Describing Motion:
Kinematics in One Dimension
© 2014 Pearson Education, Inc.
© 2014 Pearson Education, Inc.
Table of Contents
• Definition of Kinematics and motion
• Types of motion in physics
• Dimensions of Motion
• Reference Frames
• Distance and Displacement
• Speed and Velocity
• Acceleration
• Motion at ConstantAcceleration
• Solving Problems
• Freely Falling Objects
• GraphicalAnalysis of Linear Motion
© 2014 Pearson Education, Inc.
KINEMATICS
• The general study of the relationships between
motion, forces, and energy is called mechanics. It can
be divided into the subdisciplines of kinematics,
statics, and, dynamics.
• Motion is a change in position of an object over time.
• The study of motion without regard to the forces or
energies that may be involved is called kinematics.
• The branch of mechanics that deals with both motion
and forces together is called dynamics and
• the study of forces in the absence of changes in
motion or energy is called statics.
© 2014 Pearson Education, Inc.
KINEMATICS
• Kinematics is the simplest branch of mechanics. It
describes the motion of an object with relationships
between position, velocity, acceleration, and time
without giving attention to the causes of the motion.
• Motion is a change in position of an object over time.
•
© 2014 Pearson Education, Inc.
Types of motion in physics
• Everything in the universe is in motion. However,
different objects move differently. Some objects move
along a straight line, some move in a curved path, and
some move in some other way.
There are five types of motion. Which are:
• Translational or linear motion
• Random motion
• oscillatory or vibratory motion
• Rotational motion
• circular motion
© 2014 Pearson Education, Inc.
• Translational or linear motion: It is the movement of an
object in a straight line. E.g. (1)Amoving car.
(2)Aperson pushing trolley in a supermarket from one
point to another along a straight line.
(3) Aboy going to school.
• Random motion: it is the movement of an object with no
specific direction or it is a zig-zag motion. E.g.
(1) The movement of an insect.
(2) the movement of gas molecules.
(3) the movement of woman in the market.
Types of motion in physics
© 2014 Pearson Education, Inc.
• Oscillatory or Vibratory motion: it is the movement of a
body about a fixed point repeating itself in an equal
interval of time along the same path. E.g.
(1) The to and fro movement of a swinging pendulum bob.
(2) The to and fro movement of the wings of a flying bird.
(3) The motion of a plucked guitar spring or violin.
• Rotational motion (rotate): it is the movement of an object
or body that moves in a circle or ellipse and rotates about
an axis. E.g.
1. The rotation of a fan blades about a fixed point.
2. The motion of wheel about its axis.
Types of motion in physics
© 2014 Pearson Education, Inc.
• Circular motion (circle): it is the movement of a body
or an object in a circle at a constant speed. E.g.
1. Motion of electron around the nucleus
• The difference between rotation and circular motion is :
• In circular motion the distance between the body’s
centre mass and axis of rotation is fixed.
• In rotational motion distance between the body’s centre
mass and axis of rotation is not fixed. So it changes.
• in circular motion, the body rotates around a fixed axis
that is outside the body, but in rotational motion, the
body's rotating axes are inside the body.
Types of motion in physics
© 2014 Pearson Education, Inc.
Dimensions of Motion
• One dimension
• Two dimensions
• Three dimensions
• One dimension: it refers to the motion of a body
(object, particle) in a straight line along the x, y or z
axis.
• Two dimensions: it refers to the motion of a body
(object, particle) in the x , y plane
• Three dimensions: it refers to the motion of a body
(object, particle) in the x, y and z plane
© 2014 Pearson Education, Inc.
Distance and Displacement.
• Distance is how far an object travel from its initial
position. It is the length of the path travelled by a body.
• It is a scalar quantity. Measured in meters (m)
• Displacement is how far the object is from its starting
point, regardless of how it got there.
• It is change in position. i.e. change in final position and
initial position.
• it is the distance travelled in a specified direction.
• It is a vector quantity. Measured in meters (m)
Distance and Displacement.
© 2014 Pearson Education, Inc.
Displacement
One general way of locating a particle (or particle-like object) is with a position
vector r, which is a vector that extends from a reference point (usually the origin) to the
particle. In the unit-vector notation
If a particle change it position from one point r1 to another r2. the
displacement ∆r is given by
© 2014 Pearson Education, Inc.
Speed and Velocity
• Speed:
• The rate of change of distance with time is called the
speed of the body.
• Mathematically,
• It is a scalar quantity. It unit is m/s.
• Uniform Speed:
A body is said to move with uniform speed if it covers
equal distances in equal intervals of time throughout its
motion.
• Non-Uniform or Variable Speed:
Abody is said to move at a non-uniform speed if it covers
unequal distances in the same intervals of time.
Distance(s)
speed(v) =
Time(t)
 v =
s
t
© 2014 Pearson Education, Inc.
• There are two ways to measure the speed of an object
1. average speed
2. instantaneous speed
• Average Speed: The ratio of the total distance travelled by
the body to the total time of the journey is called average
speed.
• Instantaneous Speed:
When the speed of a body changes continuously with time,
its speed at any instant is known as instantaneous speed.
(limit of average speed at time interval tends to zero)
• When a body is moving with uniform speed, then the
instantaneous speed and average speed are equal.
Speed and Velocity
Total distance travelled
total time taken
Average speed =
t→0
© 2014 Pearson Education, Inc.
v(t) = lim =
s
=
ds(t)
t dt
• Velocity: The rate of change of displacement of a body
with respect to time is called the velocity of the body.
• Mathematically,
• It is a vector quantity, its S.I. unit is m/s
• Uniform Velocity:
• When the magnitude and direction of the velocity of a body
remain the same at any instant, then the body is said to have
uniform velocity. For uniform velocity acceleration a = 0.
