2014
Cardiff University
Robert Flashman
Landscape Evolution in
Hollows in the Southern
Appalachian Mountains
Landslides are the dominate factor in the sediment flux in the Appalachian
Mountains, and with the help of stream incision and diffusive processes, shape the
landscape. Hollows are common sites for these landslide events due to the
convergence of contours. Thus the distribution and area of hollows relates to
landslide frequency and size. Lithology has a large impact on the widths and
consistency of hollows, with a lower resistance to denudation causing wide and
consistent hollows, concluding that they are a more steady state of dynamic
equilibrium. The depth of the soil found in the hollow is limited by the frequency of
mass wasting events, as soil depths did not increase with higher flow accumulation
or an optimal slope gradient for deposition.
1
Contents
LIST OF FIGURES AND TABLES ................................................................. 2
1. INTRODUCTION..................................................................................... 3
1.1 Geologic Background ........................................................................... 3
1.2 Geomorphic Landform Evolution .......................................................... 5
1.3 Hollow Soil Formation........................................................................... 9
1.4 Slope Failure ........................................................................................ 9
1.5 Hypotheses......................................................................................... 12
2. METHODOLOGY..................................................................................... 13
2.1 Data Collection ................................................................................... 13
2.2 Statistical Analysis.............................................................................. 16
3. RESULTS ................................................................................................ 18
3.1 Hollow Area ........................................................................................ 18
3.2 Lithology vs. Hollow Width.................................................................. 19
3.3 Lithology vs. Soil Depth ...................................................................... 21
3.4 Lithology and landscape..................................................................... 23
3.5 Flow Accumulation vs. Hollow Width .................................................. 25
3.6 Flow Accumulation vs. Soil Depth....................................................... 26
3.7 Slope vs. Soil Depth ........................................................................... 27
3.8 Slope vs. Flow Accumulation.............................................................. 28
4. DISCUSSION........................................................................................... 30
5. CONCLUSION......................................................................................... 36
6. ACKNOWLEDGEMENTS ........................................................................ 37
7. REFERENCES ........................................................................................ 37
2
LIST OF FIGURES AND TABLES
Figure Title Page
no.
1.1 Map of North America, showing the location of the Appalachian Mountains
along the East side of North America
3
1.2 Geometric forms of hillslopes. (a) Side slopes on the left, (b) ridge/noses in
the middle and (c) hollows on the right
6
1.3 (a) DEM map of a hollow and ridge landscape, (b) DEM map with contours
and (c) Contour map showing the direction of flow
6
1.4 The evolution of topography by channel incision and soil creep, creating
regular hollows and fist order streams.
8
1.5 Model of the cross sectional area of a hollow and ridges 11
2.1 Map of Macon County inside the Appalachian Mountains boundary 13
2.2 DEM of Macon County showing the sites of the hollows sampled 14
2.3 Two photos of pit 36, showing measurement of depth to bedrock and soil
horizons
15
2.4 Method used to calculate slope gradient 15
3.1 Relationship between the width of a hollow and the soil depth in the centre of
that hollow.
18
3.2 Box and Whisker plot for lithology and the hollow’s width. 19
3.3 Box and Whisker plot for lithology and the soil depth
in the centre of a hollow
21
3.4 DEM map of the site with lithology and sampled hollows overlaid, with closer
images for clusters of hollows in the different lithology’s
23
3.5 Relationship between hollow width and flow accumulation 25
3.6 Relationship between soil depth at the centre of the hollow and flow
accumulations
26
3.7 Relationship between the slope gradient of the hollow and the soil depth in
the centre of the hollow.
27
3.8 Relationship between slope gradient and flow accumulation 28
4.1 Model of how channel incision rates affect different resistances of rock over
time.
31
4.2 Gabilan Mesa, California, with a visual uniform spaced ridges and valleys 32
Table Title Page
no.
3.1 Regression Analysis of Hollow Width and Soil Depth 18
3.2 Analysis of Variance of Hollow Width and Soil Depth 18
3.3 Analysis of Variance of the effect of Lithology on Hollow Width 20
3.4 Differences in means of Hollow Widths and Lithology’s 20
3.5 Analysis of Variance of the effect of Lithology on Soil Depth 22
3.6 Regression Analysis of Flow Accumulation and Hollow Width 25
3.7 Analysis of Variance of the effect of Slope on Flow Accumulation 25
3.8 Regression Analysis of Flow Accumulation and Soil Depth 26
3.9 Regression Analysis of Slope and Soil Depth 27
3.10 Regression Analysis of Slope and Flow Accumulation 28
3.11 Analysis of Variance of the effect of Slope on Flow Accumulation 29
3
1. INTRODUCTION
1.1 Geologic Background
The Appalachian Mountains are ancient mountains, created even before
Pangaea had formed or the mountain building events which created the
Rocky Mountains, Himalayas and the Alps. They are located along the
eastern side of North America, stretching from Newfoundland and the south
east of Canada to the south east of the United States of America (Fig. 1.1).
To the westward side, towards the south are the Mississippi and other rivers,
and other smaller mountain ranges and highlands. During the initial mountain
building event of the Appalachian Mountain’s, smaller ranges and highlands
comprising of the Ozark, Arbuckle, Llano of Texas, and the Ouachita
Mountains of Arkansas and Oklahoma are believed to be included but have
separated by further deformations (Pipkin and Trent, 2001, Hinds, 1943).
Figure 1.1: Map of North America, showing the location of the Appalachian
Mountains along the East side of North America (ArcMap, Made with Natural
Earth)
4
During the Cambrian period (541-485 million years ago), a geosyncline
formed, where a very large accumulation of sediment occurred over a long
belt. The belt sank slowly as the sediment mass carried on increasing,
forming a thick layer, around 20,000 to 30,000 feet in depth. A shallow sea
covered the sediment, estimated to have not been any deeper than 600 feet
(Hinds, 1943). This deep basin, known as the Ocoee basin was established.
It was made up of clay, silt, sand and gravel which were deposited into the
basin by the surrounding rivers (USGS, 2009). In the late Palaeozoic era,
around the Carboniferous and Permian period the geosyncline deformed
(Hinds 1943). The deformation was due to the collision of the continents of
North America and Africa. Massive amounts of rock were raised over the
North American continent and the geosynclinal belt began to fold into huge
anticlines and synclines, which then faulted, reaching peaks much higher
than the present mountains. The pressure and temperature of the
compressions metamorphosed the rock, increasing the resistance in some
areas. Some rocks became so hot, as the continental crust rubbed together
that they melted and when cooled and crystallised, created igneous plutons
in the rock masses (USGS, 2009). After this epoch of compression, the initial
mountains have been eroded down to almost a planar surface. The ranges
that we see today are from re-elevation of blocks by vertical movement by
bending or warping, as there is very little evidence of further compression.
The progressive erosion, by glaciers, landslides and soil diffusion, has
lowered the elevation of the peaks to only 5,000 to 7,000 feet (Hinds, 1943).
Metamorphosed rock makes up a large amount of the lithology found in the
Appalachian Mountains. Sedimentary rocks, such as Shale’s have
undergone low grade metamorphism to create slates. Slates are very fine-
grained and the environment that creates slate is only at a slightly higher
temperature and pressures than the environments that produced
sedimentary rock. The mineral composition of the rock is mainly Quartz,
Feldspar, Chlorite and Muscovite Mica, with a low rating on Mohs scale of
relative hardness, ranging from 2.5 to 7. The minerals in the rock align due to
stresses forming slaty cleavage. Higher grade metamorphism creates rocks,
such as schist and gneiss that have a larger grain size, with some minerals
5
seen by the naked eye. Gneiss’ contain layers of minerals, darker mica or
amphibole and lighter feldspar and quartz layers. The composition of
minerals is similar to igneous rocks; granite or diorite although it has different
foliation. Gneiss is composed of mainly Quartz, Feldspar, Garnet and
Sillimanite, which have a high rating on Mohs scale of relative hardness,
ranging from 6 to 7.5 (Skinner et al. 2004, Plummer and Carlson, 2008).
Metasedimentary rocks, also found in the Appalachians, are sedimentary
rocks that seem to have been changed by metamorphism, and the
composition remains similar to the sedimentary rock (Vernon and Clarke,
2008).
1.2 Geomorphic Landform Evolution
The mountainous landscape has formed the ridge and valley terrain present
today (Fig. 1.3b). The valley sides can be recognised as one of three kinds of
slope; the hollow, the side slope and the nose. There are three geometric
components that define these hillslopes; the gradient of the slope, the slope
length and the slope width. The slope width and length can be further curved
and in conjunction with the gradient will determine the speed of runoff on a
slope (Fig. 1.2). In an open system these different hillslopes form as streams
cut into the sides of the already formed valley. This creates the low order
streams which are closed at the head and along the sides and open at the
mouth which run into the high order stream found in the valley (Ruhe, 1975).
(Fig. 1.2c) The hollow has a slope width which is concave and has
converging contours, generating an area of high concentration of moisture
(Fig. 1.3c). They do not contain a stream channel and are an extension of a
first order stream above the channel head, with runoff being subsurface
(Reneau et al. 1989, Hack 1965). The transport rate of material into to the
hollows centre therefore corresponds to the degree of convergence (Taylor
and Kite, 2006). In mountain hollows, the soil has cobbles and boulders that
range from sub-rounded to angular, which is much less fine than side slopes
and the noses. This is believed to be generated by large discharges of water
causing mechanical sorting which are dominate in shaping hollows (Hack,
1965). Any roundness is probably due to weathering or abrasion as small
particles are washed over by surface runoff in high rainfall periods (Hack and
6
Goodlett, 1960). Hollows therefore fluctuate between the build-up of
sediment over a long period of time and then an erosional event occurs,
stripping the top material away from the bedrock, such as landslides or
gulling (Reneau et al. 1989). While at the nose (Fig. 1.2b), the slope width is
convex and thus diverges from top to bottom of the slope, and so there is
divergent flow of water. The side slope (Fig. 1.2a) is not curved along the
width, so there is sheet flow down the slope (Ruhe, 1975). John T. Hack
explains this type of topography as ridges and ravines; “monotonous network
of branching valleys and intervening low ridges that make up the landscape
of large areas” (Hack, 1960).
To understand how these hillslope landscapes would have initially formed,
the channels incision rate into bedrock must be determined (Hancock et al.
1998). Channel incision occurs into the bedrock when the alluvial cover in
the channel is lost by low sediment supply or steep slopes. High elevation
and uplift rates, local folding or faulting, competent bedrock, low sediment
Figure 1.2: Geometric forms of hillslopes. (a) Side slopes on the left, (b) ridge/noses in the
middle and (c) hollows on the right. (Ruhe, 1975)
Figure 1.3: (a) DEM map of a hollow and ridge landscape. (b) DEM map with contours.
(c) Contour map showing the direction of flow. (ArcGIS map)
(a) (b) (c)
(a) (b) (c)
7
yields, and possibly mass wasting events are factors common to these
bedrock rivers, which are common to times of initial mountain building
(Howard et al. 1994).
Hack also derives the understanding of a mountainous landscape to be
determined through the principle of dynamic equilibrium to spatial
relationship within the drainage system. Thus erosional and depositional
processes create forms that are a constant feature throughout the
topography of an area, so are at steady state. The change in the landscape
must then be independent of time and any differences or characteristics of
form are due to the geographic location, so the lithology of the region is the
dominate factor. Using the principle of dynamic equilibrium on a hillslope, it
can be inferred that the erosion at the foot of the slope is equal to the input of
sediment being added from the upslope contributing area (Hack, 1960).
Hurst et al. also concluded that changes in lithology in a landscape can affect
sediment transport rates and thus influencing the hillslope form of the
topography in the northern Sierra Nevada of California (Hurst et al. 2013).
In continuation of the use of dynamic equilibrium to explain topography, if two
areas of different geology are to be eroded and transport at the same rate
then the topography must differ to support the steady state. In an example of
a metamorphic rock region to be eroded and transported at the same speed
as a weaker sedimentary rock region, the metamorphic rock region requires
more energy, thus the topography will need be at a higher relief and have
steep slopes to balance the erosion and transport rates. More rounded
divides will be found in rock types that are susceptible to chemical
weathering, so areas that are not subject to rapid chemical decay will be
mechanically worn down and thus will need sharper divides to match the
removal rates (Hack, 1960). We can therefore deduce that ridge and hollow
landscapes with a less resistant rock type have lower reliefs, shallower
slopes and less sharp divides than a landscape with more resistant rock
type.
In a paper by Perron et al, a numerical model is created to simulate the
evolution in the landscape as channel incision and soil creep shape the
8
terrain. The change from a random and irregular valleys to valleys that are in
dynamic equilibrium with even spacing over time, as the competition of the
drainage areas causes smaller valleys or valleys in close proximity to be
stunted and overrun by the larger valleys (Fig. 1.4). A model was created to
show the valley spacing using soil diffusivity, stream erosion and the
drainage area component. The paper concluded that wider valley spacing is
dependent on stronger rocks and soil creep dominate while weaker rocks are
related to closely spaced valleys and channel incision dominated (Whipple,
2009). The mechanical strength of bedrock is expected to be negatively
correlated to stream erosion, although the sites that were investigated found
that the most competent bedrocks had the widest valley spacing (Perron et
al. 2009). The space between valleys corresponds to the widths of the
valleys from ridge to ridge, and a valley’s width will coincide to the hollow
width above the channel head.
