Circles
Sameer Chincholikar
#
Taught 1 Million+ Students
Certified by the IAPT
EdTech Patent Holder
Director - Unacademy JEE/NEET
10+ years Teaching experience
100+ Aspiring Teachers Mentored
Taught 1 Million+ Students
Sameer Chincholikar
B.Tech, M.Tech - IIT-Roorkee
livedaily.me/jee
Telegram Channel
12th / Drop
12th / Drop
11th / 9, 10
Plus ICONIC
11th / 9, 10
SAMEERLIVE
SAMEERLIVE
Circles
It is the locus of a point which moves in a plane in such a way that
its distance from a fixed point is always constant.
Circle
Equation
of Circle
1. x2 + y2 = a2,
where the centre is (0, 0) and the radius is a.
Center Radius Form
2. (x - x1)2 + (y - y1)2 = a2,
where the centre is (x1, y1) and the radius is a.
General Equation of a Circle
If the incentre of an equilateral triangle is (1, 1) and the equation of its
one side is 3x + 4y + 3 = 0, then the equation of the circumcircle of this
triangle is :
A. B.
C. D. x2 + y2 + 2x - 2y - 7 = 0
x2 + y2 + 2x - 2y + 2 = 0
x2 + y2 + 2x - 2y - 2 = 0
x2 + y2 - 2x - 2y - 14 = 0
JEE Main 2015
A square is inscribed in the circle x2 + y2 - 6x + 8y - 103 = 0, with its
sides are parallel to the coordinates axes. Then the distance of the
vertex of this square which is nearest to the origin is:
A. B.
C. D. 13
√41
√137
6
JEE Main 2019
A circle passes through the points (2, 3) and (4, 5). If its centre lies
on the line, y - 4x + 3 = 0, then its radius is equal to
A. B.
C. D. 2
√2
1
√5
JEE Main 2018
The equation of a circle, when the end-points (x1, y1) and (x2, y2)
of a diameter are given is (x - x1) (x - x2) + (y - y1) (y - y2) = 0
Diameter form
Line 3x + 7y = 21 meets the axes at A and B. Find the equation of the
circle through O, A, B, where O is origin.
A. If the equation of a circle be x2 + y2 = a2, its
parametric equations are
x = a cos θ, y = a sin θ.
where θ is a parameter.
Parametric Equation of a Circle
Parametric Equation of a Circle
B.
If the equation of a circle be (x - h)2 + (y - k)2 = a2,
its parametric equations are
x = h + a cosθ, y = k + a sinθ,
where θ is a parameter.
Find the parametric equations of circle x2 + y2 + 6x - 4y – 12 = 0
Circle
[Under Special Conditions]
1. The equation of the circle touching x axis
(x - h)2 + (y - k)2 = k2
Circles under special conditions
2. The equation of the circle touching y axis
(x - h)2 + (y - k)2 = h2
3. The equation of the circle touching both
axis (x ± r)2 + (y ± r)2 = r2
4. The equation of the circle passing
through origin x2 + y2 + 2gx + 2fy = 0.
(r, r)
The circle passing through (1, -2) and touching the axis of x at (3, 0) also
passes through the point
JEE Main 2013
The equation of the circle passing through (3, -6) and touching
both the axes is:
Length of
Intercept
Let the circle be x2 + y2 + 2gx + 2fy + c = 0. Then
Intercepts made on the axes by a circle
Circle(s) touching x-axis at a distance 3 from the origin
and having an intercept of length 2√7 on y-axis is (are)
JEE Adv. 2013
Position of Point
[w.r.t. a Circle]
Inside
Outside
On the circle
Position of Point
How many tangents can be drawn from the point (5/2, 1) to the
circumcircle of the triangle with vertices
(1, √3) (1, -√3), (3, -√3).
Position of Line
[w.r.t. a Circle]
Intersecting
Position of Line
Non Intersecting
Tangent
NOTE:
Find the value of ‘k’ for which 3x - 4y + k = 0 will be tangent
to the circle x2 + y2 = 10x.
The equation of a circle which touches both axes and the lines
3x - 4y + 8 = 0 and whose centre lies in the third quadrant is
A.
x2 + y2 + 2x + 4y - 2 = 0
B. x2 + y2 + 2x + 2y + 1 = 0
C. x2 + y2 + 4x + 4y + 4 = 0 D. x2 + y2 + 4x + 2y - 2 = 0
Equation of
Tangent
T
P(x1, y1)
The equation of the tangent to the circle
x2 + y2 + 2gx + 2fy + c = 0 at (x1, y1)
Point form
The tangent to the circle C1 : x2 + y2 – 2x – 1 = 0 at the point
(2, 1) cuts off a chord of length 4 from a circle C2 whose
centre is (3, –2). The radius of C2, is
A. √6
B. 2
C. √2
D. 3
JEE Main 2018
The equation of a tangent to the circle
x2 + y2 = r2 at (r cos 𝛉, r sin 𝛉).