• Non-Uniform Velocity: When the magnitude of velocity or
the direction of velocity or both changes at any instant the
body is said to have non-uniform velocity or variable
velocity. When a body has variable velocity, then it has
acceleration. (graph rep.)
Speed and Velocity
Displacement(s)
velocity(v) =
Timetaken(t)
 v =
s
t
© 2014 Pearson Education, Inc.
• There are two ways to measure the velocity of an object
1. average velocity 2. instantaneous velocity
• Average Velocity: If the velocity of a body moving in
particular direction changes with time, then the ratio of
displacement to total time is called average velocity. or
if the initial and final velocities are known at a constant
acceleration.
• Instantaneous Velocity: For body moving with non-
uniform velocity, the velocity of the body at an instant is
called instantaneous velocity.
• in unit-vector notation
• where vx = dx/dt, vy = dy/dt, vz =dz/dt.
Speed and Velocity
dt
v(t) = lim
s
=
ds(t)
t→0 t
© 2014 Pearson Education, Inc.
2
f i f i
av
f i
s s v v
v
t t
− +
= =
−
Difference between instantaneous speed and
velocities
instantaneous speed measures how fast a particle is
moving at a particular time while instantaneous
velocity measures how fast a particle is moving in a
specific direction at a particular time
Acceleration
• The rate of change of velocity with respect to time is called
acceleration.
• It is vector quantity its S.I. unit is m/s2
• UniformAcceleration: When equal changes take place in
velocity of a body in equal interval of time, then the
acceleration is called uniform acceleration. e.g. the motion
under gravity.
• Non-uniform or Variable Acceleration: When The
change in the velocity of a body in equal interval of time is
not constant, then the acceleration is called non-uniform
acceleration.
changeinvelocity(v)
acceleration(a) =
timetaken(t)
v
t
 a =
© 2014 Pearson Education, Inc.
• AverageAcceleration: Average acceleration is defined as
the ratio of change in velocity to the change in time for a
given interval.
formula,
• where, aav is the average velocity, vi is the initial velocity,
vf is the final velocity, ti is the initial time and tf is the
final time.
• Also, if the object shows different velocities, such as v1,v2 ,v3....vn
for different time intervals such as t1,t2 ,t3...tn respectively, the
average acceleration is calculated using the following
Acceleration
=
vf − vi
© 2014 Pearson Education, Inc.
av
tf −ti
a
v + v + v +....+ v
aav = 1 2 3 n
t1 + t2 + t3 +...+ tn
• InstantaneousAcceleration:
The instantaneous acceleration is the average acceleration in
the limit as the time interval becomes infinitesimally short.
Acceleration
2
t→0
v dv(t) d2
s(t)
dt dt
=
a(t) = lim
t
=
© 2014 Pearson Education, Inc.
TUTORIAL
• Arabbit runs across a parking lot on which a set of
coordinate axes has been drawn. The coordinates
(meters) of the rabbit’s position as functions of time t
(seconds) are given by
(a)At t = 15 s, what is the rabbit’s position vector in unit vector
notation and in magnitude-angle notation?
(b) find the velocity at time t =15 s.
(c) find the acceleration at time t =15 s.
© 2014 Pearson Education, Inc.
SOLUTION
© 2014 Pearson Education, Inc.
Tutorial
•For the rabbit in the preceding sample problem, find the
velocity at time t =15 s.
© 2014 Pearson Education, Inc.
• For the rabbit in the preceding two sample problems,
find the acceleration at time t =15 s.
Tutorial
© 2014 Pearson Education, Inc.
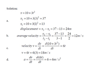
EXERCISE 1
• Atrain changes its position (x) as a function of time (t)
as follows: x = 10 +3t2, with x m.
• (a) find the displacement of the train between t1 = 1.0 s
and t2 = 3.0 s.
• (b) find the average velocity during the same interval.
• (c) find the instantaneous velocity at the time t1 = 3.0 s
• (d) find the acceleration of the train.
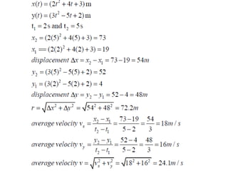
EXERCISE 2
• The position of a projectile travelling in 2D space is
given by x(t)= (2t2 + 4t + 3)m and y(t) = (3t2 – 5t + 2)m.
calculate the magnitude and direction of the projectile’s
displacement and the average velocity between time
interval t =2 s and t = 5 s.
Motion at Constant Acceleration
The average velocity of an object during a time interval t is
The acceleration is
© 2014 Pearson Education, Inc.
A particle is said to undergo a constant acceleration
motion if the rate of change of velocity is constant
throughout the motion.
if the initial and final velocities are known at a
constant acceleration.
2
f i
av
v v
v
+
=
Motion at Constant Acceleration
In addition, as the velocity is increasing at a constant
rate, we know that
(2-8)
Combining these last three equations, we find:
(2-9)
© 2014 Pearson Education, Inc.
Motion at Constant Acceleration
We can also combine these equations so as to
eliminate t:
(2-10)
We now have all the equations we need to solve
constant-acceleration problems.
(2-11a)
© 2014 Pearson Education, Inc.
(2-11b)
(2-11c)
(2-11d)
Freely Falling Objects
Near the surface of the Earth, all objects experience
approximately the same acceleration due to gravity.
This is one of the most common
examples of motion with constant
acceleration.
© 2014 Pearson Education, Inc.
FREE FALL
• fall: when something falls straight down from a top and
when something is thrown up and it comes straight down.
• in both cases there is no motion in the x-direction, it is only
in the y-direction.
• in free fall there is no air resistance and the a= g= -9.8 m/s
• When something is dropped from a height vi = 0 m/s
• when something is thrown up vf = 0 m/s (at the top)
• the velocity at which an object is thrown upward is +v m/s
• the velocity at which an object thrown up comes back is -v
m/s.
