I II III IV I
Net Exports as Percentage of GDP -­‐0.1 0.2 0.4 0.6 0.4
Percent Change of GDP 10.2 4.6 -­‐2.2 3.8 -­‐3.3
	
  
1973 19
-­‐10	
  
-­‐5	
  
0	
  
5	
  
10	
  
15	
  
20	
  
I	
   II	
   III	
   IV	
   I	
   II	
   III	
   IV	
   I	
   II	
   III	
   IV	
   I	
   II	
   III	
   IV	
   I	
   II	
   III	
   IV	
   I	
   II	
   III	
   IV	
   I	
   II	
   III	
   IV	
   I	
   II	
   III	
   IV	
   I	
  
1973	
   1974	
   1975	
   1976	
   1977	
   1978	
   1979	
   1980	
  
Percentage	
  
II III IV I II III IV
-­‐0.2 -­‐0.4 0 1 1.3 0.7 0.8
1.1 -­‐3.8 -­‐1.6 -­‐4.7 3.1 6.8 5.5
1974 1975
II	
   III	
   IV	
   I	
   II	
   III	
   IV	
   I	
   II	
   III	
   IV	
   I	
   II	
   III	
   IV	
   I	
   II	
   III	
   IV	
   I	
   II	
   III	
   IV	
   I	
   II	
   III	
   IV	
   I	
   II	
   III	
   IV	
   I	
   II	
  
1981	
   1982	
   1983	
   1984	
   1985	
   1986	
   1987	
   1988	
   1989	
  
I II III IV I II III
0.3 0 -­‐0.2 -­‐0.3 -­‐1.1 -­‐1 -­‐1
9.3 3.1 2.1 3 4.7 8.1 7.3
1976 1977
II	
   III	
   IV	
   I	
   II	
   III	
   IV	
   I	
   II	
   III	
   IV	
   I	
   II	
   III	
   IV	
   I	
   II	
   III	
   IV	
   I	
   II	
   III	
   IV	
   I	
   II	
   III	
   IV	
   I	
   II	
   III	
   IV	
   I	
   II	
   III	
  
1989	
   1990	
   1991	
   1992	
   1993	
   1994	
   1995	
   1996	
   1997	
  
Quarters	
  1973-­‐2013	
  
Quarterly	
  Data	
  from	
  1973	
  to	
  2013	
  
Percent	
  Change	
  of	
  GDP	
  and	
  Net	
  Exports	
  as	
  a	
  Percentage	
  of	
  GDP	
  
IV I II III IV I II
-­‐1.4 -­‐1.8 -­‐1 -­‐1 -­‐0.7 -­‐0.7 -­‐0.9
0 1.4 16.5 4 5.5 0.8 0.5
7 1978 1979
III	
   IV	
   I	
   II	
   III	
   IV	
   I	
   II	
   III	
   IV	
   I	
   II	
   III	
   IV	
   I	
   II	
   III	
   IV	
   I	
   II	
   III	
   IV	
   I	
   II	
   III	
   IV	
   I	
   II	
   III	
   IV	
   I	
   II	
   III	
  
1997	
   1998	
   1999	
   2000	
   2001	
   2002	
   2003	
   2004	
   2005	
  
III IV I II III IV I
-­‐0.9 -­‐1 -­‐1.3 -­‐0.5 0.2 -­‐0.2 -­‐0.5
2.9 1 1.3 -­‐7.9 -­‐0.6 7.6 8.5
1979 1980 1981
III	
   IV	
   I	
   II	
   III	
   IV	
   I	
   II	
   III	
   IV	
   I	
   II	
   III	
   IV	
   I	
   II	
   III	
   IV	
   I	
   II	
   III	
   IV	
   I	
   II	
   III	
   IV	
   I	
   II	
   III	
   IV	
   I	
   II	
   III	
   IV	
  
