3. La construcció de l’Estat liberal (1833-1868) 3.1. La primera guerra carlina (1833-40) i 3.2. El procés de revolució liberal (1833-1843) La construcció de l’Estat liberal travessa anys de  predomini progressista  (1833-43) a la vegada que 1ª guerra carlina (1833-39) enfronta carlins (tradicionalistes i antiliberals) / isabelins o liberals afecta principals nuclis: País Basc, Navarra, interior català, nord de València i sud d’Aragó zona d’influència: bona part del nord d’Espanya i Meseta N. acaba Conveni de Bergara (Abrazo de Vergara) (1839) entre Espartero i Maroto destaca Zumalacárregui, mort al setge de Bilbao (1835) Cabrera: incursions pel Maestrat i el Baix Aragó fracàs de l’expedició a Madrid, dirigida per Carles (1837) tàctica de guerrilles i actes propis de delinqüència rural i bandolerisme destaca governs de transició (1833-6): - absolutistes moderats: tímides reformes sense canvis essencials (províncies) liberals moderats:  Estatut Reial  (1834): amplis poders al monarca, dues cambres (aristòcrates i d’elecció molt restrictiva), sense sobir. nacional ni separació de poders divisió liberal: moderats (suport de la corona) i progressistes revoltes populars, formació Juntes (estiu 1835) i govern progressita (Mendizábal) destitució, noves revoltes, motí de La Granja i tornada progressista (1836) progressistes en el poder (VIII-36/X-37) : -reforma agrària : dissolució règim senyorial conservant propietat (1837), abolició delmes (1837), desvinculació patrimonis (1837), desamortització terres dels ordes religiosos i incautació estatal (1836) -liberalització de l’economia : abolició privilegis Mesta (1936), dret de vallar les terres i explotació lliure de muntanyes o vinyes (1833-4), llibertat d’arrendaments agraris, llibertat de preus i de comerç interior de molts productes (1836), abolició privilegis gremials i llibertat d’indústria i comerç (1836) -Constitució  (1837): sobirania nacional, declaració de drets i llibertats, divisió de poders, segona cambra (Senat), concessió poders a la corona (vet, dissolució parlament, nomenar i separar ministres lliurement) - altres : llibertat d’imprenta, Llei electoral (sufragi censatari: 2,4% població) alternança moderats-progressistes (1837-43) : -victòria electoral i govern moderat (1837-40): mesures que es responen amb revoltes populars (Juntes) i la dimissió de M.Cristina lliurament del poder a Espartero (1840) com a regent: actuacions contra les posicions radicals, aranzel lliurecanvista de 1842 (revolta a Barcelona i bombardeig ciutat) 1843: aixecaments armats de moderats (Narváez) i progressistes (Prim) contra Espartero i revoltes populars a Barcelona (Jamància) nou govern progressista: enfrontament amb les revoltes radicals (Jamància: IX/XI-1843) i bombardeig Barcelona (Prim) proclamació majoria d’edat Isabel II (XI-43)
3. La construcció de l’Estat liberal (1833-1868) 3.3. Les agrupacions polítiques Absolutistes (Fernandins) Carlins (1ª guerra: 1833-39) Carlins (2ª guerra o “dels Matiners”: 1846-49) Carlins (3ª guer.: 1869-75) Afrancesats (Bonapartistes) Liberals Moderats (Mtnez. de la Rosa) Moderats (Narváez) Monàrquics (Amadeistes i Alfonsins) Exaltats (Riego) Isabelins Unió Liberal (O’Donnell) Progressistes (Mendizábal, Espartero, Prim) Demòcrates Republicans: Federals (Pi i Margall) Unitaris (Castelar) Guerra de la Independència Ferran VII Isabel II Sexenni Democràtic Moderats : terratinents, comerciants i intel·lectuals conservadors amb vella noblesa, clero i militars sobirania compartida Corts-corona dret de propietat com a garantia d’ordre i sufragi censatari restringit partidaris de l’autoritat i l’ordre social drets limitats (premsa, opinió...) defensen la confessionalitat de l’Estat Progressistes : burgesia mitjana i petita, oficialitat mitjana militar, classes mitjanes urbanes sobirania nacional i predomini del poder legislatiu dret de propietat i sufragi censatari no tan restringit enfortiment poders locals amplis drets individuals reforma agrària i limitació de la influència de l’església Demòcrates : classes populars urbanes sobirania popular, sufragi universal masculí, cambra única ampliació drets i llibertats elecció ajuntaments i diputacions presència estat en l’ensenyament i beneficència llibertat de culte Republicans : defensa república com a opció més democràtica caràcter més social i popular
