Dash Electric
Concept of Operations(ConOps)
Document No. TBD
Concept of Operations Page of1 18
1 About This Document
1.1 Purpose
This document presents a high-level description of the operation concept for a new lightweight
electric vehicle for urban commuting called the Dash Board. The Dash Board is an electrically
powered longboard that acts as personal transportation for short trips around town or for
commuting to and from work.
Additionally, this document also includes the high-level behavior specification of new product,
and in the future a line of products for Dash Electric. This document is used as a source of
information for project planning, decision making, and as the main input to the development of
precise, quantifiable, testable system requirements specifications.
Concept of Operations Page of2 18
Table of Contents
Dash Electric.…………………………………………………………………………………………..1
1 About this document……….…………………………………………………………………2
1.1  Purpose
1.2 Table of Figures
1.3 Table of Tables
1.4 References
1.5 Definitions
2 System Overview
2.1 Project Goal
2.2 System Context
2.3 Modes of Operation
2.4 operating Environment
2.5 System Stakeholders and Actors
3 Rider’s Relevant Use Cases (High Level Use Cases)
3.1 Use Case (UC-3.1): Riding to Class
3.2 Use Case (UC-3.2): Installing Kit to Longboard
3.3 Use Case (UC-3.3): Charging Longboard
4 Remote Control Operation Use Cases (Detailed Use Cases, Low Level)
4.1 Use Case (UC-4.1): Cruise Control
4.2 Use Case (UC-4.2): Accelerate
4.3 Use Case (UC-4.3): Regenerative Braking
Concept of Operations Page of3 18
5 Remote Control Operation (Detailed Use Cases)
5.1 Use Case (UC-5.1): Power on Board
6 Design Constraints
6.1 Electric Longboard Components and Peripherals
6.2 General Mechanical Design
Concept of Operations Page of4 18
1.2 Table of Figures
Figure 1 - Electric longboard System Context Diagram
Figure 2 2
1.3 Table of Tables
Table 1 - References
Table 2 - Definition of terms and acronyms
Table 3 - Design Constraints: Mechanical
Table 4 - Design Constraints: Electrical
Table 5 - Design Constraints:
1.4 References
Concept of Operations Page of5 18
Reference Description
IEC 60529 IP64
International Protection, the degrees of protection
provided against the intrusion of solid objects, dust,
accidental contact, and water in electrical enclosures.
1.5 Definitions
2 System Overview
2.1 Project Goal
Dash Electric Inc. is developing an electric longboard kit that can be attached to most
longboards on the market without any power tools or screws needed. It uses hub motors that
attach to the existing longboard trucks and a novel electronics package that contains the
batteries and all electronics needed to run the motors. The electronics package is on a unified
board that mounts between the deck and the trucks using the 4 holes used for mounting the
trucks that are standard on every longboard and skateboard. This ease of mounting also
minimizes assembly and manufacturing costs because no modifications need to be made to any
components of the longboard for attaching the electronics and motors to.
The goal for this company is to change the way people think about getting around in cities
through fun and green electric vehicles. Our values are based around truly understanding our
customer and building products that can address their true pain points in transportation. We
believe in products that provide real value and want to build a relationship with our customers by
providing them with products that last and are sold at a fair price. We want them to love our
products and the experience of owning and using one and look to us to help them solve their
issues in getting around as we expand our product line. Dash Electric is aiming to become a
leader in the growing industry of urban focused vehicles. Our competitive advantage over our
current competitors is currently our focus on our customer and their values, and the innovations
that come from that focus i.e. we set out to design an affordable electric longboard, ultimately
the best solution for our customer was the kit we designed which allows our customer to
upgrade their existing longboard, each is unique and is a point of self expression, without
destroying it in the process, and at a low price point. This innovation of such a simple kit brought
down the cost of manufacturing of the complete longboard product because we no longer
needed to modify any parts of the board, trucks, or wheels. This approach at product design
Term or Acronym Definition
Li-ion Lithium Ion
ESC Electronic Speed Controller
BMS Battery Management System
Hub Motor Motor located inside of a wheel
Longboard
A skateboard that usually has a 30in or greater length and softer wheels than a
normal skateboard with 70-95A urethane
Deck The riding surface on a longboard
Trucks The axle and supporting fixture that connects the wheels and the deck together
Concept of Operations Page of6 18
gives us an edge over our competitors, as they currently have focused on simply bringing the
product with the highest specs and not realizing that their audience may love the idea of their
product but having the right focus on what will actually get their customer to buy their product.
We looked at new ways to approach building and designing an electric longboard and through
that ended up with a much more reliable and affordable product than if we had followed the
conventional drivetrain design of the electric longboard with motor arms, belts, and pulleys.
2.2 System Context
The context diagram below outlines the environment in which the electric longboard will operate.
Figure 1 shows the internal system interaction and its interaction with the user. Entities are
represented by boxes, and their relationships are represented by arrows indicating the flow of
data.
