that the length of curve-2=100.79m

Then the part of the curve to be full super elevated is

       =100.79-2*(1/3*Lr)

       =100.79-2*(1/3*52)

       =66.12m

F/ Then, the station of end of full super elevation is
                                                                                                34

ECSC, IUDS, Urban Engineering Department (UE)
Highway Design Senior Project                                                2010


        =end of Lr+L

         =13+115.92 +66.12m

         =13+182.04m

G/ station of end of super elevation runoff is

         =13+182.04 +52m

         =13+234.04m

H/ station of recovering adverse crown are:

         =13+234.04+16.25m

         =13+250.29m

Curve-3 Design computation

A/ computation of super elevation run-off

Super elevation runoff length can be obtained from table 8.5 (ERA) using radius (Rc) and super
elevation rate (e), or it can be computed from the following formula. (AASHTO)


Lr =
       ( wn1 ) ed ( b )
                     w
          G

Then, n1=1, since the number of lane rotated is =1(AASHTO, exhibit 3-31)

       bw=1, for one lane rotated(AASHTO, exhibit 3-31)

        G=0.55%, (AASHTO, exhibit 3-31)

                 6.7 
                    *1 * 0.08
Therefore,       2    
           Lr =                 * (1) = 48.78m
                     0.55

But ERA recommends Lr=52m for ed=8% and Rc=175m. Thus, take Lr=52m

B/ computation of tangent run out (Lt)

                                                                                           35

ECSC, IUDS, Urban Engineering Department (UE)
Highway Design Senior Project                                                     2010


Tangent run-out can be computed using the following equation. (AASHTO)

       eNC
Lt =       * ( Lr )
        ed

       0.025
Lt =         * ( 52 ) = 16.25m
       0.08

C/ Location of super elevation run-off (Lr)

Since there is no transition curve (spiral) between the tangent and the curve in the project, 2/3 rd
of the super elevation length is placed on the tangent and 1/3rd of the length is placed on the
curve part.

                 1
         i.e.,     * 52 =17.33m (on the curve)
                 3

                      2
                        * 52 = 34.67 m (On the tangent)
                      3

Then,

The beginning of the super elevation runoff length is:-

         =P.C-34.67m

         =13+263.38 -0+034.67 m

         =13+228.71m

The end of the super elevation runoff length is:-

         =P.C+17.33m

         =13+263.38 +0+017.33m

         =13+280.71m

D/ location of tangent run-out length

Beginning=beginning of Lr minus Lt


                                                                                                 36

ECSC, IUDS, Urban Engineering Department (UE)
Highway Design Senior Project                                                    2010


         =13+228.71-16.25m

         =13+212.46m

End=13+228.71m

E/ station where outer and inner edge of the road will have the same normal cross fall i.e., 2.5%

It is a length(R) where total crown removal is attained.

   So, R=2*Lt

          =2*16.25

       =32.50m,

Then, the station is

Beginning= station of beginning of adverse crown removal

            =13+212.46m

End=station of beginning of adverse crown removal plus +R

         =13+212.46+32.50m

             =13+244.96m

On the same process we can do the super elevation at the exit of the curve.

We know that the length of curve 3=182m

Then the part of the curve to be full super elevated is

       =182-2*(1/3*Lr)

       =182-2*(1/3*52)

       =147.33m

F/ Then, the station of end of full super elevation is

       =13+280.71m +147.33m
                                                                                                37

ECSC, IUDS, Urban Engineering Department (UE)
Highway Design Senior Project                                                2010


         =13+428.04m

G/ station of end of super elevation runoff is:

         =13+428.04 +52m

         =13+480.04m

H/ station of recovering adverse crown is:

         =13+480.04+16.25m

         =13+496.29m

Curve-4 Design computation

A/ computation of super elevation run-off

Super elevation runoff length can be obtained from table 8.5 (ERA) using radius (Rc) and super
elevation rate (e), or it can be computed from the following formula. (AASHTO)


Lr =
       ( wn1 ) ed ( b )
                     w
          G

Then, n1=1, since the number of lane rotated is =1(AASHTO, exhibit 3-31)

       bw=1, for one lane rotated(AASHTO, exhibit 3-31)

       G=.55%, for Vd=70km/hr, (AASHTO, exhibit 3-31)

                       6.7 
                          *1 * 0.08
Therefore,             2    
                 Lr =                 * (1) = 48.7m
                           0.55

But from ERA for ed=8% and v=70m/sec, by interpolation Lr=49.12m for Rc=236m. Thus, take
Lr=49.12m

B/ computation of tangent run out (Lt)

Tangent run-out can be computed using the following equation. (AASHTO)


                                                                                           38

ECSC, IUDS, Urban Engineering Department (UE)
Highway Design Senior Project                                                     2010


       eNC
Lt =       * ( Lr )
        ed

       0.025
Lt =         * ( 49.12 ) = 15.35m
        0.08

C/ Location of super elevation run-off (Lr)

Since there is no transition curve (spiral) between the tangent and the curve in the project, 2/3 rd
of the super elevation length is placed on the tangent and 1/3rd of the length is placed on the
curve part.

                 1
         i.e.,     * 49.12 =16.37 m (on the curve)
                 3

                      2
                        * 49.12 = 32.75m (On the tangent)
                      3




Then,

The beginning of the super elevation runoff length is:-

         =P.C-32.75m

         =13+806.5-0+032.75

         =13+773.75m

The end of the super elevation runoff length is:-

         =P.C+16.37

         =13+806.5+0+016.37m

         =13+822.87m

D/ location of tangent run-out length

Beginning=beginning of Lr minus Lt


                                                                                                 39

ECSC, IUDS, Urban Engineering Department (UE)
Highway Design Senior Project                                                    2010


         =13+773.75 -15.35m

         =13+758.4m

End=13+839.25m

E/ station where outer and inner edge of the road will have the same normal cross fall i.e., 2.5%

It is a length(R) where total crown removal is attained.

   So, R=2*Lt

          =2*15.35

       =30.7m




Then, the station is

Beginning= station of beginning of adverse crown removal

            =13+823.39m

End=station of beginning of adverse crown removal plus +R

         =13+823.39m +30.70m

             =13+854.10m

On the same process we can do the super elevation at the exit of the curve.

We know that the length of curve 4=374m

Then the part of the curve to be full super elevated is

       =374-2*(1/3*Lr)

       =374-2*(1/3*49.12)

       =341.25m

F/ Then, the station of end of full super elevation is
                                                                                                40

ECSC, IUDS, Urban Engineering Department (UE)
Highway Design Senior Project                                                2010


         =13+822.87+341.25m m

         =14+164.12m

G/ station of end of super elevation runoff is:

         =14+164.12m +49.12m

         =14+213.24m

H/ station of recovering adverse crown is:

         =14+213.24 +15.35m

         =14+228.59m

Curve-5 Design computation

A/ computation of super elevation run-off

Super elevation runoff length can be obtained from table 8.5 (ERA) using radius (Rc) and super
elevation rate (e), or it can be computed from the following formula. (AASHTO)


Lr =
       ( wn1 ) ed ( b )
                     w
          G

Then, n1=1, since the number of lane rotated is =1(AASHTO, exhibit 3-31)

       bw=1, for one lane rotated(AASHTO, exhibit 3-31)

        G=.55%, for Vd=70km/hr, (AASHTO, exhibit 3-31)

                        6.7 
                           *1 * 0.08
Therefore,              2    
                  Lr =                 * (1) = 48.78m
                            0.55

But ERA recommends Lr=48m for ed=8% and Rc=175m. Thus, take Lr=52m

B/ computation of tangent run out (Lt)

Tangent run-out can be computed using the following equation. (AASHTO)

                                                                                           41

ECSC, IUDS, Urban Engineering Department (UE)
Highway Design Senior Project                                                     2010


       eNC
Lt =       * ( Lr )
        ed

       0.025
Lt =         * ( 52 ) = 16.25m
       0.08




C/ Location of super elevation run-off (Lr)

Since there is no transition curve (spiral) between the tangent and the curve in the project, 2/3 rd
of the super elevation length is placed on the tangent and 1/3rd of the length is placed on the
curve part.

                 1
         i.e.,     * 52 =17.33m (on the curve)
                 3

                      2
                        * 52 = 34.67 m (On the tangent)
                      3

Then,

The beginning of the super elevation runoff length is:-

         =P.C-34.67m

         =14+685.72m -0+034.67m

         =14+651.05m

The end of the super elevation runoff length is:-

         =P.C+17.33m

         =14+685.72+0+017.33m

         =14+703.05m

D/ location of tangent run-out length

Beginning=beginning of Lr minus Lt


                                                                                                 42

ECSC, IUDS, Urban Engineering Department (UE)
Highway Design Senior Project                                                    2010


         =14+651.05-16.25m

         =14+634.80m

End=14+651.05m

E/ Station where outer and inner edge of the road will have the same normal cross fall i.e., 2.5%

It is a length(R) where total crown removal is attained.

   So, R=2*Lt

          =2*16.25

       =32.50m,

Then, the station is;

Beginning=station of beginning of adverse crown removal

            =14+634.80m

End=station of beginning of adverse crown removal plus +R

         =14+634.80m +32.50m

             =14+667.30m

On the same process we can do the super elevation at the exit of the curve.

We know that the length of curve 5=134.35m

Then the part of the curve to be full super elevated is

       =134.35-2*(1/3*Lr)

       =134.35-2*(1/3*52)

       =99.68m

F/ Then, the station of end of full super elevation is

       =14+703.05m +99.68m
                                                                                                43

ECSC, IUDS, Urban Engineering Department (UE)
Highway Design Senior Project                                                2010


         =14+802.73m

G/ station of end of super elevation runoff are:

         =14+802.73m +52m

         =14+854.73m

H/ station of recovering adverse crown is:

         =14+854.73m +16.25m

         =14+870.98m




Curve-6 Design computation

A/ computation of super elevation run-off:

Super elevation runoff length can be obtained from table 8.5 (ERA) using radius (Rc) and super
elevation rate (e), or it can be computed from the following formula. (AASHTO)


Lr =
       ( wn1 ) ed ( b )
                     w
          G

Then, n1=1, since the number of lane rotated is =1(AASHTO, exhibit 3-31)

       bw=1, for one lane rotated(AASHTO, exhibit 3-31)

        G=.55%, for Vd=60km/hr, (AASHTO, exhibit 3-31)

                 6.7 
                    *1 * 0.08
Therefore,       2    
           Lr =                 * (1) = 48.78m
                     0.55

But ERA recommends Lr=48m for ed=8% and Rc=175m. Thus, take Lr=52m

                                                                                           44

ECSC, IUDS, Urban Engineering Department (UE)
Highway Design Senior Project                                                     2010




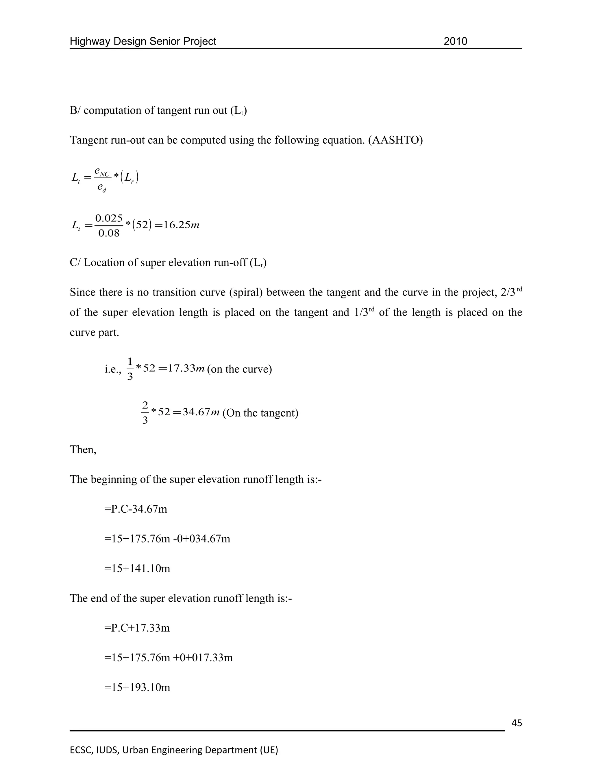
B/ computation of tangent run out (Lt)

Tangent run-out can be computed using the following equation. (AASHTO)

       eNC
Lt =       * ( Lr )
        ed

       0.025
Lt =         * ( 52 ) = 16.25m
       0.08

C/ Location of super elevation run-off (Lr)

Since there is no transition curve (spiral) between the tangent and the curve in the project, 2/3 rd
of the super elevation length is placed on the tangent and 1/3rd of the length is placed on the
curve part.

                 1
         i.e.,     * 52 =17.33m (on the curve)
                 3

                      2
                        * 52 = 34.67 m (On the tangent)
                      3

Then,

The beginning of the super elevation runoff length is:-

         =P.C-34.67m

         =15+175.76m -0+034.67m

         =15+141.10m

The end of the super elevation runoff length is:-

         =P.C+17.33m

         =15+175.76m +0+017.33m

         =15+193.10m


                                                                                                 45

ECSC, IUDS, Urban Engineering Department (UE)
Highway Design Senior Project                                                    2010


D/ location of tangent run-out length

Beginning=beginning of Lr minus Lt

         =15+141.10m -16.25m

         =15+123.85m

End=15+123.85m

E/ station where outer and inner edge of the road will have the same normal cross fall i.e., 2.5%

It is a length(R) where total crown removal is attained.

   So, R=2*Lt

          =2*16.25

       =32.50m,

Then, the station is

Beginning= station of beginning of adverse crown removal

            =15+123.85m

End=station of beginning of adverse crown removal plus + R

         =15+123.85m +32.50m

             =15+156.35m

On the same process we can do the super elevation at the exit of the curve.

We know that the length of curve 6=99.20m

Then the part of the curve to be full super elevated is

       =99.20-2*(1/3*Lr)

       =99.20-2*(1/3*52)

       =64.53m
                                                                                                46

ECSC, IUDS, Urban Engineering Department (UE)
Highway Design Senior Project                                                        2010


F/ Then, the station of end of full super elevation is

       =15+193.10+64.53m

       =15+257.63m

G/ station of end of super elevation runoff is:

       =15+257.63m +52m

       =15+309.63m

H/ station of recovering adverse crown is:

       =15+309.63m +16.25m

       =15+325.88m

Super elevation overlaps:

The end of tangent run out (super elevation runoff length) for curve 2 and the beginning of
tangent run out (super elevation runoff length) of curve 3 overlaps with an amount of:

Over lap= (13+250.29)-(13+212.46)

        =42.83m

Therefore, this overlap length has to distribute on the curve part of each curve according to the
following.

Half of the overlap distance has to be added to the part of the curve. I.e. if the overlap length is d,
the part of super elevation on the curve will be

       =1/3rd (Lr) +d/2

       =17.33+42.83/2m

       =38.475m

But this length has to be 40% of length of the corresponding curve.


                                                                                                    47

ECSC, IUDS, Urban Engineering Department (UE)
Highway Design Senior Project                                                    2010


Check:

Lc of curve 2=100.79m

Then, 40%*100.79=40.32>38.745m…………….OK!

Lc of curve 3=182m,

Then, 0.4*182=72.8>38.475m………………………OK!

Re-adjustment for super elevation stations.

Curve-2

1. The beginning of the super elevation runoff length is:-

         =P.C-(34.67-21.415) m

         =13+98.59-(0+013.25)

         =13+085.34m

2. The end of the super elevation runoff length is:-

         =P.C+17.33m

         =13+98.59+ (0+017.33+21.415) m

         =13+137.34m

3. Location of tangent run-out length

Beginning=beginning of Lr minus Lt

          =13+085.34m -16.25m

          =13+069.09m

End=13+085.34m

4. Station where outer and inner edge of the road will have the same normal cross fall i.e., 2.5%

It is a length(R) where total crown removal is attained.
                                                                                                48

ECSC, IUDS, Urban Engineering Department (UE)
Highway Design Senior Project                                                 2010


   So, R=2*Lt

          =2*16.25

       =32.50m,

Then, the station is

Beginning= station of beginning of adverse crown removal

            =13+069.09m

End=station of beginning of adverse crown removal plus +R

         =13+069.09m +32.50m

             =13+101.59m

On the same process we can do the super elevation at the exit of the curve.

We know that the length of curve-2=100.79m

Then the part of the curve to be full super elevated is

       =100.79-2*(1/3*Lr+21.415)

       =100.79-2*(1/3*52+21.415)

       =23.29m

5. Then, the station of end of full super elevation is

       =end of Lr+23.29

       =13+137.34m +23.29m

       =13+160.63m

6. Station of end of super elevation runoff is

       =13+160.63+52m

       =13+212.63m
                                                                                     49

ECSC, IUDS, Urban Engineering Department (UE)
Highway Design Senior Project                                                    2010


7. Station of recovering adverse crown is:

       =13+212.63m +16.25m

       =13+228.88m

Curve-3

1. The beginning of the super elevation runoff length is:-

       =P.C-(34.67-21.415) m

       =13+263.38 – (0+013.25) m

       =13+250.13m

2. The end of the super elevation runoff length is:-

       =P.C+ (17.33+21.415) m

       =13+263.38 + (0+38.75) m

       =13+302.13m

3. Location of tangent run-out length

Beginning=beginning of Lr minus Lt

          =13+250.13m -16.25m

          =13+233.88m

End=13+250.13m

4. Station where outer and inner edge of the road will have the same normal cross fall i.e., 2.5%

It is a length(R) where total crown removal is attained.

   So, R=2*Lt

          =2*16.25

       =32.50m,
                                                                                                50

ECSC, IUDS, Urban Engineering Department (UE)
Highway Design Senior Project                                                 2010


Then, the station is

Beginning= station of beginning of adverse crown removal

            =13+250.13m

End=station of beginning of adverse crown removal plus +R

         =13+250.13m +32.50m

         =13+282.63m

On the same process we can do the super elevation at the exit of the curve.

We know that the length of curve 3=182m

Then the part of the curve to be full super elevated is

       =182-2*(1/3*Lr+d/2)

       =182-2*((1/3*52) +42.83/2)

       =104.50m

5. Then, the station of end of full super elevation is

       =13+302.13m +104.50

       =13+406.63m

6. Station of end of super elevation runoff is:

       =13+406.63m + 52m

       =13+458.63m

7/ station of recovering adverse crown is:

=13+458.63m +16.25m

       =13+474.88m



                                                                                     51

ECSC, IUDS, Urban Engineering Department (UE)
Highway Design Senior Project                                                       2010




Fig 2-6 profile, section and station of super elevation, tangent run out for all curves




                                                                                           52

ECSC, IUDS, Urban Engineering Department (UE)
Highway Design Senior Project                                                    2010




                                                                           STATIONS

 CURVE NUMBER
                       A              B              C               D           E            F           G           H




      Curve 1           12+604.51      12+620.76      12+637.01      12+672.76    12+757.22   12+792.97   12+809.22   12+825.47

      Curve 2           13+069.09      13+085.34      13+101.59      13+137.34    13+160.63   13+196.38   13+212.63   13+228.88

      Curve 3           13+233.88      13+250.13      13+282.63      13+302.13    13+406.63   13+442.38   13+458.63   13+474.88

      Curve 4           13+756.4       13+773.75      13+789.10      13+822.87    14+164.12   14+197.89   14+213.24   14+228.59

     Curve 5            14+634.80      14+651.05      14+667.30      14+703.05    14+802.73   14+838.48   14+854.73   14+870.98

      Curve 6           15+123.85      15+141.10      15+156.35      15+193.10    15+257.63   15+293.38   15+309.63   15+325.88

Table 2-7 stations of super elevation, tangent run out for all curves.




                                                                                                                          53

ECSC, IUDS, Urban Engineering Department (UE)
Highway Design Senior Project                                                       2010


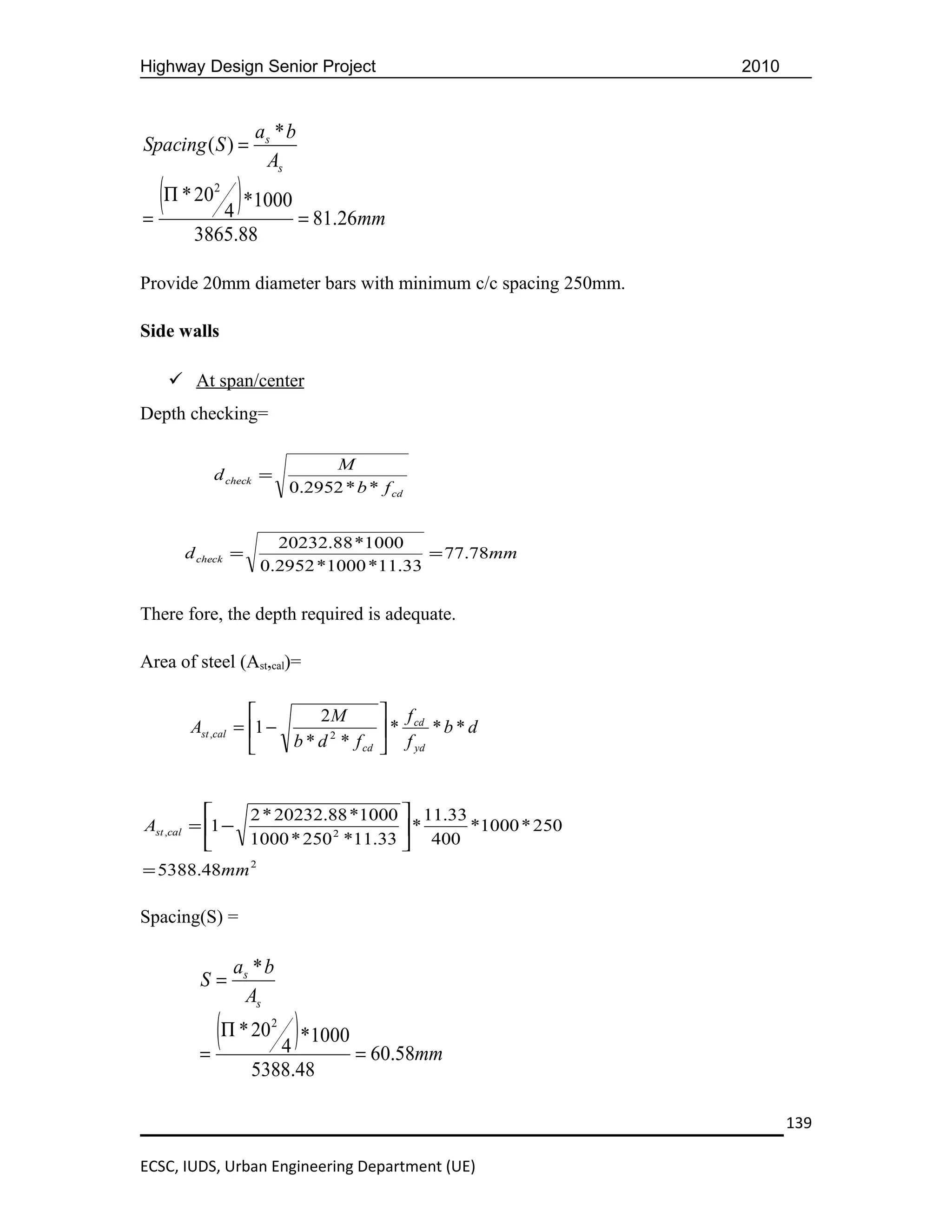
2.2.1.4 Curve widening

Widening on a curve is giving extra width on a road curves. This is because:-

       It has been found that the drivers on curves have difficulty in steering their
        vehicles to outer edge of road as they are able to on the straight because the rear
        wheels do not follow precisely the same path as the front wheels when the
        vehicles negotiates a horizontal curve or makes a turn.
       Also there is psychological tendency to drive at greater clearance, when passing
        vehicle on curved than on straights. Hence, there is dire necessity for widening
        the carriage way on curves.
       On curves the vehicles occupy a greater width because the rear wheels track
        inside the front wheels.
Analysis of extra widening on horizontal curves

When vehicles negotiate a curve, the rear wheel generally do not follow the same track as
that of the front wheels. It has been observed that except at very high speed, the rear axle
of a motor vehicles remains in line with the radius of the curve. Since the body of the
vehicle is rigid, therefore, the front wheel will twist themselves at one angle to their axle,
such that vertical plane passing through each wheel is perpendicular to the radius of the
curve in order to trace the path on the curve. This is known as ‘off tracking’.

To determine width (W) it is necessary to select an appropriate design vehicle. The
design vehicle should usually be a truck because the off tracking is much greater for
trucks than for passenger car. (AASHTO) There fore, widening on horizontal curves
depend on:

       The length and width of the vehicle
       Radius of curvature




                                                                                           54

ECSC, IUDS, Urban Engineering Department (UE)
Highway Design Senior Project                                                2010




   Fig 2-7 widening of pavements on horizontal curves

Let;

L= length of wheel base of vehicle in m.

b=width of the road in m,

w=extra width in m,

R1=radius of the outer rear wheel in m,

R2= radius of the outer front wheel in m,

n=number of lanes

Rc= radius of curvature

The formula obtained from the above geometries for extra widening for more than one
lane (mechanical widening) is:-

                                     n * L2
       mechanical..widening = wm =
                                     2 * Rc

The extra widening needed for psychological reasons mentioned above is assumed as:-


                                                                                      55

ECSC, IUDS, Urban Engineering Department (UE)
Highway Design Senior Project                                                  2010


                                             v
         psycho log icalwidening = w p =
                                           10 Rc

There fore, total widening w will be:-

              n * L2   v
         w=          +
              2 * Rc 10 Rc


Widening attainment on curves

The following rules apply for attaining widening on both ends of the curve. (AASHTO)

A. widening should be done gradually and has to be realized on the inside edge of un-
spiraled curve (on simple curve) pavements.

B. In the case of a circular curve with transition curves, widening may be applied on the
inside edge or divide equally on either side of the center line.

C. On highway curves without transition curves widening should preferably be attained
along the length of super elevation runoff. A smooth fitting alignment would result from
attaining widening on-one half to two-third along the tangent and the remaining along the
curve.

D. Widening is not necessary for large radius greater than 250m.

Curve-1, 2, 3, 5, and 6 Design computations

Design data: Rc = 175m, n=2

L= take 6m (for the design vehicle usually a truck, corresponding to AASHTO, Single
unit (SU))

V=70m/sec

     n * L2   v
w=          +
     2 * Rc 10 Rc


     2 * 62   70
w=          +      = 0.73m
     2 *175 10 175
                                                                                      56

ECSC, IUDS, Urban Engineering Department (UE)
Highway Design Senior Project                                                2010


For all curves having a radius between 120 to 250m ERA recommends a minimum of
widening width equal to 0.6m. But we recommend the calculated value 0.73m. So, all the
curves will have the corresponding value unless they are no less than the recommended
value by ERA. Therefore, this widening will be introduced at the inner edge of the
curves. Because all the curves are un spiraled curves.




Fig2-8.widening of pavement on curves




WIDENING         STARTING  STARTING  LAST PT OF END   POINT REMARK
WIDTH(M)         POINT  OF POINT  OF FULL       OF
                 WIDENING  FULL      WIDENING   WIDENING
                           WIDENING

0.73             12+620.76        12+672.76       12+757.22    12+809.22         12+620.76

Table 2-8 widening stations for curve 1

Curve-4 Design computation

Design data: Rc=236m, N=2, L= take 6m, V=70m/se

                                                                                    57

ECSC, IUDS, Urban Engineering Department (UE)
Highway Design Senior Project                                                       2010


       n * L2   v
w=            +
       2 * Rc 10 Rc


        2 * 62   70
w=             +      = 0.61m
       2 * 236 10 236


CUR       WIDENI        STARTING          STARTING          LAST PT OF         END POINT
 VE        NG           POINT OF          POINT OF            FULL                OF
NO.       WIDTH(        WIDENING            FULL            WIDENING           WIDENING
            M)                            WIDENING
  C1      0.73           12+620.76         12+672.76          12+757.22         12+809.22

  C2      0.73           13+085.34         13+137.34          13+160.63         13+212.63

  C2      0.73           13+250.13         13+302.13          13+406.63         13+458.63

  C3      0.73           13+839.25         13+822.87          14+164.12         14+213.24

  C4      0.61           14+651.05         14+703.05          14+802.73         14+854.73

  C5      0.73           15+141.10         15+193.10          15+257.63         15+309.63

  C6      0.73           12+620.76         12+672.76          12+757.22         12+809.22

Table2-9 Widening length and stations for all curves.




2.2.1.4 Site distance

Another element of horizontal alignment is the site distance across the inside of the
curves. Sight distance is the distance visible to the driver of a passenger car or the
roadway ahead that is visible to the driver. For highway safety, the designer must provide
sight distances of sufficient length that drivers can control the operation of their vehicles.
They must be able to avoid striking an unexpected object on the traveled way.

Where there are site obstruction( such as walls, cut slops, buildings and longitudinal
barriers) on the inside of curves or the in side of the median lane on divided highways, a
design may need adjustment in the normal high way cross section or change in the
alignment if removal of the obstruction is impractical to provide adequate site distance.
Because of the many variables in alignment, in cross section and in the number, type and
                                                                                            58

ECSC, IUDS, Urban Engineering Department (UE)
Highway Design Senior Project                                                      2010


location of potential obstructions, specific study is usually need for each individual curve.
With site distance for the design speed as a control, the designer should check the actual
conditions on each curve and make the appropriate adjustment to provide adequate
distance.

Two-lane rural highways should generally provide such passing sight distance at frequent
intervals and for substantial portions of their length.

Stopping site distance

Stopping sight distance is the distance required by a driver of a vehicle traveling at a
given speed to bring his vehicle to a stop after an object on the road way becomes visible.
The minimum stopping sight distance is determined from the following formula, which
takes into account both the driver reaction time and the distance required to stop the
vehicle. The formula is:

d= (0.278) (t) (v) +v2/ 254f

Where:

d = distance (meter)

t = driver reaction time, generally taken to be 2.5 seconds

V = initial speed (km/h)

F = coefficient of friction between tires and roadway (see Table 7-1)

OR the stopping site distance is given in ERA manual in the following table.



Design Speed        Coefficient          Stopping Sight       Passing Sight         Reduced Passing
                                                                                    Sight    Distance
(km/h)              of Friction (f)      Distance (m)         Distance (m)          for design (m)
                                                              from formulae

         20                 0.42                 20                   160                  50

         30                 0.40                 30                   217                  75
                                                                                          59

ECSC, IUDS, Urban Engineering Department (UE)
Highway Design Senior Project                                                        2010




          40               0.38                  45                    285                   125

          50               0.35                  55                    345                   175

          60               0.33                  85                    407                   225

          70               0.31                  110                   482                   275

          85               0.30                  155                   573                   340

          100              0.29                  205                   670                   375

          120              0.28                  285                   792                   425

Table 2-10: Sight Distances

The coefficient of friction values shown in Table 2-10 have been determined from test
using the lowest results of the friction tests. The values shown in the third column of the
above table for minimum stopping sight distance are rounded from the above formula.
For the general use in the design of horizontal curve, the sight line is a chord of the curve,
and the stopping site distance is measured along the center line of the inside lane around
the curve.

The horizontal site line offset needed for clear site areas that satisfy stopping site distance
can be derived from the geometry for the several dimension explained in the following
figure.




                                                                                            60

ECSC, IUDS, Urban Engineering Department (UE)
Highway Design Senior Project                                                  2010


Fig 2-9 Site distance for horizontal curves

Relevant formulae are as follows:

                          ∆
Siteline( S ) = 2 R sin
                          2

                               ∆
Middle..ordinate(d ) = R1 − cos 
                               2


Where ∆ = Deflection angle

       R=radius (from the center line of the inner lane)

Design computation

Using the above formulas the stopping site distance(d), the line of site(S) and middle
ordinate(M) of each horizontal curves can be calculated from the data’s of each curve
organized in the following table below.

                                                            driver
                deflection      Radius        speed(V)     reaction      Coefficient of
curve no                                                     time
                angle(D)        (R),m           km/hr                     friction(f)
                                                           (t) in sec.
Curve 1.            39        173.325            70           2.5             0.31

Curve 2.            33        173.325            70           2.5             0.31

Curve 3.           59.62      173.325            70           2.5             0.31

Curve 4.           90.81      234.325            70           2.5             0.31

Curve 5.           44.15      173.325            70           2.5             0.31

Curve 6.           32.48      173.325            70           2.5             0.31

Table 2-11 different data about each curve

                          ∆
Siteline( S ) = 2 R sin
                          2




                                                                                      61

ECSC, IUDS, Urban Engineering Department (UE)
Highway Design Senior Project                                                    2010


                                ∆
Middle..ordinate( d ) = R1 − cos 
                                2

                                      v2
Stoppingsitedist..(d ) = 0.278vt +
                                     254 f


 Curve     Site line (S)      Middle               Stopping site distance(m)
               in m.       ordinate (M)
                               in m.          Calculated        Recommended by
                                             distance in m           ERA

curve 1   115.714          9.94           510.55               110

curve 2   98.454           7.14           510.55               110

curve 3   172.329          22.93          510.55               110

curve 4   333.72           69.81          510.55               110

curve 5   130.278          12.76          510.55               110

curve 6   96.945           6.92           510.55               110

Table2-12 Site distance elements




                                                                                        62

ECSC, IUDS, Urban Engineering Department (UE)
Highway Design Senior Project                                                  2010




Fig 2-10 stopping site distance of curve 1




Passing site distance

Passing sight distance is the minimum sight distance on two-way single roadway roads
that must be available to enable the driver of one vehicle to pass another vehicle safely
without interfering with the speed of an oncoming vehicle traveling at the design speed.
Within the sight area the terrain should be the same level or a level lower than the
roadway. Otherwise, for horizontal curves, it may be necessary to remove obstructions
and widen cuttings on the insides of curves to obtain the required sight distance. The
passing sight distance is generally determined by a formula with four components, as
follows:

d1 = initial maneuver distance, including a time for perception and reaction

d2 = distance during which passing vehicle is in the opposing lane

d3 = clearance distance between vehicles at the end of the maneuver

d4 = distance traversed by the opposing vehicle

The formulae for these components are as indicated below:
                                                                                      63

ECSC, IUDS, Urban Engineering Department (UE)
Highway Design Senior Project                                                   2010


d1 = 0.278 t1 (v – m + at1/2)

Where,

t1 = time of initial maneuver, s

a = average acceleration, km/h/s

v = average speed of passing vehicle, km/h

m = difference in speed of passed vehicle and passing vehicle, km/h

d2 = 0.278 vt2

Where,

t2 = time passing vehicle occupies left lane, sec.

v = average speed of passing vehicle, km/h

d3 = safe clearance distance between vehicles at the end of the maneuver, is dependent on
ambient speeds as per Table 7-2 of ERA standard:

Table 7-2: Clearance Distance (d3) vs. Ambient Speeds

Speed Group (km/h)

   Speed group(km/hr)              50-65     66-80               81-100       101-120

          D3(m)                     30               55             80           100

d4 = distance traversed by the opposing vehicle, which is approximately equal to 2/3 rd of
d2 whereby the passing vehicle is entering the left lane, estimated at:

d4 = 2d2/3

The minimum Passing Sight Distance (PSD) for design is therefore:

PSD = d1+ d2 + d3 + d4



                                                                                        64

ECSC, IUDS, Urban Engineering Department (UE)
Highway Design Senior Project                                                2010


Even if it is calculated using the above formula ERA recommends passing site distance,
so we use the value given by ERA design manual.

Sample calculation

Curve 1

Data:

Design speed=70km/hr=v of passing vehicle

Assume the following values

T1=3.5 sec, T2=3sec, a=1.0m/sec2

V of passing vehicle=70km/hr

V of passed vehicle=65km/hr

i.e., m=70-65=5km/hr

Then,

d1= 0.278 t1 (v – m + at1/2)

d1 = 0.278 *3.5* (70 – 5 + (1*3)/2)     =64.71m

d2= 0.278 vt2= 0.278 *70*3      =58.38m

d3=55m, for design speed group=66km/hr-80km/hr

d4= 2d2/3 = (2*58.38)/3 =38.92m

Therefore, total passing site distance is,

PSD=d1+d2+d3+d4 = Error! Not a valid link.Error! Not a valid link.Error! Not a valid
link.Error! Not a valid link. =218.95m




                                                                                    65

ECSC, IUDS, Urban Engineering Department (UE)
Highway Design Senior Project                                                    2010




 Fig 2-11 Components of passing maneuver used in passing site distance.

2.2.2 Design of vertical alignment

The two major aspects of vertical alignment are vertical curvature, which is governed by
sight distance criteria, and gradient, which is related to vehicle performance and level of
service. The purpose of vertical alignment design is to determine the elevation of selected
points along the roadway, to ensure proper drainage, safety, and ride comfort. So it is
important to use different series of grades and to create a smooth transition between these
grades parabolic curves are used. The vertical alignment includes:

                      Joining the grades with smooth curve.
                      Location of appropriate gradients.
2.2.2.1 Design consideration

2.2.2.1.1 Gradient and grade controls

Changes of grade from plus to minus should be placed in cuts, and changes from a minus
grade to a plus grade should be placed in fills.Highway should be designed to encourage
uniform operation throughout the stretch.In the analysis of grades and grade control, one
of the most important considerations is the effect of grades on the operating of the motor

                                                                                        66

ECSC, IUDS, Urban Engineering Department (UE)
Highway Design Senior Project                                                  2010


vehicle.Determination of grades for vertical alignment the following are taken in to
consideration for;

1. The maximum limit of grades.

            Visibility related to sight distance.
                          Stopping sight distance.
                          Passing sight distance.
            Rider and passenger comfort.
            Cost of vehicle operation
            General appearance
            Cut and fill (earth work)



2. The minimum limit of grades.

                    Drainage purpose
In this project the two cases are taken in to account as recommended by ERA 2001.

2.2.2.1.2 Vertical curves

A vertical curve provides a smooth transition between two tangent grades. There are two
types of vertical curves. Crest vertical curves and sag vertical curves.

            When a vertical curve connects a positive grade with a negative grade, it is
                    referred to as a crest curve.
            When a vertical curve connects a negative grade with a positive grade, it is
                    termed as a sag curve.
In this project crest and sage curves are applied to create a smooth transition between
these grades.

Length of vertical curves

Crest curves:

                                                                                      67

ECSC, IUDS, Urban Engineering Department (UE)
Highway Design Senior Project                                                      2010


For crest curves, the most important consideration in determining the length of the curve
is the sight distance requirement.

                    Sight distance
                           — stopping and
                           —   passing sight distance
Sag curves:

For sag curves, the criteria for determining the length of the curve are:

            vehicle headlight distance,
            rider comfort,
            drainage control and
            General appearance.
When the computed curve length for the above requirements is less than the minimum
curve length recommended by ERA2001, this recommended value is taken as curve
length.

Error! Not a valid link.Site distance (Both stopping and passing)

For Crest Vertical Curve
The stopping sight distance is the controlling factor in determining the length of a crest
vertical curve.
Minimum Length required for safe stopping calculated (from AASHTO)



                                           When Sd ≥ Lvcmin




                                                When Sd ≤ Lvcmin



 The 100 in the above equations are to convert A from % into decimals.
                                                                                             68

ECSC, IUDS, Urban Engineering Department (UE)
Highway Design Senior Project                                                       2010


Where Lvc min = Minimum length of vertical curve compute

                 Sd = Min. Stopping Sight Distance = 85 m for mountainous terrain.

                Psd = Min. Passing Sight Distance      = 225 m for mountainous terrain.

Sight distances should be checked during design, and adjustments made to meet the
minimum requirements. The following values should be used for the determination of
sight lines. Shown in the figures below:




Fig 2-12 Site distance for crust curve




ERA Manual recommends that:

                   h1= Driver's eye height                          = 1.07 meters

                  h2 = Object height for stopping sight distance = 0.15 meters

                      = Object height for passing sight distance:   = 1.30 meters

For sag Vertical Curve
                                                                                           69

ECSC, IUDS, Urban Engineering Department (UE)
Highway Design Senior Project                                                    2010


Figure below shows the driver’s sight limitation when approaching a sag vertical curve.
The problem is more obvious during the night time when the sight of the driver is
restricted by the area projected by the headlight beams of vehicle. Hence, the angle of the
beam from the horizontal plane is also important. This design control criteria is known as
headlight sight distance. The headlight height of h = 0.6 m and upward angle for the
headlight projection cone of β =1° is normally assumed. The governing equations are
(from AASHTO)




                                         When Sd ≥ Lvcmin




                                                When Sd ≤ Lvcmin




Fig 2-13 Site distance for sag curve

A driver may experience discomfort when passing a vertical curve. The effect of
discomfort is more obvious on a sag vertical curve than a crest vertical curve with the
same radius, because the gravitational and centripetal forces are in the opposite
directions. Some of the ride discomfort may be compensated by combination of vehicle
weight, suspension system and tire flexibility. The following equation has been

                                                                                        70

ECSC, IUDS, Urban Engineering Department (UE)
Highway Design Senior Project                                                           2010


recommended by AASHTO as the minimum length of a vertical curve that will provide
satisfactory level of ride comfort.




Design standards from ERA manual:




                                                                                                    Urban/Peri- Urban
Design Element                  Unit      Flat




                                                             Mountainous




                                                                           Escarpment
                                                  Rolling


Design Speed                     km/h       85    70         60            50                       50

Min. Stopping Sight Distance          m    155    110        85            55                       55

Min. Passing Sight Distance           m    340    275        225           175                      175

% Passing Opportunity                 %     25    25         15              0                      20

Max. Gradient (desirable)             %      4     5           7             7                          7

Max. Gradient (absolute)              %      6     7           9             9                          9

Minimum Gradient                      %     0.5   0.5        0.5           0.5                      0.5

Crest Vertical Curve                  k     60    31         18            10                       10

Sag Vertical Curve                    k     36    25         18            12                       12

Table 2-13 Design Parameters for Design Standard DS4 (Paved)

Phasing: Even if we face phasing problem on vertical curve 1 with horizontal curve 3
and vertical curve 3 with horizontal curve 5, we took a corrective action by separating
them again vertical curve 2 and horizontal curve 4 corrected by making the ends of the
curves to end at a common station in the design process according to ERA.

2.2.2.2. Computation of gradients
1. Gradient of the first alignment (g1)
                                                                                               71

ECSC, IUDS, Urban Engineering Department (UE)
Highway Design Senior Project                                                2010


       To calculate the first gradient;
       Elevation of the first point        = 1386 m
       Elevation of the second point      = 1395.4 m
       Elevation difference                = 1395.4-1386 = 9.4 m
       Horizontal distance b/n the two points = (13+572)-(12+500) = 1072 m
       Gradient (Slope) = elevation difference/horizontal distance
                         = (9.4/1072) = 0.0088
       Gradient (Slope) g1 = 0.88 %
2. Gradient of the second alignment (g2)
To calculate the second gradient;

       Elevation of the first point        = 1395.4 m

       Elevation of the second point       = 1375 m

       Elevation difference                = 1375-1395.4 = -20.4 m

       Horizontal distance b/n the two points = (14+000)-(13+572) = 428 m

       Slope (gradient) = elevation difference/ horizontal distance

                         = -20.4/430 = -0.0477

       Gradient (Slope) g2 = -4.77 %

3. Gradient of the third alignment (g3)

To calculate the third gradient

       Elevation of the first point             = 1375 m

       Elevation of the second point            = 1377 m

       Elevation difference                   = 1377-1375 = 2m

       Horizontal distance b/n the two points = (14+480)-(14+000) = 480m

                                                                                    72

ECSC, IUDS, Urban Engineering Department (UE)
Highway Design Senior Project                                                            2010


        Gradient (Slope)        = elevation difference/ horizontal distance

                             = (2/480) = 0.0042

        Gradient (Slope) g3 = 0.42 %

4. Gradient of the forth alignment (g4)

To calculate the forth gradient

        Elevation of the first point                 = 1377 m

        Elevation of the second point                = 1352 m

        Elevation difference                         = 1352-1377 = -25

        Horizontal distance b/n the two points = (15+500)-(14+480) = 1020m

        Slope (gradient) = elevation difference/ horizontal distance

                         = -25/1020 = -0.0245

        Gradient (Slope) g4= -2.45%


                 Elevation                                       station
                                                                                   Horizontal
                       second                                        Second                      Slope
Grade    First point   point           Elev. diff.     First point   point         distance(m)    (%)

 g1         1386         1395.4           9.4            12500             13572      1072       0.88

 g2        1395.4          1375          -20.4           13572             14000      428        -4.77

 g3         1375           1377            2             14000             14480      480        0.42

 g4         1377           1352           -25            14480             15500      1020       -2.45

 Table 2-14: Summery of gradients of vertical alignment

2.2.2.5 Computation of vertical curve elements

There are three vertical curves in this project;

                                                                                                 73

ECSC, IUDS, Urban Engineering Department (UE)
Highway Design Senior Project                                                       2010


The first vertical curve is a crest curve connects a positive grade with a negative grade;
i.e. 0.88 % and -4.77 %.

The second curve is a sag curve connects a negative grade with a positive grade ;

 i.e. -4.77 % and 0.42 %.

The third curve is a crest curve connects a positive grade with a negative grade;

i.e. 0.42 % and -2.45 %.

     1. For Curve one (crest curve)
                Station of PVI    =    13+572

                Elevation PVI      =    1395.4 m

                Gradient, g1 =    0.88 %

                Gradient, g2 =    -4.77 %

               Grade Algebraic difference of grades (A)

               A = g2-g1 =0.88 - (-4.77) = /5.64/ = 5.64 %

Computation of the curve length

a)   Curve length required for minimum curvature, k

      The value of K = 18 for DS4 from design standard, and Mountainous

       Lvcmin = AK = 5.64*18 = 101.58 m

But to get smooth vertical curve to different safety purpose we increase LVC from
101.58 to 120 m

b) Length required for safe stopping



                                             When Sd ≥ Lvcmin

                                                                                             74

ECSC, IUDS, Urban Engineering Department (UE)
Highway Design Senior Project                                                      2010




c) Length required for safe passing



                                          When Sd ≥ Lvcmin




d) Length required for ride comfort




 e) Length required for aesthetic (appearance)

                 Lvcmin = 30 *A = 30*5.64 =169m

There fore the maximum of the above values         Lvcmin = 301.90 m is to be provided as
curve length, but this curve length over lap with one side of horizontal curve. Therefore
we provide minimum curve length recommended by ERA2001, which is LC = 200m. So
this value is provided as curve length and we post traffic sign that prevent passing for that
specific area.

Curve grade tabulation

From above table 2-14; g1=0.88 %, g2 = -4.77 % and LVC = 200 m,
                                                                                          75

ECSC, IUDS, Urban Engineering Department (UE)
Highway Design Senior Project                                                 2010


Elev.PVI = 1395.4 m

             Elev.PVC = Elev.PVI – (g1* LVC/2 )

                        = 1395.4 – (0.0088*200/2) = 1394.52 m

Finished grade = (Ele.PVC +g1x) + ((g2-g1) x2)/2LV




                                            Tangent                            Finished
  STA.PVC          X        g1*X%                          (g2- g1)x2)/2LVC
                                      grade(Ele.PVC+g1x)                        grade

    13472           0         0             1394.62               0            1394.52

    13492          20        0.16           1394.77             -0.06          1394.64

    13512          40        0.31           1394.93             -0.22          1394.65

    13532          60        0.47           1395.09             -0.50          1394.54

    13552          80        0.63           1395.24             -0.89          1394.32

    13572         100        0.78           1395.40             -1.39          1393.99

    13592         120        0.94           1395.56             -2.00          1393.54

    13612         140        1.10           1395.71             -2.72          1392.99

    13632         160        1.25           1395.87             -3.55          1392.31

    13652         180        1.41           1396.03             -4.50          1391.53

    13672         200        1.57           1396.18             -5.55          1390.63

   Table 2-15 finished grade tabulation for curve-1




                                                                                     76

ECSC, IUDS, Urban Engineering Department (UE)
Highway Design Senior Project                                              2010




   Fig. 2-14 elements of vertical curve-1

   2.    Curve Two (sag curve)
     Elements of sag curve.

        Station of PVI      = 14+000

        Elevation PVI        = 1383.63 m

        Grade Algebraic difference of grades (A)

        Gradient ( g1)    = -4.77 %     , Gradient(g2) = 0.42 %

                     A = g2-g1 = 0.42-(-4.77) = /5.18/   = 5.18 %

Computation of the curve length

     a) Curve length required for minimum curvature, k
         The value of K = 25 for DS4 design standard, and Rolling.