• the time it takes for an object thrown to the top = the time
taken for the object to return to the position where it was
© 2014
th
Per
ar
o
sow
n Ed
n
ucation, Inc.
Freely Falling Objects
In the absence of
air resistance, all
objects fall with
the same
acceleration,
although this may
be hard to tell by
testing in an
environment
where there is air
resistance.
© 2014 Pearson Education, Inc.
Kinematics for the VERTICAL Direction
All 3 kinematics can be used to analyze one dimensional
motion in either the X direction OR the y direction.
v=vo +at →vy =voy +gt
v2
=v2
+2a(x−x )→v2
=v2
+2g(y−y )
ox o y oy o
2 2
1 1 2
2
o oy
x=xo +voxt+ gt
at →y= y +v t+
“g” or ag – The Acceleration due to gravity
The acceleration due to gravity is a special constant that exists in a
VACUUM, meaning without air resistance. If an object is in FREE
FALL, gravity will CHANGE an objects velocity by 9.8 m/s every
second.
2
g = ag = −9.8 m / s
The acceleration due to gravity:
•ALWAYS ACTS DOWNWARD
•IS ALWAYS CONSTANT near the
surface of Earth
WORKED EXAMPLES
© 2014 Pearson Education, Inc.
WORKED EXAMPLES
© 2014 Pearson Education, Inc.
© 2014 Pearson Education, Inc.
WORKED EXAMPLES
© 2014 Pearson Education, Inc.
Examples
What do I
know?
What do I
want?
voy= 0 m/s y = ?
g = -9.8 m/s2
yo=0 m
t = 5.78 s
A stone is dropped at rest from the top of a cliff. It is
observed to hit the ground 5.78 s later. How high is the
cliff?
Which variable is NOT given and
NOT asked for?
Final Velocity!
2
o oy
y = y + v t + 1 gt2
y =
y = (0)(5.78) − 4.9(5.78)2
-163.7 m
H =163.7m
Examples
A pitcher throws a fastball with a velocity of 43.5 m/s. It is determined that
during the windup and delivery the ball covers a displacement of 2.5
meters. This is from the point behind the body when the ball is at rest to
the point of release. Calculate the acceleration during his throwing
motion.
What do I
know?
What do I
want?
vo= 0 m/s a = ?
x = 2.5 m
v = 43.5 m/s
Which variable is NOT given and
NOT asked for?
TIME
v2
= v2
+ 2a(x − x )
o o
43.52
= 02
+ 2a(2.5− 0)
a = 378.5 m/s/s
Examples
What do I
know?
What do I
want?
vo= 0 m/s t = ?
x = 35 m
a = 2.00 m/s/s
How long does it take a car at rest to cross a 35.0 m intersection after
the light turns green, if the acceleration of the car is a constant
2.00 m/s/s?
Which variable is NOT given and
NOT asked for?
Final Velocity
35 = 0 + (0) + 1
2 (2)t2
t = 5.92 s
2
2
1 at
x = xo + voxt +
Examples
What do I
know?
What do I
want?
vo= 12.5 m/s a = ?
v = 25 m/s
t = 6s
Acar accelerates from 12.5 m/s to 25 m/s in 6.0 seconds.
What was the acceleration?
Which variable is NOT given and
NOT asked for?
DISPLACEMENT
o
v = v + at
a =
25 =12.5+ a(6)
2.08 m/s/s
Kinematics and Calculus
Let’s take the “derivative” of
kinematic #2 assuming the
object started at x = 0.
dx
dt dt
ox
ox
=
v =
at )
2
1
d(v t +
2
v = vo + at
a =
dv
=
d(v0 + at)
= a
dt dt
2
x = v t + 1 at2
Projectile Motion
Projectile: Any object which is projected by some means
and continues to move due to its own inertia (mass).
Aprojectile is an object moving in two dimensions under
the influence of Earth’s gravity; its path is a parabola.
Projectile motion can be understood by analyzing the
horizontal and vertical motions separately.
Projectiles move in TWO dimensions
Since a projectile moves
in 2-dimensions, it
therefore has 2
components just like
a resultant vector.
• Horizontal and
Vertical
Horizontally Launched Projectiles
To analyze a projectile in 2 dimensions we need 2
equations. One for the “x” direction and one for the “y”
direction.And for this we use kinematic #2.
2
ox
x = v t + 1 at2
x = voxt
Remember, the velocity
is CONSTANT
horizontally, so that
means the acceleration
is ZERO!
y = 1
2 gt2
Remember that since the
projectile is launched
horizontally, the INITIAL
VERTICAL VELOCITY is
equal to ZERO.
Horizontally Launched Projectiles
What do I
know?
What I want to
know?
vox=100 m/s t = ?
y = 500 m x = ?
voy= 0 m/s
g = -9.8 m/s/s
2
102.04 = t → t = 10.1 seconds
Example: A plane traveling with a
horizontal velocity of 100 m/s is
500 m above the ground.At
some point the pilot decides to
drop some supplies to designated
target below. (a) How long is the
drop in the air? (b) How far
away from point where it was
launched will it land?
y = 1
2 gt2
→ −500 = 1
2 (−9.8)t2
x = voxt = (100)(10.1) = 1010 m
Vertically Launched Projectiles
• For the horizontal
motion x-direction
vx = vox
x = voxt
• For the vertical motion
y-direction
vy = voy − gt
2
oy
y = v t −
1
gt2
Vertically Launched Projectiles
You will still use kinematic #2, but YOU MUST use
COMPONENTS in the equation.
vo
vox
voy

x=voxt 2
oy
y=v t+ 1 gt2
ox o
v = v cos
voy = vo sin
• At the highest point
v = vx = vy = 0
• Hence,
•
Vertically Launched Projectiles
becomes
g
• This is the time to reach the maximum height, H.
