Durham University
Department of Mathematics
MMath Thesis
The Polynomial Method
A Combinatorial method for bounding solution sets
Samuel JP McStay
Supervised by
Dan Evans
April 29, 2016
Abstract
During this study we will survey the Polynomial method, going from its origins within
Combinatorics, to its most recent applications in Discrete geometry. Through use of
worked examples we will explore the various tools which comprise the method,
discussing their applications in a number of significant papers, and considering the
potential extensions for future research.
Declaration
This piece of work is a result of my own work except where it forms an assessment
based on group project work. In the case of a group project, the work has been
prepared in collaboration with other members of the group. Material from the work of
others not involved in the project has been acknowledged and quotations and
paraphrases suitably indicated.
Contents
1 Introduction 3
1.1 Outlining the Method . . . . . . . . . . . . . . . . . . . . . . . . . . . . . 3
1.2 Nullstellensatz . . . . . . . . . . . . . . . . . . . . . . . . . . . . . . . . . 4
1.2.1 Proof of the Combinatorial Nullstellensatz . . . . . . . . . . . . . . 5
1.3 Using the Combinatorial Nullstellensatz . . . . . . . . . . . . . . . . . . . 7
1.4 Algebraic Geometry: Connecting the Nullstellens¨atze . . . . . . . . . . . . 8
1.5 B´ezout’s Theorem . . . . . . . . . . . . . . . . . . . . . . . . . . . . . . . 11
I Sumsets and Finite Fields 14
2 Chevalley-Warning Theorem 15
2.1 An Interesting History . . . . . . . . . . . . . . . . . . . . . . . . . . . . . 15
2.2 The Theorems . . . . . . . . . . . . . . . . . . . . . . . . . . . . . . . . . 16
2.3 Proving the Theorem . . . . . . . . . . . . . . . . . . . . . . . . . . . . . . 17
2.3.1 The Reduced Polynomial . . . . . . . . . . . . . . . . . . . . . . . 19
2.3.2 Uses of the Theorem . . . . . . . . . . . . . . . . . . . . . . . . . . 21
3 Sumsets 22
3.1 Introducing Sumsets . . . . . . . . . . . . . . . . . . . . . . . . . . . . . . 22
3.1.1 Spin to win - Forming simple sumsets . . . . . . . . . . . . . . . . 22
3.2 Cauchy-Davenport Theorem . . . . . . . . . . . . . . . . . . . . . . . . . . 24
3.2.1 Proving the Theorem . . . . . . . . . . . . . . . . . . . . . . . . . 24
3.3 The Erd¨os-Heilbronn Problem . . . . . . . . . . . . . . . . . . . . . . . . . 25
3.3.1 Proving the EHP . . . . . . . . . . . . . . . . . . . . . . . . . . . . 26
4 The Erd¨os-Ginzburg-Ziv Theorem 28
4.1 Understanding Zero-sum Sequences . . . . . . . . . . . . . . . . . . . . . . 28
4.1.1 Just Sum Dice Game . . . . . . . . . . . . . . . . . . . . . . . . . . 29
4.1.2 Implications . . . . . . . . . . . . . . . . . . . . . . . . . . . . . . . 30
4.2 The Erd¨os-Ginzburg-Ziv Theorem . . . . . . . . . . . . . . . . . . . . . . 31
4.2.1 Proving EGZ . . . . . . . . . . . . . . . . . . . . . . . . . . . . . . 31
4.3 Further Applications . . . . . . . . . . . . . . . . . . . . . . . . . . . . . . 34
1
4.3.1 Zn –Zn and beyond . . . . . . . . . . . . . . . . . . . . . . . . . . 34
5 Polynomial Testing 35
5.1 The DeMillo-Lipton-Schwartz-Zippel Lemma . . . . . . . . . . . . . . . . 35
5.1.1 Applications . . . . . . . . . . . . . . . . . . . . . . . . . . . . . . 37
6 Kakeya 38
6.1 The Kakeya needle problem . . . . . . . . . . . . . . . . . . . . . . . . . . 38
6.2 The Finite Field Analogue . . . . . . . . . . . . . . . . . . . . . . . . . . . 39
6.2.1 The Proof of the Finite field Kakeya conjecture . . . . . . . . . . . 41
II Euclidean Space 44
7 Distances 45
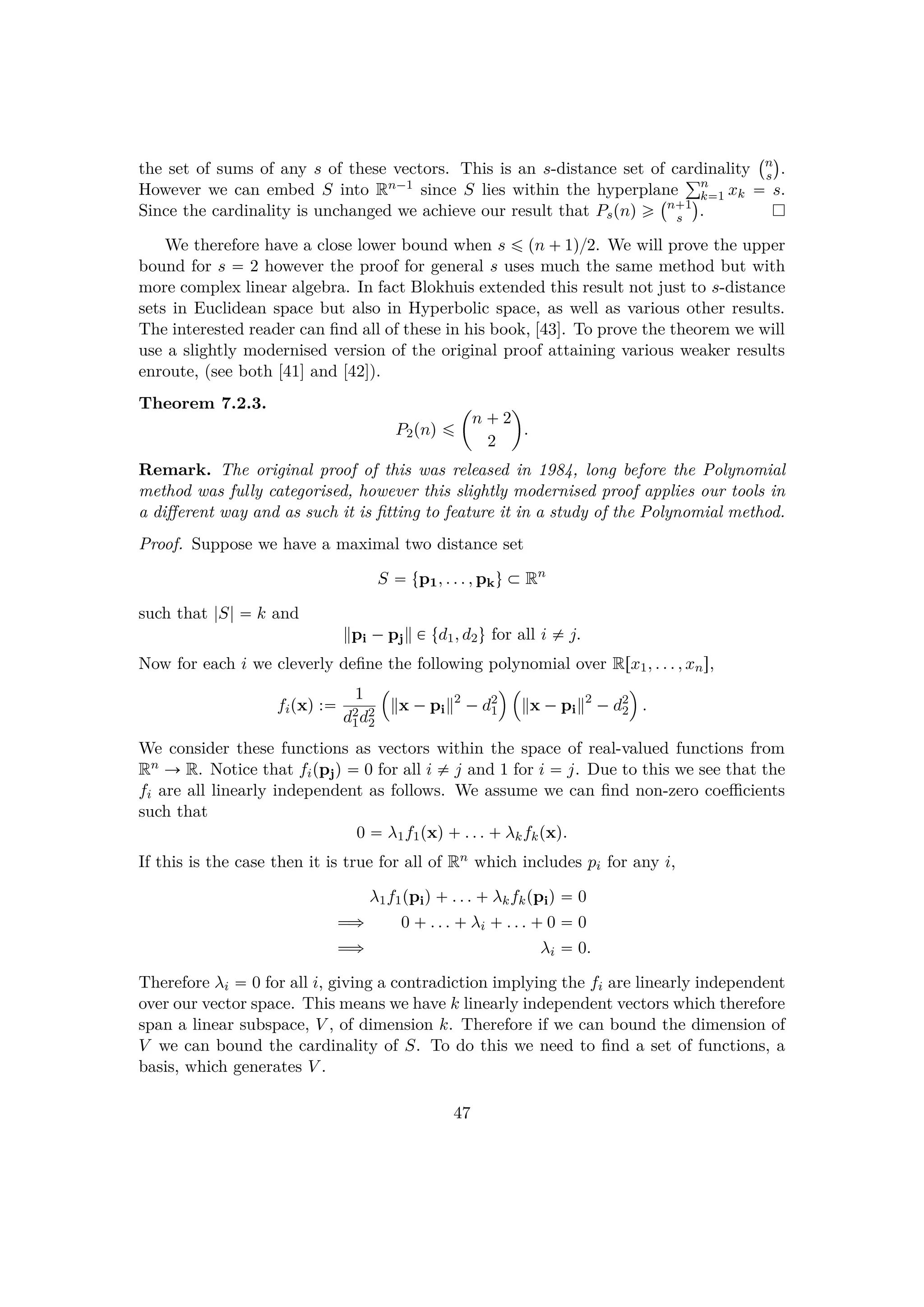
7.1 The s-Distances Problem . . . . . . . . . . . . . . . . . . . . . . . . . . . . 45
7.1.1 The Two Distance Problem . . . . . . . . . . . . . . . . . . . . . . 45
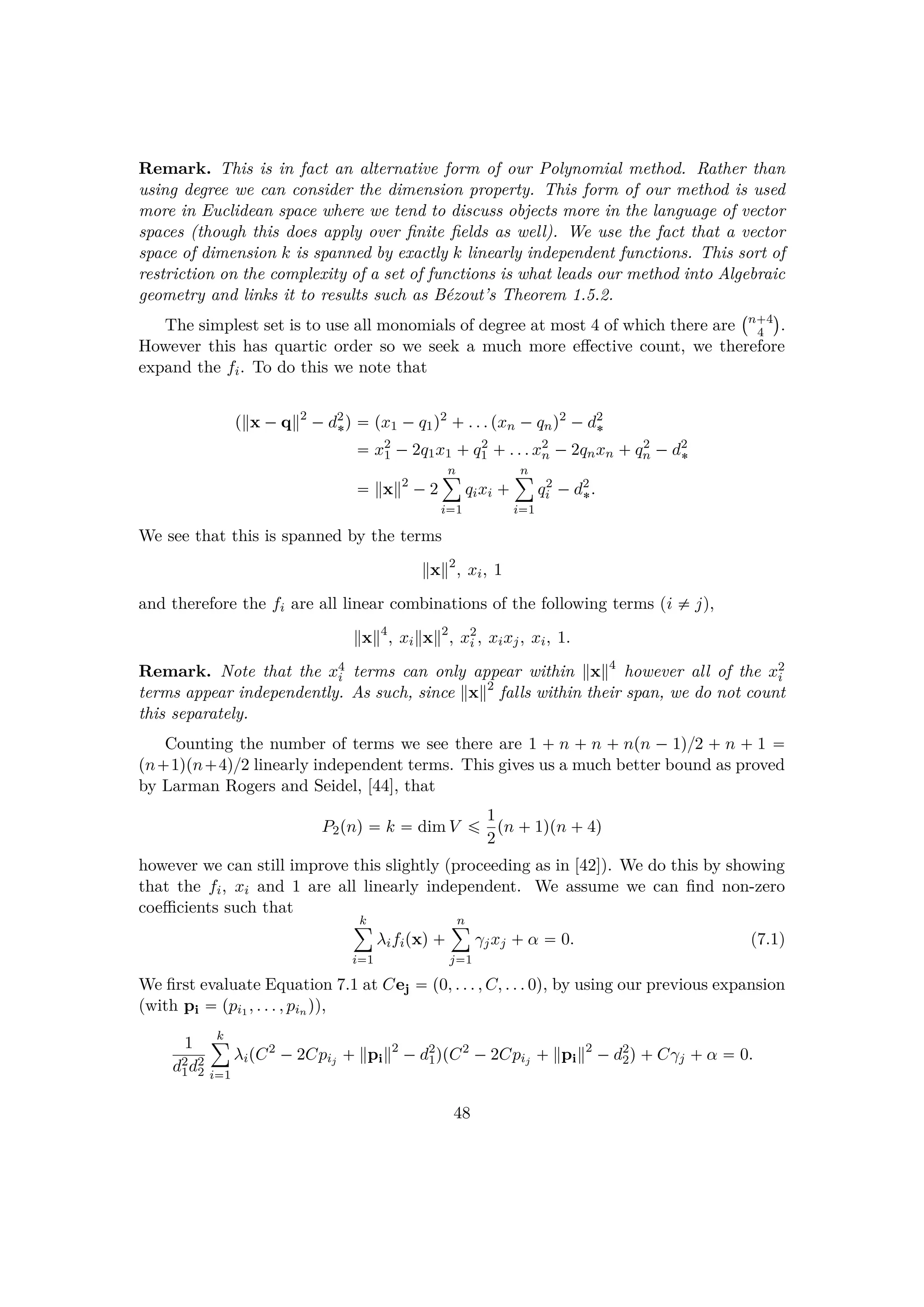
7.2 Bounding Pspnq . . . . . . . . . . . . . . . . . . . . . . . . . . . . . . . . . 46
7.2.1 Extensions . . . . . . . . . . . . . . . . . . . . . . . . . . . . . . . 50
8 Lines and Joints 51
8.1 The Joints Problem . . . . . . . . . . . . . . . . . . . . . . . . . . . . . . 51
8.2 Solving the Problem . . . . . . . . . . . . . . . . . . . . . . . . . . . . . . 52
8.2.1 The General Solution . . . . . . . . . . . . . . . . . . . . . . . . . 53
8.3 Extensions of the Problem . . . . . . . . . . . . . . . . . . . . . . . . . . . 55
8.3.1 The Erd¨os Distinct Distances Problem . . . . . . . . . . . . . . . . 56
III Graph Theory 57
9 Graph Theory 58
9.1 Polynomials of Graphs . . . . . . . . . . . . . . . . . . . . . . . . . . . . . 58
9.2 The Basics . . . . . . . . . . . . . . . . . . . . . . . . . . . . . . . . . . . 58
9.3 Finding a p-regular Subgraph . . . . . . . . . . . . . . . . . . . . . . . . . 59
9.4 Graph Colouring and the use of Ideals . . . . . . . . . . . . . . . . . . . . 61
9.4.1 k-Colourability - An Ideal ending . . . . . . . . . . . . . . . . . . . 64
10 Concluding Remarks 66
Bibliography 68
2
Chapter 1
Introduction
The Polynomial method is a collection of combinatorial tools used in mathematical
proofs. The ideas behind it can be found in writings from over a century ago but it rose
to the forefront of mathematical study in 2008. This recognition was largely due to the
work of Dvir, who solved the Finite field Kakeya conjecture using the method [1]. Since
then, the method has been applied to many more problems within Combinatorics to
great success, and its full potential is still unknown. To date, its main applications have
been in Incidence geometry but it has also been used widely in Coding theory, Graph
theory and Additive number theory. Despite its remarkable simplicity, it remains an
essential tool in modern mathematical innovation.
1.1 Outlining the Method
As the name suggests the method is built around the structures of polynomials. Remark-
ably simple to work with, we can view polynomials in two ways; either as evaluation
maps, or as formal objects in a ring. The well defined nature of polynomials means they
have a number of practical properties and useful structure. The Polynomial method at-
tempts to take unknown information and carefully embed it into a polynomial. By then
studying this polynomial, we can achieve a better understanding of our original structure.
While this method has a basic form, we can construct more powerful tools and theo-
rems from it. By using these more complex constructions we can apply the Polynomial
method to a problem in a more efficient and effective way. Our basic method, as seen
in [2], is derived from the following statements concerning single-variable polynomials.
Theorem 1.1.1 (The Fundamental Theorem of Algebra). A non-zero, single-variable,
polynomial of degree d has no more than d distinct roots, and has exactly d roots when
counted with multiplicity over its algebraic closure.
Theorem 1.1.2. For any set S of cardinality d there exists a non-zero polynomial f of
degree at most d which vanishes on S, that is, fpsq  0 for all s € S.
Given a polynomial of fixed degree, the first theorem upper bounds the cardinality
of its vanishing set. The second says conversely that every set is the vanishing set of
3
some polynomial, with degree bounded by the cardinality of the set. In conjunction,
these statements allow us to apply the method in both directions. We can bound the
number of roots of any polynomial based on its vanishing points, and we can bound
the cardinality of a set, by the degree of polynomial vanishing on it. The multi-variable
analogues of these statements form the basis of our Polynomial method.
More generally we look at properties such as degree and dimension from which, by
using counting arguments, we can obtain bounds on the complexity of a set. We bound
and from below by showing that no polynomials of low degree vanish on our set, and
from above by finding a polynomial which does. In this way we can bound the solutions
to a variety of problems. We can further generalise these ideas to systems of equations
through tools such as the Combinatorial Nullstellensatz which, as the name suggests, is
linked to the Hilbert Nullstellensatz. These extensions require careful analysis of vanish-
ing sets and applications of our basic Polynomial method. This focus on vanishing sets
means the topic is closely related to, and reliant upon, results from Algebraic geometry.
1.2 Nullstellensatz
Nullstellensatz is a German word meaning “zero-locus theorem” immediately denoting its
association to vanishing sets (see [3]). First published in 1893 [4], Hilbert’s Nullstellensatz
is derived by focussing on ideals. The statement is a powerful tool concerning the
solutions of any homogeneous system of polynomial equations over an algebraically closed
field (most usually C in Algebraic geometry). The two statements (as seen in [5] and [6]
respectively) are equivalent however for convenience we denote them separately. We first
define some notation with which we can state the theorem.
Definition 1.2.1. For any set of polynomials P  tp1, . . . , pku define
ZpPq : tps1, . . . , snq € Fn
|pps1, . . . , snq  0 dp € Pu,
the vanishing set of P.
Theorem 1.2.2 (Hilbert’s Strong Nullstellensatz [5], [6]). Take F to be an algebraically
closed field, P  tp1, . . . , pku to be a set of polynomials, and f, p1, . . . , pk to be polyno-
mials over Frx1, . . . , xns. Then
I. Take an ideal J in Frx1, . . . , xns. If f vanishes on ZpJq then there exists an integer
r ¡ 0 such that
fr
€ J.
II. If f vanishes on ZpPq then there exists an integer r and polynomials g1, . . . , gk €
Frx1, . . . , xns such that
fr

k¸
i1
gipi.
4
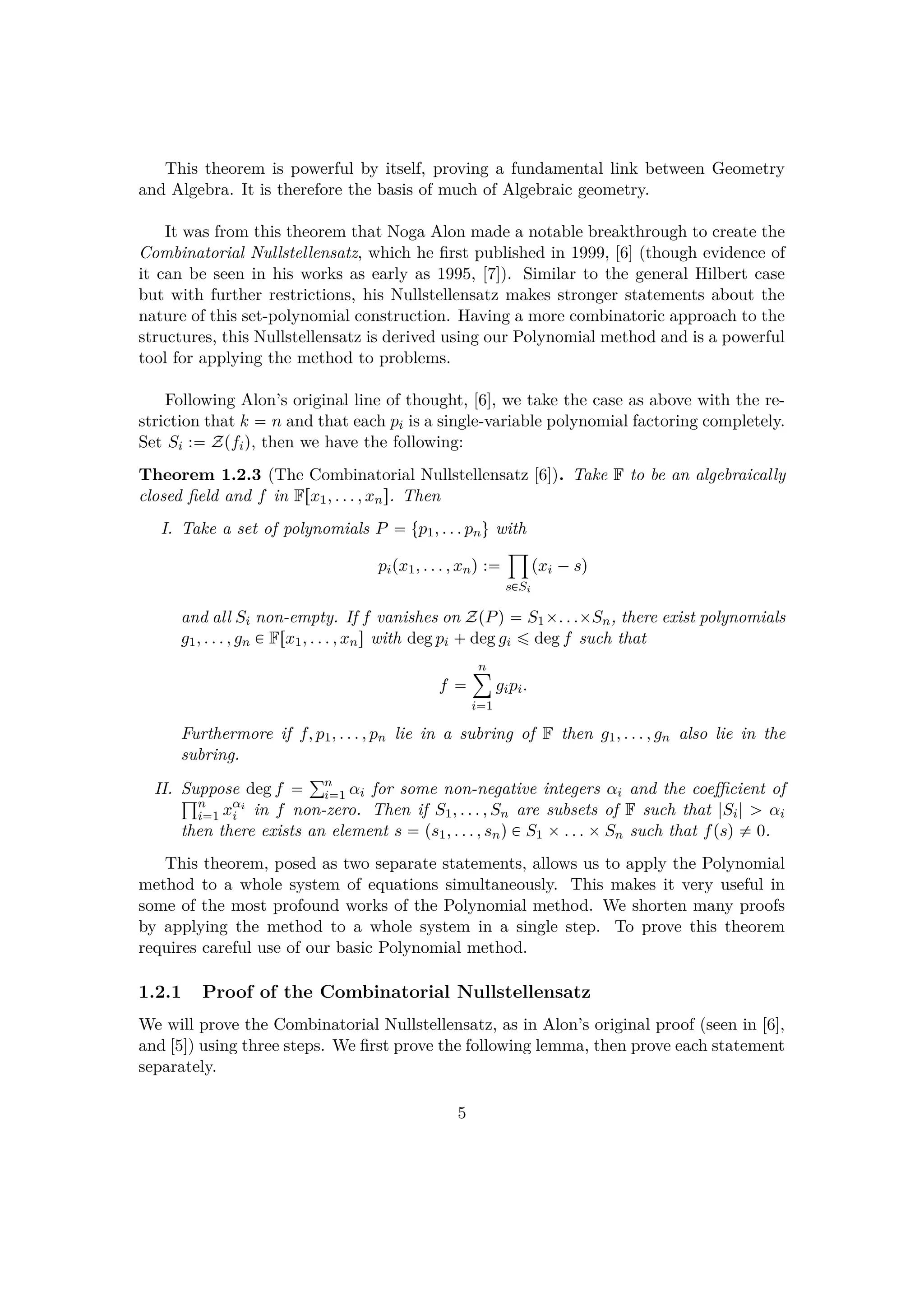
This theorem is powerful by itself, proving a fundamental link between Geometry
and Algebra. It is therefore the basis of much of Algebraic geometry.
It was from this theorem that Noga Alon made a notable breakthrough to create the
Combinatorial Nullstellensatz, which he first published in 1999, [6] (though evidence of
it can be seen in his works as early as 1995, [7]). Similar to the general Hilbert case
but with further restrictions, his Nullstellensatz makes stronger statements about the
nature of this set-polynomial construction. Having a more combinatoric approach to the
structures, this Nullstellensatz is derived using our Polynomial method and is a powerful
tool for applying the method to problems.
Following Alon’s original line of thought, [6], we take the case as above with the re-
striction that k  n and that each pi is a single-variable polynomial factoring completely.
Set Si : Zpfiq, then we have the following:
Theorem 1.2.3 (The Combinatorial Nullstellensatz [6]). Take F to be an algebraically
closed field and f in Frx1, . . . , xns. Then
I. Take a set of polynomials P  tp1, . . . pnu with
pipx1, . . . , xnq :
¹
s€Si
pxi ¡sq
and all Si non-empty. If f vanishes on ZpPq  S1¢. . .¢Sn, there exist polynomials
g1, . . . , gn € Frx1, . . . , xns with deg pi  deg gi ¤ deg f such that
f 
n¸
i1
gipi.
Furthermore if f, p1, . . . , pn lie in a subring of F then g1, . . . , gn also lie in the
subring.
II. Suppose deg f  °n
i1 αi for some non-negative integers αi and the coefficient of±n
i1 xαi
i in f non-zero. Then if S1, . . . , Sn are subsets of F such that |Si| ¡ αi
then there exists an element s  ps1, . . . , snq € S1 ¢. . . ¢Sn such that fpsq $ 0.
This theorem, posed as two separate statements, allows us to apply the Polynomial
method to a whole system of equations simultaneously. This makes it very useful in
some of the most profound works of the Polynomial method. We shorten many proofs
by applying the method to a whole system in a single step. To prove this theorem
requires careful use of our basic Polynomial method.
1.2.1 Proof of the Combinatorial Nullstellensatz
We will prove the Combinatorial Nullstellensatz, as in Alon’s original proof (seen in [6],
and [5]) using three steps. We first prove the following lemma, then prove each statement
separately.
5
Lemma 1.2.4. Suppose f € Frx1, . . . , xns is such that the degree of f in xi is at most
αi, for all i € t1, . . . , nu, and let Si € F have cardinality at least αi   1. Then if f
vanishes on S1 ¢. . . ¢Sn, it is the zero polynomial.
Proof. We prove this by induction. For n  1 assume we have a non-zero single-variable
polynomial of degree at most αi but with at least αi 1 roots. By Theorem 1.1.1 we must
have the zero-polynomial. Since it is true for n  1 we can now perform our inductive
step, assuming the lemma holds for n ¡1, n ¥ 2, and from this showing it holds for n.
Take a polynomial fpx1, . . . , xnq with sets Si as in the statement of the lemma. We
can write f as a polynomial in xn taking fipx1, . . . , xn¡1q to be the coefficient of xi
n such
that
f 
αn¸
i0
fipx1, . . . , xn¡1qxi
n.
Fixing the values of x1, . . . , xn as some value s1 ¢. . . ¢sn¡1 € S1 ¢. . . ¢Sn¡1 gives us
a polynomial in one variable that vanishes on Sn. Since we know the lemma holds for
n  1 this polynomial is identically 0. This means the coefficients are identically zero
implying that fipx1, . . . xn¡1q vanishes S1 ¢. . .¢Sn¡1. By our inductive assumption the
lemma holds for n ¡1 and therefore fi  0 for all i implying f  0.
We can now prove the first statement of the Combinatorial Nullstellensatz.
Proof of Combinatorial Nullstellensatz I. We again take f € Frx1, . . . , xns vanishing on
the non-empty set S1 ¢. . . ¢Sn € Fn and set αi  |Si|¡1. Then for each i € t1, . . . , nu
define
pipxiq :
¹
s€Si
pxi ¡sq  xαi 1
i ¡
αi¸
j0
pcijxj
i q
where cij is simply the coefficient of xj
i . By construction this vanishes on Si and therefore
sαi 1

αi¸
j0
pcijsj
q
for all s € Si. By applying this relation we can create a reduced polynomial of maximum
degree αi in xi by writing higher powers as linear combinations of lower order terms.
We apply this process to f to get a reduced form ˜f. Note that where this relation
holds ˜f will equal f and therefore
˜fps1, . . . snq  fps1, . . . snq for all ps1, . . . snq € S1 ¢. . . ¢Sn.
This gives us that ˜fpx1, . . . xnq also vanishes on S1 ¢. . . ¢Sn meaning by Lemma 1.2.4
˜f  0.
We now look closely at the process taking f to ˜f. We note that the xi terms are
reduced by subtracting multiples of the pi of the form gipi where gi € Frx1 . . . xns. Since
6
the aim is to cancel out terms of f with multiples of the pi, the coefficients of the gi are
within the smallest ring containing all the coefficients of f, p1, . . . , pn. We also see that
deg gipi ¤ deg f
which implies that
deg gi  deg pi ¤ deg f.
as in the statement of the theorem. Finally we see that
f ¡
n¸
i1
gipi  ˜f  0
and therefore
f 
n¸
i1
gipi.
We now prove the second statement of the Combinatorial Nullstellensatz.
Proof of Combinatorial Nullstellensatz II. We again set pipxiq  ±
s€Si
pxi ¡ sq and set
|Si|  αi  1 with αi is the degree of f in xi. Assume for contradiction that f vanishes on
S1 ¢. . .¢Sn. We can therefore apply Combinatorial Nullstellensatz I to get polynomials
gi € Frx1 . . . xns with deg gi ¤ °n
i1 αi ¡deg pi such that
f 
n¸
i1
gipi.
On the left hand side this equation has a maximal degree term
±n
i1 xαi
i with a non-zero
coefficient hence so does the right hand side. However the RHS is composed of terms of
the form gipi hence we can write it as
gi
¹
s€Si
pxi ¡sq  gi
£
xαi 1
i ¡
αi¸
j0
pcijxj
i q

