ECUACIONES DIFERENCIALES 
 
 
 
 
 
 
 
 
 
ECUACIONES DIFERENCIALES (ED) 
 
PROGRAMA DE ESTUDIO: 
 
1.‐  INTRODUCCIÓN A LAS ECUACIONES DIFERENCIALES 
  Definiciones y terminología de las ED, Problemas de valor inicial de las ED. 
 
2.‐  ECUACIONES DIFERENCIALES DE PRIMER ORDEN 
  ED de variables separables, ED del tipo Exactas, ED Lineales, Solución de ED por método de sustitución, 
  Modelado de problemas de ingeniería con ED de primer orden. 
 
3.‐ ECUACIONES DIFERENCIALES DE ORDEN SUPERIOR 
  Teoría preliminar, ED Homogéneas, Método de coeficientes indeterminados, Modelado de problemas 
  de ingeniería con ED de orden superior. 
   
4.‐ TRANSFORMADA DE LAPLACE 
  Definición de Transformada de Laplace, transformada d Laplace inversa, Teoremas de transformación, 
  Aplicaciones. 
 
5.‐ SERIES DE FOURIER 
  Funciones periódicas, Funciones ortogonales, Series de Fourier de funciones de periodo arbitrario,  
  Series de Fourier de funciones pares, Series de Fourier de funciones complejas, Aplicaciones a ED  
  Parciales. 
 
EVALUACIONES: 
 
Examen parcial ( 80 % )  +  Tareas  ( 25 % ) 
 
1º Parcial:  Unidades 1 y 2 
2º Parcial:  Unidades 3 y 4 
3º Parcial:  Unidad 5      (Se aplicará el día del examen ordinario) 
 
Calificación Final =  Suma de las tres evaluaciones / 3 
A la calificación final se puede agregar hasta un 10 % por participación en clases (solución de problemas en 
pizarrón). 
 