Figure 1.4: The evolution of topography by channel incision and soil creep,
creating regular hollows and fist order streams. (Perron et al. 2008)
9
1.3 Hollow Soil Formation
The formation of the soils found in the hollows is from the disintegration of
rocks by the combination of mechanical or chemical weathering. Mechanical
weathering is breaking down of the rock by physical forces, mainly induced
by temperature stresses or ice formation in the rock. The result of changes in
the temperature during the day causes swelling of the rock during the day
and contraction of the rock during the night, causing stresses in the rock
leading to cracks forming. When water is able to percolate into these cracks
and then freezes, the water expands and the opens the cracks further,
fracturing rock masses. The continual breakdown down process causes rock
fragments to decrease in size. The crystal structure of the rock remains
unaffected, which is where chemical weathering comes in to play to
breakdown these structures with water or oxygen or by alkaline or acid
materials dissolved in the soil water (Scott et al. 1980). The resultant
landforms are determined by understanding the materials properties involved
and how different stresses act on them (Leopold et al. 1964).
The transportation of soil on hillslopes into hollows is primarily by soil creep,
an extremely slow downslope movement of soil. Creep is caused by a
continual altering of the surface layer of soil by variations in soil moisture and
temperature that expand and contract soil. Creep is also helped by surface
wash, rain splash and biogenic processes (Carson and Kirkby, 1972).
1.4 Slope Failure
In mountainous areas, landslides are a very important geomorphic process
that helps form the sediment budget in high relief regions (Chen et al. 2011).
They occur when a slope has been static over a long time period, slowly
building up with weathered and eroded material and becoming unstable until
failing, transporting a large amount of sediment downslope (Waltham, 2002).
This is due to the direct effect of increasing weight of soil above a plane
which causes a rise in shear stresses. The weight of the soil increases the
shear strength although it is much lower as only the contact between the soil
and the plane, which increases friction, is associated with effective normal
stress and the cohesion of soil is uniform with depth (Carson and Kirkby,
10
1972). Shallow slides occur mainly on strong rock hill masses, which form
around a 1-2m debris mantled slope from the effects of weathering.
Topography, lithology, climate, tectonics and the humans are the main
impacting factors cause a slope to fail. The topography of the land affects
landslides as the angle of the slope must be around 10° to 50°, depending on
the grain sizes, for a landslide take place. If the slope is too steep, then the
sediment is more prone to being transported downslope very quickly to being
deposited by the rapid surface runoff (Chen et al. 2011). For the more
shallow slopes, the driving force is very low that sediment will be transported
dominantly by soil creep. Landslide frequency increases with slope gradient
until around the 35°–40°, followed by a decrease in frequency above 40°
(Dai and Lee, 2002). The convergence of the slope, such as in a hollow, will
increase water flow into one part of the slope and reduce shear stress.
Climate is a major influence to triggering landslides as water has a large
effect on the stresses within slopes. A wet climate increases the water
pressure in the soil which decreases the effective stress which also reduces
the resistance to shear (Waltham, 2002). Intense rainfall from hurricanes
(e.g. Hurricane Ivan in the Appalachian Mountains), saturates the slopes and
triggers many landslides in that area. All these factors have a limiting factor
of the lithology as the higher the resistance of the rock type will reduce the
force of weathering and erosion, limiting the amount of sediment produced
and decreasing the probability of a landslide (Chen et al. 2011). Lithologies
also that have a low permeability will have a slow surface water to
groundwater rate, thus more water in sub surface which can lead to a higher
pore pressure and causing a landslide. The size of the material produced by
the erosion and weathering of the rock type affects pore pressure as a more
coarse material is liable to saturation as the voids between the particles are
much larger allowing water to move through them quicker compared to finer
soil (Carson and Kirkby, 1972). Humans have impacted the chances of
landslides by deforestation. The deforestation of slopes reduces the
mechanical reinforcement of the soil that roots give and trees provides
interception and evapotranspiration which lowers the water table, thus
reducing soil moisture (Selby, 1993).
11
Water is the significant trigger to the failure of a slope. Fully saturated soils
lose their apparent cohesion as there are no surface tension forces holding
the particles together. Pore water pressure increases and the shear stress
along the basal shear surface reduce, and thus movement of the sliding
mass occurs easier. The higher pore water pressure decreases the soil
strength as constrained water cannot withstand a shear stress (Selby, 1993).
To calculate the size of a landslide that could occur, the volume of the
colluvium in the hollow that has potential to move must be estimated. The
cross sectional area can be estimated using the soil depth across the hollow
and the width of the hollow (Fig. 1.5).
Local surface topography defines local slope and shallow subsurface flow
convergence. The soil depth of the hollow is time dependent as the build-up
of soil is reliant on upper contributing area and the angle of the slope, as the
rate they supply the hollow. The upslope contributing area affects the chance
of a landslide because it adds the soil to the area, increasing the weight of
material, but also supplements the hollow with water. Carson and Kirkby
determined that transport rates should increase with steepening slope
gradient (Carson and Kirkby, 1972).
As mentioned before, the Appalachian Mountains have been hit by
hurricanes as they are situated close to the east coast of North America. The
high pressure systems that build up in the Atlantic Ocean are blown west and
once reach land, some move northwards eventually reaching the
Appalachian Mountains. A recent example was Hurricane Ivan that brought
Width
Soil Depth
Soil
Thickness
Hollow
Ridge Ridge
Figure 1.5: Model of the cross sectional area of a hollow and ridges
12
heavy rainfall, 6 to 10 inches, to the Southern Appalachians on the 16th
September 2004. The effects were greater than would be expected as 10
days earlier another hurricane, Hurricane Frances, had already delivered 8 to
12 inches of rain. The increase in water on the slopes initiated a number of
landslides. Peeks Creek was the most devastating, killing 4 people, injuring
several more and destroying 15 homes. Due to the steep terrain and
abundance of loose sediment on the surface, the material liquefied and
flowed downslope (Lamb, n.d.). Since this disaster, the North Carolina
Geological Survey has created Geographic Information System hazard maps
to give an idea of slope movements and areas of potential landslides (USGS,
n.d.).
1.5 Hypotheses
 Lithology will affect the hollow widths as the size of a hollow is dependent on
topography, which is shaped by the denudiational rates into different rock
types; lower resistant rocks having wider hollows than higher resistant rock
types.
 Lithology will affect the state of dynamic equilibrium in the landscape; lower
resistant rocks being at a more steady state that higher resistant rock types.
 Higher upslope contributing area will increase the soil depth in the centre of the
hollow, due a higher flow of sediment to the hollow.
 Steeper slope gradients will increase the soil depth in the centre of the hollow
up to 40°, due faster rate of transport of sediment to the hollow.
13
2. METHODOLOGY
A field trip to Appalachian Mountains took place from the 5th
August to the
30rd
August to help collect data for Dr T. C. Hales on a project investigating
the role of hurricanes in controlling the initiation of landslides. This
dissertation uses the data we collected during the field trip.
2.1 Data Collection
To find the hollows in the Appalachian Mountains, we used a slope stability
index (Sinmap 2.0) based upon geographic information, primarily digital
elevation data to determine which slopes are not stable under extreme
weather conditions and would cause a landslide. Using the slope stability
index and GIS maps to find hollows that are accessible from roads, a number
of potential locations were found to investigate. While in the field these sites
were inaccessible in some cases, although driving down the mountain roads
that follow the contours of the terrain, dipping into hollows and out as the
noses protruded, the hollows that looked to have potential to fail; high
convergence and steep gradient, were measured. The contours on local
maps also gave a very good idea of where to search for the potential
hollows.
Legend
Macon County
Boundary
Appalachian Mountains
Boundary
Figure 2.1: Map of
Macon County inside
the Appalachian
Mountains boundary
(Google Earth, 2013)
14
My team and I dug 30 pits in the centre of hollows located around the target
area of Macon County, North Carolina. While digging these pits the width of
the hollow was measured with a transect running from one nose to the other
nose that marked the edges of the hollow. The noses are easily identified by
the divergence of the slope below.
After digging the pit into the side of the slope down to the bedrock, the soil
depth in the centre of the hollow was measured. The soil horizons could be
visibly seen. This can give an idea of the soil colour, organic content,
weathering and the bed rock layer (Fig. 2.3).
Figure 2.2: DEM of Macon County showing the sites of the hollows sampled (ArcGIS Map, 2009)
(m)
15
The slope angle of the hollow was estimated using a mobile app (Hill Slope
Calculator) by pointing camera upslope to a point that is the same height
above the ground as the mobile and using two people of similar height (Fig.
2.4).
Figure 2.3: Two photos of pit 36, showing measurement of depth to bedrock and soil
horizons
Figure 2.4: Method used to calculate slope gradient.
Person with
mobile
camera
Second Person
Slope Gradient
θ
θ
16
A sample from the bottom of the pit was taken for radio carbon dating for the
main project research on the date the first soil was deposited into the hollow
after the last landslide. Over the period from 26th
August to the 30th
August
we took the samples from the bottoms of these pits we dug to be prepared
for radio carbon dating at the Appalachian State University in Boone, North
Carolina.
Data for 60 different hollows in the area; including hollow width, GPS
locations of ridges and centre of hollow, slope of hollow at pit, pit depth,
probed pit depths, soil horizons, sample from bottom soil and soil depths
along the width of the hollow. The other 30 hollow’s data were collected from
18th
May to 8th
June 2013 by a different team.
To find the rock type at each hollow location, the sampled sites were overlaid
onto a geological map in ArcGIS. Next to attain the upslope contributing
area, the flow accumulation tool in ArcGIS was utilised as it finds the weight
for all cells that flow into each downslope cell. The cells that have a high flow
accumulation are areas of concentrated flow and can be used to identify
stream channels, while cells with flow accumulation of zero can be used to
identify high relief or ridges. Hollows with a larger upslope contributing area
must have a high flow accumulation as a large number of cells are flowing
towards the hollows cell. To locate the hollows cell for each location, another
ArcGIS tool was used; the Snap Pour Point. The tool finds the highest flow
accumulation within a specific distance of the GPS location. Inputting the
specific distance of 10m on every sampled point, the hollows central cell was
located and the flow accumulation value to taken. Flow accumulation values
range from 0 to large powers of 10, so a decimal logarithm scale was used to
make the data more manageable.
2.2 Statistical Analysis
Comparing the lithologies to the width and depth of the hollows, box and
whisker graphs were used to give a visual representation that can be
analysed and interpreted. A graph can then be created with each rock type
on the x-axis similar to a bar chart but a box with a line representing the
median (second quartile) and the top and bottom of the box by the upper and
17
lower quartiles. Whiskers are added to extend the area to the range of the
data with error lines from the top and bottom of the box. Any values that are
lie too far outside the range of data were taken as outliers, using the
equation: 1.5 x IQR, to find the demarcation line (Burt et al. 2009, Stapel,
n.d.). Analysis of variance on the data was applied to reveal if there was a
significant difference between lithology, which can then allow the use of least
significant difference to find which lithology data differs significantly.
Scatter graphs were created to compare the hollow widths and soil depths
with flow accumulation and slope gradient. Regression analysis was
conducted to estimate the relationships between the two variables, and with
the help of analysis of variance the confidence in a correlation can be
generated.
18
3. RESULTS
3.1 Hollow Area
Figure 3.1: Relationship between the width of a hollow and the soil depth in
the centre of that hollow.
Table 3.1: Regression Analysis of Hollow Width and Soil Depth
Regression analysis states that the hollow width accounts for 5% of the
increase in soil depth at the centre of the hollow. Using analysis of variance,
the confidence of the plotted line can be tested.
H0 = There is no correlation between Hollow Width and Soil Depth at the
centre of the hollow and any apparent correlation is entirely by chance.
y = 0.0054x + 0.8851
R² = 0.0501
0
0.5
1
1.5
2
2.5
0 10 20 30 40 50 60 70 80 90 100
SoilDepthatcentreofhollow(m)
Hollow Width (m)
Regression Statistics
Multiple R 0.22
R Square 0.05
Adjusted R Square 0.03
Standard Error 0.38
Observations 59
19
Table 3.2 Analysis of Variance of Hollow Width and Soil Depth
df SS MS F Significance F
Regression 1 0.42 0.42 2.92 0.09
Residual 57 8.13 0.14
Total 58 8.55
The null hypothesis can be rejected with 90% confidence; therefore there is a
correlation between hollow width and the soil depth in the centre of a hollow
for the three conditions [F(1, 57) = 2.92, p = 0.09].
3.2 Lithology vs. Hollow Width
Figure 3.2: Box and Whisker plot for lithology and the hollow’s width.
Box and Whisker plot for the different lithology’s found in the site area
against the hollow width. The plot gives a good representation for the
distribution of data around the median hollow width for each lithology. The
interquartile range is shown as the boxes and the lowest 25% and highest
25% of the data displayed by the whiskers. Outliers are also represented as
a cross marked on the plot; these values are ‘too far’ from the median value
that would be expected. Biotite gneiss has the greatest range of data,
ranging from only 15m to 64m, with an outlier at 86m. Metasedimentary rock,
0
10
20
30
40
50
60
70
80
90
100
Metasedimentary
rock (n=5) (Slate)
Biotite gneiss
(n=23)
(Amphibolite)
Granitic gneiss
(n=6) (Amphibolite)
Gneiss (n=19)
(Metasedimentary
rock)
Slate (n=6) (schist)
HollowWidth(m)
20
by contrast, has a very small range of data, ranging from only 35m to 61m.