                         L =AK=5.18*25 = 129.50 m

 But to get smooth vertical curve for different safety purpose we increase L VC from
129.50 to 150 m

     b) Length required for safe stopping

                                                 When Sd ≥ Lvcmin

                                                                                  77

ECSC, IUDS, Urban Engineering Department (UE)
Highway Design Senior Project                                                2010




     c) Length required for safe passing

                                                When Sd ≥ Lvcmin




     d) Length required for ride comfort




     e) Length required for aesthetic (appearance)
             Lvcmin = 30 *A = 30*5.18 =155 m

There fore the maximum of the above values      Lvcmin = 352.92 m is to be provided as
curve length. But to get smooth vertical curve for different safety purpose we increase
LVC from 352.92 to 362 m.

Curve grade tabulation

From above table 2-14 ; g1= 0.42 , g2 = -4.77 , and LVC = 362 m, Elev.PVI = 1375 m

             Elev.PVC = Elev.PVI – (g1* LVC/2)

                         = 1395.4 – (0.0042*362/2) = 1383.63 m

Finished grade= (Ele.PVC +g1x) + ((g2-g1) x2)/2LVC)
                                                                                    78

ECSC, IUDS, Urban Engineering Department (UE)
Highway Design Senior Project                                                        2010


                                  Tangent grade       ((g2-g1)x2)
 STA.PVC       X       g1*X%                                        Finished grade
                                  (Ele.PVC +g1x)        2LVC

  13819         0         0          1383.63              0            1383.63

  13839        20       -0.95        1382.67             0.03          1382.70

  13859        40       -1.91        1381.72             0.11          1381.84

  13879        60       -2.86        1380.77             0.26          1381.03

  13899        80       -3.81        1379.81             0.46          1380.27

  13919        100      -4.77        1378.86             0.72          1379.58

  13939        120      -5.72        1377.91             1.03          1378.94

  13959        140      -6.67        1376.95             1.40          1378.36

  13979        160      -7.63        1376.00             1.83          1377.83

  13999        180      -8.58        1375.05             2.32          1377.37

  14019        200      -9.53        1374.09             2.86          1376.96

  14039        220      -10.49       1373.14             3.46          1376.61

  14059        240      -11.44       1372.19             4.12          1376.31

  14079        260      -12.39       1371.23             4.84          1376.07

  14099        280      -13.35       1370.28             5.61          1375.89

  14119        300      -14.30       1369.33             6.44          1375.77

  14139        320      -15.25       1368.37             7.33          1375.71

  14159        340      -16.21       1367.42             8.28          1375.70

  14179        360      -17.16       1366.47             9.28          1375.75

  14181        362      -17.25       1366.37             9.38          1375.75

   Table 2-16 finished grade tabulation for curve-2




                                                                                            79

ECSC, IUDS, Urban Engineering Department (UE)
Highway Design Senior Project                                    2010




   Fig. 2-15 elements of vertical curve-2

Curve Three (Crest curve)

           Station of PVI    =    14+480

           Elevation PVI      =    1377m

              Gradient (g1) =     0.42 %

              Gradient (g2) =     -2.45 %




Grade Algebraic difference of grades (A)

              A = g2-g1 =0.42 - (-2.45) = /2.87/ = 2.87 %

Computation of the curve length

   a) Curve length required for minimum curvature, k
      The value of K = 31 for DS4 design standard, and Rolling

               Lvcmin = AK = 2.87*31 = 88.90 m


                                                                        80

ECSC, IUDS, Urban Engineering Department (UE)
Highway Design Senior Project                                                 2010


 But to get smooth vertical curve to different safety purpose we increase LVC from

   88.90 to 120

   b) Length required for safe stopping


                                                    When Sd ≤ Lvcmi




   c) Length required for safe passing


                                                   When Sd ≤ Lvcmi




   d) Length required for ride comfort




   e) Length required for aesthetic (appearance)
             Lvcmin = 30 *A =30*2.87 = 86 m


                                                                                     81

ECSC, IUDS, Urban Engineering Department (UE)
Highway Design Senior Project                                                     2010


There fore the maximum of the above values          Lvcmin = 220.47 m is to be provided as
curve length. But to get smooth vertical curve to different safety purpose we increase
LVC from 220.47 to 240m.

Curve grade tabulation

From above table: - g1=0.42, g2 = -2.45 and LVC = 240 m, Elev.PVI = 1377 m

        Elev.PVC = Elev.PVI – (g1* LVC/2) = 1377– (0.0042*240/2) = 1376.50m

Finished grade= (Ele.PVC +g1x) + ((g2-g1) x2)/2LVC)

                                                Tangent grade
                                                                (g2-g1)x2)   Finished
      STA.PVC            X      g1*X%             (Ele.PVC
                                                                 2LVC         grade
                                                    +g1x)

         14360           0         0               1376.50          0        1376.50

         14380        20          0.083            1376.58        -0.02      1376.56

         14400        40          0.167            1376.67        -0.10      1376.57

         14420        60          0.250            1376.75        -0.22      1376.53

         14440        80          0.333            1376.83        -0.38      1376.45

         14460        100         0.417            1376.92        -0.60      1376.32

         14480        120         0.500            1377.00        -0.86      1376.14

         14500        140         0.583            1377.08        -1.17      1375.91

         14520        160         0.667            1377.17        -1.53      1375.64

         14540        180         0.750            1377.25        -1.94      1375.31

         14560        200         0.833            1377.33        -2.39      1374.94

         14580        220         0.917            1377.42        -2.89      1374.53

         14600        240         1.000            1377.50        -3.44      1374.06

   Table 2-17 finished grade tabulation for curve-3




                                                                                         82

ECSC, IUDS, Urban Engineering Department (UE)
Highway Design Senior Project                                                         2010




    Fig. 2-16 elements of vertical curve-3

Vertical                                      LVC
              A     K    LVCmin   LVC adj              Sta. PVI   Sta.PVC   Sta.PVT    Elev.PVI   Elev.PVC
Curve                                        provide

 VC1         5.64   18   101.58     120       200      13+572     13+472    13+672       1395.4    1394.52

 VC2         5.18   25   129.50     150       362      14+000     13+819    14+181       1375      1383.63

 VC3         2.87   31   88.90      120       240      14+480     14+360    14+600       1377      1376.50

        Table 2-18 summery of vertical curves




2.2.3      Road cross sections

                                                                                             83

ECSC, IUDS, Urban Engineering Department (UE)
Highway Design Senior Project                                                     2010


A cross sectional elements in the high way design pertains to those features which deals
with its width. They will normally consist of the carriage way, shoulders, right of way,
roadway width, pavement width, the median, side slopes, drainage features and earth
work profiles.

Carriage way:

The part of the road constructed for use by moving traffic as traffic lanes. For our project
for DS4 and main access road ERA recommends 6.7m.

Lane width

Feature of a high way having great influence on safety and comfort in the width of the
carriage way, due to this we use a lane width of 3.35 m which is recommended for DS4
road are shown in table 2.6 ERA 2001 for all roads design standards.




Shoulders

Shoulder is:-

       Is the portion of the road between the outer edges and the edges of the carriage-
        way are called shoulders.
       Is the portion of the roadway contiguous to the carriageway for the
        accommodation of stopped vehicles; traditional and intermediate non-motorized
        traffic, animals, and pedestrians; emergency use; the recovery of errant vehicles;
        and lateral support of the pavement courses. It will provide wherever possible for
        emergency stopping and lateral support of the carriageway pavement.
Where the carriageway is paved, the shoulder should also be sealed with a single
bituminous surface treatment. This has several advantages. It would prevent edge
raveling and maintenance problems associated with parking on a gravel shoulder.
                                                                                         84

ECSC, IUDS, Urban Engineering Department (UE)
Highway Design Senior Project                                                     2010


Sealing of the shoulder is recommended under the following conditions:

       • Where the total resulting gradient exceeds 25 per cent, it is recommended for
          paved shoulder as the width is only 1m; this will reduce the frequent
          maintenance needs in mountainous and escarpment terrains.
       • Where the shoulder material is readily erodible or where the availability of
          material for shoulder maintenance is restricted.
       • Wherever there is significant pedestrian traffic in town and village areas.
Based on the above idea, ERA recommends a shoulder width based on design standard
and terrain classification. So, for this project since most of the route has a terrain of
rolling we took 1.5m for shoulder width as recommended by ERA manual. So, we took
1.5m shoulder throughout the route simplicity of the construction.

Road way:

It consists of the carriage way and shoulders and parking lanes. I.e., for this project road
way width will be 6.7+1.5+1.5=9.7m

Right-of-way

It is the width of the land secured and preserved to the public for road purposes. The
right-of-way should be adequate to accommodate all the elements that make-up the cross
section of the high way and may reasonably provide future development.

For this project having design standard of DS4, ERA recommends a right of way width to
be 50m for all terrain type.

Normal cross fall

Normal cross fall should be sufficient to provide adequate surface drainage whilst not
being so great as to make steering difficult, but it should facilitate drainage of the
pavement. It is depend up on the smooth of the surface and the intensity of the rain fall.

Therefore, we took 2.5% for normal cross fall for design standard of DS4 as
recommended by ERA.

                                                                                             85

ECSC, IUDS, Urban Engineering Department (UE)
Highway Design Senior Project                                                    2010


Shoulder cross fall

It should be designed steeper than the pavement to facilitate quick drainage. Therefore we
took 4% for shoulder cross slope as recommended by ERA.

Side slope and back slope

Side slopes and back slopes should be designed to insure the stability of the road way and
to provide a reasonable opportunity for recovery of an out-of-control vehicle.

The selection of a side slope and back slope is depending on safety consideration, height
of cut or fill and economic consideration. ERA 2001 table 6.1 indicates the side slope
recommended for use in the design according to the height of cut and fill and the
material.




                                        Side slope         Back
 material       Height of slope
                                  cut            fill      slope

Earth       or 0.0-1.0m           1:4      1:4           1:3
soil
               1.0-2.0m           1:3      1:3           1:2

               Over 2m            1:2      1:2           1:1.5

rock           Any height         See standard details

Table2-19 Side and back slope

Depending to the given standard ratio our project is designed and set out the appropriate
and economical road section.




                                                                                        86

ECSC, IUDS, Urban Engineering Department (UE)
Highway Design Senior Project                                                           2010




Fig 2-17 Elements of road cross section




Section-3:          Drainage Standards and Structure Design
3.1       General






      •   
      •   
      

      
                                                                                                87

ECSC, IUDS, Urban Engineering Department (UE)
Highway Design Senior Project                                                                    2010


       •   
           





       •   
       

       

       •   



















                                                                                                        88

ECSC, IUDS, Urban Engineering Department (UE)
Highway Design Senior Project                   2010




                                                       89

ECSC, IUDS, Urban Engineering Department (UE)
Highway Design Senior Project                   2010




                                                       90

ECSC, IUDS, Urban Engineering Department (UE)
Highway Design Senior Project                                                              2010


2.2        Minor drainage analysis and design

2.2.1          Hydrological/ Hydraulic Analysis of Ditch





      •    

      •    

      •    

      •    



      •    

           

           





      -    

      -    

      -    



           


                                                                                                  91

ECSC, IUDS, Urban Engineering Department (UE)
Highway Design Senior Project                                                           2010


        

                                           runoff 
                               
                                           ra inf all 

                
                        

                



a) 

 



    -   
        

    -   

        

                                                 overlandtraveldis tan ce
         velocityoflow




                                             2   1
 V = 1 R 3 S 2
                                         n







                                                                                                92

ECSC, IUDS, Urban Engineering Department (UE)
Highway Design Senior Project                                                              2010


       -   
           

       -   
           



       - 

       - 























                                                                                                   93

ECSC, IUDS, Urban Engineering Department (UE)
Highway Design Senior Project                                                            2010
















       •   




 Ө





 








                                                                                                94

ECSC, IUDS, Urban Engineering Department (UE)
Highway Design Senior Project                                                              2010




                 1) 
                     
                 2) 
                 3) 
                     











 



 

 












                                                                                                   95

ECSC, IUDS, Urban Engineering Department (UE)
Highway Design Senior Project                                                           2010













                       2   1
               1
            V = R3S 2
               n






    





    
    
    
    









                                                                                                96

ECSC, IUDS, Urban Engineering Department (UE)
Highway Design Senior Project                                                           2010


           

           



           •   
           •   
           •   







    2.2.2 Structural design of ditch









                     •   
                     •   
                     •   
                     •   







                                                                                               97

ECSC, IUDS, Urban Engineering Department (UE)
Highway Design Senior Project                                                              2010




             a) 
             b) 



























                                                                                                   98

ECSC, IUDS, Urban Engineering Department (UE)
Highway Design Senior Project                                                                                2010


Catchment                                   upper        lower                                             TC
                  A(ha)        Cc                                     L(m)          s(%)        Tc(s)                 I                Q(m3/s)
 Area                                        elev.        elev.                                             provide

     1              2.18           0.25      1410.5         1385      312.84          0.08          4.27       7.0          180          0.27

     2              3.22           0.25      1408.5         1385      306.53          0.08          4.31       7.0          180          0.40

     3              7.88           0.25      1406.5         1387      365.89          0.05          5.68       7.0          180          0.99

     4              14.00          0.25      1410.5         1387      500.26          0.05          7.58       7.6          149          1.45

     5              6.11           0.25       1410          1386      334.31          0.07          4.72       7.0          180          0.76

     6              3.70           0.25       1408          1386      400.79          0.05          6.02       7.0          180          0.46

     7              9.75           0.25       1400          1366      431.99          0.08          5.55       7.0          180          1.22

     8              7.57           0.25      1393.5         1366      367.12          0.07          4.99       7.0          180          0.95

     9              32.57          0.25       1391          1346      1082.8          0.04          14.40     14.4          135          3.06

     10             0.82           0.25       1352          1346      354.64          0.02          8.62       8.6          165          0.09




    Cath.        L(m)      W(m)       A ha           Cp        Bed           L(m)          Tc (s)      Tcprovide      I         Qasp(m3/s)
  Q,asphalt(m3/s)         Q,the      Q total          n          d
                                                             Slope%            B( bott         B(top)       Velocit   Free             D
                          land(m3/s)                                           om)                          y         board            provide
                                                                                                                      (m)

            1     95.35
                0.031       6.85 0.0653 0.30 0.95
                               0.27             0.016 0.025
                                                          0.26                 93.8 2.6633
                                                                                 0.30    0.61                  7
                                                                                                              2.53        180 0.3 0.031273
                                                                                                                                       0.56
            2    133.18
                0.044       6.85 0.40.0912 0.44 0.95
                                                   0.016 0.025
                                                             0.30             130.9 3.4425
                                                                                 0.35    0.70                  7
                                                                                                              2.79        180 0.3 0.04368
                                                                                                                                      0.60
            3    318.91
                0.105       6.85 0.2185 1.09 0.95
                               0.99             0.016 0.025
                                                          0.42 310.62 6.6964
                                                                    0.49   0.98                                7
                                                                                                              3.51        180 0.3 0.104595
                                                                                                                                       0.72
            4     526.1
                0.149       6.85 0.3604 1.60 0.95
                               1.45             0.016 0.025
                                                          0.49 495.06 9.5877
                                                                    0.57   1.13                              9.6
                                                                                                             3.85         155 0.3 0.148584
                                                                                                                                       0.79
            5    213.72     6.85   0.1464
                0.070          0.76       0.83 0.95
                                                  0.016 0.025
                                                            0.38 206.78 4.8952
                                                                      0.44   0.89                              7
                                                                                                              3.27        180
                                                                                                                                0.3 0.070095
                                                                                                                                         0.68
            6    85.79      6.85     0.0588          0.95         0.025         93         2.6458              7          180         0.028137
                0.028          0.46           0.49        0.016      0.31           0.36            0.73      2.86              0.3       0.61
            7   188.37      6.85      0.129          0.95         0.025      190.74        4.6001              7          180         0.061781
                0.062          1.22           1.28        0.016      0.45           0.52            1.04      3.65              0.3       0.75
            8   183.74      6.85     0.1259          0.95         0.025      183.94        4.4733              7          180         0.060263
                0.060          0.95           1.01        0.016      0.41           0.48            0.96      3.44              0.3       0.71
            9   1206.4      6.85     0.8264          0.95         0.025     1136.71        18.184           18.2          110         0.241794
                0.242          3.06           3.30        0.016      0.64           0.74            1.49      4.63              0.3       0.94
          10       31.8     6.85     0.0218          0.95         0.025       45.68        1.5304              7          180          0.01043
                0.010          0.09           0.10        0.016      0.17           0.20            0.40      1.92              0.3       0.47



                                                                                                                                  99

             ECSC, IUDS, Urban Engineering Department (UE)
Highway Design Senior Project                                                    2010












3.3.3 Hydraulics design of
culvert

A culvert is a type of structure that can transmit water as full or partly full. It is a
structure that is designed hydraulically to take advantage of submergence to increase
hydraulic capacity. It is also used to convey surface runoff through embankments. A
culvert can be a structure, as distinguished from bridges, that is usually covered with an
embankment and is composed of structural material around the entire perimeter.

A culvert can be a structure that is 6 meters or less in centerline span length, or between
the extreme ends of openings for multiple boxes.

Full flow is not common for culverts unless governed by a high downstream water
surface elevation. Full flow can be described by fundamental pipe flow. Partly full flow



                                                                                        100

ECSC, IUDS, Urban Engineering Department (UE)
Highway Design Senior Project                                                        2010


culverts follow the law of open channel flow and need to be classified as either sub
critical or supercritical flow to accomplish the design procedure.




The following are concepts that are important in the hydraulics of culvert design:

Critical depth- the depth at which the specific energy of a given flow rate is at a
minimum. For a given discharge and cross-section geometry, there is only one critical
depth.

Crown- the inside top of the culvert.

Outlet- has tail water equal to or lower than critical depth. For culverts with free outlets, a
lowering of the tail water has no effect on the discharge or the backwater profile
upstream of the tail water.

Improved Inlet- has an entrance geometry that decreases the flow constriction at the inlet
and thus increases the capacity of culverts. These inlets are referred to as either side- or
slope-tapered (walls or bottom tapered).

Invert- is the flow line of the culvert (inside bottom).

Normal flow- occurs in a channel reach when the discharge, velocity, and depth of flow
do not change throughout the reach. The water surface profile and channel bottom slope
will be parallel. This type of flow will exist in a culvert operating on a steep slope if the
culvert is sufficiently long enough.

Slope - Steep water surface slope occurs where the critical depth is greater than the
normal depth. Mild slope occurs where critical depth is less than normal depth.

Submerged- A submerged outlet occurs where the tail water elevation is higher than the
crown of the culvert. A submerged inlet occurs where the headwater is greater than 1.2D.

Design criteria


                                                                                            101

ECSC, IUDS, Urban Engineering Department (UE)
Highway Design Senior Project                                                     2010


Listed below by categories are the design criteria that should be considered for all culvert
designs.




Site criteria

Structure Type Selection

The type of drainage structure specified for a particular location is often determined
based on economic considerations. The following can serve as a guide in the selection of
the type of structure, proceeding from the most expensive to the least expensive. Culverts
are used where bridges are not hydraulically required, where debris is tolerable, and
where they are more economical than a bridge. Culverts can be concrete box culverts,
reinforced concrete pipe culverts, or corrugated metal culverts.

Length and Slope

The culvert length and slope should be chosen to approximate existing topography, and to
the degree practicable:

                the culvert invert shall normally be aligned with the channel bottom and
                 the skew angle of the stream, and

                the culvert entrance shall match the geometry of the roadway.

Design Features

Culvert Sizes and Shape—the culvert size and shape selected is to be based on
engineering and economic criteria related to site conditions. In evaluating the suitability
of alternate materials, the selection process shall be based on a comparison of the total
cost of alternate materials over the design life of the structure that is dependent upon the
following:

      durability (service life),


                                                                                         102

ECSC, IUDS, Urban Engineering Department (UE)
Highway Design Senior Project                                                       2010


      cost

      availability

      construction and maintenance ease

      structural strength,

      traffic delays

      abrasion and corrosion resistance, and

      water tightness requirements.

Inlet and Outlet Control

 Inlet Control

For inlet control, the control section is at the upstream end of the barrel (the inlet). The
flow passes through critical depth near the inlet and becomes shallow, high velocity
(supercritical) flow in the culvert barrel. Depending on the tail water, a hydraulic jump
may occur downstream of the inlet.

Typical shapes are rectangular, circular, elliptical, and arch.

Nomographs—The inlet control flow versus headwater curves, which are established
using the above procedure, are the basis for constructing the inlet control design
nomographs. Note that in the inlet control nomographs, HW is measured to the total
upstream energy grade line including the approach velocity head.

Outlet Control

Outlet control has depths and velocity that are subcritical. The control of the flow is at the
downstream end of the culvert (the outlet). The tailwater depth is assumed to be critical
depth near the culvert outlet or in the downstream channel, whichever is higher.



                                                                                           103

ECSC, IUDS, Urban Engineering Department (UE)
Highway Design Senior Project                                                        2010


In a given culvert, the type of flow is dependent on all of the barrel factors. All of the
inlet control factors also influence culverts in outlet control.

Tailwater Elevation—based on the downstream water surface elevation. Backwater
calculations from a downstream control, a normal depth approximation, or field
observations are used to define the tailwater elevation.

Hydraulics—Full flow in the culvert barrel is assumed for the analysis of outlet control
hydraulics. Outlet control flow conditions can be calculated based on an energy balance
from the tailwater pool to the headwater pool.

Design Equations

Equations and Definitions

Losses

HL = HE + Hf+ Hv + Hb + Hj + Hg

Where:

  HL = total energy loss, m

  HE = entrance loss, m

  Hf = friction losses, m

  Hv = exit loss (velocity head), m

  Hb = bend losses, m

  Hj = losses at junctions, m

  Hg = losses at grates, m

Velocity

    V = Q/A Where:


                                                                                             104

ECSC, IUDS, Urban Engineering Department (UE)
Highway Design Senior Project                                                 2010


   V = average barrel velocity, m/s

   Q = flow rate, m3/s

   A = cross sectional area of flow with the barrel full, m2

Velocity Head

   Hv = V2/2g where g = acceleration due to gravity, 9.8 m/s2

Entrance loss

   He = Ke (V2/2g) where Ke = entrance loss coefficient,

 Friction Loss

    Hf = [(19.63n2L)/R1.33] [V2/2g)

    Where:

    n = Manning’s roughness coefficient

    L = length of the culvert barrel, m

    R = hydraulic radius of the full culvert barrel = A/P, m

    P = wetted perimeter of the barrel, m

Exit Loss

    Ho = 1.0 [(V2/2g) - (Vd2/2g)]

    Where: Vd = channel velocity downstream of the culvert, m/s (usually   neglected)
& Ho = Hv = V2/2g

Barrel Losses

     H = He + Ho+Hf

     H = [1 + Ke + (19.63n2L/R1.33)] [V2/2g]

                                                                                     105

ECSC, IUDS, Urban Engineering Department (UE)
Highway Design Senior Project                                                       2010


Energy Grade Line—the energy grade line represents the total energy at any point along
the culvert barrel. Equating the total energy upstream and downstream of the culvert
barrel in the following relationship results:

HWo + ( Vu2/2g) = TW + (Vd2/2g) + HL

Where:

  HWo = headwater depth above the outlet invert, m

  Vu = approach velocity, m/s

  TW = tailwater depth above the outlet invert, m

  Vd = downstream velocity, m/s

   HL = sum of all losses

Hydraulic Grade Line—the hydraulic grade line is the depth to which water would rise in
vertical tubes connected to the sides of the culvert barrel. In full flow, the energy grade
line and the hydraulic grade line are parallel lines separated by the velocity head except at
the inlet and the outlet.

Nomographs (full flow)—The nomographs were developed assuming that the culvert
barrel is flowing full and:

        TW > D, Flow Type IV Outlet Control or

        dc > D, Flow Type VI Inlet Control

        Vu is small and its velocity head can be considered a part of the   available
         headwater (HW) used to convey the flow through the culvert.

        Vd is small and its velocity head can be neglected.

               HW = TW + H - SoL

                     Where:

                                                                                           106

ECSC, IUDS, Urban Engineering Department (UE)
Highway Design Senior Project                                                      2010


               HW = depth from the inlet invert to the energy grade line, m

               H = is the value read from the nomographs, m

               SoL = drop from inlet to outlet invert, m

TW should be used if higher than (dc + D)/2.

The following equation should be used:

         HW =ho+ H -SoL

Where:

         ho = max of(TW ,(dc + D)/2)) m

         Adequate results are obtained down to a HW = 0.75D. For lower        headwaters,
backwater calculations are required.

Outlet Velocity

Culvert outlet velocities should be calculated to determine the need for erosion protection
at the culvert exit. Culverts usually give outlet velocities that are higher than the natural
stream velocities. These outlet velocities may require flow readjustment or energy
dissipation to prevent downstream erosion. If outlet erosion protection is necessary, the
flow depths and Freud number may also be needed.

In Inlet Control

If water surface profile (drawdown) calculations are necessary, begin at dc at the entrance
and proceed downstream to the exit. Determine at the exit the depth and flow area. Use
normal depth and velocity. This approximation may be used since the water surface
profile converges towards normal depth if the culvert is of adequate length. The outlet
velocity may be slightly higher than the actual velocity at the outlet.




                                                                                          107

ECSC, IUDS, Urban Engineering Department (UE)
Highway Design Senior Project                                                            2010




 In Outlet Control

        The cross sectional area of the flow is defined by the geometry of the outlet and
         either critical depth, tailwater depth, or the height of the conduit:

        Critical depth is used when the tailwater level is less than critical depth.

        Tailwater depth is used when tailwater is greater than critical depth, but below the
         top of the barrel.

        The total barrel area is used when the tailwater level exceeds the top of the barrel

Roadway Overtopping

Roadway overtopping will begin when the headwater rises to the elevation of the
roadway. The overtopping will usually occur at the low point of a sag vertical curve on
the roadway. The flow will be similar to flow over a broad crested weir.

  Qr= Cd L HWr 1.5

Where:

       Qr = overtopping flow rate, m3/s.

       Cd = overtopping discharge coefficient (weir coefficient) = kf Cr.

       kt = submergence coefficient.

       Cr = discharge coefficient.

       L = length of the roadway crest, m.

       HWr = the upstream depth, measured above the roadway crest, m.



                                                                                                108

ECSC, IUDS, Urban Engineering Department (UE)
Highway Design Senior Project                                                    2010


Total Flow—calculated for a given upstream water surface elevation using equation. In
this equation, roadway overflow plus culvert flow must equal total design flow. A trial
and error process is necessary to determine the flow passing through the culvert and the
amount flowing across the roadway.

Performance Curves

A performance curve is a plot of flow rate versus headwater depth or elevation, velocity,
or outlet scour. The culvert performance curve is made up of the controlling portions of
the individual performance curves for each of the following control sections.

Design Procedure

Step 1 Assemble Site Data and Project File

Hydrographic Survey - Data include

      topographic, site, and location maps

      embankment cross section

      roadway profile

Step 2 Determine Hydrology. Minimum data required—drainage area maps and
discharge-frequency plots

Step 3 Designs Downstream Channel. Minimum data are cross section of channel and the
rating curve for channel

Step 4 Summarize Data on Design Form use data from Steps 1-3

Step 5 Select Design Alternative

Step 6 Select Design Discharge Qd

Step 7 Determine Inlet Control Headwater Depth (HWi)

      for a box shape use Q per foot of width

                                                                                        109

ECSC, IUDS, Urban Engineering Department (UE)
Highway Design Senior Project                                                     2010


Locate HW/D ratio using a straightedge

      extend a straight line from the culvert size through the flow rate

      mark the first HW/D scale. Extend a horizontal line to the desired scale, read
       HW/D, and note on Charts

Calculate headwater depth (HW)

      multiply HW/D by D to obtain HW to energy grade line

      neglecting the approach velocity HWi = HW

      including the approach velocity HWi = HW - approach velocity head

Step 8 Determine Outlet Control Headwater Depth at Inlet (HWoi)

Calculate the tail water depth (TW) using the design flow rate and normal      depth (single
section) or using a water surface profile

Calculate critical depth (dc)

      locate flow rate and read dc

      dc cannot exceed D

Calculate (dc + D)/2

Determine (ho)

      ho = the larger of TW or (dc + D/2)

Determine entrance loss coefficient (KE) from ERA design manual Table7-2

Determine losses through the culvert barrel (H):

- use (L) if Manning’s n matches the n value of the culvert and- use (L1) to       adjust
for a different culvert n value


                                                                                         110

ECSC, IUDS, Urban Engineering Department (UE)
Highway Design Senior Project                                                    2010


L1 = L(n1/n)2

Where:

L1 = adjusted culvert length, m

L = actual culvert length, m

n1 = desired Manning n value

n = Manning n value on chart

        mark point on turning line

 - use a straightedge and

 - connect size with the length

        read (H)

   - use a straightedge

   - connect Q and turning point and

   - Read (H) on Head Loss scale

Calculate outlet control headwater (HW)

        use equation above, if Vu and Vd are neglected

HWoi = H + ho - SoL

if HWoi is less than 1.2D and control is outlet control

       - the barrel may flow partly full

       - the approximate method of using the greater tailwater or (dc+ D)/2   may not be
applicable

       - backwater calculations should be used to check the result and

                                                                                        111

ECSC, IUDS, Urban Engineering Department (UE)
Highway Design Senior Project                                        2010


       - if the headwater depth falls below 0.75D, the approximate

       - method shall not be used

Step 9 Determine Controlling Headwater (HWc)

       compare HWi and HWoi, use the higher

       HWc = HWi, if HWi > HWoi

                - the culvert is in inlet control

       HWc = HWoi, if HWoi > HWi

                - the culvert is in outlet control.

Step 10 Compute Discharge over the Roadway (Qr)

         1. Calculate depth above the roadway (HWr)

                 HWr = HWc - HWov

                 HWov = height of road above inlet invert

         2. If HWr 0, Qr = 0

                 If HWr > 0, determine Qr

Step 11 Compute Total Discharge (Qt)

         Qt = Qd + Qr

Step 12 Calculate Outlet Velocity (Vo) and Depth (dn)

If inlet control is the controlling headwater

1. Calculate flow depth at culvert exit

   use water surface profile

2. Calculate flow area (A)
                                                                            112

ECSC, IUDS, Urban Engineering Department (UE)
Highway Design Senior Project                                                      2010


3. Calculate exit velocity (Vo) = Q/A

If outlet control is the controlling headwater

1. Calculate flow depth at culvert exit

      weuse (dc) if dc > TW

      weuse (TW) if dc < TW< D

      weuse (D) if D < TW

2. Calculate flow area (A)

3. Calculate exit velocity (Vo) = Q/A

Step 13 Review Results

Compare alternative design with constraints and assumptions, if any of the

following are exceeded, repeat Steps 5 through 12

Step 14 Plot Performance Curve

Repeat Steps 6 through 12 with a range of discharges

      Qmax if no overtopping is possible

      Qmax = largest flood that can be estimated

Step 15 Related Designs

    Culverts out let velocities

The high out let velocities observed at the culvert out let may results in excessive scour of
the channel in the vicinity of the outlet. The variety in the soil type of natural channels
and varying flowing characteristics at the culvert outlet enforces the use different
methods to control or protect the channel against potential damaging effects. Some of the
common used techniques to provide protection against scour are:

                                                                                          113

ECSC, IUDS, Urban Engineering Department (UE)
Highway Design Senior Project                                                       2010


        1. Minor structural element

        2. Velocity protection devices

        3. Velocity control devices

Minor structural element

Provision of this Minor structural element is done when the culverts exit velocity is 30%
greater than that of the velocity in its natural channel. It minimizes the structural
instabilities. Example Cutoff walls.

Velocity protection devices

For exit velocity greater than 1.3 of velocity in natural channel and less than 2.5 of the
velocity in natural channel.In this case armoring riprap is used. This may be;
Concrete riprap, Vegetation,Synthetic sodding.

Velocity control device

For exit velocity greater than 2.5 of that of natural channels velocity. (In this case energy
dissipater is required.

 Nomograph Design

Detail design for channel 4

The following steps show the procedures we followed step by Step to design a culvert for
channel-4 for in the project area especially near the station 15+440.

Step 1 Assemble Site Data and Project File

a. Site survey project file contains:

         roadway profile and

         embankment cross section

         no sediment or debris problems and
                                                                                             114

ECSC, IUDS, Urban Engineering Department (UE)
Highway Design Senior Project                                                  2010


  Cross-Section

  Design criteria we have used 25yrs return period for our design purpose because our road
  to be designed is DS4.

  Step 2 Determining Hydrology using

  Rational method equations yield

  Q25=16.5m3/s,     Q50=17.9m3/s

  Step 3 Design Downstream Channel

     Point          Station, m        Elevation, m

       1             15+400              1346.3

       2             15+410              1346.5

       3             15+420              1346.7

       4             15+430              1346.9

       5             15+440              1346.9

       6             15+450              1347.1

       7             15+460              1347.2

       8             15+470              1347.3

       9             15+480              1347.4

       10            15+490              1347.5

       11            15+500              1347.6

  Table 3-2 down stream station




Culvert Design-Example


                X-Section At
                 Tail Water


                                                                                        115

  ECSC, IUDS, Urban Engineering Department (UE)
Highway Design Senior Project                                      2010


 Chainage         Dist, m        Level

15+400               0           1350.50

15+410              10           1350.30

15+420              20           1349.60

15+430              30           1348.00

15+440              40           1346.30

15+450              50           1348.20

15+460              60           1350.20

15+470              70           1352.00

15+480              80           1353.00

15+490              90           1354.20

15+500              100          1355.00

  Table 3-3 X-Section At Tail Water




   Step 3 Design downstream channel




                                                          0.00


                                                                            116
                             v:h =1:2
  ECSC, IUDS, Urban Engineering Department (UE)           v:h =1:2


                                                  b=10m
Highway Design Senior Project                                                2010




  The stream channel can be approximated to trapezoidal channel
  B= 10m                           Slope 2:1     H:V
  Channel material- clean straight, no rims or deep pools n =0.03
  no sediment debris problem
  Slope (s)                0.006
 Table 3-4 Down stream chanal




 The rating curve for the channel calculated by normal depth yields:

        Width                                                                      Q=AV,
Depth,m (B), m     Area,m2      P, m     R,m      S       N      V=(1/n)R^2/3S^1/2 m3/s


 0.10         10    1.02        12.24   0.08     0.006   0.03          0.49          0.50

 0.30         10    3.18        12.24   0.26     0.006   0.03          1.05          3.34

 0.50         10    5.50        12.24   0.45     0.006   0.03          1.52          8.33

 0.70         10    7.92        12.24   0.65     0.006   0.03          1.93          15.29



                                                                                     117

 ECSC, IUDS, Urban Engineering Department (UE)
Highway Design Senior Project                                                   2010


0.73        10           8.30     12.24       0.68     0.006     0.03   1.99           16.55

0.76        10           8.70     12.24       0.71     0.006     0.03   2.06           17.91

0.90        10           10.62    12.24       0.87     0.006     0.03   2.35           24.95

1.00        10           12.00    12.24       0.98     0.006     0.03   2.55           30.58

1.05        10           12.71    12.24       1.04     0.006     0.03   2.65           33.64

1.10        10           13.42    12.24       1.10     0.006     0.03   2.75           36.85

1.20        10           14.88    12.24       1.22     0.006     0.03   2.94           43.77

1.50        10           19.50    12.24       1.59     0.006     0.03   3.52           68.69

1.700       10           22.78    12.24       1.86     0.006     0.03   3.91           89.01

Table 3-5 The rating curve for the channel calculated by normal depth yields:

Q (m3/s)          TW (m)         Elev,m asl      Velocity(m/s)

0.5               0.1              1346.3            0.49

3.34              0.3              1346.5            1.05

8.33              0.5              1346.9            1.52

15.29             0.7              1346.9            1.93

16.55             0.73             1347.1            1.99

24.95             0.9              1347.2            2.06

30.58             1.0              1347.3            2.35

36.85             1.05             1347.3            2.55



                                        Downstream




Q m3/s             Depth,m               Elev,masl

           0.50                  0.10       1346.3

           3.34                  0.30       1346.5

           8.33                  0.50       1346.7

                                                                                       118

ECSC, IUDS, Urban Engineering Department (UE)
Highway Design Senior Project                                  2010


        15.29                0.70    1346.9

        16.55                0.73    1346.9

        24.95                0.90    1347.1

        30.58                1.00    1347.2

        33.64                1.05    1347.3

        36.85                1.10    1347.3

        43.77                1.20    1347.4

        68.69                1.50    1347.7

        89.01        1.700           1347.9

Table 3-6 down stream rating curve

Step 5 Select Design Alternative

       Shape - box Size - 3000 mm by 2000 mm

      Material – concrete Entrance- Wingwalls, for 30o flare

Step 6 Select Design Discharge

       Qd=16.5m3/5

Step 7 Determine Inlet Control Headwater Depth (HWi)

       Use inlet control nomograph - Chart 7-6

a. D = 2 m

b. Q/B = 16.5/3 = 5.5

c. HW/D = 1.2, for 30o flare

d. HWi = (HW/D)*D

         = (1.2)(2m)

         = 2.4m (Neglect the approach velocity)

                                                                      119

ECSC, IUDS, Urban Engineering Department (UE)
Highway Design Senior Project                                                  2010


Step 8 Determine Outlet Control Headwater Depth at Inlet (HWoi)

a. TW =0.73 m for Q50 = 16.5 m3/s

b. dc = 1.43 m from Chart 7-7 (ERA design manual)

Or, by using the formula we obtain the critical depth as follows:

            dc=0.467*(Q÷B)2/3

               =0.467*(16.5÷3) 2/3

               = 1.46m which is similar to the value obtained from the nomogragh in
previous case. So let us take our dc=1.43, so that

(dc + D)/2 = (1.43 + 2)/2 = 1.71 m

And, ho = max(TW , (dc + D/2)),but our Tw=0.73m from step 8 above

       ho = (dc + D)/2 = 1.71 m =>maximum value of the two.

e. Ke = 0.2 from Table 7-2 ERA mannual

f .Determine (H) - use Chart 7-8 (ERA design manual)




       Ke scale = 0.2

       culvert length (L) = 80 m

       n = 0.012 same as on chart

       area = 6.0m2

       H = 0.67m (from nomogragh 7-8)

g. HWoi = H + ho - SoL = .67 + 1.71 - (0.006)80 = 1.9 m

HWoi is less than 1.2D, but control is inlet control, outlet control

                                                                                      120

ECSC, IUDS, Urban Engineering Department (UE)
Highway Design Senior Project                                                     2010


 computations are for comparison only

Step 9 Determine Controlling Headwater (HWc)

         HWc = HWi = 2.4 m > HWoi = 1.9

         The culvert is in inlet control

Step 10 Compute Discharge over the Roadway (Qr)

a. Calculate depth above the roadway:

   HWr = HWc – Hwov

            = 2.4 – (1352.9-1348)

            = -2.5m (This result shows that there is no any water flowing over the road).In
other word the level of water is 2.5m below the roadway.

Step 11 Compute Total Discharge (Qt)

In our calculation above we have determined the discharge over the road is (Qt=0)
because it has negative value. So the total discharge (Qt) is calculated

As follows:

       Qt = Qd + Qr = 16.5 m3/s + 0 = 16.5 m3/s

Step 12 Calculate Outlet Velocity (Vo) and Depth (dn)

Inlet Control

a. Calculate normal depth (dn):

Where we have used trial error method to calculate the normal depth of the flow in the
culvert

       Q = (1/n)A* R2/3 S1/2 ,but A=B*dn,

where A=cross sectional area
                                                                                         121

ECSC, IUDS, Urban Engineering Department (UE)
Highway Design Senior Project                                                     2010


     B=width of the culvert

R=A/Pw, where A=cross sectional area

R=hydraulic radius of the culvert

Pw=wetted perimeter of the clvert

            Pw=B+2dn ,B=3

16.5 m3/s= (1/0.012)(3*dn)[(3*dn)/(3+2dn)]2/3(0.05)0.5

            = (3*dn)[3*dn/(3+2dn)]2/3 *(0.05)0.5

      =>dn=1.08m as it is shown in the following table in order to convey the total
discharge (Qt=16.5). So our trials and their corresponding results are given in the table
below.




      dn             1/n            A       R^2/3      S^1/2       V        Q

      0.2           83.33        0.60        0.3         0.1      2.2      1.3

     0.25           83.33        0.75        0.4         0.1      2.5      1.9

      0.3           83.33        0.90        0.4         0.1      2.8      2.5

      0.4           83.33        1.20        0.5         0.1      3.2      3.9

     0.50           83.33        1.50        0.5         0.1      3.6      5.4

     0.90           83.33        2.70        0.7         0.1      4.8      12.8

     1.00           83.33        3.00        0.7         0.1      5.0      14.9

     1.05           83.33        3.15        0.7         0.1      5.1      15.9

     1.08           83.33        3.24        0.7         0.1      5.1      16.6

     1.10           83.33        3.30        0.7         0.1      5.1      17.0

     1.15           83.33        3.45        0.8         0.1      5.2      18.1

                                                                                         122

ECSC, IUDS, Urban Engineering Department (UE)
Highway Design Senior Project                                                        2010


       1.20             83.33      3.60        0.8        0.1     5.3         19.2

       1.50             83.33      4.50        0.8        0.1     5.8         25.9

       2.00             83.33      6.00        0.9        0.1     6.3         37.7

       2.20             83.33      6.60        0.9        0.1     6.5         42.6

       2.30             83.33      6.90        0.9        0.1     6.5         45.1

       2.50             83.33      7.50        1.0        0.1     6.7         50.1

       2.60             83.33      7.80        1.0        0.1     6.7         52.6

       3.00             83.33      9.00        1.0        0.1     7.0         62.7

Table 3-7 Discharge trial

    From the table above we determined our dn =1.08m.

 A = (3)*1.08 = 3.24 m2

Vo = Q/A = 16.5/3.24

    = 5.093 m/s >2.5*1.99m/s (down stream velocity).So energy dissipater is required to
the damage of adjacent structure and to protect scouring outlet of culvert.

Step 13 Review Results

This step is the step of comparison of alternative design with constraints and
assumptions, if any of the following are exceeded we repeat, Steps 5 through 12 in order
to have a convenient and safe design.

        barrel has:

                 ((1352.9-1346.2) m-2.4m) = 2.5m of cover

        L = 80m is OK, since inlet control

        headwalls and wing walls fit site

        allowable headwater (4.9 m) > 2.5 m is ok and

        overtopping flood frequency > 25-year
                                                                                            123

ECSC, IUDS, Urban Engineering Department (UE)
Highway Design Senior Project                                                      2010


                         So the design is ok!

3.3.4 Structural Design of Culvert

The following principles are specific to structural design of culverts:


   All culverts shall be hydraulically designed.

   Overtopping flood selected is generally consistent with the class of highway and the
    risk at the site

   Culvert location in both plan and profile shall be investigated to avoid sediment
    build-up in culvert barrels.

   Material selection shall include consideration of materials availability, and the service
    life including abrasion and corrosion potentials.
Design Criteria

Listed below by categories are the design criteria that should be considered for all culvert
designs. The type of drainage structure specified for a particular location is often
determined based on economic considerations; Culverts can be concrete box culverts,
reinforced concrete pipe culverts, or corrugated metal culverts; Concrete box culverts are
constructed with a square or rectangular opening, and with wing walls at both ends.

Design Computation

In this project we propose four culverts and one bridge based on the topography and the
flow direction.

Culvert 1 is at station =12+592.31m

Culvert 2 is at station =13+043.45m

Culvert 3 is at station =13+803.30m

Culvert 4 is at station =15+471.12m

Bridge 1 is at station =14+089m
                                                                                          124

ECSC, IUDS, Urban Engineering Department (UE)
Highway Design Senior Project                                                       2010


For design purpose we took culvert number 4 at station15+471.12m as a sample for the
hydraulics and structural design of the culvert. We choose box culvert for our design
since it is easy to construction, to prevent scouring and settlement due to the soil type of
that area.




Fig 3-3 station of culvert 4

Structural design of box culvert

Design data

Geometric data

Internal dimension=h=2

                  W=3m… (From the hydraulics)

Height of fill above the culvert=4.6m (from the profile)

                                                                                           125

ECSC, IUDS, Urban Engineering Department (UE)
Highway Design Senior Project                                  2010


Thickness of the slab=300mm (thickness is normally taken

                       as 1/10th to 1/15th of   the span)

External dimensions =h=2.3m and w=3.3m

Road width=6.7m

Span=3.3m

Concrete: take C25

Reinforcement

   Take steel: S460

Geotechnical data

Unit weight of the soil =18kN/m3 (assumed)

Angle of repose of the soil, Ø=300 (assumed)

Design type

      A live load of design truck.
      Dead load, live load with water pressure from inside.
Design procedure

1/ Load

Dead load= (1*4.6) m*18kN/m3

                      =82.8KN/m2

2/ Tire contact area calculation:-

Contact area =L*w

Where w=500mm


                                                                      126

ECSC, IUDS, Urban Engineering Department (UE)
Highway Design Senior Project                                    2010


L=2.28*10-3**(1+IM/100)*p

   Where =load factor for the limit state under consideration

           =1.75(ERA, table 3-2)

          IM= dynamic load allowance percent

            =33% for other limit state

          P=72.5KN for design truck

There fore, L= 2.28*10-3*1.75*(1+.33/100)*72.5 =290mm.




Fig 3-4 wheel load distribution

Distribution of wheel load:-

For height of fill > 0.6m

L’=L+1.15hf

W’=w+1.15hf (ERA section 3.8.6)

There fore, L’=0.29+1.15*4.6 =5.58m

W’=0.50+1.15*4.6 = 5.79m



                                                                        127

ECSC, IUDS, Urban Engineering Department (UE)
Highway Design Senior Project                                                       2010


But L’ is greater than the span of the culvert. There fore the intensity of the live loading
needs to be reduced proportionally.

Reduced load= (72.5*3.6)/5.58 =46.77KN

Load with impact factor=1.25*46.77 =58.47KN

Intensity of live load on the slab:

Intensity=load/area

       =load/ (culvert span*w’)

       =58.47/ (3.6*5.79)=2.805KN/m2 =2805N/m2

3/ Load and reaction calculation

Dead load of the top slab:-

 =0.3*1*25000=7500N/m2=75KN/m2

Total load on the culvert=Dead load +Live load

                       =82.8KN/m2+2.805kN/m2=85.605KN/m2=85605N/2

There fore,

Total design load on the top slab=85605N/2+7,500N/m2

                                   =93,105N/m2

Weight of each wall (side wall) =2.3*0.3*25000=17,250N/m

Then, up ward reaction at the base

         = [(93,105*3.3) + (2*17250)]/3.3*1

         =103,559N/m2




                                                                                           128

ECSC, IUDS, Urban Engineering Department (UE)
Highway Design Senior Project                                2010




4/ Lateral pressure

Coefficient of active pressure (Ka) =

                             1 − sin 30 1
                      Ka =             =
                             1 + sin 30 3

Lateral pressure due to dead and live load

=Total vertical load*Ka =85605*1/3 =28535N/m2

Lateral pressure due to the soil at depth of 2.6m:

              =Ka**h =1/3*18000*2.6=15600N.m2

There fore,

Lateral intensity at top=28535N/m2

Lateral intensity at the bottom=28535+15600N.m2 =44135N/m2




Fig 3-5 Pressure diagram for live and dead load




                                                                    129

ECSC, IUDS, Urban Engineering Department (UE)
Highway Design Senior Project                                                   2010




Fig3-5 Pressure diagram due to water




Fig 3-6 Final pressure diagram of the forces or loadings on the components of the culvert.