Parametric form
The equations of the tangent to the circle x2 + y2 = a2 which
makes a triangle of area a2 with the coordinate axes, is
The equation of a tangent to the circle
x2 + y2 = r2 with slope m.
Slope form
➔ The coordinates of the point of contact are
Important Result
Center not at origin?
Find the equation of tangents to the circle
x2 + y2 - 6x + 4y - 12 = 0, which are parallel to the line
4x - 3y + 10 = 0.
If a line, y = mx + c is a tangent to the circle
(x - 3)2 + y2 = 1 and it is perpendicular to line L1, where L1is the
tangent to the circle, x2 + y2 = 1 at the point (1/√2, 1/√2); then:
JEE Main 2020
T
P(x1, y1)
Tangent from external point
Find the equation of tangents to the circle
x2 + y2 - 6x + 8y = 0, from the point (0, 1).
Equation of
Normal
In case of circle we know that tangent is perpendicular to
radius at the point of contact.
If a line is perpendicular to the tangent at the point of
contact then it is called a normal.
Normal
P(x1, y1)
C(h, k)
O
X
Y
Normal always passes through the centre of the circle
The area of the triangle formed by the x-axis and the normal and the
tangent to the circle x2 + y2 = 4x at (1, √3) is
Length of
Tangent
& Power of Point
1. The length of the tangent from a point (x1, y1) to the circle
x2 + y2 = a2 is
Length of Tangent & Power of point
2. The length of the tangent from a point (x1, y1) to the circle
x2 + y2 + 2gx + 2fy + c = 0 is
Length of Tangent & Power of point