The other three lithology’s have a similar range of data, with the minimum
and maximum data around 35 to 40m from each other. Slate has the highest
medium hollow width, 13, 24 and 20 meters greater than Biotite gneiss,
Granitic gneiss and Gneiss respectively. Metasedimentary rocks median
hollow width being only 7.5m less than slates median hollow width. The
interquartile range is quite large in Granitic gneiss and Slate when comparing
them to the other lithology’s.
Using analysis of variance on the lithology and hollow width data, we can
deduce if the Box and Whisker plots differ from each other.
H0: There is no significant difference between any of the means from the
sample groups and any difference is due to chance alone.
Table 3.3: Analysis of Variance of the effect of Lithology on Hollow Width
Source of
Variation
SS df MS F P-value F crit
Between Groups 2809.43 4 702.36 4.00 0.01 2.54
Within Groups 9475.91 54 175.48
Total 12285.34 58
ANOVA allows us to reject the null hypothesis, so there is a significant effect
of lithology on the hollow width at the p<0.05 level, for the three conditions
[F(4, 54) = 4.00, p = 0.01].
The least significant difference equation can be used to discover which of the
groups are causing a significant result by using the differences in the means
of each group.
LSD(ANOVA) = 10.96
Table 3.4: Differences in means of Hollow Widths between Lithology’s
Metasedimentary
rock
Biotite
gneiss
Granitic
gneiss
Gneiss Slate
Metasedimentary rock 0.00 -4.55 -14.40 -13.19 8.15
Biotite gneiss 4.55 0.00 -9.85 -8.64 12.70
Granitic gneiss 14.40 9.85 0.00 1.21 22.55
Gneiss 13.19 8.64 -1.21 0.00 21.34
Slate -8.15 -12.70 -22.55 -21.34 0.00
21
Looking at the difference in the means (Table 3.4), any group’s means that
are greater than the LSD value can be assumed to be significantly different
(highlighted in orange). Metasedimentary rock is therefore significantly
different to Granitic gneiss and Gneiss. All three of the Gneisses are not
significantly different to each other and the Slate is significantly different to all
three of the Gneisses.
3.3 Lithology vs. Soil Depth
Figure 3.3: Box and Whisker plot for lithology and the soil depth in the centre
of a hollow
Another Box and Whisker plot is used to display the distribution around the
soil depth medians for the different lithology’s the hollow is situated inside.
The size of the interquartile ranges differs a lot between the different rock
types, Granitic gneiss’ interquartile range is only 57.5 mm while Slate’s is
880 mm, and the other three lithologies are around 350 mm. The soil depth
medians are all quite similar, around 1064 mm. Granitic gneiss contains two
outliers that differ from the medium greatly, and Biotite gneiss and Gneiss
also contain outliers that are much deeper than the median soil depth.
0
0.5
1
1.5
2
2.5
Metasedimentary
rock (n=5) (Slate)
Biotite gneiss
(n=23)
(Amphibolite)
Granitic gneiss
(n=6) (Amphibolite)
Gneiss (n=19)
(Metasedimentary
rock)
Slate (n=6) (schist)
Depth
22
Analysis of variance can be used again to determine if there is a significant
difference between the different groups.
H0: There is no significant difference between any of the means from the
sample groups and any difference is due to chance alone.
Table 3.5: Analysis of Variance of the effect of Lithology on Soil Depth
Source of Variation SS df MS F P-value F crit
Between
Groups
1.17 4 0.29 2.14 0.09 2.54
Within Groups 7.37 54 0.14
Total 8.53 58
The null hypothesis must be accepted and there is no significant difference
between any of the sample groups.
23
3.4 Lithology and landscape
Figure 3.4: The landscape can be represented by digital elevation model on
ArcGIS for each of the different lithology’s to give an idea as to how rock
types shape hollows. Using clusters of hollows in the topography in the
different geologies, the concept can be created in the map below.
24
Metasedimentary rock and Slate look to have more rounded summits than
the Gneisses. They also have more level bases in the valley landscape. The
hollows seem to be at more of a consistent nature in Slate and
Metasedimentary rock along the side of a valley. While in the Gneisses the
landscape appears to be similar, with smaller hollows that are harder to
identify on a DEM map than Slate and Metasedimentary rock.
25
3.5 Flow Accumulation vs. Hollow Width
Figure 3.5: Relationship between hollow width and flow accumulation
Table 3.6: Regression Analysis of Flow Accumulation and Hollow Width
Regression Statistics
Multiple R 0.244
R Square 0.062
Adjusted R Square 0.043
Standard Error 0.341
Observations 59
Proves that Hollow Width accounts for 6.2% of the variation in the Flow
Accumulation.
Analysis of variance:
H0 = There is no correlation between Flow accumulation and Soil Depth at
the centre of the hollow and any apparent correlation is entirely by chance.
Table 3.7: Analysis of Variance of the effect of Slope on Flow
Accumulation
df SS MS F Significance F
Regression 1 0.42 0.42 3.60 0.06
Residual 57 6.61 0.12
Total 58 7.03
The null hypothesis can be rejected with a 90% confidence, so there is a
correlation between flow accumulation and soil depth for the three conditions
[F(1, 57) = 3.60, p = 0.06].
y = 0.0056x + 1.5983
R² = 0.0621
0
0.5
1
1.5
2
2.5
3
0 20 40 60 80 100
FlowAccumulation(Log10(Flow
Accumulation))
Hollow Width (m)
26
3.6 Flow Accumulation vs. Soil Depth
Figure 3.6: Relationship between soil depth at the centre of the hollow and
flow accumulations
Regression analysis can be applied to flow accumulation and soil depth data
to understand if the flow accumulation can be accounted for by variation in
the soil depth in the centre of a hollow.
Table 3.8: Regression Analysis of Flow Accumulation and Soil Depth
Regression Statistics
Multiple R 0.014
R Square 0.00003
Adjusted R Square -0.017
Standard Error 0.351
Observations 59
The R2
value is 0.0002, thus only 0.02% of the change in flow accumulation
can be accounted for by variation in the soil depth in the centre of a hollow.
y = -0.0054x + 1.8378
R² = 3E-05
0
0.5
1
1.5
2
2.5
3
0 0.5 1 1.5 2 2.5
Log10(FlowAccumulation)
Soil Depth in centre of hollow (m)
27
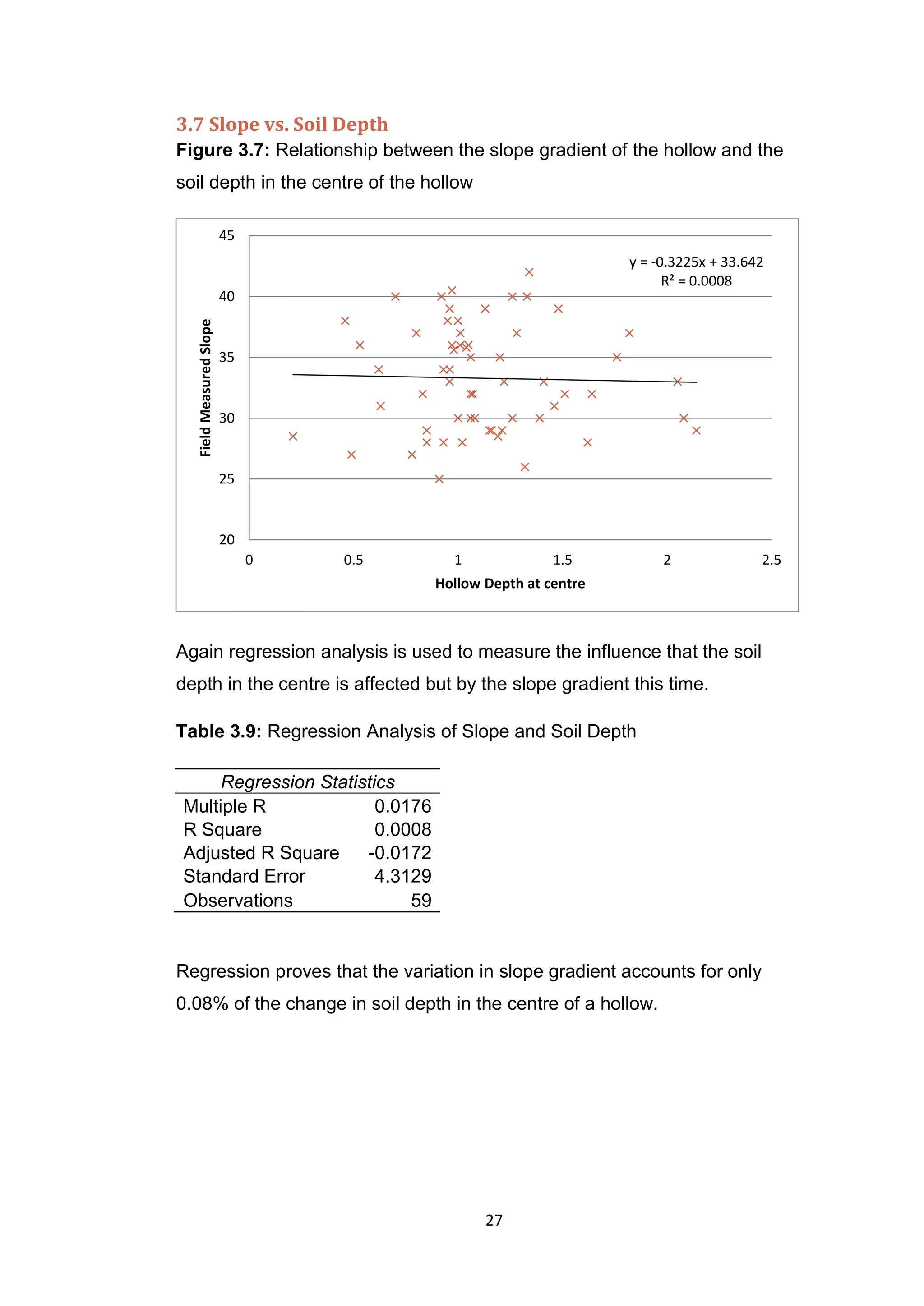
3.7 Slope vs. Soil Depth
Figure 3.7: Relationship between the slope gradient of the hollow and the
soil depth in the centre of the hollow
Again regression analysis is used to measure the influence that the soil
depth in the centre is affected but by the slope gradient this time.
Table 3.9: Regression Analysis of Slope and Soil Depth
Regression Statistics
Multiple R 0.0176
R Square 0.0008
Adjusted R Square -0.0172
Standard Error 4.3129
Observations 59
Regression proves that the variation in slope gradient accounts for only
0.08% of the change in soil depth in the centre of a hollow.
y = -0.3225x + 33.642
R² = 0.0008
20
25
30
35
40
45
0 0.5 1 1.5 2 2.5
FieldMeasuredSlope
Hollow Depth at centre
28
3.8 Slope vs. Flow Accumulation
Figure 3.8: Relationship between slope gradient and flow accumulation
Table 3.10: Regression Analysis of Slope and Flow Accumulation
Regression Statistics
Multiple R 0.31
R Square 0.11
Adjusted R Square 0.08
Standard Error 0.33
Observations 59
The slope gradient of hollows accounts for 11% of the decrease in flow
accumulation
Analysis of Variance:
H0 = There is no correlation between Flow Accumulation and Slope and any
apparent correlation is entirely by chance.
y = -0.0266x + 2.7177
R² = 0.1093
0
0.5
1
1.5
2
2.5
3
25 27 29 31 33 35 37 39 41 43
FlowAccumulation(Log10(FlowAccumulation))
Slope (°)
29
Table 3.11: Analysis of Variance of the effect of Slope on Flow
Accumulation
df SS MS F Significance F
Regression 1 0.66 0.66 5.91 0.02
Residual 57 6.37 0.11
Total 58 7.03
The null hypothesis can be rejected with 95% confidence, therefore there is a
correlation between Slope and Flow Accumulation, for the three conditions
[F(1, 57) = 5.91, p = 0.02].
30
4. DISCUSSION
The scatter graph for Hollow Width against Soil Depth in the centre of a
hollow gives a positive relationship between these two variables (Fig. 3.1).
The R2
value is so low it can be disregarded but the relationship can be
interpreted as a wider hollow will have a higher flow accumulation (Fig. 3.5),
thus there will be more sediment flowing into the centre and increase the soil
depth.
The centre of the hollow was estimated when in the field, as it would be
assumed that the deepest point would be the centre of the hollow, due to that
point having the most convergence of sediment. Human error may have
affected the precise location of the centre.
Next, as Hack described, the change in the landscape must then be time
independent and any differences or characteristics of form are due to the
geographic location, and the lithology of the area is the dominate explanation
(Hack, 1960). Hust et al also gave a similar conclusion that changes in
lithology in a landscape can affect sediment transport rates and thus
influencing the hillslope form of the topography. Therefore the rock type the
hollow is found in will affect the hillslope form, which in turn will determine the
shape of a hollow. A major feature of the shape of a hollow is the width. The
control of lithology on the hollow width in Macon County proves that a harder
resistant rock has less wide hollows than a weaker resistant rock. The area
is dominated by different types of metamorphic rocks, ranging from the
weaker Slate and Metasedimentary rock to the stronger Gneiss.
