Mechanical Vibrations ME-436
Class Learning Outcomes (CLO) “Cognitive Domain”
CLO-1: Discuss different theoretical concepts related to mechanical vibrations. (C2)
CLO-2: Develop & Solve mathematical models of various vibratory systems using one or more
DOF. (C5)
CLO-3: Solve different problems to illustrate principles and concepts of free & forced vibrations.
CLO-4: To be able to conduct experiments related to mechanical vibrations and interpretation of
data. (Lab related Psychomotor Domain)
Sessional Marks Distribution
Mid term = 20 marks (written test in 8th week)
Assignment CEP = 20 marks
Text Book
Mechanical Vibrations by S.S. Rao
Prentice Hall 5th Edition.
Course Objective
To impart sound theoretical knowledge of mechanical vibrations to mechanical engineering
students and make them capable of mathematically formulating, solving & designing different
engineering problems related to vibrations.
Final Exam
•60 marks
•Will be choice less.
•Will be based on class lecture
slides, class work problems,
suggested problems &
assignment.
(C3)
Prof. Murtuza
Important Quantities of a Mechanical System
For a mechanical system following three quantities are important.
1. Mass (M)
2. Stiffness (k) = Load/Deflection
3. Natural frequency (ωn)
• Mass is related to the inertia of the mechanical system which is the ability of a body to resist
change in its state of acceleration. It depends on the mass and geometry.
• Stiffness is the ability of a mechanical system to resist deformation when subjected to an
external force or load. It depends on geometry and material property (Young’s modulus E).
• Natural frequency is a parameter that relates the stiffness & inertial of a mechanical system.
Formally it is defined as the number of occurrences of a repeating event per unit of time.
Since vibration is a repetitive motion (dynamic) it is dependent on the “frequency”.
What is a Mechanical System?
A physical system that involves forces, motion and/or management of energy is known as a
mechanical system. However, in mechanics we consider mechanical systems as structural
systems (frames, trusses & machines) subjected to forces and motion only.
Why Need Natural Frequency?
Natural frequency can be used to compare different mechanical systems on the basis of
robustness. Systems having high natural frequencies have larger operating window/range before
they can encounter resonance.
 Dynamic response of a structure
depends on the distribution of
its elasticity (stiffness k) and
inertia (mass m)
Prof. Murtuza
What is Vibration?
Vibration is the study of the repetitive/oscillatory/to and fro/ back n forth motion of
objects relative to an equilibrium position & the forces associated with this type of
motion.
Examples motion of push rod, motion of a swing, motion of a pendulum, motion of a
guitar string, rotating machines & machine mechanisms, motion of a forging tool,
motion of automotive suspension system, swaying of skyscrapers (tall buildings) due to
winds/earthquake, motion of aircraft wing , motion of bridges, motion of atoms , vortex
induced motion (FSI) and etcetera.
Vibration of aircraft wing
Motion of pendulum
Vibrating string
Forging m/c vibration
NOTE: uniform circular motion is not
vibration also SHM is a specific (linear) case of vibratory motion.
Motion of a
push rod
(cam-follower)
(First scientific study on musical sound 544 B.C. by Pythagoras)
Slider crank mechanism
(can work as exciter for vibration testing)
Prof. Murtuza
More Applications
Pile driving machine
Jack hammer machine
Vibratory conveyor
Vibratory feeder/hopper
Laboratory shaker
MEMS
vibration
sensors
Automotive
suspension system
Massage chair
Sound/Music
Acoustics & sound proofing
Vibration of vehicle chassis frame
Vocal
cords
Lungs
Ear drum
Heart
Bio Systems
Prof. Murtuza
Sliding vibration isolator Rubber vibration isolator
Mass damper vibration isolator (wind effects)
Earthquake Resistant Structures
Vibration analysis in maintenance
Prof. Murtuza
Vibrations as Unwanted Phenomena
There can be many scenarios in which vibrations are unwanted mainly because they
produce cyclic stresses in material (fatigue) and causes excessive noise, wear and
premature failures.
• Engine vibrations: Can harm other components and loosen fasteners like nuts & bolts.
• Machining processes vibrations: Vibration causes chatter (noise) and poor surface finish.
• Unbalanced wheels: Vibration can cause uncomfortable deflections.
• Unbalance rotors: Turbine rotors, impellors of pump & compressor should be balanced other
wise vibration can cause damage.
• Floor vibrations: A vibrating structure can cause the floor to vibrate which in turn generates
vibrations in other equipment.
• Resonance: Whenever the external forcing frequency (external input) matches with any one of
the natural frequency of the structure “Resonance” can generate which is also an unwanted
phenomena.
!! Collapse of a bridge due to resonance
caused by wind induced vibrations
Prof. Murtuza
Elements/vocabulary of Mechanical Vibrations
1) Elastic element i.e. Spring/Stiffness (k) .
2) Inertia element i.e. Mass (rigid) (M or J).
3) Resistance/friction element i.e. Damper (c).
NOTE: Springs can store potential energy while inertia can have kinetic energy and damper is used to
dissipate these energies during vibration. Therefore, vibration is also an interplay of energies.
Spring
k
Mass
m
m
or
Damper
1
2
c
Spring and damper
elements are usually
attached to the mass
element being modeled. 1
& 2 are attachment
points.
• k = stiffness constant of spring.
• J = mass moment of inertia (polar).
• c = damping coefficient.
m
c k
Prof. Murtuza
Degrees of Freedom
In vibration degrees of freedom (DOF) means number of “independent” coordinate variables
required to fully describe the motion/position of all parts of the system.
Single Degree of Freedom Systems (1-DOF)
Only one coordinate variable is required to completely study the motion of the mass (inertia
element).
l
θ
x
sinθ = x/l
θ
x
y l x2+ y2 = l2
sinθ = x/l
cosθ = y/l
Two Degree of Freedom Systems (2-DOF)
In this case motion
of m and the bob can
not be defined using
single coordinate
because x ≠ X
Two independent coordinate variables are needed
3-DOF
• In general if
mass elements
increases DOF
also increases.
• Set of coordinates necessary to describe the motion are known as “generalized
coordinates” (q , q etc.)
θ1 θ2 θ3
(*DOF = No. of masses × No. of space variables defining motion of each mass)
Prof. Murtuza
Discrete/Lumped Systems
Systems that can be described by finite number of degrees of freedom are known as discrete or
lumped systems. In these systems masses are rigid and discrete and are concentrated only at a
point. Examples all simplified systems i.e. 1, 2 & 3 degrees of freedom systems. The motion of
discrete systems is governed by ODEs.
Continuous/Distributed Systems
Elastic members that are continuous i.e. beams, rods, wires & plates are considered to be
continuous systems. These systems contains infinite degrees of freedom. Note no discrete masses
can be considered in these systems. The equation of motion is governed by complex PDEs. For
analysis purpose these systems can also be approximated as discrete systems and accuracy can be
increased by adding more degrees of freedom in them (for instance translation + rotation
(transverse motion) of several point masses)
Simplified 2-DOF
discrete model
Cables
Beams Plates
m
k
Types of Vibratory Systems Prof. Murtuza
J1
J2
k
Free Vibration
Vibrations caused by applying a disturbance (force/displacement) to an object at start time only. Example
vibrations or oscillations of a simple pendulum.
Force Vibration
Vibrations caused by applying repeated nature of force to an object is known as force vibration. Vibration
of an engine is an example of forced vibrations.
Undamped Vibration
Vibrations in which no resistance/friction/damping effect is experienced are known as undamped vibrations
i.e. no energy is lost. It is only an ideal situation. In reality there is always some amount of damping
involved as fluid friction or dry friction. Note that these vibrations can ideally continue forever.
Damped Vibration
Vibrations in which damping/friction effect is involved are known as damped vibrations. These vibrations
eventually diminishes with time. Neglecting damping can simplify the analysis.
Nonlinear & Linear Vibrations
If any element of a vibratory system (spring, mass or damper) behaves nonlinearly w.r.t the space variables
than the EOM of the system will become nonlinear and the vibrations will be nonlinear. All vibrations tend
to become nonlinear with increasing amplitude !!!!
Deterministic & Random Vibrations
If the excitation (input) acting on the vibratory system can be conveniently known at any time, the resulting
vibrations will be deterministic. If the excitation cannot be predicted with time than the vibrations will be
random. Random vibrations can result from earthquake, winds and road roughness. Random vibrations are
dealt with statistical methods.
(Important for estimation of natural
frequencies)
F(t)
F(t)
Classification of Vibration
Prof. Murtuza
A B
C
Find Stiffness = k = ?
Investigate Degrees of Freedom (DOF)
Procedure of Vibration Analysis
There are four basic steps for any kind of vibration analysis:
1) Mathematical modeling. (mass-spring-damper model, 1-DOF, 2-DOF etc) Vision /Concepts & Accuracy !!
2) Deriving the governing equations of motions (Newton’s second law or Energy method). Mechanics !!
3) Solution of governing differential equations ODE or PDE. Mathematics !!
4) Interpretation of results. Analysis & Appropriate Engineering Design & Measures !!
Schematic of Forging Machine
1 DOF Model
(both masses are
combined and only
soil is considered as
an elastic
connection)
2 DOF Model
(elastic connection b/w
the masses is taken into
account)
Example -1
Prof. Murtuza
Simplest 1DOF Figure 1
In this case mass of rider,
vehicle and wheels are
all combined. The
stiffness/elasticity of
rider, struts and tires are
combined and the
damping of the rider and
struts are combined.
2DOF
Masses of both wheels are modeled separately, while the mass of rider +
vehicle is connected to wheels via stiffness and damping of struts.
Most
complex
model
Separated the
rider mass
and
connected to
vehicle’s
mass via
rider’s
stiffness and
damping.
Example -2
Considering the mass of the rider, wheels and vehicle whereas the elasticity of the rider, tires
and the shocks (struts) and the damping of the rider and the shocks, draw different vibration
models with increasing degrees of freedom. Refer to the physical case of Figure 1.
3DOF
Prof. Murtuza
Mass/Inertia:
Car, passengers, seats, front wheels & rear wheels
Elasticity:
Tires, main springs & seats
Damping:
Seats, shock absorbers & tires
1 DOF Model
mcom
kcom ccom
y(t)
x(t)
2 DOF Model
mp+ms
mc+mw
y(t)
x1(t)
x2(t)
ks cs
ksp cA
All inertia elements, elastic
elements and damping
elements have been
combined into single inertia,
elastic and damping element.
Mass of passenger and seat is combined
and analyzed separately while mass of car
and wheels are grouped together and
analyzed separately. While damping &
elasticity of human and tires have been
neglected in comparison of seat, springs
and shock absorbers.
MDOF Model
mrw mfw
mp+ms
mc
y(t)
kt & ct
ksp & cA
ks & cs
x1(t)
x2(t)
x3(t)
x4(t)
Mass of car is modeled
separately also mass of
front and rear wheels is
now modeled separately
while stiffness a
damping of tires have
been included.
Prof. Murtuza
Elasticity:
Seat, human & restraints
Mass:
Seat & human
Damping:
Seat and human
x
θ
ks
cs
ms
kh
ch
kr
kr
kht
mh
2 DOF Transient Vibration Model
Impact
force
 This model is capable of
analyzing the transient
torsional vibrations of human
occupant and transient
translational vibrations of the
seat on a sudden impact force.
Note: impact itself is a transient phenomena.
Prof. Murtuza
Harmonic Motion
(related to harmony (the pleasing/smooth/continuous effect))
Harmonic motion: is a simplest type of periodic motion in which the motion is repeated at equal
time intervals. Examples can be motion of simple pendulum, spring-mass oscillator, tune mass
damper . A harmonic motion can be represented mathematically by a smooth, continuous
function of sine or cosine (or combination). In SHM the acceleration is always proportional to
displacement. In linear vibrations we often assume the response to be harmonic.
• Notice the similarity b/w
UCM and SHM. In both
cases the point reciprocates
on its amplitude axis. Note
x = Acosωt also represents
harmonic motion.
• Remember: If a given motion x(t) is harmonic it must satisfy that ẍ = -ω2x.
x = A sin(ωt+φ)
or
o𝑟𝑟 𝐴𝐴𝐴𝐴𝐴𝐴𝐴𝐴𝜔𝜔𝜔𝜔
ẋ = = ωA sin(ωt+π/2)
ẍ = = ω2A sin(ωt+π)
• If a motion is harmonic than
velocity and acceleration will also
be harmonic with the same
frequency ω but different
amplitudes and phase angle.
Displacement, velocity
and acceleration are
rotating vectors in
vibration.
Phase Angle of Displacement (φ):
In vibrations phase is the angle that measures how much the displacement (x) of the mass lags or
leads the peak value of the amplitude at an instant when the motion is observed.
It is also the difference in angle
(radian) by which one vector (or
harmonic motion) lead or lags the
other vector (harmonic motion).
Other Important terms are:
1) Cycle (1 cycle = 2π radians)
2) Frequency (f) in Hz or c/s (Also, ω = 2πf) (f=1/τ)
3) Amplitude = Maximum magnitude/value
4) Time period = Time required to complete one
cycle of vibration (1 cycle = 2π rad = s).
(linear analogy: s = vt)
+
-
equb
equb
equb
1 cycle
Representing Harmonic Motion
1 ) Vector Format Harmonic motion can be represented by a rotating vector OP of
magnitude A. This vector rotates at angular velocity ω.
We can write,
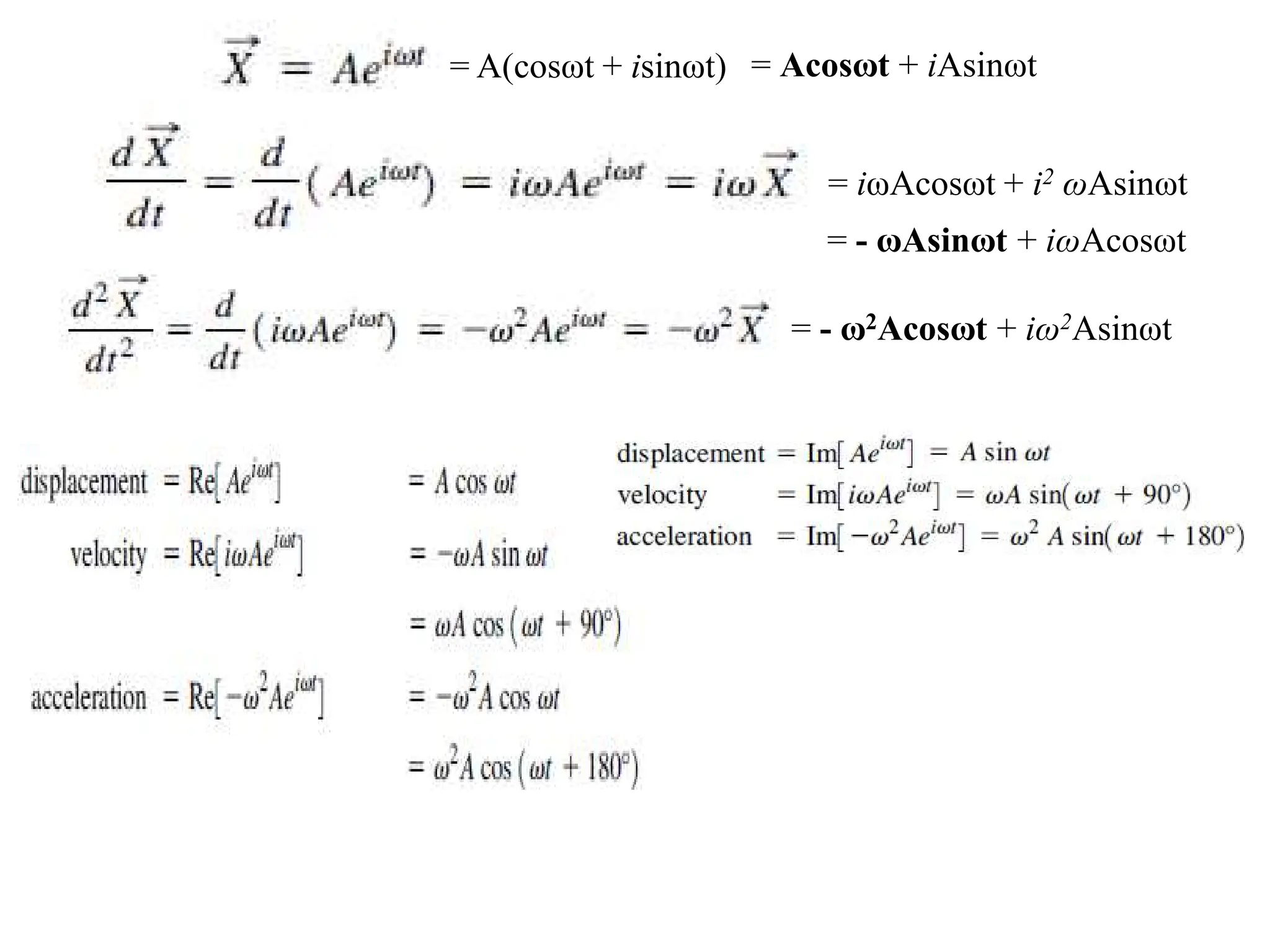
X = OP = x + y = Acosθ + Asinθ = A (cosθ + sinθ)
2) Complex number Format
Harmonic motion can also be written in terms of a complex
number or a complex vector because the sine and cosine
functions are related to complex number by Euler’s equation.
A = (a2+b2)1/2 & θ = tan-1 (b/a)
X = A(cosθ + isinθ) = Aeiθ = Aeiωt
X = a + ib
(θ = ωt)
more convenient
= A(cosωt + isinωt) = Acosωt + iAsinωt
= iωAcosωt + i2 ωAsinωt
= - ωAsinωt + iωAcosωt
= - ω2Acosωt + iω2Asinωt
Since vectors can be represented by complex numbers we can perform vector mechanics on
harmonic motions.
Remember:
θ = angle b/w two given
harmonic motions X1 & X2 .
α = angle b/w resultant
motion X and motion X1.
ωt = angle b/w X1 & real
axis.
A = amplitude of resultant
motion X.
A1 = amplitude of X1.
A2 = amplitude of X2.
*Parallelogram law is valid*
θ
Useful Formulas:
If
Addition of Harmonic Motions
(@ same frequency different amplitudes)
Resultant Motion:
A
A2
A1
Addition of Harmonic Motions
(@ same frequency but different amplitudes)
X1 (t)
X2 (t)
Resultant Motion:
X(t)
Remember:
θ = angle b/w two given
harmonic motions X1 & X2 .