6/ Moments and shear force calculation

On account of symmetry, it is enough to consider half the frame AEFD for moment
distribution. As all members are of uniform thickness and have the same dimensions,
their moments of inertia are equal.
                                                                                       130

ECSC, IUDS, Urban Engineering Department (UE)
Highway Design Senior Project                                                     2010


Relative stiffness of members is:

KAD=1

KAE=KDF=1/2

Distribution factors are:

                                               1
                 1    2
D AD = DDA   =      =                              1
                  1 3       ;   D AB = DDC   = 2 =
               1+                                1 3
                  2                           1+
                                                 2

Fixed end moments are:

           wl 2 93105 * 2.6 2
MFAB = −       =              = −52449 N .m = −52.499 KN .m
           12       12

             wl 2 103559 * 3.6 2
MFDC = +         =               = +111843.7 N .m = +111.843KN .m
             12       12



MFAD = +
         pl 2 wl 28535 * 2.6 2
             + =               +
                                         ( 12 * 2.6 *15574) * 2.6 = + 19584.06N .m = + 19.584KN .m
         12 15       12                            15


MFDA = −
         pl 2 wl
             − =−
                  28535 * 2.6 2
                                −
                                             ( 12 * 2.6 *15574) * 2.6 = − 21338.73N .m = − 21.338KN .m
         12 10        12                                10




          Joint member                            D                         A

                                               DC DA                      AD AB
                                                                                         131

ECSC, IUDS, Urban Engineering Department (UE)
Highway Design Senior Project                                         2010




DF                                          1/3 2/3             2/3 1/3

Fixed E.Mome.(KN.m)                       111.8 -21.34       19.58 -52.49

balance                                  -30.15 -60.31

                                                             -30.15

balance                                                      42.04 21.02

carryover                                           21.01

balance                                         -7. -14.01

carryover                                                    -7.005

balance                                                       4.67 2.33

carryover                                           2.335

balance                                  -0.778 -1.557

carryover                                                    -0.778

balance                                                      0.519 0.259

carryover                                           0.259

balance                                   -0.86 -0.173

carryover                                                    -0.086

balance                                                      0.058 0.029

carryover                                           0.029

balance                                   -0.01 -0.019

carryover                                                     -0.01

balance                                                      0.007 0.003

carryover                                           0.003

balance                                  -0.001 -0.002

Final end moments(KN.m)                     73. -73.         28.85 -28.85



Then the final end moments are:-

                                                                             132

ECSC, IUDS, Urban Engineering Department (UE)
Highway Design Senior Project                                                           2010


       MDC=73.001KN.m;

       MDA=-73.77KN.m

       MAD=28.83KN.m

       MAB=-28.85KN.m

7/ Reactions

For horizontal slab AB, carrying distributed load of 93105N/m2,

Vertical reaction RA=RB is:-,

                                 1
                    R A = RB =     * 93105 * 3.6 = 167589 N
                                 2

For bottom slab DC, carrying distributed load of 103559N/m2,

Vertical reaction RD =RC is:-

                            1
               RD = RC =      * 103559 * 3.6 = 186406.21N
                            2

For vertical member AD, the horizontal reaction HA at A is found by taking moments
about D. Thus,




( − H A * 2.6) + 28850 − 73000 +  28535 * 2.6 * 2.6  +  ( 44109 − 28835) * 2.6 * 2.6  = 0
                                                                                     
                                                 2                2.6 * 2           
H A = 29005.6 N

                                                                                                133

ECSC, IUDS, Urban Engineering Department (UE)
Highway Design Senior Project                                         2010


      28535 + 44109 
HD =                 * 2 .6 − H A
             2      
= 94437.2 − 29055.6
= 65431.6 N




Fig3-7Shear force and axial forces

Bending moment calculation

                                       93105 * 3.6 2
Free bending moment at mid point E =                 =150830.10 N.m
                                           8

Then, net bending moment at E,(top slab)=150830.10-28850

                            =121980.10N.m

Again,

Free bending moment at mid point F (bottom slab) =




                                                                             134

ECSC, IUDS, Urban Engineering Department (UE)
Highway Design Senior Project                                              2010


                  103559 * 3.6 2
              =                  =167765.58 N.m
                       8

Then, net bending moment at F=167765.58-73000

                             =94765.58N.m

For vertical member AD, which is simply supported bending moment at mid span, is=

         28535 * 2.6 2 ( 44109 − 28535) * 2.6 2
       =              +
              8                  16
       = 30692.12 N.m

Then, net bending moment=

          73000 + 28850 
       =                 − 30692.12
                2       
       = 20232.88 N.m




Components of the culvert      Bending moment at the     Bending moment at ends(N.m)
                               center(N.m)

Top Slab                       121980.10                 28850.00

Bottom slab                    94765.58                  73000.00

Side walls                     20232.88                  73000.00

Table3-8 Summary of bending moments of the culvert components




                                                                                    135

ECSC, IUDS, Urban Engineering Department (UE)
Highway Design Senior Project                             2010




Fig3-8 Bending moment for the components of the culvert

Reinforcement

Overall depth=300mm

Cover=50mm

Effective depth=d=300-50=250mm

Fcd= (0.68*fck)/c= (0.68*25)/1.5=11.33MPa

fyd=fyk/1.15=460/1.15=400MPa

Width (b) =1000mm

Top slab

    At span/center
Depth checking

                            M
           d check =
                       0.2952 * b * f cd




                                                                 136

ECSC, IUDS, Urban Engineering Department (UE)
Highway Design Senior Project                                            2010


                     121980.10 *1000
      d check =                         =190mm
                    0.2952 *1000 *11.33

There fore, the depth is adequate.

Area of steel (Ast,cal)=

                          2M            f cd
       Ast ,cal = 1 −                  *      *b * d
                      b * d 2 * f cd     f yd


                               2 * 121980 * 1000  11.33
               Ast ,cal = 1 −                      *    * 1000 * 250
                              1000 * 250 2 * 11.33  400
               = 4641.65mm 2

Spacing(S) =

                as * b
        S=
                 As

        =
          (Π * 20 4 ) *1000 = 67.68mm
                     2



                   4641.65
Provide 20mm diameter bars with minimum c/c spacing 250mm.

     Support reinforcement



                2 * 28850 *1000  11.33
Ast ,cal = 1 −                     *    *1000 * 250
               1000 * 250 2 *11.33  400
= 6504.25mm 2

                   as * b
Spacing ( S ) =
                    As

=
  (Π * 20 4 ) *1000 = 48.30mm
           2



        6504.25

Provide 20mm diameter bars with minimum c/c spacing 250mm.

                                                                                137

ECSC, IUDS, Urban Engineering Department (UE)
Highway Design Senior Project                                              2010


Bottom slab

     At span/center
Depth checking=

                             M
           d check =
                        0.2952 * b * f cd


                     94765.58 *1000
      d check =                        =168.33mm
                   0.2952 *1000 *11.33

There fore, the depth required is adequate.

Area of steel (Ast,cal)=

                          2M        f cd
       Ast ,cal = 1 −      2       *     *b*d
                      b * d * f cd  f yd


                                 2 * 94765.58 *1000  11.33
                  Ast ,cal = 1 −                     *     *1000 * 250
                                 1000 * 250 2 *11.33  400
                  = 5185.94mm 2

                           as * b
        Spacing ( S ) =
                            As

        =
          (Π * 20 4 ) *1000 = 60.58mm
                    2



                  5185.94

Provide 20mm diameter bars with minimum c/c spacing 250mm.

     Support reinforcement
                2 * 73000 * 1000  11.33
Ast ,cal = 1 −                      *    * 1000 * 250
               1000 * 250 2 * 11.33  400
= 3865.88mm 2




                                                                                  138

ECSC, IUDS, Urban Engineering Department (UE)
Highway Design Senior Project                                2010


                  as * b
Spacing ( S ) =
                   As

=
  (Π * 20 4 ) *1000 = 81.26mm
           2



        3865.88

Provide 20mm diameter bars with minimum c/c spacing 250mm.

Side walls

     At span/center
Depth checking=

                             M
           d check =
                        0.2952 * b * f cd


                    20232.88 *1000
      d check =                       = 77.78mm
                  0.2952 *1000 *11.33

There fore, the depth required is adequate.

Area of steel (Ast,cal)=

                          2M            f cd
       Ast ,cal = 1 −                  *      *b*d
                      b * d 2 * f cd     f yd


               2 * 20232.88 *1000  11.33
Ast ,cal = 1 −                     *     *1000 * 250
               1000 * 250 2 *11.33  400
= 5388.48mm 2

Spacing(S) =

               as * b
        S=
                As

        =
          (Π * 20 4 ) *1000 = 60.58mm
                    2



                  5388.48

                                                                    139

ECSC, IUDS, Urban Engineering Department (UE)
Highway Design Senior Project                                                     2010


Provide 20mm diameter bars with minimum c/c spacing 250mm.

     Support reinforcement
                2 * 73000 * 1000  11.33
Ast ,cal = 1 −                      *    * 1000 * 250
               1000 * 250 2 * 11.33  400
= 3865.88mm 2

                  as * b
Spacing ( S ) =
                   As

=
  (Π * 20 4 ) *1000 = 81.26mm
          2



        3865.88

Provide 20mm diameter bars with minimum c/c spacing 250mm.

Section-4. Earth Work and Mass Haul Diagram

4.1 Earth Work

Earth work is conversion of natural ground condition to required sections and grades.
Earth work in high way design includes determination of cuts and fills, location of
borrow, waste sites, the free haul and over haul distance determination.

The careful attentions to limiting earthwork quantities through the preparation of a mass
haul diagram are essential elements in providing the best-combined horizontal, vertical,
and cross-sectional design. This is especially true when the design includes consideration
of the least cost in relation to earth works. Key terms associated with this process, as
listed in definitions, include:

Borrow - material not obtained from roadway excavation but secured by widening cuts,

          flattening back slopes, excavating from sources adjacent to the road within the

          Right-of-way, or from selected borrow pits as may be noted on the plans.

Waste    - material excavated from roadway cuts but not required for making the


                                                                                         140

ECSC, IUDS, Urban Engineering Department (UE)
Highway Design Senior Project                                                       2010


          embankment.

Free Haul - the maximum distance through which excavated material may be transported

            without the added cost above the unit bid price.

Overhaul - excavated material transported to a distance beyond the free haul distance.

Economic Limit of Haul - distance through which it is more economical to haul
excavated material than to waste and borrow.

Clearing and garbing (m2) - the removal of top soil, trees, bushes and e.t.c

Excavation (m3) - the process of loosing and removal of soil and rocks. It can be done
for three reasons.

                In order to maintain the grades for roads and drainage
                For structure foundation
                For borrow excavation
Embankment /compaction (m3k.hr) - densification of fill section of the road.

The steps involved in the computation of earthwork quantities and the development of the

optimal mass haul diagram are:

               •     End area calculations
               •     Earthwork calculations
               •     Preparation of mass haul diagram.
               •     Balancing earthworks using the mass haul diagram
Purpose of the preparation of earth work quantities and mass haul diagram

                •     To estimate cost of the (to limit the cost of construction)
                •     For the proper distribution of excavated material
                •     To determine amount and location of waste and borrow.
                •     Amount of over haul in kilometer cubic meter can be determined.

                                                                                           141

ECSC, IUDS, Urban Engineering Department (UE)
Highway Design Senior Project                                                     2010


                •    To determine direction of haul.


Computation of earthwork

There are several ways of calculating earthwork but the most common is the average end

area method. This method consists of averaging the cut and fill quantities of adjacent

stations and multiplying by the distance between stations to produce cubic meters of

excavation and embankment between the two stations.

End Area Calculations

In this project we took 25 cross section that covers total distance of 500 m (from station
12 + 500 to 13+000 m)

Calculation procedure followed

         Area at different cross section along the road with an interval of 20m station
            is taken.
         Read the elevations of existing profile along the right of way (50 m) from the
            contour to plot the points.
         Design proposed carriage way by providing a cross fall of 2.5% from the
            center to both direction. Then the amount of cut and fill are determined at
            each 20m stations (to calculate the end area areas we use AutoCAD software
            program)
    Preparation of mass haul diagram.
Volume calculation

The volume of earth work from the successive cross sections can be computed by
different formulas like average end area method, (trapezoidal method) or primordial
formula.

Average end Area Method (trapezoidal method)

                                                                                          142

ECSC, IUDS, Urban Engineering Department (UE)
Highway Design Senior Project                                                    2010


                       A1 + A2 
                  V=           * L
                          2    

Where :

                V= volume in m3
                A1and A2 is area of successive cross-section in m2
                L= distance between successive cross section in m in this case 20 m.
The average end area method is simple and is generally preferred, so we choose this
method for this particular project.

The volume computed by this formula is likely to be higher than the true value in the case
of the section changing rapidly.

Estimation of earth work quantities

 Based on:-

             o Estimate of quantities
             o Rate of abstract of work
Shrinkage and swelling should be included in estimating the quantities. According to
ERA 2001 there is a recommended shrinkage and swelling factor there fore the following
tables show the recommended values of Shrinkage factors




Type of soil                                    Shrinkage factor

Light soil (ordinary ground)                    10-25%

Light soil(swamp ground)                        20-40%

Heavy soil                                      up to10%

Table 4-1 Soil shrinkage factor

4.2 Mass haul diagram
                                                                                        143

ECSC, IUDS, Urban Engineering Department (UE)
Highway Design Senior Project                                                    2010


It is a graphical representation of the amount of earth work and embankment involved in
a project and the manner in which the earth is to be moved.

The mass haul diagram shows excavation (adjusted) and embankment quantities from
some point of beginning on the profile, considering cut volumes positive and fill volumes

negative. At the beginning of the curve the ordinate is zero, and ordinates are calculated

continuously from the initial station to the end of the project.

Mass haul diagram is a continuous curve showing the accumulated algebraic sum of the
cut (+ve) and fill (-ve) volume from some initial station for any succeeding section. The
horizontal axis represents distance and is usually expressed in meters or stations. The
vertical axis represents the cumulative quantity of earth work in cubic meter (m3).

The mass haul diagram allows determining direction of haul and the quantity of earth
taken from or hauled to any location. It shows balance point the station between which is
the volume of excavation. In this project horizontal axis represents stations from 12+500
to 13+000 and the vertical axis represents the cumulative volume.

Use of mass haul diagram

The mass haul diagram can be used to determine:

                    Proper distribution of excavated material
                    Amount and location of waste
                    Amount and location of borrow
                    Amount of overhaul in kilometer-cubic meters
                    Direction of haul.
                    In proportion and enabling suitable plant, equipment or machinery.
For our project the mass haul diagram is drawn according to the following data. We use
swelling factor of 0 % and factor shrinkage 85 % because we assume the soil is ordinary
common soil so we consider only swelling.

Calculation of mass ordinates is performed and the results are shown below on the table.
                                                                                        144

ECSC, IUDS, Urban Engineering Department (UE)
Highway Design Senior Project                   2010




                                                       145

ECSC, IUDS, Urban Engineering Department (UE)
Highway Design Senior Project                                                                 2010


              End Area(m2)      Dist
                                                                                                    Mass
 Station    cut         Fill   ance(m)   Adj.factor   Adj.cut   Tot.Adj.cut vol.   fill vol.     ordinet(m3)

12+500     15.64       48.35               0.85       13.29                                         0.00

12+520     11.95       81.06     20        0.85       10.16         234.49         1294.05        -1059.56

12+540      2.98       89.72     20        0.85        2.53         126.91         1707.81        -2640.46

12+560      0.00      125.60     20        0.85        0.00          25.34         2153.18        -4768.30

12+580      0.00      115.74     20        0.85        0.00          0.00          2413.38        -7181.68

12+600      0.24       79.78     20        0.85        0.21          2.08          1955.22        -9134.82

12+620      9.06       36.18     20        0.85        7.70          79.13         1159.64       -10215.34

12+640      2.35       43.15     20        0.85        2.00          97.05         793.37        -10911.67

12+660     60.34       0.86      20        0.85       51.29         532.86         440.18        -10818.99

12+680     95.33       0.00      20        0.85       81.03        1323.19          8.64          -9504.44

12+700     115.38      0.87      20        0.85       98.07        1791.02          8.74          -7722.15

12+720     123.29      6.48      20        0.85       104.80       2028.70          73.58         -5767.03

12+740     111.28      19.05     20        0.85       94.59        1993.91         255.35         -4028.47

12+760     108.40      29.66     20        0.85       92.14        1867.26         487.10         -2648.32

12+780     107.95      45.24     20        0.85       91.76        1838.95         748.97         -1558.34

12+800     151.88      50.51     20        0.85       129.10       2208.56         957.43         -307.21

12+820     99.01       76.88     20        0.85       84.16        2132.54         1273.84         551.49

12+840     104.34      78.86     20        0.85       88.69        1728.42         1557.42         722.49

12+860     95.42       82.83     20        0.85       81.11        1697.94         1616.97         803.47

12+880     82.88      101.51     20        0.85       70.45        1515.58         1843.46         475.59

12+900     72.19      101.21     20        0.85       61.36        1318.07         2027.19        -233.53

12+920     77.90      111.42     20        0.85       66.22        1275.74         2126.26        -1084.05

12+940     72.59      125.25     20        0.85       61.70        1279.14         2366.72        -2171.63

12+960     60.88      128.38     20        0.85       51.75        1134.47         2536.32        -3573.48

12+980     51.63      152.34     20        0.85       43.89         956.37         2807.19        -5424.30

13+000     49.85      165.54     20        0.85       42.37         862.60         3178.82        -7740.53




 Table 4-2 mass ordinate
                                                                                                      146

 ECSC, IUDS, Urban Engineering Department (UE)
Highway Design Senior Project                                                   2010




Fig.4-1 Mass haul diagram

The direction of haul:

    From station 12+640 to 12+740 to the left.
    From station 12+740 to 12+860 to the right.
Economical Over Haul Distance

When costing the Earth moving, there are basic costs which are usually included in the
contracts for the project.

Cost of free haul :- any earth moved over distances not greater than the free haul
distance is cost only on the excavation of its volume.

Cost of over haul: - any earth moved over distances greater than the free haul distance is
charged both for its volume and for the distance in excess of the free haul distance over
which it is moved. This charge can be specified either for units of haul or for units of
volume.

Cost of waste: - any surplus or unsuitable material which must be removed from the site
and deposited in a tip is usually charged on units of volume. This charge can vary from
one section of the site to another depending on the nearness of tips.



                                                                                       147

ECSC, IUDS, Urban Engineering Department (UE)
Highway Design Senior Project                                                    2010


Cost of borrow: - any extra material which must be brought on to the site to make up the
deficiency is also usually charged on units of volume.

This charge can also vary from one section of the site to another depending on the
nearness of borrow pits.

ELH = FH distance + (Unit Price of Borrow/ Unit Price of Overhaul)
         Where: ELH = Economic limit of haul

                  FH = Free haul distance

         Assume that

              Ec = cost of excavation per unit volume(m3)
                     Hard excavation to embankment = 273 birr/m3
                       Excavation an unsuitable = 62 birr/m3
              Bc = cost of borrow per cubic meter per station = 15 birr/m3
              OHc = cost of over hauling per unit volume-station = 12 birr /m3
              FH = Free haul distance = 120m (6 station)
                   ELH = FH + (Bc / OHc)

                           = 120/20 + 15/12 = 7.25 station or 145 m

 Therefore the economic haul distance is 145 m.

Total free haul volume = VD + FW

                        = 3500 +1500 =5000 m3 from mass haul diagram

Total borrow =AB + LH = 4000 +7800 = 11800m3

Cost of earth work = cost of borrow +cost of excavation + cost of over haul

Cost of borrow = Total volume of borrow *cost of borrow per meter cubic

                =11800m3*15 birr/100m3 = 1770 birr

Cost of excavation = volume of excavation * cost of excavation per meter cubic
                                                                                        148

ECSC, IUDS, Urban Engineering Department (UE)
Highway Design Senior Project                                                    2010


Volume of excavation = DJ + FI = 7000 +4900 = 11900m3

Cost of excavation = 11900*273 birr/100m3 =32,487 birr

Cost of over haul = over haul volume *cost of over haul per station meter.

For loop 1

 Over haul volume 1 = area CJM + area UEO

                      = 43,750 + 70,000 = 113750 m3

 For loop 2

 Over haul volume 2 = area ESP+ area QRG

                      = 96,250 + 87,500 = 183,750 m3

 Total Over haul volume = 113750 + 183,750 = 297,500 m3

 Cost of over haul = 297,500 m3 *12 birr/100m3

                    = 35,700 birr.

Total cost of earth work = cost of borrow +cost of excavation + cost of over haul

                           = 1770 birr + 32,487 birr + 35,700 birr.

                           = 69,957 birr




Section-5:     Pavement design
Pavement design is the process of developing the most economical combination of
pavement layers (thickness, type) to suit the soil foundation and withstand the load due to
cumulative traffic during the design life or period.


                                                                                        149

ECSC, IUDS, Urban Engineering Department (UE)
Highway Design Senior Project                                                    2010


The design standard described here presents the pavement design standard which will be
utilized in the course of the design works all in accordance with ERA Pavement Design
manuals and other internationally recognized Pavement Design Standards. The main
design parameters for the pavement design include:

            Estimating the amount of traffic
            Assessing and evaluating the strength of sub grade soil
            Locally available construction materials
            Drainage Conditions
            Environment factors
In this standard, traffic volume, Sub grade type, construction materials and local factors
are the main design inputs.

  The traffic volume will be determined from the traffic counts in terms of AADT
(Average Annual Daily traffic) we take this value from the given data. We determine the
Sub grade type and strength from the given CBR % (California Bearing Ratio) Values.

The basic idea in building a pavement for all-weather use by vehicles is to prepare a
suitable Sub grade, provide necessary drainage and construct a pavement that will:

    Have sufficient total thickness and internal strength to carry expected traffic
       loads;
    Have adequate properties to prevent or minimize the penetration or internal
       accumulation of moisture, and
    Have a surface that is reasonably smooth and skid resistant at the same time, as
       well as reasonably resistant to wear, distortion and deterioration by weather.
 The sub grade ultimately carries all traffic loads.

The basic idea in building a pavement for all weather use by vehicles is:

   •   To prepare a suitable sub grade
   •   Provide necessary drainage and


                                                                                        150

ECSC, IUDS, Urban Engineering Department (UE)
Highway Design Senior Project                                                       2010


   •     Construct a pavement that will have sufficient total thickness and internal strength
         to carry expected traffic loads, and distribute them over the sub grade soil without
         overstressing.
Design inputs

In this pavement design, the design inputs are summarized into two main parameters,
traffic load in terms of cumulative ESA and Subgrade strength interim of CBR. The
overall required strength is read from charts or graphs which preset pavement catalogues
in which each pavement composition is classified based on ranges of traffic loading (T 1-
T8) and Subgrade strength (S1-S6) maximum CBR value. Therefore we provide flexible
pavement for our road project.

Flexible pavements

Flexible pavements are intended to limit the stress created at the sub grade level by the
traffic traveling on the pavement surface, so that the sub grade is not subject to significant
deformations. In effect, the concentrated loads of the vehicle wheels are spread over a
sufficiently larger area at sub grade level.

 A flexible pavement is one, which has low (bending) flexural strength, and the load is
largely transmitted to the sub grade soil through the lateral distribution of stresses with
increasing depth.

The pavement thickness is designed such that the stresses on the sub grade soil are kept
with in its bearing capacity and the sub grade is prevented from excessive deformation.

The strength and smoothness of flexible pavement structure depends to a large extent on
the deformation of the sub grade soil.

       A flexible pavement must satisfy a number of structural criteria or considerations;

    The sub grade should be able to sustain traffic loading without excessive
         deformation; this is controlled by the vertical compressive stress or strain at this
         level.


                                                                                           151

ECSC, IUDS, Urban Engineering Department (UE)
Highway Design Senior Project                                                     2010


    Bituminous materials and cement-bound materials used in road base design
       should not crack under the influence of traffic; this is controlled by the horizontal
       tensile stress or strain at the bottom of the road base.
    The road base is often considered the main structural layer of the pavement,
       required to distribute the applied traffic loading so that the underlying materials
       are not over stressed. It must be able to sustain the stress and strain generated
       within it with out excessive or rapid deterioration of any kind.
    In pavements containing a considerable thickness of bituminous materials, the
       internal deformation of these materials must be limited; their deformation is a

       function of their creep characteristics.

    The load spreading ability of granular sub base and capping layers must be
       adequate to provide a satisfactory construction platform.
Elements of the conventional flexible pavement

Tack coat

    Is a very light application of asphalt usually asphalt emulsion diluted with water
       used to ensure the bond between the surface being paved (surface course) and the
       overlying course.
Essential requirements of tack coat

   •   It must be very thin.

   •   It must uniformly cover the entire surface to be paved.

   •   It must be allowed to break or cure before the HMA is laid.

   Prime coat

    Is an application of low viscosity cut-back asphalt to an absorbent surface, such as
       un treated granular base on which an asphalt layer will be placed.
    Its purpose is to bind granular base to the asphalt layer.

                                                                                         152

ECSC, IUDS, Urban Engineering Department (UE)
Highway Design Senior Project                                                      2010


    The prime coat penetrates the underlying layer, plugs the voids, and forms water
        tight surface.
Surface course

    The surface course is the top course of an asphalt pavement, sometimes called the
        wearing course
    It is usually constructed by dense graded hot-mix asphalt
It must be:

       Tough to resist distortion under traffic and provide a smooth and skid-resistant
        riding surface.
       Waterproof to protect the entire pavement and sub grade from the weakening
        effect of water.
Binder course

    Sometimes called the asphalt base course is the asphalt layer below the surface
        course.
It is placed for two reasons:

    •   First, the HMA is too thick to be compacted one layer, so it must be placed in two
        layer.

    •   Second the binder course generally consists of larger aggregates and less asphalt
        and does not require a high quality as the surface so replacing a part of the
        surface course by the binder course results in a more economical design.

Base course

        The base course is the layer of material immediately beneath the surface course.

        It may be composed of well graded crushed stone (unbounded), granular material
        mixed with binder, or stabilized materials. It is the main structural part of the
        pavement and provides a level surface for laying the surface layer.

Sub base course
                                                                                          153

ECSC, IUDS, Urban Engineering Department (UE)
Highway Design Senior Project                                                       2010


       Construct using local and cheaper materials for economic reason on top of the
       sub grade. It provides additional help to the base and the upper layers in
       distributing the load. It facilitates drainage of free water that might get
       accumulated below the pavement.

Sub grade

       It is the foundation on which the vehicle load and the weight of the pavement
       layers finally rest. It is an in situ or a layer of selected materials compacted to the
       desirable density near the optimum moisture content.




 Fig 5-1 Road layer

The basic key elements for designing of pavements are:

          •   Traffic class
                                                                                           154

ECSC, IUDS, Urban Engineering Department (UE)
Highway Design Senior Project                                                            2010


          •     Sub grade strength

5.1 Traffic volume analysis

Traffic classes are depends on ESAs & vehicle classification;

       Where ESAs are based on:

               Vehicle classification
               Cumulative traffic volume ( T )
               Equivalency factor (EF)
       Vehicle classification from the give data

         Passenger vehicles                  Freight vehicles

              Cars                             Small trucks

              4WD                              Medium trucks

              Small bus                        Heavy trucks

              Large bus                        Articulated trucks

       Cumulative traffic volume ( T )

                     T = AADT1*(p)*(D)*365((1+i)N -1)/i

              Where, AADT1 traffic volume when the road is open (2013)

                           i     =    growth rate                   = 7 %, it is given

                           N =        design period                 = 15, it is given

                           P =       lane distribution factor       =1 (100%) ERA/AASHTO

                               D = directional distribution factor = 0.5 this accounts for any
directional variation in total traffic volume or loading pattern.

      Equivalency factor (EF)

                                                                                                155

ECSC, IUDS, Urban Engineering Department (UE)
Highway Design Senior Project                                                                                      2010


                          EF= (Axle i/8160)n

                         Where, n is usually 4.5

                                 Axles i = load in kg

         The Cumulative number of vehicles are depends on AADT (2013) & Diverted
            traffic (2013), then we use the sum of both traffic volume.
         To calculate equivalent standard axles (ESAs) by using, Cumulative number of
            vehicle (T) and Equivalency factor (EF).
 5.2 Axle load survey and equivalent factor computation

 From the axle load survey data of each vehicle, the equivalent factor is computed and
 summarized in the following table. Refer to annex for the detail computation.




                Day 13          Day 14         Day 15         Day 16         Day 17          Day 18         T0TAL
Classificatio
n of vehicles   NO.      EF     NO.      EF    NO.      EF    NO.      EF    NO.      EF     NO.      EF    NO.     EF     EF

car                                                                                                                        0.00

4 WD                                                                                                                       0.00

                                         0.3            0.5            0.5                            0.7
S/Bus           10       0.3    10       1     10       4     10       4     10       0.44   10       5     60    2.87     0.05

                                         8.8            3.8                                           10.
L/Bus           10       8.3    10       9     10       9     10       10    10       8.90   10       9     60    50.86    0.85

S/Truck         5        0.0                                                                                5     0.02     0.00

                                         0.9            0.0            3.8                            0.1
M/Truck         10       0.3    10       1     10       9     10       6     10       6.02   10       6     60    11.28    0.19

                                         55.            46.            49.            91.4            58.         385.0
L/Truck         10       83.3   10       5     10       7     10       8     10       0      10       4     60    2        6.42

                         192.                                                         145.                        878.3
T/Trailer       10       6      10       165   10       117   10       145   10       5      10       112   60    9        14.64




 5.3 Traffic class determination

                                                                                                                           156

 ECSC, IUDS, Urban Engineering Department (UE)
Highway Design Senior Project                                                                                    2010


                 Calculation of ESAs by using the above Axle load survey

                 EF= (Axle i/8160)^4.5 T = AADT1*(p)*(D)*365((1+i)N -1)/i

                   i= 7% P= 1 D= 0.5




                   Day 13          Day 14         Day 15         Day 16         Day 17          Day 18         T0TAL                           Cumula.
Classification                                                                                                                                 No.       ESAs
of vehicles        NO.      EF     NO.      EF    NO.      EF    NO.      EF    NO.      EF     NO.      EF    NO.     EF    EF     AADT1      Veh.      (10^6)

car                                                                                                                          0.00   0          0         0.00

4 WD                                                                                                                         0.00   21         96307     0.00

                                            0.3            0.5            0.5                            0.7
S/Bus              10       0.3    10       1     10       4     10       4     10       0.44   10       5     60    2.87    0.05   18         82549     0.00

                                            8.8            3.8                                           10.
L/Bus              10       8.3    10       9     10       9     10       10    10       8.90   10       9     60    50.86   0.85   7          32102     0.03

S/Truck            5        0.0                                                                                5     0.02    0.00   38         174270    0.00

                                            0.9            0.0            3.8                            0.1
M/Truck            10       0.3    10       1     10       9     10       6     10       6.02   10       6     60    11.28   0.19   31         142167    0.03

                                            55.            46.            49.            91.4            58.         385.0
L/Truck            10       83.3   10       5     10       7     10       8     10       0      10       4     60    2       6.42   51         233888    1.50

                            192.                                                         145.                        878.3   14.6
T/Trailer          10       6      10       165   10       117   10       145   10       5      10       112   60    9       4      38         174270    2.55

                                                                                                                                               Sum       4.11

                   Table 5-1 ESAs computation

                 ESAs = 4.11*10^6

                 Based on this traffic analysis the main access belongs to the traffic class T 5 which is in the
                 range of (3 to 6)*10^6 ESAs.

                 CBR test from the given data is 4% from 0 km to 24km and our road project is between
                 12.5 km to 15.5 km. According to ERA 2002 design manual CBR test (3-4) % fails in to
                 the soil class sub grade strength S2 .Therefore our road project design is based on traffic
                 class T5 and sub grade strength S2.

                 5.4 Selection of economical section

                                                                                                                                         157

                 ECSC, IUDS, Urban Engineering Department (UE)
Highway Design Senior Project                                                2010


By using T5 and S2 the economical pavement selected from the catalog of pavement types
and configuration for design of road section. Chart (1, 2, 3, 4, 7 and 8) selected for
comparison purpose.




                                                                            pric(m3)inbi
Materials                                                    abbreviation   rr

Double surface dressing                                      DSD            1000

Flexible bituminous surface                                  FBS            2050

Bituminous surface                                           BS             900

Bituminous road base, RB                                     BRB            1045

Granular road base, GB1-GB3                                  GRB(1-3)       560

Granular sub base GS                                         GSB            250

Granular capping layer, or selected sub grade fill, GC       GCL or SSF     200

Cement or lime stabilized road base1, CS1                    C or LSRB1

Cement or lime stabilized road base2, CS2                    C or LSRB2     810

Cement or lime stabilized sub base, CS                       C or LSSB      860

Table 5-2 Material and price




            Chart 1                                      Chart 2


                          SD                                        SD




                                                                                    158

ECSC, IUDS, Urban Engineering Department (UE)
Highway Design Senior Project                                    2010




Chart 3                                 Chart 4




          Chart 7                                 Chart 8




                                                            SD




                                                                        159

ECSC, IUDS, Urban Engineering Department (UE)
Highway Design Senior Project                   2010




                                                       160

ECSC, IUDS, Urban Engineering Department (UE)
Highway Design Senior Project                                                    2010




              THICKNESS OF THE CHARTS (mm)                          Price     Price (Birr )

Materials     chart1   chart2   chart3   chart4   chart7   chart8   Birr/m3   chart1    chart2   chart3   chart4   chart7   chart8

DSD           50       50                                  50       1000      50        50                                  50

FBS                             50       50       50                2050                         102.5    102.5    102.5

BRB                                               125               1045                                           130.63

GRB(1-3)      200      150      175      150                        560       112       84       98       84

GSB           275               275               225               250       68.75              68.75             56.25

GCLorSSF      200      200      200      200      200      225      200       40        40       40       40       40       45

CorLSRB2               250               225               200      810                 202.5             182.25            162

CorLSSB                                                    225      860                                                     193.5

Total                                                                         270.75    376.5    309.25   408.75   329.38   400.5

      Table 5-3 Economical section




                                                                                                                                     161

      ECSC, IUDS, Urban Engineering Department (UE)
Highway Design Senior Project                                                        2010


From the above charts, chart 1 is more economical than others but it is not technically
feasible, because mostly it is used for maintenance purpose. Therefore, we choose chart 3
with bituminous surface (HMA). The thickness of each layer summarized as follows:

                                    Materials     Layer
                                                  thickness(mm)
        Station(km)

                                  FBS             50

                                  GRB(1-3)        175
           12 +500- 15+ 500
                                  GSB             275

                                  GCL or SSF      200

Table 5-4 selected section



Section-6: Provision of traffic controls

Signings and Markings

They are directly related to the design of the highway or street and futures of traffic
control’s and operation that the designer should consider in the geometric layout of such
facilities. The potential for future operational problems can be significantly reduced if
signing and marking are treated as an integral part of the highway design.

The extent to which signs and markings are used depends on the traffic volume, type of
facility and the extent of traffic control appropriate for save and efficient operation.

   Generally highway signs are three types as per AASHTO practice

    •   Regulatory signs: to indicate the rules for traffic movement (prohibitory and
        mandatory).
                Mandatory signs for stop and yielding.

                Prohibitory signs for curve movements, weight and speed limitation etc



                                                                                            162

ECSC, IUDS, Urban Engineering Department (UE)
Highway Design Senior Project                                                       2010


    •    Warning or danger or cautionary signs: to indicate conditions that may involve
         risk to highway users.
    •    Guide or information signs: to direct traffic along a route or towards a distention.
Physical obstructions in or near our road way project should be removed in order to
provide the appropriate clear zone. Where removal is impossible, such objects should be
adequately marked by painting or by use of other highly visible material.

Where the object is in the direct line of traffic, the obstruction and marking there on
preferably should be illuminated at night by flood lighting; where there is not practical,
the object markings should be effectively reflectorized.

Post mounted delineators are another type of marking devises used to guide traffic,
particularly at night. Reflector units are installed at certain height & spacing to delineate
the road way where alignment changes may be confusing & not clearly defined.

The importance of traffic control devices

         •   Give timely warning of hazardous situation when they are not self evident
         •   Regulating traffic by imparting messages to the drivers about the need to
             stop, give way or yielding & limit their speed
         •   Give information as to highway routes, directions & point of intersection.
The general guide lines for the provision of traffic signings

   •    It should be installed only by the authority of law with proper enforcement
        measures to respecting the signs.
   •    It should be provided only after traffic engineering studies & sound judgments.
   •    Excessive use of signs should not be resorted to.
   •    They should be legible & understood to those who using it (visibility, lettering,
        symbols, locations, simplicity, uniformity & standard size).
        Location, height & maintenance of traffic signs

The location, reflecting & lighting of signs are important considerations.


                                                                                           163

ECSC, IUDS, Urban Engineering Department (UE)
Highway Design Senior Project                                                          2010


The signs should be located on the risk side of the road where the drivers will be looking
at them. On hill roads, they should be fixed on the valley side of the road & mounted on
the posts. According to AASHTO practice the signs in rural areas shall be mounted at a
height of at least 1.5m measured from the bottom to the pavement.

The sign posts should be maintained in proper position & legible at all time. Damaged
signs should be replaced immediately. Periodic painting of signs should be a routine part
of maintenance.

Road markings provisions

These markings are used as a means of controlling & guiding traffic of roads & safety.

These are:

   •       Carriage way marking-which includes center line strip, traffic line strip, no over
           taking zone, stop lines , pedestrian &cyclist crossings , route directions etc.
   •       Object markings-which should contains Krebs markings, culvert head wall
           markings, & other objects adjacent to the carriage way.
The general guide lines of longitudinal pavement markings

       •    Solid lines are restrictive & cannot be crossed.
       •    Broken lines are restrictive in character & vehicle can cross it safely.
       •    Double lines indicate maximum restrictions.
       •    When combination of solid & broken lines are used, and the traffic moves to the
            right(left), a vehicle should not cross the continuous line adjacent to the
            right(left) of broken lines on the lane which the vehicle moving.
       •    Pavement marking colors shall be white (optional crossing) & yellow (not
            crossing).
On rural areas the center line marking of the pavement segment & gaps shall be doubled
in length than an urban location, due to less traffic congestions. In addition the length of
gaps shall be shorter near approaches, intersections & on curves than on straight reaches.
The gap shall be half the value on straight sections.

                                                                                              164

ECSC, IUDS, Urban Engineering Department (UE)
Highway Design Senior Project                                                        2010


Traffic lane lines

The division of the carriage way in to separate lanes for traffic traveling in the same
directions on either side of the center line or median strip helps to promote travel in
proper lanes by promoting safety & ensuring maximum capacity.

No overtaking zone marking

These markings shall be provided on summit curves, horizontal curves & tangents in two
or three lane highways where overtaking & passing maneuvers must be prohibited,
because of non availability of safe overtaking sight distance or other hazardous
conditions. The marking for “No overtaking” zone consists of a combination lines along
the center line. The combination lines consist of a double line, the left hand element of
which shall be a solid barrier line & the right hand element also either a normal broken
center line or solid barrier governing the traffic from the opposite direction. Where a olid
barrier line is to the right of the broken line, the overtaking restriction shall apply only to
the opposing the traffic. If both lines are solid lines, “No overtaking” is permitted in both
directions.




                                                                                            165

ECSC, IUDS, Urban Engineering Department (UE)
Highway Design Senior Project                                                   2010


Fig 6-1. For areas on which “No overtaking” is permitted in both directions.




Fig.6-2 a normal broken center line for areas on which passing is permitted safely in both
directions.




                                                                                       166

ECSC, IUDS, Urban Engineering Department (UE)
Highway Design Senior Project                                                      2010




Fig.6.3 solid barrier line & the right hand element broken center line for areas on which
a solid barrier line is to the right of the broken line, the overtaking restriction in one
direction

Pavement edge lines or strips

These shall be used to indicate the edges of carriageway on which no Krebs are provided.

They serve as a visual guidance for the drivers, indicating to them the limits up to which
the driver can safely venture. They especially are useful during adverse weather & poor
visibility. Where the paved shoulder is of a lesser structural strength than the main
pavement, the edge lines are used to promote travel on the main pavement itself.

Edge lines shall be in the form of single continuous lines placed about 15cm from the
edge & the width of the lines shall be 15-20cm. Based on the above guide lines &
principles as per AASHTO & ERA manuals we recommended that:

                        •   On the crest curve, from station (PC)=13+472 to (PT) =
                            13+672 “overtaking” is not permitted hence the solid barrier
                            marking lines along with center line must be provided. In
                            addition to this post mounted traffic signs that show ascent or
                            descent summit curve must be provided on the risk side of
                            the road.
                        •   On     horizontal    curves,    from     PC=12+655.43          to
                            PT=12+774.55, from PC=13+098.59 to PT=13+199.38,
                            PC=13+263.38 to PT=13+445.38, from PC=13+806.5 to
                            PT=14+180.50, from PC=14+685.72 to 14+820.57, and from
                            PC= 15+175.76 to PT=15+274.96 , here also “overtaking” is
                            not permitted therefore the solid barrier marking lines along
                            with center line must be provided. And post mounted traffic
                            signs that show speed limitation, to the right hand & to the


                                                                                          167

ECSC, IUDS, Urban Engineering Department (UE)
Highway Design Senior Project                                                      2010


                             left hand horizontal curve sign must be provided on the risk
                             side of the road & visible to the traffic.
                         •   On the tangent curve, from station (PT) = 12+774.55 to
                             station (PC) =13+098.59, similar manner as to horizontal
                             curves.
Section-7: Environmental consideration

Environmental assessment: the identification and evaluation of the likely effects of a
proposed policy, program, or project on the environment; alternatives to the proposal;
measures to be adopted to protect the environment; a standard tool for decision making.

Environmental Issues Include

•   Noise from all types of equipment and traffic
•   Air quality / emissions and dust problems from all types of equipment and traffic
•   Impact on natural and planted vegetation: removal or trimming of only those plants
    and trees directly affected by the implementation of the Project will be permitted.
•   Provisions for pedestrians and non-motorized traffic.
•   Access to properties /access to the site
•   Soil stability and earthworks
•   Effect on watercourses and water quality
•   Effects on adjacent land.
•   Material disposal
•   Equipment operation and disposal
•   Disposal of waste and reinstatement of land
Therefore the above factors will considered during construction of this project.

Erosion

When natural conditions are modified by the construction of a road, it marks the start of a
race between the appearance of erosion and the growth of vegetation. Disturbance during
construction can upset the often delicate balance between stabilizing factors, such as
                                                                                          168

ECSC, IUDS, Urban Engineering Department (UE)
Highway Design Senior Project                                                     2010


vegetation, and others which seek to destabilize, such as running water. In some cases
erosion might result in cumulative impacts far beyond the road itself, affecting slopes,
streams, rivers, and dams at some distance from the initial impact.

Side-tipping of spoil materials

Spoil material from road cuttings can kill vegetation and add to erosion and slope
stability problems. Large amounts of spoil can be generated during construction in
mountainous terrain. Sometimes it is difficult to design for balances between cut and fill
volumes of earth at each location, and haulage to disposal sites may be expensive. This
creates a need for environmental management of tipped material.

During construction we shall not interrupt or interfere with the flow of irrigation waters
without making prior arrangements with and obtaining the agreement of the irrigation
authorities. The contractor shall allow in his program for the construction of those works
which might interface with the flow of irrigation waters to be carried out at such times as
will cause the least disturbance to irrigation operations.

The contractor shall comply with the following: Meet the requirements of regulations.
Consult, with the engineer before locating and constructing project offices and sheds and
installing construction plant. Prevent pollution of any kind to adjacent property resulting
from the construction operation. Sites containing cement, line and similar items shall be
suitably protected from rain and flood. Natural streams or channels adjacent to the works
of this contract shall not be disturbed without the approval of the engineer.

                        Management of Waste Materials
Management of waste materials: all excavated material to be disposed off-site in
locations approved by the local regulatory agency. No material is to be disposed down
slope without specific approval of the site engineer, and will be approved only if existing
drainage, agricultural land, housing, and slope stability is not affected. All waste oils to
be disposed of in accordance with existing environmental regulations.

Remedial Measures


                                                                                         169

ECSC, IUDS, Urban Engineering Department (UE)
Highway Design Senior Project                                                  2010


Prevention

When planning new roads or changes in width or alignment, sensitive natural
environments should be identified early in the planning process so that alternate routes
and designs may be considered. Wherever possible, road developments should be located
more than one kilometer away from sensitive areas to avoid severe impacts on flora and
fauna. Water crossings should be minimized, and buffer zones of undisturbed vegetation
should be left between roads and after courses. Groundwater recharge areas should be
avoided, and major roads should not be constructed through national parks or other
protected areas. Advantage should be taken of opportunities to twin new road corridors
with previously established transport rights-of-way, such as railway lines.

Animal crossings

As we know Somale region has a lot of camel and goat and other wild animal .Animal
crossings can be used to assist the migration of these animals. At important crossing
points, animal tunnels or bridges have sometimes been used to reduce collision rates,
especially for protected or endangered species. Tunnels are sometimes combined with
culverts or other hydraulic structures. These measures are expensive and used only at a
few locations where they are both justified (by the importance of the animal population
and the crossing route) and affordable (relative to the cost of the project and the funds
available.