3. La construcció de l’Estat liberal (1833-1868) 3.4. La dècada moderada (1844-1854) i 3.5. El bienni progressista (1854-56) La construcció de l’Estat liberal travessa dècada moderada (1844-54) destaca Constitució  (1845): manté declaració drets i llibertats anteriors (restringides amb lleis posteriors), sobirania conjunta rei i Corts, molts poders a la Corona (nomenar ministres, dissoldre Corts, facultat de nomenar el Senat), restricció dret de vot (1% població) bienni progressista (1854-56) desamortització béns de l’Estat, l’Església, ordes militars, confraries, institucions benèfiques i sobretot del ajuntaments o comunals (1855,  Madoz ) lleis de ferrocarrils i mines (1855), permetent el capital estranger reforestació, telègraf, ampliació carreteres, fomentar societats anònimes destaca eleccions 1844 i victòria electoral moderada (Narváez) objectiu: estructurar el nou Estat a partir del liberalisme moderat (crear una legislació bàsica i normalitzar el funcionament de les institucions liberals) Concordat (1851): accepta desamortització, finançament públic del culte i el clergat reforma política i administrativa: llei de funcionaris, enfortiment governs civils i militars, Llei d’Administració Local (1845) (nomenament d’alcaldes per corona i governadors civils) reforma fiscal i modernització hisenda (1845): contribució directa segons propietat unificació i codificació legal: Codi Penal (1848) i projecte de Civil amb voluntat unificadora reformes educatives: recuperació de competències educatives per part de l’Estat i sistema nacional d’instrucció pública amb plans d’estudis únics (Llei Moyano) dissolució Milícia Nacional i creació Guardia Civil (1844) unificació pesos i mesures i sistema mètric decimal 2ª guerra carlista (dels Matiners) (1846-9) i revolta dels sectors urbans demòcrates autoritarisme a partir de 1852: descontentament social i d’un sector moderat promunciament de Vicálvaro i  Manifest de Manzanares  (1854) elaborat per la unió de progressistes i alguns moderats, al que s’afegeixen caps militars i aixecaments populars Espartero cap d’un govern de progressistes, unionistes i demòcrates: restaurar principis del progressisme moviments radicals i obreristes (reducció impostos de consum, abolició quintes, millores salarials, reducció jornada treball; l’any 1856 va continuar amb destrucció collites, crema de fàbriques i revoltes populars) discrepàncies coalició govern, dimissió Espartero i govern O’Donnell
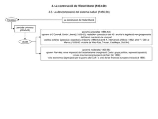
3. La construcció de l’Estat liberal (1833-68) 3.6. La descomposició del sistema isabelí (1856-68) període unionista (1856-68) governs unionistes (1856-63): govern d’O’Donnell (Unión Liberal) (1856-63): restableix constitució del 45 i anul·la la legislació més progressista del bienni mantenint-ne una part política exterior agressiva: expedició a Indoxina (1858-63) amb F, intervenció a Mèxic (1862) amb F i GB i al Marroc (1859-60: victòria de Wad-Ras; Tetuan, Castillejos, Sidi Ifni) dividit La construcció de l’Estat liberal travessa governs moderats (1863-68): govern Narváez: nova imposició de l’autoritarisme (marginació Corts i grups polítics, repressió oposició) noves insurreccions (sargents de San Gil, 1866) crisi economica (agreujada per la guerra als EUA i la crisi de les finances europees iniciada al 1866)

Esquema formació estat liberal

  • 1.
