1Application of the DNDC model to predict emissions of N 2O from Irish

 2agriculture.

 3
 4M. Abdalla1, M. Wattenbach2, P. Smith2, P. Ambus3, M. Jones1 and M. Williams1
 5
 61Department of Botany, School of Natural Sciences, Trinity College Dublin, Dublin 2, Ireland
 72School of Biological Sciences, University of Aberdeen, Cruickshank Building, St. Machar Drive,
 8Aberdeen, AB24 3UU, UK.
 93Riso Research Centre, Technical University of Denmark, Frederikborgvej 399, DK-4000,
10Roskilde
11
12Key words: Nitrous oxide, DNDC model, arable, pasture
13
14ABSTRACT
15
16A mechanistic model that describes N fluxes from the soil, DeNitrification
17DeComposition (DNDC), was tested against seasonal and annual data sets of nitrous
18oxide flux from a spring barley field and a cut and grazed pasture at the Teagasc Oak
19Park Research Centre, Co. Carlow, Ireland. In the case of the arable field, predicted
20fluxes of N2O agreed well with measured fluxes for medium to high fertilizer input values
21(70 to 160 kg N ha-1) but described poorly measured fluxes from zero fertilizer
22treatments. In terms of cumulative flux values, the relative deviation of the predicted
23fluxes from the measured values was a maximum of 6% for the highest N fertilizer inputs
24but increased to 30% for the medium N and more than 100% for the zero N fertilizer
25treatments. A linear correlation of predicted against measured flux values for all fertilizer
26treatments (r2 = 0.85) was produced, the equation of which underestimated the seasonal
27flux by 24%. Incorporation of literature values from a range of different studies on arable
28and pasture land did not significantly affect the regression slope. DNDC describe poorly
29measured fluxes of N2O from reduced tillage plots of spring barley. Predicted cumulative
30fluxes of N2O on plots disc ploughed to 10cm, underestimated measured values by up to
3155%.
32


 1                                                    1
1For the cut and grazed pasture the relative deviations of predicted to measured fluxes
 2were 150 and 360% for fertilized and unfertilized plots. This poor model fit is considered
 3due to DNDC overestimating the effect of initial soil organic carbon (SOC) on N 2O flux,
 4as confirmed by a sensitivity analysis of the model. As the arable and grassland soils
 5differed only in SOC content, reducing SOC to the arable field value significantly
 6improved the fit of the model to measured data such that the relative deviations decreased
 7to 9 and 5% respectively. Sensitivity analysis highlighted air temperature as the main
 8determinant of N2O flux, an increase in mean daily air temperature of 1.5oC resulting in
 9almost 90% increase in the annual cumulative flux. Using the Hadley Centre Global
10Climate Model data (HCM3) and the IPCC emission scenarios A2 and B2, DNDC
11predicted increases in N2O fluxes of approximately 30% (B2) and 60% (A2) from the
12spring barley field and approximately 20% (A2 and B2) from the cut and grazed pasture
13by the end of this centaury (2061-2090).
14
15
16
17
18
19
20
21
22
23
24
25
26
27
28
29
30
31


 1                                            2
1INTRODUCTION
 2
 3National inventories of N2O fluxes from agricultural soils, as required by signatory
 4countries to the United Nations Framework Convention of Climate Change (UNFCC),
 5are in the main derived from the use of the default IPCC Tier 1 method, where 1.25% of
 6applied inorganic nitrogen to agricultural soils is assumed to be released to the
 7atmosphere as nitrous oxide-N (Bouwman, 1996; IPCC, 1997; 2000). This standard
 8reporting procedure has advantages in collating annual inventories but may mask
 9significant variations in emission factors (EFs) on a regional scale (Schmid et al., 2001;
10Laegreid and Aastveit, 2002). For instance in Ireland, published EFs derived from field
11measurements of N2O using either eddy covariance or static chamber methods vary from
123.4% for Cork grassland and 0.7 to 4.9% of the applied N fertilizer for the Wexford
13grassland depending on soil type, land management, climate and year (Hsieh et al., 2005;
14Hyde et al., 2005; Flechard et al., 2007).
15
16Given the considerable expense of establishing and maintaining relevant flux
17measurement sites, the use of simulation models to estimate N 2O fluxes from agricultural
18soils using soil and climate data has obvious benefits. Modelling also allows easy
19interpretation of the complex links between soil physical, chemical and microbial
20processes that underpin nitrification, denitrification and decomposition. Models can
21simulate the processes responsible for production, consumption and transport of N 2O in
22both the long and short term, and also on a spatial scale (Williams et al., 1992).
23
24Simulation models range from simple empirical relationships based on statistical analyses
25to complex mechanistic models that consider all factors affecting N 2O production in the
26soil (Li et al., 1992; Frolking et al., 1998; Stenger et al., 1999; Freibauer 2003; Roelandt
27et al., 2005; Jinguo et al., 2006). Variations in soil moisture, soil temperature, carbon and
28nitrogen substrate for microbial nitrification and denitrification are critical to the
29determination of N2O emissions (Leffelaar and Wessel, 1988; Tanji, 1982; Frissel and
30Van Veen, 1981; Batlach and Tiedje, 1981; Cho et al., 1979). One widely used
31mechanistic model is DeNitrification DeComposition (DNDC) developed to assess N 2O,


 1                                              3
1NO, N2 and CO2 emissions from agricultural soils (Li et al., 1992a, 1994; Li 2000). The
 2rainfall driven process-based model DNDC (Li et al., 1992) was originally written for
 3USA conditions. It has been used for simulation at a regional scale for the United States
 4(Li et al., 1996) and China (Li et al., 2001). Advantages of DNDC are that it has been
 5extensively tested and has shown reasonable agreement between measured and modelled
 6results for many different ecosystems such as grassland (Brown et al., 2001; Hsieh et al.,
 72005; Saggar et al., 2007), cropland (Li, 2003; Cai et al., 2003, Yeluripati et al., 2006;
 8Pathak et al., 2006; Tang et al., 2006) and forest (Li, 2000; Stange et al., 2000; Kesik et
 9al., 2006). The model has reasonable data requirement and is suitable for simulation at
10appropriate temporal and spatial scales.

11The DNDC model contains 4 main sub-models (Li et al., 1992; Li, 2000); the soil climate
12sub-model calculates hourly and daily soil temperature and moisture fluxes in one
13dimension, the crop growth sub-model simulates crop biomass accumulation and
14partitioning, the decomposition sub-model calculates decomposition, nitrification, NH 3
15volatilization and CO2 production whilst the denitrification sub-model tracks the
16sequential biochemical reduction from nitrate (NO3) to NO2-, NO, N2O and N2 based on
17soil redox potential and dissolved organic carbon.
18
19This paper presents a field evaluation of DNDC for an Irish sandy loam soil under both
20arable and grassland crops with different fertilizer and tillage regimes. Results are
21discussed in terms of the suitability of this model for estimating annual and seasonal
22fluxes of N2O from Irish agriculture. In addition, DNDC is used to estimate future N2O
23fluxes from Irish agriculture due to climate change using climate data generated by the
24Hadley Centre Global Climate models (HadCM3; Sweeney and Fealy, 2003).
25
26
27
28
29
30



 1                                             4
1MATERIALS AND METHODS
 2
 3Experiments
 4Measurements of N2O flux were carried out for a spring barley field from April–August for
 5two consecutive seasons (2004/05), and for a cut and grazed pasture from October 2003 to
 6November 2004. Both fields were located at the Oak Park Research Centre, Carlow,
 7Ireland (52o86′ N, 6o54′ W). The arable field was seeded with spring barley (cv. Tavern) at
 8a density of 140 kg ha-1 and managed under two different tillage regimes; conventional
 9tillage where inversion ploughing to a depth of 22 cm was carried out in March, five weeks
10prior to planting, and reduced tillage to a depth of 15 cm which was carried out in
11September of the year before. The field was sprayed with weed killer (Roundup Sting) at
124.0L ha-1, three times per season, once pre- and twice post-planting.

13The cut and grazed pasture has been permanent grassland for at least the past eighty years
14and was ploughed and reseeded in October 2001 with perennial ryegrass (Lolium perenne
15L., cv Cashel) at a density of 13.5 kg ha -1 and white clover (Trifolium repens L., cv Aran)
16at a density of 3.4 kg ha-1. Daily minimum and maximum air temperature (oC) and rainfall
17in (mm) were recorded at the Teagasc Research Centre Weather Station (Met Eireann).
18Initial soil properties and climate factors of both sites are summarized in   Table 1.

19

20For the arable field in 2004, three rates of N-fertilization 140 (N1), 70 (N2) and 0 (N3) kg
21N ha-1, were applied once on the 27th of April, whereas in 2005, two fertilizer applications
22took place on the 12th of April 106 (N1), 53 (N2) and 0 (N3) kg N ha-1, and on the10th of
23May 53 (N1), 26 (N2) and 0 (N3) kg N ha-1. The total amount of N-fertilization applied in
242005 was therefore 159 (N1), 79 (N2) and 0 (N3) kg N ha-1. For the cut and grazed pasture,
25nitrogen fertilizer was applied at a total rate of 200 kg N ha -1 y-1 divided in to two
26applications of 128 and 72 kg N ha -1 on the 2nd of April and the 27th of May respectively.
27Separate areas of the field were kept unfertilized as control plots. Fertilizer was applied in
28the form of Calcium Ammonium Nitrate (CAN). Animal grazing was from July to
29November 2003 and from July to November 2004 with a stocking rate of 2 cattle ha-1.
30Field N2O fluxes


 1                                              5
1Nitrous oxide fluxes were measured from 24 replicated chambers at the arable field and 7
 2replicated chambers at the cut and grazed pasture, using the methodology of Smith et al.,
 3(1995). Measurements were taken every week except for times of fertilizer application
 4where sampling was increased to 2 times per week. Samples were taken using a 60 ml
 5gas-tight syringe after flushing of the syringe to ensure adequate mixing of air within the
 6chamber. All 60 ml of the sample was then injected into a 3ml gas-tight vial with a vent
 7needle inserted into the top, and stored until analysis. Gas samples were measured within
 8one month of collection using a gas chromatograph (Shimadzu GC 14B, Kyoto, Japan)
 9with electron capture detection.
10
11DNDC model
12In this study the DNDC model (version 8.9; http://www.dndc.sr.unh.edu/) was tested for
13both the arable field and the cut and grazed pasture. All field management variables,
14including grain yield, fertilizer application and tillage system (where reduced tillage was
15defined as disk or chisel ploughing to 10cm) were input into the model. Soil properties
16and climate input data are summarized in Table 1. For the arable field model testing was
17possible only for the growth period of the crop, whilst for the cut and grazed pasture 12
18months of data were used. The model testing was carried out by (1) comparing the
19measured and modelled temporal pattern of weekly N 2O flux values, (2) comparing the
20measured and modelled cumulative N2O fluxes (using weekly values), and (3) comparing
21the measured and modelled emission factors.
22
23The relative deviation (y) of the modelled flux from measured flux values was calculated
24by the following equation:
25
26Y = (XS – XO)/XO x 100,
27
28where XO and XS are the measured and modelled fluxes respectively. Annual and
29seasonal cumulative flux for DNDC outputs were calculated as the sum of simulated
30daily fluxes (Cai et al., 2003). EFs for the modelled data were calculated by subtracting
31cumulative DNDC flux data for unfertilized soils from that of the fertilized soils and


 1                                             6
1dividing by the N fertilizer input corrected for ammonia volatilization (10%). Sensitivity
 2analysis was carried out by varying a single determinant factor whilst keeping other
 3factors constant for one annual cycle of the model. Determinant factors tested are listed in
 4Table 4.
 5
 6Simulation of future N2O flux
 7Climate change impact on N2O fluxes from the spring barley and the cut and grazed
 8pasture was studied using climate data generated from the Hadley Centre Global Climate
 9Model (HadCM3; Sweeney and Fealy, 2003). A baseline climate period (1961-1990) and
10two future climate scenarios 2055 (2041-2070) and 2075 (2061-2090) were investigated
11along with the IPCC emission scenarios A2 and B2 (Nakicenovic et al., 2000; IPCC,
122007). Data generation was provided by the Department of Geography, National
13University of Ireland, Maynooth (Sweeney and Fealy, 2003). Elevations in CO2 were
14assumed by 2055 to be 581 ppmv and by 2075 to be 700 ppmv compared with a baseline
15concentration of    365 ppmv CO2 compatible with the IS95a (IPCC, 1995). Field
16managements for both the spring barley and the cut and grazed pasture were assumed to
17be the same management as in 2004 for all scenarios (Table 1).
18
19
20
21
22
23
24
25
26
27
28
29
30
31RESULTS AND DISCUSSION


 1                                             7
1
 2Results presented in this paper assess the reliability of the DNDC model for estimating
 3N2O fluxes from both a spring barley field and a cut and grazed pasture by validating
 4model output with flux measurements collected on a weekly basis for up to two years.
 5Several management practices were examined, including conventional tillage, reduced
 6tillage and variable rates of N-fertilizer application. Climate and soil input variables for
 7DNDC are illustrated in Table 1. Field data measurements were used for all of the
 8variables listed except for atmospheric CO2, rainfall N, clay fraction and depth of the soil
 9water retention layer. Here default values were used. Collectively DNDC was better at
10predicting N2O fluxes for high inputs of N fertilizer (>140 kg N ha -1) than for zero or low
11N input treatments (0 to 70 kg N ha-1). In addition the model appeared to be unduly
12sensitive to the influence of soil organic carbon. DNDC predicted a significant increases
13of approximately 20 to 60% in future N2O fluxes from Irish cereal and grassland fields,
14by the end of this centaury.
15
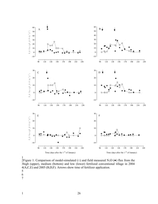
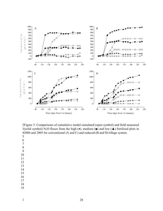
16Arable field
17Measurements of N2O flux were limited to the growth period of the barley crop hence
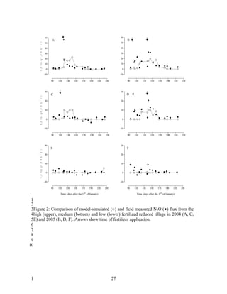
18annual estimates of flux were not produced. Figures 1 to 3 relate to a comparison of the
19modelled and measured fluxes for 2004/2005 as either daily values (Figures 1 to 2), or
20cumulative flux (Figure 3). In general the temporal pattern of N 2O flux was different
21between modelled and measured data, DNDC extending the influence of added fertilizer
22over a wider time period and producing smaller peaks. This is more pronounced for the
23higher fertilizer treatments in 2004 than 2005 (Figures 1A, 1C and 2A) and can be clearly
24seen in the cumulative flux plots (Figures 3A and 3B). This discrepancy between the
25years maybe related to DNDC overestimating the water filled pore space (WFPS) in 2004
26as opposed to 2005, WFPS being a critical determinant of N 2O flux at the time of
27fertilizer application (Keller and Reiners, 1994; Ruser et al., 1998; Dobbie and Smith,
282001). This is illustrated in Figure 4A where modelled WFPS values were consistently
29higher than measured values in 2004, with maximum differences of 25 to 30% being
30recorded. In comparison, modelled values for 2005 approximated to measured values
31with maximum differences of only 13 to 16%.