2005	
   2006	
   2007	
   2008	
   2009	
   2010	
   2011	
   2012	
   2013	
  
Percent	
  Change	
  of	
  GDP	
  
Net	
  Exports	
  as	
  Percentage	
  of	
  GDP	
  
II III IV I II III IV
-­‐0.4 -­‐0.2 -­‐0.4 -­‐0.5 -­‐0.1 -­‐0.9 -­‐0.9
-­‐2.9 4.7 -­‐4.6 -­‐6.5 2.2 -­‐1.4 0.4
19821981
-­‐10	
  
-­‐5	
  
0	
  
5	
  
10	
  
15	
  
20	
  
IV	
  
Percent	
  Change	
  
rcentage	
  of	
  GDP	
  
I II III IV I II III
-­‐0.7 -­‐1.3 -­‐1.8 -­‐1.9 -­‐2.4 -­‐2.6 -­‐2.5
5.3 9.4 8.1 8.5 8.2 7.2 4
1983 1984
IV I II III IV I II
-­‐2.6 -­‐2.2 -­‐2.7 -­‐2.7 -­‐3 -­‐2.8 -­‐2.8
3.2 4 3.7 6.4 3 3.8 1.9
4 1985 1986
III IV I II III IV I
-­‐3 -­‐2.9 -­‐3 -­‐3 -­‐3 -­‐2.9 -­‐2.4
4.1 2.1 2.8 4.6 3.7 6.8 2.3
1986 1987 1988
II III IV I II III IV
-­‐2 -­‐1.9 -­‐2 -­‐1.8 -­‐1.6 -­‐1.3 -­‐1.4
5.4 2.3 5.4 4.1 3.2 3 0.9
1988 1989
I II III IV I II III
-­‐1.5 -­‐1.2 -­‐1.2 -­‐1.3 -­‐0.8 -­‐0.4 -­‐0.3
4.5 1.6 0.1 -­‐3.4 -­‐1.9 3.1 1.9
1990 1991
IV I II III IV I II
-­‐0.4 -­‐0.3 -­‐0.5 -­‐0.6 -­‐0.7 -­‐0.8 -­‐0.9
1.8 4.8 4.5 3.9 4.1 0.8 2.4
1 1992 1993
III IV I II III IV I
-­‐1 -­‐1 -­‐1.1 -­‐1.2 -­‐1.3 -­‐1.4 -­‐1.4
2 5.4 4 5.6 2.4 4.6 1.4
19941993 1995
II III IV I II III IV
-­‐1.4 -­‐1 -­‐0.9 -­‐1.1 -­‐1.2 -­‐1.4 -­‐1.1
1.4 3.5 2.9 2.7 7.2 3.7 4.3
1995 1996
I II III IV I II III
-­‐1.3 -­‐1 -­‐1.1 -­‐1.3 -­‐1.5 -­‐1.8 -­‐1.9
3.1 6.2 5.2 3.1 4 3.9 5.3
1997 1998
IV I II III IV I II
-­‐1.9 -­‐2.2 -­‐2.6 -­‐2.8 -­‐3 -­‐3.5 -­‐3.5
6.7 3.2 3.3 5.1 7.1 1.2 7.8
8 1999 2000
III IV I II III IV I
-­‐3.8 -­‐3.8 -­‐3.7 -­‐3.4 -­‐3.4 -­‐3.3 -­‐3.5
0.5 2.3 -­‐1.1 2.1 -­‐1.3 1.1 3.7
2000 2001 2002
II III IV I II III IV
-­‐3.8 -­‐3.9 -­‐4.3 -­‐4.5 -­‐4.4 -­‐4.3 -­‐4.3
2.2 2 0.3 2.1 3.8 6.9 4.8
2002 2003
I II III IV I II III
-­‐4.6 -­‐5 -­‐5.2 -­‐5.4 -­‐5.3 -­‐5.3 -­‐5.5
2.3 3 3.7 3.5 4.3 2.1 3.4
2004 2005
IV I II III IV I II
-­‐5.9 -­‐5.7 -­‐5.7 -­‐5.8 -­‐5.1 -­‐5.1 -­‐5.1
2.3 4.9 1.2 0.4 3.2 0.2 3.1
20065 2007
III IV I II III IV I
-­‐4.9 -­‐4.8 -­‐5.2 -­‐5.1 -­‐5.2 -­‐4.1 -­‐2.7
2.7 1.4 -­‐2.7 2 -­‐1.9 -­‐8.2 -­‐5.4
2007 2008 2009
II III IV I II III IV
-­‐2.4 -­‐2.8 -­‐3 -­‐3.3 -­‐3.5 -­‐3.6 -­‐3.3
-­‐0.5 1.3 3.9 1.7 3.9 2.7 2.5
2009 2010
I II III IV I II III
-­‐3.7 -­‐3.8 -­‐3.7 -­‐3.8 -­‐3.9 -­‐3.7 -­‐3.3
-­‐1.5 2.9 0.8 4.6 2.3 1.6 2.5
2011 2012
IV I II III IV
-­‐3.2 -­‐3.2 -­‐3.2 -­‐3 -­‐2.7
0.1 2.7 1.8 4.5 3.5
20132