.
The maximal degree terms here must all be divisible by xαi 1
i and there can be no term
of form
±n
i1 xαi
i . This gives a contradiction, so f does not vanish on S1 ¢. . . ¢Sn.
This completes the proof of the Combinatorial Nullstellensatz.
1.3 Using the Combinatorial Nullstellensatz
To give an example of using the Combinatorial Nullstellensatz we look at an elegant
example studied in the Gazeta Mathematica [8]. The problem comes from the 2007
International Mathematical Olympiad and has a beautiful combinatoric solution, found
by only 5 of the participants.
7
Example 1.3.1 (Covering the unit grid except p0, 0, 0q). Let n be a positive integer.
Consider
S  tpx, y, zq|px, y, zq € t0, 1, . . . , nu3
, x  y  z ¡ 0u
a set of pn  1q3 ¡1 points in R3. Determine the smallest number of planes, the union
of which contains S but does not include p0, 0, 0q.
Solution. We begin by upper bounding our answer by 3n. This is attained by the solution
3n¤
i1
αi where αi : x  y  z  i
By contradiction we now show that this is minimal. Assume we have a solution using only
3n¡1 planes, π1, . . . π3n¡1. Each plane can be defined by an equation aix biy ciz di 
0 with di $ 0 since we are avoiding the origin. We define
gpx, y, zq 
3n¡1¹
i1
paix  biy  ciz  diq
and note that if we have a solution then g, the product of our planes, will vanish on S
but not at the origin since all our di are non-zero.
We now form a new polynomial fpx, y, zq from gpx, y, zq which vanishes on S ‰0,
fpx, y, zq  gpx, y, zq¡k
n¹
i1
px ¡iqpy ¡iqpz ¡iq
with k  gp0,0,0q
p¡13nqpn!q3 so that fp0, 0, 0q  0. Since g has degree 3n ¡1, and the coefficient
of xnynzn is k $ 0 we see that f has degree 3n. We are now in a case where we can
apply our Combinatorial Nullstellensatz II to achieve our contradiction.
We are working over the field R with f € Rrx, y, zs, deg f  3n  n  n  n, and the
coefficient of xnynzn in f, is k $ 0. We then take S1  S2  S3  t0, 1, . . . , nu € R each
of cardinality n 1 such that |S| ¡ n. Hence by our Combinatorial Nullstellensatz there
exists an ps1, s2, s3q € S1 ¢S2 ¢S3 such that fpsq $ 0 contradicting that f vanishes on
S ‰0.
This sample problem, studying a polynomial formed by the products of planes, fur-
ther suggests the link between the Nullstellens¨atze and Algebraic geometry.
1.4 Algebraic Geometry: Connecting the Nullstellens¨atze
In appearance the two Nullstellens¨atze are quite similar. The important difference being
that by looking at a more specialised case, we can replace fr by f. Removing this
power allows the Combinatorial Nullstellensatz to be applied effectively in a number of
more combinatorial situations where the Hilbert Nullstellensatz isn’t applicable. This is
because we can make much more rigorous statements a polynomial than we can about a
8
polynomial raised to an unknown power. On the other hand the significance of Hilbert’s
Nullstellensatz is its foundational importance to Algebraic geometry. In fact we can now
clarify definition 1.2.1 to reflect this.
Definition 1.4.1 (Algebraic Set). For any P € Frx1, . . . , xns and ZpPq as in Definition
1.2.1, we may call ZpPq an algebraic set.
Remark. For further insight into this section the reader is directed to a set of lecture
notes by Gathmann [9].
These algebraic sets are the fundamental objects of study in Algebraic geometry. As
we have already seen our Polynomial method is very closely linked to these sets and
therefore Algebraic geometry.
Theorem 1.4.2. For any algebraically closed field F, there is a one-to-one correspon-
dence between the radical ideals of Frx1, . . . , xns and the algebraic sets of Fn.
This theorem is the basis of Algebraic geometry, proving the link between our alge-
braic objects, the radical ideals, and our geometric structures, the algebraic sets. The
proof relies on Hilbert’s Nullstellensatz and is perhaps the most important use of it.
While the proof is not strictly an application of the Polynomial method it bears some
resemblance and demonstrates the use of Hilbert’s Nullstellensatz effectively. This proof
is adapted from the work of Jones in [5].
Proof.
I. We define two maps and note some of their properties.
(a) Our first map takes a set from Fn to the collection of polynomials vanishing
on it.
IpSq : tf € Frx1, . . . xns|fps1, . . . , snq  0 dps1, . . . , snq € Su
(b) Note that IpSq is closed under addition and under multiplication by any poly-
nomial, hence it is the ideal of S. Furthermore we note that if gkps1, . . . , snq 
0 then gps1, . . . , snq  0. This means if a power of an element, g, is in J then
so is g. Hence IpSq is in fact a radical ideal.
(c) Our second map is Z as before,
ZpJq : tps1, . . . , snq € Fn
|fps1, . . . , snq  0 df € Ju
but with J a radical ideal. By Definition 1.4.1 this maps to an algebraic set.
We now look at the composition of these two maps.
II. ZpIpSqq:
(a) S € ZpIpSqq: Take an algebraic set S. All f € IpSq vanish on S, and therefore
s € ZpIpSqq for any s € S.
9
(b) ZpIpSqq € S: Now take ps1, . . . , snq € ZpIpSqq. Then for all f € IpSq we have
that fps1, . . . , snq  0. Therefore ps1, . . . , snq € S.
(c) These two statements imply that ZpIq is the identity on algebraic sets.
III. IpZpJqq:
(a) pJ € IpZpJqq: For all f € J, f vanishes on ZpJq. Therefore f € IpZpJqq.
(b) pIpZpJq € Jq: Now take f € IpZpJqq. This means f vanishes on ZpJq. We
now apply Hilbert’s Strong Nullstellensatz I implying that fr € J for some
integer r ¡ 0. Therefore f € J because J is radical.
(c) These two statements imply that IpZq is the identity on radical ideals.
We therefore have a one-to-one correspondence as defined by these maps, completing
the proof.
We will now work through an example to help explain the theorem using the I and
Z functions as seen in the proof.
Example 1.4.3. Take the algebraically closed field C and take n  1 so that we work
over Crzs. Define our algebraic set to be
S  t0, 1, 2u € C.
For a polynomial to vanish on this set it clearly must be of form gpzqfpzq where gpzq is
a polynomial in Crzs and
fpzq  zpz ¡1qpz ¡2q.
Therefore the ideal of S, the set of polynomials vanishing on it, is generated by fpzq.
That is
IpSq  th € Crzs|hpzq  0 dz € Su
 tgpzqfpzq|gpzq € Crzsu
 xfy.
If we now look at where this ideal vanishes, we see that ZpIpSqq  S. This is because
all of IpSq shares f as a common factor but no other root. Therefore we see ZpIpSqq is
the identity on S.
Conversely, with f as above, start with the ideal
J  xfy.
We know from before that this vanishes only on S  ZpJq. Therefore the ideal of this is
IpZpJqq  IpSq
 xfy
 J
Which shows that IpZpJqq is the identity on J.
10
The close resemblance between our method and the fundamentals of Algebraic ge-
ometry, means that often the two areas cross over. While the Polynomial method has
applications in many other areas, this one is of particular note. We therefore consider
another important result from Algebraic geometry.
1.5 B´ezout’s Theorem
One of the most important theorems addressing the size of vanishing sets is B´ezout’s
Theorem. Given a homogeneous system of polynomials, B´ezout’s Theorem bounds the
number of intersecions. The ability to do this, with only minimal knowledge about our
functions, will be important in later problems, particularly within Euclidean Space. We
begin by reflecting on this example (seen in [3]).
Example 1.5.1. Take the following two polynomials acting on the plane R2:
fpx, yq  px ¡1q. . . px ¡nq
gpx, yq  py ¡1q. . . py ¡mq
and consider the solutions of f  g  0. Note that deg f  n, deg g  m and that
Zpfq  tpa, yq € R2
|a € t1, 2, . . . , nuu
Zpgq  tpx, bq € R2
|b € t1, 2, . . . , muu.
Representing these sets graphically we can easily count the number of intersections,
|ZpfqˆZpgq|. Note that this is well defined (finite) since f and g do not share a
non-constant common component.
Zpfq
Zpgq
Figure 1.1: A graphical representation of the intersections of our two curves.
Clearly there are precisely nm intersections and therefore
|ZpfqˆZpgq|  deg f ¤deg g.
In fact by B´ezout’s Theorem this is maximal.
11
Theorem 1.5.2 (B´ezout’s Theorem). Let f, g € Frx, ys be polynomials with no non-
constant common components, and of degree n and m respectively with m, n ¥ 1. Then
|ZpfqˆZpgq| ¤ mn  deg f ¤deg g.
Furthermore if F is algebraically closed, and we count intersections properly, that is
including intersections at infinity and counting with multiplicity, then
|ZpfqˆZpgq|  mn.
This theorem acts a multivariate extension of our Fundamental Theorem of Algebra
1.1.1 and can be used to prove the Joints problem in Rn. I therefore include a proof of
this form of the theorem. The format of this proof is adapted from a proof by Hilton [10].
Remark. While this proof is essentially complete I have chosen to limit the detail on
the construction of the resultant and its properties as it is not further relevant to this
study. Hilton and Guth provide more insight into this concept, [10,11].
Proof. (Sketch).
I. Take f, g € Frx, ys polynomials over an algebraically closed field with no common
components. Then as previously
Zpfq  tpx, yq € F2
|fpx, yq  0u
Zpgq  tpx, yq € F2
|gpx, yq  0u
II. Define fi and gi as the homogeneous components of f and g of degree i such that
f 
m¸
i0
fipx, yq
g 
n¸
i0
gipx, yq
III. Homogenise our equations by adding a dummy variable z to get equations for F
and G homogeneous of degree m and n respectively.
F 
m¸
i0
fizm¡i
g 
n¸
i1
gizn¡i
IV. We now calculate RespF, Gq, the resultant of these two polynomials. That is the
determinant of the Sylvester matrix:
12
RespF, Gq 
f0 f1 ¤¤¤ fm 0 ¤¤¤ 0
0 f0 f1 ¤¤¤ fm 0 ¤¤¤ 0
0 0 f0 f1 ¤¤¤ fm 0 ¤¤¤ 0
...
...
...
...
...
...
...
0 ¤¤¤ 0 f0 f1 ¤¤¤ fm 0
0 ¤¤¤ 0 0 f0 f1 ¤¤¤ fm
g0 g1 ¤¤¤ gn 0 ¤¤¤ 0
0 g0 g1 ¤¤¤ gn 0 ¤¤¤ 0
...
...
...
...
...
...
...
0 ¤¤¤ 0 g0 g1 ¤¤¤ gn 0
0 ¤¤¤ 0 g0 g1 ¤¤¤ gn
.
The resultant has the remarkable property of being zero only where F and G share
a solution in z. Note also that all terms of the resultant have degree mn meaning
our resultant is a homogeneous polynomial in x and y of degree mn, [10].
V. Since our field is algebraically closed we see, by Theorem 1.1.1, that the resultant
factors into mn linear factors. Each factor corresponds to a line from the origin to a
point of intersection of the curves, hence we have exactly mn points of intersection
(counting properly).
Note that the first case follows from the algebraically closed case. If there are exactly
mn solutions within the algebraic closure F then there are at most mn solutions within
a sub-field of F.
As is key when using the Polynomial method, this theorem bounds the complexity of
vanishing sets. By cleverly applying this we can get new results, particularly when used
in conjunction with other aspects of the method. In essence this theorem allows us to
extend the principle of looking for roots, (where a function intersects the line y  0), to
looking for intersections with more complicated structures. As such B´ezout’s Theorem
is an extension of Theorem 1.1.1 and so it is considered part of the toolbox that is our
Polynomial method.
Remark. For further reading on B´ezout’s Theorem, and the topic in general, the reader
is directed to the lecture notes of Larry Guth [11]. A higher level, but comprehensive
resource, on this and the Polynomial method in general, is a survey by Terence Tao,
[12]. This is an excellent resource for much of this topic but notably discusses B´ezout’s
Theorem in further detail.
13
Part I
Sumsets and Finite Fields
14
Chapter 2
Chevalley-Warning Theorem
Remark. Throughout this chapter the reader is directed to the works of Pete Clark
in [13], [14] for further details and information.
2.1 An Interesting History
This theorem has controversial origins as the results arose from the work of two com-
peting mathematicians. This led to a collection of very similar statements proposed and
proved by the pair. 1934 was a tumultuous time for Emil Artin and his half-Jewish wife,
as residents of what was Nazi Germany. Despite his strong anti-Nazi views he continued
to work there before his emigration to the U.S.A in 1937. During this period he was
working on finite fields, supervising a PhD student Ewald Warning. Much of their work
concerned the following concept formulated by Artin [13], [15].
Definition 2.1.1. A C1-field is a field F such that given a homogeneous polynomial
fpx1, . . . , xnq € Frx1, . . . , xns
of degree d, with d ¡ n, there exists a non-zero point, s, of Fn such that fpsq  0.
It is now known that all fields are C1-fields. However at the time, for finite fields,
this was an open problem and Artin decided to task Warning to solve this. It was at this
point that Claude Chevalley visited Artin and, after discussing the ongoing work, went
away and released a proof of the conjecture himself, [16]. Not to be outdone, Warning
finished his thesis and furthered Chevalley’s result. The title of his work even translates
as “Remarks preceding work of Mr. Chevalley” and his introduction comments that his
results further Chevalley’s work, [17]. Compiling their works gives us the Chevalley-
Warning Theorem.
15
2.2 The Theorems
Theorem 2.2.1 (Chevalley-Warning Theorem [13], [14]). Take a set S of m polynomials
over a finite field,
S  tf1, . . . , fmu € Fqrx1, . . . , xns
with deg pfiq  αi ¥ 1 and q  pk for some prime p. Then if
m¸
i1
αi  d   n
we have that
I. (Chevalley’s Theorem). If ZpSq $ ∅ then |ZpSq| ¥ 2.
II. (Warning’s first Theorem). |ZpSq|  0 pmod pq.
III. (Warning’s second Theorem). If ZpSq $ ∅ then |ZpSq| ¥ qn¡d.
In line with our Polynomial method these statements look at the vanishing sets of
systems of polynomials. They allow us to bound the cardinality based on the degrees of
freedom coming from the number of variables and degrees of the polynomials. Within
finite fields these theorems give us a very good way to apply the Polynomial method.
To understand this theorem we will use it to prove Artin’s original conjecture.
Proof of Artin’s conjecture. Take a single homogeneous polynomial f € Frx1, . . . , xns
with deg pfq   n and F finite. We then set S  tfu. Since it is homogeneous
fp0, . . . , 0q  0
and therefore
Zpfq $ ∅.
By Chevalley’s Theorem
|Zpfq| ¥ 2
implying there exists another point where f vanishes which must be non-zero, proving
the conjecture.
Remark. While here we used Chevalley’s Theorem, we can easily also use Warning’s
Theorem to state that that there are at least p solutions, where p ¥ 2 is the characteristic
prime of the field.
While this is only a simple proof, the theorem can be used as part of our Polynomial
method to prove various results including, as we see in Chapter 4, the Erd¨os-Ginzburg-Ziv
Theorem.
16
2.3 Proving the Theorem
The first two statements can be proved relatively quickly by using our Polynomial method
as their proofs are equivalent. However Warning’s Second Theorem is a stronger state-
ment than we require, stated because of its historical relevance rather than it’s applica-
tion, hence I leave it without proof. (For more on this theorem the reader is deirected to
an article by Heath, [18]).
In Chevalley’s original proof he used his own form of the Combinatorial Nullstel-
lensatz I and an early form of the Polynomial method, long before the method was
categorised. However before we can prove this theorem we discuss the concept of the
reduced polynomial and an important corollary of Lagrange’s Theorem.
Theorem 2.3.1 (Lagrange’s Theorem). Given a finite group, G, the order of any sub-
group will divide the order of G.
We prove this using the concept of a left coset as seen in [19].
Proof. Take our group G with H a subgroup of it. If H  G or H  ∅ then the theorem
holds trivially. So assume H is non-trivial and choose an element g1 € G ¡H and from
it create a left coset by left multiply every element of H with g1,
g1H  tg1h |h € Hu.
Because g1 is invertible we have a bijection,
h Ñ g1h Ñ g¡1
1 g1h  h,
meaning the cardinality of this set is |H|. Now assume there is an element
k  g1h1 € H ‰g1H,
and therefore
g1  kh¡1
1 € H.
However since we assumed g1 ‚ H we have a contradiction meaning H and g1H are
disjoint. If
H ‰g1H  G
then our theorem holds with
|G|  2 |H|.
If not then we repeat our method using g2 € G ¡ pH ‰ g1Hq. We use this to generate
g2H which will again have cardinality |H| and is disjoint from H as before, but also
from g1H. If there was an element
k  g1h1  g2h2 € g1H ‰g2H
then
g2  g1h1h¡1
2 € g1H.
17
This is a contradiction since we assumed g2 ‚ g1H. If
H ‰g1H ‰g2H  G
then our theorem holds with
|G|  3 |H|.
Otherwise we continue to repeat this method taking
gi € G ¡pH ‰g1H ‰g2H ‰. . . ‰gi¡1Hq.
We form giH of cardinality |H| which will be disjoint from H and all gjH. If we assume
there is an element
k  gihi  gjhj € giH ‰gjH
then
gi  gjhjh¡1
i € gjH
which gives us a contradiction since by this process gi ‚ gjH. Because G is finite the
process will eventually end and we get that
H ‰g1H ‰. . . ‰gnH  G
which are all disjoint groups of cardinality |H| meaning that
|G|  pn  1q|H|.
This completes our proof that
|H|
§
§ |G|.
With this theorem we can prove the following important Corollary, which is used
throughout this paper.
Corollary 2.3.1.1 (An Important Relation). Over a finite field order q  pk with p
prime and a € Fqzt0u,
aq¡1
 1.
The proof of this corollary is simple when we consider the multiplicative view of a finite
field.
Remark. The reader seeking more explanation on this multiplicative structure is directed
to a short set of lecture notes by Ryan Vinroot [20].
Proof. Take an element β of our multiplicative group F¢
q  Fqzt0u and use it to generate
a subgroup
xβy  tβ, β2
, . . . u.
By Lagrange this set will be finite, with some cardinality cβ. If cβ  q ¡1 the theorem
holds. If not then we have a subgroup and cβ divides q ¡ 1, meaning q ¡ 1  dcβ for
some integer d. Since β generates a subgroup of cardinality cβ we have that
βcβ
 1
18
and therefore
βq¡1
 βdcβ
 1d
 1
finishing the proof since β was any non-zero element of our field.
Remark. More generally this result is that the order of any element of a finite group
divides the cardinality of the group. This is because any element will generate a cyclic
group with order dividing the group cardinality. Therefore by essentially the same ar-
gument as above, raising the element to the power of the group order minus one gives
1G. By extending this logic one can prove both Euler’s Theorem and Fermat’s Little
Theorem.
This corollary is a powerful tool within finite fields as it allows us to reduce the
degree of a polynomial without changing what it evaluates to. We use this relation to
remove any powers larger than q ¡1 since we know this power gives the identity. With
this process we can restrict the number, and degrees of, polynomials we need to consider
in our work over finite fields.
2.3.1 The Reduced Polynomial
Given any polynomial, by repeatedly using our corollary, we can form a reduced poly-
nomial. This is a polynomial that evaluates in exactly the same way but has a degree
in each variable of less than q. This means if the polynomial is in n variables then its
total degree is bounded by npq ¡1q.
Example 2.3.2 (Reducing a polynomial). To reduce a polynomial F, we find every
power higher than pq ¡1q and rewrite it as a bpq ¡1q where a   pq ¡1q. We then apply
our relation to these terms,
x
a bpq¡1q
i  xa
i ¤x
bpq¡1q
i  xa
i ¤1b
 xa
i .
After this process the degree of the reduced polynomial in each variable will be less than
pq ¡1q.
degxi
p˜Fq ¤ pq ¡1q
While this changes our polynomial’s structure, it maintains its evaluation at every point
meaning that for ˜F the reduced form of F,
Fpxq¡ ˜Fpxq  0 dx € Fn
q .
Clearly by construction our reduced polynomial has degree not more than the original
polynomial.
We now seek to show that the map from all polynomials in Fqrx1, . . . xns to the
reduced polynomials, via this method, is many-to-one.
Lemma 2.3.3. Every polynomial maps to a single reduced polynomial.
19
Remark. We prove this based on the work of Clark [14].
Proof. Begin by noting that the reduced polynomials are spanned by the monomials of
the form
xα1
1 . . . xαn
n , αi € Fq
of which there are qn. Therefore we can count the total number of such functions.
To define a reduced polynomial means choosing a coefficient of Fq for each of the qn
monomials. Therefore there are exactly qqn
reduced polynomials.
We now seek to show they all evaluate differently. We count the total number of
differently evaluating functions f : Fn
q Ñ Fq. Clearly we can send any of the qn points of
our codomain to any of q values of our domain. Hence there are qqn
differently evaluating
functions of this form. Now for any function f (not necessarily a polynomial) we define
a polynomial,
Rf px1, . . . , xnq :
¸
y€Fn
q
fpyq
n¹
i1
p1 ¡pxi ¡yiqq¡1
q
This is a reduced polynomial in n variables which evaluates exactly to f. This means the
reduced polynomials from Fn
q to Fq evaluate in qqn
different ways. Therefore, there are
qqn
different reduced polynomials, which collectively evaluate in all of the qqn
different
ways, hence a one-to-one relation. This means that for any function (and therefore
polynomial) there is a unique reduced polynomial which evaluates identically to it.
This idea of the reduced polynomial is important within finite field work and essential
in the following proof of Warning’s first Theorem, based on the works of Pete Clark [14].
Note that by proving Warning’s first Theorem we also prove Chevalley’s Theorem.
Proof of Warning’s first Theorem. Take the case as is our theorem. A set of polynomials
S  tf1, . . . , fmu € Fqrx1, . . . , xns
with
°r
i1 deg pfiq  d   n and q  pk with p prime. We look to create an indicator
function IZ which indicates whether a point of Fn
q is in ZpSq:
IZpxq 
5
1, if x € ZpSq
0, if x ‚ ZpSq.
We can write this function explicitly by using our relation from Corollary 2.3.1.1,
Fpxq :
m¹
i1
p1 ¡fipxqq¡1
q.
This is an indicator since the product has a zero term for all x ‚ ZpSq and if x € ZpSq
all fipxq are zero and we get 1.
20
We now look to create a reduced polynomial from Fpxq, which we know to be unique
and of degree at most degpFpxqq. One way to write this reduced form is
˜Fpxq :
¸
y€Fn
q
F1pyq
n¹
i1
p1 ¡pxi ¡yiqq¡1
q
which does indeed evaluate identically to F. Since ˜F vanishes outside of ZpSq we ignore
those terms and look at where it evaluates to 1, writing it as
˜Fpxq :
¸
s€Z
1
n¹
i1
p1 ¡pxi ¡siqq¡1
q.
The trick here now is to look at the degrees of our functions. We see that
degpFq  dpq ¡1q   npq ¡1q.
However within our reduced polynomial the coefficient of xq¡1
1 . . . xq¡1
n is p¡1qn |ZpSq|.
Assume that this coefficient is not zero modulo p and so non zero. This gives us that
degpFq  dpq ¡1q   npq ¡1q ¤ degp˜Fq.
Therefore we have a contradiction and
p¡1qn
|ZpSq|  0 pmod pq
which gives our result that
|ZpSq|  0 pmod pq.
Remark. As mentioned this also proves Chevalley’s Theorem since p ¥ 2.
2.3.2 Uses of the Theorem
The Chevalley-Warning Theorem is a powerful combinatoric tool which can be used
to prove various results particularly within Additive combinatorics and the study of
sumsets. It is a useful tool which we use to apply the Polynomial method. One of
the most notable uses is the proof of the Erd¨os-Ginzburg-Ziv Theorem which we will
introduce later.
21
Chapter 3
Sumsets
3.1 Introducing Sumsets
One of the major areas in which the Polynomial method has brought breakthroughs
is within the study of Additive number theory. A relatively new area of study, lying
within Combinatorial number theory, it is best described as the study of sums of sets of
integers. A variety of interlinked problems in this area, some of which stood for over 30
years, have been solved by applying our method. Through both the Chevalley-Warning
Theorem and the Combinatorial Nullstellensatz some results have been given new proofs
and others proved for the first time. One of the most notable of these, is the Erd¨os-
Heilbronn problem, which stood for over 30 years. However we will work our way up to
this from basics and see some of the other works in this area. Throughout this chapter
we will define a sumset as follows:
Definition 3.1.1. Given subsets A and B of an additive group G, a sumset is
A  B : ta  b |a € A, b € Bu.
This definition easily extends to other group operations but in this chapter we focus
on additive groups.
Remark. A concise resource giving some insight into this chapter is a set of notes on
the Polynomial method by Matt Devos [21], particularly chapter 9.
3.1.1 Spin to win - Forming simple sumsets
Imagine you have a spinner, divided into 25 sections. Each section contains an outer
number and an inner number, each between 1 and 5. After each spin you record the
result to form a growing set of outer numbers, and also a set of inner numbers. How
many spins does it take such that, by adding one value from each set, we can form any
number pmod 5q?
22
Figure 3.1: A spinner with 25 sections, each containing two numbers between 1 and 5.
Example 3.1.2 (Trial run). Imagine our first result is p1, 2q, where the first number is
the outer number. Recording this we see our sumset consists of only 3 as we have only
one choice from each set. We therefore continue to spin, generating a table of results.
Spin to Win - Sample Game
Spin # Result Outer set Inner set Sumset pmod 5q
1 p1, 2q t1u t2u t3u
2 p2, 4q t1, 2u t2, 4u t0, 1, 3, 4u
3 p1, 3q t1, 2u t2, 3, 4u t0, 1, 3, 4u
4 p5, 2q t1, 2, 5u t2, 3, 4u t0, 1, 2, 3, 4u
We see that after 4 spins we have achieved a complete sumset of 5 elements and complete
our trial run.
This example highlights some interesting points about set addition. Firstly we see
that adding an element to our subset does not necessarily increase the cardinality of
our sumset, we see this in our example where we move from our second to our third
spin. We also see that to complete our sumset required us to have 6 elements in our
subsets and that 5 can be inadequate. It is these sort of points that our theorems address.
One such theorem is the Cauchy-Davenport Theorem, this states that if the sumset
does not have cardinality p  5, a complete set, then it has cardinality at least |O| |I|¡1.
For our example this means if we have 6 elements between our two subsets we are
guaranteed a complete sumset. This requires between 3 and 5 spins assuming we get
distinct results (else the game could go indefinitely).
Remark. This result generalises from 6 elements to p  1 elements for any prime p.
23
3.2 Cauchy-Davenport Theorem
The theorem was first proved in 1813 by Cauchy, however it was independently proven by
Davenport over 100 years later in 1935. Since Davenport was unaware of Cauchy’s proof
the name credits both for their contributions and it is arguably the origin of Additive
number theory.
Theorem 3.2.1. Given a cyclic group of prime order Zp, if A, B € Zp are non-empty
then
|A  B| ¥ mintp, |A| |B|¡1u.
As we saw in our example this result allows us to comment on the size of sumsets.
The theorem is a powerful tool and we will use it to prove a number of results, it was
also used in the original proof of the Erd¨os-Ginzburg-Ziv Theorem, [22], a theorem we
study in the next chapter.
3.2.1 Proving the Theorem
The proofs of Cauchy and Davenport were different but both relied on induction on the
size of the sets. Cauchy used a form of transform to arrive at his proof in 1813, [23], giving
a new way to prove Lagrange’s four squares Theorem, on the other hand Davenport’s
proof came from his work on residue classes, [24], and was seen as a discrete analogue to
work on Schnirelmann density by Khintchine. Both of these approaches led to further
results but it is perhaps Alon’s proof, [6], using the Combinatorial Nullstellensatz which
is most easily generalised. With a few small modifications the following proof will give
us a number of results concerning sumsets, and much more concisely than proofs by
other methods.
Remark. A good source for the reader seeking more information on the earlier proofs
is an article by Adhikari, Chintamani, Geeta and Moriya, which summarises a number
of the proofs as well as discussing some further works, [25].
Proof. Given a prime p and sets A, B € Zp, we first take the case where |A| |B| ¡ p.
Take an element k € Zp, then note that
k € A  B ðñ A ˆpk ¡Bq $ ∅.
Since k ¡ B has equal cardinality to B we have that |A|   |k ¡B| ¡ p implying their
intersection is non-empty. As this is true for all k we have that A  B  Zp.
This leaves the more difficult case where |A| |B| ¤ p. We assume, for contradiction,
that
|A  B| ¤ |A| |B|¡2.
Take a subset C which contains A   B and has cardinality precisely |A|   |B| ¡ 2 and
cleverly create our polynomial
fpx1, x2q 
¹
c€C
px1  x2 ¡cq
24
of degree |C| such that fpa, bq  0, d a € A, b € B. Set α1  |A| ¡ 1 and α2  |B| ¡ 1
such that deg pfq  α1   α2, and set A  S1, B  S2. The coefficient of our element,
xα1
1 xα2
2 is
  |C|
|A|¡1
¨
which is non-zero since 0   |C|   p. With these conditions we apply
the Combinatorial Nullstellensatz II to find an element such that fpa, bq $ 0 giving our
contradiction and completing the proof.
Using this style of proof, and this theorem, we will be able to show a number of
similar results from this area of mathematics.
Remark. The Cauchy-Davenport Theorem is a very important tool, particularly in Ad-
ditive number theory. It is also even more important because it generalises to be true for
all (not just abelian) finite groups. For more about the extensions into Group theory a
short but useful resource is an article by Jeffrey Wheeler, [26].
3.3 The Erd¨os-Heilbronn Problem
Remark. The reader is again directed to Chapter 9 of the notes of Matt Devos for more
on this area, [21].
Perhaps the most significant result in this area, relating to the Polynomial method,
is the proof of the Erd¨os-Heilbronn problem (EHP). It is similar in many ways to the
Cauchy-Davenport Theorem but with the restriction to the summation of distinct ele-
ments. We therefore define the following notation:
A –B : ta  b pmod pq|a € A, b € B and a $ bu
–kA : tpa1  a2  . . .  akq pmod pq|ai € A, ai $ aj for all i $ ju
with which we can state the problem.
Theorem 3.3.1 (The Erd¨os-Heilbronn Problem). Take non-empty subsets A, B of Zp
with p prime. Then
|A –B| ¥ mintp, |A| |B|¡3u.
First conjectured by Erd¨os in 1963 and discussed in his lecture courses and various
later works of his, (for further details see [27], page 106). The conjecture suggests that
if we exclude the summation of duplicate elements the bound of the Cauchy-Davenport
Theorem changes only slightly. The problem stood for over 30 years until 1995. The
first breakthrough came in 1994 through the work of Dias da Silva and Hamidoune.
Theorem 3.3.2 (Dias da Silva, Hamidoune). Take a non-empty subset A of Zp with p
prime. Then
|–kA| ¥ mintp, k |A|¡k2
 1u.
By setting k  2 in this theorem the conjecture is proved for A  B. Their proof
of this used Linear algebra and Representation theory relating to the symmetric group.
However only a year later, Alon, Nathanson and Ruzsa, using an early Combinatorial
Nullstellensatz, produced an elegant proof of not only this theorem, but also the case of
A $ B, [7].
25
Theorem 3.3.3 (Alon, Nathanson, Ruzsa). Take non-empty subsets A, B of Zp with p
prime and |A| $ |B|. Then
|A –B| ¥ mintp, |A| |B|¡2u.
In 1996 they also generalised their work to other values of k proving the full result
of Dias da Silva and Hamidoune. We will focus on their work to demonstrate the use of
the Polynomial method in this area.
Remark. We restrict ourselves to the setting of the EHP, with k  2, however their full
works can be found in [7,28].
3.3.1 Proving the EHP
To prove the conjecture we will use our Polynomial method, as done by Alon, Nathanson
and Ruzsa [7]. We first prove their result, and from this we derive our other results.
Remark. This proof drawn from the original work, along with the notes of Matt Devos
[21] to take full advantage of the modern Combinatorial Nullstellensatz.
Proof of Theorem 3.3.3. We prove this by contradiction. Take non-empty subsets A, B
of Zp of differing cardinalities, with
|A –B|   mintp, |A| |B|¡2u
such that |A| |B| is minimal, and set |A|  α and |B|  β. Without loss of generality,
we will also assume that 1 ¤ β   α ¤ p.
We now note that if α   β ¡ 2 ¡ p then we can take ˜A, a subset of A that has
cardinality ˜α  p ¡β  2 such that β   ˜α ¡2  p. We see that if the theorem holds for
˜A, B, it also holds for A and B as
|A –B| ¡
§
§ ˜A –B
§
§  mintp, ˜α  β ¡2u  p.
Hence to satisfy our minimality condition we must have α  β ¡2 ¤ p.
We therefore take a set C  A–B such that, |C|  α β¡3. From this we construct
the following polynomial, which vanishes at all pa, bq where a € A, b € B
fpx, yq  px ¡yq
¹
c€C
px  y ¡cq.
Note that the coefficient of the term xα¡1yβ¡1 is
¢
α  β ¡3
α ¡2