 1                                             8
1The tillage options provided by DNDC do not allow the reduced, non-inversion tillage
 2used in our study to be fully described. In contrast to the conventional tillage plots,
 3DNDC significantly underestimated the N2O flux from the reduced tillage plots for the
 4medium and higher fertilizer treatments by up to 55% (Figures 3B and 3D). This may not
 5be critical for modeling N2O fluxes from Irish agriculture as reduced cultivation and
 6direct drilling of cereal crops represents at most only 10% of arable land, < 40,000 ha
 7(Fortune et al., 2003; ECAF, 2004).
 8
 9Cumulative fluxes from sowing to harvest are given in Table 2. Modelled fluxes for the
10high fertilizer inputs agreed with field measured values, giving the smallest relative
11deviations from field data of -1 and -6%. These deviations increase significantly as
12fertilizer input is reduced. The largest % deviation, and hence the worst fit was obtained
13for the zero fertilizer treatments, with relative deviations of -35 to more than 5000%
14calculated. Clearly DNDC is best suited for medium to high N input treatments and does
15not account for negative flux values that can occur in low to zero N input treatments
16where the soil acts as a sink for N 2O (Ryden, 1981; Clayton et al., 1997). Similar DNDC
17results for high and medium N fertilizer inputs have been reported for rice fields by
18Zheng et al., 1999 (381 kg N ha-1; 8% deviation), for maize fields by Crill et al., 2000
19(181 kg N ha-1; 3.5% deviation), for grass by Hsieh et al., 2005 (337 kg Nha-1; 33%
20deviation) and for barley fields by Flessa et al., 1995 (50 kg N ha-1; 36% deviation).
21However, these observations are not consistent in the literature. In contrast to our results
22far better agreements between modelled and measured flux values have been obtained for
23low to zero N inputs by Li, (1992), Mosier et al., (1996), Terry et al., (1981) and Crill et
24al., (2000).
25
26The wide range of CAN input values provided by this study allowed a linear regression of
27modelled vs measured cumulative fluxes underlining the suitability of DNDC for
28predicting N2O flux. This is illustrated in Figure 5, where observed and modelled data
29from Table 2 have been plotted. The regression (y = 0.78x - 6.5) accounts for 85% of the
30variation in the data, the predicted y values underestimating measured values by 24%.
31Similar data cited by De Vries et al., (2005), from a range of published studies on


 1                                             9
1grasslands and cereal systems, is also presented in Figure 5. Data from our study fits well
 2within this group and improves the slope of the regression to y = 1.1x + 0.35, (r2 = 0.76).
 3
 4Cut and grazed pasture
 5Our results suggest that DNDC is unduly sensitive to initial soil organic carbon content.
 6Measured and modelled cumulative fluxes of N 2O from the cut and grazed pasture are
 7shown in Table 3 (annual) and Figure 6 (weekly) and highlight the poor fit of the model
 8where high relative deviation values were calculated. The only major difference between
 9the arable and the cut and grazed pasture soils is that the latter has significantly higher
10organic carbon content (0.038 as opposed to 0.019 kg C kg-1 dwt). Changing the initial
11soil organic C content for the model to the lower, arable soil value greatly improved the
12fit of the model to the observed values (Figure 6). Using these new values the annual N 2O
13flux for the fertilized plots is 2797 g N 2O-N ha-1 (a relative deviation of 9%) and for the
14control plots is 1110 g N2O-N ha-1 (a relative deviation of 5%) as shown in Table 3. This
15would question the present algorithms in the model describing the effect of soil organic
16carbon on N2O flux. The model is very sensitive to SOC; a 20% increase in SOC
17corresponds to a 62% increase in N2O flux (see below). Similar over-estimations of the
18effects of initial SOC by DNDC have also been reported by Li et al., (1992a), Brown et
19al., (2002) and Hsieh et al., (2005).
20
21Sensitivity analysis
22Given the good fit of the model to the conventional tillage data, the sensitivity of the
23model outputs for the arable field to changes in soil characteristics, fertilizer N and
24climate were also investigated. The following scenarios were chosen:
25(1) Changes in bulk density
26(2) Changes in initial SOC
27(3) Changes in fertilizer use
28(4) Changes in rainfall and air temperature.
29
30The model appears highly sensitive to changes in bulk density and as mentioned
31previously, SOC. Increasing the bulk density of the soil from 1.4 to 1.8 g cm-1, an


 1                                               10
1increase of 29%, resulted in a more than equivalent increase in both the apparent rate of
 2denitrification (53%) and the predicted N2O flux (89%), these increases presumably due
 3to more substrate N being made available through increased mineralization (Table 4).
 4Thus according to DNDC, any management treatment that increases the bulk density of
 5the soil, such as reduced tillage, would also significantly increase N 2O flux as has been
 6observed by Aulakh et al., (1984); Baggs et al., (2003) and Six et al., (2004). Reduced
 7tillage is also associated with increases in SOC. By increasing the baseline SOC value by
 820% increases N2O flux by 85%. Hence for at least two associated aspects of reduced
 9tillage, N2O flux has been predicted to increase significantly questioning the use of this
10management technique as a means of lowering total greenhouse gas emissions from the
11soil (Six et al., 2004; Li et al., 2005).
12
13Model outputs were also highly sensitive to changes in fertilizer type, with a switch from
14the principle form of N fertilizer used in cereal production in Ireland, CAN, to urea or
15ammonium sulphate fertilizers resulting in predicted increases in N2O flux of 76 and 81%
16respectively. Model outputs however, proved the most sensitive to changes in air
17temperature. Here an increase of 1.5oC in the daily average air temperature resulted in a
1889% increase in N2O flux and a 73% increase in the rate of soil denitrification. In
19contrast, changes in rainfall of ± 20% resulted in changes in N2O flux of the order of ±
2026%.
21
22For the arable field, emission factors for the modelled data ranged from 0.3 to 0.6% of the
23fertilizer N applied, whereas measured EFs ranged from 0.4 to 0.7% of the fertilizer N
24applied. Modelled and measured EFs are comparable, but are both significantly lower
25than the IPCC default value of 1.25%. However, literature EF values for cereal crops are
26extremely variable, ranging from 0.2 to 8% (Eichner, 1990; Kaiser et al., 1998; Smith et
27al., 1998, Dobbie et al., 1999) and are dependent upon temperature, moisture and soil
28type (Flechard et al., 2007).
29
30
31Simulation of future N2O flux


 1                                            11
1Figures 7 and 8 illustrate the DNDC predicted fluxes of N 2O from both the barley field
 2(conventional tillage only) and the cut and grazed pasture for emission scenarios A2 and
 3B2 using data generated by the Hadley Centre Global Climate Model. A baseline climate
 4period (1961-1990) and two future climate scenarios for 2055 (2041-2070) and 2075
 5(2061-2090) were investigated.

 6Future temperatures are expected to increase especially during the spring and summer
 7periods of crop growth and fertilizer application. ICARUS (2006) predicts the July mean
 8temperature to increase by up to 2.5oC by the end of this century which will influence soil
 9denitrification and consequently N2O flux (Addiscott, 1983; Scott et al., 1986;
10Beauchamp et al., 1989; Flessa et al., 2002). Wetter winters are also predicted, increasing
11by as much as 11% by the end of the century (ICARUS, 2006). Besides displacement of
12N2O by soil water, as the WFPS increase, the diffusion of oxygen into soil aggregates
13will decrease stimulating denitrification (Dobbie and Smith, 2001). These increases in
14temperature and rainfall effects will result in seasonal increases in N 2O flux as clearly
15seen in Figure 7.
16In all cases DNDC simulates three specific peaks in N 2O flux throughout the year, the
17magnitude of these peaks being greatest for the cut and grazed pasture. The first peak
18from day 50 to 75 is primarily due to seasonal rainfall, as is the third peak from day 225
19to 350, the second peak however, from day 100 to 150 relates to fertilizer application. A
20major difference between the two fields is that the third peak for the spring barley field
21also coincides with crop residue incorporation resulting in a more spiked appearance. For
22both crops however, DNDC simulated an increase in N 2O emissions with each climate
23scenario due to increasing CO2, temperature and rainfall variability. This increase is
24particularly prominent for each seasonal peak in the spring barley field, but for the cut
25and grazed pasture seems primarily associated with the third peak (Figures 7 and 8).

26Annual cumulative fluxes derived from the modelled outputs are summarised in Table 5,
27and illustrate a significantly greater flux of N2O-N from the cut and grazed pasture due to
28higher N fertilizer application rate in addition to organic N inputs from grazing cattle.
29However the modelled baseline value of approximately 15 kg N 2O-N ha-1 y-1 is almost 5
30times higher than the measured annual flux for 2004 (Table 3), even assuming the same



 1                                            12
1initial SOC value as the cereal field. Major seasonal differences between the modelled
 2and measured flux values appear to centre on the first and third seasonal peaks, none of
 3which were seen to occur for the grassland field in 2004 (data not shown). Accepting this
 4limitation on model outputs there would appear to be no significant difference between
 5the emission scenarios A2 and B2 with regard to both grassland and cereal fluxes of N2O
 6by the year 2075. Here fluxes are predicted to increase by approximately 20% for
 7grassland sites to 18 kg N2O-N ha-1 and by approximately 30 to 60% for the cereal sites to
 86 kg N2O-N ha-1 y-1 (Table 5).
 9
10CONCLUSIONS
11
12In its present format DNDC is only suitable for medium to high N input systems, the
13accuracy of the prediction being highly dependant on the level of fertilizer application,
14with high fertilizer inputs producing low relative deviations between modelled and
15measured fluxes of the order of 1 to 6% for the arable field under conventional tillage.
16Prediction of N2O fluxes from reduced tillage plots however was poor with DNDC
17consistently underestimating measured field values. Here relative deviations ranged from
18-20 to -93%. One major disadvantage of the model was the limited choice of tillage input
19options available, none describing the reduced tillage treatment used in this study.
20Prediction of N2O fluxes from the cut and grazed grassland was also poor with model
21outputs significantly overestimating measured field values giving relative deviations of
22150 to 360%. From the sensitivity analysis we tentatively suggest that DNDC
23overestimates the effect of SOC on mineralization and denitrification. By reducing the
24SOC input values to those of the cereal field we could significantly improve the fit of the
25model, reducing relative deviation scores to approximately 5 -10%.
26
27Accepting the limitations of the model we used DNDC to predict future increases in N 2O
28flux due to climate change for our cereal and grassland fields in Ireland using the Hadley
29Centre Global Climate Model data and the IPCC emission scenarios A2 and B2. Both
30fields resulted in significant increases in N2O flux by the year 2075, grassland flux
31increasing by 19 to 22% and arable flux increasing by 31 to 59%. In actual terms the


 1                                            13
1predicted flux for 2075 is significantly higher for grassland fields (18 kg N 2O-N ha-1 y-1)
 2than for the cereal fields (6 kg N2O-N ha-1 y-1) with little difference being observed
 3between the A2 and B2 scenarios.
 4
 5ACKNOWLEDGEMENTS
 6
 7This work was funded by the EU sixth framework program (contract EVK2-CT2001-
 800105, Greengrass Project Europe) and Irish EPA project No: 2001-CD-C1M1.
 9
10
11
12
13
14
15
16
17
18
19
20
21
22
23
24
25
26
27
28
29
30
31REFERENCES


 1                                            14
1
 2Addiscott, T.M., 1983. Kinetics and temperature relationships of mineralization and

 3        nitrification in Rothamsted soils with differing histories. Soil Science 34, 343-
 4        353.

 5Aulakh, M.S., Rennie D.A., Paul, E.A., 1984. The influence of plant residues on

 6        denitrification rates on conventional and zero-tilled soils. Soil Science Society of
 7        America Journal 48, 790-794.

 8Baggs, E.M., Stevenson, M., Pihlatie, M., Regar, A., Cook, H., Cadish, G. 2003. Nitrous

 9        oxide emissions following application of residues and fertilizer under zero and
10        conventional tillage. Plant and Soil 254, 361-370.