Data Gathering Project Net Exports

  • 1.
    I II IIIIV I Net Exports as Percentage of GDP -­‐0.1 0.2 0.4 0.6 0.4 Percent Change of GDP 10.2 4.6 -­‐2.2 3.8 -­‐3.3   1973 19 -­‐10   -­‐5   0   5   10   15   20   I   II   III   IV   I   II   III   IV   I   II   III   IV   I   II   III   IV   I   II   III   IV   I   II   III   IV   I   II   III   IV   I   II   III   IV   I   1973   1974   1975   1976   1977   1978   1979   1980   Percentage  
  • 2.
    II III IVI II III IV -­‐0.2 -­‐0.4 0 1 1.3 0.7 0.8 1.1 -­‐3.8 -­‐1.6 -­‐4.7 3.1 6.8 5.5 1974 1975 II   III   IV   I   II   III   IV   I   II   III   IV   I   II   III   IV   I   II   III   IV   I   II   III   IV   I   II   III   IV   I   II   III   IV   I   II   1981   1982   1983   1984   1985   1986   1987   1988   1989  
  • 3.
    I II IIIIV I II III 0.3 0 -­‐0.2 -­‐0.3 -­‐1.1 -­‐1 -­‐1 9.3 3.1 2.1 3 4.7 8.1 7.3 1976 1977 II   III   IV   I   II   III   IV   I   II   III   IV   I   II   III   IV   I   II   III   IV   I   II   III   IV   I   II   III   IV   I   II   III   IV   I   II   III   1989   1990   1991   1992   1993   1994   1995   1996   1997   Quarters  1973-­‐2013   Quarterly  Data  from  1973  to  2013   Percent  Change  of  GDP  and  Net  Exports  as  a  Percentage  of  GDP  
  • 4.
    IV I IIIII IV I II -­‐1.4 -­‐1.8 -­‐1 -­‐1 -­‐0.7 -­‐0.7 -­‐0.9 0 1.4 16.5 4 5.5 0.8 0.5 7 1978 1979 III   IV   I   II   III   IV   I   II   III   IV   I   II   III   IV   I   II   III   IV   I   II   III   IV   I   II   III   IV   I   II   III   IV   I   II   III   1997   1998   1999   2000   2001   2002   2003   2004   2005  