Concept of Operations Page of7 18
2.3 Modes of Operation
The ESC can adapt to the user’s experience level of riding limiting acceleration and top speed
to make for a shorter learning curve and a less intimidating platform for new riders. It can also
be set with no limitations for maximum performance as well as a mode to increase range.
Beginner’s Mode
In this mode the ESC limits the acceleration to 20% of maximum potential and limits the max
speed to 8 mph.
Eco Mode
In this mode the ESC limits acceleration to 40% and limits top speed to 15 mph. This helps
reduce the amount of current being drawn from the batteries and limits total output power to
help increase range.
Commute Mode
The ESC limits acceleration to 80% for smoother starts but does not limit the max speed.
Power Mode
The ESC does not limit acceleration or top speed. User inputs result in direct response from the
motors to maximize performance.
2.4 Operating Environment
This system is designed to be operated in a wide variety of environments where people need to
get from one place to the next.
Cities: Within the city on roads, bike lanes/paths, and sidewalks. Carried inside of trains,
buses, and cars.
Campuses: In and around college campuses where public transportation is less
available and transportation on foot or on small vehicles like skateboards and bicycles
are the main form of transportation.
Suburbs: On roads, hills, and bike paths.
Concept of Operations Page of8 18
2.4.1 Environmental Conditions
The Dash Board must be able to operate in a variety of conditions but it is not designed to
operate in extreme off road terrain.
Operating Temperature Range: -20°C - 60°C
Charging Temperature Range: 0°C - 45°C
Humidity Range: 0% - 100%
Weather Conditions: Rain, Snow, Sun
2.5 System Stakeholders and Actors
The following entities have been identified as the set of stakeholders of the Dash Board system.
All of the use cases described in this document are descriptions of the different scenarios in
which these stakeholders use the system to achieve their individual goals, operating within the
constraints specified in this document.
Actor Type: User
“User” is a class of stakeholders (Actors, in UML terminology) that
represents humans using the Dash Board system to achieve their goals. The
User class has the following derived entities:
• Rider 



Actor Type: System 

“System” is a class of Actors that represents machines that are part of the Dash
Board system and interact with each other to achieve their goals. The System
class has the following derived entities:
• Electric Longboard 

• Wireless Controller

• ESC
• BMS
Concept of Operations Page of9 18
Stakeholder Type: Business Entities 

“BusinessEntity” is a class of stakeholders that represents internal and external
corporate entities that have a stake in the PLGM throughout its entire life cycle,
ranging from its design and development to its production, deployment,
operation, and retirement. The BusinessEntity class consists of the following
elements:


• Dash Electric Marketing


• Dash Electric Manufacturing
2.5.1 Stakeholder Register
2.5.2 Stakeholder Goals
College Students: Ride from their dormitory to their class and around campus.
Affordability and clean design are very important to these stakeholders. Also they want