In section 3.2, there is an obvious difference between the hollow widths in
the Slate region and the three of the different Gneisses’ regions in the Box
and Whisker plot (Fig. 3.2). Analysis of variance proves that there is a
significant effect of lithology on the hollow width, and using Least Significant
Difference, it verifies that there is a significant difference between Slate and
the three different Gneisses’ hollow widths. Referring back to the Schmidt
hammer test which gauges rock hardness, giving a good indication of the
resistance to erosion of the rock (Wohl et al. 1994). Chen at al. explained
that a higher strength formation can reduce the impact of weather and
31
erosion events (Chen et al. 2011). The Gneisses have a higher hardness
rating than Slate due to their mineral composition. Thus if the area is under
the same erosional rates, less resistant rock will have a deeper incision.
Once a channel has formed, hillslope process will take place on the sides,
and creating the hollow form above the channel head. A deeper incision will
fundamentally create a wider channel valley and hollow, as over time the
diffusional processes (creep, fluvial wash) generates a consistent side slope
gradient throughout the environment (Fig. 4.1). This conflicts the paper by
Perron et al, which determined that more competent bedrock will have wider
valley spacing, which in turn will have wider hollows (Perron et al. 2008).
Although Perron et al data was collected for valleys which may not
experience landslides and not coincide with hollows above the channel, while
the data in this project was in hollows that have landslide potential.
The soil depth in the centre of the hollow is not affected by the lithology the
hollow in which is found in. Although erosion rates are expected to change
between different hardness of rock and in turn the sediment being
transported to the centre will be higher in a more erosive material the depths
are not coherent with this assumption. Analysis of variance proves that there
is no significant effect of lithology on the soil depth in the centre of a hollow.
Looking at both of these sets of data for lithology background, there are more
hollows in one rock type compared to others, for example 23 hollows were
measured in Biotite Gneiss regions while only 6 hollows measured in Slate
regions. The results may not be reliable as the distribution of data collected
Less Resistant Rock
More Resistant Rock
Stage 1 Stage 2 Stage 3
Figure 4.1: Model of how channel incision rates affect different resistances of rock over time.
From the initial channel incision at Stage 1 to a developed hollow shape in Stage 3.
32
was dependant on the access to the sites, which may have affected the
results we see.
The map in section 3.4 of the results gives a good representation of the
spread of data around my study area. From looking at the study site in a
large scale, the lithology does not seem to affect the topography we see.
Whereas when observing a smaller scale of the landscapes in the different
rock types, contrasts can be made between Slate and Metasedimentary rock
with the Gneisses. The more rounded summits in Slate and
Metasedimentary rock may be caused by a higher rate of mechanical erosion
on the weaker rock, exposing the surfaces to chemical weathering, allowing
the tops of the hillslopes to be more curved, suggesting these rocks are less
resistant to weathering and erosion (Hack, 1960). The spacing between the
hollows in Slate and Metasedimentary rock is quite consistent and the
sampled hollows are easily identifiable when compared to the Gneisses’
hollows. This could relate back to how hollow widths connect with lithology.
The consistency of the hollows suggests the area may be at a more steady
state of dynamic equilibrium, and no longer changing with time (Roaring et
al. 2007, Perron et al. 2008), similar to the Gabilan Mesa, California (Fig 4.2).
A wider and deeper hollow would be created by the less resistant rock type,
thus would be more easily identifiable on a map, coinciding with Figure 4.1.
Figure 4.2: Gabilan
Mesa, California,
with a visual uniform
spaced ridges and
valleys
(Perron, 2009)
33
Again this is limited to where the clusters of hollows are found in the
landscape, which was dependant on the accessibility of the sites. The
clusters for Slate and Metasedimentary rock are in close proximity, similarly
with Biotite Gneiss and Gneiss. This could explain the similarities between
these rock types. Although the three areas; Slate and Metasedimentary rock,
Biotite Gneiss and Gneiss, and Granitic Gneiss are all over 3km away from
each other, thus can be analysed reliably.
Once a hollow has formed in the landscape, the width of the hollow will not
change greatly, as for channel incision to occur, the bedrock must be open to
erosion, so the supply of sediment to the area must be low enough (Howard
et al. 1994). Only when the erosion rates exceed the production of soil does
the bedrock start to erode down at a fast rate (Selby, 1993). The soil depth of
a hollow may change considerably over time. Hillslope processes are
transporting sediment to the centre of the hollow from above the slope,
thickening the soil mantle. Over time you would expect soil depth in the
centre to increase, and the rate at which the upslope contributing area and
angle of the slope input material should determine this deepening.
Flow accumulation measures this upslope contributing area and when
comparing it to the soil depth in the centre of a hollow, there is no correlation
between the two variables (Fig. 3.6). A similar graph is created when
comparing the slope gradient and the soil depth (Fig. 3.7). The graphs both
show that flow accumulation and slope gradient have no significant effect on
the soil depth in the centre of a hollow. This is not what would be expected
as was stated before, although the explanation for this is the effect of
landslides. An increase in flow accumulation or a steep slope gradient will
transport a higher amount of sediment into the hollow. This increases the
weight of the material block above the plane and in turn the shear stress rise.
The shear strength of the block decreases and the hillslope becomes
unstable, giving a high chance of a landslide (Carson and Kirkby, 1972). The
higher flow accumulation and slope gradient also increases the water input to
the centre of the hollow, increasing the chance of saturation and causing
instability in the hillslope from high pore pressures. Landslide frequency
furthermore increases with slope gradient, up to around 40° and then
34
followed by a decrease, as landslide material on steeper slope gradients are
more liable to be transported by rapid runoff than to be deposited on to the
slope (Chen et al. 2011, Dai and Lee, 2002). A landslide will strip the soil
above the plane of weakness, which is usually the bedrock, ‘resetting’ the
soil depth in a hollow back just a rock surface, progressively the hollow fills
with new colluvial material from the upslope contributing area above the
hollow (Reneau et al. 1989). The effect of landslides can therefore be seen
indirectly. The factors that increase soil depth are counteracting themselves
in also increasing the chance of a landslide. This creates a limit to the depth
the soil in hollow can attain before a landslide event will take place.
To attribute to the reliability of the data collected, the Slope gradient against
Flow Accumulation is what is to be assumed (Fig. 3.8). Flow accumulation
decreases with slope gradient, which is what would be expected as the
gradient of the slope of the hollow decrease from the top to the bottom of the
hollow. Therefore on the very steep slopes, the sampled sites are at the
higher elevations in the hollow compared to the more gently sloping sampled
sites being at lower elevations in the hollow. This would affect the amount of
flow into the hollow as flow accumulation builds up with the length it is able to
travel as it accumulates water.
Although to attain the flow accumulation in the site, the Snap Pour Point tool
was used in ArcGIS, which may have influenced the results, as the highest
flow accumulation was found in a 10m radius from the original site due to any
error in the GPS location. The position of the centre of the hollow could then
have moved 10m from the correct location, impacting the data to give more
desirable figures. This is believed to be necessary as the error margin in the
field when measuring the GPS location was ranging from 6m to 10m, due to
canopy cover.
Other factors that affect the frequency of landslides are climate, vegetation
and human impact. The type of vegetation found in the hollow may impact
the soil stability due to root strength increasing the overall shear strength.
Thus a high density of trees and a large number of roots will anchor the soil
to the underlying bedrock, reducing the chance of a landslide. Deforestation
35
by humans on an area will lower this root strength. A large storm, for
example Hurricane Ivan, caused many hollows to fail in the Southern
Appalachians (Lamb, n.d.). To further understand the effect of landslides on
the soil depth, the last major climatic event must be examined that caused
slope instability by a high intensity of rainfall and saturated soils.
36
5. CONCLUSION
Landslides are defining factor in the evolution of the Appalachian landscape,
which occur mainly in the convergence of contours; hollows. The size of a
landslide is dependent on the area of soil in the hollow. Thus the wider the
hollow the more material that can be built up in that hollow and the larger the
landslide. The development of the material depth corresponds to the input
rates into the hollow.
The width of a hollow is reliant on the topography, as it defines the shape of
the terrain. The evolution of the landscape is sculpted by water, wind and ice
under the force of gravity. The rate of denudiational processes on carving
different rock types explains part of the variance in the topography. The
softer the rock is the deeper the channel incision and over time creates a
wider hollow, and ultimately a larger area increasing the size of a landslide.
The spacing between the valleys can determine the hollows width above the
river valley’s channels, the consistency of the spacing defines the effect
dynamic equilibrium has had on the landscape, determined by if the hollows
are in unison with each other. The less resistant areas are in a more steady
state than a more resistant rock area, creating a range of hollows that are
more consistent and similar to each other. Thus more dominated by diffusive
processes and steam incision, rather than the spatial extend of stream
incision.
Soil depth in the hollow depends on time, as the rate at which soil can be
transported from above will control the depth. The area above contributes
sediment with the help of a steeper gradient will increase this speed of
colluvium build up. Although these factors cannot be expressed, as they
respond with an increase in landslide frequency, creating a limit to the depth
the soil in a hollow can reach before failing, which is similar depth for any
area size above the hollow or any slope gradient. Landslides are a
dominating factor affecting sediment flux in the Appalachian landscape.
37
6. ACKNOWLEDGEMENTS
Thanks go to Dr. T. C. Hales; for the opportunity to carry out my research in
North Carolina, the Coweeta Hydrological lab in North Carolina; for the
hospitality and the help to undertake the field work, Dr R. Parker; for
guidance on the project and Daniel Cox; for the help in collection of data.
7. REFERENCES
Blong, R. J. (1974) Landslide form and hillslope morphology: An example
from New Zealand, Australian Geographer, Vol.12:5, p.425-438
Burt, J. E., Barber, G. M. and Rigby, D. L. (2009) Elementary Statistics for
Geographers. 3rd
Edition. The Guildford Press, New York p.72-74
Carson, M. A. and Kirkby, M. J. (2009) Hillslope Form and Process,
Cambridge University Press, Volume 3 of Cambridge Geographical Studies.
p.1083-1084
Chen, H., Lin, G-W., Lu, M-H., Shih, T-Y., Horng, M-J., Wu, S-J., and
Chuang, Bin. (2011) Effects of topography, lithology, rainfall and earthquake
on landslide and sediment discharge in mountain catchments of
southeastern Taiwan, Geomorphology, Volume 133, Issues 3–4, 15 October
2011, Pages 132-142, ISSN 0169-555X
Dai, F. C. and Lee, C. F (2002) Landslide characteristics and slope instability
modeling using GIS, Lantau Island, Hong Kong, Geomorphology, Volume 42,
Issues 3–4, 15 January 2002, p.213-228.
ESRI (Environmental Systems Resource Institute). 2009. ArcMap 9.2. ESRI,
Redlands, California. Copyright © 1999-2012 Esri Inc.
38
Go Google Earth 7.1.1.1888 2013. Appalachian Mountains, North America
36°52'02.71"N, 81°00'43.60"W. Geographical features data layer.
<http://www.google.com/earth/index.html> [Viewed 10 October 2013].ogle
Earth
Hack, J. T, & Goodlett, J. C. (1960). Geomorphology and forest ecology of
mountain region in the central Appalachians. Washington: U.S. Govt. Print.
Off. p.5-12
Hack, J. T. (1965), Geomorphology of the Shenandoah Valley, Virginia and
West Virginia, and origin of the residual ore deposits U. S. Geological Survey
Professional Paper, Vol. 484 p.20-24
Hack, J.T., (1960), Interpretation of erosional topography in humid temperate
regions: American Journal of Science, v. 258-A, p.80-97.
Hales, T.C., Scharer, K.M. and Wooten, R.M. (2011) Southern Appalachian
hillslope erosion rates measured by soil and detrital radiocarbon in hollows,
Geomorphology 138, 2012, p.121-129
Hancock, G. S., Anderson, R. S., and Whipple, K. X. (1998) Beyond power:
Bedrock river incision process and form. Rivers over rock: Fluvial processes
in bedrock channels, p.35-60. (eds K. J. Tinkler and E. E. Wohl), American
Geophysical Union, Washington, D. C.
Hinds, N. E. A. (1943) Geomorphology, The Evolution of Landscape.
Prentice-Hall, INC. New York p.153-171
Howard, A. D., Dietrich, W. E. and Seidl, M. A. (1994) Modeling fluvial
erosion on regional to continental scales. Journal of Geophysical Research,
Vol. 99, NO. B7, p.13,971-13,980
39
Hurst, M. D., Mudd, S. M., Yoo, K., Attal, M., and Walcott, R. (2013),
Influence of lithology on hillslope morphology and response to tectonic
forcing in the northern Sierra Nevada of California, J. Geophys. Res. Earth
Surf p.848
Lamb, J. R. (n.d.) The Deadly Debris Flow in Macon County NC During
Hurricane Ivan. NOAA/National Weather Service.
http://www.weather.gov/gsp/PeeksCreek. Accessed 3rd
January 2014, 14:00
Leopold, L. B., Wolman, M. G. and Miller, J. P. (1964) Fluvial Processes in
Geomorphology, W. H. Freeman and Company, San Francisco and London.
p.30
Perron, J. T., Kirchner, J. W. and Dietrich, W. E. (2009). Formation of evenly
spaced ridges and valleys. Nature. p.502-509
Perron, J. T., W. E. Dietrich, and J. W. Kirchner (2008), Controls on the
spacing of first-order valleys. J. Geophys. Res., 113 p.1-21
Pipkin, B. W. and Trent, D. D. (2001) Geology and the environment, 3rd
Edition Brooks/Cole p.47
Plummer, C. C. and Carlson, D. H. (2008) Physical Geology, 12th
Edition
McGraw-Hill p.178-179
Reneau, S. L., Dietrich, W. E., Rubin, D. M., Donahue, D. J. and Jull A. J. T.
