The Glycolytic pathway
Likando Chababa, 2024
M.Sc Biochemistry (UNZA)
Outline of Catabolic Pathways
Carbohydrate Metabolism
Glucose Metabolism at Subcellular Level
CYTOSOL
MITOCHONDRION
CYTOSOL
MITOCHONDRION
CYTOSOL
MITOCHONDRION
Fates of Glucose
Reactions of Glycolysis
The pathway
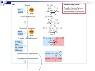
Step 1: Phosphorylation of Glucose
Nucleophilic attack of the C6 –
OH group of glucose on the 
phosphate of an Mg-ATP
..
Kinase: Enzyme that transfers phosphoryl groups between ATP and
metabolite
First ATP
Utilization
Step 2: Conversion of glucose 6-phosphate to fructose
6-phosphate
Step 3: Phosphorylation of fructose 6-phosphate to
fructose 1,6-bisphosphate
Second ATP utilization
Step 4: Cleavage of fructose 1,6-bisphosphate
Step 4: Cleavage of fructose 1,6-bisphosphate
Step 5: Interconversion of the triose phosphates
3-phosphoglycerate
2-phosphoglycerate
Phosphoenolpyruvate
Pyruvate
1,3-bisphosphoglycerate
Glyceraldehyde 3-phosphate
Payoff or Redox Phase
• NAD+
is the primary oxidizing agent of glycolysis
• NADH produced here must be continually reoxidized to keep this pathway
supplied with NAD+
Step 6: Oxidation of glyceraldehyde 3-phosphate to 1,3
bisphosphoglycerate
Compound with high phosphate
group-transfer potential
Step 7: Phosphoryl transfer from 1,3-bisphosphoglycerate
to ADP to make ATP
First ATP generation step of glycolysis
Step 8: Conversion of 3-phosphoglycerate to 2-phosphoglycerate
Step 9: Dehydration of 2-phosphoglycerate to phosphoenolpyruvate
Phosphoenolpyruvate , PEP
Step 10: Transfer of a phosphoryl group from PEP to
ADP
Regulation of Metabolic Reactions
Energetics of Glycolysis
The elegant evidence of regulation!
• Standard state G values are scattered:
+ and -
 G in cells is revealing:
– Most values near zero
– 3 of 10 reactions have large, negative G
• Large negative G reactions are sites of
regulation!
Regulation of glycolytic pathway
Regulation of
Glycolysis
Enzyme Inhibitors Activators
Hexokinase G6P
PFK1 ATP, citrate ADP, AMP, F2,6BP, F6P
PK ATP F1,6BP
Some effectors of the regulatory enzymes of
glycolysis
inhibition activation
ADP
AD
P
AD
P
ADP
F-1,6-BP
F-1,6-BP
Allosteric enzymes
•F6P binds preferentially to R state
•ATP binds to regulatory site in T state only
•Citrate is an allosteric inhibitor
• F2,6BP is an allosteric activator
PFK-1 and its regulation
Complete oxidation of Glucose to CO2
Lactic Acid Fermentation
Ethanol Fermentation
Fates of Pyruvate
Fates of Pyruvate in Man
2CO2
Cholesterol
CO2
Lactate
Pyruvate
Acetyl CoA
Citric
Acid
Cycle
A
m
i
n
o
A
c
i
d
s
A
m
i
n
o
A
c
i
d
s
Protein Fatty
Acids
Anaerobic fates of Pyruvate
Ethanol
fermentation in
yeast and other
microorganisms
Lactic acid fermentation in
several types of animal cells
and some microorganisms

Glycolysis active 7. PowerPoint by Dr witika