α = angle b/w resultant
motion X and motion X1.
ωt = angle b/w X1 & real
axis.
A = amplitude of resultant
motion X.
A1 = amplitude of X1.
A2 = amplitude of X2.
*Parallelogram law is valid*
Useful Formulas:
Addition of Harmonic Motions
(@ slightly different frequencies but same amplitudes)
Applications:
• Some times machines or different elements within a single machine can exhibit a phenomena of “Beat”
which is addition of two harmonic motions with close frequencies.
• Phenomena of beat can also take place in 2DOF systems & MDOF systems when masses starts to
vibrate with similar frequencies. (It will than become a mode of vibration)
• Electric power houses.
• Large floating structures on ocean (artificial Islands).
It can be reduced by following maintenance checks, providing vibration isolation or changing the operating
speeds of closely placed machines
Adding:
(δ is a small quantity)
Recall: cos A + cos B = 2cos
𝐴𝐴+𝐵𝐵
2
cos
𝐴𝐴−𝐵𝐵
2
𝐴𝐴+𝐵𝐵
2
= (ωt+ωt+δt)/2 = ωt+δt/2 = 𝜔𝜔 +
𝛿𝛿
2
t
𝐴𝐴−𝐵𝐵
2
= (ωt-ωt-δt)/2 = -δt/2
A B
Therefore,
cos(-θ) = cosθ
• Varying amplitude = 2Xcos(δt/2) ( amplitude is now twice
the individual amplitude)
• Beat frequency = δ (difference of the two frequencies)
• Frequency of motion x(t) = 𝜔𝜔 +
𝛿𝛿
2
• In general beat
vibrations will occur
when the difference in
frequencies is within
20%.
Decibel (dB)
• Unit for measuring the intensity of sound pressure level or simply sound level.
• It is the logarithmic ratio of vibration quantities like displacement, velocity, acceleration and
pressure. It measures the relative increase or decrease in a vibration quantity respect to some
reference. [+ve dB→ measured value is high & -ve dB→ measured value is less]
• Can be used in areas like acoustics, optics, electronics, digital imaging and video.
XdB = 20Log
𝑋𝑋
𝑋𝑋𝑜𝑜
X = measured quantity
Xo = reference value
Sound Proof Construction:
• Double glazed glass windows
with vacuum.
• Wall mounted acoustic panels
(mostly fiber glass but foam
rubber & animal furs &
feathers are also used)
• In general thicker and denser
material provide better sound
proofing but can be costly.
• Ratio of loudest sound
to weakest sound heard
by humans = 1 trillion
!!!
Equivalent Stiffness
Equivalent method works for 1 DOF only. There are two techniques that can be used to calculate
equivalent (combined) stiffness of the spring elements appearing in the system:
(1) Series/Parallel formulas and (2) potential energy method
Parallel Springs
The load will be distributed between the springs however in order to maintain the symmetry
the deflection remain the same for all the springs in parallel
Series Springs
The load remains the
same in each spring
however the deflection
is different. The total
deflection is sum of all
deflections though.
Potential Energy Method
Spring elements can store potential
energy by virtue of their deflection
when loaded. The sum of potential
energy of all springs must be equal to
the potential energy of the equivalent
spring at the desired location.
Overall stiffness
of the system
increases !
xi = f(x)
θi = f(x)
Overall
stiffness
decreases
where
Must be done by considering the
geometry or equilibrium equations.
U = ½ kθ2
(linear) & (angular)
1/2 keqx2 = ∑N
i=1 (1/2 kix2
i + 1/2kiθ2
i )
Equivalent Mass (Inertia)
Like the stiffness elements the mass or inertia elements can also be combined. However in this
case the sum of kinetic energy of all inertia elements in the system must be equal to the kinetic
energy of the equivalent mass of the system.
1
2
𝑚𝑚𝑒𝑒𝑒𝑒𝑥𝑥̇2 = ∑
1
2
𝑚𝑚𝑖𝑖𝑥𝑥𝑖𝑖
̇ 2
+
1
2
𝐽𝐽𝑖𝑖𝜃𝜃̇𝑖𝑖
2
𝑁𝑁
𝑖𝑖=1
In general:
xi = f(x) θi = f(x)
&
K.E =
1
2
m𝑣𝑣2 +
1
2
𝐽𝐽𝜔𝜔2
Examples
Translations motion only
Rotation coupled with translation
motion
Rolling motion
Rolling motion
ω = 𝜃𝜃̇ (
𝑟𝑟𝑟𝑟𝑟𝑟
𝑠𝑠
)
Equivalent Damping
In order to estimate the equivalent damping of the system, same rules are applied as for
equivalent springs.
Viscous Damping:
The most commonly used damping method e.g. pneumatic and hydraulic piston cylinder dashpot.
The resistance is provided by the viscosity of a fluid (gas or oil). Damping force is not a constant.
NOTE:
Damping force Fd = -c ẋ= - cv This force is opposite (-ve) to the motion of the body
& will only exist if there is some relative velocity between the two ends of a damper.
Coulomb Damping:
This damping takes place when two solid materials rub against each other. The damping force remains
constant. It is due to dry friction. Example piston motion inside a cylinder block with low lubrication.
Material Damping:
This damping takes place when atomic planes within the material slide/slip relative to each other
when the material is deformed. It is due to friction between the atomic planes. Rubber has high
material damping.
c = Damping constant [Ns/m]
ct = [Nsm] in torsion!
𝑐𝑐𝑒𝑒𝑒𝑒 = 4𝜇𝜇𝜇𝜇𝜇𝜇
𝜋𝜋𝜋𝜋𝑥𝑥
�
𝑐𝑐𝑒𝑒𝑒𝑒 = ℎ
𝜔𝜔
� h = material damping constant
μ = static friction coefficient
ω = frequency [rad/s]
Dampers are energy dissipating elements therefore, in case when they are neither in
series nor in parallel we can calculate the equivalent damping constant by using the fact
that energy dissipated by all the dampers present in the system must be equal to the
energy dissipated by the equivalent damper.
xi = f(x) θi = f(x)
&
Therefore
Dampers that are not in series or parallel combinations can also be solved using
equations of equilibriums (i.e. summation of forces and moments)
ΔW = πcωdx2
(Energy dissipated in one complete cycle (0-2π)
for a viscous damper)
= ∑N
i=1 (π ci ωdxi
2)+(π ci ωdθi
2)
πceqωdx2
Determining the Material Damping
Determining the material damping constant could be vital in selecting a material as
vibration isolator. The material damping constant can be experimentally determined by
loading and unloading a test material under uniaxial tensile test up to say the yield
point of the material. If the graph exhibits a hysteresis loop than we can say the
material possess some intrinsic damping against vibrations. The area enclosed within
the hysteresis loop represents the material damping ability per unit volume.
We can say that rubber B has more material
damping than rubber A. However, rubber A is
behaving more like a spring than a damper Metallic foams
Metal matrix CNT
composite
Rubber
Example 2.4 (Rao 5th edi)
1.49 (Rao 5th edi)
Using x as the generalized coordinate find keq and
meq for the system shown. Assume the disk rolls
without slipping. Also, find the expression for ωn
1.73 (Rao 5th edi)
1.55 (Rao 5th edi)
Class Problems
Two Degrees of Freedom System
• The most important application of 2DOFsystems is that it enables us to refine the single degree
of freedom systems and analyze more complex problems.
• Two independent coordinates are required to completely define the state of motion.
• There can be more than one choice for the selection of the two coordinates.
•2DOF systems result in two coupled EOM that are ordinary, second order linear differential
equations. (can be homogeneous or non-homogeneous, though)
• In 2DOF systems we seek to find the two natural frequencies (eigenvalues) of the system, the
normal vibration modes shapes (eigenvectors) of the system & their interpretation.
• The normal vibration modes of a 2DOF system is initiated for specific initial conditions only.
For more general case of initial conditions (e.g. an impulse) both modes occur together.
Dynamic Absorber (2DOF)
(extra mass is attached)
Automobile Motion (2DOF) Forging Tool
(2DOF) Model
Prof. Dr. Murtuza (NEDUET)
In general dynamic balancing & whirling of shaft are also 2DOF problems
Choice of Coordinates
The car body is modeled as one
single mass. However, there
exist two possible motions for
this mass. Therefore, either
select x(t) (linear motion of CG
of the mass and θ(t) (rotating
motion of mass about CG) or
x1(t) for point A and x2(t) for B.
We can also select x1(t) & θ(t).
DOF = No. of masses × No. of possible motion for each mass
Two masses but for each mass
only one type of motion is
possible hence 2 DOF
Prof. Dr. Murtuza (NEDUET)
Natural/Normal Mode of Vibration
Natural or normal mode of vibration is defined as the characteristic manner in which the free
undamped vibrations of a system will take place. When a system vibrates with its natural or
normal mode every point undergoes a harmonic motion.
2DOF Response
1) For specific initial conditions: (Initial displacement given according to the amplitudes)
2) For any other general initial conditions: (i.e. not specific)
Response will contain both the modes simultaneously
Note: Ex 5-2 (Rao 5th ed) shows how to get the initial conditions that can excite only the natural modes of vibration of a
2DOF system.
Prof. Dr. Murtuza (NEDUET)
Coordinate Coupling
In 2DOF the motion of one part of the system is coupled to other part via coordinate coupling. Equations are
coupled due to the presence of both coordinates in the EOM of the system. The coupling depends on the
choice of coordinate system and is not an inherent property of the system. Following types are important:
Dynamic Coupling
The coupling due to the presence of velocity i.e. damping elements in the system. If this type of coupling is
present the damping matrix will be non diagonal.
Static Coupling
The coupling due to the presence of elastic elements i.e. springs in the system. If this type of coupling is
present the stiffness matrix will be non diagonal. This type of coupling induces some mandatory condition
between the stiffness elements and the geometrical parameters of the system. (e.g. k1L1 & k2L2 appearing in
the system might have some condition to fulfill otherwise the system will decouple). Translation and rotation
both will take place simultaneously under elastic coupling when either one is applied to the CG of the system.
Inertial Coupling
Usually this type of coupling is found in systems with single mass and with a choice of coordinate system
that is eccentric to the CG of the system. In this case motion imparted to the mass in one of the coordinate
direction will effect the motion in other coordinate direction due to the inertia of the mass. When inertial
coupling is present in the system the mass matrix is non diagonal. Inertial coupling is also dynamic coupling.
If a vertical force is applied at the eccentric point causing translation of the mass in the vertical direction then
the moment (meӱ) of the inertia force that acts at the CG will cause rotation of the mass in θ direction. On the
other hand, if a rotation is given about the eccentric point the inertial force (meӪ) will cause the translation in
the vertical direction. In this way the system will have inertial coupling.
Note: A diagonal matrix only has diagonal terms with all other terms zero, while a non diagonal matrix has non zero off
diagonal terms.
Prof. Dr. Murtuza (NEDUET)
Suggested Problems 2DOF
(P1)
An optical table with its content weighing 147 N is to be protected against nearby
vibrations by attaching a weight of 29.4 N with the table. The weight is attached using an
elastic cable of stiffness 50 N/m. The table is supported on four columns each of stiffness
50 N/m. Assuming vibrations take place in only vertical plane (a) draw the 2DOF model of
the situation given (b) write down the EOM (c) solve for the frequencies (d) modes of
vibration and (e) the response of the two masses if x1(t = 0) = 1 cm and all other initial
conditions are zero.
Suggested Problems 2DOF
(P2)
(P3)
(P4)
Assuming judicial values solve the 2DOF model and calculate the natural frequency and mode
shapes for the tool base and the platform only.
Stability of Systems
• Stability is one of the most important characteristics of a vibrating system.
•A system is considered to be stable if its free vibration response approaches zero as time
approaches infinity.
• A system is considered to be only marginally stable if the free vibration response neither decays
nor grows with time but oscillates or remains constant.
• These definitions are also valid for force vibration response.
• Only linear systems for which m, c and k do not change with time (i.e. time invariant systems)
are considered.
Points to Remember:
• If any term in the characteristic equation is negative (means sign of coefficients) or any term in
the polynomial in s is missing one of the roots will be +ve and the response will not be stable.
EX: In ms2 + k = 0 s is missing, hence its is only marginally stable.
• If the linear model of the system is stable then it is not possible to find a set of initial conditions
that will make the system unstable. However, if the linear model of the system is unstable there
might be certain set of initial conditions that can make the system stable. EX: ẍ - x = 0 has
characteristic eq of s2 – 1 = 0 (s = ±1) since it contains –ve term and s is missing, one root will be
+ve and hence the system is unstable. However, if x(t=0) = 1 & ẋ(t=0) = -1 with the solution
x = C1e-t + C2et then we see that C1 = 1 & C2 = 0 so x = e-t which decays with time and thus
becomes stable.
• Stability of systems can also be investigated using perturbation theory of mathematics. That is
how sensitive the motion or response is to small perturbations/variations in the values of m,
c and k or the initial conditions.
Representation of Roots on Complex Plane
(Stability of the System)
Consider the characteristic equation of free damped vibrations:
(The roots)
• The roots can help us in understanding the behavior of the system.
• The roots can be plotted on a complex plane a.k.a the s plane while noting the
following points.
(The response)
1. Since the exponent of a larger –ve real number decays faster, systems with roots located
farther on the left hand plane (LHP) from the imaginary axis will decay more faster and
will be stable.
2. If the roots have zero real part and only imaginary part the system will be naturally stable.
3. If the roots have zero imaginary part the response will not oscillate & vice versa (critically
& overdamped systems)
4. The oscillatory nature, natural frequency and response time depends on the values of m, c
and k in the system. Whereas, the amplitude and phase depends on the initial conditions
applied to the system.
trivial
Real +ve roots never decay (unstable)
Real –ve roots always decay (stable)
(critically & overdamped systems
real repeated & real distinct roots i.e.
no imaginary part non oscillating)
only imaginary
roots
ωn = high
(free undamped)
ωn = low
(free undamped)
Represents location of the root
Complex roots
(underdamped cases)
c.
Undamped Free Vibration Response
• The vibrations take place in the absence of external excitation (displacement or force).
• The vibrations take place in the absence of damping.
• Due to the absence of damping, it becomes an ideal case of vibration in which the amplitude of vibration
can never diminish with time.
• The analysis of free undamped vibrations offers the determination of the natural frequency modes of the
system.
FBD
=
EOM: (from Newton’s second law of motion (∑F = mẍ)) )
Characteristic equation CE
ms2 + k = 0 (algebraic equation)
(roots/eigenvalues/characteristic values)
(2nd order homogeneous
linear DE)
with ẍ = s2, ẋ = s & x = 1
General solution (for complex roots)
Quadratic formula
𝑠𝑠 =
−𝑏𝑏 ∓ 𝑏𝑏2 − 4𝑎𝑎𝑎𝑎
2𝑎𝑎
aẍ + bẋ + cx = 0
Here a = m, b = 0 & c = k
𝑠𝑠 =
∓ −4𝑚𝑚𝑚𝑚
2𝑚𝑚
= ± −
𝑘𝑘
𝑚𝑚
= ±𝑖𝑖𝜔𝜔𝑛𝑛
Using e±iωt = cosωt ± isinωt
Initial conditions
ẋ(t) = -ωnA1sinωnt + ωnA2cos ωnt
x(t=0) = xo , ẋ(t=0) = ẋo
Therefore, A1 = xo , A2 =
𝑥𝑥̇𝑜𝑜
𝜔𝜔𝑛𝑛
Finally,
Natural
frequency!!
Prof. Dr. Murtuza (NEDUET)
A1 = Acosφ & A2 = Asinφ
From the components of A we have:
Therefore,
We can also write as follows:
x(t) = Acosωntcosφ +Asinωntsinφ
We can also represent this motion using sin function as
follows if wanted:
Where A = Ao
&
NOTE: In case of Aosin (ωnt + φo)
Where φo =
𝜋𝜋
2
-φ
Since we know that every harmonic
motion can be decomposed into sin and
cos components
Prof. Dr. Murtuza (NEDUET)
Suppose we have an oscillating spring-mass system in vertical direction:
We know that:
W = mg = k xst k = mg/ xst
&
ωn = (k/m)1/2
Which implies
ωn = (g/xst )1/2 & τ = 2π(xst/g)1/2
i.e. we do not need to know the values of spring stiffness and mass in
order to find out the natural frequency and time period of the vibration
of 1 DOF systems when the mass oscillates in vertical direction. We
only need their static deflection
xst = static deflection
of the spring due to
gravity.
Also,
Prof. Dr. Murtuza (NEDUET)
Undamped Free Vibration Response (rotation)
• All conditions of translational case are valid
• The difference lies in terms of displacement, unlike the translational case the displacement in
torsional systems is angular (θ).
• The restoring force is in terms of moment (torsion) of an elastic member (shaft) or unbalance
couple.
FBD
EOM: (Newton’s second law of motion in angular format)
(∑M = JoӪ) (2nd order homogeneous linear DE)
The solution is identical to the translational system.
General solution:
Initial conditions θ(t = 0) = θo , ӫ(t=0) = ӫo
Therefore,
Finally,
θ(t) = θocosωnt + (ӫ/ωn)sinωnt
Note this solution also represents harmonic motion
h = disc thickness
ρ = disc density
D = disc diameter
W = disc weight
g = gravity
Prof. Dr. Murtuza (NEDUET)
Free Damped Vibration Response
• Excitation is applied only once.
• Some viscous damping using a piston-cylinder dashpot is introduced.
• This damping has ability to restrict the amplitude of vibration by dissipating the energy.
• It is not a conservative system anymore.
EOM:
FBD
x
(Newton’s second law of motion ∑F = mẍ)
Characteristic Equation:
ms2 + cs + k = 0
Solution: x = Cest
Roots:
(satisfies the diff equation)
Since we have two roots we can write:
Since addition of solutions is also a solution.
The above equation is the general solution
of the free damped translational systems.
Also by putting values of s1 & s2 in (1):
(1)
Prof. Dr. Murtuza (NEDUET)
The Critical Damping Constant and Damping Ratio
• The critical damping constant (cc) is defined as the value of the damping constant
for which the radical in the general solution becomes zero.