(1989) Analysis of hillslope erosion rates using dated colluvial deposits. J.
Geol., 97 , p.45
Roering, J. J., Perron, J. T. and Kirchner, J. W. (2007) Functional
relationships between denudation and hillslope form and relief. Earth and
Planetary Science Letters 264 (2007) p.245–258
40
Ruhe, R. V. (1975) Geomorphology: geomorphic processes and surficial
geology. Houghton Mifflin, Boston p.99-123
Selby, M. J. (1993) Hillslope Materials and Processes, Oxford University
Press, Oxford p277-278, p.57-58
Skinner, B. J., Porter, S. C., and Park, J. (2004) Dynamic Earth, An
Introduction to Physical Geology, 5th
Edition. John Wiley & Sons p.211-212
Stapel, E. (n.d.) Box-and-Whisker Plots: Interquartile Ranges and
Outliers. Purplemath. http://www.purplemath.com/modules/boxwhisk3.htm
Accessed 6 January 2014, 17:00
Taylor, S. B., Kite, J. S. (2006) Comparative geomorphic analysis of surficial
deposits at three central Appalachian watersheds: Implications for controls
on sediment-transport efficiency, Geomorphology, Volume 78, Issues 1–2,
15 August 2006, p.22-43, ISSN 0169-555X
USGS (2009) Birth of the Mountains, The Geologic Story of the Southern
Appalachian Mountains. U.S. Department of the Interior, U.S. Geological
Survey. p.2-20 http://pubs.usgs.gov/gip/birth/
USGS (n.d.), Introduction to Landslide Activities in North Carolina,
http://landslides.usgs.gov/research/inventory/northcarolina. Accessed 3rd
January 2014, 11:30
Vernon, R. H. and Clarke, G. L. (2008) Principles of Metamorphic Petrology,
Cambridge University Press p.307-310
Waltham, T. (2002) Foundations Of Engineering Geology, London: Spon
Press, eBook Collection p.48-52 (EBSCOhost), EBSCOhost, viewed 30
December 2013
41
Whipple, K. X. (2009) Geomorphology: Landscape texture set to scale,
Nature, Volume 460, Issue 7254, pp. 468-469
Wohl, E. E., Greenbaum, N., Schick, A. P. and Baker, V. R. (1994) Controls
on bedrock channel incision along Nahal Paran, Israel. John Wiley & Sons,
Ltd p.1-13

Dissertation

  • 1.
    2014 Cardiff University Robert Flashman LandscapeEvolution in Hollows in the Southern Appalachian Mountains Landslides are the dominate factor in the sediment flux in the Appalachian Mountains, and with the help of stream incision and diffusive processes, shape the landscape. Hollows are common sites for these landslide events due to the convergence of contours. Thus the distribution and area of hollows relates to landslide frequency and size. Lithology has a large impact on the widths and consistency of hollows, with a lower resistance to denudation causing wide and consistent hollows, concluding that they are a more steady state of dynamic equilibrium. The depth of the soil found in the hollow is limited by the frequency of mass wasting events, as soil depths did not increase with higher flow accumulation or an optimal slope gradient for deposition.
  • 2.
    1 Contents LIST OF FIGURESAND TABLES ................................................................. 2 1. INTRODUCTION..................................................................................... 3 1.1 Geologic Background ........................................................................... 3 1.2 Geomorphic Landform Evolution .......................................................... 5 1.3 Hollow Soil Formation........................................................................... 9 1.4 Slope Failure ........................................................................................ 9 1.5 Hypotheses......................................................................................... 12 2. METHODOLOGY..................................................................................... 13 2.1 Data Collection ................................................................................... 13 2.2 Statistical Analysis.............................................................................. 16 3. RESULTS ................................................................................................ 18 3.1 Hollow Area ........................................................................................ 18 3.2 Lithology vs. Hollow Width.................................................................. 19 3.3 Lithology vs. Soil Depth ...................................................................... 21 3.4 Lithology and landscape..................................................................... 23 3.5 Flow Accumulation vs. Hollow Width .................................................. 25 3.6 Flow Accumulation vs. Soil Depth....................................................... 26 3.7 Slope vs. Soil Depth ........................................................................... 27 3.8 Slope vs. Flow Accumulation.............................................................. 28 4. DISCUSSION........................................................................................... 30 5. CONCLUSION......................................................................................... 36 6. ACKNOWLEDGEMENTS ........................................................................ 37 7. REFERENCES ........................................................................................ 37
  • 3.
    2 LIST OF FIGURESAND TABLES Figure Title Page no. 1.1 Map of North America, showing the location of the Appalachian Mountains along the East side of North America 3 1.2 Geometric forms of hillslopes. (a) Side slopes on the left, (b) ridge/noses in the middle and (c) hollows on the right 6 1.3 (a) DEM map of a hollow and ridge landscape, (b) DEM map with contours and (c) Contour map showing the direction of flow 6 1.4 The evolution of topography by channel incision and soil creep, creating regular hollows and fist order streams. 8 1.5 Model of the cross sectional area of a hollow and ridges 11 2.1 Map of Macon County inside the Appalachian Mountains boundary 13 2.2 DEM of Macon County showing the sites of the hollows sampled 14 2.3 Two photos of pit 36, showing measurement of depth to bedrock and soil horizons 15 2.4 Method used to calculate slope gradient 15 3.1 Relationship between the width of a hollow and the soil depth in the centre of that hollow. 18 3.2 Box and Whisker plot for lithology and the hollow’s width. 19 3.3 Box and Whisker plot for lithology and the soil depth in the centre of a hollow 21 3.4 DEM map of the site with lithology and sampled hollows overlaid, with closer images for clusters of hollows in the different lithology’s 23 3.5 Relationship between hollow width and flow accumulation 25 3.6 Relationship between soil depth at the centre of the hollow and flow accumulations 26 3.7 Relationship between the slope gradient of the hollow and the soil depth in the centre of the hollow. 27 3.8 Relationship between slope gradient and flow accumulation 28 4.1 Model of how channel incision rates affect different resistances of rock over time. 31 4.2 Gabilan Mesa, California, with a visual uniform spaced ridges and valleys 32 Table Title Page no. 3.1 Regression Analysis of Hollow Width and Soil Depth 18 3.2 Analysis of Variance of Hollow Width and Soil Depth 18 3.3 Analysis of Variance of the effect of Lithology on Hollow Width 20 3.4 Differences in means of Hollow Widths and Lithology’s 20 3.5 Analysis of Variance of the effect of Lithology on Soil Depth 22 3.6 Regression Analysis of Flow Accumulation and Hollow Width 25 3.7 Analysis of Variance of the effect of Slope on Flow Accumulation 25 3.8 Regression Analysis of Flow Accumulation and Soil Depth 26 3.9 Regression Analysis of Slope and Soil Depth 27 3.10 Regression Analysis of Slope and Flow Accumulation 28 3.11 Analysis of Variance of the effect of Slope on Flow Accumulation 29
  • 4.
    3 1. INTRODUCTION 1.1 GeologicBackground The Appalachian Mountains are ancient mountains, created even before Pangaea had formed or the mountain building events which created the Rocky Mountains, Himalayas and the Alps. They are located along the eastern side of North America, stretching from Newfoundland and the south east of Canada to the south east of the United States of America (Fig. 1.1). To the westward side, towards the south are the Mississippi and other rivers, and other smaller mountain ranges and highlands. During the initial mountain building event of the Appalachian Mountain’s, smaller ranges and highlands comprising of the Ozark, Arbuckle, Llano of Texas, and the Ouachita Mountains of Arkansas and Oklahoma are believed to be included but have separated by further deformations (Pipkin and Trent, 2001, Hinds, 1943). Figure 1.1: Map of North America, showing the location of the Appalachian Mountains along the East side of North America (ArcMap, Made with Natural Earth)
  • 5.
    4 During the Cambrianperiod (541-485 million years ago), a geosyncline formed, where a very large accumulation of sediment occurred over a long belt. The belt sank slowly as the sediment mass carried on increasing, forming a thick layer, around 20,000 to 30,000 feet in depth. A shallow sea covered the sediment, estimated to have not been any deeper than 600 feet (Hinds, 1943). This deep basin, known as the Ocoee basin was established. It was made up of clay, silt, sand and gravel which were deposited into the basin by the surrounding rivers (USGS, 2009). In the late Palaeozoic era, around the Carboniferous and Permian period the geosyncline deformed (Hinds 1943). The deformation was due to the collision of the continents of North America and Africa. Massive amounts of rock were raised over the North American continent and the geosynclinal belt began to fold into huge anticlines and synclines, which then faulted, reaching peaks much higher than the present mountains. The pressure and temperature of the compressions metamorphosed the rock, increasing the resistance in some areas. Some rocks became so hot, as the continental crust rubbed together that they melted and when cooled and crystallised, created igneous plutons in the rock masses (USGS, 2009). After this epoch of compression, the initial mountains have been eroded down to almost a planar surface. The ranges that we see today are from re-elevation of blocks by vertical movement by bending or warping, as there is very little evidence of further compression. The progressive erosion, by glaciers, landslides and soil diffusion, has lowered the elevation of the peaks to only 5,000 to 7,000 feet (Hinds, 1943). Metamorphosed rock makes up a large amount of the lithology found in the Appalachian Mountains. Sedimentary rocks, such as Shale’s have undergone low grade metamorphism to create slates. Slates are very fine- grained and the environment that creates slate is only at a slightly higher temperature and pressures than the environments that produced sedimentary rock. The mineral composition of the rock is mainly Quartz, Feldspar, Chlorite and Muscovite Mica, with a low rating on Mohs scale of relative hardness, ranging from 2.5 to 7. The minerals in the rock align due to stresses forming slaty cleavage. Higher grade metamorphism creates rocks, such as schist and gneiss that have a larger grain size, with some minerals
  • 6.
    5 seen by thenaked eye. Gneiss’ contain layers of minerals, darker mica or amphibole and lighter feldspar and quartz layers. The composition of minerals is similar to igneous rocks; granite or diorite although it has different foliation. Gneiss is composed of mainly Quartz, Feldspar, Garnet and Sillimanite, which have a high rating on Mohs scale of relative hardness, ranging from 6 to 7.5 (Skinner et al. 2004, Plummer and Carlson, 2008). Metasedimentary rocks, also found in the Appalachians, are sedimentary rocks that seem to have been changed by metamorphism, and the composition remains similar to the sedimentary rock (Vernon and Clarke, 2008). 1.2 Geomorphic Landform Evolution The mountainous landscape has formed the ridge and valley terrain present today (Fig. 1.3b). The valley sides can be recognised as one of three kinds of slope; the hollow, the side slope and the nose. There are three geometric components that define these hillslopes; the gradient of the slope, the slope length and the slope width. The slope width and length can be further curved and in conjunction with the gradient will determine the speed of runoff on a slope (Fig. 1.2). In an open system these different hillslopes form as streams cut into the sides of the already formed valley. This creates the low order streams which are closed at the head and along the sides and open at the mouth which run into the high order stream found in the valley (Ruhe, 1975). (Fig. 1.2c) The hollow has a slope width which is concave and has converging contours, generating an area of high concentration of moisture (Fig. 1.3c). They do not contain a stream channel and are an extension of a first order stream above the channel head, with runoff being subsurface (Reneau et al. 1989, Hack 1965). The transport rate of material into to the hollows centre therefore corresponds to the degree of convergence (Taylor and Kite, 2006). In mountain hollows, the soil has cobbles and boulders that range from sub-rounded to angular, which is much less fine than side slopes and the noses. This is believed to be generated by large discharges of water causing mechanical sorting which are dominate in shaping hollows (Hack, 1965). Any roundness is probably due to weathering or abrasion as small particles are washed over by surface runoff in high rainfall periods (Hack and
  • 7.
    6 Goodlett, 1960). Hollowstherefore fluctuate between the build-up of sediment over a long period of time and then an erosional event occurs, stripping the top material away from the bedrock, such as landslides or gulling (Reneau et al. 1989). While at the nose (Fig. 1.2b), the slope width is convex and thus diverges from top to bottom of the slope, and so there is divergent flow of water. The side slope (Fig. 1.2a) is not curved along the width, so there is sheet flow down the slope (Ruhe, 1975). John T. Hack explains this type of topography as ridges and ravines; “monotonous network of branching valleys and intervening low ridges that make up the landscape of large areas” (Hack, 1960). To understand how these hillslope landscapes would have initially formed, the channels incision rate into bedrock must be determined (Hancock et al. 1998). Channel incision occurs into the bedrock when the alluvial cover in the channel is lost by low sediment supply or steep slopes. High elevation and uplift rates, local folding or faulting, competent bedrock, low sediment Figure 1.2: Geometric forms of hillslopes. (a) Side slopes on the left, (b) ridge/noses in the middle and (c) hollows on the right. (Ruhe, 1975) Figure 1.3: (a) DEM map of a hollow and ridge landscape. (b) DEM map with contours. (c) Contour map showing the direction of flow. (ArcGIS map) (a) (b) (c) (a) (b) (c)
  • 8.