11Batlach, R.M. and Tiedje, J.M., 1981. Kinetic explanation for accumulation of nitrite,

12        nitric oxide and nitrous oxide during bacterial denitrification. Applied and
13        Environmental Microbiology 42, 1074-1084.

14Beauchamp E.G., Trevors J.T., Paul J.W., 1989. Carbon sources for bacterial

15        denitrification. Advances in Soil Sciences 10, 113-142.

16Bouwman, A.F., 1996. Direct emissions of nitrous oxide from agricultural soils. Nutrient

17        Cycling in Agro-ecosystems 46, 53-70.

18Brown, L., Jarvis, S.C., Headon, D., 2001. A farm scale bases for predicting nitrous oxide

19        emissions from dairy farms. Nutrient Cycling in Agro-ecosystems 60, 149-158.

20Brown, L., Syed, B., Javris, S.C., Sneath, R.W., Philips, V.R., Goudling, K.W.T., Li, C.,

21        2002. Development and application of mechanistic model to estimate emission of
22        nitrous oxide from UK agriculture. Atmospheric Environment 36, 917-928.

23Cai, Z., Swamoto, T., Li, C., Kang, G., Boonjawat, J., Mosier, A., Wassmann, R.,

24        Tsuruta, H., 2003. Field validation of the DNDC-model for greenhouse gas
25        emissions in East Asian cropping systems. Global Biogeochemical Cycles 17, No.
26        4, 1107.


 1                                             15
1Cho, C.M., Sakdinan, L., Chang, C., 1979. Denitrification intensity and capacity of three

 2       irrigated Alberta soils. Soil Science Society of America Journal 43, 949-950.

 3Clayton, H., McTaggart, I.P., Parker, J., Swan, L., Smith, K.A., 1997. Nitrous oxide

 4       emissions from fertilized grassland: A 2-year study of the effects of N fertilizer
 5       form and environmental conditions. Biology and Fertility of Soils 25, 252-260.

 6Crill, P., Keller, M., Weitz, A., Grauel, B., Veldkamp, E., 2000. Intensive field

 7       measurements of nitrous oxide emissions from a tropical agricultural soil. Global
 8       Biogeochemical Cycles 14, 85-96.

 9De Vries, W., Kros, J., Kuikman, P.J., Velthof, G.L., Voogd, J.C.H., Weiggers, H.J.J.,

10       Butterbach-Bahl, Denier Van der Gon, H.A.C., Van Amstel, A.R., 2005. Use of
11       measurements and models to improve the national IPCC based measurements of
12       soil emissions of nitrous oxide. Environmental Sciences 2, 217-233.

13Dobbie, K. E., McTaggart, I.P., Smith K. A., 1999. Nitrous oxide emissions from

14       intensive agricultural systems: variations between crops and seasons; key driving
15       variables; and mean emission factors. Journal of Geophysical Research 104,
16       26891-26899. Eaton, I.J. and Patriquin, D.J., 1989. Denitrification in low bush
17       blue berry soils. Canadian Journal of Soil Science 69, 303-312.

18Dobbie, K. E. and Smith K. A., 2001. The effects of temperature, water filled pore space

19       and land use on N2O emissions from imperfectly drained gleysol. European
20       journal of Soil Science, 52, 667-673.

21Eichner, M.J., 1990. Nitrous oxide emissions from fertilized soils: summary of available

22       data. Journal of Environment Quality 19, 272-280.

23ECAF, 2004. European Conservation Agriculture Federation, 2004. http:// www.ecaf.org

24Flechard, C., Ambus, P., Skiba, U., Rees, R.M., Hensen, A., Van den Pol, A., Soussana,

25       J.F., Jones, M., Clifton-Brwon, J., Raschi, A., Horvath, L., Van Amstel, A.,Neftel,
26       A., Jocher, M., Ammann, C., Fuhrer, J., Calanca, P., Thalman, E., Pilegaard, K.,



 1                                             16
1        Di Marco, C., Campbell, C., Nemitz, E., Hargreaves, K.J., Levy, P., Ball, B.,
 2        Jones, S., Van de Bulk, W.C.M., Groot, T., Blom, M., Gunnink, H., Kasper, G.,
 3        Allard, V., Cellier, P., Laville, P., Henault, C., Bizouard, F., Jolivot, D., Abdalla,
 4        M., Williams, M., Baronti, S., Berretti, F., Grosz, B., Dominques, R., 2007.
 5        Effects of climate and management intensity on nitrous oxide emissions in
 6        grassland systems across Europe. Agriculture, Ecosystems and Environment 121.
 7        135-152.

 8Flessa, H., Dorsh, P., Beese, F., 1995. Seasonal variation of N2O and CH4 fluxes
 9        in differently managed arable soils in southern Germany. Journal of Geophysical
10        Research 100, 23115-23124.
11Flessa, H, Ruser, R., 2002. N2O and CH4 fluxes in potato fields: automated

12        measurement, management effects and temporal variation. Geoderma 105, 307-
13        325.

14Fortune, T., Kennedy, T., Mitchell, B., Dunne, B., 2003. Reduced cultivation- Agronomic
15        and Environmental Aspects. www.teagasc.ie/publications/2003.
16Freibauer, A. and Kaltschmitt, 2003. Regionalized inventory of biogenic greenhouse gas

17        emissions from European agriculture. European Journal of Agronomy 19, 135-
18        160.

19Frissel, M. and Van Veen, J.A., 1981.Simulation of nitrogen behaviour of soil plant

20        systems (eds). PUDOC, Wageningen. P. 277.

21Frolking, S.E., Mosier, A.R., Ojima, D.S., Li, C., Parton, W.J., Potter, C.S., Priesack, E.,

22        Stenger, R., Haberbosch, C., Dorsch, P., Flessa, H., Smith, K.A., 1998.
23        Comparisons of N2O emissions from soils at three temperate agricultural sites:
24        simulations of year-round measurements by four models. Nutrients Cycling in
25        Agro-ecosystems 52, 77-105.

26Hsieh, C.I., Leahy, P., Kiely, G., Li, C., 2005. The effect of future climate perturbations

27        on N2O emissions from a fertilized humid grassland. Nutrient Cycling in Agro-
28        ecosystems 73, 15-23.


 1                                             17
1Hyde, B., Ryan, M., Hawkins, M., Connolly, J., Carton, O.T., 2005. Nitrous oxide

 2       emissions. End of Project Report, RMIS 4974. Teagasc,          Johnstown Castle
 3       Research Centre, Co. Wexford.

 4ICARUS, 2006. Irish Climate Analysis and Research Unit. www.icarus.nuim.ie

 5IPCC, 1995. Greenhouse gases and aerosols. Climate Change. Cambridge University

 6       Press, Cambridge, pp. 1-41.

 7IPCC, 1997. Revised 1996 IPCC guidelines for national greenhouse gas inventories.

 8       IPCC/OECD/IEA, IPCC, Geneva, Switzerland.

 9IPCC, 2000. Good practice guidance and uncertainty management in national greenhouse

10       gas inventories. In: Liep, A., Dammgen, U., Kuikman, P., Van Amstel, A., 2005.
11       The quality of European (EU-15) greenhouse gas inventories from agriculture.
12       Environmental Sciences 2, 177-192.

13IPCC, 2007.Climate Impacts, Adaptation and Vlunerability. IPCC WGII Fourth

14       Assessment Report, Geneva, Switzerland.

15Jinguo Y., Zheng N., Chenli W., 2006. Vegetation NPP distribution based on MODIS

16       data and CASA model–A case study of northern Hebei province. Chinese
17       Geographical Science 16, 334-341.

18Kaiser, E.A., Kohrs, K., Kucke, M., Schnug, E., Heinemeyer, O., Munch, J.C., 1998.

19       Nitrous oxide release from arable soil: Importance of fertilization, crops and
20       temporal variation. Soil and Biochemistry 30, 1553-1563.

21Keller, M. and Reiners, W.A. 1994. Soil-atmosphere exchange of nitrous oxide, nitric

22       oxide, and methane under secondary succession of pasture to forest in the Atlantic
23       lowlands of Cost Rica. Global Biogeochemical Cycles 8, 399-409.

24Keisk, M., Ambus, P., Baritz, R., Bruggemann, N., Butterbach-bahl, K., Damm, M.,




 1                                           18
1        Duyzer, J., Hovarth, L., Kiese, R., Kitzler, B., Leip, A., Li, C., Pihlatie, M.,
 2        Pilegaard, K., Seufert, G., Simpson, D., Smaiatek, G., Skiba, U., Vesala, T.,
 3        Zechmeisster-Boltenstern, S., 2006. Inventory of N 2O and NO emissions from
 4        European forest soils. Biogeosciences. Physiological Research111, GO2018.

 5Laegreid M. and Aastveit A.H., 2002. Nitrous oxide emissions from field applied

 6        fertilizers. In: Petersen S.O and Olesen J.E. (Eds.). Greenhouse gas inventories for
 7        agric. In the Nordic Countries, DIAS Report. Plant production no, 81. Danish
 8        Institute of Agriculture. Sciences, pp. 122-134.

 9Leffelaar, P.A. and Wessel, W.W., 1988. Denitrification in a homogenous closed system:

10        experiment and simulation. Soil Science 146, 335-349.

11Li, C., 2000. Modelling trace gas emissions from agricultural ecosystems. Nutrients

12        Cycling in Agro-ecosystems 58, 259-276.

13Li, C., 2003. Greenhouse gas emissions from croplands of China. Quaternary

14        Sciences 23, 493-503.

15Li, C., Frolking, S., Frolking, T.A., 1992. A model of nitrous oxide evolution from soil

16        driven by rainfall events.1. Model structure and sensitivity. Geophysical Research
17        97, 9759-9776.

18Li, C., Frolking, S., Harris, R., 1994. Modelling carbon biogeochemistry in agricultural

19        soils. Global Biogeochemical Cycles 8, 237-254.

20Li, C., Narayanan, V., Harriss, R., 1996. Model estimate of N2O emissions from

21        agricultural lands in the United States. Global Bio-geophysical Cycles

22        10, 297-306.

23Li, C., Frolking, S., Butterbach-Bahl, K., 2005. Carbon sequestration in arable soils is

24        likely to increase nitrous oxide emissions, offsetting reductions in climate
25        radiative forcing. Climate Change 72, 321-338.




 1                                             19
1Nakicenovic, N., and Intergoervmental Panel on Climate Change. Special Report on

 2        Emissions Scenarios. Pp 599 S., Cambridge University Press, Cambridge, UK,
 3        2000.

 4Pathak, H., Li, C., Wassmann, H., Ladha, J.K., 2006. Simulation of Nitrogen balance in

 5        Rice-wheat systems of the Indoigangetic plains. Soil Science Society of America
 6        Journal 70, 1612-1622.

 7Roelandt, C., Van Wesemael, B., and Rounsevell, M., 2005. Estimating annual N2O

 8        emissions from agricultural soils in temperate climate. Global Change Biology 11,
 9        1701-1711.

10        Ruser, R., Flessa, H., Schilling, R., Steidl, H., Beese, F., 1998. Soil compaction
11        and fertilization effects on nitrous oxide and methane fluxes in potato fields. Soil
12        Science Society of America Journal 62, 1587-1595.

13Ryden, J.C., 1981. Nitrous oxide exchange between a grassland soil and atmosphere.

14        Nature (London) 292, 235-237.

15Saggar, S., Giltrap, D.L., Li, C., Tate, K.R., 2007. Modelling nitrous oxide

16        emissions from grazed grassland in New Zealand. Journal of Agriculture
17        Ecosystems and Environment 119, 205-216.

18Schmid, M., Neftel, A., Riedo, M., Fuhrer, J., 2001. Process-based modelling of nitrous

19        oxide emissions from different nitrogen sources in mown grassland. Nutrient
20        Cycling of Agro-ecosystem 60, 177-187.

21Six, J., Ogle, S., Breidt, F.J., Contant, R.T., Mosier, A.R., Paustian, K., 2004. The

22        potential to mitigate global warming with no-tillage management is only realized
23        when practised in the long term. Global Change Biology 10, 155-160.

24Smith, K.A., Clayton, H., McTaggart, I.P., 1995. The measurement of nitrous oxide

25        emissions from soil by using chambers. Philosophical Transactions of the Royal
26        Society of London, Series a 351, 327-337.



 1                                             20
1Smith, K.A., McTaggart, I.P., Dobbie, K.E., Konen, F., 1998. Emissions of N2O from

 2        Scottish agricultural soils, as a function of fertilizer N. Nutrient Cycling in Agro-
 3        ecosystems 52, 123-130.

 4Stange, F., Butterbach-Bahl, K., Papen, H., Zechmeister-Boltenstern, S., Li, C., Aber, J.,

 5        2000. A process oriented model of N 2O and NO emissions from forest soils:
 6        Sensitivity analysis and validation. Journal Geophsical Research 105, 4385-4398.

 7Stenger R., Priesack E., Barkle G., Sperr C., 1999. A tool for simulating nitrogen and

 8        carbon dynamics in the soil–plant –atmosphere systems. NZ land treatment
 9        collective. Proceedings Technical Session 20: Modelling of land treatment
10        systems. M. Tomer, M. Robinson, G. Gielen (Eds). New Plymouth, 14-15
11        October 1999; Pp 19-28.

12Sweeney, J and Fealy, R., 2003. Establishing Reference Climate Scenarios. In: J.

13        Sweeney (Ed.), Climate Change Scenarios and Impacts for Ireland. ERTDI report
14        Series No. 15. Environmental Protection Agency, Johnstown Castle, Wexford, pp.
15        5-32.

16Tang, H., Qiu, J., Van Ranst, E., Li, C., 2006. Estimation of soil organic carbon storage in

17         cropland of China based on DNDC model. Goederma 134, 200-206.