low to no maintenance.
Young Professionals: Ride from their apartment to work and for running errands
around town. Cost is important but not the absolute top priority. They want a good price,
with enough power to get them up any hill in their city.
Parents: They want their child to be safe so having brakes and a beginner mode are
very important.
3 Rider’s Relevant Use Cases (High Level Use Cases)
This section describes some special use cases that are representative of normal daily
operation of the electric longboard.
Name Placement Interest Level Power Level
College Students Primary High High
Young Professionals Primary High High
Parents Secondary Low Medium
Concept of Operations Page of10 18
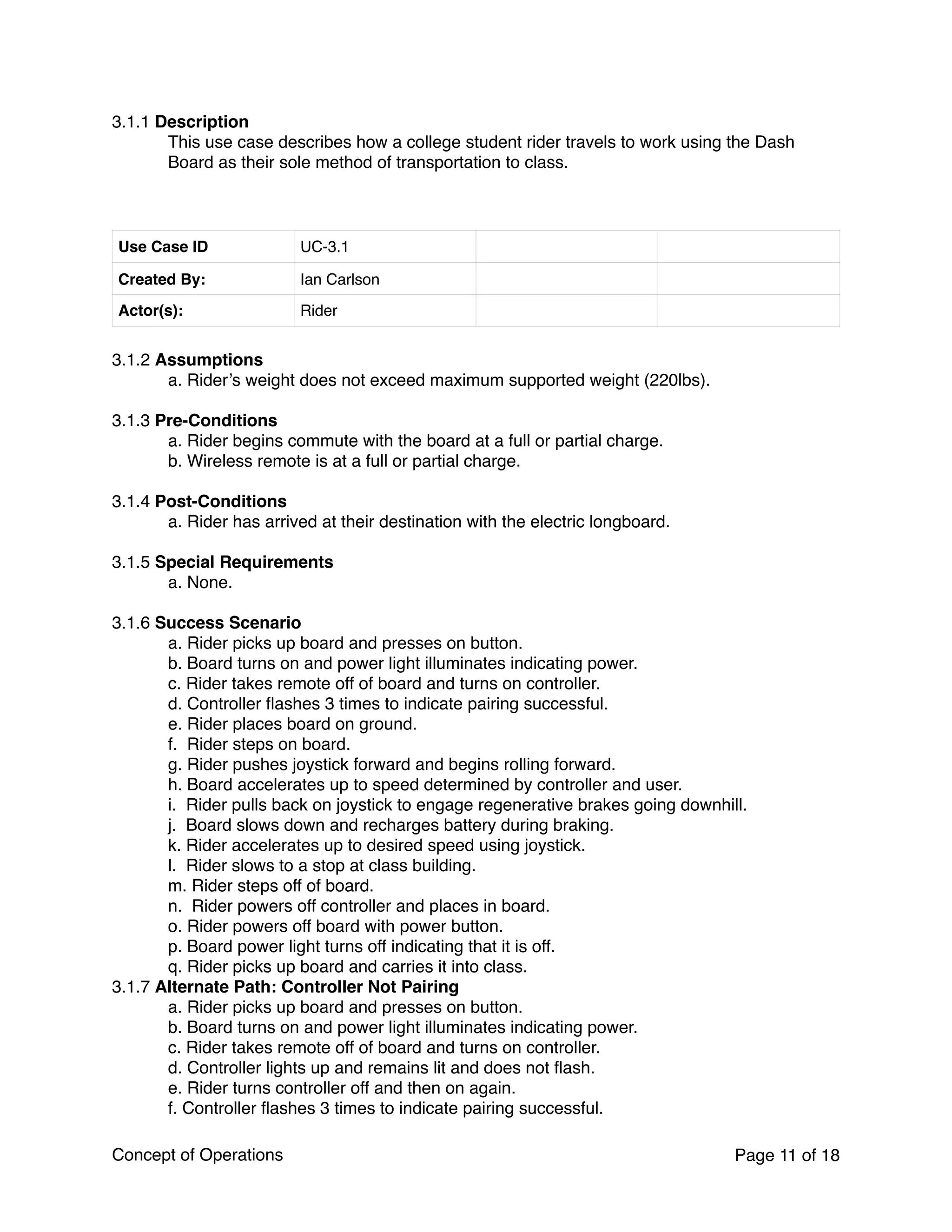
3.1.1 Description
This use case describes how a college student rider travels to work using the Dash
Board as their sole method of transportation to class.
3.1.2 Assumptions
a. Rider’s weight does not exceed maximum supported weight (220lbs).
3.1.3 Pre-Conditions
a. Rider begins commute with the board at a full or partial charge.
b. Wireless remote is at a full or partial charge.
3.1.4 Post-Conditions
a. Rider has arrived at their destination with the electric longboard.
3.1.5 Special Requirements
a. None.
3.1.6 Success Scenario
a. Rider picks up board and presses on button.
b. Board turns on and power light illuminates indicating power.
c. Rider takes remote off of board and turns on controller.
d. Controller flashes 3 times to indicate pairing successful.
e. Rider places board on ground.
f. Rider steps on board.
g. Rider pushes joystick forward and begins rolling forward.
h. Board accelerates up to speed determined by controller and user.
i. Rider pulls back on joystick to engage regenerative brakes going downhill.
j. Board slows down and recharges battery during braking.
k. Rider accelerates up to desired speed using joystick.
l. Rider slows to a stop at class building.
m. Rider steps off of board.
n. Rider powers off controller and places in board.
o. Rider powers off board with power button.
p. Board power light turns off indicating that it is off.
q. Rider picks up board and carries it into class.
3.1.7 Alternate Path: Controller Not Pairing
a. Rider picks up board and presses on button.
b. Board turns on and power light illuminates indicating power.
c. Rider takes remote off of board and turns on controller.
d. Controller lights up and remains lit and does not flash.
e. Rider turns controller off and then on again.
f. Controller flashes 3 times to indicate pairing successful.
Use Case ID UC-3.1
Created By: Ian Carlson
Actor(s): Rider
Concept of Operations Page of11 18
3.1.8 Alternate Path: Controller Loses Connection While Riding
a. Rider is accelerating.
b. Board loses connection to remote.
c. Controller indicates lost connection with solid light.
d. Board coasts to a stop.
3.2.1 Description
This use case describes how a user will install the single motor electric longboard kit to
their existing longboard setup.
3.2.2 Assumptions
a. User is following instructions sheet.
3.2.3 Pre-Conditions
a. User begins with a complete longboard setup.
3.2.4 Post-Conditions
a. User has a motorized electric longboard.
3.2.5 Special Requirements
a. None.