• The time taken for the projectile to return to the x-axis,
is know as the time of flight T = 2t.
vy = voy − gt
0 = vo sin− gt
t =
vo sin
• To find an expression for the maximum height, H
Vertically Launched Projectiles
2 2 2 2 2 2
v2
sin2

2
v sin  v sin 
o
− o
g 2g 2g
v sin 
H = o
2g
o
y = v t −
1
gt2
g
v sin
H = vo sin o
−
g
1  v sin
2
2
g 
o

H =
 
 −
1
=
1 
o
:1
= 
2 2 

• To find an expression for the maximum horizontal
distance covered, referred to as the Range, R
x = vo x t T = 2t
• Applying Trig. Double angle identity sin 2= 2sincos
•
Vertically Launched Projectiles
g g
v sin  v 2
2 sin co s
R = vo cos 2 o
= o
v2
sin 2
R = o
g
• The trajectory; the path taken by the projectile motion
can also be derive by using the equation
• The expression shows how y and x are related
• The equation of parabola is given as
y = bx − ax2
Vertically Launched Projectiles
2
o y
y = v t −
1
gt 2

2
v cos
y = tanx −
o
y = v sin
o
x 1
v cos
−
2
g
o
x2
2v2
cos2

x
g

 
 o 
Example
 = 
A goalkeeper kicks a football with a velocity of 20.0 m/s and at
an angle of 53 degrees.
(a) How long is the ball in the air?
(b) How far away does it land?
(c) How high does it travel?
vox = vo cos
vox = 20cos53 =12.04 m/ s
voy = vo sin
voy = 20sin53 =15.97m / s
Example
Agoalkeeper kicks a
football with a velocity of
20.0 m/s and at an angle
of 53 degrees.
(a) How long is the ball in
the air?
What I know What I want
to know
vox=12.04 m/s t = ?
voy=15.97 m/s x = ?
y = 0 ymax=?
g = - 9.8
m/s/s
−15.97t = −4.9t2
→15.97 = 4.9t
2
oy
y = v t + 1 gt2
→ 0 = (15.97)t − 4.9t2
t = 3.26 s
Example
Agoalkeeper kicks a
football with a velocity of
20.0 m/s and at an angle
of 53 degrees.
(b) How far away does it
land?
What I know What I want
to know
vox=12.04 m/s t = 3.26 s
voy=15.97 m/s x = ?
y = 0 ymax=?
g = - 9.8
m/s/s
x = voxt → (12.04)(3.26) = 39.24 m
Example
Agoalkeeper kicks a football
with a velocity of 20.0 m/s
and at an angle of 53
degrees.
(c) How high does it travel?
CUTYOUR TIME IN HALF!
What I know What I want
to know
vox=12.04 m/s t = 3.26 s
voy=15.97 m/s x = 39.24 m
y = 0 ymax=?
g = - 9.8
m/s/s
y = (15.97)(1.63) − 4.9(1.63)2
2
oy
y = v t + 1 gt2
y = 13.01 m
© 2014 Pearson Education, Inc.
EXAMPLE
• 1.Aball is thrown vertically upwards with velocity of 30ms-1.
Calculate:
• (a) Max. height reached,
• (b) the time taken for it to return to the ground.
• Solutions
• (a) Using 𝑣2 = 𝑢2 + 2𝑎𝑠
• 0 = 900 − 2 × 10 × 𝑠
• 𝑠 = 45𝑚
• (b) using 𝑣 = 𝑢 + 𝑎𝑡
• 30 = −30 + 10𝑡 = 6𝑠
Object Projected at an angle
• Consider an object projected with velocity u at an
angleAto the horizontal.
• - vertical component of velocity = u sinA
• - horizontal component of velocity = u cosA
• Therefore:
𝑔
• (a) Range (R) = 𝑢2
sin 2𝐴
• (b) Max. height reached (H) = 𝑢2𝑠𝑖𝑛2𝐴
2𝑔
• (c) Time of flight (T)= 2𝑢 𝑆𝑖𝑛 𝐴
© 2014 Pearson Education, Inc.
𝑔
EXERCISE 1
• Atrain changes its position (x) as a function of time (t)
as follows: x = 10 +3t2, with x m.
• (a) find the displacement of the train between t1 = 1.0 s
and t2 = 3.0 s.
• (b) find the average velocity during the same interval.
• (c) find the instantaneous velocity at the time t1 = 3.0 s
• (d) find the acceleration of the train.
EXERCISE 2
• The position of a projectile travelling in 2D space is
given by x(t)= (2t2 + 4t + 3)m and y(t) = (3t2 – 5t + 2)m.
calculate the magnitude and direction of the projectile’s
displacement and the average velocity between time
interval t =2 s and t = 5 s.
EXERCISE 3
• A stone is projected vertically upwards into the air at
40 m/s. After 3 s another stone is projected vertically
upward and it crosses the first stone at 50 m from the
ground. What is the velocity of projection of the
second stone.
EXERCISE 4
• An object is dropped from a height of 50m.
• (a) What is the velocity before the object hits the
ground.
• (b) what is the time required for the object to reach the
ground.
© 2014 Pearson Education, Inc.
EXERCISE5
• A stone is projected at an angle of 600 to the
horizontal with a velocity of 30 ms-1. Calculate
• (a) the highest point reached
• (b) the range
• (c) the time taken for the flight.
© 2014 Pearson Education, Inc.
• Ashot is projected at an angle of 550 to the horizontal
with a velocity of 8 ms-1. Calculate
(a) the highest point reached.