¡
¢
α  β ¡3
α ¡1

 pα ¡1qpα  β ¡3q!
pα ¡1q!pβ ¡1q!
% 0 pmod pq.
The first binomial comes from choosing the x outside our product, and the second from
choosing the p¡yq. We get that this is non-zero pmod pq due to the fact that p is prime
26
and that all the factors are non-zero and less than p (and since we are in a field there
are no zero divisors other than zero).
We can now apply our Combinatorial Nullstellensatz II. We have that degpfq 
α β ¡2  pα¡1q pβ ¡1q and the coefficient of xα¡1yβ¡1 is non-zero. Then by setting
S1  A and S2  B and we find that there exists an element pa, bq € A ¢ B such that
fpa, bq $ 0. This contradicts that C  A –B giving the result that
|A –B| ¥ mintp, |A| |B|¡2u.
From this theorem we can now easily prove the Dias da Silva, Hamidoune Theorem
for the case k  2.
Proof of Theorem 3.3.2. If A has only one element the result is trivial. If A has more
than one element then define B  Aztau for a some element of A. Then we have that
|A –A| ¥ |A –B| ¥ mintp, |A| |B|¡2u  mintp, 2 |A|¡3u.
Remark. We can also begin to see that we could generalise the polynomial in our first
result to prove the Dias da Silva, Hamidoune Theorem for all k. This and other exten-
sions of these results, were explored in much more detail by Alon in 1999 when he had
fully formed the Combinatorial Nullstellensatz, [6].
We now have all we need to prove the EHP.
Proof of the Erd¨os-Heilbronn Problem. If A  B the result holds by the Dias da Silva,
Hamidoune Theorem so we assume A $ B. Then if |A| $ |B| the result immediately
follows from the result of Alon, Nathanson and Ruzsa. We therefore assume that A $ B
and |A|  |B|. In this case we set ˜A  Aztau for some a € A. Then we have that
|A –B| ¥
§
§ ˜A –B
§
§ ¥ mintp,
§
§ ˜A
§
§  |B|¡2u  mintp, |A| |B|¡3u
completing the proof.
This result is perhaps one of the most significant breakthroughs from the Polynomial
method as it proved that a long standing problem, when approached with this method,
could be proved within only a few pages.
Remark. The tendency of the method to give powerful results with minimal work is
significant and a recurring theme throughout this survey.
27
Chapter 4
The Erd¨os-Ginzburg-Ziv Theorem
Remark. Throughout this chapter the reader is again directed to the works of Pete
Clark, specifically in [14]. Another excellent source is the work compiled in 1993 by Alon
and Dubiner, this was to celebrate the 80th birthday of Erd¨os [29]. Five different proofs
of the the Erd¨os-Ginzburg-Ziv Theorem are discussed including the proof we use, which
relies on the Chevalley-Warning Theorem.
The Erd¨os-Ginzburg-Ziv Theorem, which I will now refer to as EGZ, is an interesting
and useful tool used in Combinatorics. EGZ looks more closely at sums of sequences
and in particular zero-sum subsequences. While here we focus on sums within Zn, the
theorem does in fact extend in various ways such as to sums within other finite groups of
fixed order. Many proofs for this theorem exist, however notably they tend to work by
either direct or indirect application of the Polynomial method. In this section we apply
it by using our previous result, the Chevalley-Warning Theorem.
4.1 Understanding Zero-sum Sequences
Throughout this chapter we use the following definitions.
Definition 4.1.1. A zero-sum sequence modulo n is a sequence S  ts1, . . . , sku,
such that ¸
i€I
si  0 pmod nq
Definition 4.1.2. Given a sequence S  ts1, . . . , sku we define a zero-sum subse-
quence modulo n to be a subsequence ˜S € S such that
¸
s€˜S
s  0 pmod nq.
To give some background to these definitions and show how we arrive at theorems
such as EGZ, we consider the following dice game.
28
4.1.1 Just Sum Dice Game
Imagine you are playing a dice game. The game is played using 3 standard dice each
numbered from 1 to 6. Dice rolls are scored by summing the values and taking off 3 to
give a number from 0 to 15. The first roll determines the target number, which I refer
to as T. After this the dice are repeatedly rolled and the result written down each time.
The aim of the game is to find a subset of the numbers rolled that sums to a multiple
of your target number. The first player to do so wins.
Example 4.1.3 (Playing the game). The first dice roll is a 9, therefore the target is set
at T  6.
Ñ T  6Target roll:
Rolls then continue until a subset summing to a multiple of 6 is found:
Ñ 4Roll 1:
Ñ 9Roll 2:
Ñ 8Roll 3:
After three rolls it is spotted that 4  8  12  2 ¢6 ending the game.
While this game seems quite simple it does have deeper mathematical meaning and
raises some interesting questions. For example can the game always be won? And how
many rolls must be performed to guarantee a winning solution exists? Studying these
questions leads onto some interesting theorems about subsequences and particularly our
zero-sum subsequences.
To study this game mathematically we will generalise it by assuming we play with
not just 3 but D, some large integer number of dice. We set the scores accordingly
between 0 and M  5D, using this we pose the following lemma.
Lemma 4.1.4. For target value T a solution always exists after T (or fewer) rolls.
Furthermore pT ¡1q rolls may be insufficient.
Proof. We start by proving the second statement. For small T this is clear as if T  1
we clearly require one roll, for T  2 we require two rolls if the first is odd. Furthermore
if we simply roll 1 on pT ¡1q occasions they can’t sum to a multiple of T.
29
We now move to prove that T rolls are always sufficient. We here define Sk as the
sum of the values of our first k rolls modulo T, that is
Sk 
k¸
i1
ri k € t1 . . . Tu pmod Tq
where ri is the value of our ith roll. After T rolls we have T such Sk with T possible
values, implying by the pigeonhole principle that either we have some l such that
Sl  0 pmod Tq
giving us our solution, or some values m and n such that
Sm  Sn pmod Tq, m $ n.
In this case we have that (assuming m   n upto relabelling)
0  Sn ¡Sm  rm 1  . . .  rn pmod Tq
which is a solution.
4.1.2 Implications
Through this proof we actually not only show that a solution exists, but also a solution
made from consecutive rolls. However this isn’t necessarily the best solution in terms
of the game. In Example 4.1.3 from the scores 4, 9, 8 we could construct a zero-sum
subsequence pmod 6q but a consecutively rolled solution hadn’t appeared yet. Formal-
izing this we see we have proved the following theorem.
Theorem 4.1.5. Given a set of integers S  ta1, . . . , anu , there exists a zero-sum
subsequence. That is that there exists I € t1, . . . , nu non-empty, such that
¸
i€I
ai  0 pmod nq.
Remark. We can also consider the game where we do not allow repeated rolls. In this
case we cannot take a sequence of 1s to show T ¡ 1 rolls can be inadequate. With this
restriction the condition is weakened such that only when
M ¥ pT ¡2qT  1  pT ¡1q2
is satisfied can T ¡ 1 rolls be insufficient. When this condition is met we can roll the
distinct values
1, T  1, 2T  1, . . . , pT ¡2qT  1
which yields no solution as all these values are 1 when considered pmod Tq and hence
we require T rolls.
30
We now consider a final variation of our game by playing our original game with the
added restriction that we must sum exactly T values in our solution. Again we can ask
if the game is winnable? And at most how many rolls are required? From our original
game we know at least T rolls are required. In fact, we can show we require at least
2T ¡1 rolls.
Proof. Assume we have 2T ¡2 rolls in which we have T ¡1 instances of 0 pmod Tq and
T ¡ 1 instances of 1 pmod Tq. In this case selecting any T values gives us a number
between 1 and pT ¡1q  ¡1 pmod Tq. Therefore at least 2T ¡1 rolls are required for a
guaranteed result.
In fact by the Erd¨os-Ginzburg-Ziv Theorem, this is a strict lower limit on the number
of rolls required.
4.2 The Erd¨os-Ginzburg-Ziv Theorem
The theorem was first proved in 1961 by the trio of mathematicians by using the Cauchy-
Davenport Theorem, our previous result concerning sumsets [22]. A later proof was
shown using the Chevalley-Warning Theorem [29]. These early proofs would not neces-
sarily be considered an application of the Polynomial method, however through Alon’s
work in the 90’s both these theorems have been given new, Polynomial method based
proofs [6]. As such they are now considered tools for applying our Polynomial method.
We will focus on the Chevalley-Warning Theorem as this more readily allows for ex-
tensions of this area further into Group theory, and is a more direct application of our
method.
Theorem 4.2.1 (The Erd¨os-Ginzburg-Ziv Theorem). Let J be a sequence of elements
from Zn of length 2n ¡1. Then there exists I € J such that |I|  n and
¸
a€I
a  0 pmod nq
In other words there exists a zero-sum subsequence pmod nq of length n.
Applying EGZ to our restricted game, with n  T, gives that there must exist a
zero-sum subsequence pmod Tq of length T, after 2T ¡1 rolls. To show this is the case
however we must prove the theorem.
4.2.1 Proving EGZ
We will prove this in two stages, first proving that EGZ holds for primes, and secondly
that if the theorem holds for two numbers then it also holds for their product (as seen
in [2], [14]).
31
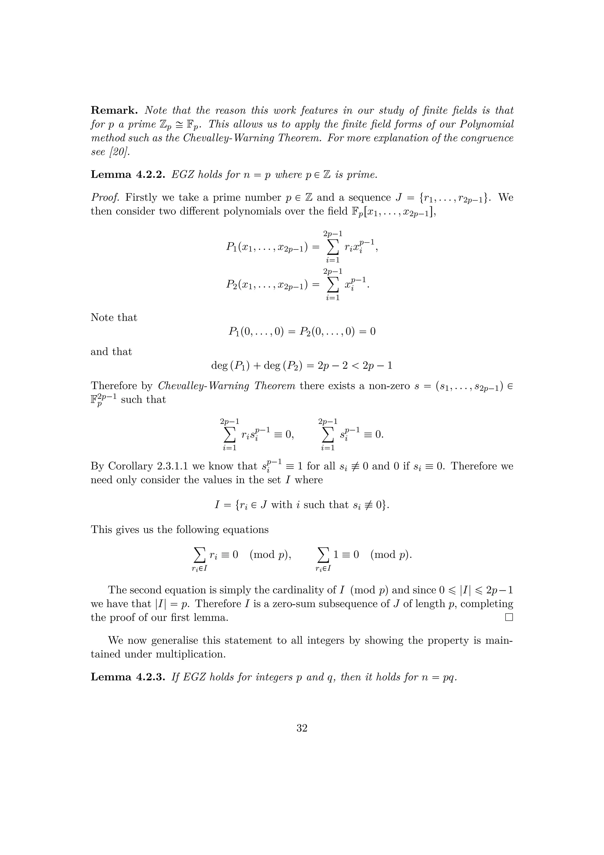
Remark. Note that the reason this work features in our study of finite fields is that
for p a prime Zp ! Fp. This allows us to apply the finite field forms of our Polynomial
method such as the Chevalley-Warning Theorem. For more explanation of the congruence
see [20].
Lemma 4.2.2. EGZ holds for n  p where p € Z is prime.
Proof. Firstly we take a prime number p € Z and a sequence J  tr1, . . . , r2p¡1u. We
then consider two different polynomials over the field Fprx1, . . . , x2p¡1s,
P1px1, . . . , x2p¡1q 
2p¡1¸
i1
rixp¡1
i ,
P2px1, . . . , x2p¡1q 
2p¡1¸
i1
xp¡1
i .
Note that
P1p0, . . . , 0q  P2p0, . . . , 0q  0
and that
deg pP1q deg pP2q  2p ¡2   2p ¡1
Therefore by Chevalley-Warning Theorem there exists a non-zero s  ps1, . . . , s2p¡1q €
F2p¡1
p such that
2p¡1¸
i1
risp¡1
i  0,
2p¡1¸
i1
sp¡1
i  0.
By Corollary 2.3.1.1 we know that sp¡1
i  1 for all si % 0 and 0 if si  0. Therefore we
need only consider the values in the set I where
I  tri € J with i such that si % 0u.
This gives us the following equations
¸
ri€I
ri  0 pmod pq,
¸
ri€I
1  0 pmod pq.
The second equation is simply the cardinality of I pmod pq and since 0 ¤ |I| ¤ 2p¡1
we have that |I|  p. Therefore I is a zero-sum subsequence of J of length p, completing
the proof of our first lemma.
We now generalise this statement to all integers by showing the property is main-
tained under multiplication.
Lemma 4.2.3. If EGZ holds for integers p and q, then it holds for n  pq.
32
Proof. We do this proof by induction. We assume the theorem holds for p and q. Then
take cp ¡ 1 integers for some c ¥ 2, tr1, . . . , rcp¡1u. Now for c  2 we have the case
above and there exists a set which we will label I1 of size p satisfying the following (with
j  1), ¸
i€Ij
ri  0 pmod pq. (4.1)
Now for c  3 we will have 3p ¡ 1 integers. We can treat this as the case where c  2
with an additional p integers added. As such we choose any 2p ¡ 1 of them and find a
set as before I1. Doing so, since I1 has cardinality p, we are left with 2p¡1 integers. We
can therefore form a second set I2 which also satisfies the equation above, with j  2.
Additionally I1 and I2 will be disjoint simply by construction, as all elements of I1 were
removed before we formed the second subset. By the same principle, using induction on
c, we see that we can in fact always construct c ¡1 pairwise disjoint subsets I1, . . . Ic¡1
satisfying Equation 4.1, each of cardinality p.
In the case of this Lemma we are looking at a set of 2pq ¡1 integers, so we set c  2q
as in the above. Therefore there exist 2q ¡1 pairwise disjoint subsets, Ij, each of size p
and satisfying Equation 4.1. For each of these sets we define
sj 
¸
i€Ij
ri, rsj  sj
p
, dj € t1, . . . , 2q ¡1u.
There are 2q ¡ 1 such rsj. Since the theorem holds for q and we can find a zero-sum
subsequence K of size q such that,
¸
rsk€K
rsk  0 pmod qq
Finally we set I  —
k€K Ik, such that |I|  pq  n. We then see that
¸
i€I
ri 
¸
k€K
¸
i€Ik
ri 
¸
k€K
sk

¸
k€K
prsk  p
¸
k€K
rsk
 0 pmod pqq.
We have therefore found a set I of cardinality n  pq such that it is a zero-sum
subsequence pmod nq. This proves that EGZ holds for n  pq if it holds for p and q.
We have now shown that EGZ holds for all primes and for all products of numbers
that it holds for. By a simple argument we can now show that EGZ holds for all of Z
by using induction on the number of primes in the decomposition of n € Z.
33
Proof. We begin our induction by noting that EGZ holds for compound numbers made
from two primes n  p1p2 by Lemma 4.2.3 and can therefore start our induction. Assume
that n  p1...pm with all the pi prime numbers (they need not be distinct) and that
EGZ holds for compound numbers formed from m ¡1 primes. Therefore EGZ holds for
q  p1...pm¡1 by our assumption, and for p  pm by Lemma 4.2.2 since pm is prime. As
such it holds for their product completing the induction.
4.3 Further Applications
EGZ Theorem is an interesting statement about modular mathematics, which logically
seems very reasonable, however we can look to extend EGZ further into Group theory.
Rather than only using the cyclic groups, Zn, we can extend it to, for example, other
finite abelian groups. One extension is to find the minimum sequence length to guarantee
a zero-sum subsequence pmod nq of length n, in Zn –Zn.
4.3.1 Zn `Zn and beyond
The case of Zn –Zn is actually a very recently resolved one. The following conjecture of
Kemnitz [30], which is the strict extension of EGZ to these groups was recently proved
by Christian Reiher in 2004, [31].
Conjecture 4.3.1 (Kemnitz’ conjecture). Let J be a sequence of elements from Zn–Zn,
J  tpa1, b1q, . . . , pa4n¡3, b4n¡3qu.
Then there exists I € J such that |I|  n and
¸
ai€I
ai  0 pmod nq
¸
bi€I
bi  0 pmod nq.
In other words there exists a zero-sum subsequence in Zn –Zn of length n.
It is quite clear this is a sensible extension of EGZ. To bound this from below we
take pn ¡ 1q of each of the following, p0, 0q, p1, 0q, p0, 1q, and p1, 1q, giving us a set of
4n¡4 elements which has no zero-sum subsequence of length n. However bounding from
above is a much more complicated work, though it once again uses our combinatorial
tools including the Chevalley-Warning Theorem, [31].
While this theorem was a significant step forwards little is known about the exact
bounds of the higher dimensional forms such as Zn –Zn –Zn and beyond. As we go into
these higher dimensions, we end up more geometrically analysing these sets as lattice
structures. This underlying lattice structure crops up in a number of areas of study in
which the Polynomial method is applied. With more study being done in the area, and
the intricacies of these combinatorial tools still yet to be fully understood, it is possible
we will see more breakthroughs in this area coming from our Polynomial method.
34
Chapter 5
Polynomial Testing
An interesting direction for this work is to consider adding a probabilistic element to
our considerations. We can in fact use some of the results and theorems in this area
to carry out Polynomial identity testing. Given two polynomials f1 and f2 over a field
Frx1, . . . , xns, we ask whether
f1ptq  f2ptq?
We reduce this question to asking whether
fptq  f1ptq¡f2ptq  0.
We can test this by simply trying values of t. Should we find a non-zero value of fptq
clearly it is non-zero, if it is zero we have found a root. If can bound the probability of
finding a root then we can say with some certainty whether it is identically zero. One
powerful tool we can derive for doing this is the DeMillo-Lipton-Schwartz-Zippel Lemma.
This Polynomial testing has applications in various areas but most notably in Coding
theory.
5.1 The DeMillo-Lipton-Schwartz-Zippel Lemma
This lemma has an interesting history coming out of the work of four mathematicians.
In fact the strong result, which is what we will be using, can reasonably be called the
Schwartz Lemma as of the four mathematicians he was the only one to find this form of
the result. Therefore to distinguish it I will refer to this as the Schwartz Lemma, after
the late Jack Schwartz, though the work of the other 3 mathematicians also played a
role in bringing us this result (see Ray Lipton’s writings on these events, [32]). We begin
with the following form of the statement.
Lemma 5.1.1 (The DeMillo-Lipton-Schwartz-Zippel Lemma). Take a non-zero polyno-
mial fpx1, . . . , xnq of degree d over a field Frx1, . . . , xns. Then for any S € F such that
|S| ¥ d,
|ZpfqˆSn
| ¤ d|S|n¡1
.
There can be at most d|S|n¡1
roots of f in Sn.
35
This lemma is a useful extension of Theorem 1.1.2 hence we apply it in Polynomial
method proofs. In fact we use this to prove Dvir’s result on the Finite field Kakeya
conjecture in the next chapter. We can also reformulate this lemma to add a probabilistic
consideration. We do this by noting that the statement implies that at most d|S|n¡1
elements in Sn are roots. Therefore if we randomly select an element from Sn we say
the following.
Lemma 5.1.2 (Schwartz Lemma). Take a non-zero polynomial fpx1, . . . , xnq of degree
d over a field Frx1, . . . , xns and a subset S € F such that |S| ¥ d. Then
Prrfps1, . . . , snq  0s ¤ d
|S|
where the si are randomly selected elements from S.
These lemmas concern the same sort of ideas as our Combinatorial Nullstellensatz
but with S  S1  . . .  Sn all of size greater than d. As such, the Combinatorial
Nullstellensatz is in many ways a refinement, however for our Polynomial testing this
form is more useful. We prove these lemmas using only our basic Polynomial method,
note that we need only prove the first statement as the second is a simple reformulation.
Like a number of proofs in this subject we will use induction on the number of variables
(as seen in [2]).
Proof. Set f to be a non-zero polynomial of degree d. With n  1 we can apply our
Fundamental Theorem of Algebra 1.1.1 to say there are at most d distinct roots and
therefore at most d elements of S are roots. The theorem therefore holds and we can use
induction with the assumption that the theorem holds for pn ¡1q variables, with n ¥ 2.
We now write f based on the powers of xn such that
f  f0  xnf1  . . .  xk
nfk
where the fi are polynomials in the first pn ¡1q variables and fk is non-zero. We bound
the number of zeroes in Sn by splitting the cases based on whether fkps1, . . . sn¡1q  0.
I. fkps1, . . . sn¡1q  0: Since f is not identically zero and has degree d we see that
fk has degree at most d ¡ k (as it is is also non-zero). Therefore, since it is a
polynomial in n ¡1 variables, by our induction hypothesis it vanishes on at most
pd ¡kq|S|n¡2
points. We then have |S| choices for xn and can therefore say there
are at most pd ¡kq|S|n¡1
roots of f in Sn where fkps1, . . . , sn¡1q also vanishes.
II. fkps1, . . . sn¡1q $ 0: In this case we fix our first n ¡1 variables and consider f as a
function in only xn of degree k. This is not identically zero since the coefficient of
xk
n is non-zero. This is our one dimensional case so there can be at most k roots.
Since we can choose each of our first pn ¡ 1q variables from S there are at most
k|S|n¡1
roots of f in Sn where fkps1, . . . sn¡1q does not vanish.
36
Combining these two cases we have that there are at most
pd ¡kq|S|n¡1
 k|S|n¡1
 d|S|n¡1
roots of f in Sn.
Remark. To additionally prove our Schwartz Lemma we simply note that this implies
that, as a proportion, at most d|S|n¡1
|S|n  d
|S| elements of Sn are roots.
5.1.1 Applications
As mentioned before we can use this Schwartz Lemma to perform Polynomial testing,
checking if two polynomials evaluate identically. Again we use f1 and f2 over a field
Frx1, . . . , xns and check whether
f1ptq  f2ptq
by analysing
fptq  f1ptq¡f2ptq.
By our lemma, if r1, . . . , rm are randomly generated elements of Sn with |S| ¥ d then
Prrfpriq  0 |i € t1, . . . , nus ¤
¢
d
|S|
m
.
The advantage of this method is that we never need to explicitly write the polynomial.
As such this method can often be done rapidly by computers to efficiently determine, to
a high probability, whether the polynomial is identically zero. We can see the method
in action by considering the following.
Example 5.1.3. Assume we are working in Fp with p a large prime. Then take poly-
nomials f1 and f2 each of degree n where n ¤ cp in Fprx1, . . . , xns, and set S  Fp.
We then test to see if f  f1 ¡f2, which will also have degree at most
cp, is identically
zero. Assume our random element is r, then by our lemma if f1 % f2
Prrf1prq  f2prqs ¤ n
p
¤ 1
cp
.
Therefore if there is a difference the likelihood of it going undetected is less than 1cp . If
we repeat the test 2m times then the probability of an incorrect identification is at most
p¡m, which tends to 0 very quickly as m increases.
We can use this for error detection by using the data string as the coefficients of
a polynomial in n variables, and evaluating at a predetermined point. Comparing the
results determines with some certainty whether an error has occurred. Repeating the
process with a new random value will make the result even more certain. This example
shows the benefit of a large alphabet of codewords, large p, and the downside to longer
data strings, large n. Achieving a balance between these values is a problem within
Coding theory, a problem which the Polynomial method helps resolve.
37
Chapter 6
Kakeya
When discussing the Polynomial method there are a few key figures associated with it’s
prominence. One of these is most definitely Zeev Dvir for his breakthrough work on the
Finite field Kakeya conjecture, [1]. His solution to this problem highlighted the power of
this method to solve complex, and long standing problems, in short concise ways. His
solution to the problem was announced in 2008, but to approach the problem we need
to go back over 90 years.
6.1 The Kakeya needle problem
In 1917 S¯oichi Kakeya first posed this problem, which asked what the minimum area of a
region R on the Euclidean plane can be, if a unit length needle may be rotated continuosly
within it such that it returns to its original position with opposite orientation, [33]. The
most obvious solution is a circle of unit diameter and area π{4. A slightly better solution
is an equilateral traingle of height 1 and area 1{
c
3, this triangle is in fact the optimal
solution for convex sets as was shown by P´al in 1921 (discussed in [34], though originally
proved (in German) in [35]). However if we do not restrict ourselves to convex shapes
then this is still not minimal, as for example the deltoid of area π{8 is also a Kakeya
needle set.
Figure 6.1: The circle radius 1
2, the equilateral triangle of height 1, and the deltoid of
area π
8 are all Kakeya sets in R2.
38
The answer was actually a corollary to the work already done by Besicovitch in 1919
along with that of P´al. However due to the isolation of Russia from the western world
this would not be discovered until 1928. Besicovitch was actually working on Riemann
integration in the plane, which led him to seek to develop compact shapes with a line
in every direction but of Lebesgue measure (area) 0. From his work we can derive the
following construction known as a Perron tree after the mathematician Oskar Perron.
The idea is to divide the equilateral triangle into 2n equal parts. Then by overlaying
these we can achieve a set, still with a line in every direction, but with much lower area.
In fact by taking a large enough n we may form a tree of arbitrarily small area.
Figure 6.2: The construction of a Perron Tree using four parts
By carefully combining and overlaying these Besicovitch sets we can arrive at Kakeya
needle sets of arbitrarily small area. While this solves the problem in the plane, we can
easily extend these ideas to higher dimensions. This brings us to the following open
conjecture, [2].
Conjecture 6.1.1 (The Kakeya Conjecture). A Kakeya set in Rn must have Hausdorff
dimension at least n, where a Kakeya set in Rn is defined to be a set with a line in every
direction.
This is still an open problem with nothing more than partial result for any n ¡ 2.
Because of the difficulties with solving this problem in 1999 Wolff proposed a finite field
analogue to the problem, a problem which would come to the attention of Zeev Dvir, [36].
Remark. For more info on some of the partial results and other open problems around
this conjecture the reader is directed to the writings of Markus Furtner in [34] and the
original article by Wolff, [36].
6.2 The Finite Field Analogue
In 1999 in an article looking at recent developments concerning the Kakeya Conjecture,
Wolff posed the problem over a finite field, an analogue which was almost completely
unstudied at the time. The analogue, as originally stated, [36], is as follows.
39
Definition 6.2.1. A Kakeya set K, is a subset of Fn
q containing a line in every direc-
tion. Alternatively
dm € Fn
q zt0uhc € K such that c  mx € K dx € Fq.
This is much like our real case however there only exist a finite number of lines. We
also note that clearly such a set does exist since Fn
q must contain all possible lines, hence
it is a reasonable analogue. With this definition Wolff posed the following conjecture.
Conjecture 6.2.2 (The Finite field Kakeya conjecture). Every Kakeya set has cardi-
nality at least Cnqn, where Cn is only dependent on n. That is
|K| ¥ Cnqn
.
This conjecture prompted a lot of work in the area which pushed forward our un-
derstanding of the links betweens sums and products in finite fields, [37]. Ultimately
through the work of Dvir, prompted by Alon and Tao, a very straight forward Polyno-
mial method proof of the conjecture was constructed, cementing Dvir’s name alongside
the method.
Theorem 6.2.3 (Dvir, [1]). Every Kakeya set has cardinality at least Cnqn, where Cn
is only dependent on n. More precisely
|K| ¥
¢
q  n ¡1
n

¥ qn
n!
.
Before we prove this conjecture we will consider F2
5 as a proof of concept.
Example 6.2.4 (Kakeya sets in F2
5). The space of Fn
q can be thought of the integer
points of an n-dimensional hypercube with side length q. This can be a helpful way of
considering it when in lower dimensions. For example F2
5 my be viewed as a 5¢5 integer
grid on the plane. We can use this view to construct our Kakeya set.
Figure 6.3: Calculating a Kakeya set in F2
5
40
To be a Kakeya set means it contains a line in every direction, in this case there are
6 lines to consider. Because of this any union of 6 such lines is a Kakeya set. Achieving
the minimum set size is equivalent to maximising the number of intersections. By simple
trial and improvement we can achieve this minimisation of our set cardinality. After
some testing we see that 17 is minimal in F2
5, as seen in Figure 6.3. However this brute
force method is very inefficient so we require a more general statement such as Dvir’s.
Dvir’s bound for F2
5 gives a minimum cardinality of 15, however our example shows
that the Kakeya set actually contains at least 17 points. This suggests the constant
is good but not optimal. The important point however, is that the constant is not q
dependent.
6.2.1 The Proof of the Finite field Kakeya conjecture
Remark. This proof is adapted from the work of Dvir and Tao who were in close com-
munication working to solve the problem and each presented Dvir’s work separately,
see [1,38]. However another good resource which discusses this proof, following the same
method, is Extremal Combinatorics by Jukna, see [2].
This relatively short proof once again highlights how powerful and concise our Poly-
nomial method can be. To prove the conjecture we first establish a few small lemmas
concerning fields which we use both now and in later chapters.
Lemma 6.2.5. Given a field F, a polynomial f € Frx1, . . . , xns of degree d contains at
most
 n d
n
¨
distinct monomials.
Remark. This proof relies on using using ‘stars and bars’ notation. For more info on
this, particularly in the case of proving Lemma 6.2.5 see this online article by Brendan
Murphy, [39].
Proof. A monomial m of f has the form
m 
¸
0¤i1 ... in¤d
xi1
1 xi2
2 . . . xin
n ,
where i1, . . . , in are all non-negative integers, and
degpmq  i1  i2  . . .  in.
We can treat this problem as placing balls in boxes (an extension of the pigeon hole
principle) by using ‘stars and bars’ notation. We use  to represent a ball, and | to
represent the division between boxes. With this notation a monomial of degree k requires
us to place n  1 lines and k balls within them. For example, with this notation
x2
1x2 € F3
Ø ||||.
There are two balls in the x1 box, one in the x2 box and none in the x3 box. Since the
first and last symbol must be lines we are in fact choosing k symbols from k n¡1 to be
41
stars giving
 n k¡1
k
¨
options. To calculate the number of monomials of degree at most d
we add an extra box for the ‘unused’ stars, and count the monomials of degree exactly
d (this is equivalent to homogenising the polynomial by adding an extra variable). We
therefore have n  1 variables giving our result, that there are precisely
¢
n  d
d


¢
n  d
n

monomials of degree less than or equal to d.
With this simple combinatorial fact we can prove the following lemma.
Lemma 6.2.6. Take a subset S of Fn where F is some field. If |S|  
 n d
n
¨
, for some
positive integer d, then there exists a non-zero polynomial f € Frx1, . . . , xns, vanishing
on S with degree at most d.
Remark. While we include this in the finite field section of our work there is no need
for F to be finite. As such we use this result with F  R in Chapter 8.
Note that by setting n  1 we see this lemma is precisely Theorem 1.1.2 as
 1 d
1
¨

d   1 so |S| ¤ d. We therefore consider this as a higher dimensional form of our basic
Polynomial method, extending Theorem 1.1.2 to Fn.
Proof. By Lemma 6.2.5 such a polynomial f, can have at most r 
 n d
n
¨
distinct
monomials to which we will give coefficients c1, . . . , cr. Therefore to have f vanish on
the whole of S we have to resolve |S| equations in r variables. Since |S|   r a non-trivial
solution exists corresponding to the coefficients of f such that it vanishes on S.
Lemma 6.2.7. If a polynomial f € Fqrx1, . . . , xns of degree at most q ¡1 vanishes on a
Kakeya set K, then it is identically zero.
We will prove this by breaking down our non-zero polynomial f, into homogeneous
components. Then by applying our methods, including Lemma 5.1.1 from the last
chapter, we derive a contradiction giving us that f  0.
Proof. Assume that f € Fqrx1, . . . , xns is both non-zero and vanishes on a Kakeya set
K. We write f as a sum of homogeneous components,
f 
id¸
i0
fi  f0  f1  . . .  fd
where degpfq  d ¤ q ¡1 with fd $ 0. We then take some fixed non-zero point b € Fn
q .
Since K is a Kakeya set it contains a line in all directions so there exists a point a € Fn
q
such that
ta  b ¤t |t € Fqu € K
and therefore
fpa  b ¤tq  0 dt € Fq.
42
Since a and b are fixed the left hand side of this equation is a polynomial of degree
at most q ¡ 1 in a single variable, t € Fq. However it has q ¡ q ¡ 1 roots meaning by
Theorem 1.1.1 it is identically zero, and hence all of the coefficients are zero. However
the coefficient of td is simply fdpbq, which therefore must be zero. However our choice
of b was arbitrary meaning that fd vanishes on all points of Fn
q (note that though we
do not include b  0 in K the statement clearly still holds in this case since K is non-
empty). We can now apply our DeMillo-Lipton-Schwartz-Zippel Lemma 5.1.1 from the
last chapter, to bound the number of roots that fd may have. Set S  Fq, then since fd
has degree d   pq ¡1q we get that
dqn¡1
¤ pq ¡1qqn¡1
  qn

§
§Fn
q
§
§ .
Therefore fd  0 which is a contradiction giving us that f  0.
We now have all we need to finish Dvir’s proof of the Finite field Kakeya conjecture,
Theorem 6.2.3.
Proof of Theorem 6.2.3. We assume for contradiction that
|K|  
¢
q  n ¡1
n

.
Then by Lemma 6.2.6 there exists a non-zero polynomial f of degree at most q¡1 which
vanishes on our Kakeya set K. However this contradicts Lemma 6.2.7 completing the
proof. Hence since ¢
q  n ¡1
n

¥ qn
n!
the Finite field Kakeya conjecture is proven with Cn  1
n! .
This proof of this theorem inspired people to look further at the applications of the
Polynomial method and gave it the credibility and reputation that it has today. Larry
Guth and Nets Hawk Katz are two mathematicians who were particularly inspired by
Dvir. They would go on to do significant work on the Joints problem which led onto a
much improved bound for the Erd¨os distinct distances problem. As stated in their own
work on the topic
Both our proofs are adaptations of Dvir’s argument for the Finite field
Kakeya problem. (L. Guth, N. Katz, [40])
Interestingly their work, while related, is not within finite fields but Euclidean space.
We therefore shift our focus to reflect this, coming to the Joints problem in Chapter 8.
43
Part II
Euclidean Space
44
Chapter 7
Distances
We now look to consider some more of the applications of this method outside of finite
fields. Notably in this section we consider some problems within Euclidean space. It is
here that we begin to see more of our links to Algebraic geometry and later, can make
use of tools such as Bezout’s Theorem 1.5.2.
7.1 The s-Distances Problem
The s-Distances Problem is a problem within Discrete geometry. To approach the prob-
lem we begin by defining the following.
Definition 7.1.1. Given a discrete set of points S € Rn, we define the Set of distances
of S as
DpSq  t x ¡y |x, y € S, x $ yu
where ¤ is the standard Euclidean norm on Rn. That is
v 
˜
v2
1  . . . v2
n for any v  pv1, . . . , vnq € Rn
With this notation we can ask the following, what is the maximum cardinality of the
discrete set S € Rn such that |DpSq|  s? We denote this value Pspnq as it is a function
of both the number of distances, s, and the number of dimensions, n.
7.1.1 The Two Distance Problem
Remark. For an accessible introduction to this problem the reader is directed to a short
chapter on the subject by the late Jiˇr´ı Matouˇsek, [41].
First we note that clearly Pspnq ¤ Ps 1pnq since s   s   1. We can therefore get a
lower bound for P2pnq using P1pnq. This is simply n  1 points arranged as the vertices
of an n-simplex. Before attempting to calculate P2pnq for general n we will consider
some simple cases. For n  1 we see that P2p1q  3, and for n  2, by considering
geometric constructions with circles, we can derive that P2p2q  5. However for n ¡ 2
45
Figure 7.1: The optimal arrangements for some small values of s and n.
using such constructions would involve spheres and is much more difficult. We therefore
seek to find a general way of perhaps bounding, rather than directly solving, our result.
We can use our Polynomial method to do this.
7.2 Bounding Pspnq
We can in fact bound the solution size quite effectively both from above and below. We
begin by stating the following result first proved by Aart Blokhuis, [42].
Theorem 7.2.1 (Blokhuis).
Pspnq ¤
¢
n  s
s

.
This theorem, gives us that the bound is of order ns (or nn if s ¡ n). However
to determine the sharpness of this bound requires either a complete solution or a close
lower bound. We can in fact easily get a very close lower bound.
Theorem 7.2.2. If s ¤ pn  1q{2 then
Pspnq ¥
¢
n  1
s

.
Remark. This simple proof expands upon the work of Matouˇsek in [41]. Since the proof
we use only holds for s ¤ pn 1q{2, then where it is true the bound has order strictly ns.
Proof. Take ej  p0, . . . , 0, 1, 0, . . . , 0q € Rn, the zero vector with a single 1 in the jth
column. Then set
S  t
s¸
i1
epjiq |1 ¤ j1   j2 . . .   js ¤ nu
46
the set of sums of any s of these vectors. This is an s-distance set of cardinality
 n
s
¨
.
However we can embed S into Rn¡1 since S lies within the hyperplane
°n
k1 xk  s.
Since the cardinality is unchanged we achieve our result that Pspnq ¥
 n 1
s
¨
.
We therefore have a close lower bound when s ¤ pn  1q{2. We will prove the upper
bound for s  2 however the proof for general s uses much the same method but with
more complex linear algebra. In fact Blokhuis extended this result not just to s-distance
sets in Euclidean space but also in Hyperbolic space, as well as various other results.
The interested reader can find all of these in his book, [43]. To prove the theorem we will
use a slightly modernised version of the original proof attaining various weaker results
enroute, (see both [41] and [42]).
Theorem 7.2.3.
P2pnq ¤
¢
n  2
2

.
Remark. The original proof of this was released in 1984, long before the Polynomial
method was fully categorised, however this slightly modernised proof applies our tools in
a different way and as such it is fitting to feature it in a study of the Polynomial method.
Proof. Suppose we have a maximal two distance set
S  tp1, . . . , pku € Rn
such that |S|  k and
pi ¡pj € td1, d2u for all i $ j.
Now for each i we cleverly define the following polynomial over Rrx1, . . . , xns,
fipxq : 1
d2
1d2
2
¡
x ¡pi
2
¡d2
1
© ¡
x ¡pi
2
¡d2
2
©
.
We consider these functions as vectors within the space of real-valued functions from
Rn Ñ R. Notice that fippjq  0 for all i $ j and 1 for i  j. Due to this we see that the
fi are all linearly independent as follows. We assume we can find non-zero coefficients
such that
0  λ1f1pxq . . .  λkfkpxq.
If this is the case then it is true for all of Rn which includes pi for any i,
λ1f1ppiq . . .  λkfkppiq  0
ùñ 0  . . .  λi  . . .  0  0
ùñ λi  0.
Therefore λi  0 for all i, giving a contradiction implying the fi are linearly independent
over our vector space. This means we have k linearly independent vectors which therefore
span a linear subspace, V , of dimension k. Therefore if we can bound the dimension of
V we can bound the cardinality of S. To do this we need to find a set of functions, a
basis, which generates V .
47
Remark. This is in fact an alternative form of our Polynomial method. Rather than
using degree we can consider the dimension property. This form of our method is used
more in Euclidean space where we tend to discuss objects more in the language of vector
spaces (though this does apply over finite fields as well). We use the fact that a vector
space of dimension k is spanned by exactly k linearly independent functions. This sort of
restriction on the complexity of a set of functions is what leads our method into Algebraic
geometry and links it to results such as B´ezout’s Theorem 1.5.2.
The simplest set is to use all monomials of degree at most 4 of which there are
 n 4
4
¨
.
However this has quartic order so we seek a much more effective count, we therefore
expand the fi. To do this we note that
p x ¡q 2
¡d2
¦q  px1 ¡q1q2
 . . . pxn ¡qnq2
¡d2
¦
 x2
1 ¡2q1x1  q2
1  . . . x2
n ¡2qnxn  q2
n ¡d2
¦
 x 2
¡2
n¸
i1
qixi  
n¸
i1
q2
i ¡d2
¦.
We see that this is spanned by the terms
x 2
, xi, 1
and therefore the fi are all linear combinations of the following terms (i $ j),
x 4
, xi x 2
, x2
i , xixj, xi, 1.
Remark. Note that the x4
i terms can only appear within x 4
however all of the x2
i
terms appear independently. As such, since x 2
falls within their span, we do not count
this separately.
Counting the number of terms we see there are 1   n   n   npn ¡ 1q{2   n   1 
pn 1qpn 4q{2 linearly independent terms. This gives us a much better bound as proved
by Larman Rogers and Seidel, [44], that
P2pnq  k  dim V ¤ 1
2
pn  1qpn  4q
however we can still improve this slightly (proceeding as in [42]). We do this by showing
that the fi, xi and 1 are all linearly independent. We assume we can find non-zero
coefficients such that
k¸
i1
λifipxq 
n¸
j1
γjxj  α  0. (7.1)
We first evaluate Equation 7.1 at Cej  p0, . . . , C, . . . 0q, by using our previous expansion
(with pi  ppi1 , . . . , pin q),
1
d2
1d2
2
k¸
i1
λipC2
¡2Cpij   pi
2
¡d2
1qpC2
¡2Cpij   pi
2
¡d2
2q Cγj  α  0.
48
Since this is identically zero for all C we can view it as a function of C in which all
the coefficients must be zero. Notably the coefficients of C4 and C3 are equal to zero
which gives us that
k¸
i1
λi  0,
k¸
i1
λipij  0. (7.2)
We secondly evaluate Equation 7.1 at pi to give us
λi  
n¸
j1
γjpij  α  0.
We now multiply this by λi,
λ2
i  λi
n¸
j1
γjpij  αλi  0
and then sum over all pi to get
k¸
i1
λ2
i  
k¸
i1
λi
n¸
j1
γjpij  α
k¸
i1
λi  0.
We now apply the relations in Equation 7.2 to see that
k¸
i1
λ2
i  0 ùñ λi  0 di € t1, . . . , ku
We can therefore rewrite Equation 7.1 accounting for this as
n¸
j1
γjxj  α  0. (7.3)
Evaluating Equation 7.3 at the zero-vector yields that α  0 and therefore
n¸
j1
γjxj  0. (7.4)
Finally we evaluate Equation 7.4 at ej to get that γj  0 for any j € t1, . . . , nu giving
us our contradiction, and that the set of fi, xi and 1 are all linearly independent. We
can therefore remove n  1 functions from our previous bound as they are not required
to span V . We therefore have the following inequality, and our result,
k ¤ 1
2
pn  1qpn  4q¡pn  1q,
ùñ P2pnq  k ¤ 1
2
pn  1qpn  2q 
¢
n  2
2

