Final Business Plan Report <br />On <br />Heaven land amusement park<br />                                             Submitted To<br /> Punjab College of Technical Education <br />In partial fulfillment of the requirements<br /> On the degree of <br />Bachelor of Business Administration<br /> Session (2008-2011) <br />By: Nishu sharma (BBA) <br />PUNJAB COLLEGE OF TECHNICAL EDUCATION, LUDHIANA<br />AFFILIATED TO<br />PUNJAB TECHNICAL UNIVERSITY, JALANDHAR <br />1.Executive Summary<br />Amusement park is term for a group of rides and other entertainment attractions assembled for the purpose of entertaining large numbers of people. An amusement park is more elaborate than a simple city park or playground, usually providing attractions meant to cater to children, teenagers and adults. The seasonal celebration is a natural place for development of amusement attractions.<br />This document has been prepared to provide the reader with information about our company, including business structure, company goals, projected growth,start-up costs, an investment analysis and the industry trends.<br />Heaven land has identified the family entertainment industry as its primary interest and to that end the company has focused its efforts on the development of one or more family entertainment centers (FEC) to provide quality family entertainment activities.<br />Quality family entertainment is the focus of Heaven land. The construction and commercialization of one initial FEC is factored into the initial development phase detailed within. The company's proposed FECs will be designed to provide the type of family entertainment and adventure the current market demands.<br />The first proposed place for Heaven land is Amritsar, batala road. We hired 2 acre land to build best family entertainment centre. Based on the current entertainment prices and cost of revenue structure in the local amusement, we believe that our anticipated FEC's will have the potential of several Rs. 5 crore.<br />With our strong management team and our aggressive marketing plan, we project a consistent and minimum annual growth of five percent<br />1.1 Vision <br />Vision of Heaven Land is to be famous among people with in a year and set up new branches all over the India.<br />1.2 Mission<br />Heaven Land sole purpose is to establish a profitable and well managed company while at the same time creating an atmosphere of fun and excitement for the entire family, with activities designed to please the local residents, as well as the tourist base of Punjab<br />1.3 Objectives<br />The company's objective is to build quality, full-service Family Entainment Center.Our goals include:<br />To increase the loyal customers towards the company<br />An modest increase in our gross profit within the second year of operation<br />2. Services<br />Our FEC's will provide customers with a wholesome environment that provides amusement, entertainment, excitement, competition, year round activities and great food at affordable prices.<br />Although there is currently no competition in the immediate area in which we plan to establish our FECs.<br />To that end, the company plans to become profitable and retain a solid leadership position in the marketplace by providing:<br />Indoor facilities <br />Year round play with a wide variety of activities - Our season never stops.<br />Seasoned, successful management team.<br />Contracting top FEC consultants - To counsel on key attraction layout and design.<br />Working with USU Extension Program - Determining tourism impact.<br />Working with Department of Tourism -.<br />Customer Incentive Program - Reward frequent visitors/customers.<br />Easy access <br />2.1 Service Description<br />The ability of Heaven Land to accomplish its goals and lead the local family entertainment industry depends upon the expertise of the management team. Our expertise will create a place where adults can enjoy great food, terrific drinks and the latest interactive games - all in one place.  <br />2.2 Future Services<br />Heaven land will expand its family entertainment activities during its first year of operation, by adding bumper boats, go-carts and other attractions as discussed elsewhere in our plan.<br />In addition Heaven land is already working on contingency plans for adding more facilities. <br />To further increase revenues and public attraction, Heaven land is working to establish several other entertainment (outdoor) activities  such as the Sky coaster.<br />3. Strategy and Implementation Summary<br />Our services will be positioned to provide our customers with a premium amusement and entertainment experience.<br />Thus our pricing strategy will be to charge a premium price as per industry standards.<br />Heaven land will also work toward establishing community involvement programs that will demonstrate how the business can contribute to a better quality of community life.<br />3.1 Competitive Edge<br />The high standards set by our company and our location is going to make it very difficult for competitors to enter and survive in the market area.<br />Heaven land research shows that the opportunity exists to provide a high-quality service in a family-oriented environment, where we can offer competitive pricing to our customers and still make an outstanding profit in this demanding market.<br />The keys to our competitive edge<br />There are several critical issues based on the lifestyles of the area for our business to be accepted and survive.<br />Produce maximum profits, but still able to offer affordable entertainment<br />Provide the best games/family sports<br />Great food<br />Little or no educational curve<br />Repeat customers/tournaments/enjoyment<br />Provide activities for a large range of age groups<br />Unique in design with comfortable ambience<br />Exciting work environment<br />3.2 Basic Business information<br />Location: Heaven land will be located in Amritsar , near petrol pump batala road.<br />Title: Heaven land amusement park.<br />Cost: 5 crore<br />Time: 1 year<br />Contact information: Ph.no. 0183-2682721,Mb.09779701430, fax: 0183-2862722<br />www.heavenland.com Mail us at heaven_land@yahoo.com<br />Professional advisors:<br />C.A –Rajiv Garg, he is auditor of Punjab and sind bank.
Lawyer- Bharat bhushan menon, he is famous advocate of high court.
