Gantacurium
Claudio Melloni
l.p.
Già Direttore UO Anestesia e Rianimazione Ospedale di
Faenza
Consulente di anestesia per l’Azienda Ausl di Ravenna e
l’Ospedale privato accreditato Villa Torri,Bologna
Servizio di Anestesia e Rianimazione Ospedale di Faenza(RA)
Servizio di Anestesia e Rianimazione Ospedale di Faenza(RA)
Table 4

Servizio di Anestesia e Rianimazione Ospedale di Faenza(RA)
Table 4

Servizio di Anestesia e Rianimazione Ospedale di Faenza(RA)
Servizio di Anestesia e Rianimazione Ospedale di Faenza(RA)
Servizio di Anestesia e Rianimazione Ospedale di Faenza(RA)
Servizio di Anestesia e Rianimazione Ospedale di Faenza(RA)
Table 7

Servizio di Anestesia e Rianimazione Ospedale di Faenza(RA)
Servizio di Anestesia e Rianimazione Ospedale di Faenza(RA)
esponse to increasing doses of GW280430A. Responses from each animal were subje
ery of tibialis anterior twitch after cessation of a 90-min infusion of GW280430A at a

Servizio di Anestesia e Rianimazione Ospedale di Faenza(RA)
Servizio di Anestesia e Rianimazione Ospedale di Faenza(RA)
Servizio di Anestesia e Rianimazione Ospedale di Faenza(RA)
Servizio di Anestesia e Rianimazione Ospedale di Faenza(RA)
Servizio di Anestesia e Rianimazione Ospedale di Faenza(RA)
age maximum change from baseline mean arterial pressure is small for doses through
mont: Anesthesiology, Volume 100(4).April 2004.768-773

Servizio di Anestesia e Rianimazione Ospedale di Faenza(RA)
Average maximum change from baseline heart rate increases as dose goes above 0.45
Belmont: Anesthesiology, Volume 100(4).April 2004.768-773

Servizio di Anestesia e Rianimazione Ospedale di Faenza(RA)
imum changes in heart rate (HR) and mean arterial pressure (MAP) for individuals re
olume 100(4).April 2004.768-773

Servizio di Anestesia e Rianimazione Ospedale di Faenza(RA)
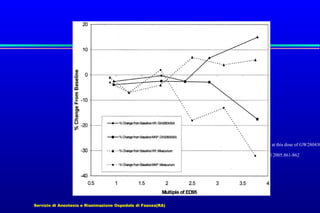
Fig. 1
Fig. 1. The mean maximal heart rate (HR) and blood pressure changes
after bolus administration of GW280430A2 and mivacurium.5 Decreases
in mean arterial pressure (MAP) and increases in HR occur at doses of
2.5 times the ED95 of mivacurium. An average increase in HR of 7%
occurs with administration of 2.8 times the ED95 of GW280430A, and
an average increase of 14% occurs after administration of 3.8 times the
ED95 of GW280430A. Decreases in MAP occurred at a dose of 3.8
times the ED95. The average maximal decrease at this dose of
GW280430A was 18%. At all doses, GW280430A was administered as a
bolus (5 s) into a rapidly flowing intravenous line. In the study of
mivacurium,5 the neuromuscular blocking agent was injected three
times more slowly (15 s).
From: Lien: Anesthesiology, Volume 102(4).April 2005.861-862

Servizio di Anestesia e Rianimazione Ospedale di Faenza(RA)
3.8 times the ED95. The average maximal decrease at this dose of GW280430
From: Lien: Anesthesiology, Volume 102(4).April 2005.861-862

Servizio di Anestesia e Rianimazione Ospedale di Faenza(RA)
Table 8

Servizio di Anestesia e Rianimazione Ospedale di Faenza(RA)
Servizio di Anestesia e Rianimazione Ospedale di Faenza(RA)