18Tanji, K.K., 1982. Modelling of the soil nitrogen cycle. Agronomy 22, 721-772.

19Terry, R.E., III, R.L.T. & Duxbury, J.M. 1981. The effect of flooding on nitrous

20        oxide emissions from and organic soil. Soil Science, 132: 228-232.

21Willams, E.J., Hutchinson, G.L., Feshsenfeld, F.C., 1992. NOx and N2O emissions from

22          soil. Global Biogeochemical Cycles 6, 351-388.

23Yeluripati, J.B., Li, C., Frolking, S., Nayak, D.R., Adhya, D.K., 2006. Field validation of

24        DNDC model for methane and nitrous oxide emissions from rice-based
25        production systems of India. Nutrients Cycling in Agro-ecosystems 74, 157-174.


 1                                             21
1Zheng, X.H., Wang, M.X., Wang, Y.S., Shen, R.X., Li, J., Heyer, J., Kögge, M.,
 2       Papen H., Jin, J.S., Li, L.T., 1999. Characters of greenhouse gas (N2O, NO, CH4)
 3       emissions from croplands of Southeast China, World Resource Review 11, 229–
 4       246
 5
 6
 7
 8
 9
10
11
12
13
14
15
16
17
18
19
20
21
22
23
24
25
26
27
28
29
30
31
32
33
34TABLES
35
36Table 1: DNDC model input data for both the spring barley and the pasture fields
37
  Climate data                           Spring barley field          Pasture field


 1                                          22
Latitude (degree)                          52o86′ N                   52o86′ N
  Yearly maximum of average                  13                         13
                      o
  Daily temperature ( C)
  Yearly minimum of average                  4.0                        4.0
                      o
  Daily temperature ( C)
  Yearly accumulated precipitation           792                        792
  (mm).
  N concentration in rainfall (mg Nl-1)      0.001*                     0.001*
  Atmospheric CO2 concentrations (ppm) 380*                             380*
  Soil properties (0-10 cm depth)
  Vegetation type                            Barley crop                Moist pasture
  Soil texture                               Sandy loam                 Sandy loam
  Bulk density (g cm-3)                      1.4                        1.0
                                                  *
  Clay fraction                              0.19                       0.34*
  Soil pH                                    7                          7.3
  Initial organic C content at surface soil 0.019                       0.038
  (kg Ckg-1).
  Harvest                                    Grain harvest, mulch/till  Grazing/ cutting
  Soil tillage                               Conventional and reduced None
  WFPS at field capacity                     0.68                       0.87
  WFPS at wilting point                      0.12                       0.09
  Depth of water-retention layer (cm)        100*                       100*
  Slope (%)                                  0.0                        0.0
 1*Default values
 2
 3
 4
 5
 6
 7
 8
 9
10
11
12
13
14
15
16
17
18Table 2: Observed and modelled seasonal N2O emissions from the arable conventional
19and reduced tillage plots.
20
                                      Seasonal emissions (g N2O-N ha-1)     Relative
  2004 season        Treatment        Observation Model        Difference deviation (%)


 1                                          23
Conventional     140 kg N ha-1   788            780        -8                        -1
  tillage
                  70 kg N ha-1      269         350        +81                       30
                           -1                                                     5400
                  0 kg N ha         2           110        +108
                                 -1                                                 -40
  Reduced tillage 140 kg N ha       978         590        -388
                              -1                                                    -55
                  70 kg N ha        494         220        -274
                           -1                                                       -66
                  0 kg N ha         87          30         -57
  2005 season
  Conventional    159 kg N ha-1 1053            993        -60                       -6
  tillage
                  79 kg N ha-1      563         450        -113                     -20
                           -1                                                       -35
                  0 kg N ha         170         110        -60
                                 -1                                                 -25
  Reduced tillage 159 kg N ha       1058        793        -265
                              -1                                                    -44
                  79 kg N ha        567         320        -247
                           -1                                                       -93
                  0 kg N ha         135         10         -125
 1
 2
 3Table 3: Observed and modelled annual N2O emissions from the cut and grazed pasture
 4(2004).
 5
                        Seasonal emissions (g N2O-N ha-1)       Relative Deviation (%)
  Treatment              Observation Model        Difference

  Before adjusting SOC
  200 kg N ha-1              2573           6613        4040        157
  0 kg N ha-1                1054           3970        2926        360
  After adjusting SOC
  200 kg N ha-1              2573           2797        224         9
            -1
  0 kg N ha                  1054           1110        56          5
 6
 7
 8
 9
10
11
12
13
14
15
16
17Table 4: Sensitivity of DNDC to changes in soil characteristics, management and climate
18for the spring barley field (conventional tillage, 2004).
19
  Scenario                 Mineralization         Annual N2O flux (kg N Denitrification
                           (kg N ha-1y-1)         ha-1y-1)                (kg N ha-1y-1)


 1                                          24
*Baseline                   257.4                      1.4                              4
 Bulk density (g cm-1)
 1                           194                        0.67                             1.67
 1.6                         290.8                      2.11                             4.33
 1.8                         324.2                      2.65                             6.13
 Initial soil organic
 carbon
 +20%                        305.8                      2.59                             6.1
 -20%                        211.1                      0.69                             1.74
 Fertilizer type
 Urea                        257.4                      2.46                             4.81
 Ammonium sulphate           257.4                      2.54                             4.9
 Rainfall
 +20%                        267.1                      1.76                             4.51
 -20%                        244.5                      1.41                             2.98
 Air temperature
 +20%                        269.6                      2.65                             6.92
 -20%                        243.2                      0.93                             2.34
1
2*Baseline scenario: Bulk density 1.4gcm -3, SOC 0.0194 kg C kg-1, fertilizer applied and timing (140kg N/ha
3CAN, on the 27th of April), annual average max. and min. air temperature 13.7 and 4.8 oC and average
4daily precipitation 2.2cm and soil tillage to 22cm depth carried in March five weeks before planting.
5
6Table 5: DNDC future simulated annual cumulative N 2O flux values for the grassland
7and arable fields under emission scenarios A2 and B2.
8
 Time Period              Cumulative Flux              Increase from (1961-1990)-base
                                                                line value (%)
                          (Kg N O-N ha-1)
                                      2

 Grassland                  A2                    B2                    A2                      B2
    1961-1990              14.8                  14.7
    2041-2070              16.6                  15.8                  12.2                   7.8
    2061-2090               18                   17.4                  21.6                  18.7
 Barley
 1961-1990                  4.0                   3.9
 2041-2070                  5.3                   4.0                  33.7                  3.61
 2061-2090                  6.3                   5.1                  58.6                  31.4
 9FIGURES
10
11
12



1                                                    25
60                                                                   60
                                                      A                                                                    B
                                                50                                                                   50
    d -1 )

                                                                                                                     40
    -1



                                                40
         N 2O flu x (g N 2O -N h a




                                                30                                                                   30

                                                20                                                                   20

                                                10                                                                   10

                                                 0                                                                    0

                                                -10                                                                  -10

                                                      90   110   130    150     170         190    210         230         90   110   130     150    170          190    210   230



                                                30                                                                   30
                                                      C                                                                    D
    N 2 O f l u x ( g N 2 O - N h a -1 d -1 )




                                                20                                                                   20


                                                10                                                                   10


                                                 0                                                                    0


                                                -10                                                                  -10

                                                      90   110   130     150    170          190    210        230         90   110   130     150    170          190    210   230



                                                30                                                                   30
                                                      E                                                                    F
    N 2 O f l u x ( g N 2 O - N h a -1 d -1 )




                                                20                                                                   20


                                                10                                                                   10


                                                 0                                                                    0


                                                -10                                                                  -10

                                                      90   110   130    150     170         190     210        230         90   110   130    150     170         190     210   230
                                                                                     st                                                                   st
                                                            Time (days after the 1        of January)                            Time (days after the 1        of January)

1
2Figure 1: Comparison of model-simulated (○) and field measured N 2O (●) flux from the
3high (upper), medium (bottom) and low (lower) fertilized conventional tillage in 2004
4(A,C,E) and 2005 (B,D,F). Arrows show time of fertilizer application.
5
6
7



1                                                                                                         26
60                                                                   60
                                                       A                                                                    B
                                                 50                                                                   50
     N 2 O f l u x ( g N 2 O - N h a -1 d -1 )

                                                 40                                                                   40

                                                 30                                                                   30

                                                 20                                                                   20

                                                 10                                                                   10

                                                  0                                                                    0

                                                 -10                                                                  -10

                                                       90   110   130    150     170          190    210   230              90   110   130     150    170          190    210   230



                                                 30                                                                   30
                                                       C                                                                    D
     N 2 O f l u x ( g N 2 O - N h a -1 d -1 )




                                                 20                                                                   20


                                                 10                                                                   10


                                                  0                                                                    0


                                                 -10                                                                  -10

                                                       90   110   130     150    170          190    210   230              90   110   130     150    170          190    210   230



                                                 30                                                                   30
                                                       E                                                                    F
     N 2 O f l u x ( g N 2 O - N h a -1 d -1 )




                                                 20                                                                   20


                                                 10                                                                   10


                                                  0                                                                    0


                                                 -10                                                                  -10

                                                       90   110   130    150     170         190     210   230              90   110   130    150     170         190     210   230
                                                                                      st                                                                   st
                                                             Time (days after the 1        of January)                            Time (days after the 1        of January)

 1
 2
 3Figure 2: Comparison of model-simulated (○) and field measured N 2O (●) flux from the
 4high (upper), medium (bottom) and low (lower) fertilized reduced tillage in 2004 (A, C,
 5E) and 2005 (B, D, F). Arrows show time of fertilizer application.
 6
 7
 8
 9
10




 1                                                                                                               27
1000                                                         1000
                                                             900
                                                                   A                                                      900   B
                                                             800                                                          800
      C u m u lativ e N 2O flu x




                                                             700                                                          700
                                   ( g N 2 O - N h a -1 )




                                                             600                                                          600
                                                             500                                                          500
                                                             400                                                          400
                                                             300                                                          300
                                                             200                                                          200
                                                             100                                                          100
                                                               0                                                            0
                                                            -100                                                         -100

                                                                   90   110    130     150    170    190     210   230          90   110     130    150    170    190     210   230


                                                            1200                                                         1200
                                                                   C                                                            D
                                                            1000                                                         1000
C u m u lativ e N 2O flu x




                                                             800                                                         800
                             ( g N 2 O - N h a -1 )




                                                             600                                                         600

                                                             400                                                         400

                                                             200                                                         200

                                                               0                                                           0

                                                                   90   110     130    150    170    190     210   230          90   110     130    150    170    190     210   230
                                                                              Time (days from 1st January)                                 Time (days from 1st January)




               2Figure 3: Comparisons of cumulative model-simulated (open symbol) and field measured
               3(solid symbol) N2O fluxes from the high (•), medium (■) and low (▲) fertilized plots in
               42004 and 2005 for conventional (A and C) and reduced (B and D) tillage system.
               5
               6
               7
               8
               9
              10
              11
              12
              13
              14
              15
              16
              17
              18
              19


                             1                                                                                     28
1
 2         A
 3
 4
 5
 6
 7
 8
 9
10
11
12
13
14
15
16
17
18
19         B
20
21
22
23
24
25
26
27
28
29
30
31
32
33
34Figure 4: Comparison between the measured (●) and modelled (○) WFPS from CN 1
35treatment in 2004 (A) and 2005 (B). Arrows indicate time of N fertilizer application
36
37
38
39
40
41
42
43
44
45
46


 1                                        29
1
 2
 3              A
 4
 5
 6
 7
 8
 9
10
11
12
13
14
15
16
17
18              B
19
20
21
22
23
24
25
26
27
28
29
30
31
32Figure 5: Comparison between the measured (●) and modelled cumulative N 2O from the
33fertilized (A) and control (B) pasture plots before (○) and after (∆) adjusting soil organic
34carbon.
35

36

37

38

39




 1                                             30
1

 2

 3

 4

 5

 6

 7

 8

 9

10

11

12

13Figure 6: (A) Correlation between the model-simulated and field measured N 2O fluxes
14for the arable field. y = 0.78x -6.5 (r2 = 0.85). (B) Correlation between the model-
15simulated and field measured N2O fluxes from our arable (●), pasture (∆) and other
16literature DNDC studies (○). y = 1.1x + 0.35, (r2 = 0.76).




 1                                         31
85
                                       80
                                                A
                                       75
                                       70
                                       65
    N2 O fluxes (gN 2 O-N ha-1 d-1 )




                                       60
                                       55
                                       50
                                       45
                                       40
                                       35
                                       30
                                       25
                                       20
                                       15
                                       10
                                        5
                                        0
                                            0       25   50   75   100   125   150        175   200        225    250    275    300    325    350    375    400



1

                                       65

                                       60       B
                                       55

                                       50
    N2 O fluxes (gN 2 O-N ha-1 d-1 )




                                       45
                                       40

                                       35

                                       30

                                       25
                                       20

                                       15

                                       10
                                        5

                                        0
                                            0       25   50   75   100   125   150    175       200       225    250    275    300    325    350    375    400
                                                                                            Julian days

2
3Figure 7: DNDC simulated N2O flux from the barley field soil at baseline climate; 1961-
41990 (●), 2055 (○) and 2075 (∆) for the emission scenarios HCM3-A2 (A) and HCM3-
5B2 (B).