(b) the range
(c) the time taken to return to the ground
(d)the height of the shot when its makes an angle of 300
with the horizontal, and
(e)the velocity of the shot when it it’s the ground.
(Neglect the effects of air resistance)
EXERCISE 6

FSC115_Kinematics.pdf

  • 1.
    Describing Motion: Kinematics inOne Dimension © 2014 Pearson Education, Inc.
  • 2.
    © 2014 PearsonEducation, Inc. Table of Contents • Definition of Kinematics and motion • Types of motion in physics • Dimensions of Motion • Reference Frames • Distance and Displacement • Speed and Velocity • Acceleration • Motion at ConstantAcceleration • Solving Problems • Freely Falling Objects • GraphicalAnalysis of Linear Motion
  • 3.
    © 2014 PearsonEducation, Inc. KINEMATICS • The general study of the relationships between motion, forces, and energy is called mechanics. It can be divided into the subdisciplines of kinematics, statics, and, dynamics. • Motion is a change in position of an object over time. • The study of motion without regard to the forces or energies that may be involved is called kinematics. • The branch of mechanics that deals with both motion and forces together is called dynamics and • the study of forces in the absence of changes in motion or energy is called statics.
  • 4.
    © 2014 PearsonEducation, Inc. KINEMATICS • Kinematics is the simplest branch of mechanics. It describes the motion of an object with relationships between position, velocity, acceleration, and time without giving attention to the causes of the motion. • Motion is a change in position of an object over time. •
  • 5.
    © 2014 PearsonEducation, Inc. Types of motion in physics • Everything in the universe is in motion. However, different objects move differently. Some objects move along a straight line, some move in a curved path, and some move in some other way. There are five types of motion. Which are: • Translational or linear motion • Random motion • oscillatory or vibratory motion • Rotational motion • circular motion
  • 6.
    © 2014 PearsonEducation, Inc. • Translational or linear motion: It is the movement of an object in a straight line. E.g. (1)Amoving car. (2)Aperson pushing trolley in a supermarket from one point to another along a straight line. (3) Aboy going to school. • Random motion: it is the movement of an object with no specific direction or it is a zig-zag motion. E.g. (1) The movement of an insect. (2) the movement of gas molecules. (3) the movement of woman in the market. Types of motion in physics
  • 7.
    © 2014 PearsonEducation, Inc. • Oscillatory or Vibratory motion: it is the movement of a body about a fixed point repeating itself in an equal interval of time along the same path. E.g. (1) The to and fro movement of a swinging pendulum bob. (2) The to and fro movement of the wings of a flying bird. (3) The motion of a plucked guitar spring or violin. • Rotational motion (rotate): it is the movement of an object or body that moves in a circle or ellipse and rotates about an axis. E.g. 1. The rotation of a fan blades about a fixed point. 2. The motion of wheel about its axis. Types of motion in physics
  • 8.
    © 2014 PearsonEducation, Inc. • Circular motion (circle): it is the movement of a body or an object in a circle at a constant speed. E.g. 1. Motion of electron around the nucleus • The difference between rotation and circular motion is : • In circular motion the distance between the body’s centre mass and axis of rotation is fixed. • In rotational motion distance between the body’s centre mass and axis of rotation is not fixed. So it changes. • in circular motion, the body rotates around a fixed axis that is outside the body, but in rotational motion, the body's rotating axes are inside the body. Types of motion in physics
  • 10.
    © 2014 PearsonEducation, Inc. Dimensions of Motion • One dimension • Two dimensions • Three dimensions • One dimension: it refers to the motion of a body (object, particle) in a straight line along the x, y or z axis. • Two dimensions: it refers to the motion of a body (object, particle) in the x , y plane • Three dimensions: it refers to the motion of a body (object, particle) in the x, y and z plane
  • 11.
    © 2014 PearsonEducation, Inc. Distance and Displacement. • Distance is how far an object travel from its initial position. It is the length of the path travelled by a body. • It is a scalar quantity. Measured in meters (m) • Displacement is how far the object is from its starting point, regardless of how it got there. • It is change in position. i.e. change in final position and initial position. • it is the distance travelled in a specified direction. • It is a vector quantity. Measured in meters (m)
  • 12.
    Distance and Displacement. ©2014 Pearson Education, Inc.
  • 13.
    Displacement One general wayof locating a particle (or particle-like object) is with a position vector r, which is a vector that extends from a reference point (usually the origin) to the particle. In the unit-vector notation If a particle change it position from one point r1 to another r2. the displacement ∆r is given by © 2014 Pearson Education, Inc.
  • 14.
    Speed and Velocity •Speed: • The rate of change of distance with time is called the speed of the body. • Mathematically, • It is a scalar quantity. It unit is m/s. • Uniform Speed: A body is said to move with uniform speed if it covers equal distances in equal intervals of time throughout its motion. • Non-Uniform or Variable Speed: Abody is said to move at a non-uniform speed if it covers unequal distances in the same intervals of time. Distance(s) speed(v) = Time(t)  v = s t © 2014 Pearson Education, Inc.
  • 15.
    • There aretwo ways to measure the speed of an object 1. average speed 2. instantaneous speed • Average Speed: The ratio of the total distance travelled by the body to the total time of the journey is called average speed. • Instantaneous Speed: When the speed of a body changes continuously with time, its speed at any instant is known as instantaneous speed. (limit of average speed at time interval tends to zero) • When a body is moving with uniform speed, then the instantaneous speed and average speed are equal. Speed and Velocity Total distance travelled total time taken Average speed = t→0 © 2014 Pearson Education, Inc. v(t) = lim = s = ds(t) t dt
  • 16.