                                                                                      170

ECSC, IUDS, Urban Engineering Department (UE)
Highway Design Senior Project                                                 2010




Annexes

Annexe-1 terrain classification data

station      Elv.diff.(m)    H.distance(m)      Slope (%)   Terrain          Remarks
                                                            classification

12+500       10              64.62              15.48       Rolling

12+520       12              49.09              24.44       Rolling

12+540       12              44.14              27.19       Mountainous

12+560       16              72.95              21.93       Rolling

12+580       16              61.61              25.97       Mountainous

12+600       20              88.62              22.57       Rolling

12+620       22              104.2              21.11       Rolling

12+640       24              109.36             21.95       Rolling

12+660       24              94.49              25.40       Mountainous

12+680       24              96.69              24.82       Rolling

12+700       26              109.72             23.70       Rolling


                                                                                     171

ECSC, IUDS, Urban Engineering Department (UE)
Highway Design Senior Project                                         2010


12+720       26              115.4              22.53   Rolling

12+740       26              111.19             23.38   Rolling

12+760       26              106.85             24.33   Rolling

12+780       28              106.19             26.37   Mountainous

12+800       30              110.63             27.12   Mountainous

12+820       30              107.58             27.89   Mountainous

12+840       30              108.26             27.71   Mountainous

12+860       28              100.08             27.98   Mountainous

12+880       28              102.46             27.33   Mountainous

12+900       28              107.74             25.99   Mountainous

12+920       26              114.21             22.77   Rolling

12+940       26              95.19              27.31   Mountainous

12+960       24              85.46              28.08   Mountainous

12+980       24              92.68              25.90   Mountainous

13+000       20              76.43              26.17   Mountainous

13+020       22              89.62              24.55   Mountainous

13+040       28              101.46             27.60   Mountainous

13+060       26              92.29              28.17   Mountainous

13+080       26              92.76              28.03   Mountainous

13+100       24              97.52              24.61   Rolling

13+120       26              118.78             21.89   Rolling

13+140       24              104.16             23.04   Rolling

13+160       26              136.26             19.08   Rolling

13+180       26              116.46             22.33   Rolling

13+200       26              104.63             24.85   Rolling

13+220       26              95.84              27.13   Mountainous

13+240       26              103.46             25.13   Mountainous


                                                                             172

ECSC, IUDS, Urban Engineering Department (UE)
Highway Design Senior Project                                         2010


13+260       26              98.53              26.39   Mountainous

13+280       24              91.86              26.13   Mountainous

13+300       20              112.18             17.83   Rolling

13+320       4               99.49              4.02    Rolling

13+340       8               115.2              6.94    Rolling

13+360       10              126.58             7.90    Rolling

13+380       12              101.27             11.85   Rolling

13+400       12              100.37             11.96   Rolling

13+420       14              105.34             13.29   Rolling

13+440       16              104.77             15.27   Rolling

13+460       18              99.32              18.12   Rolling

13+480       22              112.79             19.51   Rolling

13+500       22              103.12             21.33   Rolling

13+520       24              100.46             23.89   Rolling

13+540       26              102.99             25.25   Mountainous

13+560       26              93.67              27.76   Mountainous

13+580       26              86.25              30.14   Mountainous

13+600       30              98.06              30.59   Mountainous

13+620       30              92.25              32.52   Mountainous

13+640       28              80.12              34.95   Mountainous

13+660       28              75.52              37.08   Mountainous

13+680       28              72.91              38.40   Mountainous

13+700       30              81.44              36.84   Mountainous

13+720       32              98.29              32.56   Mountainous

13+740       32              103.67             30.87   Mountainous

13+760       32              102.5              31.22   Mountainous

13+780       32              104.98             30.48   Mountainous


                                                                             173

ECSC, IUDS, Urban Engineering Department (UE)
Highway Design Senior Project                                         2010


13+800       32              93.3               34.30   Mountainous

13+820       32              104.76             30.55   Mountainous

13+840       30              128.59             23.33   Rolling

13+860       30              135.71             22.11   Rolling

13+880       30              145.89             20.56   Rolling

13+900       28              145.95             19.18   Rolling

13+920       28              141.63             19.77   Rolling

13+940       26              152.86             17.01   Rolling

13+960       22              153.32             14.35   Rolling

13+980       20              131.94             15.16   Rolling

14+000       16              115.77             13.82   Rolling

14+020       14              107.45             13.03   Rolling

14+040       12              96.56              12.43   Rolling

14+060       8               45.36              17.64   Rolling

14+080       8               30.59              26.15   Mountainous

14+100       4               41.6               9.62    Rolling

14+120       4               24.73              16.17   Rolling

14+140       8               42.08              19.01   Rolling

14+160       8               54.93              14.56   Rolling

14+180       8               58.2               13.75   Rolling

14+200       10              76.44              13.08   Rolling

14+220       10              67.47              14.82   Rolling

14+240       12              69.23              17.33   Rolling

14+260       12              62.82              19.10   Rolling

14+280       12              63.81              18.81   Rolling

14+300       14              72.11              19.41   Rolling

14+320       14              71.83              19.49   Rolling


                                                                             174

ECSC, IUDS, Urban Engineering Department (UE)
Highway Design Senior Project                                     2010


14+340       14              70.36              19.90   Rolling

14+360       14              72.4               19.34   Rolling

14+380       12              65.94              18.20   Rolling

14+400       12              66.38              18.08   Rolling

14+420       12              65.11              18.43   Rolling

14+440       12              64.56              18.59   Rolling

14+460       12              64.36              18.65   Rolling

14+480       12              66.09              18.16   Rolling

14+500       12              65.26              18.39   Rolling

14+520       12              65.94              18.20   Rolling

14+540       12              68.3               17.57   Rolling

14+560       12              67.52              17.77   Rolling

14+580       12              68.97              17.40   Rolling

14+600       12              69                 17.39   Rolling

14+620       12              62.41              19.23   Rolling

14+640       12              61.49              19.52   Rolling

14+660       12              61.43              19.53   Rolling

14+680       12              60.15              19.95   Rolling

14+700       12              58.29              20.59   Rolling

14+720       14              83.74              16.72   Rolling

14+740       14              85.15              16.44   Rolling

14+760       14              101.46             13.80   Rolling

14+780       12              90.01              13.33   Rolling

14+800       12              95.51              12.56   Rolling

14+820       14              110.72             12.64   Rolling

14+840       14              108.07             12.95   Rolling

14+860       14              105.75             13.24   Rolling


                                                                         175

ECSC, IUDS, Urban Engineering Department (UE)
Highway Design Senior Project                                         2010


14+880       14              103.65             13.51   Rolling

14+900       14              100.27             13.96   Rolling

14+920       14              94.31              14.84   Rolling

14+940       14              87.69              15.97   Rolling

14+960       14              81.65              17.15   Rolling

14+980       14              79.81              17.54   Rolling

15+000       16              96.04              16.66   Rolling

15+020       16              93.13              17.18   Rolling

15+040       16              88                 18.18   Rolling

15+060       16              85.64              18.68   Rolling

15+080       16              83.05              19.27   Rolling

15+100       16              78.25              20.45   Rolling

15+120       16              76.14              21.01   Rolling

15+140       16              74.54              21.46   Rolling

15+160       16              73.3               21.83   Rolling

15+180       16              71.11              22.50   Rolling

15+200       16              62.19              25.73   Mountainous

15+220       16              61.9               25.85   Mountainous

15+240       16              62.19              25.73   Mountainous

15+260       16              60.52              26.44   Mountainous

15+280       16              60.96              26.25   Mountainous

15+300       12              59.21              20.27   Rolling

15+320       12              67.21              17.85   Rolling

15+340       10              61.63              16.23   Rolling

15+360       8               55.67              14.37   Rolling

15+380       8               71.14              11.25   Rolling

15+400       6               55.63              10.79   Rolling


                                                                             176

ECSC, IUDS, Urban Engineering Department (UE)
Highway Design Senior Project                                           2010


15+420       4               35.66              11.22     Rolling

15+440       6               89.63              6.69      Rolling

15+460       6               99.54              6.03      Rolling

15+480       8               86.28              9.27      Rolling

15+500       6               59.36              10.11     Rolling




Annexe-2 Natural ground profile and the finished road grade elevation




                                                                               177

ECSC, IUDS, Urban Engineering Department (UE)
Grade                                      Grade
Station   Natu. Elevation                    Station   Natu. Elevation
                              Elevation                                  Eleation

12+500 Design Senior Project
Highway    1384.30         1386.00          13+360        1398.60             2010
                                                                         1393.60

12+520        1384.50         1386.18       13+380        1398.00        1393.80

12+540        1384.30         1386.36       13+400        1396.70        1393.98

12+560        1384.50         1386.53       13+420        1395.30        1394.16

12+580        1384.30         1386.71       13+440        1394.20        1394.33

12+600        1385.00         1386.89       13+460        1394.00        1394.51

12+620        1386.10         1387.06       13+480        1394.00        1394.67

12+640        1387.30         1387.24       13+500        1393.40        1394.73

12+660        1388.40         1387.42       13+520        1393.00        1394.68

12+680        1389.50         1387.60       13+540        1393.00        1394.51

12+700        1390.20         1387.77       13+560        1392.50        1394.23

12+720        1390.30         1387.95       13+580        1391.80        1393.84

12+740        1390.30         1388.13       13+600        1390.50        1393.34

12+760        1390.00         1388.31       13+620        1390.00        1392.73

12+780        1389.90         1388.48       13+640        1389.50        1392.00

12+800        1390.10         1388.66       13+660        1388.90        1391.18

12+820        1389.70         1388.84       13+680        1387.70        1390.24

12+840        1389.00         1389.01       13+700        1386.00        1389.28

12+860        1389.00         1389.19       13+720        1385.40        1388.32

12+880        1388.80         1389.37       13+740        1385.00        1387.30

12+900        1388.60         1389.55       13+760        1385.00        1386.40

12+920        1388.90         1389.72       13+780        1384.00        1385.40

12+940        1388.60         1389.90       13+800        1383.50        1384.50

12+960        1388.40         1390.01       13+820        1384.10        1383.59

12+980        1387.70         1390.26       13+840        1385.40        1382.63

13+000        1387.50         1390.43       13+860        1384.50        1381.76

13+020        1387.00         1390.61       13+880        1384.00        1380.96

13+040        1387.00         1390.79       13+900        1382.10        1380.21

13+060        1387.30         1390.96       13+920        1380.23        1379.53

13+080        1387.20         1391.14       13+940        1379.00        1378.89
                                                                                     178
13+100         1387.90         1391.32        13+960      1376.00        1378.34
ECSC, IUDS, Urban Engineering Department (UE)
13+120         1389.00         1391.50        13+980      1374.30        1377.80

13+140        1389.80         1391.67       14+000        1373.50        1377.34
Highway Design Senior Project                                               2010




       Station      Natural        Grade        Station   Natural      Grade
                                  Elevation                           Elevation
                   Elevation                              Elevation

       14+220       1377.60        1375.90      14+880    1367.50     1367.20

       14+240       1378.00        1376.00      14+900    1367.60     1366.70

       14+260       1378.20        1376.10      14+920    1367.00     1366.20

       14+280       1378.10        1376.20      14+940    1366.30     1365.70

       14+300       1378.20        1376.30      14+960    1365.90     1365.25

       14+320       1378.10        1376.35      14+980    1365.70     1364.80

       14+340       1377.80        1376.40      15+000    1365.60     1364.30

       14+360       1377.80        1376.51      15+020    1365.60     1363.80

       14+380       1377.30        1376.56      15+040    1365.60     1363.30

       14+400       1377.20        1376.57      15+060    1365.00     1362.80

       14+420       1378.00        1376.53      15+080    1365.00     1362.30

       14+440       1376.40        1376.45      15+100    1364.90     1361.80

       14+460       1376.10        1376.32      15+120    1365.00     1361.30

       14+480       1375.60        1376.14      15+140    1363.90     1360.80

       14+500       1375.30        1375.91      15+160    1363.70     1360.30

       14+520       1375.00        1375.64      15+180    1363.80     1359.85

       14+540       1374.40        1375.31      15+200    1363.00     1359.40

       14+560       1374.20        1374.94      15+220    1363.00     1358.70

       14+580       1373.60        1374.53      15+240    1362.40     1358.40

       14+600       1373.00        1374.08      15+260    1359.60     1357.90

       14+620       1372.10        1373.60      15+280    1357.80     1357.40

       14+640       1371.30        1373.10      15+300    1356.00     1356.90
                                                                                   179

ECSC, IUDS, Urban Engineering Department (UE)
Highway Design Senior Project                                           2010




       14+660       1370.80        1372.60      15+320   1354.40   1356.40

       14+680       1369.80        1371.10      15+340   1353.80   1355.90

       14+700       1369.50        1371.60      15+360   1352.20   1355.40

       14+720       1369.40        1371.10      15+380   1351.90   1354.90

       14+740       1369.00        1370.64      15+400   1351.90   1354.45

       14+760       1369.00        1370.20      15+420   1351.90   1353.96

       14+780       1368.50        1369.70      15+440   1349.90   1353.47

       14+800       1368.00        1369.20      15+460   1346.00   1353.00

       14+820       1368.10        1368.70      15+480   1351.00   1352.59

       14+840       1367.90        1368.20      15+500   1353.00   1352.00

       14+860       1367.70        1367.70




                                                                               180

ECSC, IUDS, Urban Engineering Department (UE)
Highway Design Senior Project                   2010




Annexe-3 Nomograph




                                                       181

ECSC, IUDS, Urban Engineering Department (UE)
Highway Design Senior Project                   2010




Anexe-4 Axle load survey and EF computation

                                                       182

ECSC, IUDS, Urban Engineering Department (UE)
Highway Design Senior Project                                            2010


               Traffic count for day 13,        Small Bus

                 axle1           axle2           Axle EF1   Axle EF2   Total EF

SB (25)          3300            3350            0.017      0.018      0.035

SB (14)          1150            1650            0.000      0.001      0.001

SB (25)          1800            2850            0.001      0.009      0.010

SB (25)          2250            3850            0.003      0.034      0.037

SB (25)          2300            3800            0.003      0.032      0.035

SB (25)          2250            4000            0.003      0.040      0.043

SB (25)          2350            3000            0.004      0.011      0.015

SB (25)          2400            3800            0.004      0.032      0.036

SB (25)          2350            3050            0.004      0.012      0.016

SB (25)          2400            4400            0.004      0.062      0.066

                                                 Sum                   0.295




          Large Bus

                 axle1          axle2           axleEF1     Axle EF2   Total EF
                                                                                183

ECSC, IUDS, Urban Engineering Department (UE)
Highway Design Senior Project                                                              2010




LB (45)             3800              6200            0.032          0.291               0.323

LB (45)             4400              6600            0.062          0.385               0.447

LB (45)             3350              5400            0.018          0.156               0.174

LB (60)             6000              7450            0.251          0.664               0.915

LB (45)             3850              7050            0.034          0.518               0.552

LB (45)             4350              6000            0.059          0.251               0.310

LB (62)             7000              9150            0.502          1.674               2.176

LB (62)             5450              9600            0.163          2.078               2.240

LB (45)             4050              7450            0.043          0.664               0.707

LB(45)              3550              6750            0.024          0.426               0.449

                                                      Sum                                8.292

       Medium truck

            axle1             axle2          axle3    axleEF1    axleEF2      Axle EF3      Total EF

MT          2850              5400                    0.009      0.156        0.000         0.165

MT          1600              1350                    0.001      0.000        0.000         0.001

MT          1700              1550                    0.001      0.001        0.000         0.001

MT          2200              3300                    0.003      0.017        0.000         0.020

MT          1500              1600                    0.000      0.001        0.000         0.001

MT          2300              2500                    0.003      0.005        0.000         0.008

MT          2450              2250                    0.004      0.003        0.000         0.007

MT          2850              3700                    0.009      0.028        0.000         0.037

MT          1800              1600                    0.001      0.001        0.000         0.002

MT          1600              2700                    0.001      0.007        0.000         0.008

                                                                 Sum                        0.250

       Large truck

          axle1       axle2     axle3        axle4   Axle EF1   Axle EF2     Axle        Axle       Total

                                                                                                  184

ECSC, IUDS, Urban Engineering Department (UE)
Highway Design Senior Project                                                 2010


                                                                       EF3      EF4       EF

    LT        6450     15950                       0.35     20.41      0.00     0.00      20.756

    LT        4200     5250                        0.05     0.14       0.00     0.00      0.188

    LT        6050     14200                       0.26     12.10      0.00     0.00      12.358

    LT        5950     11800                       0.24     5.26       0.00     0.00      5.500

    LT        6250     14300                       0.30     12.49      0.00     0.00      12.787

    LT        8250     9900    9850                1.05     2.39       2.33     0.00      5.770

    LT        8950     10700   10750               1.52     3.39       3.46     0.00      8.358

    LT        4800     8950                        0.09     1.52       0.00     0.00      1.607

    LT        7000     13000                       0.50     8.13       0.00     0.00      8.632

    LT        5900     12600                       0.23     7.06       0.00     0.00      7.297

                                                                       Sum                83.253




          Truck trailer

axle1 axle2    axle3   axle4   axle5   axle6 axle         axle EF2   axle     axle     axle    axle   totalEF

                                                                                        185

   ECSC, IUDS, Urban Engineering Department (UE)
Highway Design Senior Project                                        2010


                                                    EF1            EF3    EF4    EF5      EF6

            1525   1100
TT   6050   0      0       11400                    0.26   16.68   3.83   4.50   0.00     0.00   25.27

            1500
TT   6300   0      8350    9450                     0.31   15.48   1.11   1.94   0.00     0.00   18.84

            1460
TT   6350   0      7950    9150                     0.32   13.71   0.89   1.67   0.00     0.00   16.60

            1480
TT   5900   0      8750    9750                     0.23   14.57   1.37   2.23   0.00     0.00   18.40

            1320
TT   5750   0      8300    7100                     0.21   8.71    1.08   0.53   0.00     0.00   10.53

            1140   1160             1310
TT   6150   0      0       11300    0               0.28   4.50    4.87   4.33   8.42     0.00   22.40

            1580
TT   6950   0      7750    9500                     0.49   19.56   0.79   1.98   0.00     0.00   22.82

            1700
TT   2350   0      8050    9200                     0.00   27.19   0.94   1.72   0.00     0.00   29.85

            1360
TT   6850   0      9150    9150                     0.45   9.96    1.67   1.67   0.00     0.00   13.76

            1100   1100             1010
TT   6450   0      0       10800    0               0.35   3.83    3.83   3.53   2.61     0.00   14.16

                                                                                          Sum    192.63




                                                                                    186

        ECSC, IUDS, Urban Engineering Department (UE)
Highway Design Senior Project                                        2010




       Traffic count for day 14,Small Bus

              Axle1          Axle2          Axle1 Ef   Axle2 EF   Total EF

SB (25)       2300           3450           0.003      0.021      0.024

SB (25)       2250           2500           0.003      0.005      0.008

SB (25)       2350           3700           0.004      0.028      0.032

SB (25)       2250           4400           0.003      0.062      0.065

SB (25)       2200           3950           0.003      0.038      0.041

SB (25)       1750           2800           0.001      0.008      0.009

SB (25)       2200           3250           0.003      0.016      0.019

SB (25)       2300           3500           0.003      0.022      0.026

SB (25)       2550           4300           0.005      0.056      0.061

SB (25)       2150           3550           0.002      0.024      0.026

                                            Sum                   0.311

          Large Bus

               Axle1         Axle2          Axle1 Ef   Axle2 EF   Total EF

LB (45)        2100          5950           0.002      0.241      0.244

LB (45)        4150          7550           0.048      0.705      0.753

LB (62)        4600          7900           0.076      0.864      0.940

LB (62)        6600          9200           0.385      1.716      2.101

LB (62)        6600          9200           0.385      1.716      2.101

LB (62)        4000          6700           0.040      0.412      0.452

LB (45)        3900          5800           0.036      0.215      0.251

LB (45)        3400          6000           0.019      0.251      0.270

LB (62)        5300          8250           0.143      1.051      1.194

LB (45)        4200          7100           0.050      0.535      0.585
                                                                             187

ECSC, IUDS, Urban Engineering Department (UE)
Highway Design Senior Project                                                         2010




                                                    Sum                                 8.890

             Medium truck

                     Axle1          Axle2      Axle1 Ef         Axle2 EF          Total EF

     MT              1700           1850       0.001            0.001             0.002

     MT              3650           3200       0.027            0.015             0.042

     MT              3150           2250       0.014            0.003             0.017

     MT              3250           3300       0.016            0.017             0.033

     MT              2800           6650       0.008            0.398             0.406

     MT              3250           2700       0.016            0.007             0.023

     MT              1700           1150       0.001            0.000             0.001

     MT              1850           1400       0.001            0.000             0.002

     MT              2600           5950       0.006            0.241             0.247

     MT              2750           5150       0.007            0.126             0.134

                                                                        Sum       0.906

     Large truck

                                                      Axle1   Axle2      Axle3   Axle4      Axle5        Total
     Axle1    Axle2         Axle3   Axle4   Axle5     Ef      EF         EF      EF         EF           EF

LT   4350     7700          7650                      0.06    0.77       0.75    0.00       0.00         1.58

LT   4800     8400          9850    11050   11250     0.09    1.14       2.33    3.91       4.24         11.72

LT   7750     10500         10950                     0.79    3.11       3.76    0.00       0.00         7.66

LT   4100     2950          2900                      0.05    0.01       0.01    0.00       0.00         0.06

LT   7600     11200         11300                     0.73    4.16       4.33    0.00       0.00         9.21

LT   7000     12100         9050                      0.50    5.89       1.59    0.00       0.00         7.98

LT   5200     5300                                    0.13    0.14       0.00    0.00       0.00         0.28

LT   4100     3800                                    0.05    0.03       0.00    0.00       0.00         0.08

LT   5750     15250                                   0.21    16.68      0.00    0.00       0.00         16.88

LT   3650     3550                                    0.03    0.02       0.00    0.00       0.00         0.05

                                                                                                   188

     ECSC, IUDS, Urban Engineering Department (UE)
Highway Design Senior Project                                                                2010




                                                                                                Sum                    55.50

             Truck trailer

                                                             Axle1     Axle2     Axle3   Axle4     Axle5     Axle6       Total
     Axle1     Axle2    Axle3     Axle4   Axle5     Axle6    Ef        EF        EF      EF        EF        EF          EF

TT   4100      4550     2700      2550                       0.05      0.07      0.01    0.01      0.00      0.00        0.13

TT   5350      10850    11050     8900    9250               0.15      3.60      3.91    1.48      1.76      0.00        10.90

TT   7800      12950    10050     8150    9400               0.82      7.99      2.55    0.99      1.89      0.00        14.25

TT   6050      14600    9250      9100                       0.26      13.71     1.76    1.63      0.00      0.00        17.36

TT   8450      11600    11650     11000   7200      7900     1.17      4.87      4.96    3.83      0.57      0.86        16.27

TT   6650      10950    11500     10500   13300              0.40      3.76      4.68    3.11      9.01      0.00        20.96

TT   6500      15000    8300      8700                       0.36      15.48     1.08    1.33      0.00      0.00        18.25

TT   5200      16300    10300     10600                      0.13      22.50     2.85    3.25      0.00      0.00        28.73

TT   5200      16000    9700      11000                      0.13      20.70     2.18    3.83      0.00      0.00        26.84

TT   7900      13100    9400      6500                       0.86      8.42      1.89    0.36      0.00      0.00        11.53

                                                                                                   Sum                   165.22

             Traffic count for day 15,Small Bus

                               Axle1        Axle2           Axle1 Ef     Axle2 EF          Total EF

             SB (25)           3450         5050            0.021        0.115             0.136

             SB (25)           4000         4450            0.040        0.065             0.106

             SB (25)           2150         3850            0.002        0.034             0.037

             SB (25)           2400         3900            0.004        0.036             0.040

             SB (25)           2200         4150            0.003        0.048             0.050

             SB (25)           2200         4150            0.003        0.048             0.050

             SB (25)           2450         4050            0.004        0.043             0.047

             SB (25)           2550         4050            0.005        0.043             0.048

             SB (25)           2050         2650            0.002        0.006             0.008

             SB (25)           2300         2900            0.003        0.010             0.013


                                                                                                                 189

             ECSC, IUDS, Urban Engineering Department (UE)
Highway Design Senior Project                                          2010


                                                       Sum     0.536

         Large Bus

                   Axle1      Axle2         Axle1 Ef   Axle2 EF          Total EF

LB(45)             4400       7100          0.062      0.535             0.597

LB(24)             2300       3350          0.003      0.018             0.022

LB(45)             3600       6850          0.025      0.455             0.480

LB (45)            3750       5100          0.030      0.121             0.151

LB (45)            4250       7200          0.053      0.569             0.622

LB (45)            3600       4250          0.025      0.053             0.078

LB (45)            3900       5600          0.036      0.184             0.220

LB (45)            3650       5150          0.027      0.126             0.153

LB (45)            6050       7400          0.260      0.644             0.904

LB (45)            3950       7350          0.038      0.625             0.663

                                                                         3.890

Medium truck

            Axle1          Axle2           Axle1 Ef    Axle2 EF        Total EF

MT          2800           2050            0.008       0.002           0.010

MT          2150           3700            0.002       0.028           0.031

MT          2150           3400            0.002       0.019           0.022

MT          1900           2150            0.001       0.002           0.004

MT          2800           2050            0.008       0.002           0.010

MT          1850           2400            0.001       0.004           0.005

MT          1750           1700            0.001       0.001           0.002

MT          2250           1850            0.003       0.001           0.004

MT          1600           1200            0.001       0.000           0.001

MT          1750           1450            0.001       0.000           0.001

                                                                       0.0907



                                                                                190

ECSC, IUDS, Urban Engineering Department (UE)
Highway Design Senior Project                                                         2010


Large truck

                                                      Axle1   Axle2   Axle3   Axle4   Axle5    Axle6   Total
     Axle1    Axle2   Axle3   Axle4   Axle5   Axle6   Ef      EF      EF      EF      EF       EF      EF

LT   8000     11800                                   0.91    5.26    0.00    0.00    0.00     0.00    6.17

LT   4400     3800                                    0.06    0.03    0.00    0.00    0.00     0.00    0.09

LT   4900     3600    3650                            0.10    0.03    0.03    0.00    0.00     0.00    0.15

LT   6200     12300                                   0.29    6.34    0.00    0.00    0.00     0.00    6.63

                      1180    1095
LT   8200     11800   0       0       6950    7750    1.02    5.26    5.26    3.76    0.49     0.79    16.57

LT   5950     15100                                   0.24    15.95   0.00    0.00    0.00     0.00    16.19

LT   4800     4750                                    0.09    0.09    0.00    0.00    0.00     0.00    0.18

LT   5250     5200                                    0.14    0.13    0.00    0.00    0.00     0.00    0.27

LT   5500     3700    3500    3000    2100            0.17    0.03    0.02    0.01    0.00     0.00    0.23

LT   4350     4900                                    0.06    0.10    0.00    0.00    0.00     0.00    0.16

                                                                               Sum                     46.66




                                                                                              191

ECSC, IUDS, Urban Engineering Department (UE)
Highway Design Senior Project                                                    2010



Truck trailer

                                                                 Axle1   Axle2     Axle3   Axle4   Axle5   Axle6    Total
                Axle1   Axle2    Axle3   Axle4   Axle5   Axle6   Ef      EF        EF      EF      EF      EF       EF

          TT    5800    4200     2450    2600    2350    1400    0.22    0.05      0.00    0.01    0.004   0.0004   0.28

          TT    6300    14500    8400    8650                    0.31    13.29     1.14    1.30    0.00    0.00     16.04

          TT    8250    16300    11200   9300                    1.05    22.50     4.16    1.80    0.00    0.00     29.51

          TT    4150    4850     3100    3100                    0.05    0.10      0.01    0.01    0.00    0.00     0.17

          TT    3750    5250     3100    3150                    0.03    0.14      0.01    0.01    0.00    0.00     0.19

          TT    6900    10300    7900    6600                    0.47    2.85      0.86    0.38    0.00    0.00     4.57

          TT    7900    11950    11900   11300   8050    7850    0.86    5.57      5.46    4.33    0.94    0.84     18.00

          TT    4050    5100     2950    3050                    0.04    0.12      0.01    0.01    0.00    0.00     0.19

          TT    5650    15900    9400    10500                   0.19    20.12     1.89    3.11    0.00    0.00     25.31

          TT    5350    15400    8400    11300                   0.15    17.43     1.14    4.33    0.00    0.00     23.04

                                                                                                                    117.3




                                                                                                                            192

ECSC, IUDS, Urban Engineering Department (UE)
Highway Design Senior Project                   2010




                                                       193

ECSC, IUDS, Urban Engineering Department (UE)
Highway Design Senior Project                                                   2010




       Traffic count for day 16

       Small Bus

             Axle1     Axle2      Axle3   Axle1 Ef   Axle2 EF   Axle3 EF   Total EF

   SB (25)   1600      2850               0.001      0.009      0.000      0.009

   SB (25)   2300      3300               0.003      0.017      0.000      0.020

   SB (25)   2250      4250               0.003      0.053      0.000      0.056

   SB (25)   2100      3950               0.002      0.038      0.000      0.040

   SB (25)   2300      3250               0.003      0.016      0.000      0.019

   SB (25)   2250      4050               0.003      0.043      0.000      0.046

   SB (25)   2200      4150               0.003      0.048      0.000      0.050

   SB (25)   4000      5700               0.040      0.199      0.000      0.239

   SB (25)   2450      3550               0.004      0.024      0.000      0.028

   SB (25)   1950      3750               0.002      0.030      0.000      0.032

                                                     Sum                   0.541




                                                                                       194

ECSC, IUDS, Urban Engineering Department (UE)
Highway Design Senior Project                                                         2010


               Large Bus

                 Axle1     Axle2           Axle1 Ef    Axle2 EF        Total EF

     LB (45)     3850      6400            0.034       0.335           0.369

     LB (45)     4150      6400            0.048       0.335           0.383

     LB (45)     3900      6900            0.036       0.470           0.506

     LB (62)     6100      7650            0.270       0.748           1.018

     LB (45)     3750      7450            0.030       0.664           0.694

     LB (62)     4850      9950            0.096       2.441           2.537

     LB (45)     5500      10550           0.169       3.177           3.347

     LB (45)     3500      6350            0.022       0.324           0.346

     LB (45)     4300      6500            0.056       0.359           0.415

     LB (45)     2850      6700            0.009       0.412           0.421

                                                                       10.036

       Medium truck

                                                      Axle1    Axle2                Axle4      Axle5
     Axle1     Axle2     Axle3     Axle4      Axle5   Ef       EF        Axle3 EF   EF         EF        Total EF

MT   1850      1600                                   0.001    0.001     0.000      0.000      0.000     0.002

MT   2750      5550                                   0.007    0.176     0.000      0.000      0.000     0.184

MT   1950      2300                                   0.002    0.003     0.000      0.000      0.000     0.005

MT   4600      10200     3800      3300       3450    0.076    2.730     0.032      0.017      0.021     2.875

MT   2200      3550                                   0.003    0.024     0.000      0.000      0.000     0.026

MT   4450      6800                                   0.065    0.440     0.000      0.000      0.000     0.506

MT   3000      4500                                   0.011    0.069     0.000      0.000      0.000     0.080

MT   1850      5150      2800                         0.001    0.126     0.008      0.000      0.000     0.135

MT   2550      4000                                   0.005    0.040     0.000      0.000      0.000     0.046

MT   2250      1850                                   0.003    0.001     0.000      0.000      0.000     0.004

                                                                                                         3.863




                                                                                                   195

      ECSC, IUDS, Urban Engineering Department (UE)
Highway Design Senior Project                                                                2010


              Large truck

              Axle1       Axle2          Axle3      Axle1 Ef          Axle2 EF      Axle3 EF         Total EF

        LT    4150        5250                      0.048             0.137         0.000            0.185

        LT    7300        10850          10800      0.606             3.604         3.530            7.740

        LT    6000        13600                     0.251             9.961         0.000            10.212

        LT    7700        16300                     0.770             22.503        0.000            23.273

        LT    4350        4250                      0.059             0.053         0.000            0.112

        LT    4350        4300                      0.059             0.056         0.000            0.115

        LT    5950        7600           7600       0.241             0.726         0.726            1.694

        LT    4400        4600                      0.062             0.076         0.000            0.138

        LT    7800        11750                     0.816             5.159         0.000            5.975

        LT    4850        6150                      0.096             0.280         0.000            0.376

                                                                                                     49.821

       Truck trailer

                                                               Axle1      Axle2   Axle3     Axle4     Axle5      Axle6   Total
     Axle1   Axle2     Axle3     Axle4      Axle5   Axle6      EF         EF      EF        EF        EF         EF      EF

TT   5150    3450      3700      3500       3650               0.13       0.02    0.03      0.02      0.03       0.00    0.22

TT   5950    13550     9550      8800                          0.24       9.80    2.03      1.40      0.00       0.00    13.47

TT   7650    11900     11900     11400      7000    8200       0.75       5.46    5.46      4.50      0.50       1.02    17.70

TT   7850    15000     9850      9950                          0.84       15.48   2.33      2.44      0.00       0.00    21.10

TT   7500    11900     11800     11200      6600    8550       0.68       5.46    5.26      4.16      0.38       1.23    17.18

TT   5550    13250     9600      11500                         0.18       8.86    2.08      4.68      0.00       0.00    15.80

TT   5300    15800     9400      10300                         0.14       19.56   1.89      2.85      0.00       0.00    24.44

TT   5850    14700     8850      9350                          0.22       14.14   1.44      1.85      0.00       0.00    17.65

TT   5300    4350      3100      3300                          0.14       0.06    0.01      0.02      0.00       0.00    0.23

TT   6200    14800     7950      9250                          0.29       14.57   0.89      1.76      0.00       0.00    17.51

                                                                                                                         145.30




                                                                                                           196

       ECSC, IUDS, Urban Engineering Department (UE)
Highway Design Senior Project                                           2010


Traffic count for day 17 ; Small Bus

                Axle1           Axle2           Axle1 Ef   Axle2 EF   Total EF

SB (25)         2250            3800            0.003      0.032      0.035

SB (25)         2500            4800            0.005      0.092      0.097

SB (25)         2550            4150            0.005      0.048      0.053

SB (25)         2550            4400            0.005      0.062      0.067

SB (25)         2200            4100            0.003      0.045      0.048

SB (25)         2600            3750            0.006      0.030      0.036

SB (25)         2250            4250            0.003      0.053      0.056

SB (25)         1500            2750            0.000      0.007      0.008

SB (25)         2450            3600            0.004      0.025      0.030

SB (25)         2250            2700            0.003      0.007      0.010

                                                                      0.440

Large Bus

                Axle1           Axle2           Axle1 Ef   Axle2 EF   Total EF

LB (45)         2350            3550            0.0037     0.0236     0.0273

LB (45)         4050            6700            0.0428     0.4118     0.4546

LB (60)         4250            7550            0.0531     0.7049     0.7581

LB (45)         3800            4800            0.0321     0.0918     0.1239

LB (45)         3850            7400            0.0340     0.6441     0.6781

LB (62)         5750            10000           0.2070     2.4969     2.7038

LB (45)         3650            7400            0.0268     0.6441     0.6708

LB (45)         3850            5700            0.0340     0.1990     0.2330

LB (45)         4400            6900            0.0621     0.4701     0.5322

LB (62)         7250            9650            0.5874     2.1270     2.7144

                                                                      8.8963




                                                                                 197

ECSC, IUDS, Urban Engineering Department (UE)
Highway Design Senior Project                                                  2010


       Medium truck

                    Axle1           Axle2       Axle1 Ef           Axle2 EF           Total EF

MT                  2750            9600        0.007              2.078              2.085

MT                  2250            1800        0.003              0.001              0.004

MT                  2200            1850        0.003              0.001              0.004

MT                  2650            3700        0.006              0.028              0.035

MT                  2550            4700        0.005              0.084              0.089

MT                  2700            2100        0.007              0.002              0.009

MT                  3650            9700        0.027              2.177              2.204

MT                  3900            8850        0.036              1.441              1.477

MT                  3400            4700        0.019              0.084              0.103

MT                  2100            2350        0.002              0.004              0.006

                                                                                      6.016

       Large truck

             Axle1          Axle2      Axle3    Axle1 Ef   Axle2 EF        Axle3 EF      Total EF

LT           2650           2050                0.006      0.002           0.000         0.008

LT           6400           14350               0.335      12.683          0.000         13.018

LT           5800           17050               0.215      27.552          0.000         27.767

LT           6200           15750               0.291      19.282          0.000         19.573

LT           5600           3450       3550     0.184      0.021           0.024         0.228

LT           6150           14400               0.280      12.883          0.000         13.163

LT           7000           8350       9150     0.502      1.109           1.674         3.285

LT           7450           12500      12350    0.664      6.815           6.455         13.934

LT           5600           4700                0.184      0.084           0.000         0.267

LT           4900           4250                0.101      0.053           0.000         0.154

                                                           Sum                           91.3984




       Truck trailer
                                                                                       198

ECSC, IUDS, Urban Engineering Department (UE)
Highway Design Senior Project                                                             2010


                                                     Axle1      Axle2                  Axle4   Axle5       Total
     Axle1       Axle2    Axle3   Axle4     Axle5    Ef         EF      Axle3 EF       EF      EF          EF

TT   4050        4650     2650    2650               0.04       0.08    0.01           0.01    0.00        0.14

TT   5150        3650     3750    3250      3400     0.13       0.03    0.03           0.02    0.02        0.22

TT   8750        14400    10100   11000              1.37       12.88   2.61           3.83    0.00        20.70

TT   6550        14050    8800    9400               0.37       11.53   1.40           1.89    0.00        15.20

TT   4500        4350     2350    2450               0.07       0.06    0.00           0.00    0.00        0.14

TT   6150        15400    8000    8900               0.28       17.43   0.91           1.48    0.00        20.10

TT   6600        13750    8550    9400               0.38       10.47   1.23           1.89    0.00        13.97

TT   6950        12300    11700   11800     11400    0.49       6.34    5.06           5.26    4.50        21.65

TT   6850        12350    11800   10450     10700    0.45       6.45    5.26           3.04    3.39        18.60

TT   7700        16200    10500   13300              0.77       21.89   3.11           9.01    0.00        34.78

                                                                                                           145.48

               Traffic count for day 18; Small Bus

                         Axle1            Axle2              Axle1 Ef          Axle2 EF         Total EF

     SB (25)             2150             4250               0.002             0.053            0.056

     SB (25)             2450             4000               0.004             0.040            0.045

     SB (25)             2250             4050               0.003             0.043            0.046

     SB (25)             2150             3500               0.002             0.022            0.025

     SB (25)             3350             6000               0.018             0.251            0.269

     SB (25)             2050             3900               0.002             0.036            0.038

     SB (25)             3350             5450               0.018             0.163            0.181

     SB (25)             2200             3900               0.003             0.036            0.039

     SB (25)             1500             2750               0.000             0.007            0.008

     SB (25)             2400             4000               0.004             0.040            0.044

                                                             Sum                                0.750




     Large Bus

                                                                                                       199

     ECSC, IUDS, Urban Engineering Department (UE)
Highway Design Senior Project                                              2010


                Axle1           Axle2           Axle1 Ef     Axle2 EF      Total EF

LB (62)         6000            7450            0.251        0.664         0.915

LB (45)         4350            6450            0.059        0.347         0.406

LB (45)         3850            5900            0.034        0.232         0.266

LB (45)         4000            7650            0.040        0.748         0.788

LB (45)         4050            6150            0.043        0.280         0.323

LB (62)         5850            5800            0.224        0.215         0.439

LB (45)         5750            10750           0.207        3.457         3.664

LB (45)         5000            9450            0.110        1.936         2.046

LB (45          5150            8350            0.126        1.109         1.235

LB (62)         3800            7700            0.032        0.770         0.802

                                                Sum                        10.885

Medium truck

                 Axle1            Axle2           Axle1 Ef      Axle2 EF       Total EF

MT               1300             1350            0.0003        0.0003         0.001

MT               2500             4800            0.0049        0.0918         0.097

MT               1850             1750            0.0013        0.0010         0.002

MT               1850             1850            0.0013        0.0013         0.003

MT               2400             1650            0.0041        0.0008         0.005

MT               2300             3150            0.0034        0.0138         0.017

MT               2400             2450            0.0041        0.0045         0.009

MT               1950             1350            0.0016        0.0003         0.002

MT               2350             3250            0.0037        0.0159         0.020

MT               1750             1400            0.0010        0.0004         0.001

                                                  Sum                          0.155




Large truck


                                                                                    200

ECSC, IUDS, Urban Engineering Department (UE)
Highway Design Senior Project                                                                2010


                      Axle1          Axle2          Axle3      Axle1 Ef        Axle2 EF      Axle3 EF         Total EF

         LT           6450           14500                     0.347           13.291        0.000            13.638

         LT           7300           13300                     0.606           9.010         0.000            9.616

         LT           5000           8700           8700       0.110           1.334         1.334            2.779

         LT           3300           2900                      0.017           0.010         0.000            0.027

         LT           4350           4280                      0.059           0.055         0.000            0.114

         LT           6300           14600                     0.312           13.708        0.000            14.020

         LT           6700           1000           10500      0.412           0.000         3.110            3.522

         LT           7850           12000                     0.840           5.672         0.000            6.512

         LT           7200           11700                     0.569           5.061         0.000            5.630

         LT           4350           8550           8550       0.059           1.234         1.234            2.527

                                                                               Sum                            58.384

                Truck trailer (TT)

                                                            Axle1      Axle2   Axle3      Axle4      Axle5     Axle6     Total
     Axle1    Axle2   Axle3   Axle4         Axle5   Axle6   Ef         EF      EF         EF         EF        EF        EF

TT   7450     14550   9400    9150                          0.66       13.50   1.89       1.67       0.00      0.00      17.73

TT   4150     4250    2200    2200                          0.05       0.05    0.00       0.00       0.00      0.00      0.11

TT   4050     4050    2950    3200          2800    3450    0.04       0.04    0.01       0.01       0.01      0.02      0.14

TT   7200     13300   9100    9850                          0.57       9.01    1.63       2.33       0.00      0.00      13.55

TT   4150     4800    2800    2950                          0.05       0.09    0.01       0.01       0.00      0.00      0.16

TT   7600     13200   8600    8550                          0.73       8.71    1.27       1.23       0.00      0.00      11.94

TT   6350     16200   10800   10800                         0.32       21.89   3.53       3.53       0.00      0.00      29.27

TT   4250     4250    2300    2250                          0.05       0.05    0.00       0.00       0.00      0.00      0.11

TT   5550     15050   10300   10800                         0.18       15.71   2.85       3.53       0.00      0.00      22.27

TT   4600     10750   10650   11800         11700           0.08       3.46    3.31       5.26       5.06      0.00      17.17

                                                                                                     Sum                 112.44

        Part –II

        Drawings
                                                                                                             201

        ECSC, IUDS, Urban Engineering Department (UE)
Highway Design Senior Project                   2010




                                                       202

ECSC, IUDS, Urban Engineering Department (UE)
Highway Design Senior Project                   2010




                                                       202

ECSC, IUDS, Urban Engineering Department (UE)
Highway Design Senior Project                   2010




                                                       202

ECSC, IUDS, Urban Engineering Department (UE)

Highway design raport(final) (group 2)