Libro: Ecuaciones Diferenciales con Problemas con Valores en la Frontera. Dennis Zill/Michael Cullen, Séptima 
Edición. Editorial CENGAGE Learning. O cual quier otro libro de Ecuaciones Diferenciales del  mismo autor o 
cualquier otro autor. 
1.1 Definitions and Terminology of Differential Equations
1. Differential Equations:
An ordinary differential equation (ODE) is an equation containing the derivatives of one or more
dependent variables with respect to one single independent variable. For example,
y!
" 5y # ex
(one dependent variable y!
d2
y
dt2
" x2 dx
dt
! 4y # ln"t! (two dependent variables: x and y!.
A partial differential equation (PDE) is an equation containing the derivatives of one or more dependent
variables with respect to two or more independent variables. For example,
"u
"x
" "u
"y
# ex"y
(one dependent variable u and two independent variables: x and y
"2
u
"x2
" "2
u
"y2
" "2
u
"z2
# ln"x " y " z! (one dependent variable u and three independent variables: x,y and z.
Order of a Differential Equation:
The order of a differential equation is the order of the highest derivative in the equation.
In this course, we mainly study the ODE differential equations. A general form of an nth order ODE is:
F x, y, y!
,...,y"n! # 0
For example,
y!!
! xy!
" 5y ! ex
# 0 (a second order ODE in y).
Linear and Nonlinear Differential Equations:
A linear differential equation is linear in terms of y, y!
, y!!
,.... For example,
sin"x!y!!
" x2
y!
" y # ex
.
Otherwise, the equation is nonlinear. For example,
"1 ! y!y!
" y # 0 (yy!
is nonlinear in y and y!
!
dy
dx
2
" y # ex
(
dy
dx
2
# "y!
!
2
is not linear in y!
!.
2. Solution of an Ordinary Differential Equation:
A solution of an nth-order ODE F"x,y,y!
,...,y"n!
! # 0 is a function y"x! which satisfies the differential
equation for x in an interval I. The interval I is said to be the interval of solution (or the domain of the
solution). The solution is called a trivial solution if it is a zeros solution.
Explicit solution: y # f"x!
Implicit solution: G"x,y! # 0 and there exists at least one explicit function which satisfies the equation
G"x,y! # 0 and the differential equation F"x,y,y!
,...,y"n!
! # 0.
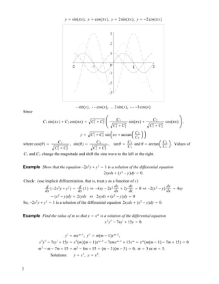
Example Show that the function y # C1 sin"!x! " C2 cos"!x! where C1 and C2 are constants is a solution
of the differential equation: y!!
" !2
y # 0.
Check:
y!
# C1!cos"!x! ! C2!sin"!x!
y!!
# !C1!2
sin"!x! ! C2!2
cos"!x! # !!2
"C1 sin"!x! " C2 cos"!x!!
y!!
" !2
y # !!2
"C1 sin"!x! " C2 cos"!x!! " !2
"C1 sin"!x! " C2 cos"!x!! # 0.
So, y is a solution of the differential equation.
Note that: in this solution, constants C1 and C2 are arbitrary. Solution y # C1 sin"!x! " C2 cos"!x! is
called a two-parameter family of solution and also the general solution of the differential equation
y!!
" !2
y # 0.
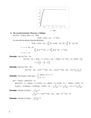
There are infinitely many solutions in this family:
1
y # sin"!x!, y # cos"!x!, y # 2sin"!x!, y # !2cos"!x!
-3
-2
-1
0
1
2
3
-2 -1 1 2x
- sin"x!, - - cos"x!, ... 2sin"x!, -.- !3cos"x!
Since
C1 sin"!x! " C2 cos"!x! # C1
2
" C2
2 C1
C1
2
" C2
2
sin"!x! " C2
C1
2
" C2
2
cos"!x! ,
y # C1
2
" C2
2
sin !x " arctan C2
C1
where cos""! # C1
C1
2
" C2
2
, sin""! # C2
C1
2
" C2
2
, tan" # C2
C1
and " # arctan C2
C1
. Values of
C1 and C2 change the magnitude and shift the sine wave to the left or the right.
Example Show that the equation !2x2
y " y2
# 1 is a solution of the differential equation
2xydx " "x2
! y!dy # 0.
Check: (use implicit differentiation, that is, treat y as a function of x!
d
dx
"!2x2
y " y2
! # d
dx
"1! $ !4xy ! 2x2 dy
dx
" 2y
dy
dx
# 0 $ !2"x2
! y!
dy
dx
# 4xy
! "x2
! y!dy # 2xydx $ 2xydx " "x2
! y!dy # 0
So, !2x2
y " y2
# 1 is a solution of the differential equation 2xydx " "x2
! y!dy # 0.
Example Find the value of m so that y # xm
is a solution of the differential equation
x2
y!!
! 7xy!
" 15y # 0.
y!
# mxm!1
, y!!
# m"m ! 1!xm!2
,
x2
y!!
! 7xy!
" 15y # x2
"m!"m ! 1!xm!2
! 7xmxm!1
" 15xm
# xm
"m"m ! 1! ! 7m " 15! # 0
m2
! m ! 7m " 15 # m2
! 8m " 15 # "m ! 3!"m ! 5! # 0, m # 3 or m # 5.
Solutions: y # x3
, y # x5
.
2
1.2 Initial Value Problems
1. Initial Value Problems:
Find the solution of an nth-order differential equation of the form:
y!n" ! f!x,y,y"
,...,y!n!1"
"
subject to n initial conditions:
y!x0 " ! y0, y"
!x0 " ! y1, ..., y!n!1"
!x0 " ! yn!1.
Example Solve the initial value problem:
y""
# !2
y ! 0, y!0" ! 1, y"
!0" ! !1
We know the general solution is: y ! C1 sin!!x" # C2 cos!!x". Now we need to find the constants C1 and
C2 so that y satisfies the initial conditions.
y!0" ! C2 ! 1, y"
! !C1 cos!!x" # C2!!!sin!!x"", y"
!0" ! !C1 ! !1, C1 ! ! 1
!
The solution for the initial value problem: y ! ! 1
! sin!!x" # cos!!x"
-1
-0.5
0
0.5
1
-2 -1 1 2x
! y ! ! 1
! sin!!x" # cos!!x", ... sin!!x"
2. Existence of a Unique Solution:
Consider the initial value problem:
y"
! f!x,y", a " x " b, y!x0 " ! y0.
Let D ! !x,y"; a " x " b, c " y " d and x0, y0 be in D. If f!x,y" and #f
#y
are continuous on
D, then the initial value problem has a unique solution y on the interval I0 $ D.
Example Determine a region D of the xy !plane for which the differential equation
dy
dx
! xy
would have a unique solution whose graph passes through a point x0, y0 in the region.
f!x,y" ! xy , #f
#y
! 1
2 xy
!x" ! 1
2
x
y
1
f!x,y" is continuous on the region where x % 0 and y % 0. #f
#y
is continuous on x % 0 and y $ 0.
If x0 % 1 and y0 % 1, then we let D ! !x,y"; x % 0, y % 1 .
2
Separable Variables - (2.2)
1. Separable Equations:
A first order differential equation is said to be separable if it is of the form
dy
dx
! g!x"h!y".
2. Method of Separation of Variables:
Observe that a separable equation can be written as
1
h!y"
dy ! g!x"dx " ! 1
h!y"
dy ! !g!x"dx
If we know the antiderivatives of 1
h!y"
and g!x" are H!y" and G!x", then
H!y" ! G!x" # C
is the solution of the differentiation equation
dy
dx
! g!x"h!y".
Example Solve !1 # x"dy " ydx ! 0.
Determine first if the differential equation is separable. Since
!1 # x"dy " ydx ! 0 " 1
y dy ! 1
1 # x
dx,
the differential equation is separable.
! 1
y dy ! ! 1
1 # x
dx, ln|y| ! ln|1 # x| # C
y ! Celn|1#x|
! C!1 # x"
is the general solution.
Example Solve the initial value problem:
cos!x"!e2y
" y"
dy
dx
! ey
sin!2x", y!0" ! 0.
Determine first if the differential equation is separable. Since
e2y
" y
ey dy !
sin!2x"
cos!x"
dx,
the differential equation is separable.
! e2y
" y
ey dy ! !!e2y"y
" ye"y
"dy ! !!ey
" ye"y
"dy
! sin!2x"
cos!x"
dx ! ! 2sin!x"cos!x"
cos!x"
dx ! 2 !sin!x"dx,
!!ey
" ye"y
"dy ! ey
" ye"y
" e"y
# C1, 2 !sin!x"dx ! "2cos!x" # C
Hence, ey
" ye"y
" e"y
! "2cos!x" # C is the general solution.
Example Solve
dy
dx
! y2
" 4.
Determine first if the differential equation is separable. Since
1
y2
" 4
dy ! dx if y2
" 4 # 0,
the differential equation is separable wherever y2
" 4 # 0.
1
! 1
y2
" 4
dy ! !dx " ! dy
!y # 2"!y " 2"
! !dx, !dx ! x # C
! dy
!y # 2"!y " 2"
! 1
4
! 1
y " 2
" 1
y # 2
dx ! 1
4
!ln|y " 2| " ln|y # 2|" ! 1
4
ln
y " 2
y # 2
1
4
ln
y " 2
y # 2
! x # C, ln
y " 2
y # 2
! 4!x # C"
y " 2
y # 2
! e4!x#C"
! e4x#4C
! e4x
e4C
! Ce4x
Solve y in terms of x :
y " 2
y # 2
!
y # 2 " 2 " 2
y # 2
! 1 " 4
y # 2
! Ce4x
, 4
y # 2
! 1 " Ce4x
, y # 2 ! 4
1 " Ce4x
,
y ! 4
1 " Ce4x
" 2 ! 4 " 2 # 2Ce4x
1 " Ce4x
! 2 1 # Ce4x
1 " Ce4x
is the general solution of the equation. If y2
" 4 ! 0, then y ! $2 . These are solutions.
Example
dy
dx
!
xy # 2y " x " 2
xy " 3x # x " 3
Determine first if the differential equation is separable. Since
dy
dx
!
y!x # 2" " !x # 2"
y!x " 3" # !x " 3"
!
!y " 1"!x # 2"
!y # 1"!x " 3"
#
y # 1
y " 1
dy ! x # 2
x " 3
dx,
the differential equation is separable.
! y # 1
y " 1
dy ! ! x # 2
x " 3
dx $ ! y " 1 # 1 # 1
y " 1
dy ! ! x " 3 # 3 # 2
x " 3
dx
! 1 # 2
y " 1
dy ! ! 1 # 5
x " 3
dx
! 1 # 2
y " 1
dy ! y # 2ln!y " 1" # C1, ! 1 # 5
x " 3
dx ! x # 5ln!x " 3" # C2
The general solution of the differential equation is:
y # 2ln!y " 1" ! x # 5ln!x " 3" # C
Example ex
y
dy
dx
! e"y
# e"2x"y
Determine first if the differential equation is separable. Since
ex
y
dy
dx
! e"y
!1 # e"2x
" #
y
e"y dy !
!1 # e"2x
"
e"x dx
the differential equation is separable.
yey
dy ! !ex
# e"2x
ex
"dx # yey
dy ! !ex
# e"x
"dx
!yey
dy ! yey
" ey
# C1, and !!ex
# e"x
"dx ! ex
" e"x
# C2
The general solution of the differential equation is:
yey
" ey
! ex
" e"x
# C
2
The First-Order Linear Differential Equations - (2.3)
1. First-Order Linear Equations:
The general form of a linear equation is:
a1!x"
dy
dx
! a0!x"y " g!x", a1!x" ! 0
The standard form of a linear equation is:
dy
dx
! P!x"y " f!x", P!x" "
a0!x"
a1!x"
, f!x" "
g!x"
a1!x"
A linear equation is homogenous if g!x" " 0, otherwise it is nonhomogeneous.
2. The Property:
The general solution of the first-order linear differential equation:
dy
dx
! P!x"y " f!x" is of the form
y " yc ! yp
where yc is a solution of the homogeneous differential equation:
dy
dx
! P!x"y " 0
and yp is a solution of the corresponding nonhomogeneous differential equation:
dy
dx
! P!x"y " f!x"
Proof: Let y " yc ! yp. Then y#
" yc
#
! yp
#
, and
dy
dx
! P!x"y " f!x" $ !yc
#
! yp
#
" ! P!x"!yc ! yp " " !yc
#
! P!x"yc" ! !yp
#
! P!x"yp " " 0 ! f!x" " f!x"
3. Method of Solving First-Order Linear Differential Equations:
This property suggests that a first-order linear differential equation can be solved in two steps:
a. Find the general solution of the homogeneous equation
dy
dx
! P!x"y " 0
b. Find a solution of the nonhomogeneous equation
dy
dx
! P!x"y " f!x".
Observe that the homogeneous linear differential equation
dy
dx
! P!x"y " 0 in a. is separable. The general
solution can be solved as follows.
1
y dy " "P!x"dx $ # 1
y dy " #"P!x"dx, ln|y| " "#P!x"dx ! C, y " Ce
"#P!x"dx
.
Observe also that
d
dx
ye
#P!x"dx
"
dy
dx
e
#P!x"dx
! ye
#P!x"dx d
dx
#P!x"dx " e
#P!x"dx dy
dx
! P!x"y " e
#P!x"dx
f!x"
Then
ye
#P!x"dx
" #e
#P!x"dx
f!x"dx, yp " e
"#P!x"dx
#e
#P!x"dx
f!x"dx
y " yc ! yp " Ce
"#P!x"dx
! e
"#P!x"dx
#e
#P!x"dx
f!x"dx " e
"#P!x"dx
C ! #e
#P!x"dx
f!x"dx
The function #e
#P!x"dx
f!x"dx is called the integrating factor of the linear differential equation.
Steps of Compute y :
a. Compute h!x" " #P!x"dx.
1
b. Compute k!x" " #eh!x"
f!x"dx
c. Solution: y " e"h!x"
!C ! k!x""
Example Solve
dy
dx
" 3y " 6 ! 2x " ex
a. h!x" " #"3dx " "3x, the integrating factor is: e"3x
b. k!x" " #e"3x
!6 ! 2x " ex
"dx " " 20
9e3x
" 2
3e3x
x ! 1
2e2x
c. y " e3x
C " 20
9
e"3x
" 2
3
xe"3x
! 1
2
e"2x
" Ce3x
" 20
9
" 2
3
x ! 1
2
ex
The general solution: y " Ce3x
" 20
9
" 2
3
x ! 1
2
ex
.
Example Solve the initial value problem:
!x2
" 9"
dy
dx
! xy " x ! 1, y!4" " 1
dy
dx
! x
x2
" 9
y " x ! 1
x2
" 9
, for x ! %3
a. h!x" " # x
x2
" 9
dx " 1
2
ln|x2
" 9|, the integrating factor is: e
1
2
ln x2"9
" x2
" 9
b. k!x" " #e
1
2
ln x2"9 !x ! 1"
x2
" 9
dx " # x ! 1
x2
" 9
dx " !x2
" 9" ! ln x ! !x2
" 9"
c. y " e" 1
2
ln x2"9
C ! !x2
" 9" ! ln x ! !x2
" 9"
" 1
x2
" 9
C ! !x2
" 9" ! ln x ! !x2
" 9"
" C
x2
" 9
! 1 ! 1
x2
" 9
ln x ! !x2
" 9"
d. y!4" " C
7
! 1 ! 1
7
ln 4 ! 7 " 1, C " "ln 4 ! 7
The solution: y " 1
x2
" 9
"ln 4 ! 7 ! !x2
" 9" ! ln x ! !x2
" 9"
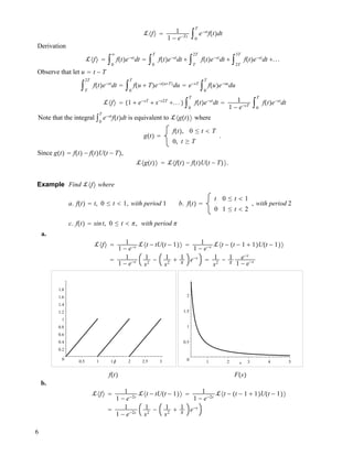
Example Solve the IVP
dy
dx
! y " f!x" where f!x" "
1, 0 $ x & 1
x, 1 $ x
, y!0" " "1.
a. h!x" " #dx " x, the integrating factor is ex
.
b. k!x" " #ex
f!x"dx "
#ex
dx " ex
, 0 $ x & 1
#xex
dx " xex
" ex
, 1 $ x
c. y "
e"x
!C1 ! ex
" " C1e"x
! 1, 0 $ x & 1
e"x
!C2 ! xex
" ex
" " C2e"x
! x " 1, 1 $ x
d. y!0" " C1 ! 1 " "1, C1 " "2, for 0 $ x $ 1, y " "2e"x
! 1.
y!1" " "2e"1
! 1, y!1" " C2e"1
! 1 " 1 " C2e"1
" "2e"1
! 1, C2 " "2 ! e
The solution is: y "
"2e"x
! 1, 0 $ x & 1
!"2 ! e"e"x
! x " 1, 1 $ x
2
Example Solve xy#
! !1 ! x"y " e"x
sin!2x".
a. y#
! 1 ! x
x y " 1
x e"x
sin!2x"
b. h!x" " #! 1
x ! 1"dx " ln|x| ! x, the integrating factor: eln|x|!x
" eln|x|
ex
" xex
c. k!x" " #eln|x|!x 1
x e"x
sin!2x" dx " #xex 1
x e"x
sin!2x"dx " #sin!2x"dx " " 1
2
cos!2x"
d. y " e"ln|x|"x
C " 1
2
cos!2x" " 1
x e"x
C " 1
2
cos!2x"
The general solution is: y " 1
x e"x
C " 1
2
cos!2x"
3
Exact Differential Equations - (2.4)
In this section, we consider the general solution of the first order differential equation of the form:
M!x,y"dx ! N!x,y"dy " 0
where both M and N are functions in two variables x and y.
1. Differentials of a Function of Two Variables:
Let z " f!x,y" be a function of two variables x and y. Then the differential dz is defined as
dz " !f
!x
dx ! !f
!y
dy.
If f!x,y" " C where C is a constant, then
df " 0 # !f
!x
dx ! !f
!y
dy " 0.
Note that this is a differential equation of the form
M!x,y"dx ! N!x,y"dy " 0 M!x,y" " !f
!x
and N!x,y" " !f
!y
.
So, the differential equation of this form has solution: f!x,y" " C.
Example Consider the equation x2
" 5xy ! y3
" C. Here f!x,y" " x2
" 5xy ! y3
.
!f
!x
" 2x " 5y, !f
!y
" "5x ! 3y2
The equation x2
" 5xy ! y3
" C is the general solution of the differential equation:
!2x " 5y"dx ! !"5x ! 3y2
"dy " 0
It is clear that it is not every differential equation M!x,y"dx ! N!x,y"dy " 0 that can be written as
!f
!x
dx ! !f
!y
dy " 0
for some f!x,y". So, we like to know for what types of M!x,y" and N!x,y" the differential equation
M!x,y"dx ! N!x,y"dy " 0 is of the form of
!f
!x
dx ! !f
!y
dy " 0.
Recall that if f!x,y" has continuous second derivatives,
!2
f
!x!y
" !2
f
!y!x
.
That is
!
!x
!f
!y
" !
!y
!f
!x
.
So, if there is a f!x,y" such that
M!x,y" " !f
!x
and N!x,y" " !f
!y
then we must have
!
!x
!N!x,y"" " !
!y
!M!x,y"".
2. Exact Equation:
A differential equation M!x,y"dx ! N!x,y"dy is an exact differential in a region R of the xy-plane if it
corresponds to the differential of some function f!x,y". A first-order differential equation of the form
M!x,y"dx ! N!x,y"dy " 0
is said to be an exact equation if M!x,y"dx ! N!x,y"dy is an exact differential.
1
The criterion for an exact differential:
M!x,y"dx ! N!x,y"dy is an exact differential if and only if
!M
!y
" !N
!x
.
Example Determine if the differential equation !e2y
" ycos!xy""dx ! !2xe2y
" xcos!xy" ! 2y"dy " 0 is
exact.
Here M!x,y" " e2y
" ycos!xy" and N!x,y" " 2xe2y
" xcos!xy" ! 2y. Check if !M
!y
" !N
!x
.
!M
!y
" 2e2y
" cos!xy" ! yxsin!xy", !N
!x
" 2e2y
" cos!xy" ! xysin!xy"
Since !M
!y
" !N
!x
, the differential equation is exact.
Example Find the value of k so that the differential equation
!y3
! kxy4
" 2x"dx ! !3xy2
! 20x2
y3
"dy " 0
is exact.
Here M!x,y" " y3
! kxy4
" 2x and N!x,y" " 3xy2
! 20x2
y3
. Find k so that !M
!y
" !N
!x
.
!M
!y
" 3y2
! 4kxy3
, !N
!x
" 3y2
! 40xy3
, !M
!y
" !N
!x
$ 4kxy3
" 40xy3
, k " 10.
Example Find the function N!x,y" so that the equation
1
xy
! x
x2
! y
dx ! N!x,y"dy " 0
is exact.
Here M!x,y" " 1
xy
! x
x2
! y
. Know that !M
!y
" !N
!x
and
!M
!y
" " 1
2 xy3
" x
!x2
! y"
2
N!x,y" " # !N
!x
dx " # !M
!y
dx " # " 1
2 xy3
" x
!x2
! y"
2
dx
" " 1
2 y3
2 x " 1
2
"1
x2
! y
! g!y" " " x
y3
! 1
2!x2
! y"
! g!y"
3. The General Solution of an Exact Differential Equation:
The general solution of the exact equation M!x,y"dx ! N!x,y"dy " 0 is of the form: f!x,y" " C. The
function f!x,y" can be solved as follows.
a. Since M!x,y" " !f
!x
, f!x,y" " #M!x,y"dx ! g!y";
b. Since N!x,y" " !f
!y
,
!
!y
!f!x,y"" " !
!y
#M!x,y"dx ! g!y" " !
!y
#M!x,y"dx ! g#
!y" " N!x,y"
Solve g#
!y" from this equation and
g!y" " #g#
!y"dy.
c. The general solution: f!x,y" " C.
2
Note that we can also use N!x,y" to solve f!x,y". Steps are:
a. Since N!x,y" " !f
!y
, f!x,y" " #N!x,y"dy ! h!x";
b. Since M!x,y" " !f
!x
,
!
!x
!f!x,y"" " !
!x
#N!x,y"dy ! h!x" " !
!x
#N!x,y"dy ! h#
!y" " M!x,y"
Solve h#
!x" from this equation and h!x" " #h#
!x"dx.
c. The general solution: f!x,y" " C.
Example Solve the differential equation !e2y
" ycos!xy""dx ! !2xe2y
" xcos!xy" ! 2y"dy " 0.
Know that it is exact. Find f!x,y".
a. f!x,y" " #!e2y
" ycos!xy""dx " xe2y
" sin!xy" ! g!y"
b. !f
!y
" 2xe2y
" xcos!xy" ! g#
!y" " N!x,y" " 2xe2y
" xcos!xy" ! 2y
g#
!y" " 2y, g!y" " #2ydy " y2
c. xe2y
" sin!xy" ! y2
" C
Example Solve the initial value problem:
3y2
" t2
y5
dy
dt
! t
2y4
" 0, y!1" " 1.
The differential equation is not separable and not linear in y. Check if it is exact. Rewrite the equation:
3y2
" t2
y5
dy ! t
2y4
dt " 0.
Let M!y,t" "
3y2
" t2
y5
and N!y,t" " t
2y4
. Check if !M
!t
" !N
!y
.
!M
!t
" " 2t
y5
, !N
!y
" " 4t
2y5
" " 2t
y5
, !M
!t
" !N
!y
.
The equation is exact.
a. f!y,t" " # t
2y4
dt ! h!y" " " 1
4y4
t2
! h!y"
b. !f
!y
" !
!y
" 1
4y4
t2
! h!y" " " "4
4y5
t2
! h#
!y" " " 1
y5
t2
! h#
!y" "
3y2
" t2
y5
" 3 1
y3
" t2
y5
h#
!y" " 3
y3
, h!y" " #h#
!y"dy " # 3
y3
dy " " 3
2
1
y2
c. The general solution: " 1
4y4
t2
" 3
2
1
y2
" C
d. Solve the initial value problem: when x " 1, y!1" " 1, solve for C :
" 1
4
" 3
2
" " 7
4
" C
3
Methods of Substitution - (2.5)
1. Bernoulli’s Equation:
The differential equation:
dy
dx
! P!x"y " f!x"yn
! !""
where n is a real number, is called a Bernoulli’s equation. Note that
a. when n " 0, the equation is a linear differential equation in y;
dy
dx
! P!x"y " f!x",
b. when n " 1, the equation can be rewritten as
dy
dx
! P!x"y " f!x"y #
dy
dx
! !P!x" ! f!x""y " 0
a linear homogeneous differential equation and is separable.
In both cases, we know how to solve the differential. Now let us consider the cases where n # 0,1.
Let u " y1!n
. Then du
dx
" !1 ! n"y1!n!1 dy
dx
" !1 ! n"y!n dy
dx
. Multiply !1 ! n"y!n
to the equation !"" :
!1 ! n"y!n dy
dx
! !1 ! n"y!n
P!x"y " !1 ! n"y!n
f!x"yn
!1 ! n"y!n dy
dx
! !1 ! n"y!n!1
P!x" " !1 ! n"f!x"
du
dx
! !1 ! n"P!x"u " !1 ! n"f!x"
It is a linear differential equation in u with P!x" " !1 ! n"P!x", and f !x" " !1 ! n"f!x". Solve for u first,
and then let
y " u1/!1!n"
Example Solve the differential equation x
dy
dx
! y " x2
y2
.
The equation is
dy
dx
! 1
x y " xy2
. n " 2. Let u " y1!2
" y!1
. Solve du
dx
! !!1" 1
x u " !x.
a. h!x" " $! 1
x dx " !ln|x|, integrating factor is e!ln|x|
" 1
x
b. k!x" " $e!ln|x|
!!x"dx " $!!1"dx " !x
c. The general solution for u : u " eln|x|
!C ! x" " x!C ! x" " Cx ! x2
d. The general solution for y : y " 1
u " 1
Cx ! x2
Example Solve the initial value problem: x2 dy
dx
! 2xy " 3y4
, y!1" " 1
2
.
The equation is
dy
dx
! 2
x y " 3
x2
y4
, n " 4, 1 ! n " !3. Let u " y!3
. Solve du
dx
! 6
x u " ! 9
x2
a. h!x" " $ 6
x dx " 6ln|x|, the integrating factor is: e6ln|x|
" x6
b. k!x" " $x6
! 9
x2
dx " !9$x4
dx " ! 9
5
x5
c. The general solution for u : u " e!6ln|x|
C ! 9
5
x5
" 1
x6
C ! 9
5
x5
" C
x6
! 9
5x
d. The general solution for y : y!3
" C
x6
! 9
5x
e. When x " 1, y " 1
2
. 1
2
!3
" C
1
! 9
5
, C " 8 ! 9
5
" 49
5
1
The solution for the initial value problem: y!3
" 49
5x6
! 9
5x
Example Solve the initial value problem: 3!1 ! t2
"
dy
dt
" 2ty!y3
! 1".
Note that it is also separable. Rewrite it as the form:
dy
dt
! P!t"y " f!t"yn
3!1 ! t2
"
dy
dt
" 2ty!y3
! 1" " 2ty4
! 2ty,
dy
dt
! 2t
3!1 ! t2
"
y " 2t
3!1 ! t2
"
y4
Let u " y1!4
" y!3
. Solve u from
u$
! 3 2t
3!1 ! t2
"
u " !3 2t
3!1 ! t2
"
a. h!t" " $ 2t
1 ! t2
dt " ln!1 ! t2
"
b. k!t" " $! 2t
!1 ! t2
"
eln 1!t2
dt " !$2tdt " !t2
c. The general solution for u : u " e!ln 1!t2
!C ! t2
"
d. The general solution for y : y!3
" e!ln 1!t2
!C ! t2
" " 1
1 ! t2 !C ! t2
"
2. Reduction to Separable:
For example, the differential equation of the form
dy
dx
" f!Ax ! By ! C"
is not separable in y and x. Let u " Ax ! By ! C. Then
du
dx
" A ! B
dy
dx
,
dy
dx
" 1
B
du
dx
! A
dy
dx
" f!Ax ! By ! C" # 1
B
du
dx
! A " f!u"
du
dx
" Bf!u" ! A, 1
Bf!u" ! A
du " dx separable in u and x.
Example Solve the initial value problem:
dy
dx
" 2 ! y ! 2x ! 3 , y!0" " 1.
Let u " y ! 2x ! 3.
du
dx
"
dy
dx
! 2,
dy
dx
" 2 ! y ! 2x ! 3 # du
dx
! 2 " 2 ! u , du
dx
" u , 1
u
du " dx.
The last equation is separable in u and x.
$ 1
u
du " 2 u ! C1, $dx " x ! C2
The general solution for u : u " 1
2 !x ! C", or u " 1
4 !x ! C"2
The general solution for y : y ! 2x ! 3 " 1
4 !x ! C"2
or y " 2x ! 3 ! 1
4 !x ! C"2
Solve the initial value problem: 1 " !3 ! 1
4
C2
, C2
" 16, C " 4.
The solution of the initial value problem: y " 2x ! 3 ! 1
4 !x ! 4"2
Example Solve the differential equation:
dy
dx
" sin!x ! y".
2
Let u " x ! y. Then
du
dx
" 1 !
dy
dx
,
dy
dx
" sin!x ! y" # du
dx
! 1 " sin!u" # du
dx
" sin!u" ! C, 1
sin!u" ! 1
du " dx
The last equation is separable.
$ 1
sinu ! 1
du " tanu ! secu ! C1, $dx " x ! C2
The general solution for u : tanu ! secu " x ! C
The general solution for y : tan!x ! y" ! sec!x ! y" " x ! C
Example Solve the initial value problem:
dy
dx
"
3x ! 2y
3x ! 2y ! 2
, y!!1" " !1
Let u " 3x ! 2y. Then
du
dx
" 3 ! 2
dy
dx
,
dy
dx
"
3x ! 2y
3x ! 2y ! 2
# 1
2
du
dx
! 3 " u
u ! 2
,
du
dx
! 3 " 2u
u ! 2
, du
dx
" 2u
u ! 2
! 3 " 5u ! 6
u ! 2
, u ! 2
5u ! 6
du " dx
The last equation is separable.
$ u ! 2
5u ! 6
du " $ 5 ! 4
u ! 2
du " 5u ! 4ln|u ! 2| ! C1, $dx " x ! C2
The general solution for u : 5u ! 4ln|u ! 2| " x ! C
The general solution for y : 5!3x ! 2y" ! 4ln|3x ! 2y ! 2| " x ! C
Solve the initial value problem: when x " !1, y " !1 :
5!3!!1" ! 2!!1"" ! 4ln|3!!1" ! 2!!1" ! 2| " !1 ! C, C " !24 ! 4ln3
The solution of the initial value problem : 5!3x ! 2y" ! 4ln|3x ! 2y ! 2| " x ! 24 ! 4ln3
3
Applications of First Order Differential Equations - (1.3)(2.7)(2.8)
1. Growth and Decay:
Consider the initial value problem:
dP
dt
! kP, P!0" ! P0.
Function P!t" represents population at the time t. When k " 0, the population is increasing and when
k # 0, the population is decreasing. The equation is separable and solution is
P!t" ! P0ekt
.
Logistic Equation:
dP
dt
! P!a ! bP", P!0" ! P0. 1
P
dP
dt
! !a ! bP" or dP
dt
! aP ! bP2
Logistic curves have proved to be quite accurate in predicting the growth patterns, in a limited space, of
certain types of bacteria, water fleas, and fruit flies. The equation is separable, and also a Bernoulli equation.
The solution is:
P!t" ! aP0
bP0 $ !a ! bP0 "e!at .
Example Suppose a student carrying a flu virus returns to an isolated college campus of 1000 students. If
it is assumed that the rate at which the virus spreads is proportional not only to the number x of
infected students but also to the number of students not infected, determine the number of
infected students after 6 days if it is further observed that after 4 days 50 students are infected.
The mathematical model is:
dx
dt
! kx!1000 ! x", x!0" ! 1.
Since
dx
dt
! 1000kx ! kx2
, a ! 1000k, b ! k, P0 ! 1.
Hence
x!t" ! 1000k
k $ !1000k ! k"e!1000kt
! 1000
1 $ 999e!1000kt
It is known that x!4" ! 50. Then solve k from the equation:
50 ! 1000
1 $ 999e!1000k!4"
# k ! ! 1
4000
ln 19
999
x!t" ! 1000
1 $ 999e0.25ln!19/999" t
, x!6" ! 1000
1 $ 999e0.25ln!19/999"!6"
! 276
About 276 students are infected after 6 days.
2. Newton’s Law of Cooling:
dT
dt
! k!T ! Tm ", T!0" ! T0.
Function T!t" represents temperature of an object at the time t where T0 is the initial temperature of the