3.2.6 Success Scenario
a. User removes trucks and wheels with provided skate tool.
b. User takes electronics board and places it on board.
c. User aligns holes in electronics board with standard mounting holes on longboard.
d. User places truck on top of electronics board.
e. User puts the 4 screws through the mounting holes and secures them with nuts.
f. User screws motor wheel onto axle with skate tool.
g. User puts provided normal wheel on the other axle and secures with skate tool.
h. User puts riser on other end of the board over mounting holes.
i. User secures truck on top of riser using screws and secures with nuts.
j. User puts normal wheels on with skate tool.
k. User inspects board to make sure everything is secure.
l. User plugs powered wheel into port on electronics board.
Use Case ID UC-3.2
Created By: Ian Carlson
Actor(s): Rider
Concept of Operations Page of12 18
3.3.1 Description
This use case describes how a user can charge their electric longboard using the
provided wall charger.
3.3.2 Assumptions
a. Rider has a functioning wall socket available.
3.3.3 Pre-Conditions
a. User begins with partially charged or empty battery pack.
b. Board can be on or off when charging.
3.3.4 Post-Conditions
a. User has a fully battery pack.
3.3.5 Special Requirements
a. None.
3.3.6 Success Scenario
a. User plugs charger into wall outlet.
b. User plugs DC charge plug into charging port on the longboard.
c. LED light on charger illuminates red when charging.
d. LED fuel gauge on longboard shows current charge level.
e. User waits until LED light on charger is green/fuel gauge on longboard is full.
f. User unplugs charge connector from board.
3.3.7 Alternate Path: Charger Not Plugged into Wall
a. User plugs DC charge plug into charging port on the longboard.
b. LED light on charger is off.
c. User checks if charger is plugged in to the wall outlet.
e. User plugs charger into wall outlet.
f.
3.3.8 Alternate Path: Wall Outlet Fuse Blown
a. User plugs DC charge plug into charging port on the longboard.
b. LED light on charger is off.
c. User checks if charger is plugged in to the wall outlet.
e. User plugs charger into wall outlet.
f. LED light on charger is still off.
g. User resets wall outlet fuse.
Use Case ID UC-3.3
Created By: Ian Carlson
Actor(s): Rider
Concept of Operations Page of13 18
4 Remote Control Operation Use Cases
(Detailed Use Cases, Low Level)
This section describes low level use cases of the rider commanding the board with the
wireless controller up and down hills as well as cruise control for long distances.
4.1.1 Description
This use case describes how a rider engages cruise control.
4.1.2 Assumptions
a. Rider’s weight does not exceed maximum supported weight (220lbs).
4.1.3 Pre-Conditions
a. Rider has fully or partially charged electric longboard.
4.1.4 Post-Conditions
a. Rider is in cruise control.
4.1.5 Special Requirements
a. None.
4.1.6 Success Scenario
a. Rider uses joystick to accelerate longboard.
b. Once at desired speed rider holds down cruise control button.
c. Rider releases joystick.
d. Board maintains current speed.
e. Rider wants to increase speed but still cruise.
f. Rider while holding cruise button presses joystick forward.
g. Board accelerates.
h. Rider releases joystick.
i. Board maintains current speed.
j. Rider wants to decrease speed but still cruise.
k. Rider while holding cruise button presses joystick backward.
l. Board decelerates.
m. Board maintains current speed.
n. Rider releases cruise button.
o. Board decelerates.
Use Case ID UC-4.1
Created By: Ian Carlson
Actor(s): Rider
Concept of Operations Page of14 18
4.1.7 Alternate Path: Cruise Control Without Joystick
a. Rider pushes longboard with foot up to desired speed.
b. Rider holds down cruise control button.
c. Board maintains current speed.
d. Rider releases cruise button.
e. Board decelerates.
4.2.1 Description
This use case describes how a rider commands the board to accelerate up a hill.
4.2.2 Assumptions
a. Rider’s weight does not exceed maximum supported weight (220lbs).
4.2.3 Pre-Conditions
a. Rider has fully or partially charged electric longboard.
b. Rider is riding electric longboard.
4.2.4 Post-Conditions
a. Rider has increased power to maintain speed up a hill.
4.2.5 Special Requirements
a. None.
4.2.6 Success Scenario
a. Rider approaches hill on electric longboard
b. Rider wants to maintain current speed.
c. Rider feels board slowing down on hill.
d. Rider presses joystick forward.
e. Board accelerates up to desired speed.
f. Rider holds joystick forward
g. Board continues to supply power to maintain speed.
Use Case ID UC-4.2
Created By: Ian Carlson
Actor(s): Rider
Concept of Operations Page of15 18
4.3.1 Description
This use case describes how a rider engages regenerative braking to expedite
deceleration.
4.3.2 Assumptions
a. Rider’s weight does not exceed maximum supported weight (220lbs).
4.3.3 Pre-Conditions
a. Rider has fully or partially charged electric longboard.
b. Rider is riding electric longboard.
4.3.4 Post-Conditions
a. Rider has decreased their speed through regenerative braking.
4.3.5 Special Requirements
a. None.