  • 1.
    Highway Design SeniorProject 2010 Part- I Section-1: Introduction There is a growing universal demand for well prepared professionals in all disciplines. In addition, increased pressure has consequently been placed in educational institution to prepare the required number of qualified professional to fulfill society’s need. It is imperative that there is a large need in the industry for engineers with training and experience, and the academic should move successfully to fill the need. This is especially true for in the situation of Ethiopia where there is a lack of well trained and experienced urban engineer’s. Therefore, the integration of academic program and exposing students to more practical project results in well-seasoned and, well-educated professionals. Thus, this high way design project is intended to equip the students with practical design reinforcing what they have attained theoretically in the class. It is already known that, for rapid economic, industrial and cultural growth of any country, a good system of transportation is very essential. One of the transportation systems that are economical for developing countries like Ethiopia is road. A well – designed road network plays an important role in transporting people and other industrial products to any direction with in short time. Roads, to satisfy their intended purpose, must be constructed to be safe, easy, economical, environmentally friend and must full fill the needs of inhabitants. Being safe, the number of accidents that can occur will be minimized. Easiness decreases operation cost, pollution and even time cost. Economical roads assure their feasibility according to their plans and initiate further construction of roads. Schemes that do not satisfy the needs of localities may not get the maximum utilization of the surplus man power that is really to exist in the rural community and also its economical value may also decrease. Therefore, from this project it is expected to understand and to get acquainted with the above facts by going through on the following design aspects. 1.1 General Background 1 ECSC, IUDS, Urban Engineering Department (UE)
  • 2.
    Highway Design SeniorProject 2010 This high way design project is taken from the Hargele - Afder – Bare - Yet road project, which is located in the Eastern part of the country in Somali National Regional State, Afder Administrative Zone, Afder and Bare Woredas. The project is intended to facilitate the existing and for the expected traffic load in the future, because the town is developing. From this road we have given a stretch of 3 km emanating from station 12+500 to 15+500 for this project to do geometric and pavement design in general. 1.2 Objectives This final year design project on high-way has the following major objectives:-  To expose the prospective graduates to a detail and organized design on road projects;  To implement the knowledge that the prospective graduates have learned theoretically in classes;  To ensure a good carrier development; 1.3 Brief Description of The Project Area The Hargele - Afder – Bare - Yet road project, is located in the Eastern part of the country in Somali National Regional State, Afder Administrative Zone, Afder and Bare Woredas. The project starts at Hargele (5º13’N and 42º 11’E) and pass through Hargele, Afder, Bare, town and ends at Yet. The project length is estimated to be 142.4km. The Location map together with the topographic map of the project area is shown below. Fig. 1.1 Project Location Map 2 ECSC, IUDS, Urban Engineering Department (UE)
  • 3.
    Highway Design SeniorProject 2010 Location of the Project Road Fig. 1.3.3 Digitized Proposed Project Alternative Alignments 3 ECSC, IUDS, Urban Engineering Department (UE)
  • 4.
    Highway Design SeniorProject 2010 Climate: One of the environmental factors that affect performance of pavements structures is climate. Hence, climate data of the project area mainly rainfall intensity, in terms of mean monthly and mean annual and, temperature are required. According to the map shown on National Atlas of Ethiopian Atlas, the project area is located in the region of the lowest annual rainfall. The mean annual rainfall in this region is 300mm per year. The rainfall of the project area is characterized by the following rainfall distribution:  April, May and October  The wettest Months  And in the remaining months  The driest months. Topography: The terrain of the project area through which the road alignment traverses is rolling in substantial section of the project which is intercepted by mountainous terrain in some sections. Potential of the area: In the project area limited crop production, livestock and livestock products are available in the area of influence of the road project even though the area is under attention to reverse food deficit. There is an initiative to change the area that the potential resources of oil mining and salt production may attract private investors and governmental agencies. 1.4 Scope of the project The scope of the project goes as far as designing the geometry and pavement of a given road section, with its appropriate drainage structures. 4 ECSC, IUDS, Urban Engineering Department (UE)
  • 5.
    Highway Design SeniorProject 2010 Section-2: Geometric design 2.1 Geometric design Control and Criteria 2.1.1 Terrain classification 2.1.1.1 Contour generation The surveying data x, Y and Z coordinate taken from the road corridor using Hand Held GPS are converted to a contour using GIS software. 2.1.1.2 Selection of center line The center line of the road is delineated on the given road corridor using the contour elevations by considering to have minimum earth work along the corridor. 2.1.1.3 Transverse terrain property In order to know the type of the terrain along the selected center line or corridor, we took horizontal distance perpendicular to the center line and vertical elevation measurements across the road. Each measurement is taken longitudinally along the rod at 20m interval to get better terrain classification. The values obtained are summarized in index table 2-1. Slop= (vertical elevation / horizontal elevation)*100 Therefore, we generalize the following terrains classification along the road corridor: STATION From To TERRAIN AVG. SLOPE CLASSIFICATION (%) 12+ 500 12+ 760 Rolling 23.14 12 + 760 13+ 080 Mountainous 26.63 13 + 080 13+ 520 Rolling 18.75 13 + 520 13+ 820 Mountainous 32.234 13 + 820 15 +500 Rolling 16.87 Table 2-2 Terrain Classification 5 ECSC, IUDS, Urban Engineering Department (UE)
  • 6.
    Highway Design SeniorProject 2010 Fig 2-1 Generated contour. 2.1.2 Design traffic volume 6 ECSC, IUDS, Urban Engineering Department (UE)
  • 7.
    Highway Design SeniorProject 2010 2.1.2.1 Traffic data analysis In order to design the road, traffic data analysis is very important. Therefore, the secondary data of traffic analysis we get from the project site comprises traffic volume before design, during implementation and up to the design life time of the road. As the secondary data shows the project life is 15 year. The traffic volume data and the design life time are expressed in the following table. T& Year Car 4 WD S/ Bus L/ Bus S/ Truck M/ Truck L/ Truck TOTAL T 2008 0 4 6 2 12 4 2 14 44 2009 0 5 7 2 13 5 3 16 51 2010 0 5 7 2 14 5 3 16 52 2011 0 6 8 3 14 5 3 17 56 2012 0 6 8 3 15 5 3 18 58 2013 0 15 16 6 31 20 28 34 149 2014 0 16 17 7 34 21 30 37 160 2015 0 19 19 8 36 22 32 39 174 2016 0 19 21 8 38 25 35 41 184 2017 0 19 21 9 40 26 36 44 193 2018 0 20 22 9 43 28 38 46 205 2019 0 21 25 11 44 31 42 49 221 2020 0 22 26 11 47 32 44 52 232 2021 0 22 26 12 49 34 46 53 241 2022 0 22 29 12 52 35 48 56 253 2023 0 25 30 13 55 36 51 59 267 2024 0 25 32 13 57 39 54 60 279 2025 0 26 33 14 60 40 57 64 292 2026 0 27 34 14 62 43 60 67 307 2027 0 28 37 16 66 44 63 70 323 Table 2-3 Traffic data analysis From the above data, o Traffic volume when the road open =149 veh/day o Traffic volume at the end of the project life =323 veh/day 7 ECSC, IUDS, Urban Engineering Department (UE)
  • 8.
    Highway Design SeniorProject 2010 2.1.3 Road functional classification Some of the factors which affect road design control and criteria are functional classification of the road. In Ethiopian case, we have five functional classes based on AADT and importance of the road. Since, AADT of the project lies between 200-1000, and the road expected to serve centers of provisional importance, the road could be main access road (class II). 2.2 Geometric Design Standard Based on the traffic data obtained from the above table we decide the project design standard to be (DS4). Because:- a) Even if the AADT at the opening of the road (2013) is 149 veh/day it will be greater than 200 veh/ day after five year and it is 323 veh/day at the end of design life (15 years). So it fulfills the requirements of DS4. Since the recommended traffic volume for DS4 is 200- 1000 veh/day.(ERA) b) The second reason is that since the area is an oil mining area, we expect the road will accommodate the expected traffic volume during the design life time. c) Based on the above reason, we decide the road to be DS4, to get full knowledge from the whole project since the project is for academic purpose. Therefore, we took the entire design element based on DS4. Refer the above information from ERA manual Table 2.1. From Design Standards vs. Road Classification and AADT table of ERA for DS4, AADT=200 – 1000 vehicle/day Surface type = paved Carriageway = 6.7m Shoulder width =1.5m for rolling = 0.5m for mountainous 8 ECSC, IUDS, Urban Engineering Department (UE)
  • 9.
    Highway Design SeniorProject 2010 Design speed = 70km/hr for rolling = 60km/hr =for mountainous 2.2.1 Horizontal Alignment Based on our proposal of the center line of the road, we have tangents and curves. The curves are curve1, curve2, curve3, curve4, curve5, and curve6. Based on our terrain classification, the curves fall in to different terrain classification that leads us to determine the radius and different elements of each curve. Curve Terrain type Curve 1 Rolling Curve 2 Rolling Curve 3 Rolling Curve 4 Error! Not a valid link. Curve 5 Rolling Curve 6 Rolling Table 2-4 Horizontal curves and their terrain classification Since our road is DS4, the minimum radius of each curve based on the terrain is:- Minimum horizontal radius = 175m for rolling = 125m for mountainous Refer the following table for the rest of the design elements of DS4 (ERA standards) Design Element Unit Flat Rolling Mountainous Escarpment Urban/Peri- Urban Design Speed km/h 85 70 60 50 50 Min. Stopping Sight Distance m 155 110 85 55 55 Min. Passing Sight Distance m 340 275 225 175 175 % Passing Opportunity % 25 25 15 0 20 Min. Horizontal Curve Radius m 270 175 125 85 85 9 ECSC, IUDS, Urban Engineering Department (UE)
  • 10.
    Highway Design SeniorProject 2010 Transition Curves Required Yes Yes No No No Max. Gradient (desirable) % 4 5 7 7 7 Max. Gradient (absolute) % 6 7 9 9 9 Minimum Gradient % 0.5 0.5 0.5 0.5 0.5 Maximum Super elevation % 8 8 8 8 4 Crest Vertical Curve k 60 31 18 10 10 Sag Vertical Curve k 36 25 18 12 12 Normal Cross fall % 2.5 2.5 2.5 2.5 2.5 Shoulder Cross fall % 4 4 4 4 4 Right of Way m 50 50 50 50 50 Table 2-5: Table 2-6 of ERA Geometric Design Parameters for Design Standard DS4 (Paved) 2.2.1.1 Horizontal curve elements Curve-1 Design computation a) Terrain type = Rolling b) Deflection angle Δ = 390 (by measurement) c) Point of intersection P.I=12+717.4m d) Calculation of radius of the curve Vd 2 Rmin = 127(e + f ) Where, Rmin=minimum radius Vd=70km/hr…………….ERA, table 2.6 ed= 8% (max design super elevation rate, ERA, table 2.6) f=0.14 (ERA. Table 8.1 for ed=8%) 70 2 Then, Rmin = =175.3m 127(0.08 + 0.14) 10 ECSC, IUDS, Urban Engineering Department (UE)
  • 11.
    Highway Design SeniorProject 2010 The calculated Rmin has no significant change from the recommended in ERA manual standard (i.e., 175m), in addition to this, in order to minimize cut and fill, we use R min=175m from the standard. Therefore, radius of curve=Rc=175m e) Tangent (T1)  ∆ T1 = R * tan  2  39  T1 = 175 * tan   = 61.97 m  2  f) Point of curvature (PC) P.C1= P.I1 - T1 =12+717.4 – 0+061.97 =12+655.43m g) Length of the curve (L)  2Π  L1 = ∆ * R *    360   2Π  L1 = 390 *175 *   = 119.12m  360  h) Point of tangency (P.T) P.T1= P.C1+L1 =12+655.43+119.12 =12+774.55m i) External distance (E) 11 ECSC, IUDS, Urban Engineering Department (UE)
  • 12.
    Highway Design SeniorProject 2010  ∆  E1 = R * sec  − 1  2    39   E1 = 175 * sec  −1 = 10.65m   2   j) Middle ordinate (M)   ∆  M 1 = R * 1 − cos    2    39  M 1 = 175 * 1 − cos  = 10.04m   2  k) Chord (Chord from P.C to P.T) ∆ C1 = 2 R sin   2  39  C1 = 2 *175 * sin   = 116.83m  2  Fig.2.2 elements 0f curve-1 12 ECSC, IUDS, Urban Engineering Department (UE)
  • 13.
    Highway Design SeniorProject 2010 Curve-2 Design computation a) Terrain type = Rolling b) Deflection angle Δ = 330 (by measurement) c) Point of intersection P.I=13+150.43m d) Calculation of radius of the curve Vd 2 Rmin = 127(e + f ) Where, Rmin=minimum radius Vd=70km/hr…………….ERA, table 2.6 ed= 8% (max design super elevation rate, ERA, table 2.6) f=0.14 (ERA. Table 8.1 for ed=8%) 70 2 Then, Rmin = =175.3m 127(0.08 + 0.14) The calculated Rmin has no significant change from the recommended in ERA manual standard (i.e., 175m), in addition to this to prevent overlaps with curve 3, we use Rmin=175m from the standard. Therefore, radius of curve=Rc=175m e) Tangent (T1) Rmin = 175m  ∆ T2 = R * tan   2  33  T2 = 175 * tan   = 51.84m  2  f) Point of curvature (PC) 13 ECSC, IUDS, Urban Engineering Department (UE)
  • 14.
    Highway Design SeniorProject 2010 P.C2= P.I2 – T2 =13+150.43– 0+051.84 =13+098.59m g) Length of the curve (L)  2Π  L2 = ∆ * R *    360   2Π  L2 = 330 *175 *   = 100.79m  360  h) Point of tangency (P.T) P.T2= P.C2+L2 =13+98.59+100.79 =13+199.38m i) External distance (E)  ∆  E2 = R * sec  − 1  2    33   E2 = 175 * sec  −1 = 7.52m   2   j) Middle ordinate (M)   ∆  M 2 = R * 1 − cos    2    33  M 2 = 175 * 1 − cos  = 7.21m   2  k) Chord (Chord from P.C to P.T) 14 ECSC, IUDS, Urban Engineering Department (UE)
  • 15.
    Highway Design SeniorProject 2010  ∆ C2 = 2 R sin   2  33  C2 = 2 *175 * sin   = 99.41m  2  Fig 2.3 elements of curve-2 Curve-3 Design computation a) Terrain type = Rolling b) Deflection angle Δ = 59.620 (by measurement) c) Point of intersection P.I=13+363.64m d) Calculation of radius of the curve Vd 2 Rmin = 127(e + f ) Where, Rmin=minimum radius Vd=70km/hr…………….ERA, table 2.6 ed= 8% (max design super elevation rate, ERA, table 2.6) f=0.14 (ERA. Table 8.1 for ed=8%) 15 ECSC, IUDS, Urban Engineering Department (UE)
  • 16.
    Highway Design SeniorProject 2010 70 2 Then, Rmin = =175.3m 127(0.08 + 0.14) The calculated Rmin has no significant change from the recommended in ERA manual standard (i.e., 175m), in addition to this to prevent overlaps with curve 2, we use R min=175m from the standard. Therefore, radius of curve=Rc=175m e) Tangent (T3) Rmin = 175m ∆ T3 = R * tan   2  59.62  T3 = 175 * tan   = 100.26m  2  f) Point of curvature (PC) P.C3= P.I3 - T3 =13+363.64– 0+100.26 =13+263.38m g) Length of the curve (L)  2Π  L3 = ∆ * R *    360   2Π  L3 = 59.62 0 *175 *   = 182m  360  h) Point of tangency (P.T) 16 ECSC, IUDS, Urban Engineering Department (UE)
  • 17.
    Highway Design SeniorProject 2010 P.T3= P.C3+L3 =13+263.38+182m =13+445.38m i) External distance (E)  ∆  E3 = R * sec  − 1  2    59.62   E3 = 175 * sec  −1 = 26.69m   2   j) Middle ordinate (M)   ∆  M 3 = R * 1 − cos    2    59.62  M 3 = 175 * 1 − cos  = 23.17 m   2  k) Chord (Chord from P.C to P.T) ∆ C3 = 2 R sin   2  59.62  C3 = 2 *175 * sin   = 173.99m  2  Curve-4 Design computation a) Terrain type = Rolling b) Deflection angle Δ = 90.810 (by measurement) c) Point of intersection P.I=14+045.5m d) Calculation of radius of the curve 17 ECSC, IUDS, Urban Engineering Department (UE)
  • 18.
    Highway Design SeniorProject 2010 Vd 2 Rmin = 127(e + f ) Where, Rmin=minimum radius Vd=70km/hr…………….ERA, table 2.6 ed= 8% (max design super elevation rate, ERA, table 2.6) f=0.14 (ERA. Table 8.1 for ed=8%) 70 2 Then, Rmin = =175.37 m 127(0.08 + 0.14) The calculated Rmin has no significant change from the recommended in ERA manual standard (i.e., 175m), so we use Rmin=175m from the standard. But to make the curve smooth, we took R=236m, I.e. =RC=236m e) Tangent (T4) R = 236m ∆ T4 = R * tan  2  90.81  T4 = 236 * tan   = 239m  2  f) Point of curvature (PC) P.C4= P.I4 – T4 =14+045.5– 0+239 =13+806.5m g) Length of the curve (L)  2Π  L4 = ∆ * R *    360  18 ECSC, IUDS, Urban Engineering Department (UE)
  • 19.
    Highway Design SeniorProject 2010  2Π  L4 = 90.810 * 236 *   = 374.m  360  h) Point of tangency (P.T) P.T4= P.C4+L4 =13+806.5+374m =14+180.5m i) External distance (E)  ∆  E4 = R * sec  − 1  2    90.81   E4 = 236 * sec  −1 = 100.12m   2   j) Middle ordinate (M)   ∆  M 4 = R * 1 − cos    2    90.810  M 4 = 236 * 1 − cos  2  = 70.31m     k) Chord (Chord from P.C to P.T)  ∆ C4 = 2 R sin   2  90.810  C 4 = 2 * 236 * sin   2  = 336.10 m    Curve-5 Design computation a) Terrain type = Rolling 19 ECSC, IUDS, Urban Engineering Department (UE)
  • 20.
    Highway Design SeniorProject 2010 b) Deflection angle Δ = 44.150 (by measurement) c) Point of intersection P.I=14+756.69m d) Calculation of radius of the curve Vd 2 Rmin = 127(e + f ) Where, Rmin=minimum radius Vd=70km/hr…………….ERA, table 2.6 ed= 8% (max design super elevation rate, ERA, table 2.6) f=0.14 (ERA. Table 8.1 for ed=8%) 70 2 Then, Rmin = =175.4m 127(0.08 + 0.14) The calculated Rmin has no significant change from the recommended in ERA manual standard (i.e., 175m), in addition to this, in order to minimize cut and fill, we use R min=175m from the standard. Therefore, radius of curve=Rc=175m e) Tangent (T5) Rmin = 175m ∆ T5 = R * tan  2  44.15  T5 = 175 * tan   = 70.97 m  2  f) Point of curvature (PC) P.C5= P.I5 – T5 =14+756.69– 0+70.97m 20 ECSC, IUDS, Urban Engineering Department (UE)
  • 21.
    Highway Design SeniorProject 2010 =14+685.72m g) Length of the curve (L)  2Π  L5 = ∆ * R *    360   2Π  L5 = 44.150 *175 *   = 134.85m  360  h) Point of tangency (P.T) P.T5= P.C5+L5 =14+685.72+134.85m =14+820.57m i) External distance (E)  ∆  E5 = R * sec  − 1  2    44.150   E5 = 175 * sec   −1 = 13.84m    2   j) Middle ordinate (M)   ∆  M 5 = R * 1 − cos    2    44.15  M 5 = 175 * 1 − cos  = 12.83m   2  k) Chord (Chord from P.C to P.T) ∆ C5 = 2 R sin   2 21 ECSC, IUDS, Urban Engineering Department (UE)
  • 22.
    Highway Design SeniorProject 2010  44.150  C5 = 2 *175 * sin   2  = 131.54m    Curve-6 Design computation a) Terrain type = Rolling b) Deflection angle Δ = 32.480 (by measurement) c) Point of intersection P.I=15+226.73m d) Calculation of radius of the curve Vd 2 Rmin = 127(e + f ) Where, Rmin=minimum radius Vd=70km/hr…………….ERA, table 2.6 ed= 8% (max design super elevation rate, ERA, table 2.6) f=0.14 (ERA. Table 8.1 for ed=8%) 70 2 Then, Rmin = =175.4m 127(0.08 + 0.14) The calculated Rmin has no significant change from the recommended in ERA manual standard (i.e., 175m), in addition to this, in order to minimize cut and fill, we use R min=175m from the standard. Therefore, radius of curve=Rc=175m e) Tangent (T6) Rmin = 175m  ∆ T6 = R * tan   2 22 ECSC, IUDS, Urban Engineering Department (UE)
  • 23.
    Highway Design SeniorProject 2010  32.48  T6 = 175 * tan   = 50.97 m  2  f) Point of curvature (PC) P.C6= P.I6 – T6 =15+226.73m – 0+050.97 =15+175.76m g) Length of the curve (L)  2Π  L6 = ∆ * R *    360   2Π  L6 = 32.48 0 *175 *   = 99.20m  360  h) Point of tangency (P.T) P.T6= P.C6+L6 =15+175.76m +99.20m =15+274.96m i) External distance (E)  ∆  E6 = R * sec  − 1  2    32.480   E6 = 175 * sec   −1 = 7.27 m    2   j) Middle ordinate (M)   ∆  M 6 = R * 1 − cos    2  23 ECSC, IUDS, Urban Engineering Department (UE)
  • 24.
    Highway Design SeniorProject 2010   32.480  M 6 = 175 * 1 − cos  2  = 6.98m     k) Chord (Chord from P.C to P.T) ∆ C6 = 2 R sin   2  32.48 0  C6 = 2 *175 * sin   2  = 97.88m    2.2.1.2 Transition curve When a vehicle traveling on a straight course enters a curve of finite radius, and suddenly subjected to the centrifugal force which shock and sway. In order to avoid this it is customary to provide a transition curve at the beginning of the circular curve having a radius equal to infinity at the end of the straight and gradually reducing the radius to the radius of the circular curve where the curve begins. Mostly transition curves are introduced between:- A/ between tangents and curves B/ between two curves Various forms of transition curves are suitable for high way transition, but the one most popular and recommended for use is spiral. Design of transition curve Even if there are places to design transition curve, ERA design manual standard recommends where and how to design this horizontal alignment design elements. Especially for Ethiopian road, transition curves are a requirement for trunk and link road segments having a speed equal to or greater than 80km/hr. (ERA) But the characteristics of our project road segment is;- Speed=60km/hr (for mountainous terrain) 24 ECSC, IUDS, Urban Engineering Department (UE)
  • 25.
    Highway Design SeniorProject 2010 Speed=70km/hr (for rolling terrain) Terrain= mostly rolling and mountainous Functional classification=Main access road. Therefore, based on the ERA standard all curves in the project will not have transition curve. So, it will be a simple curve with out transition curve. 2.2.1.3 Super elevation Curve-1 When a vehicles moves in a circular path, it is forced radially by centrifugal force. The centrifugal force is counter balanced by super elevation of the road way and/or the side friction developed between the tire and the road surface. The centrifugal force is the result of design speed, weight of car, friction, and gravitational acceleration having the following relation ship. Wv 2 Fc = gR Where, Fc= centrifugal force W=weight of the car V=design speed g= acceleration due to gravity R= radius of the curve So, super elevation rate is changing the road cross section from the normal road to elevate towards the center of the curve. I.e., it counteracts a part of the centrifugal force, the remaining part being resisted by the lateral friction. Terms in super elevation:  Tangent run out(Lt)  Super elevation runoff(Lr) 25 ECSC, IUDS, Urban Engineering Department (UE)
  • 26.
    Highway Design SeniorProject 2010 Tangent run out (Lt) It is the longitudinal length along the road designed to remove the adverse crown to a zero slope. i.e., the outer edge of the road is raised from a normal cross slope to a zero slope which equal to the grade level of the road (the level of the center line of the road). Super elevation runoff length (Lr) Super elevation run-off is a length of the road section from the point of removal of adverse crown of the road to the full super elevated point on the curve. Super elevation is equal to the length of transition curve when there is a transition curve. When there is no transition curve i.e., when it is a simple curve,1/3 rd of the length is placed on the curve and 2/3rd of the length is placed on the tangent part(ERA). Therefore, we follow the second standard to design our super elevation since all the curves do not have transition curve. Design computation A/ computation of super elevation run-off Super elevation runoff length can be obtained from table 8.5 (ERA) using radius (Rc) and super elevation rate (e), or it can be computed from the following formula. (AASHTO) Lr = ( wn1 ) ed ( b ) w G Where, Lr=minimum super elevation run-off (m) G=maximum relative gradient (percent) n1=number of lanes rotated Bw=adjustment factor for number of lane rotated w=width of one traffic lane (in our case, w/2) ed=design super elevation rate, percent 26 ECSC, IUDS, Urban Engineering Department (UE)
  • 27.
    Highway Design SeniorProject 2010 Then, n1=1, since the number of lane rotated is =1(AASHTO, exhibit 3-31) bw=1, for one lane rotated(AASHTO, exhibit 3-31) G=0.55%, for Vd=70km/hr (AASHTO, exhibit 3-31) Design speed(Km/h)(Vd) Maximum relative Equivalent maximum relative gradient(%)(G) slope (%) 20 0.80 1:125 30 0.75 1:133 40 0.70 1:143 50 0.65 1:150 60 0.60 1:167 70 0.55 1:182 80 0.50 1:200 90 0.45 1:213 100 0.40 1:227 110 0.35 1:244 120 0.30 1:263 130 0.25 1:286 Table2-6 (Exhibit 3-27 Maximum relative gradients of AASHTO)  6 .7   *1 * 0.08 Therefore,  2  Lr = (1) = 48.87m 0.55 But ERA recommends Lr=52m for ed=8% and Rc=175m. Thus, take Lr=52m B/ computation of tangent run out (Lt) Tangent run-out can be computed using the following equation. (AASHTO) eNC Lt = * ( Lr ) ed Where, 27 ECSC, IUDS, Urban Engineering Department (UE)
  • 28.
    Highway Design SeniorProject 2010 Lt =minimum length of tangent run-out eNC=normal cross slope rate, percent ed =design super elevation, percent Lr=super elevation runoff length 0.025 Then, Lt = * ( 52 ) = 16.25m 0.08 C/ Location of super elevation run-off (Lr) Since there is no transition curve (spiral) between the tangent and the curve in the project, 2/3 rd of the super elevation length is placed on the tangent and 1/3rd of the length is placed on the curve part. 1 i.e., * 52 =17.33m (on the curve) 3 2 * 52 = 34.67 m (On the tangent) 3 Then, The beginning of the super elevation runoff length is:- =P.C-34.67m =12+655.43-0+034.67 =12+620.76m The end of the super elevation runoff length is:- =P.C+17.33m =12+655.43+0+017.33m =12+672.76m 28 ECSC, IUDS, Urban Engineering Department (UE)
  • 29.
    Highway Design SeniorProject 2010 D/ location of tangent run-out length Beginning=beginning of Lr minus Lt =12+620.76-16.25m =12+604.51m End=12+620.76m E/ station where outer and inner edge of the road will have the same normal cross fall i.e., 2.5% It is a length(R) where total crown removal is attained. So, R=2*Lt =2*16.25 =32.50m, Then, the station is, Beginning= station of beginning of adverse crown removal =12+604.51m End=station of beginning of adverse crown removal plus +R =12+604.51+32.50m =12+637.01m On the same process we can do the super elevation at the exit of the curve. We know that the length of curve 1=119.12m Then the part of the curve to be full super elevated is =119.12-2*(1/3*Lr) =119.12-2*(1/3*52) =84.46m 29 ECSC, IUDS, Urban Engineering Department (UE)
  • 30.
    Highway Design SeniorProject 2010 F/ Then, the station of end of full super elevation is =12+672.76+84.46m =12+757.22m G/ station of end of super elevation runoff is =12+757.22+52m =12+809.22m H/ station of recovering adverse crown is =12+809.22+16.25m =12+825.47 Attainment of full super elevation:- From three methods attaining full super elevation we use the method in which rotating the surface of the road about the center line of the carriageway, gradually lowering the inner edge and raising the upper edge, keeping the center line constant. Illustration: 30 ECSC, IUDS, Urban Engineering Department (UE)
  • 31.
    Highway Design SeniorProject 2010 Fig.2-4 Attainment of super elevation Based on the above super elevation attainment, the results are shown on the following figure. 31 ECSC, IUDS, Urban Engineering Department (UE)
  • 32.
    Highway Design SeniorProject 2010 Fig.2-5 Super elevation at entrance and exit for curve 1 Curve-2 Design computation A/ computation of super elevation run-off Lr = ( wn1 ) ed ( b ) w G n1=1, since the number of lane rotated is =1(AASHTO, exhibit 3-31) bw=1, for one lane rotated(AASHTO, exhibit 3-31) G=0.55%, (AASHTO, exhibit 3-31)  6.7   *1 * 0.08 Therefore,  2  Lr = * (1) = 48.78m 0.55 But ERA recommends Lr=52m for ed=8% and Rc=175m. Thus, take Lr=52m B/ computation of tangent run out (Lt) 32 ECSC, IUDS, Urban Engineering Department (UE)
  • 33.
    Highway Design SeniorProject 2010 Tangent run-out can be computed using the following equation. (AASHTO) eNC Lt = * ( Lr ) ed 0.025 Then, Lt = * ( 52 ) = 16.25m 0.08 C/ Location of super elevation run-off (Lr) Since there is no transition curve (spiral) between the tangent and the curve in the project, 2/3 rd of the super elevation length is placed on the tangent and 1/3rd of the length is placed on the curve part. 1 i.e., * 52 =17.33m (on the curve) 3 2 * 52 = 34.67 m (On the tangent) 3 Then, The beginning of the super elevation runoff length is:- =P.C-34.67m =13+98.59-0+034.67 =13+63.92m The end of the super elevation runoff length is:- =P.C+17.33m =13+98.59+0+017.33m =13+115.92m D/ location of tangent run-out length 33 ECSC, IUDS, Urban Engineering Department (UE)
  • 34.
    Highway Design SeniorProject 2010 Beginning=beginning of Lr minus Lt =13+63.92 -16.25m =13+47.67m End=13+63.92m E/ station where outer and inner edge of the road will have the same normal cross fall i.e., 2.5% It is a length(R) where total crown removal is attained. So, R=2*Lt =2*16.25 =32.50m, Then, the station is Beginning= station of beginning of adverse crown removal =13+047.67m End=station of beginning of adverse crown removal plus +R =13+47.67m +32.50m =13+080.17m On the same process we can do the super elevation at the exit of the curve. We know that the length of curve-2=100.79m Then the part of the curve to be full super elevated is =100.79-2*(1/3*Lr) =100.79-2*(1/3*52) =66.12m F/ Then, the station of end of full super elevation is 34 ECSC, IUDS, Urban Engineering Department (UE)
  • 35.
    Highway Design SeniorProject 2010 =end of Lr+L =13+115.92 +66.12m =13+182.04m G/ station of end of super elevation runoff is =13+182.04 +52m =13+234.04m H/ station of recovering adverse crown are: =13+234.04+16.25m =13+250.29m Curve-3 Design computation A/ computation of super elevation run-off Super elevation runoff length can be obtained from table 8.5 (ERA) using radius (Rc) and super elevation rate (e), or it can be computed from the following formula. (AASHTO) Lr = ( wn1 ) ed ( b ) w G Then, n1=1, since the number of lane rotated is =1(AASHTO, exhibit 3-31) bw=1, for one lane rotated(AASHTO, exhibit 3-31) G=0.55%, (AASHTO, exhibit 3-31)  6.7   *1 * 0.08 Therefore,  2  Lr = * (1) = 48.78m 0.55 But ERA recommends Lr=52m for ed=8% and Rc=175m. Thus, take Lr=52m B/ computation of tangent run out (Lt) 35 ECSC, IUDS, Urban Engineering Department (UE)
  • 36.
    Highway Design SeniorProject 2010 Tangent run-out can be computed using the following equation. (AASHTO) eNC Lt = * ( Lr ) ed 0.025 Lt = * ( 52 ) = 16.25m 0.08 C/ Location of super elevation run-off (Lr) Since there is no transition curve (spiral) between the tangent and the curve in the project, 2/3 rd of the super elevation length is placed on the tangent and 1/3rd of the length is placed on the curve part. 1 i.e., * 52 =17.33m (on the curve) 3 2 * 52 = 34.67 m (On the tangent) 3 Then, The beginning of the super elevation runoff length is:- =P.C-34.67m =13+263.38 -0+034.67 m =13+228.71m The end of the super elevation runoff length is:- =P.C+17.33m =13+263.38 +0+017.33m =13+280.71m D/ location of tangent run-out length Beginning=beginning of Lr minus Lt 36 ECSC, IUDS, Urban Engineering Department (UE)
  • 37.
    Highway Design SeniorProject 2010 =13+228.71-16.25m =13+212.46m End=13+228.71m E/ station where outer and inner edge of the road will have the same normal cross fall i.e., 2.5% It is a length(R) where total crown removal is attained. So, R=2*Lt =2*16.25 =32.50m, Then, the station is Beginning= station of beginning of adverse crown removal =13+212.46m End=station of beginning of adverse crown removal plus +R =13+212.46+32.50m =13+244.96m On the same process we can do the super elevation at the exit of the curve. We know that the length of curve 3=182m Then the part of the curve to be full super elevated is =182-2*(1/3*Lr) =182-2*(1/3*52) =147.33m F/ Then, the station of end of full super elevation is =13+280.71m +147.33m 37 ECSC, IUDS, Urban Engineering Department (UE)
  • 38.
    Highway Design SeniorProject 2010 =13+428.04m G/ station of end of super elevation runoff is: =13+428.04 +52m =13+480.04m H/ station of recovering adverse crown is: =13+480.04+16.25m =13+496.29m Curve-4 Design computation A/ computation of super elevation run-off Super elevation runoff length can be obtained from table 8.5 (ERA) using radius (Rc) and super elevation rate (e), or it can be computed from the following formula. (AASHTO) Lr = ( wn1 ) ed ( b ) w G Then, n1=1, since the number of lane rotated is =1(AASHTO, exhibit 3-31) bw=1, for one lane rotated(AASHTO, exhibit 3-31) G=.55%, for Vd=70km/hr, (AASHTO, exhibit 3-31)  6.7   *1 * 0.08 Therefore,  2  Lr = * (1) = 48.7m 0.55 But from ERA for ed=8% and v=70m/sec, by interpolation Lr=49.12m for Rc=236m. Thus, take Lr=49.12m B/ computation of tangent run out (Lt) Tangent run-out can be computed using the following equation. (AASHTO) 38 ECSC, IUDS, Urban Engineering Department (UE)
  • 39.
    Highway Design SeniorProject 2010 eNC Lt = * ( Lr ) ed 0.025 Lt = * ( 49.12 ) = 15.35m 0.08 C/ Location of super elevation run-off (Lr) Since there is no transition curve (spiral) between the tangent and the curve in the project, 2/3 rd of the super elevation length is placed on the tangent and 1/3rd of the length is placed on the curve part. 1 i.e., * 49.12 =16.37 m (on the curve) 3 2 * 49.12 = 32.75m (On the tangent) 3 Then, The beginning of the super elevation runoff length is:- =P.C-32.75m =13+806.5-0+032.75 =13+773.75m The end of the super elevation runoff length is:- =P.C+16.37 =13+806.5+0+016.37m =13+822.87m D/ location of tangent run-out length Beginning=beginning of Lr minus Lt 39 ECSC, IUDS, Urban Engineering Department (UE)
  • 40.
    Highway Design SeniorProject 2010 =13+773.75 -15.35m =13+758.4m End=13+839.25m E/ station where outer and inner edge of the road will have the same normal cross fall i.e., 2.5% It is a length(R) where total crown removal is attained. So, R=2*Lt =2*15.35 =30.7m Then, the station is Beginning= station of beginning of adverse crown removal =13+823.39m End=station of beginning of adverse crown removal plus +R =13+823.39m +30.70m =13+854.10m On the same process we can do the super elevation at the exit of the curve. We know that the length of curve 4=374m Then the part of the curve to be full super elevated is =374-2*(1/3*Lr) =374-2*(1/3*49.12) =341.25m F/ Then, the station of end of full super elevation is 40 ECSC, IUDS, Urban Engineering Department (UE)
  • 41.
    Highway Design SeniorProject 2010 =13+822.87+341.25m m =14+164.12m G/ station of end of super elevation runoff is: =14+164.12m +49.12m =14+213.24m H/ station of recovering adverse crown is: =14+213.24 +15.35m =14+228.59m Curve-5 Design computation A/ computation of super elevation run-off Super elevation runoff length can be obtained from table 8.5 (ERA) using radius (Rc) and super elevation rate (e), or it can be computed from the following formula. (AASHTO) Lr = ( wn1 ) ed ( b ) w G Then, n1=1, since the number of lane rotated is =1(AASHTO, exhibit 3-31) bw=1, for one lane rotated(AASHTO, exhibit 3-31) G=.55%, for Vd=70km/hr, (AASHTO, exhibit 3-31)  6.7   *1 * 0.08 Therefore,  2  Lr = * (1) = 48.78m 0.55 But ERA recommends Lr=48m for ed=8% and Rc=175m. Thus, take Lr=52m B/ computation of tangent run out (Lt) Tangent run-out can be computed using the following equation. (AASHTO) 41 ECSC, IUDS, Urban Engineering Department (UE)
  • 42.
    Highway Design SeniorProject 2010 eNC Lt = * ( Lr ) ed 0.025 Lt = * ( 52 ) = 16.25m 0.08 C/ Location of super elevation run-off (Lr) Since there is no transition curve (spiral) between the tangent and the curve in the project, 2/3 rd of the super elevation length is placed on the tangent and 1/3rd of the length is placed on the curve part. 1 i.e., * 52 =17.33m (on the curve) 3 2 * 52 = 34.67 m (On the tangent) 3 Then, The beginning of the super elevation runoff length is:- =P.C-34.67m =14+685.72m -0+034.67m =14+651.05m The end of the super elevation runoff length is:- =P.C+17.33m =14+685.72+0+017.33m =14+703.05m D/ location of tangent run-out length Beginning=beginning of Lr minus Lt 42 ECSC, IUDS, Urban Engineering Department (UE)
  • 43.
    Highway Design SeniorProject 2010 =14+651.05-16.25m =14+634.80m End=14+651.05m E/ Station where outer and inner edge of the road will have the same normal cross fall i.e., 2.5% It is a length(R) where total crown removal is attained. So, R=2*Lt =2*16.25 =32.50m, Then, the station is; Beginning=station of beginning of adverse crown removal =14+634.80m End=station of beginning of adverse crown removal plus +R =14+634.80m +32.50m =14+667.30m On the same process we can do the super elevation at the exit of the curve. We know that the length of curve 5=134.35m Then the part of the curve to be full super elevated is =134.35-2*(1/3*Lr) =134.35-2*(1/3*52) =99.68m F/ Then, the station of end of full super elevation is =14+703.05m +99.68m 43 ECSC, IUDS, Urban Engineering Department (UE)
  • 44.
    Highway Design SeniorProject 2010 =14+802.73m G/ station of end of super elevation runoff are: =14+802.73m +52m =14+854.73m H/ station of recovering adverse crown is: =14+854.73m +16.25m =14+870.98m Curve-6 Design computation A/ computation of super elevation run-off: Super elevation runoff length can be obtained from table 8.5 (ERA) using radius (Rc) and super elevation rate (e), or it can be computed from the following formula. (AASHTO) Lr = ( wn1 ) ed ( b ) w G Then, n1=1, since the number of lane rotated is =1(AASHTO, exhibit 3-31) bw=1, for one lane rotated(AASHTO, exhibit 3-31) G=.55%, for Vd=60km/hr, (AASHTO, exhibit 3-31)  6.7   *1 * 0.08 Therefore,  2  Lr = * (1) = 48.78m 0.55 But ERA recommends Lr=48m for ed=8% and Rc=175m. Thus, take Lr=52m 44 ECSC, IUDS, Urban Engineering Department (UE)
  • 45.
    Highway Design SeniorProject 2010 B/ computation of tangent run out (Lt) Tangent run-out can be computed using the following equation. (AASHTO) eNC Lt = * ( Lr ) ed 0.025 Lt = * ( 52 ) = 16.25m 0.08 C/ Location of super elevation run-off (Lr) Since there is no transition curve (spiral) between the tangent and the curve in the project, 2/3 rd of the super elevation length is placed on the tangent and 1/3rd of the length is placed on the curve part. 1 i.e., * 52 =17.33m (on the curve) 3 2 * 52 = 34.67 m (On the tangent) 3 Then, The beginning of the super elevation runoff length is:- =P.C-34.67m =15+175.76m -0+034.67m =15+141.10m The end of the super elevation runoff length is:- =P.C+17.33m =15+175.76m +0+017.33m =15+193.10m 45 ECSC, IUDS, Urban Engineering Department (UE)
  • 46.
    Highway Design SeniorProject 2010 D/ location of tangent run-out length Beginning=beginning of Lr minus Lt =15+141.10m -16.25m =15+123.85m End=15+123.85m E/ station where outer and inner edge of the road will have the same normal cross fall i.e., 2.5% It is a length(R) where total crown removal is attained. So, R=2*Lt =2*16.25 =32.50m, Then, the station is Beginning= station of beginning of adverse crown removal =15+123.85m End=station of beginning of adverse crown removal plus + R =15+123.85m +32.50m =15+156.35m On the same process we can do the super elevation at the exit of the curve. We know that the length of curve 6=99.20m Then the part of the curve to be full super elevated is =99.20-2*(1/3*Lr) =99.20-2*(1/3*52) =64.53m 46 ECSC, IUDS, Urban Engineering Department (UE)
  • 47.
    Highway Design SeniorProject 2010 F/ Then, the station of end of full super elevation is =15+193.10+64.53m =15+257.63m G/ station of end of super elevation runoff is: =15+257.63m +52m =15+309.63m H/ station of recovering adverse crown is: =15+309.63m +16.25m =15+325.88m Super elevation overlaps: The end of tangent run out (super elevation runoff length) for curve 2 and the beginning of tangent run out (super elevation runoff length) of curve 3 overlaps with an amount of: Over lap= (13+250.29)-(13+212.46) =42.83m Therefore, this overlap length has to distribute on the curve part of each curve according to the following. Half of the overlap distance has to be added to the part of the curve. I.e. if the overlap length is d, the part of super elevation on the curve will be =1/3rd (Lr) +d/2 =17.33+42.83/2m =38.475m But this length has to be 40% of length of the corresponding curve. 47 ECSC, IUDS, Urban Engineering Department (UE)
  • 48.
    Highway Design SeniorProject 2010 Check: Lc of curve 2=100.79m Then, 40%*100.79=40.32>38.745m…………….OK! Lc of curve 3=182m, Then, 0.4*182=72.8>38.475m………………………OK! Re-adjustment for super elevation stations. Curve-2 1. The beginning of the super elevation runoff length is:- =P.C-(34.67-21.415) m =13+98.59-(0+013.25) =13+085.34m 2. The end of the super elevation runoff length is:- =P.C+17.33m =13+98.59+ (0+017.33+21.415) m =13+137.34m 3. Location of tangent run-out length Beginning=beginning of Lr minus Lt =13+085.34m -16.25m =13+069.09m End=13+085.34m 4. Station where outer and inner edge of the road will have the same normal cross fall i.e., 2.5% It is a length(R) where total crown removal is attained. 48 ECSC, IUDS, Urban Engineering Department (UE)
  • 49.
    Highway Design SeniorProject 2010 So, R=2*Lt =2*16.25 =32.50m, Then, the station is Beginning= station of beginning of adverse crown removal =13+069.09m End=station of beginning of adverse crown removal plus +R =13+069.09m +32.50m =13+101.59m On the same process we can do the super elevation at the exit of the curve. We know that the length of curve-2=100.79m Then the part of the curve to be full super elevated is =100.79-2*(1/3*Lr+21.415) =100.79-2*(1/3*52+21.415) =23.29m 5. Then, the station of end of full super elevation is =end of Lr+23.29 =13+137.34m +23.29m =13+160.63m 6. Station of end of super elevation runoff is =13+160.63+52m =13+212.63m 49 ECSC, IUDS, Urban Engineering Department (UE)
  • 50.
    Highway Design SeniorProject 2010 7. Station of recovering adverse crown is: =13+212.63m +16.25m =13+228.88m Curve-3 1. The beginning of the super elevation runoff length is:- =P.C-(34.67-21.415) m =13+263.38 – (0+013.25) m =13+250.13m 2. The end of the super elevation runoff length is:- =P.C+ (17.33+21.415) m =13+263.38 + (0+38.75) m =13+302.13m 3. Location of tangent run-out length Beginning=beginning of Lr minus Lt =13+250.13m -16.25m =13+233.88m End=13+250.13m 4. Station where outer and inner edge of the road will have the same normal cross fall i.e., 2.5% It is a length(R) where total crown removal is attained. So, R=2*Lt =2*16.25 =32.50m, 50 ECSC, IUDS, Urban Engineering Department (UE)
  • 51.
    Highway Design SeniorProject 2010 Then, the station is Beginning= station of beginning of adverse crown removal =13+250.13m End=station of beginning of adverse crown removal plus +R =13+250.13m +32.50m =13+282.63m On the same process we can do the super elevation at the exit of the curve. We know that the length of curve 3=182m Then the part of the curve to be full super elevated is =182-2*(1/3*Lr+d/2) =182-2*((1/3*52) +42.83/2) =104.50m 5. Then, the station of end of full super elevation is =13+302.13m +104.50 =13+406.63m 6. Station of end of super elevation runoff is: =13+406.63m + 52m =13+458.63m 7/ station of recovering adverse crown is: =13+458.63m +16.25m =13+474.88m 51 ECSC, IUDS, Urban Engineering Department (UE)
  • 52.
    Highway Design SeniorProject 2010 Fig 2-6 profile, section and station of super elevation, tangent run out for all curves 52 ECSC, IUDS, Urban Engineering Department (UE)
  • 53.
    Highway Design SeniorProject 2010 STATIONS CURVE NUMBER A B C D E F G H Curve 1 12+604.51 12+620.76 12+637.01 12+672.76 12+757.22 12+792.97 12+809.22 12+825.47 Curve 2 13+069.09 13+085.34 13+101.59 13+137.34 13+160.63 13+196.38 13+212.63 13+228.88 Curve 3 13+233.88 13+250.13 13+282.63 13+302.13 13+406.63 13+442.38 13+458.63 13+474.88 Curve 4 13+756.4 13+773.75 13+789.10 13+822.87 14+164.12 14+197.89 14+213.24 14+228.59 Curve 5 14+634.80 14+651.05 14+667.30 14+703.05 14+802.73 14+838.48 14+854.73 14+870.98 Curve 6 15+123.85 15+141.10 15+156.35 15+193.10 15+257.63 15+293.38 15+309.63 15+325.88 Table 2-7 stations of super elevation, tangent run out for all curves. 53 ECSC, IUDS, Urban Engineering Department (UE)
  • 54.