Architecture- Sameer Singla
Engineer- Er. Anil SharmaLegal structure<br />Heaven land is owned by its founder and president Ms. Nishu Sharma<br />            Other employees: <br />CA
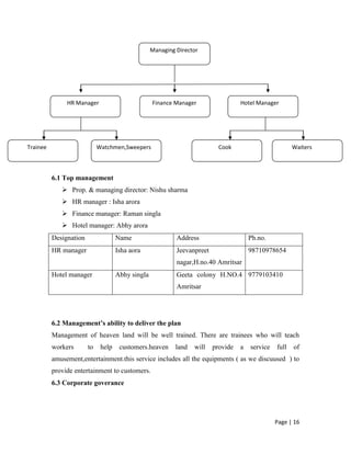
Watchman
Waiters
Helper 3.3 Strategic  analysis<br />Our services will be positioned to provide our customers with a premium amusement and entertainment experience.The following subtopics will present our PEST analysis,SWOT analysis, core competences,configuration of resources, competitor analysis, sales strategy, marketing strategy, pricing strategy and promotion strategy.<br />3.4  PEST analysis<br />PEST is defined as political,economic,social and technological analysis.<br />3.4.1 Political analysis<br />Amusement park come under  “The Punjab Entertainment Duty Act, 1955”<br />An Act to provide for the levy of an entertainments duty in respect of admission to public entertainments.<br />According to SECTION 1. <br />(1) This Act may be called the Punjab Entertainment Duty Act, 1955.<br />(2) It extends to the whole of the State of Punjab.<br />SECTION 2. Definitions :<br />(1) 'Admission to entertainment' includes admission to any place in which the entertainment is being held for which persons are required to make payment in any manner whatsoever.<br />(2) 'Amusement park' means a park having various devices for providing entertainment to the public on payment basis.<br />(3)  'Entertainment Tax Officer' means the officer appointed as such under this Act.<br />(4) 'Entertainment' includes any exhibition, performance, amusement, game sport or race to which persons are ordinarily admitted on payment.<br />(5) 'Ride' means any kind of gliding, rolling, surf board, skate board, sports car, bike, roller coaster or any other device, used in an amusement park for the purpose of providing entertainment for which a person is required to make payment for admission or participation.<br /> (6) 'Ticket' means the pass or token for the purpose of securing admission to an entertainment.<br />3.4.2 Econmic analysis<br />Economic policies need to be changed over time as the situations arise. Therefore, once the country is independent specific policies can be drafted and adopted.<br />Sikhs can turn Himachal into a major tourist attraction and invest more in man-made industries such as amusement and national parks. So Heaven land has to change their economics policies from time to time to attract people of amritsar and punjab to invest.<br />3.4.3 Social analysis<br />Social analysis is divided into two factors 1) Demographic 2) Social trends.Demographic factors are based upon age,gender,education,income,occupation ,origin etc. We have to keep in mind these demographics  factors  in our amusement park.On the other hand social trends are the values and beliefs of our society.we know that people of amritsar and punjab have  busy life ,they can enjoy on weekends. So we will organise new entertainments activities during weekends to provide entertainment to ou customers so that they can overcome from tensions and burdens.<br />3.4.4 Technological analysis<br />Heaven land amusement park is a process of innovation.There is huge competition in the market.To survive in the market we will improve the facilities provided by amusement park.Heaven land will launh new technology that is Freefall Xtreme<br /> in amusement park  for the first time in punjab. <br />How It's Unique: A 1000-hp V12 twin-turbo engine generates winds up to 120 mph, allowing modestly sized riders to \"
fly\"
 to about 8 feet. Custom wind suits and a few minutes of training are obviously required, but riders with some skills can pull 360s and other nifty maneuvers. According to the website, riders need to weigh between 25 kilograms and 130 kilograms, but the park brags that the engine was able to lift someone who weighed 170 kilograms This technology will not be used by others in coming 10 years , to do so we will make an agreement with the foriegn company that they will not provide this technology to others . for this we will make payment to them.<br />3.5  SWOT analysis<br />SWOT is defined as strengths, weakness, opportunities and threats. Strengths and weaknesses are internal to an organisation on the other hand opportunities and threats are external to an organisation.<br />3.5.1 Strengths <br />Strength of Heaven land is that we are going to provide unique and safe services in our amusement park .these are:<br />Facility of restaurent which is not provided by others.
Facility of free parking.
We will also provide rooms for birthday parties and for some other occasions.
Peacefull environment by providing seprate garden for picnics.3.5.2 Weakness<br />Weaknesses are internal to an organisation.weaknesses of Heaven land are:<br />Lack of experienced staff
Lack of trainees
 People are not much aware by the services provided by heaven land3.5.3 Opportunities <br />opportuities are external to an organisation.opportunities for Heaven land are such as:<br />day by day there is increase in income of people,so they will spend more on entertinment activities because people of punjab are of jolly nature , they have habbit to spend more on entertainment.
There is less competion in amritsar . services provided by competiotiors and services provide by us are different.3.5.4 Threats<br />Threats are also external to an organisation.these are:<br />Because of status most of people want to go in malls instead of amusement park.
Most of people don’t want to spend more on entertainment.
Core competencesIt is a detail discussion of strengths.it includes:<br />Bumper boats, reataurent ,sky coaster, party rooms,mini golf,air hockey,swimming pool, seprate garden for the purpose of picnic,climbing walls ,driving range and many more we will organise a small plant which will clean the  water used by the swimming pool. And by establishing such plant we will be able to reuse the water of swimming pool.<br />3.7 Configuration of resources<br />It includes:<br />3.7.1 Operation resources<br />It is a detail of equipments,material used by the company.to understand this we can take the help of following table :<br />sr.no1 month6 month12 month18 month1Sky coasterSmall shopping shopsIndoor activitiesParty rooms2Restaurent Swimming poolSeprate garden for picnicClimbimg walls3Bumper boatsAir hockey4Mini golfDriving range<br />3.7.2 Human resoures<br />It is a detail of staff, manpower used by the company.following table will help us to understand it easily.<br />Sr.no.1 month6 month12 month18 month1Entertainment manager2 waiters4 sweepersgardener2architectureaccountentLabour for parking5 waiters32 sweeperswatchmanhelper4Trainee5Engineer<br />3.7.3 Industry life cycle boom<br />It includes 4 stages start,growth,maturity and decline.according to research there is the rise and rise of the Indian amusement park industrey.Fuelled by the strength of the Indian economy, the Indian amusement park industry is growing at the rate of 25% pa and is set to double its size from present US$ 674 million over the next three years. <br />Amusement park industrySo, We can say that amusement park industry is on growth.following table will show it easily: <br />                                     <br />3.8.Competitor analysis <br />As we discussed that there is very less competition in the market. Only one competitor is there . sun shine city in amritsar is competitor of heaven land amusement park.but the services provided by them and the services provided by us are different.<br />3.9  Marketing Strategy<br />Our customers can come from all age groups, male and female, all races, every income level and can be local residents or tourists to the area.  That is why our marketing plan started at the construction phase; by keeping in mind, if it looks fun people will come.  Thus the main factor to our success is simply that a person can enjoy themselves at our center while participating in an activity they choose.<br />3.10 Pricing Strategy<br />To establish price we referred to several factory-pricing recommendations ( means company compensate to the customers if any loss will occur )and the local competition.  Price will be less so that people can afford it easily.