1                                                                                    32
320       A
                                                  300
                                                  280
                                                  260
                                                  240
               N2 O fluxes (gN 2 O-N ha-1 d-1 )




                                                  220
                                                  200
                                                  180
                                                  160
                                                  140
                                                  120
                                                  100
                                                   80
                                                   60
                                                   40
                                                   20
                                                    0
                                                        0       25   50   75   100   125   150   175      200        225   250   275   300   325   350   375   400
                                                                                                       Julian days


1

                                                  320
                                                  300
                                                            B
                                                  280
                                                  260
                                                  240
    N2 O fluxes (gN 2 O-N ha-1 d-1 )




                                                  220
                                                  200
                                                  180
                                                  160
                                                  140
                                                  120
                                                  100
                                                   80
                                                   60
                                                   40
                                                   20
                                                    0
                                                        0       25   50   75   100   125   150   175     200     225       250   275   300   325   350   375   400



2
3Figure 8: DNDC simulated N2O flux from the cut and grazed pasture soil at baseline
4climate; 1961-1990 (●), 2055 (○) and 2075 (∆) for the emission scenarios HCM3-A2 (A)
5and HCM3-B2 (B).


1                                                                                           33
320       A
                                                  300
                                                  280
                                                  260
                                                  240
               N2 O fluxes (gN 2 O-N ha-1 d-1 )




                                                  220
                                                  200
                                                  180
                                                  160
                                                  140
                                                  120
                                                  100
                                                   80
                                                   60
                                                   40
                                                   20
                                                    0
                                                        0       25   50   75   100   125   150   175      200        225   250   275   300   325   350   375   400
                                                                                                       Julian days


1

                                                  320
                                                  300
                                                            B
                                                  280
                                                  260
                                                  240
    N2 O fluxes (gN 2 O-N ha-1 d-1 )




                                                  220
                                                  200
                                                  180
                                                  160
                                                  140
                                                  120
                                                  100
                                                   80
                                                   60
                                                   40
                                                   20
                                                    0
                                                        0       25   50   75   100   125   150   175     200     225       250   275   300   325   350   375   400



2
3Figure 8: DNDC simulated N2O flux from the cut and grazed pasture soil at baseline
4climate; 1961-1990 (●), 2055 (○) and 2075 (∆) for the emission scenarios HCM3-A2 (A)
5and HCM3-B2 (B).


1                                                                                           33