• For any damped system the ratio of the damping constant to the critical damping
constant is defined as the damping ratio (ζ)
Mathematical manipulation:
ζ2mωn/2m = ζωn
Recall,
s1,2 = (where ω2
n = k/m)
(roots in terms of
damping ratio)
So the solution can be rewritten as:
NOTE: The nature of the
roots and hence the behavior
of the solution of free
damped vibrational systems
depends on the amount of
damping present in the
system. It can be seen that
for ζ = 0 the solution reduces
to the case of free undamped
vibrations.
Zeta =
Prof. Dr. Murtuza (NEDUET)
Case 1) Underdamped System (ζ< 1)
• It is very important case in mechanical vibrations because it is the only case which produces
oscillatory motion of the mass with consideration of damping.
If ζ < 1
Recall,
Solution can be rewritten as:
(√-1 = i)
(taking e-ζωnt common)
Using Aeiθ = Acosθ + Aisinθ & collecting cos and sin terms
(merge C1 & C2)
Examples
• Systems with light
damping
•Pendulums
• Guitar string
• Shock absorbers
Prof. Dr. Murtuza (NEDUET)
x(t = 0) = xo & ẋ(t = 0) = ẋo
NOTE:
ẋ(t) = d/dt(x(t)) = d/dt (uv)
Particular solution of free damped vibration response:
Initial conditions
• Above equation represent free damped harmonic motion with damped frequency ωd.
• The negative exponential indicates that this type of vibration is decaying wrt time and
thus is stable.
• ωd is called the damped natural frequency of the system.
• ωd is always less than natural frequency ωn.
Prof. Dr. Murtuza (NEDUET)
Graphical Representation of Free Damped Vibration
Response
• The amplitude continuously and exponentially decreases with time untill it
becomes zero.
• Such a real vibration response can be measured/recorded by using a vibration
sensor like piezoelectric accelerometer or a MEMS based accelerometer.
Prof. Dr. Murtuza (NEDUET)
Also,
Calculating X and φ or Xo and φo
cos(A-B) = cosAcosB + sinAsinB
{Dcos(ωnt) + Esin(ωnt)}
(C’
1 = Xcosφ & C’
2 = Xsinφ)
Prof. Dr. Murtuza (NEDUET)
Case 2) Critically Damped System (ζ = 1)
Roots in terms of damping
ratio are:
If ζ = 1 S1,2 = -ωn (Real repeated roots)
When the roots of the characteristic equation are real & repeated
the solution is:
ẋ(t) = -ωn (C1+C2t)e-ωnt + C2e-ωnt
and
NOTE:
ẋ(t) = d/dt(x(t)) = d/dt (uv)
C1 = xo & C2 = ẋo + xo ωn
Initial conditions: x(t = 0) = xo & ẋ(t = 0) = ẋo
Final sol is:
• This solution/motion is
aperiodic i.e. (nonperiodic)
• The motion will diminish
to zero coz
e-ωnt 0 if t ∞
• The mass comes to rest in
shortest possible time.
• Due to –ve exponential
this motion also decays
with time.
Examples
•Large guns
• Mechanical Lifts
• Control systems
• Speedometer
needle
• Shock absorbers
Note:
From the sol of underdamped case (above eq) we can consider
ζ 1 than ωn 0 (no oscillations for critical damping), cos ωdt 1
and sin ωdt ≈ωdt (very small angle). Than C1 = C’
1 & C2 = C’
2 ωd.
So we can write: x(t) = (C1+C2t)e-ωn t
Prof. Dr. Murtuza (NEDUET)
Case 3) Overdamped System (ζ >1)
Examples
• Door closers
• Systems with
heavy damping.
If ζ > 1 the roots will be real and distinct
General solution:
Initial conditions: x(t = 0) = xo & ẋ(t = 0) = ẋo
&
+
x(t) =
Solution is
NOTE:
ẋ(t) = d/dt(x(t)) & solve
simultaneously.
Prof. Dr. Murtuza (NEDUET)
Graphical Display of Undamped, Underdamped,
Critically damped and Overdamped Vibrations.
O
• ωd < ωn
• τd > τ
Prof. Dr. Murtuza (NEDUET)
The Logarithmic Decrement
• It represents the natural logarithm of the ratio
of two consecutive amplitudes that are one
cycle apart during a free damped vibration.
• It represents the rate at which the amplitude
of a free damped vibration decreases in time.
• Due to logarithmic decrement the amount of
damping in the system can be estimated
experimentally.
We know that underdamped response can be
written as follows:
For two different amplitudes that are one
cycle apart we can write:
From figure: t2 = t1 + τd & τd = 2π/ωd
cos(ωdt2 – φo) = cos(ωd(t1+ τd) – φo) = cos(ωdt1+ 2π – φo)
Since cos(θ) = cos(θ +2π)
cos(ωdt2 – φo) = cos(ωdt1 – φo)
Prof. Dr. Murtuza (NEDUET)
Therefore
= e-ζωnt1/ e-ζωnt1 . e-ζωnτd
Taking ln both sides:
Finally,
• We can measure the amplitudes x1 and x2 experimentally using vibration sensors and
estimate the amount of damping present by calculating the damping ratio zeta ζ.
• When ζ = 1 the decrement is large & when ζ = 0 there is no decrement (no damping).
• Note for ζ << 1 ζ2 can be neglected and we can write δ ≈ 2πζ.
ζ
δ
Prof. Dr. Murtuza (NEDUET)
Torsional Vibration with Damping
Fluid ct
ct = Torsional viscous damping constant
Jo = Moment of inertia of disk abt its center.
kt = torsional stiffness of the system.
FBD
EOM: (∑T = JӪ)
The DE is same as in case of
translation only x is replaced
by θ.
Also for torsional case:
Since the form of the DE
in case of torsional systems
remains the same as in
case of translational
systems therefore all
solutions established for
the case of translational
systems are also valid for
torsional damped
vibrational response.
Prof. Dr. Murtuza (NEDUET)
Chapter 5
(Two Degree-of-Freedom
Systems)
Mechanical Vibrations by S. S. Rao (5th
Edition)
Two Degrees of Freedom
• Systems that require 2 kinematically independent coordinates to describe
completely the motion of each point in the system are called 2 DOF systems.
Two Degrees of Freedom
𝑵𝑵𝑵𝑵. 𝒐𝒐𝒐𝒐 𝑫𝑫𝑫𝑫𝑫𝑫𝑫𝑫 𝒐𝒐𝒐𝒐 𝒕𝒕𝒕𝒕𝒕𝒕 𝒔𝒔𝒔𝒔𝒔𝒔𝒔𝒔𝒔𝒔𝒔𝒔
= 𝑁𝑁𝑁𝑁. 𝑜𝑜𝑜𝑜 𝑚𝑚𝑚𝑚𝑚𝑚𝑚𝑚𝑚𝑚𝑚𝑚 𝑖𝑖𝑖𝑖 𝑡𝑡𝑡𝑡𝑡 𝑠𝑠𝑠𝑠𝑠𝑠𝑠𝑠𝑠𝑠𝑠𝑠
× 𝑛𝑛𝑛𝑛. 𝑜𝑜𝑜𝑜 𝑝𝑝𝑝𝑝𝑝𝑝𝑝𝑝𝑝𝑝𝑝𝑝𝑝𝑝𝑝𝑝 𝑡𝑡𝑡𝑡𝑡𝑡𝑡𝑡𝑡𝑡 𝑜𝑜𝑜𝑜 𝑚𝑚𝑚𝑚𝑚𝑚𝑚𝑚𝑚𝑚𝑚𝑚 𝑜𝑜𝑜𝑜 𝑒𝑒𝑒𝑒𝑒𝑒𝑒 𝑚𝑚𝑚𝑚𝑚𝑚𝑚𝑚
• EOMs are in the form of coupled differential equations (i.e., all equations
involve all coordinates). This is also called coordinate coupling.
• We assume harmonic motion for each generalized coordinate. For example, if
we have 2 generalized coordinates 𝑥𝑥1, 𝑥𝑥2 , then these 2 can be expressed as:
𝑥𝑥1 = 𝑋𝑋1 cos 𝜔𝜔𝜔𝜔 + 𝜙𝜙 , 𝑥𝑥2 = 𝑋𝑋2 cos 𝜔𝜔𝜔𝜔 + 𝜙𝜙
• 2 natural frequencies, 2 normal/principal/natural modes
• Principal coordinates (decoupled/uncoupled EOMs)
Coordinate Coupling
• In a 2-DOF system, the motion of one mass depends on the motion of the other mass.
• Mathematically, this dependence can be seen in the 2 equations of motion where both
generalized coordinates appear in each equation. This is known as coordinate coupling, and
the equations of motion are coupled.
• In the most general case, the equations of motion of a 2-DOF system undergoing free
undamped vibration can be written in matrix form as:
𝑚𝑚11 𝑚𝑚12
𝑚𝑚21 𝑚𝑚22
̈
𝑥𝑥1
̈
𝑥𝑥2
+
𝑘𝑘11 𝑘𝑘12
𝑘𝑘21 𝑘𝑘22
𝑥𝑥1
𝑥𝑥2
=
0
0
• If the choice of generalized coordinates is such that the stiffness matrix is non-diagonal, the
coupling that exists is called elastic/static coupling.
• If the choice of generalized coordinates is such that the mass matrix is non-diagonal, the
coupling that exists between the coordinates is called mass/inertial coupling.
• If the choice of generalized coordinates is such that the damping matrix is non-diagonal, the
coupling that exists between the coordinates is called velocity/damping coupling.
Coordinate Coupling
• Both mass coupling and velocity coupling come under the heading of dynamic
coupling. So, basically there are 2 types of coordinate coupling (i.e., static and
dynamic coupling). Dynamic coupling has 2 further subtypes (i.e., mass and
velocity coupling).
• The choice of coordinates is a mere convenience. Whichever set of generalized
coordinates you select for the equations of motion, the system’s natural
frequencies will come out to be the same.
Principal Coordinates
• If the choice of generalized coordinates is such that neither inertial
coupling exists (i.e., the mass matrix is diagonal), nor static coupling
exists (i.e., the stiffness matrix is also diagonal), then these
generalized coordinates are called principal or natural coordinates.
• When principal or natural coordinates are used, the 2 equations of
motion no longer remain coupled (simultaneous). Therefore, they
can be solved independently.
Important Formulae for Equations of Motion of Rigid
Bodies in Planar Motion (i.e., Motion in 𝑥𝑥 − 𝑦𝑦 Plane)
1. � 𝐹𝐹𝑥𝑥 = 𝑚𝑚 𝑎𝑎𝐺𝐺 𝑥𝑥
2. � 𝐹𝐹𝑦𝑦 = 𝑚𝑚 𝑎𝑎𝐺𝐺 𝑦𝑦
3. � 𝑀𝑀𝐺𝐺 = 𝐽𝐽𝐺𝐺
̈
𝜃𝜃
4. � 𝑀𝑀𝑂𝑂 = 𝐽𝐽𝑂𝑂
̈
𝜃𝜃
5. � 𝑀𝑀𝑃𝑃 = 𝐽𝐽𝑃𝑃
̈
𝜃𝜃 + ̅
𝑥𝑥𝑚𝑚 𝑎𝑎𝑃𝑃 𝑦𝑦 − �
𝑦𝑦𝑚𝑚 𝑎𝑎𝑃𝑃 𝑥𝑥
Important Formulae for Equations of Motion of Rigid
Bodies in Planar Motion (i.e., Motion in 𝑥𝑥 − 𝑦𝑦 Plane)
𝑎𝑎𝐺𝐺 𝑥𝑥 : 𝑥𝑥 − component of acceleration of the center of gravity of the rigid body
𝑎𝑎𝐺𝐺 𝑦𝑦 : 𝑦𝑦 − component of acceleration of the center of gravity of the rigid body
∑ 𝑀𝑀𝐺𝐺 : summation of all moments about the center of gravity G
𝐽𝐽𝐺𝐺 : mass moment of inertia about an axis passing through the center of gravity G
∑ 𝑀𝑀𝑂𝑂 : summation of all moments about a fixed point O in the rigid body
𝐽𝐽𝑂𝑂 : mass moment of inertia about an axis passing through point O
∑ 𝑀𝑀𝑃𝑃 : summation of all moments about a non-fixed point P in the rigid body
̅
𝑥𝑥 : distance along the 𝑥𝑥 − axis between P and G during rotation
�
𝑦𝑦 : distance along the y − axis between P and G during rotation
𝑎𝑎𝑃𝑃 𝑥𝑥 : 𝑥𝑥 − component of acceleration of point P
𝑎𝑎𝑃𝑃 𝑦𝑦 : y − component of acceleration of point P
Chapter 8
(Continuous Systems)
Mechanical Vibrations by S. S. Rao (5th
Edition)
Introduction
• Continuous systems are also called distributed systems.
• Mass, stiffness and damping have a continuous distribution throughout the vibratory
system
• They are not concentrated at certain discrete points in the system
• Continuous systems have infinite no. of degrees of freedom, and hence infinite
number of natural frequencies and corresponding mode shapes.
• Equations of motion are partial differential equations (PDEs).
• Examples of continuous systems are:
• Transverse vibration of a string/cable
• Longitudinal vibration of a bar/rod
• Torsional vibration of a shaft/rod
• Lateral/transverse vibration of beams
• Vibration of membranes
Wave Equation
• The wave equation we will be dealing with is:
𝑐𝑐2
𝜕𝜕2
𝑤𝑤
𝜕𝜕𝜕𝜕2
=
𝜕𝜕2
𝑤𝑤
𝜕𝜕𝑡𝑡2
• This is a PDE which is:
• 1-dimensional (because 𝑤𝑤(𝑥𝑥, 𝑡𝑡) depends on 1 space variable only)
• linear (because the coefficients of partial derivatives are constants and not function of
𝑤𝑤, and no higher powers of partial derivatives are present)
• 2nd order (because 2nd derivatives are present)
• This wave equation governs:
• Sound waves/pressure waves
• Transverse vibration of strings/cables/long cylinders and pipes (used in offshore rigs)
Condition Monitoring
(Vibration Nomograph)
• Vibrations can cause adverse effects on machines, structures & humans.
• Complete suppression of vibrations may be very costly therefore designs are based on
acceptable levels of vibrations.
• The acceptable levels of vibrations are usually shown on a graph called Vibration Nomograph.
(1)
(2)
Taking ln both sides of 1 & 2:
(3)
(4)
Eq 3 & 4 represents straight lines with +ve &
-ve slopes respectively:
• In a nomograph the x-axis is frequency while
the y-axis represents the velocity.
• Thus, every point on a nomograph represents
a harmonic vibration.
Since vibrations imparted to machines and humans can be composed of different
frequencies RMS values are considered.
An automobile has a mass of 1000 kg and a stiffness of 400 kN/m. If it hits a bump
that is 0.1 mm high, it will undergo a sinusoidal vibration. Assuming that the bump
corresponds to the rms value of the displacement, find out the velocity and
acceleration using the nomograph. Is this vibration felt by the passengers? Suggest
means of reducing the vibration.
Rotating Unbalance
• Any rotating machine that possesses an unbalanced mass within its rotor will produce inertial
force (centrifugal force) that will cause the machine to vibrate unnecessarily.
• Therefore, in general, rotating unbalance is unwanted. However, there can be cases for instance
a shake table that can be designed to operate with a rotational unbalance in order to generate
vibrations that can be used for testing purposes.
• Rotating unbalance can cause both displacement transmissibility and force transmissibility
which needs to be isolated properly.
FBD
Indicates two unbalance rotating masses (m/2) in opposite directions (to cancel the horizontal
components of the centrifugal force). Actually machines placed on foundations are vertical systems and
can be confined to vibrate only in vertical direction.
e is the eccentricity of unbalanced masses measured from the center of the rotor.
M is the mass of the machine.
Note that the total vertical component of the centrifugal force is :
F(t) = meω2sinωt θ = ωt
Since this force causes the machine of mass (M) to vibrate.
EOM: (∑F = Mẍ)
F(t) – kx – cẋ = Mẍ
Mẍ + cẋ +kx = F(t) = meω2sinωt = Fosinωt (1)
Eq (1) is same as the equation of damped forced vibrations.
Therefore, the response also remains the same.
=
where,
After multiply both sides by M, taking k common from denominator and using
r = ω/ωn , 1/ωn
2 = M/k and cω/k = 2ζr we can get:
The magnitude of the maximum force transmitted due to rotating unbalance is:
• At or near resonance
the amplitude due to
rotating unbalance tends
to reach its maximum.
(peaks occurs to the right
of r = 1.)
• Irrespective of damping
the amplitude of rotating
unbalance reaches 1 if r
reaches higher values
(i.e. speed of the
machine increases.
• For ζ = 1 the amplitude
of rotating unbalance is
minimum relative to
underdamped cases.
(MX/me < 1)
• At or near resonance ζ
must be increased in
order to reduce the
amplitude of rotating
unbalance.
Note:
Forced Vibrations
• Forced vibrations are vibrations where an external excitation in form of (force or displacement)
is continuously applied to the system.
• Examples are vibrations due to rotating unbalance of machines, earthquake, an automobile or an
aircraft traveling on an uneven road/runway, vibration testing & experiments & vibration
measurements (sensor applications).
• The governing DE will be linear, second order & non homogenous whose general solution is
composed of two parts (1) homogenous solution (which will decay with time and hence is
transient) (2) particular solution which will be steady in time and is due to the applied excitation.
•In forced vibration cases we therefore seek the particular solution only.
• The external excitation can be harmonic,
non harmonic but periodic, transient or random in time.
• If the applied excitation is harmonic the
response will essentially be harmonic.
Forging process (forced vibrations)
Homogenous sol (transient decay)
Particular sol (steady state)
General solution (sum)
Building vibration measurements with
accelerometer (forced vibrations)
Accelerometer
Prof. Dr. Murtuza (NEDUET)
Undamped Harmonic Forced Vibration Response
FBD
Newton’s 2nd law for translation (∑F = mẍ)
(F(t) = Fo cosωt)
mẍ + kx = F(t)
Since the excitation is harmonic the particular sol will also be
harmonic with the same frequency.
(i.e. a constant X multiplied by cosωt)
Homogenous DE will be:
mẍ + kx = 0
General solution is:
(1)
ẋp = -Xωsinωt, ẍp = -Xω2cosωt & x = Xcosωt
Put ẍ & x in (1) and solve for X
where Fo/k = δst = static deflection under Fo.
ω/ωn = r = frequency ratio.