<br />3.11 Promotion Strategy<br />Heaven land’s first objective is to promote our center to capitalize on he power of the WORD OF MOUTH.<br />In every business it is a well-known fact that word-of-mouth advertising is any businesses' best friend or worst enemy.we will also promote our center with the help of advertising.we will place advertisement in local newspapers, web sites and local T.V chanels.<br />-we will also take the help of tourist department.<br />-Sales Brochure Informing the public of all the activities found and offered at the center.<br />3.12  Sales Strategy<br />Our sales strategy is set on the very basics of business, please our customers and they will return again and again .Heaven land  intends on providing a venue in which the entire family can really enjoy their leisure time by participating in fun and competitive activities that require minimum strength and athletic ability.<br />4. Marketing plan<br />Research has indicated that the prime market for a Family entertainment center (FEC) is in urban areas close to neighborhoods with large concentrations of upper- to middle-income population.<br />4.1 Market Segmentation<br />Heaven land’ primary targeted market consists of three main groups. These categories are: 15 to 24 year old, 25 to 34 and 35 to 54 years old. To better understand the size and breakdown of the local population see the following table and chart.<br />4.2 Target Market Segment Strategy<br />A full-time public relations coordinator is a vital part of Heaven land' management team.  The job will require this person to be responsible for assuring customer satisfaction, generating public awareness for the types of entertainment offered at our \"
FEC,\"
 and attractively promoting the various activities to the public.<br />Even though, our customers can be considered all age groups, both sexes, all races, all income levels, local residents or tourist to the area.  The most important factor behind our success is simply, THAT A PERSON CAN  ENJOY THEMSELVES, while participating in the activity they choose.<br />4.3 Customers Needs<br />People of punjab are of jolly nature.they always find the reason for entertainment, celebration etc.they have habbit of to spend more on entertainment. They want full safety, better quality of services, tasty food etc. According to these needs heaven land will provide better services to their customers to make them satisfied.<br />4.4 Pricing & discounts<br />To establish price of various services provided by Heaven land ,we referred to several factory-pricing recommendations and the local competition. We will fix price of services according to local competition. And comparatively price will be less so that people of every income level can afford it.<br />4.4.1 Discounting<br /> During festival season we will provide discount to our customers.we will also provide discount to our loyal customers duing some special occasions i.e we will keep a record of our customers and wish them on their birthdays, wedding dates and will provide them discount in restaurent as well as in each and every service.<br />4.5 Promotion and advertising<br />Heaven land first objective in promoting our center will be to capitalize on the power of the WORD OF MOUTH.<br />In every business it is a well-known fact that word-of-mouth advertising is any businesses' best friend or worst enemy. Yet, this does not preclude the fact that announcements, placing advertisements in the local newspapers and our future planned website are not just as important in reaching new customers and will be employed as follows:<br />4.5.1.AdvertisingGetting our positioning message to the public, \"
family recreation,\"
 where fun and customer service is paramount.<br />4.5.2 Tourist Department<br />Keeping them aware of our center and all current promotions.<br />4.5.3 Sales Brochure <br />Informing the public of all the activities found and offered at the center.<br />4.6  Marketing mix<br />Marketing mix is the set of the marketing tools that the firm uses to pursue its marketing objectives in the target market.<br />MARKETING MIX<br />PRICEPRODUCT<br />                                       <br />PROCESSPROMOTIONPLACEPEOPLEPHYSICAL  EVIDENCE                                                         <br />5.Operations plan<br />Heaven land will include following stages in its operations plan.these are:<br />5.1 Physical location<br />To compete with the competitors,Heaven land select  suitable location for amusement park.city in which we are going to open amusement park is Amritsar, in amritsar we select batala road near petrol pump.the speciality of this location is that it is near to urban areas close to neighborhoods with large concentrations of upper to middle income population.<br />5.2 Make or buy considerations<br />Heaven land will provide entertainment services to the customers.<br />The raw-material which is used to provide services will be taken from the ARIHANT INDUSTRY amusement park equipment manufacturer.<br />5.3 Production process<br />Heaven land amusement park will be able to provide services when customers will demand.to provide such services ,intermittent technology will be used by heaven land .<br />5.4 Facilities,equipment and machinery<br />5.4.1 Facilities<br />It includes internal architecture.the following  map will help to understand the layout of heaven land.<br />                           Ware house                                                   exit<br />                                                  Office              washroom                                 <br />shopping          restaurent       <br />shops                                                                                                                      parking<br />picnic<br />park                                    all activities & games<br />                                                                                                                            Entry<br />swimming                                 indoor games          party rooms                            ticket<br />pool                                                                                                                        counter    <br />5.4.2 Equipment<br />Heaven land will use various types of equipment to provide amusement to people.these equipments are:<br />Equipments                 QuantitySky coaster2Bumper boats5Air hockey5Mini golf5Driving range2Climbing walls2Indoor games10<br />It is clear from the above table that heaven land will use 2 sky coasters-one small and one big.In indoor games we will include 10 types of games.<br />5.4.3 Machinery<br />MachinesQuantityCoffee machine1Sandwich maker1Microwave1Generator1<br />5.5 Engineering and design support<br />5.5.1 Basic design<br />Infrastructure of heaven land will be attrative and decent.we will use attractive tiles for the floor of indoor activities .floor of swimming pool will be of blue colour.the dress of workers will be according to their designation.example:blue colour dress fpr sweepers,light green dress for restaurent’s waiters,white dress for helpers etc.<br />5.5.2 Functional design<br />Functional dsign of heaven land will be full of amusement.heaven land will entartain its customers by providing entertainment activities,safety,quality and indoor activities.to attract local area people we will organise seasonal festivals,which will provide a land of amusement to our customers.<br />5.6 Quality control plans<br />Heaven land will provide effective quality services to our customers.to ensure quality of services , we will take help of samples,which we will collect from feedbacks of our loyal customers.<br />6. Management and organisation<br />Following graph will help to understand the management and organisation of heaven land amusement park.that is:<br />    Managing Director                                                  <br />        HR Manager     Hotel Manager     Finance Manager<br />          Waiters               CookWatchmen,Sweepers                                                                                                                Trainee<br />6.1 Top management<br />Prop. & managing director: Nishu sharma
HR manager : Isha arora
Finance manager: Raman singla