    • Velocity: Therate of change of displacement of a body with respect to time is called the velocity of the body. • Mathematically, • It is a vector quantity, its S.I. unit is m/s • Uniform Velocity: • When the magnitude and direction of the velocity of a body remain the same at any instant, then the body is said to have uniform velocity. For uniform velocity acceleration a = 0. • Non-Uniform Velocity: When the magnitude of velocity or the direction of velocity or both changes at any instant the body is said to have non-uniform velocity or variable velocity. When a body has variable velocity, then it has acceleration. (graph rep.) Speed and Velocity Displacement(s) velocity(v) = Timetaken(t)  v = s t © 2014 Pearson Education, Inc.
  • 17.
    • There aretwo ways to measure the velocity of an object 1. average velocity 2. instantaneous velocity • Average Velocity: If the velocity of a body moving in particular direction changes with time, then the ratio of displacement to total time is called average velocity. or if the initial and final velocities are known at a constant acceleration. • Instantaneous Velocity: For body moving with non- uniform velocity, the velocity of the body at an instant is called instantaneous velocity. • in unit-vector notation • where vx = dx/dt, vy = dy/dt, vz =dz/dt. Speed and Velocity dt v(t) = lim s = ds(t) t→0 t © 2014 Pearson Education, Inc. 2 f i f i av f i s s v v v t t − + = = −
  • 18.
    Difference between instantaneousspeed and velocities instantaneous speed measures how fast a particle is moving at a particular time while instantaneous velocity measures how fast a particle is moving in a specific direction at a particular time
  • 19.
    Acceleration • The rateof change of velocity with respect to time is called acceleration. • It is vector quantity its S.I. unit is m/s2 • UniformAcceleration: When equal changes take place in velocity of a body in equal interval of time, then the acceleration is called uniform acceleration. e.g. the motion under gravity. • Non-uniform or Variable Acceleration: When The change in the velocity of a body in equal interval of time is not constant, then the acceleration is called non-uniform acceleration. changeinvelocity(v) acceleration(a) = timetaken(t) v t  a = © 2014 Pearson Education, Inc.
  • 20.
    • AverageAcceleration: Averageacceleration is defined as the ratio of change in velocity to the change in time for a given interval. formula, • where, aav is the average velocity, vi is the initial velocity, vf is the final velocity, ti is the initial time and tf is the final time. • Also, if the object shows different velocities, such as v1,v2 ,v3....vn for different time intervals such as t1,t2 ,t3...tn respectively, the average acceleration is calculated using the following Acceleration = vf − vi © 2014 Pearson Education, Inc. av tf −ti a v + v + v +....+ v aav = 1 2 3 n t1 + t2 + t3 +...+ tn
  • 21.
    • InstantaneousAcceleration: The instantaneousacceleration is the average acceleration in the limit as the time interval becomes infinitesimally short. Acceleration 2 t→0 v dv(t) d2 s(t) dt dt = a(t) = lim t = © 2014 Pearson Education, Inc.
  • 22.
    TUTORIAL • Arabbit runsacross a parking lot on which a set of coordinate axes has been drawn. The coordinates (meters) of the rabbit’s position as functions of time t (seconds) are given by (a)At t = 15 s, what is the rabbit’s position vector in unit vector notation and in magnitude-angle notation? (b) find the velocity at time t =15 s. (c) find the acceleration at time t =15 s. © 2014 Pearson Education, Inc.
  • 23.
    SOLUTION © 2014 PearsonEducation, Inc.
  • 24.
    Tutorial •For the rabbitin the preceding sample problem, find the velocity at time t =15 s. © 2014 Pearson Education, Inc.
  • 25.
    • For therabbit in the preceding two sample problems, find the acceleration at time t =15 s. Tutorial © 2014 Pearson Education, Inc.
  • 26.
    EXERCISE 1 • Atrainchanges its position (x) as a function of time (t) as follows: x = 10 +3t2, with x m. • (a) find the displacement of the train between t1 = 1.0 s and t2 = 3.0 s. • (b) find the average velocity during the same interval. • (c) find the instantaneous velocity at the time t1 = 3.0 s • (d) find the acceleration of the train.
  • 28.
    EXERCISE 2 • Theposition of a projectile travelling in 2D space is given by x(t)= (2t2 + 4t + 3)m and y(t) = (3t2 – 5t + 2)m. calculate the magnitude and direction of the projectile’s displacement and the average velocity between time interval t =2 s and t = 5 s.
  • 30.
    Motion at ConstantAcceleration The average velocity of an object during a time interval t is The acceleration is © 2014 Pearson Education, Inc. A particle is said to undergo a constant acceleration motion if the rate of change of velocity is constant throughout the motion. if the initial and final velocities are known at a constant acceleration. 2 f i av v v v + =
  • 31.
    Motion at ConstantAcceleration In addition, as the velocity is increasing at a constant rate, we know that (2-8) Combining these last three equations, we find: (2-9) © 2014 Pearson Education, Inc.
  • 32.
    Motion at ConstantAcceleration We can also combine these equations so as to eliminate t: (2-10) We now have all the equations we need to solve constant-acceleration problems. (2-11a) © 2014 Pearson Education, Inc. (2-11b) (2-11c) (2-11d)
  • 33.
    Freely Falling Objects Nearthe surface of the Earth, all objects experience approximately the same acceleration due to gravity. This is one of the most common examples of motion with constant acceleration. © 2014 Pearson Education, Inc.
  • 34.
    FREE FALL • fall:when something falls straight down from a top and when something is thrown up and it comes straight down. • in both cases there is no motion in the x-direction, it is only in the y-direction. • in free fall there is no air resistance and the a= g= -9.8 m/s • When something is dropped from a height vi = 0 m/s • when something is thrown up vf = 0 m/s (at the top) • the velocity at which an object is thrown upward is +v m/s • the velocity at which an object thrown up comes back is -v m/s. • the time it takes for an object thrown to the top = the time taken for the object to return to the position where it was © 2014 th Per ar o sow n Ed n ucation, Inc.