    Highway Design SeniorProject 2010 2.2.1.4 Curve widening Widening on a curve is giving extra width on a road curves. This is because:-  It has been found that the drivers on curves have difficulty in steering their vehicles to outer edge of road as they are able to on the straight because the rear wheels do not follow precisely the same path as the front wheels when the vehicles negotiates a horizontal curve or makes a turn.  Also there is psychological tendency to drive at greater clearance, when passing vehicle on curved than on straights. Hence, there is dire necessity for widening the carriage way on curves.  On curves the vehicles occupy a greater width because the rear wheels track inside the front wheels. Analysis of extra widening on horizontal curves When vehicles negotiate a curve, the rear wheel generally do not follow the same track as that of the front wheels. It has been observed that except at very high speed, the rear axle of a motor vehicles remains in line with the radius of the curve. Since the body of the vehicle is rigid, therefore, the front wheel will twist themselves at one angle to their axle, such that vertical plane passing through each wheel is perpendicular to the radius of the curve in order to trace the path on the curve. This is known as ‘off tracking’. To determine width (W) it is necessary to select an appropriate design vehicle. The design vehicle should usually be a truck because the off tracking is much greater for trucks than for passenger car. (AASHTO) There fore, widening on horizontal curves depend on:  The length and width of the vehicle  Radius of curvature 54 ECSC, IUDS, Urban Engineering Department (UE)
  • 55.
    Highway Design SeniorProject 2010 Fig 2-7 widening of pavements on horizontal curves Let; L= length of wheel base of vehicle in m. b=width of the road in m, w=extra width in m, R1=radius of the outer rear wheel in m, R2= radius of the outer front wheel in m, n=number of lanes Rc= radius of curvature The formula obtained from the above geometries for extra widening for more than one lane (mechanical widening) is:- n * L2 mechanical..widening = wm = 2 * Rc The extra widening needed for psychological reasons mentioned above is assumed as:- 55 ECSC, IUDS, Urban Engineering Department (UE)
  • 56.
    Highway Design SeniorProject 2010 v psycho log icalwidening = w p = 10 Rc There fore, total widening w will be:- n * L2 v w= + 2 * Rc 10 Rc Widening attainment on curves The following rules apply for attaining widening on both ends of the curve. (AASHTO) A. widening should be done gradually and has to be realized on the inside edge of un- spiraled curve (on simple curve) pavements. B. In the case of a circular curve with transition curves, widening may be applied on the inside edge or divide equally on either side of the center line. C. On highway curves without transition curves widening should preferably be attained along the length of super elevation runoff. A smooth fitting alignment would result from attaining widening on-one half to two-third along the tangent and the remaining along the curve. D. Widening is not necessary for large radius greater than 250m. Curve-1, 2, 3, 5, and 6 Design computations Design data: Rc = 175m, n=2 L= take 6m (for the design vehicle usually a truck, corresponding to AASHTO, Single unit (SU)) V=70m/sec n * L2 v w= + 2 * Rc 10 Rc 2 * 62 70 w= + = 0.73m 2 *175 10 175 56 ECSC, IUDS, Urban Engineering Department (UE)
  • 57.
    Highway Design SeniorProject 2010 For all curves having a radius between 120 to 250m ERA recommends a minimum of widening width equal to 0.6m. But we recommend the calculated value 0.73m. So, all the curves will have the corresponding value unless they are no less than the recommended value by ERA. Therefore, this widening will be introduced at the inner edge of the curves. Because all the curves are un spiraled curves. Fig2-8.widening of pavement on curves WIDENING STARTING STARTING LAST PT OF END POINT REMARK WIDTH(M) POINT OF POINT OF FULL OF WIDENING FULL WIDENING WIDENING WIDENING 0.73 12+620.76 12+672.76 12+757.22 12+809.22 12+620.76 Table 2-8 widening stations for curve 1 Curve-4 Design computation Design data: Rc=236m, N=2, L= take 6m, V=70m/se 57 ECSC, IUDS, Urban Engineering Department (UE)
  • 58.
    Highway Design SeniorProject 2010 n * L2 v w= + 2 * Rc 10 Rc 2 * 62 70 w= + = 0.61m 2 * 236 10 236 CUR WIDENI STARTING STARTING LAST PT OF END POINT VE NG POINT OF POINT OF FULL OF NO. WIDTH( WIDENING FULL WIDENING WIDENING M) WIDENING C1 0.73 12+620.76 12+672.76 12+757.22 12+809.22 C2 0.73 13+085.34 13+137.34 13+160.63 13+212.63 C2 0.73 13+250.13 13+302.13 13+406.63 13+458.63 C3 0.73 13+839.25 13+822.87 14+164.12 14+213.24 C4 0.61 14+651.05 14+703.05 14+802.73 14+854.73 C5 0.73 15+141.10 15+193.10 15+257.63 15+309.63 C6 0.73 12+620.76 12+672.76 12+757.22 12+809.22 Table2-9 Widening length and stations for all curves. 2.2.1.4 Site distance Another element of horizontal alignment is the site distance across the inside of the curves. Sight distance is the distance visible to the driver of a passenger car or the roadway ahead that is visible to the driver. For highway safety, the designer must provide sight distances of sufficient length that drivers can control the operation of their vehicles. They must be able to avoid striking an unexpected object on the traveled way. Where there are site obstruction( such as walls, cut slops, buildings and longitudinal barriers) on the inside of curves or the in side of the median lane on divided highways, a design may need adjustment in the normal high way cross section or change in the alignment if removal of the obstruction is impractical to provide adequate site distance. Because of the many variables in alignment, in cross section and in the number, type and 58 ECSC, IUDS, Urban Engineering Department (UE)
  • 59.
    Highway Design SeniorProject 2010 location of potential obstructions, specific study is usually need for each individual curve. With site distance for the design speed as a control, the designer should check the actual conditions on each curve and make the appropriate adjustment to provide adequate distance. Two-lane rural highways should generally provide such passing sight distance at frequent intervals and for substantial portions of their length. Stopping site distance Stopping sight distance is the distance required by a driver of a vehicle traveling at a given speed to bring his vehicle to a stop after an object on the road way becomes visible. The minimum stopping sight distance is determined from the following formula, which takes into account both the driver reaction time and the distance required to stop the vehicle. The formula is: d= (0.278) (t) (v) +v2/ 254f Where: d = distance (meter) t = driver reaction time, generally taken to be 2.5 seconds V = initial speed (km/h) F = coefficient of friction between tires and roadway (see Table 7-1) OR the stopping site distance is given in ERA manual in the following table. Design Speed Coefficient Stopping Sight Passing Sight Reduced Passing Sight Distance (km/h) of Friction (f) Distance (m) Distance (m) for design (m) from formulae 20 0.42 20 160 50 30 0.40 30 217 75 59 ECSC, IUDS, Urban Engineering Department (UE)
  • 60.
    Highway Design SeniorProject 2010 40 0.38 45 285 125 50 0.35 55 345 175 60 0.33 85 407 225 70 0.31 110 482 275 85 0.30 155 573 340 100 0.29 205 670 375 120 0.28 285 792 425 Table 2-10: Sight Distances The coefficient of friction values shown in Table 2-10 have been determined from test using the lowest results of the friction tests. The values shown in the third column of the above table for minimum stopping sight distance are rounded from the above formula. For the general use in the design of horizontal curve, the sight line is a chord of the curve, and the stopping site distance is measured along the center line of the inside lane around the curve. The horizontal site line offset needed for clear site areas that satisfy stopping site distance can be derived from the geometry for the several dimension explained in the following figure. 60 ECSC, IUDS, Urban Engineering Department (UE)
  • 61.
    Highway Design SeniorProject 2010 Fig 2-9 Site distance for horizontal curves Relevant formulae are as follows: ∆ Siteline( S ) = 2 R sin 2  ∆ Middle..ordinate(d ) = R1 − cos   2 Where ∆ = Deflection angle R=radius (from the center line of the inner lane) Design computation Using the above formulas the stopping site distance(d), the line of site(S) and middle ordinate(M) of each horizontal curves can be calculated from the data’s of each curve organized in the following table below. driver deflection Radius speed(V) reaction Coefficient of curve no time angle(D) (R),m km/hr friction(f) (t) in sec. Curve 1. 39 173.325 70 2.5 0.31 Curve 2. 33 173.325 70 2.5 0.31 Curve 3. 59.62 173.325 70 2.5 0.31 Curve 4. 90.81 234.325 70 2.5 0.31 Curve 5. 44.15 173.325 70 2.5 0.31 Curve 6. 32.48 173.325 70 2.5 0.31 Table 2-11 different data about each curve ∆ Siteline( S ) = 2 R sin 2 61 ECSC, IUDS, Urban Engineering Department (UE)
  • 62.
    Highway Design SeniorProject 2010  ∆ Middle..ordinate( d ) = R1 − cos   2 v2 Stoppingsitedist..(d ) = 0.278vt + 254 f Curve Site line (S) Middle Stopping site distance(m) in m. ordinate (M) in m. Calculated Recommended by distance in m ERA curve 1 115.714 9.94 510.55 110 curve 2 98.454 7.14 510.55 110 curve 3 172.329 22.93 510.55 110 curve 4 333.72 69.81 510.55 110 curve 5 130.278 12.76 510.55 110 curve 6 96.945 6.92 510.55 110 Table2-12 Site distance elements 62 ECSC, IUDS, Urban Engineering Department (UE)
  • 63.
    Highway Design SeniorProject 2010 Fig 2-10 stopping site distance of curve 1 Passing site distance Passing sight distance is the minimum sight distance on two-way single roadway roads that must be available to enable the driver of one vehicle to pass another vehicle safely without interfering with the speed of an oncoming vehicle traveling at the design speed. Within the sight area the terrain should be the same level or a level lower than the roadway. Otherwise, for horizontal curves, it may be necessary to remove obstructions and widen cuttings on the insides of curves to obtain the required sight distance. The passing sight distance is generally determined by a formula with four components, as follows: d1 = initial maneuver distance, including a time for perception and reaction d2 = distance during which passing vehicle is in the opposing lane d3 = clearance distance between vehicles at the end of the maneuver d4 = distance traversed by the opposing vehicle The formulae for these components are as indicated below: 63 ECSC, IUDS, Urban Engineering Department (UE)
  • 64.
    Highway Design SeniorProject 2010 d1 = 0.278 t1 (v – m + at1/2) Where, t1 = time of initial maneuver, s a = average acceleration, km/h/s v = average speed of passing vehicle, km/h m = difference in speed of passed vehicle and passing vehicle, km/h d2 = 0.278 vt2 Where, t2 = time passing vehicle occupies left lane, sec. v = average speed of passing vehicle, km/h d3 = safe clearance distance between vehicles at the end of the maneuver, is dependent on ambient speeds as per Table 7-2 of ERA standard: Table 7-2: Clearance Distance (d3) vs. Ambient Speeds Speed Group (km/h) Speed group(km/hr) 50-65 66-80 81-100 101-120 D3(m) 30 55 80 100 d4 = distance traversed by the opposing vehicle, which is approximately equal to 2/3 rd of d2 whereby the passing vehicle is entering the left lane, estimated at: d4 = 2d2/3 The minimum Passing Sight Distance (PSD) for design is therefore: PSD = d1+ d2 + d3 + d4 64 ECSC, IUDS, Urban Engineering Department (UE)
  • 65.
    Highway Design SeniorProject 2010 Even if it is calculated using the above formula ERA recommends passing site distance, so we use the value given by ERA design manual. Sample calculation Curve 1 Data: Design speed=70km/hr=v of passing vehicle Assume the following values T1=3.5 sec, T2=3sec, a=1.0m/sec2 V of passing vehicle=70km/hr V of passed vehicle=65km/hr i.e., m=70-65=5km/hr Then, d1= 0.278 t1 (v – m + at1/2) d1 = 0.278 *3.5* (70 – 5 + (1*3)/2) =64.71m d2= 0.278 vt2= 0.278 *70*3 =58.38m d3=55m, for design speed group=66km/hr-80km/hr d4= 2d2/3 = (2*58.38)/3 =38.92m Therefore, total passing site distance is, PSD=d1+d2+d3+d4 = Error! Not a valid link.Error! Not a valid link.Error! Not a valid link.Error! Not a valid link. =218.95m 65 ECSC, IUDS, Urban Engineering Department (UE)
  • 66.
    Highway Design SeniorProject 2010 Fig 2-11 Components of passing maneuver used in passing site distance. 2.2.2 Design of vertical alignment The two major aspects of vertical alignment are vertical curvature, which is governed by sight distance criteria, and gradient, which is related to vehicle performance and level of service. The purpose of vertical alignment design is to determine the elevation of selected points along the roadway, to ensure proper drainage, safety, and ride comfort. So it is important to use different series of grades and to create a smooth transition between these grades parabolic curves are used. The vertical alignment includes:  Joining the grades with smooth curve.  Location of appropriate gradients. 2.2.2.1 Design consideration 2.2.2.1.1 Gradient and grade controls Changes of grade from plus to minus should be placed in cuts, and changes from a minus grade to a plus grade should be placed in fills.Highway should be designed to encourage uniform operation throughout the stretch.In the analysis of grades and grade control, one of the most important considerations is the effect of grades on the operating of the motor 66 ECSC, IUDS, Urban Engineering Department (UE)
  • 67.
    Highway Design SeniorProject 2010 vehicle.Determination of grades for vertical alignment the following are taken in to consideration for; 1. The maximum limit of grades.  Visibility related to sight distance.  Stopping sight distance.  Passing sight distance.  Rider and passenger comfort.  Cost of vehicle operation  General appearance  Cut and fill (earth work) 2. The minimum limit of grades.  Drainage purpose In this project the two cases are taken in to account as recommended by ERA 2001. 2.2.2.1.2 Vertical curves A vertical curve provides a smooth transition between two tangent grades. There are two types of vertical curves. Crest vertical curves and sag vertical curves.  When a vertical curve connects a positive grade with a negative grade, it is referred to as a crest curve.  When a vertical curve connects a negative grade with a positive grade, it is termed as a sag curve. In this project crest and sage curves are applied to create a smooth transition between these grades. Length of vertical curves Crest curves: 67 ECSC, IUDS, Urban Engineering Department (UE)
  • 68.
    Highway Design SeniorProject 2010 For crest curves, the most important consideration in determining the length of the curve is the sight distance requirement.  Sight distance — stopping and — passing sight distance Sag curves: For sag curves, the criteria for determining the length of the curve are:  vehicle headlight distance,  rider comfort,  drainage control and  General appearance. When the computed curve length for the above requirements is less than the minimum curve length recommended by ERA2001, this recommended value is taken as curve length. Error! Not a valid link.Site distance (Both stopping and passing) For Crest Vertical Curve The stopping sight distance is the controlling factor in determining the length of a crest vertical curve. Minimum Length required for safe stopping calculated (from AASHTO) When Sd ≥ Lvcmin When Sd ≤ Lvcmin The 100 in the above equations are to convert A from % into decimals. 68 ECSC, IUDS, Urban Engineering Department (UE)
  • 69.
    Highway Design SeniorProject 2010 Where Lvc min = Minimum length of vertical curve compute Sd = Min. Stopping Sight Distance = 85 m for mountainous terrain. Psd = Min. Passing Sight Distance = 225 m for mountainous terrain. Sight distances should be checked during design, and adjustments made to meet the minimum requirements. The following values should be used for the determination of sight lines. Shown in the figures below: Fig 2-12 Site distance for crust curve ERA Manual recommends that: h1= Driver's eye height = 1.07 meters h2 = Object height for stopping sight distance = 0.15 meters = Object height for passing sight distance: = 1.30 meters For sag Vertical Curve 69 ECSC, IUDS, Urban Engineering Department (UE)
  • 70.
    Highway Design SeniorProject 2010 Figure below shows the driver’s sight limitation when approaching a sag vertical curve. The problem is more obvious during the night time when the sight of the driver is restricted by the area projected by the headlight beams of vehicle. Hence, the angle of the beam from the horizontal plane is also important. This design control criteria is known as headlight sight distance. The headlight height of h = 0.6 m and upward angle for the headlight projection cone of β =1° is normally assumed. The governing equations are (from AASHTO) When Sd ≥ Lvcmin When Sd ≤ Lvcmin Fig 2-13 Site distance for sag curve A driver may experience discomfort when passing a vertical curve. The effect of discomfort is more obvious on a sag vertical curve than a crest vertical curve with the same radius, because the gravitational and centripetal forces are in the opposite directions. Some of the ride discomfort may be compensated by combination of vehicle weight, suspension system and tire flexibility. The following equation has been 70 ECSC, IUDS, Urban Engineering Department (UE)
  • 71.
    Highway Design SeniorProject 2010 recommended by AASHTO as the minimum length of a vertical curve that will provide satisfactory level of ride comfort. Design standards from ERA manual: Urban/Peri- Urban Design Element Unit Flat Mountainous Escarpment Rolling Design Speed km/h 85 70 60 50 50 Min. Stopping Sight Distance m 155 110 85 55 55 Min. Passing Sight Distance m 340 275 225 175 175 % Passing Opportunity % 25 25 15 0 20 Max. Gradient (desirable) % 4 5 7 7 7 Max. Gradient (absolute) % 6 7 9 9 9 Minimum Gradient % 0.5 0.5 0.5 0.5 0.5 Crest Vertical Curve k 60 31 18 10 10 Sag Vertical Curve k 36 25 18 12 12 Table 2-13 Design Parameters for Design Standard DS4 (Paved) Phasing: Even if we face phasing problem on vertical curve 1 with horizontal curve 3 and vertical curve 3 with horizontal curve 5, we took a corrective action by separating them again vertical curve 2 and horizontal curve 4 corrected by making the ends of the curves to end at a common station in the design process according to ERA. 2.2.2.2. Computation of gradients 1. Gradient of the first alignment (g1) 71 ECSC, IUDS, Urban Engineering Department (UE)
  • 72.
    Highway Design SeniorProject 2010 To calculate the first gradient; Elevation of the first point = 1386 m Elevation of the second point = 1395.4 m Elevation difference = 1395.4-1386 = 9.4 m Horizontal distance b/n the two points = (13+572)-(12+500) = 1072 m Gradient (Slope) = elevation difference/horizontal distance = (9.4/1072) = 0.0088 Gradient (Slope) g1 = 0.88 % 2. Gradient of the second alignment (g2) To calculate the second gradient; Elevation of the first point = 1395.4 m Elevation of the second point = 1375 m Elevation difference = 1375-1395.4 = -20.4 m Horizontal distance b/n the two points = (14+000)-(13+572) = 428 m Slope (gradient) = elevation difference/ horizontal distance = -20.4/430 = -0.0477 Gradient (Slope) g2 = -4.77 % 3. Gradient of the third alignment (g3) To calculate the third gradient Elevation of the first point = 1375 m Elevation of the second point = 1377 m Elevation difference = 1377-1375 = 2m Horizontal distance b/n the two points = (14+480)-(14+000) = 480m 72 ECSC, IUDS, Urban Engineering Department (UE)
  • 73.
    Highway Design SeniorProject 2010 Gradient (Slope) = elevation difference/ horizontal distance = (2/480) = 0.0042 Gradient (Slope) g3 = 0.42 % 4. Gradient of the forth alignment (g4) To calculate the forth gradient Elevation of the first point = 1377 m Elevation of the second point = 1352 m Elevation difference = 1352-1377 = -25 Horizontal distance b/n the two points = (15+500)-(14+480) = 1020m Slope (gradient) = elevation difference/ horizontal distance = -25/1020 = -0.0245 Gradient (Slope) g4= -2.45% Elevation station Horizontal second Second Slope Grade First point point Elev. diff. First point point distance(m) (%) g1 1386 1395.4 9.4 12500 13572 1072 0.88 g2 1395.4 1375 -20.4 13572 14000 428 -4.77 g3 1375 1377 2 14000 14480 480 0.42 g4 1377 1352 -25 14480 15500 1020 -2.45 Table 2-14: Summery of gradients of vertical alignment 2.2.2.5 Computation of vertical curve elements There are three vertical curves in this project; 73 ECSC, IUDS, Urban Engineering Department (UE)
  • 74.
    Highway Design SeniorProject 2010 The first vertical curve is a crest curve connects a positive grade with a negative grade; i.e. 0.88 % and -4.77 %. The second curve is a sag curve connects a negative grade with a positive grade ; i.e. -4.77 % and 0.42 %. The third curve is a crest curve connects a positive grade with a negative grade; i.e. 0.42 % and -2.45 %. 1. For Curve one (crest curve) Station of PVI = 13+572 Elevation PVI = 1395.4 m Gradient, g1 = 0.88 % Gradient, g2 = -4.77 % Grade Algebraic difference of grades (A) A = g2-g1 =0.88 - (-4.77) = /5.64/ = 5.64 % Computation of the curve length a) Curve length required for minimum curvature, k The value of K = 18 for DS4 from design standard, and Mountainous Lvcmin = AK = 5.64*18 = 101.58 m But to get smooth vertical curve to different safety purpose we increase LVC from 101.58 to 120 m b) Length required for safe stopping When Sd ≥ Lvcmin 74 ECSC, IUDS, Urban Engineering Department (UE)
  • 75.
    Highway Design SeniorProject 2010 c) Length required for safe passing When Sd ≥ Lvcmin d) Length required for ride comfort e) Length required for aesthetic (appearance) Lvcmin = 30 *A = 30*5.64 =169m There fore the maximum of the above values Lvcmin = 301.90 m is to be provided as curve length, but this curve length over lap with one side of horizontal curve. Therefore we provide minimum curve length recommended by ERA2001, which is LC = 200m. So this value is provided as curve length and we post traffic sign that prevent passing for that specific area. Curve grade tabulation From above table 2-14; g1=0.88 %, g2 = -4.77 % and LVC = 200 m, 75 ECSC, IUDS, Urban Engineering Department (UE)
  • 76.
    Highway Design SeniorProject 2010 Elev.PVI = 1395.4 m Elev.PVC = Elev.PVI – (g1* LVC/2 ) = 1395.4 – (0.0088*200/2) = 1394.52 m Finished grade = (Ele.PVC +g1x) + ((g2-g1) x2)/2LV Tangent Finished STA.PVC X g1*X% (g2- g1)x2)/2LVC grade(Ele.PVC+g1x) grade 13472 0 0 1394.62 0 1394.52 13492 20 0.16 1394.77 -0.06 1394.64 13512 40 0.31 1394.93 -0.22 1394.65 13532 60 0.47 1395.09 -0.50 1394.54 13552 80 0.63 1395.24 -0.89 1394.32 13572 100 0.78 1395.40 -1.39 1393.99 13592 120 0.94 1395.56 -2.00 1393.54 13612 140 1.10 1395.71 -2.72 1392.99 13632 160 1.25 1395.87 -3.55 1392.31 13652 180 1.41 1396.03 -4.50 1391.53 13672 200 1.57 1396.18 -5.55 1390.63 Table 2-15 finished grade tabulation for curve-1 76 ECSC, IUDS, Urban Engineering Department (UE)
  • 77.
    Highway Design SeniorProject 2010 Fig. 2-14 elements of vertical curve-1 2. Curve Two (sag curve) Elements of sag curve. Station of PVI = 14+000 Elevation PVI = 1383.63 m Grade Algebraic difference of grades (A) Gradient ( g1) = -4.77 % , Gradient(g2) = 0.42 % A = g2-g1 = 0.42-(-4.77) = /5.18/ = 5.18 % Computation of the curve length a) Curve length required for minimum curvature, k The value of K = 25 for DS4 design standard, and Rolling. L =AK=5.18*25 = 129.50 m But to get smooth vertical curve for different safety purpose we increase L VC from 129.50 to 150 m b) Length required for safe stopping When Sd ≥ Lvcmin 77 ECSC, IUDS, Urban Engineering Department (UE)
  • 78.
    Highway Design SeniorProject 2010 c) Length required for safe passing When Sd ≥ Lvcmin d) Length required for ride comfort e) Length required for aesthetic (appearance) Lvcmin = 30 *A = 30*5.18 =155 m There fore the maximum of the above values Lvcmin = 352.92 m is to be provided as curve length. But to get smooth vertical curve for different safety purpose we increase LVC from 352.92 to 362 m. Curve grade tabulation From above table 2-14 ; g1= 0.42 , g2 = -4.77 , and LVC = 362 m, Elev.PVI = 1375 m Elev.PVC = Elev.PVI – (g1* LVC/2) = 1395.4 – (0.0042*362/2) = 1383.63 m Finished grade= (Ele.PVC +g1x) + ((g2-g1) x2)/2LVC) 78 ECSC, IUDS, Urban Engineering Department (UE)
  • 79.
    Highway Design SeniorProject 2010 Tangent grade ((g2-g1)x2) STA.PVC X g1*X% Finished grade (Ele.PVC +g1x) 2LVC 13819 0 0 1383.63 0 1383.63 13839 20 -0.95 1382.67 0.03 1382.70 13859 40 -1.91 1381.72 0.11 1381.84 13879 60 -2.86 1380.77 0.26 1381.03 13899 80 -3.81 1379.81 0.46 1380.27 13919 100 -4.77 1378.86 0.72 1379.58 13939 120 -5.72 1377.91 1.03 1378.94 13959 140 -6.67 1376.95 1.40 1378.36 13979 160 -7.63 1376.00 1.83 1377.83 13999 180 -8.58 1375.05 2.32 1377.37 14019 200 -9.53 1374.09 2.86 1376.96 14039 220 -10.49 1373.14 3.46 1376.61 14059 240 -11.44 1372.19 4.12 1376.31 14079 260 -12.39 1371.23 4.84 1376.07 14099 280 -13.35 1370.28 5.61 1375.89 14119 300 -14.30 1369.33 6.44 1375.77 14139 320 -15.25 1368.37 7.33 1375.71 14159 340 -16.21 1367.42 8.28 1375.70 14179 360 -17.16 1366.47 9.28 1375.75 14181 362 -17.25 1366.37 9.38 1375.75 Table 2-16 finished grade tabulation for curve-2 79 ECSC, IUDS, Urban Engineering Department (UE)
  • 80.
    Highway Design SeniorProject 2010 Fig. 2-15 elements of vertical curve-2 Curve Three (Crest curve) Station of PVI = 14+480 Elevation PVI = 1377m Gradient (g1) = 0.42 % Gradient (g2) = -2.45 % Grade Algebraic difference of grades (A) A = g2-g1 =0.42 - (-2.45) = /2.87/ = 2.87 % Computation of the curve length a) Curve length required for minimum curvature, k The value of K = 31 for DS4 design standard, and Rolling Lvcmin = AK = 2.87*31 = 88.90 m 80 ECSC, IUDS, Urban Engineering Department (UE)
  • 81.
    Highway Design SeniorProject 2010 But to get smooth vertical curve to different safety purpose we increase LVC from 88.90 to 120 b) Length required for safe stopping When Sd ≤ Lvcmi c) Length required for safe passing When Sd ≤ Lvcmi d) Length required for ride comfort e) Length required for aesthetic (appearance) Lvcmin = 30 *A =30*2.87 = 86 m 81 ECSC, IUDS, Urban Engineering Department (UE)
  • 82.
    Highway Design SeniorProject 2010 There fore the maximum of the above values Lvcmin = 220.47 m is to be provided as curve length. But to get smooth vertical curve to different safety purpose we increase LVC from 220.47 to 240m. Curve grade tabulation From above table: - g1=0.42, g2 = -2.45 and LVC = 240 m, Elev.PVI = 1377 m Elev.PVC = Elev.PVI – (g1* LVC/2) = 1377– (0.0042*240/2) = 1376.50m Finished grade= (Ele.PVC +g1x) + ((g2-g1) x2)/2LVC) Tangent grade (g2-g1)x2) Finished STA.PVC X g1*X% (Ele.PVC 2LVC grade +g1x) 14360 0 0 1376.50 0 1376.50 14380 20 0.083 1376.58 -0.02 1376.56 14400 40 0.167 1376.67 -0.10 1376.57 14420 60 0.250 1376.75 -0.22 1376.53 14440 80 0.333 1376.83 -0.38 1376.45 14460 100 0.417 1376.92 -0.60 1376.32 14480 120 0.500 1377.00 -0.86 1376.14 14500 140 0.583 1377.08 -1.17 1375.91 14520 160 0.667 1377.17 -1.53 1375.64 14540 180 0.750 1377.25 -1.94 1375.31 14560 200 0.833 1377.33 -2.39 1374.94 14580 220 0.917 1377.42 -2.89 1374.53 14600 240 1.000 1377.50 -3.44 1374.06 Table 2-17 finished grade tabulation for curve-3 82 ECSC, IUDS, Urban Engineering Department (UE)
  • 83.
    Highway Design SeniorProject 2010 Fig. 2-16 elements of vertical curve-3 Vertical LVC A K LVCmin LVC adj Sta. PVI Sta.PVC Sta.PVT Elev.PVI Elev.PVC Curve provide VC1 5.64 18 101.58 120 200 13+572 13+472 13+672 1395.4 1394.52 VC2 5.18 25 129.50 150 362 14+000 13+819 14+181 1375 1383.63 VC3 2.87 31 88.90 120 240 14+480 14+360 14+600 1377 1376.50 Table 2-18 summery of vertical curves 2.2.3 Road cross sections 83 ECSC, IUDS, Urban Engineering Department (UE)
  • 84.
    Highway Design SeniorProject 2010 A cross sectional elements in the high way design pertains to those features which deals with its width. They will normally consist of the carriage way, shoulders, right of way, roadway width, pavement width, the median, side slopes, drainage features and earth work profiles. Carriage way: The part of the road constructed for use by moving traffic as traffic lanes. For our project for DS4 and main access road ERA recommends 6.7m. Lane width Feature of a high way having great influence on safety and comfort in the width of the carriage way, due to this we use a lane width of 3.35 m which is recommended for DS4 road are shown in table 2.6 ERA 2001 for all roads design standards. Shoulders Shoulder is:-  Is the portion of the road between the outer edges and the edges of the carriage- way are called shoulders.  Is the portion of the roadway contiguous to the carriageway for the accommodation of stopped vehicles; traditional and intermediate non-motorized traffic, animals, and pedestrians; emergency use; the recovery of errant vehicles; and lateral support of the pavement courses. It will provide wherever possible for emergency stopping and lateral support of the carriageway pavement. Where the carriageway is paved, the shoulder should also be sealed with a single bituminous surface treatment. This has several advantages. It would prevent edge raveling and maintenance problems associated with parking on a gravel shoulder. 84 ECSC, IUDS, Urban Engineering Department (UE)
  • 85.
    Highway Design SeniorProject 2010 Sealing of the shoulder is recommended under the following conditions: • Where the total resulting gradient exceeds 25 per cent, it is recommended for paved shoulder as the width is only 1m; this will reduce the frequent maintenance needs in mountainous and escarpment terrains. • Where the shoulder material is readily erodible or where the availability of material for shoulder maintenance is restricted. • Wherever there is significant pedestrian traffic in town and village areas. Based on the above idea, ERA recommends a shoulder width based on design standard and terrain classification. So, for this project since most of the route has a terrain of rolling we took 1.5m for shoulder width as recommended by ERA manual. So, we took 1.5m shoulder throughout the route simplicity of the construction. Road way: It consists of the carriage way and shoulders and parking lanes. I.e., for this project road way width will be 6.7+1.5+1.5=9.7m Right-of-way It is the width of the land secured and preserved to the public for road purposes. The right-of-way should be adequate to accommodate all the elements that make-up the cross section of the high way and may reasonably provide future development. For this project having design standard of DS4, ERA recommends a right of way width to be 50m for all terrain type. Normal cross fall Normal cross fall should be sufficient to provide adequate surface drainage whilst not being so great as to make steering difficult, but it should facilitate drainage of the pavement. It is depend up on the smooth of the surface and the intensity of the rain fall. Therefore, we took 2.5% for normal cross fall for design standard of DS4 as recommended by ERA. 85 ECSC, IUDS, Urban Engineering Department (UE)
  • 86.
    Highway Design SeniorProject 2010 Shoulder cross fall It should be designed steeper than the pavement to facilitate quick drainage. Therefore we took 4% for shoulder cross slope as recommended by ERA. Side slope and back slope Side slopes and back slopes should be designed to insure the stability of the road way and to provide a reasonable opportunity for recovery of an out-of-control vehicle. The selection of a side slope and back slope is depending on safety consideration, height of cut or fill and economic consideration. ERA 2001 table 6.1 indicates the side slope recommended for use in the design according to the height of cut and fill and the material. Side slope Back material Height of slope cut fill slope Earth or 0.0-1.0m 1:4 1:4 1:3 soil 1.0-2.0m 1:3 1:3 1:2 Over 2m 1:2 1:2 1:1.5 rock Any height See standard details Table2-19 Side and back slope Depending to the given standard ratio our project is designed and set out the appropriate and economical road section. 86 ECSC, IUDS, Urban Engineering Department (UE)
  • 87.
    Highway Design SeniorProject 2010 Fig 2-17 Elements of road cross section Section-3: Drainage Standards and Structure Design 3.1 General     •  •    87 ECSC, IUDS, Urban Engineering Department (UE)
  • 88.
    Highway Design SeniorProject 2010 •      •    •            88 ECSC, IUDS, Urban Engineering Department (UE)
  • 89.
    Highway Design SeniorProject 2010 89 ECSC, IUDS, Urban Engineering Department (UE)
  • 90.
    Highway Design SeniorProject 2010 90 ECSC, IUDS, Urban Engineering Department (UE)
  • 91.
    Highway Design SeniorProject 2010 2.2 Minor drainage analysis and design 2.2.1 Hydrological/ Hydraulic Analysis of Ditch   •  •  •  •   •        -  -  -    91 ECSC, IUDS, Urban Engineering Department (UE)
  • 92.
    Highway Design SeniorProject 2010   runoff      ra inf all      a)     -   -   overlandtraveldis tan ce  velocityoflow  2 1  V = 1 R 3 S 2 n    92 ECSC, IUDS, Urban Engineering Department (UE)
  • 93.
    Highway Design SeniorProject 2010 -   -    -  -              93 ECSC, IUDS, Urban Engineering Department (UE)
  • 94.
    Highway Design SeniorProject 2010        •     Ө        94 ECSC, IUDS, Urban Engineering Department (UE)
  • 95.
    Highway Design SeniorProject 2010  1)   2)  3)                       95 ECSC, IUDS, Urban Engineering Department (UE)
  • 96.
    Highway Design SeniorProject 2010       2 1 1 V = R3S 2 n              96 ECSC, IUDS, Urban Engineering Department (UE)
  • 97.
    Highway Design SeniorProject 2010    •  •  •     2.2.2 Structural design of ditch     •  •  •  •      97 ECSC, IUDS, Urban Engineering Department (UE)
  • 98.
    Highway Design SeniorProject 2010  a)  b)               98 ECSC, IUDS, Urban Engineering Department (UE)
  • 99.
    Highway Design SeniorProject 2010 Catchment upper lower TC A(ha) Cc L(m) s(%) Tc(s) I Q(m3/s) Area elev. elev. provide 1 2.18 0.25 1410.5 1385 312.84 0.08 4.27 7.0 180 0.27 2 3.22 0.25 1408.5 1385 306.53 0.08 4.31 7.0 180 0.40 3 7.88 0.25 1406.5 1387 365.89 0.05 5.68 7.0 180 0.99 4 14.00 0.25 1410.5 1387 500.26 0.05 7.58 7.6 149 1.45 5 6.11 0.25 1410 1386 334.31 0.07 4.72 7.0 180 0.76 6 3.70 0.25 1408 1386 400.79 0.05 6.02 7.0 180 0.46 7 9.75 0.25 1400 1366 431.99 0.08 5.55 7.0 180 1.22 8 7.57 0.25 1393.5 1366 367.12 0.07 4.99 7.0 180 0.95 9 32.57 0.25 1391 1346 1082.8 0.04 14.40 14.4 135 3.06 10 0.82 0.25 1352 1346 354.64 0.02 8.62 8.6 165 0.09 Cath. L(m) W(m) A ha Cp Bed L(m) Tc (s) Tcprovide I Qasp(m3/s) Q,asphalt(m3/s) Q,the Q total n d Slope% B( bott B(top) Velocit Free D land(m3/s) om) y board provide (m) 1 95.35 0.031 6.85 0.0653 0.30 0.95 0.27 0.016 0.025 0.26 93.8 2.6633 0.30 0.61 7 2.53 180 0.3 0.031273 0.56 2 133.18 0.044 6.85 0.40.0912 0.44 0.95 0.016 0.025 0.30 130.9 3.4425 0.35 0.70 7 2.79 180 0.3 0.04368 0.60 3 318.91 0.105 6.85 0.2185 1.09 0.95 0.99 0.016 0.025 0.42 310.62 6.6964 0.49 0.98 7 3.51 180 0.3 0.104595 0.72 4 526.1 0.149 6.85 0.3604 1.60 0.95 1.45 0.016 0.025 0.49 495.06 9.5877 0.57 1.13 9.6 3.85 155 0.3 0.148584 0.79 5 213.72 6.85 0.1464 0.070 0.76 0.83 0.95 0.016 0.025 0.38 206.78 4.8952 0.44 0.89 7 3.27 180 0.3 0.070095 0.68 6 85.79 6.85 0.0588 0.95 0.025 93 2.6458 7 180 0.028137 0.028 0.46 0.49 0.016 0.31 0.36 0.73 2.86 0.3 0.61 7 188.37 6.85 0.129 0.95 0.025 190.74 4.6001 7 180 0.061781 0.062 1.22 1.28 0.016 0.45 0.52 1.04 3.65 0.3 0.75 8 183.74 6.85 0.1259 0.95 0.025 183.94 4.4733 7 180 0.060263 0.060 0.95 1.01 0.016 0.41 0.48 0.96 3.44 0.3 0.71 9 1206.4 6.85 0.8264 0.95 0.025 1136.71 18.184 18.2 110 0.241794 0.242 3.06 3.30 0.016 0.64 0.74 1.49 4.63 0.3 0.94 10 31.8 6.85 0.0218 0.95 0.025 45.68 1.5304 7 180 0.01043 0.010 0.09 0.10 0.016 0.17 0.20 0.40 1.92 0.3 0.47 99 ECSC, IUDS, Urban Engineering Department (UE)
  • 100.
    Highway Design SeniorProject 2010    3.3.3 Hydraulics design of culvert A culvert is a type of structure that can transmit water as full or partly full. It is a structure that is designed hydraulically to take advantage of submergence to increase hydraulic capacity. It is also used to convey surface runoff through embankments. A culvert can be a structure, as distinguished from bridges, that is usually covered with an embankment and is composed of structural material around the entire perimeter. A culvert can be a structure that is 6 meters or less in centerline span length, or between the extreme ends of openings for multiple boxes. Full flow is not common for culverts unless governed by a high downstream water surface elevation. Full flow can be described by fundamental pipe flow. Partly full flow 100 ECSC, IUDS, Urban Engineering Department (UE)
  • 101.
    Highway Design SeniorProject 2010 culverts follow the law of open channel flow and need to be classified as either sub critical or supercritical flow to accomplish the design procedure. The following are concepts that are important in the hydraulics of culvert design: Critical depth- the depth at which the specific energy of a given flow rate is at a minimum. For a given discharge and cross-section geometry, there is only one critical depth. Crown- the inside top of the culvert. Outlet- has tail water equal to or lower than critical depth. For culverts with free outlets, a lowering of the tail water has no effect on the discharge or the backwater profile upstream of the tail water. Improved Inlet- has an entrance geometry that decreases the flow constriction at the inlet and thus increases the capacity of culverts. These inlets are referred to as either side- or slope-tapered (walls or bottom tapered). Invert- is the flow line of the culvert (inside bottom). Normal flow- occurs in a channel reach when the discharge, velocity, and depth of flow do not change throughout the reach. The water surface profile and channel bottom slope will be parallel. This type of flow will exist in a culvert operating on a steep slope if the culvert is sufficiently long enough. Slope - Steep water surface slope occurs where the critical depth is greater than the normal depth. Mild slope occurs where critical depth is less than normal depth. Submerged- A submerged outlet occurs where the tail water elevation is higher than the crown of the culvert. A submerged inlet occurs where the headwater is greater than 1.2D. Design criteria 101 ECSC, IUDS, Urban Engineering Department (UE)
  • 102.
    Highway Design SeniorProject 2010 Listed below by categories are the design criteria that should be considered for all culvert designs. Site criteria Structure Type Selection The type of drainage structure specified for a particular location is often determined based on economic considerations. The following can serve as a guide in the selection of the type of structure, proceeding from the most expensive to the least expensive. Culverts are used where bridges are not hydraulically required, where debris is tolerable, and where they are more economical than a bridge. Culverts can be concrete box culverts, reinforced concrete pipe culverts, or corrugated metal culverts. Length and Slope The culvert length and slope should be chosen to approximate existing topography, and to the degree practicable:  the culvert invert shall normally be aligned with the channel bottom and the skew angle of the stream, and  the culvert entrance shall match the geometry of the roadway. Design Features Culvert Sizes and Shape—the culvert size and shape selected is to be based on engineering and economic criteria related to site conditions. In evaluating the suitability of alternate materials, the selection process shall be based on a comparison of the total cost of alternate materials over the design life of the structure that is dependent upon the following:  durability (service life), 102 ECSC, IUDS, Urban Engineering Department (UE)
  • 103.
    Highway Design SeniorProject 2010  cost  availability  construction and maintenance ease  structural strength,  traffic delays  abrasion and corrosion resistance, and  water tightness requirements. Inlet and Outlet Control Inlet Control For inlet control, the control section is at the upstream end of the barrel (the inlet). The flow passes through critical depth near the inlet and becomes shallow, high velocity (supercritical) flow in the culvert barrel. Depending on the tail water, a hydraulic jump may occur downstream of the inlet. Typical shapes are rectangular, circular, elliptical, and arch. Nomographs—The inlet control flow versus headwater curves, which are established using the above procedure, are the basis for constructing the inlet control design nomographs. Note that in the inlet control nomographs, HW is measured to the total upstream energy grade line including the approach velocity head. Outlet Control Outlet control has depths and velocity that are subcritical. The control of the flow is at the downstream end of the culvert (the outlet). The tailwater depth is assumed to be critical depth near the culvert outlet or in the downstream channel, whichever is higher. 103 ECSC, IUDS, Urban Engineering Department (UE)
  • 104.
    Highway Design SeniorProject 2010 In a given culvert, the type of flow is dependent on all of the barrel factors. All of the inlet control factors also influence culverts in outlet control. Tailwater Elevation—based on the downstream water surface elevation. Backwater calculations from a downstream control, a normal depth approximation, or field observations are used to define the tailwater elevation. Hydraulics—Full flow in the culvert barrel is assumed for the analysis of outlet control hydraulics. Outlet control flow conditions can be calculated based on an energy balance from the tailwater pool to the headwater pool. Design Equations Equations and Definitions Losses HL = HE + Hf+ Hv + Hb + Hj + Hg Where: HL = total energy loss, m HE = entrance loss, m Hf = friction losses, m Hv = exit loss (velocity head), m Hb = bend losses, m Hj = losses at junctions, m Hg = losses at grates, m Velocity V = Q/A Where: 104 ECSC, IUDS, Urban Engineering Department (UE)
  • 105.
    Highway Design SeniorProject 2010 V = average barrel velocity, m/s Q = flow rate, m3/s A = cross sectional area of flow with the barrel full, m2 Velocity Head Hv = V2/2g where g = acceleration due to gravity, 9.8 m/s2 Entrance loss He = Ke (V2/2g) where Ke = entrance loss coefficient, Friction Loss Hf = [(19.63n2L)/R1.33] [V2/2g) Where: n = Manning’s roughness coefficient L = length of the culvert barrel, m R = hydraulic radius of the full culvert barrel = A/P, m P = wetted perimeter of the barrel, m Exit Loss Ho = 1.0 [(V2/2g) - (Vd2/2g)] Where: Vd = channel velocity downstream of the culvert, m/s (usually neglected) & Ho = Hv = V2/2g Barrel Losses H = He + Ho+Hf H = [1 + Ke + (19.63n2L/R1.33)] [V2/2g] 105 ECSC, IUDS, Urban Engineering Department (UE)
  • 106.
    Highway Design SeniorProject 2010 Energy Grade Line—the energy grade line represents the total energy at any point along the culvert barrel. Equating the total energy upstream and downstream of the culvert barrel in the following relationship results: HWo + ( Vu2/2g) = TW + (Vd2/2g) + HL Where: HWo = headwater depth above the outlet invert, m Vu = approach velocity, m/s TW = tailwater depth above the outlet invert, m Vd = downstream velocity, m/s HL = sum of all losses Hydraulic Grade Line—the hydraulic grade line is the depth to which water would rise in vertical tubes connected to the sides of the culvert barrel. In full flow, the energy grade line and the hydraulic grade line are parallel lines separated by the velocity head except at the inlet and the outlet. Nomographs (full flow)—The nomographs were developed assuming that the culvert barrel is flowing full and:  TW > D, Flow Type IV Outlet Control or  dc > D, Flow Type VI Inlet Control  Vu is small and its velocity head can be considered a part of the available headwater (HW) used to convey the flow through the culvert.  Vd is small and its velocity head can be neglected. HW = TW + H - SoL Where: 106 ECSC, IUDS, Urban Engineering Department (UE)
  • 107.
    Highway Design SeniorProject 2010 HW = depth from the inlet invert to the energy grade line, m H = is the value read from the nomographs, m SoL = drop from inlet to outlet invert, m TW should be used if higher than (dc + D)/2. The following equation should be used: HW =ho+ H -SoL Where: ho = max of(TW ,(dc + D)/2)) m Adequate results are obtained down to a HW = 0.75D. For lower headwaters, backwater calculations are required. Outlet Velocity Culvert outlet velocities should be calculated to determine the need for erosion protection at the culvert exit. Culverts usually give outlet velocities that are higher than the natural stream velocities. These outlet velocities may require flow readjustment or energy dissipation to prevent downstream erosion. If outlet erosion protection is necessary, the flow depths and Freud number may also be needed. In Inlet Control If water surface profile (drawdown) calculations are necessary, begin at dc at the entrance and proceed downstream to the exit. Determine at the exit the depth and flow area. Use normal depth and velocity. This approximation may be used since the water surface profile converges towards normal depth if the culvert is of adequate length. The outlet velocity may be slightly higher than the actual velocity at the outlet. 107 ECSC, IUDS, Urban Engineering Department (UE)