Hotel manager: Abhy aroraDesignationNameAddressPh.no.HR managerIsha aoraJeevanpreet nagar,H.no.40 Amritsar98710978654Hotel managerAbhy singlaGeeta colony H.NO.4  Amritsar 9779103410<br />6.2 Management’s ability to deliver the plan<br />Management of heaven land will be well trained. There are trainees who will teach workers  to help customers.heaven land will provide a service full of amusement,entertainment.this service includes all the equipments ( as we discuused  ) to provide entertainment to customers.<br />6.3 Corporate goverance<br />We will provide effective services to our customers and will improve itself according to the suggestions given by customers. We will take feedback from customers to ensure that we are on right path.<br />6.4 Staffing<br />We know that staffing is the managerial function of hiring and developing the required personnel to fill in various positions in an organization. This function involves the determination of the size and categories of staff requirement. So we will arrange manpower for heaven land  by giving ad in newspapers,local t.v channels and social wedbsites.<br />6.5 Recruitment<br />Careful selection of an employee is very important. A misfit will cause serious consequences. We will recruit employees with the help of interviews and ability tests.<br />6.6 Training<br />It is a learning process that involves the acquisition of knowledge, sharpening of skills, concepts, rules, or changing of attitudes and behaviours to enhance the performance of employees. <br />We will provide off the stage training to helpers, so that they become able to provise safety to customers.<br />6.7 Labour relations<br />Heaven land will build good employee relation by supporting them.we will motivate to our workers and wewill also consider all the workers same.we will not create any difference between workers.incentives will be given according to their performance.we will also organise some meetings to build good labour relations.<br />6.8. Office space and amentities<br />We will provide free soft srinks or tea( according to season) whwn people will come to book party rooms or for other purpose.<br />6.9. Employment and related cost<br />EmployeesSalaryHR manager30,000Finance manager35,000Production manager25,000Trainees8000Helpers5000Sweepers3000Waiters4000<br />7. Forecast and financial data<br />7.1 Sales forecast<br />Sales forecast of Heaven Land is shown in following table:<br />6th months12th  months18th months90,0002,50,0005,00,000<br />It is clear from the above table that sales for the first 6th months will be 90,000 and with in 12 months heaven land will provide services  to 2,50,000 customers and within 18 months  5,00,000 customers  will enjoy the service of Heaven land.<br />7.2 Assumptions and underplanning<br />As shown in sale forecast , selling of heaven land is increasing because :<br />Now a days people are willing to enjoy with their families. Specially in Punjab state people like to spend more time on entertainment and they are keen to find this particular opportunity.
There is increase in customer awareness due to advertising.
Heaven land is providing superior  and friendly service to its customers.7.3 Financial forecast<br /> M/S Heaven land amusement park    <br />                               Trading and P& L account for the year ended as on 31th march 2012                     Trading and P& L account for the year ended as on 31th march 2012                     Trading and P& L account for the year ended as on 31th march 2012<br />                                        <br />ParticularAmountParticularAmountTo purchaseTo gross profit c/dTo salaries and wagesTo electronic expencesTo telephone expencesTorepair &maintenanceTo advertisingTo depreciationTomiscellaneousexpencesTo insuranceTo bank chargesTo net profit5,50,00010,00000009,94,50,00013,40,00010,80,00015,0001,00,0005,00,0005,00,00030,0006,00,00050,0009,52,35,0009,94,50,000By salesBy gross profit b/d10,0000000994500009,94,50,0009,94,50,000<br />                                           Balance sheet of Heaven land as on 31st march 2012<br />LiabilitiesAmountAssetsAmountCapital accountNet profit 5,00,000,009,52,35,00014,52,35,000Fixed assetsLand & buildingMachinery& equipmentOffice furnitureCurrent assetsCash at bankCash in handSundry debtorsInvestmentLIC  accountMutual funds4,00,000,0050,00,0002,35,0004,00,000,001,00,000,002,50,000,001,50,000,001,00,000,0014,52,35,000<br />7.4 Breakeven point<br />We can calculate breakeven point with the help of following formula:<br />                                                                  Fixed cost<br />                       =                             <br />                                                     Selling price-variable cost<br />as we know fixed cost of heaven land is Rs. 5 crore. Selling price is Rs. 200 and Variable cost is 100.<br />According to formula, breakeven point of heaven land will be written as :<br />                           <br />                                        5,00,000,00                              5,00,000,00<br />                       =                          <br />                                          200-100                    =                  100<br />                   <br />                      =                5,00,000<br />Heaven land will achieve its breakeven point when it will provide services to  5,00,000 customers.<br />Sale =  5,00,000 * 200 = 10,00,000,00 ( as shown in trading and P&L account)<br />7.5 Benchmarks<br />Heaven land amusement park is going to follow the standards of disney amusement park.Disney amusement park is a theme park but we follow their rules to provide better and unique services to our customers.<br />8. Financing<br />8.1 Summary of operations prior to financing<br /> In order to carry on with the various operations in Heaven land there are some legal formalities such as Firstly we have to register the name of heaven land amusement park to the registrar then we have to get an approval from government such as NOC, business license, current account formalities , sign permit, amusement park license, and fire certificate etc. After getting certain approval we can start with the operations of HEAVEN LAND. <br />8.2 Funds required and timing<br />For heaven land  I need minimum Rs 4crore in first 6 months for its land and construction and various operations under it and I need Rs50 lakhs in next 6 months  for the establishment of machines according to the requirements and moreover i required 1 year to complete this project. <br />8.3 Use of proceeds<br />In order  to provide amusement services,heaven land will take certain things.these are as:<br />Advertising<br />Interior Furniture<br />Insurance<br />A.C<br />Architect<br />Bathroom Renovation/Plumbing<br />Lighting/Sound<br />Sign<br />Swimming pool stationary<br />Liquor License<br />Building Permit<br />Ice Machine<br />Soft Drink Dispenser<br />Web Site<br />Pool Tables<br />Various other games<br />Sky coaster<br />Bumper boats and many more<br />9.Risk analysis<br />9.1.Risk overview<br />Risk is associated with every business .risk can be from the competitors,changing preferences of customers,change in demand etc.<br />Heaven land has to face risk because of : competitors, busy life of people as they don’t have time for entertainment.<br />9.2 Limiting factors<br />Limiting factors are considered as limitations of B-plan.There are some limitations of heaven land due to lack of experienced staff,lack of team work, unpunctual staff .<br />9.3 Alternative scenario<br />In any case if my b-plan will fail ,i will continue  with this plan by finding the various reasons of failure .To overcome these failure ,i will introduce some strategies.<br />9.4 Risk reduction strategies<br />These are those strategies whish help to reduce risk associated with business.as mentioned above that heaven has to face risk from its competitors and changing preferences of customers.to reduce this risk , heaven land will develop several strategies like heaven land will provide unique and superior service to its customers and heaven land wiill keep in touch with people by organising seasonal festivals.<br />
Final b plan
Final b plan

Final b plan

  • 1.