The general solution
Prof. Dr. Murtuza (NEDUET)
Let the initial conditions be: x(t=0) = xo & ẋ(t=0) = ẋo
ẋ(t) = C2 ωncosωnt - C1 ωnsinωnt - ωFosinωt/(k-mω2)
we get:
&
Finally the sol is:
Where, Also,
• X/δst = Magnification Factor
• ω/ωn = r = Frequency Ratio
Prof. Dr. Murtuza (NEDUET)
Case No. 1 (0 < r < 1)
• If r is greater than 0 but less than 1 the denominator of X/δst = 1/(1-r2) will be +ve or
in other words X/δst will be +ve.
• The response x(t) = Xcosωt will be exactly in phase with the applied excitation F(t).
 Note that in phase means both the applied
excitation and the response will reach their
maximum & minimum values together in
time.
0< r <1
Prof. Dr. Murtuza (NEDUET)
Case No. 2 (r > 1)
• When r is greater than 1 the denominator of X/δst = 1/(1-r2) will become -ve or in
other words X/δst will be -ve.
• The response is now given by x(t) = - Xcosωt.
• The response x(t) is now 180o out of phase with the excitation F(t).
r > 1
• Note 180o out of phase means that when F(t) will be +ve X will be
–ve and vice versa. However both quantities will still reach their
maximum and minimum at same time
• Also note that as r increases i.e.
r ∞ X 0.
• Therefore, response to harmonic
excitations of very high frequency is
close to zero.
X tends to zero as r increases.
Good in terms of vibration. !!
Prof. Dr. Murtuza (NEDUET)
Case No. 3 (r = 1)
• When r is equal to 1 this means excitation frequency is exactly equal to system’s natural
frequency (i.e. Resonance).
• If resonance will occur the amplitude X will become infinite. (to be avoided)
r =1
Lets find the equation of the response x(t) at resonance:
(previously)
Rearranging and using:
𝑥 𝑡 = 𝑥𝑜𝑐𝑜𝑠𝜔𝑛𝑡 −
𝐹𝑜
𝑘−𝑚𝜔2 cosωnt +
𝑥𝑜
𝜔𝑛
𝑠𝑖𝑛𝜔𝑛𝑡 +
𝐹𝑜
𝑘−𝑚𝜔2 𝑐𝑜𝑠ω𝑡
Note that if ω = ωn the last term gets theoretically infinity (indefinite).
Prof. Dr. Murtuza (NEDUET)
• In order to remove the indefinite form of x(t) we can estimate the form of the last term as a
limit ω ωn.
• Using L’ Hospital rule we can write as follows.
Therefore, finally for r =1 the response can be written as:
It can be seen that the response increases
linearly with time.
Plot of
Prof. Dr. Murtuza (NEDUET)
Damped Harmonic Forced Vibration Response
FBD
• Harmonic force excitation is applied.
• A viscous damper is also implemented now.
EOM (using Newton’s 2nd law for translational systems (∑F = mẍ)
Since excitation is harmonic according to the method of undetermined coefficients
the particular solution (response) will also be harmonic
𝑥𝑝 𝑡 = −𝑋𝜔 sin 𝜔𝑡 − φ & 𝑥𝑝 t = −𝑋𝜔2
cos(𝜔𝑡 − 𝜑)
(1)
Put in (1)
Using trigonometric formulas and substituting in eq (2):
(2)
Prof. Dr. Murtuza (NEDUET)
Comparing coefficients of cosωt & sinωt:
(3)
(4)
S.B.S of eq (3) & (4) use ((a+b)2 formula) & add them:
&
• Notice that the lag in the response is due to the damping present in the system i.e. if
c = 0 φ = 0 the response will again become in phase with the excitation force
(undamped forced vibrations)
• Therefore, it is concluded that due to damping present the response of damped
forced vibrations will lag the excitation input by an amount φ.
X X
+ -X
+ X
2 Eqs and 2 unknowns
For φ use Eq 4.
Prof. Dr. Murtuza (NEDUET)
Taking k as common and using following substitutions we can write:
ωn = (k/m)1/2 , c = 2ζmωn , δst = Fo/k , r = ω/ωn , X/δst = M (magnification factor)
[(1-mω2/k)2 + c2ω2/k2]1/2
/k
= = M
As before, the variation of magnification factor M with the frequency ratio r is
important for damped forced vibrations:
Therefore,
Therefore, for damped forced vibrations we have:
M
Note:
From dM/dr =0 we get
Mmax @ r = (1-2ζ2)1/2
Prof. Dr. Murtuza (NEDUET)
From the graph of M vs r following points can be noticed:
• At ζ = 0 (undamped case) amplitude ratio M increases
infinitely at r = 1 (resonance).
• For critical & overdamped cases amplitude ratio M always
decreases with increasing values of r.
• So underdamped cases (ζ < 1) are more important in case
of forced vibrations.
• For any specified value of r higher value of ζ will generate
smaller amplitude ratio.
• Amplitude ratio M can be made small (approaches 0) when
r tends to ∞ for any value of ζ.
• If 0 < ζ < 1/√2 the maximum value of amplitude ratio M
occurs at r = (1-2ζ2)1/2. (from dM/dr = 0)
(this means the peak value of the amplitude will not occur at
r =1 when 0 < ζ < 1/√2 ))
• The peak value Mmax occurs when
0 < ζ < 1/√2.
• If 0 < ζ < 1/√2 and r = 1 M = 1/2ζ. (i.e. not equal to Mmax)
• Note that if ζ = 1/√2 than r = 0 & M = 1.
• For ζ > 1/√2 amplitude ratio M monotonically decreases
(i.e. it never tries to increases).
Prof. Dr. Murtuza (NEDUET)
Notes:
• During forced vibration testing of structures, if we
can measure maximum amplitude i.e. Mmax we can
estimate the amount of damping present in the
system and vice versa.
• Amplitude ratio M cannot be less than 1 at
r = 1or near 1 and ζ < 1 (underdamped) that is
why no curves for underdamped case including
1/√2 are shown.
Sometimes the knowledge of phase angle
becomes important to measure and/or interpret
through vibration analyzers (sensors). This is
specially the case when no significant
information from the amplitude ratio is received.
Prof. Dr. Murtuza (NEDUET)
• If 0 < r < 1, ζ = 0 𝑡ℎ𝑒𝑛 𝜙 = 0
• If r > 1, ζ = 0 𝑡ℎ𝑒𝑛 𝜙 = 180o
• At r =1 (resonance), ζ = 0 then 𝝓 = 90o
• If 0 < r < 1, ζ > 0 then 0 < 𝜙 < 90o
(response lags excitation)
• If r > 1, ζ > 0 then 90o < 𝜙 < 180o
(response leads the excitation)
• For ζ > 0 and r >> 1 response and
excitation will be out of phase.
Total Solution/Response:
Since at ζ ≥ 1 the response is relatively small even at or near resonance if compared to
the underdamped case, the total solution or response of damped forced vibrations is
crucial during underdamped cases.
Therefore,
Where,
xo & ẋo are initial displacement and initial velocity
respectively.
Note:
X & φ have been already determined on previous slides.
Prof. Dr. Murtuza (NEDUET)
Isolators = Springs + Dampers
Undamped Spring Mount
Pneumatic Rubber Mount
Damped Spring Mount
A press mounted on four
pneumatic rubber mounts
VIBRATION ISOLATION
Vibration isolation means to design isolators i.e. springs
and/or dampers in such a way that an object/equipment can
be protected from the harmful effects of vibrations (large
amplitudes and transmission forces)
Prof. Dr. Murtuza (NEDUET)
Harmonic Base Excitation
• The vibrations are being transmitted to the structure through the excitation of the base
or support.
• Ex: vehicle vibrations due to rough road, earthquake, sensors attachment, camera
attached to a fighter jet or a vehicle & a machine placed on a floor that is vibrating.
• Actually, displacement and force both will be transmitted through base excitations.
• This problem is also known as vibration isolation (except the sensor applications).
ẍ
net effect
EOM: (∑F = mẍ)
- c(ẋ-ẏ) – k(x-y) = mẍ
Note we must select the signs
of x and y such that the
coefficients of m c and k in the
EOM remains +ve wrt the
response variable (i.e. x)
or
We know that: y = Ysinωt & ẏ = Yωcosωt
(1)
Put in (1)
mẍ + cẋ+ kx = Asin(ωt+α)
or
Coz RHS of (2) represents sum of two harmonic motions
(2)
ẍ
Prof. Dr. Murtuza (NEDUET)
Recall that resultant/sum of two harmonic motions is given by:
Resultant =
Prof. Dr. Murtuza (NEDUET)
Note:
The phase difference between sin and
cos components of the resultant
motion 𝑋 is always 90o
mẍ + cẋ+ kx = Asin(ωt+α)
For the sum of two harmonic motions A and α are as follows:
α = tan-1 (cω/k)
&
Note that the unit of A is Newton (N)
Therefore,
mẍ + cẋ+ kx = sin(ωt+α) (3)
So we can say that Eq (3) again becomes EOM of damped forced vibration.
The particular solution of (3) is:
xp (t) = X sin(ωt + α – φ)
&
or,
here,
Fo=
Prof. Dr. Murtuza (NEDUET)
• It is again important to see that how much displacement is transferred to the structure
due to the excitation of the base and what measures could be taken to reduce /isolate it.
Fo=
Finally,
Td = X/Y is the displacement transmissibility.
Td is the ratio of the amplitude of the mass to that of the base.
We have,
Put in above Eq.
(X/Y in terms of ζ & r)
Prof. Dr. Murtuza (NEDUET)
• We can control Td through ζ & r.
• Td = X/Y increases as r tends to 1.
• Td tends to infinity when ζ = 0
(undamped) @ r = 1.
• Td reaches its maximum only for
0 < ζ < 1 at r = rm =
(dTd/dr = 0)
• For any value of ζ Td begins to decrease
as r exceeds 1, it becomes unity when
r = √2 and further continuously decreases
if r > √2. Hence, for Td < 1 the operating
region should be r > 2. Note that in this
region even ξ needs not to be large.
• Td is always unity when r = √2 for any
value of ζ.
• If r < √2 then smaller damping ratio
leads to larger value of Td (not good) but
if r > √2 then irrespective of damping
ratio Td is always less than 1 (good). Not
good to increase damping in this region.
Prof. Dr. Murtuza (NEDUET)
Force Transmissibility
• The problem of base excitation also generates the problem of force transmitted to the mass
through the isolators connected (i.e. due to springs and dampers attached).
• In fact any vibrating structure is capable of transmitting force to its base/foundation via isolator
connections.
We know that for forced damped vibrations the steady response is given as follows:
Differentiate twice to get ẍ = -Xω2sin(ωt-φ) and put in (1).
F(t) = mXω2sin(ωt-φ)
Where,
F(t) = FT sin(ωt-φ)
(1)
F(t) = k(x-y) + c(ẋ-ẏ) = -mẍ
FT = mXω2 (2)
Therefore,
(Max amplitude of transmitted force)
- c(ẋ-ẏ) – k(x-y) = mẍ
EOM:
or,
• Note that the transmitted force is also
harmonic & it is in phase with the
displacement of the mass.
Prof. Dr. Murtuza (NEDUET)
Recall eq (2): FT = mXω2
For forced damped vibrations X is:
and for the base excitation we have:
Fo=
Put above values in eq (2):
mω2
FT =
After taking k common from the numerator and denominator and substituting
m/k = 1/ωn
2 , cω/k = 2ζr and r = ω/ωn we can write the above equation as follows:
The ratio FT/k Y is known as the force transmissibility and is due to the motion of the
base.
Prof. Dr. Murtuza (NEDUET)
• Unlike the displacement
transmissibility (X/Y) the force
transmissibility (FT/k Y) does not
necessarily decreases if r > √2.
• For critically damped systems
FT/k Y continuously increases with
r. (drive slow on rough tracks!)
• FT/k Y reaches infinity near
resonance if ζ is small.
• if r > √2 then ζ must remain small
(ζ ≤ 0.2) to reduce the force
transmissibility.
• FT/k Y reaches 1 if ζ reaches 0.
• The best way to reduce force
transmissibility FT/k Y
irrespective of ζ is to keep r low
(i.e. keep r near 0)
• During base excitation we need to
have a compromise b/w the force
transmissibility & displacement
transmissibility
Prof. Dr. Murtuza (NEDUET)
An 82 kg machine tool is mounted on an elastic foundation. An experiment is run to determine
the stiffness and damping of the foundation. When the tool is excited with a harmonic force of
800 N at different frequencies, the maximum steady state amplitude was recorded to be 4.1 mm
at a frequency of 40 Hz. Calculate the stiffness and damping constant of the foundation.
in the fig
Isolators = Springs + Dampers
Undamped Spring Mount
Pneumatic Rubber Mount
Damped Spring Mount
A press mounted on four
pneumatic rubber mounts
VIBRATION ISOLATION
Vibration isolation means to design isolators i.e., springs
and/or dampers in such a way that an object/equipment can
be protected from the harmful effects of vibrations (large
amplitudes and transmission forces)
Harmonic Base Excitation
• The vibrations are being transmitted to the structure through the excitation of the base
or support.
• Ex: vehicle vibrations due to rough road, earthquake, sensors attachment, camera
attached to a fighter jet or a vehicle & a machine placed on a floor that is vibrating.
• Actually, displacement and force both will be transmitted through base excitations.
• This problem is also known as vibration isolation (except the sensor applications).
ẍ
net effect
EOM: (∑F = mẍ)
- c(ẋ-ẏ) – k(x-y) = mẍ
Note we must select the signs
of x and y such that the
coefficients of m c and k in the
EOM remains +ve wrt the
response variable (i.e. x)
or
We know that: y = Ysinωt & ẏ = Yωcosωt
(1)
Put in (1)
mẍ + cẋ+ kx = Asin(ωt+α)
or
Coz RHS of (2) represents sum of two harmonic motions
(2)
ẍ
Recall that resultant/sum of two harmonic motions is given by:
Resultant =
mẍ + cẋ+ kx = Asin(ωt+α)
For the sum of two harmonic motions A and α are as follows:
α = tan-1 (cω/k)
&
Note that the unit of A is Newton (N)
Therefore,
mẍ + cẋ+ kx = sin(ωt+α) (3)
So we can say that Eq (3) again becomes EOM of damped forced vibration.
The particular solution of (3) is:
xp (t) = X sin(ωt + α – φ)
&
or,
here,
Fo=
• It is again important to see that how much displacement is transferred to the structure
due to the excitation of the base and what measures could be taken to reduce /isolate it.
Fo=
Finally,
Td = X/Y is the displacement transmissibility.
Td is the ratio of the amplitude of the mass to that of the base.
We have,
Put in above Eq.
(X/Y in terms of ζ & r)
• We can control Td through ζ & r.
• Td = X/Y increases as r tends to 1.
• Td tends to infinity when ζ = 0
(undamped) @ r = 1.
• Td reaches its maximum only for
0 < ζ < 1 at r = rm =
(dTd/dr = 0)
• For any value of ζ Td begins to decrease
as r exceeds 1, it becomes unity when
r = √2 and further continuously decreases
if r > √2. Hence, for Td < 1 the operating
region should be r > 2. Note that in this
region even ξ needs not to be large.
• Td is always unity when r = √2 for any
value of ζ.
• If r < √2 then smaller damping ratio
leads to larger value of Td (not good) but
if r > √2 smaller damping ratio leads to
smaller values of Td (good).
Force Transmissibility
• The problem of base excitation also generates the problem of force transmitted to the mass
through the isolators connected (i.e. due to springs and dampers attached).
• In fact any vibrating structure is capable of transmitting force to its base/foundation via isolator
connections.
We know that for forced damped vibrations the steady response is given as follows:
Differentiate twice to get ẍ = -Xω2sin(ωt-φ) and put in (1).
F(t) = mXω2sin(ωt-φ)
Where,
F(t) = FT sin(ωt-φ)
(1)
F(t) = k(x-y) + c(ẋ-ẏ) = -mẍ
FT = mXω2 (2)
Therefore,
(Max amplitude of transmitted force)
- c(ẋ-ẏ) – k(x-y) = mẍ
EOM:
or,
• Note that the transmitted force is also
harmonic & it is in phase with the
displacement of the mass.
Recall eq (2): FT = mXω2
For forced damped vibrations X is:
and for the base excitation we have:
Fo=
Put above values in eq (2):
mω2
FT =
After taking k common from the numerator and denominator and substituting
m/k = 1/ωn
2 , cω/k = 2ζr and r = ω/ωn we can write the above equation as follows:
The ratio FT/k Y is known as the force transmissibility and is due to the motion of the
base.
• Unlike the displacement
transmissibility (X/Y) the force
transmissibility (FT/k Y) does not
necessarily decreases if r > √2.
• For critically damped systems
FT/k Y continuously increases with
r. (drive slow on rough tracks!)
• FT/k Y reaches infinity near
resonance if ζ is small.
• if r > √2 then ζ must remain small
(ζ ≤ 0.2) to reduce the force
transmissibility.
• FT/k Y reaches 1 if ζ reaches 0.
• The best way to reduce force
transmissibility FT/k Y
irrespective of ζ is to keep r low
(i.e. keep r near 0)
• During base excitation we need to
have a compromise b/w the force
transmissibility & displacement
transmissibility
In a 1DOF underdamped forced vibration system the maximum vibration amplitude is measured
to be 2 mm. If the frequency ratio is to be 0.9 find the stiffness of the isolator mechanism in
terms of the excitation force.
Let the amplitude of force excitation = Fo
Than Xmax = 2 mm = 0.002 m.
We know that for damped force vibration:
M
However @ M = Mmax
r = (1-2ζ2)1/2
=
1 − 𝑟𝑟2
2
ζ =
1−0.92
2
ζ = 0.308
Therefore from (1):
While:
Mmax = Xmax/δst = Xmax/Fo/ k = Xmax k/Fo (1)
𝑘𝑘 =
𝐹𝐹𝑜𝑜
2𝑋𝑋𝑚𝑚𝑚𝑚𝑚𝑚ζ 1 − ζ2
𝑘𝑘 =
𝐹𝐹𝑜𝑜
2 × 0.002 × 0.3 1 − 0.32
k = 1.1447×10-3 Fo ANS
Vibration Sensors
A vibration sensor can either measure an acceleration ( so called accelerometer) or the
displacement (so called vibrometer/seismometer) of a vibrating structure. All conventional
vibration sensor works on the principle of Base Excitation.