.
49
While our upper bound holds for all n we have that for n ¥ 3,
¢
n  1
2

¤ P2pnq ¤
¢
n  2
2

.
When n is much larger than 2 this is a very tight bound as both bounds are of order n2
but the difference is simply n  1. The sharpness of this bound is even more noticeable
for larger values of s as the difference is still linear but (so long as s ¤ pn   1q{2) the
bounds both have order ns.
7.2.1 Extensions
We saw earlier that P2p2q  5 however our upper bound gives that Pp2q ¤ 6, as such the
bound is not sharp and therefore, this problem remains somewhat open. The same is
also true of course for the lower bound as this does not even apply here. An interesting
case is that where s is of similar magnitude or even much larger than n, for example
the solutions of Psp2q for all s. There are still a number of open problems relating to
this sort of question and it is highly possible that with continued use of the Polynomial
method more breakthroughs will be seen in this area. One breakthrough of particular
note was in the Erd¨os distinct distances problem, which had a new bound established
very recently due to the Polynomial method. This problem comes from a different angle,
asking for the minimum number of distinct distances if we have a fixed number of points.
We discuss this problem more at the end of the next chapter.
50
Chapter 8
Lines and Joints
Remark. For the reader seeking to expand on this chapter the problem is discussed by
Tao in his survey of the Polynomial method, [12], and by Adam Sheffer in his lecture
notes, [45]. Ren´e Quilodr´an also has two papers on the matter, in the first he introduces
the problem, [46], and in the second gives a proof of the problem in Rn as well as disussing
the extensions to algebraic curves, [47].
8.1 The Joints Problem
The Joints problem is based on counting the number of joints formed by a finite set of
lines in Rn.
Definition 8.1.1. Given a set of lines L  tl1, . . . , lku € Rn, a joint in Rn is a point
where n linearly independent lines l1, . . . , ln € L are concurrent.
The Joints problem is concerned with finding the maximum number of joints that
can be formed with k lines. The problem was first posed as early as 1990, [48], and
stood unsolved for almost 20 years yet its proof is remarkably simple. To solve this
problem, rather than looking for the exact arrangement to achieve greatest efficiency we
simply look for the order of this maximal arrangement with respect to k. That is, we
seek to bound the order of the relationship between the number of lines and the number
of joints.
Example 8.1.2 (A Simple Arrangement). One quite simple, but remarkably efficient
arrangement of lines is to form an n-dimensional unit grid - that is to have our lines at
unit intervals, with an equal number parallel to each of the axes. In our 3-dimensional
case we therefore we have k{3 of our lines pointing in the direction of the x-axis arranged
in a square lattice, k{3 in the direction of the y-axis in a square lattice and similarly
for the z-axis. If we assume k{3 is a square number then we form a perfect cube of side
length m where m is the square root of k{3. The figure shows an example where m  6
in 3-dimensions.
51
Figure 8.1: A lattice arrangement of 108 lines in R3 with the joints highlighted.
By placing lines unit distances apart we find that we have joints at all of the points
of
J  tpx, y, zq € N3
|1 ¤ x, y, z ¤
—
k{3u.
Therefore if we have k  3m2 lines, with this lattice arrangement, we have m3 joints.
We now consider the order of this solution,
|J|  m3

£™
k
3
3
 k3{2
c
27
 Θpk3{2
q.
Remark. Note that we achieve the lower bound for this problem by using the same
cubic arrangement but generalised to Rn. By having k{n lines in the direction of each
axis arranged in a square lattice this grid attains an order of Θpkn{n¡1q. This gives the
lower bound for our general solution.
We therefore see that arrangements of order at least k3{2 exist in 3-dimensions. As
of December 2008, due to the work of Guth and Katz, this order has been shown to be
maximal.
Theorem 8.1.3 (Guth and Katz, (2008)). The maximum number of joints that can be
formed by a set of k lines in R3 has order Θpk3{2q.
8.2 Solving the Problem
While Guth and Katz were the first to have a proof to the problem, a number of papers
were released in quick succession giving both refinements and extensions of their work.
Only a few months after, the proof was refined by Elekes, Kaplan, and Sharir, [49].
52
Their work was based on the original proof but introduced some refinements. Shortly
afterwards, in a follow up paper by Kaplan, Sharir, and Shustin, the bound was gener-
alised to all n, with the proof refined further still, [50]. Later in 2009 Ren´e Quilodr´an,
assisted by Fedor Nazarov found a remarkably concise form of the proof, however it
remains in essence quite similar. In 2012 in a lecture course of his, Guth also gave a
concise version of his original proof which maintains the combinatoric principles, but is
greatly simplified. This proof appears in the lecture notes of Adam Sheffer, [45]. It is
this refined proof which we will adapt to prove the following for all n.
Theorem 8.2.1 (The Joints Problem in Rn). The maximum number of joints that can
be formed by a set of k lines in Rn has order Θpkn{n¡1q.
8.2.1 The General Solution
As was previously mentioned, Guth and Katz were heavily influenced by the work of
Dvir on the Finite field Kakeya conjecture. As such the proof of their work, and of the
general case, requires the following lemma as seen in Dvir’s proof in Chapter 6, (though
we have chosen F  R).
Lemma 6.2.6. Take a subset S of Rn. If |S|  
 n d
n
¨
, for some positive integer d, then
there exists a non-zero polynomial f € Rrx1, . . . , xns, vanishing on S with degree at most
d.
We also make use of B´ezout’s Theorem 1.5.2 in this proof to bound the number of
incidences between 2 curves in a plane. It is through this theorem that we apply a higher
dimensional variant of our Polynomial method.
Theorem 1.5.2 (B´ezout’s Theorem). Let f, g € Rrx, ys be polynomials with no non-
constant common components, and of degree n and m respectively with m, n ¥ 1. Then
|ZpfqˆZpgq| ¤ mn  deg f ¤deg g.
Remark. The reader may wish to familiarise themselves with Example 1.5.1 and [11]
to help grasp our use of B´ezout’s Theorem.
With these two tools we can prove the following lemma. This is the key step to
proving Theorem 8.2.1.
Lemma 8.2.2. Let L be a set of k lines in Rn and J the set of joints formed by L.
There exists a line, l € L, such that l contains at most n |J|1{n
of the joints.
Proof. For the proof we assume that all lines contain more than N  n |J|1{n
joints and
take f to be the minimal degree polynomial vanishing on J.
I. We begin by bounding the degree of f using the following argument,
¢
n  N
n

 1
n!
n¹
j1
pj  Nq ¡ Nn
n!
 nn
n!
|J| ¡ |J|.
53
This in conjunction with Lemma 6.2.6 proves that, since f has minimal degree,
degpfq ¤ N.
II. We now show that f vanishes on all the lines in L.
We choose a line l € L and taking some plane π with l € π. With this we define
γ  Zpfq ˆ π which must be non-trivial since π contains some of our joints. We
now apply a change of basis to Rn such that
tx1, x2, . . . , xnu Ñ ty1, y2, . . . , ynu
with the yi pairwise linearly independent, and y1, y2 spanning the plane. Since
this is a linear transformation it takes f to some ˜f of equal degree, respecting
the intersections between our functions. In this basis we can express γ and l as
functions of y1 and y2 since y3, y4, . . . , yn are fixed by π. Fixing a variable either
maintains or decreases the degree meaning
degpγq ¤ degp˜fq  degpfq ¤ N.
Figure 8.2: A cross section of a line, function and plane, undergoing a change of basis.
This process respects intersections.
Since they are functions in two variables we can apply B´ezout’s Theorem 1.5.2 to
γ and l. The theorem states that the number of intersections of these curves is at
most the product of the degrees unless they share a common component. That is,
|γ ˆl| ¤ N ¤1
unless they share a component. Since we assumed that l contains more than N
joints they must intersect at least N times and therefore they share a component.
Since l is a line and hence only has one component, l € γ. This argument holds
for every l € L and hence Zpfq contains every line of L.
54
III. We now perform a differentiating step which gives a contradiction of our minimality
assumption on f.
Consider p € J incident to l1, l2, . . . , ln which are linearly independent. By the
previous statement l1, l2, . . . ln € Zpfq. If p was a non-singular point the lines
would all be contained within the tangent hyperplane to Zpfq at p. However
since they are linearly independent they span the whole of Rn and therefore p is
a singular point of f. Furthermore, this means fppq  0 for all p € J. Since we
took f to be non-trivial it must have a partial derivative that is not identically zero
which, without loss of generality, we assume to be f1  ff
fx1
. Since f vanishes on
J, f1 also vanishes on J. This is a non-zero polynomial of degree strictly less than
f contradicting our minimality condition, proving the lemma.
With this lemma it is simple to prove Theorem 8.2.1, the Joints problem in Rn.
Proof of Theorem 8.2.1. Take L a set of k lines in Rn, J the set of joints of L and fix
N  n |J|1{n
. We can remove a line from L that is incident to at most N points of J
and update J and L accordingly but keeping N fixed. We can now repeat this process
for our new L, J as Lemma 8.2.2 guarantees such a line exists at every stage. We repeat
this process k times until all lines have been removed. Each iteration removes at most
N joints and all of the joints are removed after k iterations. This gives us the following
bound, leading to our proof,
|J| ¤ kN  kn |J|1{n
,
ùñ |J| ¤ pnkqn{n¡1
 Θpkn{n¡1
q.
This bound combined with the n-dimensional generalisation of our work in Subsection
8.1.2 proves the maximum order is strictly Θpkn{n¡1q.
This proof again shows the remarkable power of the method, a problem which stood
unsolved for nearly 20 years, proved within a few pages.
8.3 Extensions of the Problem
We have now seen the Joints problem generalised to n-dimensions, however there are
a number of other simple extensions which also use our Polynomial method in their
proofs. We previously defined a joint in n-dimensions as a common intersection point
of n linearly independent lines. However we can for example, consider the number of
intersections of fewer lines, lessen the the constraint of independence, or consider the
intersections of curves rather than lines. This allows us to generalise beyond the Joints
problem and look more into the intersections of general algebraic curves (see [47]). These
generalisations are still very much at the forefront of mathematical research and it is
here that we most closely see our method overlap into Algebraic geometry. In fact it
also from this work that Guth and Katz found a much improved result relating to the
Erd¨os distinct distances problem.
55
8.3.1 The Erd¨os Distinct Distances Problem
It would be wrong to discuss the work of Guth and Katz in this area without noting
their remarkable work on this problem, also recognising the contribution of the late
Gy¨orgy Elekes who’s work help establish the key link between Incidence geometry and
this problem, [51]. This Distances problem expands on our two distance problem posing
it conversely as follows.
Given n distinct points in the plane what is gpnq, the minimum number of distinct
distances between them?
This problem was first posed in 1946 by Paul Erd¨os, perhaps one of the greatest
mathematicians of the 20th century. He conjectured that the order of gpnq was greater
that nc for all c   1. Using a square lattice he proved that
Θ
 cn
¨
¤ gpnq ¤ Θ
¢
n
clog n

and conjectured the exact value was of a magnitude very close to the upper bound, [52].
Of this conjecture he stated, writing for the event of his 80th birthday, that
My most striking contribution to geometry is, no doubt, my problem on the
number of distinct distances. (P. Erd¨os, [53])
From a mathematician with such a variety of contributions this is a powerful claim.
The problem stood for almost 75 years until 2010 when, by linking the problem to their
work on the Joints problem, Guth and Katz proved the following, [54].
Theorem 8.3.1 (Guth and Katz, (2010)).
Θ
¢
n
log n

¤ gpnq ¤ Θ
¢
n
clog n

This theorem proved the conjecture of Erd¨os and brings the problem very close to
a full solution as the bounds are now separated by only a factor of
clog n. With the
method still being used to great effect we may perhaps soon see a full solution in this
area.
Remark. The interested reader can find the original work by Erd¨os here, [52], and
the proof of the conjecture by Guth and Katz here [54] which uses some interesting
extensions of the Polynomial method. Most notable of these is the method of polynomial
cell decompostion. A lot of background work was also done By Elekes and Sharir in [51].
Another good source of information is an online article by Terence Tao discussing the
proof and its consequences, [55].
56
Part III
Graph Theory
57
Chapter 9
Graph Theory
9.1 Polynomials of Graphs
Perhaps one of the most surprising areas of application of the Polynomial method is to
Graph theory. While we do not often evaluate these polynomials in a standard sense, we
can still use them to make combinatorial statements. This is particularly notable when
attempting to give graphs labellings.
Example 9.1.1 (A Simple labelling). Assume we have n points, tv1, v2 . . . , vnu, and
have some function f which assigns a label to them. Then how do we check the labelling
is distinct? We can actually very easily construct a polynomial which will evaluate to
zero unless the labelling is entirely distinct,
¹
1¤i j¤n
pfpviq¡fpvjqq.
By extending this sort of idea we can create more complicated polynomials which encode
information about graphs. By making the points of interest the roots we can even apply
our various tools to arrive at some surprising conclusions.
Remark. This sort of construction is actually remarkably useful in mathematics even
when there is no metric or values, for example polynomial constructions are used in
topology to help describe knots.
9.2 The Basics
Throughout this chapter we will use the definitions as seen in Wilson’s Introduction to
Graph Theory, [56], to which the reader is directed for more information. We assume a
minimal understanding of Graph theory but also state some definitions for reference.
• A Graph G  pV, Eq is defined by a set of vertices V  tv1, . . . , vnu, and a set of
edges between them, E  te1, . . . , emu where the ej are pairs of vertices.
58
• H  pW, Fq is a subgraph of G  pV, Eq if W € V and F € E.
• A loop is an edge connecting a vertex to itself.
• A simple graph is a graph with no loops and no multiple (repeated) edges.
• An edge between two vertices is incident to those vertices and we say those vertices
are incident to the edge.
• The incidence matrix, M, of a graph with n vertices and m edges is an n ¢ m
matrix where ai,j is 1 if vi is incident to ej and 0 otherwise.
• The degree of a vertex is the number of edges incident to it, however loops count
twice as both ends are incident to the vertex.
• A regular graph is a graph in which every vertex has the same degree. Where
that degree is d we call the graph d-regular.
• A complete graph is a simple graph with an edge between every pair of vertices,
the complete graph with n vertices is denoted Kn.
Figure 9.1: The complete graph on 5 vertices, K5. This is also a loopless 4-regular graph.
Due to being loopless, the regularity can be seen directly from the incidence matrix M,
as precisely four 1s appear in each column meaning each vertex is of degree 4.
With these basic definitions we have all that we need to begin discussing the use of
the Polynomial method in Graph theory.
9.3 Finding a p-regular Subgraph
In this section we prove a result concerning when a graph has a p-regular subgraph,
with p a prime. We essentially state that when our graph is close to p2p ¡1q-regular it
contains a p-regular subgraph.
59
Theorem 9.3.1. Given a prime p, if the vertices of a loopless graph G have average
degree bigger than 2p¡2 but degree at most 2p¡1, then G contains a p-regular subgraph.
This idea of finding a subset order p within a set of order 2p ¡ 1 in some ways
resembles the Erd¨os-Ginzburg-Ziv Theorem, suggestive of the fact that our methods can
be applied. In fact a corollary to this theorem is that a p2p ¡1q-regular graph contains
a p-regular subgraph, which is a very similar statement. We also prove this theorem by
creating a polynomial over Fp, further implying the connection between our Additive
number theory and Graph theory. We must therefore refer back to an earlier corollary
of Lagrange’s Theorem.
Corollary 2.3.1.1 (An Important Relation). Over a finite field order q  pk with p
prime and a € Fqzt0u,
aq¡1
 1.
We make use of this as in earlier chapters to create an indicator function which
vanishes on all non-zero elements. This proof is remarkably short but highlights the use
of our method within Graph theory. We will prove this result as done by Alon in [6].
Remark. For this theorem we can assume all vertices of G have degree at least 1. If this
is not the case we simply take a subgraph, H of G for which this is true as the conditions
of the theorem will be satisfied by H if they are satisfied by G. Furthermore if the proof
holds for H then it will hold for G, since any subgraph of H is also a subgraph of G.
Proof. Set G  pV, Eq, a graph with n vertices and m edges and take M to be our
incidence matrix as previously defined such that ai,j is 1 if vi is incident to ej and 0
otherwise. We now define the following polynomial over Frx1, . . . , xms,
fpx1, . . . , xnq 
n¹
i1
!1 ¡
£
m¸
j1
ai,jxj
p¡1
(
) ¡
m¹
j1
p1 ¡xjq.
Note that since our average degree is more than 2p¡2 and every edge connects precisely
2 vertices we have that
|E| ¡ 1
2
p2p ¡2q|V |
and equivalently
m ¡ pp ¡1qn.
Therefore since the first product is of degree at most pp ¡ 1qn and the second product
has degree m, we have that degpfq  m as the coefficient of
±m
j1 xj  ¨1. We
can now apply our Combinatorial Nullstellensatz II, with α1  . . .  αm  1, and
S1  S2  . . .  Sm  t0, 1u as this has cardinality greater than 1. By the theorem
there exists a point s  ps1, . . . , smq € t0, 1um such that fpsq $ 0. Note that since f
does vanish on the zero vector our s is non-zero. This means the second product will
60
vanish at s, and hence the first product must not. By our Corollary 2.3.1.1, for this to
be the case we must have that
m¸
j1
ai,jsj  0 pmod pq
for all i. We therefore take the subgraph formed from the set of edges
˜E  tek |sk $ 0u.
The corresponding vertices must have a multiple of p non-zero elements in their respective
column of the incidence matrix. Since the graph is loopless and the vertices all have
degrees between 1 and 2p we have that all the vertices must be of degree p, giving us
the desired p-regular subgraph.
This idea of applying combinatorial methods to the study of graphs has become very
popular in recent years and has notably led to various results in the topic of graph
colouring and choosability, (though other topics of Graph theory such as spanning trees
have also been addressed).
9.4 Graph Colouring and the use of Ideals
One of the most significant areas of research in Graph theory is that of graph colourabil-
ity, and an interesting variant of this problem is the study of graph choosability, which
is a stronger, more general condition.
A proper vertex colouring of a graph is a function from the vertices to a list of
colours such that the endpoints of every edge are differently coloured. We define a graph
to be k-colourable for some integer k if there is a proper vertex colouring using at most
k colours.
In the case of choosability we assign a list of colours to each vertex and ask if we can
form a proper vertex colouring by choosing, for each vertex, a colour from its associated
set. For notation we use positive integers to represent colours, such that we have infinitely
many distinct colours t1, 2, 3, . . . u. For a graph G  pV, Eq to be f-choosable means that
the list of colours assigned to vi has cardinality fpviq. Then, if regardless of the colours
placed on each list we still have a proper vertex colouring the graph is f-choosable. If
this holds for a constant function f  k then we describe the graph as k-choosable.
Remark. Note that k-choosable implies k-colourable as by placing the same set of k
colours on all vertices choosability implies a proper vertex colouring exists. However the
case of the inverse implication is a more interesting one. A line graph LpGq is a graph
which has a vertex for every edge in G and an edge connecting every pair of vertices
which came from adjacent edges. With this idea we can state what is perhaps the most
renowned open problem in this area, the List colouring conjecture, which states that
61
for line graphs k-colourable also implies k-choosable, meaning there is an equivalence.
A recent result in the area was the proof that this holds for complete graphs of prime
degree, [57].
Figure 9.2: K5 is not 4 choosable as if we choose the same set for all 5 vertices there
is no choosable proper vertex colouring. However it is 5 colourable, no matter what set
of colours we assign to each vertex there will be a subset of them corresponding to a
proper vertex colouring.
Various results concerning choosability can be proved using our Polynomial methods,
many of which are discussed in a thesis on the topic by Anne Marie Spencer, [58]. One
theorem of note is a result which was originally proved by Alon and Tarsi in 1992 [59],
and has since had the proof somewhat reformulated in light of Alon’s development of
his Combinatorial Nullstellensatz. However we first need a few more concepts.
• An orientation, O, of a graph G  pV, Eq gives a direction to every pair of indices
in E such that |O|  |E| and pvi, vjq € O ùñ tvi, vju € E. We say the orientation
is even if |tpvi, vjq € O : i ¡ ju|  0 pmod 2q and that it is odd otherwise.
• The outdegree of v € V in O is |tpv, wq € Ou|.
• Given outdegrees d1, d2, . . . , dn for the vertices v1, v2, . . . , vn we define EOGpd1, . . . , dnq
to be the number of even orientations with these outdegrees and define OOGpd1, . . . , dnq
similarly for odd orientations.
• The graph polynomial, is a polynomial defined for G  pV, Eq, a graph with n
vertices and m edges, as
fGpx1, . . . , xnq 
¹
tpxi ¡xjq|i   j, tvi, vju € Eu.
This polynomial has degree precisely m and notably vanishes when px1, . . . , xnq is
not a proper vertex colouring.
62
With these ideas now outlined we can state and prove the following theorem con-
cerning f-choosability.
Theorem 9.4.1. Take G a graph on n vertices with m edges. If we have a labelling
function f : V Ñ N such that fpviq  αi 1 and
°n
i1 αi  m, then if EOGpα1, . . . , αnq $
OOGpα1, . . . , αnq then G is f-choosable.
Remark. The proof of this theorem is based on the work of Brad Jones in [5].
Proof. If there are no orientations with outdegrees α1, . . . , αn then the theorem is null
but holds, so we proceed assuming that orientations with these outdegrees do exist. We
now consider our graph polynomial
fGpx1, . . . , xnq 
¹
tpxi ¡xjq such that i   j, tvi, vju € Eu.
Note that fG has degree m  °n
i1 αi since we multiply over all edges. By induction on
m we now prove that
fG 
¸
d1,...,dn€N
pEOGpd1, . . . , dnq¡OOGpd1, . . . , dnqq
n¹
i1
xdi
i .
If m  0 then there is a single even orientation at pd1, . . . , dnq  p0, . . . , 0q and no other
orientations. This gives that us that fG  1 which is equal to our trivial product without
any terms. We can therefore begin our induction.
We assume that the result holds for m ¡ 1 edges and prove it for m. Take a single
point of E, tv, wu, with v ¡ w and define a graph ˜G  pV, Eztv, wuq for which our
theorem holds by our assumption. Define ˜O to be the reduction of O where this edge
is removed. To get an even orientation on G, if ˜O is even we must add pw, vq so that
the parity doesn’t change and we increase the outdegree of w by 1. If ˜O is odd we must
add pv, wq such that the parity does change and we increase the outdegree of v by 1.
Therefore
EOGpd1, . . . , dnq  EO ˜Gpd1, . . . , dw ¡1, . . . , dnq OO ˜Gpd1, . . . , dv ¡1, . . . , dnq,
and by similar argument
OOGpd1, . . . , dnq  EO ˜Gpd1, . . . , dv ¡1, . . . , dnq OO ˜Gpd1, . . . , dw ¡1, . . . , dnq.
Note also that fG  pxw ¡xvqf ˜G and that we assumed the theorem holds for m¡1. The
terms in the following need to have
63
fG pxw ¡xvq
¸
d1,...,dn€N
 
EO ˜Gpd1, . . . , dnq¡OO ˜Gpd1, . . . , dnq
¨ n¹
i1
xdi
i

¸
d1,...,dn€N
 
EO ˜Gpd1, . . . , dv ¡1, . . . , dnq¡OO ˜Gpd1, . . . , dv ¡1, . . . , dnq
¨
¡
 
EO ˜Gpd1, . . . , dw ¡1, . . . , dnq OO ˜Gpd1, . . . , dw ¡1, . . . , dnq
¨ n¹
i1
xdi
i

