1
KAJIAN EKSPERIMENTAL SLING PUMP KERUCUT
MENGGUNAKAN WATER SWIVEL JOINT SEBAGAI PENGGANTI ROTARY SEAL
DENGAN VARIASI KECEPATAN PUTAR
Awet Setiawan 20120130138
Universitas Muhammadiyah Yogyakarta, Teknik Mesin, Yogyakarta 55138, Indonesia
Awet.Setiawan@gmail.com
Abstract
Sumber energi terbarukan di Indonesia perlu dioptimalkan, sehingga pemakaian energi fosil yang berlebihan
dapat diminimalisir. Salah satu pemanfaatan energy terbarukan adalah energi air. Aliran air dapat dimanfaatkan sebagai
penggerak sling pump, yaitu pompa dengan konstruksi rangka tabung atau kerucut yang memiliki komponen propeller
untuk mengkonversi aliran sungai menjadi energi putaran. Penelitian ini bertujuan untuk mengevaluasi unjuk kerja sling
pump dengan memvariasikan putaran dan mendapatakan hasil yang optimal dengan mengganti water mur dari penelitan
terdahulu dengan water swivel joints.
Penelitian ini dilakukan pada skala laboratorium menggunakan selang plastik dengan diameter 3/4” yang
dililitkan pada rangka sling pump .Kecepatan putar (rpm) sling pump dibuat variasi yaitu 30, 40, dan 50 rpm, panjang
pipa dilevery 6 m dengan ketinggian dilevery adalah 2 m, dan presentase pencelupan konstan 80%, Kemudian sling
pump diputar menggunakan motor listrik. Data yang diperoleh adalah dabit air yang keluar dan tekanan, dan
perhitungan aliran menggunakan aliran 1 fase.
Pada pengujian ini diperoleh debit air yang dihasilkan oleh sling pump dengan vairiasi kecepatan putar (rpm)
menghasilkan debit air optimum yaitu 7 liter/menit. Seta dari hasil pengujian diketahui bahwa, Penggunaan water
swivel joint memiliki debit air yang lebih besar dibandingkan sling pump yang menggunakan water mur.
Keywords:Sling pump , water swivel joint, rpm, energi terbarukan.
1. Pendahuluan
Energi fosil yang sering kita pakai sehari-hari
semakin lama semakin berkurang atau menipis. Karena
banyaknya pemakaian yang tidak terkontrol
sehingga menimbulkan kelangkaan atau bahkan habis
sama sekali. Untuk itu sekarang perlu dipikirkan
adanya energi alternatif untuk pengganti dari energi
yang biasanya sering dipakai . Paradigma bahwa
manusia sangat tergantung dengan energi listrik dan
minyak bumi sudah begitu kuat, sehingga tidak banyak
orang tahu kalau pengembangan energi terbarukan
sudah banyak dikembangkan dan mulai diaplikasikan
di kehidupan sehari-hari. Salah satu pemanfaatan
energy terbarukan adalah energi air pada aliran sungai,
yang dimanfaatkan sebagai penggerak sling pump,
yaitu pompa alternatif energi terbarukan yang
kontruksinnya terdiri dari lilitan selang yang melilit
pada rangka. Pada bagian depan rangka tersebut
terdapat komponen propeller yang berfungsi sebagai
pengubah (konversi) energi kinetik aliran sungai
menjadi energi putaran. Efek dari putaran propeller,
menyebabkan lilitan selang merauk air terus-menerus
sehingga timbul gaya tekan dan laju aliran massa air di
sepanjang lilitan selang. Akibatnya, air dapat berpindah
dari tempat yang elevasinya rendah ke tempat yang
elevasinya lebih tinggi melalui sebuah pipa delivery.
Penelitian tentang sling pump terus dilakukan
guna memperoleh kinerja optimal. Sebelumnya unjuk
kerja sling pump dengan menggunakan variasi
Kecepatan Putar sling pump dan variasi persentase
pencelupan sling pump 50%, 60%, 70%, 80%, pernah
diteliti oleh Kurniawan (2015) pada pengujian ini
diperoleh debit yang dihasilkan semakin bertambah
pada kecepatan putar 30 dan 40 rpm. Serta debit
optimal pada kecepatan 50 rpm dengan kondisi
pencelupan 50% yaitu sebesar 4,71 liter/menit.
Tugas Akhir ini mengembangkan penelitian unjuk
kerja sling pump dengan variasi kecepatan putar sling
pump dan pengaruh penggunaan water swivel joint
sebagai pengganti rotary seal terhadap debit yang
dihasilkan . Hal ini dilakukan karena debit yang
dihasilkan oleh penelitian sebelumnya masih relatif
rendah. Sehingga dengan pergantian rotary seal
menggunakan water swivel joint, kecil kemungkinan
terjadinya kebocoran, dan diharapkan akan
meningkatkan head dan debit yang dihasilkan.
Tujuan dari penelitian ini adalah:
1. Mengevaluasi unjuk kerja sling pump dengan
pergantian rotary seal menggunakan water
swivel joint.
2. Mengidentifikasi debit air yang optimal
dengan variasi kecepatan putar dengan kondsi
pencelupan sling pump konstan.
3. Membandingkan debit yang dihasilkan
terhadap penelitian serupa yang
pernah dilakukan.
2. Tinjauan Pustaka Dan Dasar Teori
2.1. Kajian Pustaka
Penelitian tentang sling pump pernah dilakukan
oleh peneliti sebelumnya skala laboratorium tipe
kerucut yaitu dengan variasi kecepatan putaran 30, 40,
50 rpm, dan persentase pencelupan .
2
Berdasarkan penelitian tersebut diperoleh
hasil pada sling pump tipe kerucut dengan variasi
kecepatan putaran hasil optimal terjadi pada putaran 50
Rpm yaitu dengan debit 2,5 liter/menit (Rakhman,
2009). Kurniawan (2015) prnah melakukan penelitian
unjuk kerja sling pump jenis kerucut menggunakan
variasi kecepatan putar sling pump 30, 40, dan 50 rpm
dengan kondisi pencelupan 50% sampai 90%. Dari
hasil penelitian diketahui debit optimal terjadi pada
kecepatan 50 rpm dengan kondisi pencelupan 50%
yaitu sebesar 4,71 liter/menit.
Pada penelitian yang pernah dilakukan dengan
menggunakan water mur sebagai rotary seal, debit dan
Head yang di hasilkan kurang optimal. Hal ini
disebabkan oleh kebocoran yang terjadi pada water
mur. Rotary seal berfungsi menghubungkan putaran
Sling Pump ke Pipa delivery yang tidak berputar. Oleh
sebab itu dalam penelitian ini digunakan water swivel
joint untuk mengganti penggunaan water mur sebagai
roraty seal serta membandingkan pengaruh kecepatan
putar sling pump terhadap debit yang dihasilkan dan
membandingkan hasil dengan penelitian sebelumnya.
2.2. Dasar Teori
Pada kisaran tahun 287–212 SM, seorang yang
bernama Archimedes menemukan sebuah piranti untuk
memindahkan air dari danau ke saluran irigasi
pertanian Syiracuse di Sicily. Alat ini kemudian dikenal
dengan sebutan “Archimedean Screw Pumps”.
(Wikipedia).
Prinsip kerja Archimedean Screw Pump adalah
dengan putaran ujung engkol, maka air akan naik dari
daerah yang elevasinya rendah ke daerah yang
elevasinya lebih tinggi.
Gambar 2.1. Arhimedean screw pump
(Sumber:oliversalt.wordpress.com)
a. Sling Pump
Berdasarkan prinsip kerja Arhimedean screw
pump, diperlukan beberapa modifikasi untuk
memperoleh suatu pompa yang bersifat non
konvensional namun tidak memerlukan energi listrik.
Modifikasi ini terfokus pada penggantian ulir pipa
pompa dengan lilitan selang yang dililitkan ke rangka
pompa dan penggantian poros engkol pompa dengan
sebuah propeller. Pompa ini memerlukan energi aliran
untuk memutar propellernya. Oleh karena itu, hasil
modifikasi pompa ini hanya dapat diaplikasikan pada
air yang mengalir sepanjang waktu seperti sungai.
Gambar 2.2. Kerangka sling pump jenis kerucut
(Sumber: www.jtminvest.se/slingpump.htm)
Sling pump memiliki beberapa kelebihan yaitu
konstruksi sling pump sederhana, mudah perawatan,
jumlah komponen sedikit, biaya murah,
pengoperasiannya aman dan mampu beroperasi terus
menerus selagi ada aliran sungai. Sedangkan
kekurangan sling pump yaitu debit yang dihasilkan
relatif kecil, debit yang dihasilkan tergantung oleh
kecepatan arus sungai, dan relatif digunakan untuk
head yang rendah.
b. Water Swivel Joint
Pengunaan Water Swivel Joint merupakan
komponen penting dalam industry pengeboran. Swivel
terletak pada bagian paling atas dari rangkaian pipa bor
Alat ini mempunyai fungsi sebagai berikut:
a. Memberikan perpaduan gerak vertikal dengan
gerak berputar dapat bekerja bersama-sama.
b. Untuk meneruskan aliran lumpur dari alat
yang tidak bergerak ke peralatan yang
bergerak pada rangkaian pemboran.
c. Kecepatan Aliran
Kecepetan aliran air didalam pipa dapat
dihitung dengan terlebih dahulu menghitung debit
aktual rata-rata dan luas penampangnya, yang dimana
rumus debit aktual rata-rata:
n
Q
Q

Luas penampang pipa (A) adalah:
2
4
1
dA  
Dengan demikian kecepatan aliran (v) air dapat
dihitung menggunakan rumus:
A
Q
v 
d. Aliran Laminar Dan Turbulen
Aliran laminar adalah suatu aliran fluida yang
sifat alirannya cenderung stabil. Aliran laminar akan
mengalami ketidakstabilan ketika memiliki viskositas
dan kecepatan tinggi. Pada kondisi ini, aliran akan
cenderung menjadi aliran turbulen.
Re < 2300 = Laminar
2300 < Re < 4000 = Transisi
Re > 4000 = Turbulen

 dv
d
..
Re 
dengan, - v : Kecepatan aliran (m/s)
-ρ : Massa jenis ( kg/m3)
-μ : Viskositas dinamik (kg/m.s)
- Red : Bilangan Reynolds
- d : Diameter dalam pipa (m)
3
f. Persamaan Kontinuitas
Aliran fluida internal tak mampu mampat atau
incompressible adalah aliran di dalamsuatu garis aliran
yang penampangnya berupa kurva tertutup dan massa
jenis fludia sepanjang medan aliran adalah tetap (tidak
berubah). Persamaan disebut dengan persamaan
kontiunitas. Dalam bentuk lain persamaan kontiunitas
ini dapat ditulis:
QvAvA  2211 ..
dengan, - Q : Debit (m3/s)
- v : Kecepatan aliran (m/s2)
- A : Luas penampang (m2)
g. Prinsip Bernoulli
Prinsip Bernoulli adalah sebuah istilah di dalam
mekanika fluida yang menyatakan bahwa jika pada
suatu aliran fluida mengalami peningkatan kecepatan
dan ketinggian fluida terhadap suatu referensi maka
akan menimbulkan penurunan tekanan pada aliran
tersebut.
tetapvgzP  2
2
1

dengan, - v : Kecepatan fluida (m/s)
- g : Percepatan gravitasi bumi (m/s2)
- z : Ketinggian relatif (m)
- P : Tekanan fluida (Pa)
Persamaan di atas, disebut dengan persamaan
Bernoulli yang digunakan untuk perhitungan aliran
fluida ideal atau tanpa gesekan dan tak mampu mampat
atau incompressible. Jika persamaan tersebut dikalikan
dengan volum jenis (Spesific Volume) dari suatu fluida
atau zat, maka persamaan Bernoulli akan menjadi:
2
22
22
11
1
2
1
2
1
vgz
P
vgz
P