Basic Construction:
A vibration sensor consist of a suspended mass (inertia element) and a suspension mechanism
that provides the overall stiffness (spring element) to the construction. Due to different
construction materials involved, an equivalent viscous damping element is also modeled. The
movement of the suspended mass can be converted into electrical signals that can be measured.
Entire mechanism is enclosed in a casing. The sensor is directly attached through adhesives
and/or magnets to the vibrating structure of interest. Vibration sensors are available in different
ranges of frequency to be selected depending on the vibrations to be measured.
Schematic Commercial sensor MEMS Vibration Sensors
• It is difficult to measure the absolute displacement of the suspended mass as it is enclosed
within the sensor casing hence, for the analysis purpose, we use a relative displacement variable z
such that:
z = x-y
EOM:
kz cż
FBD
This is again the EOM of forced damped vibrations. Therefore:
Zp(t) = Z sin(ωt-φ)
Amplitude is:
Dimensionless form:
Z/Y =
Vibration Sensor as Vibrometer/Seismometer:
Z/Y =
• We note that for the relative displacement Z to be equal to the displacement of the base structure
r has to be large (generally r ≥ 3) so that the term on the RHS of the above expression approaches
unity. In this configuration the vibration sensor behaves as a vibrometer or a seismometer and is
able to measure the displacement of the vibrating structure accurately.
• The above discussion also
means that the sensor reading can
be interpreted as the
displacement of the vibrating
structure if the vibration
frequency to be measured is at
least 3 times the natural
frequency of the sensor,
Condition:
• r ≥ 3
• ω ≥ 3ωn
Where:
Acceleration of sensor mass = z(t) ω2
n
Acceleration of base structure = ӱ(t)
• In order for the sensor acceleration to be equal to the base acceleration r must be made small
(generally r < 0.5) so that the coefficient of ӱ(t) on the RHS of the above expression approaches
unity and we can say that the relative displacement of the sensor is proportional to the
acceleration of the base structure. For accelerometers ζ is mostly taken to be 0.7
Vibration Sensor as an Accelerometer:
z(t) = Z sin(ωt-φ)
We know that the steady state response is given by:
Putting the value of amplitude Z in above equation to get:
z(t)ω2
n = Yω2sin(ωt-φ). 1/√(1-r2)2 + (2ζr)2
Now if the base is harmonically excited than ӱ(t) = - Yω2sin(ωt-φ) and we have:
r = ω/ωn
Z = Yr2. 1/√(1-r2)2 + (2ζr)2
ω2
n
• r < 0.5
• ω < 0.5ωn
• ω ≤ 0.2ωn (more precisely)
Condition:
• If an accelerometer has a natural frequency of 100 Hz it can
effectively measure vibrations up to 20 Hz only.
Accelerometers are available in wide range of frequency so we
need to carefully select the best sensor for our application.

Fundamentals of Mechanical Engineering Vibrations.pdf

  • 1.
    Mechanical Vibrations ME-436 ClassLearning Outcomes (CLO) “Cognitive Domain” CLO-1: Discuss different theoretical concepts related to mechanical vibrations. (C2) CLO-2: Develop & Solve mathematical models of various vibratory systems using one or more DOF. (C5) CLO-3: Solve different problems to illustrate principles and concepts of free & forced vibrations. CLO-4: To be able to conduct experiments related to mechanical vibrations and interpretation of data. (Lab related Psychomotor Domain) Sessional Marks Distribution Mid term = 20 marks (written test in 8th week) Assignment CEP = 20 marks Text Book Mechanical Vibrations by S.S. Rao Prentice Hall 5th Edition. Course Objective To impart sound theoretical knowledge of mechanical vibrations to mechanical engineering students and make them capable of mathematically formulating, solving & designing different engineering problems related to vibrations. Final Exam •60 marks •Will be choice less. •Will be based on class lecture slides, class work problems, suggested problems & assignment. (C3) Prof. Murtuza
  • 2.
    Important Quantities ofa Mechanical System For a mechanical system following three quantities are important. 1. Mass (M) 2. Stiffness (k) = Load/Deflection 3. Natural frequency (ωn) • Mass is related to the inertia of the mechanical system which is the ability of a body to resist change in its state of acceleration. It depends on the mass and geometry. • Stiffness is the ability of a mechanical system to resist deformation when subjected to an external force or load. It depends on geometry and material property (Young’s modulus E). • Natural frequency is a parameter that relates the stiffness & inertial of a mechanical system. Formally it is defined as the number of occurrences of a repeating event per unit of time. Since vibration is a repetitive motion (dynamic) it is dependent on the “frequency”. What is a Mechanical System? A physical system that involves forces, motion and/or management of energy is known as a mechanical system. However, in mechanics we consider mechanical systems as structural systems (frames, trusses & machines) subjected to forces and motion only. Why Need Natural Frequency? Natural frequency can be used to compare different mechanical systems on the basis of robustness. Systems having high natural frequencies have larger operating window/range before they can encounter resonance.  Dynamic response of a structure depends on the distribution of its elasticity (stiffness k) and inertia (mass m) Prof. Murtuza
  • 3.
    What is Vibration? Vibrationis the study of the repetitive/oscillatory/to and fro/ back n forth motion of objects relative to an equilibrium position & the forces associated with this type of motion. Examples motion of push rod, motion of a swing, motion of a pendulum, motion of a guitar string, rotating machines & machine mechanisms, motion of a forging tool, motion of automotive suspension system, swaying of skyscrapers (tall buildings) due to winds/earthquake, motion of aircraft wing , motion of bridges, motion of atoms , vortex induced motion (FSI) and etcetera. Vibration of aircraft wing Motion of pendulum Vibrating string Forging m/c vibration NOTE: uniform circular motion is not vibration also SHM is a specific (linear) case of vibratory motion. Motion of a push rod (cam-follower) (First scientific study on musical sound 544 B.C. by Pythagoras) Slider crank mechanism (can work as exciter for vibration testing) Prof. Murtuza
  • 4.
    More Applications Pile drivingmachine Jack hammer machine Vibratory conveyor Vibratory feeder/hopper Laboratory shaker MEMS vibration sensors Automotive suspension system Massage chair Sound/Music Acoustics & sound proofing Vibration of vehicle chassis frame Vocal cords Lungs Ear drum Heart Bio Systems Prof. Murtuza
  • 5.
    Sliding vibration isolatorRubber vibration isolator Mass damper vibration isolator (wind effects) Earthquake Resistant Structures Vibration analysis in maintenance Prof. Murtuza
  • 6.
    Vibrations as UnwantedPhenomena There can be many scenarios in which vibrations are unwanted mainly because they produce cyclic stresses in material (fatigue) and causes excessive noise, wear and premature failures. • Engine vibrations: Can harm other components and loosen fasteners like nuts & bolts. • Machining processes vibrations: Vibration causes chatter (noise) and poor surface finish. • Unbalanced wheels: Vibration can cause uncomfortable deflections. • Unbalance rotors: Turbine rotors, impellors of pump & compressor should be balanced other wise vibration can cause damage. • Floor vibrations: A vibrating structure can cause the floor to vibrate which in turn generates vibrations in other equipment. • Resonance: Whenever the external forcing frequency (external input) matches with any one of the natural frequency of the structure “Resonance” can generate which is also an unwanted phenomena. !! Collapse of a bridge due to resonance caused by wind induced vibrations Prof. Murtuza
  • 7.
    Elements/vocabulary of MechanicalVibrations 1) Elastic element i.e. Spring/Stiffness (k) . 2) Inertia element i.e. Mass (rigid) (M or J). 3) Resistance/friction element i.e. Damper (c). NOTE: Springs can store potential energy while inertia can have kinetic energy and damper is used to dissipate these energies during vibration. Therefore, vibration is also an interplay of energies. Spring k Mass m m or Damper 1 2 c Spring and damper elements are usually attached to the mass element being modeled. 1 & 2 are attachment points. • k = stiffness constant of spring. • J = mass moment of inertia (polar). • c = damping coefficient. m c k Prof. Murtuza
  • 8.
    Degrees of Freedom Invibration degrees of freedom (DOF) means number of “independent” coordinate variables required to fully describe the motion/position of all parts of the system. Single Degree of Freedom Systems (1-DOF) Only one coordinate variable is required to completely study the motion of the mass (inertia element). l θ x sinθ = x/l θ x y l x2+ y2 = l2 sinθ = x/l cosθ = y/l Two Degree of Freedom Systems (2-DOF) In this case motion of m and the bob can not be defined using single coordinate because x ≠ X Two independent coordinate variables are needed 3-DOF • In general if mass elements increases DOF also increases. • Set of coordinates necessary to describe the motion are known as “generalized coordinates” (q , q etc.) θ1 θ2 θ3 (*DOF = No. of masses × No. of space variables defining motion of each mass) Prof. Murtuza
  • 9.
    Discrete/Lumped Systems Systems thatcan be described by finite number of degrees of freedom are known as discrete or lumped systems. In these systems masses are rigid and discrete and are concentrated only at a point. Examples all simplified systems i.e. 1, 2 & 3 degrees of freedom systems. The motion of discrete systems is governed by ODEs. Continuous/Distributed Systems Elastic members that are continuous i.e. beams, rods, wires & plates are considered to be continuous systems. These systems contains infinite degrees of freedom. Note no discrete masses can be considered in these systems. The equation of motion is governed by complex PDEs. For analysis purpose these systems can also be approximated as discrete systems and accuracy can be increased by adding more degrees of freedom in them (for instance translation + rotation (transverse motion) of several point masses) Simplified 2-DOF discrete model Cables Beams Plates m k Types of Vibratory Systems Prof. Murtuza J1 J2 k
  • 10.
    Free Vibration Vibrations causedby applying a disturbance (force/displacement) to an object at start time only. Example vibrations or oscillations of a simple pendulum. Force Vibration Vibrations caused by applying repeated nature of force to an object is known as force vibration. Vibration of an engine is an example of forced vibrations. Undamped Vibration Vibrations in which no resistance/friction/damping effect is experienced are known as undamped vibrations i.e. no energy is lost. It is only an ideal situation. In reality there is always some amount of damping involved as fluid friction or dry friction. Note that these vibrations can ideally continue forever. Damped Vibration Vibrations in which damping/friction effect is involved are known as damped vibrations. These vibrations eventually diminishes with time. Neglecting damping can simplify the analysis. Nonlinear & Linear Vibrations If any element of a vibratory system (spring, mass or damper) behaves nonlinearly w.r.t the space variables than the EOM of the system will become nonlinear and the vibrations will be nonlinear. All vibrations tend to become nonlinear with increasing amplitude !!!! Deterministic & Random Vibrations If the excitation (input) acting on the vibratory system can be conveniently known at any time, the resulting vibrations will be deterministic. If the excitation cannot be predicted with time than the vibrations will be random. Random vibrations can result from earthquake, winds and road roughness. Random vibrations are dealt with statistical methods. (Important for estimation of natural frequencies) F(t) F(t) Classification of Vibration Prof. Murtuza
  • 11.
    A B C Find Stiffness= k = ? Investigate Degrees of Freedom (DOF)
  • 12.
    Procedure of VibrationAnalysis There are four basic steps for any kind of vibration analysis: 1) Mathematical modeling. (mass-spring-damper model, 1-DOF, 2-DOF etc) Vision /Concepts & Accuracy !! 2) Deriving the governing equations of motions (Newton’s second law or Energy method). Mechanics !! 3) Solution of governing differential equations ODE or PDE. Mathematics !! 4) Interpretation of results. Analysis & Appropriate Engineering Design & Measures !! Schematic of Forging Machine 1 DOF Model (both masses are combined and only soil is considered as an elastic connection) 2 DOF Model (elastic connection b/w the masses is taken into account) Example -1 Prof. Murtuza
  • 13.
    Simplest 1DOF Figure1 In this case mass of rider, vehicle and wheels are all combined. The stiffness/elasticity of rider, struts and tires are combined and the damping of the rider and struts are combined. 2DOF Masses of both wheels are modeled separately, while the mass of rider + vehicle is connected to wheels via stiffness and damping of struts. Most complex model Separated the rider mass and connected to vehicle’s mass via rider’s stiffness and damping. Example -2 Considering the mass of the rider, wheels and vehicle whereas the elasticity of the rider, tires and the shocks (struts) and the damping of the rider and the shocks, draw different vibration models with increasing degrees of freedom. Refer to the physical case of Figure 1. 3DOF Prof. Murtuza
  • 14.
    Mass/Inertia: Car, passengers, seats,front wheels & rear wheels Elasticity: Tires, main springs & seats Damping: Seats, shock absorbers & tires 1 DOF Model mcom kcom ccom y(t) x(t) 2 DOF Model mp+ms mc+mw y(t) x1(t) x2(t) ks cs ksp cA All inertia elements, elastic elements and damping elements have been combined into single inertia, elastic and damping element. Mass of passenger and seat is combined and analyzed separately while mass of car and wheels are grouped together and analyzed separately. While damping & elasticity of human and tires have been neglected in comparison of seat, springs and shock absorbers. MDOF Model mrw mfw mp+ms mc y(t) kt & ct ksp & cA ks & cs x1(t) x2(t) x3(t) x4(t) Mass of car is modeled separately also mass of front and rear wheels is now modeled separately while stiffness a damping of tires have been included. Prof. Murtuza
  • 15.
    Elasticity: Seat, human &restraints Mass: Seat & human Damping: Seat and human x θ ks cs ms kh ch kr kr kht mh 2 DOF Transient Vibration Model Impact force  This model is capable of analyzing the transient torsional vibrations of human occupant and transient translational vibrations of the seat on a sudden impact force. Note: impact itself is a transient phenomena. Prof. Murtuza
  • 16.
    Harmonic Motion (related toharmony (the pleasing/smooth/continuous effect)) Harmonic motion: is a simplest type of periodic motion in which the motion is repeated at equal time intervals. Examples can be motion of simple pendulum, spring-mass oscillator, tune mass damper . A harmonic motion can be represented mathematically by a smooth, continuous function of sine or cosine (or combination). In SHM the acceleration is always proportional to displacement. In linear vibrations we often assume the response to be harmonic. • Notice the similarity b/w UCM and SHM. In both cases the point reciprocates on its amplitude axis. Note x = Acosωt also represents harmonic motion. • Remember: If a given motion x(t) is harmonic it must satisfy that ẍ = -ω2x. x = A sin(ωt+φ) or o𝑟𝑟 𝐴𝐴𝐴𝐴𝐴𝐴𝐴𝐴𝜔𝜔𝜔𝜔
  • 17.
    ẋ = =ωA sin(ωt+π/2) ẍ = = ω2A sin(ωt+π) • If a motion is harmonic than velocity and acceleration will also be harmonic with the same frequency ω but different amplitudes and phase angle. Displacement, velocity and acceleration are rotating vectors in vibration.
  • 18.
    Phase Angle ofDisplacement (φ): In vibrations phase is the angle that measures how much the displacement (x) of the mass lags or leads the peak value of the amplitude at an instant when the motion is observed. It is also the difference in angle (radian) by which one vector (or harmonic motion) lead or lags the other vector (harmonic motion). Other Important terms are: 1) Cycle (1 cycle = 2π radians) 2) Frequency (f) in Hz or c/s (Also, ω = 2πf) (f=1/τ) 3) Amplitude = Maximum magnitude/value 4) Time period = Time required to complete one cycle of vibration (1 cycle = 2π rad = s). (linear analogy: s = vt) + - equb equb equb 1 cycle
  • 19.
    Representing Harmonic Motion 1) Vector Format Harmonic motion can be represented by a rotating vector OP of magnitude A. This vector rotates at angular velocity ω. We can write, X = OP = x + y = Acosθ + Asinθ = A (cosθ + sinθ) 2) Complex number Format Harmonic motion can also be written in terms of a complex number or a complex vector because the sine and cosine functions are related to complex number by Euler’s equation. A = (a2+b2)1/2 & θ = tan-1 (b/a) X = A(cosθ + isinθ) = Aeiθ = Aeiωt X = a + ib (θ = ωt) more convenient
  • 20.
    = A(cosωt +isinωt) = Acosωt + iAsinωt = iωAcosωt + i2 ωAsinωt = - ωAsinωt + iωAcosωt = - ω2Acosωt + iω2Asinωt
  • 21.
    Since vectors canbe represented by complex numbers we can perform vector mechanics on harmonic motions. Remember: θ = angle b/w two given harmonic motions X1 & X2 . α = angle b/w resultant motion X and motion X1. ωt = angle b/w X1 & real axis. A = amplitude of resultant motion X. A1 = amplitude of X1. A2 = amplitude of X2. *Parallelogram law is valid* θ Useful Formulas: If Addition of Harmonic Motions (@ same frequency different amplitudes) Resultant Motion: A A2 A1
  • 22.
    Addition of HarmonicMotions (@ same frequency but different amplitudes) X1 (t) X2 (t) Resultant Motion: X(t) Remember: θ = angle b/w two given harmonic motions X1 & X2 . α = angle b/w resultant motion X and motion X1. ωt = angle b/w X1 & real axis. A = amplitude of resultant motion X. A1 = amplitude of X1. A2 = amplitude of X2. *Parallelogram law is valid* Useful Formulas:
  • 23.
    Addition of HarmonicMotions (@ slightly different frequencies but same amplitudes) Applications: • Some times machines or different elements within a single machine can exhibit a phenomena of “Beat” which is addition of two harmonic motions with close frequencies. • Phenomena of beat can also take place in 2DOF systems & MDOF systems when masses starts to vibrate with similar frequencies. (It will than become a mode of vibration) • Electric power houses. • Large floating structures on ocean (artificial Islands). It can be reduced by following maintenance checks, providing vibration isolation or changing the operating speeds of closely placed machines Adding: (δ is a small quantity) Recall: cos A + cos B = 2cos 𝐴𝐴+𝐵𝐵 2 cos 𝐴𝐴−𝐵𝐵 2 𝐴𝐴+𝐵𝐵 2 = (ωt+ωt+δt)/2 = ωt+δt/2 = 𝜔𝜔 + 𝛿𝛿 2 t 𝐴𝐴−𝐵𝐵 2 = (ωt-ωt-δt)/2 = -δt/2 A B Therefore, cos(-θ) = cosθ • Varying amplitude = 2Xcos(δt/2) ( amplitude is now twice the individual amplitude) • Beat frequency = δ (difference of the two frequencies) • Frequency of motion x(t) = 𝜔𝜔 + 𝛿𝛿 2 • In general beat vibrations will occur when the difference in frequencies is within 20%.