4.3.6 Success Scenario
a. Rider approaches downhill on electric longboard
b. Rider wants to go slowly downhill
c. Rider feels board accelerating downhill.
d. Rider presses joystick backward.
e. Board engages regenerative braking through motor.
f. Rider decelerates.
g. Rider holds joystick backward.
h. Board holds regenerative braking.
5 Remote Control Operation (Detailed Use Cases)
5.1.1 Description
This use case describes how the board should react to being powered on.
5.1.2 Assumptions
a. N/A.
Use Case ID UC-4.3
Created By: Ian Carlson
Actor(s): Rider
Use Case ID UC-5.1
Created By: Ian Carlson
Actor(s): Rider
Concept of Operations Page of16 18
5.1.3 Pre-Conditions
a. Electric longboard is powered off.
5.1.4 Post-Conditions
a. Electric longboard is powered on.
5.1.5 Special Requirements
a. None.
5.1.6 Success Scenario
a. Rider presses the on button.
b. Power light turns on and fuel gauge illuminates to display power left.
c. Power gauge has 3 lights, 1 lit indicates low, 2 is medium, 3 is high.
d. Motor jitters to indicate it is functioning.
5.1.7 Alternate Path: Cruise Control Without Joystick
a. Rider presses the on button.
b. No lights turns on on longboard.
c. Board is completely discharged.
d. Rider charges board.
6 Design Constraints
This following guidelines constitute high level design constraints for the design and
implementation the Dash Board system. These constraints support Dash Electric’s business
interests, as well as best engineering practices.
6.1 Electric Longboard Components and Peripherals
ID Description
6.1.1 Dash Electric Hub Motor
6.1.2 VESC Motor Controller
6.1.3 BLE Transceiver
6.1.4 37V 40A BMS
6.1.5 Samsung 25R 18650 Li-Ion Battery
6.1.6 Battery Case
6.1.7 Wireless Controller Case
6.1.8 Power Electronics Case
Concept of Operations Page of17 18
6.2 General Mechanical Design
The following design constraints shall be observed throughout the design process for all
of the tagged components.
ID Requirements
6.1.2, 6.1.3, 6.1.6, 6.1.7, 6.1.8 IP 64
Concept of Operations Page of18 18

Concept of Operations

  • 1.
    Dash Electric Concept ofOperations(ConOps) Document No. TBD Concept of Operations Page of1 18
  • 2.
    1 About ThisDocument 1.1 Purpose This document presents a high-level description of the operation concept for a new lightweight electric vehicle for urban commuting called the Dash Board. The Dash Board is an electrically powered longboard that acts as personal transportation for short trips around town or for commuting to and from work. Additionally, this document also includes the high-level behavior specification of new product, and in the future a line of products for Dash Electric. This document is used as a source of information for project planning, decision making, and as the main input to the development of precise, quantifiable, testable system requirements specifications. Concept of Operations Page of2 18
  • 3.
    Table of Contents DashElectric.…………………………………………………………………………………………..1 1 About this document……….…………………………………………………………………2 1.1  Purpose 1.2 Table of Figures 1.3 Table of Tables 1.4 References 1.5 Definitions 2 System Overview 2.1 Project Goal 2.2 System Context 2.3 Modes of Operation 2.4 operating Environment 2.5 System Stakeholders and Actors 3 Rider’s Relevant Use Cases (High Level Use Cases) 3.1 Use Case (UC-3.1): Riding to Class 3.2 Use Case (UC-3.2): Installing Kit to Longboard 3.3 Use Case (UC-3.3): Charging Longboard 4 Remote Control Operation Use Cases (Detailed Use Cases, Low Level) 4.1 Use Case (UC-4.1): Cruise Control 4.2 Use Case (UC-4.2): Accelerate 4.3 Use Case (UC-4.3): Regenerative Braking Concept of Operations Page of3 18
  • 4.
    5 Remote ControlOperation (Detailed Use Cases) 5.1 Use Case (UC-5.1): Power on Board 6 Design Constraints 6.1 Electric Longboard Components and Peripherals 6.2 General Mechanical Design Concept of Operations Page of4 18
  • 5.
    1.2 Table ofFigures Figure 1 - Electric longboard System Context Diagram Figure 2 2 1.3 Table of Tables Table 1 - References Table 2 - Definition of terms and acronyms Table 3 - Design Constraints: Mechanical Table 4 - Design Constraints: Electrical Table 5 - Design Constraints: 1.4 References Concept of Operations Page of5 18 Reference Description IEC 60529 IP64 International Protection, the degrees of protection provided against the intrusion of solid objects, dust, accidental contact, and water in electrical enclosures.
  • 6.