object and Tm is the temperature surrounded the object. When k " 0, T is increasing and when k # 0, T is
decreasing. The equation is separable and the solution is:
T!t" ! Tm $ ekt
!T0 ! Tm ".
Example A small metal bar, whose initial temperature was 20o
C, is dropped into a container of boiling
water. How long will it take the bar to reach 90o
C if is known that its temperature increased
2o
C in 1 second? How long will it take the bar to reach 98o
C?
Let T be the temperature of the bar at the t. Then we know: Tm ! 100o
C, T0 ! 20o
C. So,
1
T!t" ! 100 $ !20 ! 100"ekt
! 100 ! 80ekt
.
Since T!1" ! 2 $ 20 ! 22o
C, solve k from the equation:
22 ! 100 ! 80ek
.
k ! ln 39
40
and T!t" ! 100 ! 80eln!39/40" t
.
Find t when T!t" ! 90o
C.
90 ! 100 ! 80eln!39/40" t
# t ! ! ln8
ln 39
40
! 82. 13 seconds
Find t when T!t" ! 98o
C.
98 ! 100 ! 80eln!39/40" t
# t ! ! ln40
ln 39
40
! 145. 70 seconds
3. LR, and RC Circuits:
L dI
dt
$ RI ! E!t", I!0" ! I0
R
dQ
dt
$ 1
C
Q ! E!t", Q!0" ! Q0
Functions I!t" and Q!t" are current and charge at the time t, respectively. L, R, and C are constants for
inductor, resistor and capacitor, respectively. Function E!t" is voltage on the circuit at the time t. By
Kirchhoff’s second law,
ER ! RI, EL ! L dI
dt
, EC ! 1
C
"I!t"dt,
dQ
dt
! I
These two equations are linear (in I and Q". The solutions depend on given E!t".
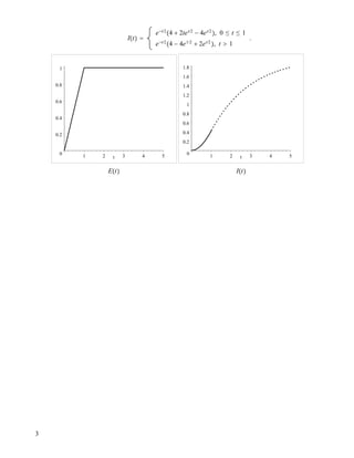
Example Consider a LR-circuit with L ! 4, R ! 2, I!0" ! 0, and E!t" !
t if 0 # t # 1
1 if t " 1
.
Solve I!t".
Solve I!t" from the initial value problem:
4 dI
dt
$ 2I ! E!t", I!0" ! 0 # dI
dt
$ 1
2
I ! 1
4
E!t", I!0" ! 0
It is linear in I.
a. h!t" ! " 1
2
dt ! 1
2
t, I.F.: et/2
b.
k!t" ! "et/2
!t"dt ! 2e
1
2
t
t ! 4e
1
2
t
, 0 # t # 1
k!t" ! "et/2
!1"dt ! 2e
1
2
t
, t " 1
c.
I!t" ! e!t/2
!C1 $ 2tet/2
! 4et/2
", 0 # t # 1
I!t" ! e!t/2
!C2 $ 2et/2
", t " 1
d. When t ! 0, I!0" ! 0. Solve C1 :
0 ! e0
!C1 $ 2e0
!0" ! 4e0
", C1 ! 4.
I!t" ! e!t/2
!4 $ 2et/2
t ! 4et/2
", 0 # t # 1
In particular, I!1" ! e!1/2
!4 $ 2e1/2
! 4e1/2
" ! 4e!1/2
$ 2 ! 4 ! 4e!1/2
! 2.
When t ! 1, I!1" ! 4e!1/2
! 2. Solve C2 :
4e!1/2
! 2 ! e!1/2
!C2 $ 2e1/2
" # 4 ! 2e1/2
! C2 $ 2e1/2
, C2 ! 4 ! 4e1/2
I!t" ! e!t/2
!4 ! 4e1/2
$ 2et/2
", t " 1
Solution:
2
I!t" !
e!t/2
!4 $ 2tet/2
! 4et/2
", 0 # t # 1
e!t/2
!4 ! 4e1/2
$ 2et/2
", t " 1
.
0
0.2
0.4
0.6
0.8
1
1 2 3 4 5t
E!t"
0
0.2
0.4
0.6
0.8
1
1.2
1.4
1.6
1.8
1 2 3 4 5t
I!t"
3
Concepts of Higher Order Linear Differential Equations - (3.1)
1. Higher Order Linear Differential Equations:
An nth-order linear differential equation:
an!x"
dn
y
dxn ! an!1!x"
dn!1
y
dxn!1
!...!a1!x"
dy
dx
! a0!x"y " g!x"
Define
L!y" " an!x"
dn
y
dxn ! an!1!x"
dn!1
y
dxn!1
!...!a1!x"
dy
dx
! a0!x"y.
The function L is a linear operator meaning for any constant ! and "
L!!y ! "z" " !L!y" ! "L!z"
An initial-value problem for an nth-order linear differential equation: solve
an!x"
dn
y
dxn ! an!1!x"
dn!1
y
dxn!1
!...!a1!x"
dy
dx
! a0!x"y " g!x"
subject to y!a" " y0, y#
!a" " y1, ..., y!n!1"
!a" " yn!1.
A boundary-value problem for a 2nd-order linear differential equation: solve
a2!x"
d2
y
dx2
! a1!x"
dy
dx
! a0!x"y " g!x"
subject to y!a" " !, y!b" " ".
Boundary-value problems with other boundary conditions:
y!a" " !, y#
!b" " "
y#
!a" " !, y!b" " "
y#
!a" " !, y#
!b" " "
c1y!a" ! c2y#
!a" " !, c3y!b" ! c4y#
!b" " "
Homogeneous and nonhomogeneous differential equations:
Homogeneous: g!x" " 0, and L!y" " 0
Nonhomogeneous: g!x" " 0, and L!y" " g!x"
2. Existence of a Unique Solution of An Initial-Value Problem:
Let a0!x", a1!x", ..., an!x" and g!x" be continuous on an interval I, and let an!x" " 0 for every x in I. If
x " a is a point in I, then the initial-value problem has a unique solution in I.
Example Show that y!x" " 3 ! C1x ! C2x2
is the general solution of the differential equation
x2
y##
! 2xy#
! 2y " 6
Find an interval I on which the initial-value problem
x2
y##
! 2xy#
! 2y " 6, y!1" " 3, y#
!1" " 1
has a unique solution and solve the initial value problem.
y#
" C1 ! 2C2x , y##
" 2C2
x2
y##
! 2xy#
! 2y " x2
!2C2 " ! 2x!C1 ! 2C2x" ! 2!3 ! C1x ! C2x2
"
" x2
!2C2 ! 4C2 ! 2C2 " ! x!!2C1 ! 2C1 " ! 6 " 6
a2!x" " x2
" 0, x " 0.
Consider I " 0, # . a0!x" " 2, a1!x" " !2x, a2!x" " x2
, and g!x" " 6 are continuous on I and
a2!x" " 0 for every x in I. x " 1 is also in I. So, the initial-value problem has a unique solution on
1
I. Actually, this initial-value problem has a unique solution on I " !#, # even with initial conditions:
y!0" " !, y#
!0" " ".
Solve constants C1 and C2 so that y satisfies the initial conditions.
y!1" " 3 ! C1 ! C2 " 3 # C1 ! C2 " 0
y#
!1" " C1 ! 2C2 " 1
C1
C2
"
1 1
1 2
!1
0
1
"
!1
1
y " 3 ! x ! x2
Example Show that y " C1 cos4x ! C2 sin4x is the general solution of the differential equation
y##
! 16y " 0. Solve the boundary-value problems
y##
! 16y " 0,
!i" y!0" " 0, y #
2
" 0;
!ii" y!0" " 0, y #
8
" 0;
!iii" y!0" " 0, y #
2
" 1.
y#
" !4C1 sin4x ! 4C2 cos4x, y##
" !16C1 cos4x ! 16C2 sin4x
y##
! 16y " !16C1 cos4x ! 16C2 sin4x ! 16!C1 cos4x ! C2 sin4x" " 0
!i" y!0" " C1 " 0, y #
2
" C2 sin!2#" " 0, C2 can be any real number,
y " C2 sin4x, the BVP has infinitely many solutions
!ii" y!0" " 0, C1 " 0, y #
8
" C2 sin #
2
" C2 " 0, y " 0, the BVP has a unique solution
!iii" y!0" " 0, C1 " 0, y #
2
" C2 sin!2#" " 0 " 1, the BVP has no solution
3. Homogeneous Linear Differential Equations:
a. The general solution of a homogeneous nth-order linear differential equation:
Let y1, ..., yk be solutions of the homogeneous nth-order differential equation L!y" " 0 on an interval
I. Then the linear combination:
y " C1y1 ! C2y2 !...!Cnyn
where Ci
#
s are arbitrary constants, is also a solution on I.
It is easy to see. Since L!yi " " 0, for i " 1,...,n,
L!y" " L!C1y1 ! C2y2 !...!Cnyn " " C1L!y1 " !...!CnL!yn " " 0.
b. Linear independence of solutions:
A set of functions: f1!x", ..., fn!x" is said to be linearly independent on an interval I if
C1f1!x" ! C2f2!x" !...!Cn fn!x" " 0 implies C1 " C2 "..." Cn " 0
for all x in I. If a set is not linearly independent on I, then it is said to be linearly dependent.
Example The set of functions 1, x, x2
, ..., xn
is linearly independent on !#, # .
2
0
0.2
0.4
0.6
0.8
1
1.2
1.4
1.6
1.8
-4 -2 2 4x
y " 1
-4
-2
0
2
4
-4 -2 2 4x
y " x
0
5
10
15
20
-4 -2 2 4x
y " x2
None of them can be a linear combination of others. So, 1, x, x2
, ..., xn
is linearly independent on
!#, # .
Example Determine if the set of functions: 1, sin2
x, cos2x, is linearly independent on !#, # .
Since sin2
x " 1
2 !1 ! cos2x" " 1
2
! ! 1
2
cos2x, a linear combination of 1 and cos2x, the set of
1, sin2
x, cos2x is linearly dependent on !#, # .
0
0.2
0.4
0.6
0.8
1
1.2
1.4
1.6
1.8
-4 -2 2 4x
y " 1
0
0.2
0.4
0.6
0.8
-4 -2 2 4x
y " sin2
x
-1
-0.8
-0.6
-0.4
-0.2
0
0.2
0.4
0.6
0.8
1
-4 -2 2 4x
y " cos2x
Example Let x, |x| and I1 " 0, 1 , I2 " !!1,1". Determine if x, |x| is linearly independent on
I1 and I2.
Since x $ 0, |x| " x, x, |x| is linearly dependent on I1.
Let C1x ! C2|x| " 0. For x $ 0, C1x ! C2|x| " C1x ! C2x " C1 ! C2 " 0. For
x % 0, C1x ! C2|x| " C1x ! C2x " C1 ! C2 " 0.
1 1
1 !1
C1
C2
"
0
0
#
C1
C2
"
0
0
x, |x| is linearly independent on I2.
-1
-0.8
-0.6
-0.4
-0.2
0
0.2
0.4
0.6
0.8
1
-1 -0.8 -0.6 -0.4 -0.2 0.2 0.4 0.6 0.8 1x
y " x
0
0.2
0.4
0.6
0.8
-1 -0.8 -0.6 -0.4 -0.2 0.2 0.4 0.6 0.8 1x
y " |x|
c. Linear independence of solutions of a linear differential equation:
Definition: Wronskian
Let functions f1!x", ..., fn!x" have at least n ! 1 derivatives. The determinant
3
W!f1,...,fn " " det
f1 f2 ... fn
f1
#
f2
#
... fn
#
: : : :
f1
!n!1"
f2
!n!1"
... fn
!n!1"
is call the Wronskian of the functions: f1!x", ..., fn!x".
Criterion for linearly independent solutions:
Let y1, y2,..., yn be n solutions of the homogeneous linear nth-order differential equation on an
interval I. Then the set of solutions is linearly independent on I if and only if W!y1,...,yn " " 0 for
every x in I.
It can be seen as follows. Let C1y1 !...!Cnyn " 0. Solve for Ci
#
s. Since
C1y1
!k"
!...!Cnyn
!k"
" 0, for k " 0,1,...,n ! 1,
y1 y2 ... yn
y1
#
y2
#
... yn
#
: : : :
y1
!n!1"
y2
!n!1"
... yn
!n!1"
C1
C2
:
Cn
"
0
0
:
0
W!y1,...,yn " " 0 for every x in I &
C1
C2
:
Cn
"
0
0
:
0
Example Find an interval I such that the set of functions is linearly independent on I.
!i" 1, x, xlnx !ii" e!x
, e"x
, ! " "
i. W 1, x, xlnx " det
1 x xlnx
0 1 lnx ! 1
0 0 1
x
" 1
x
Wronskian exists if x " 0. Let I " 0, # . Wronskian " 0 for xin I. 1, x, xlnx is linearly
independent on I.
ii. W e!x
, e"x
" det
e!x
e"x
!e!x
"e"x
" e!x
"e"x
! e"x
!e!x
" e!x!"x
!" ! !" " 0
Let I " !#, # . e!x
, e"x
is linearly independent on I.
Fundamental set of solutions:
Any set y1,...,yn of an nth-order linearly independent solutions of a homogeneous differential equation:
L!y" " 0 on I is said to be a fundamental set of solutions.
Existence of a Fundamental Set of Solutions:
There exists a fundamental set of solutions for a homogeneous linear nth-order differential equation
L!y" " 0.
General solution of a linear nth-order homogeneous differential equation: L!y" " 0
Let y1,...,yn be a fundamental set of solutions of L!y" " 0 for x in I. Then the general solution of the
equation L!y" " 0 for x in I is
4
y " C1y1 !...!Cnyn
where Ci
#
s are arbitrary constants.
Example Show that y1 " ex
and y2 " e!x/2
are solutions of the differential equation
2y##
! y#
! y " 0
Find the general solution of the equation.
4. Nonhomogeneous Linear Differential Equations:
a. Solution of nonhomogeneous equation:
Consider L!y" " g!x". A function yp satisfy the equation L!y" " g!x" is called a particular solution of
the equation: L!y" " g!x".
General solution of a nonhomogeneous equation: L!y" " g!x"
Let y1, ..., yn be a fundamental set of solutions of the homogeneous equation: L!y" " 0. Then the
general solution of L!y" " g!x" for x in I is
y " C1y1 !...!Cnyn ! yp
where Ci
#
s are arbitrary constants.
b. If yp and yq are solutions of L!y" " g!x" and L!y" " h!x", respectively, then the general solution of the
equation L!y" " g!x" ! h!x" is
y " C1y1 !...!Cnyn ! yp ! yq
Example Show that yp " 1
5
cosx ! 3
5
sinx and yq " !3x2
! 6x ! 18 are solutions of the equations
2y##
! y#
! y " 2sinx, 2y##
! y#
! y " 3x2
respectively. Find a particular solution of the equation 2y##
! y#
! y " 2sinx ! 3x2
.
yp
#
" ! 1
5
sinx ! 3
5
cosx, yp
##
" ! 1
5
cosx ! 3
5
sinx
2yp
##
! yp
#
! yp " ! 2
5
cosx ! 6
5
sinx ! 1
5
sinx ! 3
5
cosx ! 1
5
cosx ! 3
5
sinx
" cosx ! 2
5
! 3
5
! 1
5
! sinx 6
5
! 1
5
! 3
5
" 2sinx
yq
#
" !6x ! 6, yq
##
" !6
2y##
! y#
! y " 2!!6" ! !!6x ! 6" ! !!3x2
! 6x ! 18"
" x2
!3" ! x!6 ! 6" ! !!12 ! 6 ! 18" " 3x2
So, both yp and yq are solutions of the equations,
2y##
! y#
! y " 2sinx, 2y##
! y#
! y " 3x2
respectively. Let yr " 1
5
cosx ! 3
5
sinx ! !3x2
! 6x ! 18 . yr is a solution of the equation.
5
Reduction of Order - (3.2)
1. Consider the 2nd-order linear differential equation
a2!x"y!!
" a1!x"y!
" a0!x"y # 0
The general solution of the differential equation is y # C1y1 " C2y2 where #y1,y2 $ is a fundamental set of
solutions, i.e.
a. y1, and y2are solutions of the differential equation equation; and
b. y1, and y2are linearly independent.
If we know y1, can we find y2? The answer is yes. How? We let y2 # u y1 where u is a function of x. If
we substitute y2 of this form into the differential equation, we will get a first-order differential equation in u
and it can be solved by using a method Chapter 2. Here are the details.
Consider the 2nd-order homogeneous linear differential equation in standard form
y!!
" P!x"y!
" Q!x"y # 0
Let y2 # y1u. Then
y2
!
# y1
!
u " y1u!
and
y2
!!
# y1
!!
u " y1
!
u!
" y1
!
u!
" y1u!!
# y1
!!
u " 2y1
!
u!
" y1u!!
.
y!!
" P!x"y!
" Q!x"y # y1
!!
u " 2y1
!
u!
" y1u!!
" P!x"!y1
!
u " y1u!
" " Q!x"y1u
# !y1
!!
" P!x"y1
!
" Q!x"y1 "u " 2y1
!
u!
" y1u!!
" P!x"y1u!
# 0 " y1u!!
" !2y1
!
" P!x"y1 "u!
# 0
u!!
"
2y1
!
y1
" P!x" u!
# 0, let z # u!
. Then z!
# u!!
z!
"
2y1
!
y1
" P!x" z # 0 !
1st order linear differential equation
separable
Solve the differential equation in z and then
u # "zdx and y2 # y1u
Given y!!
" P!x"y!
" Q!x"y # 0 and a solution y1, two steps to solve y2 # u y1 :
a. Solve the first order linear (separable) differential equation in z:
z!
"
2y1
!
y1
" P!x" z # 0
b. Compute u # "zdx and let y2 # u y1.
Example Show that y1 # x2
cos!lnx" is a solution of x2
y!!
! 3xy!
" 5y # 0. Find the general solution of
the differential equation.
a. Check y1 is a solution of the differential equation (it satisfies the differential equation) :
y1
!
# 2xcos!lnx" ! x2
sin!lnx" 1
x # x!2cos!lnx" ! sin!lnx"",
y1
!!
# 2cos!lnx" ! sin!lnx" " x !2sin!lnx" 1
x ! cos!lnx" 1
x # cos!lnx" ! 3sin!lnx"
x2
y!!
! 3xy!
" 5y # x2
!cos!lnx" ! 3sin!lnx"" ! 3x!x"!2cos!lnx" ! sin!lnx"" " 5x2
cos!lnx"
# !x2
! 6x2
" 5x2
"cos!lnx" " !!3x2
" 3x2
"sin!lnx" # 0
So, y1 is a solution.
b. Let y2 # y1u. First rewrite the equation in standard form
1
y!!
! 3
x y!
" 5
x2
y # 0. P!x" # ! 3
x , Q!x" # 5
x2
i. Solve z!
"
2y1
!
y1
" P!x" z # 0 for z. P!x" # ! 3
x
2y1
!
y1
#
2x!2cos!lnx" ! sin!lnx""
x2
cos!lnx"
#
2!2cos!lnx" ! sin!lnx""
xcos!lnx"
2y1
!
y1
" P!x" #
2!2cos!lnx" ! sin!lnx""
xcos!lnx"
! 3
x # 1
x ! 2
x tan!lnx"
z!
" 1
x ! 2
x tan!lnx" z # 0
" 1
z dz # " ! 1
x " 2
x tan!lnx" dx, ln|z| # !ln|x| ! 2ln|cos ln!x"| " C
z # C 1
x
1
cos2
lnx
# C
x sec2
lnx
ii. Solve for u : u # "C 1
x sec2
lnxdx # Ctan!lnx" and y2 # u y1
y2 # Cx2
cos!lnx"tan!lnx" # Cx2
sin!lnx"
y # C1x2
cos!lnx" " C2x2
sin!lnx"
2
Homogeneous Linear Differential Equations with Constant Coefficients - (3.3)
Consider an nth-order linear differential equation of the form:
any!n" ! an!1y!n!2" !...!a1y"
! a0y # 0.
Let y # emx
. Observe that
y"
# memx
, y""
# m2
emx
, ..., y!n" # mn
emx
.
any!n" ! an!1y!n!2" !...!a1y"
! a0y # anmn
emx
!...!a1memx
! a0emx
# emx
!anmn
!...!a1m ! a0 " # 0 #
anmn
!...!a1m ! a0 # 0.
y # eax
is a solution of the differential equation
any!n" ! an!1y!n!2" !...!a1y"
! a0y # 0
if and only if m # a is a solution of the equation
anmn
!...!a1m ! a0 # 0.
Let P!m" # anmn
!...!a1m ! a0. P!m" is called the characteristic polynomial of the differential equation
any!n" ! an!1y!n!2" !...!a1y"
! a0y # 0.
Know that the equation P!m" # m has nsolutions (real or complex) including the multiples. Let m1,...,mn be
solutions of P!m" # 0. Let L!y" # any!n" ! an!1y!n!2" !...!a1y"
! a0y. Recall the general solution of
L!y" # 0 :
y # C1y1 ! C2y2 !...!Cnyn
where y1,...,yn are solutions of L!y" # 0 and are linearly independent. How do y1,...,yn relate to m1,...,mn?
1. If mi are simple real solutions of P!m" # 0, then yi # emix
are solutions of the differential equation
L!y" # 0.
2. If mi is a real solution of P!m" # 0 with multiplicity k, then y1 # emix
, y2 # xemix
, ..., yk # xk!1
emix
are
solutions of the differential equation L!y" # 0 and they are linearly independent.
3. If m1 # a ! ib and m2 # a ! ib are simple complex solutions of P!m" # 0, then
y1 # eax
cos!bx", y2 # eax
sin!bx"
are solutions of L!y" # 0 and they are linearly independent.
4. If m1 # a ! ib and m2 # a ! ib are complex solutions of P!m" # 0 with multiplicity k, then
y1 # eax
cos!bx", y2 # eax
sin!bx", y3 # xeax
cos!bx", y4 # xeax
sin!bx"
...y2k!1 # xk!1
eax
cos!bx", y2k # xk!1
eax
sin!bx"
are solutions of L!y" # 0 and they are linearly independent.
Example Let P!m" # m2
!m ! 1"2
!m ! 2"!m2
! 3"!m2
! m ! 1" be the characteristic polynomial of a
linear differential equation L!y" # 0. What is the order the differential equation? Find the general
solution of L!y" # 0.
P!m" is a polynomial of degree 9, so the order of differential equation is 9. Solve P!m" # 0.
m2
# 0, m # 0,0
!m ! 1"2
# 0, m # 1,1
m ! 2 # 0, m # !2
m2
! 3 # 0, m # i 3 , m # !i 3
m2
! m ! 1 # 0, m # !1$ 1!4
2
m # ! 1
2
! i 3
2
, m # ! 1
2
! i 3
2
#
y1 # 1, y2 # x
y3 # ex
, y4 # xex
y5 # e!2x
y6 # cos 3 x , y7 # sin 3 x
y8 # e!x/2
cos 3
2
x ,
y9 # e!x/2
sin 3
2
x
1
The general solution:
y # C1 ! C2x ! C3ex
! C4xex
! C5e!2x
! C6 cos 3 x ! C7 sin 3 x
! C8e!x/2
cos
3
2
x ! C9e!x/2
sin
3
2
x .
Example Find the general solution of the differential equation.
a. y""
! y"
! 2y # 0 b. y""
! y"
! 2y # 0 c. y""
! 4y"
! 4y # 0
d. y!4" ! y"
# 0 e. y!4" ! 2y""
# 0 f. y!4" ! 4y""
! 4y # 0 g. y!4" ! y # 0
a. P!m" # m2
! m ! 2 # !m ! 2"!m ! 1" # 0, m # 2, and m # !1.
y1 # e2x
, y2 # e!x
, and the general solution
y # C1e2x
! C2e!x
.
b. P!m" # m2
! m ! 2 # 0
m #
!1 $ 1 ! 4!1"!2"
2
#
!1 $ i 7
2
, m # ! 1
2
! i
7
2
, m # ! 1
2
! i
7
2
y1 # e!x/2
cos
7
2
, y2 # e!x/2
sin
7
2
, and y # C1e!x/2
cos
7
2
! C2e!x/2
sin
7
2
c. P!m" # m2
! 4m ! 4 # !m ! 2"2
# 0, m # !2,!2.
y1 # e!2x
, y2 # xe!2x
and
y # C1e!2x
! C2xe!2x
d. P!m" # m4
! m # m!m3
! 1" # m!m ! 1"!m2
! m ! 1" # 0,
m # 1, m # 1, m # !1$ 1!4
2
# ! 1
2
$ i 3
2
y1 # ex
, y2 # xex
, y3 # e!x/2
cos 3
2
x , y4 # e!x/2
sin 3
2
x and
y # C1ex
! C2xex
! C3e!x/2
cos
3
2
x ! C4e!x/2
sin
3
2
x .
e. P!m" # m4
! 2m2
# m2
!m2
! 2" # 0, m # 0,0, m # $ 2
y1 # 1, y2 # x, y3 # e 2 x
, y4 # e! 2 x
and
y # C1 ! C2x ! C3e 2 x
! C4e! 2 x
.
f. P!m" # m4
! 4m2
! 4 # !m2
! 2"
2
# 0, m # $i 2 , m # $i 2
y1 # cos 2 x , y2 # sin 2 x , y3 # xcos 2 x , y4 # xsin 2 x and
y # C1 cos 2 x ! C2 sin 2 x ! C3xcos 2 x ! C4xsin 2 x
g. P!m" # m4
! 1 # !m2
! 1"!m2
! 1" # 0, m # $1, m # $i
y1 # ex
, y2 # e!x
, y3 # cosx, y4 # sinx and
y # C1ex
! C2e!x
! C3 cosx ! C4 sinx.
2
Nonhomogeneous Linear Differential Equations with Constant Coefficients - (3.4)
Method of Undetermined Coefficients
Consider an nth-order nonhomogeneous linear differential equation with constant coefficients:
L!y" ! f!x" where L!y" ! any!n" " an!1y!n!1" "..."a1y#
" a0y.
We know the general of this differential equation is: y ! yc " yp where yc ! C1y1 "..."Cnyn is the general
solution of L!y" ! 0 and yp is a solution of L!y" ! f!x", respectively. We know how to find yc from Section 3.3.
In this section, we will study a method called “The Method of Undetermined Coefficients” to find yp.
Notice that if f!x" ! f1!x" " f2!x" and yp1 and yp2 are solutions of L!y" ! f1!x" and L!y" ! f2!x",
respectively, then yp ! yp1 " yp2 is a solution of L!y" ! f!x". It is easy to see what it is true. Since
L!yp1 " ! f1!x" and L!yp2 " ! f2!x",
and L is linear !L!!y1 " "y2 " ! !L!y1 " " "L!y2 "",
L!yp " ! L!yp1 " yp2 " ! L!yp1 " " L!yp2 " ! f1!x" " f2!x" ! f!x".
So if f!x" is a sum of several functions fi!x", we may find solve one equation L!y" ! fi!x" at the time.
The Method of Undetermined Coefficients:
Let yc ! C1y1 "..."Cnyn be the general solution of the differential equation:
L!y" ! 0.
Find yp, a solution of the differential equation:
L!y" ! f!x".
Observe that the following are possible types of functions for yi
#
s :
polynomial 1 " x, x2
! 1
2
x3
exponential function e2x
, 1
3
e! 2 x
sine and cosine cos!#x", sin!2x"
combinations of above functions xe2x
, xsin!3x", !x2
! 1"ex
cos!2x"
This method is designed to solve yp when f!x" is one of above functions.
1. The type of f!x" is different from any of yi
#
s. The solution yp can be chosen as follows.
f!x" the choice to yp
bkxk
" bk!1xk!1
"..."b1x " b0 Akxk
" Ak!1xk!1
"..."A1x " A0
eax
Aeax
cos!"x"or sin!"x" Acos!"x" " Bsin!"x"
e!x
cos!"x"or e!x
sin!"x" Ae!x
cos!"x" " Be!x
sin!"x"
!bkxk
" bk!1xk!1
"..."b1x " b0 "e!x
!Akxk
" Ak!1xk!1
"..."A1x " A0 "e!x
!bkxk
" bk!1xk!1
"..."b1x " b0 "sin!"x" or
!bkxk
" bk!1xk!1
"..."b1x " b0 "cos!"x"
!Akxk
" Ak!1xk!1
"..."A1x " A0 "sin!"x"
"!Bkxk
" Bk!1xk!1
"..."B1x " B0 "cos!"x"
2. The type of f!x" is the same as one of yi
#
s. The solution yp ! xh
y p where y p is chosen from above table and
the positive integer h is chosen so that xh
y p is different from any of yi
#
s.
Constants Ai
#
s and Bi
#
s are determined so that yp is a solution.
Example Let yc be the general solution of L!y" ! 0 where
yc ! C1e2x
" C2xe2x
" C3 cos!2x" " C4 sin!2x" " C5e!2x
" C6e!x
sin!#x" " C7e!x
cos!#x" " C8.
1
Give the form of yp, a solution of
L!y" ! 2 " x2
" e3x
" 4e2x
" cos!#x" ! 2xsin!4x" ! 2ex
cos!2x" ! cos!2x".
Consider f!x" ! f1!x" " f2!x" " f3!x" " f4!x" " f5!x" " f6!x" " f7!x". Choose ypi :
fi!x" ypi
2 " x2
!A2x2
" A1x " A0 "x
e3x
Be3x
4e2x
Ce2x
!x2
"
cos!#x" D1 cos!#x" " D2 sin!#x"
!2xsin!4x" !E1x " E2 "sin!4x" " !E3x " E4 "cos!4x"
!2ex
cos!2x" F1ex
cos!2x" " F2ex
sin!2x"
!cos!2x" !G1 cos!2x" " G2 sin!2x""x
yp ! yp1 "..." yP7 .
Example Solve y##
! 2y#
! 3y ! 4x ! 5 " 6xe2x
.
1. Solve yc from the equation: y##
! 2y#
! 3y ! 0.
P!m" ! m2
! 2m ! 3 ! !m ! 3"!m " 1" ! 0, m ! 3, m ! !1
yc ! c1e3x
" c2e!x
2. Solve yp1 from y##
! 2y#
! 3y ! 4x ! 5.
Let yp1 ! Ax " B. Then
yp1
#
! A, yp1
##
! 0.
y##
! 2y#
! 3y ! 4x ! 5 # 0 ! 2A ! 3!Ax " B" ! 4x ! 5 # !3Ax " !!2A ! 3B" ! 4x ! 5
coefficients of x : !3A ! 4, A ! ! 4
3
constants: ! 2A ! 3B ! !5, B ! 1
3
5 ! 2 ! 4
3
! 23
9
, yp1 ! ! 4
3
x " 23
9
3. Solve yp2 from y##
! 2y#
! 3y ! 6xe2x
.
Let yp2 ! !Ax " B"e2x
. Then
yp2
#
! Ae2x
" 2!Ax " B"e2x
! !2Ax " A " 2B"e2x
,
yp2
##
! !2A"e2x
" 2!2Ax " A " 2B"e2x
! !4Ax " 4A " 4B"e2x
y##
! 2y#
! 3y ! 6xe2x
# !4Ax " 4A " 4B"e2x
! 2!2Ax " A " 2B"e2x
! 3!Ax " B"e2x
! 6xe2x
Dropping e2x
from both sides of the equation, we have polynomials on both sides:
!4A ! 4A ! 3A"x " !4A " 4B ! 2A ! 2B ! 3B" ! 6x # !3Ax " !2A ! B" ! 6x
!3A ! 6, A ! !2
2A ! B ! 0, B ! 2A ! !4
, yp2 ! !!2x ! 4"e2x
! !2!x " 2"e2x
4. the general solution of the equation:
y ! yc " yp1 " yp2 ! c1e3x
" c2e!x
! 4
3
x " 23
9
! 2!x " 2"e2x
Example Solve y###
! 5y##
" 4y#
! 8ex
" 4x.
1. Solve yc from y###
! 5y##
" 4y#
! 0.
P!m" ! m3
! 5m2
" 4m ! m!m ! 4"!m ! 1" ! 0, m ! 0, m ! 1, m ! 4.
2
yc ! c1 " c2ex
" c2e4x
.
2. Solve yp1 from y###
! 5y##
" 4y#
! 8ex
.
Let yp1 ! !Aex
"x ! Axex
. Then
y#
! A!ex
" xex
" ! A!1 " x"ex
, y##
! A!ex
" !1 " x"ex
" ! A!2 " x"ex
y###
! A!ex
" !2 " x"ex
" ! A!3 " x"ex
y###
! 5y##
" 4y#
! 8ex
# A!3 " x"ex
! 5A!2 " x"ex
" 4A!1 " x"ex
! 8ex
Drop the factor ex
from both sides of the equation, we have polynomials in x on both sides:
!A ! 5A " 4A"x " !3A ! 10A " 4A" ! 8 # !3A ! 8, A ! ! 8
3
, yp1 ! ! 8
3
xex
3. Solve yp2 from y###
! 5y##
" 4y#
! 4x
Let yp2 ! !Ax " B"x ! Ax2
" Bx. Then
yp2
#
! 2Ax " B, yp2
##
! 2A, yp3
###
! 0.
y###
! 5y##
" 4y#
! 4x # 0 ! 5!2A" " 4!2Ax " B" ! 4x # 8Ax " !!10A " 4B" ! 4x
coefficients of x : 8A ! 4, A ! 1
2
constants: ! 10A " 4B ! 0, B ! 10
4
A ! 5
4
, yp2 ! 1
2
x2
" 5
4
x
4. The general solution of the differential equation:
y ! yc " yp1 " yp2 ! c1 " c2ex
" c2e4x
! 8
3
xex
" 1
2
x2
" 5
4
x
Example Solve y##
" 9y !
2cos!2x", for 0 " x $ #
2
0, for x # #
2
, y!0" ! 0, y#
!0" ! 0.
1. Solve yc from y##
" 9y ! 0.
P!m" ! m2
" 9 ! 0, m ! %i3.
yc ! c1 cos!3x" " c2 sin!3x"
2. Solve yp from y##
" 9y ! 2cos!2x".
Let yp ! Acos!2x" " Bsin!2x". Then
yp
#
! !2Asin!2x" " 2Bcos!2x", yp2
##
! !4Acos!2x" ! 4Bsin!2x"
y##
" 9y ! 2cos!2x" # !4Acos!2x" ! 4Bsin!2x" " 9!Acos!2x" " Bsin!2x"" ! 2cos!2x"
!!4A " 9A"cos!2x" " !!4B " 9B"sin!2x" ! 2cos!2x"
coefficients of cos!2x" : 5A ! 2, A ! 2
5