  • 35.
    Freely Falling Objects Inthe absence of air resistance, all objects fall with the same acceleration, although this may be hard to tell by testing in an environment where there is air resistance. © 2014 Pearson Education, Inc.
  • 36.
    Kinematics for theVERTICAL Direction All 3 kinematics can be used to analyze one dimensional motion in either the X direction OR the y direction. v=vo +at →vy =voy +gt v2 =v2 +2a(x−x )→v2 =v2 +2g(y−y ) ox o y oy o 2 2 1 1 2 2 o oy x=xo +voxt+ gt at →y= y +v t+
  • 37.
    “g” or ag– The Acceleration due to gravity The acceleration due to gravity is a special constant that exists in a VACUUM, meaning without air resistance. If an object is in FREE FALL, gravity will CHANGE an objects velocity by 9.8 m/s every second. 2 g = ag = −9.8 m / s The acceleration due to gravity: •ALWAYS ACTS DOWNWARD •IS ALWAYS CONSTANT near the surface of Earth
  • 38.
    WORKED EXAMPLES © 2014Pearson Education, Inc.
  • 39.
    WORKED EXAMPLES © 2014Pearson Education, Inc.
  • 40.
    © 2014 PearsonEducation, Inc.
  • 41.
    WORKED EXAMPLES © 2014Pearson Education, Inc.
  • 42.
    Examples What do I know? Whatdo I want? voy= 0 m/s y = ? g = -9.8 m/s2 yo=0 m t = 5.78 s A stone is dropped at rest from the top of a cliff. It is observed to hit the ground 5.78 s later. How high is the cliff? Which variable is NOT given and NOT asked for? Final Velocity! 2 o oy y = y + v t + 1 gt2 y = y = (0)(5.78) − 4.9(5.78)2 -163.7 m H =163.7m
  • 43.
    Examples A pitcher throwsa fastball with a velocity of 43.5 m/s. It is determined that during the windup and delivery the ball covers a displacement of 2.5 meters. This is from the point behind the body when the ball is at rest to the point of release. Calculate the acceleration during his throwing motion. What do I know? What do I want? vo= 0 m/s a = ? x = 2.5 m v = 43.5 m/s Which variable is NOT given and NOT asked for? TIME v2 = v2 + 2a(x − x ) o o 43.52 = 02 + 2a(2.5− 0) a = 378.5 m/s/s
  • 44.
    Examples What do I know? Whatdo I want? vo= 0 m/s t = ? x = 35 m a = 2.00 m/s/s How long does it take a car at rest to cross a 35.0 m intersection after the light turns green, if the acceleration of the car is a constant 2.00 m/s/s? Which variable is NOT given and NOT asked for? Final Velocity 35 = 0 + (0) + 1 2 (2)t2 t = 5.92 s 2 2 1 at x = xo + voxt +
  • 45.
    Examples What do I know? Whatdo I want? vo= 12.5 m/s a = ? v = 25 m/s t = 6s Acar accelerates from 12.5 m/s to 25 m/s in 6.0 seconds. What was the acceleration? Which variable is NOT given and NOT asked for? DISPLACEMENT o v = v + at a = 25 =12.5+ a(6) 2.08 m/s/s
  • 46.
    Kinematics and Calculus Let’stake the “derivative” of kinematic #2 assuming the object started at x = 0. dx dt dt ox ox = v = at ) 2 1 d(v t + 2 v = vo + at a = dv = d(v0 + at) = a dt dt 2 x = v t + 1 at2
  • 47.
    Projectile Motion Projectile: Anyobject which is projected by some means and continues to move due to its own inertia (mass). Aprojectile is an object moving in two dimensions under the influence of Earth’s gravity; its path is a parabola. Projectile motion can be understood by analyzing the horizontal and vertical motions separately.
  • 48.
    Projectiles move inTWO dimensions Since a projectile moves in 2-dimensions, it therefore has 2 components just like a resultant vector. • Horizontal and Vertical
  • 49.
    Horizontally Launched Projectiles Toanalyze a projectile in 2 dimensions we need 2 equations. One for the “x” direction and one for the “y” direction.And for this we use kinematic #2. 2 ox x = v t + 1 at2 x = voxt Remember, the velocity is CONSTANT horizontally, so that means the acceleration is ZERO! y = 1 2 gt2 Remember that since the projectile is launched horizontally, the INITIAL VERTICAL VELOCITY is equal to ZERO.
  • 50.
    Horizontally Launched Projectiles Whatdo I know? What I want to know? vox=100 m/s t = ? y = 500 m x = ? voy= 0 m/s g = -9.8 m/s/s 2 102.04 = t → t = 10.1 seconds Example: A plane traveling with a horizontal velocity of 100 m/s is 500 m above the ground.At some point the pilot decides to drop some supplies to designated target below. (a) How long is the drop in the air? (b) How far away from point where it was launched will it land? y = 1 2 gt2 → −500 = 1 2 (−9.8)t2 x = voxt = (100)(10.1) = 1010 m
  • 51.
    Vertically Launched Projectiles •For the horizontal motion x-direction vx = vox x = voxt • For the vertical motion y-direction vy = voy − gt 2 oy y = v t − 1 gt2
  • 52.
    Vertically Launched Projectiles Youwill still use kinematic #2, but YOU MUST use COMPONENTS in the equation. vo vox voy  x=voxt 2 oy y=v t+ 1 gt2 ox o v = v cos voy = vo sin
  • 53.