    1.5 Definitions 2 SystemOverview 2.1 Project Goal Dash Electric Inc. is developing an electric longboard kit that can be attached to most longboards on the market without any power tools or screws needed. It uses hub motors that attach to the existing longboard trucks and a novel electronics package that contains the batteries and all electronics needed to run the motors. The electronics package is on a unified board that mounts between the deck and the trucks using the 4 holes used for mounting the trucks that are standard on every longboard and skateboard. This ease of mounting also minimizes assembly and manufacturing costs because no modifications need to be made to any components of the longboard for attaching the electronics and motors to. The goal for this company is to change the way people think about getting around in cities through fun and green electric vehicles. Our values are based around truly understanding our customer and building products that can address their true pain points in transportation. We believe in products that provide real value and want to build a relationship with our customers by providing them with products that last and are sold at a fair price. We want them to love our products and the experience of owning and using one and look to us to help them solve their issues in getting around as we expand our product line. Dash Electric is aiming to become a leader in the growing industry of urban focused vehicles. Our competitive advantage over our current competitors is currently our focus on our customer and their values, and the innovations that come from that focus i.e. we set out to design an affordable electric longboard, ultimately the best solution for our customer was the kit we designed which allows our customer to upgrade their existing longboard, each is unique and is a point of self expression, without destroying it in the process, and at a low price point. This innovation of such a simple kit brought down the cost of manufacturing of the complete longboard product because we no longer needed to modify any parts of the board, trucks, or wheels. This approach at product design Term or Acronym Definition Li-ion Lithium Ion ESC Electronic Speed Controller BMS Battery Management System Hub Motor Motor located inside of a wheel Longboard A skateboard that usually has a 30in or greater length and softer wheels than a normal skateboard with 70-95A urethane Deck The riding surface on a longboard Trucks The axle and supporting fixture that connects the wheels and the deck together Concept of Operations Page of6 18
  • 7.
    gives us anedge over our competitors, as they currently have focused on simply bringing the product with the highest specs and not realizing that their audience may love the idea of their product but having the right focus on what will actually get their customer to buy their product. We looked at new ways to approach building and designing an electric longboard and through that ended up with a much more reliable and affordable product than if we had followed the conventional drivetrain design of the electric longboard with motor arms, belts, and pulleys. 2.2 System Context The context diagram below outlines the environment in which the electric longboard will operate. Figure 1 shows the internal system interaction and its interaction with the user. Entities are represented by boxes, and their relationships are represented by arrows indicating the flow of data. Concept of Operations Page of7 18
  • 8.
    2.3 Modes ofOperation The ESC can adapt to the user’s experience level of riding limiting acceleration and top speed to make for a shorter learning curve and a less intimidating platform for new riders. It can also be set with no limitations for maximum performance as well as a mode to increase range. Beginner’s Mode In this mode the ESC limits the acceleration to 20% of maximum potential and limits the max speed to 8 mph. Eco Mode In this mode the ESC limits acceleration to 40% and limits top speed to 15 mph. This helps reduce the amount of current being drawn from the batteries and limits total output power to help increase range. Commute Mode The ESC limits acceleration to 80% for smoother starts but does not limit the max speed. Power Mode The ESC does not limit acceleration or top speed. User inputs result in direct response from the motors to maximize performance. 2.4 Operating Environment This system is designed to be operated in a wide variety of environments where people need to get from one place to the next. Cities: Within the city on roads, bike lanes/paths, and sidewalks. Carried inside of trains, buses, and cars. Campuses: In and around college campuses where public transportation is less available and transportation on foot or on small vehicles like skateboards and bicycles are the main form of transportation. Suburbs: On roads, hills, and bike paths. Concept of Operations Page of8 18
  • 9.
    2.4.1 Environmental Conditions TheDash Board must be able to operate in a variety of conditions but it is not designed to operate in extreme off road terrain. Operating Temperature Range: -20°C - 60°C Charging Temperature Range: 0°C - 45°C Humidity Range: 0% - 100% Weather Conditions: Rain, Snow, Sun 2.5 System Stakeholders and Actors The following entities have been identified as the set of stakeholders of the Dash Board system. All of the use cases described in this document are descriptions of the different scenarios in which these stakeholders use the system to achieve their individual goals, operating within the constraints specified in this document. Actor Type: User “User” is a class of stakeholders (Actors, in UML terminology) that represents humans using the Dash Board system to achieve their goals. The User class has the following derived entities: • Rider 
 
 Actor Type: System 
 “System” is a class of Actors that represents machines that are part of the Dash Board system and interact with each other to achieve their goals. The System class has the following derived entities: • Electric Longboard 
 • Wireless Controller
 • ESC • BMS Concept of Operations Page of9 18
  • 10.
    Stakeholder Type: BusinessEntities 
 “BusinessEntity” is a class of stakeholders that represents internal and external corporate entities that have a stake in the PLGM throughout its entire life cycle, ranging from its design and development to its production, deployment, operation, and retirement. The BusinessEntity class consists of the following elements: 
 • Dash Electric Marketing 
 • Dash Electric Manufacturing 2.5.1 Stakeholder Register 2.5.2 Stakeholder Goals College Students: Ride from their dormitory to their class and around campus. Affordability and clean design are very important to these stakeholders. Also they want low to no maintenance. Young Professionals: Ride from their apartment to work and for running errands around town. Cost is important but not the absolute top priority. They want a good price, with enough power to get them up any hill in their city. Parents: They want their child to be safe so having brakes and a beginner mode are very important. 3 Rider’s Relevant Use Cases (High Level Use Cases) This section describes some special use cases that are representative of normal daily operation of the electric longboard. Name Placement Interest Level Power Level College Students Primary High High Young Professionals Primary High High Parents Secondary Low Medium Concept of Operations Page of10 18
  • 11.