    7 yields, and possiblymass wasting events are factors common to these bedrock rivers, which are common to times of initial mountain building (Howard et al. 1994). Hack also derives the understanding of a mountainous landscape to be determined through the principle of dynamic equilibrium to spatial relationship within the drainage system. Thus erosional and depositional processes create forms that are a constant feature throughout the topography of an area, so are at steady state. The change in the landscape must then be independent of time and any differences or characteristics of form are due to the geographic location, so the lithology of the region is the dominate factor. Using the principle of dynamic equilibrium on a hillslope, it can be inferred that the erosion at the foot of the slope is equal to the input of sediment being added from the upslope contributing area (Hack, 1960). Hurst et al. also concluded that changes in lithology in a landscape can affect sediment transport rates and thus influencing the hillslope form of the topography in the northern Sierra Nevada of California (Hurst et al. 2013). In continuation of the use of dynamic equilibrium to explain topography, if two areas of different geology are to be eroded and transport at the same rate then the topography must differ to support the steady state. In an example of a metamorphic rock region to be eroded and transported at the same speed as a weaker sedimentary rock region, the metamorphic rock region requires more energy, thus the topography will need be at a higher relief and have steep slopes to balance the erosion and transport rates. More rounded divides will be found in rock types that are susceptible to chemical weathering, so areas that are not subject to rapid chemical decay will be mechanically worn down and thus will need sharper divides to match the removal rates (Hack, 1960). We can therefore deduce that ridge and hollow landscapes with a less resistant rock type have lower reliefs, shallower slopes and less sharp divides than a landscape with more resistant rock type. In a paper by Perron et al, a numerical model is created to simulate the evolution in the landscape as channel incision and soil creep shape the
  • 9.
    8 terrain. The changefrom a random and irregular valleys to valleys that are in dynamic equilibrium with even spacing over time, as the competition of the drainage areas causes smaller valleys or valleys in close proximity to be stunted and overrun by the larger valleys (Fig. 1.4). A model was created to show the valley spacing using soil diffusivity, stream erosion and the drainage area component. The paper concluded that wider valley spacing is dependent on stronger rocks and soil creep dominate while weaker rocks are related to closely spaced valleys and channel incision dominated (Whipple, 2009). The mechanical strength of bedrock is expected to be negatively correlated to stream erosion, although the sites that were investigated found that the most competent bedrocks had the widest valley spacing (Perron et al. 2009). The space between valleys corresponds to the widths of the valleys from ridge to ridge, and a valley’s width will coincide to the hollow width above the channel head. Figure 1.4: The evolution of topography by channel incision and soil creep, creating regular hollows and fist order streams. (Perron et al. 2008)
  • 10.
    9 1.3 Hollow SoilFormation The formation of the soils found in the hollows is from the disintegration of rocks by the combination of mechanical or chemical weathering. Mechanical weathering is breaking down of the rock by physical forces, mainly induced by temperature stresses or ice formation in the rock. The result of changes in the temperature during the day causes swelling of the rock during the day and contraction of the rock during the night, causing stresses in the rock leading to cracks forming. When water is able to percolate into these cracks and then freezes, the water expands and the opens the cracks further, fracturing rock masses. The continual breakdown down process causes rock fragments to decrease in size. The crystal structure of the rock remains unaffected, which is where chemical weathering comes in to play to breakdown these structures with water or oxygen or by alkaline or acid materials dissolved in the soil water (Scott et al. 1980). The resultant landforms are determined by understanding the materials properties involved and how different stresses act on them (Leopold et al. 1964). The transportation of soil on hillslopes into hollows is primarily by soil creep, an extremely slow downslope movement of soil. Creep is caused by a continual altering of the surface layer of soil by variations in soil moisture and temperature that expand and contract soil. Creep is also helped by surface wash, rain splash and biogenic processes (Carson and Kirkby, 1972). 1.4 Slope Failure In mountainous areas, landslides are a very important geomorphic process that helps form the sediment budget in high relief regions (Chen et al. 2011). They occur when a slope has been static over a long time period, slowly building up with weathered and eroded material and becoming unstable until failing, transporting a large amount of sediment downslope (Waltham, 2002). This is due to the direct effect of increasing weight of soil above a plane which causes a rise in shear stresses. The weight of the soil increases the shear strength although it is much lower as only the contact between the soil and the plane, which increases friction, is associated with effective normal stress and the cohesion of soil is uniform with depth (Carson and Kirkby,
  • 11.
    10 1972). Shallow slidesoccur mainly on strong rock hill masses, which form around a 1-2m debris mantled slope from the effects of weathering. Topography, lithology, climate, tectonics and the humans are the main impacting factors cause a slope to fail. The topography of the land affects landslides as the angle of the slope must be around 10° to 50°, depending on the grain sizes, for a landslide take place. If the slope is too steep, then the sediment is more prone to being transported downslope very quickly to being deposited by the rapid surface runoff (Chen et al. 2011). For the more shallow slopes, the driving force is very low that sediment will be transported dominantly by soil creep. Landslide frequency increases with slope gradient until around the 35°–40°, followed by a decrease in frequency above 40° (Dai and Lee, 2002). The convergence of the slope, such as in a hollow, will increase water flow into one part of the slope and reduce shear stress. Climate is a major influence to triggering landslides as water has a large effect on the stresses within slopes. A wet climate increases the water pressure in the soil which decreases the effective stress which also reduces the resistance to shear (Waltham, 2002). Intense rainfall from hurricanes (e.g. Hurricane Ivan in the Appalachian Mountains), saturates the slopes and triggers many landslides in that area. All these factors have a limiting factor of the lithology as the higher the resistance of the rock type will reduce the force of weathering and erosion, limiting the amount of sediment produced and decreasing the probability of a landslide (Chen et al. 2011). Lithologies also that have a low permeability will have a slow surface water to groundwater rate, thus more water in sub surface which can lead to a higher pore pressure and causing a landslide. The size of the material produced by the erosion and weathering of the rock type affects pore pressure as a more coarse material is liable to saturation as the voids between the particles are much larger allowing water to move through them quicker compared to finer soil (Carson and Kirkby, 1972). Humans have impacted the chances of landslides by deforestation. The deforestation of slopes reduces the mechanical reinforcement of the soil that roots give and trees provides interception and evapotranspiration which lowers the water table, thus reducing soil moisture (Selby, 1993).
  • 12.
    11 Water is thesignificant trigger to the failure of a slope. Fully saturated soils lose their apparent cohesion as there are no surface tension forces holding the particles together. Pore water pressure increases and the shear stress along the basal shear surface reduce, and thus movement of the sliding mass occurs easier. The higher pore water pressure decreases the soil strength as constrained water cannot withstand a shear stress (Selby, 1993). To calculate the size of a landslide that could occur, the volume of the colluvium in the hollow that has potential to move must be estimated. The cross sectional area can be estimated using the soil depth across the hollow and the width of the hollow (Fig. 1.5). Local surface topography defines local slope and shallow subsurface flow convergence. The soil depth of the hollow is time dependent as the build-up of soil is reliant on upper contributing area and the angle of the slope, as the rate they supply the hollow. The upslope contributing area affects the chance of a landslide because it adds the soil to the area, increasing the weight of material, but also supplements the hollow with water. Carson and Kirkby determined that transport rates should increase with steepening slope gradient (Carson and Kirkby, 1972). As mentioned before, the Appalachian Mountains have been hit by hurricanes as they are situated close to the east coast of North America. The high pressure systems that build up in the Atlantic Ocean are blown west and once reach land, some move northwards eventually reaching the Appalachian Mountains. A recent example was Hurricane Ivan that brought Width Soil Depth Soil Thickness Hollow Ridge Ridge Figure 1.5: Model of the cross sectional area of a hollow and ridges
  • 13.
    12 heavy rainfall, 6to 10 inches, to the Southern Appalachians on the 16th September 2004. The effects were greater than would be expected as 10 days earlier another hurricane, Hurricane Frances, had already delivered 8 to 12 inches of rain. The increase in water on the slopes initiated a number of landslides. Peeks Creek was the most devastating, killing 4 people, injuring several more and destroying 15 homes. Due to the steep terrain and abundance of loose sediment on the surface, the material liquefied and flowed downslope (Lamb, n.d.). Since this disaster, the North Carolina Geological Survey has created Geographic Information System hazard maps to give an idea of slope movements and areas of potential landslides (USGS, n.d.). 1.5 Hypotheses  Lithology will affect the hollow widths as the size of a hollow is dependent on topography, which is shaped by the denudiational rates into different rock types; lower resistant rocks having wider hollows than higher resistant rock types.  Lithology will affect the state of dynamic equilibrium in the landscape; lower resistant rocks being at a more steady state that higher resistant rock types.  Higher upslope contributing area will increase the soil depth in the centre of the hollow, due a higher flow of sediment to the hollow.  Steeper slope gradients will increase the soil depth in the centre of the hollow up to 40°, due faster rate of transport of sediment to the hollow.
  • 14.
    13 2. METHODOLOGY A fieldtrip to Appalachian Mountains took place from the 5th August to the 30rd August to help collect data for Dr T. C. Hales on a project investigating the role of hurricanes in controlling the initiation of landslides. This dissertation uses the data we collected during the field trip. 2.1 Data Collection To find the hollows in the Appalachian Mountains, we used a slope stability index (Sinmap 2.0) based upon geographic information, primarily digital elevation data to determine which slopes are not stable under extreme weather conditions and would cause a landslide. Using the slope stability index and GIS maps to find hollows that are accessible from roads, a number of potential locations were found to investigate. While in the field these sites were inaccessible in some cases, although driving down the mountain roads that follow the contours of the terrain, dipping into hollows and out as the noses protruded, the hollows that looked to have potential to fail; high convergence and steep gradient, were measured. The contours on local maps also gave a very good idea of where to search for the potential hollows. Legend Macon County Boundary Appalachian Mountains Boundary Figure 2.1: Map of Macon County inside the Appalachian Mountains boundary (Google Earth, 2013)
  • 15.
    14 My team andI dug 30 pits in the centre of hollows located around the target area of Macon County, North Carolina. While digging these pits the width of the hollow was measured with a transect running from one nose to the other nose that marked the edges of the hollow. The noses are easily identified by the divergence of the slope below. After digging the pit into the side of the slope down to the bedrock, the soil depth in the centre of the hollow was measured. The soil horizons could be visibly seen. This can give an idea of the soil colour, organic content, weathering and the bed rock layer (Fig. 2.3). Figure 2.2: DEM of Macon County showing the sites of the hollows sampled (ArcGIS Map, 2009) (m)
  • 16.
    15 The slope angleof the hollow was estimated using a mobile app (Hill Slope Calculator) by pointing camera upslope to a point that is the same height above the ground as the mobile and using two people of similar height (Fig. 2.4). Figure 2.3: Two photos of pit 36, showing measurement of depth to bedrock and soil horizons Figure 2.4: Method used to calculate slope gradient. Person with mobile camera Second Person Slope Gradient θ θ
  • 17.
    16 A sample fromthe bottom of the pit was taken for radio carbon dating for the main project research on the date the first soil was deposited into the hollow after the last landslide. Over the period from 26th August to the 30th August we took the samples from the bottoms of these pits we dug to be prepared for radio carbon dating at the Appalachian State University in Boone, North Carolina. Data for 60 different hollows in the area; including hollow width, GPS locations of ridges and centre of hollow, slope of hollow at pit, pit depth, probed pit depths, soil horizons, sample from bottom soil and soil depths along the width of the hollow. The other 30 hollow’s data were collected from 18th May to 8th June 2013 by a different team. To find the rock type at each hollow location, the sampled sites were overlaid onto a geological map in ArcGIS. Next to attain the upslope contributing area, the flow accumulation tool in ArcGIS was utilised as it finds the weight for all cells that flow into each downslope cell. The cells that have a high flow accumulation are areas of concentrated flow and can be used to identify stream channels, while cells with flow accumulation of zero can be used to identify high relief or ridges. Hollows with a larger upslope contributing area must have a high flow accumulation as a large number of cells are flowing towards the hollows cell. To locate the hollows cell for each location, another ArcGIS tool was used; the Snap Pour Point. The tool finds the highest flow accumulation within a specific distance of the GPS location. Inputting the specific distance of 10m on every sampled point, the hollows central cell was located and the flow accumulation value to taken. Flow accumulation values range from 0 to large powers of 10, so a decimal logarithm scale was used to make the data more manageable. 2.2 Statistical Analysis Comparing the lithologies to the width and depth of the hollows, box and whisker graphs were used to give a visual representation that can be analysed and interpreted. A graph can then be created with each rock type on the x-axis similar to a bar chart but a box with a line representing the median (second quartile) and the top and bottom of the box by the upper and
  • 18.
    17 lower quartiles. Whiskersare added to extend the area to the range of the data with error lines from the top and bottom of the box. Any values that are lie too far outside the range of data were taken as outliers, using the equation: 1.5 x IQR, to find the demarcation line (Burt et al. 2009, Stapel, n.d.). Analysis of variance on the data was applied to reveal if there was a significant difference between lithology, which can then allow the use of least significant difference to find which lithology data differs significantly. Scatter graphs were created to compare the hollow widths and soil depths with flow accumulation and slope gradient. Regression analysis was conducted to estimate the relationships between the two variables, and with the help of analysis of variance the confidence in a correlation can be generated.
  • 19.