coefficients of sin!2x" : 5B ! 0, B ! 0
, yp ! 2
5
cos!2x"
3. The general solution:
y ! yc " yp !
c1 cos!3x" " c2 sin!3x" " 2
5
cos!2x" 0 " x $ #
2
c3 cos!3x" " c4 sin!3x" x # #
2
4. Solve the initial value problem:
For 0 " x $ #
2
,
y#
! !3c1 sin!3x" " 3c2 cos!3x" ! 4
5
sin!2x"
3
y!0" ! c1 " 2
5
! 0, c1 ! ! 2
5
y#
!0" ! 3c2 ! 0, c2 ! 0
, y ! ! 2
5
cos!3x" " 2
5
cos!2x".
For x # #
2
, the initial conditions are:
y#
! 6
5
sin!3x" ! 4
5
sin!2x",
y #
2
! ! 2
5
y# #
2
! ! 6
5
Then
y#
! !3c3 sin!3x" " 3c4 cos!3x"
y #
2
! 0 ! c4 ! ! 2
5
, c4 ! 2
5
y# #
2
! 3c3 ! ! 6
5
, c3 ! ! 2
5
, y ! ! 2
5
cos!3x" " 2
5
sin!3x"
The solution of the initial value problem:
y ! yc " yp !
! 2
5
cos!3x" " 2
5
cos!2x" 0 " x $ #
2
! 2
5
cos!3x" " 2
5
sin!3x" x # #
2
-2
-1
0
1
2
0.5 1 1.5 2 2.5 3x
f!x" ! 2cos!2x", 0 " x $ #
2
, f!x" !
-0.4
-0.2
0
0.2
0.4
2 4 6 8 10x
y
4
Laplace Transform - !4.1"
Consider solving differential equations with constant coefficients:
a2y!!
" a1y!
" a0y # f!x".
We know how to solve this type differential equation when f!x" is a continuous function or a piecewise
continuous function. But how can we solve this differential equation if f is a periodic function, or an impulse
function? Before we study a new method to solve a differential equation with f of this type, we need to learn a
new operator which is called Laplace transform.
1. Definition of a Laplace Transform:
Let f be a function defined for t ! 0. Then the integral
!#f!t"$ # "0
#
e$st
f!t"dt
is said to be the Laplace transform of f, provided the improper integral converges, i.e. the limit
lim
b$#
"0
b
e$st
f!t"dt
exists.
Note that if the limit exists !#f!t"$ is a function of s. Often the following notations are used
!#f!t"$ # F!s", !#g!t"$ # G!s", !#y!t"$ # Y!s".
Example Find the Laplace Transform of f where
a. !i" f!t" # 1 !ii" f!t" # t !iii" f!t" # t2
!iv" f!t" # tn
b. !i" f!t" # e!t
c. !i" f!t" # sin!"t" !ii" f!t" # cos!"t"
a.
!i" !#1$ # "0
#
e$st
dt # lim
b$#
"0
b
e$st
dt # lim
b$#
$ 1
s e$st
|0
b
# lim
b$#
$ 1
s %e$sb
$ 1& # 1
s , s % 0
!ii" !#t$ # "0
#
te$st
dt # lim
b$#
"0
b
te$st
dt # lim
b$#
$ e$sb
b
s $ e$sb
s2
" 1
s2
# 1
s2
, s % 0
!iii" !#t2
$ # "0
#
t2
e$st
dt # lim
b$#
"0
b
t2
e$st
dt # lim
b$#
$ e$sb
b2
s $ 2e$sb
b
s2
$ 2e$sb
s3
" 2
s3
# 2
s3
, s % 0
!iv" !#tn
$ # n!
sn"1
, s % 0
1
0
5
10
15
20
25
1 2 3 4 5t
- y # 1, - - y # t, -.- y # t2
0
5
10
15
20
25
0.4 0.6 0.8 1 1.2 1.4 1.6 1.8 2s
- y # 1
s , -.- y # 1
s2
, -.- y # 2
s3
b.
!i" !#eat
$ # "0
#
eat
e$st
dt # lim
b$#
"0
b
e$!s$a"t
dt # lim
b$#
$ 1
s $ a e$!s$a"t
|0
b
# lim
b$#
$ 1
s $ a %e$!s$a"b
$ 1& # 1
s $ a , s % a
c.
!i" !#sin!bt"$ # "0
#
sin!bt"e$st
dt # lim
b$#
"0
b
sin!bt"e$st
dt
# lim
b$#
$ e$sb
bcosb2
" e$sb
ssinb2
$ b
s2
" b2
# b
s2
" b2
, s % 0
!ii" !#cos!bt"$ # "0
#
cos!bt"e$st
dt # lim
b$#
"0
b
cos!bt"e$st
dt
# $e$sb
scosb2
" e$sb
bsinb2
" s
s2
" b2
# s
s2
" b2
, s % 0
Example Find the Laplace transform of f!t" #
t 0 % t & 1
1 $ t 1 % t
.
!#f!t"$ # "0
1
te$st
dt " "1
b
!1 $ t"e$st
dt
# $ e$s
s " e$s
$ 1
s2
" lim
b$#
$ 1 $ t
s e$st
" 1
s2
e$st
1
b
# $ e$s
s " e$s
$ 1
s2
" lim
b$#
$ 1 $ b
s e$sb
" 1
s2
e$sb
$ 1
s2
e$s
# $ e$s
s " e$s
$ 1
s2
$ 1
s2
e$s
# $ 2
s2
e$s
$ 1
s e$s
" 1
s2
, s % 0
2
t
-4
-3
-2
-1
0
1
1 2 3 4 5t
y # f!t"
-20
-18
-16
-14
-12
-10
-8
-6
-4
-2
0
0.2 0.4 0.6 0.8 1 1.2 1.4 1.6 1.8 2s
y # F!s"
Example Find the Laplace transform f!t" #
sint, 0 & t & #
0, t ! #
where the graph of f is given below.
!#f$ # "0
#
sint e$st
dt " 0 # e$#s
" 1
s2
" 1
0
0.2
0.4
0.6
0.8
1
1 2 3 4 5 6t
y # f!t"
0.2
0.4
0.6
0.8
1
1.2
1.4
1.6
1.8
2
0 0.2 0.4 0.6 0.8 1 1.2 1.4 1.6 1.8 2s
y # F!s"
2. Linearity Property:
!#f " g$ # !#f$ " !#g$, !#cf$ # c!#f$
3. Basic Formulas: Page 193: n # 0, 1, 2, ..., and k % 0
3
f!t" !#f$
tn n!
sn"1
, !0! # 1", s % 0
sin!kt" k
s2
" k2
, s % 0
cos!kt" s
s2
" k2
, s % 0
eat 1
s $ a , s % a
sinh!kt" # 1
2 !ekt
$ e$kt
"
k
s2
$ k2
, s % k
cosh!kt" # 1
2 !ekt
" e$kt
"
s
s2
$ k2
, s % k
Example Find !#f$ where
a. f!t" # !2 $ 3t"3
b. f!t" # !1 $ 2e2t
"
2
c. f!t" # 2t5
" 1
2
sin!$t" $ e$t
sinh!2t"
d. f!t" # sin!2t"cos!2t" $ sin2
!#t"
a.
! !2 $ 3t"3
# !#8 $ 36t " 54t2
$ 27t3
$ # 8!#1$ $ 36!#t$ " 54!#t2
$ $ 27!#t3
$
# 8 1
s $ 36 1
s2
" 54 2
s3
$ 27 6
s4
, s % 0
b.
! !1 $ 2e2t
"
2
# !#1 $ 4e2t
" 4e4t
$ # !#1$ $ 4!#e2t
$ " 4!#e4t
$
# 1
s $ 4 1
s $ 2
" 4 1
s $ 4
, s % 4
c. e$t
sinh!2t" # e$t 1
2
!e2t
$ e$2t
" # 1
2
!et
$ e$3t
"
! 2t5
" 1
2
sin!$t" $ e$t
sinh!2t" # 2!#t5
$ " 1
2
!#sin!$t"$ " 1
2
!#et
$ $ 1
2
!#e$3t
$
# 2 5!
s6
" 1
2
$
s2
" $2
" 1
2
1
s $ 1
$ 1
2
1
s " 3
, s % 1
d. sin!2t"cos!2t" $ sin2
!#t" # 1
2
sin!4t" $ 1
2
!1 $ cos!2#t""
! sin!2t"cos!2t" $ sin2
!#t" # ! 1
2
sin!4t" $ 1
2
!1 $ cos!2#t""
# 1
2
4
s2
" 16
$ 1
2
1
s " 1
2
s
s2
" 4#2
, s % 0
4. A Sufficient Condition for the Existence of a Laplace Transform:
If f!t" is piecewise continuous on the interval %0, #", and there exists constants c, M % 0 and T % 0 such
that f!t" % Mect
for all t for t ! T, then !#f!t"$ exists for s % c.
For example,
t % et
# 1 " t " t2
2!
"...; e$at
% et
, if a % 0; |cos!"t"| % 1 % et
4
The Inverse Laplace Transform and Transforms of Derivatives - !4.2"
1. Inverse Laplace Transform:
Let F!s" ! !#f!t"$. We say f!t" is the inverse Laplace transform of F!s" and write f!t" ! !!1
#F!s"$.
!!1
#F$ is also a linear operator, i.e., !!1
#!F!s" " "G!s"$ ! !!!1
#F!s"$ " "!!1
#G!s"$.
Example Find the inverse Laplace transform f!t" of F!s" where
!a" F!s" ! 1
s3
, s # 0 !b" F!s" ! 1
s " 2
, s # !2 !c" F!s" ! 1
9s2
" 2
, s # 0
!d" F!s" ! s ! 2
s2
" 3
, s # 0 !e" F!s" !
!s2
! 1"
2
s5
, s # 0
!f" F!s" ! s2
" 6s " 9
!s ! 1"!s ! 2"!s " 4"
!g" F!s" ! s
!s ! 1"!s2
" 4"
!h" F!s" ! 2s " 1
!s2
" 1"!s2
" 2"
a.
F!s" ! 1
s3
! 1
2!
2!
s3
! 1
2
!#t2
$ ! ! 1
2
t2
, f!t" ! 1
2
t2
b.
F!s" ! 1
s " 2
! !#e!2t
$, f!t" ! e!2t
c.
F!s" ! 1
9s2
" 2
! 1
9 s2
" 2
9
! 1
9 s2
" 2
3
2
! 1
9 2
3
2
3
s2
" 2
3
2
! 1
3 2
! sin
2
3
t ! ! 1
3 2
sin
2
3
t , f!t" ! 1
3 2
sin
2
3
t
d.
F!s" ! s ! 2
s2
" 3
! s
s2
" 3
2
! 1
2 3
3
s2
" 3
2
! ! sin 3 t ! 1
2 3
! cos 3 t ! ! sin 3 t ! 1
2 3
cos 3 t
f!t" ! sin 3 t ! 1
2 3
cos 3 t
e.
F!s" !
!s2
! 1"
2
s5
! s4
! 2s2
" 1
s5
! 1
s ! 2
s3
" 1
4!
4!
s5
! !#1$ ! !#t2
$ " 1
4!
!#t4
$ ! ! 1 ! t2
" 1
24
t4
, f!t" ! 1 ! t2
" 1
24
t4
f. First write F!s" as a sum of partial fractions. Use TI-89/F2/expand(expression).
F!s" ! s2
" 6s " 9
!s ! 1"!s ! 2"!s " 4"
! ! 16
5!s ! 1"
" 25
6!s ! 2"
" 1
30!s " 4"
! ! 16
5
!#et
$ " 25
6
!#e2t
$ " 1
30
!#e!4t
$ ! ! ! 16
5
et
" 25
6
e2t
" 1
30
e!4t
f!t" ! ! 16
5
et
" 25
6
e2t
" 1
30
e!4t
1
g. First write F!s" as a sum of partial fractions.
F!s" ! s
!s ! 1"!s2
" 4"
! 1
5!s ! 1"
! 1
5
s ! 4
s2
" 4
! 1
5!s ! 1"
! 1
5
s
s2
" 4
" 1
5
4
s2
" 4
! 1
5
!#et
$ ! 1
4
!#cos!2t"$ " 2
5
!#sin!2t"$ ! ! 1
5
et
! 1
4
cos!2t" " 2
5
sin!2t"
f!t" ! 1
5
et
! 1
4
cos!2t" " 2
5
sin!2t"
h. First write F!s" as a sum of partial fractions.
F!s" ! 2s " 1
!s2
" 1"!s2
" 2"
! 2s " 1
s2
" 1
! 2s " 1
s2
" 2
! 2s
s2
" 1
" 1
s2
" 1
! 2s
s2
" 2
! 1
s2
" 2
! 2!#cost$ " !#sint$ ! 2! cos 2 t ! 1
2
! sin 2 t
! ! 2cost " sint ! 2cos 2 t ! 1
2
sin 2 t
f!t" ! 2cost " sint ! 2cos 2 t ! 1
2
sin 2 t
2. Transforms of Derivatives:
What is ! f
$
? Observe that
! f
$
! "0
#
f
$
!t"e!st
dt
u ! e!st
, du ! !se!st
!
dv ! f
$
!t"dt, v ! f!t"
! lim
b%#
f!t"e!st
|0
b
! "0
#
!!s"f!t"e!st
dt
! lim
b%#
f!b"e!sb
! f!0" " s!#f$ ! s!#f$ ! f!0"
What is ! f
$$
?
! f
$$
! s! f
$
! f
$
!0" ! s2
!#f$ ! sf!0" ! f
$
!0"
What is !#f!n"
$?
! f
!n"
! sn
! f ! sn!1
f !0" ! sn!2
f
$
!0" !...! sf!0" ! f
$
!0"
3. Solve Initial Value Problems Using Laplace Transform:
For a given initial value problem for an nth-order linear differential equation:
L!y" ! f!x", y!0" ! !0, y$
!0" ! !1, ..., y!n!1"
!0" ! !n!1,
two steps to find the solution:
a. Find !#y$, let F!s" ! !#y$.
b. y ! !!1
#F!s"$.
Example Solve y$$
" 3y$
! 4y ! t " e!2t
, y!0" ! 0, y$
!0" ! !1 .
a. Take the Laplace transform of both sides of the equation:
!#y$$
" 3y$
! 4y$ ! !#t " e!2t
$
!#y$$
$ " 3!#y$
$ ! 4!#y$ ! !#t$ " !#e!2t
$
s2
!#y$ ! sy!0" ! y$
!0" " 3!s!#y$ ! y!0"" ! 4!#y$ ! 1
s2
" 1
s " 2
2
!s2
" 3s ! 4"!#y$ " 1 ! 1
s2
" 1
s " 2
!#y$ ! 1
!s2
" 3s ! 4"
1
s2
" 1
s " 2
! 1
b. Solve for y :
1
!s2
" 3s ! 4"
1
s2
" 1
s " 2
! 1 ! 1
s2
!s2
" 3s ! 4"
" 1
!s2
" 3s ! 4"!s " 2"
! 1
s2
" 3s ! 4
1
s2
!s2
" 3s ! 4"
! ! 1
4s2
! 3
16s
! 1
80!s " 4"
" 1
5!s ! 1"
! ! ! 1
4
t ! 3
16
! 1
80
e!4t
" 1
5
et
1
!s2
" 3s ! 4"!s " 2"
! 1
10!s " 4"
" 1
15!s ! 1"
! 1
6!s " 2"
! ! 1
10
e!4t
" 1
15
et
! 1
6
e!2t
! 1
s2
" 3s ! 4
! 1
5!s " 4"
! 1
5!s ! 1"
! ! 1
5
e!4t
! 1
5
et
y ! ! 1
4
t ! 3
16
! 1
80
e!4t
" 1
5
et
" 1
10
e!4t
" 1
15
et
! 1
6
e!2t
" 1
5
e!4t
! 1
5
et
! ! 1
4
t ! 3
16
" 1
10
! 1
80
" 1
5
e!4t
" 1
15
et
! 1
6
e!2t
! ! 1
4
t ! 3
16
" 23
80
e!4t
" 1
15
et
! 1
6
e!2t
3
Translation Theorems of Laplace Transform - !4.3"
1. Translation on the s-axis: (s-shifting)
Let !#f!t"$ ! F!s" and a be a real number. Then !#eat
f!t"$ ! F!s ! a". It can be derived from the
definition:
!#eat
f!t"$ ! "0
#
eat
f!t"e!st
dt ! "0
#
f!t"e!!s!a"t
dt ! F!s ! a".
Note that the graph of F!s ! a" can be obtained by shifting the graph of F!s" a units to the right if a " 0.
Example Sketch the graphs of !#cos!2t"$ and !#et/2
cos!2t"$.
!#cos!2t"$ ! s
s2
# 4
, !#et/2
cos!2t"$ !
s ! 1
2
s ! 1
2
2
# 4
-15
-10
-5
0
5
10
15
1 2 3 4 5 6t
- y ! cos!2t", -. y ! et/2
cos!2t"
-0.1
0.05
0
0.05
0.1
0.15
0.2
0.25
2 4 6 8 10s
- y ! F!s", -. y ! F s ! 1
2
Example Find a. !#e!2t
t4
$ and b. !#e!t
!sin!!t" # cos!!t""$.
a. !#t4
$ ! 4!
s5
! 24
s5
, then !#e!2t
t4
$ ! 24
!s # 2"5
b. !#sin!!t"$ ! !
s2
# !2
, !#cos!!t"$ ! s
s2
# !2
. Then
!#e!t
!sin!!t" # cos!!t""$ ! !
!s # 1"2
# !2
# s # 1
!s # 1"2
# !2
! ! # s # 1
!s # 1"2
# !2
Example Find f!t" where F!s" ! !#f!t"$ given below.
a. F!s" ! 3
!s ! 2"4
b. F!s" ! 4s ! 1
!s # 1"3
c. F!s" ! 2s # 1
s2
# 2s # 2
d. F!s" ! 1
!s # 3"2
!s2
# s # 2"
a. Without s-shift,
3
s4
! 1
2
3!
s4
! 1
2
!#t3
$ ! ! 1
2
t3
F!s" ! 3
!s ! 2"4
! ! 1
2
e2t
t3
, f!t" ! 1
2
e2t
t3
b.
1
F!s" ! 4s ! 1
!s # 1"3
!
4!s # 1 ! 1" ! 1
!s # 1"3
!
4!s # 1" ! 5
!s # 1"3
Without s-shift,
4s ! 5
s3
! 4
s2
! 5
s3
! 4
s2
! 5
2
2!
s3
! 4!#t$ ! 5
2
!#t3
$ ! ! 4t ! 5
2
t3
F!s" ! ! e!t
4t ! 5
2
t3
, f!t" ! e!t
4t ! 5
2
t3
c.
F!s" ! 2s # 1
s2
# 2s # 2
! 2s # 1
!s # 1"2
# 1
!
2!s # 1 ! 1" # 1
!s # 1"2
# 1
!
2!s # 1" ! 1
!s # 1"2
# 1
Without s-shift,
2s ! 1
s2
# 1
! 2 s
s2
# 1
! 1
s2
# 1
! 2!#cost$ ! !#sint$ ! !#2cost ! sint$
F!s" ! !#e!t
!2cost ! sint"$, f!t" ! e!t
!2cost ! sint"
d.
F!s" ! 1
!s # 3"2
!s2
# s # 2"
! 1
8!s # 3"2
# 5
64!s # 3"
! 1
64
!2 # 5s
s2
# s # 2
1
8!s # 3"2
# 5
64!s # 3"
! 1
8
!#e!3t
t$ # 5
64
!#e!3t
$ ! ! 1
8
e!3t
t # 5
64
e!3t
! 1
64
!2 # 5s
s2
# s # 2
! ! 1
64
5 s # 1
2
! 5
2
! 2
s # 1
2
2
! 1
4
# 2
! ! 1
64
5 s # 1
2
! 9
2
s # 1
2
2
# 7
4
Without s-shift,
! 1
64
5 s
s2
# 7
4
! 9
2
1
s2
# 7
4
! ! 5
64
s
s2
# 7
4
! 9
2
2
7
7
2
s2
# 7
4
! ! 5
64
! cos
7
2
t ! 9
7
! sin
7
2
t
! ! ! 5
64
cos
7
2
t ! 9
7
sin
7
2
t
! 1
64
5 s # 1
2
! 9
2
s # 1
2
2
# 7
4
! ! e!t/2
! 5
64
cos
7
2
t ! 9
7
sin
7
2
t
f!t" ! e!t/2
! 5
64
cos
7
2
t ! 9
7
sin
7
2
t # 1
8
e!3t
t # 5
64
e!3t
Example Solve the initial value problem: y$$
! 6y$
# 9y ! t2
e3t
, y!0" ! 2, y$
!0" ! 6
a. Find !#y$ :
!#y$$
! 6y$
# 9y$ ! !#t2
e3t
$
s2
!#y$ ! sy!0" ! y$
!0" ! 6!s!#y$ ! y!0"" # 9!#y$ ! 2
!s ! 3"3
!s2
! 6s # 9"!#y$ ! 2s # 6 # 12 # 2
!s ! 3"3
2
!#y$ ! 2s # 18
!s ! 3"2
# 2
!s ! 3"5
!
2!s ! 3"
!s ! 3"2
# 24
!s ! 3"2
# 2
!s ! 3"5
! 2
s ! 3
# 24
!s ! 3"2
# 2
!s ! 3"5
b. Find y :
!#y$ ! 2
s ! 3
# 24
!s ! 3"2
# 2
!s ! 3"5
! 2!#e3t
$ # 24!#e3t
t$ # 2
4!
!#e3t
t4
$
! ! 2e3t
# 24e3t
t # 1
12
e3t
t4
, y ! 2e3t
# 24e3t
t # 1
12
e3t
t4
2. Translationon on the t-axis: (t-shifting)
a. Unit step function: a " 0
The unit step function U!t ! a" is defined as
U!t ! a" !
0, 0 $ t % a
1, t % a
Its graph is:
0
0.2
0.4
0.6
0.8
1
1 2 3 4 5 6x
y ! U!t ! 1"
Note that a piecewise defined function can be written as a combination of unit step functions.
Example Let f!t" !
1, 0 $ t % 1
1 ! t, 1 $ t % 3
0, t % 3
. Write f!t" as a combination of unit step functions.
f!t" ! 1 ! !1"U!t ! 1" # !1 ! t"U!t ! 1" ! !1 ! t"U!t ! 3"
Example Write f!t" ! sin!!t" # !1 ! sin!!t""U t ! 1
2
as a piecewise defined function.
f!t" !
sin!!t", 0 $ t % 1
2
1, t % 1
2
3
0
0.2
0.4
0.6
0.8
1
0.5 1 1.5 2 2.5 3t
y ! f!t"
b. The second translation Theorem: (t-shifting)
Let F!s" ! !#f!t"$ and a " 0. Then
!#f!t ! a"U!t ! a"$ ! e!as
F!s".
It is also derived directly from the definition:
!#f!t ! a"U!t ! a"$ ! "0
#
f!t ! a"U!t ! a"e!st
dt ! "a
#
f!t ! a"e!st
dt
z ! t ! a, dz ! dt
!
t ! a, z ! 0
"0
#
f!z"e!s!z#a"
dz ! e!sa
"0
#
f!z"e!sz
dz ! e!sa
F!s"
Example Find !#t2
U!t ! 1"$.
!#t2
U!t ! 1"$ ! ! !t ! 1 # 1"2
U!t ! 1" ! ! !t ! 1"2
# 2!t ! 1" # 1 U!t ! 1"
! e!s 2
s3
# 2
s2
# 1
s
Example Find !#e2t
U!t ! 3"$.
!#e2t
U!t ! 3"$ ! !#e2!t!3#3"
U!t ! 3"$ ! !#e6
e2!t!3"
U!t ! 3"$ ! e6
e!3s 1
s ! 2
Example Find !#g!t"$ where g!t" !
sin!!t", 0 $ t % 1
0, t % 1
.
g!t" ! sin!!t" ! sin!!t"U!t ! 1"
sin!!t"U!t ! 1" ! sin!!!t ! 1 # 1""U!t ! 1" ! sin!!!t ! 1" # !"U!t ! 1" ! !sin!!!t ! 1""U!t ! 1"
!#g!t"$ ! !#sin!!t"$ # !#sin!!!t ! 1""U!t ! 1"$ ! !
s2
# !2
# e!s !
s2
# !2
! !1 # e!s
" !
s2
# !2
Example Find f!t" if !#f!t"$ ! 1
s ! 4
e!2s
.
1
s ! 4
e!2s
! !#e4!t!2"
U!t ! 2"$, f!t" ! e4!t!2"
U!t ! 2"
Example Find f!t" if !#f!t"$ ! s # 1
s2
# 4
e!!s
.
4
s # 1
s2
# 4
! s
s2
# 4
# 1
s2
# 4
! ! cos!2t" # 1
2
sin!2t"
s # 1
s2
# 4
e!!s
! ! cos!2!t ! !"" # 1
2
sin!2!t ! !"" U!t ! !"
f!t" ! cos!2!t ! !"" # 1
2
sin!2!t ! !"" U!t ! !"
Example Solve y$$
# 4y ! f!t", y!0" ! 0, y$
!0" ! !1 where f!t" !
t, 0 $ t % 1
0, t % 1
a. Find !#y$ : f!t" ! t ! tU!t ! 1" ! t ! !!t ! 1" # 1"U!t ! 1"
!#f!t"$ ! !#t ! !!t ! 1" # 1"U!t ! 1"$ ! 1
s2
! e!s 1
s2
# 1
s
!#y$$
# 4y$ ! !#y$$
$ # 4!#y$ ! !#f!t"$
s2
!#y$ ! s!0" ! !!1" # 4!#y$ ! !s2
# 4"!#y$ # 1 ! 1
s2
! e!s 1
s2
# 1
s
!#y$ ! 1
s2
# 4
1
s2
! e!s 1
s2
# 1
s ! 1
b. Find y :
!#y$ ! 1
s2
!s2
# 4"
! e!s 1
s2
# 4
1
s2
# 1
s ! 1
s2
# 4
1
s2
!s2
# 4"
! 1
4s2
! 1
4!s2
# 4"
! 1
4
! t ! 1
2
sin!2t" ! ! 1
4
t ! 1
2
sin!2t"
1
s!s2
# 4"
! 1
4s
! 1
4
s
s2
# 4
! 1
4
!#1 ! cos!2t"$ ! ! 1
4
!1 ! cos!2t""
y ! 1
4
t ! 1
2
sin!2t" # 1
4
t ! 1 ! 1
2
sin!2!t ! 1"" U!t ! 1" # 1
4
!1 ! cos!2t""U!t ! 1" ! 1
2
sin!2t"
Example Find the charge q!t" on the capacitor in an RC-circuit where
q!0" ! 0, R ! 2.5 ", C ! 0.08 f, E!t" !
t # 1, 0 $ t % 1
0, t % 1
2.5
dq
dt
# 1
0.08
q ! E!t" &
dq
dt
# 1
0.08!2.5"
q ! 1
2.5
E!t" &
dq
dt
# 5q ! 2
5
E!t"
1. Find !#q$.
E!t" ! t # 1 ! !t # 1"U!t ! 1" ! t # 1 ! !t ! 1 # 2"U!t ! 1"
! 2
5
E!t" ! 2
5
1
s2
# 1
s ! 1
s2
# 2
s e!s
!#q$
$ # 5!#q$ ! ! 2
5
E!t" , s!#q$ ! !0" # 5!#q$ ! 2
5
1
s2
# 1
s ! 1
s2
# 2
s e!s
!s # 5"!#q$ ! 2
5
1
s2
# 1
s ! 1
s2
# 2
s e!s
,
!#q$ ! 2
5!s # 5"
1
s2
# 1
s ! 1
s2
# 2
s e!s
! 2
5!s # 5"
1
s2
# 1
s ! 2
5!s # 5"
1
s2
# 2
s e!s
2. Find q.
5
2
5!s # 5"
1
s2
# 1
s ! ! 8
125!s # 5"
# 2
25s2
# 8
125s
!!1
! 8
125!s # 5"
# 2
25s2
# 8
125s
! ! 8
125
e!5t
# 2
25
t # 8
125
2
5!s # 5"
1
s2
# 2
s ! ! 18
125!s # 5"
# 2
25s2
# 18
125s
q!t" ! ! 8
125
e!5t
# 2
25
t # 8
125
! ! 18
125
e!5!t!1"
# 2
25
!t ! 1" # 18
125
U!t ! 1"
0
0.2
0.4
0.6
0.8
1
1.2
1.4
1.6
1.8
2
0.5 1 1.5 2 2.5 3t
E!t"
0
0.02
0.04
0.06
0.08
0.1
0.12
0.14
0.5 1 1.5 2 2.5 3t
q!t"
6
More Properties of Laplace Transforms - !4.4"
1. Derivatives of Laplace Transforms:
Let F!s" ! !#f!t"$. Then
!#tn
f!t"$ ! !!1"n dn
dsn F!s" ! !!1"n
F!n"
!s"
n ! 1, !#tf!t"$ ! !!1"F"
!s", n ! 2, !#t2
f!t"$ ! F""
!s"
It can be derived directly from the definition:
F"
!s" ! d
ds
!#f!t"$ ! d
ds
"0
#
f!t"e!st
dt ! "0
#
f!t" d
ds
!e!st
" dt ! "0
#
f!t"!!te!st
" dt
! !"0
#
tf!t"e!st
dt ! !!#tf!t"$,
!#tf!t"$ ! !F
"
!s"
Note that we can derive the following formula from this property:
F
"
!s" ! !#!tf!t"$
Example Find !#g!t"$ where
a. g!t" ! te!2t
b. g!t" ! tsin!!t" c. g!t" ! t2
cos!2t"
a.
!#g!t"$ ! !#te!2t
$ ! ! d
ds
!#e!2t
$ ! ! d
ds
1
s # 2
! ! ! 1
!s # 2"2
! 1
!s # 2"2
b. !#g!t"$
!#g!t"$ ! !#tsin!!t"$ ! ! d
ds
!#sin!!t"$ ! ! d
ds
!
s2
# !2
! !! !2s
!s2
# !2
"
2
! 2!s
!s2
# !2
"
2
c. !#g!t"$
!#g!t"$ ! !#t2
cos!2t"$ ! d2
ds2
!#cos!2t"$ ! d2
ds2
s
s2
# 4
! d
ds
s2
# 4 ! s!2s"
!s2
# 4"
2
! d
ds
4 ! s2
!s2
# 4"
2
!
!2s!s2
# 4" ! !4 ! s2
"!2!s2
# 4"!2s""
!s2
# 4"
4
! 2s !9 # 2s2
!s2
# 4"
3
Example Find g!t" where
a. !#g!t"$ ! ln s # 2
!s ! 5"!s2
# 4"
b. !#g!t"$ ! arctan!4s"
Recall from the formula of the derivative of Laplace transform we can also derive the formula
F
"
!s" ! !#!tf!t"$ or f!t" ! ! 1
t
!!1
F
"
!s"
So if we know the Laplace transform of !t f!t" then we can find f!t". Here are two examples of this type.
a.
1
F!s" ! ln s # 2
!s ! 5"!s2
# 4"
! ln!s # 2" ! ln!s ! 5" ! ln!s2
# 4"
F"
!s" ! 1
s # 2
! 1
s ! 5
! 2s
s2
# 4
F"
!s" ! !#e!2t
$ ! !#e5t
$ ! 2!#cos!2t"$ ! !#e!2t
! e5t
! 2cos!2t"$
Since
e!2t
! e5t
! 2cos!2t" ! !tf!t"
f!t" ! !
e!2t
! e5t
! 2cos!2t"
t
b. F!s" ! arctan!4s"
F"
!s" ! 1
1 # !4s"2 !4" ! 4
1 # 16s2
! 1
16
1
1
16
# s2
! 1
4
1
4
1
16
# s2
! 1
4
! sin 1
4
t ! ! 1
4
sin 1
4
t ! !#!tf!t"$
! tf!t" ! 1
4
sin 1
4
t , f!t" ! ! 1
4t
sin 1
4
t
Example Use Laplace transform to solve y""
# 16y ! cos!4t", y!0" ! 1, y"
!0" ! 1
a. Find !#y$.
!#y""
$ # 16!#y$ ! !#cos!4t"$
s2
!#y$ ! sy!0" ! y"
!0" # 16!#y$ ! s
s2
# 16
!s2
# 16"!#y$ ! s
s2
# 6
# s # 1, !#y$ ! 1
s2
# 16
s
s2
# 6
# s # 1
b. Find y.
1
s2
# 16
s
s2
# 6
# s # 1 ! 1
10
10 # 9s
s2
# 16
# 1
10
s
s2
# 6
! 1
s2
# 16
# 9
10
s
s2
# 16
# 1
10
s
s3
# 6
! 1
4
!#sin!4t"$ # 9
10
!#cos!4t"$ # 1
10
! cos 6 t
!#y$ ! ! 1
4
sin!4t" # 9
10
cos!4t" # 1
10
cos 6 t
y ! 1
4
sin!4t" # 9
10
cos!4t" # 1
10
cos 6 t
2. Convolution:
a. Definition:
Let f and g be piecewise continuous functions. The convolution of f and g denoted by f $ g is defined as
!f $ g"!t" ! "0
t
f!""g!t ! ""d".
Example Find !i" t $ e2t
; !ii" e!t
$ cos!!t"
!i"
2
t $ e2t
! "0
t
"e2!t!""
d" ! ! 1
2
t ! 1
4
# 1
4
e2t
!ii"
e!t
$ cos!!t" ! "0
t
e!"
cos!!!t ! """d" ! !e!t
# cost! # !sint!
1 # !2
b. Laplace Transform of a convolution:
Let !#f$ ! F!s" and !#g$ ! G!s". Then
!#f $ g$ ! !#f$!#g$ ! F!s"G!s"
!!1
#F!s"G!s"$ ! f $ g
Example Find
!i" !#t $ e2t
$ !ii" !#e!t
$ cos!!t"$ !iii" ! "0
t
e"
sin!t ! ""d"
!i"
!#t $ e2t
$ ! !#t$!#e2t
$ ! 1
s2
1
s ! 2
! 1
s2
!s ! 2"
!ii"
!#e!t
$ cos!!t"$ ! !#e!t
$!#cos!!t"$ ! 1
s # 1
s
s2
# !2
! s
!s # 1"!s2
# !2
"
!iii"
! "0
t
e"
sin!t ! ""d" ! !#et
$ sin!t"$ ! !#et
$!#sint$
! 1
s ! 1
1
s2
# 1
! 1
!s ! 1"!s2
# 1"
Example Find h!t" where !#h$ ! H!s"
!i" H!s" ! 1
s!s2
# 2"
!ii" H!s" ! 1
!s2
# 4"
2
!i" H!s" ! 1
s!s2
# 2"
1
s!s2
# 2"
! 1
s
1
s2
# 2
! !#1$! 1
2
sin 2 t ! ! 1 $ 1
2
sin 2 t
f!t" ! 1 $ 1
2
sin 2 t ! 1
2
"0
t
sin 2 " d" ! 1
2
2 ! 1
2
cost 2 2 # 1
2
2
!ii" H!s" ! 1
!s2
# 4"
2
1
!s2
# 4"
2
! 1
s2
# 4
1
s2
# 4
! ! 1
2
sin!2t" ! 1
2
sin!2t" ! ! 1
2
sin!2t" $ 1
2
sin!2t"
h!t" ! 1
4
sin!2t" $ sin!2t" ! 1
4
"0
t
sin!2""sin!2!t ! """d"
! 1
16
sin2t ! t
8
!cos2t"
3
Example Solve the initial value problem: y""
# 4y ! 2sin2t, y!0" ! 1, y"
!0" ! !1
a. Find !#y$.
!#y""
$ # 4!#y$ ! 2!#sin!2t"$
s2
!#y$ ! s!1" ! !!1" # 4!#y$ ! 2 2
s2
# 4
!s2
# 4"!#y$ ! 4
s2
# 4
# s ! 1, !#y$ ! 1
s2
# 4
4
s2
# 4
# s ! 1
b. Find y.
!#y$ ! 1
s2
# 4
4
s2
# 4
# s ! 1 ! 4
!s2
# 4"
2
# s
s2
# 4
! 1
s2
# 4
! ! sin!2t" $ sin!2t" # cos!2t" ! 1
2
sin!2t"
y ! sin!2t" $ sin!2t" # cos!2t" ! 1
2
sin!2t"
! "0
t
sin!2""sin!2!t ! """d" # cos!2t" ! 1
2
sin!2t"
! 1
4
sin2t ! 1
2
t!cos2t" # cos!2t" ! 1
2
sin!2t"
3. Laplace Transform of an Integral:
! "0
t
f!u"du ! 1
s F!s" where !#f$ ! F!s"
!!1 F!s"
s ! "0
t
f!t"dt
Example Find
a. ! "1
t
ue!2u
du b. ! t "0
t
e!u
cos!!u"du ,
a. f!u" ! ue!2u
F!s" ! !#f!t"$ ! !#te!2t
$ ! 1
!s # 2"2
! "1
t
ue!2u
du ! 1
s
1
!s # 2"2
! 1
s!s # 2"2
b. f!u" ! e!u
cos!!u"
F!s" ! !#f!t"$ ! !#e!t
cos!!t"$ ! s ! 1
!s ! 1"2
# !2
! t "0
t
e!u
cos!!u"du ! ! d
ds
! "0
t
e!u
cos!!u"du
! ! d
ds
1
s
s ! 1
!s ! 1"2
# !2
! ! ! 2s3
! 5s2
# 4s ! 1 ! !2
s2
!s2
! 2s # 1 # !2
"
2
! 2s3
! 5s2
# 4s ! 1 ! !2
s2
!s2
! 2s # 1 # !2
"
2
4
Example Find h!t" where H!s" is
a. H!s" ! 1
s!s2
# 2"
b. H!s" ! 1
s2
!s ! 2"
a.
H!s" ! 1
s!s2
# 2"
! 1
s
1
s2
# 2
! 1
s ! 1
2
sin 2 t
h!t" ! "0
t
1
2
sin 2 " d" ! ! 1
2
cost 2 # 1
2
b.
H!s" ! 1
s2
!s ! 2"
! 1
s
1
s
1
s ! 2
! 1
s !#1 $ e2t
$ ! "0
t
"0
u
e2z
dzdu
! 1
4
e2t
! 1
2
t ! 1
4
Example LC-circuit: Solve the initial value problem: L dI
dt
# RI # 1
C
"0
t
I!""d" ! E!t"
where L ! 0.1, R ! 2, C ! 0.1, E ! 120t ! 120tU!t ! 1", I!0" ! 0.
a. Find !#I$.
!#E!t"$ ! !#120t ! 120tU!t ! 1"$ ! !#120t ! 120!t ! 1 # 1"U!t ! 1"$
! 120 1
s2
! 120 1
s2
# 1
s e!s
! dI
dt
# 20I # 100 "0
t
I!""d" ! 10!#E!t"$
!s!#I$ ! I!0"" # 20!#I$ # 100
s !#I$ ! 1200 1
s2
! 1200 1
s2
# 1
s e!s
s # 20 # 100
s !#I$ ! 1200 1
s2
! 1200 1
s2
# 1
s e!s
s2
# 20s # 100
s !#I$ ! 1200 1
s2
! 1200 1
s2
# 1
s e!s
!#I$ ! s
s2
# 20s # 100
1200 1
s2
! 1200 1
s2
# 1
s e!s
! 1200
s!s # 10"2
! 1200
!s # 10"2
1
s # 1 e!s
b. Find I :
1200
s!s # 10"2
! 12
s ! 120
!s # 10"2
! 12
s # 10
! !#12 ! 120te!10t
! 12e!10t
$
1200
!s # 10"2
1
s # 1 ! 1200
!s # 10"2
1
s # 1200
!s # 10"2
! !#12 ! 120te!10t
! 12e!10t
# 1200te!10t
$
! !#12 ! 12e!10t
# 1080te!10t
$
I!t" ! 12 ! 120te!10t
! 12e!10t
# !12 ! 12e!10!t!1"
# 1080!t ! 1"e!10!t!1"
"U!t ! 1"
4. Laplace Transform of a Periodic Function:
Let f be a periodic function with period T. Then
5
!#f$ ! 1
1 ! e!Ts "0
T
e!st
f!t"dt
Derivation
!#f$ ! "0
#
f!t"e!st
dt ! "0
T
f!t"e!st
dt # "T
2T
f!t"e!st
dt # "2T
3T
f!t"e!st
dt #...
Observe that let u ! t ! T
"T
2T
f!t"e!st
dt ! "0
T
f!u # T"e!s!u#T"
du ! e!sT
"0
T
f!u"e!su
du
!#f$ ! !1 # e!sT
# s!s2T
#... " "0
T
f!t"e!st
dt ! 1
1 ! e!sT "0
T
f!t"e!st
dt
Note that the integral "0
T
e!st
f!t"dt is equivalent to !#g!t"$ where
g!t" !
f!t", 0 % t $ T
0, t & T
.
Since g!t" ! f!t" ! f!t"U!t ! T",
!#g!t"$ ! !#f!t" ! f!t"U!t ! T"$.
Example Find !#f$ where
a. f!t" ! t, 0 % t $ 1, with period 1 b. f!t" !
t 0 % t $ 1
0 1 % t $ 2
, with period 2
c. f!t" ! sint, 0 % t $ !, with period !
a.
!#f$ ! 1
1 ! e!s !#t ! tU!t ! 1"$ ! 1
1 ! e!s !#t ! !t ! 1 # 1"U!t ! 1"$
! 1
1 ! e!s
1
s2
! 1
s2
# 1
s e!s
! 1
s2
! 1
s
e!s
1 ! e!s
0
0.2
0.4
0.6
0.8
1
1.2
1.4
1.6
1.8
0.5 1 1.5 2 2.5 3t
f!t"
0
0.5
1
1.5
2
1 2 3 4 5s
F!s"
b.
!#f$ ! 1
1 ! e!2s
!#t ! tU!t ! 1"$ ! 1
1 ! e!2s
!#t ! !t ! 1 # 1"U!t ! 1"$
! 1
1 ! e!2s
1
s2
! 1
s2
# 1
s e!s
6
t
0
0.2
0.4
0.6
0.8
1
1.2
1.4
1.6
1.8
2
1 2 3 4t
f!t"
0.2
0.4
0.6
0.8
1
1.2
1 2 3 4 5s
F!s"
c.
!#f$ ! 1
1 ! e!!s !#sint ! sintU!t ! !"$ ! 1
1 ! e!!s !#sint ! sin!t ! ! # !"U!t ! !"$
! 1
1 ! e!!s !#sint # sin!t ! !"U!t ! !"$ ! 1
1 ! e!!s
1
s2
# 1
# 1
s2
# 1
e!!s
t
0
0.2
0.4
0.6
0.8
1
1.2
1.4
1.6
1.8
2 4 6 8t
f!t"
0
0.5
1
1.5
2
2.5
3
1 2 3 4 5s
F!s"
Example Solve the initial value problem: dI
dt
# I ! E!t", I!0" ! 0, where E!t" !
1 0 % t $ 1
0 1 % t $ 2
with
period 2.
a. Find !#I$.
s!#I$ ! 0 # !#I$ ! !#E!t"$, !s # 1"!#I$ ! 1
1 ! e!s !#1 ! U!t ! 1"$
!#I$ ! 1
s # 1
1
1 ! e!s
1
s ! 1
s e!s
! 1
!s # 1"!1 ! e!s
"
1
s !1 ! e!s
" ! 1
s!s # 1"
b. Find I.
I ! !!1 1
s!s # 1"
! ! 1
s ! 1
s # 1
! 1 ! e!t
7
0
0.2
0.4
0.6
0.8
1
1.2
1.4
1.6
1.8
2
1 2 3 4x
Input E!t"
0
0.2
0.4
0.6
0.8
1
1 2 3 4 5t
I!t"
8
 