    • At thehighest point v = vx = vy = 0 • Hence, • Vertically Launched Projectiles becomes g • This is the time to reach the maximum height, H. • The time taken for the projectile to return to the x-axis, is know as the time of flight T = 2t. vy = voy − gt 0 = vo sin− gt t = vo sin
  • 54.
    • To findan expression for the maximum height, H Vertically Launched Projectiles 2 2 2 2 2 2 v2 sin2  2 v sin  v sin  o − o g 2g 2g v sin  H = o 2g o y = v t − 1 gt2 g v sin H = vo sin o − g 1  v sin 2 2 g  o  H =    − 1 = 1  o :1 =  2 2  
  • 55.
    • To findan expression for the maximum horizontal distance covered, referred to as the Range, R x = vo x t T = 2t • Applying Trig. Double angle identity sin 2= 2sincos • Vertically Launched Projectiles g g v sin  v 2 2 sin co s R = vo cos 2 o = o v2 sin 2 R = o g
  • 56.
    • The trajectory;the path taken by the projectile motion can also be derive by using the equation • The expression shows how y and x are related • The equation of parabola is given as y = bx − ax2 Vertically Launched Projectiles 2 o y y = v t − 1 gt 2  2 v cos y = tanx − o y = v sin o x 1 v cos − 2 g o x2 2v2 cos2  x g     o 
  • 57.
    Example  =  Agoalkeeper kicks a football with a velocity of 20.0 m/s and at an angle of 53 degrees. (a) How long is the ball in the air? (b) How far away does it land? (c) How high does it travel? vox = vo cos vox = 20cos53 =12.04 m/ s voy = vo sin voy = 20sin53 =15.97m / s
  • 58.
    Example Agoalkeeper kicks a footballwith a velocity of 20.0 m/s and at an angle of 53 degrees. (a) How long is the ball in the air? What I know What I want to know vox=12.04 m/s t = ? voy=15.97 m/s x = ? y = 0 ymax=? g = - 9.8 m/s/s −15.97t = −4.9t2 →15.97 = 4.9t 2 oy y = v t + 1 gt2 → 0 = (15.97)t − 4.9t2 t = 3.26 s
  • 59.
    Example Agoalkeeper kicks a footballwith a velocity of 20.0 m/s and at an angle of 53 degrees. (b) How far away does it land? What I know What I want to know vox=12.04 m/s t = 3.26 s voy=15.97 m/s x = ? y = 0 ymax=? g = - 9.8 m/s/s x = voxt → (12.04)(3.26) = 39.24 m
  • 60.
    Example Agoalkeeper kicks afootball with a velocity of 20.0 m/s and at an angle of 53 degrees. (c) How high does it travel? CUTYOUR TIME IN HALF! What I know What I want to know vox=12.04 m/s t = 3.26 s voy=15.97 m/s x = 39.24 m y = 0 ymax=? g = - 9.8 m/s/s y = (15.97)(1.63) − 4.9(1.63)2 2 oy y = v t + 1 gt2 y = 13.01 m
  • 61.
    © 2014 PearsonEducation, Inc. EXAMPLE • 1.Aball is thrown vertically upwards with velocity of 30ms-1. Calculate: • (a) Max. height reached, • (b) the time taken for it to return to the ground. • Solutions • (a) Using 𝑣2 = 𝑢2 + 2𝑎𝑠 • 0 = 900 − 2 × 10 × 𝑠 • 𝑠 = 45𝑚 • (b) using 𝑣 = 𝑢 + 𝑎𝑡 • 30 = −30 + 10𝑡 = 6𝑠
  • 62.
    Object Projected atan angle • Consider an object projected with velocity u at an angleAto the horizontal. • - vertical component of velocity = u sinA • - horizontal component of velocity = u cosA • Therefore: 𝑔 • (a) Range (R) = 𝑢2 sin 2𝐴 • (b) Max. height reached (H) = 𝑢2𝑠𝑖𝑛2𝐴 2𝑔 • (c) Time of flight (T)= 2𝑢 𝑆𝑖𝑛 𝐴 © 2014 Pearson Education, Inc. 𝑔
  • 63.
    EXERCISE 1 • Atrainchanges its position (x) as a function of time (t) as follows: x = 10 +3t2, with x m. • (a) find the displacement of the train between t1 = 1.0 s and t2 = 3.0 s. • (b) find the average velocity during the same interval. • (c) find the instantaneous velocity at the time t1 = 3.0 s • (d) find the acceleration of the train.
  • 64.
    EXERCISE 2 • Theposition of a projectile travelling in 2D space is given by x(t)= (2t2 + 4t + 3)m and y(t) = (3t2 – 5t + 2)m. calculate the magnitude and direction of the projectile’s displacement and the average velocity between time interval t =2 s and t = 5 s.
  • 65.
    EXERCISE 3 • Astone is projected vertically upwards into the air at 40 m/s. After 3 s another stone is projected vertically upward and it crosses the first stone at 50 m from the ground. What is the velocity of projection of the second stone.
  • 66.
    EXERCISE 4 • Anobject is dropped from a height of 50m. • (a) What is the velocity before the object hits the ground. • (b) what is the time required for the object to reach the ground.
  • 67.
    © 2014 PearsonEducation, Inc. EXERCISE5 • A stone is projected at an angle of 600 to the horizontal with a velocity of 30 ms-1. Calculate • (a) the highest point reached • (b) the range • (c) the time taken for the flight.
  • 68.
    © 2014 PearsonEducation, Inc. • Ashot is projected at an angle of 550 to the horizontal with a velocity of 8 ms-1. Calculate (a) the highest point reached. (b) the range (c) the time taken to return to the ground (d)the height of the shot when its makes an angle of 300 with the horizontal, and (e)the velocity of the shot when it it’s the ground. (Neglect the effects of air resistance) EXERCISE 6