    3. La construccióde l’Estat liberal (1833-1868) 3.1. La primera guerra carlina (1833-40) i 3.2. El procés de revolució liberal (1833-1843) La construcció de l’Estat liberal travessa anys de predomini progressista (1833-43) a la vegada que 1ª guerra carlina (1833-39) enfronta carlins (tradicionalistes i antiliberals) / isabelins o liberals afecta principals nuclis: País Basc, Navarra, interior català, nord de València i sud d’Aragó zona d’influència: bona part del nord d’Espanya i Meseta N. acaba Conveni de Bergara (Abrazo de Vergara) (1839) entre Espartero i Maroto destaca Zumalacárregui, mort al setge de Bilbao (1835) Cabrera: incursions pel Maestrat i el Baix Aragó fracàs de l’expedició a Madrid, dirigida per Carles (1837) tàctica de guerrilles i actes propis de delinqüència rural i bandolerisme destaca governs de transició (1833-6): - absolutistes moderats: tímides reformes sense canvis essencials (províncies) liberals moderats: Estatut Reial (1834): amplis poders al monarca, dues cambres (aristòcrates i d’elecció molt restrictiva), sense sobir. nacional ni separació de poders divisió liberal: moderats (suport de la corona) i progressistes revoltes populars, formació Juntes (estiu 1835) i govern progressita (Mendizábal) destitució, noves revoltes, motí de La Granja i tornada progressista (1836) progressistes en el poder (VIII-36/X-37) : -reforma agrària : dissolució règim senyorial conservant propietat (1837), abolició delmes (1837), desvinculació patrimonis (1837), desamortització terres dels ordes religiosos i incautació estatal (1836) -liberalització de l’economia : abolició privilegis Mesta (1936), dret de vallar les terres i explotació lliure de muntanyes o vinyes (1833-4), llibertat d’arrendaments agraris, llibertat de preus i de comerç interior de molts productes (1836), abolició privilegis gremials i llibertat d’indústria i comerç (1836) -Constitució (1837): sobirania nacional, declaració de drets i llibertats, divisió de poders, segona cambra (Senat), concessió poders a la corona (vet, dissolució parlament, nomenar i separar ministres lliurement) - altres : llibertat d’imprenta, Llei electoral (sufragi censatari: 2,4% població) alternança moderats-progressistes (1837-43) : -victòria electoral i govern moderat (1837-40): mesures que es responen amb revoltes populars (Juntes) i la dimissió de M.Cristina lliurament del poder a Espartero (1840) com a regent: actuacions contra les posicions radicals, aranzel lliurecanvista de 1842 (revolta a Barcelona i bombardeig ciutat) 1843: aixecaments armats de moderats (Narváez) i progressistes (Prim) contra Espartero i revoltes populars a Barcelona (Jamància) nou govern progressista: enfrontament amb les revoltes radicals (Jamància: IX/XI-1843) i bombardeig Barcelona (Prim) proclamació majoria d’edat Isabel II (XI-43)
  • 2.
    3. La construccióde l’Estat liberal (1833-1868) 3.3. Les agrupacions polítiques Absolutistes (Fernandins) Carlins (1ª guerra: 1833-39) Carlins (2ª guerra o “dels Matiners”: 1846-49) Carlins (3ª guer.: 1869-75) Afrancesats (Bonapartistes) Liberals Moderats (Mtnez. de la Rosa) Moderats (Narváez) Monàrquics (Amadeistes i Alfonsins) Exaltats (Riego) Isabelins Unió Liberal (O’Donnell) Progressistes (Mendizábal, Espartero, Prim) Demòcrates Republicans: Federals (Pi i Margall) Unitaris (Castelar) Guerra de la Independència Ferran VII Isabel II Sexenni Democràtic Moderats : terratinents, comerciants i intel·lectuals conservadors amb vella noblesa, clero i militars sobirania compartida Corts-corona dret de propietat com a garantia d’ordre i sufragi censatari restringit partidaris de l’autoritat i l’ordre social drets limitats (premsa, opinió...) defensen la confessionalitat de l’Estat Progressistes : burgesia mitjana i petita, oficialitat mitjana militar, classes mitjanes urbanes sobirania nacional i predomini del poder legislatiu dret de propietat i sufragi censatari no tan restringit enfortiment poders locals amplis drets individuals reforma agrària i limitació de la influència de l’església Demòcrates : classes populars urbanes sobirania popular, sufragi universal masculí, cambra única ampliació drets i llibertats elecció ajuntaments i diputacions presència estat en l’ensenyament i beneficència llibertat de culte Republicans : defensa república com a opció més democràtica caràcter més social i popular
  • 3.