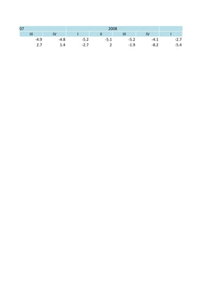
  • 5.
    III IV III III IV I -­‐0.9 -­‐1 -­‐1.3 -­‐0.5 0.2 -­‐0.2 -­‐0.5 2.9 1 1.3 -­‐7.9 -­‐0.6 7.6 8.5 1979 1980 1981 III   IV   I   II   III   IV   I   II   III   IV   I   II   III   IV   I   II   III   IV   I   II   III   IV   I   II   III   IV   I   II   III   IV   I   II   III   IV   2005   2006   2007   2008   2009   2010   2011   2012   2013   Percent  Change  of  GDP   Net  Exports  as  Percentage  of  GDP  
  • 6.
    II III IVI II III IV -­‐0.4 -­‐0.2 -­‐0.4 -­‐0.5 -­‐0.1 -­‐0.9 -­‐0.9 -­‐2.9 4.7 -­‐4.6 -­‐6.5 2.2 -­‐1.4 0.4 19821981 -­‐10   -­‐5   0   5   10   15   20   IV   Percent  Change   rcentage  of  GDP  
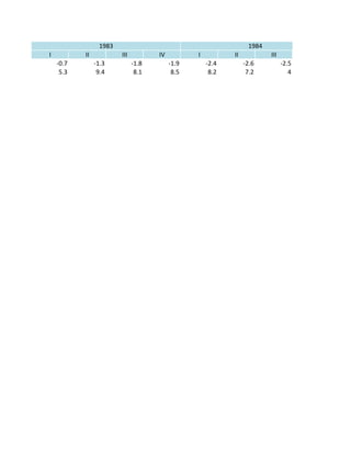
  • 7.
    I II IIIIV I II III -­‐0.7 -­‐1.3 -­‐1.8 -­‐1.9 -­‐2.4 -­‐2.6 -­‐2.5 5.3 9.4 8.1 8.5 8.2 7.2 4 1983 1984
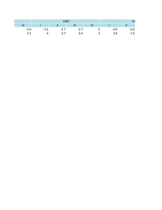
  • 8.
    IV I IIIII IV I II -­‐2.6 -­‐2.2 -­‐2.7 -­‐2.7 -­‐3 -­‐2.8 -­‐2.8 3.2 4 3.7 6.4 3 3.8 1.9 4 1985 1986
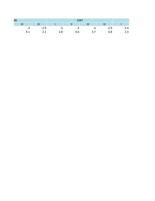
  • 9.
    III IV III III IV I -­‐3 -­‐2.9 -­‐3 -­‐3 -­‐3 -­‐2.9 -­‐2.4 4.1 2.1 2.8 4.6 3.7 6.8 2.3 1986 1987 1988
  • 10.
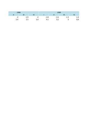
    II III IVI II III IV -­‐2 -­‐1.9 -­‐2 -­‐1.8 -­‐1.6 -­‐1.3 -­‐1.4 5.4 2.3 5.4 4.1 3.2 3 0.9 1988 1989
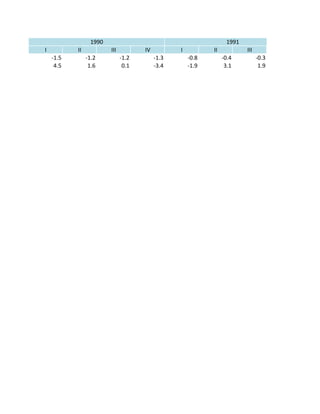
  • 11.
    I II IIIIV I II III -­‐1.5 -­‐1.2 -­‐1.2 -­‐1.3 -­‐0.8 -­‐0.4 -­‐0.3 4.5 1.6 0.1 -­‐3.4 -­‐1.9 3.1 1.9 1990 1991
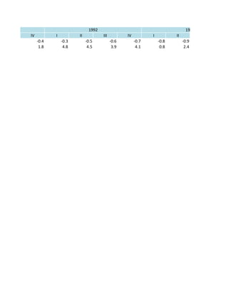
  • 12.
    IV I IIIII IV I II -­‐0.4 -­‐0.3 -­‐0.5 -­‐0.6 -­‐0.7 -­‐0.8 -­‐0.9 1.8 4.8 4.5 3.9 4.1 0.8 2.4 1 1992 1993