    Final Business Plan Report <br />On <br />Heaven land amusement park<br /> Submitted To<br /> Punjab College of Technical Education <br />In partial fulfillment of the requirements<br /> On the degree of <br />Bachelor of Business Administration<br /> Session (2008-2011) <br />By: Nishu sharma (BBA) <br />PUNJAB COLLEGE OF TECHNICAL EDUCATION, LUDHIANA<br />AFFILIATED TO<br />PUNJAB TECHNICAL UNIVERSITY, JALANDHAR <br />1.Executive Summary<br />Amusement park is term for a group of rides and other entertainment attractions assembled for the purpose of entertaining large numbers of people. An amusement park is more elaborate than a simple city park or playground, usually providing attractions meant to cater to children, teenagers and adults. The seasonal celebration is a natural place for development of amusement attractions.<br />This document has been prepared to provide the reader with information about our company, including business structure, company goals, projected growth,start-up costs, an investment analysis and the industry trends.<br />Heaven land has identified the family entertainment industry as its primary interest and to that end the company has focused its efforts on the development of one or more family entertainment centers (FEC) to provide quality family entertainment activities.<br />Quality family entertainment is the focus of Heaven land. The construction and commercialization of one initial FEC is factored into the initial development phase detailed within. The company's proposed FECs will be designed to provide the type of family entertainment and adventure the current market demands.<br />The first proposed place for Heaven land is Amritsar, batala road. We hired 2 acre land to build best family entertainment centre. Based on the current entertainment prices and cost of revenue structure in the local amusement, we believe that our anticipated FEC's will have the potential of several Rs. 5 crore.<br />With our strong management team and our aggressive marketing plan, we project a consistent and minimum annual growth of five percent<br />1.1 Vision <br />Vision of Heaven Land is to be famous among people with in a year and set up new branches all over the India.<br />1.2 Mission<br />Heaven Land sole purpose is to establish a profitable and well managed company while at the same time creating an atmosphere of fun and excitement for the entire family, with activities designed to please the local residents, as well as the tourist base of Punjab<br />1.3 Objectives<br />The company's objective is to build quality, full-service Family Entainment Center.Our goals include:<br />To increase the loyal customers towards the company<br />An modest increase in our gross profit within the second year of operation<br />2. Services<br />Our FEC's will provide customers with a wholesome environment that provides amusement, entertainment, excitement, competition, year round activities and great food at affordable prices.<br />Although there is currently no competition in the immediate area in which we plan to establish our FECs.<br />To that end, the company plans to become profitable and retain a solid leadership position in the marketplace by providing:<br />Indoor facilities <br />Year round play with a wide variety of activities - Our season never stops.<br />Seasoned, successful management team.<br />Contracting top FEC consultants - To counsel on key attraction layout and design.<br />Working with USU Extension Program - Determining tourism impact.<br />Working with Department of Tourism -.<br />Customer Incentive Program - Reward frequent visitors/customers.<br />Easy access <br />2.1 Service Description<br />The ability of Heaven Land to accomplish its goals and lead the local family entertainment industry depends upon the expertise of the management team. Our expertise will create a place where adults can enjoy great food, terrific drinks and the latest interactive games - all in one place.  <br />2.2 Future Services<br />Heaven land will expand its family entertainment activities during its first year of operation, by adding bumper boats, go-carts and other attractions as discussed elsewhere in our plan.<br />In addition Heaven land is already working on contingency plans for adding more facilities. <br />To further increase revenues and public attraction, Heaven land is working to establish several other entertainment (outdoor) activities such as the Sky coaster.<br />3. Strategy and Implementation Summary<br />Our services will be positioned to provide our customers with a premium amusement and entertainment experience.<br />Thus our pricing strategy will be to charge a premium price as per industry standards.<br />Heaven land will also work toward establishing community involvement programs that will demonstrate how the business can contribute to a better quality of community life.<br />3.1 Competitive Edge<br />The high standards set by our company and our location is going to make it very difficult for competitors to enter and survive in the market area.<br />Heaven land research shows that the opportunity exists to provide a high-quality service in a family-oriented environment, where we can offer competitive pricing to our customers and still make an outstanding profit in this demanding market.<br />The keys to our competitive edge<br />There are several critical issues based on the lifestyles of the area for our business to be accepted and survive.<br />Produce maximum profits, but still able to offer affordable entertainment<br />Provide the best games/family sports<br />Great food<br />Little or no educational curve<br />Repeat customers/tournaments/enjoyment<br />Provide activities for a large range of age groups<br />Unique in design with comfortable ambience<br />Exciting work environment<br />3.2 Basic Business information<br />Location: Heaven land will be located in Amritsar , near petrol pump batala road.<br />Title: Heaven land amusement park.<br />Cost: 5 crore<br />Time: 1 year<br />Contact information: Ph.no. 0183-2682721,Mb.09779701430, fax: 0183-2862722<br />www.heavenland.com Mail us at heaven_land@yahoo.com<br />Professional advisors:<br />C.A –Rajiv Garg, he is auditor of Punjab and sind bank.
  • 2.
    Lawyer- Bharat bhushanmenon, he is famous advocate of high court.
  • 3.
  • 4.
    Engineer- Er. AnilSharmaLegal structure<br />Heaven land is owned by its founder and president Ms. Nishu Sharma<br /> Other employees: <br />CA
  • 5.
  • 6.
  • 7.