¸
d1,...,dn€N
pEOGpd1, . . . , dnq¡OOGpd1, . . . , dnqq
n¹
i1
xdi
i
finishing our induction. We can now apply our Combinatorial Nullstellensatz II. Since we
assume inequality between the even and odd terms the coefficient of
±n
i1 xαi
i is non-zero.
Hence setting |Si|  αi  1 tells us there is a point s  ps1, . . . , snq € S1 ¢. . . ¢Sn such
that fGpsq $ 0. Therefore, by the properties of the graph polynomial, this ps1, . . . , snq
gives a proper vertex colouring showing G is f-choosable.
This proof begins to demonstrate both the ways in which we can use our Polynomial
method in Graph theory and the usefulness of the graph polynomial, a polynomial we
use again in the next section.
9.4.1 k-Colourability - An Ideal ending
We end this study close to where we began, by again considering Ideals and their use
within our Polynomial method. In doing so we will be able to apply our Combinatorial
Nullstellensatz I, as opposed II, to prove a result concerning k-colourability. We consider
the Ideal generated by the polynomials xk
i ¡ 1, and the graph polynomial, defined as
before.
Theorem 9.4.2. fG lies in the ideal generated by xk
i ¡ 1 for i € t1, . . . , nu if and only
if G  ptv1, . . . , vnu, Eq is not k-colourable.
The proof of this, as seen in [6], is a very short, but effective application of our
Combinatorial Nullstellensatz I.
Proof. We first prove the forwards implication. Assume that fG lies in the ideal gen-
erated by xk
i ¡ 1. Therefore all the generators of this ideal vanish on the kth roots of
unity. Therefore if we label the vertices by the kth roots of unity fG will vanish. This
means xi  xj for some pair in E and hence G is not k-colourable.
We now prove the reverse implication. Assume G is not k-colourable. Set S  S1 
. . .  Sn  tkth roots of unityu and note that G cannot be properly coloured with these.
As in our Combinatorial Nullstellensatz I define pipxiq  ±
s€Si
pxi ¡sq  xk
i ¡1. Since
fG vanishes over any labelling by k colours it will vanish over Sn and therefore over all
64
the common zeros of the pi. Therefore by the Combinatorial Nullstellensatz I there exist
polynomials such that fG  °n
i1 gipi and therefore fG is in the ideal generated by the
pi.
This short proof links our work on Graph theory right back to our original statement
coming from Hilbert’s Nullstellensatz and nicely summarises how these combinatorial
ideas permeate through many areas of mathematics.
Remark. There are many more results in Graph theory due to the Polynomial method
and we have only discussed a very small sample of them here. The reader interested
particularly in the applications of the method to Graph theory is directed to a chapter
of an upcoming book by Doug West which dicusses many of these proofs in considerable
detail, [60]. A number of results are also discussed by Alon in [6]. A problem in a set of
notes by Matouˇsek, [3], may also be of interest. This links Polynomial identity testing to
finding perfect matchings in graphs, connecting the probabilistic elements of the Schwartz
Lemma 5.1.2 with our study of Graph theory, a concept not discussed here.
65
Chapter 10
Concluding Remarks
We concluded this survey as we began, applying the underlying Algebraic geometry
behind the Polynomial method. Throughout this paper we have seen that these com-
binatoric principles can be adapted to produce a broad range of tools, giving us the
capability to address a range of problems each in a specific manner. Whether in the
form of the Combinatorial Nullstellensatz, or the Schwartz Lemma, the success of the
method is, at least in part, due to this variety. In a number of cases we saw that a new
formulation led to a breakthrough in a previously unsolved area such as the case of the
Erd¨os distinct distances problem. Perhaps more remarkably though is the simplicity
with which the method is applied. Even in the seemingly complex problems dating back
decades, such as the Erd¨os-Heilbronn problem, the proof takes but a matter of para-
graphs. This is truly what distinguishes the Polynomial method from other tools and
guarantees its central importance to the mathematician. For indeed if the proof is not
elegant, then perhaps it is unfinished.
Beauty is the first test: there is no permanent place in this world for ugly
mathematics. (G.H. Hardy, A Mathematician’s Apology. [61])
While I’ve attempted to include the major works of the method in this paper, it is
by no means complete. Areas of interest such as spanning trees and the Szemer´edi and
Trotter Theorem going overlooked. As more work continues to be done, the Polynomial
method continues to grow as a topic well beyond the scope of a single paper. A more
complete picture requires a variety of resources but perhaps the best resource would be
the survey by Terence Tao, [12]. Other good resources for a balanced picture would be
Alon’s writings on the method in [6], and perhaps the thesis of Robert Laudone which
covers a number of areas, such as the Szemer´edi and Trotter Theorem, which have not
featured here, [62].
Turning our attention to the future of the method there are a number of areas where
we can hope to see advances. Within Graph theory problems such as the List colouring
conjecture continue to draw the attention of many great minds. Equipped with an ever
growing understanding of the workings of tools like the Combinatorial Nullstellensatz it
66
is very possible more results will come with time. As recently as March, a paper was
released which contained a new result concerning total colourings, a result which was
proved using the Combinatorial Nullstellensatz, [63]. However it is not just Graph the-
ory where the method is still making headway as last year a seemingly unrelated result
concerning partitions was proved in [64] also making use of our Polynomial method. Of
course when discussing recent work it is appropriate to include the bound on the Erd¨os
distinct distances problem. This proof is only a few years old and still very new to the
world of published mathematics. The methods developed by this paved the way for a
number of results, through the correspondence between Discrete and Incidence geometry
problems. It is possible further results will come from this, as people turn their attention
to higher dimensional analogues and similar problems such as the Erd¨os unit distance
problem.
Since the relatively recent recognition of the method and its potential, it has con-
tinually been applied to new and different problems across broad areas of mathematics.
With each new application the potential for a new breakthrough increases. Whether the
next inspiration comes from a young mind like Christian Reiher’s, or from a more es-
tablished name such as Alon’s, only time will tell. Despite its remarkable simplicity the
Polynomial method remains an essential tool at the forefront of modern mathematical
research, and based on my findings there is no reason this won’t continue to be the case.
67
Bibliography
[1] Z. Dvir, “On the size of Kakeya sets in finite fields,” J. Amer. Math. Soc., vol. 22,
pp. 1093–1097, 2009.
[2] S. Jukna, Extremal Combinatorics: With Applications in Computer Science, ch. 16.
Springer Publishing Company, Incorporated, 2nd ed., 2011.
[3] J. Matouˇsek, “Polynomials, A chapter for the Mathematics++. Lecture course at
Univerzita Karlova,” Notes available at http: // kam. mff. cuni. cz/ ˜ matousek/
polychap. pdf .
[4] D. Hilbert, “Ueber die vollen invariantensysteme,” Mathematische Annalen, vol. 42,
no. 3, pp. 313–373.
[5] B. R. Jones, “Combinatorial nullstellensatz,” 2013.
[6] N. Alon and M. Tarsi, “Combinatorial nullstellensatz,” Combinatorics Probability
and Computing, vol. 8, no. 1, 1999.
[7] N. Alon, M. B. Nathanson, and I. Ruzsa, “Adding distinct congruence classes mod-
ulo a prime,” The American mathematical monthly, vol. 102, no. 3, pp. 250–255,
1995.
[8] A. Frimu and M. Teleuca, “Applications of combinatorial nullstellensatz,” Gazeta
Matematica, November 2011.
[9] A. Gathmann, “Algebraic Geometry 1. Lecture course at University of Kaiser-
slautern, 2002,” Notes available at http: // www. mathematik. uni-kl. de/
˜ gathmann/ class/ alggeom-2002/ chapter-1. pdf .
[10] H. Hilton, Plane algebraic curves. The Clarendon press, 1920.
[11] L. Guth, “The Polynomial Method. Lecture course at Massachusetts Insti-
tute of Technology, 2012.,” Notes available at http: // math. mit. edu/ ˜ lguth/
PolynomialMethod. html .
[12] T. Tao, “Algebraic combinatorial geometry: the polynomial method in arith-
metic combinatorics, incidence combinatorics, and number theory,” arXiv preprint
arXiv:1310.6482, 2013.
68
[13] P. L. Clark, A. Forrow, and J. R. Schmitt, “Warning’s second theorem with resricted
variables,” arXiv preprint arXiv:1404.7793, 2014.
[14] P. Clark, “The Chevalley-Warning theorem,” http: // math. uga. edu/ ˜ pete/
4400ChevalleyWarning. pdf .
[15] C. D. of Scientific Biography., “Artin, Emil.,” http: // www. encyclopedia. com/
doc/ 1G2-2830900172. html .
[16] C. Chevalley, “D´emonstration d’une hypoth`ese de m. artin,” Abhandlungen aus dem
Mathematischen Seminar der Universit¨at Hamburg, vol. 11, no. 1, pp. 73–75.
[17] E. Warning, “Bemerkung zur vorstehenden arbeit von herrn chevalley,” Abh. Math.
Sem. Univ. Hamburg, vol. 11, pp. 76–83, 1936.
[18] D. R. Heath-Brown, “A note on the chevalley-warning theorems,” Russian Mathe-
matical Surveys, vol. 66, no. 2, p. 427, 2011.
[19] M. A. Armstrong, Groups and Symmetry, ch. Lagrange’s Theorem, pp. 57–60. New
York, NY: Springer New York, 1988.
[20] R. Vinroot, “Math 430 - The Multiplicative Group of a Finite Field. Lecture course
at College of William and Mary, 2013.,” Notes available at http: // www. math. wm.
edu/ ˜ vinroot/ 430S13MultFiniteField. pdf .
[21] M. Devos, “Combinatorial Number Theory. Lecture course at Simon Fraser Univer-
sity,” Notes available at http: // www. sfu. ca/ ˜ mdevos/ notes/ comb_ numb/ .
[22] P. Erd¨os, A. Ginzburg, and A. Ziv, “Theorem in the additive number theory,” Bull.
Res. Council Israel, vol. 10, pp. 41–43, 1961.
[23] A. L. Cauchy, Recherches sur les nombres. 1813.
[24] H. Davenport, “On the addition of residue classes,” Journal of the London Mathe-
matical Society, vol. 1, no. 1, pp. 30–32, 1935.
[25] S. D. Adhikari, M. N. Chintamani, Geeta, and B. K. Moriya, “The Cauchy-
Davenport theorem: various proofs and some early generalizations,” 2010.
[26] J. P. Wheeler, “The cauchy-davenport theorem for finite groups,” arXiv preprint
arXiv:1202.1816, 2012.
[27] M. B. Nathanson, “Additive number theory: Inverse problems and the geometry of
sumsets (graduate texts in mathematics)(vol 165),” 1996.
[28] N. Alon, M. B. Nathanson, and I. Ruzsa, “The polynomial method and restricted
sums of congruence classes,” Journal of Number Theory, vol. 56, no. 2, pp. 404–417,
1996.
69
[29] N. Alon and M. Dubiner, “Zero-sum sets of prescribed size,”
[30] A. Kemnitz, “On a lattice point problem,” Ars Combin, vol. 16, pp. 151–160, 1983.
[31] C. Reiher, “On kemnitz’ conjecture concerning lattice-points in the plane,” The
Ramanujan Journal, vol. 13, no. 1-3, pp. 333–337, 2007.
[32] R. Lipton, “The curious history of the Schwartz-Zippel
lemma,” 2009. https://rjlipton.wordpress.com/2009/11/30/
the-curious-history-of-the-schwartz-zippel-lemma/.
[33] S. Kakeya, “Some problems on maxima and minima regarding ovals,” Tohoku Sci-
ence Reports, vol. 6, pp. 71–88, 1917.
[34] M. Furtner, “The Kakeya problem,” 2008.
[35] J. P´al, “Ein minimumproblem f¨ur ovale,” Mathematische Annalen, vol. 83, no. 3,
pp. 311–319.
[36] T. Wolff, “Recent work connected with the kakeya problem,” Prospects in mathe-
matics (Princeton, NJ, 1996), vol. 2, pp. 129–162, 1999.
[37] J. Bourgain, N. Katz, and T. Tao, “A sum-product estimate in finite fields, and
applications,” Geometric  Functional Analysis GAFA, vol. 14, no. 1, pp. 27–57,
2004.
[38] T. Tao, “Dvir’s proof of the finite field kakeya conjec-
ture,” 2008. https://terrytao.wordpress.com/2008/03/24/
dvirs-proof-of-the-finite-field-kakeya-conjecture/.
[39] B. Murphy, “Counting monomials,” 2012. https://murphmath.wordpress.com/
2012/08/22/counting-monomials/.
[40] L. Guth and N. H. Katz, “Algebraic methods in discrete analogs of the kakeya
problem,” Advances in Mathematics, vol. 225, no. 5, pp. 2828–2839, 2010.
[41] J. Matouˇsek, Thirty-three miniatures: Mathematical and Algorithmic applications
of Linear Algebra, vol. 53. American Mathematical Soc., 2010.
[42] A. Blokhuis, “A new upper bound for the cardinality of 2-distance sets in euclidean
space,” North-Holland Mathematics Studies, vol. 87, pp. 65–66, 1984.
[43] A. Blokhuis, “Few-distance sets,” CWI Tracts, vol. 7, pp. 1–70, 1984.
[44] D. Larman, C. Rogers, and J. Seidel, “On two-distance sets in euclidean space,”
Bulletin of the London Mathematical Society, vol. 9, no. 3, pp. 261–267, 1977.
[45] A. Sheffer, “Chapter 5: The Joints Problem. Ma 191c: The Polynomial Method,
Lecture course at California Institute of Technology,” Notes available at http:
// math. caltech. edu/ ˜ 2014-15/ 3term/ ma191c-sec2/ 5. %20Joints. pdf .
70
[46] R. Quilodr´an, “Introduction to the joints problem,” 2011.
[47] R. Quilodr´an, “The joints problem in rˆn,” SIAM Journal on Discrete Mathematics,
vol. 23, no. 4, pp. 2211–2213, 2010.
[48] B. Chazelle, H. Edelsbrunner, L. J. Guibas, R. Pollack, R. Seidel, M. Sharir, and
J. Snoeyink, Counting and cutting cycles of lines and rods in space. IEEE, 1990.
[49] G. Elekes, H. Kaplan, and M. Sharir, “On lines, joints, and incidences in three
dimensions, manuscript, march 2009,” arXiv preprint arXiv:0905.1583.
[50] H. Kaplan, M. Sharir, and E. Shustin, “On lines and joints,” Discrete  Computa-
tional Geometry, vol. 44, no. 4, pp. 838–843, 2010.
[51] G. Elekes and M. Sharir, “Incidences in three dimensions and distinct distances in
the plane,” Combinatorics, Probability and Computing, vol. 20, no. 04, pp. 571–608,
2011.
[52] P. Erdos, “On sets of distances of n points,” The American Mathematical Monthly,
vol. 53, no. 5, pp. 248–250, 1946.
[53] R. Graham, J. Neˇsetˇril, and S. Butler, The Mathematics of Paul Erd˝os I, p. 446.
SpringerLink : B¨ucher, Springer New York, 2013.
[54] L. Guth and N. H. Katz, “On the erdos distinct distance problem in the plane,”
arXiv preprint arXiv:1011.4105, 2010.
[55] T. Tao, “The guth-katz bound on the erd¨os distance prob-
lem,” 2010. https://terrytao.wordpress.com/2010/11/20/
the-guth-katz-bound-on-the-erdos-distance-problem/.
[56] R. J. Wilson, An introduction to graph theory. Pearson Education India, 1970.
[57] U. Schauz, “Proof of the list edge coloring conjecture for complete graphs of prime
degree,” The Electronic Journal of Combinatorics, vol. 21, no. 3, pp. P3–43, 2014.
[58] A. M. Spencer, Edge-choosability of cubic graphs and the polynomial method. PhD
thesis, Department of Mathematics-Simon Fraser University, 2010.
[59] N. Alon and M. Tarsi, “Colorings and orientations of graphs,” Combinatorica,
vol. 12, no. 2, pp. 125–134, 1992.
[60] D. West, “The art of combinatorics volume iv: Arrangements and methods,”
Preprint edition. http://www.math.uiuc.edu/˜jobal/teach/nullstellensatz.
pdf.
[61] G. H. Hardy, “A mathematician’s apology,” 1941.
[62] R. Laudone and J. Greene, “The polynomial method in combinatorics,” 2015.
71
[63] L. Sun, X. Cheng, and J. Wu, “The adjacent vertex distinguishing total coloring of
planar graphs without adjacent 4-cycles,” Journal of Combinatorial Optimization,
pp. 1–12, 2016.
[64] M. Thiel and N. Williams, “Strange expectations,” arXiv preprint
arXiv:1508.05293, 2015.
72