 
 
 
 
FOURIER    SERIES 
Let X designates the domain of a function y = f(x). A function f(x) is said to be periodic if its image values are
repeated in its domain i.e. if there exists a nonzero real T such that for each The least
positive value of those T is said to be the period of this function. For example for the sine function we can write
, , ect., so the sine function is a periodic function.
But the least positive value for which such an equation holds is and this is the period of the sine function. It is
also well known that the cosine function has the period and the tangent function has the period .
An example of the graph of a periodic function is illustrated in Figure 1.1.
Figure 1.1.
Further we need two following lemmas
Lemma 1.1. If the period of the function f(x) is T , then the period of the function f(ax) is .
Proof. .
According to this lemma the period of the function is and the period of the function is .
Lemma 1.2. If the period of the function f(x) is T , then
This result says that if we integrate the period of the function over the interval whose length equals to the period of
the function then the value does not depend on the choice of the boundaries.
Proof. First we use the property of a definite integral and write
In the last integral we take x=z+T . Then dx=dz , f(x) = f(z+T) = f(z), if x = T then z = 0 and if x = c + T then z=c
. So we have
as the first and third integrals are equal.
In many problems in mechanics and electronics there arises a question, how to represent the behaviour of a system
by a combination of some simple behaviours. Mathematically - how to represent a function in the form of the
functional series Here form a base set of functions and
c0 , c1 , c2,...,ck,.. , are said to be the coefficients of the expansion. The most familiar expansions are power series
of the form in which the base set comprises the power functions 1, x, x2
, ... xk
, ... . Another
widely used expansion is the expansion of a periodic function f(x) of a period T in which the base set comprises
the cosine functions, giving an expanded representation of the form
(1.1)
which is called the Fourier series of the function f(x) . In engineering the term circular frequency is used and it is
defined by . The circular frequency is measured in radians per second. It is common to drop the term
'circular' and to refer to this simply as the frequency. Using frequency, we can rewrite (1.1) in the form
(1.2)
Every term represents a simple harmonic vibration that is called kth harmonic . The first
harmonic has the same frequency as the parent function f(x). The kth harmonic has the
frequency , which is k times frequency of the first harmonic. Ak denotes the amplitude of the kth harmonic and
is its phase angle. If f(x) is a -periodic function then its frequency , and the Fourier series (1.2) has a
more simple form
(1.3)
Here we shall consider the Fourier series of -periodic functions. The kth harmonic can be represented in the form
where Now the expansion
(1.3) may be written as
(1.4)
Later we shall see that taking the constant term as enables us to make a0 fit a general result. The expression
(1.4) is called Fourier series expansion of a function f(x) , and ak and bk are called the Fourier coefficients.
The set of functions is said to be the trigonometric system of
functions. It is possible to show that the functions of the trigonometric system satisfy the orthogonality relations
on an interval :
(1.5)
(1.6)
(1.7)
(1.8)
(1.9)
Assume that term-by-term integration of the series (1.4) is permissible. Then integrating the series with respect to x
over the interval and using (1.8) and (1.9) we find that
(1.10)
To find the coefficients an we multiply both sides of equality (1.10) by . Integrating the result
of the multiplication with respect to x over the interval we have
Because of (1.8), the first term on the right side of the equality equals to zero. By (1.7) all coefficients of bk equal
zero and by (1.5) we obtain the result that there is only one nonzero coefficient of ak in the case k = n . We obtain
(1.11)
Analogously, multiplying both sides of the equality (1.4) by integrating the result with respect to x over the
interval and using (1.6), (1.7) and (1.9) we find that
(1.12)
Now, dividing both sides of (1.10) - (1.12) by , and replacing n by k we find respectively
(1.13)
(1.14)
(1.15)
Evidently the formula (1.13) for finding a0 fits the formula (1.14) with k = 0 and instead of two formulae (1.13) and
(1.14) we can write one formula
Actually, if we compute the Fourier coefficients according to the formulae (1.13) - (1.15) and compose the Fourier
series (1.4), we don't know whether the obtained series is convergent at all, and if it is convergent then does it
converge to the parent function f(x) or to some different function. In this context there arises a question as to
which conditions a function should satisfy so that its Fourier series expansion is convergent to the function f(x).
We shall consider the convergence problems in the subsection 3.4 . Note that the class of functions which are
representable by their Fourier series expansion is quite wide and in most of the practical cases we can assume that
the convergence conditions are satisfied.
Example 1.3. Find the Fourier series expansion of the function f(x) with period defined on the half-interval
as f(x)=x.
The graph of this function is illustrated in Figure 1.2.
Figure 1.2
First we find a0 using (1.13):
Using (1.14) and integrating by parts we find that
and using (1.15) and integrating by parts we find that
So we have the Fourier series expansion of the function
The sign ``~'' indicates that we have found the Fourier series expansion according to the formulae (1.13) - (1.15),
but we don't know whether this expansion converges to this function, so we can't still use the sign ``=''. The nth
partial sum of this series expansion is
The graph of the nth partial sum sn(x) for n = 4, 8, 16 is shown in Figure 1.3
Figure 1.3
Remark 1.4. According to Lemma 1.2 we can replace the interval of integration with an arbitrary chosen
interval i.e. we can use the formulas
where c is any real number.
If a particular function possesses certain symmetrical properties then some terms are absent from its Fourier series
expansion and the expressions determining the remaining coefficients can be simplified.
A function f(x) is said to be an even function if for each x from its domain
A function y = f(x) is said to be odd function if for each x from its domain
The graph of an even function is symmetrical about the vertical axis and the graph of an odd function is
symmetrical about the origin.
The even and the odd functions satisfy the following properties:
the product of two even functions is an even function,
the product of two odd functions is an even function,
the product of an even and an odd function is an odd funnction.
Lemma 1.5. If limits of integration are symmetric with respect to zero then the integral of any odd function
equals to zero, but for the integral of any even function f(x)
Proof. Using the additivity property of the integral we have that
Substituting in the first integral the variable x = -y. Then dx = -dy and
Denoting the variable of integration again by x , we have
Now, if f(x) is an odd function then integrand equals zero, and if f(x) is an even function then integrand equals
2f(x) and we have proved this lemma.
Let f(x) be an even function with period . Then is even and is an odd function for any
.Using Lemma 1.5 , we obtain for the calculation of Fourier coefficients the formulas
(1.16)
(1.17)
(1.18)
Consequently the Fourier series expansion of an even periodic function with period does not involove the terms
with sines and (1.14) has the form
(1.19)
where the a-s are calculated using the formulae (1.16) and (1.17).
If f(x) is an odd function then is odd and is even for any By Lemma 1.5 , we
have for calculation of Fourier coefficients the formulae
(1.20)
(1.21)
Thus the Fourier series expansion of an 1.3 periodic function with period consists of sine terms only and (1.4)
has the form
(1.22)
where the b-s are calculated by (1.21).
Example 1.6. Find the Fourier series expansion of the function f(x) with period , which on half-interval
is defined by .
A graph of this function is shown in Figure 1.4. As this is an even function we have to calculate only the
coefficients ak , . First using (1.16) we find
and using (1.17) and integration by parts we obtain
Thus by (1.19) the Fourier series expansion of this function is
Figure 1.4
Example 1.7. Find the Fourier series expansion of the square wave function i.e. the periodic function f(x) with
period defined within the period by
A graph of this square wave function is shown in Figure 1.5.
Figure 1.5
Clearly f(x) is an odd function and thus its Fourier series expansion consists of sine terms only. By (1.21) we
calculate the coefficients
Thus the Fourier series expansion of f(x) is
Since the period , i.e. the unit frequency may rarely be encountered in practice, we have to consider functions
with an arbitrary period. If the period of the function f(x) is T , then by Lemma 1 the period of the function
is and by (1.13) - (1.15) the Fourier series expansion of this function is
where
Changing the variable , i.e. and , we obtain that the Fourier series expansion of the
function f(t) with period T is
where
Replacing the variable t by x again, we express the Fourier series expansion in terms of
where
(1.23)
(1.24)
(1.25)
Remark 1.8. In formulae (1.23) - (1.25) the interval of integration can be replaced with an arbitrary interval
with length T .
Now, if the periodic function f(x) with period T is even then from (1.23) - (1.25) we obtain
(1.26)
(1.27)
(1.28)
and the Fourier series expansion of even function f(x) is
If f(x) is a odd periodic function with period T then from (1.23) - (1.25) we have
(29)
(30)
and the Fourier series expansion of odd function f(x) is
Example 1.9. Find the Fourier series expansion of the function
The graph of this function is shown in Figure 1.6.
Figure 1.6
This function is clearly even and its period is (i.e. frequency ). Therefore its Fourier series expansion
consists of cosine terms only and we calculate the coefficients ak for using the formulae (1.26) and
(1.27). By (1.26)
and by (1.27)
The Fourier series expansion of the given function is
Suppose the given function f(x) is defined only over the finite half-interval (or over
). Then we can define the periodic extension of f(x) by
As the result we obtain the periodic function which on half-interval is identical with f(x) . The
periodic function has the Fourier series expansion
where
If this Fourier series expansion represents the function then on the half-interval it represents also the
function f(x) .
Now we consider the case if the given function f(x) is defined only over the finite interval . Its even periodic
extension is the even periodic function with period T defined by
The Fourier series expansion of the function consists of cosine terms only and is given by
called the cosine series expansion, where
(1.31)
For a given function f(x) defined only over the finite interval , its odd periodic extension is theodd
periodic function with period T defined by
The Fourier series expansion of the function consists of sine terms only and is given by
called the sine series expansion, where
(1.32)
Example 1.10. The function f(x) = x is defined only in the interval . Obtain a) the cosine series expansion and
b) sine series expansion .
a) To obtain the cosine series expansion we define the 1.3 periodic extension with period 8 :
Using (1.31) we calculate the coefficients
and (as )
The cosine series expansion of the function is
In the interval the function is identical with f(x) = x . Hence on the interval we have obtained also
the cosine series expansion
b) To obtain the sine series expansion we define the odd periodic extension of f(x) :
Using (1.32) gives
and the sine series expansion of the function is
On the interval also the sine series expansion of the given function is
Let us assume that the periodic function f(x) has the period . To obtain the complex form of the Fourier series
(1.33)
we use the Euler formulae
and
By these formulae we have for kth harmonic
Denoting by
the Fourier series expansion takes the form
To calculate the coefficients ck for we use the formulae (1.14) and (1.15):
An immediate extension shows that this formula is also valid for k=0 . If then and
Hence for any we have
(1.34)
Consequently, the complex form of the Fouries series of -periodic function f(x) is
(1.35)
where the coefficients ck ( ) are calculated by (1.34)
Now, if the period of the function f(x) is T then by Lemma 1.1 the period of the function is and by (1.35)
it has the Fourier series expansion
(1.36)
where by (1.34) the coefficients are
(1.37)
Changing in (1.36) and (1.37) the variable , we have that , , and
where
Denoting the variable by x again, we have that the complex form of the Fourier series expansion of the function f(x)
with period T is
(1.38)
where
(1.39)
The complex numbers ck form an infinite sequence which is called the spectrum of the periodic
function f(x) . Let designates the magnitude of the complex number ck and its argument, i.e. .
The sequence of real numbers is called the amplitude spectrum and the sequence of real numbers
is called the phase spectrum of the function f(x) .
Example 1.11. Find the amplitude spectrum and the phase spectrum of the -periodic function f(x) defined over
interval as f(x)=ex
.
First we find the spectrum , i.e. the complex Fourier coefficients , of the function f(x) using (1.34)
Since
we obtain that
Since we find the amplitude spectrum
and phase spectrum
In Exercises 1.1 - 1.8 find the Fourier series expansions of the given periodic functions .
1.1.
Answer:
1.2.
f(x+2T) = f(x).
Answer:
1.3. f(x) = x if
Answer:
1.4. if
Answer:
1.5. if
f(x+2T)=f(x).
Answer:
1.6. f(x) = x2
if
Answer:
1.7. if
Answer:
1.8. if
Answer:
1.9.
Answer:
1.10. if
Answer:
In exercises 1.11 - 1.12 find the cosine series expansion on an interval
1.11.
Answer:
1.12.
Answer
In exercises 1.13 - 1.14 find the sine series expansion on an interval
1.13.
Answer:
1.14.
Answer:
1.15. Find the complex form of the Fourier series of the periodic function
Answer:

Documents.mx eduv

  • 1.
  • 2.
    ECUACIONES DIFERENCIALES (ED)    PROGRAMA DE ESTUDIO:    1.‐  INTRODUCCIÓN A LAS ECUACIONES DIFERENCIALES    Definiciones y terminología de las ED, Problemas de valor inicial de las ED.    2.‐  ECUACIONES DIFERENCIALES DE PRIMER ORDEN    ED de variables separables, ED del tipo Exactas, ED Lineales, Solución de ED por método de sustitución,   Modelado de problemas de ingeniería con ED de primer orden.    3.‐ ECUACIONES DIFERENCIALES DE ORDEN SUPERIOR    Teoría preliminar, ED Homogéneas, Método de coeficientes indeterminados, Modelado de problemas    de ingeniería con ED de orden superior.      4.‐ TRANSFORMADA DE LAPLACE    Definición de Transformada de Laplace, transformada d Laplace inversa, Teoremas de transformación,    Aplicaciones.    5.‐ SERIES DE FOURIER    Funciones periódicas, Funciones ortogonales, Series de Fourier de funciones de periodo arbitrario,     Series de Fourier de funciones pares, Series de Fourier de funciones complejas, Aplicaciones a ED     Parciales.    EVALUACIONES:    Examen parcial ( 80 % )  +  Tareas  ( 25 % )    1º Parcial:  Unidades 1 y 2  2º Parcial:  Unidades 3 y 4  3º Parcial:  Unidad 5      (Se aplicará el día del examen ordinario)    Calificación Final =  Suma de las tres evaluaciones / 3  A la calificación final se puede agregar hasta un 10 % por participación en clases (solución de problemas en  pizarrón).    Libro: Ecuaciones Diferenciales con Problemas con Valores en la Frontera. Dennis Zill/Michael Cullen, Séptima  Edición. Editorial CENGAGE Learning. O cual quier otro libro de Ecuaciones Diferenciales del  mismo autor o  cualquier otro autor. 
  • 3.
    1.1 Definitions andTerminology of Differential Equations 1. Differential Equations: An ordinary differential equation (ODE) is an equation containing the derivatives of one or more dependent variables with respect to one single independent variable. For example, y! " 5y # ex (one dependent variable y! d2 y dt2 " x2 dx dt ! 4y # ln"t! (two dependent variables: x and y!. A partial differential equation (PDE) is an equation containing the derivatives of one or more dependent variables with respect to two or more independent variables. For example, "u "x " "u "y # ex"y (one dependent variable u and two independent variables: x and y "2 u "x2 " "2 u "y2 " "2 u "z2 # ln"x " y " z! (one dependent variable u and three independent variables: x,y and z. Order of a Differential Equation: The order of a differential equation is the order of the highest derivative in the equation. In this course, we mainly study the ODE differential equations. A general form of an nth order ODE is: F x, y, y! ,...,y"n! # 0 For example, y!! ! xy! " 5y ! ex # 0 (a second order ODE in y). Linear and Nonlinear Differential Equations: A linear differential equation is linear in terms of y, y! , y!! ,.... For example, sin"x!y!! " x2 y! " y # ex . Otherwise, the equation is nonlinear. For example, "1 ! y!y! " y # 0 (yy! is nonlinear in y and y! ! dy dx 2 " y # ex ( dy dx 2 # "y! ! 2 is not linear in y! !. 2. Solution of an Ordinary Differential Equation: A solution of an nth-order ODE F"x,y,y! ,...,y"n! ! # 0 is a function y"x! which satisfies the differential equation for x in an interval I. The interval I is said to be the interval of solution (or the domain of the solution). The solution is called a trivial solution if it is a zeros solution. Explicit solution: y # f"x! Implicit solution: G"x,y! # 0 and there exists at least one explicit function which satisfies the equation G"x,y! # 0 and the differential equation F"x,y,y! ,...,y"n! ! # 0. Example Show that the function y # C1 sin"!x! " C2 cos"!x! where C1 and C2 are constants is a solution of the differential equation: y!! " !2 y # 0. Check: y! # C1!cos"!x! ! C2!sin"!x! y!! # !C1!2 sin"!x! ! C2!2 cos"!x! # !!2 "C1 sin"!x! " C2 cos"!x!! y!! " !2 y # !!2 "C1 sin"!x! " C2 cos"!x!! " !2 "C1 sin"!x! " C2 cos"!x!! # 0. So, y is a solution of the differential equation. Note that: in this solution, constants C1 and C2 are arbitrary. Solution y # C1 sin"!x! " C2 cos"!x! is called a two-parameter family of solution and also the general solution of the differential equation y!! " !2 y # 0. There are infinitely many solutions in this family: 1
  • 4.
    y # sin"!x!,y # cos"!x!, y # 2sin"!x!, y # !2cos"!x! -3 -2 -1 0 1 2 3 -2 -1 1 2x - sin"x!, - - cos"x!, ... 2sin"x!, -.- !3cos"x! Since C1 sin"!x! " C2 cos"!x! # C1 2 " C2 2 C1 C1 2 " C2 2 sin"!x! " C2 C1 2 " C2 2 cos"!x! , y # C1 2 " C2 2 sin !x " arctan C2 C1 where cos""! # C1 C1 2 " C2 2 , sin""! # C2 C1 2 " C2 2 , tan" # C2 C1 and " # arctan C2 C1 . Values of C1 and C2 change the magnitude and shift the sine wave to the left or the right. Example Show that the equation !2x2 y " y2 # 1 is a solution of the differential equation 2xydx " "x2 ! y!dy # 0. Check: (use implicit differentiation, that is, treat y as a function of x! d dx "!2x2 y " y2 ! # d dx "1! $ !4xy ! 2x2 dy dx " 2y dy dx # 0 $ !2"x2 ! y! dy dx # 4xy ! "x2 ! y!dy # 2xydx $ 2xydx " "x2 ! y!dy # 0 So, !2x2 y " y2 # 1 is a solution of the differential equation 2xydx " "x2 ! y!dy # 0. Example Find the value of m so that y # xm is a solution of the differential equation x2 y!! ! 7xy! " 15y # 0. y! # mxm!1 , y!! # m"m ! 1!xm!2 , x2 y!! ! 7xy! " 15y # x2 "m!"m ! 1!xm!2 ! 7xmxm!1 " 15xm # xm "m"m ! 1! ! 7m " 15! # 0 m2 ! m ! 7m " 15 # m2 ! 8m " 15 # "m ! 3!"m ! 5! # 0, m # 3 or m # 5. Solutions: y # x3 , y # x5 . 2
  • 5.
    1.2 Initial ValueProblems 1. Initial Value Problems: Find the solution of an nth-order differential equation of the form: y!n" ! f!x,y,y" ,...,y!n!1" " subject to n initial conditions: y!x0 " ! y0, y" !x0 " ! y1, ..., y!n!1" !x0 " ! yn!1. Example Solve the initial value problem: y"" # !2 y ! 0, y!0" ! 1, y" !0" ! !1 We know the general solution is: y ! C1 sin!!x" # C2 cos!!x". Now we need to find the constants C1 and C2 so that y satisfies the initial conditions. y!0" ! C2 ! 1, y" ! !C1 cos!!x" # C2!!!sin!!x"", y" !0" ! !C1 ! !1, C1 ! ! 1 ! The solution for the initial value problem: y ! ! 1 ! sin!!x" # cos!!x" -1 -0.5 0 0.5 1 -2 -1 1 2x ! y ! ! 1 ! sin!!x" # cos!!x", ... sin!!x" 2. Existence of a Unique Solution: Consider the initial value problem: y" ! f!x,y", a " x " b, y!x0 " ! y0. Let D ! !x,y"; a " x " b, c " y " d and x0, y0 be in D. If f!x,y" and #f #y are continuous on D, then the initial value problem has a unique solution y on the interval I0 $ D. Example Determine a region D of the xy !plane for which the differential equation dy dx ! xy would have a unique solution whose graph passes through a point x0, y0 in the region. f!x,y" ! xy , #f #y ! 1 2 xy !x" ! 1 2 x y 1
  • 6.
    f!x,y" is continuouson the region where x % 0 and y % 0. #f #y is continuous on x % 0 and y $ 0. If x0 % 1 and y0 % 1, then we let D ! !x,y"; x % 0, y % 1 . 2
  • 7.
    Separable Variables -(2.2) 1. Separable Equations: A first order differential equation is said to be separable if it is of the form dy dx ! g!x"h!y". 2. Method of Separation of Variables: Observe that a separable equation can be written as 1 h!y" dy ! g!x"dx " ! 1 h!y" dy ! !g!x"dx If we know the antiderivatives of 1 h!y" and g!x" are H!y" and G!x", then H!y" ! G!x" # C is the solution of the differentiation equation dy dx ! g!x"h!y". Example Solve !1 # x"dy " ydx ! 0. Determine first if the differential equation is separable. Since !1 # x"dy " ydx ! 0 " 1 y dy ! 1 1 # x dx, the differential equation is separable. ! 1 y dy ! ! 1 1 # x dx, ln|y| ! ln|1 # x| # C y ! Celn|1#x| ! C!1 # x" is the general solution. Example Solve the initial value problem: cos!x"!e2y " y" dy dx ! ey sin!2x", y!0" ! 0. Determine first if the differential equation is separable. Since e2y " y ey dy ! sin!2x" cos!x" dx, the differential equation is separable. ! e2y " y ey dy ! !!e2y"y " ye"y "dy ! !!ey " ye"y "dy ! sin!2x" cos!x" dx ! ! 2sin!x"cos!x" cos!x" dx ! 2 !sin!x"dx, !!ey " ye"y "dy ! ey " ye"y " e"y # C1, 2 !sin!x"dx ! "2cos!x" # C Hence, ey " ye"y " e"y ! "2cos!x" # C is the general solution. Example Solve dy dx ! y2 " 4. Determine first if the differential equation is separable. Since 1 y2 " 4 dy ! dx if y2 " 4 # 0, the differential equation is separable wherever y2 " 4 # 0. 1
  • 8.
    ! 1 y2 " 4 dy! !dx " ! dy !y # 2"!y " 2" ! !dx, !dx ! x # C ! dy !y # 2"!y " 2" ! 1 4 ! 1 y " 2 " 1 y # 2 dx ! 1 4 !ln|y " 2| " ln|y # 2|" ! 1 4 ln y " 2 y # 2 1 4 ln y " 2 y # 2 ! x # C, ln y " 2 y # 2 ! 4!x # C" y " 2 y # 2 ! e4!x#C" ! e4x#4C ! e4x e4C ! Ce4x Solve y in terms of x : y " 2 y # 2 ! y # 2 " 2 " 2 y # 2 ! 1 " 4 y # 2 ! Ce4x , 4 y # 2 ! 1 " Ce4x , y # 2 ! 4 1 " Ce4x , y ! 4 1 " Ce4x " 2 ! 4 " 2 # 2Ce4x 1 " Ce4x ! 2 1 # Ce4x 1 " Ce4x is the general solution of the equation. If y2 " 4 ! 0, then y ! $2 . These are solutions. Example dy dx ! xy # 2y " x " 2 xy " 3x # x " 3 Determine first if the differential equation is separable. Since dy dx ! y!x # 2" " !x # 2" y!x " 3" # !x " 3" ! !y " 1"!x # 2" !y # 1"!x " 3" # y # 1 y " 1 dy ! x # 2 x " 3 dx, the differential equation is separable. ! y # 1 y " 1 dy ! ! x # 2 x " 3 dx $ ! y " 1 # 1 # 1 y " 1 dy ! ! x " 3 # 3 # 2 x " 3 dx ! 1 # 2 y " 1 dy ! ! 1 # 5 x " 3 dx ! 1 # 2 y " 1 dy ! y # 2ln!y " 1" # C1, ! 1 # 5 x " 3 dx ! x # 5ln!x " 3" # C2 The general solution of the differential equation is: y # 2ln!y " 1" ! x # 5ln!x " 3" # C Example ex y dy dx ! e"y # e"2x"y Determine first if the differential equation is separable. Since ex y dy dx ! e"y !1 # e"2x " # y e"y dy ! !1 # e"2x " e"x dx the differential equation is separable. yey dy ! !ex # e"2x ex "dx # yey dy ! !ex # e"x "dx !yey dy ! yey " ey # C1, and !!ex # e"x "dx ! ex " e"x # C2 The general solution of the differential equation is: yey " ey ! ex " e"x # C 2
  • 9.
    The First-Order LinearDifferential Equations - (2.3) 1. First-Order Linear Equations: The general form of a linear equation is: a1!x" dy dx ! a0!x"y " g!x", a1!x" ! 0 The standard form of a linear equation is: dy dx ! P!x"y " f!x", P!x" " a0!x" a1!x" , f!x" " g!x" a1!x" A linear equation is homogenous if g!x" " 0, otherwise it is nonhomogeneous. 2. The Property: The general solution of the first-order linear differential equation: dy dx ! P!x"y " f!x" is of the form y " yc ! yp where yc is a solution of the homogeneous differential equation: dy dx ! P!x"y " 0 and yp is a solution of the corresponding nonhomogeneous differential equation: dy dx ! P!x"y " f!x" Proof: Let y " yc ! yp. Then y# " yc # ! yp # , and dy dx ! P!x"y " f!x" $ !yc # ! yp # " ! P!x"!yc ! yp " " !yc # ! P!x"yc" ! !yp # ! P!x"yp " " 0 ! f!x" " f!x" 3. Method of Solving First-Order Linear Differential Equations: This property suggests that a first-order linear differential equation can be solved in two steps: a. Find the general solution of the homogeneous equation dy dx ! P!x"y " 0 b. Find a solution of the nonhomogeneous equation dy dx ! P!x"y " f!x". Observe that the homogeneous linear differential equation dy dx ! P!x"y " 0 in a. is separable. The general solution can be solved as follows. 1 y dy " "P!x"dx $ # 1 y dy " #"P!x"dx, ln|y| " "#P!x"dx ! C, y " Ce "#P!x"dx . Observe also that d dx ye #P!x"dx " dy dx e #P!x"dx ! ye #P!x"dx d dx #P!x"dx " e #P!x"dx dy dx ! P!x"y " e #P!x"dx f!x" Then ye #P!x"dx " #e #P!x"dx f!x"dx, yp " e "#P!x"dx #e #P!x"dx f!x"dx y " yc ! yp " Ce "#P!x"dx ! e "#P!x"dx #e #P!x"dx f!x"dx " e "#P!x"dx C ! #e #P!x"dx f!x"dx The function #e #P!x"dx f!x"dx is called the integrating factor of the linear differential equation. Steps of Compute y : a. Compute h!x" " #P!x"dx. 1
  • 10.
    b. Compute k!x"" #eh!x" f!x"dx c. Solution: y " e"h!x" !C ! k!x"" Example Solve dy dx " 3y " 6 ! 2x " ex a. h!x" " #"3dx " "3x, the integrating factor is: e"3x b. k!x" " #e"3x !6 ! 2x " ex "dx " " 20 9e3x " 2 3e3x x ! 1 2e2x c. y " e3x C " 20 9 e"3x " 2 3 xe"3x ! 1 2 e"2x " Ce3x " 20 9 " 2 3 x ! 1 2 ex The general solution: y " Ce3x " 20 9 " 2 3 x ! 1 2 ex . Example Solve the initial value problem: !x2 " 9" dy dx ! xy " x ! 1, y!4" " 1 dy dx ! x x2 " 9 y " x ! 1 x2 " 9 , for x ! %3 a. h!x" " # x x2 " 9 dx " 1 2 ln|x2 " 9|, the integrating factor is: e 1 2 ln x2"9 " x2 " 9 b. k!x" " #e 1 2 ln x2"9 !x ! 1" x2 " 9 dx " # x ! 1 x2 " 9 dx " !x2 " 9" ! ln x ! !x2 " 9" c. y " e" 1 2 ln x2"9 C ! !x2 " 9" ! ln x ! !x2 " 9" " 1 x2 " 9 C ! !x2 " 9" ! ln x ! !x2 " 9" " C x2 " 9 ! 1 ! 1 x2 " 9 ln x ! !x2 " 9" d. y!4" " C 7 ! 1 ! 1 7 ln 4 ! 7 " 1, C " "ln 4 ! 7 The solution: y " 1 x2 " 9 "ln 4 ! 7 ! !x2 " 9" ! ln x ! !x2 " 9" Example Solve the IVP dy dx ! y " f!x" where f!x" " 1, 0 $ x & 1 x, 1 $ x , y!0" " "1. a. h!x" " #dx " x, the integrating factor is ex . b. k!x" " #ex f!x"dx " #ex dx " ex , 0 $ x & 1 #xex dx " xex " ex , 1 $ x c. y " e"x !C1 ! ex " " C1e"x ! 1, 0 $ x & 1 e"x !C2 ! xex " ex " " C2e"x ! x " 1, 1 $ x d. y!0" " C1 ! 1 " "1, C1 " "2, for 0 $ x $ 1, y " "2e"x ! 1. y!1" " "2e"1 ! 1, y!1" " C2e"1 ! 1 " 1 " C2e"1 " "2e"1 ! 1, C2 " "2 ! e The solution is: y " "2e"x ! 1, 0 $ x & 1 !"2 ! e"e"x ! x " 1, 1 $ x 2
  • 11.
    Example Solve xy# !!1 ! x"y " e"x sin!2x". a. y# ! 1 ! x x y " 1 x e"x sin!2x" b. h!x" " #! 1 x ! 1"dx " ln|x| ! x, the integrating factor: eln|x|!x " eln|x| ex " xex c. k!x" " #eln|x|!x 1 x e"x sin!2x" dx " #xex 1 x e"x sin!2x"dx " #sin!2x"dx " " 1 2 cos!2x" d. y " e"ln|x|"x C " 1 2 cos!2x" " 1 x e"x C " 1 2 cos!2x" The general solution is: y " 1 x e"x C " 1 2 cos!2x" 3
  • 12.
    Exact Differential Equations- (2.4) In this section, we consider the general solution of the first order differential equation of the form: M!x,y"dx ! N!x,y"dy " 0 where both M and N are functions in two variables x and y. 1. Differentials of a Function of Two Variables: Let z " f!x,y" be a function of two variables x and y. Then the differential dz is defined as dz " !f !x dx ! !f !y dy. If f!x,y" " C where C is a constant, then df " 0 # !f !x dx ! !f !y dy " 0. Note that this is a differential equation of the form M!x,y"dx ! N!x,y"dy " 0 M!x,y" " !f !x and N!x,y" " !f !y . So, the differential equation of this form has solution: f!x,y" " C. Example Consider the equation x2 " 5xy ! y3 " C. Here f!x,y" " x2 " 5xy ! y3 . !f !x " 2x " 5y, !f !y " "5x ! 3y2 The equation x2 " 5xy ! y3 " C is the general solution of the differential equation: !2x " 5y"dx ! !"5x ! 3y2 "dy " 0 It is clear that it is not every differential equation M!x,y"dx ! N!x,y"dy " 0 that can be written as !f !x dx ! !f !y dy " 0 for some f!x,y". So, we like to know for what types of M!x,y" and N!x,y" the differential equation M!x,y"dx ! N!x,y"dy " 0 is of the form of !f !x dx ! !f !y dy " 0. Recall that if f!x,y" has continuous second derivatives, !2 f !x!y " !2 f !y!x . That is ! !x !f !y " ! !y !f !x . So, if there is a f!x,y" such that M!x,y" " !f !x and N!x,y" " !f !y then we must have ! !x !N!x,y"" " ! !y !M!x,y"". 2. Exact Equation: A differential equation M!x,y"dx ! N!x,y"dy is an exact differential in a region R of the xy-plane if it corresponds to the differential of some function f!x,y". A first-order differential equation of the form M!x,y"dx ! N!x,y"dy " 0 is said to be an exact equation if M!x,y"dx ! N!x,y"dy is an exact differential. 1
  • 13.
    The criterion foran exact differential: M!x,y"dx ! N!x,y"dy is an exact differential if and only if !M !y " !N !x . Example Determine if the differential equation !e2y " ycos!xy""dx ! !2xe2y " xcos!xy" ! 2y"dy " 0 is exact. Here M!x,y" " e2y " ycos!xy" and N!x,y" " 2xe2y " xcos!xy" ! 2y. Check if !M !y " !N !x . !M !y " 2e2y " cos!xy" ! yxsin!xy", !N !x " 2e2y " cos!xy" ! xysin!xy" Since !M !y " !N !x , the differential equation is exact. Example Find the value of k so that the differential equation !y3 ! kxy4 " 2x"dx ! !3xy2 ! 20x2 y3 "dy " 0 is exact. Here M!x,y" " y3 ! kxy4 " 2x and N!x,y" " 3xy2 ! 20x2 y3 . Find k so that !M !y " !N !x . !M !y " 3y2 ! 4kxy3 , !N !x " 3y2 ! 40xy3 , !M !y " !N !x $ 4kxy3 " 40xy3 , k " 10. Example Find the function N!x,y" so that the equation 1 xy ! x x2 ! y dx ! N!x,y"dy " 0 is exact. Here M!x,y" " 1 xy ! x x2 ! y . Know that !M !y " !N !x and !M !y " " 1 2 xy3 " x !x2 ! y" 2 N!x,y" " # !N !x dx " # !M !y dx " # " 1 2 xy3 " x !x2 ! y" 2 dx " " 1 2 y3 2 x " 1 2 "1 x2 ! y ! g!y" " " x y3 ! 1 2!x2 ! y" ! g!y" 3. The General Solution of an Exact Differential Equation: The general solution of the exact equation M!x,y"dx ! N!x,y"dy " 0 is of the form: f!x,y" " C. The function f!x,y" can be solved as follows. a. Since M!x,y" " !f !x , f!x,y" " #M!x,y"dx ! g!y"; b. Since N!x,y" " !f !y , ! !y !f!x,y"" " ! !y #M!x,y"dx ! g!y" " ! !y #M!x,y"dx ! g# !y" " N!x,y" Solve g# !y" from this equation and g!y" " #g# !y"dy. c. The general solution: f!x,y" " C. 2
  • 14.
    Note that wecan also use N!x,y" to solve f!x,y". Steps are: a. Since N!x,y" " !f !y , f!x,y" " #N!x,y"dy ! h!x"; b. Since M!x,y" " !f !x , ! !x !f!x,y"" " ! !x #N!x,y"dy ! h!x" " ! !x #N!x,y"dy ! h# !y" " M!x,y" Solve h# !x" from this equation and h!x" " #h# !x"dx. c. The general solution: f!x,y" " C. Example Solve the differential equation !e2y " ycos!xy""dx ! !2xe2y " xcos!xy" ! 2y"dy " 0. Know that it is exact. Find f!x,y". a. f!x,y" " #!e2y " ycos!xy""dx " xe2y " sin!xy" ! g!y" b. !f !y " 2xe2y " xcos!xy" ! g# !y" " N!x,y" " 2xe2y " xcos!xy" ! 2y g# !y" " 2y, g!y" " #2ydy " y2 c. xe2y " sin!xy" ! y2 " C Example Solve the initial value problem: 3y2 " t2 y5 dy dt ! t 2y4 " 0, y!1" " 1. The differential equation is not separable and not linear in y. Check if it is exact. Rewrite the equation: 3y2 " t2 y5 dy ! t 2y4 dt " 0. Let M!y,t" " 3y2 " t2 y5 and N!y,t" " t 2y4 . Check if !M !t " !N !y . !M !t " " 2t y5 , !N !y " " 4t 2y5 " " 2t y5 , !M !t " !N !y . The equation is exact. a. f!y,t" " # t 2y4 dt ! h!y" " " 1 4y4 t2 ! h!y" b. !f !y " ! !y " 1 4y4 t2 ! h!y" " " "4 4y5 t2 ! h# !y" " " 1 y5 t2 ! h# !y" " 3y2 " t2 y5 " 3 1 y3 " t2 y5 h# !y" " 3 y3 , h!y" " #h# !y"dy " # 3 y3 dy " " 3 2 1 y2 c. The general solution: " 1 4y4 t2 " 3 2 1 y2 " C d. Solve the initial value problem: when x " 1, y!1" " 1, solve for C : " 1 4 " 3 2 " " 7 4 " C 3
  • 15.
    Methods of Substitution- (2.5) 1. Bernoulli’s Equation: The differential equation: dy dx ! P!x"y " f!x"yn ! !"" where n is a real number, is called a Bernoulli’s equation. Note that a. when n " 0, the equation is a linear differential equation in y; dy dx ! P!x"y " f!x", b. when n " 1, the equation can be rewritten as dy dx ! P!x"y " f!x"y # dy dx ! !P!x" ! f!x""y " 0 a linear homogeneous differential equation and is separable. In both cases, we know how to solve the differential. Now let us consider the cases where n # 0,1. Let u " y1!n . Then du dx " !1 ! n"y1!n!1 dy dx " !1 ! n"y!n dy dx . Multiply !1 ! n"y!n to the equation !"" : !1 ! n"y!n dy dx ! !1 ! n"y!n P!x"y " !1 ! n"y!n f!x"yn !1 ! n"y!n dy dx ! !1 ! n"y!n!1 P!x" " !1 ! n"f!x" du dx ! !1 ! n"P!x"u " !1 ! n"f!x" It is a linear differential equation in u with P!x" " !1 ! n"P!x", and f !x" " !1 ! n"f!x". Solve for u first, and then let y " u1/!1!n" Example Solve the differential equation x dy dx ! y " x2 y2 . The equation is dy dx ! 1 x y " xy2 . n " 2. Let u " y1!2 " y!1 . Solve du dx ! !!1" 1 x u " !x. a. h!x" " $! 1 x dx " !ln|x|, integrating factor is e!ln|x| " 1 x b. k!x" " $e!ln|x| !!x"dx " $!!1"dx " !x c. The general solution for u : u " eln|x| !C ! x" " x!C ! x" " Cx ! x2 d. The general solution for y : y " 1 u " 1 Cx ! x2 Example Solve the initial value problem: x2 dy dx ! 2xy " 3y4 , y!1" " 1 2 . The equation is dy dx ! 2 x y " 3 x2 y4 , n " 4, 1 ! n " !3. Let u " y!3 . Solve du dx ! 6 x u " ! 9 x2 a. h!x" " $ 6 x dx " 6ln|x|, the integrating factor is: e6ln|x| " x6 b. k!x" " $x6 ! 9 x2 dx " !9$x4 dx " ! 9 5 x5 c. The general solution for u : u " e!6ln|x| C ! 9 5 x5 " 1 x6 C ! 9 5 x5 " C x6 ! 9 5x d. The general solution for y : y!3 " C x6 ! 9 5x e. When x " 1, y " 1 2 . 1 2 !3 " C 1 ! 9 5 , C " 8 ! 9 5 " 49 5 1
  • 16.
    The solution forthe initial value problem: y!3 " 49 5x6 ! 9 5x Example Solve the initial value problem: 3!1 ! t2 " dy dt " 2ty!y3 ! 1". Note that it is also separable. Rewrite it as the form: dy dt ! P!t"y " f!t"yn 3!1 ! t2 " dy dt " 2ty!y3 ! 1" " 2ty4 ! 2ty, dy dt ! 2t 3!1 ! t2 " y " 2t 3!1 ! t2 " y4 Let u " y1!4 " y!3 . Solve u from u$ ! 3 2t 3!1 ! t2 " u " !3 2t 3!1 ! t2 " a. h!t" " $ 2t 1 ! t2 dt " ln!1 ! t2 " b. k!t" " $! 2t !1 ! t2 " eln 1!t2 dt " !$2tdt " !t2 c. The general solution for u : u " e!ln 1!t2 !C ! t2 " d. The general solution for y : y!3 " e!ln 1!t2 !C ! t2 " " 1 1 ! t2 !C ! t2 " 2. Reduction to Separable: For example, the differential equation of the form dy dx " f!Ax ! By ! C" is not separable in y and x. Let u " Ax ! By ! C. Then du dx " A ! B dy dx , dy dx " 1 B du dx ! A dy dx " f!Ax ! By ! C" # 1 B du dx ! A " f!u" du dx " Bf!u" ! A, 1 Bf!u" ! A du " dx separable in u and x. Example Solve the initial value problem: dy dx " 2 ! y ! 2x ! 3 , y!0" " 1. Let u " y ! 2x ! 3. du dx " dy dx ! 2, dy dx " 2 ! y ! 2x ! 3 # du dx ! 2 " 2 ! u , du dx " u , 1 u du " dx. The last equation is separable in u and x. $ 1 u du " 2 u ! C1, $dx " x ! C2 The general solution for u : u " 1 2 !x ! C", or u " 1 4 !x ! C"2 The general solution for y : y ! 2x ! 3 " 1 4 !x ! C"2 or y " 2x ! 3 ! 1 4 !x ! C"2 Solve the initial value problem: 1 " !3 ! 1 4 C2 , C2 " 16, C " 4. The solution of the initial value problem: y " 2x ! 3 ! 1 4 !x ! 4"2 Example Solve the differential equation: dy dx " sin!x ! y". 2
  • 17.
    Let u "x ! y. Then du dx " 1 ! dy dx , dy dx " sin!x ! y" # du dx ! 1 " sin!u" # du dx " sin!u" ! C, 1 sin!u" ! 1 du " dx The last equation is separable. $ 1 sinu ! 1 du " tanu ! secu ! C1, $dx " x ! C2 The general solution for u : tanu ! secu " x ! C The general solution for y : tan!x ! y" ! sec!x ! y" " x ! C Example Solve the initial value problem: dy dx " 3x ! 2y 3x ! 2y ! 2 , y!!1" " !1 Let u " 3x ! 2y. Then du dx " 3 ! 2 dy dx , dy dx " 3x ! 2y 3x ! 2y ! 2 # 1 2 du dx ! 3 " u u ! 2 , du dx ! 3 " 2u u ! 2 , du dx " 2u u ! 2 ! 3 " 5u ! 6 u ! 2 , u ! 2 5u ! 6 du " dx The last equation is separable. $ u ! 2 5u ! 6 du " $ 5 ! 4 u ! 2 du " 5u ! 4ln|u ! 2| ! C1, $dx " x ! C2 The general solution for u : 5u ! 4ln|u ! 2| " x ! C The general solution for y : 5!3x ! 2y" ! 4ln|3x ! 2y ! 2| " x ! C Solve the initial value problem: when x " !1, y " !1 : 5!3!!1" ! 2!!1"" ! 4ln|3!!1" ! 2!!1" ! 2| " !1 ! C, C " !24 ! 4ln3 The solution of the initial value problem : 5!3x ! 2y" ! 4ln|3x ! 2y ! 2| " x ! 24 ! 4ln3 3
  • 18.
    Applications of FirstOrder Differential Equations - (1.3)(2.7)(2.8) 1. Growth and Decay: Consider the initial value problem: dP dt ! kP, P!0" ! P0. Function P!t" represents population at the time t. When k " 0, the population is increasing and when k # 0, the population is decreasing. The equation is separable and solution is P!t" ! P0ekt . Logistic Equation: dP dt ! P!a ! bP", P!0" ! P0. 1 P dP dt ! !a ! bP" or dP dt ! aP ! bP2 Logistic curves have proved to be quite accurate in predicting the growth patterns, in a limited space, of certain types of bacteria, water fleas, and fruit flies. The equation is separable, and also a Bernoulli equation. The solution is: P!t" ! aP0 bP0 $ !a ! bP0 "e!at . Example Suppose a student carrying a flu virus returns to an isolated college campus of 1000 students. If it is assumed that the rate at which the virus spreads is proportional not only to the number x of infected students but also to the number of students not infected, determine the number of infected students after 6 days if it is further observed that after 4 days 50 students are infected. The mathematical model is: dx dt ! kx!1000 ! x", x!0" ! 1. Since dx dt ! 1000kx ! kx2 , a ! 1000k, b ! k, P0 ! 1. Hence x!t" ! 1000k k $ !1000k ! k"e!1000kt ! 1000 1 $ 999e!1000kt It is known that x!4" ! 50. Then solve k from the equation: 50 ! 1000 1 $ 999e!1000k!4" # k ! ! 1 4000 ln 19 999 x!t" ! 1000 1 $ 999e0.25ln!19/999" t , x!6" ! 1000 1 $ 999e0.25ln!19/999"!6" ! 276 About 276 students are infected after 6 days. 2. Newton’s Law of Cooling: dT dt ! k!T ! Tm ", T!0" ! T0. Function T!t" represents temperature of an object at the time t where T0 is the initial temperature of the object and Tm is the temperature surrounded the object. When k " 0, T is increasing and when k # 0, T is decreasing. The equation is separable and the solution is: T!t" ! Tm $ ekt !T0 ! Tm ". Example A small metal bar, whose initial temperature was 20o C, is dropped into a container of boiling water. How long will it take the bar to reach 90o C if is known that its temperature increased 2o C in 1 second? How long will it take the bar to reach 98o C? Let T be the temperature of the bar at the t. Then we know: Tm ! 100o C, T0 ! 20o C. So, 1
  • 19.
    T!t" ! 100$ !20 ! 100"ekt ! 100 ! 80ekt . Since T!1" ! 2 $ 20 ! 22o C, solve k from the equation: 22 ! 100 ! 80ek . k ! ln 39 40 and T!t" ! 100 ! 80eln!39/40" t . Find t when T!t" ! 90o C. 90 ! 100 ! 80eln!39/40" t # t ! ! ln8 ln 39 40 ! 82. 13 seconds Find t when T!t" ! 98o C. 98 ! 100 ! 80eln!39/40" t # t ! ! ln40 ln 39 40 ! 145. 70 seconds 3. LR, and RC Circuits: L dI dt $ RI ! E!t", I!0" ! I0 R dQ dt $ 1 C Q ! E!t", Q!0" ! Q0 Functions I!t" and Q!t" are current and charge at the time t, respectively. L, R, and C are constants for inductor, resistor and capacitor, respectively. Function E!t" is voltage on the circuit at the time t. By Kirchhoff’s second law, ER ! RI, EL ! L dI dt , EC ! 1 C "I!t"dt, dQ dt ! I These two equations are linear (in I and Q". The solutions depend on given E!t". Example Consider a LR-circuit with L ! 4, R ! 2, I!0" ! 0, and E!t" ! t if 0 # t # 1 1 if t " 1 . Solve I!t". Solve I!t" from the initial value problem: 4 dI dt $ 2I ! E!t", I!0" ! 0 # dI dt $ 1 2 I ! 1 4 E!t", I!0" ! 0 It is linear in I. a. h!t" ! " 1 2 dt ! 1 2 t, I.F.: et/2 b. k!t" ! "et/2 !t"dt ! 2e 1 2 t t ! 4e 1 2 t , 0 # t # 1 k!t" ! "et/2 !1"dt ! 2e 1 2 t , t " 1 c. I!t" ! e!t/2 !C1 $ 2tet/2 ! 4et/2 ", 0 # t # 1 I!t" ! e!t/2 !C2 $ 2et/2 ", t " 1 d. When t ! 0, I!0" ! 0. Solve C1 : 0 ! e0 !C1 $ 2e0 !0" ! 4e0 ", C1 ! 4. I!t" ! e!t/2 !4 $ 2et/2 t ! 4et/2 ", 0 # t # 1 In particular, I!1" ! e!1/2 !4 $ 2e1/2 ! 4e1/2 " ! 4e!1/2 $ 2 ! 4 ! 4e!1/2 ! 2. When t ! 1, I!1" ! 4e!1/2 ! 2. Solve C2 : 4e!1/2 ! 2 ! e!1/2 !C2 $ 2e1/2 " # 4 ! 2e1/2 ! C2 $ 2e1/2 , C2 ! 4 ! 4e1/2 I!t" ! e!t/2 !4 ! 4e1/2 $ 2et/2 ", t " 1 Solution: 2
  • 20.
    I!t" ! e!t/2 !4 $2tet/2 ! 4et/2 ", 0 # t # 1 e!t/2 !4 ! 4e1/2 $ 2et/2 ", t " 1 . 0 0.2 0.4 0.6 0.8 1 1 2 3 4 5t E!t" 0 0.2 0.4 0.6 0.8 1 1.2 1.4 1.6 1.8 1 2 3 4 5t I!t" 3
  • 21.
    Concepts of HigherOrder Linear Differential Equations - (3.1) 1. Higher Order Linear Differential Equations: An nth-order linear differential equation: an!x" dn y dxn ! an!1!x" dn!1 y dxn!1 !...!a1!x" dy dx ! a0!x"y " g!x" Define L!y" " an!x" dn y dxn ! an!1!x" dn!1 y dxn!1 !...!a1!x" dy dx ! a0!x"y. The function L is a linear operator meaning for any constant ! and " L!!y ! "z" " !L!y" ! "L!z" An initial-value problem for an nth-order linear differential equation: solve an!x" dn y dxn ! an!1!x" dn!1 y dxn!1 !...!a1!x" dy dx ! a0!x"y " g!x" subject to y!a" " y0, y# !a" " y1, ..., y!n!1" !a" " yn!1. A boundary-value problem for a 2nd-order linear differential equation: solve a2!x" d2 y dx2 ! a1!x" dy dx ! a0!x"y " g!x" subject to y!a" " !, y!b" " ". Boundary-value problems with other boundary conditions: y!a" " !, y# !b" " " y# !a" " !, y!b" " " y# !a" " !, y# !b" " " c1y!a" ! c2y# !a" " !, c3y!b" ! c4y# !b" " " Homogeneous and nonhomogeneous differential equations: Homogeneous: g!x" " 0, and L!y" " 0 Nonhomogeneous: g!x" " 0, and L!y" " g!x" 2. Existence of a Unique Solution of An Initial-Value Problem: Let a0!x", a1!x", ..., an!x" and g!x" be continuous on an interval I, and let an!x" " 0 for every x in I. If x " a is a point in I, then the initial-value problem has a unique solution in I. Example Show that y!x" " 3 ! C1x ! C2x2 is the general solution of the differential equation x2 y## ! 2xy# ! 2y " 6 Find an interval I on which the initial-value problem x2 y## ! 2xy# ! 2y " 6, y!1" " 3, y# !1" " 1 has a unique solution and solve the initial value problem. y# " C1 ! 2C2x , y## " 2C2 x2 y## ! 2xy# ! 2y " x2 !2C2 " ! 2x!C1 ! 2C2x" ! 2!3 ! C1x ! C2x2 " " x2 !2C2 ! 4C2 ! 2C2 " ! x!!2C1 ! 2C1 " ! 6 " 6 a2!x" " x2 " 0, x " 0. Consider I " 0, # . a0!x" " 2, a1!x" " !2x, a2!x" " x2 , and g!x" " 6 are continuous on I and a2!x" " 0 for every x in I. x " 1 is also in I. So, the initial-value problem has a unique solution on 1