    Helper 3.3 Strategic analysis<br />Our services will be positioned to provide our customers with a premium amusement and entertainment experience.The following subtopics will present our PEST analysis,SWOT analysis, core competences,configuration of resources, competitor analysis, sales strategy, marketing strategy, pricing strategy and promotion strategy.<br />3.4 PEST analysis<br />PEST is defined as political,economic,social and technological analysis.<br />3.4.1 Political analysis<br />Amusement park come under “The Punjab Entertainment Duty Act, 1955”<br />An Act to provide for the levy of an entertainments duty in respect of admission to public entertainments.<br />According to SECTION 1. <br />(1) This Act may be called the Punjab Entertainment Duty Act, 1955.<br />(2) It extends to the whole of the State of Punjab.<br />SECTION 2. Definitions :<br />(1) 'Admission to entertainment' includes admission to any place in which the entertainment is being held for which persons are required to make payment in any manner whatsoever.<br />(2) 'Amusement park' means a park having various devices for providing entertainment to the public on payment basis.<br />(3) 'Entertainment Tax Officer' means the officer appointed as such under this Act.<br />(4) 'Entertainment' includes any exhibition, performance, amusement, game sport or race to which persons are ordinarily admitted on payment.<br />(5) 'Ride' means any kind of gliding, rolling, surf board, skate board, sports car, bike, roller coaster or any other device, used in an amusement park for the purpose of providing entertainment for which a person is required to make payment for admission or participation.<br /> (6) 'Ticket' means the pass or token for the purpose of securing admission to an entertainment.<br />3.4.2 Econmic analysis<br />Economic policies need to be changed over time as the situations arise. Therefore, once the country is independent specific policies can be drafted and adopted.<br />Sikhs can turn Himachal into a major tourist attraction and invest more in man-made industries such as amusement and national parks. So Heaven land has to change their economics policies from time to time to attract people of amritsar and punjab to invest.<br />3.4.3 Social analysis<br />Social analysis is divided into two factors 1) Demographic 2) Social trends.Demographic factors are based upon age,gender,education,income,occupation ,origin etc. We have to keep in mind these demographics factors in our amusement park.On the other hand social trends are the values and beliefs of our society.we know that people of amritsar and punjab have busy life ,they can enjoy on weekends. So we will organise new entertainments activities during weekends to provide entertainment to ou customers so that they can overcome from tensions and burdens.<br />3.4.4 Technological analysis<br />Heaven land amusement park is a process of innovation.There is huge competition in the market.To survive in the market we will improve the facilities provided by amusement park.Heaven land will launh new technology that is Freefall Xtreme<br /> in amusement park for the first time in punjab. <br />How It's Unique: A 1000-hp V12 twin-turbo engine generates winds up to 120 mph, allowing modestly sized riders to \" fly\" to about 8 feet. Custom wind suits and a few minutes of training are obviously required, but riders with some skills can pull 360s and other nifty maneuvers. According to the website, riders need to weigh between 25 kilograms and 130 kilograms, but the park brags that the engine was able to lift someone who weighed 170 kilograms This technology will not be used by others in coming 10 years , to do so we will make an agreement with the foriegn company that they will not provide this technology to others . for this we will make payment to them.<br />3.5 SWOT analysis<br />SWOT is defined as strengths, weakness, opportunities and threats. Strengths and weaknesses are internal to an organisation on the other hand opportunities and threats are external to an organisation.<br />3.5.1 Strengths <br />Strength of Heaven land is that we are going to provide unique and safe services in our amusement park .these are:<br />Facility of restaurent which is not provided by others.
  • 8.
  • 9.
    We will alsoprovide rooms for birthday parties and for some other occasions.
  • 10.
    Peacefull environment byproviding seprate garden for picnics.3.5.2 Weakness<br />Weaknesses are internal to an organisation.weaknesses of Heaven land are:<br />Lack of experienced staff
  • 11.
  • 12.
    People arenot much aware by the services provided by heaven land3.5.3 Opportunities <br />opportuities are external to an organisation.opportunities for Heaven land are such as:<br />day by day there is increase in income of people,so they will spend more on entertinment activities because people of punjab are of jolly nature , they have habbit to spend more on entertainment.
  • 13.
    There is lesscompetion in amritsar . services provided by competiotiors and services provide by us are different.3.5.4 Threats<br />Threats are also external to an organisation.these are:<br />Because of status most of people want to go in malls instead of amusement park.
  • 14.
    Most of peopledon’t want to spend more on entertainment.
  • 15.
    Core competencesIt isa detail discussion of strengths.it includes:<br />Bumper boats, reataurent ,sky coaster, party rooms,mini golf,air hockey,swimming pool, seprate garden for the purpose of picnic,climbing walls ,driving range and many more we will organise a small plant which will clean the water used by the swimming pool. And by establishing such plant we will be able to reuse the water of swimming pool.<br />3.7 Configuration of resources<br />It includes:<br />3.7.1 Operation resources<br />It is a detail of equipments,material used by the company.to understand this we can take the help of following table :<br />sr.no1 month6 month12 month18 month1Sky coasterSmall shopping shopsIndoor activitiesParty rooms2Restaurent Swimming poolSeprate garden for picnicClimbimg walls3Bumper boatsAir hockey4Mini golfDriving range<br />3.7.2 Human resoures<br />It is a detail of staff, manpower used by the company.following table will help us to understand it easily.<br />Sr.no.1 month6 month12 month18 month1Entertainment manager2 waiters4 sweepersgardener2architectureaccountentLabour for parking5 waiters32 sweeperswatchmanhelper4Trainee5Engineer<br />3.7.3 Industry life cycle boom<br />It includes 4 stages start,growth,maturity and decline.according to research there is the rise and rise of the Indian amusement park industrey.Fuelled by the strength of the Indian economy, the Indian amusement park industry is growing at the rate of 25% pa and is set to double its size from present US$ 674 million over the next three years. <br />Amusement park industrySo, We can say that amusement park industry is on growth.following table will show it easily: <br /> <br />3.8.Competitor analysis <br />As we discussed that there is very less competition in the market. Only one competitor is there . sun shine city in amritsar is competitor of heaven land amusement park.but the services provided by them and the services provided by us are different.<br />3.9 Marketing Strategy<br />Our customers can come from all age groups, male and female, all races, every income level and can be local residents or tourists to the area.  That is why our marketing plan started at the construction phase; by keeping in mind, if it looks fun people will come.  Thus the main factor to our success is simply that a person can enjoy themselves at our center while participating in an activity they choose.