Compiled Report

  • 1.
    Durham University Department ofMathematics MMath Thesis The Polynomial Method A Combinatorial method for bounding solution sets Samuel JP McStay Supervised by Dan Evans April 29, 2016
  • 2.
    Abstract During this studywe will survey the Polynomial method, going from its origins within Combinatorics, to its most recent applications in Discrete geometry. Through use of worked examples we will explore the various tools which comprise the method, discussing their applications in a number of significant papers, and considering the potential extensions for future research.
  • 3.
    Declaration This piece ofwork is a result of my own work except where it forms an assessment based on group project work. In the case of a group project, the work has been prepared in collaboration with other members of the group. Material from the work of others not involved in the project has been acknowledged and quotations and paraphrases suitably indicated.
  • 4.
    Contents 1 Introduction 3 1.1Outlining the Method . . . . . . . . . . . . . . . . . . . . . . . . . . . . . 3 1.2 Nullstellensatz . . . . . . . . . . . . . . . . . . . . . . . . . . . . . . . . . 4 1.2.1 Proof of the Combinatorial Nullstellensatz . . . . . . . . . . . . . . 5 1.3 Using the Combinatorial Nullstellensatz . . . . . . . . . . . . . . . . . . . 7 1.4 Algebraic Geometry: Connecting the Nullstellens¨atze . . . . . . . . . . . . 8 1.5 B´ezout’s Theorem . . . . . . . . . . . . . . . . . . . . . . . . . . . . . . . 11 I Sumsets and Finite Fields 14 2 Chevalley-Warning Theorem 15 2.1 An Interesting History . . . . . . . . . . . . . . . . . . . . . . . . . . . . . 15 2.2 The Theorems . . . . . . . . . . . . . . . . . . . . . . . . . . . . . . . . . 16 2.3 Proving the Theorem . . . . . . . . . . . . . . . . . . . . . . . . . . . . . . 17 2.3.1 The Reduced Polynomial . . . . . . . . . . . . . . . . . . . . . . . 19 2.3.2 Uses of the Theorem . . . . . . . . . . . . . . . . . . . . . . . . . . 21 3 Sumsets 22 3.1 Introducing Sumsets . . . . . . . . . . . . . . . . . . . . . . . . . . . . . . 22 3.1.1 Spin to win - Forming simple sumsets . . . . . . . . . . . . . . . . 22 3.2 Cauchy-Davenport Theorem . . . . . . . . . . . . . . . . . . . . . . . . . . 24 3.2.1 Proving the Theorem . . . . . . . . . . . . . . . . . . . . . . . . . 24 3.3 The Erd¨os-Heilbronn Problem . . . . . . . . . . . . . . . . . . . . . . . . . 25 3.3.1 Proving the EHP . . . . . . . . . . . . . . . . . . . . . . . . . . . . 26 4 The Erd¨os-Ginzburg-Ziv Theorem 28 4.1 Understanding Zero-sum Sequences . . . . . . . . . . . . . . . . . . . . . . 28 4.1.1 Just Sum Dice Game . . . . . . . . . . . . . . . . . . . . . . . . . . 29 4.1.2 Implications . . . . . . . . . . . . . . . . . . . . . . . . . . . . . . . 30 4.2 The Erd¨os-Ginzburg-Ziv Theorem . . . . . . . . . . . . . . . . . . . . . . 31 4.2.1 Proving EGZ . . . . . . . . . . . . . . . . . . . . . . . . . . . . . . 31 4.3 Further Applications . . . . . . . . . . . . . . . . . . . . . . . . . . . . . . 34 1
  • 5.
    4.3.1 Zn –Znand beyond . . . . . . . . . . . . . . . . . . . . . . . . . . 34 5 Polynomial Testing 35 5.1 The DeMillo-Lipton-Schwartz-Zippel Lemma . . . . . . . . . . . . . . . . 35 5.1.1 Applications . . . . . . . . . . . . . . . . . . . . . . . . . . . . . . 37 6 Kakeya 38 6.1 The Kakeya needle problem . . . . . . . . . . . . . . . . . . . . . . . . . . 38 6.2 The Finite Field Analogue . . . . . . . . . . . . . . . . . . . . . . . . . . . 39 6.2.1 The Proof of the Finite field Kakeya conjecture . . . . . . . . . . . 41 II Euclidean Space 44 7 Distances 45 7.1 The s-Distances Problem . . . . . . . . . . . . . . . . . . . . . . . . . . . . 45 7.1.1 The Two Distance Problem . . . . . . . . . . . . . . . . . . . . . . 45 7.2 Bounding Pspnq . . . . . . . . . . . . . . . . . . . . . . . . . . . . . . . . . 46 7.2.1 Extensions . . . . . . . . . . . . . . . . . . . . . . . . . . . . . . . 50 8 Lines and Joints 51 8.1 The Joints Problem . . . . . . . . . . . . . . . . . . . . . . . . . . . . . . 51 8.2 Solving the Problem . . . . . . . . . . . . . . . . . . . . . . . . . . . . . . 52 8.2.1 The General Solution . . . . . . . . . . . . . . . . . . . . . . . . . 53 8.3 Extensions of the Problem . . . . . . . . . . . . . . . . . . . . . . . . . . . 55 8.3.1 The Erd¨os Distinct Distances Problem . . . . . . . . . . . . . . . . 56 III Graph Theory 57 9 Graph Theory 58 9.1 Polynomials of Graphs . . . . . . . . . . . . . . . . . . . . . . . . . . . . . 58 9.2 The Basics . . . . . . . . . . . . . . . . . . . . . . . . . . . . . . . . . . . 58 9.3 Finding a p-regular Subgraph . . . . . . . . . . . . . . . . . . . . . . . . . 59 9.4 Graph Colouring and the use of Ideals . . . . . . . . . . . . . . . . . . . . 61 9.4.1 k-Colourability - An Ideal ending . . . . . . . . . . . . . . . . . . . 64 10 Concluding Remarks 66 Bibliography 68 2
  • 6.
    Chapter 1 Introduction The Polynomialmethod is a collection of combinatorial tools used in mathematical proofs. The ideas behind it can be found in writings from over a century ago but it rose to the forefront of mathematical study in 2008. This recognition was largely due to the work of Dvir, who solved the Finite field Kakeya conjecture using the method [1]. Since then, the method has been applied to many more problems within Combinatorics to great success, and its full potential is still unknown. To date, its main applications have been in Incidence geometry but it has also been used widely in Coding theory, Graph theory and Additive number theory. Despite its remarkable simplicity, it remains an essential tool in modern mathematical innovation. 1.1 Outlining the Method As the name suggests the method is built around the structures of polynomials. Remark- ably simple to work with, we can view polynomials in two ways; either as evaluation maps, or as formal objects in a ring. The well defined nature of polynomials means they have a number of practical properties and useful structure. The Polynomial method at- tempts to take unknown information and carefully embed it into a polynomial. By then studying this polynomial, we can achieve a better understanding of our original structure. While this method has a basic form, we can construct more powerful tools and theo- rems from it. By using these more complex constructions we can apply the Polynomial method to a problem in a more efficient and effective way. Our basic method, as seen in [2], is derived from the following statements concerning single-variable polynomials. Theorem 1.1.1 (The Fundamental Theorem of Algebra). A non-zero, single-variable, polynomial of degree d has no more than d distinct roots, and has exactly d roots when counted with multiplicity over its algebraic closure. Theorem 1.1.2. For any set S of cardinality d there exists a non-zero polynomial f of degree at most d which vanishes on S, that is, fpsq 0 for all s € S. Given a polynomial of fixed degree, the first theorem upper bounds the cardinality of its vanishing set. The second says conversely that every set is the vanishing set of 3
  • 7.
    some polynomial, withdegree bounded by the cardinality of the set. In conjunction, these statements allow us to apply the method in both directions. We can bound the number of roots of any polynomial based on its vanishing points, and we can bound the cardinality of a set, by the degree of polynomial vanishing on it. The multi-variable analogues of these statements form the basis of our Polynomial method. More generally we look at properties such as degree and dimension from which, by using counting arguments, we can obtain bounds on the complexity of a set. We bound and from below by showing that no polynomials of low degree vanish on our set, and from above by finding a polynomial which does. In this way we can bound the solutions to a variety of problems. We can further generalise these ideas to systems of equations through tools such as the Combinatorial Nullstellensatz which, as the name suggests, is linked to the Hilbert Nullstellensatz. These extensions require careful analysis of vanish- ing sets and applications of our basic Polynomial method. This focus on vanishing sets means the topic is closely related to, and reliant upon, results from Algebraic geometry. 1.2 Nullstellensatz Nullstellensatz is a German word meaning “zero-locus theorem” immediately denoting its association to vanishing sets (see [3]). First published in 1893 [4], Hilbert’s Nullstellensatz is derived by focussing on ideals. The statement is a powerful tool concerning the solutions of any homogeneous system of polynomial equations over an algebraically closed field (most usually C in Algebraic geometry). The two statements (as seen in [5] and [6] respectively) are equivalent however for convenience we denote them separately. We first define some notation with which we can state the theorem. Definition 1.2.1. For any set of polynomials P tp1, . . . , pku define ZpPq : tps1, . . . , snq € Fn |pps1, . . . , snq 0 dp € Pu, the vanishing set of P. Theorem 1.2.2 (Hilbert’s Strong Nullstellensatz [5], [6]). Take F to be an algebraically closed field, P tp1, . . . , pku to be a set of polynomials, and f, p1, . . . , pk to be polyno- mials over Frx1, . . . , xns. Then I. Take an ideal J in Frx1, . . . , xns. If f vanishes on ZpJq then there exists an integer r ¡ 0 such that fr € J. II. If f vanishes on ZpPq then there exists an integer r and polynomials g1, . . . , gk € Frx1, . . . , xns such that fr k¸ i1 gipi. 4
  • 8.
    This theorem ispowerful by itself, proving a fundamental link between Geometry and Algebra. It is therefore the basis of much of Algebraic geometry. It was from this theorem that Noga Alon made a notable breakthrough to create the Combinatorial Nullstellensatz, which he first published in 1999, [6] (though evidence of it can be seen in his works as early as 1995, [7]). Similar to the general Hilbert case but with further restrictions, his Nullstellensatz makes stronger statements about the nature of this set-polynomial construction. Having a more combinatoric approach to the structures, this Nullstellensatz is derived using our Polynomial method and is a powerful tool for applying the method to problems. Following Alon’s original line of thought, [6], we take the case as above with the re- striction that k n and that each pi is a single-variable polynomial factoring completely. Set Si : Zpfiq, then we have the following: Theorem 1.2.3 (The Combinatorial Nullstellensatz [6]). Take F to be an algebraically closed field and f in Frx1, . . . , xns. Then I. Take a set of polynomials P tp1, . . . pnu with pipx1, . . . , xnq : ¹ s€Si pxi ¡sq and all Si non-empty. If f vanishes on ZpPq S1¢. . .¢Sn, there exist polynomials g1, . . . , gn € Frx1, . . . , xns with deg pi  deg gi ¤ deg f such that f n¸ i1 gipi. Furthermore if f, p1, . . . , pn lie in a subring of F then g1, . . . , gn also lie in the subring. II. Suppose deg f °n i1 αi for some non-negative integers αi and the coefficient of±n i1 xαi i in f non-zero. Then if S1, . . . , Sn are subsets of F such that |Si| ¡ αi then there exists an element s ps1, . . . , snq € S1 ¢. . . ¢Sn such that fpsq $ 0. This theorem, posed as two separate statements, allows us to apply the Polynomial method to a whole system of equations simultaneously. This makes it very useful in some of the most profound works of the Polynomial method. We shorten many proofs by applying the method to a whole system in a single step. To prove this theorem requires careful use of our basic Polynomial method. 1.2.1 Proof of the Combinatorial Nullstellensatz We will prove the Combinatorial Nullstellensatz, as in Alon’s original proof (seen in [6], and [5]) using three steps. We first prove the following lemma, then prove each statement separately. 5
  • 9.
    Lemma 1.2.4. Supposef € Frx1, . . . , xns is such that the degree of f in xi is at most αi, for all i € t1, . . . , nu, and let Si € F have cardinality at least αi   1. Then if f vanishes on S1 ¢. . . ¢Sn, it is the zero polynomial. Proof. We prove this by induction. For n 1 assume we have a non-zero single-variable polynomial of degree at most αi but with at least αi 1 roots. By Theorem 1.1.1 we must have the zero-polynomial. Since it is true for n 1 we can now perform our inductive step, assuming the lemma holds for n ¡1, n ¥ 2, and from this showing it holds for n. Take a polynomial fpx1, . . . , xnq with sets Si as in the statement of the lemma. We can write f as a polynomial in xn taking fipx1, . . . , xn¡1q to be the coefficient of xi n such that f αn¸ i0 fipx1, . . . , xn¡1qxi n. Fixing the values of x1, . . . , xn as some value s1 ¢. . . ¢sn¡1 € S1 ¢. . . ¢Sn¡1 gives us a polynomial in one variable that vanishes on Sn. Since we know the lemma holds for n 1 this polynomial is identically 0. This means the coefficients are identically zero implying that fipx1, . . . xn¡1q vanishes S1 ¢. . .¢Sn¡1. By our inductive assumption the lemma holds for n ¡1 and therefore fi 0 for all i implying f 0. We can now prove the first statement of the Combinatorial Nullstellensatz. Proof of Combinatorial Nullstellensatz I. We again take f € Frx1, . . . , xns vanishing on the non-empty set S1 ¢. . . ¢Sn € Fn and set αi |Si|¡1. Then for each i € t1, . . . , nu define pipxiq : ¹ s€Si pxi ¡sq xαi 1 i ¡ αi¸ j0 pcijxj i q where cij is simply the coefficient of xj i . By construction this vanishes on Si and therefore sαi 1 αi¸ j0 pcijsj q for all s € Si. By applying this relation we can create a reduced polynomial of maximum degree αi in xi by writing higher powers as linear combinations of lower order terms. We apply this process to f to get a reduced form ˜f. Note that where this relation holds ˜f will equal f and therefore ˜fps1, . . . snq fps1, . . . snq for all ps1, . . . snq € S1 ¢. . . ¢Sn. This gives us that ˜fpx1, . . . xnq also vanishes on S1 ¢. . . ¢Sn meaning by Lemma 1.2.4 ˜f 0. We now look closely at the process taking f to ˜f. We note that the xi terms are reduced by subtracting multiples of the pi of the form gipi where gi € Frx1 . . . xns. Since 6
  • 10.
    the aim isto cancel out terms of f with multiples of the pi, the coefficients of the gi are within the smallest ring containing all the coefficients of f, p1, . . . , pn. We also see that deg gipi ¤ deg f which implies that deg gi  deg pi ¤ deg f. as in the statement of the theorem. Finally we see that f ¡ n¸ i1 gipi ˜f 0 and therefore f n¸ i1 gipi. We now prove the second statement of the Combinatorial Nullstellensatz. Proof of Combinatorial Nullstellensatz II. We again set pipxiq ± s€Si pxi ¡ sq and set |Si| αi  1 with αi is the degree of f in xi. Assume for contradiction that f vanishes on S1 ¢. . .¢Sn. We can therefore apply Combinatorial Nullstellensatz I to get polynomials gi € Frx1 . . . xns with deg gi ¤ °n i1 αi ¡deg pi such that f n¸ i1 gipi. On the left hand side this equation has a maximal degree term ±n i1 xαi i with a non-zero coefficient hence so does the right hand side. However the RHS is composed of terms of the form gipi hence we can write it as gi ¹ s€Si pxi ¡sq gi £ xαi 1 i ¡ αi¸ j0 pcijxj i q . The maximal degree terms here must all be divisible by xαi 1 i and there can be no term of form ±n i1 xαi i . This gives a contradiction, so f does not vanish on S1 ¢. . . ¢Sn. This completes the proof of the Combinatorial Nullstellensatz. 1.3 Using the Combinatorial Nullstellensatz To give an example of using the Combinatorial Nullstellensatz we look at an elegant example studied in the Gazeta Mathematica [8]. The problem comes from the 2007 International Mathematical Olympiad and has a beautiful combinatoric solution, found by only 5 of the participants. 7
  • 11.
    Example 1.3.1 (Coveringthe unit grid except p0, 0, 0q). Let n be a positive integer. Consider S tpx, y, zq|px, y, zq € t0, 1, . . . , nu3 , x  y  z ¡ 0u a set of pn  1q3 ¡1 points in R3. Determine the smallest number of planes, the union of which contains S but does not include p0, 0, 0q. Solution. We begin by upper bounding our answer by 3n. This is attained by the solution 3n¤ i1 αi where αi : x  y  z i By contradiction we now show that this is minimal. Assume we have a solution using only 3n¡1 planes, π1, . . . π3n¡1. Each plane can be defined by an equation aix biy ciz di 0 with di $ 0 since we are avoiding the origin. We define gpx, y, zq 3n¡1¹ i1 paix  biy  ciz  diq and note that if we have a solution then g, the product of our planes, will vanish on S but not at the origin since all our di are non-zero. We now form a new polynomial fpx, y, zq from gpx, y, zq which vanishes on S ‰0, fpx, y, zq gpx, y, zq¡k n¹ i1 px ¡iqpy ¡iqpz ¡iq with k gp0,0,0q p¡13nqpn!q3 so that fp0, 0, 0q 0. Since g has degree 3n ¡1, and the coefficient of xnynzn is k $ 0 we see that f has degree 3n. We are now in a case where we can apply our Combinatorial Nullstellensatz II to achieve our contradiction. We are working over the field R with f € Rrx, y, zs, deg f 3n n  n  n, and the coefficient of xnynzn in f, is k $ 0. We then take S1 S2 S3 t0, 1, . . . , nu € R each of cardinality n 1 such that |S| ¡ n. Hence by our Combinatorial Nullstellensatz there exists an ps1, s2, s3q € S1 ¢S2 ¢S3 such that fpsq $ 0 contradicting that f vanishes on S ‰0. This sample problem, studying a polynomial formed by the products of planes, fur- ther suggests the link between the Nullstellens¨atze and Algebraic geometry. 1.4 Algebraic Geometry: Connecting the Nullstellens¨atze In appearance the two Nullstellens¨atze are quite similar. The important difference being that by looking at a more specialised case, we can replace fr by f. Removing this power allows the Combinatorial Nullstellensatz to be applied effectively in a number of more combinatorial situations where the Hilbert Nullstellensatz isn’t applicable. This is because we can make much more rigorous statements a polynomial than we can about a 8
  • 12.
    polynomial raised toan unknown power. On the other hand the significance of Hilbert’s Nullstellensatz is its foundational importance to Algebraic geometry. In fact we can now clarify definition 1.2.1 to reflect this. Definition 1.4.1 (Algebraic Set). For any P € Frx1, . . . , xns and ZpPq as in Definition 1.2.1, we may call ZpPq an algebraic set. Remark. For further insight into this section the reader is directed to a set of lecture notes by Gathmann [9]. These algebraic sets are the fundamental objects of study in Algebraic geometry. As we have already seen our Polynomial method is very closely linked to these sets and therefore Algebraic geometry. Theorem 1.4.2. For any algebraically closed field F, there is a one-to-one correspon- dence between the radical ideals of Frx1, . . . , xns and the algebraic sets of Fn. This theorem is the basis of Algebraic geometry, proving the link between our alge- braic objects, the radical ideals, and our geometric structures, the algebraic sets. The proof relies on Hilbert’s Nullstellensatz and is perhaps the most important use of it. While the proof is not strictly an application of the Polynomial method it bears some resemblance and demonstrates the use of Hilbert’s Nullstellensatz effectively. This proof is adapted from the work of Jones in [5]. Proof. I. We define two maps and note some of their properties. (a) Our first map takes a set from Fn to the collection of polynomials vanishing on it. IpSq : tf € Frx1, . . . xns|fps1, . . . , snq 0 dps1, . . . , snq € Su (b) Note that IpSq is closed under addition and under multiplication by any poly- nomial, hence it is the ideal of S. Furthermore we note that if gkps1, . . . , snq 0 then gps1, . . . , snq 0. This means if a power of an element, g, is in J then so is g. Hence IpSq is in fact a radical ideal. (c) Our second map is Z as before, ZpJq : tps1, . . . , snq € Fn |fps1, . . . , snq 0 df € Ju but with J a radical ideal. By Definition 1.4.1 this maps to an algebraic set. We now look at the composition of these two maps. II. ZpIpSqq: (a) S € ZpIpSqq: Take an algebraic set S. All f € IpSq vanish on S, and therefore s € ZpIpSqq for any s € S. 9
  • 13.
    (b) ZpIpSqq €S: Now take ps1, . . . , snq € ZpIpSqq. Then for all f € IpSq we have that fps1, . . . , snq 0. Therefore ps1, . . . , snq € S. (c) These two statements imply that ZpIq is the identity on algebraic sets. III. IpZpJqq: (a) pJ € IpZpJqq: For all f € J, f vanishes on ZpJq. Therefore f € IpZpJqq. (b) pIpZpJq € Jq: Now take f € IpZpJqq. This means f vanishes on ZpJq. We now apply Hilbert’s Strong Nullstellensatz I implying that fr € J for some integer r ¡ 0. Therefore f € J because J is radical. (c) These two statements imply that IpZq is the identity on radical ideals. We therefore have a one-to-one correspondence as defined by these maps, completing the proof. We will now work through an example to help explain the theorem using the I and Z functions as seen in the proof. Example 1.4.3. Take the algebraically closed field C and take n 1 so that we work over Crzs. Define our algebraic set to be S t0, 1, 2u € C. For a polynomial to vanish on this set it clearly must be of form gpzqfpzq where gpzq is a polynomial in Crzs and fpzq zpz ¡1qpz ¡2q. Therefore the ideal of S, the set of polynomials vanishing on it, is generated by fpzq. That is IpSq th € Crzs|hpzq 0 dz € Su tgpzqfpzq|gpzq € Crzsu xfy. If we now look at where this ideal vanishes, we see that ZpIpSqq S. This is because all of IpSq shares f as a common factor but no other root. Therefore we see ZpIpSqq is the identity on S. Conversely, with f as above, start with the ideal J xfy. We know from before that this vanishes only on S ZpJq. Therefore the ideal of this is IpZpJqq IpSq xfy J Which shows that IpZpJqq is the identity on J. 10
  • 14.
    The close resemblancebetween our method and the fundamentals of Algebraic ge- ometry, means that often the two areas cross over. While the Polynomial method has applications in many other areas, this one is of particular note. We therefore consider another important result from Algebraic geometry. 1.5 B´ezout’s Theorem One of the most important theorems addressing the size of vanishing sets is B´ezout’s Theorem. Given a homogeneous system of polynomials, B´ezout’s Theorem bounds the number of intersecions. The ability to do this, with only minimal knowledge about our functions, will be important in later problems, particularly within Euclidean Space. We begin by reflecting on this example (seen in [3]). Example 1.5.1. Take the following two polynomials acting on the plane R2: fpx, yq px ¡1q. . . px ¡nq gpx, yq py ¡1q. . . py ¡mq and consider the solutions of f g 0. Note that deg f n, deg g m and that Zpfq tpa, yq € R2 |a € t1, 2, . . . , nuu Zpgq tpx, bq € R2 |b € t1, 2, . . . , muu. Representing these sets graphically we can easily count the number of intersections, |ZpfqˆZpgq|. Note that this is well defined (finite) since f and g do not share a non-constant common component. Zpfq Zpgq Figure 1.1: A graphical representation of the intersections of our two curves. Clearly there are precisely nm intersections and therefore |ZpfqˆZpgq| deg f ¤deg g. In fact by B´ezout’s Theorem this is maximal. 11
  • 15.
    Theorem 1.5.2 (B´ezout’sTheorem). Let f, g € Frx, ys be polynomials with no non- constant common components, and of degree n and m respectively with m, n ¥ 1. Then |ZpfqˆZpgq| ¤ mn deg f ¤deg g. Furthermore if F is algebraically closed, and we count intersections properly, that is including intersections at infinity and counting with multiplicity, then |ZpfqˆZpgq| mn. This theorem acts a multivariate extension of our Fundamental Theorem of Algebra 1.1.1 and can be used to prove the Joints problem in Rn. I therefore include a proof of this form of the theorem. The format of this proof is adapted from a proof by Hilton [10]. Remark. While this proof is essentially complete I have chosen to limit the detail on the construction of the resultant and its properties as it is not further relevant to this study. Hilton and Guth provide more insight into this concept, [10,11]. Proof. (Sketch). I. Take f, g € Frx, ys polynomials over an algebraically closed field with no common components. Then as previously Zpfq tpx, yq € F2 |fpx, yq 0u Zpgq tpx, yq € F2 |gpx, yq 0u II. Define fi and gi as the homogeneous components of f and g of degree i such that f m¸ i0 fipx, yq g n¸ i0 gipx, yq III. Homogenise our equations by adding a dummy variable z to get equations for F and G homogeneous of degree m and n respectively. F m¸ i0 fizm¡i g n¸ i1 gizn¡i IV. We now calculate RespF, Gq, the resultant of these two polynomials. That is the determinant of the Sylvester matrix: 12
  • 16.
    RespF, Gq f0f1 ¤¤¤ fm 0 ¤¤¤ 0 0 f0 f1 ¤¤¤ fm 0 ¤¤¤ 0 0 0 f0 f1 ¤¤¤ fm 0 ¤¤¤ 0 ... ... ... ... ... ... ... 0 ¤¤¤ 0 f0 f1 ¤¤¤ fm 0 0 ¤¤¤ 0 0 f0 f1 ¤¤¤ fm g0 g1 ¤¤¤ gn 0 ¤¤¤ 0 0 g0 g1 ¤¤¤ gn 0 ¤¤¤ 0 ... ... ... ... ... ... ... 0 ¤¤¤ 0 g0 g1 ¤¤¤ gn 0 0 ¤¤¤ 0 g0 g1 ¤¤¤ gn . The resultant has the remarkable property of being zero only where F and G share a solution in z. Note also that all terms of the resultant have degree mn meaning our resultant is a homogeneous polynomial in x and y of degree mn, [10]. V. Since our field is algebraically closed we see, by Theorem 1.1.1, that the resultant factors into mn linear factors. Each factor corresponds to a line from the origin to a point of intersection of the curves, hence we have exactly mn points of intersection (counting properly). Note that the first case follows from the algebraically closed case. If there are exactly mn solutions within the algebraic closure F then there are at most mn solutions within a sub-field of F. As is key when using the Polynomial method, this theorem bounds the complexity of vanishing sets. By cleverly applying this we can get new results, particularly when used in conjunction with other aspects of the method. In essence this theorem allows us to extend the principle of looking for roots, (where a function intersects the line y 0), to looking for intersections with more complicated structures. As such B´ezout’s Theorem is an extension of Theorem 1.1.1 and so it is considered part of the toolbox that is our Polynomial method. Remark. For further reading on B´ezout’s Theorem, and the topic in general, the reader is directed to the lecture notes of Larry Guth [11]. A higher level, but comprehensive resource, on this and the Polynomial method in general, is a survey by Terence Tao, [12]. This is an excellent resource for much of this topic but notably discusses B´ezout’s Theorem in further detail. 13
  • 17.
    Part I Sumsets andFinite Fields 14
  • 18.
    Chapter 2 Chevalley-Warning Theorem Remark.Throughout this chapter the reader is directed to the works of Pete Clark in [13], [14] for further details and information. 2.1 An Interesting History This theorem has controversial origins as the results arose from the work of two com- peting mathematicians. This led to a collection of very similar statements proposed and proved by the pair. 1934 was a tumultuous time for Emil Artin and his half-Jewish wife, as residents of what was Nazi Germany. Despite his strong anti-Nazi views he continued to work there before his emigration to the U.S.A in 1937. During this period he was working on finite fields, supervising a PhD student Ewald Warning. Much of their work concerned the following concept formulated by Artin [13], [15]. Definition 2.1.1. A C1-field is a field F such that given a homogeneous polynomial fpx1, . . . , xnq € Frx1, . . . , xns of degree d, with d ¡ n, there exists a non-zero point, s, of Fn such that fpsq 0. It is now known that all fields are C1-fields. However at the time, for finite fields, this was an open problem and Artin decided to task Warning to solve this. It was at this point that Claude Chevalley visited Artin and, after discussing the ongoing work, went away and released a proof of the conjecture himself, [16]. Not to be outdone, Warning finished his thesis and furthered Chevalley’s result. The title of his work even translates as “Remarks preceding work of Mr. Chevalley” and his introduction comments that his results further Chevalley’s work, [17]. Compiling their works gives us the Chevalley- Warning Theorem. 15
  • 19.
    2.2 The Theorems Theorem2.2.1 (Chevalley-Warning Theorem [13], [14]). Take a set S of m polynomials over a finite field, S tf1, . . . , fmu € Fqrx1, . . . , xns with deg pfiq αi ¥ 1 and q pk for some prime p. Then if m¸ i1 αi d   n we have that I. (Chevalley’s Theorem). If ZpSq $ ∅ then |ZpSq| ¥ 2. II. (Warning’s first Theorem). |ZpSq| 0 pmod pq. III. (Warning’s second Theorem). If ZpSq $ ∅ then |ZpSq| ¥ qn¡d. In line with our Polynomial method these statements look at the vanishing sets of systems of polynomials. They allow us to bound the cardinality based on the degrees of freedom coming from the number of variables and degrees of the polynomials. Within finite fields these theorems give us a very good way to apply the Polynomial method. To understand this theorem we will use it to prove Artin’s original conjecture. Proof of Artin’s conjecture. Take a single homogeneous polynomial f € Frx1, . . . , xns with deg pfq   n and F finite. We then set S tfu. Since it is homogeneous fp0, . . . , 0q 0 and therefore Zpfq $ ∅. By Chevalley’s Theorem |Zpfq| ¥ 2 implying there exists another point where f vanishes which must be non-zero, proving the conjecture. Remark. While here we used Chevalley’s Theorem, we can easily also use Warning’s Theorem to state that that there are at least p solutions, where p ¥ 2 is the characteristic prime of the field. While this is only a simple proof, the theorem can be used as part of our Polynomial method to prove various results including, as we see in Chapter 4, the Erd¨os-Ginzburg-Ziv Theorem. 16
  • 20.
    2.3 Proving theTheorem The first two statements can be proved relatively quickly by using our Polynomial method as their proofs are equivalent. However Warning’s Second Theorem is a stronger state- ment than we require, stated because of its historical relevance rather than it’s applica- tion, hence I leave it without proof. (For more on this theorem the reader is deirected to an article by Heath, [18]). In Chevalley’s original proof he used his own form of the Combinatorial Nullstel- lensatz I and an early form of the Polynomial method, long before the method was categorised. However before we can prove this theorem we discuss the concept of the reduced polynomial and an important corollary of Lagrange’s Theorem. Theorem 2.3.1 (Lagrange’s Theorem). Given a finite group, G, the order of any sub- group will divide the order of G. We prove this using the concept of a left coset as seen in [19]. Proof. Take our group G with H a subgroup of it. If H G or H ∅ then the theorem holds trivially. So assume H is non-trivial and choose an element g1 € G ¡H and from it create a left coset by left multiply every element of H with g1, g1H tg1h |h € Hu. Because g1 is invertible we have a bijection, h Ñ g1h Ñ g¡1 1 g1h h, meaning the cardinality of this set is |H|. Now assume there is an element k g1h1 € H ‰g1H, and therefore g1 kh¡1 1 € H. However since we assumed g1 ‚ H we have a contradiction meaning H and g1H are disjoint. If H ‰g1H G then our theorem holds with |G| 2 |H|. If not then we repeat our method using g2 € G ¡ pH ‰ g1Hq. We use this to generate g2H which will again have cardinality |H| and is disjoint from H as before, but also from g1H. If there was an element k g1h1 g2h2 € g1H ‰g2H then g2 g1h1h¡1 2 € g1H. 17
  • 21.
    This is acontradiction since we assumed g2 ‚ g1H. If H ‰g1H ‰g2H G then our theorem holds with |G| 3 |H|. Otherwise we continue to repeat this method taking gi € G ¡pH ‰g1H ‰g2H ‰. . . ‰gi¡1Hq. We form giH of cardinality |H| which will be disjoint from H and all gjH. If we assume there is an element k gihi gjhj € giH ‰gjH then gi gjhjh¡1 i € gjH which gives us a contradiction since by this process gi ‚ gjH. Because G is finite the process will eventually end and we get that H ‰g1H ‰. . . ‰gnH G which are all disjoint groups of cardinality |H| meaning that |G| pn  1q|H|. This completes our proof that |H| § § |G|. With this theorem we can prove the following important Corollary, which is used throughout this paper. Corollary 2.3.1.1 (An Important Relation). Over a finite field order q pk with p prime and a € Fqzt0u, aq¡1 1. The proof of this corollary is simple when we consider the multiplicative view of a finite field. Remark. The reader seeking more explanation on this multiplicative structure is directed to a short set of lecture notes by Ryan Vinroot [20]. Proof. Take an element β of our multiplicative group F¢ q Fqzt0u and use it to generate a subgroup xβy tβ, β2 , . . . u. By Lagrange this set will be finite, with some cardinality cβ. If cβ q ¡1 the theorem holds. If not then we have a subgroup and cβ divides q ¡ 1, meaning q ¡ 1 dcβ for some integer d. Since β generates a subgroup of cardinality cβ we have that βcβ 1 18
  • 22.
    and therefore βq¡1 βdcβ 1d 1 finishing the proof since β was any non-zero element of our field. Remark. More generally this result is that the order of any element of a finite group divides the cardinality of the group. This is because any element will generate a cyclic group with order dividing the group cardinality. Therefore by essentially the same ar- gument as above, raising the element to the power of the group order minus one gives 1G. By extending this logic one can prove both Euler’s Theorem and Fermat’s Little Theorem. This corollary is a powerful tool within finite fields as it allows us to reduce the degree of a polynomial without changing what it evaluates to. We use this relation to remove any powers larger than q ¡1 since we know this power gives the identity. With this process we can restrict the number, and degrees of, polynomials we need to consider in our work over finite fields. 2.3.1 The Reduced Polynomial Given any polynomial, by repeatedly using our corollary, we can form a reduced poly- nomial. This is a polynomial that evaluates in exactly the same way but has a degree in each variable of less than q. This means if the polynomial is in n variables then its total degree is bounded by npq ¡1q. Example 2.3.2 (Reducing a polynomial). To reduce a polynomial F, we find every power higher than pq ¡1q and rewrite it as a bpq ¡1q where a   pq ¡1q. We then apply our relation to these terms, x a bpq¡1q i xa i ¤x bpq¡1q i xa i ¤1b xa i . After this process the degree of the reduced polynomial in each variable will be less than pq ¡1q. degxi p˜Fq ¤ pq ¡1q While this changes our polynomial’s structure, it maintains its evaluation at every point meaning that for ˜F the reduced form of F, Fpxq¡ ˜Fpxq 0 dx € Fn q . Clearly by construction our reduced polynomial has degree not more than the original polynomial. We now seek to show that the map from all polynomials in Fqrx1, . . . xns to the reduced polynomials, via this method, is many-to-one. Lemma 2.3.3. Every polynomial maps to a single reduced polynomial. 19
  • 23.
    Remark. We provethis based on the work of Clark [14]. Proof. Begin by noting that the reduced polynomials are spanned by the monomials of the form xα1 1 . . . xαn n , αi € Fq of which there are qn. Therefore we can count the total number of such functions. To define a reduced polynomial means choosing a coefficient of Fq for each of the qn monomials. Therefore there are exactly qqn reduced polynomials. We now seek to show they all evaluate differently. We count the total number of differently evaluating functions f : Fn q Ñ Fq. Clearly we can send any of the qn points of our codomain to any of q values of our domain. Hence there are qqn differently evaluating functions of this form. Now for any function f (not necessarily a polynomial) we define a polynomial, Rf px1, . . . , xnq : ¸ y€Fn q fpyq n¹ i1 p1 ¡pxi ¡yiqq¡1 q This is a reduced polynomial in n variables which evaluates exactly to f. This means the reduced polynomials from Fn q to Fq evaluate in qqn different ways. Therefore, there are qqn different reduced polynomials, which collectively evaluate in all of the qqn different ways, hence a one-to-one relation. This means that for any function (and therefore polynomial) there is a unique reduced polynomial which evaluates identically to it. This idea of the reduced polynomial is important within finite field work and essential in the following proof of Warning’s first Theorem, based on the works of Pete Clark [14]. Note that by proving Warning’s first Theorem we also prove Chevalley’s Theorem. Proof of Warning’s first Theorem. Take the case as is our theorem. A set of polynomials S tf1, . . . , fmu € Fqrx1, . . . , xns with °r i1 deg pfiq d   n and q pk with p prime. We look to create an indicator function IZ which indicates whether a point of Fn q is in ZpSq: IZpxq 5 1, if x € ZpSq 0, if x ‚ ZpSq. We can write this function explicitly by using our relation from Corollary 2.3.1.1, Fpxq : m¹ i1 p1 ¡fipxqq¡1 q. This is an indicator since the product has a zero term for all x ‚ ZpSq and if x € ZpSq all fipxq are zero and we get 1. 20
  • 24.
    We now lookto create a reduced polynomial from Fpxq, which we know to be unique and of degree at most degpFpxqq. One way to write this reduced form is ˜Fpxq : ¸ y€Fn q F1pyq n¹ i1 p1 ¡pxi ¡yiqq¡1 q which does indeed evaluate identically to F. Since ˜F vanishes outside of ZpSq we ignore those terms and look at where it evaluates to 1, writing it as ˜Fpxq : ¸ s€Z 1 n¹ i1 p1 ¡pxi ¡siqq¡1 q. The trick here now is to look at the degrees of our functions. We see that degpFq dpq ¡1q   npq ¡1q. However within our reduced polynomial the coefficient of xq¡1 1 . . . xq¡1 n is p¡1qn |ZpSq|. Assume that this coefficient is not zero modulo p and so non zero. This gives us that degpFq dpq ¡1q   npq ¡1q ¤ degp˜Fq. Therefore we have a contradiction and p¡1qn |ZpSq| 0 pmod pq which gives our result that |ZpSq| 0 pmod pq. Remark. As mentioned this also proves Chevalley’s Theorem since p ¥ 2. 2.3.2 Uses of the Theorem The Chevalley-Warning Theorem is a powerful combinatoric tool which can be used to prove various results particularly within Additive combinatorics and the study of sumsets. It is a useful tool which we use to apply the Polynomial method. One of the most notable uses is the proof of the Erd¨os-Ginzburg-Ziv Theorem which we will introduce later. 21
  • 25.
    Chapter 3 Sumsets 3.1 IntroducingSumsets One of the major areas in which the Polynomial method has brought breakthroughs is within the study of Additive number theory. A relatively new area of study, lying within Combinatorial number theory, it is best described as the study of sums of sets of integers. A variety of interlinked problems in this area, some of which stood for over 30 years, have been solved by applying our method. Through both the Chevalley-Warning Theorem and the Combinatorial Nullstellensatz some results have been given new proofs and others proved for the first time. One of the most notable of these, is the Erd¨os- Heilbronn problem, which stood for over 30 years. However we will work our way up to this from basics and see some of the other works in this area. Throughout this chapter we will define a sumset as follows: Definition 3.1.1. Given subsets A and B of an additive group G, a sumset is A  B : ta  b |a € A, b € Bu. This definition easily extends to other group operations but in this chapter we focus on additive groups. Remark. A concise resource giving some insight into this chapter is a set of notes on the Polynomial method by Matt Devos [21], particularly chapter 9. 3.1.1 Spin to win - Forming simple sumsets Imagine you have a spinner, divided into 25 sections. Each section contains an outer number and an inner number, each between 1 and 5. After each spin you record the result to form a growing set of outer numbers, and also a set of inner numbers. How many spins does it take such that, by adding one value from each set, we can form any number pmod 5q? 22
  • 26.
    Figure 3.1: Aspinner with 25 sections, each containing two numbers between 1 and 5. Example 3.1.2 (Trial run). Imagine our first result is p1, 2q, where the first number is the outer number. Recording this we see our sumset consists of only 3 as we have only one choice from each set. We therefore continue to spin, generating a table of results. Spin to Win - Sample Game Spin # Result Outer set Inner set Sumset pmod 5q 1 p1, 2q t1u t2u t3u 2 p2, 4q t1, 2u t2, 4u t0, 1, 3, 4u 3 p1, 3q t1, 2u t2, 3, 4u t0, 1, 3, 4u 4 p5, 2q t1, 2, 5u t2, 3, 4u t0, 1, 2, 3, 4u We see that after 4 spins we have achieved a complete sumset of 5 elements and complete our trial run. This example highlights some interesting points about set addition. Firstly we see that adding an element to our subset does not necessarily increase the cardinality of our sumset, we see this in our example where we move from our second to our third spin. We also see that to complete our sumset required us to have 6 elements in our subsets and that 5 can be inadequate. It is these sort of points that our theorems address. One such theorem is the Cauchy-Davenport Theorem, this states that if the sumset does not have cardinality p 5, a complete set, then it has cardinality at least |O| |I|¡1. For our example this means if we have 6 elements between our two subsets we are guaranteed a complete sumset. This requires between 3 and 5 spins assuming we get distinct results (else the game could go indefinitely). Remark. This result generalises from 6 elements to p  1 elements for any prime p. 23
  • 27.
    3.2 Cauchy-Davenport Theorem Thetheorem was first proved in 1813 by Cauchy, however it was independently proven by Davenport over 100 years later in 1935. Since Davenport was unaware of Cauchy’s proof the name credits both for their contributions and it is arguably the origin of Additive number theory. Theorem 3.2.1. Given a cyclic group of prime order Zp, if A, B € Zp are non-empty then |A  B| ¥ mintp, |A| |B|¡1u. As we saw in our example this result allows us to comment on the size of sumsets. The theorem is a powerful tool and we will use it to prove a number of results, it was also used in the original proof of the Erd¨os-Ginzburg-Ziv Theorem, [22], a theorem we study in the next chapter. 3.2.1 Proving the Theorem The proofs of Cauchy and Davenport were different but both relied on induction on the size of the sets. Cauchy used a form of transform to arrive at his proof in 1813, [23], giving a new way to prove Lagrange’s four squares Theorem, on the other hand Davenport’s proof came from his work on residue classes, [24], and was seen as a discrete analogue to work on Schnirelmann density by Khintchine. Both of these approaches led to further results but it is perhaps Alon’s proof, [6], using the Combinatorial Nullstellensatz which is most easily generalised. With a few small modifications the following proof will give us a number of results concerning sumsets, and much more concisely than proofs by other methods. Remark. A good source for the reader seeking more information on the earlier proofs is an article by Adhikari, Chintamani, Geeta and Moriya, which summarises a number of the proofs as well as discussing some further works, [25]. Proof. Given a prime p and sets A, B € Zp, we first take the case where |A| |B| ¡ p. Take an element k € Zp, then note that k € A  B ðñ A ˆpk ¡Bq $ ∅. Since k ¡ B has equal cardinality to B we have that |A|   |k ¡B| ¡ p implying their intersection is non-empty. As this is true for all k we have that A  B Zp. This leaves the more difficult case where |A| |B| ¤ p. We assume, for contradiction, that |A  B| ¤ |A| |B|¡2. Take a subset C which contains A   B and has cardinality precisely |A|   |B| ¡ 2 and cleverly create our polynomial fpx1, x2q ¹ c€C px1  x2 ¡cq 24