  • 13.
    III IV III III IV I -­‐1 -­‐1 -­‐1.1 -­‐1.2 -­‐1.3 -­‐1.4 -­‐1.4 2 5.4 4 5.6 2.4 4.6 1.4 19941993 1995
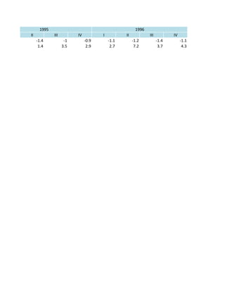
  • 14.
    II III IVI II III IV -­‐1.4 -­‐1 -­‐0.9 -­‐1.1 -­‐1.2 -­‐1.4 -­‐1.1 1.4 3.5 2.9 2.7 7.2 3.7 4.3 1995 1996
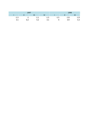
  • 15.
    I II IIIIV I II III -­‐1.3 -­‐1 -­‐1.1 -­‐1.3 -­‐1.5 -­‐1.8 -­‐1.9 3.1 6.2 5.2 3.1 4 3.9 5.3 1997 1998
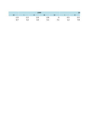
  • 16.
    IV I IIIII IV I II -­‐1.9 -­‐2.2 -­‐2.6 -­‐2.8 -­‐3 -­‐3.5 -­‐3.5 6.7 3.2 3.3 5.1 7.1 1.2 7.8 8 1999 2000
  • 17.
    III IV III III IV I -­‐3.8 -­‐3.8 -­‐3.7 -­‐3.4 -­‐3.4 -­‐3.3 -­‐3.5 0.5 2.3 -­‐1.1 2.1 -­‐1.3 1.1 3.7 2000 2001 2002
  • 18.
    II III IVI II III IV -­‐3.8 -­‐3.9 -­‐4.3 -­‐4.5 -­‐4.4 -­‐4.3 -­‐4.3 2.2 2 0.3 2.1 3.8 6.9 4.8 2002 2003
  • 19.
    I II IIIIV I II III -­‐4.6 -­‐5 -­‐5.2 -­‐5.4 -­‐5.3 -­‐5.3 -­‐5.5 2.3 3 3.7 3.5 4.3 2.1 3.4 2004 2005
  • 20.
    IV I IIIII IV I II -­‐5.9 -­‐5.7 -­‐5.7 -­‐5.8 -­‐5.1 -­‐5.1 -­‐5.1 2.3 4.9 1.2 0.4 3.2 0.2 3.1 20065 2007
  • 21.
    III IV III III IV I -­‐4.9 -­‐4.8 -­‐5.2 -­‐5.1 -­‐5.2 -­‐4.1 -­‐2.7 2.7 1.4 -­‐2.7 2 -­‐1.9 -­‐8.2 -­‐5.4 2007 2008 2009
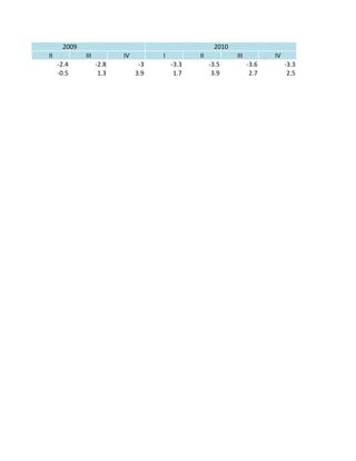
  • 22.
    II III IVI II III IV -­‐2.4 -­‐2.8 -­‐3 -­‐3.3 -­‐3.5 -­‐3.6 -­‐3.3 -­‐0.5 1.3 3.9 1.7 3.9 2.7 2.5 2009 2010
  • 23.
    I II IIIIV I II III -­‐3.7 -­‐3.8 -­‐3.7 -­‐3.8 -­‐3.9 -­‐3.7 -­‐3.3 -­‐1.5 2.9 0.8 4.6 2.3 1.6 2.5 2011 2012
  • 24.
    IV I IIIII IV -­‐3.2 -­‐3.2 -­‐3.2 -­‐3 -­‐2.7 0.1 2.7 1.8 4.5 3.5 20132