    3.1.1 Description This usecase describes how a college student rider travels to work using the Dash Board as their sole method of transportation to class. 3.1.2 Assumptions a. Rider’s weight does not exceed maximum supported weight (220lbs). 3.1.3 Pre-Conditions a. Rider begins commute with the board at a full or partial charge. b. Wireless remote is at a full or partial charge. 3.1.4 Post-Conditions a. Rider has arrived at their destination with the electric longboard. 3.1.5 Special Requirements a. None. 3.1.6 Success Scenario a. Rider picks up board and presses on button. b. Board turns on and power light illuminates indicating power. c. Rider takes remote off of board and turns on controller. d. Controller flashes 3 times to indicate pairing successful. e. Rider places board on ground. f. Rider steps on board. g. Rider pushes joystick forward and begins rolling forward. h. Board accelerates up to speed determined by controller and user. i. Rider pulls back on joystick to engage regenerative brakes going downhill. j. Board slows down and recharges battery during braking. k. Rider accelerates up to desired speed using joystick. l. Rider slows to a stop at class building. m. Rider steps off of board. n. Rider powers off controller and places in board. o. Rider powers off board with power button. p. Board power light turns off indicating that it is off. q. Rider picks up board and carries it into class. 3.1.7 Alternate Path: Controller Not Pairing a. Rider picks up board and presses on button. b. Board turns on and power light illuminates indicating power. c. Rider takes remote off of board and turns on controller. d. Controller lights up and remains lit and does not flash. e. Rider turns controller off and then on again. f. Controller flashes 3 times to indicate pairing successful. Use Case ID UC-3.1 Created By: Ian Carlson Actor(s): Rider Concept of Operations Page of11 18
  • 12.
    3.1.8 Alternate Path:Controller Loses Connection While Riding a. Rider is accelerating. b. Board loses connection to remote. c. Controller indicates lost connection with solid light. d. Board coasts to a stop. 3.2.1 Description This use case describes how a user will install the single motor electric longboard kit to their existing longboard setup. 3.2.2 Assumptions a. User is following instructions sheet. 3.2.3 Pre-Conditions a. User begins with a complete longboard setup. 3.2.4 Post-Conditions a. User has a motorized electric longboard. 3.2.5 Special Requirements a. None. 3.2.6 Success Scenario a. User removes trucks and wheels with provided skate tool. b. User takes electronics board and places it on board. c. User aligns holes in electronics board with standard mounting holes on longboard. d. User places truck on top of electronics board. e. User puts the 4 screws through the mounting holes and secures them with nuts. f. User screws motor wheel onto axle with skate tool. g. User puts provided normal wheel on the other axle and secures with skate tool. h. User puts riser on other end of the board over mounting holes. i. User secures truck on top of riser using screws and secures with nuts. j. User puts normal wheels on with skate tool. k. User inspects board to make sure everything is secure. l. User plugs powered wheel into port on electronics board. Use Case ID UC-3.2 Created By: Ian Carlson Actor(s): Rider Concept of Operations Page of12 18
  • 13.
    3.3.1 Description This usecase describes how a user can charge their electric longboard using the provided wall charger. 3.3.2 Assumptions a. Rider has a functioning wall socket available. 3.3.3 Pre-Conditions a. User begins with partially charged or empty battery pack. b. Board can be on or off when charging. 3.3.4 Post-Conditions a. User has a fully battery pack. 3.3.5 Special Requirements a. None. 3.3.6 Success Scenario a. User plugs charger into wall outlet. b. User plugs DC charge plug into charging port on the longboard. c. LED light on charger illuminates red when charging. d. LED fuel gauge on longboard shows current charge level. e. User waits until LED light on charger is green/fuel gauge on longboard is full. f. User unplugs charge connector from board. 3.3.7 Alternate Path: Charger Not Plugged into Wall a. User plugs DC charge plug into charging port on the longboard. b. LED light on charger is off. c. User checks if charger is plugged in to the wall outlet. e. User plugs charger into wall outlet. f. 3.3.8 Alternate Path: Wall Outlet Fuse Blown a. User plugs DC charge plug into charging port on the longboard. b. LED light on charger is off. c. User checks if charger is plugged in to the wall outlet. e. User plugs charger into wall outlet. f. LED light on charger is still off. g. User resets wall outlet fuse. Use Case ID UC-3.3 Created By: Ian Carlson Actor(s): Rider Concept of Operations Page of13 18
  • 14.