  • 28.
    of degree |C|such that fpa, bq 0, d a € A, b € B. Set α1 |A| ¡ 1 and α2 |B| ¡ 1 such that deg pfq α1   α2, and set A S1, B S2. The coefficient of our element, xα1 1 xα2 2 is   |C| |A|¡1 ¨ which is non-zero since 0   |C|   p. With these conditions we apply the Combinatorial Nullstellensatz II to find an element such that fpa, bq $ 0 giving our contradiction and completing the proof. Using this style of proof, and this theorem, we will be able to show a number of similar results from this area of mathematics. Remark. The Cauchy-Davenport Theorem is a very important tool, particularly in Ad- ditive number theory. It is also even more important because it generalises to be true for all (not just abelian) finite groups. For more about the extensions into Group theory a short but useful resource is an article by Jeffrey Wheeler, [26]. 3.3 The Erd¨os-Heilbronn Problem Remark. The reader is again directed to Chapter 9 of the notes of Matt Devos for more on this area, [21]. Perhaps the most significant result in this area, relating to the Polynomial method, is the proof of the Erd¨os-Heilbronn problem (EHP). It is similar in many ways to the Cauchy-Davenport Theorem but with the restriction to the summation of distinct ele- ments. We therefore define the following notation: A –B : ta  b pmod pq|a € A, b € B and a $ bu –kA : tpa1  a2  . . .  akq pmod pq|ai € A, ai $ aj for all i $ ju with which we can state the problem. Theorem 3.3.1 (The Erd¨os-Heilbronn Problem). Take non-empty subsets A, B of Zp with p prime. Then |A –B| ¥ mintp, |A| |B|¡3u. First conjectured by Erd¨os in 1963 and discussed in his lecture courses and various later works of his, (for further details see [27], page 106). The conjecture suggests that if we exclude the summation of duplicate elements the bound of the Cauchy-Davenport Theorem changes only slightly. The problem stood for over 30 years until 1995. The first breakthrough came in 1994 through the work of Dias da Silva and Hamidoune. Theorem 3.3.2 (Dias da Silva, Hamidoune). Take a non-empty subset A of Zp with p prime. Then |–kA| ¥ mintp, k |A|¡k2  1u. By setting k 2 in this theorem the conjecture is proved for A B. Their proof of this used Linear algebra and Representation theory relating to the symmetric group. However only a year later, Alon, Nathanson and Ruzsa, using an early Combinatorial Nullstellensatz, produced an elegant proof of not only this theorem, but also the case of A $ B, [7]. 25
  • 29.
    Theorem 3.3.3 (Alon,Nathanson, Ruzsa). Take non-empty subsets A, B of Zp with p prime and |A| $ |B|. Then |A –B| ¥ mintp, |A| |B|¡2u. In 1996 they also generalised their work to other values of k proving the full result of Dias da Silva and Hamidoune. We will focus on their work to demonstrate the use of the Polynomial method in this area. Remark. We restrict ourselves to the setting of the EHP, with k 2, however their full works can be found in [7,28]. 3.3.1 Proving the EHP To prove the conjecture we will use our Polynomial method, as done by Alon, Nathanson and Ruzsa [7]. We first prove their result, and from this we derive our other results. Remark. This proof drawn from the original work, along with the notes of Matt Devos [21] to take full advantage of the modern Combinatorial Nullstellensatz. Proof of Theorem 3.3.3. We prove this by contradiction. Take non-empty subsets A, B of Zp of differing cardinalities, with |A –B|   mintp, |A| |B|¡2u such that |A| |B| is minimal, and set |A| α and |B| β. Without loss of generality, we will also assume that 1 ¤ β   α ¤ p. We now note that if α   β ¡ 2 ¡ p then we can take ˜A, a subset of A that has cardinality ˜α p ¡β  2 such that β   ˜α ¡2 p. We see that if the theorem holds for ˜A, B, it also holds for A and B as |A –B| ¡ § § ˜A –B § § mintp, ˜α  β ¡2u p. Hence to satisfy our minimality condition we must have α  β ¡2 ¤ p. We therefore take a set C  A–B such that, |C| α β¡3. From this we construct the following polynomial, which vanishes at all pa, bq where a € A, b € B fpx, yq px ¡yq ¹ c€C px  y ¡cq. Note that the coefficient of the term xα¡1yβ¡1 is ¢ α  β ¡3 α ¡2 ¡ ¢ α  β ¡3 α ¡1 pα ¡1qpα  β ¡3q! pα ¡1q!pβ ¡1q! % 0 pmod pq. The first binomial comes from choosing the x outside our product, and the second from choosing the p¡yq. We get that this is non-zero pmod pq due to the fact that p is prime 26
  • 30.
    and that allthe factors are non-zero and less than p (and since we are in a field there are no zero divisors other than zero). We can now apply our Combinatorial Nullstellensatz II. We have that degpfq α β ¡2 pα¡1q pβ ¡1q and the coefficient of xα¡1yβ¡1 is non-zero. Then by setting S1 A and S2 B and we find that there exists an element pa, bq € A ¢ B such that fpa, bq $ 0. This contradicts that C  A –B giving the result that |A –B| ¥ mintp, |A| |B|¡2u. From this theorem we can now easily prove the Dias da Silva, Hamidoune Theorem for the case k 2. Proof of Theorem 3.3.2. If A has only one element the result is trivial. If A has more than one element then define B Aztau for a some element of A. Then we have that |A –A| ¥ |A –B| ¥ mintp, |A| |B|¡2u mintp, 2 |A|¡3u. Remark. We can also begin to see that we could generalise the polynomial in our first result to prove the Dias da Silva, Hamidoune Theorem for all k. This and other exten- sions of these results, were explored in much more detail by Alon in 1999 when he had fully formed the Combinatorial Nullstellensatz, [6]. We now have all we need to prove the EHP. Proof of the Erd¨os-Heilbronn Problem. If A B the result holds by the Dias da Silva, Hamidoune Theorem so we assume A $ B. Then if |A| $ |B| the result immediately follows from the result of Alon, Nathanson and Ruzsa. We therefore assume that A $ B and |A| |B|. In this case we set ˜A Aztau for some a € A. Then we have that |A –B| ¥ § § ˜A –B § § ¥ mintp, § § ˜A § §  |B|¡2u mintp, |A| |B|¡3u completing the proof. This result is perhaps one of the most significant breakthroughs from the Polynomial method as it proved that a long standing problem, when approached with this method, could be proved within only a few pages. Remark. The tendency of the method to give powerful results with minimal work is significant and a recurring theme throughout this survey. 27
  • 31.
    Chapter 4 The Erd¨os-Ginzburg-ZivTheorem Remark. Throughout this chapter the reader is again directed to the works of Pete Clark, specifically in [14]. Another excellent source is the work compiled in 1993 by Alon and Dubiner, this was to celebrate the 80th birthday of Erd¨os [29]. Five different proofs of the the Erd¨os-Ginzburg-Ziv Theorem are discussed including the proof we use, which relies on the Chevalley-Warning Theorem. The Erd¨os-Ginzburg-Ziv Theorem, which I will now refer to as EGZ, is an interesting and useful tool used in Combinatorics. EGZ looks more closely at sums of sequences and in particular zero-sum subsequences. While here we focus on sums within Zn, the theorem does in fact extend in various ways such as to sums within other finite groups of fixed order. Many proofs for this theorem exist, however notably they tend to work by either direct or indirect application of the Polynomial method. In this section we apply it by using our previous result, the Chevalley-Warning Theorem. 4.1 Understanding Zero-sum Sequences Throughout this chapter we use the following definitions. Definition 4.1.1. A zero-sum sequence modulo n is a sequence S ts1, . . . , sku, such that ¸ i€I si 0 pmod nq Definition 4.1.2. Given a sequence S ts1, . . . , sku we define a zero-sum subse- quence modulo n to be a subsequence ˜S € S such that ¸ s€˜S s 0 pmod nq. To give some background to these definitions and show how we arrive at theorems such as EGZ, we consider the following dice game. 28
  • 32.
    4.1.1 Just SumDice Game Imagine you are playing a dice game. The game is played using 3 standard dice each numbered from 1 to 6. Dice rolls are scored by summing the values and taking off 3 to give a number from 0 to 15. The first roll determines the target number, which I refer to as T. After this the dice are repeatedly rolled and the result written down each time. The aim of the game is to find a subset of the numbers rolled that sums to a multiple of your target number. The first player to do so wins. Example 4.1.3 (Playing the game). The first dice roll is a 9, therefore the target is set at T 6. Ñ T 6Target roll: Rolls then continue until a subset summing to a multiple of 6 is found: Ñ 4Roll 1: Ñ 9Roll 2: Ñ 8Roll 3: After three rolls it is spotted that 4  8 12 2 ¢6 ending the game. While this game seems quite simple it does have deeper mathematical meaning and raises some interesting questions. For example can the game always be won? And how many rolls must be performed to guarantee a winning solution exists? Studying these questions leads onto some interesting theorems about subsequences and particularly our zero-sum subsequences. To study this game mathematically we will generalise it by assuming we play with not just 3 but D, some large integer number of dice. We set the scores accordingly between 0 and M 5D, using this we pose the following lemma. Lemma 4.1.4. For target value T a solution always exists after T (or fewer) rolls. Furthermore pT ¡1q rolls may be insufficient. Proof. We start by proving the second statement. For small T this is clear as if T 1 we clearly require one roll, for T 2 we require two rolls if the first is odd. Furthermore if we simply roll 1 on pT ¡1q occasions they can’t sum to a multiple of T. 29
  • 33.
    We now moveto prove that T rolls are always sufficient. We here define Sk as the sum of the values of our first k rolls modulo T, that is Sk k¸ i1 ri k € t1 . . . Tu pmod Tq where ri is the value of our ith roll. After T rolls we have T such Sk with T possible values, implying by the pigeonhole principle that either we have some l such that Sl 0 pmod Tq giving us our solution, or some values m and n such that Sm Sn pmod Tq, m $ n. In this case we have that (assuming m   n upto relabelling) 0 Sn ¡Sm rm 1  . . .  rn pmod Tq which is a solution. 4.1.2 Implications Through this proof we actually not only show that a solution exists, but also a solution made from consecutive rolls. However this isn’t necessarily the best solution in terms of the game. In Example 4.1.3 from the scores 4, 9, 8 we could construct a zero-sum subsequence pmod 6q but a consecutively rolled solution hadn’t appeared yet. Formal- izing this we see we have proved the following theorem. Theorem 4.1.5. Given a set of integers S ta1, . . . , anu , there exists a zero-sum subsequence. That is that there exists I € t1, . . . , nu non-empty, such that ¸ i€I ai 0 pmod nq. Remark. We can also consider the game where we do not allow repeated rolls. In this case we cannot take a sequence of 1s to show T ¡ 1 rolls can be inadequate. With this restriction the condition is weakened such that only when M ¥ pT ¡2qT  1 pT ¡1q2 is satisfied can T ¡ 1 rolls be insufficient. When this condition is met we can roll the distinct values 1, T  1, 2T  1, . . . , pT ¡2qT  1 which yields no solution as all these values are 1 when considered pmod Tq and hence we require T rolls. 30
  • 34.
    We now considera final variation of our game by playing our original game with the added restriction that we must sum exactly T values in our solution. Again we can ask if the game is winnable? And at most how many rolls are required? From our original game we know at least T rolls are required. In fact, we can show we require at least 2T ¡1 rolls. Proof. Assume we have 2T ¡2 rolls in which we have T ¡1 instances of 0 pmod Tq and T ¡ 1 instances of 1 pmod Tq. In this case selecting any T values gives us a number between 1 and pT ¡1q ¡1 pmod Tq. Therefore at least 2T ¡1 rolls are required for a guaranteed result. In fact by the Erd¨os-Ginzburg-Ziv Theorem, this is a strict lower limit on the number of rolls required. 4.2 The Erd¨os-Ginzburg-Ziv Theorem The theorem was first proved in 1961 by the trio of mathematicians by using the Cauchy- Davenport Theorem, our previous result concerning sumsets [22]. A later proof was shown using the Chevalley-Warning Theorem [29]. These early proofs would not neces- sarily be considered an application of the Polynomial method, however through Alon’s work in the 90’s both these theorems have been given new, Polynomial method based proofs [6]. As such they are now considered tools for applying our Polynomial method. We will focus on the Chevalley-Warning Theorem as this more readily allows for ex- tensions of this area further into Group theory, and is a more direct application of our method. Theorem 4.2.1 (The Erd¨os-Ginzburg-Ziv Theorem). Let J be a sequence of elements from Zn of length 2n ¡1. Then there exists I € J such that |I| n and ¸ a€I a 0 pmod nq In other words there exists a zero-sum subsequence pmod nq of length n. Applying EGZ to our restricted game, with n T, gives that there must exist a zero-sum subsequence pmod Tq of length T, after 2T ¡1 rolls. To show this is the case however we must prove the theorem. 4.2.1 Proving EGZ We will prove this in two stages, first proving that EGZ holds for primes, and secondly that if the theorem holds for two numbers then it also holds for their product (as seen in [2], [14]). 31
  • 35.
    Remark. Note thatthe reason this work features in our study of finite fields is that for p a prime Zp ! Fp. This allows us to apply the finite field forms of our Polynomial method such as the Chevalley-Warning Theorem. For more explanation of the congruence see [20]. Lemma 4.2.2. EGZ holds for n p where p € Z is prime. Proof. Firstly we take a prime number p € Z and a sequence J tr1, . . . , r2p¡1u. We then consider two different polynomials over the field Fprx1, . . . , x2p¡1s, P1px1, . . . , x2p¡1q 2p¡1¸ i1 rixp¡1 i , P2px1, . . . , x2p¡1q 2p¡1¸ i1 xp¡1 i . Note that P1p0, . . . , 0q P2p0, . . . , 0q 0 and that deg pP1q deg pP2q 2p ¡2   2p ¡1 Therefore by Chevalley-Warning Theorem there exists a non-zero s ps1, . . . , s2p¡1q € F2p¡1 p such that 2p¡1¸ i1 risp¡1 i 0, 2p¡1¸ i1 sp¡1 i 0. By Corollary 2.3.1.1 we know that sp¡1 i 1 for all si % 0 and 0 if si 0. Therefore we need only consider the values in the set I where I tri € J with i such that si % 0u. This gives us the following equations ¸ ri€I ri 0 pmod pq, ¸ ri€I 1 0 pmod pq. The second equation is simply the cardinality of I pmod pq and since 0 ¤ |I| ¤ 2p¡1 we have that |I| p. Therefore I is a zero-sum subsequence of J of length p, completing the proof of our first lemma. We now generalise this statement to all integers by showing the property is main- tained under multiplication. Lemma 4.2.3. If EGZ holds for integers p and q, then it holds for n pq. 32
  • 36.
    Proof. We dothis proof by induction. We assume the theorem holds for p and q. Then take cp ¡ 1 integers for some c ¥ 2, tr1, . . . , rcp¡1u. Now for c 2 we have the case above and there exists a set which we will label I1 of size p satisfying the following (with j 1), ¸ i€Ij ri 0 pmod pq. (4.1) Now for c 3 we will have 3p ¡ 1 integers. We can treat this as the case where c 2 with an additional p integers added. As such we choose any 2p ¡ 1 of them and find a set as before I1. Doing so, since I1 has cardinality p, we are left with 2p¡1 integers. We can therefore form a second set I2 which also satisfies the equation above, with j 2. Additionally I1 and I2 will be disjoint simply by construction, as all elements of I1 were removed before we formed the second subset. By the same principle, using induction on c, we see that we can in fact always construct c ¡1 pairwise disjoint subsets I1, . . . Ic¡1 satisfying Equation 4.1, each of cardinality p. In the case of this Lemma we are looking at a set of 2pq ¡1 integers, so we set c 2q as in the above. Therefore there exist 2q ¡1 pairwise disjoint subsets, Ij, each of size p and satisfying Equation 4.1. For each of these sets we define sj ¸ i€Ij ri, rsj sj p , dj € t1, . . . , 2q ¡1u. There are 2q ¡ 1 such rsj. Since the theorem holds for q and we can find a zero-sum subsequence K of size q such that, ¸ rsk€K rsk 0 pmod qq Finally we set I — k€K Ik, such that |I| pq n. We then see that ¸ i€I ri ¸ k€K ¸ i€Ik ri ¸ k€K sk ¸ k€K prsk p ¸ k€K rsk 0 pmod pqq. We have therefore found a set I of cardinality n pq such that it is a zero-sum subsequence pmod nq. This proves that EGZ holds for n pq if it holds for p and q. We have now shown that EGZ holds for all primes and for all products of numbers that it holds for. By a simple argument we can now show that EGZ holds for all of Z by using induction on the number of primes in the decomposition of n € Z. 33
  • 37.
    Proof. We beginour induction by noting that EGZ holds for compound numbers made from two primes n p1p2 by Lemma 4.2.3 and can therefore start our induction. Assume that n p1...pm with all the pi prime numbers (they need not be distinct) and that EGZ holds for compound numbers formed from m ¡1 primes. Therefore EGZ holds for q p1...pm¡1 by our assumption, and for p pm by Lemma 4.2.2 since pm is prime. As such it holds for their product completing the induction. 4.3 Further Applications EGZ Theorem is an interesting statement about modular mathematics, which logically seems very reasonable, however we can look to extend EGZ further into Group theory. Rather than only using the cyclic groups, Zn, we can extend it to, for example, other finite abelian groups. One extension is to find the minimum sequence length to guarantee a zero-sum subsequence pmod nq of length n, in Zn –Zn. 4.3.1 Zn `Zn and beyond The case of Zn –Zn is actually a very recently resolved one. The following conjecture of Kemnitz [30], which is the strict extension of EGZ to these groups was recently proved by Christian Reiher in 2004, [31]. Conjecture 4.3.1 (Kemnitz’ conjecture). Let J be a sequence of elements from Zn–Zn, J tpa1, b1q, . . . , pa4n¡3, b4n¡3qu. Then there exists I € J such that |I| n and ¸ ai€I ai 0 pmod nq ¸ bi€I bi 0 pmod nq. In other words there exists a zero-sum subsequence in Zn –Zn of length n. It is quite clear this is a sensible extension of EGZ. To bound this from below we take pn ¡ 1q of each of the following, p0, 0q, p1, 0q, p0, 1q, and p1, 1q, giving us a set of 4n¡4 elements which has no zero-sum subsequence of length n. However bounding from above is a much more complicated work, though it once again uses our combinatorial tools including the Chevalley-Warning Theorem, [31]. While this theorem was a significant step forwards little is known about the exact bounds of the higher dimensional forms such as Zn –Zn –Zn and beyond. As we go into these higher dimensions, we end up more geometrically analysing these sets as lattice structures. This underlying lattice structure crops up in a number of areas of study in which the Polynomial method is applied. With more study being done in the area, and the intricacies of these combinatorial tools still yet to be fully understood, it is possible we will see more breakthroughs in this area coming from our Polynomial method. 34
  • 38.
    Chapter 5 Polynomial Testing Aninteresting direction for this work is to consider adding a probabilistic element to our considerations. We can in fact use some of the results and theorems in this area to carry out Polynomial identity testing. Given two polynomials f1 and f2 over a field Frx1, . . . , xns, we ask whether f1ptq f2ptq? We reduce this question to asking whether fptq f1ptq¡f2ptq 0. We can test this by simply trying values of t. Should we find a non-zero value of fptq clearly it is non-zero, if it is zero we have found a root. If can bound the probability of finding a root then we can say with some certainty whether it is identically zero. One powerful tool we can derive for doing this is the DeMillo-Lipton-Schwartz-Zippel Lemma. This Polynomial testing has applications in various areas but most notably in Coding theory. 5.1 The DeMillo-Lipton-Schwartz-Zippel Lemma This lemma has an interesting history coming out of the work of four mathematicians. In fact the strong result, which is what we will be using, can reasonably be called the Schwartz Lemma as of the four mathematicians he was the only one to find this form of the result. Therefore to distinguish it I will refer to this as the Schwartz Lemma, after the late Jack Schwartz, though the work of the other 3 mathematicians also played a role in bringing us this result (see Ray Lipton’s writings on these events, [32]). We begin with the following form of the statement. Lemma 5.1.1 (The DeMillo-Lipton-Schwartz-Zippel Lemma). Take a non-zero polyno- mial fpx1, . . . , xnq of degree d over a field Frx1, . . . , xns. Then for any S € F such that |S| ¥ d, |ZpfqˆSn | ¤ d|S|n¡1 . There can be at most d|S|n¡1 roots of f in Sn. 35
  • 39.
    This lemma isa useful extension of Theorem 1.1.2 hence we apply it in Polynomial method proofs. In fact we use this to prove Dvir’s result on the Finite field Kakeya conjecture in the next chapter. We can also reformulate this lemma to add a probabilistic consideration. We do this by noting that the statement implies that at most d|S|n¡1 elements in Sn are roots. Therefore if we randomly select an element from Sn we say the following. Lemma 5.1.2 (Schwartz Lemma). Take a non-zero polynomial fpx1, . . . , xnq of degree d over a field Frx1, . . . , xns and a subset S € F such that |S| ¥ d. Then Prrfps1, . . . , snq 0s ¤ d |S| where the si are randomly selected elements from S. These lemmas concern the same sort of ideas as our Combinatorial Nullstellensatz but with S S1 . . . Sn all of size greater than d. As such, the Combinatorial Nullstellensatz is in many ways a refinement, however for our Polynomial testing this form is more useful. We prove these lemmas using only our basic Polynomial method, note that we need only prove the first statement as the second is a simple reformulation. Like a number of proofs in this subject we will use induction on the number of variables (as seen in [2]). Proof. Set f to be a non-zero polynomial of degree d. With n 1 we can apply our Fundamental Theorem of Algebra 1.1.1 to say there are at most d distinct roots and therefore at most d elements of S are roots. The theorem therefore holds and we can use induction with the assumption that the theorem holds for pn ¡1q variables, with n ¥ 2. We now write f based on the powers of xn such that f f0  xnf1  . . .  xk nfk where the fi are polynomials in the first pn ¡1q variables and fk is non-zero. We bound the number of zeroes in Sn by splitting the cases based on whether fkps1, . . . sn¡1q 0. I. fkps1, . . . sn¡1q 0: Since f is not identically zero and has degree d we see that fk has degree at most d ¡ k (as it is is also non-zero). Therefore, since it is a polynomial in n ¡1 variables, by our induction hypothesis it vanishes on at most pd ¡kq|S|n¡2 points. We then have |S| choices for xn and can therefore say there are at most pd ¡kq|S|n¡1 roots of f in Sn where fkps1, . . . , sn¡1q also vanishes. II. fkps1, . . . sn¡1q $ 0: In this case we fix our first n ¡1 variables and consider f as a function in only xn of degree k. This is not identically zero since the coefficient of xk n is non-zero. This is our one dimensional case so there can be at most k roots. Since we can choose each of our first pn ¡ 1q variables from S there are at most k|S|n¡1 roots of f in Sn where fkps1, . . . sn¡1q does not vanish. 36
  • 40.
    Combining these twocases we have that there are at most pd ¡kq|S|n¡1  k|S|n¡1 d|S|n¡1 roots of f in Sn. Remark. To additionally prove our Schwartz Lemma we simply note that this implies that, as a proportion, at most d|S|n¡1 |S|n d |S| elements of Sn are roots. 5.1.1 Applications As mentioned before we can use this Schwartz Lemma to perform Polynomial testing, checking if two polynomials evaluate identically. Again we use f1 and f2 over a field Frx1, . . . , xns and check whether f1ptq f2ptq by analysing fptq f1ptq¡f2ptq. By our lemma, if r1, . . . , rm are randomly generated elements of Sn with |S| ¥ d then Prrfpriq 0 |i € t1, . . . , nus ¤ ¢ d |S| m . The advantage of this method is that we never need to explicitly write the polynomial. As such this method can often be done rapidly by computers to efficiently determine, to a high probability, whether the polynomial is identically zero. We can see the method in action by considering the following. Example 5.1.3. Assume we are working in Fp with p a large prime. Then take poly- nomials f1 and f2 each of degree n where n ¤ cp in Fprx1, . . . , xns, and set S Fp. We then test to see if f f1 ¡f2, which will also have degree at most cp, is identically zero. Assume our random element is r, then by our lemma if f1 % f2 Prrf1prq f2prqs ¤ n p ¤ 1 cp . Therefore if there is a difference the likelihood of it going undetected is less than 1cp . If we repeat the test 2m times then the probability of an incorrect identification is at most p¡m, which tends to 0 very quickly as m increases. We can use this for error detection by using the data string as the coefficients of a polynomial in n variables, and evaluating at a predetermined point. Comparing the results determines with some certainty whether an error has occurred. Repeating the process with a new random value will make the result even more certain. This example shows the benefit of a large alphabet of codewords, large p, and the downside to longer data strings, large n. Achieving a balance between these values is a problem within Coding theory, a problem which the Polynomial method helps resolve. 37
  • 41.
    Chapter 6 Kakeya When discussingthe Polynomial method there are a few key figures associated with it’s prominence. One of these is most definitely Zeev Dvir for his breakthrough work on the Finite field Kakeya conjecture, [1]. His solution to this problem highlighted the power of this method to solve complex, and long standing problems, in short concise ways. His solution to the problem was announced in 2008, but to approach the problem we need to go back over 90 years. 6.1 The Kakeya needle problem In 1917 S¯oichi Kakeya first posed this problem, which asked what the minimum area of a region R on the Euclidean plane can be, if a unit length needle may be rotated continuosly within it such that it returns to its original position with opposite orientation, [33]. The most obvious solution is a circle of unit diameter and area π{4. A slightly better solution is an equilateral traingle of height 1 and area 1{ c 3, this triangle is in fact the optimal solution for convex sets as was shown by P´al in 1921 (discussed in [34], though originally proved (in German) in [35]). However if we do not restrict ourselves to convex shapes then this is still not minimal, as for example the deltoid of area π{8 is also a Kakeya needle set. Figure 6.1: The circle radius 1 2, the equilateral triangle of height 1, and the deltoid of area π 8 are all Kakeya sets in R2. 38
  • 42.
    The answer wasactually a corollary to the work already done by Besicovitch in 1919 along with that of P´al. However due to the isolation of Russia from the western world this would not be discovered until 1928. Besicovitch was actually working on Riemann integration in the plane, which led him to seek to develop compact shapes with a line in every direction but of Lebesgue measure (area) 0. From his work we can derive the following construction known as a Perron tree after the mathematician Oskar Perron. The idea is to divide the equilateral triangle into 2n equal parts. Then by overlaying these we can achieve a set, still with a line in every direction, but with much lower area. In fact by taking a large enough n we may form a tree of arbitrarily small area. Figure 6.2: The construction of a Perron Tree using four parts By carefully combining and overlaying these Besicovitch sets we can arrive at Kakeya needle sets of arbitrarily small area. While this solves the problem in the plane, we can easily extend these ideas to higher dimensions. This brings us to the following open conjecture, [2]. Conjecture 6.1.1 (The Kakeya Conjecture). A Kakeya set in Rn must have Hausdorff dimension at least n, where a Kakeya set in Rn is defined to be a set with a line in every direction. This is still an open problem with nothing more than partial result for any n ¡ 2. Because of the difficulties with solving this problem in 1999 Wolff proposed a finite field analogue to the problem, a problem which would come to the attention of Zeev Dvir, [36]. Remark. For more info on some of the partial results and other open problems around this conjecture the reader is directed to the writings of Markus Furtner in [34] and the original article by Wolff, [36]. 6.2 The Finite Field Analogue In 1999 in an article looking at recent developments concerning the Kakeya Conjecture, Wolff posed the problem over a finite field, an analogue which was almost completely unstudied at the time. The analogue, as originally stated, [36], is as follows. 39
  • 43.
    Definition 6.2.1. AKakeya set K, is a subset of Fn q containing a line in every direc- tion. Alternatively dm € Fn q zt0uhc € K such that c  mx € K dx € Fq. This is much like our real case however there only exist a finite number of lines. We also note that clearly such a set does exist since Fn q must contain all possible lines, hence it is a reasonable analogue. With this definition Wolff posed the following conjecture. Conjecture 6.2.2 (The Finite field Kakeya conjecture). Every Kakeya set has cardi- nality at least Cnqn, where Cn is only dependent on n. That is |K| ¥ Cnqn . This conjecture prompted a lot of work in the area which pushed forward our un- derstanding of the links betweens sums and products in finite fields, [37]. Ultimately through the work of Dvir, prompted by Alon and Tao, a very straight forward Polyno- mial method proof of the conjecture was constructed, cementing Dvir’s name alongside the method. Theorem 6.2.3 (Dvir, [1]). Every Kakeya set has cardinality at least Cnqn, where Cn is only dependent on n. More precisely |K| ¥ ¢ q  n ¡1 n ¥ qn n! . Before we prove this conjecture we will consider F2 5 as a proof of concept. Example 6.2.4 (Kakeya sets in F2 5). The space of Fn q can be thought of the integer points of an n-dimensional hypercube with side length q. This can be a helpful way of considering it when in lower dimensions. For example F2 5 my be viewed as a 5¢5 integer grid on the plane. We can use this view to construct our Kakeya set. Figure 6.3: Calculating a Kakeya set in F2 5 40
  • 44.
    To be aKakeya set means it contains a line in every direction, in this case there are 6 lines to consider. Because of this any union of 6 such lines is a Kakeya set. Achieving the minimum set size is equivalent to maximising the number of intersections. By simple trial and improvement we can achieve this minimisation of our set cardinality. After some testing we see that 17 is minimal in F2 5, as seen in Figure 6.3. However this brute force method is very inefficient so we require a more general statement such as Dvir’s. Dvir’s bound for F2 5 gives a minimum cardinality of 15, however our example shows that the Kakeya set actually contains at least 17 points. This suggests the constant is good but not optimal. The important point however, is that the constant is not q dependent. 6.2.1 The Proof of the Finite field Kakeya conjecture Remark. This proof is adapted from the work of Dvir and Tao who were in close com- munication working to solve the problem and each presented Dvir’s work separately, see [1,38]. However another good resource which discusses this proof, following the same method, is Extremal Combinatorics by Jukna, see [2]. This relatively short proof once again highlights how powerful and concise our Poly- nomial method can be. To prove the conjecture we first establish a few small lemmas concerning fields which we use both now and in later chapters. Lemma 6.2.5. Given a field F, a polynomial f € Frx1, . . . , xns of degree d contains at most  n d n ¨ distinct monomials. Remark. This proof relies on using using ‘stars and bars’ notation. For more info on this, particularly in the case of proving Lemma 6.2.5 see this online article by Brendan Murphy, [39]. Proof. A monomial m of f has the form m ¸ 0¤i1 ... in¤d xi1 1 xi2 2 . . . xin n , where i1, . . . , in are all non-negative integers, and degpmq i1  i2  . . .  in. We can treat this problem as placing balls in boxes (an extension of the pigeon hole principle) by using ‘stars and bars’ notation. We use to represent a ball, and | to represent the division between boxes. With this notation a monomial of degree k requires us to place n  1 lines and k balls within them. For example, with this notation x2 1x2 € F3 Ø ||||. There are two balls in the x1 box, one in the x2 box and none in the x3 box. Since the first and last symbol must be lines we are in fact choosing k symbols from k n¡1 to be 41
  • 45.
    stars giving  n k¡1 k ¨ options. Tocalculate the number of monomials of degree at most d we add an extra box for the ‘unused’ stars, and count the monomials of degree exactly d (this is equivalent to homogenising the polynomial by adding an extra variable). We therefore have n  1 variables giving our result, that there are precisely ¢ n  d d ¢ n  d n monomials of degree less than or equal to d. With this simple combinatorial fact we can prove the following lemma. Lemma 6.2.6. Take a subset S of Fn where F is some field. If |S|    n d n ¨ , for some positive integer d, then there exists a non-zero polynomial f € Frx1, . . . , xns, vanishing on S with degree at most d. Remark. While we include this in the finite field section of our work there is no need for F to be finite. As such we use this result with F R in Chapter 8. Note that by setting n 1 we see this lemma is precisely Theorem 1.1.2 as  1 d 1 ¨ d   1 so |S| ¤ d. We therefore consider this as a higher dimensional form of our basic Polynomial method, extending Theorem 1.1.2 to Fn. Proof. By Lemma 6.2.5 such a polynomial f, can have at most r  n d n ¨ distinct monomials to which we will give coefficients c1, . . . , cr. Therefore to have f vanish on the whole of S we have to resolve |S| equations in r variables. Since |S|   r a non-trivial solution exists corresponding to the coefficients of f such that it vanishes on S. Lemma 6.2.7. If a polynomial f € Fqrx1, . . . , xns of degree at most q ¡1 vanishes on a Kakeya set K, then it is identically zero. We will prove this by breaking down our non-zero polynomial f, into homogeneous components. Then by applying our methods, including Lemma 5.1.1 from the last chapter, we derive a contradiction giving us that f 0. Proof. Assume that f € Fqrx1, . . . , xns is both non-zero and vanishes on a Kakeya set K. We write f as a sum of homogeneous components, f id¸ i0 fi f0  f1  . . .  fd where degpfq d ¤ q ¡1 with fd $ 0. We then take some fixed non-zero point b € Fn q . Since K is a Kakeya set it contains a line in all directions so there exists a point a € Fn q such that ta  b ¤t |t € Fqu € K and therefore fpa  b ¤tq 0 dt € Fq. 42
  • 46.
    Since a andb are fixed the left hand side of this equation is a polynomial of degree at most q ¡ 1 in a single variable, t € Fq. However it has q ¡ q ¡ 1 roots meaning by Theorem 1.1.1 it is identically zero, and hence all of the coefficients are zero. However the coefficient of td is simply fdpbq, which therefore must be zero. However our choice of b was arbitrary meaning that fd vanishes on all points of Fn q (note that though we do not include b 0 in K the statement clearly still holds in this case since K is non- empty). We can now apply our DeMillo-Lipton-Schwartz-Zippel Lemma 5.1.1 from the last chapter, to bound the number of roots that fd may have. Set S Fq, then since fd has degree d   pq ¡1q we get that dqn¡1 ¤ pq ¡1qqn¡1   qn § §Fn q § § . Therefore fd 0 which is a contradiction giving us that f 0. We now have all we need to finish Dvir’s proof of the Finite field Kakeya conjecture, Theorem 6.2.3. Proof of Theorem 6.2.3. We assume for contradiction that |K|   ¢ q  n ¡1 n . Then by Lemma 6.2.6 there exists a non-zero polynomial f of degree at most q¡1 which vanishes on our Kakeya set K. However this contradicts Lemma 6.2.7 completing the proof. Hence since ¢ q  n ¡1 n ¥ qn n! the Finite field Kakeya conjecture is proven with Cn 1 n! . This proof of this theorem inspired people to look further at the applications of the Polynomial method and gave it the credibility and reputation that it has today. Larry Guth and Nets Hawk Katz are two mathematicians who were particularly inspired by Dvir. They would go on to do significant work on the Joints problem which led onto a much improved bound for the Erd¨os distinct distances problem. As stated in their own work on the topic Both our proofs are adaptations of Dvir’s argument for the Finite field Kakeya problem. (L. Guth, N. Katz, [40]) Interestingly their work, while related, is not within finite fields but Euclidean space. We therefore shift our focus to reflect this, coming to the Joints problem in Chapter 8. 43
  • 47.
  • 48.
    Chapter 7 Distances We nowlook to consider some more of the applications of this method outside of finite fields. Notably in this section we consider some problems within Euclidean space. It is here that we begin to see more of our links to Algebraic geometry and later, can make use of tools such as Bezout’s Theorem 1.5.2. 7.1 The s-Distances Problem The s-Distances Problem is a problem within Discrete geometry. To approach the prob- lem we begin by defining the following. Definition 7.1.1. Given a discrete set of points S € Rn, we define the Set of distances of S as DpSq t x ¡y |x, y € S, x $ yu where ¤ is the standard Euclidean norm on Rn. That is v ˜ v2 1  . . . v2 n for any v pv1, . . . , vnq € Rn With this notation we can ask the following, what is the maximum cardinality of the discrete set S € Rn such that |DpSq| s? We denote this value Pspnq as it is a function of both the number of distances, s, and the number of dimensions, n. 7.1.1 The Two Distance Problem Remark. For an accessible introduction to this problem the reader is directed to a short chapter on the subject by the late Jiˇr´ı Matouˇsek, [41]. First we note that clearly Pspnq ¤ Ps 1pnq since s   s   1. We can therefore get a lower bound for P2pnq using P1pnq. This is simply n  1 points arranged as the vertices of an n-simplex. Before attempting to calculate P2pnq for general n we will consider some simple cases. For n 1 we see that P2p1q 3, and for n 2, by considering geometric constructions with circles, we can derive that P2p2q 5. However for n ¡ 2 45
  • 49.
    Figure 7.1: Theoptimal arrangements for some small values of s and n. using such constructions would involve spheres and is much more difficult. We therefore seek to find a general way of perhaps bounding, rather than directly solving, our result. We can use our Polynomial method to do this. 7.2 Bounding Pspnq We can in fact bound the solution size quite effectively both from above and below. We begin by stating the following result first proved by Aart Blokhuis, [42]. Theorem 7.2.1 (Blokhuis). Pspnq ¤ ¢ n  s s . This theorem, gives us that the bound is of order ns (or nn if s ¡ n). However to determine the sharpness of this bound requires either a complete solution or a close lower bound. We can in fact easily get a very close lower bound. Theorem 7.2.2. If s ¤ pn  1q{2 then Pspnq ¥ ¢ n  1 s . Remark. This simple proof expands upon the work of Matouˇsek in [41]. Since the proof we use only holds for s ¤ pn 1q{2, then where it is true the bound has order strictly ns. Proof. Take ej p0, . . . , 0, 1, 0, . . . , 0q € Rn, the zero vector with a single 1 in the jth column. Then set S t s¸ i1 epjiq |1 ¤ j1   j2 . . .   js ¤ nu 46
  • 50.
    the set ofsums of any s of these vectors. This is an s-distance set of cardinality  n s ¨ . However we can embed S into Rn¡1 since S lies within the hyperplane °n k1 xk s. Since the cardinality is unchanged we achieve our result that Pspnq ¥  n 1 s ¨ . We therefore have a close lower bound when s ¤ pn  1q{2. We will prove the upper bound for s 2 however the proof for general s uses much the same method but with more complex linear algebra. In fact Blokhuis extended this result not just to s-distance sets in Euclidean space but also in Hyperbolic space, as well as various other results. The interested reader can find all of these in his book, [43]. To prove the theorem we will use a slightly modernised version of the original proof attaining various weaker results enroute, (see both [41] and [42]). Theorem 7.2.3. P2pnq ¤ ¢ n  2 2 . Remark. The original proof of this was released in 1984, long before the Polynomial method was fully categorised, however this slightly modernised proof applies our tools in a different way and as such it is fitting to feature it in a study of the Polynomial method. Proof. Suppose we have a maximal two distance set S tp1, . . . , pku € Rn such that |S| k and pi ¡pj € td1, d2u for all i $ j. Now for each i we cleverly define the following polynomial over Rrx1, . . . , xns, fipxq : 1 d2 1d2 2 ¡ x ¡pi 2 ¡d2 1 © ¡ x ¡pi 2 ¡d2 2 © . We consider these functions as vectors within the space of real-valued functions from Rn Ñ R. Notice that fippjq 0 for all i $ j and 1 for i j. Due to this we see that the fi are all linearly independent as follows. We assume we can find non-zero coefficients such that 0 λ1f1pxq . . .  λkfkpxq. If this is the case then it is true for all of Rn which includes pi for any i, λ1f1ppiq . . .  λkfkppiq 0 ùñ 0  . . .  λi  . . .  0 0 ùñ λi 0. Therefore λi 0 for all i, giving a contradiction implying the fi are linearly independent over our vector space. This means we have k linearly independent vectors which therefore span a linear subspace, V , of dimension k. Therefore if we can bound the dimension of V we can bound the cardinality of S. To do this we need to find a set of functions, a basis, which generates V . 47
  • 51.