    3. La construccióde l’Estat liberal (1833-1868) 3.4. La dècada moderada (1844-1854) i 3.5. El bienni progressista (1854-56) La construcció de l’Estat liberal travessa dècada moderada (1844-54) destaca Constitució (1845): manté declaració drets i llibertats anteriors (restringides amb lleis posteriors), sobirania conjunta rei i Corts, molts poders a la Corona (nomenar ministres, dissoldre Corts, facultat de nomenar el Senat), restricció dret de vot (1% població) bienni progressista (1854-56) desamortització béns de l’Estat, l’Església, ordes militars, confraries, institucions benèfiques i sobretot del ajuntaments o comunals (1855, Madoz ) lleis de ferrocarrils i mines (1855), permetent el capital estranger reforestació, telègraf, ampliació carreteres, fomentar societats anònimes destaca eleccions 1844 i victòria electoral moderada (Narváez) objectiu: estructurar el nou Estat a partir del liberalisme moderat (crear una legislació bàsica i normalitzar el funcionament de les institucions liberals) Concordat (1851): accepta desamortització, finançament públic del culte i el clergat reforma política i administrativa: llei de funcionaris, enfortiment governs civils i militars, Llei d’Administració Local (1845) (nomenament d’alcaldes per corona i governadors civils) reforma fiscal i modernització hisenda (1845): contribució directa segons propietat unificació i codificació legal: Codi Penal (1848) i projecte de Civil amb voluntat unificadora reformes educatives: recuperació de competències educatives per part de l’Estat i sistema nacional d’instrucció pública amb plans d’estudis únics (Llei Moyano) dissolució Milícia Nacional i creació Guardia Civil (1844) unificació pesos i mesures i sistema mètric decimal 2ª guerra carlista (dels Matiners) (1846-9) i revolta dels sectors urbans demòcrates autoritarisme a partir de 1852: descontentament social i d’un sector moderat promunciament de Vicálvaro i Manifest de Manzanares (1854) elaborat per la unió de progressistes i alguns moderats, al que s’afegeixen caps militars i aixecaments populars Espartero cap d’un govern de progressistes, unionistes i demòcrates: restaurar principis del progressisme moviments radicals i obreristes (reducció impostos de consum, abolició quintes, millores salarials, reducció jornada treball; l’any 1856 va continuar amb destrucció collites, crema de fàbriques i revoltes populars) discrepàncies coalició govern, dimissió Espartero i govern O’Donnell
  • 4.
    3. La construccióde l’Estat liberal (1833-68) 3.6. La descomposició del sistema isabelí (1856-68) període unionista (1856-68) governs unionistes (1856-63): govern d’O’Donnell (Unión Liberal) (1856-63): restableix constitució del 45 i anul·la la legislació més progressista del bienni mantenint-ne una part política exterior agressiva: expedició a Indoxina (1858-63) amb F, intervenció a Mèxic (1862) amb F i GB i al Marroc (1859-60: victòria de Wad-Ras; Tetuan, Castillejos, Sidi Ifni) dividit La construcció de l’Estat liberal travessa governs moderats (1863-68): govern Narváez: nova imposició de l’autoritarisme (marginació Corts i grups polítics, repressió oposició) noves insurreccions (sargents de San Gil, 1866) crisi economica (agreujada per la guerra als EUA i la crisi de les finances europees iniciada al 1866)