Dndc model paper edited

  • 1.
    1Application of theDNDC model to predict emissions of N 2O from Irish 2agriculture. 3 4M. Abdalla1, M. Wattenbach2, P. Smith2, P. Ambus3, M. Jones1 and M. Williams1 5 61Department of Botany, School of Natural Sciences, Trinity College Dublin, Dublin 2, Ireland 72School of Biological Sciences, University of Aberdeen, Cruickshank Building, St. Machar Drive, 8Aberdeen, AB24 3UU, UK. 93Riso Research Centre, Technical University of Denmark, Frederikborgvej 399, DK-4000, 10Roskilde 11 12Key words: Nitrous oxide, DNDC model, arable, pasture 13 14ABSTRACT 15 16A mechanistic model that describes N fluxes from the soil, DeNitrification 17DeComposition (DNDC), was tested against seasonal and annual data sets of nitrous 18oxide flux from a spring barley field and a cut and grazed pasture at the Teagasc Oak 19Park Research Centre, Co. Carlow, Ireland. In the case of the arable field, predicted 20fluxes of N2O agreed well with measured fluxes for medium to high fertilizer input values 21(70 to 160 kg N ha-1) but described poorly measured fluxes from zero fertilizer 22treatments. In terms of cumulative flux values, the relative deviation of the predicted 23fluxes from the measured values was a maximum of 6% for the highest N fertilizer inputs 24but increased to 30% for the medium N and more than 100% for the zero N fertilizer 25treatments. A linear correlation of predicted against measured flux values for all fertilizer 26treatments (r2 = 0.85) was produced, the equation of which underestimated the seasonal 27flux by 24%. Incorporation of literature values from a range of different studies on arable 28and pasture land did not significantly affect the regression slope. DNDC describe poorly 29measured fluxes of N2O from reduced tillage plots of spring barley. Predicted cumulative 30fluxes of N2O on plots disc ploughed to 10cm, underestimated measured values by up to 3155%. 32 1 1
  • 2.
    1For the cutand grazed pasture the relative deviations of predicted to measured fluxes 2were 150 and 360% for fertilized and unfertilized plots. This poor model fit is considered 3due to DNDC overestimating the effect of initial soil organic carbon (SOC) on N 2O flux, 4as confirmed by a sensitivity analysis of the model. As the arable and grassland soils 5differed only in SOC content, reducing SOC to the arable field value significantly 6improved the fit of the model to measured data such that the relative deviations decreased 7to 9 and 5% respectively. Sensitivity analysis highlighted air temperature as the main 8determinant of N2O flux, an increase in mean daily air temperature of 1.5oC resulting in 9almost 90% increase in the annual cumulative flux. Using the Hadley Centre Global 10Climate Model data (HCM3) and the IPCC emission scenarios A2 and B2, DNDC 11predicted increases in N2O fluxes of approximately 30% (B2) and 60% (A2) from the 12spring barley field and approximately 20% (A2 and B2) from the cut and grazed pasture 13by the end of this centaury (2061-2090). 14 15 16 17 18 19 20 21 22 23 24 25 26 27 28 29 30 31 1 2
  • 3.
    1INTRODUCTION 2 3Nationalinventories of N2O fluxes from agricultural soils, as required by signatory 4countries to the United Nations Framework Convention of Climate Change (UNFCC), 5are in the main derived from the use of the default IPCC Tier 1 method, where 1.25% of 6applied inorganic nitrogen to agricultural soils is assumed to be released to the 7atmosphere as nitrous oxide-N (Bouwman, 1996; IPCC, 1997; 2000). This standard 8reporting procedure has advantages in collating annual inventories but may mask 9significant variations in emission factors (EFs) on a regional scale (Schmid et al., 2001; 10Laegreid and Aastveit, 2002). For instance in Ireland, published EFs derived from field 11measurements of N2O using either eddy covariance or static chamber methods vary from 123.4% for Cork grassland and 0.7 to 4.9% of the applied N fertilizer for the Wexford 13grassland depending on soil type, land management, climate and year (Hsieh et al., 2005; 14Hyde et al., 2005; Flechard et al., 2007). 15 16Given the considerable expense of establishing and maintaining relevant flux 17measurement sites, the use of simulation models to estimate N 2O fluxes from agricultural 18soils using soil and climate data has obvious benefits. Modelling also allows easy 19interpretation of the complex links between soil physical, chemical and microbial 20processes that underpin nitrification, denitrification and decomposition. Models can 21simulate the processes responsible for production, consumption and transport of N 2O in 22both the long and short term, and also on a spatial scale (Williams et al., 1992). 23 24Simulation models range from simple empirical relationships based on statistical analyses 25to complex mechanistic models that consider all factors affecting N 2O production in the 26soil (Li et al., 1992; Frolking et al., 1998; Stenger et al., 1999; Freibauer 2003; Roelandt 27et al., 2005; Jinguo et al., 2006). Variations in soil moisture, soil temperature, carbon and 28nitrogen substrate for microbial nitrification and denitrification are critical to the 29determination of N2O emissions (Leffelaar and Wessel, 1988; Tanji, 1982; Frissel and 30Van Veen, 1981; Batlach and Tiedje, 1981; Cho et al., 1979). One widely used 31mechanistic model is DeNitrification DeComposition (DNDC) developed to assess N 2O, 1 3
  • 4.
    1NO, N2 andCO2 emissions from agricultural soils (Li et al., 1992a, 1994; Li 2000). The 2rainfall driven process-based model DNDC (Li et al., 1992) was originally written for 3USA conditions. It has been used for simulation at a regional scale for the United States 4(Li et al., 1996) and China (Li et al., 2001). Advantages of DNDC are that it has been 5extensively tested and has shown reasonable agreement between measured and modelled 6results for many different ecosystems such as grassland (Brown et al., 2001; Hsieh et al., 72005; Saggar et al., 2007), cropland (Li, 2003; Cai et al., 2003, Yeluripati et al., 2006; 8Pathak et al., 2006; Tang et al., 2006) and forest (Li, 2000; Stange et al., 2000; Kesik et 9al., 2006). The model has reasonable data requirement and is suitable for simulation at 10appropriate temporal and spatial scales. 11The DNDC model contains 4 main sub-models (Li et al., 1992; Li, 2000); the soil climate 12sub-model calculates hourly and daily soil temperature and moisture fluxes in one 13dimension, the crop growth sub-model simulates crop biomass accumulation and 14partitioning, the decomposition sub-model calculates decomposition, nitrification, NH 3 15volatilization and CO2 production whilst the denitrification sub-model tracks the 16sequential biochemical reduction from nitrate (NO3) to NO2-, NO, N2O and N2 based on 17soil redox potential and dissolved organic carbon. 18 19This paper presents a field evaluation of DNDC for an Irish sandy loam soil under both 20arable and grassland crops with different fertilizer and tillage regimes. Results are 21discussed in terms of the suitability of this model for estimating annual and seasonal 22fluxes of N2O from Irish agriculture. In addition, DNDC is used to estimate future N2O 23fluxes from Irish agriculture due to climate change using climate data generated by the 24Hadley Centre Global Climate models (HadCM3; Sweeney and Fealy, 2003). 25 26 27 28 29 30 1 4
  • 5.
    1MATERIALS AND METHODS 2 3Experiments 4Measurements of N2O flux were carried out for a spring barley field from April–August for 5two consecutive seasons (2004/05), and for a cut and grazed pasture from October 2003 to 6November 2004. Both fields were located at the Oak Park Research Centre, Carlow, 7Ireland (52o86′ N, 6o54′ W). The arable field was seeded with spring barley (cv. Tavern) at 8a density of 140 kg ha-1 and managed under two different tillage regimes; conventional 9tillage where inversion ploughing to a depth of 22 cm was carried out in March, five weeks 10prior to planting, and reduced tillage to a depth of 15 cm which was carried out in 11September of the year before. The field was sprayed with weed killer (Roundup Sting) at 124.0L ha-1, three times per season, once pre- and twice post-planting. 13The cut and grazed pasture has been permanent grassland for at least the past eighty years 14and was ploughed and reseeded in October 2001 with perennial ryegrass (Lolium perenne 15L., cv Cashel) at a density of 13.5 kg ha -1 and white clover (Trifolium repens L., cv Aran) 16at a density of 3.4 kg ha-1. Daily minimum and maximum air temperature (oC) and rainfall 17in (mm) were recorded at the Teagasc Research Centre Weather Station (Met Eireann). 18Initial soil properties and climate factors of both sites are summarized in Table 1. 19 20For the arable field in 2004, three rates of N-fertilization 140 (N1), 70 (N2) and 0 (N3) kg 21N ha-1, were applied once on the 27th of April, whereas in 2005, two fertilizer applications 22took place on the 12th of April 106 (N1), 53 (N2) and 0 (N3) kg N ha-1, and on the10th of 23May 53 (N1), 26 (N2) and 0 (N3) kg N ha-1. The total amount of N-fertilization applied in 242005 was therefore 159 (N1), 79 (N2) and 0 (N3) kg N ha-1. For the cut and grazed pasture, 25nitrogen fertilizer was applied at a total rate of 200 kg N ha -1 y-1 divided in to two 26applications of 128 and 72 kg N ha -1 on the 2nd of April and the 27th of May respectively. 27Separate areas of the field were kept unfertilized as control plots. Fertilizer was applied in 28the form of Calcium Ammonium Nitrate (CAN). Animal grazing was from July to 29November 2003 and from July to November 2004 with a stocking rate of 2 cattle ha-1. 30Field N2O fluxes 1 5
  • 6.
    1Nitrous oxide fluxeswere measured from 24 replicated chambers at the arable field and 7 2replicated chambers at the cut and grazed pasture, using the methodology of Smith et al., 3(1995). Measurements were taken every week except for times of fertilizer application 4where sampling was increased to 2 times per week. Samples were taken using a 60 ml 5gas-tight syringe after flushing of the syringe to ensure adequate mixing of air within the 6chamber. All 60 ml of the sample was then injected into a 3ml gas-tight vial with a vent 7needle inserted into the top, and stored until analysis. Gas samples were measured within 8one month of collection using a gas chromatograph (Shimadzu GC 14B, Kyoto, Japan) 9with electron capture detection. 10 11DNDC model 12In this study the DNDC model (version 8.9; http://www.dndc.sr.unh.edu/) was tested for 13both the arable field and the cut and grazed pasture. All field management variables, 14including grain yield, fertilizer application and tillage system (where reduced tillage was 15defined as disk or chisel ploughing to 10cm) were input into the model. Soil properties 16and climate input data are summarized in Table 1. For the arable field model testing was 17possible only for the growth period of the crop, whilst for the cut and grazed pasture 12 18months of data were used. The model testing was carried out by (1) comparing the 19measured and modelled temporal pattern of weekly N 2O flux values, (2) comparing the 20measured and modelled cumulative N2O fluxes (using weekly values), and (3) comparing 21the measured and modelled emission factors. 22 23The relative deviation (y) of the modelled flux from measured flux values was calculated 24by the following equation: 25 26Y = (XS – XO)/XO x 100, 27 28where XO and XS are the measured and modelled fluxes respectively. Annual and 29seasonal cumulative flux for DNDC outputs were calculated as the sum of simulated 30daily fluxes (Cai et al., 2003). EFs for the modelled data were calculated by subtracting 31cumulative DNDC flux data for unfertilized soils from that of the fertilized soils and 1 6
  • 7.
    1dividing by theN fertilizer input corrected for ammonia volatilization (10%). Sensitivity 2analysis was carried out by varying a single determinant factor whilst keeping other 3factors constant for one annual cycle of the model. Determinant factors tested are listed in 4Table 4. 5 6Simulation of future N2O flux 7Climate change impact on N2O fluxes from the spring barley and the cut and grazed 8pasture was studied using climate data generated from the Hadley Centre Global Climate 9Model (HadCM3; Sweeney and Fealy, 2003). A baseline climate period (1961-1990) and 10two future climate scenarios 2055 (2041-2070) and 2075 (2061-2090) were investigated 11along with the IPCC emission scenarios A2 and B2 (Nakicenovic et al., 2000; IPCC, 122007). Data generation was provided by the Department of Geography, National 13University of Ireland, Maynooth (Sweeney and Fealy, 2003). Elevations in CO2 were 14assumed by 2055 to be 581 ppmv and by 2075 to be 700 ppmv compared with a baseline 15concentration of 365 ppmv CO2 compatible with the IS95a (IPCC, 1995). Field 16managements for both the spring barley and the cut and grazed pasture were assumed to 17be the same management as in 2004 for all scenarios (Table 1). 18 19 20 21 22 23 24 25 26 27 28 29 30 31RESULTS AND DISCUSSION 1 7
  • 8.
    1 2Results presentedin this paper assess the reliability of the DNDC model for estimating 3N2O fluxes from both a spring barley field and a cut and grazed pasture by validating 4model output with flux measurements collected on a weekly basis for up to two years. 5Several management practices were examined, including conventional tillage, reduced 6tillage and variable rates of N-fertilizer application. Climate and soil input variables for 7DNDC are illustrated in Table 1. Field data measurements were used for all of the 8variables listed except for atmospheric CO2, rainfall N, clay fraction and depth of the soil 9water retention layer. Here default values were used. Collectively DNDC was better at 10predicting N2O fluxes for high inputs of N fertilizer (>140 kg N ha -1) than for zero or low 11N input treatments (0 to 70 kg N ha-1). In addition the model appeared to be unduly 12sensitive to the influence of soil organic carbon. DNDC predicted a significant increases 13of approximately 20 to 60% in future N2O fluxes from Irish cereal and grassland fields, 14by the end of this centaury. 15 16Arable field 17Measurements of N2O flux were limited to the growth period of the barley crop hence 18annual estimates of flux were not produced. Figures 1 to 3 relate to a comparison of the 19modelled and measured fluxes for 2004/2005 as either daily values (Figures 1 to 2), or 20cumulative flux (Figure 3). In general the temporal pattern of N 2O flux was different 21between modelled and measured data, DNDC extending the influence of added fertilizer 22over a wider time period and producing smaller peaks. This is more pronounced for the 23higher fertilizer treatments in 2004 than 2005 (Figures 1A, 1C and 2A) and can be clearly 24seen in the cumulative flux plots (Figures 3A and 3B). This discrepancy between the 25years maybe related to DNDC overestimating the water filled pore space (WFPS) in 2004 26as opposed to 2005, WFPS being a critical determinant of N 2O flux at the time of 27fertilizer application (Keller and Reiners, 1994; Ruser et al., 1998; Dobbie and Smith, 282001). This is illustrated in Figure 4A where modelled WFPS values were consistently 29higher than measured values in 2004, with maximum differences of 25 to 30% being 30recorded. In comparison, modelled values for 2005 approximated to measured values 31with maximum differences of only 13 to 16%. 1 8
  • 9.