➔ The power of a point P with respect to any circle is PA • PB.
➔ From the geometry, we can write PA • PB = PT2
➔ Thus, the power of a point is the square of the length of the
tangent to a circle from that point.
Power of a point with respect to a circle
If the tangent at the point P on the circle x2 + y2 + 6x + 6y = 2 meets
a straight line 5x - 2y + 6 = 0 at a point Q on the y-axis, then the
length of PQ is
Chord of
Contact
➔ From any external point, two tangents can be drawn to a given
circle. The chord joining the points of contact of the two tangents
is called the chord of contact of tangents.
T = 0
Chord of Contact
The chords of contact of the pair of tangents drawn from each
point on the line 2x + y = 4 to circle x2 + y2 = 1 always passes
through a fixed point (a , b). Then find the value of a/b.
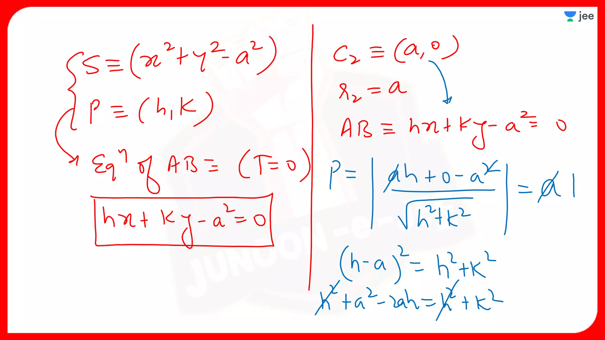
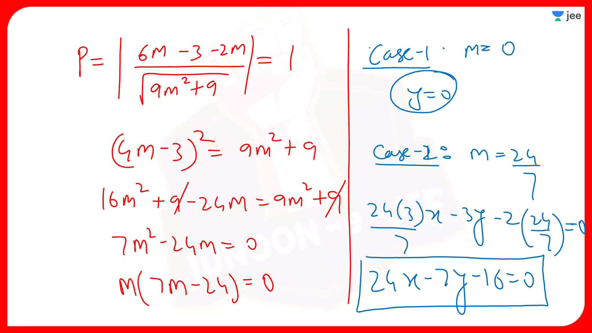
The locus of the point of intersection of the tangents at the
extremities of a chord of the circle x2 + y2 = a2 which touches the
circle x2 + y2 = 2ax is
Chord With
Given Midpoint
T = S1
Chord with given Midpoint
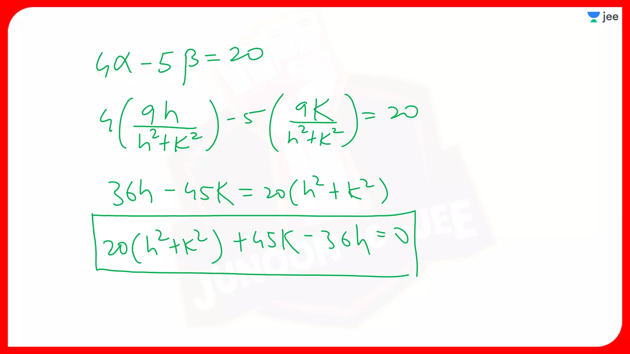
The locus of the midpoint of the chord of contact of tangents drawn from
points lying on the straight line 4x - 5y = 20 to the circle x2 + y2 = 9 is
JEE Adv. 2012
Pair of
Tangents
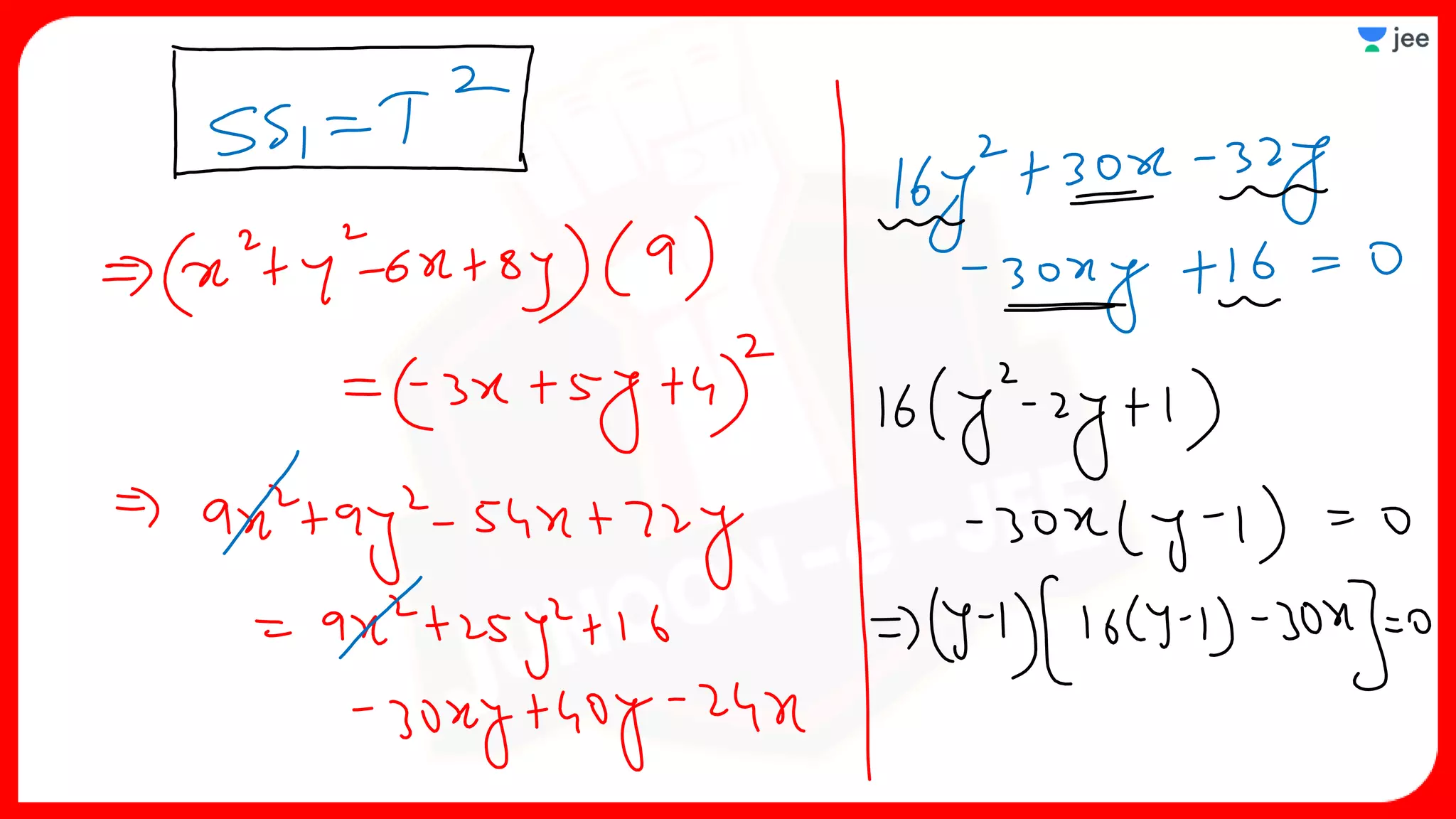
S.S1 = T2
Pair of tangents
Find the equation of tangents to the circle x2 + y2 - 6x + 8y = 0, from the
point (0, 1).