  • 24.
    Decibel (dB) • Unitfor measuring the intensity of sound pressure level or simply sound level. • It is the logarithmic ratio of vibration quantities like displacement, velocity, acceleration and pressure. It measures the relative increase or decrease in a vibration quantity respect to some reference. [+ve dB→ measured value is high & -ve dB→ measured value is less] • Can be used in areas like acoustics, optics, electronics, digital imaging and video. XdB = 20Log 𝑋𝑋 𝑋𝑋𝑜𝑜 X = measured quantity Xo = reference value Sound Proof Construction: • Double glazed glass windows with vacuum. • Wall mounted acoustic panels (mostly fiber glass but foam rubber & animal furs & feathers are also used) • In general thicker and denser material provide better sound proofing but can be costly. • Ratio of loudest sound to weakest sound heard by humans = 1 trillion !!!
  • 25.
    Equivalent Stiffness Equivalent methodworks for 1 DOF only. There are two techniques that can be used to calculate equivalent (combined) stiffness of the spring elements appearing in the system: (1) Series/Parallel formulas and (2) potential energy method Parallel Springs The load will be distributed between the springs however in order to maintain the symmetry the deflection remain the same for all the springs in parallel Series Springs The load remains the same in each spring however the deflection is different. The total deflection is sum of all deflections though. Potential Energy Method Spring elements can store potential energy by virtue of their deflection when loaded. The sum of potential energy of all springs must be equal to the potential energy of the equivalent spring at the desired location. Overall stiffness of the system increases ! xi = f(x) θi = f(x) Overall stiffness decreases where Must be done by considering the geometry or equilibrium equations. U = ½ kθ2 (linear) & (angular) 1/2 keqx2 = ∑N i=1 (1/2 kix2 i + 1/2kiθ2 i )
  • 26.
    Equivalent Mass (Inertia) Likethe stiffness elements the mass or inertia elements can also be combined. However in this case the sum of kinetic energy of all inertia elements in the system must be equal to the kinetic energy of the equivalent mass of the system. 1 2 𝑚𝑚𝑒𝑒𝑒𝑒𝑥𝑥̇2 = ∑ 1 2 𝑚𝑚𝑖𝑖𝑥𝑥𝑖𝑖 ̇ 2 + 1 2 𝐽𝐽𝑖𝑖𝜃𝜃̇𝑖𝑖 2 𝑁𝑁 𝑖𝑖=1 In general: xi = f(x) θi = f(x) & K.E = 1 2 m𝑣𝑣2 + 1 2 𝐽𝐽𝜔𝜔2 Examples Translations motion only Rotation coupled with translation motion Rolling motion Rolling motion ω = 𝜃𝜃̇ ( 𝑟𝑟𝑟𝑟𝑟𝑟 𝑠𝑠 )
  • 27.
    Equivalent Damping In orderto estimate the equivalent damping of the system, same rules are applied as for equivalent springs. Viscous Damping: The most commonly used damping method e.g. pneumatic and hydraulic piston cylinder dashpot. The resistance is provided by the viscosity of a fluid (gas or oil). Damping force is not a constant. NOTE: Damping force Fd = -c ẋ= - cv This force is opposite (-ve) to the motion of the body & will only exist if there is some relative velocity between the two ends of a damper. Coulomb Damping: This damping takes place when two solid materials rub against each other. The damping force remains constant. It is due to dry friction. Example piston motion inside a cylinder block with low lubrication. Material Damping: This damping takes place when atomic planes within the material slide/slip relative to each other when the material is deformed. It is due to friction between the atomic planes. Rubber has high material damping. c = Damping constant [Ns/m] ct = [Nsm] in torsion! 𝑐𝑐𝑒𝑒𝑒𝑒 = 4𝜇𝜇𝜇𝜇𝜇𝜇 𝜋𝜋𝜋𝜋𝑥𝑥 � 𝑐𝑐𝑒𝑒𝑒𝑒 = ℎ 𝜔𝜔 � h = material damping constant μ = static friction coefficient ω = frequency [rad/s]
  • 28.
    Dampers are energydissipating elements therefore, in case when they are neither in series nor in parallel we can calculate the equivalent damping constant by using the fact that energy dissipated by all the dampers present in the system must be equal to the energy dissipated by the equivalent damper. xi = f(x) θi = f(x) & Therefore Dampers that are not in series or parallel combinations can also be solved using equations of equilibriums (i.e. summation of forces and moments) ΔW = πcωdx2 (Energy dissipated in one complete cycle (0-2π) for a viscous damper) = ∑N i=1 (π ci ωdxi 2)+(π ci ωdθi 2) πceqωdx2
  • 29.
    Determining the MaterialDamping Determining the material damping constant could be vital in selecting a material as vibration isolator. The material damping constant can be experimentally determined by loading and unloading a test material under uniaxial tensile test up to say the yield point of the material. If the graph exhibits a hysteresis loop than we can say the material possess some intrinsic damping against vibrations. The area enclosed within the hysteresis loop represents the material damping ability per unit volume. We can say that rubber B has more material damping than rubber A. However, rubber A is behaving more like a spring than a damper Metallic foams Metal matrix CNT composite Rubber
  • 30.
    Example 2.4 (Rao5th edi) 1.49 (Rao 5th edi) Using x as the generalized coordinate find keq and meq for the system shown. Assume the disk rolls without slipping. Also, find the expression for ωn 1.73 (Rao 5th edi) 1.55 (Rao 5th edi) Class Problems
  • 31.
    Two Degrees ofFreedom System • The most important application of 2DOFsystems is that it enables us to refine the single degree of freedom systems and analyze more complex problems. • Two independent coordinates are required to completely define the state of motion. • There can be more than one choice for the selection of the two coordinates. •2DOF systems result in two coupled EOM that are ordinary, second order linear differential equations. (can be homogeneous or non-homogeneous, though) • In 2DOF systems we seek to find the two natural frequencies (eigenvalues) of the system, the normal vibration modes shapes (eigenvectors) of the system & their interpretation. • The normal vibration modes of a 2DOF system is initiated for specific initial conditions only. For more general case of initial conditions (e.g. an impulse) both modes occur together. Dynamic Absorber (2DOF) (extra mass is attached) Automobile Motion (2DOF) Forging Tool (2DOF) Model Prof. Dr. Murtuza (NEDUET) In general dynamic balancing & whirling of shaft are also 2DOF problems
  • 32.
    Choice of Coordinates Thecar body is modeled as one single mass. However, there exist two possible motions for this mass. Therefore, either select x(t) (linear motion of CG of the mass and θ(t) (rotating motion of mass about CG) or x1(t) for point A and x2(t) for B. We can also select x1(t) & θ(t). DOF = No. of masses × No. of possible motion for each mass Two masses but for each mass only one type of motion is possible hence 2 DOF Prof. Dr. Murtuza (NEDUET)
  • 33.
    Natural/Normal Mode ofVibration Natural or normal mode of vibration is defined as the characteristic manner in which the free undamped vibrations of a system will take place. When a system vibrates with its natural or normal mode every point undergoes a harmonic motion. 2DOF Response 1) For specific initial conditions: (Initial displacement given according to the amplitudes) 2) For any other general initial conditions: (i.e. not specific) Response will contain both the modes simultaneously Note: Ex 5-2 (Rao 5th ed) shows how to get the initial conditions that can excite only the natural modes of vibration of a 2DOF system. Prof. Dr. Murtuza (NEDUET)
  • 34.
    Coordinate Coupling In 2DOFthe motion of one part of the system is coupled to other part via coordinate coupling. Equations are coupled due to the presence of both coordinates in the EOM of the system. The coupling depends on the choice of coordinate system and is not an inherent property of the system. Following types are important: Dynamic Coupling The coupling due to the presence of velocity i.e. damping elements in the system. If this type of coupling is present the damping matrix will be non diagonal. Static Coupling The coupling due to the presence of elastic elements i.e. springs in the system. If this type of coupling is present the stiffness matrix will be non diagonal. This type of coupling induces some mandatory condition between the stiffness elements and the geometrical parameters of the system. (e.g. k1L1 & k2L2 appearing in the system might have some condition to fulfill otherwise the system will decouple). Translation and rotation both will take place simultaneously under elastic coupling when either one is applied to the CG of the system. Inertial Coupling Usually this type of coupling is found in systems with single mass and with a choice of coordinate system that is eccentric to the CG of the system. In this case motion imparted to the mass in one of the coordinate direction will effect the motion in other coordinate direction due to the inertia of the mass. When inertial coupling is present in the system the mass matrix is non diagonal. Inertial coupling is also dynamic coupling. If a vertical force is applied at the eccentric point causing translation of the mass in the vertical direction then the moment (meӱ) of the inertia force that acts at the CG will cause rotation of the mass in θ direction. On the other hand, if a rotation is given about the eccentric point the inertial force (meӪ) will cause the translation in the vertical direction. In this way the system will have inertial coupling. Note: A diagonal matrix only has diagonal terms with all other terms zero, while a non diagonal matrix has non zero off diagonal terms. Prof. Dr. Murtuza (NEDUET)
  • 35.
  • 36.
    An optical tablewith its content weighing 147 N is to be protected against nearby vibrations by attaching a weight of 29.4 N with the table. The weight is attached using an elastic cable of stiffness 50 N/m. The table is supported on four columns each of stiffness 50 N/m. Assuming vibrations take place in only vertical plane (a) draw the 2DOF model of the situation given (b) write down the EOM (c) solve for the frequencies (d) modes of vibration and (e) the response of the two masses if x1(t = 0) = 1 cm and all other initial conditions are zero. Suggested Problems 2DOF (P2) (P3)
  • 37.
    (P4) Assuming judicial valuessolve the 2DOF model and calculate the natural frequency and mode shapes for the tool base and the platform only.
  • 38.
    Stability of Systems •Stability is one of the most important characteristics of a vibrating system. •A system is considered to be stable if its free vibration response approaches zero as time approaches infinity. • A system is considered to be only marginally stable if the free vibration response neither decays nor grows with time but oscillates or remains constant. • These definitions are also valid for force vibration response. • Only linear systems for which m, c and k do not change with time (i.e. time invariant systems) are considered. Points to Remember: • If any term in the characteristic equation is negative (means sign of coefficients) or any term in the polynomial in s is missing one of the roots will be +ve and the response will not be stable. EX: In ms2 + k = 0 s is missing, hence its is only marginally stable. • If the linear model of the system is stable then it is not possible to find a set of initial conditions that will make the system unstable. However, if the linear model of the system is unstable there might be certain set of initial conditions that can make the system stable. EX: ẍ - x = 0 has characteristic eq of s2 – 1 = 0 (s = ±1) since it contains –ve term and s is missing, one root will be +ve and hence the system is unstable. However, if x(t=0) = 1 & ẋ(t=0) = -1 with the solution x = C1e-t + C2et then we see that C1 = 1 & C2 = 0 so x = e-t which decays with time and thus becomes stable. • Stability of systems can also be investigated using perturbation theory of mathematics. That is how sensitive the motion or response is to small perturbations/variations in the values of m, c and k or the initial conditions.
  • 39.
    Representation of Rootson Complex Plane (Stability of the System) Consider the characteristic equation of free damped vibrations: (The roots) • The roots can help us in understanding the behavior of the system. • The roots can be plotted on a complex plane a.k.a the s plane while noting the following points. (The response) 1. Since the exponent of a larger –ve real number decays faster, systems with roots located farther on the left hand plane (LHP) from the imaginary axis will decay more faster and will be stable. 2. If the roots have zero real part and only imaginary part the system will be naturally stable. 3. If the roots have zero imaginary part the response will not oscillate & vice versa (critically & overdamped systems) 4. The oscillatory nature, natural frequency and response time depends on the values of m, c and k in the system. Whereas, the amplitude and phase depends on the initial conditions applied to the system.
  • 40.
    trivial Real +ve rootsnever decay (unstable) Real –ve roots always decay (stable) (critically & overdamped systems real repeated & real distinct roots i.e. no imaginary part non oscillating) only imaginary roots ωn = high (free undamped) ωn = low (free undamped) Represents location of the root Complex roots (underdamped cases)
  • 41.
  • 42.
    Undamped Free VibrationResponse • The vibrations take place in the absence of external excitation (displacement or force). • The vibrations take place in the absence of damping. • Due to the absence of damping, it becomes an ideal case of vibration in which the amplitude of vibration can never diminish with time. • The analysis of free undamped vibrations offers the determination of the natural frequency modes of the system. FBD = EOM: (from Newton’s second law of motion (∑F = mẍ)) ) Characteristic equation CE ms2 + k = 0 (algebraic equation) (roots/eigenvalues/characteristic values) (2nd order homogeneous linear DE) with ẍ = s2, ẋ = s & x = 1 General solution (for complex roots) Quadratic formula 𝑠𝑠 = −𝑏𝑏 ∓ 𝑏𝑏2 − 4𝑎𝑎𝑎𝑎 2𝑎𝑎 aẍ + bẋ + cx = 0 Here a = m, b = 0 & c = k 𝑠𝑠 = ∓ −4𝑚𝑚𝑚𝑚 2𝑚𝑚 = ± − 𝑘𝑘 𝑚𝑚 = ±𝑖𝑖𝜔𝜔𝑛𝑛 Using e±iωt = cosωt ± isinωt Initial conditions ẋ(t) = -ωnA1sinωnt + ωnA2cos ωnt x(t=0) = xo , ẋ(t=0) = ẋo Therefore, A1 = xo , A2 = 𝑥𝑥̇𝑜𝑜 𝜔𝜔𝑛𝑛 Finally, Natural frequency!! Prof. Dr. Murtuza (NEDUET)
  • 43.
    A1 = Acosφ& A2 = Asinφ From the components of A we have: Therefore, We can also write as follows: x(t) = Acosωntcosφ +Asinωntsinφ We can also represent this motion using sin function as follows if wanted: Where A = Ao & NOTE: In case of Aosin (ωnt + φo) Where φo = 𝜋𝜋 2 -φ Since we know that every harmonic motion can be decomposed into sin and cos components Prof. Dr. Murtuza (NEDUET)
  • 44.
    Suppose we havean oscillating spring-mass system in vertical direction: We know that: W = mg = k xst k = mg/ xst & ωn = (k/m)1/2 Which implies ωn = (g/xst )1/2 & τ = 2π(xst/g)1/2 i.e. we do not need to know the values of spring stiffness and mass in order to find out the natural frequency and time period of the vibration of 1 DOF systems when the mass oscillates in vertical direction. We only need their static deflection xst = static deflection of the spring due to gravity. Also, Prof. Dr. Murtuza (NEDUET)
  • 45.
    Undamped Free VibrationResponse (rotation) • All conditions of translational case are valid • The difference lies in terms of displacement, unlike the translational case the displacement in torsional systems is angular (θ). • The restoring force is in terms of moment (torsion) of an elastic member (shaft) or unbalance couple. FBD EOM: (Newton’s second law of motion in angular format) (∑M = JoӪ) (2nd order homogeneous linear DE) The solution is identical to the translational system. General solution: Initial conditions θ(t = 0) = θo , ӫ(t=0) = ӫo Therefore, Finally, θ(t) = θocosωnt + (ӫ/ωn)sinωnt Note this solution also represents harmonic motion h = disc thickness ρ = disc density D = disc diameter W = disc weight g = gravity Prof. Dr. Murtuza (NEDUET)
  • 46.
    Free Damped VibrationResponse • Excitation is applied only once. • Some viscous damping using a piston-cylinder dashpot is introduced. • This damping has ability to restrict the amplitude of vibration by dissipating the energy. • It is not a conservative system anymore. EOM: FBD x (Newton’s second law of motion ∑F = mẍ) Characteristic Equation: ms2 + cs + k = 0 Solution: x = Cest Roots: (satisfies the diff equation) Since we have two roots we can write: Since addition of solutions is also a solution. The above equation is the general solution of the free damped translational systems. Also by putting values of s1 & s2 in (1): (1) Prof. Dr. Murtuza (NEDUET)
  • 47.
    The Critical DampingConstant and Damping Ratio • The critical damping constant (cc) is defined as the value of the damping constant for which the radical in the general solution becomes zero. • For any damped system the ratio of the damping constant to the critical damping constant is defined as the damping ratio (ζ) Mathematical manipulation: ζ2mωn/2m = ζωn Recall, s1,2 = (where ω2 n = k/m) (roots in terms of damping ratio) So the solution can be rewritten as: NOTE: The nature of the roots and hence the behavior of the solution of free damped vibrational systems depends on the amount of damping present in the system. It can be seen that for ζ = 0 the solution reduces to the case of free undamped vibrations. Zeta = Prof. Dr. Murtuza (NEDUET)
  • 48.
    Case 1) UnderdampedSystem (ζ< 1) • It is very important case in mechanical vibrations because it is the only case which produces oscillatory motion of the mass with consideration of damping. If ζ < 1 Recall, Solution can be rewritten as: (√-1 = i) (taking e-ζωnt common) Using Aeiθ = Acosθ + Aisinθ & collecting cos and sin terms (merge C1 & C2) Examples • Systems with light damping •Pendulums • Guitar string • Shock absorbers Prof. Dr. Murtuza (NEDUET)
  • 49.
    x(t = 0)= xo & ẋ(t = 0) = ẋo NOTE: ẋ(t) = d/dt(x(t)) = d/dt (uv) Particular solution of free damped vibration response: Initial conditions • Above equation represent free damped harmonic motion with damped frequency ωd. • The negative exponential indicates that this type of vibration is decaying wrt time and thus is stable. • ωd is called the damped natural frequency of the system. • ωd is always less than natural frequency ωn. Prof. Dr. Murtuza (NEDUET)
  • 50.
    Graphical Representation ofFree Damped Vibration Response • The amplitude continuously and exponentially decreases with time untill it becomes zero. • Such a real vibration response can be measured/recorded by using a vibration sensor like piezoelectric accelerometer or a MEMS based accelerometer. Prof. Dr. Murtuza (NEDUET)
  • 51.
    Also, Calculating X andφ or Xo and φo cos(A-B) = cosAcosB + sinAsinB {Dcos(ωnt) + Esin(ωnt)} (C’ 1 = Xcosφ & C’ 2 = Xsinφ) Prof. Dr. Murtuza (NEDUET)
  • 52.