    1The tillage optionsprovided by DNDC do not allow the reduced, non-inversion tillage 2used in our study to be fully described. In contrast to the conventional tillage plots, 3DNDC significantly underestimated the N2O flux from the reduced tillage plots for the 4medium and higher fertilizer treatments by up to 55% (Figures 3B and 3D). This may not 5be critical for modeling N2O fluxes from Irish agriculture as reduced cultivation and 6direct drilling of cereal crops represents at most only 10% of arable land, < 40,000 ha 7(Fortune et al., 2003; ECAF, 2004). 8 9Cumulative fluxes from sowing to harvest are given in Table 2. Modelled fluxes for the 10high fertilizer inputs agreed with field measured values, giving the smallest relative 11deviations from field data of -1 and -6%. These deviations increase significantly as 12fertilizer input is reduced. The largest % deviation, and hence the worst fit was obtained 13for the zero fertilizer treatments, with relative deviations of -35 to more than 5000% 14calculated. Clearly DNDC is best suited for medium to high N input treatments and does 15not account for negative flux values that can occur in low to zero N input treatments 16where the soil acts as a sink for N 2O (Ryden, 1981; Clayton et al., 1997). Similar DNDC 17results for high and medium N fertilizer inputs have been reported for rice fields by 18Zheng et al., 1999 (381 kg N ha-1; 8% deviation), for maize fields by Crill et al., 2000 19(181 kg N ha-1; 3.5% deviation), for grass by Hsieh et al., 2005 (337 kg Nha-1; 33% 20deviation) and for barley fields by Flessa et al., 1995 (50 kg N ha-1; 36% deviation). 21However, these observations are not consistent in the literature. In contrast to our results 22far better agreements between modelled and measured flux values have been obtained for 23low to zero N inputs by Li, (1992), Mosier et al., (1996), Terry et al., (1981) and Crill et 24al., (2000). 25 26The wide range of CAN input values provided by this study allowed a linear regression of 27modelled vs measured cumulative fluxes underlining the suitability of DNDC for 28predicting N2O flux. This is illustrated in Figure 5, where observed and modelled data 29from Table 2 have been plotted. The regression (y = 0.78x - 6.5) accounts for 85% of the 30variation in the data, the predicted y values underestimating measured values by 24%. 31Similar data cited by De Vries et al., (2005), from a range of published studies on 1 9
  • 10.
    1grasslands and cerealsystems, is also presented in Figure 5. Data from our study fits well 2within this group and improves the slope of the regression to y = 1.1x + 0.35, (r2 = 0.76). 3 4Cut and grazed pasture 5Our results suggest that DNDC is unduly sensitive to initial soil organic carbon content. 6Measured and modelled cumulative fluxes of N 2O from the cut and grazed pasture are 7shown in Table 3 (annual) and Figure 6 (weekly) and highlight the poor fit of the model 8where high relative deviation values were calculated. The only major difference between 9the arable and the cut and grazed pasture soils is that the latter has significantly higher 10organic carbon content (0.038 as opposed to 0.019 kg C kg-1 dwt). Changing the initial 11soil organic C content for the model to the lower, arable soil value greatly improved the 12fit of the model to the observed values (Figure 6). Using these new values the annual N 2O 13flux for the fertilized plots is 2797 g N 2O-N ha-1 (a relative deviation of 9%) and for the 14control plots is 1110 g N2O-N ha-1 (a relative deviation of 5%) as shown in Table 3. This 15would question the present algorithms in the model describing the effect of soil organic 16carbon on N2O flux. The model is very sensitive to SOC; a 20% increase in SOC 17corresponds to a 62% increase in N2O flux (see below). Similar over-estimations of the 18effects of initial SOC by DNDC have also been reported by Li et al., (1992a), Brown et 19al., (2002) and Hsieh et al., (2005). 20 21Sensitivity analysis 22Given the good fit of the model to the conventional tillage data, the sensitivity of the 23model outputs for the arable field to changes in soil characteristics, fertilizer N and 24climate were also investigated. The following scenarios were chosen: 25(1) Changes in bulk density 26(2) Changes in initial SOC 27(3) Changes in fertilizer use 28(4) Changes in rainfall and air temperature. 29 30The model appears highly sensitive to changes in bulk density and as mentioned 31previously, SOC. Increasing the bulk density of the soil from 1.4 to 1.8 g cm-1, an 1 10
  • 11.
    1increase of 29%,resulted in a more than equivalent increase in both the apparent rate of 2denitrification (53%) and the predicted N2O flux (89%), these increases presumably due 3to more substrate N being made available through increased mineralization (Table 4). 4Thus according to DNDC, any management treatment that increases the bulk density of 5the soil, such as reduced tillage, would also significantly increase N 2O flux as has been 6observed by Aulakh et al., (1984); Baggs et al., (2003) and Six et al., (2004). Reduced 7tillage is also associated with increases in SOC. By increasing the baseline SOC value by 820% increases N2O flux by 85%. Hence for at least two associated aspects of reduced 9tillage, N2O flux has been predicted to increase significantly questioning the use of this 10management technique as a means of lowering total greenhouse gas emissions from the 11soil (Six et al., 2004; Li et al., 2005). 12 13Model outputs were also highly sensitive to changes in fertilizer type, with a switch from 14the principle form of N fertilizer used in cereal production in Ireland, CAN, to urea or 15ammonium sulphate fertilizers resulting in predicted increases in N2O flux of 76 and 81% 16respectively. Model outputs however, proved the most sensitive to changes in air 17temperature. Here an increase of 1.5oC in the daily average air temperature resulted in a 1889% increase in N2O flux and a 73% increase in the rate of soil denitrification. In 19contrast, changes in rainfall of ± 20% resulted in changes in N2O flux of the order of ± 2026%. 21 22For the arable field, emission factors for the modelled data ranged from 0.3 to 0.6% of the 23fertilizer N applied, whereas measured EFs ranged from 0.4 to 0.7% of the fertilizer N 24applied. Modelled and measured EFs are comparable, but are both significantly lower 25than the IPCC default value of 1.25%. However, literature EF values for cereal crops are 26extremely variable, ranging from 0.2 to 8% (Eichner, 1990; Kaiser et al., 1998; Smith et 27al., 1998, Dobbie et al., 1999) and are dependent upon temperature, moisture and soil 28type (Flechard et al., 2007). 29 30 31Simulation of future N2O flux 1 11
  • 12.
    1Figures 7 and8 illustrate the DNDC predicted fluxes of N 2O from both the barley field 2(conventional tillage only) and the cut and grazed pasture for emission scenarios A2 and 3B2 using data generated by the Hadley Centre Global Climate Model. A baseline climate 4period (1961-1990) and two future climate scenarios for 2055 (2041-2070) and 2075 5(2061-2090) were investigated. 6Future temperatures are expected to increase especially during the spring and summer 7periods of crop growth and fertilizer application. ICARUS (2006) predicts the July mean 8temperature to increase by up to 2.5oC by the end of this century which will influence soil 9denitrification and consequently N2O flux (Addiscott, 1983; Scott et al., 1986; 10Beauchamp et al., 1989; Flessa et al., 2002). Wetter winters are also predicted, increasing 11by as much as 11% by the end of the century (ICARUS, 2006). Besides displacement of 12N2O by soil water, as the WFPS increase, the diffusion of oxygen into soil aggregates 13will decrease stimulating denitrification (Dobbie and Smith, 2001). These increases in 14temperature and rainfall effects will result in seasonal increases in N 2O flux as clearly 15seen in Figure 7. 16In all cases DNDC simulates three specific peaks in N 2O flux throughout the year, the 17magnitude of these peaks being greatest for the cut and grazed pasture. The first peak 18from day 50 to 75 is primarily due to seasonal rainfall, as is the third peak from day 225 19to 350, the second peak however, from day 100 to 150 relates to fertilizer application. A 20major difference between the two fields is that the third peak for the spring barley field 21also coincides with crop residue incorporation resulting in a more spiked appearance. For 22both crops however, DNDC simulated an increase in N 2O emissions with each climate 23scenario due to increasing CO2, temperature and rainfall variability. This increase is 24particularly prominent for each seasonal peak in the spring barley field, but for the cut 25and grazed pasture seems primarily associated with the third peak (Figures 7 and 8). 26Annual cumulative fluxes derived from the modelled outputs are summarised in Table 5, 27and illustrate a significantly greater flux of N2O-N from the cut and grazed pasture due to 28higher N fertilizer application rate in addition to organic N inputs from grazing cattle. 29However the modelled baseline value of approximately 15 kg N 2O-N ha-1 y-1 is almost 5 30times higher than the measured annual flux for 2004 (Table 3), even assuming the same 1 12
  • 13.
    1initial SOC valueas the cereal field. Major seasonal differences between the modelled 2and measured flux values appear to centre on the first and third seasonal peaks, none of 3which were seen to occur for the grassland field in 2004 (data not shown). Accepting this 4limitation on model outputs there would appear to be no significant difference between 5the emission scenarios A2 and B2 with regard to both grassland and cereal fluxes of N2O 6by the year 2075. Here fluxes are predicted to increase by approximately 20% for 7grassland sites to 18 kg N2O-N ha-1 and by approximately 30 to 60% for the cereal sites to 86 kg N2O-N ha-1 y-1 (Table 5). 9 10CONCLUSIONS 11 12In its present format DNDC is only suitable for medium to high N input systems, the 13accuracy of the prediction being highly dependant on the level of fertilizer application, 14with high fertilizer inputs producing low relative deviations between modelled and 15measured fluxes of the order of 1 to 6% for the arable field under conventional tillage. 16Prediction of N2O fluxes from reduced tillage plots however was poor with DNDC 17consistently underestimating measured field values. Here relative deviations ranged from 18-20 to -93%. One major disadvantage of the model was the limited choice of tillage input 19options available, none describing the reduced tillage treatment used in this study. 20Prediction of N2O fluxes from the cut and grazed grassland was also poor with model 21outputs significantly overestimating measured field values giving relative deviations of 22150 to 360%. From the sensitivity analysis we tentatively suggest that DNDC 23overestimates the effect of SOC on mineralization and denitrification. By reducing the 24SOC input values to those of the cereal field we could significantly improve the fit of the 25model, reducing relative deviation scores to approximately 5 -10%. 26 27Accepting the limitations of the model we used DNDC to predict future increases in N 2O 28flux due to climate change for our cereal and grassland fields in Ireland using the Hadley 29Centre Global Climate Model data and the IPCC emission scenarios A2 and B2. Both 30fields resulted in significant increases in N2O flux by the year 2075, grassland flux 31increasing by 19 to 22% and arable flux increasing by 31 to 59%. In actual terms the 1 13
  • 14.
    1predicted flux for2075 is significantly higher for grassland fields (18 kg N 2O-N ha-1 y-1) 2than for the cereal fields (6 kg N2O-N ha-1 y-1) with little difference being observed 3between the A2 and B2 scenarios. 4 5ACKNOWLEDGEMENTS 6 7This work was funded by the EU sixth framework program (contract EVK2-CT2001- 800105, Greengrass Project Europe) and Irish EPA project No: 2001-CD-C1M1. 9 10 11 12 13 14 15 16 17 18 19 20 21 22 23 24 25 26 27 28 29 30 31REFERENCES 1 14
  • 15.
    1 2Addiscott, T.M.,1983. Kinetics and temperature relationships of mineralization and 3 nitrification in Rothamsted soils with differing histories. Soil Science 34, 343- 4 353. 5Aulakh, M.S., Rennie D.A., Paul, E.A., 1984. The influence of plant residues on 6 denitrification rates on conventional and zero-tilled soils. Soil Science Society of 7 America Journal 48, 790-794. 8Baggs, E.M., Stevenson, M., Pihlatie, M., Regar, A., Cook, H., Cadish, G. 2003. Nitrous 9 oxide emissions following application of residues and fertilizer under zero and 10 conventional tillage. Plant and Soil 254, 361-370. 11Batlach, R.M. and Tiedje, J.M., 1981. Kinetic explanation for accumulation of nitrite, 12 nitric oxide and nitrous oxide during bacterial denitrification. Applied and 13 Environmental Microbiology 42, 1074-1084. 14Beauchamp E.G., Trevors J.T., Paul J.W., 1989. Carbon sources for bacterial 15 denitrification. Advances in Soil Sciences 10, 113-142. 16Bouwman, A.F., 1996. Direct emissions of nitrous oxide from agricultural soils. Nutrient 17 Cycling in Agro-ecosystems 46, 53-70. 18Brown, L., Jarvis, S.C., Headon, D., 2001. A farm scale bases for predicting nitrous oxide 19 emissions from dairy farms. Nutrient Cycling in Agro-ecosystems 60, 149-158. 20Brown, L., Syed, B., Javris, S.C., Sneath, R.W., Philips, V.R., Goudling, K.W.T., Li, C., 21 2002. Development and application of mechanistic model to estimate emission of 22 nitrous oxide from UK agriculture. Atmospheric Environment 36, 917-928. 23Cai, Z., Swamoto, T., Li, C., Kang, G., Boonjawat, J., Mosier, A., Wassmann, R., 24 Tsuruta, H., 2003. Field validation of the DNDC-model for greenhouse gas 25 emissions in East Asian cropping systems. Global Biogeochemical Cycles 17, No. 26 4, 1107. 1 15
  • 16.
    1Cho, C.M., Sakdinan,L., Chang, C., 1979. Denitrification intensity and capacity of three 2 irrigated Alberta soils. Soil Science Society of America Journal 43, 949-950. 3Clayton, H., McTaggart, I.P., Parker, J., Swan, L., Smith, K.A., 1997. Nitrous oxide 4 emissions from fertilized grassland: A 2-year study of the effects of N fertilizer 5 form and environmental conditions. Biology and Fertility of Soils 25, 252-260. 6Crill, P., Keller, M., Weitz, A., Grauel, B., Veldkamp, E., 2000. Intensive field 7 measurements of nitrous oxide emissions from a tropical agricultural soil. Global 8 Biogeochemical Cycles 14, 85-96. 9De Vries, W., Kros, J., Kuikman, P.J., Velthof, G.L., Voogd, J.C.H., Weiggers, H.J.J., 10 Butterbach-Bahl, Denier Van der Gon, H.A.C., Van Amstel, A.R., 2005. Use of 11 measurements and models to improve the national IPCC based measurements of 12 soil emissions of nitrous oxide. Environmental Sciences 2, 217-233. 13Dobbie, K. E., McTaggart, I.P., Smith K. A., 1999. Nitrous oxide emissions from 14 intensive agricultural systems: variations between crops and seasons; key driving 15 variables; and mean emission factors. Journal of Geophysical Research 104, 16 26891-26899. Eaton, I.J. and Patriquin, D.J., 1989. Denitrification in low bush 17 blue berry soils. Canadian Journal of Soil Science 69, 303-312. 18Dobbie, K. E. and Smith K. A., 2001. The effects of temperature, water filled pore space 19 and land use on N2O emissions from imperfectly drained gleysol. European 20 journal of Soil Science, 52, 667-673. 21Eichner, M.J., 1990. Nitrous oxide emissions from fertilized soils: summary of available 22 data. Journal of Environment Quality 19, 272-280. 23ECAF, 2004. European Conservation Agriculture Federation, 2004. http:// www.ecaf.org 24Flechard, C., Ambus, P., Skiba, U., Rees, R.M., Hensen, A., Van den Pol, A., Soussana, 25 J.F., Jones, M., Clifton-Brwon, J., Raschi, A., Horvath, L., Van Amstel, A.,Neftel, 26 A., Jocher, M., Ammann, C., Fuhrer, J., Calanca, P., Thalman, E., Pilegaard, K., 1 16
  • 17.
    1 Di Marco, C., Campbell, C., Nemitz, E., Hargreaves, K.J., Levy, P., Ball, B., 2 Jones, S., Van de Bulk, W.C.M., Groot, T., Blom, M., Gunnink, H., Kasper, G., 3 Allard, V., Cellier, P., Laville, P., Henault, C., Bizouard, F., Jolivot, D., Abdalla, 4 M., Williams, M., Baronti, S., Berretti, F., Grosz, B., Dominques, R., 2007. 5 Effects of climate and management intensity on nitrous oxide emissions in 6 grassland systems across Europe. Agriculture, Ecosystems and Environment 121. 7 135-152. 8Flessa, H., Dorsh, P., Beese, F., 1995. Seasonal variation of N2O and CH4 fluxes 9 in differently managed arable soils in southern Germany. Journal of Geophysical 10 Research 100, 23115-23124. 11Flessa, H, Ruser, R., 2002. N2O and CH4 fluxes in potato fields: automated 12 measurement, management effects and temporal variation. Geoderma 105, 307- 13 325. 14Fortune, T., Kennedy, T., Mitchell, B., Dunne, B., 2003. Reduced cultivation- Agronomic 15 and Environmental Aspects. www.teagasc.ie/publications/2003. 16Freibauer, A. and Kaltschmitt, 2003. Regionalized inventory of biogenic greenhouse gas 17 emissions from European agriculture. European Journal of Agronomy 19, 135- 18 160. 19Frissel, M. and Van Veen, J.A., 1981.Simulation of nitrogen behaviour of soil plant 20 systems (eds). PUDOC, Wageningen. P. 277. 21Frolking, S.E., Mosier, A.R., Ojima, D.S., Li, C., Parton, W.J., Potter, C.S., Priesack, E., 22 Stenger, R., Haberbosch, C., Dorsch, P., Flessa, H., Smith, K.A., 1998. 23 Comparisons of N2O emissions from soils at three temperate agricultural sites: 24 simulations of year-round measurements by four models. Nutrients Cycling in 25 Agro-ecosystems 52, 77-105. 26Hsieh, C.I., Leahy, P., Kiely, G., Li, C., 2005. The effect of future climate perturbations 27 on N2O emissions from a fertilized humid grassland. Nutrient Cycling in Agro- 28 ecosystems 73, 15-23. 1 17