Director
Circle
➔ It is the locus of the point of intersection of perpendicular
tangents.
Director Circle
➔ In case of circles, it is a concentric circle having radius √2 times
the radius of the original circle.
P(h, k)
B
A
Director Circle
The locus of a point of intersection of perpendicular tangents to the circle
x2 + y2 - 4x - 6y - 1 = 0
The tangents drawn from the origin to the circle
x2 + y2 + 2ax - 2by + b2 = 0 are perpendicular then a2 - b2 is
Some
Important Results
Important Results
Let the tangents drawn from the origin to the circle,
x² + y² - 8x - 4y + 16 = 0 touch it at the points A and B. The (AB)² is equal to:
JEE Main 2020
Tangents drawn from the point P(1, 8) to the circle
x2 + y2 - 6x - 4y - 11 = 0 touch the circle at the points A and B.
The equation of the circumcircle of the triangle PAB is
JEE Adv. 2009
Relative Position
of two circles
Position Conditions Number of
Tangents
Non-Intersecting C1C2 > r1 + r2 4
Touching Externally C1C2 = r1 + r2 3
Intersecting |r1 - r2| < C1C2 < r1 + r2 2
Touching Internally C1C2 = |r1 - r2| 1
Circle inside Circle C1C2 < |r1 - r2| 0
The number of common tangents to the circles
x2 + y2 = 4 and x2 + y2 - 6x - 8y = 24 is
If the circles x² + y² - 16x - 20y + 164 = r² and
(x - 4)² + (y - 7)² = 36 intersect at two distinct points, then :
JEE Main 2019
Length and Equation
of
Common Tangents
Length of Tangents
1. Direct Common Tangent 2. Transverse Common
Tangent
Find the equation of common tangents to the circles
x2 + y2 - 12x - 8y + 36 = 0 and x2 + y2 - 4x - 2y + 4 = 0
touching the circles in the distinct points.
Orthogonality
of two circles
If the angle between the two circles is 900, then the circles are
said to be Orthogonal Circles.
Orthogonal Circles
Consider
These circles will be orthogonal if
and
Condition for Orthogonality
A circle S passes through the point (0, 1) and is orthogonal to the circles
(x - 1)2 + y2 = 16 and x2 + y2 = 1. Then
JEE Adv. 2014
If the circle passes through the point (a, b) and cuts the circle
x2 + y2 = k2 orthogonally, then the equation of the locus of its centre is
Two circles with equal radii are intersecting at the points (0, 1) and (0, -1).
The tangent at the point (0, 1) to one of the circles passes through the
centre of the other circle. Then the distance between the centres of these
circles is :
JEE Main 2019
Radical
Axis
The radical axis of two circles is the locus of a point which moves in a
plane in such a way that the lengths of the tangents drawn from it to
the two circles is equal.
Radical axis
S - S’ = 0
Radical axis
For intersecting circles, the common chord and the
radical axis are identical.
1.
Properties of the Radical Axis
If the two circles touch each other externally or
internally, the common tangents and the radical axis
are identical
2.
Properties of the Radical Axis
The radical axis is perpendicular to the straight lines which
joins the centres of the circles.The radical axis is perpendicular
to the straight lines which joins the centres of the circles.
3.
Properties of the Radical Axis
The radical axis bisects common tangents of two circles.
4
.
Properties of the Radical Axis
Only concurrent circles do not have a radical axis.
5.
Properties of the Radical Axis
If two circles cut a third circle orthogonally, the radical axis
of the two circles will pass through the centre of the third
circle.
6.
Properties of the Radical Axis
Let the circles S ≡ x2 + y2 - 12 = 0 and S’ ≡ x2 + y2 - 5x + 3y -2 = 0
intersect at points P and Q. Tangents are drawn to the circle S at
points P and Q. Then point of intersection of tangents is:
The length of common chord of the circles x2 + y2 = 12 and
x2 + y2 - 4x + 3y - 2 = 0, is
The common tangent to the circle x2 + y2 = 4 and
x2 + y2 + 6x + 8y - 24 = 0 also passes through the point:
JEE Main 2019
Radical
Center
The radical axis of three circles taken in pairs are concurrent at a
point called radical center.
Radical Center
The radical centre of the three given circles will be the centre of a fourth
circle, which cuts all the three circles orthogonally and the radius of the
fourth circle is the length of the tangent drawn from the radical centre of
the three given circles to any of these circles.
NOTE: Circle orthogonal to three circles
The radical axis of three circles taken in pairs are concurrent at a
point called radical center.