    18 3. RESULTS 3.1 HollowArea Figure 3.1: Relationship between the width of a hollow and the soil depth in the centre of that hollow. Table 3.1: Regression Analysis of Hollow Width and Soil Depth Regression analysis states that the hollow width accounts for 5% of the increase in soil depth at the centre of the hollow. Using analysis of variance, the confidence of the plotted line can be tested. H0 = There is no correlation between Hollow Width and Soil Depth at the centre of the hollow and any apparent correlation is entirely by chance. y = 0.0054x + 0.8851 R² = 0.0501 0 0.5 1 1.5 2 2.5 0 10 20 30 40 50 60 70 80 90 100 SoilDepthatcentreofhollow(m) Hollow Width (m) Regression Statistics Multiple R 0.22 R Square 0.05 Adjusted R Square 0.03 Standard Error 0.38 Observations 59
  • 20.
    19 Table 3.2 Analysisof Variance of Hollow Width and Soil Depth df SS MS F Significance F Regression 1 0.42 0.42 2.92 0.09 Residual 57 8.13 0.14 Total 58 8.55 The null hypothesis can be rejected with 90% confidence; therefore there is a correlation between hollow width and the soil depth in the centre of a hollow for the three conditions [F(1, 57) = 2.92, p = 0.09]. 3.2 Lithology vs. Hollow Width Figure 3.2: Box and Whisker plot for lithology and the hollow’s width. Box and Whisker plot for the different lithology’s found in the site area against the hollow width. The plot gives a good representation for the distribution of data around the median hollow width for each lithology. The interquartile range is shown as the boxes and the lowest 25% and highest 25% of the data displayed by the whiskers. Outliers are also represented as a cross marked on the plot; these values are ‘too far’ from the median value that would be expected. Biotite gneiss has the greatest range of data, ranging from only 15m to 64m, with an outlier at 86m. Metasedimentary rock, 0 10 20 30 40 50 60 70 80 90 100 Metasedimentary rock (n=5) (Slate) Biotite gneiss (n=23) (Amphibolite) Granitic gneiss (n=6) (Amphibolite) Gneiss (n=19) (Metasedimentary rock) Slate (n=6) (schist) HollowWidth(m)
  • 21.
    20 by contrast, hasa very small range of data, ranging from only 35m to 61m. The other three lithology’s have a similar range of data, with the minimum and maximum data around 35 to 40m from each other. Slate has the highest medium hollow width, 13, 24 and 20 meters greater than Biotite gneiss, Granitic gneiss and Gneiss respectively. Metasedimentary rocks median hollow width being only 7.5m less than slates median hollow width. The interquartile range is quite large in Granitic gneiss and Slate when comparing them to the other lithology’s. Using analysis of variance on the lithology and hollow width data, we can deduce if the Box and Whisker plots differ from each other. H0: There is no significant difference between any of the means from the sample groups and any difference is due to chance alone. Table 3.3: Analysis of Variance of the effect of Lithology on Hollow Width Source of Variation SS df MS F P-value F crit Between Groups 2809.43 4 702.36 4.00 0.01 2.54 Within Groups 9475.91 54 175.48 Total 12285.34 58 ANOVA allows us to reject the null hypothesis, so there is a significant effect of lithology on the hollow width at the p<0.05 level, for the three conditions [F(4, 54) = 4.00, p = 0.01]. The least significant difference equation can be used to discover which of the groups are causing a significant result by using the differences in the means of each group. LSD(ANOVA) = 10.96 Table 3.4: Differences in means of Hollow Widths between Lithology’s Metasedimentary rock Biotite gneiss Granitic gneiss Gneiss Slate Metasedimentary rock 0.00 -4.55 -14.40 -13.19 8.15 Biotite gneiss 4.55 0.00 -9.85 -8.64 12.70 Granitic gneiss 14.40 9.85 0.00 1.21 22.55 Gneiss 13.19 8.64 -1.21 0.00 21.34 Slate -8.15 -12.70 -22.55 -21.34 0.00
  • 22.
    21 Looking at thedifference in the means (Table 3.4), any group’s means that are greater than the LSD value can be assumed to be significantly different (highlighted in orange). Metasedimentary rock is therefore significantly different to Granitic gneiss and Gneiss. All three of the Gneisses are not significantly different to each other and the Slate is significantly different to all three of the Gneisses. 3.3 Lithology vs. Soil Depth Figure 3.3: Box and Whisker plot for lithology and the soil depth in the centre of a hollow Another Box and Whisker plot is used to display the distribution around the soil depth medians for the different lithology’s the hollow is situated inside. The size of the interquartile ranges differs a lot between the different rock types, Granitic gneiss’ interquartile range is only 57.5 mm while Slate’s is 880 mm, and the other three lithologies are around 350 mm. The soil depth medians are all quite similar, around 1064 mm. Granitic gneiss contains two outliers that differ from the medium greatly, and Biotite gneiss and Gneiss also contain outliers that are much deeper than the median soil depth. 0 0.5 1 1.5 2 2.5 Metasedimentary rock (n=5) (Slate) Biotite gneiss (n=23) (Amphibolite) Granitic gneiss (n=6) (Amphibolite) Gneiss (n=19) (Metasedimentary rock) Slate (n=6) (schist) Depth
  • 23.
    22 Analysis of variancecan be used again to determine if there is a significant difference between the different groups. H0: There is no significant difference between any of the means from the sample groups and any difference is due to chance alone. Table 3.5: Analysis of Variance of the effect of Lithology on Soil Depth Source of Variation SS df MS F P-value F crit Between Groups 1.17 4 0.29 2.14 0.09 2.54 Within Groups 7.37 54 0.14 Total 8.53 58 The null hypothesis must be accepted and there is no significant difference between any of the sample groups.
  • 24.
    23 3.4 Lithology andlandscape Figure 3.4: The landscape can be represented by digital elevation model on ArcGIS for each of the different lithology’s to give an idea as to how rock types shape hollows. Using clusters of hollows in the topography in the different geologies, the concept can be created in the map below.
  • 25.
    24 Metasedimentary rock andSlate look to have more rounded summits than the Gneisses. They also have more level bases in the valley landscape. The hollows seem to be at more of a consistent nature in Slate and Metasedimentary rock along the side of a valley. While in the Gneisses the landscape appears to be similar, with smaller hollows that are harder to identify on a DEM map than Slate and Metasedimentary rock.
  • 26.
    25 3.5 Flow Accumulationvs. Hollow Width Figure 3.5: Relationship between hollow width and flow accumulation Table 3.6: Regression Analysis of Flow Accumulation and Hollow Width Regression Statistics Multiple R 0.244 R Square 0.062 Adjusted R Square 0.043 Standard Error 0.341 Observations 59 Proves that Hollow Width accounts for 6.2% of the variation in the Flow Accumulation. Analysis of variance: H0 = There is no correlation between Flow accumulation and Soil Depth at the centre of the hollow and any apparent correlation is entirely by chance. Table 3.7: Analysis of Variance of the effect of Slope on Flow Accumulation df SS MS F Significance F Regression 1 0.42 0.42 3.60 0.06 Residual 57 6.61 0.12 Total 58 7.03 The null hypothesis can be rejected with a 90% confidence, so there is a correlation between flow accumulation and soil depth for the three conditions [F(1, 57) = 3.60, p = 0.06]. y = 0.0056x + 1.5983 R² = 0.0621 0 0.5 1 1.5 2 2.5 3 0 20 40 60 80 100 FlowAccumulation(Log10(Flow Accumulation)) Hollow Width (m)
  • 27.
    26 3.6 Flow Accumulationvs. Soil Depth Figure 3.6: Relationship between soil depth at the centre of the hollow and flow accumulations Regression analysis can be applied to flow accumulation and soil depth data to understand if the flow accumulation can be accounted for by variation in the soil depth in the centre of a hollow. Table 3.8: Regression Analysis of Flow Accumulation and Soil Depth Regression Statistics Multiple R 0.014 R Square 0.00003 Adjusted R Square -0.017 Standard Error 0.351 Observations 59 The R2 value is 0.0002, thus only 0.02% of the change in flow accumulation can be accounted for by variation in the soil depth in the centre of a hollow. y = -0.0054x + 1.8378 R² = 3E-05 0 0.5 1 1.5 2 2.5 3 0 0.5 1 1.5 2 2.5 Log10(FlowAccumulation) Soil Depth in centre of hollow (m)
  • 28.
    27 3.7 Slope vs.Soil Depth Figure 3.7: Relationship between the slope gradient of the hollow and the soil depth in the centre of the hollow Again regression analysis is used to measure the influence that the soil depth in the centre is affected but by the slope gradient this time. Table 3.9: Regression Analysis of Slope and Soil Depth Regression Statistics Multiple R 0.0176 R Square 0.0008 Adjusted R Square -0.0172 Standard Error 4.3129 Observations 59 Regression proves that the variation in slope gradient accounts for only 0.08% of the change in soil depth in the centre of a hollow. y = -0.3225x + 33.642 R² = 0.0008 20 25 30 35 40 45 0 0.5 1 1.5 2 2.5 FieldMeasuredSlope Hollow Depth at centre
  • 29.
    28 3.8 Slope vs.Flow Accumulation Figure 3.8: Relationship between slope gradient and flow accumulation Table 3.10: Regression Analysis of Slope and Flow Accumulation Regression Statistics Multiple R 0.31 R Square 0.11 Adjusted R Square 0.08 Standard Error 0.33 Observations 59 The slope gradient of hollows accounts for 11% of the decrease in flow accumulation Analysis of Variance: H0 = There is no correlation between Flow Accumulation and Slope and any apparent correlation is entirely by chance. y = -0.0266x + 2.7177 R² = 0.1093 0 0.5 1 1.5 2 2.5 3 25 27 29 31 33 35 37 39 41 43 FlowAccumulation(Log10(FlowAccumulation)) Slope (°)
  • 30.
    29 Table 3.11: Analysisof Variance of the effect of Slope on Flow Accumulation df SS MS F Significance F Regression 1 0.66 0.66 5.91 0.02 Residual 57 6.37 0.11 Total 58 7.03 The null hypothesis can be rejected with 95% confidence, therefore there is a correlation between Slope and Flow Accumulation, for the three conditions [F(1, 57) = 5.91, p = 0.02].
  • 31.
    30 4. DISCUSSION The scattergraph for Hollow Width against Soil Depth in the centre of a hollow gives a positive relationship between these two variables (Fig. 3.1). The R2 value is so low it can be disregarded but the relationship can be interpreted as a wider hollow will have a higher flow accumulation (Fig. 3.5), thus there will be more sediment flowing into the centre and increase the soil depth. The centre of the hollow was estimated when in the field, as it would be assumed that the deepest point would be the centre of the hollow, due to that point having the most convergence of sediment. Human error may have affected the precise location of the centre. Next, as Hack described, the change in the landscape must then be time independent and any differences or characteristics of form are due to the geographic location, and the lithology of the area is the dominate explanation (Hack, 1960). Hust et al also gave a similar conclusion that changes in lithology in a landscape can affect sediment transport rates and thus influencing the hillslope form of the topography. Therefore the rock type the hollow is found in will affect the hillslope form, which in turn will determine the shape of a hollow. A major feature of the shape of a hollow is the width. The control of lithology on the hollow width in Macon County proves that a harder resistant rock has less wide hollows than a weaker resistant rock. The area is dominated by different types of metamorphic rocks, ranging from the weaker Slate and Metasedimentary rock to the stronger Gneiss. In section 3.2, there is an obvious difference between the hollow widths in the Slate region and the three of the different Gneisses’ regions in the Box and Whisker plot (Fig. 3.2). Analysis of variance proves that there is a significant effect of lithology on the hollow width, and using Least Significant Difference, it verifies that there is a significant difference between Slate and the three different Gneisses’ hollow widths. Referring back to the Schmidt hammer test which gauges rock hardness, giving a good indication of the resistance to erosion of the rock (Wohl et al. 1994). Chen at al. explained that a higher strength formation can reduce the impact of weather and
  • 32.
    31 erosion events (Chenet al. 2011). The Gneisses have a higher hardness rating than Slate due to their mineral composition. Thus if the area is under the same erosional rates, less resistant rock will have a deeper incision. Once a channel has formed, hillslope process will take place on the sides, and creating the hollow form above the channel head. A deeper incision will fundamentally create a wider channel valley and hollow, as over time the diffusional processes (creep, fluvial wash) generates a consistent side slope gradient throughout the environment (Fig. 4.1). This conflicts the paper by Perron et al, which determined that more competent bedrock will have wider valley spacing, which in turn will have wider hollows (Perron et al. 2008). Although Perron et al data was collected for valleys which may not experience landslides and not coincide with hollows above the channel, while the data in this project was in hollows that have landslide potential. The soil depth in the centre of the hollow is not affected by the lithology the hollow in which is found in. Although erosion rates are expected to change between different hardness of rock and in turn the sediment being transported to the centre will be higher in a more erosive material the depths are not coherent with this assumption. Analysis of variance proves that there is no significant effect of lithology on the soil depth in the centre of a hollow. Looking at both of these sets of data for lithology background, there are more hollows in one rock type compared to others, for example 23 hollows were measured in Biotite Gneiss regions while only 6 hollows measured in Slate regions. The results may not be reliable as the distribution of data collected Less Resistant Rock More Resistant Rock Stage 1 Stage 2 Stage 3 Figure 4.1: Model of how channel incision rates affect different resistances of rock over time. From the initial channel incision at Stage 1 to a developed hollow shape in Stage 3.
  • 33.
