6.002 Fall 2000 Lecture 18
Cite as: Anant Agarwal and Jeffrey Lang, course materials for 6.002 Circuits and Electronics, Spring 2007. MIT
OpenCourseWare (http://ocw.mit.edu/), Massachusetts Institute of Technology. Downloaded on [DD Month YYYY].
6.002 CIRCUITS AND
ELECTRONICS
Filters
6.002 Fall 2000 Lecture 18
Cite as: Anant Agarwal and Jeffrey Lang, course materials for 6.002 Circuits and Electronics, Spring 2007. MIT
OpenCourseWare (http://ocw.mit.edu/), Massachusetts Institute of Technology. Downloaded on [DD Month YYYY].
Review
+
–
CvIv +
–
R
C
Reading: Section 14.5, 14.6, 15.3 from A & L.
+
–
cViV +
–
RZ
CZ
i
RC
C
c V
ZZ
Z
V ⋅
+
=
RCj1
1
R
Cj
1
Cj
1
V
V
i
c
ω
ω
ω
+
=
+
=
Cite as: Anant Agarwal and Jeffrey Lang, course materials for 6.002 Circuits and Electronics, Spring 2007. MIT
OpenCourseWare (http://ocw.mit.edu/), Massachusetts Institute of Technology. Downloaded on [DD Month YYYY].
6.002 Fall 2000 Lecture 18
A Filter
RCj1
1
V
ZZ
Z
V i
RC
C
c
ω+
=⋅
+
=
“Low Pass Filter”
ω
1
( )
i
c
V
V
H =ω
Demo
with audio
+
–
cViV +
–
RZ
CZ
Cite as: Anant Agarwal and Jeffrey Lang, course materials for 6.002 Circuits and Electronics, Spring 2007. MIT
OpenCourseWare (http://ocw.mit.edu/), Massachusetts Institute of Technology. Downloaded on [DD Month YYYY].
6.002 Fall 2000 Lecture 18
Quick Review of Impedances-
Just as
21
ab
ab
AB RR
I
V
R +==
LjR
I
V
Z 1
ab
ab
AB ω+==
1R
abI +
–
abV
2R
A
B
1R
abI +
–
abV
Ljω
A
B
Cite as: Anant Agarwal and Jeffrey Lang, course materials for 6.002 Circuits and Electronics, Spring 2007. MIT
OpenCourseWare (http://ocw.mit.edu/), Massachusetts Institute of Technology. Downloaded on [DD Month YYYY].
6.002 Fall 2000 Lecture 18
Quick Review of Impedances
Similarly
L2C1AB ZR||ZRZ ++=
L
2C
2C
1 Z
RZ
RZ
R +
+
+=
Lj
CRj1
R
R
2
2
1 ω
ω
+
+
+=
1R
L
A
B
2RC
Cite as: Anant Agarwal and Jeffrey Lang, course materials for 6.002 Circuits and Electronics, Spring 2007. MIT
OpenCourseWare (http://ocw.mit.edu/), Massachusetts Institute of Technology. Downloaded on [DD Month YYYY].
6.002 Fall 2000 Lecture 18
We can build other filters by
combining impedances
( )ωZ
L
R
C
ω
Z
Cite as: Anant Agarwal and Jeffrey Lang, course materials for 6.002 Circuits and Electronics, Spring 2007. MIT
OpenCourseWare (http://ocw.mit.edu/), Massachusetts Institute of Technology. Downloaded on [DD Month YYYY].
6.002 Fall 2000 Lecture 18
We can build other filters by
combining impedances
HPF
High Pass Filter
ω
( )ωH
ω
( )ωH
LPF
Low Pass Filter
ω
( )ωH
HPF
( )ωZ
L
R
C ω
Z
+
–
+
–
+
–
Cite as: Anant Agarwal and Jeffrey Lang, course materials for 6.002 Circuits and Electronics, Spring 2007. MIT
OpenCourseWare (http://ocw.mit.edu/), Massachusetts Institute of Technology. Downloaded on [DD Month YYYY].