Radical Center
The radical centre of the three given circles will be the centre of a fourth
circle, which cuts all the three circles orthogonally and the radius of the
fourth circle is the length of the tangent drawn from the radical centre of
the three given circles to any of these circles.
NOTE: Circle orthogonal to three circles
Family of
Circles
The equation of the family of circles passing through the
points of intersection of two circles
S = 0 & S’ = 0 is: S + λ S’ = 0
(λ ≠ -1 provided the coefficient of x2 & y2 in S & S’ are same).
1.
Family of circles
The equation of the family of circles passing through the
point of intersection of a circle S = 0 & a line L = 0 is given
by S + λL = 0.
2.
Family of circles
The equation of a family of circles passing through two
given points (x1, y1) & (x2, y2) can be written in the form:
3.
Family of circles
The equation of a family of circles touching a fixed line
y - y1 = m(x - x1) at the fixed point (x1, y1) is
(x - x1)2 + (y - y1)2 + λ [(y - y1)- m(x - x1)] = 0,
4.
Family of circles
The circle passing through the intersection of the circles x2 + y2 - 6x = 0
and x2 + y2 - 4y = 0, having its centre on the line, 2x - 3y + 12 = 0, also
passes through the point:
A. (-1, 3) B. (-3, 6) C. (-3, 1) D. (1, -3)
JEE Main 2020
If y + 3x = 0 is the equation of a chord of the circle, x2 + y2 - 30x = 0, then
the equation of the circle with this chord as diameter is:
A. x2 + y2 + 3x + 9y = 0 B. x2 + y2 + 3x - 9y = 0
C. x2 + y2 - 3x - 9y = 0 D. x2 + y2 - 3x + 9y = 0
JEE Main 2015
The circle passing through the point (-1, 0) and touching the
y-axis at (0, 2) also passes through the point.
JEE Adv. 2011
livedaily.me/jee
Unacademy
Subscription
LIVE Polls & Leaderboard
LIVE Doubt Solving
LIVE Interaction
LIVE Class Environment Performance Analysis
Weekly Test Series
DPPs & Quizzes
India’s BEST Educators Unacademy Subscription
If you want to be the BEST
“Learn” from the BEST
Bratin Mondal
100 %ile
Top Results
Amaiya Singhal
100 %ile
12th / Drop
12th / Drop
11th / 9, 10
Plus ICONIC
11th / 9, 10
SAMEERLIVE
SAMEERLIVE
SAMEERLIVE
SAMEERLIVE
हज़ारो सुक
ू न छोड़ने पड़ते
हैं एक जुनून क
े लिए !

Circles.pdf

  • 1.
  • 2.
  • 3.
    Taught 1 Million+Students Certified by the IAPT EdTech Patent Holder Director - Unacademy JEE/NEET 10+ years Teaching experience 100+ Aspiring Teachers Mentored Taught 1 Million+ Students Sameer Chincholikar B.Tech, M.Tech - IIT-Roorkee
  • 4.
  • 5.
  • 7.
    12th / Drop 12th/ Drop 11th / 9, 10 Plus ICONIC 11th / 9, 10 SAMEERLIVE SAMEERLIVE
  • 8.
  • 9.
    It is thelocus of a point which moves in a plane in such a way that its distance from a fixed point is always constant. Circle
  • 10.
  • 11.
    1. x2 +y2 = a2, where the centre is (0, 0) and the radius is a. Center Radius Form 2. (x - x1)2 + (y - y1)2 = a2, where the centre is (x1, y1) and the radius is a.
  • 12.
  • 14.
    If the incentreof an equilateral triangle is (1, 1) and the equation of its one side is 3x + 4y + 3 = 0, then the equation of the circumcircle of this triangle is : A. B. C. D. x2 + y2 + 2x - 2y - 7 = 0 x2 + y2 + 2x - 2y + 2 = 0 x2 + y2 + 2x - 2y - 2 = 0 x2 + y2 - 2x - 2y - 14 = 0 JEE Main 2015
  • 16.
    A square isinscribed in the circle x2 + y2 - 6x + 8y - 103 = 0, with its sides are parallel to the coordinates axes. Then the distance of the vertex of this square which is nearest to the origin is: A. B. C. D. 13 √41 √137 6 JEE Main 2019
  • 18.
    A circle passesthrough the points (2, 3) and (4, 5). If its centre lies on the line, y - 4x + 3 = 0, then its radius is equal to A. B. C. D. 2 √2 1 √5 JEE Main 2018
  • 21.