    Case 2) CriticallyDamped System (ζ = 1) Roots in terms of damping ratio are: If ζ = 1 S1,2 = -ωn (Real repeated roots) When the roots of the characteristic equation are real & repeated the solution is: ẋ(t) = -ωn (C1+C2t)e-ωnt + C2e-ωnt and NOTE: ẋ(t) = d/dt(x(t)) = d/dt (uv) C1 = xo & C2 = ẋo + xo ωn Initial conditions: x(t = 0) = xo & ẋ(t = 0) = ẋo Final sol is: • This solution/motion is aperiodic i.e. (nonperiodic) • The motion will diminish to zero coz e-ωnt 0 if t ∞ • The mass comes to rest in shortest possible time. • Due to –ve exponential this motion also decays with time. Examples •Large guns • Mechanical Lifts • Control systems • Speedometer needle • Shock absorbers Note: From the sol of underdamped case (above eq) we can consider ζ 1 than ωn 0 (no oscillations for critical damping), cos ωdt 1 and sin ωdt ≈ωdt (very small angle). Than C1 = C’ 1 & C2 = C’ 2 ωd. So we can write: x(t) = (C1+C2t)e-ωn t Prof. Dr. Murtuza (NEDUET)
  • 53.
    Case 3) OverdampedSystem (ζ >1) Examples • Door closers • Systems with heavy damping. If ζ > 1 the roots will be real and distinct General solution: Initial conditions: x(t = 0) = xo & ẋ(t = 0) = ẋo & + x(t) = Solution is NOTE: ẋ(t) = d/dt(x(t)) & solve simultaneously. Prof. Dr. Murtuza (NEDUET)
  • 54.
    Graphical Display ofUndamped, Underdamped, Critically damped and Overdamped Vibrations. O • ωd < ωn • τd > τ Prof. Dr. Murtuza (NEDUET)
  • 55.
    The Logarithmic Decrement •It represents the natural logarithm of the ratio of two consecutive amplitudes that are one cycle apart during a free damped vibration. • It represents the rate at which the amplitude of a free damped vibration decreases in time. • Due to logarithmic decrement the amount of damping in the system can be estimated experimentally. We know that underdamped response can be written as follows: For two different amplitudes that are one cycle apart we can write: From figure: t2 = t1 + τd & τd = 2π/ωd cos(ωdt2 – φo) = cos(ωd(t1+ τd) – φo) = cos(ωdt1+ 2π – φo) Since cos(θ) = cos(θ +2π) cos(ωdt2 – φo) = cos(ωdt1 – φo) Prof. Dr. Murtuza (NEDUET)
  • 56.
    Therefore = e-ζωnt1/ e-ζωnt1. e-ζωnτd Taking ln both sides: Finally, • We can measure the amplitudes x1 and x2 experimentally using vibration sensors and estimate the amount of damping present by calculating the damping ratio zeta ζ. • When ζ = 1 the decrement is large & when ζ = 0 there is no decrement (no damping). • Note for ζ << 1 ζ2 can be neglected and we can write δ ≈ 2πζ. ζ δ Prof. Dr. Murtuza (NEDUET)
  • 57.
    Torsional Vibration withDamping Fluid ct ct = Torsional viscous damping constant Jo = Moment of inertia of disk abt its center. kt = torsional stiffness of the system. FBD EOM: (∑T = JӪ) The DE is same as in case of translation only x is replaced by θ. Also for torsional case: Since the form of the DE in case of torsional systems remains the same as in case of translational systems therefore all solutions established for the case of translational systems are also valid for torsional damped vibrational response. Prof. Dr. Murtuza (NEDUET)
  • 58.
    Chapter 5 (Two Degree-of-Freedom Systems) MechanicalVibrations by S. S. Rao (5th Edition)
  • 59.
    Two Degrees ofFreedom • Systems that require 2 kinematically independent coordinates to describe completely the motion of each point in the system are called 2 DOF systems.
  • 60.
    Two Degrees ofFreedom 𝑵𝑵𝑵𝑵. 𝒐𝒐𝒐𝒐 𝑫𝑫𝑫𝑫𝑫𝑫𝑫𝑫 𝒐𝒐𝒐𝒐 𝒕𝒕𝒕𝒕𝒕𝒕 𝒔𝒔𝒔𝒔𝒔𝒔𝒔𝒔𝒔𝒔𝒔𝒔 = 𝑁𝑁𝑁𝑁. 𝑜𝑜𝑜𝑜 𝑚𝑚𝑚𝑚𝑚𝑚𝑚𝑚𝑚𝑚𝑚𝑚 𝑖𝑖𝑖𝑖 𝑡𝑡𝑡𝑡𝑡 𝑠𝑠𝑠𝑠𝑠𝑠𝑠𝑠𝑠𝑠𝑠𝑠 × 𝑛𝑛𝑛𝑛. 𝑜𝑜𝑜𝑜 𝑝𝑝𝑝𝑝𝑝𝑝𝑝𝑝𝑝𝑝𝑝𝑝𝑝𝑝𝑝𝑝 𝑡𝑡𝑡𝑡𝑡𝑡𝑡𝑡𝑡𝑡 𝑜𝑜𝑜𝑜 𝑚𝑚𝑚𝑚𝑚𝑚𝑚𝑚𝑚𝑚𝑚𝑚 𝑜𝑜𝑜𝑜 𝑒𝑒𝑒𝑒𝑒𝑒𝑒 𝑚𝑚𝑚𝑚𝑚𝑚𝑚𝑚 • EOMs are in the form of coupled differential equations (i.e., all equations involve all coordinates). This is also called coordinate coupling. • We assume harmonic motion for each generalized coordinate. For example, if we have 2 generalized coordinates 𝑥𝑥1, 𝑥𝑥2 , then these 2 can be expressed as: 𝑥𝑥1 = 𝑋𝑋1 cos 𝜔𝜔𝜔𝜔 + 𝜙𝜙 , 𝑥𝑥2 = 𝑋𝑋2 cos 𝜔𝜔𝜔𝜔 + 𝜙𝜙 • 2 natural frequencies, 2 normal/principal/natural modes • Principal coordinates (decoupled/uncoupled EOMs)
  • 66.
    Coordinate Coupling • Ina 2-DOF system, the motion of one mass depends on the motion of the other mass. • Mathematically, this dependence can be seen in the 2 equations of motion where both generalized coordinates appear in each equation. This is known as coordinate coupling, and the equations of motion are coupled. • In the most general case, the equations of motion of a 2-DOF system undergoing free undamped vibration can be written in matrix form as: 𝑚𝑚11 𝑚𝑚12 𝑚𝑚21 𝑚𝑚22 ̈ 𝑥𝑥1 ̈ 𝑥𝑥2 + 𝑘𝑘11 𝑘𝑘12 𝑘𝑘21 𝑘𝑘22 𝑥𝑥1 𝑥𝑥2 = 0 0 • If the choice of generalized coordinates is such that the stiffness matrix is non-diagonal, the coupling that exists is called elastic/static coupling. • If the choice of generalized coordinates is such that the mass matrix is non-diagonal, the coupling that exists between the coordinates is called mass/inertial coupling. • If the choice of generalized coordinates is such that the damping matrix is non-diagonal, the coupling that exists between the coordinates is called velocity/damping coupling.
  • 67.
    Coordinate Coupling • Bothmass coupling and velocity coupling come under the heading of dynamic coupling. So, basically there are 2 types of coordinate coupling (i.e., static and dynamic coupling). Dynamic coupling has 2 further subtypes (i.e., mass and velocity coupling). • The choice of coordinates is a mere convenience. Whichever set of generalized coordinates you select for the equations of motion, the system’s natural frequencies will come out to be the same.
  • 68.
    Principal Coordinates • Ifthe choice of generalized coordinates is such that neither inertial coupling exists (i.e., the mass matrix is diagonal), nor static coupling exists (i.e., the stiffness matrix is also diagonal), then these generalized coordinates are called principal or natural coordinates. • When principal or natural coordinates are used, the 2 equations of motion no longer remain coupled (simultaneous). Therefore, they can be solved independently.
  • 69.
    Important Formulae forEquations of Motion of Rigid Bodies in Planar Motion (i.e., Motion in 𝑥𝑥 − 𝑦𝑦 Plane) 1. � 𝐹𝐹𝑥𝑥 = 𝑚𝑚 𝑎𝑎𝐺𝐺 𝑥𝑥 2. � 𝐹𝐹𝑦𝑦 = 𝑚𝑚 𝑎𝑎𝐺𝐺 𝑦𝑦 3. � 𝑀𝑀𝐺𝐺 = 𝐽𝐽𝐺𝐺 ̈ 𝜃𝜃 4. � 𝑀𝑀𝑂𝑂 = 𝐽𝐽𝑂𝑂 ̈ 𝜃𝜃 5. � 𝑀𝑀𝑃𝑃 = 𝐽𝐽𝑃𝑃 ̈ 𝜃𝜃 + ̅ 𝑥𝑥𝑚𝑚 𝑎𝑎𝑃𝑃 𝑦𝑦 − � 𝑦𝑦𝑚𝑚 𝑎𝑎𝑃𝑃 𝑥𝑥
  • 70.
    Important Formulae forEquations of Motion of Rigid Bodies in Planar Motion (i.e., Motion in 𝑥𝑥 − 𝑦𝑦 Plane) 𝑎𝑎𝐺𝐺 𝑥𝑥 : 𝑥𝑥 − component of acceleration of the center of gravity of the rigid body 𝑎𝑎𝐺𝐺 𝑦𝑦 : 𝑦𝑦 − component of acceleration of the center of gravity of the rigid body ∑ 𝑀𝑀𝐺𝐺 : summation of all moments about the center of gravity G 𝐽𝐽𝐺𝐺 : mass moment of inertia about an axis passing through the center of gravity G ∑ 𝑀𝑀𝑂𝑂 : summation of all moments about a fixed point O in the rigid body 𝐽𝐽𝑂𝑂 : mass moment of inertia about an axis passing through point O ∑ 𝑀𝑀𝑃𝑃 : summation of all moments about a non-fixed point P in the rigid body ̅ 𝑥𝑥 : distance along the 𝑥𝑥 − axis between P and G during rotation � 𝑦𝑦 : distance along the y − axis between P and G during rotation 𝑎𝑎𝑃𝑃 𝑥𝑥 : 𝑥𝑥 − component of acceleration of point P 𝑎𝑎𝑃𝑃 𝑦𝑦 : y − component of acceleration of point P
  • 71.
    Chapter 8 (Continuous Systems) MechanicalVibrations by S. S. Rao (5th Edition)
  • 72.
    Introduction • Continuous systemsare also called distributed systems. • Mass, stiffness and damping have a continuous distribution throughout the vibratory system • They are not concentrated at certain discrete points in the system • Continuous systems have infinite no. of degrees of freedom, and hence infinite number of natural frequencies and corresponding mode shapes. • Equations of motion are partial differential equations (PDEs). • Examples of continuous systems are: • Transverse vibration of a string/cable • Longitudinal vibration of a bar/rod • Torsional vibration of a shaft/rod • Lateral/transverse vibration of beams • Vibration of membranes
  • 73.
    Wave Equation • Thewave equation we will be dealing with is: 𝑐𝑐2 𝜕𝜕2 𝑤𝑤 𝜕𝜕𝜕𝜕2 = 𝜕𝜕2 𝑤𝑤 𝜕𝜕𝑡𝑡2 • This is a PDE which is: • 1-dimensional (because 𝑤𝑤(𝑥𝑥, 𝑡𝑡) depends on 1 space variable only) • linear (because the coefficients of partial derivatives are constants and not function of 𝑤𝑤, and no higher powers of partial derivatives are present) • 2nd order (because 2nd derivatives are present) • This wave equation governs: • Sound waves/pressure waves • Transverse vibration of strings/cables/long cylinders and pipes (used in offshore rigs)
  • 74.
    Condition Monitoring (Vibration Nomograph) •Vibrations can cause adverse effects on machines, structures & humans. • Complete suppression of vibrations may be very costly therefore designs are based on acceptable levels of vibrations. • The acceptable levels of vibrations are usually shown on a graph called Vibration Nomograph. (1) (2) Taking ln both sides of 1 & 2: (3) (4) Eq 3 & 4 represents straight lines with +ve & -ve slopes respectively: • In a nomograph the x-axis is frequency while the y-axis represents the velocity. • Thus, every point on a nomograph represents a harmonic vibration. Since vibrations imparted to machines and humans can be composed of different frequencies RMS values are considered.
  • 76.
    An automobile hasa mass of 1000 kg and a stiffness of 400 kN/m. If it hits a bump that is 0.1 mm high, it will undergo a sinusoidal vibration. Assuming that the bump corresponds to the rms value of the displacement, find out the velocity and acceleration using the nomograph. Is this vibration felt by the passengers? Suggest means of reducing the vibration.
  • 78.
    Rotating Unbalance • Anyrotating machine that possesses an unbalanced mass within its rotor will produce inertial force (centrifugal force) that will cause the machine to vibrate unnecessarily. • Therefore, in general, rotating unbalance is unwanted. However, there can be cases for instance a shake table that can be designed to operate with a rotational unbalance in order to generate vibrations that can be used for testing purposes. • Rotating unbalance can cause both displacement transmissibility and force transmissibility which needs to be isolated properly. FBD Indicates two unbalance rotating masses (m/2) in opposite directions (to cancel the horizontal components of the centrifugal force). Actually machines placed on foundations are vertical systems and can be confined to vibrate only in vertical direction. e is the eccentricity of unbalanced masses measured from the center of the rotor. M is the mass of the machine.
  • 79.
    Note that thetotal vertical component of the centrifugal force is : F(t) = meω2sinωt θ = ωt Since this force causes the machine of mass (M) to vibrate. EOM: (∑F = Mẍ) F(t) – kx – cẋ = Mẍ Mẍ + cẋ +kx = F(t) = meω2sinωt = Fosinωt (1) Eq (1) is same as the equation of damped forced vibrations. Therefore, the response also remains the same. = where,
  • 80.
    After multiply bothsides by M, taking k common from denominator and using r = ω/ωn , 1/ωn 2 = M/k and cω/k = 2ζr we can get: The magnitude of the maximum force transmitted due to rotating unbalance is:
  • 81.
    • At ornear resonance the amplitude due to rotating unbalance tends to reach its maximum. (peaks occurs to the right of r = 1.) • Irrespective of damping the amplitude of rotating unbalance reaches 1 if r reaches higher values (i.e. speed of the machine increases. • For ζ = 1 the amplitude of rotating unbalance is minimum relative to underdamped cases. (MX/me < 1) • At or near resonance ζ must be increased in order to reduce the amplitude of rotating unbalance. Note:
  • 82.
    Forced Vibrations • Forcedvibrations are vibrations where an external excitation in form of (force or displacement) is continuously applied to the system. • Examples are vibrations due to rotating unbalance of machines, earthquake, an automobile or an aircraft traveling on an uneven road/runway, vibration testing & experiments & vibration measurements (sensor applications). • The governing DE will be linear, second order & non homogenous whose general solution is composed of two parts (1) homogenous solution (which will decay with time and hence is transient) (2) particular solution which will be steady in time and is due to the applied excitation. •In forced vibration cases we therefore seek the particular solution only. • The external excitation can be harmonic, non harmonic but periodic, transient or random in time. • If the applied excitation is harmonic the response will essentially be harmonic. Forging process (forced vibrations) Homogenous sol (transient decay) Particular sol (steady state) General solution (sum) Building vibration measurements with accelerometer (forced vibrations) Accelerometer Prof. Dr. Murtuza (NEDUET)
  • 83.
    Undamped Harmonic ForcedVibration Response FBD Newton’s 2nd law for translation (∑F = mẍ) (F(t) = Fo cosωt) mẍ + kx = F(t) Since the excitation is harmonic the particular sol will also be harmonic with the same frequency. (i.e. a constant X multiplied by cosωt) Homogenous DE will be: mẍ + kx = 0 General solution is: (1) ẋp = -Xωsinωt, ẍp = -Xω2cosωt & x = Xcosωt Put ẍ & x in (1) and solve for X where Fo/k = δst = static deflection under Fo. ω/ωn = r = frequency ratio. The general solution Prof. Dr. Murtuza (NEDUET)
  • 84.
    Let the initialconditions be: x(t=0) = xo & ẋ(t=0) = ẋo ẋ(t) = C2 ωncosωnt - C1 ωnsinωnt - ωFosinωt/(k-mω2) we get: & Finally the sol is: Where, Also, • X/δst = Magnification Factor • ω/ωn = r = Frequency Ratio Prof. Dr. Murtuza (NEDUET)
  • 85.
    Case No. 1(0 < r < 1) • If r is greater than 0 but less than 1 the denominator of X/δst = 1/(1-r2) will be +ve or in other words X/δst will be +ve. • The response x(t) = Xcosωt will be exactly in phase with the applied excitation F(t).  Note that in phase means both the applied excitation and the response will reach their maximum & minimum values together in time. 0< r <1 Prof. Dr. Murtuza (NEDUET)
  • 86.
    Case No. 2(r > 1) • When r is greater than 1 the denominator of X/δst = 1/(1-r2) will become -ve or in other words X/δst will be -ve. • The response is now given by x(t) = - Xcosωt. • The response x(t) is now 180o out of phase with the excitation F(t). r > 1 • Note 180o out of phase means that when F(t) will be +ve X will be –ve and vice versa. However both quantities will still reach their maximum and minimum at same time • Also note that as r increases i.e. r ∞ X 0. • Therefore, response to harmonic excitations of very high frequency is close to zero. X tends to zero as r increases. Good in terms of vibration. !! Prof. Dr. Murtuza (NEDUET)
  • 87.
    Case No. 3(r = 1) • When r is equal to 1 this means excitation frequency is exactly equal to system’s natural frequency (i.e. Resonance). • If resonance will occur the amplitude X will become infinite. (to be avoided) r =1 Lets find the equation of the response x(t) at resonance: (previously) Rearranging and using: 𝑥 𝑡 = 𝑥𝑜𝑐𝑜𝑠𝜔𝑛𝑡 − 𝐹𝑜 𝑘−𝑚𝜔2 cosωnt + 𝑥𝑜 𝜔𝑛 𝑠𝑖𝑛𝜔𝑛𝑡 + 𝐹𝑜 𝑘−𝑚𝜔2 𝑐𝑜𝑠ω𝑡 Note that if ω = ωn the last term gets theoretically infinity (indefinite). Prof. Dr. Murtuza (NEDUET)
  • 88.