<br />3.10 Pricing Strategy<br />To establish price we referred to several factory-pricing recommendations ( means company compensate to the customers if any loss will occur )and the local competition.  Price will be less so that people can afford it easily.<br />3.11 Promotion Strategy<br />Heaven land’s first objective is to promote our center to capitalize on he power of the WORD OF MOUTH.<br />In every business it is a well-known fact that word-of-mouth advertising is any businesses' best friend or worst enemy.we will also promote our center with the help of advertising.we will place advertisement in local newspapers, web sites and local T.V chanels.<br />-we will also take the help of tourist department.<br />-Sales Brochure Informing the public of all the activities found and offered at the center.<br />3.12 Sales Strategy<br />Our sales strategy is set on the very basics of business, please our customers and they will return again and again .Heaven land  intends on providing a venue in which the entire family can really enjoy their leisure time by participating in fun and competitive activities that require minimum strength and athletic ability.<br />4. Marketing plan<br />Research has indicated that the prime market for a Family entertainment center (FEC) is in urban areas close to neighborhoods with large concentrations of upper- to middle-income population.<br />4.1 Market Segmentation<br />Heaven land’ primary targeted market consists of three main groups. These categories are: 15 to 24 year old, 25 to 34 and 35 to 54 years old. To better understand the size and breakdown of the local population see the following table and chart.<br />4.2 Target Market Segment Strategy<br />A full-time public relations coordinator is a vital part of Heaven land' management team.  The job will require this person to be responsible for assuring customer satisfaction, generating public awareness for the types of entertainment offered at our \" FEC,\" and attractively promoting the various activities to the public.<br />Even though, our customers can be considered all age groups, both sexes, all races, all income levels, local residents or tourist to the area.  The most important factor behind our success is simply, THAT A PERSON CAN  ENJOY THEMSELVES, while participating in the activity they choose.<br />4.3 Customers Needs<br />People of punjab are of jolly nature.they always find the reason for entertainment, celebration etc.they have habbit of to spend more on entertainment. They want full safety, better quality of services, tasty food etc. According to these needs heaven land will provide better services to their customers to make them satisfied.<br />4.4 Pricing & discounts<br />To establish price of various services provided by Heaven land ,we referred to several factory-pricing recommendations and the local competition. We will fix price of services according to local competition. And comparatively price will be less so that people of every income level can afford it.<br />4.4.1 Discounting<br /> During festival season we will provide discount to our customers.we will also provide discount to our loyal customers duing some special occasions i.e we will keep a record of our customers and wish them on their birthdays, wedding dates and will provide them discount in restaurent as well as in each and every service.<br />4.5 Promotion and advertising<br />Heaven land first objective in promoting our center will be to capitalize on the power of the WORD OF MOUTH.<br />In every business it is a well-known fact that word-of-mouth advertising is any businesses' best friend or worst enemy. Yet, this does not preclude the fact that announcements, placing advertisements in the local newspapers and our future planned website are not just as important in reaching new customers and will be employed as follows:<br />4.5.1.AdvertisingGetting our positioning message to the public, \" family recreation,\" where fun and customer service is paramount.<br />4.5.2 Tourist Department<br />Keeping them aware of our center and all current promotions.<br />4.5.3 Sales Brochure <br />Informing the public of all the activities found and offered at the center.<br />4.6 Marketing mix<br />Marketing mix is the set of the marketing tools that the firm uses to pursue its marketing objectives in the target market.<br />MARKETING MIX<br />PRICEPRODUCT<br /> <br />PROCESSPROMOTIONPLACEPEOPLEPHYSICAL EVIDENCE <br />5.Operations plan<br />Heaven land will include following stages in its operations plan.these are:<br />5.1 Physical location<br />To compete with the competitors,Heaven land select suitable location for amusement park.city in which we are going to open amusement park is Amritsar, in amritsar we select batala road near petrol pump.the speciality of this location is that it is near to urban areas close to neighborhoods with large concentrations of upper to middle income population.<br />5.2 Make or buy considerations<br />Heaven land will provide entertainment services to the customers.<br />The raw-material which is used to provide services will be taken from the ARIHANT INDUSTRY amusement park equipment manufacturer.<br />5.3 Production process<br />Heaven land amusement park will be able to provide services when customers will demand.to provide such services ,intermittent technology will be used by heaven land .<br />5.4 Facilities,equipment and machinery<br />5.4.1 Facilities<br />It includes internal architecture.the following map will help to understand the layout of heaven land.<br /> Ware house exit<br /> Office washroom <br />shopping restaurent <br />shops parking<br />picnic<br />park all activities & games<br /> Entry<br />swimming indoor games party rooms ticket<br />pool counter <br />5.4.2 Equipment<br />Heaven land will use various types of equipment to provide amusement to people.these equipments are:<br />Equipments QuantitySky coaster2Bumper boats5Air hockey5Mini golf5Driving range2Climbing walls2Indoor games10<br />It is clear from the above table that heaven land will use 2 sky coasters-one small and one big.In indoor games we will include 10 types of games.<br />5.4.3 Machinery<br />MachinesQuantityCoffee machine1Sandwich maker1Microwave1Generator1<br />5.5 Engineering and design support<br />5.5.1 Basic design<br />Infrastructure of heaven land will be attrative and decent.we will use attractive tiles for the floor of indoor activities .floor of swimming pool will be of blue colour.the dress of workers will be according to their designation.example:blue colour dress fpr sweepers,light green dress for restaurent’s waiters,white dress for helpers etc.<br />5.5.2 Functional design<br />Functional dsign of heaven land will be full of amusement.heaven land will entartain its customers by providing entertainment activities,safety,quality and indoor activities.to attract local area people we will organise seasonal festivals,which will provide a land of amusement to our customers.<br />5.6 Quality control plans<br />Heaven land will provide effective quality services to our customers.to ensure quality of services , we will take help of samples,which we will collect from feedbacks of our loyal customers.<br />6. Management and organisation<br />Following graph will help to understand the management and organisation of heaven land amusement park.that is:<br /> Managing Director <br /> HR Manager Hotel Manager Finance Manager<br /> Waiters CookWatchmen,Sweepers Trainee<br />6.1 Top management<br />Prop. & managing director: Nishu sharma
  • 16.
    HR manager :Isha arora
  • 17.
  • 18.