    The equation ofa circle, when the end-points (x1, y1) and (x2, y2) of a diameter are given is (x - x1) (x - x2) + (y - y1) (y - y2) = 0 Diameter form
  • 23.
    Line 3x +7y = 21 meets the axes at A and B. Find the equation of the circle through O, A, B, where O is origin.
  • 24.
    A. If theequation of a circle be x2 + y2 = a2, its parametric equations are x = a cos θ, y = a sin θ. where θ is a parameter. Parametric Equation of a Circle
  • 25.
    Parametric Equation ofa Circle B. If the equation of a circle be (x - h)2 + (y - k)2 = a2, its parametric equations are x = h + a cosθ, y = k + a sinθ, where θ is a parameter.
  • 27.
    Find the parametricequations of circle x2 + y2 + 6x - 4y – 12 = 0
  • 28.
  • 29.
    1. The equationof the circle touching x axis (x - h)2 + (y - k)2 = k2 Circles under special conditions 2. The equation of the circle touching y axis (x - h)2 + (y - k)2 = h2 3. The equation of the circle touching both axis (x ± r)2 + (y ± r)2 = r2 4. The equation of the circle passing through origin x2 + y2 + 2gx + 2fy = 0. (r, r)
  • 31.
    The circle passingthrough (1, -2) and touching the axis of x at (3, 0) also passes through the point JEE Main 2013
  • 34.
    The equation ofthe circle passing through (3, -6) and touching both the axes is:
  • 38.
  • 39.
    Let the circlebe x2 + y2 + 2gx + 2fy + c = 0. Then Intercepts made on the axes by a circle
  • 41.
    Circle(s) touching x-axisat a distance 3 from the origin and having an intercept of length 2√7 on y-axis is (are) JEE Adv. 2013
  • 44.
  • 45.
  • 46.
    How many tangentscan be drawn from the point (5/2, 1) to the circumcircle of the triangle with vertices (1, √3) (1, -√3), (3, -√3).
  • 48.
  • 49.
  • 50.
  • 52.
    Find the valueof ‘k’ for which 3x - 4y + k = 0 will be tangent to the circle x2 + y2 = 10x.
  • 54.
    The equation ofa circle which touches both axes and the lines 3x - 4y + 8 = 0 and whose centre lies in the third quadrant is A. x2 + y2 + 2x + 4y - 2 = 0 B. x2 + y2 + 2x + 2y + 1 = 0 C. x2 + y2 + 4x + 4y + 4 = 0 D. x2 + y2 + 4x + 2y - 2 = 0
  • 56.
  • 57.
    T P(x1, y1) The equationof the tangent to the circle x2 + y2 + 2gx + 2fy + c = 0 at (x1, y1) Point form
  • 58.
    The tangent tothe circle C1 : x2 + y2 – 2x – 1 = 0 at the point (2, 1) cuts off a chord of length 4 from a circle C2 whose centre is (3, –2). The radius of C2, is A. √6 B. 2 C. √2 D. 3 JEE Main 2018
  • 61.
    The equation ofa tangent to the circle x2 + y2 = r2 at (r cos 𝛉, r sin 𝛉). Parametric form
  • 62.
    The equations ofthe tangent to the circle x2 + y2 = a2 which makes a triangle of area a2 with the coordinate axes, is
  • 64.
    The equation ofa tangent to the circle x2 + y2 = r2 with slope m. Slope form
  • 65.
    ➔ The coordinatesof the point of contact are Important Result
  • 67.
  • 68.
    Find the equationof tangents to the circle x2 + y2 - 6x + 4y - 12 = 0, which are parallel to the line 4x - 3y + 10 = 0.
  • 70.
    If a line,y = mx + c is a tangent to the circle (x - 3)2 + y2 = 1 and it is perpendicular to line L1, where L1is the tangent to the circle, x2 + y2 = 1 at the point (1/√2, 1/√2); then: JEE Main 2020
  • 73.
  • 74.
    Find the equationof tangents to the circle x2 + y2 - 6x + 8y = 0, from the point (0, 1).
  • 77.
  • 78.
    In case ofcircle we know that tangent is perpendicular to radius at the point of contact. If a line is perpendicular to the tangent at the point of contact then it is called a normal. Normal
  • 79.
    P(x1, y1) C(h, k) O X Y Normalalways passes through the centre of the circle
  • 80.
    The area ofthe triangle formed by the x-axis and the normal and the tangent to the circle x2 + y2 = 4x at (1, √3) is
  • 82.
  • 83.
    1. The lengthof the tangent from a point (x1, y1) to the circle x2 + y2 = a2 is Length of Tangent & Power of point
  • 84.