Selanjutnya, persamaan tersebut kembali dikalikan
dengan percepatan gravitasi (1/g), maka bentuk
persaman Bernoulli menjadi:
g
v
z
P
g
v
z
P
22
2
2
2
2
2
1
1
1


h. Head Loss
Head loss adalah kehilangan energi mekanik
persatuan massa fluida. Sehingga satuan head
loss adalah satuan panjang yang setara dengan satu
satuan energi yang dibutuhkan untuk memindahkan
satu satuan massa fluida setinggi satu satuan panjang
yang bersesuaian.
Head loss dapat digolongkan menjadi 2 yaitu: Head
loss mayor dan Head loss minor. Kerugian major
disebut juga kehilangan energi primer atau kehilangan
energi akibat gesekan. Sedangkan Kerugian minor
disebut kehilangan energi sekunder atau kehilangan
energi akibat perubahan penampang dan aksesoris
lainnya. Misalnya terjadi pada pembesaran penampang
(expansion), pengecilan penampang (contraction), dan
belokan atau tikungan
Head total pompa yang harus disediakan untuk
mengalirkan sejumlah air seperti yang direncanakan,
dapat ditentukan dari kondisi pompa. Head total pompa
dapat ditulis sebagai berikut:
 
g
vv
zh
P
H LPump
2
2
1
2
2 




dengan,
- HPump : Head total pompa (m)
- z :Perbedaan ketinggian antar titik isap dan titik
keluar (m)
- ΔP :Perbedaan tekanan statik (m)
- γ : Berat jenis air per satuan volume (N/m3)
- hL :Kerugian aliran total dimana [hL = hLMY+ hLM]
- v2 : Kecepatan di titik isap (m/s)
- v1 : Kecepatan di titik keluar (m/s)
3. Metotologi Penelitihan
Pada Penelitihan ini dilakukan dengan Air dialirkan
sling pump melalui selang 3/4’’ menuju bak
penampung dengan variasi kecepatan putar 30, 40 dan
50 rpm pada kondisi pencelupan sling pump 80% di
dalam air dan ketinggian delivery 2 m.
3.1 Alat Penelitian
Di bawah ini adalah gambar sling pump skala
laboratorium sebagai alat penelitian.
Gambar 3.1 Sling pump skala laboratorium
Sling pump di putar oleh motor listrik sehingga air
masuk ke dalam lilitan selang. Kemudian air akan
mengalir masuk ke sisi inlet pada manifold segaris, lalu
air mengalir ke pipa hollow shaft menuju pipa delivery
dengan kecepatan aliran air dan tekanan yang berbeda.
Air yang mengalir dari pipa delivery akan mengalir
keluar lalu di tamping dengan bak penampungan pada
ketinggian 2 meter
Gambar 3.2. Skema alat uji sling pump
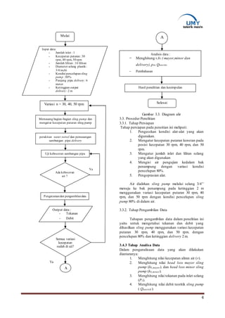
3.2. Diagram Alir Penelitian
4
Gambar 3.3. Diagram alir
3.3. Prosedur Penelitian
3.3.1. Tahap Persiapan
Tahap persiapan pada peneitian ini meliputi:
1. Pengecekan kondisi alat-alat yang akan
digunakan.
2. Mengatur kecepatan putaran konstan pada
posisi kecepatan 30 rpm, 40 rpm, dan 50
rpm.
3. Mengatur jumlah inlet dan lilitan selang
yang akan digunakan
4. Mengisi air pengujian kedalam bak
penampung dengan variasi kondisi
pencelupan 80%.
5. Pengoprasian alat.
Air dialirkan sling pump melalui selang 3/4’’
menuju ke bak penampung pada ketinggian 2 m
menggunakan variasi kecepatan putaran 30 rpm, 40
rpm, dan 50 rpm dengan kondisi pencelupan sling
pump 80% di dalam air.
3.3.2. Tahap Pengambilan Data
Tahapan pengambilan data dalam penelitian ini
yaitu untuk mengetahui tekanan dan debit yang
dihasilkan sling pump menggunakan variasi kecepatan
putaran 30 rpm, 40 rpm, dan 50 rpm. dengan
pencelupan 80% dan ketinggian delivery 2 m.
3.4.3 Tahap Analisa Data
Dalam penganalisaan data yang akan dilakukan
diantaranya:
1. Menghitung nilai kecepatan aliran air (v).
2. Menghitung nilai head loss mayor sling
pump (hL,mayor). dan head loss minor sling
pump (hL,minor).
3. Menghitung nilai tekanan pada inlet selang
(P1).
4. Menghitung nilai debit teoritik sling pump
( Qteoritik ).
Mulai
Input data:
- Jumlah inlet : 1
- Kecepatan putaran: 30
rpm, 40 rpm, 50rpm
- Jumlah lilitan : 16 lilitan
- Diameter selang plastik:
3/4 inchi
- Kondisi pencelupan sling
pump : 80%
- Panjang pipa delivery : 6
meter
- Ketinggian output
delivery : 2 m
Memasang bagian-bagian sling pump dan
mengatur kecepatan putaran sling pump
Uji kebocoran sambungan pipa
Ada kebocoran
air ?
Pengatamandan pengambilandata
Output data :
- Tekanan
- Debit
A
Variasi n = 30, 40, 50 rpm
Semua variasi
kecepatan
sudah di uji?
Ya
Ya
Analisis data :
- Menghitung v,h1 ( mayor,minor dan
delivery),pin, Qteoritis
- Pembahasan
Hasil penelitian dan kesimpulan
A
Selesai
perakitan water swivel dan pemasangan
sambungan pipa delivery
5
5. Plot kondisi pencelupan sling pump vs debit
aktual.
6. Plot kondisi pencelupan sling pump vs debit
teroritis.
7. Plot kondisi pencelupan sling pump vs
tekanan masuk.
8. Pembahasan.
4.1 Hasil Pengambilan Data
Data hasil penelitian sling pump skala
laboratorium dengan pergantian rotary seal dengan
water swivel joint disajikan seperti pada Tabel berikut.
Tabel 4.1 Data hasil pengujian sling pump variasi
kecepatan putar 30, 40, dan 50 rpm Pada ketinggian
delivery 2 meter.
Pengukuran Debit Sling Pump
Kecepatan
Putaran
(rpm)
Jumlah
lilitan
selang
Kondisi
tercelup
sling
pump
(%)
Tekanan
Indikator
(bar)
Debit (Q)
(liter/menit)
Debit (Q)
rata-rata
(liter/menit)
30 16
80
0,1
3,5
3.633,6
3,8
40 16 0,2
6,3
6,36,4
6,2
50 16 0,2
6,8
77
7,2
4.2 Perhitungan Kecepatan Aliran
Perhitungan kecepatan aliran air sling pump dengan
kecepatan putar 30 rpm pada ketinggian delivery 2 m
dan kondisi pencelupan 80%.
6
Dengan rumus dan metode seperti di atas, maka
kecepatan aliran air pada putaran 30, 40, dan 50 rpm
dengan kondisi pencelupan sling pump 80%, didalam
air disajikan dalam tabel berikut:
Tabel 4.2. Hasil perhitungan kecepatan air pada
putaran 30, 40, dan 50 rpm.
Kecepatan
Putar (rpm)
Kecepataan Aliran (m/s)
Pipa
Delivery
(3/4”)
Belokan
lekuk
panjang
(1”)
Pipa
(3/4”)
Pipa
(1”)
Pipa
Hollow
shaft
(inch)
Selang
(3/4”)
30 0,21 0,16 0,2 0,12 0,41 0,3
40 0,37 0,28 0,36 0,22 0,76 0,55
50 0,41 0,31 0,40 0,24 0,83 0,6
4.3 Perhitungan Head Kerugian (Head Loss)
4.3.1 Head Kerugian Gesek Sebagai Rugi Mayor
Head kerugian gesek sebagai rugi mayor pada
kecepatan putar 30 rpm dengan persentase pencelupan
sling pump 80%.
1. Perhitungan head kerugian pada pipa hollow shaft
Diketahui:
- Kecepatan aliran air dalam pipa (v) = 0,41m/s
7
- Panjang selang, L = 12cm = 0,12m
- Diameter dalam pipa, di = 1,5cm = 0,015m
- ρ = 996,59 Kg/m3
(Lampiran 1)
- µ = 0,000852 Kg/m3
(Lampiran 1)
Dihitung:
a. Bilangan reynolds (Re)

 dv 
Re
smKg
msmmKg
./000852,0
015,0/41,0./59,996
Re
3


69,7893Re 
Dari hasil tersebut dapat diketahui bahwa
aliran air pada pipa hollow shaft adalah
turbulen karena nilai Re > 4000.
b. Angka kekasaran relatif (k)
Untuk pipa galvanized iron dari tabel
angka kekasaran diperoleh angka kekasaran ε
= 0,15 mm
d
k


m
m
k
015,0
00015,0

mk 01,0
c. Koefesien gesek (f)
Berdasarkan bilangan Reynolds dan
angka kekasaran di atas, maka kerugian gesek
(f) diketahui dari diagram Moody sehingga
diperoleh kerugian gesek f = 0,04483
d. Head kerugian pada pipa hollow shaft (hl)
)/81,92(
)/41,0(
015,0
12,0
04483,0 2
2
sm
sm
m
m
hl


mhl 00307,0
2. Perhitungan head kerugian pada pipa 1’’
Diketahui:
- Kecepatan aliran air dalam pipa, v =
0,12m/s
- Panjang pipa, L = 15cm = 0,15m
- Diameter dalam pipa, di = 1” = 2,8cm =
0,028m
Dihitung:
a. Bilangan Reynolds (Re)

 dv
Re
smKg
msmmKg
./000852,0
028,0/12,0/59,996
Re
3


21,3930Re 
Dari hasil tersebut dapat diketahui
bahwa aliran air pada pipa 1’’ adalah transisi
karena nilai 21,3930 < Re > 4000
b. Angka kekasaran relatif (k)
Diasumsikan material pipa yang
digunakan adalah plastik, sehingga dari tabel
angka kekasaran pada lampiran 3 diperoleh
angka kekasaran, ε = 0,0015mm (Streeter,
1985).
d
k


m
m
k
028,0
0000015,0

mk 00005,0
c. Koefisien gesek (f)
Berdasarkan bilangan Reynolds dan
angka kekasaran diatas, maka kerugian gesek
(f) diketahui dari diagram Moody sehingga
diperoleh kerugian gesek f = 0,04017
d. Head kerugian pada pipa 1” (hl)
)/81,92(
)/12,0(
028,0
15,0
04017,0 2
2
sm
sm
m
m
hl


mhl 000157,0
3. Perhitungan head kerugian pada water swivel 3/4”.
Diketahui:
- Kecepatan aliran air dalam pipa (v) =
0,2m/s
- Panjang pipa, L = 0,42m
- Diameter dalam pipa, di = 3/4” = 2,2cm =
0,022m
Dihitung:
a. Bilangan reynold (Re)

 dv
Re
smKg
msmmKg
./000852,0
022,0/2,0/59,996
Re
3


70.,5146Re 
Dari hasil tersebut dapat diketahui
bahwa aliran air pada water swivel 3/4’’
adalah turbulen karena nilai Re > 4000.
b. Angka kekasaran relatif (k)
Diasumsikan material pipa yang
digunakan adalah plastik, sehingga dari tabel
angka kekasaran pada lampiran diperoleh
angka kekasaran, ε = 0,0015mm
d
k


m
m
k
022,0
0000015,0

)2(
2
g
v
d
L
fhl


)2(
2
g
v
d
L
fhl


8
mk 00006.0
c. Koefisien gesek (f)
Berdasarkan bilangan Reynolds dan
angka kekasaran di atas, maka kerugian gesek
(f) diketahui dari diagram Moody sehingga
diperoleh kerugian gesek f = 0,03715.
d. Head kerugian pada pipa water swivel (hl)
)/81,92(
)/2,0(
022,0
42,0
03715,0 2
2
sm
sm
m
m
hl


mhl 000144,0
4. Perhitungan head kerugian pada pipa belokan
panjang
Diketahui:
- Kecepatan aliran air dalam pipa, v = 0,16m/s
- Panjang pipa, L = 6m
- Diameter dalam pipa, di = 0,025m
Dihitung:
a. Bilangan reynolds (Re)

 dv
Re
smKg
msmmKg
./000852,0
025,0/16,0/59,996
Re
3


82,4678Re 
Dari hasil tersebut dapat diketahui
bahwa aliran air pada pipa delivery adalah
turbulen karena nilai Re > 4000
b. Angka kekasaran relatif (k)
Diasumsikan material pipa yang
digunakan adalah plastik, sehingga dari tabel
angka kekasaran pada lampiran 3 diperoleh
angka kekasaran, ε = 0,0015mm
d
k


m
m
k
019,0
0000015,0

mk 000078.0
c. Koefisien gesek (f)
Berdasarkan bilangan Reynolds dan
angka kekasaran di atas, maka kerugian gesek
(f) diketahui dari diagram Moody sehingga
diperoleh kerugian gesek f = 0,03818.
d. Head kerugian pada pipa selang (hl)
)/81,92(
)/16,0(
025,0
3,0
03818,0 2
2
sm
sm
m
m
hl


mhl 000597,0
5. Perhitungan head kerugian pada pipa delivery
Diketahui:
- Kecepatan aliran air dalam pipa, v = 0,21m/s
- Panjang pipa, L = 6m
- Diameter dalam pipa, di = 0,022m
Dihitung:
e. Bilangan reynolds (Re)