  • 108.
    Highway Design SeniorProject 2010 In Outlet Control  The cross sectional area of the flow is defined by the geometry of the outlet and either critical depth, tailwater depth, or the height of the conduit:  Critical depth is used when the tailwater level is less than critical depth.  Tailwater depth is used when tailwater is greater than critical depth, but below the top of the barrel.  The total barrel area is used when the tailwater level exceeds the top of the barrel Roadway Overtopping Roadway overtopping will begin when the headwater rises to the elevation of the roadway. The overtopping will usually occur at the low point of a sag vertical curve on the roadway. The flow will be similar to flow over a broad crested weir. Qr= Cd L HWr 1.5 Where: Qr = overtopping flow rate, m3/s. Cd = overtopping discharge coefficient (weir coefficient) = kf Cr. kt = submergence coefficient. Cr = discharge coefficient. L = length of the roadway crest, m. HWr = the upstream depth, measured above the roadway crest, m. 108 ECSC, IUDS, Urban Engineering Department (UE)
  • 109.
    Highway Design SeniorProject 2010 Total Flow—calculated for a given upstream water surface elevation using equation. In this equation, roadway overflow plus culvert flow must equal total design flow. A trial and error process is necessary to determine the flow passing through the culvert and the amount flowing across the roadway. Performance Curves A performance curve is a plot of flow rate versus headwater depth or elevation, velocity, or outlet scour. The culvert performance curve is made up of the controlling portions of the individual performance curves for each of the following control sections. Design Procedure Step 1 Assemble Site Data and Project File Hydrographic Survey - Data include  topographic, site, and location maps  embankment cross section  roadway profile Step 2 Determine Hydrology. Minimum data required—drainage area maps and discharge-frequency plots Step 3 Designs Downstream Channel. Minimum data are cross section of channel and the rating curve for channel Step 4 Summarize Data on Design Form use data from Steps 1-3 Step 5 Select Design Alternative Step 6 Select Design Discharge Qd Step 7 Determine Inlet Control Headwater Depth (HWi)  for a box shape use Q per foot of width 109 ECSC, IUDS, Urban Engineering Department (UE)
  • 110.
    Highway Design SeniorProject 2010 Locate HW/D ratio using a straightedge  extend a straight line from the culvert size through the flow rate  mark the first HW/D scale. Extend a horizontal line to the desired scale, read HW/D, and note on Charts Calculate headwater depth (HW)  multiply HW/D by D to obtain HW to energy grade line  neglecting the approach velocity HWi = HW  including the approach velocity HWi = HW - approach velocity head Step 8 Determine Outlet Control Headwater Depth at Inlet (HWoi) Calculate the tail water depth (TW) using the design flow rate and normal depth (single section) or using a water surface profile Calculate critical depth (dc)  locate flow rate and read dc  dc cannot exceed D Calculate (dc + D)/2 Determine (ho)  ho = the larger of TW or (dc + D/2) Determine entrance loss coefficient (KE) from ERA design manual Table7-2 Determine losses through the culvert barrel (H): - use (L) if Manning’s n matches the n value of the culvert and- use (L1) to adjust for a different culvert n value 110 ECSC, IUDS, Urban Engineering Department (UE)
  • 111.
    Highway Design SeniorProject 2010 L1 = L(n1/n)2 Where: L1 = adjusted culvert length, m L = actual culvert length, m n1 = desired Manning n value n = Manning n value on chart  mark point on turning line - use a straightedge and - connect size with the length  read (H) - use a straightedge - connect Q and turning point and - Read (H) on Head Loss scale Calculate outlet control headwater (HW)  use equation above, if Vu and Vd are neglected HWoi = H + ho - SoL if HWoi is less than 1.2D and control is outlet control - the barrel may flow partly full - the approximate method of using the greater tailwater or (dc+ D)/2 may not be applicable - backwater calculations should be used to check the result and 111 ECSC, IUDS, Urban Engineering Department (UE)
  • 112.
    Highway Design SeniorProject 2010 - if the headwater depth falls below 0.75D, the approximate - method shall not be used Step 9 Determine Controlling Headwater (HWc)  compare HWi and HWoi, use the higher  HWc = HWi, if HWi > HWoi - the culvert is in inlet control  HWc = HWoi, if HWoi > HWi - the culvert is in outlet control. Step 10 Compute Discharge over the Roadway (Qr) 1. Calculate depth above the roadway (HWr) HWr = HWc - HWov HWov = height of road above inlet invert 2. If HWr 0, Qr = 0 If HWr > 0, determine Qr Step 11 Compute Total Discharge (Qt) Qt = Qd + Qr Step 12 Calculate Outlet Velocity (Vo) and Depth (dn) If inlet control is the controlling headwater 1. Calculate flow depth at culvert exit use water surface profile 2. Calculate flow area (A) 112 ECSC, IUDS, Urban Engineering Department (UE)
  • 113.
    Highway Design SeniorProject 2010 3. Calculate exit velocity (Vo) = Q/A If outlet control is the controlling headwater 1. Calculate flow depth at culvert exit  weuse (dc) if dc > TW  weuse (TW) if dc < TW< D  weuse (D) if D < TW 2. Calculate flow area (A) 3. Calculate exit velocity (Vo) = Q/A Step 13 Review Results Compare alternative design with constraints and assumptions, if any of the following are exceeded, repeat Steps 5 through 12 Step 14 Plot Performance Curve Repeat Steps 6 through 12 with a range of discharges  Qmax if no overtopping is possible  Qmax = largest flood that can be estimated Step 15 Related Designs Culverts out let velocities The high out let velocities observed at the culvert out let may results in excessive scour of the channel in the vicinity of the outlet. The variety in the soil type of natural channels and varying flowing characteristics at the culvert outlet enforces the use different methods to control or protect the channel against potential damaging effects. Some of the common used techniques to provide protection against scour are: 113 ECSC, IUDS, Urban Engineering Department (UE)
  • 114.
    Highway Design SeniorProject 2010 1. Minor structural element 2. Velocity protection devices 3. Velocity control devices Minor structural element Provision of this Minor structural element is done when the culverts exit velocity is 30% greater than that of the velocity in its natural channel. It minimizes the structural instabilities. Example Cutoff walls. Velocity protection devices For exit velocity greater than 1.3 of velocity in natural channel and less than 2.5 of the velocity in natural channel.In this case armoring riprap is used. This may be; Concrete riprap, Vegetation,Synthetic sodding. Velocity control device For exit velocity greater than 2.5 of that of natural channels velocity. (In this case energy dissipater is required. Nomograph Design Detail design for channel 4 The following steps show the procedures we followed step by Step to design a culvert for channel-4 for in the project area especially near the station 15+440. Step 1 Assemble Site Data and Project File a. Site survey project file contains:  roadway profile and  embankment cross section  no sediment or debris problems and 114 ECSC, IUDS, Urban Engineering Department (UE)
  • 115.
    Highway Design SeniorProject 2010 Cross-Section Design criteria we have used 25yrs return period for our design purpose because our road to be designed is DS4. Step 2 Determining Hydrology using Rational method equations yield Q25=16.5m3/s, Q50=17.9m3/s Step 3 Design Downstream Channel Point Station, m Elevation, m 1 15+400 1346.3 2 15+410 1346.5 3 15+420 1346.7 4 15+430 1346.9 5 15+440 1346.9 6 15+450 1347.1 7 15+460 1347.2 8 15+470 1347.3 9 15+480 1347.4 10 15+490 1347.5 11 15+500 1347.6 Table 3-2 down stream station Culvert Design-Example X-Section At Tail Water 115 ECSC, IUDS, Urban Engineering Department (UE)
  • 116.
    Highway Design SeniorProject 2010 Chainage Dist, m Level 15+400 0 1350.50 15+410 10 1350.30 15+420 20 1349.60 15+430 30 1348.00 15+440 40 1346.30 15+450 50 1348.20 15+460 60 1350.20 15+470 70 1352.00 15+480 80 1353.00 15+490 90 1354.20 15+500 100 1355.00 Table 3-3 X-Section At Tail Water Step 3 Design downstream channel 0.00 116 v:h =1:2 ECSC, IUDS, Urban Engineering Department (UE) v:h =1:2 b=10m
  • 117.
    Highway Design SeniorProject 2010 The stream channel can be approximated to trapezoidal channel B= 10m Slope 2:1 H:V Channel material- clean straight, no rims or deep pools n =0.03 no sediment debris problem Slope (s) 0.006 Table 3-4 Down stream chanal The rating curve for the channel calculated by normal depth yields: Width Q=AV, Depth,m (B), m Area,m2 P, m R,m S N V=(1/n)R^2/3S^1/2 m3/s 0.10 10 1.02 12.24 0.08 0.006 0.03 0.49 0.50 0.30 10 3.18 12.24 0.26 0.006 0.03 1.05 3.34 0.50 10 5.50 12.24 0.45 0.006 0.03 1.52 8.33 0.70 10 7.92 12.24 0.65 0.006 0.03 1.93 15.29 117 ECSC, IUDS, Urban Engineering Department (UE)
  • 118.
    Highway Design SeniorProject 2010 0.73 10 8.30 12.24 0.68 0.006 0.03 1.99 16.55 0.76 10 8.70 12.24 0.71 0.006 0.03 2.06 17.91 0.90 10 10.62 12.24 0.87 0.006 0.03 2.35 24.95 1.00 10 12.00 12.24 0.98 0.006 0.03 2.55 30.58 1.05 10 12.71 12.24 1.04 0.006 0.03 2.65 33.64 1.10 10 13.42 12.24 1.10 0.006 0.03 2.75 36.85 1.20 10 14.88 12.24 1.22 0.006 0.03 2.94 43.77 1.50 10 19.50 12.24 1.59 0.006 0.03 3.52 68.69 1.700 10 22.78 12.24 1.86 0.006 0.03 3.91 89.01 Table 3-5 The rating curve for the channel calculated by normal depth yields: Q (m3/s) TW (m) Elev,m asl Velocity(m/s) 0.5 0.1 1346.3 0.49 3.34 0.3 1346.5 1.05 8.33 0.5 1346.9 1.52 15.29 0.7 1346.9 1.93 16.55 0.73 1347.1 1.99 24.95 0.9 1347.2 2.06 30.58 1.0 1347.3 2.35 36.85 1.05 1347.3 2.55 Downstream Q m3/s Depth,m Elev,masl 0.50 0.10 1346.3 3.34 0.30 1346.5 8.33 0.50 1346.7 118 ECSC, IUDS, Urban Engineering Department (UE)
  • 119.
    Highway Design SeniorProject 2010 15.29 0.70 1346.9 16.55 0.73 1346.9 24.95 0.90 1347.1 30.58 1.00 1347.2 33.64 1.05 1347.3 36.85 1.10 1347.3 43.77 1.20 1347.4 68.69 1.50 1347.7 89.01 1.700 1347.9 Table 3-6 down stream rating curve Step 5 Select Design Alternative Shape - box Size - 3000 mm by 2000 mm Material – concrete Entrance- Wingwalls, for 30o flare Step 6 Select Design Discharge Qd=16.5m3/5 Step 7 Determine Inlet Control Headwater Depth (HWi) Use inlet control nomograph - Chart 7-6 a. D = 2 m b. Q/B = 16.5/3 = 5.5 c. HW/D = 1.2, for 30o flare d. HWi = (HW/D)*D = (1.2)(2m) = 2.4m (Neglect the approach velocity) 119 ECSC, IUDS, Urban Engineering Department (UE)
  • 120.
    Highway Design SeniorProject 2010 Step 8 Determine Outlet Control Headwater Depth at Inlet (HWoi) a. TW =0.73 m for Q50 = 16.5 m3/s b. dc = 1.43 m from Chart 7-7 (ERA design manual) Or, by using the formula we obtain the critical depth as follows: dc=0.467*(Q÷B)2/3 =0.467*(16.5÷3) 2/3 = 1.46m which is similar to the value obtained from the nomogragh in previous case. So let us take our dc=1.43, so that (dc + D)/2 = (1.43 + 2)/2 = 1.71 m And, ho = max(TW , (dc + D/2)),but our Tw=0.73m from step 8 above ho = (dc + D)/2 = 1.71 m =>maximum value of the two. e. Ke = 0.2 from Table 7-2 ERA mannual f .Determine (H) - use Chart 7-8 (ERA design manual)  Ke scale = 0.2  culvert length (L) = 80 m  n = 0.012 same as on chart  area = 6.0m2  H = 0.67m (from nomogragh 7-8) g. HWoi = H + ho - SoL = .67 + 1.71 - (0.006)80 = 1.9 m HWoi is less than 1.2D, but control is inlet control, outlet control 120 ECSC, IUDS, Urban Engineering Department (UE)
  • 121.
    Highway Design SeniorProject 2010 computations are for comparison only Step 9 Determine Controlling Headwater (HWc)  HWc = HWi = 2.4 m > HWoi = 1.9  The culvert is in inlet control Step 10 Compute Discharge over the Roadway (Qr) a. Calculate depth above the roadway: HWr = HWc – Hwov = 2.4 – (1352.9-1348) = -2.5m (This result shows that there is no any water flowing over the road).In other word the level of water is 2.5m below the roadway. Step 11 Compute Total Discharge (Qt) In our calculation above we have determined the discharge over the road is (Qt=0) because it has negative value. So the total discharge (Qt) is calculated As follows: Qt = Qd + Qr = 16.5 m3/s + 0 = 16.5 m3/s Step 12 Calculate Outlet Velocity (Vo) and Depth (dn) Inlet Control a. Calculate normal depth (dn): Where we have used trial error method to calculate the normal depth of the flow in the culvert Q = (1/n)A* R2/3 S1/2 ,but A=B*dn, where A=cross sectional area 121 ECSC, IUDS, Urban Engineering Department (UE)
  • 122.
    Highway Design SeniorProject 2010 B=width of the culvert R=A/Pw, where A=cross sectional area R=hydraulic radius of the culvert Pw=wetted perimeter of the clvert Pw=B+2dn ,B=3 16.5 m3/s= (1/0.012)(3*dn)[(3*dn)/(3+2dn)]2/3(0.05)0.5 = (3*dn)[3*dn/(3+2dn)]2/3 *(0.05)0.5 =>dn=1.08m as it is shown in the following table in order to convey the total discharge (Qt=16.5). So our trials and their corresponding results are given in the table below. dn 1/n A R^2/3 S^1/2 V Q 0.2 83.33 0.60 0.3 0.1 2.2 1.3 0.25 83.33 0.75 0.4 0.1 2.5 1.9 0.3 83.33 0.90 0.4 0.1 2.8 2.5 0.4 83.33 1.20 0.5 0.1 3.2 3.9 0.50 83.33 1.50 0.5 0.1 3.6 5.4 0.90 83.33 2.70 0.7 0.1 4.8 12.8 1.00 83.33 3.00 0.7 0.1 5.0 14.9 1.05 83.33 3.15 0.7 0.1 5.1 15.9 1.08 83.33 3.24 0.7 0.1 5.1 16.6 1.10 83.33 3.30 0.7 0.1 5.1 17.0 1.15 83.33 3.45 0.8 0.1 5.2 18.1 122 ECSC, IUDS, Urban Engineering Department (UE)
  • 123.
    Highway Design SeniorProject 2010 1.20 83.33 3.60 0.8 0.1 5.3 19.2 1.50 83.33 4.50 0.8 0.1 5.8 25.9 2.00 83.33 6.00 0.9 0.1 6.3 37.7 2.20 83.33 6.60 0.9 0.1 6.5 42.6 2.30 83.33 6.90 0.9 0.1 6.5 45.1 2.50 83.33 7.50 1.0 0.1 6.7 50.1 2.60 83.33 7.80 1.0 0.1 6.7 52.6 3.00 83.33 9.00 1.0 0.1 7.0 62.7 Table 3-7 Discharge trial From the table above we determined our dn =1.08m. A = (3)*1.08 = 3.24 m2 Vo = Q/A = 16.5/3.24 = 5.093 m/s >2.5*1.99m/s (down stream velocity).So energy dissipater is required to the damage of adjacent structure and to protect scouring outlet of culvert. Step 13 Review Results This step is the step of comparison of alternative design with constraints and assumptions, if any of the following are exceeded we repeat, Steps 5 through 12 in order to have a convenient and safe design.  barrel has: ((1352.9-1346.2) m-2.4m) = 2.5m of cover  L = 80m is OK, since inlet control  headwalls and wing walls fit site  allowable headwater (4.9 m) > 2.5 m is ok and  overtopping flood frequency > 25-year 123 ECSC, IUDS, Urban Engineering Department (UE)
  • 124.
    Highway Design SeniorProject 2010 So the design is ok! 3.3.4 Structural Design of Culvert The following principles are specific to structural design of culverts:  All culverts shall be hydraulically designed.  Overtopping flood selected is generally consistent with the class of highway and the risk at the site  Culvert location in both plan and profile shall be investigated to avoid sediment build-up in culvert barrels.  Material selection shall include consideration of materials availability, and the service life including abrasion and corrosion potentials. Design Criteria Listed below by categories are the design criteria that should be considered for all culvert designs. The type of drainage structure specified for a particular location is often determined based on economic considerations; Culverts can be concrete box culverts, reinforced concrete pipe culverts, or corrugated metal culverts; Concrete box culverts are constructed with a square or rectangular opening, and with wing walls at both ends. Design Computation In this project we propose four culverts and one bridge based on the topography and the flow direction. Culvert 1 is at station =12+592.31m Culvert 2 is at station =13+043.45m Culvert 3 is at station =13+803.30m Culvert 4 is at station =15+471.12m Bridge 1 is at station =14+089m 124 ECSC, IUDS, Urban Engineering Department (UE)
  • 125.
    Highway Design SeniorProject 2010 For design purpose we took culvert number 4 at station15+471.12m as a sample for the hydraulics and structural design of the culvert. We choose box culvert for our design since it is easy to construction, to prevent scouring and settlement due to the soil type of that area. Fig 3-3 station of culvert 4 Structural design of box culvert Design data Geometric data Internal dimension=h=2 W=3m… (From the hydraulics) Height of fill above the culvert=4.6m (from the profile) 125 ECSC, IUDS, Urban Engineering Department (UE)
  • 126.
    Highway Design SeniorProject 2010 Thickness of the slab=300mm (thickness is normally taken as 1/10th to 1/15th of the span) External dimensions =h=2.3m and w=3.3m Road width=6.7m Span=3.3m Concrete: take C25 Reinforcement Take steel: S460 Geotechnical data Unit weight of the soil =18kN/m3 (assumed) Angle of repose of the soil, Ø=300 (assumed) Design type  A live load of design truck.  Dead load, live load with water pressure from inside. Design procedure 1/ Load Dead load= (1*4.6) m*18kN/m3 =82.8KN/m2 2/ Tire contact area calculation:- Contact area =L*w Where w=500mm 126 ECSC, IUDS, Urban Engineering Department (UE)
  • 127.
    Highway Design SeniorProject 2010 L=2.28*10-3**(1+IM/100)*p Where =load factor for the limit state under consideration =1.75(ERA, table 3-2) IM= dynamic load allowance percent =33% for other limit state P=72.5KN for design truck There fore, L= 2.28*10-3*1.75*(1+.33/100)*72.5 =290mm. Fig 3-4 wheel load distribution Distribution of wheel load:- For height of fill > 0.6m L’=L+1.15hf W’=w+1.15hf (ERA section 3.8.6) There fore, L’=0.29+1.15*4.6 =5.58m W’=0.50+1.15*4.6 = 5.79m 127 ECSC, IUDS, Urban Engineering Department (UE)
  • 128.
    Highway Design SeniorProject 2010 But L’ is greater than the span of the culvert. There fore the intensity of the live loading needs to be reduced proportionally. Reduced load= (72.5*3.6)/5.58 =46.77KN Load with impact factor=1.25*46.77 =58.47KN Intensity of live load on the slab: Intensity=load/area =load/ (culvert span*w’) =58.47/ (3.6*5.79)=2.805KN/m2 =2805N/m2 3/ Load and reaction calculation Dead load of the top slab:- =0.3*1*25000=7500N/m2=75KN/m2 Total load on the culvert=Dead load +Live load =82.8KN/m2+2.805kN/m2=85.605KN/m2=85605N/2 There fore, Total design load on the top slab=85605N/2+7,500N/m2 =93,105N/m2 Weight of each wall (side wall) =2.3*0.3*25000=17,250N/m Then, up ward reaction at the base = [(93,105*3.3) + (2*17250)]/3.3*1 =103,559N/m2 128 ECSC, IUDS, Urban Engineering Department (UE)
  • 129.
    Highway Design SeniorProject 2010 4/ Lateral pressure Coefficient of active pressure (Ka) = 1 − sin 30 1 Ka = = 1 + sin 30 3 Lateral pressure due to dead and live load =Total vertical load*Ka =85605*1/3 =28535N/m2 Lateral pressure due to the soil at depth of 2.6m: =Ka**h =1/3*18000*2.6=15600N.m2 There fore, Lateral intensity at top=28535N/m2 Lateral intensity at the bottom=28535+15600N.m2 =44135N/m2 Fig 3-5 Pressure diagram for live and dead load 129 ECSC, IUDS, Urban Engineering Department (UE)
  • 130.
    Highway Design SeniorProject 2010 Fig3-5 Pressure diagram due to water Fig 3-6 Final pressure diagram of the forces or loadings on the components of the culvert. 6/ Moments and shear force calculation On account of symmetry, it is enough to consider half the frame AEFD for moment distribution. As all members are of uniform thickness and have the same dimensions, their moments of inertia are equal. 130 ECSC, IUDS, Urban Engineering Department (UE)
  • 131.
    Highway Design SeniorProject 2010 Relative stiffness of members is: KAD=1 KAE=KDF=1/2 Distribution factors are: 1 1 2 D AD = DDA = = 1 1 3 ; D AB = DDC = 2 = 1+ 1 3 2 1+ 2 Fixed end moments are: wl 2 93105 * 2.6 2 MFAB = − = = −52449 N .m = −52.499 KN .m 12 12 wl 2 103559 * 3.6 2 MFDC = + = = +111843.7 N .m = +111.843KN .m 12 12 MFAD = + pl 2 wl 28535 * 2.6 2 + = + ( 12 * 2.6 *15574) * 2.6 = + 19584.06N .m = + 19.584KN .m 12 15 12 15 MFDA = − pl 2 wl − =− 28535 * 2.6 2 − ( 12 * 2.6 *15574) * 2.6 = − 21338.73N .m = − 21.338KN .m 12 10 12 10 Joint member D A DC DA AD AB 131 ECSC, IUDS, Urban Engineering Department (UE)
  • 132.
    Highway Design SeniorProject 2010 DF 1/3 2/3 2/3 1/3 Fixed E.Mome.(KN.m) 111.8 -21.34 19.58 -52.49 balance -30.15 -60.31 -30.15 balance 42.04 21.02 carryover 21.01 balance -7. -14.01 carryover -7.005 balance 4.67 2.33 carryover 2.335 balance -0.778 -1.557 carryover -0.778 balance 0.519 0.259 carryover 0.259 balance -0.86 -0.173 carryover -0.086 balance 0.058 0.029 carryover 0.029 balance -0.01 -0.019 carryover -0.01 balance 0.007 0.003 carryover 0.003 balance -0.001 -0.002 Final end moments(KN.m) 73. -73. 28.85 -28.85 Then the final end moments are:- 132 ECSC, IUDS, Urban Engineering Department (UE)
  • 133.
    Highway Design SeniorProject 2010 MDC=73.001KN.m; MDA=-73.77KN.m MAD=28.83KN.m MAB=-28.85KN.m 7/ Reactions For horizontal slab AB, carrying distributed load of 93105N/m2, Vertical reaction RA=RB is:-, 1 R A = RB = * 93105 * 3.6 = 167589 N 2 For bottom slab DC, carrying distributed load of 103559N/m2, Vertical reaction RD =RC is:- 1 RD = RC = * 103559 * 3.6 = 186406.21N 2 For vertical member AD, the horizontal reaction HA at A is found by taking moments about D. Thus, ( − H A * 2.6) + 28850 − 73000 +  28535 * 2.6 * 2.6  +  ( 44109 − 28835) * 2.6 * 2.6  = 0      2   2.6 * 2  H A = 29005.6 N 133 ECSC, IUDS, Urban Engineering Department (UE)
  • 134.
    Highway Design SeniorProject 2010  28535 + 44109  HD =  * 2 .6 − H A  2  = 94437.2 − 29055.6 = 65431.6 N Fig3-7Shear force and axial forces Bending moment calculation 93105 * 3.6 2 Free bending moment at mid point E = =150830.10 N.m 8 Then, net bending moment at E,(top slab)=150830.10-28850 =121980.10N.m Again, Free bending moment at mid point F (bottom slab) = 134 ECSC, IUDS, Urban Engineering Department (UE)
  • 135.
    Highway Design SeniorProject 2010 103559 * 3.6 2 = =167765.58 N.m 8 Then, net bending moment at F=167765.58-73000 =94765.58N.m For vertical member AD, which is simply supported bending moment at mid span, is= 28535 * 2.6 2 ( 44109 − 28535) * 2.6 2 = + 8 16 = 30692.12 N.m Then, net bending moment=  73000 + 28850  =  − 30692.12  2  = 20232.88 N.m Components of the culvert Bending moment at the Bending moment at ends(N.m) center(N.m) Top Slab 121980.10 28850.00 Bottom slab 94765.58 73000.00 Side walls 20232.88 73000.00 Table3-8 Summary of bending moments of the culvert components 135 ECSC, IUDS, Urban Engineering Department (UE)
  • 136.
    Highway Design SeniorProject 2010 Fig3-8 Bending moment for the components of the culvert Reinforcement Overall depth=300mm Cover=50mm Effective depth=d=300-50=250mm Fcd= (0.68*fck)/c= (0.68*25)/1.5=11.33MPa fyd=fyk/1.15=460/1.15=400MPa Width (b) =1000mm Top slab  At span/center Depth checking M d check = 0.2952 * b * f cd 136 ECSC, IUDS, Urban Engineering Department (UE)
  • 137.
    Highway Design SeniorProject 2010 121980.10 *1000 d check = =190mm 0.2952 *1000 *11.33 There fore, the depth is adequate. Area of steel (Ast,cal)=  2M  f cd Ast ,cal = 1 − * *b * d  b * d 2 * f cd  f yd  2 * 121980 * 1000  11.33 Ast ,cal = 1 − * * 1000 * 250  1000 * 250 2 * 11.33  400 = 4641.65mm 2 Spacing(S) = as * b S= As = (Π * 20 4 ) *1000 = 67.68mm 2 4641.65 Provide 20mm diameter bars with minimum c/c spacing 250mm.  Support reinforcement  2 * 28850 *1000  11.33 Ast ,cal = 1 − * *1000 * 250  1000 * 250 2 *11.33  400 = 6504.25mm 2 as * b Spacing ( S ) = As = (Π * 20 4 ) *1000 = 48.30mm 2 6504.25 Provide 20mm diameter bars with minimum c/c spacing 250mm. 137 ECSC, IUDS, Urban Engineering Department (UE)
  • 138.
    Highway Design SeniorProject 2010 Bottom slab  At span/center Depth checking= M d check = 0.2952 * b * f cd 94765.58 *1000 d check = =168.33mm 0.2952 *1000 *11.33 There fore, the depth required is adequate. Area of steel (Ast,cal)=  2M  f cd Ast ,cal = 1 − 2 * *b*d  b * d * f cd  f yd  2 * 94765.58 *1000  11.33 Ast ,cal = 1 − * *1000 * 250  1000 * 250 2 *11.33  400 = 5185.94mm 2 as * b Spacing ( S ) = As = (Π * 20 4 ) *1000 = 60.58mm 2 5185.94 Provide 20mm diameter bars with minimum c/c spacing 250mm.  Support reinforcement  2 * 73000 * 1000  11.33 Ast ,cal = 1 − * * 1000 * 250  1000 * 250 2 * 11.33  400 = 3865.88mm 2 138 ECSC, IUDS, Urban Engineering Department (UE)
  • 139.
    Highway Design SeniorProject 2010 as * b Spacing ( S ) = As = (Π * 20 4 ) *1000 = 81.26mm 2 3865.88 Provide 20mm diameter bars with minimum c/c spacing 250mm. Side walls  At span/center Depth checking= M d check = 0.2952 * b * f cd 20232.88 *1000 d check = = 77.78mm 0.2952 *1000 *11.33 There fore, the depth required is adequate. Area of steel (Ast,cal)=  2M  f cd Ast ,cal = 1 − * *b*d  b * d 2 * f cd  f yd  2 * 20232.88 *1000  11.33 Ast ,cal = 1 − * *1000 * 250  1000 * 250 2 *11.33  400 = 5388.48mm 2 Spacing(S) = as * b S= As = (Π * 20 4 ) *1000 = 60.58mm 2 5388.48 139 ECSC, IUDS, Urban Engineering Department (UE)
  • 140.
    Highway Design SeniorProject 2010 Provide 20mm diameter bars with minimum c/c spacing 250mm.  Support reinforcement  2 * 73000 * 1000  11.33 Ast ,cal = 1 − * * 1000 * 250  1000 * 250 2 * 11.33  400 = 3865.88mm 2 as * b Spacing ( S ) = As = (Π * 20 4 ) *1000 = 81.26mm 2 3865.88 Provide 20mm diameter bars with minimum c/c spacing 250mm. Section-4. Earth Work and Mass Haul Diagram 4.1 Earth Work Earth work is conversion of natural ground condition to required sections and grades. Earth work in high way design includes determination of cuts and fills, location of borrow, waste sites, the free haul and over haul distance determination. The careful attentions to limiting earthwork quantities through the preparation of a mass haul diagram are essential elements in providing the best-combined horizontal, vertical, and cross-sectional design. This is especially true when the design includes consideration of the least cost in relation to earth works. Key terms associated with this process, as listed in definitions, include: Borrow - material not obtained from roadway excavation but secured by widening cuts, flattening back slopes, excavating from sources adjacent to the road within the Right-of-way, or from selected borrow pits as may be noted on the plans. Waste - material excavated from roadway cuts but not required for making the 140 ECSC, IUDS, Urban Engineering Department (UE)
  • 141.
    Highway Design SeniorProject 2010 embankment. Free Haul - the maximum distance through which excavated material may be transported without the added cost above the unit bid price. Overhaul - excavated material transported to a distance beyond the free haul distance. Economic Limit of Haul - distance through which it is more economical to haul excavated material than to waste and borrow. Clearing and garbing (m2) - the removal of top soil, trees, bushes and e.t.c Excavation (m3) - the process of loosing and removal of soil and rocks. It can be done for three reasons.  In order to maintain the grades for roads and drainage  For structure foundation  For borrow excavation Embankment /compaction (m3k.hr) - densification of fill section of the road. The steps involved in the computation of earthwork quantities and the development of the optimal mass haul diagram are: • End area calculations • Earthwork calculations • Preparation of mass haul diagram. • Balancing earthworks using the mass haul diagram Purpose of the preparation of earth work quantities and mass haul diagram • To estimate cost of the (to limit the cost of construction) • For the proper distribution of excavated material • To determine amount and location of waste and borrow. • Amount of over haul in kilometer cubic meter can be determined. 141 ECSC, IUDS, Urban Engineering Department (UE)
  • 142.
    Highway Design SeniorProject 2010 • To determine direction of haul. Computation of earthwork There are several ways of calculating earthwork but the most common is the average end area method. This method consists of averaging the cut and fill quantities of adjacent stations and multiplying by the distance between stations to produce cubic meters of excavation and embankment between the two stations. End Area Calculations In this project we took 25 cross section that covers total distance of 500 m (from station 12 + 500 to 13+000 m) Calculation procedure followed  Area at different cross section along the road with an interval of 20m station is taken.  Read the elevations of existing profile along the right of way (50 m) from the contour to plot the points.  Design proposed carriage way by providing a cross fall of 2.5% from the center to both direction. Then the amount of cut and fill are determined at each 20m stations (to calculate the end area areas we use AutoCAD software program)  Preparation of mass haul diagram. Volume calculation The volume of earth work from the successive cross sections can be computed by different formulas like average end area method, (trapezoidal method) or primordial formula. Average end Area Method (trapezoidal method) 142 ECSC, IUDS, Urban Engineering Department (UE)
  • 143.
    Highway Design SeniorProject 2010  A1 + A2  V=  * L  2  Where :  V= volume in m3  A1and A2 is area of successive cross-section in m2  L= distance between successive cross section in m in this case 20 m. The average end area method is simple and is generally preferred, so we choose this method for this particular project. The volume computed by this formula is likely to be higher than the true value in the case of the section changing rapidly. Estimation of earth work quantities Based on:- o Estimate of quantities o Rate of abstract of work Shrinkage and swelling should be included in estimating the quantities. According to ERA 2001 there is a recommended shrinkage and swelling factor there fore the following tables show the recommended values of Shrinkage factors Type of soil Shrinkage factor Light soil (ordinary ground) 10-25% Light soil(swamp ground) 20-40% Heavy soil up to10% Table 4-1 Soil shrinkage factor 4.2 Mass haul diagram 143 ECSC, IUDS, Urban Engineering Department (UE)
  • 144.
    Highway Design SeniorProject 2010 It is a graphical representation of the amount of earth work and embankment involved in a project and the manner in which the earth is to be moved. The mass haul diagram shows excavation (adjusted) and embankment quantities from some point of beginning on the profile, considering cut volumes positive and fill volumes negative. At the beginning of the curve the ordinate is zero, and ordinates are calculated continuously from the initial station to the end of the project. Mass haul diagram is a continuous curve showing the accumulated algebraic sum of the cut (+ve) and fill (-ve) volume from some initial station for any succeeding section. The horizontal axis represents distance and is usually expressed in meters or stations. The vertical axis represents the cumulative quantity of earth work in cubic meter (m3). The mass haul diagram allows determining direction of haul and the quantity of earth taken from or hauled to any location. It shows balance point the station between which is the volume of excavation. In this project horizontal axis represents stations from 12+500 to 13+000 and the vertical axis represents the cumulative volume. Use of mass haul diagram The mass haul diagram can be used to determine:  Proper distribution of excavated material  Amount and location of waste  Amount and location of borrow  Amount of overhaul in kilometer-cubic meters  Direction of haul.  In proportion and enabling suitable plant, equipment or machinery. For our project the mass haul diagram is drawn according to the following data. We use swelling factor of 0 % and factor shrinkage 85 % because we assume the soil is ordinary common soil so we consider only swelling. Calculation of mass ordinates is performed and the results are shown below on the table. 144 ECSC, IUDS, Urban Engineering Department (UE)
  • 145.
    Highway Design SeniorProject 2010 145 ECSC, IUDS, Urban Engineering Department (UE)
  • 146.
    Highway Design SeniorProject 2010 End Area(m2) Dist Mass Station cut Fill ance(m) Adj.factor Adj.cut Tot.Adj.cut vol. fill vol. ordinet(m3) 12+500 15.64 48.35 0.85 13.29 0.00 12+520 11.95 81.06 20 0.85 10.16 234.49 1294.05 -1059.56 12+540 2.98 89.72 20 0.85 2.53 126.91 1707.81 -2640.46 12+560 0.00 125.60 20 0.85 0.00 25.34 2153.18 -4768.30 12+580 0.00 115.74 20 0.85 0.00 0.00 2413.38 -7181.68 12+600 0.24 79.78 20 0.85 0.21 2.08 1955.22 -9134.82 12+620 9.06 36.18 20 0.85 7.70 79.13 1159.64 -10215.34 12+640 2.35 43.15 20 0.85 2.00 97.05 793.37 -10911.67 12+660 60.34 0.86 20 0.85 51.29 532.86 440.18 -10818.99 12+680 95.33 0.00 20 0.85 81.03 1323.19 8.64 -9504.44 12+700 115.38 0.87 20 0.85 98.07 1791.02 8.74 -7722.15 12+720 123.29 6.48 20 0.85 104.80 2028.70 73.58 -5767.03 12+740 111.28 19.05 20 0.85 94.59 1993.91 255.35 -4028.47 12+760 108.40 29.66 20 0.85 92.14 1867.26 487.10 -2648.32 12+780 107.95 45.24 20 0.85 91.76 1838.95 748.97 -1558.34 12+800 151.88 50.51 20 0.85 129.10 2208.56 957.43 -307.21 12+820 99.01 76.88 20 0.85 84.16 2132.54 1273.84 551.49 12+840 104.34 78.86 20 0.85 88.69 1728.42 1557.42 722.49 12+860 95.42 82.83 20 0.85 81.11 1697.94 1616.97 803.47 12+880 82.88 101.51 20 0.85 70.45 1515.58 1843.46 475.59 12+900 72.19 101.21 20 0.85 61.36 1318.07 2027.19 -233.53 12+920 77.90 111.42 20 0.85 66.22 1275.74 2126.26 -1084.05 12+940 72.59 125.25 20 0.85 61.70 1279.14 2366.72 -2171.63 12+960 60.88 128.38 20 0.85 51.75 1134.47 2536.32 -3573.48 12+980 51.63 152.34 20 0.85 43.89 956.37 2807.19 -5424.30 13+000 49.85 165.54 20 0.85 42.37 862.60 3178.82 -7740.53 Table 4-2 mass ordinate 146 ECSC, IUDS, Urban Engineering Department (UE)
  • 147.
    Highway Design SeniorProject 2010 Fig.4-1 Mass haul diagram The direction of haul:  From station 12+640 to 12+740 to the left.  From station 12+740 to 12+860 to the right. Economical Over Haul Distance When costing the Earth moving, there are basic costs which are usually included in the contracts for the project. Cost of free haul :- any earth moved over distances not greater than the free haul distance is cost only on the excavation of its volume. Cost of over haul: - any earth moved over distances greater than the free haul distance is charged both for its volume and for the distance in excess of the free haul distance over which it is moved. This charge can be specified either for units of haul or for units of volume. Cost of waste: - any surplus or unsuitable material which must be removed from the site and deposited in a tip is usually charged on units of volume. This charge can vary from one section of the site to another depending on the nearness of tips. 147 ECSC, IUDS, Urban Engineering Department (UE)
  • 148.
    Highway Design SeniorProject 2010 Cost of borrow: - any extra material which must be brought on to the site to make up the deficiency is also usually charged on units of volume. This charge can also vary from one section of the site to another depending on the nearness of borrow pits. ELH = FH distance + (Unit Price of Borrow/ Unit Price of Overhaul) Where: ELH = Economic limit of haul FH = Free haul distance Assume that  Ec = cost of excavation per unit volume(m3) Hard excavation to embankment = 273 birr/m3 Excavation an unsuitable = 62 birr/m3  Bc = cost of borrow per cubic meter per station = 15 birr/m3  OHc = cost of over hauling per unit volume-station = 12 birr /m3  FH = Free haul distance = 120m (6 station) ELH = FH + (Bc / OHc) = 120/20 + 15/12 = 7.25 station or 145 m Therefore the economic haul distance is 145 m. Total free haul volume = VD + FW = 3500 +1500 =5000 m3 from mass haul diagram Total borrow =AB + LH = 4000 +7800 = 11800m3 Cost of earth work = cost of borrow +cost of excavation + cost of over haul Cost of borrow = Total volume of borrow *cost of borrow per meter cubic =11800m3*15 birr/100m3 = 1770 birr Cost of excavation = volume of excavation * cost of excavation per meter cubic 148 ECSC, IUDS, Urban Engineering Department (UE)
  • 149.
    Highway Design SeniorProject 2010 Volume of excavation = DJ + FI = 7000 +4900 = 11900m3 Cost of excavation = 11900*273 birr/100m3 =32,487 birr Cost of over haul = over haul volume *cost of over haul per station meter. For loop 1 Over haul volume 1 = area CJM + area UEO = 43,750 + 70,000 = 113750 m3 For loop 2 Over haul volume 2 = area ESP+ area QRG = 96,250 + 87,500 = 183,750 m3 Total Over haul volume = 113750 + 183,750 = 297,500 m3 Cost of over haul = 297,500 m3 *12 birr/100m3 = 35,700 birr. Total cost of earth work = cost of borrow +cost of excavation + cost of over haul = 1770 birr + 32,487 birr + 35,700 birr. = 69,957 birr Section-5: Pavement design Pavement design is the process of developing the most economical combination of pavement layers (thickness, type) to suit the soil foundation and withstand the load due to cumulative traffic during the design life or period. 149 ECSC, IUDS, Urban Engineering Department (UE)
  • 150.
    Highway Design SeniorProject 2010 The design standard described here presents the pavement design standard which will be utilized in the course of the design works all in accordance with ERA Pavement Design manuals and other internationally recognized Pavement Design Standards. The main design parameters for the pavement design include:  Estimating the amount of traffic  Assessing and evaluating the strength of sub grade soil  Locally available construction materials  Drainage Conditions  Environment factors In this standard, traffic volume, Sub grade type, construction materials and local factors are the main design inputs. The traffic volume will be determined from the traffic counts in terms of AADT (Average Annual Daily traffic) we take this value from the given data. We determine the Sub grade type and strength from the given CBR % (California Bearing Ratio) Values. The basic idea in building a pavement for all-weather use by vehicles is to prepare a suitable Sub grade, provide necessary drainage and construct a pavement that will:  Have sufficient total thickness and internal strength to carry expected traffic loads;  Have adequate properties to prevent or minimize the penetration or internal accumulation of moisture, and  Have a surface that is reasonably smooth and skid resistant at the same time, as well as reasonably resistant to wear, distortion and deterioration by weather. The sub grade ultimately carries all traffic loads. The basic idea in building a pavement for all weather use by vehicles is: • To prepare a suitable sub grade • Provide necessary drainage and 150 ECSC, IUDS, Urban Engineering Department (UE)
  • 151.
    Highway Design SeniorProject 2010 • Construct a pavement that will have sufficient total thickness and internal strength to carry expected traffic loads, and distribute them over the sub grade soil without overstressing. Design inputs In this pavement design, the design inputs are summarized into two main parameters, traffic load in terms of cumulative ESA and Subgrade strength interim of CBR. The overall required strength is read from charts or graphs which preset pavement catalogues in which each pavement composition is classified based on ranges of traffic loading (T 1- T8) and Subgrade strength (S1-S6) maximum CBR value. Therefore we provide flexible pavement for our road project. Flexible pavements Flexible pavements are intended to limit the stress created at the sub grade level by the traffic traveling on the pavement surface, so that the sub grade is not subject to significant deformations. In effect, the concentrated loads of the vehicle wheels are spread over a sufficiently larger area at sub grade level. A flexible pavement is one, which has low (bending) flexural strength, and the load is largely transmitted to the sub grade soil through the lateral distribution of stresses with increasing depth. The pavement thickness is designed such that the stresses on the sub grade soil are kept with in its bearing capacity and the sub grade is prevented from excessive deformation. The strength and smoothness of flexible pavement structure depends to a large extent on the deformation of the sub grade soil. A flexible pavement must satisfy a number of structural criteria or considerations;  The sub grade should be able to sustain traffic loading without excessive deformation; this is controlled by the vertical compressive stress or strain at this level. 151 ECSC, IUDS, Urban Engineering Department (UE)
  • 152.
    Highway Design SeniorProject 2010  Bituminous materials and cement-bound materials used in road base design should not crack under the influence of traffic; this is controlled by the horizontal tensile stress or strain at the bottom of the road base.  The road base is often considered the main structural layer of the pavement, required to distribute the applied traffic loading so that the underlying materials are not over stressed. It must be able to sustain the stress and strain generated within it with out excessive or rapid deterioration of any kind.  In pavements containing a considerable thickness of bituminous materials, the internal deformation of these materials must be limited; their deformation is a function of their creep characteristics.  The load spreading ability of granular sub base and capping layers must be adequate to provide a satisfactory construction platform. Elements of the conventional flexible pavement Tack coat  Is a very light application of asphalt usually asphalt emulsion diluted with water used to ensure the bond between the surface being paved (surface course) and the overlying course. Essential requirements of tack coat • It must be very thin. • It must uniformly cover the entire surface to be paved. • It must be allowed to break or cure before the HMA is laid. Prime coat  Is an application of low viscosity cut-back asphalt to an absorbent surface, such as un treated granular base on which an asphalt layer will be placed.  Its purpose is to bind granular base to the asphalt layer. 152 ECSC, IUDS, Urban Engineering Department (UE)
  • 153.
    Highway Design SeniorProject 2010  The prime coat penetrates the underlying layer, plugs the voids, and forms water tight surface. Surface course  The surface course is the top course of an asphalt pavement, sometimes called the wearing course  It is usually constructed by dense graded hot-mix asphalt It must be:  Tough to resist distortion under traffic and provide a smooth and skid-resistant riding surface.  Waterproof to protect the entire pavement and sub grade from the weakening effect of water. Binder course  Sometimes called the asphalt base course is the asphalt layer below the surface course. It is placed for two reasons: • First, the HMA is too thick to be compacted one layer, so it must be placed in two layer. • Second the binder course generally consists of larger aggregates and less asphalt and does not require a high quality as the surface so replacing a part of the surface course by the binder course results in a more economical design. Base course The base course is the layer of material immediately beneath the surface course. It may be composed of well graded crushed stone (unbounded), granular material mixed with binder, or stabilized materials. It is the main structural part of the pavement and provides a level surface for laying the surface layer. Sub base course 153 ECSC, IUDS, Urban Engineering Department (UE)
  • 154.
    Highway Design SeniorProject 2010 Construct using local and cheaper materials for economic reason on top of the sub grade. It provides additional help to the base and the upper layers in distributing the load. It facilitates drainage of free water that might get accumulated below the pavement. Sub grade It is the foundation on which the vehicle load and the weight of the pavement layers finally rest. It is an in situ or a layer of selected materials compacted to the desirable density near the optimum moisture content. Fig 5-1 Road layer The basic key elements for designing of pavements are: • Traffic class 154 ECSC, IUDS, Urban Engineering Department (UE)
  • 155.
    Highway Design SeniorProject 2010 • Sub grade strength 5.1 Traffic volume analysis Traffic classes are depends on ESAs & vehicle classification; Where ESAs are based on:  Vehicle classification  Cumulative traffic volume ( T )  Equivalency factor (EF) Vehicle classification from the give data Passenger vehicles Freight vehicles Cars Small trucks 4WD Medium trucks Small bus Heavy trucks Large bus Articulated trucks Cumulative traffic volume ( T ) T = AADT1*(p)*(D)*365((1+i)N -1)/i Where, AADT1 traffic volume when the road is open (2013) i = growth rate = 7 %, it is given N = design period = 15, it is given P = lane distribution factor =1 (100%) ERA/AASHTO D = directional distribution factor = 0.5 this accounts for any directional variation in total traffic volume or loading pattern. Equivalency factor (EF) 155 ECSC, IUDS, Urban Engineering Department (UE)