    Hotel manager: AbhyaroraDesignationNameAddressPh.no.HR managerIsha aoraJeevanpreet nagar,H.no.40 Amritsar98710978654Hotel managerAbhy singlaGeeta colony H.NO.4 Amritsar 9779103410<br />6.2 Management’s ability to deliver the plan<br />Management of heaven land will be well trained. There are trainees who will teach workers to help customers.heaven land will provide a service full of amusement,entertainment.this service includes all the equipments ( as we discuused ) to provide entertainment to customers.<br />6.3 Corporate goverance<br />We will provide effective services to our customers and will improve itself according to the suggestions given by customers. We will take feedback from customers to ensure that we are on right path.<br />6.4 Staffing<br />We know that staffing is the managerial function of hiring and developing the required personnel to fill in various positions in an organization. This function involves the determination of the size and categories of staff requirement. So we will arrange manpower for heaven land by giving ad in newspapers,local t.v channels and social wedbsites.<br />6.5 Recruitment<br />Careful selection of an employee is very important. A misfit will cause serious consequences. We will recruit employees with the help of interviews and ability tests.<br />6.6 Training<br />It is a learning process that involves the acquisition of knowledge, sharpening of skills, concepts, rules, or changing of attitudes and behaviours to enhance the performance of employees. <br />We will provide off the stage training to helpers, so that they become able to provise safety to customers.<br />6.7 Labour relations<br />Heaven land will build good employee relation by supporting them.we will motivate to our workers and wewill also consider all the workers same.we will not create any difference between workers.incentives will be given according to their performance.we will also organise some meetings to build good labour relations.<br />6.8. Office space and amentities<br />We will provide free soft srinks or tea( according to season) whwn people will come to book party rooms or for other purpose.<br />6.9. Employment and related cost<br />EmployeesSalaryHR manager30,000Finance manager35,000Production manager25,000Trainees8000Helpers5000Sweepers3000Waiters4000<br />7. Forecast and financial data<br />7.1 Sales forecast<br />Sales forecast of Heaven Land is shown in following table:<br />6th months12th months18th months90,0002,50,0005,00,000<br />It is clear from the above table that sales for the first 6th months will be 90,000 and with in 12 months heaven land will provide services to 2,50,000 customers and within 18 months 5,00,000 customers will enjoy the service of Heaven land.<br />7.2 Assumptions and underplanning<br />As shown in sale forecast , selling of heaven land is increasing because :<br />Now a days people are willing to enjoy with their families. Specially in Punjab state people like to spend more time on entertainment and they are keen to find this particular opportunity.
  • 19.
    There is increasein customer awareness due to advertising.
  • 20.
    Heaven land isproviding superior and friendly service to its customers.7.3 Financial forecast<br /> M/S Heaven land amusement park <br /> Trading and P& L account for the year ended as on 31th march 2012 Trading and P& L account for the year ended as on 31th march 2012 Trading and P& L account for the year ended as on 31th march 2012<br /> <br />ParticularAmountParticularAmountTo purchaseTo gross profit c/dTo salaries and wagesTo electronic expencesTo telephone expencesTorepair &maintenanceTo advertisingTo depreciationTomiscellaneousexpencesTo insuranceTo bank chargesTo net profit5,50,00010,00000009,94,50,00013,40,00010,80,00015,0001,00,0005,00,0005,00,00030,0006,00,00050,0009,52,35,0009,94,50,000By salesBy gross profit b/d10,0000000994500009,94,50,0009,94,50,000<br /> Balance sheet of Heaven land as on 31st march 2012<br />LiabilitiesAmountAssetsAmountCapital accountNet profit 5,00,000,009,52,35,00014,52,35,000Fixed assetsLand & buildingMachinery& equipmentOffice furnitureCurrent assetsCash at bankCash in handSundry debtorsInvestmentLIC accountMutual funds4,00,000,0050,00,0002,35,0004,00,000,001,00,000,002,50,000,001,50,000,001,00,000,0014,52,35,000<br />7.4 Breakeven point<br />We can calculate breakeven point with the help of following formula:<br /> Fixed cost<br /> = <br /> Selling price-variable cost<br />as we know fixed cost of heaven land is Rs. 5 crore. Selling price is Rs. 200 and Variable cost is 100.<br />According to formula, breakeven point of heaven land will be written as :<br /> <br /> 5,00,000,00 5,00,000,00<br /> = <br /> 200-100 = 100<br /> <br /> = 5,00,000<br />Heaven land will achieve its breakeven point when it will provide services to 5,00,000 customers.<br />Sale = 5,00,000 * 200 = 10,00,000,00 ( as shown in trading and P&L account)<br />7.5 Benchmarks<br />Heaven land amusement park is going to follow the standards of disney amusement park.Disney amusement park is a theme park but we follow their rules to provide better and unique services to our customers.<br />8. Financing<br />8.1 Summary of operations prior to financing<br /> In order to carry on with the various operations in Heaven land there are some legal formalities such as Firstly we have to register the name of heaven land amusement park to the registrar then we have to get an approval from government such as NOC, business license, current account formalities , sign permit, amusement park license, and fire certificate etc. After getting certain approval we can start with the operations of HEAVEN LAND. <br />8.2 Funds required and timing<br />For heaven land I need minimum Rs 4crore in first 6 months for its land and construction and various operations under it and I need Rs50 lakhs in next 6 months for the establishment of machines according to the requirements and moreover i required 1 year to complete this project. <br />8.3 Use of proceeds<br />In order to provide amusement services,heaven land will take certain things.these are as:<br />Advertising<br />Interior Furniture<br />Insurance<br />A.C<br />Architect<br />Bathroom Renovation/Plumbing<br />Lighting/Sound<br />Sign<br />Swimming pool stationary<br />Liquor License<br />Building Permit<br />Ice Machine<br />Soft Drink Dispenser<br />Web Site<br />Pool Tables<br />Various other games<br />Sky coaster<br />Bumper boats and many more<br />9.Risk analysis<br />9.1.Risk overview<br />Risk is associated with every business .risk can be from the competitors,changing preferences of customers,change in demand etc.<br />Heaven land has to face risk because of : competitors, busy life of people as they don’t have time for entertainment.<br />9.2 Limiting factors<br />Limiting factors are considered as limitations of B-plan.There are some limitations of heaven land due to lack of experienced staff,lack of team work, unpunctual staff .<br />9.3 Alternative scenario<br />In any case if my b-plan will fail ,i will continue with this plan by finding the various reasons of failure .To overcome these failure ,i will introduce some strategies.<br />9.4 Risk reduction strategies<br />These are those strategies whish help to reduce risk associated with business.as mentioned above that heaven has to face risk from its competitors and changing preferences of customers.to reduce this risk , heaven land will develop several strategies like heaven land will provide unique and superior service to its customers and heaven land wiill keep in touch with people by organising seasonal festivals.<br />