6.002 Fall 2000 Lecture 18
Check out:
R
Cj
1
Lj
R
V
V
i
r
++
=
ω
ω
RCjLC1
RCj
2
ωω
ω
+−
=
( ) ( )222
i
r
RCLC1
RC
V
V
ωω
ω
+−
=
ω
+
–
L C
R
+
–
rViV
LC
1
o =ω
At resonance,
ω = ωo
and
ZL + ZC = 0,
so Vi sees
only R!
More later…
Intuitively:
i
r
V
V
1
L blocks high freq
C blocks low freq
Cite as: Anant Agarwal and Jeffrey Lang, course materials for 6.002 Circuits and Electronics, Spring 2007. MIT
OpenCourseWare (http://ocw.mit.edu/), Massachusetts Institute of Technology. Downloaded on [DD Month YYYY].
6.002 Fall 2000 Lecture 18
What about:
+
–
L C
R
+ –lcV
iV
Band Stop Filteri
lc
V
V
ω
1 C open L open
Check out Vl and Vc in the lab.
Cite as: Anant Agarwal and Jeffrey Lang, course materials for 6.002 Circuits and Electronics, Spring 2007. MIT
OpenCourseWare (http://ocw.mit.edu/), Massachusetts Institute of Technology. Downloaded on [DD Month YYYY].
6.002 Fall 2000 Lecture 18
Another example:
+
–
+
– L
R
iV C oV
i
o
V
V
oω ω
BPF
C shortL short
Application: see AM radio coming up shortly
Cite as: Anant Agarwal and Jeffrey Lang, course materials for 6.002 Circuits and Electronics, Spring 2007. MIT
OpenCourseWare (http://ocw.mit.edu/), Massachusetts Institute of Technology. Downloaded on [DD Month YYYY].
6.002 Fall 2000 Lecture 18
AM Radio Receiver
crystal radio demo
Thévenin
antenna
model
+
– L
R
iV C
demodulator
amplifier
antenna
Cite as: Anant Agarwal and Jeffrey Lang, course materials for 6.002 Circuits and Electronics, Spring 2007. MIT
OpenCourseWare (http://ocw.mit.edu/), Massachusetts Institute of Technology. Downloaded on [DD Month YYYY].
6.002 Fall 2000 Lecture 18
AM Receiver
“Selectivity” important —
relates to a parameter “Q” for the filter. Next…
+
– L
R
iV C
demodulator
amplifier
f
signal
strength
540 …1000 1010 1020 1030 … 1600 KHz
10 KHz
filter WBZ
News
Radio
Cite as: Anant Agarwal and Jeffrey Lang, course materials for 6.002 Circuits and Electronics, Spring 2007. MIT
OpenCourseWare (http://ocw.mit.edu/), Massachusetts Institute of Technology. Downloaded on [DD Month YYYY].
6.002 Fall 2000 Lecture 18
Recall,
Selectivity:
Look at series RLC in more detail
+
–
L C
R
+
–
rViV
Cj
1
LjR
R
V
V
i
r
ω
ω ++
=
i
r
V
V
ω
oω
2
1
higher Q
1
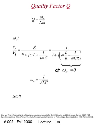
Define quality factor
Δ
=Q o
ω
ω
ωΔ
bandwidth
⇒Qhigh more selective
Cite as: Anant Agarwal and Jeffrey Lang, course materials for 6.002 Circuits and Electronics, Spring 2007. MIT
OpenCourseWare (http://ocw.mit.edu/), Massachusetts Institute of Technology. Downloaded on [DD Month YYYY].