  • 18.
    1Hyde, B., Ryan,M., Hawkins, M., Connolly, J., Carton, O.T., 2005. Nitrous oxide 2 emissions. End of Project Report, RMIS 4974. Teagasc, Johnstown Castle 3 Research Centre, Co. Wexford. 4ICARUS, 2006. Irish Climate Analysis and Research Unit. www.icarus.nuim.ie 5IPCC, 1995. Greenhouse gases and aerosols. Climate Change. Cambridge University 6 Press, Cambridge, pp. 1-41. 7IPCC, 1997. Revised 1996 IPCC guidelines for national greenhouse gas inventories. 8 IPCC/OECD/IEA, IPCC, Geneva, Switzerland. 9IPCC, 2000. Good practice guidance and uncertainty management in national greenhouse 10 gas inventories. In: Liep, A., Dammgen, U., Kuikman, P., Van Amstel, A., 2005. 11 The quality of European (EU-15) greenhouse gas inventories from agriculture. 12 Environmental Sciences 2, 177-192. 13IPCC, 2007.Climate Impacts, Adaptation and Vlunerability. IPCC WGII Fourth 14 Assessment Report, Geneva, Switzerland. 15Jinguo Y., Zheng N., Chenli W., 2006. Vegetation NPP distribution based on MODIS 16 data and CASA model–A case study of northern Hebei province. Chinese 17 Geographical Science 16, 334-341. 18Kaiser, E.A., Kohrs, K., Kucke, M., Schnug, E., Heinemeyer, O., Munch, J.C., 1998. 19 Nitrous oxide release from arable soil: Importance of fertilization, crops and 20 temporal variation. Soil and Biochemistry 30, 1553-1563. 21Keller, M. and Reiners, W.A. 1994. Soil-atmosphere exchange of nitrous oxide, nitric 22 oxide, and methane under secondary succession of pasture to forest in the Atlantic 23 lowlands of Cost Rica. Global Biogeochemical Cycles 8, 399-409. 24Keisk, M., Ambus, P., Baritz, R., Bruggemann, N., Butterbach-bahl, K., Damm, M., 1 18
  • 19.
    1 Duyzer, J., Hovarth, L., Kiese, R., Kitzler, B., Leip, A., Li, C., Pihlatie, M., 2 Pilegaard, K., Seufert, G., Simpson, D., Smaiatek, G., Skiba, U., Vesala, T., 3 Zechmeisster-Boltenstern, S., 2006. Inventory of N 2O and NO emissions from 4 European forest soils. Biogeosciences. Physiological Research111, GO2018. 5Laegreid M. and Aastveit A.H., 2002. Nitrous oxide emissions from field applied 6 fertilizers. In: Petersen S.O and Olesen J.E. (Eds.). Greenhouse gas inventories for 7 agric. In the Nordic Countries, DIAS Report. Plant production no, 81. Danish 8 Institute of Agriculture. Sciences, pp. 122-134. 9Leffelaar, P.A. and Wessel, W.W., 1988. Denitrification in a homogenous closed system: 10 experiment and simulation. Soil Science 146, 335-349. 11Li, C., 2000. Modelling trace gas emissions from agricultural ecosystems. Nutrients 12 Cycling in Agro-ecosystems 58, 259-276. 13Li, C., 2003. Greenhouse gas emissions from croplands of China. Quaternary 14 Sciences 23, 493-503. 15Li, C., Frolking, S., Frolking, T.A., 1992. A model of nitrous oxide evolution from soil 16 driven by rainfall events.1. Model structure and sensitivity. Geophysical Research 17 97, 9759-9776. 18Li, C., Frolking, S., Harris, R., 1994. Modelling carbon biogeochemistry in agricultural 19 soils. Global Biogeochemical Cycles 8, 237-254. 20Li, C., Narayanan, V., Harriss, R., 1996. Model estimate of N2O emissions from 21 agricultural lands in the United States. Global Bio-geophysical Cycles 22 10, 297-306. 23Li, C., Frolking, S., Butterbach-Bahl, K., 2005. Carbon sequestration in arable soils is 24 likely to increase nitrous oxide emissions, offsetting reductions in climate 25 radiative forcing. Climate Change 72, 321-338. 1 19
  • 20.
    1Nakicenovic, N., andIntergoervmental Panel on Climate Change. Special Report on 2 Emissions Scenarios. Pp 599 S., Cambridge University Press, Cambridge, UK, 3 2000. 4Pathak, H., Li, C., Wassmann, H., Ladha, J.K., 2006. Simulation of Nitrogen balance in 5 Rice-wheat systems of the Indoigangetic plains. Soil Science Society of America 6 Journal 70, 1612-1622. 7Roelandt, C., Van Wesemael, B., and Rounsevell, M., 2005. Estimating annual N2O 8 emissions from agricultural soils in temperate climate. Global Change Biology 11, 9 1701-1711. 10 Ruser, R., Flessa, H., Schilling, R., Steidl, H., Beese, F., 1998. Soil compaction 11 and fertilization effects on nitrous oxide and methane fluxes in potato fields. Soil 12 Science Society of America Journal 62, 1587-1595. 13Ryden, J.C., 1981. Nitrous oxide exchange between a grassland soil and atmosphere. 14 Nature (London) 292, 235-237. 15Saggar, S., Giltrap, D.L., Li, C., Tate, K.R., 2007. Modelling nitrous oxide 16 emissions from grazed grassland in New Zealand. Journal of Agriculture 17 Ecosystems and Environment 119, 205-216. 18Schmid, M., Neftel, A., Riedo, M., Fuhrer, J., 2001. Process-based modelling of nitrous 19 oxide emissions from different nitrogen sources in mown grassland. Nutrient 20 Cycling of Agro-ecosystem 60, 177-187. 21Six, J., Ogle, S., Breidt, F.J., Contant, R.T., Mosier, A.R., Paustian, K., 2004. The 22 potential to mitigate global warming with no-tillage management is only realized 23 when practised in the long term. Global Change Biology 10, 155-160. 24Smith, K.A., Clayton, H., McTaggart, I.P., 1995. The measurement of nitrous oxide 25 emissions from soil by using chambers. Philosophical Transactions of the Royal 26 Society of London, Series a 351, 327-337. 1 20
  • 21.
    1Smith, K.A., McTaggart,I.P., Dobbie, K.E., Konen, F., 1998. Emissions of N2O from 2 Scottish agricultural soils, as a function of fertilizer N. Nutrient Cycling in Agro- 3 ecosystems 52, 123-130. 4Stange, F., Butterbach-Bahl, K., Papen, H., Zechmeister-Boltenstern, S., Li, C., Aber, J., 5 2000. A process oriented model of N 2O and NO emissions from forest soils: 6 Sensitivity analysis and validation. Journal Geophsical Research 105, 4385-4398. 7Stenger R., Priesack E., Barkle G., Sperr C., 1999. A tool for simulating nitrogen and 8 carbon dynamics in the soil–plant –atmosphere systems. NZ land treatment 9 collective. Proceedings Technical Session 20: Modelling of land treatment 10 systems. M. Tomer, M. Robinson, G. Gielen (Eds). New Plymouth, 14-15 11 October 1999; Pp 19-28. 12Sweeney, J and Fealy, R., 2003. Establishing Reference Climate Scenarios. In: J. 13 Sweeney (Ed.), Climate Change Scenarios and Impacts for Ireland. ERTDI report 14 Series No. 15. Environmental Protection Agency, Johnstown Castle, Wexford, pp. 15 5-32. 16Tang, H., Qiu, J., Van Ranst, E., Li, C., 2006. Estimation of soil organic carbon storage in 17 cropland of China based on DNDC model. Goederma 134, 200-206. 18Tanji, K.K., 1982. Modelling of the soil nitrogen cycle. Agronomy 22, 721-772. 19Terry, R.E., III, R.L.T. & Duxbury, J.M. 1981. The effect of flooding on nitrous 20 oxide emissions from and organic soil. Soil Science, 132: 228-232. 21Willams, E.J., Hutchinson, G.L., Feshsenfeld, F.C., 1992. NOx and N2O emissions from 22 soil. Global Biogeochemical Cycles 6, 351-388. 23Yeluripati, J.B., Li, C., Frolking, S., Nayak, D.R., Adhya, D.K., 2006. Field validation of 24 DNDC model for methane and nitrous oxide emissions from rice-based 25 production systems of India. Nutrients Cycling in Agro-ecosystems 74, 157-174. 1 21
  • 22.
    1Zheng, X.H., Wang,M.X., Wang, Y.S., Shen, R.X., Li, J., Heyer, J., Kögge, M., 2 Papen H., Jin, J.S., Li, L.T., 1999. Characters of greenhouse gas (N2O, NO, CH4) 3 emissions from croplands of Southeast China, World Resource Review 11, 229– 4 246 5 6 7 8 9 10 11 12 13 14 15 16 17 18 19 20 21 22 23 24 25 26 27 28 29 30 31 32 33 34TABLES 35 36Table 1: DNDC model input data for both the spring barley and the pasture fields 37 Climate data Spring barley field Pasture field 1 22
  • 23.
    Latitude (degree) 52o86′ N 52o86′ N Yearly maximum of average 13 13 o Daily temperature ( C) Yearly minimum of average 4.0 4.0 o Daily temperature ( C) Yearly accumulated precipitation 792 792 (mm). N concentration in rainfall (mg Nl-1) 0.001* 0.001* Atmospheric CO2 concentrations (ppm) 380* 380* Soil properties (0-10 cm depth) Vegetation type Barley crop Moist pasture Soil texture Sandy loam Sandy loam Bulk density (g cm-3) 1.4 1.0 * Clay fraction 0.19 0.34* Soil pH 7 7.3 Initial organic C content at surface soil 0.019 0.038 (kg Ckg-1). Harvest Grain harvest, mulch/till Grazing/ cutting Soil tillage Conventional and reduced None WFPS at field capacity 0.68 0.87 WFPS at wilting point 0.12 0.09 Depth of water-retention layer (cm) 100* 100* Slope (%) 0.0 0.0 1*Default values 2 3 4 5 6 7 8 9 10 11 12 13 14 15 16 17 18Table 2: Observed and modelled seasonal N2O emissions from the arable conventional 19and reduced tillage plots. 20 Seasonal emissions (g N2O-N ha-1) Relative 2004 season Treatment Observation Model Difference deviation (%) 1 23
  • 24.
    Conventional 140 kg N ha-1 788 780 -8 -1 tillage 70 kg N ha-1 269 350 +81 30 -1 5400 0 kg N ha 2 110 +108 -1 -40 Reduced tillage 140 kg N ha 978 590 -388 -1 -55 70 kg N ha 494 220 -274 -1 -66 0 kg N ha 87 30 -57 2005 season Conventional 159 kg N ha-1 1053 993 -60 -6 tillage 79 kg N ha-1 563 450 -113 -20 -1 -35 0 kg N ha 170 110 -60 -1 -25 Reduced tillage 159 kg N ha 1058 793 -265 -1 -44 79 kg N ha 567 320 -247 -1 -93 0 kg N ha 135 10 -125 1 2 3Table 3: Observed and modelled annual N2O emissions from the cut and grazed pasture 4(2004). 5 Seasonal emissions (g N2O-N ha-1) Relative Deviation (%) Treatment Observation Model Difference Before adjusting SOC 200 kg N ha-1 2573 6613 4040 157 0 kg N ha-1 1054 3970 2926 360 After adjusting SOC 200 kg N ha-1 2573 2797 224 9 -1 0 kg N ha 1054 1110 56 5 6 7 8 9 10 11 12 13 14 15 16 17Table 4: Sensitivity of DNDC to changes in soil characteristics, management and climate 18for the spring barley field (conventional tillage, 2004). 19 Scenario Mineralization Annual N2O flux (kg N Denitrification (kg N ha-1y-1) ha-1y-1) (kg N ha-1y-1) 1 24
  • 25.
    *Baseline 257.4 1.4 4 Bulk density (g cm-1) 1 194 0.67 1.67 1.6 290.8 2.11 4.33 1.8 324.2 2.65 6.13 Initial soil organic carbon +20% 305.8 2.59 6.1 -20% 211.1 0.69 1.74 Fertilizer type Urea 257.4 2.46 4.81 Ammonium sulphate 257.4 2.54 4.9 Rainfall +20% 267.1 1.76 4.51 -20% 244.5 1.41 2.98 Air temperature +20% 269.6 2.65 6.92 -20% 243.2 0.93 2.34 1 2*Baseline scenario: Bulk density 1.4gcm -3, SOC 0.0194 kg C kg-1, fertilizer applied and timing (140kg N/ha 3CAN, on the 27th of April), annual average max. and min. air temperature 13.7 and 4.8 oC and average 4daily precipitation 2.2cm and soil tillage to 22cm depth carried in March five weeks before planting. 5 6Table 5: DNDC future simulated annual cumulative N 2O flux values for the grassland 7and arable fields under emission scenarios A2 and B2. 8 Time Period Cumulative Flux Increase from (1961-1990)-base line value (%) (Kg N O-N ha-1) 2 Grassland A2 B2 A2 B2 1961-1990 14.8 14.7 2041-2070 16.6 15.8 12.2 7.8 2061-2090 18 17.4 21.6 18.7 Barley 1961-1990 4.0 3.9 2041-2070 5.3 4.0 33.7 3.61 2061-2090 6.3 5.1 58.6 31.4 9FIGURES 10 11 12 1 25
  • 26.
    60 60 A B 50 50 d -1 ) 40 -1 40 N 2O flu x (g N 2O -N h a 30 30 20 20 10 10 0 0 -10 -10 90 110 130 150 170 190 210 230 90 110 130 150 170 190 210 230 30 30 C D N 2 O f l u x ( g N 2 O - N h a -1 d -1 ) 20 20 10 10 0 0 -10 -10 90 110 130 150 170 190 210 230 90 110 130 150 170 190 210 230 30 30 E F N 2 O f l u x ( g N 2 O - N h a -1 d -1 ) 20 20 10 10 0 0 -10 -10 90 110 130 150 170 190 210 230 90 110 130 150 170 190 210 230 st st Time (days after the 1 of January) Time (days after the 1 of January) 1 2Figure 1: Comparison of model-simulated (○) and field measured N 2O (●) flux from the 3high (upper), medium (bottom) and low (lower) fertilized conventional tillage in 2004 4(A,C,E) and 2005 (B,D,F). Arrows show time of fertilizer application. 5 6 7 1 26
  • 27.
    60 60 A B 50 50 N 2 O f l u x ( g N 2 O - N h a -1 d -1 ) 40 40 30 30 20 20 10 10 0 0 -10 -10 90 110 130 150 170 190 210 230 90 110 130 150 170 190 210 230 30 30 C D N 2 O f l u x ( g N 2 O - N h a -1 d -1 ) 20 20 10 10 0 0 -10 -10 90 110 130 150 170 190 210 230 90 110 130 150 170 190 210 230 30 30 E F N 2 O f l u x ( g N 2 O - N h a -1 d -1 ) 20 20 10 10 0 0 -10 -10 90 110 130 150 170 190 210 230 90 110 130 150 170 190 210 230 st st Time (days after the 1 of January) Time (days after the 1 of January) 1 2 3Figure 2: Comparison of model-simulated (○) and field measured N 2O (●) flux from the 4high (upper), medium (bottom) and low (lower) fertilized reduced tillage in 2004 (A, C, 5E) and 2005 (B, D, F). Arrows show time of fertilizer application. 6 7 8 9 10 1 27
  • 28.
    1000 1000 900 A 900 B 800 800 C u m u lativ e N 2O flu x 700 700 ( g N 2 O - N h a -1 ) 600 600 500 500 400 400 300 300 200 200 100 100 0 0 -100 -100 90 110 130 150 170 190 210 230 90 110 130 150 170 190 210 230 1200 1200 C D 1000 1000 C u m u lativ e N 2O flu x 800 800 ( g N 2 O - N h a -1 ) 600 600 400 400 200 200 0 0 90 110 130 150 170 190 210 230 90 110 130 150 170 190 210 230 Time (days from 1st January) Time (days from 1st January) 2Figure 3: Comparisons of cumulative model-simulated (open symbol) and field measured 3(solid symbol) N2O fluxes from the high (•), medium (■) and low (▲) fertilized plots in 42004 and 2005 for conventional (A and C) and reduced (B and D) tillage system. 5 6 7 8 9 10 11 12 13 14 15 16 17 18 19 1 28
  • 29.
    1 2 A 3 4 5 6 7 8 9 10 11 12 13 14 15 16 17 18 19 B 20 21 22 23 24 25 26 27 28 29 30 31 32 33 34Figure 4: Comparison between the measured (●) and modelled (○) WFPS from CN 1 35treatment in 2004 (A) and 2005 (B). Arrows indicate time of N fertilizer application 36 37 38 39 40 41 42 43 44 45 46 1 29
  • 30.
    1 2 3 A 4 5 6 7 8 9 10 11 12 13 14 15 16 17 18 B 19 20 21 22 23 24 25 26 27 28 29 30 31 32Figure 5: Comparison between the measured (●) and modelled cumulative N 2O from the 33fertilized (A) and control (B) pasture plots before (○) and after (∆) adjusting soil organic 34carbon. 35 36 37 38 39 1 30
  • 31.
    1 2 3 4 5 6 7 8 9 10 11 12 13Figure 6: (A) Correlation between the model-simulated and field measured N 2O fluxes 14for the arable field. y = 0.78x -6.5 (r2 = 0.85). (B) Correlation between the model- 15simulated and field measured N2O fluxes from our arable (●), pasture (∆) and other 16literature DNDC studies (○). y = 1.1x + 0.35, (r2 = 0.76). 1 31
  • 32.
    85 80 A 75 70 65 N2 O fluxes (gN 2 O-N ha-1 d-1 ) 60 55 50 45 40 35 30 25 20 15 10 5 0 0 25 50 75 100 125 150 175 200 225 250 275 300 325 350 375 400 1 65 60 B 55 50 N2 O fluxes (gN 2 O-N ha-1 d-1 ) 45 40 35 30 25 20 15 10 5 0 0 25 50 75 100 125 150 175 200 225 250 275 300 325 350 375 400 Julian days 2 3Figure 7: DNDC simulated N2O flux from the barley field soil at baseline climate; 1961- 41990 (●), 2055 (○) and 2075 (∆) for the emission scenarios HCM3-A2 (A) and HCM3- 5B2 (B). 1 32
  • 33.
    320 A 300 280 260 240 N2 O fluxes (gN 2 O-N ha-1 d-1 ) 220 200 180 160 140 120 100 80 60 40 20 0 0 25 50 75 100 125 150 175 200 225 250 275 300 325 350 375 400 Julian days 1 320 300 B 280 260 240 N2 O fluxes (gN 2 O-N ha-1 d-1 ) 220 200 180 160 140 120 100 80 60 40 20 0 0 25 50 75 100 125 150 175 200 225 250 275 300 325 350 375 400 2 3Figure 8: DNDC simulated N2O flux from the cut and grazed pasture soil at baseline 4climate; 1961-1990 (●), 2055 (○) and 2075 (∆) for the emission scenarios HCM3-A2 (A) 5and HCM3-B2 (B). 1 33
  • 34.
    320 A 300 280 260 240 N2 O fluxes (gN 2 O-N ha-1 d-1 ) 220 200 180 160 140 120 100 80 60 40 20 0 0 25 50 75 100 125 150 175 200 225 250 275 300 325 350 375 400 Julian days 1 320 300 B 280 260 240 N2 O fluxes (gN 2 O-N ha-1 d-1 ) 220 200 180 160 140 120 100 80 60 40 20 0 0 25 50 75 100 125 150 175 200 225 250 275 300 325 350 375 400 2 3Figure 8: DNDC simulated N2O flux from the cut and grazed pasture soil at baseline 4climate; 1961-1990 (●), 2055 (○) and 2075 (∆) for the emission scenarios HCM3-A2 (A) 5and HCM3-B2 (B). 1 33