    • In orderto remove the indefinite form of x(t) we can estimate the form of the last term as a limit ω ωn. • Using L’ Hospital rule we can write as follows. Therefore, finally for r =1 the response can be written as: It can be seen that the response increases linearly with time. Plot of Prof. Dr. Murtuza (NEDUET)
  • 89.
    Damped Harmonic ForcedVibration Response FBD • Harmonic force excitation is applied. • A viscous damper is also implemented now. EOM (using Newton’s 2nd law for translational systems (∑F = mẍ) Since excitation is harmonic according to the method of undetermined coefficients the particular solution (response) will also be harmonic 𝑥𝑝 𝑡 = −𝑋𝜔 sin 𝜔𝑡 − φ & 𝑥𝑝 t = −𝑋𝜔2 cos(𝜔𝑡 − 𝜑) (1) Put in (1) Using trigonometric formulas and substituting in eq (2): (2) Prof. Dr. Murtuza (NEDUET)
  • 90.
    Comparing coefficients ofcosωt & sinωt: (3) (4) S.B.S of eq (3) & (4) use ((a+b)2 formula) & add them: & • Notice that the lag in the response is due to the damping present in the system i.e. if c = 0 φ = 0 the response will again become in phase with the excitation force (undamped forced vibrations) • Therefore, it is concluded that due to damping present the response of damped forced vibrations will lag the excitation input by an amount φ. X X + -X + X 2 Eqs and 2 unknowns For φ use Eq 4. Prof. Dr. Murtuza (NEDUET)
  • 91.
    Taking k ascommon and using following substitutions we can write: ωn = (k/m)1/2 , c = 2ζmωn , δst = Fo/k , r = ω/ωn , X/δst = M (magnification factor) [(1-mω2/k)2 + c2ω2/k2]1/2 /k = = M As before, the variation of magnification factor M with the frequency ratio r is important for damped forced vibrations: Therefore, Therefore, for damped forced vibrations we have: M Note: From dM/dr =0 we get Mmax @ r = (1-2ζ2)1/2 Prof. Dr. Murtuza (NEDUET)
  • 92.
    From the graphof M vs r following points can be noticed: • At ζ = 0 (undamped case) amplitude ratio M increases infinitely at r = 1 (resonance). • For critical & overdamped cases amplitude ratio M always decreases with increasing values of r. • So underdamped cases (ζ < 1) are more important in case of forced vibrations. • For any specified value of r higher value of ζ will generate smaller amplitude ratio. • Amplitude ratio M can be made small (approaches 0) when r tends to ∞ for any value of ζ. • If 0 < ζ < 1/√2 the maximum value of amplitude ratio M occurs at r = (1-2ζ2)1/2. (from dM/dr = 0) (this means the peak value of the amplitude will not occur at r =1 when 0 < ζ < 1/√2 )) • The peak value Mmax occurs when 0 < ζ < 1/√2. • If 0 < ζ < 1/√2 and r = 1 M = 1/2ζ. (i.e. not equal to Mmax) • Note that if ζ = 1/√2 than r = 0 & M = 1. • For ζ > 1/√2 amplitude ratio M monotonically decreases (i.e. it never tries to increases). Prof. Dr. Murtuza (NEDUET) Notes: • During forced vibration testing of structures, if we can measure maximum amplitude i.e. Mmax we can estimate the amount of damping present in the system and vice versa. • Amplitude ratio M cannot be less than 1 at r = 1or near 1 and ζ < 1 (underdamped) that is why no curves for underdamped case including 1/√2 are shown.
  • 93.
    Sometimes the knowledgeof phase angle becomes important to measure and/or interpret through vibration analyzers (sensors). This is specially the case when no significant information from the amplitude ratio is received. Prof. Dr. Murtuza (NEDUET) • If 0 < r < 1, ζ = 0 𝑡ℎ𝑒𝑛 𝜙 = 0 • If r > 1, ζ = 0 𝑡ℎ𝑒𝑛 𝜙 = 180o • At r =1 (resonance), ζ = 0 then 𝝓 = 90o • If 0 < r < 1, ζ > 0 then 0 < 𝜙 < 90o (response lags excitation) • If r > 1, ζ > 0 then 90o < 𝜙 < 180o (response leads the excitation) • For ζ > 0 and r >> 1 response and excitation will be out of phase.
  • 94.
    Total Solution/Response: Since atζ ≥ 1 the response is relatively small even at or near resonance if compared to the underdamped case, the total solution or response of damped forced vibrations is crucial during underdamped cases. Therefore, Where, xo & ẋo are initial displacement and initial velocity respectively. Note: X & φ have been already determined on previous slides. Prof. Dr. Murtuza (NEDUET)
  • 95.
    Isolators = Springs+ Dampers Undamped Spring Mount Pneumatic Rubber Mount Damped Spring Mount A press mounted on four pneumatic rubber mounts VIBRATION ISOLATION Vibration isolation means to design isolators i.e. springs and/or dampers in such a way that an object/equipment can be protected from the harmful effects of vibrations (large amplitudes and transmission forces) Prof. Dr. Murtuza (NEDUET)
  • 96.
    Harmonic Base Excitation •The vibrations are being transmitted to the structure through the excitation of the base or support. • Ex: vehicle vibrations due to rough road, earthquake, sensors attachment, camera attached to a fighter jet or a vehicle & a machine placed on a floor that is vibrating. • Actually, displacement and force both will be transmitted through base excitations. • This problem is also known as vibration isolation (except the sensor applications). ẍ net effect EOM: (∑F = mẍ) - c(ẋ-ẏ) – k(x-y) = mẍ Note we must select the signs of x and y such that the coefficients of m c and k in the EOM remains +ve wrt the response variable (i.e. x) or We know that: y = Ysinωt & ẏ = Yωcosωt (1) Put in (1) mẍ + cẋ+ kx = Asin(ωt+α) or Coz RHS of (2) represents sum of two harmonic motions (2) ẍ Prof. Dr. Murtuza (NEDUET)
  • 97.
    Recall that resultant/sumof two harmonic motions is given by: Resultant = Prof. Dr. Murtuza (NEDUET) Note: The phase difference between sin and cos components of the resultant motion 𝑋 is always 90o
  • 98.
    mẍ + cẋ+kx = Asin(ωt+α) For the sum of two harmonic motions A and α are as follows: α = tan-1 (cω/k) & Note that the unit of A is Newton (N) Therefore, mẍ + cẋ+ kx = sin(ωt+α) (3) So we can say that Eq (3) again becomes EOM of damped forced vibration. The particular solution of (3) is: xp (t) = X sin(ωt + α – φ) & or, here, Fo= Prof. Dr. Murtuza (NEDUET)
  • 99.
    • It isagain important to see that how much displacement is transferred to the structure due to the excitation of the base and what measures could be taken to reduce /isolate it. Fo= Finally, Td = X/Y is the displacement transmissibility. Td is the ratio of the amplitude of the mass to that of the base. We have, Put in above Eq. (X/Y in terms of ζ & r) Prof. Dr. Murtuza (NEDUET)
  • 100.
    • We cancontrol Td through ζ & r. • Td = X/Y increases as r tends to 1. • Td tends to infinity when ζ = 0 (undamped) @ r = 1. • Td reaches its maximum only for 0 < ζ < 1 at r = rm = (dTd/dr = 0) • For any value of ζ Td begins to decrease as r exceeds 1, it becomes unity when r = √2 and further continuously decreases if r > √2. Hence, for Td < 1 the operating region should be r > 2. Note that in this region even ξ needs not to be large. • Td is always unity when r = √2 for any value of ζ. • If r < √2 then smaller damping ratio leads to larger value of Td (not good) but if r > √2 then irrespective of damping ratio Td is always less than 1 (good). Not good to increase damping in this region. Prof. Dr. Murtuza (NEDUET)
  • 101.
    Force Transmissibility • Theproblem of base excitation also generates the problem of force transmitted to the mass through the isolators connected (i.e. due to springs and dampers attached). • In fact any vibrating structure is capable of transmitting force to its base/foundation via isolator connections. We know that for forced damped vibrations the steady response is given as follows: Differentiate twice to get ẍ = -Xω2sin(ωt-φ) and put in (1). F(t) = mXω2sin(ωt-φ) Where, F(t) = FT sin(ωt-φ) (1) F(t) = k(x-y) + c(ẋ-ẏ) = -mẍ FT = mXω2 (2) Therefore, (Max amplitude of transmitted force) - c(ẋ-ẏ) – k(x-y) = mẍ EOM: or, • Note that the transmitted force is also harmonic & it is in phase with the displacement of the mass. Prof. Dr. Murtuza (NEDUET)
  • 102.
    Recall eq (2):FT = mXω2 For forced damped vibrations X is: and for the base excitation we have: Fo= Put above values in eq (2): mω2 FT = After taking k common from the numerator and denominator and substituting m/k = 1/ωn 2 , cω/k = 2ζr and r = ω/ωn we can write the above equation as follows: The ratio FT/k Y is known as the force transmissibility and is due to the motion of the base. Prof. Dr. Murtuza (NEDUET)
  • 103.
    • Unlike thedisplacement transmissibility (X/Y) the force transmissibility (FT/k Y) does not necessarily decreases if r > √2. • For critically damped systems FT/k Y continuously increases with r. (drive slow on rough tracks!) • FT/k Y reaches infinity near resonance if ζ is small. • if r > √2 then ζ must remain small (ζ ≤ 0.2) to reduce the force transmissibility. • FT/k Y reaches 1 if ζ reaches 0. • The best way to reduce force transmissibility FT/k Y irrespective of ζ is to keep r low (i.e. keep r near 0) • During base excitation we need to have a compromise b/w the force transmissibility & displacement transmissibility Prof. Dr. Murtuza (NEDUET)
  • 104.
    An 82 kgmachine tool is mounted on an elastic foundation. An experiment is run to determine the stiffness and damping of the foundation. When the tool is excited with a harmonic force of 800 N at different frequencies, the maximum steady state amplitude was recorded to be 4.1 mm at a frequency of 40 Hz. Calculate the stiffness and damping constant of the foundation.
  • 105.
  • 106.
    Isolators = Springs+ Dampers Undamped Spring Mount Pneumatic Rubber Mount Damped Spring Mount A press mounted on four pneumatic rubber mounts VIBRATION ISOLATION Vibration isolation means to design isolators i.e., springs and/or dampers in such a way that an object/equipment can be protected from the harmful effects of vibrations (large amplitudes and transmission forces)
  • 107.
    Harmonic Base Excitation •The vibrations are being transmitted to the structure through the excitation of the base or support. • Ex: vehicle vibrations due to rough road, earthquake, sensors attachment, camera attached to a fighter jet or a vehicle & a machine placed on a floor that is vibrating. • Actually, displacement and force both will be transmitted through base excitations. • This problem is also known as vibration isolation (except the sensor applications). ẍ net effect EOM: (∑F = mẍ) - c(ẋ-ẏ) – k(x-y) = mẍ Note we must select the signs of x and y such that the coefficients of m c and k in the EOM remains +ve wrt the response variable (i.e. x) or We know that: y = Ysinωt & ẏ = Yωcosωt (1) Put in (1) mẍ + cẋ+ kx = Asin(ωt+α) or Coz RHS of (2) represents sum of two harmonic motions (2) ẍ
  • 108.
    Recall that resultant/sumof two harmonic motions is given by: Resultant =
  • 109.
    mẍ + cẋ+kx = Asin(ωt+α) For the sum of two harmonic motions A and α are as follows: α = tan-1 (cω/k) & Note that the unit of A is Newton (N) Therefore, mẍ + cẋ+ kx = sin(ωt+α) (3) So we can say that Eq (3) again becomes EOM of damped forced vibration. The particular solution of (3) is: xp (t) = X sin(ωt + α – φ) & or, here, Fo=
  • 110.
    • It isagain important to see that how much displacement is transferred to the structure due to the excitation of the base and what measures could be taken to reduce /isolate it. Fo= Finally, Td = X/Y is the displacement transmissibility. Td is the ratio of the amplitude of the mass to that of the base. We have, Put in above Eq. (X/Y in terms of ζ & r)
  • 111.
    • We cancontrol Td through ζ & r. • Td = X/Y increases as r tends to 1. • Td tends to infinity when ζ = 0 (undamped) @ r = 1. • Td reaches its maximum only for 0 < ζ < 1 at r = rm = (dTd/dr = 0) • For any value of ζ Td begins to decrease as r exceeds 1, it becomes unity when r = √2 and further continuously decreases if r > √2. Hence, for Td < 1 the operating region should be r > 2. Note that in this region even ξ needs not to be large. • Td is always unity when r = √2 for any value of ζ. • If r < √2 then smaller damping ratio leads to larger value of Td (not good) but if r > √2 smaller damping ratio leads to smaller values of Td (good).
  • 112.
    Force Transmissibility • Theproblem of base excitation also generates the problem of force transmitted to the mass through the isolators connected (i.e. due to springs and dampers attached). • In fact any vibrating structure is capable of transmitting force to its base/foundation via isolator connections. We know that for forced damped vibrations the steady response is given as follows: Differentiate twice to get ẍ = -Xω2sin(ωt-φ) and put in (1). F(t) = mXω2sin(ωt-φ) Where, F(t) = FT sin(ωt-φ) (1) F(t) = k(x-y) + c(ẋ-ẏ) = -mẍ FT = mXω2 (2) Therefore, (Max amplitude of transmitted force) - c(ẋ-ẏ) – k(x-y) = mẍ EOM: or, • Note that the transmitted force is also harmonic & it is in phase with the displacement of the mass.
  • 113.
    Recall eq (2):FT = mXω2 For forced damped vibrations X is: and for the base excitation we have: Fo= Put above values in eq (2): mω2 FT = After taking k common from the numerator and denominator and substituting m/k = 1/ωn 2 , cω/k = 2ζr and r = ω/ωn we can write the above equation as follows: The ratio FT/k Y is known as the force transmissibility and is due to the motion of the base.
  • 114.
    • Unlike thedisplacement transmissibility (X/Y) the force transmissibility (FT/k Y) does not necessarily decreases if r > √2. • For critically damped systems FT/k Y continuously increases with r. (drive slow on rough tracks!) • FT/k Y reaches infinity near resonance if ζ is small. • if r > √2 then ζ must remain small (ζ ≤ 0.2) to reduce the force transmissibility. • FT/k Y reaches 1 if ζ reaches 0. • The best way to reduce force transmissibility FT/k Y irrespective of ζ is to keep r low (i.e. keep r near 0) • During base excitation we need to have a compromise b/w the force transmissibility & displacement transmissibility
  • 115.
    In a 1DOFunderdamped forced vibration system the maximum vibration amplitude is measured to be 2 mm. If the frequency ratio is to be 0.9 find the stiffness of the isolator mechanism in terms of the excitation force. Let the amplitude of force excitation = Fo Than Xmax = 2 mm = 0.002 m. We know that for damped force vibration: M However @ M = Mmax r = (1-2ζ2)1/2 = 1 − 𝑟𝑟2 2 ζ = 1−0.92 2 ζ = 0.308 Therefore from (1): While: Mmax = Xmax/δst = Xmax/Fo/ k = Xmax k/Fo (1) 𝑘𝑘 = 𝐹𝐹𝑜𝑜 2𝑋𝑋𝑚𝑚𝑚𝑚𝑚𝑚ζ 1 − ζ2 𝑘𝑘 = 𝐹𝐹𝑜𝑜 2 × 0.002 × 0.3 1 − 0.32 k = 1.1447×10-3 Fo ANS
  • 116.
    Vibration Sensors A vibrationsensor can either measure an acceleration ( so called accelerometer) or the displacement (so called vibrometer/seismometer) of a vibrating structure. All conventional vibration sensor works on the principle of Base Excitation. Basic Construction: A vibration sensor consist of a suspended mass (inertia element) and a suspension mechanism that provides the overall stiffness (spring element) to the construction. Due to different construction materials involved, an equivalent viscous damping element is also modeled. The movement of the suspended mass can be converted into electrical signals that can be measured. Entire mechanism is enclosed in a casing. The sensor is directly attached through adhesives and/or magnets to the vibrating structure of interest. Vibration sensors are available in different ranges of frequency to be selected depending on the vibrations to be measured. Schematic Commercial sensor MEMS Vibration Sensors
  • 117.
    • It isdifficult to measure the absolute displacement of the suspended mass as it is enclosed within the sensor casing hence, for the analysis purpose, we use a relative displacement variable z such that: z = x-y EOM: kz cż FBD This is again the EOM of forced damped vibrations. Therefore: Zp(t) = Z sin(ωt-φ) Amplitude is: Dimensionless form: Z/Y =
  • 118.
    Vibration Sensor asVibrometer/Seismometer: Z/Y = • We note that for the relative displacement Z to be equal to the displacement of the base structure r has to be large (generally r ≥ 3) so that the term on the RHS of the above expression approaches unity. In this configuration the vibration sensor behaves as a vibrometer or a seismometer and is able to measure the displacement of the vibrating structure accurately. • The above discussion also means that the sensor reading can be interpreted as the displacement of the vibrating structure if the vibration frequency to be measured is at least 3 times the natural frequency of the sensor, Condition: • r ≥ 3 • ω ≥ 3ωn
  • 119.
    Where: Acceleration of sensormass = z(t) ω2 n Acceleration of base structure = ӱ(t) • In order for the sensor acceleration to be equal to the base acceleration r must be made small (generally r < 0.5) so that the coefficient of ӱ(t) on the RHS of the above expression approaches unity and we can say that the relative displacement of the sensor is proportional to the acceleration of the base structure. For accelerometers ζ is mostly taken to be 0.7 Vibration Sensor as an Accelerometer: z(t) = Z sin(ωt-φ) We know that the steady state response is given by: Putting the value of amplitude Z in above equation to get: z(t)ω2 n = Yω2sin(ωt-φ). 1/√(1-r2)2 + (2ζr)2 Now if the base is harmonically excited than ӱ(t) = - Yω2sin(ωt-φ) and we have: r = ω/ωn Z = Yr2. 1/√(1-r2)2 + (2ζr)2 ω2 n • r < 0.5 • ω < 0.5ωn • ω ≤ 0.2ωn (more precisely) Condition: • If an accelerometer has a natural frequency of 100 Hz it can effectively measure vibrations up to 20 Hz only. Accelerometers are available in wide range of frequency so we need to carefully select the best sensor for our application.