    2. The lengthof the tangent from a point (x1, y1) to the circle x2 + y2 + 2gx + 2fy + c = 0 is Length of Tangent & Power of point
  • 85.
    ➔ The powerof a point P with respect to any circle is PA • PB. ➔ From the geometry, we can write PA • PB = PT2 ➔ Thus, the power of a point is the square of the length of the tangent to a circle from that point. Power of a point with respect to a circle
  • 86.
    If the tangentat the point P on the circle x2 + y2 + 6x + 6y = 2 meets a straight line 5x - 2y + 6 = 0 at a point Q on the y-axis, then the length of PQ is
  • 88.
  • 89.
    ➔ From anyexternal point, two tangents can be drawn to a given circle. The chord joining the points of contact of the two tangents is called the chord of contact of tangents. T = 0 Chord of Contact
  • 90.
    The chords ofcontact of the pair of tangents drawn from each point on the line 2x + y = 4 to circle x2 + y2 = 1 always passes through a fixed point (a , b). Then find the value of a/b.
  • 93.
    The locus ofthe point of intersection of the tangents at the extremities of a chord of the circle x2 + y2 = a2 which touches the circle x2 + y2 = 2ax is
  • 96.
  • 97.
    T = S1 Chordwith given Midpoint
  • 98.
    The locus ofthe midpoint of the chord of contact of tangents drawn from points lying on the straight line 4x - 5y = 20 to the circle x2 + y2 = 9 is JEE Adv. 2012
  • 101.
  • 102.
    S.S1 = T2 Pairof tangents
  • 103.
    Find the equationof tangents to the circle x2 + y2 - 6x + 8y = 0, from the point (0, 1).
  • 106.
  • 107.
    ➔ It isthe locus of the point of intersection of perpendicular tangents. Director Circle
  • 108.
    ➔ In caseof circles, it is a concentric circle having radius √2 times the radius of the original circle. P(h, k) B A Director Circle
  • 110.
    The locus ofa point of intersection of perpendicular tangents to the circle x2 + y2 - 4x - 6y - 1 = 0
  • 112.
    The tangents drawnfrom the origin to the circle x2 + y2 + 2ax - 2by + b2 = 0 are perpendicular then a2 - b2 is
  • 114.
  • 115.
  • 117.
    Let the tangentsdrawn from the origin to the circle, x² + y² - 8x - 4y + 16 = 0 touch it at the points A and B. The (AB)² is equal to: JEE Main 2020
  • 120.
    Tangents drawn fromthe point P(1, 8) to the circle x2 + y2 - 6x - 4y - 11 = 0 touch the circle at the points A and B. The equation of the circumcircle of the triangle PAB is JEE Adv. 2009
  • 122.
  • 123.
    Position Conditions Numberof Tangents Non-Intersecting C1C2 > r1 + r2 4 Touching Externally C1C2 = r1 + r2 3 Intersecting |r1 - r2| < C1C2 < r1 + r2 2 Touching Internally C1C2 = |r1 - r2| 1 Circle inside Circle C1C2 < |r1 - r2| 0
  • 125.
    The number ofcommon tangents to the circles x2 + y2 = 4 and x2 + y2 - 6x - 8y = 24 is
  • 127.
    If the circlesx² + y² - 16x - 20y + 164 = r² and (x - 4)² + (y - 7)² = 36 intersect at two distinct points, then : JEE Main 2019
  • 129.
  • 130.
    Length of Tangents 1.Direct Common Tangent 2. Transverse Common Tangent
  • 134.
    Find the equationof common tangents to the circles x2 + y2 - 12x - 8y + 36 = 0 and x2 + y2 - 4x - 2y + 4 = 0 touching the circles in the distinct points.
  • 138.
  • 139.
    If the anglebetween the two circles is 900, then the circles are said to be Orthogonal Circles. Orthogonal Circles
  • 140.
    Consider These circles willbe orthogonal if and Condition for Orthogonality
  • 142.
    A circle Spasses through the point (0, 1) and is orthogonal to the circles (x - 1)2 + y2 = 16 and x2 + y2 = 1. Then JEE Adv. 2014
  • 145.
    If the circlepasses through the point (a, b) and cuts the circle x2 + y2 = k2 orthogonally, then the equation of the locus of its centre is
  • 148.
    Two circles withequal radii are intersecting at the points (0, 1) and (0, -1). The tangent at the point (0, 1) to one of the circles passes through the centre of the other circle. Then the distance between the centres of these circles is : JEE Main 2019
  • 150.
  • 151.
    The radical axisof two circles is the locus of a point which moves in a plane in such a way that the lengths of the tangents drawn from it to the two circles is equal. Radical axis
  • 152.