  • 156.
    Highway Design SeniorProject 2010 EF= (Axle i/8160)n Where, n is usually 4.5 Axles i = load in kg  The Cumulative number of vehicles are depends on AADT (2013) & Diverted traffic (2013), then we use the sum of both traffic volume.  To calculate equivalent standard axles (ESAs) by using, Cumulative number of vehicle (T) and Equivalency factor (EF). 5.2 Axle load survey and equivalent factor computation From the axle load survey data of each vehicle, the equivalent factor is computed and summarized in the following table. Refer to annex for the detail computation. Day 13 Day 14 Day 15 Day 16 Day 17 Day 18 T0TAL Classificatio n of vehicles NO. EF NO. EF NO. EF NO. EF NO. EF NO. EF NO. EF EF car 0.00 4 WD 0.00 0.3 0.5 0.5 0.7 S/Bus 10 0.3 10 1 10 4 10 4 10 0.44 10 5 60 2.87 0.05 8.8 3.8 10. L/Bus 10 8.3 10 9 10 9 10 10 10 8.90 10 9 60 50.86 0.85 S/Truck 5 0.0 5 0.02 0.00 0.9 0.0 3.8 0.1 M/Truck 10 0.3 10 1 10 9 10 6 10 6.02 10 6 60 11.28 0.19 55. 46. 49. 91.4 58. 385.0 L/Truck 10 83.3 10 5 10 7 10 8 10 0 10 4 60 2 6.42 192. 145. 878.3 T/Trailer 10 6 10 165 10 117 10 145 10 5 10 112 60 9 14.64 5.3 Traffic class determination 156 ECSC, IUDS, Urban Engineering Department (UE)
  • 157.
    Highway Design SeniorProject 2010 Calculation of ESAs by using the above Axle load survey EF= (Axle i/8160)^4.5 T = AADT1*(p)*(D)*365((1+i)N -1)/i i= 7% P= 1 D= 0.5 Day 13 Day 14 Day 15 Day 16 Day 17 Day 18 T0TAL Cumula. Classification No. ESAs of vehicles NO. EF NO. EF NO. EF NO. EF NO. EF NO. EF NO. EF EF AADT1 Veh. (10^6) car 0.00 0 0 0.00 4 WD 0.00 21 96307 0.00 0.3 0.5 0.5 0.7 S/Bus 10 0.3 10 1 10 4 10 4 10 0.44 10 5 60 2.87 0.05 18 82549 0.00 8.8 3.8 10. L/Bus 10 8.3 10 9 10 9 10 10 10 8.90 10 9 60 50.86 0.85 7 32102 0.03 S/Truck 5 0.0 5 0.02 0.00 38 174270 0.00 0.9 0.0 3.8 0.1 M/Truck 10 0.3 10 1 10 9 10 6 10 6.02 10 6 60 11.28 0.19 31 142167 0.03 55. 46. 49. 91.4 58. 385.0 L/Truck 10 83.3 10 5 10 7 10 8 10 0 10 4 60 2 6.42 51 233888 1.50 192. 145. 878.3 14.6 T/Trailer 10 6 10 165 10 117 10 145 10 5 10 112 60 9 4 38 174270 2.55 Sum 4.11 Table 5-1 ESAs computation ESAs = 4.11*10^6 Based on this traffic analysis the main access belongs to the traffic class T 5 which is in the range of (3 to 6)*10^6 ESAs. CBR test from the given data is 4% from 0 km to 24km and our road project is between 12.5 km to 15.5 km. According to ERA 2002 design manual CBR test (3-4) % fails in to the soil class sub grade strength S2 .Therefore our road project design is based on traffic class T5 and sub grade strength S2. 5.4 Selection of economical section 157 ECSC, IUDS, Urban Engineering Department (UE)
  • 158.
    Highway Design SeniorProject 2010 By using T5 and S2 the economical pavement selected from the catalog of pavement types and configuration for design of road section. Chart (1, 2, 3, 4, 7 and 8) selected for comparison purpose. pric(m3)inbi Materials abbreviation rr Double surface dressing DSD 1000 Flexible bituminous surface FBS 2050 Bituminous surface BS 900 Bituminous road base, RB BRB 1045 Granular road base, GB1-GB3 GRB(1-3) 560 Granular sub base GS GSB 250 Granular capping layer, or selected sub grade fill, GC GCL or SSF 200 Cement or lime stabilized road base1, CS1 C or LSRB1 Cement or lime stabilized road base2, CS2 C or LSRB2 810 Cement or lime stabilized sub base, CS C or LSSB 860 Table 5-2 Material and price Chart 1 Chart 2 SD SD 158 ECSC, IUDS, Urban Engineering Department (UE)
  • 159.
    Highway Design SeniorProject 2010 Chart 3 Chart 4 Chart 7 Chart 8 SD 159 ECSC, IUDS, Urban Engineering Department (UE)
  • 160.
    Highway Design SeniorProject 2010 160 ECSC, IUDS, Urban Engineering Department (UE)
  • 161.
    Highway Design SeniorProject 2010 THICKNESS OF THE CHARTS (mm) Price Price (Birr ) Materials chart1 chart2 chart3 chart4 chart7 chart8 Birr/m3 chart1 chart2 chart3 chart4 chart7 chart8 DSD 50 50 50 1000 50 50 50 FBS 50 50 50 2050 102.5 102.5 102.5 BRB 125 1045 130.63 GRB(1-3) 200 150 175 150 560 112 84 98 84 GSB 275 275 225 250 68.75 68.75 56.25 GCLorSSF 200 200 200 200 200 225 200 40 40 40 40 40 45 CorLSRB2 250 225 200 810 202.5 182.25 162 CorLSSB 225 860 193.5 Total 270.75 376.5 309.25 408.75 329.38 400.5 Table 5-3 Economical section 161 ECSC, IUDS, Urban Engineering Department (UE)
  • 162.
    Highway Design SeniorProject 2010 From the above charts, chart 1 is more economical than others but it is not technically feasible, because mostly it is used for maintenance purpose. Therefore, we choose chart 3 with bituminous surface (HMA). The thickness of each layer summarized as follows: Materials Layer thickness(mm) Station(km) FBS 50 GRB(1-3) 175 12 +500- 15+ 500 GSB 275 GCL or SSF 200 Table 5-4 selected section Section-6: Provision of traffic controls Signings and Markings They are directly related to the design of the highway or street and futures of traffic control’s and operation that the designer should consider in the geometric layout of such facilities. The potential for future operational problems can be significantly reduced if signing and marking are treated as an integral part of the highway design. The extent to which signs and markings are used depends on the traffic volume, type of facility and the extent of traffic control appropriate for save and efficient operation. Generally highway signs are three types as per AASHTO practice • Regulatory signs: to indicate the rules for traffic movement (prohibitory and mandatory). Mandatory signs for stop and yielding. Prohibitory signs for curve movements, weight and speed limitation etc 162 ECSC, IUDS, Urban Engineering Department (UE)
  • 163.
    Highway Design SeniorProject 2010 • Warning or danger or cautionary signs: to indicate conditions that may involve risk to highway users. • Guide or information signs: to direct traffic along a route or towards a distention. Physical obstructions in or near our road way project should be removed in order to provide the appropriate clear zone. Where removal is impossible, such objects should be adequately marked by painting or by use of other highly visible material. Where the object is in the direct line of traffic, the obstruction and marking there on preferably should be illuminated at night by flood lighting; where there is not practical, the object markings should be effectively reflectorized. Post mounted delineators are another type of marking devises used to guide traffic, particularly at night. Reflector units are installed at certain height & spacing to delineate the road way where alignment changes may be confusing & not clearly defined. The importance of traffic control devices • Give timely warning of hazardous situation when they are not self evident • Regulating traffic by imparting messages to the drivers about the need to stop, give way or yielding & limit their speed • Give information as to highway routes, directions & point of intersection. The general guide lines for the provision of traffic signings • It should be installed only by the authority of law with proper enforcement measures to respecting the signs. • It should be provided only after traffic engineering studies & sound judgments. • Excessive use of signs should not be resorted to. • They should be legible & understood to those who using it (visibility, lettering, symbols, locations, simplicity, uniformity & standard size). Location, height & maintenance of traffic signs The location, reflecting & lighting of signs are important considerations. 163 ECSC, IUDS, Urban Engineering Department (UE)
  • 164.
    Highway Design SeniorProject 2010 The signs should be located on the risk side of the road where the drivers will be looking at them. On hill roads, they should be fixed on the valley side of the road & mounted on the posts. According to AASHTO practice the signs in rural areas shall be mounted at a height of at least 1.5m measured from the bottom to the pavement. The sign posts should be maintained in proper position & legible at all time. Damaged signs should be replaced immediately. Periodic painting of signs should be a routine part of maintenance. Road markings provisions These markings are used as a means of controlling & guiding traffic of roads & safety. These are: • Carriage way marking-which includes center line strip, traffic line strip, no over taking zone, stop lines , pedestrian &cyclist crossings , route directions etc. • Object markings-which should contains Krebs markings, culvert head wall markings, & other objects adjacent to the carriage way. The general guide lines of longitudinal pavement markings • Solid lines are restrictive & cannot be crossed. • Broken lines are restrictive in character & vehicle can cross it safely. • Double lines indicate maximum restrictions. • When combination of solid & broken lines are used, and the traffic moves to the right(left), a vehicle should not cross the continuous line adjacent to the right(left) of broken lines on the lane which the vehicle moving. • Pavement marking colors shall be white (optional crossing) & yellow (not crossing). On rural areas the center line marking of the pavement segment & gaps shall be doubled in length than an urban location, due to less traffic congestions. In addition the length of gaps shall be shorter near approaches, intersections & on curves than on straight reaches. The gap shall be half the value on straight sections. 164 ECSC, IUDS, Urban Engineering Department (UE)
  • 165.
    Highway Design SeniorProject 2010 Traffic lane lines The division of the carriage way in to separate lanes for traffic traveling in the same directions on either side of the center line or median strip helps to promote travel in proper lanes by promoting safety & ensuring maximum capacity. No overtaking zone marking These markings shall be provided on summit curves, horizontal curves & tangents in two or three lane highways where overtaking & passing maneuvers must be prohibited, because of non availability of safe overtaking sight distance or other hazardous conditions. The marking for “No overtaking” zone consists of a combination lines along the center line. The combination lines consist of a double line, the left hand element of which shall be a solid barrier line & the right hand element also either a normal broken center line or solid barrier governing the traffic from the opposite direction. Where a olid barrier line is to the right of the broken line, the overtaking restriction shall apply only to the opposing the traffic. If both lines are solid lines, “No overtaking” is permitted in both directions. 165 ECSC, IUDS, Urban Engineering Department (UE)
  • 166.
    Highway Design SeniorProject 2010 Fig 6-1. For areas on which “No overtaking” is permitted in both directions. Fig.6-2 a normal broken center line for areas on which passing is permitted safely in both directions. 166 ECSC, IUDS, Urban Engineering Department (UE)
  • 167.
    Highway Design SeniorProject 2010 Fig.6.3 solid barrier line & the right hand element broken center line for areas on which a solid barrier line is to the right of the broken line, the overtaking restriction in one direction Pavement edge lines or strips These shall be used to indicate the edges of carriageway on which no Krebs are provided. They serve as a visual guidance for the drivers, indicating to them the limits up to which the driver can safely venture. They especially are useful during adverse weather & poor visibility. Where the paved shoulder is of a lesser structural strength than the main pavement, the edge lines are used to promote travel on the main pavement itself. Edge lines shall be in the form of single continuous lines placed about 15cm from the edge & the width of the lines shall be 15-20cm. Based on the above guide lines & principles as per AASHTO & ERA manuals we recommended that: • On the crest curve, from station (PC)=13+472 to (PT) = 13+672 “overtaking” is not permitted hence the solid barrier marking lines along with center line must be provided. In addition to this post mounted traffic signs that show ascent or descent summit curve must be provided on the risk side of the road. • On horizontal curves, from PC=12+655.43 to PT=12+774.55, from PC=13+098.59 to PT=13+199.38, PC=13+263.38 to PT=13+445.38, from PC=13+806.5 to PT=14+180.50, from PC=14+685.72 to 14+820.57, and from PC= 15+175.76 to PT=15+274.96 , here also “overtaking” is not permitted therefore the solid barrier marking lines along with center line must be provided. And post mounted traffic signs that show speed limitation, to the right hand & to the 167 ECSC, IUDS, Urban Engineering Department (UE)
  • 168.
    Highway Design SeniorProject 2010 left hand horizontal curve sign must be provided on the risk side of the road & visible to the traffic. • On the tangent curve, from station (PT) = 12+774.55 to station (PC) =13+098.59, similar manner as to horizontal curves. Section-7: Environmental consideration Environmental assessment: the identification and evaluation of the likely effects of a proposed policy, program, or project on the environment; alternatives to the proposal; measures to be adopted to protect the environment; a standard tool for decision making. Environmental Issues Include • Noise from all types of equipment and traffic • Air quality / emissions and dust problems from all types of equipment and traffic • Impact on natural and planted vegetation: removal or trimming of only those plants and trees directly affected by the implementation of the Project will be permitted. • Provisions for pedestrians and non-motorized traffic. • Access to properties /access to the site • Soil stability and earthworks • Effect on watercourses and water quality • Effects on adjacent land. • Material disposal • Equipment operation and disposal • Disposal of waste and reinstatement of land Therefore the above factors will considered during construction of this project. Erosion When natural conditions are modified by the construction of a road, it marks the start of a race between the appearance of erosion and the growth of vegetation. Disturbance during construction can upset the often delicate balance between stabilizing factors, such as 168 ECSC, IUDS, Urban Engineering Department (UE)
  • 169.
    Highway Design SeniorProject 2010 vegetation, and others which seek to destabilize, such as running water. In some cases erosion might result in cumulative impacts far beyond the road itself, affecting slopes, streams, rivers, and dams at some distance from the initial impact. Side-tipping of spoil materials Spoil material from road cuttings can kill vegetation and add to erosion and slope stability problems. Large amounts of spoil can be generated during construction in mountainous terrain. Sometimes it is difficult to design for balances between cut and fill volumes of earth at each location, and haulage to disposal sites may be expensive. This creates a need for environmental management of tipped material. During construction we shall not interrupt or interfere with the flow of irrigation waters without making prior arrangements with and obtaining the agreement of the irrigation authorities. The contractor shall allow in his program for the construction of those works which might interface with the flow of irrigation waters to be carried out at such times as will cause the least disturbance to irrigation operations. The contractor shall comply with the following: Meet the requirements of regulations. Consult, with the engineer before locating and constructing project offices and sheds and installing construction plant. Prevent pollution of any kind to adjacent property resulting from the construction operation. Sites containing cement, line and similar items shall be suitably protected from rain and flood. Natural streams or channels adjacent to the works of this contract shall not be disturbed without the approval of the engineer. Management of Waste Materials Management of waste materials: all excavated material to be disposed off-site in locations approved by the local regulatory agency. No material is to be disposed down slope without specific approval of the site engineer, and will be approved only if existing drainage, agricultural land, housing, and slope stability is not affected. All waste oils to be disposed of in accordance with existing environmental regulations. Remedial Measures 169 ECSC, IUDS, Urban Engineering Department (UE)
  • 170.
    Highway Design SeniorProject 2010 Prevention When planning new roads or changes in width or alignment, sensitive natural environments should be identified early in the planning process so that alternate routes and designs may be considered. Wherever possible, road developments should be located more than one kilometer away from sensitive areas to avoid severe impacts on flora and fauna. Water crossings should be minimized, and buffer zones of undisturbed vegetation should be left between roads and after courses. Groundwater recharge areas should be avoided, and major roads should not be constructed through national parks or other protected areas. Advantage should be taken of opportunities to twin new road corridors with previously established transport rights-of-way, such as railway lines. Animal crossings As we know Somale region has a lot of camel and goat and other wild animal .Animal crossings can be used to assist the migration of these animals. At important crossing points, animal tunnels or bridges have sometimes been used to reduce collision rates, especially for protected or endangered species. Tunnels are sometimes combined with culverts or other hydraulic structures. These measures are expensive and used only at a few locations where they are both justified (by the importance of the animal population and the crossing route) and affordable (relative to the cost of the project and the funds available. 170 ECSC, IUDS, Urban Engineering Department (UE)
  • 171.
    Highway Design SeniorProject 2010 Annexes Annexe-1 terrain classification data station Elv.diff.(m) H.distance(m) Slope (%) Terrain Remarks classification 12+500 10 64.62 15.48 Rolling 12+520 12 49.09 24.44 Rolling 12+540 12 44.14 27.19 Mountainous 12+560 16 72.95 21.93 Rolling 12+580 16 61.61 25.97 Mountainous 12+600 20 88.62 22.57 Rolling 12+620 22 104.2 21.11 Rolling 12+640 24 109.36 21.95 Rolling 12+660 24 94.49 25.40 Mountainous 12+680 24 96.69 24.82 Rolling 12+700 26 109.72 23.70 Rolling 171 ECSC, IUDS, Urban Engineering Department (UE)
  • 172.
    Highway Design SeniorProject 2010 12+720 26 115.4 22.53 Rolling 12+740 26 111.19 23.38 Rolling 12+760 26 106.85 24.33 Rolling 12+780 28 106.19 26.37 Mountainous 12+800 30 110.63 27.12 Mountainous 12+820 30 107.58 27.89 Mountainous 12+840 30 108.26 27.71 Mountainous 12+860 28 100.08 27.98 Mountainous 12+880 28 102.46 27.33 Mountainous 12+900 28 107.74 25.99 Mountainous 12+920 26 114.21 22.77 Rolling 12+940 26 95.19 27.31 Mountainous 12+960 24 85.46 28.08 Mountainous 12+980 24 92.68 25.90 Mountainous 13+000 20 76.43 26.17 Mountainous 13+020 22 89.62 24.55 Mountainous 13+040 28 101.46 27.60 Mountainous 13+060 26 92.29 28.17 Mountainous 13+080 26 92.76 28.03 Mountainous 13+100 24 97.52 24.61 Rolling 13+120 26 118.78 21.89 Rolling 13+140 24 104.16 23.04 Rolling 13+160 26 136.26 19.08 Rolling 13+180 26 116.46 22.33 Rolling 13+200 26 104.63 24.85 Rolling 13+220 26 95.84 27.13 Mountainous 13+240 26 103.46 25.13 Mountainous 172 ECSC, IUDS, Urban Engineering Department (UE)
  • 173.
    Highway Design SeniorProject 2010 13+260 26 98.53 26.39 Mountainous 13+280 24 91.86 26.13 Mountainous 13+300 20 112.18 17.83 Rolling 13+320 4 99.49 4.02 Rolling 13+340 8 115.2 6.94 Rolling 13+360 10 126.58 7.90 Rolling 13+380 12 101.27 11.85 Rolling 13+400 12 100.37 11.96 Rolling 13+420 14 105.34 13.29 Rolling 13+440 16 104.77 15.27 Rolling 13+460 18 99.32 18.12 Rolling 13+480 22 112.79 19.51 Rolling 13+500 22 103.12 21.33 Rolling 13+520 24 100.46 23.89 Rolling 13+540 26 102.99 25.25 Mountainous 13+560 26 93.67 27.76 Mountainous 13+580 26 86.25 30.14 Mountainous 13+600 30 98.06 30.59 Mountainous 13+620 30 92.25 32.52 Mountainous 13+640 28 80.12 34.95 Mountainous 13+660 28 75.52 37.08 Mountainous 13+680 28 72.91 38.40 Mountainous 13+700 30 81.44 36.84 Mountainous 13+720 32 98.29 32.56 Mountainous 13+740 32 103.67 30.87 Mountainous 13+760 32 102.5 31.22 Mountainous 13+780 32 104.98 30.48 Mountainous 173 ECSC, IUDS, Urban Engineering Department (UE)
  • 174.
    Highway Design SeniorProject 2010 13+800 32 93.3 34.30 Mountainous 13+820 32 104.76 30.55 Mountainous 13+840 30 128.59 23.33 Rolling 13+860 30 135.71 22.11 Rolling 13+880 30 145.89 20.56 Rolling 13+900 28 145.95 19.18 Rolling 13+920 28 141.63 19.77 Rolling 13+940 26 152.86 17.01 Rolling 13+960 22 153.32 14.35 Rolling 13+980 20 131.94 15.16 Rolling 14+000 16 115.77 13.82 Rolling 14+020 14 107.45 13.03 Rolling 14+040 12 96.56 12.43 Rolling 14+060 8 45.36 17.64 Rolling 14+080 8 30.59 26.15 Mountainous 14+100 4 41.6 9.62 Rolling 14+120 4 24.73 16.17 Rolling 14+140 8 42.08 19.01 Rolling 14+160 8 54.93 14.56 Rolling 14+180 8 58.2 13.75 Rolling 14+200 10 76.44 13.08 Rolling 14+220 10 67.47 14.82 Rolling 14+240 12 69.23 17.33 Rolling 14+260 12 62.82 19.10 Rolling 14+280 12 63.81 18.81 Rolling 14+300 14 72.11 19.41 Rolling 14+320 14 71.83 19.49 Rolling 174 ECSC, IUDS, Urban Engineering Department (UE)
  • 175.
    Highway Design SeniorProject 2010 14+340 14 70.36 19.90 Rolling 14+360 14 72.4 19.34 Rolling 14+380 12 65.94 18.20 Rolling 14+400 12 66.38 18.08 Rolling 14+420 12 65.11 18.43 Rolling 14+440 12 64.56 18.59 Rolling 14+460 12 64.36 18.65 Rolling 14+480 12 66.09 18.16 Rolling 14+500 12 65.26 18.39 Rolling 14+520 12 65.94 18.20 Rolling 14+540 12 68.3 17.57 Rolling 14+560 12 67.52 17.77 Rolling 14+580 12 68.97 17.40 Rolling 14+600 12 69 17.39 Rolling 14+620 12 62.41 19.23 Rolling 14+640 12 61.49 19.52 Rolling 14+660 12 61.43 19.53 Rolling 14+680 12 60.15 19.95 Rolling 14+700 12 58.29 20.59 Rolling 14+720 14 83.74 16.72 Rolling 14+740 14 85.15 16.44 Rolling 14+760 14 101.46 13.80 Rolling 14+780 12 90.01 13.33 Rolling 14+800 12 95.51 12.56 Rolling 14+820 14 110.72 12.64 Rolling 14+840 14 108.07 12.95 Rolling 14+860 14 105.75 13.24 Rolling 175 ECSC, IUDS, Urban Engineering Department (UE)
  • 176.
    Highway Design SeniorProject 2010 14+880 14 103.65 13.51 Rolling 14+900 14 100.27 13.96 Rolling 14+920 14 94.31 14.84 Rolling 14+940 14 87.69 15.97 Rolling 14+960 14 81.65 17.15 Rolling 14+980 14 79.81 17.54 Rolling 15+000 16 96.04 16.66 Rolling 15+020 16 93.13 17.18 Rolling 15+040 16 88 18.18 Rolling 15+060 16 85.64 18.68 Rolling 15+080 16 83.05 19.27 Rolling 15+100 16 78.25 20.45 Rolling 15+120 16 76.14 21.01 Rolling 15+140 16 74.54 21.46 Rolling 15+160 16 73.3 21.83 Rolling 15+180 16 71.11 22.50 Rolling 15+200 16 62.19 25.73 Mountainous 15+220 16 61.9 25.85 Mountainous 15+240 16 62.19 25.73 Mountainous 15+260 16 60.52 26.44 Mountainous 15+280 16 60.96 26.25 Mountainous 15+300 12 59.21 20.27 Rolling 15+320 12 67.21 17.85 Rolling 15+340 10 61.63 16.23 Rolling 15+360 8 55.67 14.37 Rolling 15+380 8 71.14 11.25 Rolling 15+400 6 55.63 10.79 Rolling 176 ECSC, IUDS, Urban Engineering Department (UE)
  • 177.
    Highway Design SeniorProject 2010 15+420 4 35.66 11.22 Rolling 15+440 6 89.63 6.69 Rolling 15+460 6 99.54 6.03 Rolling 15+480 8 86.28 9.27 Rolling 15+500 6 59.36 10.11 Rolling Annexe-2 Natural ground profile and the finished road grade elevation 177 ECSC, IUDS, Urban Engineering Department (UE)
  • 178.
    Grade Grade Station Natu. Elevation Station Natu. Elevation Elevation Eleation 12+500 Design Senior Project Highway 1384.30 1386.00 13+360 1398.60 2010 1393.60 12+520 1384.50 1386.18 13+380 1398.00 1393.80 12+540 1384.30 1386.36 13+400 1396.70 1393.98 12+560 1384.50 1386.53 13+420 1395.30 1394.16 12+580 1384.30 1386.71 13+440 1394.20 1394.33 12+600 1385.00 1386.89 13+460 1394.00 1394.51 12+620 1386.10 1387.06 13+480 1394.00 1394.67 12+640 1387.30 1387.24 13+500 1393.40 1394.73 12+660 1388.40 1387.42 13+520 1393.00 1394.68 12+680 1389.50 1387.60 13+540 1393.00 1394.51 12+700 1390.20 1387.77 13+560 1392.50 1394.23 12+720 1390.30 1387.95 13+580 1391.80 1393.84 12+740 1390.30 1388.13 13+600 1390.50 1393.34 12+760 1390.00 1388.31 13+620 1390.00 1392.73 12+780 1389.90 1388.48 13+640 1389.50 1392.00 12+800 1390.10 1388.66 13+660 1388.90 1391.18 12+820 1389.70 1388.84 13+680 1387.70 1390.24 12+840 1389.00 1389.01 13+700 1386.00 1389.28 12+860 1389.00 1389.19 13+720 1385.40 1388.32 12+880 1388.80 1389.37 13+740 1385.00 1387.30 12+900 1388.60 1389.55 13+760 1385.00 1386.40 12+920 1388.90 1389.72 13+780 1384.00 1385.40 12+940 1388.60 1389.90 13+800 1383.50 1384.50 12+960 1388.40 1390.01 13+820 1384.10 1383.59 12+980 1387.70 1390.26 13+840 1385.40 1382.63 13+000 1387.50 1390.43 13+860 1384.50 1381.76 13+020 1387.00 1390.61 13+880 1384.00 1380.96 13+040 1387.00 1390.79 13+900 1382.10 1380.21 13+060 1387.30 1390.96 13+920 1380.23 1379.53 13+080 1387.20 1391.14 13+940 1379.00 1378.89 178 13+100 1387.90 1391.32 13+960 1376.00 1378.34 ECSC, IUDS, Urban Engineering Department (UE) 13+120 1389.00 1391.50 13+980 1374.30 1377.80 13+140 1389.80 1391.67 14+000 1373.50 1377.34
  • 179.
    Highway Design SeniorProject 2010 Station Natural Grade Station Natural Grade Elevation Elevation Elevation Elevation 14+220 1377.60 1375.90 14+880 1367.50 1367.20 14+240 1378.00 1376.00 14+900 1367.60 1366.70 14+260 1378.20 1376.10 14+920 1367.00 1366.20 14+280 1378.10 1376.20 14+940 1366.30 1365.70 14+300 1378.20 1376.30 14+960 1365.90 1365.25 14+320 1378.10 1376.35 14+980 1365.70 1364.80 14+340 1377.80 1376.40 15+000 1365.60 1364.30 14+360 1377.80 1376.51 15+020 1365.60 1363.80 14+380 1377.30 1376.56 15+040 1365.60 1363.30 14+400 1377.20 1376.57 15+060 1365.00 1362.80 14+420 1378.00 1376.53 15+080 1365.00 1362.30 14+440 1376.40 1376.45 15+100 1364.90 1361.80 14+460 1376.10 1376.32 15+120 1365.00 1361.30 14+480 1375.60 1376.14 15+140 1363.90 1360.80 14+500 1375.30 1375.91 15+160 1363.70 1360.30 14+520 1375.00 1375.64 15+180 1363.80 1359.85 14+540 1374.40 1375.31 15+200 1363.00 1359.40 14+560 1374.20 1374.94 15+220 1363.00 1358.70 14+580 1373.60 1374.53 15+240 1362.40 1358.40 14+600 1373.00 1374.08 15+260 1359.60 1357.90 14+620 1372.10 1373.60 15+280 1357.80 1357.40 14+640 1371.30 1373.10 15+300 1356.00 1356.90 179 ECSC, IUDS, Urban Engineering Department (UE)
  • 180.
    Highway Design SeniorProject 2010 14+660 1370.80 1372.60 15+320 1354.40 1356.40 14+680 1369.80 1371.10 15+340 1353.80 1355.90 14+700 1369.50 1371.60 15+360 1352.20 1355.40 14+720 1369.40 1371.10 15+380 1351.90 1354.90 14+740 1369.00 1370.64 15+400 1351.90 1354.45 14+760 1369.00 1370.20 15+420 1351.90 1353.96 14+780 1368.50 1369.70 15+440 1349.90 1353.47 14+800 1368.00 1369.20 15+460 1346.00 1353.00 14+820 1368.10 1368.70 15+480 1351.00 1352.59 14+840 1367.90 1368.20 15+500 1353.00 1352.00 14+860 1367.70 1367.70 180 ECSC, IUDS, Urban Engineering Department (UE)
  • 181.
    Highway Design SeniorProject 2010 Annexe-3 Nomograph 181 ECSC, IUDS, Urban Engineering Department (UE)
  • 182.
    Highway Design SeniorProject 2010 Anexe-4 Axle load survey and EF computation 182 ECSC, IUDS, Urban Engineering Department (UE)
  • 183.
    Highway Design SeniorProject 2010 Traffic count for day 13, Small Bus axle1 axle2 Axle EF1 Axle EF2 Total EF SB (25) 3300 3350 0.017 0.018 0.035 SB (14) 1150 1650 0.000 0.001 0.001 SB (25) 1800 2850 0.001 0.009 0.010 SB (25) 2250 3850 0.003 0.034 0.037 SB (25) 2300 3800 0.003 0.032 0.035 SB (25) 2250 4000 0.003 0.040 0.043 SB (25) 2350 3000 0.004 0.011 0.015 SB (25) 2400 3800 0.004 0.032 0.036 SB (25) 2350 3050 0.004 0.012 0.016 SB (25) 2400 4400 0.004 0.062 0.066 Sum 0.295 Large Bus axle1 axle2 axleEF1 Axle EF2 Total EF 183 ECSC, IUDS, Urban Engineering Department (UE)
  • 184.
    Highway Design SeniorProject 2010 LB (45) 3800 6200 0.032 0.291 0.323 LB (45) 4400 6600 0.062 0.385 0.447 LB (45) 3350 5400 0.018 0.156 0.174 LB (60) 6000 7450 0.251 0.664 0.915 LB (45) 3850 7050 0.034 0.518 0.552 LB (45) 4350 6000 0.059 0.251 0.310 LB (62) 7000 9150 0.502 1.674 2.176 LB (62) 5450 9600 0.163 2.078 2.240 LB (45) 4050 7450 0.043 0.664 0.707 LB(45) 3550 6750 0.024 0.426 0.449 Sum 8.292 Medium truck axle1 axle2 axle3 axleEF1 axleEF2 Axle EF3 Total EF MT 2850 5400 0.009 0.156 0.000 0.165 MT 1600 1350 0.001 0.000 0.000 0.001 MT 1700 1550 0.001 0.001 0.000 0.001 MT 2200 3300 0.003 0.017 0.000 0.020 MT 1500 1600 0.000 0.001 0.000 0.001 MT 2300 2500 0.003 0.005 0.000 0.008 MT 2450 2250 0.004 0.003 0.000 0.007 MT 2850 3700 0.009 0.028 0.000 0.037 MT 1800 1600 0.001 0.001 0.000 0.002 MT 1600 2700 0.001 0.007 0.000 0.008 Sum 0.250 Large truck axle1 axle2 axle3 axle4 Axle EF1 Axle EF2 Axle Axle Total 184 ECSC, IUDS, Urban Engineering Department (UE)
  • 185.
    Highway Design SeniorProject 2010 EF3 EF4 EF LT 6450 15950 0.35 20.41 0.00 0.00 20.756 LT 4200 5250 0.05 0.14 0.00 0.00 0.188 LT 6050 14200 0.26 12.10 0.00 0.00 12.358 LT 5950 11800 0.24 5.26 0.00 0.00 5.500 LT 6250 14300 0.30 12.49 0.00 0.00 12.787 LT 8250 9900 9850 1.05 2.39 2.33 0.00 5.770 LT 8950 10700 10750 1.52 3.39 3.46 0.00 8.358 LT 4800 8950 0.09 1.52 0.00 0.00 1.607 LT 7000 13000 0.50 8.13 0.00 0.00 8.632 LT 5900 12600 0.23 7.06 0.00 0.00 7.297 Sum 83.253 Truck trailer axle1 axle2 axle3 axle4 axle5 axle6 axle axle EF2 axle axle axle axle totalEF 185 ECSC, IUDS, Urban Engineering Department (UE)
  • 186.
    Highway Design SeniorProject 2010 EF1 EF3 EF4 EF5 EF6 1525 1100 TT 6050 0 0 11400 0.26 16.68 3.83 4.50 0.00 0.00 25.27 1500 TT 6300 0 8350 9450 0.31 15.48 1.11 1.94 0.00 0.00 18.84 1460 TT 6350 0 7950 9150 0.32 13.71 0.89 1.67 0.00 0.00 16.60 1480 TT 5900 0 8750 9750 0.23 14.57 1.37 2.23 0.00 0.00 18.40 1320 TT 5750 0 8300 7100 0.21 8.71 1.08 0.53 0.00 0.00 10.53 1140 1160 1310 TT 6150 0 0 11300 0 0.28 4.50 4.87 4.33 8.42 0.00 22.40 1580 TT 6950 0 7750 9500 0.49 19.56 0.79 1.98 0.00 0.00 22.82 1700 TT 2350 0 8050 9200 0.00 27.19 0.94 1.72 0.00 0.00 29.85 1360 TT 6850 0 9150 9150 0.45 9.96 1.67 1.67 0.00 0.00 13.76 1100 1100 1010 TT 6450 0 0 10800 0 0.35 3.83 3.83 3.53 2.61 0.00 14.16 Sum 192.63 186 ECSC, IUDS, Urban Engineering Department (UE)
  • 187.
    Highway Design SeniorProject 2010 Traffic count for day 14,Small Bus Axle1 Axle2 Axle1 Ef Axle2 EF Total EF SB (25) 2300 3450 0.003 0.021 0.024 SB (25) 2250 2500 0.003 0.005 0.008 SB (25) 2350 3700 0.004 0.028 0.032 SB (25) 2250 4400 0.003 0.062 0.065 SB (25) 2200 3950 0.003 0.038 0.041 SB (25) 1750 2800 0.001 0.008 0.009 SB (25) 2200 3250 0.003 0.016 0.019 SB (25) 2300 3500 0.003 0.022 0.026 SB (25) 2550 4300 0.005 0.056 0.061 SB (25) 2150 3550 0.002 0.024 0.026 Sum 0.311 Large Bus Axle1 Axle2 Axle1 Ef Axle2 EF Total EF LB (45) 2100 5950 0.002 0.241 0.244 LB (45) 4150 7550 0.048 0.705 0.753 LB (62) 4600 7900 0.076 0.864 0.940 LB (62) 6600 9200 0.385 1.716 2.101 LB (62) 6600 9200 0.385 1.716 2.101 LB (62) 4000 6700 0.040 0.412 0.452 LB (45) 3900 5800 0.036 0.215 0.251 LB (45) 3400 6000 0.019 0.251 0.270 LB (62) 5300 8250 0.143 1.051 1.194 LB (45) 4200 7100 0.050 0.535 0.585 187 ECSC, IUDS, Urban Engineering Department (UE)
  • 188.
    Highway Design SeniorProject 2010 Sum 8.890 Medium truck Axle1 Axle2 Axle1 Ef Axle2 EF Total EF MT 1700 1850 0.001 0.001 0.002 MT 3650 3200 0.027 0.015 0.042 MT 3150 2250 0.014 0.003 0.017 MT 3250 3300 0.016 0.017 0.033 MT 2800 6650 0.008 0.398 0.406 MT 3250 2700 0.016 0.007 0.023 MT 1700 1150 0.001 0.000 0.001 MT 1850 1400 0.001 0.000 0.002 MT 2600 5950 0.006 0.241 0.247 MT 2750 5150 0.007 0.126 0.134 Sum 0.906 Large truck Axle1 Axle2 Axle3 Axle4 Axle5 Total Axle1 Axle2 Axle3 Axle4 Axle5 Ef EF EF EF EF EF LT 4350 7700 7650 0.06 0.77 0.75 0.00 0.00 1.58 LT 4800 8400 9850 11050 11250 0.09 1.14 2.33 3.91 4.24 11.72 LT 7750 10500 10950 0.79 3.11 3.76 0.00 0.00 7.66 LT 4100 2950 2900 0.05 0.01 0.01 0.00 0.00 0.06 LT 7600 11200 11300 0.73 4.16 4.33 0.00 0.00 9.21 LT 7000 12100 9050 0.50 5.89 1.59 0.00 0.00 7.98 LT 5200 5300 0.13 0.14 0.00 0.00 0.00 0.28 LT 4100 3800 0.05 0.03 0.00 0.00 0.00 0.08 LT 5750 15250 0.21 16.68 0.00 0.00 0.00 16.88 LT 3650 3550 0.03 0.02 0.00 0.00 0.00 0.05 188 ECSC, IUDS, Urban Engineering Department (UE)
  • 189.
    Highway Design SeniorProject 2010 Sum 55.50 Truck trailer Axle1 Axle2 Axle3 Axle4 Axle5 Axle6 Total Axle1 Axle2 Axle3 Axle4 Axle5 Axle6 Ef EF EF EF EF EF EF TT 4100 4550 2700 2550 0.05 0.07 0.01 0.01 0.00 0.00 0.13 TT 5350 10850 11050 8900 9250 0.15 3.60 3.91 1.48 1.76 0.00 10.90 TT 7800 12950 10050 8150 9400 0.82 7.99 2.55 0.99 1.89 0.00 14.25 TT 6050 14600 9250 9100 0.26 13.71 1.76 1.63 0.00 0.00 17.36 TT 8450 11600 11650 11000 7200 7900 1.17 4.87 4.96 3.83 0.57 0.86 16.27 TT 6650 10950 11500 10500 13300 0.40 3.76 4.68 3.11 9.01 0.00 20.96 TT 6500 15000 8300 8700 0.36 15.48 1.08 1.33 0.00 0.00 18.25 TT 5200 16300 10300 10600 0.13 22.50 2.85 3.25 0.00 0.00 28.73 TT 5200 16000 9700 11000 0.13 20.70 2.18 3.83 0.00 0.00 26.84 TT 7900 13100 9400 6500 0.86 8.42 1.89 0.36 0.00 0.00 11.53 Sum 165.22 Traffic count for day 15,Small Bus Axle1 Axle2 Axle1 Ef Axle2 EF Total EF SB (25) 3450 5050 0.021 0.115 0.136 SB (25) 4000 4450 0.040 0.065 0.106 SB (25) 2150 3850 0.002 0.034 0.037 SB (25) 2400 3900 0.004 0.036 0.040 SB (25) 2200 4150 0.003 0.048 0.050 SB (25) 2200 4150 0.003 0.048 0.050 SB (25) 2450 4050 0.004 0.043 0.047 SB (25) 2550 4050 0.005 0.043 0.048 SB (25) 2050 2650 0.002 0.006 0.008 SB (25) 2300 2900 0.003 0.010 0.013 189 ECSC, IUDS, Urban Engineering Department (UE)
  • 190.
    Highway Design SeniorProject 2010 Sum 0.536 Large Bus Axle1 Axle2 Axle1 Ef Axle2 EF Total EF LB(45) 4400 7100 0.062 0.535 0.597 LB(24) 2300 3350 0.003 0.018 0.022 LB(45) 3600 6850 0.025 0.455 0.480 LB (45) 3750 5100 0.030 0.121 0.151 LB (45) 4250 7200 0.053 0.569 0.622 LB (45) 3600 4250 0.025 0.053 0.078 LB (45) 3900 5600 0.036 0.184 0.220 LB (45) 3650 5150 0.027 0.126 0.153 LB (45) 6050 7400 0.260 0.644 0.904 LB (45) 3950 7350 0.038 0.625 0.663 3.890 Medium truck Axle1 Axle2 Axle1 Ef Axle2 EF Total EF MT 2800 2050 0.008 0.002 0.010 MT 2150 3700 0.002 0.028 0.031 MT 2150 3400 0.002 0.019 0.022 MT 1900 2150 0.001 0.002 0.004 MT 2800 2050 0.008 0.002 0.010 MT 1850 2400 0.001 0.004 0.005 MT 1750 1700 0.001 0.001 0.002 MT 2250 1850 0.003 0.001 0.004 MT 1600 1200 0.001 0.000 0.001 MT 1750 1450 0.001 0.000 0.001 0.0907 190 ECSC, IUDS, Urban Engineering Department (UE)
  • 191.
    Highway Design SeniorProject 2010 Large truck Axle1 Axle2 Axle3 Axle4 Axle5 Axle6 Total Axle1 Axle2 Axle3 Axle4 Axle5 Axle6 Ef EF EF EF EF EF EF LT 8000 11800 0.91 5.26 0.00 0.00 0.00 0.00 6.17 LT 4400 3800 0.06 0.03 0.00 0.00 0.00 0.00 0.09 LT 4900 3600 3650 0.10 0.03 0.03 0.00 0.00 0.00 0.15 LT 6200 12300 0.29 6.34 0.00 0.00 0.00 0.00 6.63 1180 1095 LT 8200 11800 0 0 6950 7750 1.02 5.26 5.26 3.76 0.49 0.79 16.57 LT 5950 15100 0.24 15.95 0.00 0.00 0.00 0.00 16.19 LT 4800 4750 0.09 0.09 0.00 0.00 0.00 0.00 0.18 LT 5250 5200 0.14 0.13 0.00 0.00 0.00 0.00 0.27 LT 5500 3700 3500 3000 2100 0.17 0.03 0.02 0.01 0.00 0.00 0.23 LT 4350 4900 0.06 0.10 0.00 0.00 0.00 0.00 0.16 Sum 46.66 191 ECSC, IUDS, Urban Engineering Department (UE)
  • 192.
    Highway Design SeniorProject 2010 Truck trailer Axle1 Axle2 Axle3 Axle4 Axle5 Axle6 Total Axle1 Axle2 Axle3 Axle4 Axle5 Axle6 Ef EF EF EF EF EF EF TT 5800 4200 2450 2600 2350 1400 0.22 0.05 0.00 0.01 0.004 0.0004 0.28 TT 6300 14500 8400 8650 0.31 13.29 1.14 1.30 0.00 0.00 16.04 TT 8250 16300 11200 9300 1.05 22.50 4.16 1.80 0.00 0.00 29.51 TT 4150 4850 3100 3100 0.05 0.10 0.01 0.01 0.00 0.00 0.17 TT 3750 5250 3100 3150 0.03 0.14 0.01 0.01 0.00 0.00 0.19 TT 6900 10300 7900 6600 0.47 2.85 0.86 0.38 0.00 0.00 4.57 TT 7900 11950 11900 11300 8050 7850 0.86 5.57 5.46 4.33 0.94 0.84 18.00 TT 4050 5100 2950 3050 0.04 0.12 0.01 0.01 0.00 0.00 0.19 TT 5650 15900 9400 10500 0.19 20.12 1.89 3.11 0.00 0.00 25.31 TT 5350 15400 8400 11300 0.15 17.43 1.14 4.33 0.00 0.00 23.04 117.3 192 ECSC, IUDS, Urban Engineering Department (UE)
  • 193.
    Highway Design SeniorProject 2010 193 ECSC, IUDS, Urban Engineering Department (UE)
  • 194.
    Highway Design SeniorProject 2010 Traffic count for day 16 Small Bus Axle1 Axle2 Axle3 Axle1 Ef Axle2 EF Axle3 EF Total EF SB (25) 1600 2850 0.001 0.009 0.000 0.009 SB (25) 2300 3300 0.003 0.017 0.000 0.020 SB (25) 2250 4250 0.003 0.053 0.000 0.056 SB (25) 2100 3950 0.002 0.038 0.000 0.040 SB (25) 2300 3250 0.003 0.016 0.000 0.019 SB (25) 2250 4050 0.003 0.043 0.000 0.046 SB (25) 2200 4150 0.003 0.048 0.000 0.050 SB (25) 4000 5700 0.040 0.199 0.000 0.239 SB (25) 2450 3550 0.004 0.024 0.000 0.028 SB (25) 1950 3750 0.002 0.030 0.000 0.032 Sum 0.541 194 ECSC, IUDS, Urban Engineering Department (UE)
  • 195.
    Highway Design SeniorProject 2010 Large Bus Axle1 Axle2 Axle1 Ef Axle2 EF Total EF LB (45) 3850 6400 0.034 0.335 0.369 LB (45) 4150 6400 0.048 0.335 0.383 LB (45) 3900 6900 0.036 0.470 0.506 LB (62) 6100 7650 0.270 0.748 1.018 LB (45) 3750 7450 0.030 0.664 0.694 LB (62) 4850 9950 0.096 2.441 2.537 LB (45) 5500 10550 0.169 3.177 3.347 LB (45) 3500 6350 0.022 0.324 0.346 LB (45) 4300 6500 0.056 0.359 0.415 LB (45) 2850 6700 0.009 0.412 0.421 10.036 Medium truck Axle1 Axle2 Axle4 Axle5 Axle1 Axle2 Axle3 Axle4 Axle5 Ef EF Axle3 EF EF EF Total EF MT 1850 1600 0.001 0.001 0.000 0.000 0.000 0.002 MT 2750 5550 0.007 0.176 0.000 0.000 0.000 0.184 MT 1950 2300 0.002 0.003 0.000 0.000 0.000 0.005 MT 4600 10200 3800 3300 3450 0.076 2.730 0.032 0.017 0.021 2.875 MT 2200 3550 0.003 0.024 0.000 0.000 0.000 0.026 MT 4450 6800 0.065 0.440 0.000 0.000 0.000 0.506 MT 3000 4500 0.011 0.069 0.000 0.000 0.000 0.080 MT 1850 5150 2800 0.001 0.126 0.008 0.000 0.000 0.135 MT 2550 4000 0.005 0.040 0.000 0.000 0.000 0.046 MT 2250 1850 0.003 0.001 0.000 0.000 0.000 0.004 3.863 195 ECSC, IUDS, Urban Engineering Department (UE)
  • 196.
    Highway Design SeniorProject 2010 Large truck Axle1 Axle2 Axle3 Axle1 Ef Axle2 EF Axle3 EF Total EF LT 4150 5250 0.048 0.137 0.000 0.185 LT 7300 10850 10800 0.606 3.604 3.530 7.740 LT 6000 13600 0.251 9.961 0.000 10.212 LT 7700 16300 0.770 22.503 0.000 23.273 LT 4350 4250 0.059 0.053 0.000 0.112 LT 4350 4300 0.059 0.056 0.000 0.115 LT 5950 7600 7600 0.241 0.726 0.726 1.694 LT 4400 4600 0.062 0.076 0.000 0.138 LT 7800 11750 0.816 5.159 0.000 5.975 LT 4850 6150 0.096 0.280 0.000 0.376 49.821 Truck trailer Axle1 Axle2 Axle3 Axle4 Axle5 Axle6 Total Axle1 Axle2 Axle3 Axle4 Axle5 Axle6 EF EF EF EF EF EF EF TT 5150 3450 3700 3500 3650 0.13 0.02 0.03 0.02 0.03 0.00 0.22 TT 5950 13550 9550 8800 0.24 9.80 2.03 1.40 0.00 0.00 13.47 TT 7650 11900 11900 11400 7000 8200 0.75 5.46 5.46 4.50 0.50 1.02 17.70 TT 7850 15000 9850 9950 0.84 15.48 2.33 2.44 0.00 0.00 21.10 TT 7500 11900 11800 11200 6600 8550 0.68 5.46 5.26 4.16 0.38 1.23 17.18 TT 5550 13250 9600 11500 0.18 8.86 2.08 4.68 0.00 0.00 15.80 TT 5300 15800 9400 10300 0.14 19.56 1.89 2.85 0.00 0.00 24.44 TT 5850 14700 8850 9350 0.22 14.14 1.44 1.85 0.00 0.00 17.65 TT 5300 4350 3100 3300 0.14 0.06 0.01 0.02 0.00 0.00 0.23 TT 6200 14800 7950 9250 0.29 14.57 0.89 1.76 0.00 0.00 17.51 145.30 196 ECSC, IUDS, Urban Engineering Department (UE)
  • 197.
    Highway Design SeniorProject 2010 Traffic count for day 17 ; Small Bus Axle1 Axle2 Axle1 Ef Axle2 EF Total EF SB (25) 2250 3800 0.003 0.032 0.035 SB (25) 2500 4800 0.005 0.092 0.097 SB (25) 2550 4150 0.005 0.048 0.053 SB (25) 2550 4400 0.005 0.062 0.067 SB (25) 2200 4100 0.003 0.045 0.048 SB (25) 2600 3750 0.006 0.030 0.036 SB (25) 2250 4250 0.003 0.053 0.056 SB (25) 1500 2750 0.000 0.007 0.008 SB (25) 2450 3600 0.004 0.025 0.030 SB (25) 2250 2700 0.003 0.007 0.010 0.440 Large Bus Axle1 Axle2 Axle1 Ef Axle2 EF Total EF LB (45) 2350 3550 0.0037 0.0236 0.0273 LB (45) 4050 6700 0.0428 0.4118 0.4546 LB (60) 4250 7550 0.0531 0.7049 0.7581 LB (45) 3800 4800 0.0321 0.0918 0.1239 LB (45) 3850 7400 0.0340 0.6441 0.6781 LB (62) 5750 10000 0.2070 2.4969 2.7038 LB (45) 3650 7400 0.0268 0.6441 0.6708 LB (45) 3850 5700 0.0340 0.1990 0.2330 LB (45) 4400 6900 0.0621 0.4701 0.5322 LB (62) 7250 9650 0.5874 2.1270 2.7144 8.8963 197 ECSC, IUDS, Urban Engineering Department (UE)
  • 198.
    Highway Design SeniorProject 2010 Medium truck Axle1 Axle2 Axle1 Ef Axle2 EF Total EF MT 2750 9600 0.007 2.078 2.085 MT 2250 1800 0.003 0.001 0.004 MT 2200 1850 0.003 0.001 0.004 MT 2650 3700 0.006 0.028 0.035 MT 2550 4700 0.005 0.084 0.089 MT 2700 2100 0.007 0.002 0.009 MT 3650 9700 0.027 2.177 2.204 MT 3900 8850 0.036 1.441 1.477 MT 3400 4700 0.019 0.084 0.103 MT 2100 2350 0.002 0.004 0.006 6.016 Large truck Axle1 Axle2 Axle3 Axle1 Ef Axle2 EF Axle3 EF Total EF LT 2650 2050 0.006 0.002 0.000 0.008 LT 6400 14350 0.335 12.683 0.000 13.018 LT 5800 17050 0.215 27.552 0.000 27.767 LT 6200 15750 0.291 19.282 0.000 19.573 LT 5600 3450 3550 0.184 0.021 0.024 0.228 LT 6150 14400 0.280 12.883 0.000 13.163 LT 7000 8350 9150 0.502 1.109 1.674 3.285 LT 7450 12500 12350 0.664 6.815 6.455 13.934 LT 5600 4700 0.184 0.084 0.000 0.267 LT 4900 4250 0.101 0.053 0.000 0.154 Sum 91.3984 Truck trailer 198 ECSC, IUDS, Urban Engineering Department (UE)
  • 199.
    Highway Design SeniorProject 2010 Axle1 Axle2 Axle4 Axle5 Total Axle1 Axle2 Axle3 Axle4 Axle5 Ef EF Axle3 EF EF EF EF TT 4050 4650 2650 2650 0.04 0.08 0.01 0.01 0.00 0.14 TT 5150 3650 3750 3250 3400 0.13 0.03 0.03 0.02 0.02 0.22 TT 8750 14400 10100 11000 1.37 12.88 2.61 3.83 0.00 20.70 TT 6550 14050 8800 9400 0.37 11.53 1.40 1.89 0.00 15.20 TT 4500 4350 2350 2450 0.07 0.06 0.00 0.00 0.00 0.14 TT 6150 15400 8000 8900 0.28 17.43 0.91 1.48 0.00 20.10 TT 6600 13750 8550 9400 0.38 10.47 1.23 1.89 0.00 13.97 TT 6950 12300 11700 11800 11400 0.49 6.34 5.06 5.26 4.50 21.65 TT 6850 12350 11800 10450 10700 0.45 6.45 5.26 3.04 3.39 18.60 TT 7700 16200 10500 13300 0.77 21.89 3.11 9.01 0.00 34.78 145.48 Traffic count for day 18; Small Bus Axle1 Axle2 Axle1 Ef Axle2 EF Total EF SB (25) 2150 4250 0.002 0.053 0.056 SB (25) 2450 4000 0.004 0.040 0.045 SB (25) 2250 4050 0.003 0.043 0.046 SB (25) 2150 3500 0.002 0.022 0.025 SB (25) 3350 6000 0.018 0.251 0.269 SB (25) 2050 3900 0.002 0.036 0.038 SB (25) 3350 5450 0.018 0.163 0.181 SB (25) 2200 3900 0.003 0.036 0.039 SB (25) 1500 2750 0.000 0.007 0.008 SB (25) 2400 4000 0.004 0.040 0.044 Sum 0.750 Large Bus 199 ECSC, IUDS, Urban Engineering Department (UE)
  • 200.
    Highway Design SeniorProject 2010 Axle1 Axle2 Axle1 Ef Axle2 EF Total EF LB (62) 6000 7450 0.251 0.664 0.915 LB (45) 4350 6450 0.059 0.347 0.406 LB (45) 3850 5900 0.034 0.232 0.266 LB (45) 4000 7650 0.040 0.748 0.788 LB (45) 4050 6150 0.043 0.280 0.323 LB (62) 5850 5800 0.224 0.215 0.439 LB (45) 5750 10750 0.207 3.457 3.664 LB (45) 5000 9450 0.110 1.936 2.046 LB (45 5150 8350 0.126 1.109 1.235 LB (62) 3800 7700 0.032 0.770 0.802 Sum 10.885 Medium truck Axle1 Axle2 Axle1 Ef Axle2 EF Total EF MT 1300 1350 0.0003 0.0003 0.001 MT 2500 4800 0.0049 0.0918 0.097 MT 1850 1750 0.0013 0.0010 0.002 MT 1850 1850 0.0013 0.0013 0.003 MT 2400 1650 0.0041 0.0008 0.005 MT 2300 3150 0.0034 0.0138 0.017 MT 2400 2450 0.0041 0.0045 0.009 MT 1950 1350 0.0016 0.0003 0.002 MT 2350 3250 0.0037 0.0159 0.020 MT 1750 1400 0.0010 0.0004 0.001 Sum 0.155 Large truck 200 ECSC, IUDS, Urban Engineering Department (UE)
  • 201.
    Highway Design SeniorProject 2010 Axle1 Axle2 Axle3 Axle1 Ef Axle2 EF Axle3 EF Total EF LT 6450 14500 0.347 13.291 0.000 13.638 LT 7300 13300 0.606 9.010 0.000 9.616 LT 5000 8700 8700 0.110 1.334 1.334 2.779 LT 3300 2900 0.017 0.010 0.000 0.027 LT 4350 4280 0.059 0.055 0.000 0.114 LT 6300 14600 0.312 13.708 0.000 14.020 LT 6700 1000 10500 0.412 0.000 3.110 3.522 LT 7850 12000 0.840 5.672 0.000 6.512 LT 7200 11700 0.569 5.061 0.000 5.630 LT 4350 8550 8550 0.059 1.234 1.234 2.527 Sum 58.384 Truck trailer (TT) Axle1 Axle2 Axle3 Axle4 Axle5 Axle6 Total Axle1 Axle2 Axle3 Axle4 Axle5 Axle6 Ef EF EF EF EF EF EF TT 7450 14550 9400 9150 0.66 13.50 1.89 1.67 0.00 0.00 17.73 TT 4150 4250 2200 2200 0.05 0.05 0.00 0.00 0.00 0.00 0.11 TT 4050 4050 2950 3200 2800 3450 0.04 0.04 0.01 0.01 0.01 0.02 0.14 TT 7200 13300 9100 9850 0.57 9.01 1.63 2.33 0.00 0.00 13.55 TT 4150 4800 2800 2950 0.05 0.09 0.01 0.01 0.00 0.00 0.16 TT 7600 13200 8600 8550 0.73 8.71 1.27 1.23 0.00 0.00 11.94 TT 6350 16200 10800 10800 0.32 21.89 3.53 3.53 0.00 0.00 29.27 TT 4250 4250 2300 2250 0.05 0.05 0.00 0.00 0.00 0.00 0.11 TT 5550 15050 10300 10800 0.18 15.71 2.85 3.53 0.00 0.00 22.27 TT 4600 10750 10650 11800 11700 0.08 3.46 3.31 5.26 5.06 0.00 17.17 Sum 112.44 Part –II Drawings 201 ECSC, IUDS, Urban Engineering Department (UE)
  • 202.
    Highway Design SeniorProject 2010 202 ECSC, IUDS, Urban Engineering Department (UE)
  • 203.
    Highway Design SeniorProject 2010 202 ECSC, IUDS, Urban Engineering Department (UE)
  • 204.
    Highway Design SeniorProject 2010 202 ECSC, IUDS, Urban Engineering Department (UE)