6.002 Fall 2000 Lecture 18
ω
ω
Δ
= o
Q
LC
1
o =ω
Quality Factor Q
⎟
⎠
⎞
⎜
⎝
⎛ −+
=
++
=
CR
1
R
L
j1
1
Cj
1
LjR
R
iV
rV
ω
ω
ω
ω
?ωΔ
at =0ωο
ωο:
Cite as: Anant Agarwal and Jeffrey Lang, course materials for 6.002 Circuits and Electronics, Spring 2007. MIT
OpenCourseWare (http://ocw.mit.edu/), Massachusetts Institute of Technology. Downloaded on [DD Month YYYY].
6.002 Fall 2000 Lecture 18
Note that abs magnitude is
2
1
when
1j1
1
CR
1
R
L
j1
1
V
V
i
r
±
=
⎟
⎠
⎞
⎜
⎝
⎛
−+
=
ω
ω
i.e. when 1
CR
1
R
L
±=−
ω
ω
0
LC
1
L
R2
=−
ω
ω ∓
:ωΔ
ω
ω
Δ
= o
Q
Quality Factor Q
Looking at the roots of both equations,
LC
4
L
R
2
1
L2
R
2
2
1 ++=ω
LC
4
L
R
2
1
L2
R
2
2
2 ++−=ω
L
R
=−=Δ 21 ωωω
Cite as: Anant Agarwal and Jeffrey Lang, course materials for 6.002 Circuits and Electronics, Spring 2007. MIT
OpenCourseWare (http://ocw.mit.edu/), Massachusetts Institute of Technology. Downloaded on [DD Month YYYY].
6.002 Fall 2000 Lecture 18
R
L
L
R
Q oo ωω
==
The lower the R (for series R),
the sharper the peak
ω
ω
Δ
= o
Q
Quality Factor Q
LC
1
o =ω
Cite as: Anant Agarwal and Jeffrey Lang, course materials for 6.002 Circuits and Electronics, Spring 2007. MIT
OpenCourseWare (http://ocw.mit.edu/), Massachusetts Institute of Technology. Downloaded on [DD Month YYYY].
6.002 Fall 2000 Lecture 18
Another way of looking at Q :
cycleperlostenergy
storedenergy
2π=Q
0
2
r
2
r
2
RI
2
1
IL
2
1
2
ω
π
π=
R
L
Q oω
=
Quality Factor Q

Filters

  • 1.
    6.002 Fall 2000Lecture 18 Cite as: Anant Agarwal and Jeffrey Lang, course materials for 6.002 Circuits and Electronics, Spring 2007. MIT OpenCourseWare (http://ocw.mit.edu/), Massachusetts Institute of Technology. Downloaded on [DD Month YYYY]. 6.002 CIRCUITS AND ELECTRONICS Filters
  • 2.
    6.002 Fall 2000Lecture 18 Cite as: Anant Agarwal and Jeffrey Lang, course materials for 6.002 Circuits and Electronics, Spring 2007. MIT OpenCourseWare (http://ocw.mit.edu/), Massachusetts Institute of Technology. Downloaded on [DD Month YYYY]. Review + – CvIv + – R C Reading: Section 14.5, 14.6, 15.3 from A & L. + – cViV + – RZ CZ i RC C c V ZZ Z V ⋅ + = RCj1 1 R Cj 1 Cj 1 V V i c ω ω ω + = + =
  • 3.
    Cite as: AnantAgarwal and Jeffrey Lang, course materials for 6.002 Circuits and Electronics, Spring 2007. MIT OpenCourseWare (http://ocw.mit.edu/), Massachusetts Institute of Technology. Downloaded on [DD Month YYYY]. 6.002 Fall 2000 Lecture 18 A Filter RCj1 1 V ZZ Z V i RC C c ω+ =⋅ + = “Low Pass Filter” ω 1 ( ) i c V V H =ω Demo with audio + – cViV + – RZ CZ
  • 4.