    S - S’= 0 Radical axis
  • 153.
    For intersecting circles,the common chord and the radical axis are identical. 1. Properties of the Radical Axis
  • 154.
    If the twocircles touch each other externally or internally, the common tangents and the radical axis are identical 2. Properties of the Radical Axis
  • 155.
    The radical axisis perpendicular to the straight lines which joins the centres of the circles.The radical axis is perpendicular to the straight lines which joins the centres of the circles. 3. Properties of the Radical Axis
  • 156.
    The radical axisbisects common tangents of two circles. 4 . Properties of the Radical Axis
  • 157.
    Only concurrent circlesdo not have a radical axis. 5. Properties of the Radical Axis
  • 158.
    If two circlescut a third circle orthogonally, the radical axis of the two circles will pass through the centre of the third circle. 6. Properties of the Radical Axis
  • 159.
    Let the circlesS ≡ x2 + y2 - 12 = 0 and S’ ≡ x2 + y2 - 5x + 3y -2 = 0 intersect at points P and Q. Tangents are drawn to the circle S at points P and Q. Then point of intersection of tangents is:
  • 162.
    The length ofcommon chord of the circles x2 + y2 = 12 and x2 + y2 - 4x + 3y - 2 = 0, is
  • 165.
    The common tangentto the circle x2 + y2 = 4 and x2 + y2 + 6x + 8y - 24 = 0 also passes through the point: JEE Main 2019
  • 168.
  • 169.
    The radical axisof three circles taken in pairs are concurrent at a point called radical center. Radical Center
  • 170.
    The radical centreof the three given circles will be the centre of a fourth circle, which cuts all the three circles orthogonally and the radius of the fourth circle is the length of the tangent drawn from the radical centre of the three given circles to any of these circles. NOTE: Circle orthogonal to three circles
  • 171.
    The radical axisof three circles taken in pairs are concurrent at a point called radical center. Radical Center
  • 172.
    The radical centreof the three given circles will be the centre of a fourth circle, which cuts all the three circles orthogonally and the radius of the fourth circle is the length of the tangent drawn from the radical centre of the three given circles to any of these circles. NOTE: Circle orthogonal to three circles
  • 173.
  • 174.
    The equation ofthe family of circles passing through the points of intersection of two circles S = 0 & S’ = 0 is: S + λ S’ = 0 (λ ≠ -1 provided the coefficient of x2 & y2 in S & S’ are same). 1. Family of circles
  • 175.
    The equation ofthe family of circles passing through the point of intersection of a circle S = 0 & a line L = 0 is given by S + λL = 0. 2. Family of circles
  • 176.
    The equation ofa family of circles passing through two given points (x1, y1) & (x2, y2) can be written in the form: 3. Family of circles
  • 177.
    The equation ofa family of circles touching a fixed line y - y1 = m(x - x1) at the fixed point (x1, y1) is (x - x1)2 + (y - y1)2 + λ [(y - y1)- m(x - x1)] = 0, 4. Family of circles
  • 178.
    The circle passingthrough the intersection of the circles x2 + y2 - 6x = 0 and x2 + y2 - 4y = 0, having its centre on the line, 2x - 3y + 12 = 0, also passes through the point: A. (-1, 3) B. (-3, 6) C. (-3, 1) D. (1, -3) JEE Main 2020
  • 181.
    If y +3x = 0 is the equation of a chord of the circle, x2 + y2 - 30x = 0, then the equation of the circle with this chord as diameter is: A. x2 + y2 + 3x + 9y = 0 B. x2 + y2 + 3x - 9y = 0 C. x2 + y2 - 3x - 9y = 0 D. x2 + y2 - 3x + 9y = 0 JEE Main 2015
  • 184.
    The circle passingthrough the point (-1, 0) and touching the y-axis at (0, 2) also passes through the point. JEE Adv. 2011
  • 187.
  • 188.
    Unacademy Subscription LIVE Polls &Leaderboard LIVE Doubt Solving LIVE Interaction LIVE Class Environment Performance Analysis Weekly Test Series DPPs & Quizzes
  • 189.
    India’s BEST EducatorsUnacademy Subscription If you want to be the BEST “Learn” from the BEST
  • 190.
    Bratin Mondal 100 %ile TopResults Amaiya Singhal 100 %ile
  • 193.
    12th / Drop 12th/ Drop 11th / 9, 10 Plus ICONIC 11th / 9, 10 SAMEERLIVE SAMEERLIVE
  • 199.
  • 200.
  • 201.
    हज़ारो सुक ू नछोड़ने पड़ते हैं एक जुनून क े लिए !