Gantacurium

  • 1.
    Gantacurium Claudio Melloni l.p. Già DirettoreUO Anestesia e Rianimazione Ospedale di Faenza Consulente di anestesia per l’Azienda Ausl di Ravenna e l’Ospedale privato accreditato Villa Torri,Bologna Servizio di Anestesia e Rianimazione Ospedale di Faenza(RA)
  • 2.
    Servizio di Anestesiae Rianimazione Ospedale di Faenza(RA)
  • 3.
    Table 4 Servizio diAnestesia e Rianimazione Ospedale di Faenza(RA)
  • 4.
    Table 4 Servizio diAnestesia e Rianimazione Ospedale di Faenza(RA)
  • 5.
    Servizio di Anestesiae Rianimazione Ospedale di Faenza(RA)
  • 6.
    Servizio di Anestesiae Rianimazione Ospedale di Faenza(RA)
  • 7.
    Servizio di Anestesiae Rianimazione Ospedale di Faenza(RA)
  • 8.
    Table 7 Servizio diAnestesia e Rianimazione Ospedale di Faenza(RA)
  • 9.
    Servizio di Anestesiae Rianimazione Ospedale di Faenza(RA) esponse to increasing doses of GW280430A. Responses from each animal were subje
  • 10.
    ery of tibialisanterior twitch after cessation of a 90-min infusion of GW280430A at a Servizio di Anestesia e Rianimazione Ospedale di Faenza(RA)
  • 11.
    Servizio di Anestesiae Rianimazione Ospedale di Faenza(RA)
  • 12.
    Servizio di Anestesiae Rianimazione Ospedale di Faenza(RA)
  • 13.
    Servizio di Anestesiae Rianimazione Ospedale di Faenza(RA)
  • 14.
    Servizio di Anestesiae Rianimazione Ospedale di Faenza(RA)
  • 15.
    age maximum changefrom baseline mean arterial pressure is small for doses through mont: Anesthesiology, Volume 100(4).April 2004.768-773 Servizio di Anestesia e Rianimazione Ospedale di Faenza(RA)
  • 16.
    Average maximum changefrom baseline heart rate increases as dose goes above 0.45 Belmont: Anesthesiology, Volume 100(4).April 2004.768-773 Servizio di Anestesia e Rianimazione Ospedale di Faenza(RA)
  • 17.
    imum changes inheart rate (HR) and mean arterial pressure (MAP) for individuals re olume 100(4).April 2004.768-773 Servizio di Anestesia e Rianimazione Ospedale di Faenza(RA)
  • 18.
    Fig. 1 Fig. 1.The mean maximal heart rate (HR) and blood pressure changes after bolus administration of GW280430A2 and mivacurium.5 Decreases in mean arterial pressure (MAP) and increases in HR occur at doses of 2.5 times the ED95 of mivacurium. An average increase in HR of 7% occurs with administration of 2.8 times the ED95 of GW280430A, and an average increase of 14% occurs after administration of 3.8 times the ED95 of GW280430A. Decreases in MAP occurred at a dose of 3.8 times the ED95. The average maximal decrease at this dose of GW280430A was 18%. At all doses, GW280430A was administered as a bolus (5 s) into a rapidly flowing intravenous line. In the study of mivacurium,5 the neuromuscular blocking agent was injected three times more slowly (15 s). From: Lien: Anesthesiology, Volume 102(4).April 2005.861-862 Servizio di Anestesia e Rianimazione Ospedale di Faenza(RA)
  • 19.
    3.8 times theED95. The average maximal decrease at this dose of GW280430 From: Lien: Anesthesiology, Volume 102(4).April 2005.861-862 Servizio di Anestesia e Rianimazione Ospedale di Faenza(RA)
  • 20.
    Table 8 Servizio diAnestesia e Rianimazione Ospedale di Faenza(RA)
  • 21.
    Servizio di Anestesiae Rianimazione Ospedale di Faenza(RA)