    32 was dependant onthe access to the sites, which may have affected the results we see. The map in section 3.4 of the results gives a good representation of the spread of data around my study area. From looking at the study site in a large scale, the lithology does not seem to affect the topography we see. Whereas when observing a smaller scale of the landscapes in the different rock types, contrasts can be made between Slate and Metasedimentary rock with the Gneisses. The more rounded summits in Slate and Metasedimentary rock may be caused by a higher rate of mechanical erosion on the weaker rock, exposing the surfaces to chemical weathering, allowing the tops of the hillslopes to be more curved, suggesting these rocks are less resistant to weathering and erosion (Hack, 1960). The spacing between the hollows in Slate and Metasedimentary rock is quite consistent and the sampled hollows are easily identifiable when compared to the Gneisses’ hollows. This could relate back to how hollow widths connect with lithology. The consistency of the hollows suggests the area may be at a more steady state of dynamic equilibrium, and no longer changing with time (Roaring et al. 2007, Perron et al. 2008), similar to the Gabilan Mesa, California (Fig 4.2). A wider and deeper hollow would be created by the less resistant rock type, thus would be more easily identifiable on a map, coinciding with Figure 4.1. Figure 4.2: Gabilan Mesa, California, with a visual uniform spaced ridges and valleys (Perron, 2009)
  • 34.
    33 Again this islimited to where the clusters of hollows are found in the landscape, which was dependant on the accessibility of the sites. The clusters for Slate and Metasedimentary rock are in close proximity, similarly with Biotite Gneiss and Gneiss. This could explain the similarities between these rock types. Although the three areas; Slate and Metasedimentary rock, Biotite Gneiss and Gneiss, and Granitic Gneiss are all over 3km away from each other, thus can be analysed reliably. Once a hollow has formed in the landscape, the width of the hollow will not change greatly, as for channel incision to occur, the bedrock must be open to erosion, so the supply of sediment to the area must be low enough (Howard et al. 1994). Only when the erosion rates exceed the production of soil does the bedrock start to erode down at a fast rate (Selby, 1993). The soil depth of a hollow may change considerably over time. Hillslope processes are transporting sediment to the centre of the hollow from above the slope, thickening the soil mantle. Over time you would expect soil depth in the centre to increase, and the rate at which the upslope contributing area and angle of the slope input material should determine this deepening. Flow accumulation measures this upslope contributing area and when comparing it to the soil depth in the centre of a hollow, there is no correlation between the two variables (Fig. 3.6). A similar graph is created when comparing the slope gradient and the soil depth (Fig. 3.7). The graphs both show that flow accumulation and slope gradient have no significant effect on the soil depth in the centre of a hollow. This is not what would be expected as was stated before, although the explanation for this is the effect of landslides. An increase in flow accumulation or a steep slope gradient will transport a higher amount of sediment into the hollow. This increases the weight of the material block above the plane and in turn the shear stress rise. The shear strength of the block decreases and the hillslope becomes unstable, giving a high chance of a landslide (Carson and Kirkby, 1972). The higher flow accumulation and slope gradient also increases the water input to the centre of the hollow, increasing the chance of saturation and causing instability in the hillslope from high pore pressures. Landslide frequency furthermore increases with slope gradient, up to around 40° and then
  • 35.
    34 followed by adecrease, as landslide material on steeper slope gradients are more liable to be transported by rapid runoff than to be deposited on to the slope (Chen et al. 2011, Dai and Lee, 2002). A landslide will strip the soil above the plane of weakness, which is usually the bedrock, ‘resetting’ the soil depth in a hollow back just a rock surface, progressively the hollow fills with new colluvial material from the upslope contributing area above the hollow (Reneau et al. 1989). The effect of landslides can therefore be seen indirectly. The factors that increase soil depth are counteracting themselves in also increasing the chance of a landslide. This creates a limit to the depth the soil in hollow can attain before a landslide event will take place. To attribute to the reliability of the data collected, the Slope gradient against Flow Accumulation is what is to be assumed (Fig. 3.8). Flow accumulation decreases with slope gradient, which is what would be expected as the gradient of the slope of the hollow decrease from the top to the bottom of the hollow. Therefore on the very steep slopes, the sampled sites are at the higher elevations in the hollow compared to the more gently sloping sampled sites being at lower elevations in the hollow. This would affect the amount of flow into the hollow as flow accumulation builds up with the length it is able to travel as it accumulates water. Although to attain the flow accumulation in the site, the Snap Pour Point tool was used in ArcGIS, which may have influenced the results, as the highest flow accumulation was found in a 10m radius from the original site due to any error in the GPS location. The position of the centre of the hollow could then have moved 10m from the correct location, impacting the data to give more desirable figures. This is believed to be necessary as the error margin in the field when measuring the GPS location was ranging from 6m to 10m, due to canopy cover. Other factors that affect the frequency of landslides are climate, vegetation and human impact. The type of vegetation found in the hollow may impact the soil stability due to root strength increasing the overall shear strength. Thus a high density of trees and a large number of roots will anchor the soil to the underlying bedrock, reducing the chance of a landslide. Deforestation
  • 36.
    35 by humans onan area will lower this root strength. A large storm, for example Hurricane Ivan, caused many hollows to fail in the Southern Appalachians (Lamb, n.d.). To further understand the effect of landslides on the soil depth, the last major climatic event must be examined that caused slope instability by a high intensity of rainfall and saturated soils.
  • 37.
    36 5. CONCLUSION Landslides aredefining factor in the evolution of the Appalachian landscape, which occur mainly in the convergence of contours; hollows. The size of a landslide is dependent on the area of soil in the hollow. Thus the wider the hollow the more material that can be built up in that hollow and the larger the landslide. The development of the material depth corresponds to the input rates into the hollow. The width of a hollow is reliant on the topography, as it defines the shape of the terrain. The evolution of the landscape is sculpted by water, wind and ice under the force of gravity. The rate of denudiational processes on carving different rock types explains part of the variance in the topography. The softer the rock is the deeper the channel incision and over time creates a wider hollow, and ultimately a larger area increasing the size of a landslide. The spacing between the valleys can determine the hollows width above the river valley’s channels, the consistency of the spacing defines the effect dynamic equilibrium has had on the landscape, determined by if the hollows are in unison with each other. The less resistant areas are in a more steady state than a more resistant rock area, creating a range of hollows that are more consistent and similar to each other. Thus more dominated by diffusive processes and steam incision, rather than the spatial extend of stream incision. Soil depth in the hollow depends on time, as the rate at which soil can be transported from above will control the depth. The area above contributes sediment with the help of a steeper gradient will increase this speed of colluvium build up. Although these factors cannot be expressed, as they respond with an increase in landslide frequency, creating a limit to the depth the soil in a hollow can reach before failing, which is similar depth for any area size above the hollow or any slope gradient. Landslides are a dominating factor affecting sediment flux in the Appalachian landscape.
  • 38.
    37 6. ACKNOWLEDGEMENTS Thanks goto Dr. T. C. Hales; for the opportunity to carry out my research in North Carolina, the Coweeta Hydrological lab in North Carolina; for the hospitality and the help to undertake the field work, Dr R. Parker; for guidance on the project and Daniel Cox; for the help in collection of data. 7. REFERENCES Blong, R. J. (1974) Landslide form and hillslope morphology: An example from New Zealand, Australian Geographer, Vol.12:5, p.425-438 Burt, J. E., Barber, G. M. and Rigby, D. L. (2009) Elementary Statistics for Geographers. 3rd Edition. The Guildford Press, New York p.72-74 Carson, M. A. and Kirkby, M. J. (2009) Hillslope Form and Process, Cambridge University Press, Volume 3 of Cambridge Geographical Studies. p.1083-1084 Chen, H., Lin, G-W., Lu, M-H., Shih, T-Y., Horng, M-J., Wu, S-J., and Chuang, Bin. (2011) Effects of topography, lithology, rainfall and earthquake on landslide and sediment discharge in mountain catchments of southeastern Taiwan, Geomorphology, Volume 133, Issues 3–4, 15 October 2011, Pages 132-142, ISSN 0169-555X Dai, F. C. and Lee, C. F (2002) Landslide characteristics and slope instability modeling using GIS, Lantau Island, Hong Kong, Geomorphology, Volume 42, Issues 3–4, 15 January 2002, p.213-228. ESRI (Environmental Systems Resource Institute). 2009. ArcMap 9.2. ESRI, Redlands, California. Copyright © 1999-2012 Esri Inc.
  • 39.
    38 Go Google Earth7.1.1.1888 2013. Appalachian Mountains, North America 36°52'02.71"N, 81°00'43.60"W. Geographical features data layer. <http://www.google.com/earth/index.html> [Viewed 10 October 2013].ogle Earth Hack, J. T, & Goodlett, J. C. (1960). Geomorphology and forest ecology of mountain region in the central Appalachians. Washington: U.S. Govt. Print. Off. p.5-12 Hack, J. T. (1965), Geomorphology of the Shenandoah Valley, Virginia and West Virginia, and origin of the residual ore deposits U. S. Geological Survey Professional Paper, Vol. 484 p.20-24 Hack, J.T., (1960), Interpretation of erosional topography in humid temperate regions: American Journal of Science, v. 258-A, p.80-97. Hales, T.C., Scharer, K.M. and Wooten, R.M. (2011) Southern Appalachian hillslope erosion rates measured by soil and detrital radiocarbon in hollows, Geomorphology 138, 2012, p.121-129 Hancock, G. S., Anderson, R. S., and Whipple, K. X. (1998) Beyond power: Bedrock river incision process and form. Rivers over rock: Fluvial processes in bedrock channels, p.35-60. (eds K. J. Tinkler and E. E. Wohl), American Geophysical Union, Washington, D. C. Hinds, N. E. A. (1943) Geomorphology, The Evolution of Landscape. Prentice-Hall, INC. New York p.153-171 Howard, A. D., Dietrich, W. E. and Seidl, M. A. (1994) Modeling fluvial erosion on regional to continental scales. Journal of Geophysical Research, Vol. 99, NO. B7, p.13,971-13,980
  • 40.
    39 Hurst, M. D.,Mudd, S. M., Yoo, K., Attal, M., and Walcott, R. (2013), Influence of lithology on hillslope morphology and response to tectonic forcing in the northern Sierra Nevada of California, J. Geophys. Res. Earth Surf p.848 Lamb, J. R. (n.d.) The Deadly Debris Flow in Macon County NC During Hurricane Ivan. NOAA/National Weather Service. http://www.weather.gov/gsp/PeeksCreek. Accessed 3rd January 2014, 14:00 Leopold, L. B., Wolman, M. G. and Miller, J. P. (1964) Fluvial Processes in Geomorphology, W. H. Freeman and Company, San Francisco and London. p.30 Perron, J. T., Kirchner, J. W. and Dietrich, W. E. (2009). Formation of evenly spaced ridges and valleys. Nature. p.502-509 Perron, J. T., W. E. Dietrich, and J. W. Kirchner (2008), Controls on the spacing of first-order valleys. J. Geophys. Res., 113 p.1-21 Pipkin, B. W. and Trent, D. D. (2001) Geology and the environment, 3rd Edition Brooks/Cole p.47 Plummer, C. C. and Carlson, D. H. (2008) Physical Geology, 12th Edition McGraw-Hill p.178-179 Reneau, S. L., Dietrich, W. E., Rubin, D. M., Donahue, D. J. and Jull A. J. T. (1989) Analysis of hillslope erosion rates using dated colluvial deposits. J. Geol., 97 , p.45 Roering, J. J., Perron, J. T. and Kirchner, J. W. (2007) Functional relationships between denudation and hillslope form and relief. Earth and Planetary Science Letters 264 (2007) p.245–258
  • 41.
    40 Ruhe, R. V.(1975) Geomorphology: geomorphic processes and surficial geology. Houghton Mifflin, Boston p.99-123 Selby, M. J. (1993) Hillslope Materials and Processes, Oxford University Press, Oxford p277-278, p.57-58 Skinner, B. J., Porter, S. C., and Park, J. (2004) Dynamic Earth, An Introduction to Physical Geology, 5th Edition. John Wiley & Sons p.211-212 Stapel, E. (n.d.) Box-and-Whisker Plots: Interquartile Ranges and Outliers. Purplemath. http://www.purplemath.com/modules/boxwhisk3.htm Accessed 6 January 2014, 17:00 Taylor, S. B., Kite, J. S. (2006) Comparative geomorphic analysis of surficial deposits at three central Appalachian watersheds: Implications for controls on sediment-transport efficiency, Geomorphology, Volume 78, Issues 1–2, 15 August 2006, p.22-43, ISSN 0169-555X USGS (2009) Birth of the Mountains, The Geologic Story of the Southern Appalachian Mountains. U.S. Department of the Interior, U.S. Geological Survey. p.2-20 http://pubs.usgs.gov/gip/birth/ USGS (n.d.), Introduction to Landslide Activities in North Carolina, http://landslides.usgs.gov/research/inventory/northcarolina. Accessed 3rd January 2014, 11:30 Vernon, R. H. and Clarke, G. L. (2008) Principles of Metamorphic Petrology, Cambridge University Press p.307-310 Waltham, T. (2002) Foundations Of Engineering Geology, London: Spon Press, eBook Collection p.48-52 (EBSCOhost), EBSCOhost, viewed 30 December 2013
  • 42.
    41 Whipple, K. X.(2009) Geomorphology: Landscape texture set to scale, Nature, Volume 460, Issue 7254, pp. 468-469 Wohl, E. E., Greenbaum, N., Schick, A. P. and Baker, V. R. (1994) Controls on bedrock channel incision along Nahal Paran, Israel. John Wiley & Sons, Ltd p.1-13