 dv
Re
smKg
msmmKg
./000852,0
022,0/21,0/59,996
Re
3


04,5404Re 
Dari hasil tersebut dapat diketahui
bahwa aliran air pada pipa delivery adalah
turbulen karena nilai Re > 4000.
f. Angka kekasaran relatif (k)
Diasumsikan material pipa yang
digunakan adalah plastik, sehingga dari tabel
angka kekasaran pada lampiran 3 diperoleh
angka kekasaran, ε = 0,0015mm
d
k


m
m
k
019,0
0000015,0

mk 000078.0
g. Koefisien gesek (f)
Berdasarkan bilangan Reynolds dan
angka kekasaran di atas, maka kerugian gesek
(f) diketahui dari diagram Moody sehingga
diperoleh kerugian gesek f = 0,03664.
h. Head kerugian pada pipa delivery(hl)
)/81,92(
)/21,0(
022,0
6
03664,0 2
2
sm
sm
m
m
hl


mhl 0224,0
)2(
2
g
v
d
L
fhl


)2(
2
g
v
d
L
fhl


)2(
2
g
v
d
L
fhl


9
 Head loss mayor pada kecepatan putar 30 rpmdengan
kondisi sling pump tercelup 80% di dalam air. Dengan
menggunakan langkah yang sama seperti di atas, hasil
perhitungan untuk variasi kecepatan lainnya disajikan
dalam tabel berikut :
Tabel 4.3 Head loss mayor pada kecepatan aliran air pada
ketinggian 2 meter dengan kondisi pengecelupan sling
pump 80% di dalam air dan kecepatan putar 30, 40, 50
rpm.
Kecepatan
Putar
(rpm)
Head Loss Mayor (hl) (m)
Ʃ Head
Loss
Minor
(m)
Pipa
hollow
shaft
Pipa 1’’
Pipa
3/4’’
water
swivel
Pipa
Delivery
30 0,00307 0,000157 0,000144 0,0224 0,02577
40 0,00987 0,000446 0,000398 0,0597 0,07041
50 0,01169 0,000519 0,000478 0,071 0,08369
4.3.2 Head Kerugian Gesek Sebagai Rugi Minor
Gambar 4.1 Rugi-rugi minor pada sling pump
Diketahui:
- Diameter lingkaran besar tirus, D1 = 40cm
- Diameter lingkaran kecil tirus, D2 = 13,2cm
- Diameter rangka, rr = 0,4cm
- Diameter selang, di = 2,505cm
- Jari-jari selang, ri = 1,2525cm
Dihitung:
1. Diameter lingkaran besar sling pump (Da)
)2()2( 11 drDD ra 
)505,22()4,02(40 cmcmcmDa 
cmDa 81,45
1.
2. Diameter lingkaran kecil sling pump (Db)
)2()2( 12 drDD ra 
)505,22()4,02(2,13 cmcmcmDa 
cmDa 01,19
3. Diameter rata-rata sling pump
2
ba
a
DD
D


2
01,1981,45 cmcm
Da


cmDa 41,32
4. Jari-jari rata-rata sling pump ( 𝑅̅)
2
D
R 
2
41,32 cm
R 
cmR 205,16
5. Jari-jari rata-rata lengkung sumbu belokan
pada sling pump (R)
irRD 
cmcmD 1252205,16 
cmD 952,14
 Head loss minor pada putaran 30 rpm dengan kondisi
sling pump tercelup 80% di dalam air.
1) Perhitungan rugi minor pada lilitan selang plastik
Diketahui:
- Kecepatan aliran air pada selang = 0,3m/s
- Diameter selang (di) = 0,0175m
- Jari-jari rata-rata sling pump = 16,205cm
Lilitan selang diasumsikan sebagai elbow 900,
dengan bilangan Reynolds adalah:

 Dv 
 1
Re
ms
kg
m
s
m
m
kg
000852,0
0175,03,059,996
Re
3


10
95,6140Re 
Karena bilangan Re > 4000, maka alirannya
adalah turbulen,sehingga dengan mengasumsikan
selang adalah pipa plastik, dari diagram Moody di
dapat faktor nilai kekasaran (k) selang adalah:
d
k


m
m
k
0175,0
0000015,0

mk 000085.0
Berdasarkan bilangan Reynolds dan
angka kekasaran (k) di atas, maka kerugian gesek
(f) diketahui dari diagram Moody sehingga
dipeoleh kerugian gesek, f = 0,035
Dengan menggunakan gambar (2.16)
panjang ekuivalen didapat harga Le/D adalah:
cm
cm
d
Le
905,1
205,16

cm
d
Le
506,18
Dari gambar (2.16) perbandingan panjang
ekuivalen selang didapatkan harga Le/D:
Harga koefisien tahanan lilitan selang
sebagai fungsi bilangan Reynolds yaitu:
D
L
fK e

25035,0 K
875,0K
Harga K diatas, adalah K untuk
seperempat lilitan selang. Untuk harga koefisien
tahanan seluruh lilitan selang adalah sebagai
berikut:
4 NKKtotal
Dimana :
Ktotal :Koefisien tahan seluru lilitan selang.
K :Koefisien tahanan untuk ¼ lilitan
selang.
N :Jumlah lilitan selang pada sling pump.
416825,0  totalK
56 totalK
Kerugian aliran disepanjang lilitan selang adalah:
)2(
2
g
v
KhLM


)/81,92(
)/3,0(
56 2
2
sm
sm
hLM


mhLM 25,0
2) Perhitungan head kerugian pada belokan
permukaanselang.
Diketahui:
- Belokan diasumsikan sebagai jenis
belokan siku lekuk panjang, dimana
menurut tabel koefisien kerugian tinggi-
tekan diperoleh nilai K = 2,2 (Streeter,
1985).
- Kecepatan air, v = 0,3m/s.
Dihitung :
Head kerugian pada belokan permukaan sling
pump (hl)
g
v
Khl
2
2

)/81,92(
)/3,0(
60,0 2
2
sm
sm
hl


mhl 00275,0
3) Perhitungan head kerugian pada belokan didalam
sling pump.
Diketahui :
- Belokan diasumsikan sebagai jenis
belokan balik berdekatan, dimana menurut
tabel koefisien kerugian tinggi-tekan
diperoleh nilai K = 2,2.
- Kecepatan air, v = 0,3m/s
Dihitung :
Head kerugian pada belokan dalam sling pump (hl)
g
v
Khl
2
2

)/81,92(
)/0,0(
2,2 2
2
sm
sm
hl


mhl 01,0
4) Perhitungan kerugian tinggi-tekan akibat
penyempitan mendadak (sudden contraction)
antara selang dan hollow shaft.
Diketahui :
- Diameter pipa selang (di) : d1 = 0,0175m
- Diameter hollow shaft (di) : d2 = 0,015m
- Kecepatan air pada hollow shaft, v = 0,67m
25
D
Le
11
Dihitung :
a. Luas penampang selang (A1)
2
11
4
1
dA  
2
1 )0175,0(
4
1
mA  
2
1 00024,0 mA 
b. Luas penampang hollow shaft (A2)
2
22
4
1
dA  
2
2 )015,0(
4
1
mA  
2
2 00017,0 mA 
c. Koefisien penyempitan
2
2
1
2
00024,0
00017,0
m
m
A
A

7,0
1
2

A
A
Maka harga koefisien penyempitan (Cc) untuk air
telah ditentukan oleh Weishbach dengan harga
0,775.
d. Head kerugian pada penyempitan selang
3/4” dan Hollow Shaft














)2(
)(
1
1 22
g
v
C
h
c
l














)/81,92(
)/67,0(
1
775,0
1
2
22
sm
sm
hl
mhl 0019,0
5) Perhitungan kerugian tinggi-tekan akibat
pembesaran mendadak (sudden expantion) antara
hollow shaft dan pipa 1”
Diketahui :
- Diameter pipa hollow shaft (di) : d2= 0,015m
- Diameter pipa 1” (di) : d3 = 0,028m
- Kecepatan air pada pipa 1”: v = 0,12m/s
Dihitung :
Head kerugian pada pembesaran penampang
22
3
2
2
1
)2(
)(

















d
d
g
v
hl
22
2
2
028,0
015,0
1
)/81,92(
)/12,0(

















m
m
sm
sm
hl
mhl 000373,0
6) Perhitungan kerugian tinggi-tekan akibat
penyempitan mendadak (sudden contraction)
antara pipa 1” dengan pipa 3/4”.
Diketahui :
- Diameter pipa 3/4” (di) : d4 = 0,022m
- Diameter pipa 1” (di) : d3 = 0,028m
- Kecepatan air pada pipa 3/4” : v = 0,2m/s
Dihitung :
a. Luas penampang pipa 1”
2
33
4
1
dA  
2
3 )028,0(
4
1
mA  
2
3 00061,0 mA 
b. Luas penampang pipa 3/4”
2
44
4
1
dA  
2
4 )022,0(
4
1
mA  
2
4 00038,0 mA 
c. Koefisien penyempitan (Cc)
2
2
3
4
00061,0
00038,0
m
m
A
A

6,0
3
4

A
A
Maka dari harga koefisien penyempitan (Cc)
untuk air telah ditentukan oleh Weishbach dengan
harga 0,712
d. Head kerugian pada penyempitan 2














)2(
)(
1
1 22
g
v
C
h
c
l














)/81,92(
)/2,0(
1
712,0
1
2
22
sm
sm
hl
mhl 00033,0
7) Perhitungan kerugian tinggi-tekan akibat
pembasaran mendadak (sudden expantion) antara
pipa 3/4” dan belokan lekuk panjang 1”.
Diketahui :
- Diameter pipa 3/4” (di) : d4 = 0,022m
- Diameter lekuk panjang 1” (di) : d5 = 0,025m
- Kecepatan air pada selang 1” :v = 0,16m/s
Dihitung :
Head kerugian pada pembesaran penampang
12
22
3
2
2
1
)2(
)(

















d
d
g
v
hl
22
2
2
025,0
022,0
1
)/81,92(
)/16,0(

















m
m
sm
sm
hl
mhl 000066,0
8) Perhitungan kerugian belokan pipa delivery
Diketahui :
- Kecepatan air pada pipa 3/4” : v = 0,31m/s
- Diameter : d = 0,022m
- Tinggi delivery : z = 0,5m
- Panjang delivery : L = 6m
Dihitung :
a. Sudut belokan (θ)
L
z
sin
Maka :
L
z
sin






 
m
m
6
2
sin 1

o
47,19
b. Koefisien kerugian
Berdasarkan sudut belokan di atas dan
diketahui permukaaan pipa halus maka kerugian
gesek (f) diketahui dari tabel koefisien kerugian
belokan pada (lampiran) sehingga diperoleh
kerugian gesek: f = 0,056
c. Kerugian belokan pipa delivery (hl)








)2(
2
g
v
d
L
fhl








)/81,92(
)/21,0(
022,0
6
056,0 2
2
sm
sm
m
m
hl
mhl 034,0
9) Perhitungan sudden contraction selang belokan 1”
dengan pipa delivery
Diketahui:
- Diameter belokan lekuk panjang 1” (di): d5 = 0,025m
- Diameter pipa delivery (di): d6= 3/4” = 0,022m
- Kecepatan aliran pada pipa delivery :v = 0,31m/s
Dihitung:
a. Luas penampang selang belokan 1”
2
55
4
1
dA  
2
5 )025,0(
4
1
mA  
mA 00049,04 
b. Luas penampang pipa delivery 3/4”
2
66
4
1
dA  
2
6 )022,0(
4
1
mA  
mA 00038,06 
c. Koefisien penyempitan (Cc)
2
2
5
6
00049,0
00038,0
m
m
A
A

775,0
4
5

A
A
Maka dari harga koefisien penyempitan (Cc)
untuk air dapat diketahui dari tabel koefisien
kontraksi (Cc) dengan harga 0,775.
d. Head kerugian pada penyempitan














)2(
)(
1
1 22
g
v
C
h
c
l














)/81,92(
)/31,0(
1
775,0
1
2
22
sm
sm
hl
mhl 00018,0
Dengan menggunakan langkah yang sama seperti
diatas, maka hasil perhitungan untuk kecepatan putar dan
kondisi tercelup sling pump lainnya disajikan dalam tabel
berikut :
Tabel 4.4. Hasil perhitungan Head Loss Minor
Sling Pump pada kecepatan putar 30, 40, dan 50 rpmdalam
kondisi tercelup sling pump 80%.
13
4.4. Perhitungan Tekanan Masuk dan Debit Teoritis
4.4.1. Tekanan Masuk, dan Debit Teoritis Pada
Kecepatan Putaran Sling Pump 30 rpm Dengan
Persentase Tercelup Sling Pump 80% Di Dalam
Air.
a. Perhitungan tekanan pada saat air masuk (P1)
Gambar 4.2. Tekanan (P) pada sling pump
Terdapat tiga sisi tekanan pada sling
pump yaitu Tekanan P1 pada sisi masuk air
terletak di inlet sling pump, Tekanan P2 terletak
pada alat pengukur tekanan (Pressure Gauge),
dan Tekanan P2 pada sisi keluar terletak di pipa
delivery. Tekanan (ΔP) berhubungan dengan head
loss (hL) pada sepanjang aliran sling pump.
Dimana :
orLmayorLL hh
g
PP
g
P
h min,,
31
3.1, 
















   
4
1
9
1
2
1
22n n g
v
K
g
v
D
L
fgP 
Diketahui :
- P2 = 0,1 bar = 0,1 x 104 pa (g)
- Ʃhfmayor = 0.02637 m
- Ʃhfminor = 0.2984 m
- ρ = 996,59kg/m3
, air pada suhu
ruangan 27o
C.
- g = 9,81m/s2
- P3 = 1 atm
Dihitung :
  )( min1 ormayor hfhfgP 
)2984,00.02637(/81.9/59,996 23
1 mmsmmkgP 
2
1 /12,3175 mskgP 
)(03175,011 gbaratmP 
)(03175,11 absP 
b. Perhitungan Debit Teoritis
Fluida yang berada pada debit teoritis
diasumsikan sebagai fluida satu fasa yaitu fasa
cair dan dihitung antara titik 2 dan titik 3. Kedua
titik tersebut diasumsikan hanya pada pipa
delivery karena yang lebih dominan.
Diketahui :
 f = 0.03939, diambil dari rata-rata
semua koefisien gesekpada
perhitungan head loss mayor.
 P2 = 0,1 bar = 10000 Pa
14
 ρ = 996,59kg/m3
, diasumsika air
pada suhu ruangan = 27o
C
 g = 9,81m/s2
 d = 3/4" = 0,022 m, pipa delivery
 L = 6 meter
Dihitung :
Hubungan ΔP dengan hL
 
g
pp
g
v
D
L
fh
g
P
h
i
L
L
..2
.. 32
2
3.2,
3.2,







sm
mmkg
mPa
Lf
dp
/36,1
603939.0/59,996
022.0100002
2
2
2














Maka debit teoritis dapat dicari dengan rumus berikut:
smQ
smmQ
vdQ
Teoritis
Teoritis
Teoritis
/000516,0
/36,1022,0
4
14,3
4
3
2
2




Dengan menggunakan langkah yang sama
seperti diatas, maka hasil perhitungan untuk tekanan
masuk, dan debit teoritis pada kecepatan putaran sling
pump 30, 40, dan 50 rpm dengan kondisi tercelup 80%
disajikan dalam tabel berikut :
Tabel 4.5. Hasil perhitungan tekanan masuk, debit aktual
dan debit teoritis.
Putaran
(rpm)
Kondisi
tercelup
Sling
Pump
Tekanan
Indikator
P2 (bar)
Tekanan
masuk p1
(bar)
Debit
Aktual
(m3/s)
Debit
Teoritis
(m3/s)
30
80%
0,1 0,03175 0,0000605 0,000516
40 0,2 0,09383 0,000105 0,00078
50 0,2 0,10612 0,000117 0,000795
4.5. Pembahasan Berdasarkan Grafik
4.5.1. Debit Aktual
Hasil dari penilitian dapat digambarkan dalam
grafik debit yang diperoleh berdasarkan variasi kecepatan
putaran sling pump dengan persentase pencelupan seperti
pada gambar di bawah ini:
Grafik 4.1. Pengaruh kecepatan putaran sling pump
terhadap debit aktual
Grafik 4.1. menunjukkan bahwa debit air yang dihasilkan
cenderung meningkat seiring dengan bertambahnya
kecepatan putar sling pump. Hal ini dikarenakan
meningkatnya volume air yang masuk pada lilitan selang.
Semakin tinggi kecepatan putaran sling pump juga
menghasilkan debit yang lebih besar. Hal ini terjadi karena
kecepatan dari air dan udara yang masuk ke corong pada
lilitan selang membuat aliran dalam pipa semakin
meningkat. Dari penelitian ini kondisi pencelupan di buat
konstan yaitu 80% di dalam air dengan ketinggian 2 m,
kondisi pencelupan tersebut dipilih karena dari hasil
percobaan dan dari penelitian sebelumnya kondisi debit
maksimum berada dalam kedalaman sling pump 80%.
Debit air yang dihasilkan pada kecepatan putar 50 rpm
tidak menunjukan perbedaan yang signifikan dari
kecepatan putar 40 rpm, kecepatan putar 50 rpmdianggagp
terlalu besar gaya sentrifugalnya sehingga kondisi ini
menyebabkan kerugian, karena air dalam penampungan
banyak yang terbuang keluar ketika air masuk pada corong
inlet, air tidak sepenuhnya masuk akan tetapi besarnya
gaya sentrifugal menyebabkan muntahan air dari inlet.
4.5.2. Tekanan Masuk
Tekanan masuk fluida berdasarkan variasi kecepatan
putaran sling pump dan persentase pencelupan sling pump
ditampilkan pada gambar di bawah ini:
3.63
6.3
7
0
2
4
6
8
30 40 50
DebitAktual(liter/menit)
Kecepatan Putar (rpm)
0.03169
0.09367
0.10594
0
0.02
0.04
0.06
0.08
0.1
0.12
30 40 50
Tekananmasuk(bar)
Kecepatan Putar (rpm)
15
Grafik 4.2. Pengaruh kecepatan putaran sling pump
terhadap tekanan masuk.
Berdasarkan grafik tersebut diketahui bahwa Seiring
dengan meningkatnya putaran (rpm), maka tekanan sisi
masuk (P1) dan tekanan yang terjadi pada sisi masuk (P2)
juga akan semakin besar. Dengan bertambahnya kecepatan
aliran air di dalam pipa maka head loss yang terjadi juga
semakin besar sehingga untuk mengatasi head loss tekanan
yang diperlukan pada sisi masuk akan semakin besar.
Tekanan inlet (P1) untuk mengalirkan air ke tempat yang
lebih tinggi harus lebih besar dari pada tekanan pada sisi
keluaran air (P3), karena harus melawan gaya grafitasi dan
head loss (Rakhman, 2009).
Tekanan yang terjadi pada sisi masuk (P1) berbeda dengan
sisi keluar (P3). Hal ini sesuai dengan persamaan
Bernaoulli yang dapat dijelaskan bahwa semakin besar
kecepatan fluida, maka tekanan yang terjadi akan semakin
kecil. Semakin besar debit yang dialirkan, maka semakin
kecil koefisien rugi-ruginya, dikarenakan semakin besar
debit maka semakin besar pula kecepatan fluida.
4.5.3. Perbandingan Berdasarkan Penelitian
Sebelumnya
Hasil dari penelitian yang terkait disajikan dalam tabel
berikut:
Tabel 4.6. Tabel perbandingan Qaktual penelitian sekarang
dengan Qaktual yang dihasilkan oleh Kurniawan (2015).
Putaran
(rpm)
Kondisi
terecelup
sling
pump (%)
panjang
pipa
delivery
(Ld)
(m)
Ketinggian
delivery
(m)
Penelitian
ini
Penelitian
(Kurniawan,
2015)
Qaktual
(liter/me
nit)
Qaktual
(liter/menit)
30
80 6 2
3,63 3,68
40 6,3 3,47
50 7 0,73
Sebelumnya juga dilakukan penelitian unjuk kerja
sling pump oleh Kurniawan (2015) dengan variasi
kecepatan dan persentase pencelupan menggunakan water
mur dan tinggi delivery 2 m. Berdasarkan tabel 4.7 dapat
dilihat bahwa penggantian water mur dengan water swivel
sebagai rotary seal berpengaruh besar pada debit yang
dihasilkan, penelitian menggunakan water swivel
menghasilkan debit lebih besar hal ini disebabkan pada
penelitian ini tidak dapat kebocoran air yang terjadi pada
rotary seal, yang mengakibatkan penurunan tekannan dan
kecilnya debit air.
5.1. Kesimpulan
Dari hasil penelitian ini diperoleh kesimpulan sebagai
berikut:
1. Kecepatan putaran sling pump merupakan faktor
yang berpengaruh terhadap debit yang dihasilkan.
Semakin besar kecepatan putaran sling pump
semakin besar pula debit yang dihasilkan.
2. pada penelitian ini tidak dapat kebocoran air yang
terjadi pada rotary seal, yang mengakibatkan
penurunan tekannan dan kecilnya debit. Sling
pump yang menggunakan water swivel joint
memiliki debit air yang lebih besar dibandingkan
sling pump yang menggunakan water mur pada
kecepatan putar 50 rpm dengan ketinggian
delivery 2 m debit air mencapai 7 liter/menit.
3. Pada kecepatan putar 50 rpm memiliki gaya
sentrifugal yang besar sehingga kondisi ini
menyebabkan kerugian, karena air dalam
penampungan banyak yang terbuang keluar ketika
air masuk pada corong inlet, air tidak sepenuhnya
masuk akan tetapi besarnya gaya sentrifugal
menyebabkan muntahan air dari inlet, untuk itu
kecepatan putar 40 rpm dalah kecepatan yang
derekomendasikan.
5.2. Saran
Penelitian yang dilakukan masih terdapat
kekurangan yang perlu diperbaiki kembali, oleh karena itu
saran untuk pengembangan selanjutnya adalah sebagai
berikut:
1. Bila ada penelitian lebih lanjut diharapkan untuk
aliran dalam pipa disimulasikan menggunakan
software sehingga menggunakan perhitungan 2
fasa.
2. Untuk penelitian lebih lanjut diharapkan dapat di
buat ulang versi sling pump untuk aliran sungai
sehingga dapat bermanfaat bagi masyarakat yang
belum dialiri listrik.
DAFTAR PUSTAKA
Kurniawan D. E. 2015, “Kajian Eksperimental Pengaruh
Variasi Kecepatan Putar Sling Pump Jenis Kerucut Dan
Kondisi Pencelupan Terhadap Unjuk Kerjanya”, UMY,
Yogyakarta
Giancoli, D. C. 1996. “Fisika”. Edisi Keempat. Erlangga.
Jakarta.
Giles, R. V., 1997, “Mekanika Fluida Dan Hidarulika”,
Jakarta, Erlangga
Ginanjar, E,. 2009, “Analisa pengaruh variasi ketinggian
dilevery terhadap unjuk kerja sling pump bentuk kerucut”,
UMY, Yogyakarta.
16
Haryono, 2010, “Analisa pengaruh variasi jumlah inlet dan
kecepatan putar terhadap unjuk kerja sling pump jenis
kerucut skala laboratorium”, UMY, Yogyakarta.
Hasbullah, R.H., 2010, “Studi pengaruh variasi jumlah
lilitan selang plastic dan kecepatan putar terhadap unjuk
kerja sling pump jenis kerucut skala laboratorium”, UMY,
Yogyakarta.
Hidayat, A.N., 2009, “Analisis pengaruh variasi kecepatan
putar terhadap debit air yang dihasilkan sling pump jenis
tabung”, UMY, Yogyakarta
King, H.W,. and Brater, E.F., 1963 “Handbook of
Hydraulics”, 5th Ed, Mc. Graw–Hill, New York.
Munson, dkk., 2003, “Mekanika Fluida”, Edisi ke-4, Jilid
1, Erlangga, Jakarta.
Olson, R.M. dkk. 1990. “Dasar-Dasar Mekanika Fluida
Teknik”. Edisi Kelima. Gramedia Pustaka Utama. Jakarta
Prabowo, A.A., 2009, “Penelitian pengaruh variasi putaran
terhadap unjuk kerja sling pump jenis kerucut skala
laboratorium”, UMY, Yogyakarta.
R.S,Ghiptu, J.K., 2002, “Teks Book of Machine Design”,
Euarasia Publishing House, New Delhi.
Rahkman, F.A., 2009, “Penelitian pengaruh variasi putaran
terhadap unjuk kerja sling pump jenis tirus skala
labororatorium”, UMY, Yogyakarta.
Ramli, M.I, Basar,M.F, dan Razik, 2013, “Natural Energy
Water Sling Pump”. ISSN 2278-3075 volume-3. IJITEE
Sajani, A., 2009, “Analisa pengaruh ketinggian dilevery
terhadap debit air yang dihasilkan sling pump bentuk
silinder”, UMY, Yogyakarta.
Streeter, V.L, dkk, 1985, “Mekanika Fluida”, Edisi delapan
jilid satu, Erlangga, Jakarta.
Sularso, Tahara. H, 2000, “Pompa dan Kompresor”,
Cetakan ke-7, Pradnya Paramita, Jakarta
Sularso., Kiyokatsu. S., 1997, “Dasar perencanaan dan
penelitianElemen Mesin”, Cetakan ke-9, Pradnya Paramita,
Jakarta.
Syamsuddin, 2015, “Studi Eksperimental Unjuk Kerja
Sling Pump Jenis Kerucut dengan Variasi Jumlah Lilitan
Selang Plastik dan Presentase Pencelupan”, UMY,
Yogyakarta.
Triatmodjo, Bambang, 1991. “Mekanika Fluida dan
Hidraulika”. Jilid 1
Wahyudi, D., 2009, “Analisis pengaruh variasi diameter
selang terhadap debit yang dihasilkan pada sling pump
bentuk silinder”, UMY, Yogyakarta.
White, F.M., 1998, “Fluida Mechanics”. 4th ed, Mc. Graw-
Hill, New York.
http://oliversalt.wordpress.com/2013/03/06/archimedes-
screw-pump/.Diakses tanggal 08-05-2016
http://www.citonline.com//mekanikal/Tikiview_blog_post_
Image.php?ImgId=259Diakses tanggal 08-05-2016
http ://www.jtminvest.se/slingpump.htm. Diakses tanggal
08-05-2016
http://www.riferam.com/sling/indek.html. Diakses tanggal
08-05-2016
https://www.renewablesfirst.co.uk/hydropower/hydropowe
r-learning-centre/archimedean-screw-hydro-turbine/.
Diakses tanggal 08-05-2016

Draft seminar awet setiawan 20120130138

  • 1.
    1 KAJIAN EKSPERIMENTAL SLINGPUMP KERUCUT MENGGUNAKAN WATER SWIVEL JOINT SEBAGAI PENGGANTI ROTARY SEAL DENGAN VARIASI KECEPATAN PUTAR Awet Setiawan 20120130138 Universitas Muhammadiyah Yogyakarta, Teknik Mesin, Yogyakarta 55138, Indonesia Awet.Setiawan@gmail.com Abstract Sumber energi terbarukan di Indonesia perlu dioptimalkan, sehingga pemakaian energi fosil yang berlebihan dapat diminimalisir. Salah satu pemanfaatan energy terbarukan adalah energi air. Aliran air dapat dimanfaatkan sebagai penggerak sling pump, yaitu pompa dengan konstruksi rangka tabung atau kerucut yang memiliki komponen propeller untuk mengkonversi aliran sungai menjadi energi putaran. Penelitian ini bertujuan untuk mengevaluasi unjuk kerja sling pump dengan memvariasikan putaran dan mendapatakan hasil yang optimal dengan mengganti water mur dari penelitan terdahulu dengan water swivel joints. Penelitian ini dilakukan pada skala laboratorium menggunakan selang plastik dengan diameter 3/4” yang dililitkan pada rangka sling pump .Kecepatan putar (rpm) sling pump dibuat variasi yaitu 30, 40, dan 50 rpm, panjang pipa dilevery 6 m dengan ketinggian dilevery adalah 2 m, dan presentase pencelupan konstan 80%, Kemudian sling pump diputar menggunakan motor listrik. Data yang diperoleh adalah dabit air yang keluar dan tekanan, dan perhitungan aliran menggunakan aliran 1 fase. Pada pengujian ini diperoleh debit air yang dihasilkan oleh sling pump dengan vairiasi kecepatan putar (rpm) menghasilkan debit air optimum yaitu 7 liter/menit. Seta dari hasil pengujian diketahui bahwa, Penggunaan water swivel joint memiliki debit air yang lebih besar dibandingkan sling pump yang menggunakan water mur. Keywords:Sling pump , water swivel joint, rpm, energi terbarukan. 1. Pendahuluan Energi fosil yang sering kita pakai sehari-hari semakin lama semakin berkurang atau menipis. Karena banyaknya pemakaian yang tidak terkontrol sehingga menimbulkan kelangkaan atau bahkan habis sama sekali. Untuk itu sekarang perlu dipikirkan adanya energi alternatif untuk pengganti dari energi yang biasanya sering dipakai . Paradigma bahwa manusia sangat tergantung dengan energi listrik dan minyak bumi sudah begitu kuat, sehingga tidak banyak orang tahu kalau pengembangan energi terbarukan sudah banyak dikembangkan dan mulai diaplikasikan di kehidupan sehari-hari. Salah satu pemanfaatan energy terbarukan adalah energi air pada aliran sungai, yang dimanfaatkan sebagai penggerak sling pump, yaitu pompa alternatif energi terbarukan yang kontruksinnya terdiri dari lilitan selang yang melilit pada rangka. Pada bagian depan rangka tersebut terdapat komponen propeller yang berfungsi sebagai pengubah (konversi) energi kinetik aliran sungai menjadi energi putaran. Efek dari putaran propeller, menyebabkan lilitan selang merauk air terus-menerus sehingga timbul gaya tekan dan laju aliran massa air di sepanjang lilitan selang. Akibatnya, air dapat berpindah dari tempat yang elevasinya rendah ke tempat yang elevasinya lebih tinggi melalui sebuah pipa delivery. Penelitian tentang sling pump terus dilakukan guna memperoleh kinerja optimal. Sebelumnya unjuk kerja sling pump dengan menggunakan variasi Kecepatan Putar sling pump dan variasi persentase pencelupan sling pump 50%, 60%, 70%, 80%, pernah diteliti oleh Kurniawan (2015) pada pengujian ini diperoleh debit yang dihasilkan semakin bertambah pada kecepatan putar 30 dan 40 rpm. Serta debit optimal pada kecepatan 50 rpm dengan kondisi pencelupan 50% yaitu sebesar 4,71 liter/menit. Tugas Akhir ini mengembangkan penelitian unjuk kerja sling pump dengan variasi kecepatan putar sling pump dan pengaruh penggunaan water swivel joint sebagai pengganti rotary seal terhadap debit yang dihasilkan . Hal ini dilakukan karena debit yang dihasilkan oleh penelitian sebelumnya masih relatif rendah. Sehingga dengan pergantian rotary seal menggunakan water swivel joint, kecil kemungkinan terjadinya kebocoran, dan diharapkan akan meningkatkan head dan debit yang dihasilkan. Tujuan dari penelitian ini adalah: 1. Mengevaluasi unjuk kerja sling pump dengan pergantian rotary seal menggunakan water swivel joint. 2. Mengidentifikasi debit air yang optimal dengan variasi kecepatan putar dengan kondsi pencelupan sling pump konstan. 3. Membandingkan debit yang dihasilkan terhadap penelitian serupa yang pernah dilakukan. 2. Tinjauan Pustaka Dan Dasar Teori 2.1. Kajian Pustaka Penelitian tentang sling pump pernah dilakukan oleh peneliti sebelumnya skala laboratorium tipe kerucut yaitu dengan variasi kecepatan putaran 30, 40, 50 rpm, dan persentase pencelupan .
  • 2.
    2 Berdasarkan penelitian tersebutdiperoleh hasil pada sling pump tipe kerucut dengan variasi kecepatan putaran hasil optimal terjadi pada putaran 50 Rpm yaitu dengan debit 2,5 liter/menit (Rakhman, 2009). Kurniawan (2015) prnah melakukan penelitian unjuk kerja sling pump jenis kerucut menggunakan variasi kecepatan putar sling pump 30, 40, dan 50 rpm dengan kondisi pencelupan 50% sampai 90%. Dari hasil penelitian diketahui debit optimal terjadi pada kecepatan 50 rpm dengan kondisi pencelupan 50% yaitu sebesar 4,71 liter/menit. Pada penelitian yang pernah dilakukan dengan menggunakan water mur sebagai rotary seal, debit dan Head yang di hasilkan kurang optimal. Hal ini disebabkan oleh kebocoran yang terjadi pada water mur. Rotary seal berfungsi menghubungkan putaran Sling Pump ke Pipa delivery yang tidak berputar. Oleh sebab itu dalam penelitian ini digunakan water swivel joint untuk mengganti penggunaan water mur sebagai roraty seal serta membandingkan pengaruh kecepatan putar sling pump terhadap debit yang dihasilkan dan membandingkan hasil dengan penelitian sebelumnya. 2.2. Dasar Teori Pada kisaran tahun 287–212 SM, seorang yang bernama Archimedes menemukan sebuah piranti untuk memindahkan air dari danau ke saluran irigasi pertanian Syiracuse di Sicily. Alat ini kemudian dikenal dengan sebutan “Archimedean Screw Pumps”. (Wikipedia). Prinsip kerja Archimedean Screw Pump adalah dengan putaran ujung engkol, maka air akan naik dari daerah yang elevasinya rendah ke daerah yang elevasinya lebih tinggi. Gambar 2.1. Arhimedean screw pump (Sumber:oliversalt.wordpress.com) a. Sling Pump Berdasarkan prinsip kerja Arhimedean screw pump, diperlukan beberapa modifikasi untuk memperoleh suatu pompa yang bersifat non konvensional namun tidak memerlukan energi listrik. Modifikasi ini terfokus pada penggantian ulir pipa pompa dengan lilitan selang yang dililitkan ke rangka pompa dan penggantian poros engkol pompa dengan sebuah propeller. Pompa ini memerlukan energi aliran untuk memutar propellernya. Oleh karena itu, hasil modifikasi pompa ini hanya dapat diaplikasikan pada air yang mengalir sepanjang waktu seperti sungai. Gambar 2.2. Kerangka sling pump jenis kerucut (Sumber: www.jtminvest.se/slingpump.htm) Sling pump memiliki beberapa kelebihan yaitu konstruksi sling pump sederhana, mudah perawatan, jumlah komponen sedikit, biaya murah, pengoperasiannya aman dan mampu beroperasi terus menerus selagi ada aliran sungai. Sedangkan kekurangan sling pump yaitu debit yang dihasilkan relatif kecil, debit yang dihasilkan tergantung oleh kecepatan arus sungai, dan relatif digunakan untuk head yang rendah. b. Water Swivel Joint Pengunaan Water Swivel Joint merupakan komponen penting dalam industry pengeboran. Swivel terletak pada bagian paling atas dari rangkaian pipa bor Alat ini mempunyai fungsi sebagai berikut: a. Memberikan perpaduan gerak vertikal dengan gerak berputar dapat bekerja bersama-sama. b. Untuk meneruskan aliran lumpur dari alat yang tidak bergerak ke peralatan yang bergerak pada rangkaian pemboran. c. Kecepatan Aliran Kecepetan aliran air didalam pipa dapat dihitung dengan terlebih dahulu menghitung debit aktual rata-rata dan luas penampangnya, yang dimana rumus debit aktual rata-rata: n Q Q  Luas penampang pipa (A) adalah: 2 4 1 dA   Dengan demikian kecepatan aliran (v) air dapat dihitung menggunakan rumus: A Q v  d. Aliran Laminar Dan Turbulen Aliran laminar adalah suatu aliran fluida yang sifat alirannya cenderung stabil. Aliran laminar akan mengalami ketidakstabilan ketika memiliki viskositas dan kecepatan tinggi. Pada kondisi ini, aliran akan cenderung menjadi aliran turbulen. Re < 2300 = Laminar 2300 < Re < 4000 = Transisi Re > 4000 = Turbulen   dv d .. Re  dengan, - v : Kecepatan aliran (m/s) -ρ : Massa jenis ( kg/m3) -μ : Viskositas dinamik (kg/m.s) - Red : Bilangan Reynolds - d : Diameter dalam pipa (m)
  • 3.
    3 f. Persamaan Kontinuitas Aliranfluida internal tak mampu mampat atau incompressible adalah aliran di dalamsuatu garis aliran yang penampangnya berupa kurva tertutup dan massa jenis fludia sepanjang medan aliran adalah tetap (tidak berubah). Persamaan disebut dengan persamaan kontiunitas. Dalam bentuk lain persamaan kontiunitas ini dapat ditulis: QvAvA  2211 .. dengan, - Q : Debit (m3/s) - v : Kecepatan aliran (m/s2) - A : Luas penampang (m2) g. Prinsip Bernoulli Prinsip Bernoulli adalah sebuah istilah di dalam mekanika fluida yang menyatakan bahwa jika pada suatu aliran fluida mengalami peningkatan kecepatan dan ketinggian fluida terhadap suatu referensi maka akan menimbulkan penurunan tekanan pada aliran tersebut. tetapvgzP  2 2 1  dengan, - v : Kecepatan fluida (m/s) - g : Percepatan gravitasi bumi (m/s2) - z : Ketinggian relatif (m) - P : Tekanan fluida (Pa) Persamaan di atas, disebut dengan persamaan Bernoulli yang digunakan untuk perhitungan aliran fluida ideal atau tanpa gesekan dan tak mampu mampat atau incompressible. Jika persamaan tersebut dikalikan dengan volum jenis (Spesific Volume) dari suatu fluida atau zat, maka persamaan Bernoulli akan menjadi: 2 22 22 11 1 2 1 2 1 vgz P vgz P   Selanjutnya, persamaan tersebut kembali dikalikan dengan percepatan gravitasi (1/g), maka bentuk persaman Bernoulli menjadi: g v z P g v z P 22 2 2 2 2 2 1 1 1   h. Head Loss Head loss adalah kehilangan energi mekanik persatuan massa fluida. Sehingga satuan head loss adalah satuan panjang yang setara dengan satu satuan energi yang dibutuhkan untuk memindahkan satu satuan massa fluida setinggi satu satuan panjang yang bersesuaian. Head loss dapat digolongkan menjadi 2 yaitu: Head loss mayor dan Head loss minor. Kerugian major disebut juga kehilangan energi primer atau kehilangan energi akibat gesekan. Sedangkan Kerugian minor disebut kehilangan energi sekunder atau kehilangan energi akibat perubahan penampang dan aksesoris lainnya. Misalnya terjadi pada pembesaran penampang (expansion), pengecilan penampang (contraction), dan belokan atau tikungan Head total pompa yang harus disediakan untuk mengalirkan sejumlah air seperti yang direncanakan, dapat ditentukan dari kondisi pompa. Head total pompa dapat ditulis sebagai berikut:   g vv zh P H LPump 2 2 1 2 2      dengan, - HPump : Head total pompa (m) - z :Perbedaan ketinggian antar titik isap dan titik keluar (m) - ΔP :Perbedaan tekanan statik (m) - γ : Berat jenis air per satuan volume (N/m3) - hL :Kerugian aliran total dimana [hL = hLMY+ hLM] - v2 : Kecepatan di titik isap (m/s) - v1 : Kecepatan di titik keluar (m/s) 3. Metotologi Penelitihan Pada Penelitihan ini dilakukan dengan Air dialirkan sling pump melalui selang 3/4’’ menuju bak penampung dengan variasi kecepatan putar 30, 40 dan 50 rpm pada kondisi pencelupan sling pump 80% di dalam air dan ketinggian delivery 2 m. 3.1 Alat Penelitian Di bawah ini adalah gambar sling pump skala laboratorium sebagai alat penelitian. Gambar 3.1 Sling pump skala laboratorium Sling pump di putar oleh motor listrik sehingga air masuk ke dalam lilitan selang. Kemudian air akan mengalir masuk ke sisi inlet pada manifold segaris, lalu air mengalir ke pipa hollow shaft menuju pipa delivery dengan kecepatan aliran air dan tekanan yang berbeda. Air yang mengalir dari pipa delivery akan mengalir keluar lalu di tamping dengan bak penampungan pada ketinggian 2 meter Gambar 3.2. Skema alat uji sling pump 3.2. Diagram Alir Penelitian
  • 4.
    4 Gambar 3.3. Diagramalir 3.3. Prosedur Penelitian 3.3.1. Tahap Persiapan Tahap persiapan pada peneitian ini meliputi: 1. Pengecekan kondisi alat-alat yang akan digunakan. 2. Mengatur kecepatan putaran konstan pada posisi kecepatan 30 rpm, 40 rpm, dan 50 rpm. 3. Mengatur jumlah inlet dan lilitan selang yang akan digunakan 4. Mengisi air pengujian kedalam bak penampung dengan variasi kondisi pencelupan 80%. 5. Pengoprasian alat. Air dialirkan sling pump melalui selang 3/4’’ menuju ke bak penampung pada ketinggian 2 m menggunakan variasi kecepatan putaran 30 rpm, 40 rpm, dan 50 rpm dengan kondisi pencelupan sling pump 80% di dalam air. 3.3.2. Tahap Pengambilan Data Tahapan pengambilan data dalam penelitian ini yaitu untuk mengetahui tekanan dan debit yang dihasilkan sling pump menggunakan variasi kecepatan putaran 30 rpm, 40 rpm, dan 50 rpm. dengan pencelupan 80% dan ketinggian delivery 2 m. 3.4.3 Tahap Analisa Data Dalam penganalisaan data yang akan dilakukan diantaranya: 1. Menghitung nilai kecepatan aliran air (v). 2. Menghitung nilai head loss mayor sling pump (hL,mayor). dan head loss minor sling pump (hL,minor). 3. Menghitung nilai tekanan pada inlet selang (P1). 4. Menghitung nilai debit teoritik sling pump ( Qteoritik ). Mulai Input data: - Jumlah inlet : 1 - Kecepatan putaran: 30 rpm, 40 rpm, 50rpm - Jumlah lilitan : 16 lilitan - Diameter selang plastik: 3/4 inchi - Kondisi pencelupan sling pump : 80% - Panjang pipa delivery : 6 meter - Ketinggian output delivery : 2 m Memasang bagian-bagian sling pump dan mengatur kecepatan putaran sling pump Uji kebocoran sambungan pipa Ada kebocoran air ? Pengatamandan pengambilandata Output data : - Tekanan - Debit A Variasi n = 30, 40, 50 rpm Semua variasi kecepatan sudah di uji? Ya Ya Analisis data : - Menghitung v,h1 ( mayor,minor dan delivery),pin, Qteoritis - Pembahasan Hasil penelitian dan kesimpulan A Selesai perakitan water swivel dan pemasangan sambungan pipa delivery
  • 5.
    5 5. Plot kondisipencelupan sling pump vs debit aktual. 6. Plot kondisi pencelupan sling pump vs debit teroritis. 7. Plot kondisi pencelupan sling pump vs tekanan masuk. 8. Pembahasan. 4.1 Hasil Pengambilan Data Data hasil penelitian sling pump skala laboratorium dengan pergantian rotary seal dengan water swivel joint disajikan seperti pada Tabel berikut. Tabel 4.1 Data hasil pengujian sling pump variasi kecepatan putar 30, 40, dan 50 rpm Pada ketinggian delivery 2 meter. Pengukuran Debit Sling Pump Kecepatan Putaran (rpm) Jumlah lilitan selang Kondisi tercelup sling pump (%) Tekanan Indikator (bar) Debit (Q) (liter/menit) Debit (Q) rata-rata (liter/menit) 30 16 80 0,1 3,5 3.633,6 3,8 40 16 0,2 6,3 6,36,4 6,2 50 16 0,2 6,8 77 7,2 4.2 Perhitungan Kecepatan Aliran Perhitungan kecepatan aliran air sling pump dengan kecepatan putar 30 rpm pada ketinggian delivery 2 m dan kondisi pencelupan 80%.
  • 6.
    6 Dengan rumus danmetode seperti di atas, maka kecepatan aliran air pada putaran 30, 40, dan 50 rpm dengan kondisi pencelupan sling pump 80%, didalam air disajikan dalam tabel berikut: Tabel 4.2. Hasil perhitungan kecepatan air pada putaran 30, 40, dan 50 rpm. Kecepatan Putar (rpm) Kecepataan Aliran (m/s) Pipa Delivery (3/4”) Belokan lekuk panjang (1”) Pipa (3/4”) Pipa (1”) Pipa Hollow shaft (inch) Selang (3/4”) 30 0,21 0,16 0,2 0,12 0,41 0,3 40 0,37 0,28 0,36 0,22 0,76 0,55 50 0,41 0,31 0,40 0,24 0,83 0,6 4.3 Perhitungan Head Kerugian (Head Loss) 4.3.1 Head Kerugian Gesek Sebagai Rugi Mayor Head kerugian gesek sebagai rugi mayor pada kecepatan putar 30 rpm dengan persentase pencelupan sling pump 80%. 1. Perhitungan head kerugian pada pipa hollow shaft Diketahui: - Kecepatan aliran air dalam pipa (v) = 0,41m/s
  • 7.
    7 - Panjang selang,L = 12cm = 0,12m - Diameter dalam pipa, di = 1,5cm = 0,015m - ρ = 996,59 Kg/m3 (Lampiran 1) - µ = 0,000852 Kg/m3 (Lampiran 1) Dihitung: a. Bilangan reynolds (Re)   dv  Re smKg msmmKg ./000852,0 015,0/41,0./59,996 Re 3   69,7893Re  Dari hasil tersebut dapat diketahui bahwa aliran air pada pipa hollow shaft adalah turbulen karena nilai Re > 4000. b. Angka kekasaran relatif (k) Untuk pipa galvanized iron dari tabel angka kekasaran diperoleh angka kekasaran ε = 0,15 mm d k   m m k 015,0 00015,0  mk 01,0 c. Koefesien gesek (f) Berdasarkan bilangan Reynolds dan angka kekasaran di atas, maka kerugian gesek (f) diketahui dari diagram Moody sehingga diperoleh kerugian gesek f = 0,04483 d. Head kerugian pada pipa hollow shaft (hl) )/81,92( )/41,0( 015,0 12,0 04483,0 2 2 sm sm m m hl   mhl 00307,0 2. Perhitungan head kerugian pada pipa 1’’ Diketahui: - Kecepatan aliran air dalam pipa, v = 0,12m/s - Panjang pipa, L = 15cm = 0,15m - Diameter dalam pipa, di = 1” = 2,8cm = 0,028m Dihitung: a. Bilangan Reynolds (Re)   dv Re smKg msmmKg ./000852,0 028,0/12,0/59,996 Re 3   21,3930Re  Dari hasil tersebut dapat diketahui bahwa aliran air pada pipa 1’’ adalah transisi karena nilai 21,3930 < Re > 4000 b. Angka kekasaran relatif (k) Diasumsikan material pipa yang digunakan adalah plastik, sehingga dari tabel angka kekasaran pada lampiran 3 diperoleh angka kekasaran, ε = 0,0015mm (Streeter, 1985). d k   m m k 028,0 0000015,0  mk 00005,0 c. Koefisien gesek (f) Berdasarkan bilangan Reynolds dan angka kekasaran diatas, maka kerugian gesek (f) diketahui dari diagram Moody sehingga diperoleh kerugian gesek f = 0,04017 d. Head kerugian pada pipa 1” (hl) )/81,92( )/12,0( 028,0 15,0 04017,0 2 2 sm sm m m hl   mhl 000157,0 3. Perhitungan head kerugian pada water swivel 3/4”. Diketahui: - Kecepatan aliran air dalam pipa (v) = 0,2m/s - Panjang pipa, L = 0,42m - Diameter dalam pipa, di = 3/4” = 2,2cm = 0,022m Dihitung: a. Bilangan reynold (Re)   dv Re smKg msmmKg ./000852,0 022,0/2,0/59,996 Re 3   70.,5146Re  Dari hasil tersebut dapat diketahui bahwa aliran air pada water swivel 3/4’’ adalah turbulen karena nilai Re > 4000. b. Angka kekasaran relatif (k) Diasumsikan material pipa yang digunakan adalah plastik, sehingga dari tabel angka kekasaran pada lampiran diperoleh angka kekasaran, ε = 0,0015mm d k   m m k 022,0 0000015,0  )2( 2 g v d L fhl   )2( 2 g v d L fhl  
  • 8.
    8 mk 00006.0 c. Koefisiengesek (f) Berdasarkan bilangan Reynolds dan angka kekasaran di atas, maka kerugian gesek (f) diketahui dari diagram Moody sehingga diperoleh kerugian gesek f = 0,03715. d. Head kerugian pada pipa water swivel (hl) )/81,92( )/2,0( 022,0 42,0 03715,0 2 2 sm sm m m hl   mhl 000144,0 4. Perhitungan head kerugian pada pipa belokan panjang Diketahui: - Kecepatan aliran air dalam pipa, v = 0,16m/s - Panjang pipa, L = 6m - Diameter dalam pipa, di = 0,025m Dihitung: a. Bilangan reynolds (Re)   dv Re smKg msmmKg ./000852,0 025,0/16,0/59,996 Re 3   82,4678Re  Dari hasil tersebut dapat diketahui bahwa aliran air pada pipa delivery adalah turbulen karena nilai Re > 4000 b. Angka kekasaran relatif (k) Diasumsikan material pipa yang digunakan adalah plastik, sehingga dari tabel angka kekasaran pada lampiran 3 diperoleh angka kekasaran, ε = 0,0015mm d k   m m k 019,0 0000015,0  mk 000078.0 c. Koefisien gesek (f) Berdasarkan bilangan Reynolds dan angka kekasaran di atas, maka kerugian gesek (f) diketahui dari diagram Moody sehingga diperoleh kerugian gesek f = 0,03818. d. Head kerugian pada pipa selang (hl) )/81,92( )/16,0( 025,0 3,0 03818,0 2 2 sm sm m m hl   mhl 000597,0 5. Perhitungan head kerugian pada pipa delivery Diketahui: - Kecepatan aliran air dalam pipa, v = 0,21m/s - Panjang pipa, L = 6m - Diameter dalam pipa, di = 0,022m Dihitung: e. Bilangan reynolds (Re)   dv Re smKg msmmKg ./000852,0 022,0/21,0/59,996 Re 3   04,5404Re  Dari hasil tersebut dapat diketahui bahwa aliran air pada pipa delivery adalah turbulen karena nilai Re > 4000. f. Angka kekasaran relatif (k) Diasumsikan material pipa yang digunakan adalah plastik, sehingga dari tabel angka kekasaran pada lampiran 3 diperoleh angka kekasaran, ε = 0,0015mm d k   m m k 019,0 0000015,0  mk 000078.0 g. Koefisien gesek (f) Berdasarkan bilangan Reynolds dan angka kekasaran di atas, maka kerugian gesek (f) diketahui dari diagram Moody sehingga diperoleh kerugian gesek f = 0,03664. h. Head kerugian pada pipa delivery(hl) )/81,92( )/21,0( 022,0 6 03664,0 2 2 sm sm m m hl   mhl 0224,0 )2( 2 g v d L fhl   )2( 2 g v d L fhl   )2( 2 g v d L fhl  
  • 9.
    9  Head lossmayor pada kecepatan putar 30 rpmdengan kondisi sling pump tercelup 80% di dalam air. Dengan menggunakan langkah yang sama seperti di atas, hasil perhitungan untuk variasi kecepatan lainnya disajikan dalam tabel berikut : Tabel 4.3 Head loss mayor pada kecepatan aliran air pada ketinggian 2 meter dengan kondisi pengecelupan sling pump 80% di dalam air dan kecepatan putar 30, 40, 50 rpm. Kecepatan Putar (rpm) Head Loss Mayor (hl) (m) Ʃ Head Loss Minor (m) Pipa hollow shaft Pipa 1’’ Pipa 3/4’’ water swivel Pipa Delivery 30 0,00307 0,000157 0,000144 0,0224 0,02577 40 0,00987 0,000446 0,000398 0,0597 0,07041 50 0,01169 0,000519 0,000478 0,071 0,08369 4.3.2 Head Kerugian Gesek Sebagai Rugi Minor Gambar 4.1 Rugi-rugi minor pada sling pump Diketahui: - Diameter lingkaran besar tirus, D1 = 40cm - Diameter lingkaran kecil tirus, D2 = 13,2cm - Diameter rangka, rr = 0,4cm - Diameter selang, di = 2,505cm - Jari-jari selang, ri = 1,2525cm Dihitung: 1. Diameter lingkaran besar sling pump (Da) )2()2( 11 drDD ra  )505,22()4,02(40 cmcmcmDa  cmDa 81,45 1. 2. Diameter lingkaran kecil sling pump (Db) )2()2( 12 drDD ra  )505,22()4,02(2,13 cmcmcmDa  cmDa 01,19 3. Diameter rata-rata sling pump 2 ba a DD D   2 01,1981,45 cmcm Da   cmDa 41,32 4. Jari-jari rata-rata sling pump ( 𝑅̅) 2 D R  2 41,32 cm R  cmR 205,16 5. Jari-jari rata-rata lengkung sumbu belokan pada sling pump (R) irRD  cmcmD 1252205,16  cmD 952,14  Head loss minor pada putaran 30 rpm dengan kondisi sling pump tercelup 80% di dalam air. 1) Perhitungan rugi minor pada lilitan selang plastik Diketahui: - Kecepatan aliran air pada selang = 0,3m/s - Diameter selang (di) = 0,0175m - Jari-jari rata-rata sling pump = 16,205cm Lilitan selang diasumsikan sebagai elbow 900, dengan bilangan Reynolds adalah:   Dv   1 Re ms kg m s m m kg 000852,0 0175,03,059,996 Re 3  
  • 10.
    10 95,6140Re  Karena bilanganRe > 4000, maka alirannya adalah turbulen,sehingga dengan mengasumsikan selang adalah pipa plastik, dari diagram Moody di dapat faktor nilai kekasaran (k) selang adalah: d k   m m k 0175,0 0000015,0  mk 000085.0 Berdasarkan bilangan Reynolds dan angka kekasaran (k) di atas, maka kerugian gesek (f) diketahui dari diagram Moody sehingga dipeoleh kerugian gesek, f = 0,035 Dengan menggunakan gambar (2.16) panjang ekuivalen didapat harga Le/D adalah: cm cm d Le 905,1 205,16  cm d Le 506,18 Dari gambar (2.16) perbandingan panjang ekuivalen selang didapatkan harga Le/D: Harga koefisien tahanan lilitan selang sebagai fungsi bilangan Reynolds yaitu: D L fK e  25035,0 K 875,0K Harga K diatas, adalah K untuk seperempat lilitan selang. Untuk harga koefisien tahanan seluruh lilitan selang adalah sebagai berikut: 4 NKKtotal Dimana : Ktotal :Koefisien tahan seluru lilitan selang. K :Koefisien tahanan untuk ¼ lilitan selang. N :Jumlah lilitan selang pada sling pump. 416825,0  totalK 56 totalK Kerugian aliran disepanjang lilitan selang adalah: )2( 2 g v KhLM   )/81,92( )/3,0( 56 2 2 sm sm hLM   mhLM 25,0 2) Perhitungan head kerugian pada belokan permukaanselang. Diketahui: - Belokan diasumsikan sebagai jenis belokan siku lekuk panjang, dimana menurut tabel koefisien kerugian tinggi- tekan diperoleh nilai K = 2,2 (Streeter, 1985). - Kecepatan air, v = 0,3m/s. Dihitung : Head kerugian pada belokan permukaan sling pump (hl) g v Khl 2 2  )/81,92( )/3,0( 60,0 2 2 sm sm hl   mhl 00275,0 3) Perhitungan head kerugian pada belokan didalam sling pump. Diketahui : - Belokan diasumsikan sebagai jenis belokan balik berdekatan, dimana menurut tabel koefisien kerugian tinggi-tekan diperoleh nilai K = 2,2. - Kecepatan air, v = 0,3m/s Dihitung : Head kerugian pada belokan dalam sling pump (hl) g v Khl 2 2  )/81,92( )/0,0( 2,2 2 2 sm sm hl   mhl 01,0 4) Perhitungan kerugian tinggi-tekan akibat penyempitan mendadak (sudden contraction) antara selang dan hollow shaft. Diketahui : - Diameter pipa selang (di) : d1 = 0,0175m - Diameter hollow shaft (di) : d2 = 0,015m - Kecepatan air pada hollow shaft, v = 0,67m 25 D Le
  • 11.
    11 Dihitung : a. Luaspenampang selang (A1) 2 11 4 1 dA   2 1 )0175,0( 4 1 mA   2 1 00024,0 mA  b. Luas penampang hollow shaft (A2) 2 22 4 1 dA   2 2 )015,0( 4 1 mA   2 2 00017,0 mA  c. Koefisien penyempitan 2 2 1 2 00024,0 00017,0 m m A A  7,0 1 2  A A Maka harga koefisien penyempitan (Cc) untuk air telah ditentukan oleh Weishbach dengan harga 0,775. d. Head kerugian pada penyempitan selang 3/4” dan Hollow Shaft               )2( )( 1 1 22 g v C h c l               )/81,92( )/67,0( 1 775,0 1 2 22 sm sm hl mhl 0019,0 5) Perhitungan kerugian tinggi-tekan akibat pembesaran mendadak (sudden expantion) antara hollow shaft dan pipa 1” Diketahui : - Diameter pipa hollow shaft (di) : d2= 0,015m - Diameter pipa 1” (di) : d3 = 0,028m - Kecepatan air pada pipa 1”: v = 0,12m/s Dihitung : Head kerugian pada pembesaran penampang 22 3 2 2 1 )2( )(                  d d g v hl 22 2 2 028,0 015,0 1 )/81,92( )/12,0(                  m m sm sm hl mhl 000373,0 6) Perhitungan kerugian tinggi-tekan akibat penyempitan mendadak (sudden contraction) antara pipa 1” dengan pipa 3/4”. Diketahui : - Diameter pipa 3/4” (di) : d4 = 0,022m - Diameter pipa 1” (di) : d3 = 0,028m - Kecepatan air pada pipa 3/4” : v = 0,2m/s Dihitung : a. Luas penampang pipa 1” 2 33 4 1 dA   2 3 )028,0( 4 1 mA   2 3 00061,0 mA  b. Luas penampang pipa 3/4” 2 44 4 1 dA   2 4 )022,0( 4 1 mA   2 4 00038,0 mA  c. Koefisien penyempitan (Cc) 2 2 3 4 00061,0 00038,0 m m A A  6,0 3 4  A A Maka dari harga koefisien penyempitan (Cc) untuk air telah ditentukan oleh Weishbach dengan harga 0,712 d. Head kerugian pada penyempitan 2               )2( )( 1 1 22 g v C h c l               )/81,92( )/2,0( 1 712,0 1 2 22 sm sm hl mhl 00033,0 7) Perhitungan kerugian tinggi-tekan akibat pembasaran mendadak (sudden expantion) antara pipa 3/4” dan belokan lekuk panjang 1”. Diketahui : - Diameter pipa 3/4” (di) : d4 = 0,022m - Diameter lekuk panjang 1” (di) : d5 = 0,025m - Kecepatan air pada selang 1” :v = 0,16m/s Dihitung : Head kerugian pada pembesaran penampang
  • 12.
    12 22 3 2 2 1 )2( )(                  d d g v hl 22 2 2 025,0 022,0 1 )/81,92( )/16,0(                  m m sm sm hl mhl 000066,0 8) Perhitungankerugian belokan pipa delivery Diketahui : - Kecepatan air pada pipa 3/4” : v = 0,31m/s - Diameter : d = 0,022m - Tinggi delivery : z = 0,5m - Panjang delivery : L = 6m Dihitung : a. Sudut belokan (θ) L z sin Maka : L z sin         m m 6 2 sin 1  o 47,19 b. Koefisien kerugian Berdasarkan sudut belokan di atas dan diketahui permukaaan pipa halus maka kerugian gesek (f) diketahui dari tabel koefisien kerugian belokan pada (lampiran) sehingga diperoleh kerugian gesek: f = 0,056 c. Kerugian belokan pipa delivery (hl)         )2( 2 g v d L fhl         )/81,92( )/21,0( 022,0 6 056,0 2 2 sm sm m m hl mhl 034,0 9) Perhitungan sudden contraction selang belokan 1” dengan pipa delivery Diketahui: - Diameter belokan lekuk panjang 1” (di): d5 = 0,025m - Diameter pipa delivery (di): d6= 3/4” = 0,022m - Kecepatan aliran pada pipa delivery :v = 0,31m/s Dihitung: a. Luas penampang selang belokan 1” 2 55 4 1 dA   2 5 )025,0( 4 1 mA   mA 00049,04  b. Luas penampang pipa delivery 3/4” 2 66 4 1 dA   2 6 )022,0( 4 1 mA   mA 00038,06  c. Koefisien penyempitan (Cc) 2 2 5 6 00049,0 00038,0 m m A A  775,0 4 5  A A Maka dari harga koefisien penyempitan (Cc) untuk air dapat diketahui dari tabel koefisien kontraksi (Cc) dengan harga 0,775. d. Head kerugian pada penyempitan               )2( )( 1 1 22 g v C h c l               )/81,92( )/31,0( 1 775,0 1 2 22 sm sm hl mhl 00018,0 Dengan menggunakan langkah yang sama seperti diatas, maka hasil perhitungan untuk kecepatan putar dan kondisi tercelup sling pump lainnya disajikan dalam tabel berikut : Tabel 4.4. Hasil perhitungan Head Loss Minor Sling Pump pada kecepatan putar 30, 40, dan 50 rpmdalam kondisi tercelup sling pump 80%.
  • 13.
    13 4.4. Perhitungan TekananMasuk dan Debit Teoritis 4.4.1. Tekanan Masuk, dan Debit Teoritis Pada Kecepatan Putaran Sling Pump 30 rpm Dengan Persentase Tercelup Sling Pump 80% Di Dalam Air. a. Perhitungan tekanan pada saat air masuk (P1) Gambar 4.2. Tekanan (P) pada sling pump Terdapat tiga sisi tekanan pada sling pump yaitu Tekanan P1 pada sisi masuk air terletak di inlet sling pump, Tekanan P2 terletak pada alat pengukur tekanan (Pressure Gauge), dan Tekanan P2 pada sisi keluar terletak di pipa delivery. Tekanan (ΔP) berhubungan dengan head loss (hL) pada sepanjang aliran sling pump. Dimana : orLmayorLL hh g PP g P h min,, 31 3.1,                      4 1 9 1 2 1 22n n g v K g v D L fgP  Diketahui : - P2 = 0,1 bar = 0,1 x 104 pa (g) - Ʃhfmayor = 0.02637 m - Ʃhfminor = 0.2984 m - ρ = 996,59kg/m3 , air pada suhu ruangan 27o C. - g = 9,81m/s2 - P3 = 1 atm Dihitung :   )( min1 ormayor hfhfgP  )2984,00.02637(/81.9/59,996 23 1 mmsmmkgP  2 1 /12,3175 mskgP  )(03175,011 gbaratmP  )(03175,11 absP  b. Perhitungan Debit Teoritis Fluida yang berada pada debit teoritis diasumsikan sebagai fluida satu fasa yaitu fasa cair dan dihitung antara titik 2 dan titik 3. Kedua titik tersebut diasumsikan hanya pada pipa delivery karena yang lebih dominan. Diketahui :  f = 0.03939, diambil dari rata-rata semua koefisien gesekpada perhitungan head loss mayor.  P2 = 0,1 bar = 10000 Pa
  • 14.
    14  ρ =996,59kg/m3 , diasumsika air pada suhu ruangan = 27o C  g = 9,81m/s2  d = 3/4" = 0,022 m, pipa delivery  L = 6 meter Dihitung : Hubungan ΔP dengan hL   g pp g v D L fh g P h i L L ..2 .. 32 2 3.2, 3.2,        sm mmkg mPa Lf dp /36,1 603939.0/59,996 022.0100002 2 2 2               Maka debit teoritis dapat dicari dengan rumus berikut: smQ smmQ vdQ Teoritis Teoritis Teoritis /000516,0 /36,1022,0 4 14,3 4 3 2 2     Dengan menggunakan langkah yang sama seperti diatas, maka hasil perhitungan untuk tekanan masuk, dan debit teoritis pada kecepatan putaran sling pump 30, 40, dan 50 rpm dengan kondisi tercelup 80% disajikan dalam tabel berikut : Tabel 4.5. Hasil perhitungan tekanan masuk, debit aktual dan debit teoritis. Putaran (rpm) Kondisi tercelup Sling Pump Tekanan Indikator P2 (bar) Tekanan masuk p1 (bar) Debit Aktual (m3/s) Debit Teoritis (m3/s) 30 80% 0,1 0,03175 0,0000605 0,000516 40 0,2 0,09383 0,000105 0,00078 50 0,2 0,10612 0,000117 0,000795 4.5. Pembahasan Berdasarkan Grafik 4.5.1. Debit Aktual Hasil dari penilitian dapat digambarkan dalam grafik debit yang diperoleh berdasarkan variasi kecepatan putaran sling pump dengan persentase pencelupan seperti pada gambar di bawah ini: Grafik 4.1. Pengaruh kecepatan putaran sling pump terhadap debit aktual Grafik 4.1. menunjukkan bahwa debit air yang dihasilkan cenderung meningkat seiring dengan bertambahnya kecepatan putar sling pump. Hal ini dikarenakan meningkatnya volume air yang masuk pada lilitan selang. Semakin tinggi kecepatan putaran sling pump juga menghasilkan debit yang lebih besar. Hal ini terjadi karena kecepatan dari air dan udara yang masuk ke corong pada lilitan selang membuat aliran dalam pipa semakin meningkat. Dari penelitian ini kondisi pencelupan di buat konstan yaitu 80% di dalam air dengan ketinggian 2 m, kondisi pencelupan tersebut dipilih karena dari hasil percobaan dan dari penelitian sebelumnya kondisi debit maksimum berada dalam kedalaman sling pump 80%. Debit air yang dihasilkan pada kecepatan putar 50 rpm tidak menunjukan perbedaan yang signifikan dari kecepatan putar 40 rpm, kecepatan putar 50 rpmdianggagp terlalu besar gaya sentrifugalnya sehingga kondisi ini menyebabkan kerugian, karena air dalam penampungan banyak yang terbuang keluar ketika air masuk pada corong inlet, air tidak sepenuhnya masuk akan tetapi besarnya gaya sentrifugal menyebabkan muntahan air dari inlet. 4.5.2. Tekanan Masuk Tekanan masuk fluida berdasarkan variasi kecepatan putaran sling pump dan persentase pencelupan sling pump ditampilkan pada gambar di bawah ini: 3.63 6.3 7 0 2 4 6 8 30 40 50 DebitAktual(liter/menit) Kecepatan Putar (rpm) 0.03169 0.09367 0.10594 0 0.02 0.04 0.06 0.08 0.1 0.12 30 40 50 Tekananmasuk(bar) Kecepatan Putar (rpm)
  • 15.
    15 Grafik 4.2. Pengaruhkecepatan putaran sling pump terhadap tekanan masuk. Berdasarkan grafik tersebut diketahui bahwa Seiring dengan meningkatnya putaran (rpm), maka tekanan sisi masuk (P1) dan tekanan yang terjadi pada sisi masuk (P2) juga akan semakin besar. Dengan bertambahnya kecepatan aliran air di dalam pipa maka head loss yang terjadi juga semakin besar sehingga untuk mengatasi head loss tekanan yang diperlukan pada sisi masuk akan semakin besar. Tekanan inlet (P1) untuk mengalirkan air ke tempat yang lebih tinggi harus lebih besar dari pada tekanan pada sisi keluaran air (P3), karena harus melawan gaya grafitasi dan head loss (Rakhman, 2009). Tekanan yang terjadi pada sisi masuk (P1) berbeda dengan sisi keluar (P3). Hal ini sesuai dengan persamaan Bernaoulli yang dapat dijelaskan bahwa semakin besar kecepatan fluida, maka tekanan yang terjadi akan semakin kecil. Semakin besar debit yang dialirkan, maka semakin kecil koefisien rugi-ruginya, dikarenakan semakin besar debit maka semakin besar pula kecepatan fluida. 4.5.3. Perbandingan Berdasarkan Penelitian Sebelumnya Hasil dari penelitian yang terkait disajikan dalam tabel berikut: Tabel 4.6. Tabel perbandingan Qaktual penelitian sekarang dengan Qaktual yang dihasilkan oleh Kurniawan (2015). Putaran (rpm) Kondisi terecelup sling pump (%) panjang pipa delivery (Ld) (m) Ketinggian delivery (m) Penelitian ini Penelitian (Kurniawan, 2015) Qaktual (liter/me nit) Qaktual (liter/menit) 30 80 6 2 3,63 3,68 40 6,3 3,47 50 7 0,73 Sebelumnya juga dilakukan penelitian unjuk kerja sling pump oleh Kurniawan (2015) dengan variasi kecepatan dan persentase pencelupan menggunakan water mur dan tinggi delivery 2 m. Berdasarkan tabel 4.7 dapat dilihat bahwa penggantian water mur dengan water swivel sebagai rotary seal berpengaruh besar pada debit yang dihasilkan, penelitian menggunakan water swivel menghasilkan debit lebih besar hal ini disebabkan pada penelitian ini tidak dapat kebocoran air yang terjadi pada rotary seal, yang mengakibatkan penurunan tekannan dan kecilnya debit air. 5.1. Kesimpulan Dari hasil penelitian ini diperoleh kesimpulan sebagai berikut: 1. Kecepatan putaran sling pump merupakan faktor yang berpengaruh terhadap debit yang dihasilkan. Semakin besar kecepatan putaran sling pump semakin besar pula debit yang dihasilkan. 2. pada penelitian ini tidak dapat kebocoran air yang terjadi pada rotary seal, yang mengakibatkan penurunan tekannan dan kecilnya debit. Sling pump yang menggunakan water swivel joint memiliki debit air yang lebih besar dibandingkan sling pump yang menggunakan water mur pada kecepatan putar 50 rpm dengan ketinggian delivery 2 m debit air mencapai 7 liter/menit. 3. Pada kecepatan putar 50 rpm memiliki gaya sentrifugal yang besar sehingga kondisi ini menyebabkan kerugian, karena air dalam penampungan banyak yang terbuang keluar ketika air masuk pada corong inlet, air tidak sepenuhnya masuk akan tetapi besarnya gaya sentrifugal menyebabkan muntahan air dari inlet, untuk itu kecepatan putar 40 rpm dalah kecepatan yang derekomendasikan. 5.2. Saran Penelitian yang dilakukan masih terdapat kekurangan yang perlu diperbaiki kembali, oleh karena itu saran untuk pengembangan selanjutnya adalah sebagai berikut: 1. Bila ada penelitian lebih lanjut diharapkan untuk aliran dalam pipa disimulasikan menggunakan software sehingga menggunakan perhitungan 2 fasa. 2. Untuk penelitian lebih lanjut diharapkan dapat di buat ulang versi sling pump untuk aliran sungai sehingga dapat bermanfaat bagi masyarakat yang belum dialiri listrik. DAFTAR PUSTAKA Kurniawan D. E. 2015, “Kajian Eksperimental Pengaruh Variasi Kecepatan Putar Sling Pump Jenis Kerucut Dan Kondisi Pencelupan Terhadap Unjuk Kerjanya”, UMY, Yogyakarta Giancoli, D. C. 1996. “Fisika”. Edisi Keempat. Erlangga. Jakarta. Giles, R. V., 1997, “Mekanika Fluida Dan Hidarulika”, Jakarta, Erlangga Ginanjar, E,. 2009, “Analisa pengaruh variasi ketinggian dilevery terhadap unjuk kerja sling pump bentuk kerucut”, UMY, Yogyakarta.
  • 16.
    16 Haryono, 2010, “Analisapengaruh variasi jumlah inlet dan kecepatan putar terhadap unjuk kerja sling pump jenis kerucut skala laboratorium”, UMY, Yogyakarta. Hasbullah, R.H., 2010, “Studi pengaruh variasi jumlah lilitan selang plastic dan kecepatan putar terhadap unjuk kerja sling pump jenis kerucut skala laboratorium”, UMY, Yogyakarta. Hidayat, A.N., 2009, “Analisis pengaruh variasi kecepatan putar terhadap debit air yang dihasilkan sling pump jenis tabung”, UMY, Yogyakarta King, H.W,. and Brater, E.F., 1963 “Handbook of Hydraulics”, 5th Ed, Mc. Graw–Hill, New York. Munson, dkk., 2003, “Mekanika Fluida”, Edisi ke-4, Jilid 1, Erlangga, Jakarta. Olson, R.M. dkk. 1990. “Dasar-Dasar Mekanika Fluida Teknik”. Edisi Kelima. Gramedia Pustaka Utama. Jakarta Prabowo, A.A., 2009, “Penelitian pengaruh variasi putaran terhadap unjuk kerja sling pump jenis kerucut skala laboratorium”, UMY, Yogyakarta. R.S,Ghiptu, J.K., 2002, “Teks Book of Machine Design”, Euarasia Publishing House, New Delhi. Rahkman, F.A., 2009, “Penelitian pengaruh variasi putaran terhadap unjuk kerja sling pump jenis tirus skala labororatorium”, UMY, Yogyakarta. Ramli, M.I, Basar,M.F, dan Razik, 2013, “Natural Energy Water Sling Pump”. ISSN 2278-3075 volume-3. IJITEE Sajani, A., 2009, “Analisa pengaruh ketinggian dilevery terhadap debit air yang dihasilkan sling pump bentuk silinder”, UMY, Yogyakarta. Streeter, V.L, dkk, 1985, “Mekanika Fluida”, Edisi delapan jilid satu, Erlangga, Jakarta. Sularso, Tahara. H, 2000, “Pompa dan Kompresor”, Cetakan ke-7, Pradnya Paramita, Jakarta Sularso., Kiyokatsu. S., 1997, “Dasar perencanaan dan penelitianElemen Mesin”, Cetakan ke-9, Pradnya Paramita, Jakarta. Syamsuddin, 2015, “Studi Eksperimental Unjuk Kerja Sling Pump Jenis Kerucut dengan Variasi Jumlah Lilitan Selang Plastik dan Presentase Pencelupan”, UMY, Yogyakarta. Triatmodjo, Bambang, 1991. “Mekanika Fluida dan Hidraulika”. Jilid 1 Wahyudi, D., 2009, “Analisis pengaruh variasi diameter selang terhadap debit yang dihasilkan pada sling pump bentuk silinder”, UMY, Yogyakarta. White, F.M., 1998, “Fluida Mechanics”. 4th ed, Mc. Graw- Hill, New York. http://oliversalt.wordpress.com/2013/03/06/archimedes- screw-pump/.Diakses tanggal 08-05-2016 http://www.citonline.com//mekanikal/Tikiview_blog_post_ Image.php?ImgId=259Diakses tanggal 08-05-2016 http ://www.jtminvest.se/slingpump.htm. Diakses tanggal 08-05-2016 http://www.riferam.com/sling/indek.html. Diakses tanggal 08-05-2016 https://www.renewablesfirst.co.uk/hydropower/hydropowe r-learning-centre/archimedean-screw-hydro-turbine/. Diakses tanggal 08-05-2016