    Cite as: AnantAgarwal and Jeffrey Lang, course materials for 6.002 Circuits and Electronics, Spring 2007. MIT OpenCourseWare (http://ocw.mit.edu/), Massachusetts Institute of Technology. Downloaded on [DD Month YYYY]. 6.002 Fall 2000 Lecture 18 Quick Review of Impedances- Just as 21 ab ab AB RR I V R +== LjR I V Z 1 ab ab AB ω+== 1R abI + – abV 2R A B 1R abI + – abV Ljω A B
  • 5.
    Cite as: AnantAgarwal and Jeffrey Lang, course materials for 6.002 Circuits and Electronics, Spring 2007. MIT OpenCourseWare (http://ocw.mit.edu/), Massachusetts Institute of Technology. Downloaded on [DD Month YYYY]. 6.002 Fall 2000 Lecture 18 Quick Review of Impedances Similarly L2C1AB ZR||ZRZ ++= L 2C 2C 1 Z RZ RZ R + + += Lj CRj1 R R 2 2 1 ω ω + + += 1R L A B 2RC
  • 6.
    Cite as: AnantAgarwal and Jeffrey Lang, course materials for 6.002 Circuits and Electronics, Spring 2007. MIT OpenCourseWare (http://ocw.mit.edu/), Massachusetts Institute of Technology. Downloaded on [DD Month YYYY]. 6.002 Fall 2000 Lecture 18 We can build other filters by combining impedances ( )ωZ L R C ω Z
  • 7.
    Cite as: AnantAgarwal and Jeffrey Lang, course materials for 6.002 Circuits and Electronics, Spring 2007. MIT OpenCourseWare (http://ocw.mit.edu/), Massachusetts Institute of Technology. Downloaded on [DD Month YYYY]. 6.002 Fall 2000 Lecture 18 We can build other filters by combining impedances HPF High Pass Filter ω ( )ωH ω ( )ωH LPF Low Pass Filter ω ( )ωH HPF ( )ωZ L R C ω Z + – + – + –
  • 8.
    Cite as: AnantAgarwal and Jeffrey Lang, course materials for 6.002 Circuits and Electronics, Spring 2007. MIT OpenCourseWare (http://ocw.mit.edu/), Massachusetts Institute of Technology. Downloaded on [DD Month YYYY]. 6.002 Fall 2000 Lecture 18 Check out: R Cj 1 Lj R V V i r ++ = ω ω RCjLC1 RCj 2 ωω ω +− = ( ) ( )222 i r RCLC1 RC V V ωω ω +− = ω + – L C R + – rViV LC 1 o =ω At resonance, ω = ωo and ZL + ZC = 0, so Vi sees only R! More later… Intuitively: i r V V 1 L blocks high freq C blocks low freq
  • 9.
    Cite as: AnantAgarwal and Jeffrey Lang, course materials for 6.002 Circuits and Electronics, Spring 2007. MIT OpenCourseWare (http://ocw.mit.edu/), Massachusetts Institute of Technology. Downloaded on [DD Month YYYY]. 6.002 Fall 2000 Lecture 18 What about: + – L C R + –lcV iV Band Stop Filteri lc V V ω 1 C open L open Check out Vl and Vc in the lab.
  • 10.
    Cite as: AnantAgarwal and Jeffrey Lang, course materials for 6.002 Circuits and Electronics, Spring 2007. MIT OpenCourseWare (http://ocw.mit.edu/), Massachusetts Institute of Technology. Downloaded on [DD Month YYYY]. 6.002 Fall 2000 Lecture 18 Another example: + – + – L R iV C oV i o V V oω ω BPF C shortL short Application: see AM radio coming up shortly
  • 11.
    Cite as: AnantAgarwal and Jeffrey Lang, course materials for 6.002 Circuits and Electronics, Spring 2007. MIT OpenCourseWare (http://ocw.mit.edu/), Massachusetts Institute of Technology. Downloaded on [DD Month YYYY]. 6.002 Fall 2000 Lecture 18 AM Radio Receiver crystal radio demo Thévenin antenna model + – L R iV C demodulator amplifier antenna
  • 12.