    4 Remote ControlOperation Use Cases (Detailed Use Cases, Low Level) This section describes low level use cases of the rider commanding the board with the wireless controller up and down hills as well as cruise control for long distances. 4.1.1 Description This use case describes how a rider engages cruise control. 4.1.2 Assumptions a. Rider’s weight does not exceed maximum supported weight (220lbs). 4.1.3 Pre-Conditions a. Rider has fully or partially charged electric longboard. 4.1.4 Post-Conditions a. Rider is in cruise control. 4.1.5 Special Requirements a. None. 4.1.6 Success Scenario a. Rider uses joystick to accelerate longboard. b. Once at desired speed rider holds down cruise control button. c. Rider releases joystick. d. Board maintains current speed. e. Rider wants to increase speed but still cruise. f. Rider while holding cruise button presses joystick forward. g. Board accelerates. h. Rider releases joystick. i. Board maintains current speed. j. Rider wants to decrease speed but still cruise. k. Rider while holding cruise button presses joystick backward. l. Board decelerates. m. Board maintains current speed. n. Rider releases cruise button. o. Board decelerates. Use Case ID UC-4.1 Created By: Ian Carlson Actor(s): Rider Concept of Operations Page of14 18
  • 15.
    4.1.7 Alternate Path:Cruise Control Without Joystick a. Rider pushes longboard with foot up to desired speed. b. Rider holds down cruise control button. c. Board maintains current speed. d. Rider releases cruise button. e. Board decelerates. 4.2.1 Description This use case describes how a rider commands the board to accelerate up a hill. 4.2.2 Assumptions a. Rider’s weight does not exceed maximum supported weight (220lbs). 4.2.3 Pre-Conditions a. Rider has fully or partially charged electric longboard. b. Rider is riding electric longboard. 4.2.4 Post-Conditions a. Rider has increased power to maintain speed up a hill. 4.2.5 Special Requirements a. None. 4.2.6 Success Scenario a. Rider approaches hill on electric longboard b. Rider wants to maintain current speed. c. Rider feels board slowing down on hill. d. Rider presses joystick forward. e. Board accelerates up to desired speed. f. Rider holds joystick forward g. Board continues to supply power to maintain speed. Use Case ID UC-4.2 Created By: Ian Carlson Actor(s): Rider Concept of Operations Page of15 18
  • 16.
    4.3.1 Description This usecase describes how a rider engages regenerative braking to expedite deceleration. 4.3.2 Assumptions a. Rider’s weight does not exceed maximum supported weight (220lbs). 4.3.3 Pre-Conditions a. Rider has fully or partially charged electric longboard. b. Rider is riding electric longboard. 4.3.4 Post-Conditions a. Rider has decreased their speed through regenerative braking. 4.3.5 Special Requirements a. None. 4.3.6 Success Scenario a. Rider approaches downhill on electric longboard b. Rider wants to go slowly downhill c. Rider feels board accelerating downhill. d. Rider presses joystick backward. e. Board engages regenerative braking through motor. f. Rider decelerates. g. Rider holds joystick backward. h. Board holds regenerative braking. 5 Remote Control Operation (Detailed Use Cases) 5.1.1 Description This use case describes how the board should react to being powered on. 5.1.2 Assumptions a. N/A. Use Case ID UC-4.3 Created By: Ian Carlson Actor(s): Rider Use Case ID UC-5.1 Created By: Ian Carlson Actor(s): Rider Concept of Operations Page of16 18
  • 17.
    5.1.3 Pre-Conditions a. Electriclongboard is powered off. 5.1.4 Post-Conditions a. Electric longboard is powered on. 5.1.5 Special Requirements a. None. 5.1.6 Success Scenario a. Rider presses the on button. b. Power light turns on and fuel gauge illuminates to display power left. c. Power gauge has 3 lights, 1 lit indicates low, 2 is medium, 3 is high. d. Motor jitters to indicate it is functioning. 5.1.7 Alternate Path: Cruise Control Without Joystick a. Rider presses the on button. b. No lights turns on on longboard. c. Board is completely discharged. d. Rider charges board. 6 Design Constraints This following guidelines constitute high level design constraints for the design and implementation the Dash Board system. These constraints support Dash Electric’s business interests, as well as best engineering practices. 6.1 Electric Longboard Components and Peripherals ID Description 6.1.1 Dash Electric Hub Motor 6.1.2 VESC Motor Controller 6.1.3 BLE Transceiver 6.1.4 37V 40A BMS 6.1.5 Samsung 25R 18650 Li-Ion Battery 6.1.6 Battery Case 6.1.7 Wireless Controller Case 6.1.8 Power Electronics Case Concept of Operations Page of17 18
  • 18.
    6.2 General MechanicalDesign The following design constraints shall be observed throughout the design process for all of the tagged components. ID Requirements 6.1.2, 6.1.3, 6.1.6, 6.1.7, 6.1.8 IP 64 Concept of Operations Page of18 18