    Remark. This isin fact an alternative form of our Polynomial method. Rather than using degree we can consider the dimension property. This form of our method is used more in Euclidean space where we tend to discuss objects more in the language of vector spaces (though this does apply over finite fields as well). We use the fact that a vector space of dimension k is spanned by exactly k linearly independent functions. This sort of restriction on the complexity of a set of functions is what leads our method into Algebraic geometry and links it to results such as B´ezout’s Theorem 1.5.2. The simplest set is to use all monomials of degree at most 4 of which there are  n 4 4 ¨ . However this has quartic order so we seek a much more effective count, we therefore expand the fi. To do this we note that p x ¡q 2 ¡d2 ¦q px1 ¡q1q2  . . . pxn ¡qnq2 ¡d2 ¦ x2 1 ¡2q1x1  q2 1  . . . x2 n ¡2qnxn  q2 n ¡d2 ¦ x 2 ¡2 n¸ i1 qixi   n¸ i1 q2 i ¡d2 ¦. We see that this is spanned by the terms x 2 , xi, 1 and therefore the fi are all linear combinations of the following terms (i $ j), x 4 , xi x 2 , x2 i , xixj, xi, 1. Remark. Note that the x4 i terms can only appear within x 4 however all of the x2 i terms appear independently. As such, since x 2 falls within their span, we do not count this separately. Counting the number of terms we see there are 1   n   n   npn ¡ 1q{2   n   1 pn 1qpn 4q{2 linearly independent terms. This gives us a much better bound as proved by Larman Rogers and Seidel, [44], that P2pnq k dim V ¤ 1 2 pn  1qpn  4q however we can still improve this slightly (proceeding as in [42]). We do this by showing that the fi, xi and 1 are all linearly independent. We assume we can find non-zero coefficients such that k¸ i1 λifipxq  n¸ j1 γjxj  α 0. (7.1) We first evaluate Equation 7.1 at Cej p0, . . . , C, . . . 0q, by using our previous expansion (with pi ppi1 , . . . , pin q), 1 d2 1d2 2 k¸ i1 λipC2 ¡2Cpij   pi 2 ¡d2 1qpC2 ¡2Cpij   pi 2 ¡d2 2q Cγj  α 0. 48
  • 52.
    Since this isidentically zero for all C we can view it as a function of C in which all the coefficients must be zero. Notably the coefficients of C4 and C3 are equal to zero which gives us that k¸ i1 λi 0, k¸ i1 λipij 0. (7.2) We secondly evaluate Equation 7.1 at pi to give us λi   n¸ j1 γjpij  α 0. We now multiply this by λi, λ2 i  λi n¸ j1 γjpij  αλi 0 and then sum over all pi to get k¸ i1 λ2 i   k¸ i1 λi n¸ j1 γjpij  α k¸ i1 λi 0. We now apply the relations in Equation 7.2 to see that k¸ i1 λ2 i 0 ùñ λi 0 di € t1, . . . , ku We can therefore rewrite Equation 7.1 accounting for this as n¸ j1 γjxj  α 0. (7.3) Evaluating Equation 7.3 at the zero-vector yields that α 0 and therefore n¸ j1 γjxj 0. (7.4) Finally we evaluate Equation 7.4 at ej to get that γj 0 for any j € t1, . . . , nu giving us our contradiction, and that the set of fi, xi and 1 are all linearly independent. We can therefore remove n  1 functions from our previous bound as they are not required to span V . We therefore have the following inequality, and our result, k ¤ 1 2 pn  1qpn  4q¡pn  1q, ùñ P2pnq k ¤ 1 2 pn  1qpn  2q ¢ n  2 2 . 49
  • 53.
    While our upperbound holds for all n we have that for n ¥ 3, ¢ n  1 2 ¤ P2pnq ¤ ¢ n  2 2 . When n is much larger than 2 this is a very tight bound as both bounds are of order n2 but the difference is simply n  1. The sharpness of this bound is even more noticeable for larger values of s as the difference is still linear but (so long as s ¤ pn   1q{2) the bounds both have order ns. 7.2.1 Extensions We saw earlier that P2p2q 5 however our upper bound gives that Pp2q ¤ 6, as such the bound is not sharp and therefore, this problem remains somewhat open. The same is also true of course for the lower bound as this does not even apply here. An interesting case is that where s is of similar magnitude or even much larger than n, for example the solutions of Psp2q for all s. There are still a number of open problems relating to this sort of question and it is highly possible that with continued use of the Polynomial method more breakthroughs will be seen in this area. One breakthrough of particular note was in the Erd¨os distinct distances problem, which had a new bound established very recently due to the Polynomial method. This problem comes from a different angle, asking for the minimum number of distinct distances if we have a fixed number of points. We discuss this problem more at the end of the next chapter. 50
  • 54.
    Chapter 8 Lines andJoints Remark. For the reader seeking to expand on this chapter the problem is discussed by Tao in his survey of the Polynomial method, [12], and by Adam Sheffer in his lecture notes, [45]. Ren´e Quilodr´an also has two papers on the matter, in the first he introduces the problem, [46], and in the second gives a proof of the problem in Rn as well as disussing the extensions to algebraic curves, [47]. 8.1 The Joints Problem The Joints problem is based on counting the number of joints formed by a finite set of lines in Rn. Definition 8.1.1. Given a set of lines L tl1, . . . , lku € Rn, a joint in Rn is a point where n linearly independent lines l1, . . . , ln € L are concurrent. The Joints problem is concerned with finding the maximum number of joints that can be formed with k lines. The problem was first posed as early as 1990, [48], and stood unsolved for almost 20 years yet its proof is remarkably simple. To solve this problem, rather than looking for the exact arrangement to achieve greatest efficiency we simply look for the order of this maximal arrangement with respect to k. That is, we seek to bound the order of the relationship between the number of lines and the number of joints. Example 8.1.2 (A Simple Arrangement). One quite simple, but remarkably efficient arrangement of lines is to form an n-dimensional unit grid - that is to have our lines at unit intervals, with an equal number parallel to each of the axes. In our 3-dimensional case we therefore we have k{3 of our lines pointing in the direction of the x-axis arranged in a square lattice, k{3 in the direction of the y-axis in a square lattice and similarly for the z-axis. If we assume k{3 is a square number then we form a perfect cube of side length m where m is the square root of k{3. The figure shows an example where m 6 in 3-dimensions. 51
  • 55.
    Figure 8.1: Alattice arrangement of 108 lines in R3 with the joints highlighted. By placing lines unit distances apart we find that we have joints at all of the points of J tpx, y, zq € N3 |1 ¤ x, y, z ¤ — k{3u. Therefore if we have k 3m2 lines, with this lattice arrangement, we have m3 joints. We now consider the order of this solution, |J| m3 £™ k 3 3 k3{2 c 27 Θpk3{2 q. Remark. Note that we achieve the lower bound for this problem by using the same cubic arrangement but generalised to Rn. By having k{n lines in the direction of each axis arranged in a square lattice this grid attains an order of Θpkn{n¡1q. This gives the lower bound for our general solution. We therefore see that arrangements of order at least k3{2 exist in 3-dimensions. As of December 2008, due to the work of Guth and Katz, this order has been shown to be maximal. Theorem 8.1.3 (Guth and Katz, (2008)). The maximum number of joints that can be formed by a set of k lines in R3 has order Θpk3{2q. 8.2 Solving the Problem While Guth and Katz were the first to have a proof to the problem, a number of papers were released in quick succession giving both refinements and extensions of their work. Only a few months after, the proof was refined by Elekes, Kaplan, and Sharir, [49]. 52
  • 56.
    Their work wasbased on the original proof but introduced some refinements. Shortly afterwards, in a follow up paper by Kaplan, Sharir, and Shustin, the bound was gener- alised to all n, with the proof refined further still, [50]. Later in 2009 Ren´e Quilodr´an, assisted by Fedor Nazarov found a remarkably concise form of the proof, however it remains in essence quite similar. In 2012 in a lecture course of his, Guth also gave a concise version of his original proof which maintains the combinatoric principles, but is greatly simplified. This proof appears in the lecture notes of Adam Sheffer, [45]. It is this refined proof which we will adapt to prove the following for all n. Theorem 8.2.1 (The Joints Problem in Rn). The maximum number of joints that can be formed by a set of k lines in Rn has order Θpkn{n¡1q. 8.2.1 The General Solution As was previously mentioned, Guth and Katz were heavily influenced by the work of Dvir on the Finite field Kakeya conjecture. As such the proof of their work, and of the general case, requires the following lemma as seen in Dvir’s proof in Chapter 6, (though we have chosen F R). Lemma 6.2.6. Take a subset S of Rn. If |S|    n d n ¨ , for some positive integer d, then there exists a non-zero polynomial f € Rrx1, . . . , xns, vanishing on S with degree at most d. We also make use of B´ezout’s Theorem 1.5.2 in this proof to bound the number of incidences between 2 curves in a plane. It is through this theorem that we apply a higher dimensional variant of our Polynomial method. Theorem 1.5.2 (B´ezout’s Theorem). Let f, g € Rrx, ys be polynomials with no non- constant common components, and of degree n and m respectively with m, n ¥ 1. Then |ZpfqˆZpgq| ¤ mn deg f ¤deg g. Remark. The reader may wish to familiarise themselves with Example 1.5.1 and [11] to help grasp our use of B´ezout’s Theorem. With these two tools we can prove the following lemma. This is the key step to proving Theorem 8.2.1. Lemma 8.2.2. Let L be a set of k lines in Rn and J the set of joints formed by L. There exists a line, l € L, such that l contains at most n |J|1{n of the joints. Proof. For the proof we assume that all lines contain more than N n |J|1{n joints and take f to be the minimal degree polynomial vanishing on J. I. We begin by bounding the degree of f using the following argument, ¢ n  N n 1 n! n¹ j1 pj  Nq ¡ Nn n! nn n! |J| ¡ |J|. 53
  • 57.
    This in conjunctionwith Lemma 6.2.6 proves that, since f has minimal degree, degpfq ¤ N. II. We now show that f vanishes on all the lines in L. We choose a line l € L and taking some plane π with l € π. With this we define γ Zpfq ˆ π which must be non-trivial since π contains some of our joints. We now apply a change of basis to Rn such that tx1, x2, . . . , xnu Ñ ty1, y2, . . . , ynu with the yi pairwise linearly independent, and y1, y2 spanning the plane. Since this is a linear transformation it takes f to some ˜f of equal degree, respecting the intersections between our functions. In this basis we can express γ and l as functions of y1 and y2 since y3, y4, . . . , yn are fixed by π. Fixing a variable either maintains or decreases the degree meaning degpγq ¤ degp˜fq degpfq ¤ N. Figure 8.2: A cross section of a line, function and plane, undergoing a change of basis. This process respects intersections. Since they are functions in two variables we can apply B´ezout’s Theorem 1.5.2 to γ and l. The theorem states that the number of intersections of these curves is at most the product of the degrees unless they share a common component. That is, |γ ˆl| ¤ N ¤1 unless they share a component. Since we assumed that l contains more than N joints they must intersect at least N times and therefore they share a component. Since l is a line and hence only has one component, l € γ. This argument holds for every l € L and hence Zpfq contains every line of L. 54
  • 58.
    III. We nowperform a differentiating step which gives a contradiction of our minimality assumption on f. Consider p € J incident to l1, l2, . . . , ln which are linearly independent. By the previous statement l1, l2, . . . ln € Zpfq. If p was a non-singular point the lines would all be contained within the tangent hyperplane to Zpfq at p. However since they are linearly independent they span the whole of Rn and therefore p is a singular point of f. Furthermore, this means fppq 0 for all p € J. Since we took f to be non-trivial it must have a partial derivative that is not identically zero which, without loss of generality, we assume to be f1 ff fx1 . Since f vanishes on J, f1 also vanishes on J. This is a non-zero polynomial of degree strictly less than f contradicting our minimality condition, proving the lemma. With this lemma it is simple to prove Theorem 8.2.1, the Joints problem in Rn. Proof of Theorem 8.2.1. Take L a set of k lines in Rn, J the set of joints of L and fix N n |J|1{n . We can remove a line from L that is incident to at most N points of J and update J and L accordingly but keeping N fixed. We can now repeat this process for our new L, J as Lemma 8.2.2 guarantees such a line exists at every stage. We repeat this process k times until all lines have been removed. Each iteration removes at most N joints and all of the joints are removed after k iterations. This gives us the following bound, leading to our proof, |J| ¤ kN kn |J|1{n , ùñ |J| ¤ pnkqn{n¡1 Θpkn{n¡1 q. This bound combined with the n-dimensional generalisation of our work in Subsection 8.1.2 proves the maximum order is strictly Θpkn{n¡1q. This proof again shows the remarkable power of the method, a problem which stood unsolved for nearly 20 years, proved within a few pages. 8.3 Extensions of the Problem We have now seen the Joints problem generalised to n-dimensions, however there are a number of other simple extensions which also use our Polynomial method in their proofs. We previously defined a joint in n-dimensions as a common intersection point of n linearly independent lines. However we can for example, consider the number of intersections of fewer lines, lessen the the constraint of independence, or consider the intersections of curves rather than lines. This allows us to generalise beyond the Joints problem and look more into the intersections of general algebraic curves (see [47]). These generalisations are still very much at the forefront of mathematical research and it is here that we most closely see our method overlap into Algebraic geometry. In fact it also from this work that Guth and Katz found a much improved result relating to the Erd¨os distinct distances problem. 55
  • 59.
    8.3.1 The Erd¨osDistinct Distances Problem It would be wrong to discuss the work of Guth and Katz in this area without noting their remarkable work on this problem, also recognising the contribution of the late Gy¨orgy Elekes who’s work help establish the key link between Incidence geometry and this problem, [51]. This Distances problem expands on our two distance problem posing it conversely as follows. Given n distinct points in the plane what is gpnq, the minimum number of distinct distances between them? This problem was first posed in 1946 by Paul Erd¨os, perhaps one of the greatest mathematicians of the 20th century. He conjectured that the order of gpnq was greater that nc for all c   1. Using a square lattice he proved that Θ  cn ¨ ¤ gpnq ¤ Θ ¢ n clog n and conjectured the exact value was of a magnitude very close to the upper bound, [52]. Of this conjecture he stated, writing for the event of his 80th birthday, that My most striking contribution to geometry is, no doubt, my problem on the number of distinct distances. (P. Erd¨os, [53]) From a mathematician with such a variety of contributions this is a powerful claim. The problem stood for almost 75 years until 2010 when, by linking the problem to their work on the Joints problem, Guth and Katz proved the following, [54]. Theorem 8.3.1 (Guth and Katz, (2010)). Θ ¢ n log n ¤ gpnq ¤ Θ ¢ n clog n This theorem proved the conjecture of Erd¨os and brings the problem very close to a full solution as the bounds are now separated by only a factor of clog n. With the method still being used to great effect we may perhaps soon see a full solution in this area. Remark. The interested reader can find the original work by Erd¨os here, [52], and the proof of the conjecture by Guth and Katz here [54] which uses some interesting extensions of the Polynomial method. Most notable of these is the method of polynomial cell decompostion. A lot of background work was also done By Elekes and Sharir in [51]. Another good source of information is an online article by Terence Tao discussing the proof and its consequences, [55]. 56
  • 60.
  • 61.
    Chapter 9 Graph Theory 9.1Polynomials of Graphs Perhaps one of the most surprising areas of application of the Polynomial method is to Graph theory. While we do not often evaluate these polynomials in a standard sense, we can still use them to make combinatorial statements. This is particularly notable when attempting to give graphs labellings. Example 9.1.1 (A Simple labelling). Assume we have n points, tv1, v2 . . . , vnu, and have some function f which assigns a label to them. Then how do we check the labelling is distinct? We can actually very easily construct a polynomial which will evaluate to zero unless the labelling is entirely distinct, ¹ 1¤i j¤n pfpviq¡fpvjqq. By extending this sort of idea we can create more complicated polynomials which encode information about graphs. By making the points of interest the roots we can even apply our various tools to arrive at some surprising conclusions. Remark. This sort of construction is actually remarkably useful in mathematics even when there is no metric or values, for example polynomial constructions are used in topology to help describe knots. 9.2 The Basics Throughout this chapter we will use the definitions as seen in Wilson’s Introduction to Graph Theory, [56], to which the reader is directed for more information. We assume a minimal understanding of Graph theory but also state some definitions for reference. • A Graph G pV, Eq is defined by a set of vertices V tv1, . . . , vnu, and a set of edges between them, E te1, . . . , emu where the ej are pairs of vertices. 58
  • 62.
    • H pW, Fq is a subgraph of G pV, Eq if W € V and F € E. • A loop is an edge connecting a vertex to itself. • A simple graph is a graph with no loops and no multiple (repeated) edges. • An edge between two vertices is incident to those vertices and we say those vertices are incident to the edge. • The incidence matrix, M, of a graph with n vertices and m edges is an n ¢ m matrix where ai,j is 1 if vi is incident to ej and 0 otherwise. • The degree of a vertex is the number of edges incident to it, however loops count twice as both ends are incident to the vertex. • A regular graph is a graph in which every vertex has the same degree. Where that degree is d we call the graph d-regular. • A complete graph is a simple graph with an edge between every pair of vertices, the complete graph with n vertices is denoted Kn. Figure 9.1: The complete graph on 5 vertices, K5. This is also a loopless 4-regular graph. Due to being loopless, the regularity can be seen directly from the incidence matrix M, as precisely four 1s appear in each column meaning each vertex is of degree 4. With these basic definitions we have all that we need to begin discussing the use of the Polynomial method in Graph theory. 9.3 Finding a p-regular Subgraph In this section we prove a result concerning when a graph has a p-regular subgraph, with p a prime. We essentially state that when our graph is close to p2p ¡1q-regular it contains a p-regular subgraph. 59
  • 63.
    Theorem 9.3.1. Givena prime p, if the vertices of a loopless graph G have average degree bigger than 2p¡2 but degree at most 2p¡1, then G contains a p-regular subgraph. This idea of finding a subset order p within a set of order 2p ¡ 1 in some ways resembles the Erd¨os-Ginzburg-Ziv Theorem, suggestive of the fact that our methods can be applied. In fact a corollary to this theorem is that a p2p ¡1q-regular graph contains a p-regular subgraph, which is a very similar statement. We also prove this theorem by creating a polynomial over Fp, further implying the connection between our Additive number theory and Graph theory. We must therefore refer back to an earlier corollary of Lagrange’s Theorem. Corollary 2.3.1.1 (An Important Relation). Over a finite field order q pk with p prime and a € Fqzt0u, aq¡1 1. We make use of this as in earlier chapters to create an indicator function which vanishes on all non-zero elements. This proof is remarkably short but highlights the use of our method within Graph theory. We will prove this result as done by Alon in [6]. Remark. For this theorem we can assume all vertices of G have degree at least 1. If this is not the case we simply take a subgraph, H of G for which this is true as the conditions of the theorem will be satisfied by H if they are satisfied by G. Furthermore if the proof holds for H then it will hold for G, since any subgraph of H is also a subgraph of G. Proof. Set G pV, Eq, a graph with n vertices and m edges and take M to be our incidence matrix as previously defined such that ai,j is 1 if vi is incident to ej and 0 otherwise. We now define the following polynomial over Frx1, . . . , xms, fpx1, . . . , xnq n¹ i1 !1 ¡ £ m¸ j1 ai,jxj p¡1 ( ) ¡ m¹ j1 p1 ¡xjq. Note that since our average degree is more than 2p¡2 and every edge connects precisely 2 vertices we have that |E| ¡ 1 2 p2p ¡2q|V | and equivalently m ¡ pp ¡1qn. Therefore since the first product is of degree at most pp ¡ 1qn and the second product has degree m, we have that degpfq m as the coefficient of ±m j1 xj ¨1. We can now apply our Combinatorial Nullstellensatz II, with α1 . . . αm 1, and S1 S2 . . . Sm t0, 1u as this has cardinality greater than 1. By the theorem there exists a point s ps1, . . . , smq € t0, 1um such that fpsq $ 0. Note that since f does vanish on the zero vector our s is non-zero. This means the second product will 60
  • 64.
    vanish at s,and hence the first product must not. By our Corollary 2.3.1.1, for this to be the case we must have that m¸ j1 ai,jsj 0 pmod pq for all i. We therefore take the subgraph formed from the set of edges ˜E tek |sk $ 0u. The corresponding vertices must have a multiple of p non-zero elements in their respective column of the incidence matrix. Since the graph is loopless and the vertices all have degrees between 1 and 2p we have that all the vertices must be of degree p, giving us the desired p-regular subgraph. This idea of applying combinatorial methods to the study of graphs has become very popular in recent years and has notably led to various results in the topic of graph colouring and choosability, (though other topics of Graph theory such as spanning trees have also been addressed). 9.4 Graph Colouring and the use of Ideals One of the most significant areas of research in Graph theory is that of graph colourabil- ity, and an interesting variant of this problem is the study of graph choosability, which is a stronger, more general condition. A proper vertex colouring of a graph is a function from the vertices to a list of colours such that the endpoints of every edge are differently coloured. We define a graph to be k-colourable for some integer k if there is a proper vertex colouring using at most k colours. In the case of choosability we assign a list of colours to each vertex and ask if we can form a proper vertex colouring by choosing, for each vertex, a colour from its associated set. For notation we use positive integers to represent colours, such that we have infinitely many distinct colours t1, 2, 3, . . . u. For a graph G pV, Eq to be f-choosable means that the list of colours assigned to vi has cardinality fpviq. Then, if regardless of the colours placed on each list we still have a proper vertex colouring the graph is f-choosable. If this holds for a constant function f k then we describe the graph as k-choosable. Remark. Note that k-choosable implies k-colourable as by placing the same set of k colours on all vertices choosability implies a proper vertex colouring exists. However the case of the inverse implication is a more interesting one. A line graph LpGq is a graph which has a vertex for every edge in G and an edge connecting every pair of vertices which came from adjacent edges. With this idea we can state what is perhaps the most renowned open problem in this area, the List colouring conjecture, which states that 61
  • 65.
    for line graphsk-colourable also implies k-choosable, meaning there is an equivalence. A recent result in the area was the proof that this holds for complete graphs of prime degree, [57]. Figure 9.2: K5 is not 4 choosable as if we choose the same set for all 5 vertices there is no choosable proper vertex colouring. However it is 5 colourable, no matter what set of colours we assign to each vertex there will be a subset of them corresponding to a proper vertex colouring. Various results concerning choosability can be proved using our Polynomial methods, many of which are discussed in a thesis on the topic by Anne Marie Spencer, [58]. One theorem of note is a result which was originally proved by Alon and Tarsi in 1992 [59], and has since had the proof somewhat reformulated in light of Alon’s development of his Combinatorial Nullstellensatz. However we first need a few more concepts. • An orientation, O, of a graph G pV, Eq gives a direction to every pair of indices in E such that |O| |E| and pvi, vjq € O ùñ tvi, vju € E. We say the orientation is even if |tpvi, vjq € O : i ¡ ju| 0 pmod 2q and that it is odd otherwise. • The outdegree of v € V in O is |tpv, wq € Ou|. • Given outdegrees d1, d2, . . . , dn for the vertices v1, v2, . . . , vn we define EOGpd1, . . . , dnq to be the number of even orientations with these outdegrees and define OOGpd1, . . . , dnq similarly for odd orientations. • The graph polynomial, is a polynomial defined for G pV, Eq, a graph with n vertices and m edges, as fGpx1, . . . , xnq ¹ tpxi ¡xjq|i   j, tvi, vju € Eu. This polynomial has degree precisely m and notably vanishes when px1, . . . , xnq is not a proper vertex colouring. 62
  • 66.
    With these ideasnow outlined we can state and prove the following theorem con- cerning f-choosability. Theorem 9.4.1. Take G a graph on n vertices with m edges. If we have a labelling function f : V Ñ N such that fpviq αi 1 and °n i1 αi m, then if EOGpα1, . . . , αnq $ OOGpα1, . . . , αnq then G is f-choosable. Remark. The proof of this theorem is based on the work of Brad Jones in [5]. Proof. If there are no orientations with outdegrees α1, . . . , αn then the theorem is null but holds, so we proceed assuming that orientations with these outdegrees do exist. We now consider our graph polynomial fGpx1, . . . , xnq ¹ tpxi ¡xjq such that i   j, tvi, vju € Eu. Note that fG has degree m °n i1 αi since we multiply over all edges. By induction on m we now prove that fG ¸ d1,...,dn€N pEOGpd1, . . . , dnq¡OOGpd1, . . . , dnqq n¹ i1 xdi i . If m 0 then there is a single even orientation at pd1, . . . , dnq p0, . . . , 0q and no other orientations. This gives that us that fG 1 which is equal to our trivial product without any terms. We can therefore begin our induction. We assume that the result holds for m ¡ 1 edges and prove it for m. Take a single point of E, tv, wu, with v ¡ w and define a graph ˜G pV, Eztv, wuq for which our theorem holds by our assumption. Define ˜O to be the reduction of O where this edge is removed. To get an even orientation on G, if ˜O is even we must add pw, vq so that the parity doesn’t change and we increase the outdegree of w by 1. If ˜O is odd we must add pv, wq such that the parity does change and we increase the outdegree of v by 1. Therefore EOGpd1, . . . , dnq EO ˜Gpd1, . . . , dw ¡1, . . . , dnq OO ˜Gpd1, . . . , dv ¡1, . . . , dnq, and by similar argument OOGpd1, . . . , dnq EO ˜Gpd1, . . . , dv ¡1, . . . , dnq OO ˜Gpd1, . . . , dw ¡1, . . . , dnq. Note also that fG pxw ¡xvqf ˜G and that we assumed the theorem holds for m¡1. The terms in the following need to have 63
  • 67.
    fG pxw ¡xvq ¸ d1,...,dn€N   EO˜Gpd1, . . . , dnq¡OO ˜Gpd1, . . . , dnq ¨ n¹ i1 xdi i ¸ d1,...,dn€N   EO ˜Gpd1, . . . , dv ¡1, . . . , dnq¡OO ˜Gpd1, . . . , dv ¡1, . . . , dnq ¨ ¡   EO ˜Gpd1, . . . , dw ¡1, . . . , dnq OO ˜Gpd1, . . . , dw ¡1, . . . , dnq ¨ n¹ i1 xdi i ¸ d1,...,dn€N pEOGpd1, . . . , dnq¡OOGpd1, . . . , dnqq n¹ i1 xdi i finishing our induction. We can now apply our Combinatorial Nullstellensatz II. Since we assume inequality between the even and odd terms the coefficient of ±n i1 xαi i is non-zero. Hence setting |Si| αi  1 tells us there is a point s ps1, . . . , snq € S1 ¢. . . ¢Sn such that fGpsq $ 0. Therefore, by the properties of the graph polynomial, this ps1, . . . , snq gives a proper vertex colouring showing G is f-choosable. This proof begins to demonstrate both the ways in which we can use our Polynomial method in Graph theory and the usefulness of the graph polynomial, a polynomial we use again in the next section. 9.4.1 k-Colourability - An Ideal ending We end this study close to where we began, by again considering Ideals and their use within our Polynomial method. In doing so we will be able to apply our Combinatorial Nullstellensatz I, as opposed II, to prove a result concerning k-colourability. We consider the Ideal generated by the polynomials xk i ¡ 1, and the graph polynomial, defined as before. Theorem 9.4.2. fG lies in the ideal generated by xk i ¡ 1 for i € t1, . . . , nu if and only if G ptv1, . . . , vnu, Eq is not k-colourable. The proof of this, as seen in [6], is a very short, but effective application of our Combinatorial Nullstellensatz I. Proof. We first prove the forwards implication. Assume that fG lies in the ideal gen- erated by xk i ¡ 1. Therefore all the generators of this ideal vanish on the kth roots of unity. Therefore if we label the vertices by the kth roots of unity fG will vanish. This means xi xj for some pair in E and hence G is not k-colourable. We now prove the reverse implication. Assume G is not k-colourable. Set S S1 . . . Sn tkth roots of unityu and note that G cannot be properly coloured with these. As in our Combinatorial Nullstellensatz I define pipxiq ± s€Si pxi ¡sq xk i ¡1. Since fG vanishes over any labelling by k colours it will vanish over Sn and therefore over all 64
  • 68.
    the common zerosof the pi. Therefore by the Combinatorial Nullstellensatz I there exist polynomials such that fG °n i1 gipi and therefore fG is in the ideal generated by the pi. This short proof links our work on Graph theory right back to our original statement coming from Hilbert’s Nullstellensatz and nicely summarises how these combinatorial ideas permeate through many areas of mathematics. Remark. There are many more results in Graph theory due to the Polynomial method and we have only discussed a very small sample of them here. The reader interested particularly in the applications of the method to Graph theory is directed to a chapter of an upcoming book by Doug West which dicusses many of these proofs in considerable detail, [60]. A number of results are also discussed by Alon in [6]. A problem in a set of notes by Matouˇsek, [3], may also be of interest. This links Polynomial identity testing to finding perfect matchings in graphs, connecting the probabilistic elements of the Schwartz Lemma 5.1.2 with our study of Graph theory, a concept not discussed here. 65
  • 69.
    Chapter 10 Concluding Remarks Weconcluded this survey as we began, applying the underlying Algebraic geometry behind the Polynomial method. Throughout this paper we have seen that these com- binatoric principles can be adapted to produce a broad range of tools, giving us the capability to address a range of problems each in a specific manner. Whether in the form of the Combinatorial Nullstellensatz, or the Schwartz Lemma, the success of the method is, at least in part, due to this variety. In a number of cases we saw that a new formulation led to a breakthrough in a previously unsolved area such as the case of the Erd¨os distinct distances problem. Perhaps more remarkably though is the simplicity with which the method is applied. Even in the seemingly complex problems dating back decades, such as the Erd¨os-Heilbronn problem, the proof takes but a matter of para- graphs. This is truly what distinguishes the Polynomial method from other tools and guarantees its central importance to the mathematician. For indeed if the proof is not elegant, then perhaps it is unfinished. Beauty is the first test: there is no permanent place in this world for ugly mathematics. (G.H. Hardy, A Mathematician’s Apology. [61]) While I’ve attempted to include the major works of the method in this paper, it is by no means complete. Areas of interest such as spanning trees and the Szemer´edi and Trotter Theorem going overlooked. As more work continues to be done, the Polynomial method continues to grow as a topic well beyond the scope of a single paper. A more complete picture requires a variety of resources but perhaps the best resource would be the survey by Terence Tao, [12]. Other good resources for a balanced picture would be Alon’s writings on the method in [6], and perhaps the thesis of Robert Laudone which covers a number of areas, such as the Szemer´edi and Trotter Theorem, which have not featured here, [62]. Turning our attention to the future of the method there are a number of areas where we can hope to see advances. Within Graph theory problems such as the List colouring conjecture continue to draw the attention of many great minds. Equipped with an ever growing understanding of the workings of tools like the Combinatorial Nullstellensatz it 66
  • 70.
    is very possiblemore results will come with time. As recently as March, a paper was released which contained a new result concerning total colourings, a result which was proved using the Combinatorial Nullstellensatz, [63]. However it is not just Graph the- ory where the method is still making headway as last year a seemingly unrelated result concerning partitions was proved in [64] also making use of our Polynomial method. Of course when discussing recent work it is appropriate to include the bound on the Erd¨os distinct distances problem. This proof is only a few years old and still very new to the world of published mathematics. The methods developed by this paved the way for a number of results, through the correspondence between Discrete and Incidence geometry problems. It is possible further results will come from this, as people turn their attention to higher dimensional analogues and similar problems such as the Erd¨os unit distance problem. Since the relatively recent recognition of the method and its potential, it has con- tinually been applied to new and different problems across broad areas of mathematics. With each new application the potential for a new breakthrough increases. Whether the next inspiration comes from a young mind like Christian Reiher’s, or from a more es- tablished name such as Alon’s, only time will tell. Despite its remarkable simplicity the Polynomial method remains an essential tool at the forefront of modern mathematical research, and based on my findings there is no reason this won’t continue to be the case. 67
  • 71.
    Bibliography [1] Z. Dvir,“On the size of Kakeya sets in finite fields,” J. Amer. Math. Soc., vol. 22, pp. 1093–1097, 2009. [2] S. Jukna, Extremal Combinatorics: With Applications in Computer Science, ch. 16. Springer Publishing Company, Incorporated, 2nd ed., 2011. [3] J. Matouˇsek, “Polynomials, A chapter for the Mathematics++. Lecture course at Univerzita Karlova,” Notes available at http: // kam. mff. cuni. cz/ ˜ matousek/ polychap. pdf . [4] D. Hilbert, “Ueber die vollen invariantensysteme,” Mathematische Annalen, vol. 42, no. 3, pp. 313–373. [5] B. R. Jones, “Combinatorial nullstellensatz,” 2013. [6] N. Alon and M. Tarsi, “Combinatorial nullstellensatz,” Combinatorics Probability and Computing, vol. 8, no. 1, 1999. [7] N. Alon, M. B. Nathanson, and I. Ruzsa, “Adding distinct congruence classes mod- ulo a prime,” The American mathematical monthly, vol. 102, no. 3, pp. 250–255, 1995. [8] A. Frimu and M. Teleuca, “Applications of combinatorial nullstellensatz,” Gazeta Matematica, November 2011. [9] A. Gathmann, “Algebraic Geometry 1. Lecture course at University of Kaiser- slautern, 2002,” Notes available at http: // www. mathematik. uni-kl. de/ ˜ gathmann/ class/ alggeom-2002/ chapter-1. pdf . [10] H. Hilton, Plane algebraic curves. The Clarendon press, 1920. [11] L. Guth, “The Polynomial Method. Lecture course at Massachusetts Insti- tute of Technology, 2012.,” Notes available at http: // math. mit. edu/ ˜ lguth/ PolynomialMethod. html . [12] T. Tao, “Algebraic combinatorial geometry: the polynomial method in arith- metic combinatorics, incidence combinatorics, and number theory,” arXiv preprint arXiv:1310.6482, 2013. 68
  • 72.
    [13] P. L.Clark, A. Forrow, and J. R. Schmitt, “Warning’s second theorem with resricted variables,” arXiv preprint arXiv:1404.7793, 2014. [14] P. Clark, “The Chevalley-Warning theorem,” http: // math. uga. edu/ ˜ pete/ 4400ChevalleyWarning. pdf . [15] C. D. of Scientific Biography., “Artin, Emil.,” http: // www. encyclopedia. com/ doc/ 1G2-2830900172. html . [16] C. Chevalley, “D´emonstration d’une hypoth`ese de m. artin,” Abhandlungen aus dem Mathematischen Seminar der Universit¨at Hamburg, vol. 11, no. 1, pp. 73–75. [17] E. Warning, “Bemerkung zur vorstehenden arbeit von herrn chevalley,” Abh. Math. Sem. Univ. Hamburg, vol. 11, pp. 76–83, 1936. [18] D. R. Heath-Brown, “A note on the chevalley-warning theorems,” Russian Mathe- matical Surveys, vol. 66, no. 2, p. 427, 2011. [19] M. A. Armstrong, Groups and Symmetry, ch. Lagrange’s Theorem, pp. 57–60. New York, NY: Springer New York, 1988. [20] R. Vinroot, “Math 430 - The Multiplicative Group of a Finite Field. Lecture course at College of William and Mary, 2013.,” Notes available at http: // www. math. wm. edu/ ˜ vinroot/ 430S13MultFiniteField. pdf . [21] M. Devos, “Combinatorial Number Theory. Lecture course at Simon Fraser Univer- sity,” Notes available at http: // www. sfu. ca/ ˜ mdevos/ notes/ comb_ numb/ . [22] P. Erd¨os, A. Ginzburg, and A. Ziv, “Theorem in the additive number theory,” Bull. Res. Council Israel, vol. 10, pp. 41–43, 1961. [23] A. L. Cauchy, Recherches sur les nombres. 1813. [24] H. Davenport, “On the addition of residue classes,” Journal of the London Mathe- matical Society, vol. 1, no. 1, pp. 30–32, 1935. [25] S. D. Adhikari, M. N. Chintamani, Geeta, and B. K. Moriya, “The Cauchy- Davenport theorem: various proofs and some early generalizations,” 2010. [26] J. P. Wheeler, “The cauchy-davenport theorem for finite groups,” arXiv preprint arXiv:1202.1816, 2012. [27] M. B. Nathanson, “Additive number theory: Inverse problems and the geometry of sumsets (graduate texts in mathematics)(vol 165),” 1996. [28] N. Alon, M. B. Nathanson, and I. Ruzsa, “The polynomial method and restricted sums of congruence classes,” Journal of Number Theory, vol. 56, no. 2, pp. 404–417, 1996. 69
  • 73.
    [29] N. Alonand M. Dubiner, “Zero-sum sets of prescribed size,” [30] A. Kemnitz, “On a lattice point problem,” Ars Combin, vol. 16, pp. 151–160, 1983. [31] C. Reiher, “On kemnitz’ conjecture concerning lattice-points in the plane,” The Ramanujan Journal, vol. 13, no. 1-3, pp. 333–337, 2007. [32] R. Lipton, “The curious history of the Schwartz-Zippel lemma,” 2009. https://rjlipton.wordpress.com/2009/11/30/ the-curious-history-of-the-schwartz-zippel-lemma/. [33] S. Kakeya, “Some problems on maxima and minima regarding ovals,” Tohoku Sci- ence Reports, vol. 6, pp. 71–88, 1917. [34] M. Furtner, “The Kakeya problem,” 2008. [35] J. P´al, “Ein minimumproblem f¨ur ovale,” Mathematische Annalen, vol. 83, no. 3, pp. 311–319. [36] T. Wolff, “Recent work connected with the kakeya problem,” Prospects in mathe- matics (Princeton, NJ, 1996), vol. 2, pp. 129–162, 1999. [37] J. Bourgain, N. Katz, and T. Tao, “A sum-product estimate in finite fields, and applications,” Geometric Functional Analysis GAFA, vol. 14, no. 1, pp. 27–57, 2004. [38] T. Tao, “Dvir’s proof of the finite field kakeya conjec- ture,” 2008. https://terrytao.wordpress.com/2008/03/24/ dvirs-proof-of-the-finite-field-kakeya-conjecture/. [39] B. Murphy, “Counting monomials,” 2012. https://murphmath.wordpress.com/ 2012/08/22/counting-monomials/. [40] L. Guth and N. H. Katz, “Algebraic methods in discrete analogs of the kakeya problem,” Advances in Mathematics, vol. 225, no. 5, pp. 2828–2839, 2010. [41] J. Matouˇsek, Thirty-three miniatures: Mathematical and Algorithmic applications of Linear Algebra, vol. 53. American Mathematical Soc., 2010. [42] A. Blokhuis, “A new upper bound for the cardinality of 2-distance sets in euclidean space,” North-Holland Mathematics Studies, vol. 87, pp. 65–66, 1984. [43] A. Blokhuis, “Few-distance sets,” CWI Tracts, vol. 7, pp. 1–70, 1984. [44] D. Larman, C. Rogers, and J. Seidel, “On two-distance sets in euclidean space,” Bulletin of the London Mathematical Society, vol. 9, no. 3, pp. 261–267, 1977. [45] A. Sheffer, “Chapter 5: The Joints Problem. Ma 191c: The Polynomial Method, Lecture course at California Institute of Technology,” Notes available at http: // math. caltech. edu/ ˜ 2014-15/ 3term/ ma191c-sec2/ 5. %20Joints. pdf . 70
  • 74.
    [46] R. Quilodr´an,“Introduction to the joints problem,” 2011. [47] R. Quilodr´an, “The joints problem in rˆn,” SIAM Journal on Discrete Mathematics, vol. 23, no. 4, pp. 2211–2213, 2010. [48] B. Chazelle, H. Edelsbrunner, L. J. Guibas, R. Pollack, R. Seidel, M. Sharir, and J. Snoeyink, Counting and cutting cycles of lines and rods in space. IEEE, 1990. [49] G. Elekes, H. Kaplan, and M. Sharir, “On lines, joints, and incidences in three dimensions, manuscript, march 2009,” arXiv preprint arXiv:0905.1583. [50] H. Kaplan, M. Sharir, and E. Shustin, “On lines and joints,” Discrete Computa- tional Geometry, vol. 44, no. 4, pp. 838–843, 2010. [51] G. Elekes and M. Sharir, “Incidences in three dimensions and distinct distances in the plane,” Combinatorics, Probability and Computing, vol. 20, no. 04, pp. 571–608, 2011. [52] P. Erdos, “On sets of distances of n points,” The American Mathematical Monthly, vol. 53, no. 5, pp. 248–250, 1946. [53] R. Graham, J. Neˇsetˇril, and S. Butler, The Mathematics of Paul Erd˝os I, p. 446. SpringerLink : B¨ucher, Springer New York, 2013. [54] L. Guth and N. H. Katz, “On the erdos distinct distance problem in the plane,” arXiv preprint arXiv:1011.4105, 2010. [55] T. Tao, “The guth-katz bound on the erd¨os distance prob- lem,” 2010. https://terrytao.wordpress.com/2010/11/20/ the-guth-katz-bound-on-the-erdos-distance-problem/. [56] R. J. Wilson, An introduction to graph theory. Pearson Education India, 1970. [57] U. Schauz, “Proof of the list edge coloring conjecture for complete graphs of prime degree,” The Electronic Journal of Combinatorics, vol. 21, no. 3, pp. P3–43, 2014. [58] A. M. Spencer, Edge-choosability of cubic graphs and the polynomial method. PhD thesis, Department of Mathematics-Simon Fraser University, 2010. [59] N. Alon and M. Tarsi, “Colorings and orientations of graphs,” Combinatorica, vol. 12, no. 2, pp. 125–134, 1992. [60] D. West, “The art of combinatorics volume iv: Arrangements and methods,” Preprint edition. http://www.math.uiuc.edu/˜jobal/teach/nullstellensatz. pdf. [61] G. H. Hardy, “A mathematician’s apology,” 1941. [62] R. Laudone and J. Greene, “The polynomial method in combinatorics,” 2015. 71
  • 75.
    [63] L. Sun,X. Cheng, and J. Wu, “The adjacent vertex distinguishing total coloring of planar graphs without adjacent 4-cycles,” Journal of Combinatorial Optimization, pp. 1–12, 2016. [64] M. Thiel and N. Williams, “Strange expectations,” arXiv preprint arXiv:1508.05293, 2015. 72