    Cite as: AnantAgarwal and Jeffrey Lang, course materials for 6.002 Circuits and Electronics, Spring 2007. MIT OpenCourseWare (http://ocw.mit.edu/), Massachusetts Institute of Technology. Downloaded on [DD Month YYYY]. 6.002 Fall 2000 Lecture 18 AM Receiver “Selectivity” important — relates to a parameter “Q” for the filter. Next… + – L R iV C demodulator amplifier f signal strength 540 …1000 1010 1020 1030 … 1600 KHz 10 KHz filter WBZ News Radio
  • 13.
    Cite as: AnantAgarwal and Jeffrey Lang, course materials for 6.002 Circuits and Electronics, Spring 2007. MIT OpenCourseWare (http://ocw.mit.edu/), Massachusetts Institute of Technology. Downloaded on [DD Month YYYY]. 6.002 Fall 2000 Lecture 18 Recall, Selectivity: Look at series RLC in more detail + – L C R + – rViV Cj 1 LjR R V V i r ω ω ++ = i r V V ω oω 2 1 higher Q 1 Define quality factor Δ =Q o ω ω ωΔ bandwidth ⇒Qhigh more selective
  • 14.
    Cite as: AnantAgarwal and Jeffrey Lang, course materials for 6.002 Circuits and Electronics, Spring 2007. MIT OpenCourseWare (http://ocw.mit.edu/), Massachusetts Institute of Technology. Downloaded on [DD Month YYYY]. 6.002 Fall 2000 Lecture 18 ω ω Δ = o Q LC 1 o =ω Quality Factor Q ⎟ ⎠ ⎞ ⎜ ⎝ ⎛ −+ = ++ = CR 1 R L j1 1 Cj 1 LjR R iV rV ω ω ω ω ?ωΔ at =0ωο ωο:
  • 15.
    Cite as: AnantAgarwal and Jeffrey Lang, course materials for 6.002 Circuits and Electronics, Spring 2007. MIT OpenCourseWare (http://ocw.mit.edu/), Massachusetts Institute of Technology. Downloaded on [DD Month YYYY]. 6.002 Fall 2000 Lecture 18 Note that abs magnitude is 2 1 when 1j1 1 CR 1 R L j1 1 V V i r ± = ⎟ ⎠ ⎞ ⎜ ⎝ ⎛ −+ = ω ω i.e. when 1 CR 1 R L ±=− ω ω 0 LC 1 L R2 =− ω ω ∓ :ωΔ ω ω Δ = o Q Quality Factor Q Looking at the roots of both equations, LC 4 L R 2 1 L2 R 2 2 1 ++=ω LC 4 L R 2 1 L2 R 2 2 2 ++−=ω L R =−=Δ 21 ωωω
  • 16.
    Cite as: AnantAgarwal and Jeffrey Lang, course materials for 6.002 Circuits and Electronics, Spring 2007. MIT OpenCourseWare (http://ocw.mit.edu/), Massachusetts Institute of Technology. Downloaded on [DD Month YYYY]. 6.002 Fall 2000 Lecture 18 R L L R Q oo ωω == The lower the R (for series R), the sharper the peak ω ω Δ = o Q Quality Factor Q LC 1 o =ω
  • 17.
    Cite as: AnantAgarwal and Jeffrey Lang, course materials for 6.002 Circuits and Electronics, Spring 2007. MIT OpenCourseWare (http://ocw.mit.edu/), Massachusetts Institute of Technology. Downloaded on [DD Month YYYY]. 6.002 Fall 2000 Lecture 18 Another way of looking at Q : cycleperlostenergy storedenergy 2π=Q 0 2 r 2 r 2 RI 2 1 IL 2 1 2 ω π π= R L Q oω = Quality Factor Q