  • 22.
    I. Actually, thisinitial-value problem has a unique solution on I " !#, # even with initial conditions: y!0" " !, y# !0" " ". Solve constants C1 and C2 so that y satisfies the initial conditions. y!1" " 3 ! C1 ! C2 " 3 # C1 ! C2 " 0 y# !1" " C1 ! 2C2 " 1 C1 C2 " 1 1 1 2 !1 0 1 " !1 1 y " 3 ! x ! x2 Example Show that y " C1 cos4x ! C2 sin4x is the general solution of the differential equation y## ! 16y " 0. Solve the boundary-value problems y## ! 16y " 0, !i" y!0" " 0, y # 2 " 0; !ii" y!0" " 0, y # 8 " 0; !iii" y!0" " 0, y # 2 " 1. y# " !4C1 sin4x ! 4C2 cos4x, y## " !16C1 cos4x ! 16C2 sin4x y## ! 16y " !16C1 cos4x ! 16C2 sin4x ! 16!C1 cos4x ! C2 sin4x" " 0 !i" y!0" " C1 " 0, y # 2 " C2 sin!2#" " 0, C2 can be any real number, y " C2 sin4x, the BVP has infinitely many solutions !ii" y!0" " 0, C1 " 0, y # 8 " C2 sin # 2 " C2 " 0, y " 0, the BVP has a unique solution !iii" y!0" " 0, C1 " 0, y # 2 " C2 sin!2#" " 0 " 1, the BVP has no solution 3. Homogeneous Linear Differential Equations: a. The general solution of a homogeneous nth-order linear differential equation: Let y1, ..., yk be solutions of the homogeneous nth-order differential equation L!y" " 0 on an interval I. Then the linear combination: y " C1y1 ! C2y2 !...!Cnyn where Ci # s are arbitrary constants, is also a solution on I. It is easy to see. Since L!yi " " 0, for i " 1,...,n, L!y" " L!C1y1 ! C2y2 !...!Cnyn " " C1L!y1 " !...!CnL!yn " " 0. b. Linear independence of solutions: A set of functions: f1!x", ..., fn!x" is said to be linearly independent on an interval I if C1f1!x" ! C2f2!x" !...!Cn fn!x" " 0 implies C1 " C2 "..." Cn " 0 for all x in I. If a set is not linearly independent on I, then it is said to be linearly dependent. Example The set of functions 1, x, x2 , ..., xn is linearly independent on !#, # . 2
  • 23.
    0 0.2 0.4 0.6 0.8 1 1.2 1.4 1.6 1.8 -4 -2 24x y " 1 -4 -2 0 2 4 -4 -2 2 4x y " x 0 5 10 15 20 -4 -2 2 4x y " x2 None of them can be a linear combination of others. So, 1, x, x2 , ..., xn is linearly independent on !#, # . Example Determine if the set of functions: 1, sin2 x, cos2x, is linearly independent on !#, # . Since sin2 x " 1 2 !1 ! cos2x" " 1 2 ! ! 1 2 cos2x, a linear combination of 1 and cos2x, the set of 1, sin2 x, cos2x is linearly dependent on !#, # . 0 0.2 0.4 0.6 0.8 1 1.2 1.4 1.6 1.8 -4 -2 2 4x y " 1 0 0.2 0.4 0.6 0.8 -4 -2 2 4x y " sin2 x -1 -0.8 -0.6 -0.4 -0.2 0 0.2 0.4 0.6 0.8 1 -4 -2 2 4x y " cos2x Example Let x, |x| and I1 " 0, 1 , I2 " !!1,1". Determine if x, |x| is linearly independent on I1 and I2. Since x $ 0, |x| " x, x, |x| is linearly dependent on I1. Let C1x ! C2|x| " 0. For x $ 0, C1x ! C2|x| " C1x ! C2x " C1 ! C2 " 0. For x % 0, C1x ! C2|x| " C1x ! C2x " C1 ! C2 " 0. 1 1 1 !1 C1 C2 " 0 0 # C1 C2 " 0 0 x, |x| is linearly independent on I2. -1 -0.8 -0.6 -0.4 -0.2 0 0.2 0.4 0.6 0.8 1 -1 -0.8 -0.6 -0.4 -0.2 0.2 0.4 0.6 0.8 1x y " x 0 0.2 0.4 0.6 0.8 -1 -0.8 -0.6 -0.4 -0.2 0.2 0.4 0.6 0.8 1x y " |x| c. Linear independence of solutions of a linear differential equation: Definition: Wronskian Let functions f1!x", ..., fn!x" have at least n ! 1 derivatives. The determinant 3
  • 24.
    W!f1,...,fn " "det f1 f2 ... fn f1 # f2 # ... fn # : : : : f1 !n!1" f2 !n!1" ... fn !n!1" is call the Wronskian of the functions: f1!x", ..., fn!x". Criterion for linearly independent solutions: Let y1, y2,..., yn be n solutions of the homogeneous linear nth-order differential equation on an interval I. Then the set of solutions is linearly independent on I if and only if W!y1,...,yn " " 0 for every x in I. It can be seen as follows. Let C1y1 !...!Cnyn " 0. Solve for Ci # s. Since C1y1 !k" !...!Cnyn !k" " 0, for k " 0,1,...,n ! 1, y1 y2 ... yn y1 # y2 # ... yn # : : : : y1 !n!1" y2 !n!1" ... yn !n!1" C1 C2 : Cn " 0 0 : 0 W!y1,...,yn " " 0 for every x in I & C1 C2 : Cn " 0 0 : 0 Example Find an interval I such that the set of functions is linearly independent on I. !i" 1, x, xlnx !ii" e!x , e"x , ! " " i. W 1, x, xlnx " det 1 x xlnx 0 1 lnx ! 1 0 0 1 x " 1 x Wronskian exists if x " 0. Let I " 0, # . Wronskian " 0 for xin I. 1, x, xlnx is linearly independent on I. ii. W e!x , e"x " det e!x e"x !e!x "e"x " e!x "e"x ! e"x !e!x " e!x!"x !" ! !" " 0 Let I " !#, # . e!x , e"x is linearly independent on I. Fundamental set of solutions: Any set y1,...,yn of an nth-order linearly independent solutions of a homogeneous differential equation: L!y" " 0 on I is said to be a fundamental set of solutions. Existence of a Fundamental Set of Solutions: There exists a fundamental set of solutions for a homogeneous linear nth-order differential equation L!y" " 0. General solution of a linear nth-order homogeneous differential equation: L!y" " 0 Let y1,...,yn be a fundamental set of solutions of L!y" " 0 for x in I. Then the general solution of the equation L!y" " 0 for x in I is 4
  • 25.
    y " C1y1!...!Cnyn where Ci # s are arbitrary constants. Example Show that y1 " ex and y2 " e!x/2 are solutions of the differential equation 2y## ! y# ! y " 0 Find the general solution of the equation. 4. Nonhomogeneous Linear Differential Equations: a. Solution of nonhomogeneous equation: Consider L!y" " g!x". A function yp satisfy the equation L!y" " g!x" is called a particular solution of the equation: L!y" " g!x". General solution of a nonhomogeneous equation: L!y" " g!x" Let y1, ..., yn be a fundamental set of solutions of the homogeneous equation: L!y" " 0. Then the general solution of L!y" " g!x" for x in I is y " C1y1 !...!Cnyn ! yp where Ci # s are arbitrary constants. b. If yp and yq are solutions of L!y" " g!x" and L!y" " h!x", respectively, then the general solution of the equation L!y" " g!x" ! h!x" is y " C1y1 !...!Cnyn ! yp ! yq Example Show that yp " 1 5 cosx ! 3 5 sinx and yq " !3x2 ! 6x ! 18 are solutions of the equations 2y## ! y# ! y " 2sinx, 2y## ! y# ! y " 3x2 respectively. Find a particular solution of the equation 2y## ! y# ! y " 2sinx ! 3x2 . yp # " ! 1 5 sinx ! 3 5 cosx, yp ## " ! 1 5 cosx ! 3 5 sinx 2yp ## ! yp # ! yp " ! 2 5 cosx ! 6 5 sinx ! 1 5 sinx ! 3 5 cosx ! 1 5 cosx ! 3 5 sinx " cosx ! 2 5 ! 3 5 ! 1 5 ! sinx 6 5 ! 1 5 ! 3 5 " 2sinx yq # " !6x ! 6, yq ## " !6 2y## ! y# ! y " 2!!6" ! !!6x ! 6" ! !!3x2 ! 6x ! 18" " x2 !3" ! x!6 ! 6" ! !!12 ! 6 ! 18" " 3x2 So, both yp and yq are solutions of the equations, 2y## ! y# ! y " 2sinx, 2y## ! y# ! y " 3x2 respectively. Let yr " 1 5 cosx ! 3 5 sinx ! !3x2 ! 6x ! 18 . yr is a solution of the equation. 5
  • 26.
    Reduction of Order- (3.2) 1. Consider the 2nd-order linear differential equation a2!x"y!! " a1!x"y! " a0!x"y # 0 The general solution of the differential equation is y # C1y1 " C2y2 where #y1,y2 $ is a fundamental set of solutions, i.e. a. y1, and y2are solutions of the differential equation equation; and b. y1, and y2are linearly independent. If we know y1, can we find y2? The answer is yes. How? We let y2 # u y1 where u is a function of x. If we substitute y2 of this form into the differential equation, we will get a first-order differential equation in u and it can be solved by using a method Chapter 2. Here are the details. Consider the 2nd-order homogeneous linear differential equation in standard form y!! " P!x"y! " Q!x"y # 0 Let y2 # y1u. Then y2 ! # y1 ! u " y1u! and y2 !! # y1 !! u " y1 ! u! " y1 ! u! " y1u!! # y1 !! u " 2y1 ! u! " y1u!! . y!! " P!x"y! " Q!x"y # y1 !! u " 2y1 ! u! " y1u!! " P!x"!y1 ! u " y1u! " " Q!x"y1u # !y1 !! " P!x"y1 ! " Q!x"y1 "u " 2y1 ! u! " y1u!! " P!x"y1u! # 0 " y1u!! " !2y1 ! " P!x"y1 "u! # 0 u!! " 2y1 ! y1 " P!x" u! # 0, let z # u! . Then z! # u!! z! " 2y1 ! y1 " P!x" z # 0 ! 1st order linear differential equation separable Solve the differential equation in z and then u # "zdx and y2 # y1u Given y!! " P!x"y! " Q!x"y # 0 and a solution y1, two steps to solve y2 # u y1 : a. Solve the first order linear (separable) differential equation in z: z! " 2y1 ! y1 " P!x" z # 0 b. Compute u # "zdx and let y2 # u y1. Example Show that y1 # x2 cos!lnx" is a solution of x2 y!! ! 3xy! " 5y # 0. Find the general solution of the differential equation. a. Check y1 is a solution of the differential equation (it satisfies the differential equation) : y1 ! # 2xcos!lnx" ! x2 sin!lnx" 1 x # x!2cos!lnx" ! sin!lnx"", y1 !! # 2cos!lnx" ! sin!lnx" " x !2sin!lnx" 1 x ! cos!lnx" 1 x # cos!lnx" ! 3sin!lnx" x2 y!! ! 3xy! " 5y # x2 !cos!lnx" ! 3sin!lnx"" ! 3x!x"!2cos!lnx" ! sin!lnx"" " 5x2 cos!lnx" # !x2 ! 6x2 " 5x2 "cos!lnx" " !!3x2 " 3x2 "sin!lnx" # 0 So, y1 is a solution. b. Let y2 # y1u. First rewrite the equation in standard form 1
  • 27.
    y!! ! 3 x y! "5 x2 y # 0. P!x" # ! 3 x , Q!x" # 5 x2 i. Solve z! " 2y1 ! y1 " P!x" z # 0 for z. P!x" # ! 3 x 2y1 ! y1 # 2x!2cos!lnx" ! sin!lnx"" x2 cos!lnx" # 2!2cos!lnx" ! sin!lnx"" xcos!lnx" 2y1 ! y1 " P!x" # 2!2cos!lnx" ! sin!lnx"" xcos!lnx" ! 3 x # 1 x ! 2 x tan!lnx" z! " 1 x ! 2 x tan!lnx" z # 0 " 1 z dz # " ! 1 x " 2 x tan!lnx" dx, ln|z| # !ln|x| ! 2ln|cos ln!x"| " C z # C 1 x 1 cos2 lnx # C x sec2 lnx ii. Solve for u : u # "C 1 x sec2 lnxdx # Ctan!lnx" and y2 # u y1 y2 # Cx2 cos!lnx"tan!lnx" # Cx2 sin!lnx" y # C1x2 cos!lnx" " C2x2 sin!lnx" 2
  • 28.
    Homogeneous Linear DifferentialEquations with Constant Coefficients - (3.3) Consider an nth-order linear differential equation of the form: any!n" ! an!1y!n!2" !...!a1y" ! a0y # 0. Let y # emx . Observe that y" # memx , y"" # m2 emx , ..., y!n" # mn emx . any!n" ! an!1y!n!2" !...!a1y" ! a0y # anmn emx !...!a1memx ! a0emx # emx !anmn !...!a1m ! a0 " # 0 # anmn !...!a1m ! a0 # 0. y # eax is a solution of the differential equation any!n" ! an!1y!n!2" !...!a1y" ! a0y # 0 if and only if m # a is a solution of the equation anmn !...!a1m ! a0 # 0. Let P!m" # anmn !...!a1m ! a0. P!m" is called the characteristic polynomial of the differential equation any!n" ! an!1y!n!2" !...!a1y" ! a0y # 0. Know that the equation P!m" # m has nsolutions (real or complex) including the multiples. Let m1,...,mn be solutions of P!m" # 0. Let L!y" # any!n" ! an!1y!n!2" !...!a1y" ! a0y. Recall the general solution of L!y" # 0 : y # C1y1 ! C2y2 !...!Cnyn where y1,...,yn are solutions of L!y" # 0 and are linearly independent. How do y1,...,yn relate to m1,...,mn? 1. If mi are simple real solutions of P!m" # 0, then yi # emix are solutions of the differential equation L!y" # 0. 2. If mi is a real solution of P!m" # 0 with multiplicity k, then y1 # emix , y2 # xemix , ..., yk # xk!1 emix are solutions of the differential equation L!y" # 0 and they are linearly independent. 3. If m1 # a ! ib and m2 # a ! ib are simple complex solutions of P!m" # 0, then y1 # eax cos!bx", y2 # eax sin!bx" are solutions of L!y" # 0 and they are linearly independent. 4. If m1 # a ! ib and m2 # a ! ib are complex solutions of P!m" # 0 with multiplicity k, then y1 # eax cos!bx", y2 # eax sin!bx", y3 # xeax cos!bx", y4 # xeax sin!bx" ...y2k!1 # xk!1 eax cos!bx", y2k # xk!1 eax sin!bx" are solutions of L!y" # 0 and they are linearly independent. Example Let P!m" # m2 !m ! 1"2 !m ! 2"!m2 ! 3"!m2 ! m ! 1" be the characteristic polynomial of a linear differential equation L!y" # 0. What is the order the differential equation? Find the general solution of L!y" # 0. P!m" is a polynomial of degree 9, so the order of differential equation is 9. Solve P!m" # 0. m2 # 0, m # 0,0 !m ! 1"2 # 0, m # 1,1 m ! 2 # 0, m # !2 m2 ! 3 # 0, m # i 3 , m # !i 3 m2 ! m ! 1 # 0, m # !1$ 1!4 2 m # ! 1 2 ! i 3 2 , m # ! 1 2 ! i 3 2 # y1 # 1, y2 # x y3 # ex , y4 # xex y5 # e!2x y6 # cos 3 x , y7 # sin 3 x y8 # e!x/2 cos 3 2 x , y9 # e!x/2 sin 3 2 x 1
  • 29.
    The general solution: y# C1 ! C2x ! C3ex ! C4xex ! C5e!2x ! C6 cos 3 x ! C7 sin 3 x ! C8e!x/2 cos 3 2 x ! C9e!x/2 sin 3 2 x . Example Find the general solution of the differential equation. a. y"" ! y" ! 2y # 0 b. y"" ! y" ! 2y # 0 c. y"" ! 4y" ! 4y # 0 d. y!4" ! y" # 0 e. y!4" ! 2y"" # 0 f. y!4" ! 4y"" ! 4y # 0 g. y!4" ! y # 0 a. P!m" # m2 ! m ! 2 # !m ! 2"!m ! 1" # 0, m # 2, and m # !1. y1 # e2x , y2 # e!x , and the general solution y # C1e2x ! C2e!x . b. P!m" # m2 ! m ! 2 # 0 m # !1 $ 1 ! 4!1"!2" 2 # !1 $ i 7 2 , m # ! 1 2 ! i 7 2 , m # ! 1 2 ! i 7 2 y1 # e!x/2 cos 7 2 , y2 # e!x/2 sin 7 2 , and y # C1e!x/2 cos 7 2 ! C2e!x/2 sin 7 2 c. P!m" # m2 ! 4m ! 4 # !m ! 2"2 # 0, m # !2,!2. y1 # e!2x , y2 # xe!2x and y # C1e!2x ! C2xe!2x d. P!m" # m4 ! m # m!m3 ! 1" # m!m ! 1"!m2 ! m ! 1" # 0, m # 1, m # 1, m # !1$ 1!4 2 # ! 1 2 $ i 3 2 y1 # ex , y2 # xex , y3 # e!x/2 cos 3 2 x , y4 # e!x/2 sin 3 2 x and y # C1ex ! C2xex ! C3e!x/2 cos 3 2 x ! C4e!x/2 sin 3 2 x . e. P!m" # m4 ! 2m2 # m2 !m2 ! 2" # 0, m # 0,0, m # $ 2 y1 # 1, y2 # x, y3 # e 2 x , y4 # e! 2 x and y # C1 ! C2x ! C3e 2 x ! C4e! 2 x . f. P!m" # m4 ! 4m2 ! 4 # !m2 ! 2" 2 # 0, m # $i 2 , m # $i 2 y1 # cos 2 x , y2 # sin 2 x , y3 # xcos 2 x , y4 # xsin 2 x and y # C1 cos 2 x ! C2 sin 2 x ! C3xcos 2 x ! C4xsin 2 x g. P!m" # m4 ! 1 # !m2 ! 1"!m2 ! 1" # 0, m # $1, m # $i y1 # ex , y2 # e!x , y3 # cosx, y4 # sinx and y # C1ex ! C2e!x ! C3 cosx ! C4 sinx. 2
  • 30.
    Nonhomogeneous Linear DifferentialEquations with Constant Coefficients - (3.4) Method of Undetermined Coefficients Consider an nth-order nonhomogeneous linear differential equation with constant coefficients: L!y" ! f!x" where L!y" ! any!n" " an!1y!n!1" "..."a1y# " a0y. We know the general of this differential equation is: y ! yc " yp where yc ! C1y1 "..."Cnyn is the general solution of L!y" ! 0 and yp is a solution of L!y" ! f!x", respectively. We know how to find yc from Section 3.3. In this section, we will study a method called “The Method of Undetermined Coefficients” to find yp. Notice that if f!x" ! f1!x" " f2!x" and yp1 and yp2 are solutions of L!y" ! f1!x" and L!y" ! f2!x", respectively, then yp ! yp1 " yp2 is a solution of L!y" ! f!x". It is easy to see what it is true. Since L!yp1 " ! f1!x" and L!yp2 " ! f2!x", and L is linear !L!!y1 " "y2 " ! !L!y1 " " "L!y2 "", L!yp " ! L!yp1 " yp2 " ! L!yp1 " " L!yp2 " ! f1!x" " f2!x" ! f!x". So if f!x" is a sum of several functions fi!x", we may find solve one equation L!y" ! fi!x" at the time. The Method of Undetermined Coefficients: Let yc ! C1y1 "..."Cnyn be the general solution of the differential equation: L!y" ! 0. Find yp, a solution of the differential equation: L!y" ! f!x". Observe that the following are possible types of functions for yi # s : polynomial 1 " x, x2 ! 1 2 x3 exponential function e2x , 1 3 e! 2 x sine and cosine cos!#x", sin!2x" combinations of above functions xe2x , xsin!3x", !x2 ! 1"ex cos!2x" This method is designed to solve yp when f!x" is one of above functions. 1. The type of f!x" is different from any of yi # s. The solution yp can be chosen as follows. f!x" the choice to yp bkxk " bk!1xk!1 "..."b1x " b0 Akxk " Ak!1xk!1 "..."A1x " A0 eax Aeax cos!"x"or sin!"x" Acos!"x" " Bsin!"x" e!x cos!"x"or e!x sin!"x" Ae!x cos!"x" " Be!x sin!"x" !bkxk " bk!1xk!1 "..."b1x " b0 "e!x !Akxk " Ak!1xk!1 "..."A1x " A0 "e!x !bkxk " bk!1xk!1 "..."b1x " b0 "sin!"x" or !bkxk " bk!1xk!1 "..."b1x " b0 "cos!"x" !Akxk " Ak!1xk!1 "..."A1x " A0 "sin!"x" "!Bkxk " Bk!1xk!1 "..."B1x " B0 "cos!"x" 2. The type of f!x" is the same as one of yi # s. The solution yp ! xh y p where y p is chosen from above table and the positive integer h is chosen so that xh y p is different from any of yi # s. Constants Ai # s and Bi # s are determined so that yp is a solution. Example Let yc be the general solution of L!y" ! 0 where yc ! C1e2x " C2xe2x " C3 cos!2x" " C4 sin!2x" " C5e!2x " C6e!x sin!#x" " C7e!x cos!#x" " C8. 1
  • 31.
    Give the formof yp, a solution of L!y" ! 2 " x2 " e3x " 4e2x " cos!#x" ! 2xsin!4x" ! 2ex cos!2x" ! cos!2x". Consider f!x" ! f1!x" " f2!x" " f3!x" " f4!x" " f5!x" " f6!x" " f7!x". Choose ypi : fi!x" ypi 2 " x2 !A2x2 " A1x " A0 "x e3x Be3x 4e2x Ce2x !x2 " cos!#x" D1 cos!#x" " D2 sin!#x" !2xsin!4x" !E1x " E2 "sin!4x" " !E3x " E4 "cos!4x" !2ex cos!2x" F1ex cos!2x" " F2ex sin!2x" !cos!2x" !G1 cos!2x" " G2 sin!2x""x yp ! yp1 "..." yP7 . Example Solve y## ! 2y# ! 3y ! 4x ! 5 " 6xe2x . 1. Solve yc from the equation: y## ! 2y# ! 3y ! 0. P!m" ! m2 ! 2m ! 3 ! !m ! 3"!m " 1" ! 0, m ! 3, m ! !1 yc ! c1e3x " c2e!x 2. Solve yp1 from y## ! 2y# ! 3y ! 4x ! 5. Let yp1 ! Ax " B. Then yp1 # ! A, yp1 ## ! 0. y## ! 2y# ! 3y ! 4x ! 5 # 0 ! 2A ! 3!Ax " B" ! 4x ! 5 # !3Ax " !!2A ! 3B" ! 4x ! 5 coefficients of x : !3A ! 4, A ! ! 4 3 constants: ! 2A ! 3B ! !5, B ! 1 3 5 ! 2 ! 4 3 ! 23 9 , yp1 ! ! 4 3 x " 23 9 3. Solve yp2 from y## ! 2y# ! 3y ! 6xe2x . Let yp2 ! !Ax " B"e2x . Then yp2 # ! Ae2x " 2!Ax " B"e2x ! !2Ax " A " 2B"e2x , yp2 ## ! !2A"e2x " 2!2Ax " A " 2B"e2x ! !4Ax " 4A " 4B"e2x y## ! 2y# ! 3y ! 6xe2x # !4Ax " 4A " 4B"e2x ! 2!2Ax " A " 2B"e2x ! 3!Ax " B"e2x ! 6xe2x Dropping e2x from both sides of the equation, we have polynomials on both sides: !4A ! 4A ! 3A"x " !4A " 4B ! 2A ! 2B ! 3B" ! 6x # !3Ax " !2A ! B" ! 6x !3A ! 6, A ! !2 2A ! B ! 0, B ! 2A ! !4 , yp2 ! !!2x ! 4"e2x ! !2!x " 2"e2x 4. the general solution of the equation: y ! yc " yp1 " yp2 ! c1e3x " c2e!x ! 4 3 x " 23 9 ! 2!x " 2"e2x Example Solve y### ! 5y## " 4y# ! 8ex " 4x. 1. Solve yc from y### ! 5y## " 4y# ! 0. P!m" ! m3 ! 5m2 " 4m ! m!m ! 4"!m ! 1" ! 0, m ! 0, m ! 1, m ! 4. 2
  • 32.
    yc ! c1" c2ex " c2e4x . 2. Solve yp1 from y### ! 5y## " 4y# ! 8ex . Let yp1 ! !Aex "x ! Axex . Then y# ! A!ex " xex " ! A!1 " x"ex , y## ! A!ex " !1 " x"ex " ! A!2 " x"ex y### ! A!ex " !2 " x"ex " ! A!3 " x"ex y### ! 5y## " 4y# ! 8ex # A!3 " x"ex ! 5A!2 " x"ex " 4A!1 " x"ex ! 8ex Drop the factor ex from both sides of the equation, we have polynomials in x on both sides: !A ! 5A " 4A"x " !3A ! 10A " 4A" ! 8 # !3A ! 8, A ! ! 8 3 , yp1 ! ! 8 3 xex 3. Solve yp2 from y### ! 5y## " 4y# ! 4x Let yp2 ! !Ax " B"x ! Ax2 " Bx. Then yp2 # ! 2Ax " B, yp2 ## ! 2A, yp3 ### ! 0. y### ! 5y## " 4y# ! 4x # 0 ! 5!2A" " 4!2Ax " B" ! 4x # 8Ax " !!10A " 4B" ! 4x coefficients of x : 8A ! 4, A ! 1 2 constants: ! 10A " 4B ! 0, B ! 10 4 A ! 5 4 , yp2 ! 1 2 x2 " 5 4 x 4. The general solution of the differential equation: y ! yc " yp1 " yp2 ! c1 " c2ex " c2e4x ! 8 3 xex " 1 2 x2 " 5 4 x Example Solve y## " 9y ! 2cos!2x", for 0 " x $ # 2 0, for x # # 2 , y!0" ! 0, y# !0" ! 0. 1. Solve yc from y## " 9y ! 0. P!m" ! m2 " 9 ! 0, m ! %i3. yc ! c1 cos!3x" " c2 sin!3x" 2. Solve yp from y## " 9y ! 2cos!2x". Let yp ! Acos!2x" " Bsin!2x". Then yp # ! !2Asin!2x" " 2Bcos!2x", yp2 ## ! !4Acos!2x" ! 4Bsin!2x" y## " 9y ! 2cos!2x" # !4Acos!2x" ! 4Bsin!2x" " 9!Acos!2x" " Bsin!2x"" ! 2cos!2x" !!4A " 9A"cos!2x" " !!4B " 9B"sin!2x" ! 2cos!2x" coefficients of cos!2x" : 5A ! 2, A ! 2 5 coefficients of sin!2x" : 5B ! 0, B ! 0 , yp ! 2 5 cos!2x" 3. The general solution: y ! yc " yp ! c1 cos!3x" " c2 sin!3x" " 2 5 cos!2x" 0 " x $ # 2 c3 cos!3x" " c4 sin!3x" x # # 2 4. Solve the initial value problem: For 0 " x $ # 2 , y# ! !3c1 sin!3x" " 3c2 cos!3x" ! 4 5 sin!2x" 3
  • 33.
    y!0" ! c1" 2 5 ! 0, c1 ! ! 2 5 y# !0" ! 3c2 ! 0, c2 ! 0 , y ! ! 2 5 cos!3x" " 2 5 cos!2x". For x # # 2 , the initial conditions are: y# ! 6 5 sin!3x" ! 4 5 sin!2x", y # 2 ! ! 2 5 y# # 2 ! ! 6 5 Then y# ! !3c3 sin!3x" " 3c4 cos!3x" y # 2 ! 0 ! c4 ! ! 2 5 , c4 ! 2 5 y# # 2 ! 3c3 ! ! 6 5 , c3 ! ! 2 5 , y ! ! 2 5 cos!3x" " 2 5 sin!3x" The solution of the initial value problem: y ! yc " yp ! ! 2 5 cos!3x" " 2 5 cos!2x" 0 " x $ # 2 ! 2 5 cos!3x" " 2 5 sin!3x" x # # 2 -2 -1 0 1 2 0.5 1 1.5 2 2.5 3x f!x" ! 2cos!2x", 0 " x $ # 2 , f!x" ! -0.4 -0.2 0 0.2 0.4 2 4 6 8 10x y 4
  • 34.
    Laplace Transform -!4.1" Consider solving differential equations with constant coefficients: a2y!! " a1y! " a0y # f!x". We know how to solve this type differential equation when f!x" is a continuous function or a piecewise continuous function. But how can we solve this differential equation if f is a periodic function, or an impulse function? Before we study a new method to solve a differential equation with f of this type, we need to learn a new operator which is called Laplace transform. 1. Definition of a Laplace Transform: Let f be a function defined for t ! 0. Then the integral !#f!t"$ # "0 # e$st f!t"dt is said to be the Laplace transform of f, provided the improper integral converges, i.e. the limit lim b$# "0 b e$st f!t"dt exists. Note that if the limit exists !#f!t"$ is a function of s. Often the following notations are used !#f!t"$ # F!s", !#g!t"$ # G!s", !#y!t"$ # Y!s". Example Find the Laplace Transform of f where a. !i" f!t" # 1 !ii" f!t" # t !iii" f!t" # t2 !iv" f!t" # tn b. !i" f!t" # e!t c. !i" f!t" # sin!"t" !ii" f!t" # cos!"t" a. !i" !#1$ # "0 # e$st dt # lim b$# "0 b e$st dt # lim b$# $ 1 s e$st |0 b # lim b$# $ 1 s %e$sb $ 1& # 1 s , s % 0 !ii" !#t$ # "0 # te$st dt # lim b$# "0 b te$st dt # lim b$# $ e$sb b s $ e$sb s2 " 1 s2 # 1 s2 , s % 0 !iii" !#t2 $ # "0 # t2 e$st dt # lim b$# "0 b t2 e$st dt # lim b$# $ e$sb b2 s $ 2e$sb b s2 $ 2e$sb s3 " 2 s3 # 2 s3 , s % 0 !iv" !#tn $ # n! sn"1 , s % 0 1
  • 35.
    0 5 10 15 20 25 1 2 34 5t - y # 1, - - y # t, -.- y # t2 0 5 10 15 20 25 0.4 0.6 0.8 1 1.2 1.4 1.6 1.8 2s - y # 1 s , -.- y # 1 s2 , -.- y # 2 s3 b. !i" !#eat $ # "0 # eat e$st dt # lim b$# "0 b e$!s$a"t dt # lim b$# $ 1 s $ a e$!s$a"t |0 b # lim b$# $ 1 s $ a %e$!s$a"b $ 1& # 1 s $ a , s % a c. !i" !#sin!bt"$ # "0 # sin!bt"e$st dt # lim b$# "0 b sin!bt"e$st dt # lim b$# $ e$sb bcosb2 " e$sb ssinb2 $ b s2 " b2 # b s2 " b2 , s % 0 !ii" !#cos!bt"$ # "0 # cos!bt"e$st dt # lim b$# "0 b cos!bt"e$st dt # $e$sb scosb2 " e$sb bsinb2 " s s2 " b2 # s s2 " b2 , s % 0 Example Find the Laplace transform of f!t" # t 0 % t & 1 1 $ t 1 % t . !#f!t"$ # "0 1 te$st dt " "1 b !1 $ t"e$st dt # $ e$s s " e$s $ 1 s2 " lim b$# $ 1 $ t s e$st " 1 s2 e$st 1 b # $ e$s s " e$s $ 1 s2 " lim b$# $ 1 $ b s e$sb " 1 s2 e$sb $ 1 s2 e$s # $ e$s s " e$s $ 1 s2 $ 1 s2 e$s # $ 2 s2 e$s $ 1 s e$s " 1 s2 , s % 0 2
  • 36.
    t -4 -3 -2 -1 0 1 1 2 34 5t y # f!t" -20 -18 -16 -14 -12 -10 -8 -6 -4 -2 0 0.2 0.4 0.6 0.8 1 1.2 1.4 1.6 1.8 2s y # F!s" Example Find the Laplace transform f!t" # sint, 0 & t & # 0, t ! # where the graph of f is given below. !#f$ # "0 # sint e$st dt " 0 # e$#s " 1 s2 " 1 0 0.2 0.4 0.6 0.8 1 1 2 3 4 5 6t y # f!t" 0.2 0.4 0.6 0.8 1 1.2 1.4 1.6 1.8 2 0 0.2 0.4 0.6 0.8 1 1.2 1.4 1.6 1.8 2s y # F!s" 2. Linearity Property: !#f " g$ # !#f$ " !#g$, !#cf$ # c!#f$ 3. Basic Formulas: Page 193: n # 0, 1, 2, ..., and k % 0 3
  • 37.
    f!t" !#f$ tn n! sn"1 ,!0! # 1", s % 0 sin!kt" k s2 " k2 , s % 0 cos!kt" s s2 " k2 , s % 0 eat 1 s $ a , s % a sinh!kt" # 1 2 !ekt $ e$kt " k s2 $ k2 , s % k cosh!kt" # 1 2 !ekt " e$kt " s s2 $ k2 , s % k Example Find !#f$ where a. f!t" # !2 $ 3t"3 b. f!t" # !1 $ 2e2t " 2 c. f!t" # 2t5 " 1 2 sin!$t" $ e$t sinh!2t" d. f!t" # sin!2t"cos!2t" $ sin2 !#t" a. ! !2 $ 3t"3 # !#8 $ 36t " 54t2 $ 27t3 $ # 8!#1$ $ 36!#t$ " 54!#t2 $ $ 27!#t3 $ # 8 1 s $ 36 1 s2 " 54 2 s3 $ 27 6 s4 , s % 0 b. ! !1 $ 2e2t " 2 # !#1 $ 4e2t " 4e4t $ # !#1$ $ 4!#e2t $ " 4!#e4t $ # 1 s $ 4 1 s $ 2 " 4 1 s $ 4 , s % 4 c. e$t sinh!2t" # e$t 1 2 !e2t $ e$2t " # 1 2 !et $ e$3t " ! 2t5 " 1 2 sin!$t" $ e$t sinh!2t" # 2!#t5 $ " 1 2 !#sin!$t"$ " 1 2 !#et $ $ 1 2 !#e$3t $ # 2 5! s6 " 1 2 $ s2 " $2 " 1 2 1 s $ 1 $ 1 2 1 s " 3 , s % 1 d. sin!2t"cos!2t" $ sin2 !#t" # 1 2 sin!4t" $ 1 2 !1 $ cos!2#t"" ! sin!2t"cos!2t" $ sin2 !#t" # ! 1 2 sin!4t" $ 1 2 !1 $ cos!2#t"" # 1 2 4 s2 " 16 $ 1 2 1 s " 1 2 s s2 " 4#2 , s % 0 4. A Sufficient Condition for the Existence of a Laplace Transform: If f!t" is piecewise continuous on the interval %0, #", and there exists constants c, M % 0 and T % 0 such that f!t" % Mect for all t for t ! T, then !#f!t"$ exists for s % c. For example, t % et # 1 " t " t2 2! "...; e$at % et , if a % 0; |cos!"t"| % 1 % et 4
  • 38.
    The Inverse LaplaceTransform and Transforms of Derivatives - !4.2" 1. Inverse Laplace Transform: Let F!s" ! !#f!t"$. We say f!t" is the inverse Laplace transform of F!s" and write f!t" ! !!1 #F!s"$. !!1 #F$ is also a linear operator, i.e., !!1 #!F!s" " "G!s"$ ! !!!1 #F!s"$ " "!!1 #G!s"$. Example Find the inverse Laplace transform f!t" of F!s" where !a" F!s" ! 1 s3 , s # 0 !b" F!s" ! 1 s " 2 , s # !2 !c" F!s" ! 1 9s2 " 2 , s # 0 !d" F!s" ! s ! 2 s2 " 3 , s # 0 !e" F!s" ! !s2 ! 1" 2 s5 , s # 0 !f" F!s" ! s2 " 6s " 9 !s ! 1"!s ! 2"!s " 4" !g" F!s" ! s !s ! 1"!s2 " 4" !h" F!s" ! 2s " 1 !s2 " 1"!s2 " 2" a. F!s" ! 1 s3 ! 1 2! 2! s3 ! 1 2 !#t2 $ ! ! 1 2 t2 , f!t" ! 1 2 t2 b. F!s" ! 1 s " 2 ! !#e!2t $, f!t" ! e!2t c. F!s" ! 1 9s2 " 2 ! 1 9 s2 " 2 9 ! 1 9 s2 " 2 3 2 ! 1 9 2 3 2 3 s2 " 2 3 2 ! 1 3 2 ! sin 2 3 t ! ! 1 3 2 sin 2 3 t , f!t" ! 1 3 2 sin 2 3 t d. F!s" ! s ! 2 s2 " 3 ! s s2 " 3 2 ! 1 2 3 3 s2 " 3 2 ! ! sin 3 t ! 1 2 3 ! cos 3 t ! ! sin 3 t ! 1 2 3 cos 3 t f!t" ! sin 3 t ! 1 2 3 cos 3 t e. F!s" ! !s2 ! 1" 2 s5 ! s4 ! 2s2 " 1 s5 ! 1 s ! 2 s3 " 1 4! 4! s5 ! !#1$ ! !#t2 $ " 1 4! !#t4 $ ! ! 1 ! t2 " 1 24 t4 , f!t" ! 1 ! t2 " 1 24 t4 f. First write F!s" as a sum of partial fractions. Use TI-89/F2/expand(expression). F!s" ! s2 " 6s " 9 !s ! 1"!s ! 2"!s " 4" ! ! 16 5!s ! 1" " 25 6!s ! 2" " 1 30!s " 4" ! ! 16 5 !#et $ " 25 6 !#e2t $ " 1 30 !#e!4t $ ! ! ! 16 5 et " 25 6 e2t " 1 30 e!4t f!t" ! ! 16 5 et " 25 6 e2t " 1 30 e!4t 1
  • 39.
    g. First writeF!s" as a sum of partial fractions. F!s" ! s !s ! 1"!s2 " 4" ! 1 5!s ! 1" ! 1 5 s ! 4 s2 " 4 ! 1 5!s ! 1" ! 1 5 s s2 " 4 " 1 5 4 s2 " 4 ! 1 5 !#et $ ! 1 4 !#cos!2t"$ " 2 5 !#sin!2t"$ ! ! 1 5 et ! 1 4 cos!2t" " 2 5 sin!2t" f!t" ! 1 5 et ! 1 4 cos!2t" " 2 5 sin!2t" h. First write F!s" as a sum of partial fractions. F!s" ! 2s " 1 !s2 " 1"!s2 " 2" ! 2s " 1 s2 " 1 ! 2s " 1 s2 " 2 ! 2s s2 " 1 " 1 s2 " 1 ! 2s s2 " 2 ! 1 s2 " 2 ! 2!#cost$ " !#sint$ ! 2! cos 2 t ! 1 2 ! sin 2 t ! ! 2cost " sint ! 2cos 2 t ! 1 2 sin 2 t f!t" ! 2cost " sint ! 2cos 2 t ! 1 2 sin 2 t 2. Transforms of Derivatives: What is ! f $ ? Observe that ! f $ ! "0 # f $ !t"e!st dt u ! e!st , du ! !se!st ! dv ! f $ !t"dt, v ! f!t" ! lim b%# f!t"e!st |0 b ! "0 # !!s"f!t"e!st dt ! lim b%# f!b"e!sb ! f!0" " s!#f$ ! s!#f$ ! f!0" What is ! f $$ ? ! f $$ ! s! f $ ! f $ !0" ! s2 !#f$ ! sf!0" ! f $ !0" What is !#f!n" $? ! f !n" ! sn ! f ! sn!1 f !0" ! sn!2 f $ !0" !...! sf!0" ! f $ !0" 3. Solve Initial Value Problems Using Laplace Transform: For a given initial value problem for an nth-order linear differential equation: L!y" ! f!x", y!0" ! !0, y$ !0" ! !1, ..., y!n!1" !0" ! !n!1, two steps to find the solution: a. Find !#y$, let F!s" ! !#y$. b. y ! !!1 #F!s"$. Example Solve y$$ " 3y$ ! 4y ! t " e!2t , y!0" ! 0, y$ !0" ! !1 . a. Take the Laplace transform of both sides of the equation: !#y$$ " 3y$ ! 4y$ ! !#t " e!2t $ !#y$$ $ " 3!#y$ $ ! 4!#y$ ! !#t$ " !#e!2t $ s2 !#y$ ! sy!0" ! y$ !0" " 3!s!#y$ ! y!0"" ! 4!#y$ ! 1 s2 " 1 s " 2 2
  • 40.
    !s2 " 3s !4"!#y$ " 1 ! 1 s2 " 1 s " 2 !#y$ ! 1 !s2 " 3s ! 4" 1 s2 " 1 s " 2 ! 1 b. Solve for y : 1 !s2 " 3s ! 4" 1 s2 " 1 s " 2 ! 1 ! 1 s2 !s2 " 3s ! 4" " 1 !s2 " 3s ! 4"!s " 2" ! 1 s2 " 3s ! 4 1 s2 !s2 " 3s ! 4" ! ! 1 4s2 ! 3 16s ! 1 80!s " 4" " 1 5!s ! 1" ! ! ! 1 4 t ! 3 16 ! 1 80 e!4t " 1 5 et 1 !s2 " 3s ! 4"!s " 2" ! 1 10!s " 4" " 1 15!s ! 1" ! 1 6!s " 2" ! ! 1 10 e!4t " 1 15 et ! 1 6 e!2t ! 1 s2 " 3s ! 4 ! 1 5!s " 4" ! 1 5!s ! 1" ! ! 1 5 e!4t ! 1 5 et y ! ! 1 4 t ! 3 16 ! 1 80 e!4t " 1 5 et " 1 10 e!4t " 1 15 et ! 1 6 e!2t " 1 5 e!4t ! 1 5 et ! ! 1 4 t ! 3 16 " 1 10 ! 1 80 " 1 5 e!4t " 1 15 et ! 1 6 e!2t ! ! 1 4 t ! 3 16 " 23 80 e!4t " 1 15 et ! 1 6 e!2t 3
  • 41.
    Translation Theorems ofLaplace Transform - !4.3" 1. Translation on the s-axis: (s-shifting) Let !#f!t"$ ! F!s" and a be a real number. Then !#eat f!t"$ ! F!s ! a". It can be derived from the definition: !#eat f!t"$ ! "0 # eat f!t"e!st dt ! "0 # f!t"e!!s!a"t dt ! F!s ! a". Note that the graph of F!s ! a" can be obtained by shifting the graph of F!s" a units to the right if a " 0. Example Sketch the graphs of !#cos!2t"$ and !#et/2 cos!2t"$. !#cos!2t"$ ! s s2 # 4 , !#et/2 cos!2t"$ ! s ! 1 2 s ! 1 2 2 # 4 -15 -10 -5 0 5 10 15 1 2 3 4 5 6t - y ! cos!2t", -. y ! et/2 cos!2t" -0.1 0.05 0 0.05 0.1 0.15 0.2 0.25 2 4 6 8 10s - y ! F!s", -. y ! F s ! 1 2 Example Find a. !#e!2t t4 $ and b. !#e!t !sin!!t" # cos!!t""$. a. !#t4 $ ! 4! s5 ! 24 s5 , then !#e!2t t4 $ ! 24 !s # 2"5 b. !#sin!!t"$ ! ! s2 # !2 , !#cos!!t"$ ! s s2 # !2 . Then !#e!t !sin!!t" # cos!!t""$ ! ! !s # 1"2 # !2 # s # 1 !s # 1"2 # !2 ! ! # s # 1 !s # 1"2 # !2 Example Find f!t" where F!s" ! !#f!t"$ given below. a. F!s" ! 3 !s ! 2"4 b. F!s" ! 4s ! 1 !s # 1"3 c. F!s" ! 2s # 1 s2 # 2s # 2 d. F!s" ! 1 !s # 3"2 !s2 # s # 2" a. Without s-shift, 3 s4 ! 1 2 3! s4 ! 1 2 !#t3 $ ! ! 1 2 t3 F!s" ! 3 !s ! 2"4 ! ! 1 2 e2t t3 , f!t" ! 1 2 e2t t3 b. 1
  • 42.
    F!s" ! 4s! 1 !s # 1"3 ! 4!s # 1 ! 1" ! 1 !s # 1"3 ! 4!s # 1" ! 5 !s # 1"3 Without s-shift, 4s ! 5 s3 ! 4 s2 ! 5 s3 ! 4 s2 ! 5 2 2! s3 ! 4!#t$ ! 5 2 !#t3 $ ! ! 4t ! 5 2 t3 F!s" ! ! e!t 4t ! 5 2 t3 , f!t" ! e!t 4t ! 5 2 t3 c. F!s" ! 2s # 1 s2 # 2s # 2 ! 2s # 1 !s # 1"2 # 1 ! 2!s # 1 ! 1" # 1 !s # 1"2 # 1 ! 2!s # 1" ! 1 !s # 1"2 # 1 Without s-shift, 2s ! 1 s2 # 1 ! 2 s s2 # 1 ! 1 s2 # 1 ! 2!#cost$ ! !#sint$ ! !#2cost ! sint$ F!s" ! !#e!t !2cost ! sint"$, f!t" ! e!t !2cost ! sint" d. F!s" ! 1 !s # 3"2 !s2 # s # 2" ! 1 8!s # 3"2 # 5 64!s # 3" ! 1 64 !2 # 5s s2 # s # 2 1 8!s # 3"2 # 5 64!s # 3" ! 1 8 !#e!3t t$ # 5 64 !#e!3t $ ! ! 1 8 e!3t t # 5 64 e!3t ! 1 64 !2 # 5s s2 # s # 2 ! ! 1 64 5 s # 1 2 ! 5 2 ! 2 s # 1 2 2 ! 1 4 # 2 ! ! 1 64 5 s # 1 2 ! 9 2 s # 1 2 2 # 7 4 Without s-shift, ! 1 64 5 s s2 # 7 4 ! 9 2 1 s2 # 7 4 ! ! 5 64 s s2 # 7 4 ! 9 2 2 7 7 2 s2 # 7 4 ! ! 5 64 ! cos 7 2 t ! 9 7 ! sin 7 2 t ! ! ! 5 64 cos 7 2 t ! 9 7 sin 7 2 t ! 1 64 5 s # 1 2 ! 9 2 s # 1 2 2 # 7 4 ! ! e!t/2 ! 5 64 cos 7 2 t ! 9 7 sin 7 2 t f!t" ! e!t/2 ! 5 64 cos 7 2 t ! 9 7 sin 7 2 t # 1 8 e!3t t # 5 64 e!3t Example Solve the initial value problem: y$$ ! 6y$ # 9y ! t2 e3t , y!0" ! 2, y$ !0" ! 6 a. Find !#y$ : !#y$$ ! 6y$ # 9y$ ! !#t2 e3t $ s2 !#y$ ! sy!0" ! y$ !0" ! 6!s!#y$ ! y!0"" # 9!#y$ ! 2 !s ! 3"3 !s2 ! 6s # 9"!#y$ ! 2s # 6 # 12 # 2 !s ! 3"3 2
  • 43.
    !#y$ ! 2s# 18 !s ! 3"2 # 2 !s ! 3"5 ! 2!s ! 3" !s ! 3"2 # 24 !s ! 3"2 # 2 !s ! 3"5 ! 2 s ! 3 # 24 !s ! 3"2 # 2 !s ! 3"5 b. Find y : !#y$ ! 2 s ! 3 # 24 !s ! 3"2 # 2 !s ! 3"5 ! 2!#e3t $ # 24!#e3t t$ # 2 4! !#e3t t4 $ ! ! 2e3t # 24e3t t # 1 12 e3t t4 , y ! 2e3t # 24e3t t # 1 12 e3t t4 2. Translationon on the t-axis: (t-shifting) a. Unit step function: a " 0 The unit step function U!t ! a" is defined as U!t ! a" ! 0, 0 $ t % a 1, t % a Its graph is: 0 0.2 0.4 0.6 0.8 1 1 2 3 4 5 6x y ! U!t ! 1" Note that a piecewise defined function can be written as a combination of unit step functions. Example Let f!t" ! 1, 0 $ t % 1 1 ! t, 1 $ t % 3 0, t % 3 . Write f!t" as a combination of unit step functions. f!t" ! 1 ! !1"U!t ! 1" # !1 ! t"U!t ! 1" ! !1 ! t"U!t ! 3" Example Write f!t" ! sin!!t" # !1 ! sin!!t""U t ! 1 2 as a piecewise defined function. f!t" ! sin!!t", 0 $ t % 1 2 1, t % 1 2 3
  • 44.
    0 0.2 0.4 0.6 0.8 1 0.5 1 1.52 2.5 3t y ! f!t" b. The second translation Theorem: (t-shifting) Let F!s" ! !#f!t"$ and a " 0. Then !#f!t ! a"U!t ! a"$ ! e!as F!s". It is also derived directly from the definition: !#f!t ! a"U!t ! a"$ ! "0 # f!t ! a"U!t ! a"e!st dt ! "a # f!t ! a"e!st dt z ! t ! a, dz ! dt ! t ! a, z ! 0 "0 # f!z"e!s!z#a" dz ! e!sa "0 # f!z"e!sz dz ! e!sa F!s" Example Find !#t2 U!t ! 1"$. !#t2 U!t ! 1"$ ! ! !t ! 1 # 1"2 U!t ! 1" ! ! !t ! 1"2 # 2!t ! 1" # 1 U!t ! 1" ! e!s 2 s3 # 2 s2 # 1 s Example Find !#e2t U!t ! 3"$. !#e2t U!t ! 3"$ ! !#e2!t!3#3" U!t ! 3"$ ! !#e6 e2!t!3" U!t ! 3"$ ! e6 e!3s 1 s ! 2 Example Find !#g!t"$ where g!t" ! sin!!t", 0 $ t % 1 0, t % 1 . g!t" ! sin!!t" ! sin!!t"U!t ! 1" sin!!t"U!t ! 1" ! sin!!!t ! 1 # 1""U!t ! 1" ! sin!!!t ! 1" # !"U!t ! 1" ! !sin!!!t ! 1""U!t ! 1" !#g!t"$ ! !#sin!!t"$ # !#sin!!!t ! 1""U!t ! 1"$ ! ! s2 # !2 # e!s ! s2 # !2 ! !1 # e!s " ! s2 # !2 Example Find f!t" if !#f!t"$ ! 1 s ! 4 e!2s . 1 s ! 4 e!2s ! !#e4!t!2" U!t ! 2"$, f!t" ! e4!t!2" U!t ! 2" Example Find f!t" if !#f!t"$ ! s # 1 s2 # 4 e!!s . 4
  • 45.
    s # 1 s2 #4 ! s s2 # 4 # 1 s2 # 4 ! ! cos!2t" # 1 2 sin!2t" s # 1 s2 # 4 e!!s ! ! cos!2!t ! !"" # 1 2 sin!2!t ! !"" U!t ! !" f!t" ! cos!2!t ! !"" # 1 2 sin!2!t ! !"" U!t ! !" Example Solve y$$ # 4y ! f!t", y!0" ! 0, y$ !0" ! !1 where f!t" ! t, 0 $ t % 1 0, t % 1 a. Find !#y$ : f!t" ! t ! tU!t ! 1" ! t ! !!t ! 1" # 1"U!t ! 1" !#f!t"$ ! !#t ! !!t ! 1" # 1"U!t ! 1"$ ! 1 s2 ! e!s 1 s2 # 1 s !#y$$ # 4y$ ! !#y$$ $ # 4!#y$ ! !#f!t"$ s2 !#y$ ! s!0" ! !!1" # 4!#y$ ! !s2 # 4"!#y$ # 1 ! 1 s2 ! e!s 1 s2 # 1 s !#y$ ! 1 s2 # 4 1 s2 ! e!s 1 s2 # 1 s ! 1 b. Find y : !#y$ ! 1 s2 !s2 # 4" ! e!s 1 s2 # 4 1 s2 # 1 s ! 1 s2 # 4 1 s2 !s2 # 4" ! 1 4s2 ! 1 4!s2 # 4" ! 1 4 ! t ! 1 2 sin!2t" ! ! 1 4 t ! 1 2 sin!2t" 1 s!s2 # 4" ! 1 4s ! 1 4 s s2 # 4 ! 1 4 !#1 ! cos!2t"$ ! ! 1 4 !1 ! cos!2t"" y ! 1 4 t ! 1 2 sin!2t" # 1 4 t ! 1 ! 1 2 sin!2!t ! 1"" U!t ! 1" # 1 4 !1 ! cos!2t""U!t ! 1" ! 1 2 sin!2t" Example Find the charge q!t" on the capacitor in an RC-circuit where q!0" ! 0, R ! 2.5 ", C ! 0.08 f, E!t" ! t # 1, 0 $ t % 1 0, t % 1 2.5 dq dt # 1 0.08 q ! E!t" & dq dt # 1 0.08!2.5" q ! 1 2.5 E!t" & dq dt # 5q ! 2 5 E!t" 1. Find !#q$. E!t" ! t # 1 ! !t # 1"U!t ! 1" ! t # 1 ! !t ! 1 # 2"U!t ! 1" ! 2 5 E!t" ! 2 5 1 s2 # 1 s ! 1 s2 # 2 s e!s !#q$ $ # 5!#q$ ! ! 2 5 E!t" , s!#q$ ! !0" # 5!#q$ ! 2 5 1 s2 # 1 s ! 1 s2 # 2 s e!s !s # 5"!#q$ ! 2 5 1 s2 # 1 s ! 1 s2 # 2 s e!s , !#q$ ! 2 5!s # 5" 1 s2 # 1 s ! 1 s2 # 2 s e!s ! 2 5!s # 5" 1 s2 # 1 s ! 2 5!s # 5" 1 s2 # 2 s e!s 2. Find q. 5
  • 46.
    2 5!s # 5" 1 s2 #1 s ! ! 8 125!s # 5" # 2 25s2 # 8 125s !!1 ! 8 125!s # 5" # 2 25s2 # 8 125s ! ! 8 125 e!5t # 2 25 t # 8 125 2 5!s # 5" 1 s2 # 2 s ! ! 18 125!s # 5" # 2 25s2 # 18 125s q!t" ! ! 8 125 e!5t # 2 25 t # 8 125 ! ! 18 125 e!5!t!1" # 2 25 !t ! 1" # 18 125 U!t ! 1" 0 0.2 0.4 0.6 0.8 1 1.2 1.4 1.6 1.8 2 0.5 1 1.5 2 2.5 3t E!t" 0 0.02 0.04 0.06 0.08 0.1 0.12 0.14 0.5 1 1.5 2 2.5 3t q!t" 6
  • 47.
    More Properties ofLaplace Transforms - !4.4" 1. Derivatives of Laplace Transforms: Let F!s" ! !#f!t"$. Then !#tn f!t"$ ! !!1"n dn dsn F!s" ! !!1"n F!n" !s" n ! 1, !#tf!t"$ ! !!1"F" !s", n ! 2, !#t2 f!t"$ ! F"" !s" It can be derived directly from the definition: F" !s" ! d ds !#f!t"$ ! d ds "0 # f!t"e!st dt ! "0 # f!t" d ds !e!st " dt ! "0 # f!t"!!te!st " dt ! !"0 # tf!t"e!st dt ! !!#tf!t"$, !#tf!t"$ ! !F " !s" Note that we can derive the following formula from this property: F " !s" ! !#!tf!t"$ Example Find !#g!t"$ where a. g!t" ! te!2t b. g!t" ! tsin!!t" c. g!t" ! t2 cos!2t" a. !#g!t"$ ! !#te!2t $ ! ! d ds !#e!2t $ ! ! d ds 1 s # 2 ! ! ! 1 !s # 2"2 ! 1 !s # 2"2 b. !#g!t"$ !#g!t"$ ! !#tsin!!t"$ ! ! d ds !#sin!!t"$ ! ! d ds ! s2 # !2 ! !! !2s !s2 # !2 " 2 ! 2!s !s2 # !2 " 2 c. !#g!t"$ !#g!t"$ ! !#t2 cos!2t"$ ! d2 ds2 !#cos!2t"$ ! d2 ds2 s s2 # 4 ! d ds s2 # 4 ! s!2s" !s2 # 4" 2 ! d ds 4 ! s2 !s2 # 4" 2 ! !2s!s2 # 4" ! !4 ! s2 "!2!s2 # 4"!2s"" !s2 # 4" 4 ! 2s !9 # 2s2 !s2 # 4" 3 Example Find g!t" where a. !#g!t"$ ! ln s # 2 !s ! 5"!s2 # 4" b. !#g!t"$ ! arctan!4s" Recall from the formula of the derivative of Laplace transform we can also derive the formula F " !s" ! !#!tf!t"$ or f!t" ! ! 1 t !!1 F " !s" So if we know the Laplace transform of !t f!t" then we can find f!t". Here are two examples of this type. a. 1
  • 48.
    F!s" ! lns # 2 !s ! 5"!s2 # 4" ! ln!s # 2" ! ln!s ! 5" ! ln!s2 # 4" F" !s" ! 1 s # 2 ! 1 s ! 5 ! 2s s2 # 4 F" !s" ! !#e!2t $ ! !#e5t $ ! 2!#cos!2t"$ ! !#e!2t ! e5t ! 2cos!2t"$ Since e!2t ! e5t ! 2cos!2t" ! !tf!t" f!t" ! ! e!2t ! e5t ! 2cos!2t" t b. F!s" ! arctan!4s" F" !s" ! 1 1 # !4s"2 !4" ! 4 1 # 16s2 ! 1 16 1 1 16 # s2 ! 1 4 1 4 1 16 # s2 ! 1 4 ! sin 1 4 t ! ! 1 4 sin 1 4 t ! !#!tf!t"$ ! tf!t" ! 1 4 sin 1 4 t , f!t" ! ! 1 4t sin 1 4 t Example Use Laplace transform to solve y"" # 16y ! cos!4t", y!0" ! 1, y" !0" ! 1 a. Find !#y$. !#y"" $ # 16!#y$ ! !#cos!4t"$ s2 !#y$ ! sy!0" ! y" !0" # 16!#y$ ! s s2 # 16 !s2 # 16"!#y$ ! s s2 # 6 # s # 1, !#y$ ! 1 s2 # 16 s s2 # 6 # s # 1 b. Find y. 1 s2 # 16 s s2 # 6 # s # 1 ! 1 10 10 # 9s s2 # 16 # 1 10 s s2 # 6 ! 1 s2 # 16 # 9 10 s s2 # 16 # 1 10 s s3 # 6 ! 1 4 !#sin!4t"$ # 9 10 !#cos!4t"$ # 1 10 ! cos 6 t !#y$ ! ! 1 4 sin!4t" # 9 10 cos!4t" # 1 10 cos 6 t y ! 1 4 sin!4t" # 9 10 cos!4t" # 1 10 cos 6 t 2. Convolution: a. Definition: Let f and g be piecewise continuous functions. The convolution of f and g denoted by f $ g is defined as !f $ g"!t" ! "0 t f!""g!t ! ""d". Example Find !i" t $ e2t ; !ii" e!t $ cos!!t" !i" 2
  • 49.
    t $ e2t !"0 t "e2!t!"" d" ! ! 1 2 t ! 1 4 # 1 4 e2t !ii" e!t $ cos!!t" ! "0 t e!" cos!!!t ! """d" ! !e!t # cost! # !sint! 1 # !2 b. Laplace Transform of a convolution: Let !#f$ ! F!s" and !#g$ ! G!s". Then !#f $ g$ ! !#f$!#g$ ! F!s"G!s" !!1 #F!s"G!s"$ ! f $ g Example Find !i" !#t $ e2t $ !ii" !#e!t $ cos!!t"$ !iii" ! "0 t e" sin!t ! ""d" !i" !#t $ e2t $ ! !#t$!#e2t $ ! 1 s2 1 s ! 2 ! 1 s2 !s ! 2" !ii" !#e!t $ cos!!t"$ ! !#e!t $!#cos!!t"$ ! 1 s # 1 s s2 # !2 ! s !s # 1"!s2 # !2 " !iii" ! "0 t e" sin!t ! ""d" ! !#et $ sin!t"$ ! !#et $!#sint$ ! 1 s ! 1 1 s2 # 1 ! 1 !s ! 1"!s2 # 1" Example Find h!t" where !#h$ ! H!s" !i" H!s" ! 1 s!s2 # 2" !ii" H!s" ! 1 !s2 # 4" 2 !i" H!s" ! 1 s!s2 # 2" 1 s!s2 # 2" ! 1 s 1 s2 # 2 ! !#1$! 1 2 sin 2 t ! ! 1 $ 1 2 sin 2 t f!t" ! 1 $ 1 2 sin 2 t ! 1 2 "0 t sin 2 " d" ! 1 2 2 ! 1 2 cost 2 2 # 1 2 2 !ii" H!s" ! 1 !s2 # 4" 2 1 !s2 # 4" 2 ! 1 s2 # 4 1 s2 # 4 ! ! 1 2 sin!2t" ! 1 2 sin!2t" ! ! 1 2 sin!2t" $ 1 2 sin!2t" h!t" ! 1 4 sin!2t" $ sin!2t" ! 1 4 "0 t sin!2""sin!2!t ! """d" ! 1 16 sin2t ! t 8 !cos2t" 3
  • 50.
    Example Solve theinitial value problem: y"" # 4y ! 2sin2t, y!0" ! 1, y" !0" ! !1 a. Find !#y$. !#y"" $ # 4!#y$ ! 2!#sin!2t"$ s2 !#y$ ! s!1" ! !!1" # 4!#y$ ! 2 2 s2 # 4 !s2 # 4"!#y$ ! 4 s2 # 4 # s ! 1, !#y$ ! 1 s2 # 4 4 s2 # 4 # s ! 1 b. Find y. !#y$ ! 1 s2 # 4 4 s2 # 4 # s ! 1 ! 4 !s2 # 4" 2 # s s2 # 4 ! 1 s2 # 4 ! ! sin!2t" $ sin!2t" # cos!2t" ! 1 2 sin!2t" y ! sin!2t" $ sin!2t" # cos!2t" ! 1 2 sin!2t" ! "0 t sin!2""sin!2!t ! """d" # cos!2t" ! 1 2 sin!2t" ! 1 4 sin2t ! 1 2 t!cos2t" # cos!2t" ! 1 2 sin!2t" 3. Laplace Transform of an Integral: ! "0 t f!u"du ! 1 s F!s" where !#f$ ! F!s" !!1 F!s" s ! "0 t f!t"dt Example Find a. ! "1 t ue!2u du b. ! t "0 t e!u cos!!u"du , a. f!u" ! ue!2u F!s" ! !#f!t"$ ! !#te!2t $ ! 1 !s # 2"2 ! "1 t ue!2u du ! 1 s 1 !s # 2"2 ! 1 s!s # 2"2 b. f!u" ! e!u cos!!u" F!s" ! !#f!t"$ ! !#e!t cos!!t"$ ! s ! 1 !s ! 1"2 # !2 ! t "0 t e!u cos!!u"du ! ! d ds ! "0 t e!u cos!!u"du ! ! d ds 1 s s ! 1 !s ! 1"2 # !2 ! ! ! 2s3 ! 5s2 # 4s ! 1 ! !2 s2 !s2 ! 2s # 1 # !2 " 2 ! 2s3 ! 5s2 # 4s ! 1 ! !2 s2 !s2 ! 2s # 1 # !2 " 2 4
  • 51.
    Example Find h!t"where H!s" is a. H!s" ! 1 s!s2 # 2" b. H!s" ! 1 s2 !s ! 2" a. H!s" ! 1 s!s2 # 2" ! 1 s 1 s2 # 2 ! 1 s ! 1 2 sin 2 t h!t" ! "0 t 1 2 sin 2 " d" ! ! 1 2 cost 2 # 1 2 b. H!s" ! 1 s2 !s ! 2" ! 1 s 1 s 1 s ! 2 ! 1 s !#1 $ e2t $ ! "0 t "0 u e2z dzdu ! 1 4 e2t ! 1 2 t ! 1 4 Example LC-circuit: Solve the initial value problem: L dI dt # RI # 1 C "0 t I!""d" ! E!t" where L ! 0.1, R ! 2, C ! 0.1, E ! 120t ! 120tU!t ! 1", I!0" ! 0. a. Find !#I$. !#E!t"$ ! !#120t ! 120tU!t ! 1"$ ! !#120t ! 120!t ! 1 # 1"U!t ! 1"$ ! 120 1 s2 ! 120 1 s2 # 1 s e!s ! dI dt # 20I # 100 "0 t I!""d" ! 10!#E!t"$ !s!#I$ ! I!0"" # 20!#I$ # 100 s !#I$ ! 1200 1 s2 ! 1200 1 s2 # 1 s e!s s # 20 # 100 s !#I$ ! 1200 1 s2 ! 1200 1 s2 # 1 s e!s s2 # 20s # 100 s !#I$ ! 1200 1 s2 ! 1200 1 s2 # 1 s e!s !#I$ ! s s2 # 20s # 100 1200 1 s2 ! 1200 1 s2 # 1 s e!s ! 1200 s!s # 10"2 ! 1200 !s # 10"2 1 s # 1 e!s b. Find I : 1200 s!s # 10"2 ! 12 s ! 120 !s # 10"2 ! 12 s # 10 ! !#12 ! 120te!10t ! 12e!10t $ 1200 !s # 10"2 1 s # 1 ! 1200 !s # 10"2 1 s # 1200 !s # 10"2 ! !#12 ! 120te!10t ! 12e!10t # 1200te!10t $ ! !#12 ! 12e!10t # 1080te!10t $ I!t" ! 12 ! 120te!10t ! 12e!10t # !12 ! 12e!10!t!1" # 1080!t ! 1"e!10!t!1" "U!t ! 1" 4. Laplace Transform of a Periodic Function: Let f be a periodic function with period T. Then 5
  • 52.
    !#f$ ! 1 1! e!Ts "0 T e!st f!t"dt Derivation !#f$ ! "0 # f!t"e!st dt ! "0 T f!t"e!st dt # "T 2T f!t"e!st dt # "2T 3T f!t"e!st dt #... Observe that let u ! t ! T "T 2T f!t"e!st dt ! "0 T f!u # T"e!s!u#T" du ! e!sT "0 T f!u"e!su du !#f$ ! !1 # e!sT # s!s2T #... " "0 T f!t"e!st dt ! 1 1 ! e!sT "0 T f!t"e!st dt Note that the integral "0 T e!st f!t"dt is equivalent to !#g!t"$ where g!t" ! f!t", 0 % t $ T 0, t & T . Since g!t" ! f!t" ! f!t"U!t ! T", !#g!t"$ ! !#f!t" ! f!t"U!t ! T"$. Example Find !#f$ where a. f!t" ! t, 0 % t $ 1, with period 1 b. f!t" ! t 0 % t $ 1 0 1 % t $ 2 , with period 2 c. f!t" ! sint, 0 % t $ !, with period ! a. !#f$ ! 1 1 ! e!s !#t ! tU!t ! 1"$ ! 1 1 ! e!s !#t ! !t ! 1 # 1"U!t ! 1"$ ! 1 1 ! e!s 1 s2 ! 1 s2 # 1 s e!s ! 1 s2 ! 1 s e!s 1 ! e!s 0 0.2 0.4 0.6 0.8 1 1.2 1.4 1.6 1.8 0.5 1 1.5 2 2.5 3t f!t" 0 0.5 1 1.5 2 1 2 3 4 5s F!s" b. !#f$ ! 1 1 ! e!2s !#t ! tU!t ! 1"$ ! 1 1 ! e!2s !#t ! !t ! 1 # 1"U!t ! 1"$ ! 1 1 ! e!2s 1 s2 ! 1 s2 # 1 s e!s 6
  • 53.
    t 0 0.2 0.4 0.6 0.8 1 1.2 1.4 1.6 1.8 2 1 2 34t f!t" 0.2 0.4 0.6 0.8 1 1.2 1 2 3 4 5s F!s" c. !#f$ ! 1 1 ! e!!s !#sint ! sintU!t ! !"$ ! 1 1 ! e!!s !#sint ! sin!t ! ! # !"U!t ! !"$ ! 1 1 ! e!!s !#sint # sin!t ! !"U!t ! !"$ ! 1 1 ! e!!s 1 s2 # 1 # 1 s2 # 1 e!!s t 0 0.2 0.4 0.6 0.8 1 1.2 1.4 1.6 1.8 2 4 6 8t f!t" 0 0.5 1 1.5 2 2.5 3 1 2 3 4 5s F!s" Example Solve the initial value problem: dI dt # I ! E!t", I!0" ! 0, where E!t" ! 1 0 % t $ 1 0 1 % t $ 2 with period 2. a. Find !#I$. s!#I$ ! 0 # !#I$ ! !#E!t"$, !s # 1"!#I$ ! 1 1 ! e!s !#1 ! U!t ! 1"$ !#I$ ! 1 s # 1 1 1 ! e!s 1 s ! 1 s e!s ! 1 !s # 1"!1 ! e!s " 1 s !1 ! e!s " ! 1 s!s # 1" b. Find I. I ! !!1 1 s!s # 1" ! ! 1 s ! 1 s # 1 ! 1 ! e!t 7
  • 54.
    0 0.2 0.4 0.6 0.8 1 1.2 1.4 1.6 1.8 2 1 2 34x Input E!t" 0 0.2 0.4 0.6 0.8 1 1 2 3 4 5t I!t" 8
  • 55.
  • 56.
    Let X designatesthe domain of a function y = f(x). A function f(x) is said to be periodic if its image values are repeated in its domain i.e. if there exists a nonzero real T such that for each The least positive value of those T is said to be the period of this function. For example for the sine function we can write , , ect., so the sine function is a periodic function. But the least positive value for which such an equation holds is and this is the period of the sine function. It is also well known that the cosine function has the period and the tangent function has the period . An example of the graph of a periodic function is illustrated in Figure 1.1. Figure 1.1. Further we need two following lemmas Lemma 1.1. If the period of the function f(x) is T , then the period of the function f(ax) is . Proof. . According to this lemma the period of the function is and the period of the function is . Lemma 1.2. If the period of the function f(x) is T , then This result says that if we integrate the period of the function over the interval whose length equals to the period of the function then the value does not depend on the choice of the boundaries. Proof. First we use the property of a definite integral and write In the last integral we take x=z+T . Then dx=dz , f(x) = f(z+T) = f(z), if x = T then z = 0 and if x = c + T then z=c . So we have
  • 57.
    as the firstand third integrals are equal.
  • 58.
    In many problemsin mechanics and electronics there arises a question, how to represent the behaviour of a system by a combination of some simple behaviours. Mathematically - how to represent a function in the form of the functional series Here form a base set of functions and c0 , c1 , c2,...,ck,.. , are said to be the coefficients of the expansion. The most familiar expansions are power series of the form in which the base set comprises the power functions 1, x, x2 , ... xk , ... . Another widely used expansion is the expansion of a periodic function f(x) of a period T in which the base set comprises the cosine functions, giving an expanded representation of the form (1.1) which is called the Fourier series of the function f(x) . In engineering the term circular frequency is used and it is defined by . The circular frequency is measured in radians per second. It is common to drop the term 'circular' and to refer to this simply as the frequency. Using frequency, we can rewrite (1.1) in the form (1.2) Every term represents a simple harmonic vibration that is called kth harmonic . The first harmonic has the same frequency as the parent function f(x). The kth harmonic has the frequency , which is k times frequency of the first harmonic. Ak denotes the amplitude of the kth harmonic and is its phase angle. If f(x) is a -periodic function then its frequency , and the Fourier series (1.2) has a more simple form (1.3) Here we shall consider the Fourier series of -periodic functions. The kth harmonic can be represented in the form where Now the expansion (1.3) may be written as (1.4) Later we shall see that taking the constant term as enables us to make a0 fit a general result. The expression (1.4) is called Fourier series expansion of a function f(x) , and ak and bk are called the Fourier coefficients. The set of functions is said to be the trigonometric system of functions. It is possible to show that the functions of the trigonometric system satisfy the orthogonality relations
  • 59.
    on an interval: (1.5) (1.6) (1.7) (1.8) (1.9) Assume that term-by-term integration of the series (1.4) is permissible. Then integrating the series with respect to x over the interval and using (1.8) and (1.9) we find that (1.10) To find the coefficients an we multiply both sides of equality (1.10) by . Integrating the result of the multiplication with respect to x over the interval we have Because of (1.8), the first term on the right side of the equality equals to zero. By (1.7) all coefficients of bk equal zero and by (1.5) we obtain the result that there is only one nonzero coefficient of ak in the case k = n . We obtain (1.11) Analogously, multiplying both sides of the equality (1.4) by integrating the result with respect to x over the interval and using (1.6), (1.7) and (1.9) we find that
  • 60.
    (1.12) Now, dividing bothsides of (1.10) - (1.12) by , and replacing n by k we find respectively (1.13) (1.14) (1.15) Evidently the formula (1.13) for finding a0 fits the formula (1.14) with k = 0 and instead of two formulae (1.13) and (1.14) we can write one formula Actually, if we compute the Fourier coefficients according to the formulae (1.13) - (1.15) and compose the Fourier series (1.4), we don't know whether the obtained series is convergent at all, and if it is convergent then does it converge to the parent function f(x) or to some different function. In this context there arises a question as to which conditions a function should satisfy so that its Fourier series expansion is convergent to the function f(x). We shall consider the convergence problems in the subsection 3.4 . Note that the class of functions which are representable by their Fourier series expansion is quite wide and in most of the practical cases we can assume that the convergence conditions are satisfied. Example 1.3. Find the Fourier series expansion of the function f(x) with period defined on the half-interval as f(x)=x. The graph of this function is illustrated in Figure 1.2. Figure 1.2 First we find a0 using (1.13): Using (1.14) and integrating by parts we find that and using (1.15) and integrating by parts we find that
  • 61.
    So we havethe Fourier series expansion of the function The sign ``~'' indicates that we have found the Fourier series expansion according to the formulae (1.13) - (1.15), but we don't know whether this expansion converges to this function, so we can't still use the sign ``=''. The nth partial sum of this series expansion is The graph of the nth partial sum sn(x) for n = 4, 8, 16 is shown in Figure 1.3 Figure 1.3 Remark 1.4. According to Lemma 1.2 we can replace the interval of integration with an arbitrary chosen interval i.e. we can use the formulas
  • 62.
    where c isany real number.
  • 63.
    If a particularfunction possesses certain symmetrical properties then some terms are absent from its Fourier series expansion and the expressions determining the remaining coefficients can be simplified. A function f(x) is said to be an even function if for each x from its domain A function y = f(x) is said to be odd function if for each x from its domain The graph of an even function is symmetrical about the vertical axis and the graph of an odd function is symmetrical about the origin. The even and the odd functions satisfy the following properties: the product of two even functions is an even function, the product of two odd functions is an even function, the product of an even and an odd function is an odd funnction. Lemma 1.5. If limits of integration are symmetric with respect to zero then the integral of any odd function equals to zero, but for the integral of any even function f(x) Proof. Using the additivity property of the integral we have that Substituting in the first integral the variable x = -y. Then dx = -dy and Denoting the variable of integration again by x , we have Now, if f(x) is an odd function then integrand equals zero, and if f(x) is an even function then integrand equals 2f(x) and we have proved this lemma. Let f(x) be an even function with period . Then is even and is an odd function for any .Using Lemma 1.5 , we obtain for the calculation of Fourier coefficients the formulas
  • 64.
    (1.16) (1.17) (1.18) Consequently the Fourierseries expansion of an even periodic function with period does not involove the terms with sines and (1.14) has the form (1.19) where the a-s are calculated using the formulae (1.16) and (1.17). If f(x) is an odd function then is odd and is even for any By Lemma 1.5 , we have for calculation of Fourier coefficients the formulae (1.20) (1.21) Thus the Fourier series expansion of an 1.3 periodic function with period consists of sine terms only and (1.4) has the form (1.22) where the b-s are calculated by (1.21). Example 1.6. Find the Fourier series expansion of the function f(x) with period , which on half-interval is defined by . A graph of this function is shown in Figure 1.4. As this is an even function we have to calculate only the coefficients ak , . First using (1.16) we find and using (1.17) and integration by parts we obtain
  • 65.
    Thus by (1.19)the Fourier series expansion of this function is Figure 1.4 Example 1.7. Find the Fourier series expansion of the square wave function i.e. the periodic function f(x) with period defined within the period by A graph of this square wave function is shown in Figure 1.5. Figure 1.5 Clearly f(x) is an odd function and thus its Fourier series expansion consists of sine terms only. By (1.21) we calculate the coefficients Thus the Fourier series expansion of f(x) is
  • 66.
    Since the period, i.e. the unit frequency may rarely be encountered in practice, we have to consider functions with an arbitrary period. If the period of the function f(x) is T , then by Lemma 1 the period of the function is and by (1.13) - (1.15) the Fourier series expansion of this function is where Changing the variable , i.e. and , we obtain that the Fourier series expansion of the function f(t) with period T is where Replacing the variable t by x again, we express the Fourier series expansion in terms of where (1.23)
  • 67.
    (1.24) (1.25) Remark 1.8. Informulae (1.23) - (1.25) the interval of integration can be replaced with an arbitrary interval with length T . Now, if the periodic function f(x) with period T is even then from (1.23) - (1.25) we obtain (1.26) (1.27) (1.28) and the Fourier series expansion of even function f(x) is If f(x) is a odd periodic function with period T then from (1.23) - (1.25) we have (29) (30) and the Fourier series expansion of odd function f(x) is Example 1.9. Find the Fourier series expansion of the function The graph of this function is shown in Figure 1.6. Figure 1.6 This function is clearly even and its period is (i.e. frequency ). Therefore its Fourier series expansion consists of cosine terms only and we calculate the coefficients ak for using the formulae (1.26) and (1.27). By (1.26)
  • 68.
    and by (1.27) TheFourier series expansion of the given function is
  • 69.
    Suppose the givenfunction f(x) is defined only over the finite half-interval (or over ). Then we can define the periodic extension of f(x) by As the result we obtain the periodic function which on half-interval is identical with f(x) . The periodic function has the Fourier series expansion where If this Fourier series expansion represents the function then on the half-interval it represents also the function f(x) . Now we consider the case if the given function f(x) is defined only over the finite interval . Its even periodic extension is the even periodic function with period T defined by The Fourier series expansion of the function consists of cosine terms only and is given by called the cosine series expansion, where (1.31) For a given function f(x) defined only over the finite interval , its odd periodic extension is theodd
  • 70.
    periodic function withperiod T defined by The Fourier series expansion of the function consists of sine terms only and is given by called the sine series expansion, where (1.32) Example 1.10. The function f(x) = x is defined only in the interval . Obtain a) the cosine series expansion and b) sine series expansion . a) To obtain the cosine series expansion we define the 1.3 periodic extension with period 8 : Using (1.31) we calculate the coefficients and (as ) The cosine series expansion of the function is In the interval the function is identical with f(x) = x . Hence on the interval we have obtained also the cosine series expansion b) To obtain the sine series expansion we define the odd periodic extension of f(x) :
  • 71.
    Using (1.32) gives andthe sine series expansion of the function is On the interval also the sine series expansion of the given function is
  • 72.
    Let us assumethat the periodic function f(x) has the period . To obtain the complex form of the Fourier series (1.33) we use the Euler formulae and By these formulae we have for kth harmonic Denoting by the Fourier series expansion takes the form To calculate the coefficients ck for we use the formulae (1.14) and (1.15): An immediate extension shows that this formula is also valid for k=0 . If then and
  • 73.
    Hence for anywe have (1.34) Consequently, the complex form of the Fouries series of -periodic function f(x) is (1.35) where the coefficients ck ( ) are calculated by (1.34) Now, if the period of the function f(x) is T then by Lemma 1.1 the period of the function is and by (1.35) it has the Fourier series expansion (1.36) where by (1.34) the coefficients are (1.37) Changing in (1.36) and (1.37) the variable , we have that , , and where Denoting the variable by x again, we have that the complex form of the Fourier series expansion of the function f(x) with period T is (1.38) where (1.39)
  • 74.
    The complex numbersck form an infinite sequence which is called the spectrum of the periodic function f(x) . Let designates the magnitude of the complex number ck and its argument, i.e. . The sequence of real numbers is called the amplitude spectrum and the sequence of real numbers is called the phase spectrum of the function f(x) . Example 1.11. Find the amplitude spectrum and the phase spectrum of the -periodic function f(x) defined over interval as f(x)=ex . First we find the spectrum , i.e. the complex Fourier coefficients , of the function f(x) using (1.34) Since we obtain that Since we find the amplitude spectrum and phase spectrum
  • 75.
    In Exercises 1.1- 1.8 find the Fourier series expansions of the given periodic functions . 1.1. Answer: 1.2. f(x+2T) = f(x). Answer: 1.3. f(x) = x if Answer: 1.4. if Answer: 1.5. if f(x+2T)=f(x). Answer: 1.6. f(x) = x2 if Answer: 1.7. if Answer:
  • 76.
    1.8. if Answer: 1.9. Answer: 1.10. if Answer: Inexercises 1.11 - 1.12 find the cosine series expansion on an interval 1.11. Answer: 1.12. Answer In exercises 1.13 - 1.14 find the sine series expansion on an interval 1.13. Answer: 1.14. Answer: 1.15. Find the complex form of the Fourier series of the periodic function Answer: