Gripping IFRS                                      Property, plant and equipment: the models


                                        Chapter 6
                     Property, Plant and Equipment: The Models

Reference: IAS 16, SIC 21

Contents:                                                                                 Page

   1. Introduction                                                                        219

   2. Definitions                                                                         220

   3. The cost model                                                                      221
      3.1 The ledger accounts                                                             221
      3.2 The magical line                                                                221
          Example 1: cost model: impairment loss                                          222
          Example 2: cost model: reversal of an impairment loss                           223
          Example 3: cost model: a summary example (the asset is not depreciated)         224
          Example 4: cost model: a summary example (the asset is depreciated)             226

   4. The revaluation model                                                               227
      4.1 Overview                                                                        227
      4.2 The ledger accounts                                                             227
      4.3 The magical line                                                                228
          Example 5: revaluation model: a summary example (the asset is not               230
          depreciated)
          Example 6: revaluation model: a summary example (the asset is                   232
          depreciated)
      4.4 The difference between the gross and net methods                                234
          4.4.1 The gross replacement value method                                        235
          4.4.2 The net replacement value method                                          235
          Example 7: revaluation model: value increases, creating a revaluation surplus   235
          Example 8: revaluation model: value decreases, reversing the revaluation        237
          surplus and creating a revaluation expense
          Example 9: revaluation model: increase in value, reversing previous             238
          revaluation expense and creating a revaluation surplus
          Example 10: disclosure of a revalued asset – NRVM and GRVM                      240
          compared
      4.5 Realisation of the revaluation surplus                                          241
          Example 11: removal of the revaluation surplus                                  242

   5. Disclosure                                                                          243
      5.1 Overview                                                                        243
      5.2 Accounting policies and estimates                                               243
      5.3 Statement of comprehensive income disclosure                                    243
      5.4 Statement of financial position disclosure                                      244
      5.5 Statement of changes in equity disclosure                                       244
      5.6 Further encouraged disclosure                                                   244
      5.7 Sample disclosure involving property, plant and equipment                       245
          Example 12: cost model disclosure                                               247
          Example 13: revaluation model disclosure                                        250
   6. Summary                                                                             257



                                             218                                    Chapter 6
Gripping IFRS                                         Property, plant and equipment: the models



1. Introduction

This chapter is really a continuation of the last chapter in that both chapters relate to property,
plant and equipment and both are therefore governed by IAS 16. This chapter, however, deals
with the two measurement models that IAS 16 allows you to apply:
• the cost model; and
• the revaluation model.

You can choose either model but must then apply that model to an entire class of assets. This
means, for example, that an entity may not use the cost model for a machine that makes bread
and the revaluation model for a machine that slices bread. Both machines must be measured
using the same model, say the cost model (since machines are a ‘class of asset’). Using the
cost model for machines would not, however, prevent the entity from measuring its vehicles
using the revaluation model because vehicles are a different class of asset to machines.

The cost model is the simplest model and is based on the original cost. The cost model is
therefore the base-line or benchmark method. This cost model is definitely easier to apply in
practice (and research suggests that it is currently the most commonly used model). This does
not for a minute suggest that the revaluation model is an unlikely test or exam question
though since the current trend in accounting is to use fair values (instead of historic costs) for
measurement purposes. Fortunately for you, however, the difficulty in applying the
revaluation model is not due to complexity from an academic point of view, but rather it is
complex to apply from a practical point of view (i.e. accounting and computer systems may
need to be updated to enable the revaluation model to be used).

Irrespective of the model used, the asset’s carrying amount is reflected through the use of the
following accounts:
• cost account
• accumulated depreciation and impairment loss account.

These two accounts (accumulated depreciation account and accumulated impairment loss
account) could be combined into one account instead in which case, depreciation, impairment
losses and impairment losses reversed would all be accumulated in the accumulated
depreciation and impairment loss account. This is the approach used in this book.

Irrespective of the model chosen, an asset is depreciated and tested for impairment annually.
We know how to calculate depreciation (this was covered in the previous chapter).
Impairments will be briefly explained in the process of this chapter, although impairment
testing is explained in more detail in the next chapter.

The previous chapter was based on the cost model, with the one exception: the previous
chapter did not tell you about the need to test for impairments annually. If the results of an
impairment test suggest that an asset’s carrying amount may be too high, it could be for the
simple reason that the accumulated depreciation is insufficient, in which case extra
depreciation is processed and accounted for as a change in estimate (according to IAS 8:
estimates, errors and policies). If the impairment test suggests that the carrying amount may
be too high, but you think the past depreciation is a fair reflection of past usage, then the
asset’s recoverable amount must be calculated and then compared with its carrying amount. If
the recoverable amount is less than the carrying amount, the carrying amount must be reduced
by processing an impairment loss adjustment. Notice the difference: the reduction in carrying
amount is expensed as an impairment loss if it reflects ‘damage’ to the asset whereas a drop in
value through ‘normal usage’ is called depreciation instead.

If the estimates that were used in calculating the recoverable amount change in the future, and
these estimates change such that the recoverable amount then increases above the carrying
amount, the previous impairment loss or part thereof may be reversed. The difference is called
an impairment loss reversed.

                                               219                                      Chapter 6
Gripping IFRS                                       Property, plant and equipment: the models


The carrying amount under the cost model is therefore measured at:
• cost less accumulated depreciation and less accumulated impairment losses.

The revaluation model, whilst requiring the entity to revalue to fair value, still requires the
entity to check for impairments at the end of every year.

This means that the carrying amount under the revaluation model is measured at:
• fair value less subsequent accumulated depreciation and accumulated impairment losses.

The calculation of the recoverable amount is covered by IAS 36, the standard governing
Impairments of Assets, and is therefore covered in an entirely separate chapter. This chapter
does not show you how to calculate the recoverable amount but shows you how to account for
adjustments to the asset’s carrying amount.

2. Definitions

Here are a further few definitions that will be used in this chapter (these are IAS 16
definitions, some of which I have modified slightly):

Impairment loss:
• the excess of
• the carrying amount
• over the recoverable amount

Fair value:
• the amount for which an asset could be exchanged between
• knowledgeable, willing parties in an arm's length transaction.

Recoverable amount:
• is the higher of the asset’s
   - fair value less costs to sell and
   - value in use.

Remember that the term ‘recoverable amount’ is covered in IAS 36, the standard governing
the Impairments of Assets. This standard is covered in an entirely separate chapter and,
therefore, the definitions and calculations of ‘fair value less costs to sell’ and ‘value in use’
are covered in that separate chapter.

In order to understand the differences between the cost model and the revaluation model,
there are a few more terms that are used in this chapter that you should first become familiar
with. These terms are not defined in IAS 16 and are simply the author’s definitions.

Historical carrying amount (depreciated historic cost):
• original cost less
• accumulated depreciation;

Actual carrying amount, when using the cost model:
• original cost
• less accumulated depreciation and impairment losses.

Actual carrying amount, when using the revaluation model:
• the fair value at date of revaluation
• less subsequent accumulated depreciation and impairment losses.




                                              220                                     Chapter 6
Gripping IFRS                                        Property, plant and equipment: the models



3. The cost model

3.1 The ledger accounts

The cost model relates to the measurement of the asset as follows:
• original cost
• less accumulated depreciation and
• less accumulated impairment losses.

When using the cost model, the cost account remains unchanged unless there is:
• a purchase of another asset (in which case, the cost of the new asset is added); or
• a sale of an asset (in which case, the cost of the sold asset is deducted).

You may keep two separate accounts for accumulated depreciation and accumulated
impairment losses, but it is possible to combine these two accounts into one account. This text
has opted to combine these two accounts into one account: accumulated depreciation and
impairment losses.

The accumulated depreciation and impairment loss account reflects adjustments to the
carrying amount caused by:
• depreciation (usage);
• impairment losses (damage); and
• impairment losses reversed (if the damage is repaired in some way).

3.2 The magical line

When using the cost model, the value of an asset may never be increased above its historical
carrying amount (the magical line). Since this historical carrying amount decreases each year,
the amount of any impairment loss reversed (income) will not be as great as the amount of the
original impairment loss (expense).

This is best explained by way of examples. At first you may find it useful to sketch a graph of
the situation, plotting the ‘magical’ historical carrying amount line (HCA), and then later the
actual carrying amount (ACA) and the recoverable amount (RA). Incidentally, most of us
never grow out of the need for a graph!




                                                 Historical carrying amount line
            Cost




            0                               Useful Life
Notice how the diagonal line represents a gradual reduction in the historical carrying amount
as the asset is depreciated over its useful life. Look at the graph carefully: when using the cost
model, the carrying amount of the asset is not allowed to be raised above this magical line
(the diagonal line).




                                               221                                     Chapter 6
Gripping IFRS                                           Property, plant and equipment: the models


For example:
Assume that the recoverable amount is greater than the historical carrying amount.
• If the actual carrying amount equalled the historical carrying amount, no adjustment
    would be made since this would entail increasing the actual carrying amount above its
    historical carrying amount.
• If, however, the asset had previously been impaired, then the asset’s actual carrying
    amount would be less than the historical carrying amount. In this case, the actual carrying
    amount must be increased, but only back up to the historical carrying amount (reversal of
    a previous impairment loss) but not all the way up to the recoverable amount (i.e. not
    above the historical carrying amount line).

Another way of showing the relationship between the recoverable amount, the carrying
amount and the historical carrying amount is presented in the following block diagramme.

Block diagramme 1: Adjustments to the carrying amount using the cost model

                             HCA                        HCA                        RA
                                                                                                 Not
                                                                                               allowed
 HCA/
                             ACA                         RA                       HCA
 ACA
                                            Further
                Imp loss                                             Imp loss                 Imp loss
                                           imp loss
                                                                     reversed                 reversed
   RA                         RA                        ACA                       ACA



This is much easier to understand if we look at a few examples involving numbers.
Example 1: cost model - impairment loss:

Cost of plant at 1/1/20X1:               C100 000
Depreciation:                            20% straight-line per annum (i.e. over a useful life of 5 years)
Recoverable amount at 31/12/20X1:        C60 000
Recoverable amount at 31/12/20X2:        C45 000

Required:
Provide the journals for both 20X1 and 20X2.

Solution to example 1: cost model - impairment loss
 W1: Impairment loss: 20X1                                                                      C
  Cost 1/1/20X1                        Given                                                  100 000
  Accumulated depreciation 20X1        (100 000 x 20% x 1 yr)                                 (20 000)
  Actual (and historic) carrying amount 31/12/20X1                                             80 000
  Recoverable amount 31/12/20X1        Given                                                  (60 000)
  Impairment loss                      The RA is less than CA                                  20 000

Journals: 20X1                                                               Debit            Credit
     Depreciation – plant (expense)          (100 000/ 5yrs remaining)       20 000
       Plant: accumulated depreciation & impairment losses (-A)                                20 000
     Depreciation of asset for year ended 31 December 20X1
     Impairment loss – plant (expense)       W1                                 20 000
       Plant: accumulated depreciation & impairment losses (-A)                                20 000
     Impairment of asset as at 31 December 20X1




                                                  222                                        Chapter 6
Gripping IFRS                                                 Property, plant and equipment: the models


Graphical depiction: 31/12/20X1




                        80 000( HCA & ACA)
Cost




                        20 000 (Debit impairment loss)

                                                                           Historical carrying amount line
                         60 000(RA)

 0                                     Useful Life


Journals: 20X2                                                                    Debit            Credit
    Depreciation – plant (expense)    (60 000/ 4yrs remaining (5-1))              15 000
      Plant: accumulated depreciation & impairment losses (-A)                                      15 000
    Depreciation of asset for year ended 31 December 20X2

Note: no further impairment loss was required to be journalised at 31/12/20X2 since the new carrying
amount (60 000 – 15 000 = 45 000) equals the recoverable amount.

Example 2: cost model - reversal of impairment loss

Cost of plant at 1/1/20X1:                    C100 000
Depreciation:                                 20% straight-line per annum (i.e. over a useful life of 5 years)
Recoverable amount at 31/12/20X1:             C60 000

Required:
Provide the journals for 20X2, assuming that the recoverable amount at 31/12/20X2 was
estimated at:
A. C55 000; and
B. C65 000

Solution to example 2: cost model - reversal of impairment loss
W1: Historical carrying amount 31/12/20X2:                                                       A and B

       Cost                                                                                         100 000
       Accumulated depreciation             (100 000 x 20% x 2yrs)                                  (40 000)
                                                                                                     60 000
W2: Actual carrying amount 31/12/20X2 (before the impairment testing):                           A and B

       Cost                                                                                         100 000
       Accumulated depreciation and impairment losses                                               (55 000)
       (depreciation 20X1: 20 000 + IL 20X1: 20 000 + depr 20X2: 15 000)
                                                                                                      45 000
 W3: Reversal of impairment loss required:                                              A              B

         Recoverable amount limited to historical carrying amount                     55 000          60 000
         (given: note that in part B that the RA of 65 000 is limited to
         historical carrying amount of 60 000)
         Less actual carrying amount (W2)                                             45 000          45 000
                                                                                      10 000          15 000



                                                       223                                        Chapter 6
Gripping IFRS                                           Property, plant and equipment: the models



 Journals: 20X2                                                                   A              B
                                                                               Dr/ (Cr)       Dr/ (Cr)
       Plant: accumulated depreciation and impairment losses (-A)                10 000          15 000
         Impairment loss reversed – plant (income)                              (10 000)        (15 000)
       Reversal of impairment loss journal on 31/12/20X2:


Graph depicting A: 31/12/20X2




                     60 000( HCA)
Cost




                     55 000(RA)
                     10 000 (Credit reversal of impairment loss)
                                                                      Historical carrying amount line
                    45000( ACA)

 0                                  Useful Life


Graph depicting B: 31/12/20X2

                    65 000(RA)
                    (No increase allowed)

                    60 000( HCA)
Cost




                    15 000     (Credit reversal of impairment loss)

                                                                      Historical carrying amount line
                     45 000( ACA)

 0                                  Useful Life


In summary, let’s consider the effects of impairment testing on:
• an asset that is not depreciated: land (example 3)
• an asset that is depreciated (example 4).

Example 3: cost model – a summary example (the asset is not depreciated)
Cost of land at 1/1/20X1:                     100 000
Depreciation:                            This land is not depreciated
Recoverable amount
• 31/12/20X1                                  120 000
• 31/12/20X2                                   70 000
• 31/12/20X3                                   90 000
• 31/12/20X4                                  110 000

Required:
Show the statement of financial position and ledger accounts for each of the years ended 31
December up to 20X4.


                                                  224                                        Chapter 6
Gripping IFRS                                                     Property, plant and equipment: the models


  Solution to example 3: cost model - summary example (the asset is not depreciated)
  Workings:
  W1: Carrying amount                                  Jnl        20X4          20X3           20X2            20X1
                                                       No.       Dr/ (Cr)      Dr/ (Cr)       Dr/ (Cr)        Dr/ (Cr)
  Opening balance                                      1           90 000        70 000        100 000         100 000
  Depreciation         Land not depreciated                          (0)           (0)             (0)           (0)
  Adjustment:
  • above              Not allowed above HCA                          0                                          0
      HCA
  • below              Dr: Impairment loss             2                                         (30 000)
      HCA
  • up to HCA          Cr: impairment loss             3; 4         10 000        20 000
                       reversed
  Closing balance:
  (lower of recoverable amount or carrying
  amount)                                                          100 000        90 000         70 000        100 000

  Historical carrying amount: (cost)                               100 000      100 000         100 000        100 000

  Ledger accounts:

                   Cost: land (asset)                                Accumulated impairment losses: land (asset)
1/1/ 20X1:                                                                                 31/12/20X2
Bank (1)           100 000                                     Balance c/f          30 000 Imp loss (2)           30 000
                   100 000                       100 000                            30 000                        30 000
Balance            100 000                                     31/12/20X3                  31/12/20X2:
                                                               Imp Loss Rev (3)     20 000 Balance b/f            30 000
                                                               Balance c/f          10 000
                                                                                    30 000                        30 000
                                                               31/12/20X4                  31/12/20X3:
                         Bank                                  Imp Loss Rev (4)     10 000 Balance b/f            10 000
                             1/1/ 20X1:
                                                               Balance c/f             0
                             Land (1)           100 000
                                                                                    10 000                        10 000
                                                                                             31/12/20X4
                                                                                             Balance b/f             0


              Impairment loss expense                                     Reversal of impairment loss income
31/12/20X2                  31/12/20X2                         31/12/20X3                  31/12/20X3
Acc Imp Loss (2)     30 000 P&L                   30 000       P&L                  20 000 Acc Imp Loss (3)       20 000
                                                               31/12/20X4                  31/12/20X4
                                                               P&L                  10 000 Acc Imp Loss (4)       10 000



  Disclosure:
  Company name
  Statement of financial position
  As at 31 December (extracts)
  ASSETS                                                              20X4          20X3          20X2         20X1
  Non-current Assets                                                    C            C             C             C
  Land                    20X1: Cost: 100 000 – AIL: 0               100 000       90 000        70 000       100 000
                                20X2: Cost: 100 000 – AIL:30 000
                                20X3: Cost: 100 000 – AIL:10 000
                                20X4: Cost: 100 000 – AIL:0


                                                           225                                              Chapter 6
Gripping IFRS                                               Property, plant and equipment: the models


  Example 4: cost model – a summary example (the asset is depreciated)

  Cost of machine at 1/1/20X1:                  100 000
  Depreciation: 25% per annum to a nil residual value
  Recoverable amount
  • 31/12/20X1                                  120 000
  • 31/12/20X2                                   40 000
  • 31/12/20X3                                   60 000
  • 31/12/20X4                                      0

  Required:
  Show the statement of financial position and ledger accounts for each of the years ended 31
  December.

  Solution to example 4: cost model – a summary example (the asset is depreciated)

  Workings:

  W1: Carrying amount and adjustments                  Jnl     20X4     20X3      20X2     20X1
                                                       No.    Dr/ (Cr) Dr/ (Cr) Dr/ (Cr) Dr/ (Cr)
  Opening balance                                      1        25 000    40 000   75 000  100 000
  Depreciation              100 000 / 4;               2       (25 000)  (20 000) (25 000) (25 000)
                            75 000 / 3;
                            40 000 / 2;
                            25 000 / 1
  Adjustment:
  • above HCA            Not allowed above HCA                              0                        0
  • up to HCA            Cr: impairment loss reversed 4                     5 000
  • below HCA            Dr: Impairment loss          3                               (10 000)
  Closing balance:
  lower of recoverable amount or carrying amount                  0        25 000      40 000       75 000

  Historical carrying amount: (cost)                              0        25 000      50 000       75 000

  Disclosure:

  Company name
  Statement of financial position
  As at 31 December (extracts)
  ASSETS                                                        20X4      20X3        20X2         20X1
  Non-current Assets                                             C          C           C            C
  Machine             20X1: Cost: 100 000 – AD&IL: 25 000         0        25 000      40 000       75 000
                        20X2: Cost: 100 000 – AD&IL:60 000
                        20X3: Cost: 100 000 – AD&IL:75 000
                        20X4: Cost: 100 000 – AD&IL:100 000

  Ledger accounts:

                    Cost (asset)                                               Bank
1/1/ 20X1:                                                                       1/1/ 20X1:
       (1)
Bank              100 000 Balance c/f        100 000                             Machine (1)        100 000
                  100 000                    100 000
Balance b/f       100 000




                                                       226                                       Chapter 6
Gripping IFRS                                             Property, plant and equipment: the models



                 Depreciation expense                     Accumulated depreciation & impairment losses
31/12/20X1                    31/12/20X1                                             31/12/20X1
AD&IL (2)                     P&L
                     25 000                25 000     Balance c/f           25 000 Depr (2)              25 000
31/12/20X2                  31/12/20X2
                                                                            25 000                       25 000
AD&IL (2)            25 000 P&L            25 000
31/12/20X3                    31/12/20X3                                             31/12/20X2:
AD&IL (2)                     P&L
                     20 000                20 000                                    Balance b/f         25 000
31/12/20X4                  31/12/20X4                                                      (2)
                                                                                     Depr                25 000
AD&IL (2)            25 000 P&L            25 000
                                                      Balance c/f           60 000 Imp loss (3)          10 000
                                                                            60 000                       60 000
                                                                                     31/12/20X3:
                                                            (4)
                                                      ILR                    5 000 Balance b/f           60 000
                                                      Balance c/f           75 000 Depr (2)              20 000
                                                                            80 000                       80 000
                                                                                     31/12/20X4:
                                                                                     Balance b/f         75 000
                                                      Balance c/f          100 000 Depr (2)              25 000
                                                                           100 000                      100 000
                                                                                     Balance b/f        100 000

             Impairment loss expense                              Reversal of impairment loss income
31/12/20X2                  31/12/20X2                31/12/20X3                   31/12/20X3
AccImpLoss (3)       10 000 P&L            10 000     P&L                    5 000 AccImpLoss (4)         5 000




  4. The revaluation model

  4.1 Overview

  The revaluation model involves revaluing the asset’s carrying amount to its fair value. This
  does not have to happen every year but can be at periodic intervals. Whatever interval is used,
  however, the revaluations must be performed regularly enough so that the carrying amount of
  the asset at year-end does not differ materially from its fair value.

  If the entity wishes to use the revaluation model for a particular asset, it must remember that it
  will have to apply the revaluation model to all assets within that class of assets.

  4.2 The ledger accounts

  The revaluation model refers to the measurement of an asset’s carrying amount at:
   • fair value
   • less subsequent accumulated depreciation
   • less subsequent accumulated impairment losses.

  When using the revaluation model, the cost account remains unchanged unless there is:
  • a purchase of another asset (in which case, the cost of the new asset is added);
  • a sale of an asset (in which case, the cost of the sold asset is deducted); or
  • a revaluation to fair value.


                                                    227                                             Chapter 6
Gripping IFRS                                       Property, plant and equipment: the models


You may keep two separate accounts for accumulated depreciation and accumulated
impairment losses, but it is possible to combine these two accounts into one account. This text
has opted to combine these two accounts into one account: accumulated depreciation and
impairment losses.

This accumulated depreciation and impairment loss account reflects adjustments to the
carrying amount caused by:
• depreciation (usage);
• impairment losses (damage); and
• impairment losses reversed (if the damage is repaired in some way).

4.3 The magical line

Unlike the cost model, the revaluation model allows the carrying amount of the asset to be
increased above its historical carrying amount (the magical line) as well as to be decreased
below it.

As with the cost model, the concepts are best understood by way of examples. At first you
may find it useful to sketch a graph of the situation, plotting the ‘magical’ historical carrying
amount line (HCA), and then later the actual carrying amount (ACA) and the recoverable
amount (RA).




                                                 Historical carrying amount line
            Cost




            0                               Useful Life

Notice how the diagonal line represents a gradual reduction in the historical carrying amount
as the asset is depreciated over its useful life. Look at the graph carefully: when using the
revaluation model, the carrying amount of the asset may be raised above this magical line (the
diagonal line) – but an increase in carrying amount above the magical line is recognised in
equity, not in the entity’s profits. Adjustments to the carrying amount that do not increase the
carrying amount above the magical line are simply recognised as part of profit for the year
(i.e. as an income or expense).

In the event that the carrying amount of an asset is increased to such a degree that it is now
greater than its historical carrying amount, the increase above the line is recognised in the
revaluation surplus account. This account is an equity account. The portion above the line is
not credited to income because income represents economic benefits that have already been
earned. In contrast, such an increase in the carrying amount of an asset represents extra future
economic benefits expected from the future use or sale of the asset. Furthermore, an asset has
increased in value with no concomitant increase in liabilities, thus having increased equity
(assets – liabilities). This increase is recognised as other comprehensive income and is
accumulated in equity.




                                              228                                     Chapter 6
Gripping IFRS                                            Property, plant and equipment: the models


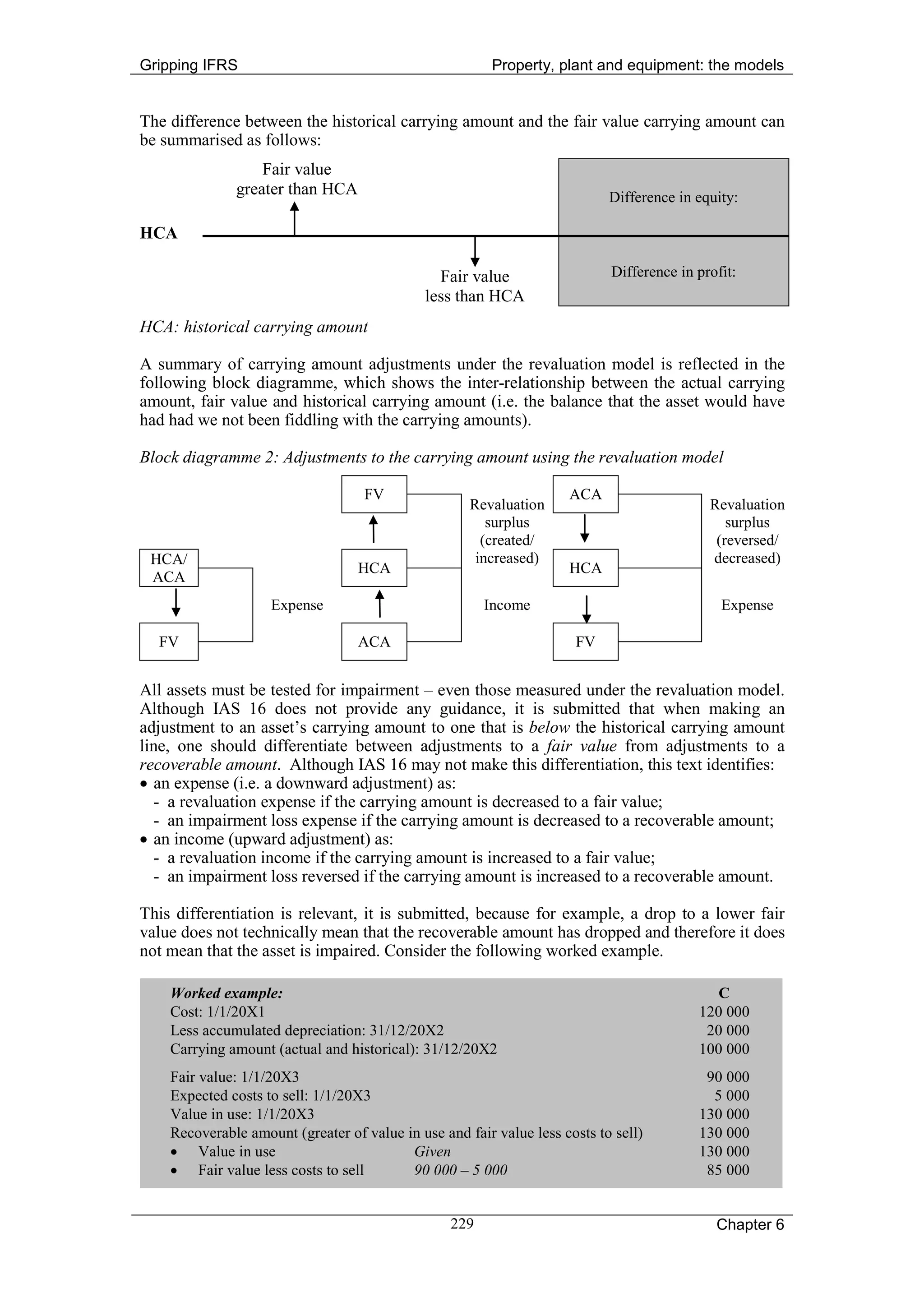
The difference between the historical carrying amount and the fair value carrying amount can
be summarised as follows:
                  Fair value
              greater than HCA                                              Difference in equity:

HCA

                                                Fair value                  Difference in profit:
                                              less than HCA
HCA: historical carrying amount

A summary of carrying amount adjustments under the revaluation model is reflected in the
following block diagramme, which shows the inter-relationship between the actual carrying
amount, fair value and historical carrying amount (i.e. the balance that the asset would have
had had we not been fiddling with the carrying amounts).

Block diagramme 2: Adjustments to the carrying amount using the revaluation model

                                    FV                               ACA
                                                     Revaluation                            Revaluation
                                                        surplus                                surplus
                                                       (created/                             (reversed/
 HCA/                                                 increased)                            decreased)
                                  HCA                                HCA
 ACA
                    Expense                             Income                                Expense

  FV                              ACA                                 FV


All assets must be tested for impairment – even those measured under the revaluation model.
Although IAS 16 does not provide any guidance, it is submitted that when making an
adjustment to an asset’s carrying amount to one that is below the historical carrying amount
line, one should differentiate between adjustments to a fair value from adjustments to a
recoverable amount. Although IAS 16 may not make this differentiation, this text identifies:
• an expense (i.e. a downward adjustment) as:
   - a revaluation expense if the carrying amount is decreased to a fair value;
   - an impairment loss expense if the carrying amount is decreased to a recoverable amount;
• an income (upward adjustment) as:
   - a revaluation income if the carrying amount is increased to a fair value;
   - an impairment loss reversed if the carrying amount is increased to a recoverable amount.

This differentiation is relevant, it is submitted, because for example, a drop to a lower fair
value does not technically mean that the recoverable amount has dropped and therefore it does
not mean that the asset is impaired. Consider the following worked example.

    Worked example:                                                                          C
    Cost: 1/1/20X1                                                                        120 000
    Less accumulated depreciation: 31/12/20X2                                              20 000
    Carrying amount (actual and historical): 31/12/20X2                                   100 000
    Fair value: 1/1/20X3                                                                   90 000
    Expected costs to sell: 1/1/20X3                                                        5 000
    Value in use: 1/1/20X3                                                                130 000
    Recoverable amount (greater of value in use and fair value less costs to sell)        130 000
    • Value in use                        Given                                           130 000
    • Fair value less costs to sell       90 000 – 5 000                                   85 000


                                                  229                                        Chapter 6
Gripping IFRS                                              Property, plant and equipment: the models


    If the revaluation model is applied on 1 January 20X3, the asset’s carrying amount will drop
    from 100 000 to its fair value of 90 000. The issue is, however, that before making this
    downward adjustment, the asset’s recoverable amount (130 000) is far greater than its
    carrying amount (100 000) and therefore the asset is definitely not impaired. It would
    therefore not be appropriate to call this downward adjustment an impairment loss expense
    (because the asset is not impaired) and would therefore be better identified as a revaluation
    expense (or similar).


As already explained, this text differentiates a revaluation expense from an impairment loss
expense (and a revaluation income from an impairment loss reversed), but there are those
who advocate that such differentiation is unnecessary. On the basis that IAS 16 does not make
this differentiation clearly required, it is common practice to identify all adjustments made to
the carrying amount below the historical carrying amount line, (whether an adjustment to a
recoverable amount or to a fair value), as follows:
• expense adjustments (i.e. adjustments downwards from historical carrying amount):
 - impairment losses; and
• income adjustments (i.e. adjustments upwards to historical carrying amount):
 - impairment loss reversed.

Please note that irrespective of whether or not you interpret IAS 16 and IAS 36 to require
differentiation, the carrying amount will be the same. To start with, we will look at an
example that involves land, since land is an asset that is generally not depreciated. This will
allow us to see the essence of the revaluation model. From there we will progress to an
example that involves a depreciable asset.

Example 5: revaluation model – a summary example (the asset is not depreciated)
Cost of land at 1/1/20X2:                     100 000
Depreciation:                            This piece of land is not depreciated
Fair value
• 1/1/20X2                                    120 000
• 1/1/20X3                                     90 000
• 1/1/20X4                                     70 000
• 1/1/20X5                                    110 000

The company’s policy is to leave any balance on the revaluation surplus intact until such time
as the asset is disposed of.
Required:
Show the statement of financial position and ledger accounts for each of the years ended 31
December 20X2 to 20X5.
Solution to example 5: revaluation model - a summary example (asset is not depreciated)
Workings:

W1. Carrying amount and adjustments          Jnl       20X5          20X4         20X3         20X2
                                             No.      Dr/ (Cr)      Dr/ (Cr)     Dr/ (Cr)     Dr/ (Cr)
Opening balance                              1          70 000        90 000      120 000      100 000
Depreciation       Land not depreciated                      (0)           (0)          (0)          (0)
Fair value adjustments:
Above HCA          Cr: revaluation surplus   2; 7          10 000                                20 000
Down to HCA        Dr: revaluation surplus   3                                    (20 000)
Below HCA          Dr: revaluation expense   4; 5                    (20 000)     (10 000)
Up to HCA          Cr: revaluation income    6             30 000
Closing balance fair value                                110 000     70 000       90 000       120 000

Historical carrying amount: (cost)                        100 000    100 000      100 000       100 000


                                                    230                                       Chapter 6
Gripping IFRS                                             Property, plant and equipment: the models


Ledger accounts:

               Cost: land (asset)                                    Revaluation surplus
1/1/ 20X1:                                                                   1/1/20X2:
Bank (1)       100 000 Balance c/f        100 000    Balance c/f      20 000 Cost (2)              20 000
               100 000                    100 000                     20 000                       20 000
31/12/ 20X1:                                         1/1/20X3:               31/12/20X2:
Balance b/f  100 000                                 Cost (3)         20 000 Balance b/f           20 000
1/1/20X2:                                                             20 000                       20 000
Rev Surp (2)     20 000 Balance c/f       120 000                              31/12/20X3:
                                                                               Balance b/f            0
               120 000                    120 000
31/12/ 20X2:         1/1/20X3:                                                 1/1/20X5:
                              (3)
Balance b/f  120 000 Rev Surp              20 000                              Cost (7)            10 000
                                    (4)
                          Rev Exp          10 000                     10 000                       10 000
                          Balance c/f      90 000                              31/12/20X5:
               120 000                    120 000                              Balance b/f         10 000
31/12/ 20X3:            1/1/20X4:
Balance b/f      90 000 Rev Exp (5)        20 000
                        Balance c/f        70 000
                 90 000                    90 000                             Bank
31/12/ 20X4:                                                                   1/1/ 20X1:
Balance b/f      70 000                                                        Land (1)           100 000
1/1/20X5:
Rev Inc (6)      30 000
Rev Surp (7)     10 000
               110 000                    110 000

31/12/ 20X5:
Balance b/f   110 000
            Revaluation expense                                      Revaluation income
1/1/20X3:               31/12/20X3                  31/12/20X5              1/1/20X5
Cost (4)         10 000 P&L               10 000    P&L              30 000 Cost
                                                                                 (3)
                                                                                                  30 000
1/1/20X4                31/12/20X4
Cost (5)         20 000 P&L               20 000


Disclosure:

Company name
Statement of financial position
As at 31 December (extracts)
ASSETS                                                     20X5         20X4          20X3      20X2
Non-current Assets                                           C           C             C          C
Land                20X1: Cost: 100 000 – AIL: 0           110 000     70 000        90 000     120 000
                     20X2: Cost: 100 000 – AIL:30 000
                     20X3: Cost: 100 000 – AIL:10 000
                     20X4: Cost: 100 000 – AIL:0
EQUITY AND LIABILITIES
Equity
Revaluation surplus                                         10 000        0            0         20 000




                                                    231                                       Chapter 6
Gripping IFRS                                            Property, plant and equipment: the models


 Now let us do an example that involves a depreciable asset. To keep things simple, we will
 combine the cost and accumulated depreciation accounts into one account that reflects
 carrying amount. It is not difficult to separate the entries between these two accounts, but is
 important to see the big picture before getting bogged down with the detail.

 Example 6: revaluation model – a summary example (the asset is depreciated)

 Cost of machine at 1/1/20X1:                   100 000
 Depreciation:                                 10% per annum to a nil residual value
 Fair value
 • 1/1/20X2                                     180 000
 • 1/1/20X3                                      60 000
 • 1/1/20X4                                      77 000
 • 1/1/20X5                                     120 000

 The company’s policy is to transfer the realised portion of the revaluation surplus to retained
 earnings as the asset is used.

 Required:
 Show the statement of financial position and ledger accounts for each of the years ended
 31 December 20X1 to 20X5. Prepare the asset’s account as a net carrying amount account
 (i.e. do not prepare separate cost and accumulated depreciation accounts).

 Solution to example 6: revaluation model - a summary example (asset is depreciated)

 Workings:

W1: Carrying amount and                 Jnl     20X5           20X4           20X3           20X2
adjustments                             No.    Dr/ (Cr)       Dr/ (Cr)       Dr/ (Cr)       Dr/ (Cr)
Opening balance 20X2: 100 000 x 9 /                66 000         52 500        160 000          90 000
                 10
Adjustment:
Above HCA        Cr: revaluation      1;7; 9       54 000          7 000                        90 000
                 surplus
Down to HCA      Dr: revaluation        3                                        (80 000)
                 surplus
Below HCA        Dr: revaluation        4                                        (20 000)
                 expense
Up to HCA        Cr: revaluation        6                         17 500
                 income
Fair value                                        120 000         77 000          60 000       180 000
Depreciation:
• 180 000/ 9 yrs                        2                                                      (20 000)
• 60 000 / 8                            5                                         (7 500)
     yrs
• 77 000 / 7                            8                        (11 000)
     yrs
• 120 000 / 6 yrs                       10        (20 000)
Closing balance                                   100 000         66 000          52 500       160 000

Historical carrying amount on date of              60 000         70 000          80 000        90 000
revaluation


 Ledger accounts are overleaf.




                                                   232                                      Chapter 6
Gripping IFRS                                             Property, plant and equipment: the models


Ledger accounts:

       Carrying amount: machine (asset)                             Revaluation surplus (equity)
1/1/ 20X2:               31/12/20X2                   31/12/20X2:                 1/1/20X2:
Balance b/f       90 000 Depr (2)          20 000     Ret Earn             10 000 Cost (1)             90 000
                                                      (90 000/ 9)
Rev Surp (1)      90 000 Balance c/f      160 000     Balance c/f          80 000
                 180 000                  180 000                          90 000                      90 000
31/12/ 20X2:                                          1/1/20X3:                   31/12/ 20X2:
Balance b/f      160 000                              CA (3)               80 000 Balance b/f          80 000
                           1/1/20X3:                  Balance c/f              0
                           Rev Surp (3)    80 000
                           Rev Exp (4)     20 000                          80 000                      80 000
                           31/12/20X3                                             31/12/20X3
                           Depr (5)         7 500                                 Balance b/f             0
                           Balance c/f     52 500     31/12/20X4:                 1/1/20X4
                                                      Ret Earn              1 000 CA (7)                7 000
                                                      (7 000/ 7)
                                                      Balance c/f            6000
                 160 000                  160 000                           7 000                       7 000
31/12/ 20X3:                                                                      31/12/20X4
Balance b/f       52 500                                                          Balance b/f           6 000
1/1/20X4                 31/12/20X4                   31/12/20X5:                 1/1/20X5
Rev Inc (6)       17 500 Depr (8)          11 000     Ret Earn             10 000 CA (9)               54 000
                                                       (60 000/ 6)
Rev Surp (7)       7 000 Balance c/f       66 000     Balance c/f          50 000
                  77 000                   77 000                          60 000                      60 000
31/12/ 20X4:                                                                        31/12/ 20X5:
Balance b/f       66 000                                                            Balance b/f        50 000
1/1/20X5                 31/12/20X5
Rev Surp (9)      54 000 Depr (10)         20 000
                         Balance c/f      100 000
                 120 000                  120 000
31/12/ 20X5:
Balance b/f      100 000


               Depreciation expense                                   Retained earnings (equity)
31/12/20X2               31/12/20X2                                                 31/12/20X2
CA (2)            20 000 P&L               20 000                                   Rev Surp           10 000
31/12/20X3               31/12/20X3                                                 31/12/20X4:
CA (5)             7 500 P&L                7 500                                   Rev Surp            1 000
31/12/20X4               31/12/20X4                                                 31/12/20X5:
CA (8)            11 000 P&L               11 000                                   Rev Surp           10 000
31/12/20X5               31/12/20X5
CA (10)           20 000 P&L               20 000


               Revaluation expense                                      Revaluation income
1/1/20X3:                31/12/20X3                   31/12/20X4                 1/1/20X4
CA (4)            20 000 P&L              20 000      P&L                 17 500 CA (6)                17 500




                                                    233                                            Chapter 6
Gripping IFRS                                           Property, plant and equipment: the models


Disclosure:

Company name
Statement of financial position
As at 31 December (extracts)
ASSETS                                                    20X5         20X4        20X3        20X2
Non-current assets                                          C            C           C           C
Machine       20X1: Cost: 100 000 – AIL: 0                100 000       66 000      52 500     160 000
              20X2: Cost: 100 000 – AIL:30 000
              20X3: Cost: 100 000 – AIL:10 000
              20X4: Cost: 100 000 – AIL:0
EQUITY AND LIABILITIES
Equity
Revaluation surplus                                        50 000        6 000       0          80 000

Notice how the revaluation surplus balance in the above statement of financial position reflects the
difference between the carrying amount and what it would have been had the asset not been revalued:
                                                             20X5    20X4        20X3        20X2
                                                               C       C           C           C
Carrying amount of asset is: statement of financial position 100 000  66 000      52 500     160 000
Historical carrying amount: original cost – depreciation      50 000  60 000      70 000 (a) 80 000
Revaluation surplus                                           50 000   6 000        0         80 000
a) Remember that by the end of 20X2, the asset has been depreciated for two years (20X1 and 20X2):
   100 000 – 100 000 x 10% x 2 years = 80 000

Another interesting point is that the adjustments made to retained earnings reflect the effect that the
revaluation has had on income in each of the years to date:
                                                                                           Cumulative
Effect on statement of comprehensive income between 20X2 and 20X5
                                                                                                C
Actual effect on profit using the revaluation model:
Depreciation expense: 20X1 to 20X5                   10 000 +20 000 +7 500 +11 000 +20 000     68 500
Revaluation expense (20X3)                                                                     20 000
Revaluation income (20X4)                                                                     (17 500)
Net effect on profit (between 20X1 and 20X5)                                                   71 000
Effect on profit had the cost model been used instead:
Depreciation expense: 20X1 to 20X5                   100 000 x 10% x 5 years                  (50 000)
Transfer: revaluation surplus to retained earnings   10 000 + 1 000 + 10 000                   21 000

4.4 The difference between the gross and net methods

As mentioned under the cost model, whether the cost model or the revaluation model is used,
the asset’s carrying amount is represented by two accounts:
• Cost account; and
• Accumulated depreciation and impairment loss account.

Under the cost model, adjustments to carrying amount only affect the accumulated
depreciation and impairment loss account (with the result that the cost account remains
unchanged). Under the cost model, therefore, the cost account continues to reflect cost.

Under the revaluation model, however, adjustments to carrying amount affect both the cost
account and the accumulated depreciation and impairment loss account. In fact, since
adjustments are made to the cost account such that the cost account no longer reflects cost, it
is referred to as ‘gross carrying amount’ in the financial statements.




                                                  234                                        Chapter 6
Gripping IFRS                                            Property, plant and equipment: the models


When making adjustments to an asset’s carrying amount under the revaluation model, the
entity may choose to account for the adjustment using:
• the gross replacement value method; or
• the net replacement value method.

The carrying amounts under each of these methods will be the same, although the method
used will affect the disclosure of the breakdown of the net carrying amount into its
components of:
• gross carrying amount (i.e. the amount sitting in the cost account); and
• accumulated depreciation and impairment losses.

4.4.1 The gross replacement value method

This method involves restating the cost account to the new gross replacement value and
proportionally restating the accumulated depreciation so that the net carrying amount equals
the net replacement value (fair value). In other words, the cost account will reflect the gross
replacement value, (which equals the total economic benefits embodied in the asset) and the
accumulated depreciation account will reflect how much of the total economic benefits have
been used up to date. We’ll do an example in a moment.

4.4.2 The net replacement value method

This method involves transferring the balance in the accumulated depreciation account
(immediately prior to the revaluation) to the cost account and then adjusting this net carrying
amount to the net replacement value (fair value).

The difference between the ‘gross’ and ‘net’ methods is best explained by way of an example.
The following three examples ignore the effects of deferred tax. The deferred tax effects of
revaluations are not difficult but are covered later in this chapter.

Example 7: revaluation model - increase in value, creating a revaluation surplus

Plant cost at 1/1/20X1:                       C100 000
Depreciation:                                 20% straight-line per annum to a nil residual value
Value at 1/1/20X2:                            C90 000 calculated as follows:
        Gross replacement value                                                112 500
        Accumulated depreciation                                                22 500
        Net replacement value (i.e. fair value)                                 90 000

The revaluation surplus is transferred to retained earnings over the life of the asset.

Required:
Show the journals using the:
A net replacement value method (NRVM)
B gross replacement value method (GRVM)

Solution to example 7: revaluation model – increase creating a revaluation surplus

Workings: applicable to both (A) and (B)

 W1: Actual (and historic) carrying amount 1/1/20X2:                                            C

     Cost                                                                                     100 000
     Accumulated depreciation (100 000 x 20% x 1 yr)                                          (20 000)
                                                                                               80 000




                                                  235                                         Chapter 6
Gripping IFRS                                               Property, plant and equipment: the models


 W2: Revaluation required at 1/1/20X2:                                                          C

      Fair value                                                                               90 000
      Actual carrying amount                                                                  (80 000)
                                                                                               10 000

Graph depicting both (A) and (B): 1/1/20X2

                                 90 000 (FV)
                                 10 000 (Credit revaluation surplus)
                                 80 000 (HCA & ACA)
              Cost




                                                                         Historical carrying amount line




              0                                   Useful Life

Journals                                                                          (A)              (B)
                                                                                NRVM             GRVM
                                                                                dr/ (cr)         dr/ (cr)
20X1:
Plant: cost                                                                        100 000         100 000
  Bank/ Liability                                                                 (100 000)       (100 000)
Purchase of asset: (1/1/20X1)
Depreciation                          (100 000 / 5 years remaining)                 20 000           20 000
 Plant: accumulated depreciation and impairment losses                             (20 000)         (20 000)
Depreciation: 100 000 / 5 years remaining (31/12/20X1)
20X2:
Plant: accumulated depreciation and impairment losses                               20 000            N/A
  Plant: cost                                                                      (20 000)           N/A
NRVM: set-off of accumulated depreciation before revaluing asset
(1/1/20X2)
Plant: cost                                                                         10 000            N/A
  Revaluation surplus                                                              (10 000)           N/A
NRVM: revaluation of asset: (1/1/20X2)
Plant: cost                          (112 500 - 100 000)                           N/A               12 500
  Plant: accum. depr and imp. loss   (22 500 - 20 000)                             N/A               (2 500)
  Revaluation surplus                (90 000 - 80 000)                             N/A              (10 000)
GRVM: revaluation of asset: (1/1/20X2)
Depreciation                          90 000 / 4 years remaining                    22 500           22 500
 Plant: accumulated depreciation and impairment losses                             (22 500)         (22 500)
Depreciation: (31/12/20X2)
Revaluation surplus                       (10 000 / 4 years remaining)               2 500            2 500
  Retained earnings                                                                 (2 500)          (2 500)
Artificial decrease in profits reversed: (31/12/20X2) Alternative
calculation: (22 500 revalued depreciation – 20 000 historic
depreciation)




                                                     236                                      Chapter 6
Gripping IFRS                                              Property, plant and equipment: the models


Example 8: revaluation model - decrease in value, reversing the revaluation surplus
and creating a revaluation expense:

Assume the same information as that in the last example with the following information:

         Value at 1/1/20X3: C54 000 calculated as follows:
           Gross replacement value                                                             90 000
           Accumulated depreciation                                                            36 000
           Net replacement value (fair value)                                                  54 000

Required:
Show the journals using the:
A net replacement value method (NRVM)
B gross replacement value method (GRVM)

Solution to example 8: revaluation model - decrease in value, reversing the revaluation
surplus and creating a revaluation expense :

Workings applicable to both (A) and (B)

 W1: Historical carrying amount at 1/1/20X3:                                                    C

         Cost                                                                                 100 000
         Accumulated depreciation (100 000 x 20% x 2 yr)                                      (40 000)
                                                                                               60 000

 W2: Actual carrying amount at 1/1/20X3:                                                        C

         Carrying amount at 1/1/20X2 after revaluation                                          90 000
         Depreciation in 20X2 (90 000/ 4yrs) or (112 500/ 5 yrs)                               (22 500)
                                                                                                67 500

 W3: Devaluation required at 1/1/20X3:                                                          C

       Fair value                                                                               54 000
       Actual carrying amount                                                                  (67 500)
                                                                                               (13 500)
       - reverse revaluation surplus (down to HCA: ACA: 67 500 – HCA: 60 000)                    7 500
       - revaluation expense (below HCA: HCA: 60 000 – NRV: 54 000)                              6 000

Graph depicting both (A) and (B): 1/1/20X3

                     67 500 (ACA)
                      7 500 (Debit revaluation surplus)
                      60 000 (HCA)
Cost




                      6 000 (Debit revaluation expense)


                       54 000(FV)                                    Historical carrying amount line


 0                                   Useful Life




                                                    237                                     Chapter 6
Gripping IFRS                                            Property, plant and equipment: the models



Journals:                                                                      (A)            (B)
                                                                             NRVM           GRVM
                                                                             dr/ (cr)       dr/ (cr)
Devaluation journals 1/1/20X3:

Plant: accumulated depreciation                                                 22 500       N/A
  Plant: cost                                                                  (22 500)      N/A
Set off of accumulated depreciation against cost (NRVM)

Revaluation surplus           (the balance in this account)                      7 500       N/A
Revaluation expense           (further decrease expensed: 13 500 – 7 500)        6 000       N/A
 Plant: cost                  (CA: 67 500 – FV: 54 000)                        (13 500)      N/A
Reversal of balance in RS (7 500) with excess (13 500 - 7 500) expensed

Revaluation surplus           (the balance in this account)                     N/A             7 500
Revaluation expense           (further decrease expensed: 13 500 – 7 500)       N/A             6 000
  Plant: cost                 (90 000 – 112 500)                                N/A           (22 500)
Plant: accum. depreciation    (36 000 – 45 000)                                 N/A             9 000
Restatement of cost and accumulated depreciation accounts: the first
adjustment reduces the revaluation surplus and any excess thereafter is
debited to impairment loss (p.s. the cost account is now reduced below
historical cost of 100 000)

Depreciation and related journals: 31/12/20X3:

Depreciation – plant        (54 000 / 3 years remaining)                        18 000         18 000
 Plant: accum. depreciation                                                    (18 000)       (18 000)
Depreciation for 20X2

Comment:
Please note that the difference between the journals using the NRVM and the GRVM are purely for
disclosure purposes. The essence of the above adjustments can be more clearly seen in the following
simplified journal:                                                           NRVM and GRVM
                                                                             Debit            Credit
Revaluation surplus                                                             7 500
Revaluation expense                                                             6 000
  Plant at net carrying amount                                                                 13 500

The only difference in the journals is the setting-off of the accumulated depreciation and cost account
in the case of the NRVM.
The NRVM requires that these two accounts are set-off against each other and then that the cost
account is adjusted to the new carrying amount (fair value).
The GRVM does not set-off these two accounts but adjusts each of them so that the net thereof would
equal the new carrying amount (fair value).

Example 9: revaluation model - increase in value, reversing a previous revaluation
expense and creating a revaluation surplus
Assume the same information as that given in the previous example as well as the following:
     Fair value at 1/1/20X4: C44 000 calculated as follows:
           Gross replacement value                                                           110 000
           Accumulated depreciation                                                           66 000
           Net replacement value                                                              44 000
Required:
Show the journals using
A. net replacement value method (NRVM)
B. gross replacment value method (GRVM)


                                                  238                                       Chapter 6
Gripping IFRS                                             Property, plant and equipment: the models


Solution to example 9: revaluation model - increase in value, reversing a previous
revaluation expense and creating a revaluation surplus
Workings applicable to both (A) and (B)

 W1: Historical carrying amount at 1/1/20X4:                                                 C
    Cost                                                                                     100 000
    Accumulated depreciation             (100 000 x 20% x 3yrs)                              (60 000)
                                                                                              40 000

 W2: Actual carrying amount at 1/1/20X4:                                                      C
    Carrying amount at 1/1/20X3 after impairment loss                                          54 000
    Depreciation in 20X3                  (54 000/ 3yrs) or (90 000/ 5 yrs)                   (18 000)
                                                                                               36 000

 W3: Increase in value required at 1/1/20X4:                                                 C
   Fair value                                                                                  44 000
   Actual carrying amount                                                                     (36 000)
                                                                                                8 000
       - revaluation income                 (up to HCA: 36 000 – 40 000)                        4 000
       - revaluation surplus                (above HCA: 40 000 – 44 000)                        4 000

Graph depicting both (A) and (B): 1/1/20X4

                     44 000 (FV)
                     4 000 (Credit revaluation surplus)

                     40 000 (HCA)
Cost




                     4 000 (Credit reversal of revaluation expense)

                                                                    Historical carrying amount line
                      36 000 (ACA)

 0                                 Useful Life

Journals                                                                     (A)             (B)
                                                                           NRVM            GRVM
                                                                           dr/ (cr)        dr/ (cr)
Revaluation journals 1/1/20X4:

Plant: accumulated depreciation                                               18 000          N/A
  Plant: cost                   (18 000 + 6 000)                             (18 000)         N/A
NRVM: Set off of accumulated depreciation against cost

Plant: cost                       (44 000 – 36 000)                             8 000         N/A
  Revaluation income              (36 000 – 40 000)                            (4 000)        N/A
  Revaluation surplus             (40 000 – 44 000)                            (4 000)        N/A
NRVM: Reversal of previous revaluation expense (4 000) with excess
(8 000 - 4 000) credited to equity

Plant: cost                   (110 000 – 90 000)                              N/A             20 000
  Plant: accum depreciation   (66 000 – 54 000)                               N/A            (12 000)
  Revaluation income                                                          N/A             (4 000)
  Revaluation surplus                                                         N/A             (4 000)
GRVM: Increase in value apportioned between cost and accumulated
depreciation

                                                 239                                       Chapter 6
Gripping IFRS                                            Property, plant and equipment: the models


Journals continued …                                                              (A)             (B)
                                                                                NRVM            GRVM
                                                                                dr/ (cr)        dr/ (cr)
Depreciation and related journals 31/12/20X4:
Depreciation – plant          (44 000 / 2yrs)                                      22 000          22 000
 Plant: accum depreciation                                                        (22 000)        (22 000)
Depreciation for 20X4

Revaluation surplus             (22 000 – 20 000) or (4 000/ 2yrs)                  2 000           2 000
 Retained earnings                                                                 (2 000)         (2 000)
Excess depreciation for 20X4 transferred to retained earnings


Example 10: disclosure of a revalued asset – NRVM and GRVM compared

Assume the same information as in the previous three examples

A Disclose the plant note using the net replacement value method (NRVM) for 20X1 –
  20X4years.
B Disclose the plant note using the gross replacement value method (GRVM). Disclose all
  3 years.

Solution to example 10A: disclosure of a revalued asset using NRVM

Company name
Notes to the financial statements
For the year ended 31 December 20X3 (extracts)
                                                   20X4              20X3            20X2         20X1
                                                    C                  C               C            C
3. Plant (extracts)

Net carrying amount: 1 January                          36 000        67 500         80 000         0
Gross carrying amount: 1 January                        54 000        90 000        100 000         0
Accum. depreciation and imp. losses: 1                 (18 000)      (22 500)       (20 000)       (0)
January

Additions                                                0              0              0         100 000
Depreciation                                           (22 000)      (18 000)        (22 500)    (20 000)
Revaluation (expense) / income (profit)                  4 000        (6 000)          0           0
Revaluation surplus increase / (decrease)                4 000        (7 500)         10 000       0
(equity)

Net carrying amount: 31 December                        22 000        36 000          67 500       80 000
Gross carrying amount: 31 December                      44 000        54 000          90 000      100 000
Accum. depreciation and imp. losses: 31                (22 000)      (18 000)        (22 500)     (20 000)
 Dec

The last revaluation was performed on 1/1/20X4 by an independent sworn appraiser to the fair value in
use and the fair value adjustment was recorded on a net replacement value basis. Revaluations are
performed annually. Had the cost model been adopted, the carrying amount would have been C20 000
(20X3: C40 000; 20X2: C60 000 and 20X1: C80 000).




                                                 240                                            Chapter 6
Gripping IFRS                                              Property, plant and equipment: the models


Solution to example 10B: disclosure of a revalued asset using GRVM
Company name
Notes to the financial statements
For the year ended 31 December 20X3 (extracts)
                                         20X4                    20X3          20X2          20X1
                                           C                      C             C              C
3. Plant (extracts)

Net carrying amount: 1 January                  36 000            67 500       80 000          0
Gross carrying amount: 1 January                90 000          112 500       100 000          0
Accum. deprec. and imp. losses: 1 Jan          (54 000)          (45 000)     (20 000)        (0)

Additions                                        0                 0            0            100 000
Depreciation                                   (22 000)         (18 000)      (22 500)        (20 000)
Revaluation (expense) / income (profits)         4 000           (6 000)        0              0
Revaluation surplus increase / (decrease)        4 000           (7 500)       10 000          0
(equity)

Net carrying amount: 31 December               22 000            36 000        67 500          80 000
Gross carrying amount: 31 December            110 000            90 000       112 500        100 000
Accum. deprec. and imp. losses: 31 Dec        (88 000) 3        (54 000) 2    (45 000) 1      (20 000)

The last revaluation was performed on 1/1/20X4 by an independent sworn appraiser to the fair value in
use and the fair value adjustment was recorded on a gross replacement value basis. Revaluations are
performed annually. Had the cost model been adopted, the carrying amount would have been C20 000
(20X3: C40 000; 20X2: C60 000 and 20X1: C80 000).

Comment: Notice that the only difference between the disclosure of the two methods is the split
between the amount classified as ‘gross carrying amount’ and the amount classified as ‘accumulated
depreciation and impairment losses’. The net carrying amounts (at the beginning and end of the year)
and the movement during the year are not affected.

(1) 20 000 + 2 500 + 22 500 = 45 000
(2) 45 000 + 18 000 – 9 000 = 54 000
(3) 54 000 + 12 000 + 22 000 = 88 000


4.5 Realisation of the revaluation surplus

Whether you are using the net method or the gross method to account for a revaluation, any
revaluation surplus account that is created must be removed from the accounts by the time
that the related asset no longer exists. The transfer is made directly to the retained earnings
account, which means that the transfer is from one equity account to another equity account,
thus having no effect on the statement of comprehensive income.                 This is not a
reclassification adjustment and will therefore have no impact on the statement of
comprehensive income, but will appear as a transfer between equity accounts in the statement
of changes in equity.
                                                                             Debit         Credit
Revaluation surplus                                                            xxx
  Retained earnings                                                                           xxx
Transfer of the revaluation surplus to retained earnings

The transfer of the revaluation surplus to retained earnings effectively reverses the effect that
the artificially increased depreciation has had on profits over the life of the asset. When the
asset’s depreciable amount is zero (the asset having been fully depreciated), the revaluation
surplus account must also be zero.


                                                  241                                      Chapter 6
Gripping IFRS                                            Property, plant and equipment: the models


The transfer may be done in a variety of ways:
• transfer it as one lump sum when the asset is retired (at the end of the asset’s useful life);
• transfer it as one lump sum when the asset is sold or otherwise disposed of; or
• transfer it gradually as and when the asset is depreciated.

For local (Pakistan) legislation requirements regarding treatment of surplus arising out of
revaluation see section 235 of the Companies Ordinance, 1984 and a notification of the
Security Exchange Commission of Pakistan –SRO 45 (1)/2003, dated 13/01/2003

Example 11: removal of revaluation surplus

An asset with a cost of C100 (1/1/20X1) and a useful life of 4 years is revalued to fair value
of C120 (1/1/20X2). It is retired from use at the end of its useful life (31/12/20X4) and is sold
on 18/9/20X5. The residual value is zero and the straight-line method of depreciation is
appropriate.

Required:
Ignoring the tax effect, show the journal entries reducing the revaluation surplus to zero
assuming that:
    a) the transfer is done as the underlying asset is depreciated;
    b) the transfer is done at the end of the asset’s useful life; and
    c) the transfer is done when the asset is disposed of.
Solution to example 11: removal of revaluation surplus

                                                  Asset carrying     Historic           Extra
Workings                                            amount          depreciation     depreciation
Cost                        1/1/20X1                     100             100
Depreciation - original     20X1: (100 - 0)/ 4yrs        (25)            (25)
Carrying amount             31/12/20X1                    75              75
Revaluation surplus         120 - 75                      45
Revalued carrying amount                                 120              75                45
Depreciation - revised      20X2: (120-0)/3yrs           (40)            (25)              (15)
Depreciation - revised      20X3: (120-0)/3yrs           (40)            (25)              (15)
Depreciation - revised      20X4: (120-0)/3yrs           (40)            (25)              (15)
Carrying amount                                            0               0                 0

a) Journals: posted at end of each year                                     Debit        Credit

31 December 20X2
Revaluation surplus                                                             15
  Retained earnings                                                                        15
Transfer of revaluation surplus to retained earnings (45 / 3)

31 December 20X3
Revaluation surplus                                                             15
  Retained earnings                                                                        15
Transfer of revaluation surplus to retained earnings (45 / 3)

31 December 20X4
Revaluation surplus                                                             15
  Retained earnings                                                                        15
Transfer of revaluation surplus to retained earnings (45 / 3)

b) Journals: posted 31/12/20X4                                              Debit        Credit

Revaluation surplus                                                             45


                                                  242                                   Chapter 6
Gripping IFRS                                            Property, plant and equipment: the models


  Retained earnings                                                                        45
Transfer of revaluation surplus to retained earnings when asset is
retired from use

c) Journals: posted 18/9/20X5                                               Debit        Credit

Revaluation surplus                                                          45
  Retained earnings                                                                        45
Transfer of revaluation surplus to retained earnings on disposal of asset


5. Disclosure

5.1 Overview

The disclosure of property, plant and equipment involves various aspects: accounting policies
to be included in the notes to the financial statements, disclosure in the statement of
comprehensive income, statement of financial position and the statement of changes in equity.

5.2 Accounting policies and estimates

For each class of property, plant and equipment (e.g. land, buildings, machinery, etc) the
following should be disclosed:
• measurement bases used to determine the gross carrying amounts (e.g. cost model or
    revaluation model);
• depreciation methods used (e.g. straight-line method); and
• useful lives or depreciation rates used (e.g. 5 years or 20% per annum).

The nature and effect of a change in estimate must be disclosed in accordance with IAS 8 (the
standard governing ‘accounting policies, changes in accounting estimates and errors’).

5.3 Statement of comprehensive income disclosure

The following income and expense items should be disclosed in the notes to the financial
statements and should be shown per class of property, plant and equipment (a suggestion that
generally helps to reduce time wastage in tests and exams is to include these items in a note
that supports the ‘profit before tax’ line item in the statement of comprehensive income):
• depreciation expense (whether recognised in profit or loss or as part of the cost of another
     asset);
• impairment losses (and the line item of the statement of comprehensive income in which
     it is included) (i.e. when the recoverable amount is less than carrying amount and any
     revaluation surplus has already been written off);
• reversal of impairment losses(and the line item of the statement of comprehensive income
     in which it is included) (i.e. when the recoverable amount is greater than carrying amount,
     and to the extent that the increase in carrying amount up to historical carrying amount
     reverses a previous impairment loss); and
• revaluation expense (i.e. when the fair value is less than carrying amount and any
     revaluation surplus has already been written off)
• revaluation income (i.e. when the fair value is greater than carrying amount, and to the
     extent that the increase in carrying amount up to historical carrying amount reverses a
     previous revaluation expense);
• profits or losses on the realisation, scrapping or other disposal of a non-current asset
• a revaluation or devaluation that changes the balance in the revaluation surplus account
     will be recognised in other comprehensive income (and accumulated as equity): this
     amount may be shown gross with the tax thereon shown as a separate line item in other
     comprehensive income or this amount may be shown net of tax (the tax effect would then
     be shown in a note).


                                                  243                                   Chapter 6
Gripping IFRS                                       Property, plant and equipment: the models


5.4 Statement of financial position disclosure

The following is the main information that should be disclosed in the note to the
‘property, plant and equipment’ line item in the statement of financial position.

This information must be disclosed separately for each class of property, plant and
equipment (e.g. land, buildings, machinery, etc):
• ‘gross carrying amount’ and ‘accumulated depreciation and impairment losses’ at the
    beginning and end of each period;
• a reconciliation between the ‘net carrying amount’ at the beginning and end of the period
    separately disclosing each of the following where applicable:
    − additions;
    − acquisitions through business combinations;
    − disposals;
    − assets transferred to ‘non-current assets held for sale’ in accordance with IFRS 5;
    − depreciation;
    − impairment losses recognised in the statement of comprehensive income;
    − impairment losses reversed through the statement of comprehensive income;
    − increases through revaluation income;
    − increases in a related revaluation surplus;
    − decreases in a related revaluation surplus;
    − decreases through revaluation expense;
    − other movements (e.g. currency translation differences);
• the existence and amounts of restrictions on title;
• the existence and amounts of assets that have been pledged as security for a liability;
• the costs capitalised in respect of property, plant and equipment being constructed;
• the amount of any contractual commitments to acquire assets in the future;
• when the revaluation model is adopted, then disclose:
    − the effective date of the latest revaluation;
    − whether or not the valuer was independent;
    − the methods and significant assumptions applied in estimating the asset’s fair values
        (the extent to which these fair values were determined in accordance with active
        markets, recent market transactions or using other valuation techniques);
    − the carrying amount of the property, plant and equipment had the cost model been
        adopted (per class of revalued property, plant and equipment); and
    − the revaluation surplus, its movements and any restrictions on the distribution thereof.

The standard also requires that the accumulated depreciation be disclosed (as opposed to the
aggregate of the accumulated depreciation and accumulated impairment losses that is given in
the reconciliation of the carrying amount of the asset) at the end of the period.

5.5 Statement of changes in equity disclosure

If the property, plant and equipment is revalued using the revaluation model, there may be a
revaluation surplus which would need to be disclosed as follows:
• increase or decrease in revaluation surplus during the period (net of tax): this will be per
     the statement of comprehensive income;
• realisations of revaluation surplus (e.g. transfer to retained earnings as the asset is used up
     or on disposal); and
• any restrictions on the distribution of the surplus to shareholders.

5.6 Further encouraged disclosure

•   the carrying amount of property, plant and equipment that is temporarily idle;
•   the gross amount of property, plant and equipment that is still in use but that has been
    fully depreciated;
•   the carrying amount of property, plant and equipment that is no longer used and is to be
    disposed of (but not yet classified as held for sale in accordance with IFRS 5); and

                                              244                                     Chapter 6
Gripping IFRS                                              Property, plant and equipment: the models


•    the fair value of the asset in the event that the cost model is adopted and the difference
     between fair value and carrying amount is material.

5.7 Sample disclosure involving property, plant and equipment

ABC Ltd
Statement of financial position
As at 31 December 20X2 (extracts)
                                                                                     20X2       20X1
ASSETS                                                                      Note      C          C
Non-current Assets
Property, plant and equipment                                                4


ABC Ltd
Statement of changes in equity
For the year ended 31 December 20X2 (extracts)
                                                                 Revaluation       Retained     Total
                                                                   surplus         earnings
                                                                      C               C          C
Balance at 1 January 20X1
Total comprehensive income
Realised portion transferred to retained earnings
Balance at 31 Dec 20X1
Total comprehensive income
Realised portion transferred to retained earnings
Balance at 31 December 20X2

ABC Limited
Notes to the financial statements
For the year ended 31 December 20X2 (extracts)

2.   Accounting policies
     Depreciation is not provided on land and buildings since it is considered to be an investment
     property. Depreciation is provided on all other property, plant and equipment over the expected
     economic useful life to expected residual values using the following rates and methods:
                - Plant and vehicles at 10% per annum, reducing balance method.
     Plant is revalued annually to fair values and is thus carried at fair value less accumulated
     depreciation and impairment losses. All other property, plant and equipment is shown at cost less
     accumulated depreciation and impairment losses.

3.   Profit before tax
                                                                                    20X2       20X1
     Profit before tax is stated after taking the following into account:            C          C
        Depreciation on plant
        Depreciation on vehicles
        Revaluation income on plant
        Revaluation expense on vehicles
        Impairment losses on vehicles
        Impairment losses reversed on plant (income)

4.   Property, plant and equipment
                                                                                    20X2        20X1
      Total carrying amount:                                                         C           C
      Land and buildings
      Plant
      Vehicles


                                                    245                                       Chapter 6
Gripping IFRS                                            Property, plant and equipment: the models


    Land and buildings                                                        20X2        20X1
                                                                               C           C
    Net carrying amount: 1 January
    Gross carrying amount: 1 January
    Accumulated depreciation and impairment losses: 1 January
    Additions
    Disposals
    Depreciation
    Revaluation increase/ (decrease) through equity
    Revaluation increase/ (decrease) through profit
    (Impairment loss)/ Impairment loss reversed
    Other
    Net carrying amount: 31 December
    Gross carrying amount: 31 December
    Accumulated depreciation and impairment losses: 31 Dec

   Land was revalued on 1/1/20X1 by Mr X (his qualification), an independent sworn appraiser, to
   the fair value determined with reference to an active market. The fair value adjustment was
   recorded on a net replacement value basis. Revaluations are performed annually. Had the cost
   model been adopted, the carrying amount would have been CXXX (20X0: CXXX). Land…
   (description of and its situation) acquired on… (date) for… (amount paid). Additions and
   improvements since date of acquisition have cost… (amount).

    Plant
    Net carrying amount: 1 January
    Gross carrying amount: 1 January
    Accumulated depreciation and impairment losses: 1 January
    Depreciation
    Revaluation increase/ (decrease) through equity
    Revaluation increase/ (decrease) through profit
    (Impairment loss)/ Impairment loss reversed
    Additions
    Disposals
    Other
    Net carrying amount: 31 December
    Gross carrying amount: 31 December
    Accumulated depreciation and impairment losses: 31 Dec

   Plant is provided as security for a loan (see the note 51: loans).

    Vehicles
    Net carrying amount: 1 January
    Gross carrying amount: 1 January
    Accumulated depreciation and impairment losses: 1 January
    Depreciation
    Revaluation increase/ (decrease) through equity
    Revaluation increase/ (decrease) through profit
    (Impairment loss)/ Impairment loss reversed
    Additions
    Disposals
    Other
    Net carrying amount: 31 December
    Gross carrying amount: 31 December
    Accumulated depreciation and impairment losses: 31 Dec




                                                  246                                   Chapter 6
Gripping IFRS                                                Property, plant and equipment: the models


Example 12: cost model disclosure

Cost of plant at 1/1/20X1:                                  C100 000
Depreciation:                                               25% straight-line per annum to a nil residual value

The company measures its assets under the cost model. The following recoverable amounts
were calculated:

       Recoverable amount at 31 December 20X1 is C60 000
       Recoverable amount at 31 December 20X2 is C55 000

There are no other items of property, plant or equipment.

Required:
A. Disclose the plant and all related information in the financial statements for the years ended
   31 December 20X1, 20X2, 20X3 and 20X4 in accordance with the International Financial
   Reporting Standards, ignoring deferred tax;
B. Show the journals and show all additional or revised related disclosure assuming that:
    Deductible allowance (wear and tear) granted by the tax             25% straight-line per year
    authorities
    Normal income tax rate                                              30%
    The company intends to keep the plant. There are no other temporary differences other
    than those evident from the information provided.

Solution to example 12A: cost model disclosure

ABC Ltd
Statement of financial position
As at 31 December 20X4 (EXTRACTS)
                                                               20X4         20X3         20X2         20X1
                                                Note            C            C            C            C
ASSETS
Non-current Assets
Property, plant and equipment                     4               0          25 000      50 000        60 000

ABC Ltd
Notes to the financial statements
For the year ended 31 December 20X4
                                             Note                20X4        20X3        20X1         20X0
                                                                  C           C           C             C
2.    Accounting policies

      2.1 Property, plant and equipment

      Plant is measured using the cost model: cost less accumulated depreciation and impairment losses.

      Depreciation is provided on all property, plant and equipment over the expected economic useful
      life to expected residual values using the following rates and methods:
             Plant:          25% per annum, straight-line method.

 3.    Profit before tax

      Profit before tax is stated after taking the following disclosable (income)/ expenses into account:

      Depreciation on plant                                       25 000      25 000      20 000       25 000
      Impairment loss                                                 0            0           0       15 000
      Impairment loss reversed                                        0            0     (10 000)           0


                                                      247                                           Chapter 6
Gripping IFRS                                           Property, plant and equipment: the models


 4.    Property, plant and equipment (extracts)          20X4        20X3        20X1         20X0
                                                           C          C            C           C
      Plant
      Net carrying amount: 1 January                      25 000      50 000     60 000              0
      Gross carrying amount:                             100 000     100 000    100 000              0
      Accumulated depreciation and imp losses:           (75 000)    (50 000)   (40 000)             0

      Additions                                                0           0           0     100 000
      Depreciation                                       (25 000)    (25 000)    (20 000)    (25 000)
      Impairment loss                                          0           0           0     (15 000)
      Impairment loss reversed                                 0           0      10 000           0

      Net carrying amount: 31 December                         0      25 000     50 000       60 000
      Gross carrying amount:                             100 000     100 000    100 000      100 000
      Accumulated depreciation and imp losses:          (100 000)    (75 000)   (50 000)     (40 000)


Solution to example 12B: cost model disclosure - with deferred tax

Journals                                                                                     Dr/ (Cr)

20X1:
Plant: cost                                                                                   100 000
  Bank/ Liability                                                                            (100 000)
Purchase of asset: (1/1/20X1)
Depreciation                      (100 000 / 4 years remaining)                                25 000
  Plant: accumulated depreciation and impairment losses                                       (25 000)
Depreciation on plant
Impairment loss                   CA: (100 000 – 25 000) – RA: 60 000                          15 000
  Plant: accumulated depreciation and impairment losses                                       (15 000)
Impairment loss
Deferred tax                      W1 or [(25 000 + 15 000) – (25 000)] x 30%                    4 500
  Tax expense                                                                                  (4 500)
Deferred tax caused by plant/ impairment loss

20X2:
Depreciation                      (60 000 / 3 years remaining)                                 20 000
  Plant: accumulated depreciation and impairment losses                                       (20 000)
Depreciation on plant
Plant: accumulated depreciation and impairment losses                                          10 000
  Impairment losses reversed      CA: (60 000 – 20 000) – RA: 55 000, ltd to 50 000 cost      (10 000)
Impairment loss reversed
Tax expense                       W1 or [(20 000 - 10 000) – (25 000)] x 30%                    4 500
  Deferred tax                                                                                 (4 500)
Deferred tax caused by plant/ impairment loss reversed & revised depreciation

20X3
Depreciation                      (50 000 / 2 years remaining)                                 25 000
  Plant: accumulated depreciation and impairment losses                                       (25 000)
Depreciation on plant

20X4
Depreciation                      (25 000 / 1 year remaining)                                  25 000
  Plant: accumulated depreciation and impairment losses                                       (25 000)
Depreciation on plant




                                                  248                                       Chapter 6
Gripping IFRS                                              Property, plant and equipment: the models


ABC Ltd
Statement of financial position
As at 31 December 20X4 (EXTRACTS)
                                                       20X4         20X3        20X2        20X1
                                         Note           C            C           C            C
ASSETS
Non-current Assets
Property, plant and equipment              4               0         25 000      50 000       60 000
Deferred taxation                          5               0            0           0          4 500

ABC Limited
Notes to the financial statements
For the year ended 31 December 20X4 (extracts)
                                    Note       20X4                 20X3        20X2        20X1
                                                 C                    C          C            C

5.   Deferred taxation asset/ (liability)
      The deferred taxation balance comprises:
      Capital allowances (the balances in W1)            0               0        0            4 500
                                                         0               0        0            4 500

6.   Taxation expense/ (income)
      Normal income tax
       - current                                         X               X       X            X
       - deferred (the movement in W1)                   0               0       4 500        (4 500)


All other notes would remain the same.

W1: Deferred tax calculation:

                             Carrying            Tax           Temporary      Deferred       Details
Plant
                             amount              base          difference     taxation
Balance: 1/1/20X1                 0                  0               0              0
Purchase                      100 000            100 000
Depreciation                   (25 000)          (25 000)                                  Movement:
(100 000/ 4 years)                                                               4 500     Dr DT (FP)
(100 000 x 25%                                                                             Cr TE (CI)
Impairment loss                 (15 000)           0
Balance: 31/12/20X1              60 000           75 000           15 000        4 500     Asset
                                                                                           balance
Depreciation                    (20 000)         (25 000)
                                                                                           Movement:
(60 000/ 3 years)
                                                                                 (4 500)   Cr DT (FP)
(100 000 x 25%
                                                                                           Dr TE (CI)
Impairment loss reversed         10 000            0
Balance: 31/12/20X2              50 000           50 000             0                0
Depreciation                    (25 000)         (25 000)
(50 000/ 2 years)
(100 000 x 25%
Balance: 31/12/20X3              25 000           25 000             0                0
Depreciation                    (25 000)         (25 000)
(25 000/ 1 year)
(100 000 x 25%
Balance: 31/12/20X4               0                0                 0                0




                                                  249                                        Chapter 6
Gripping IFRS                                           Property, plant and equipment: the models


Example 13: revaluation model disclosure

Cost of plant at 1/1/20X1:                            C100 000
Depreciation:                                         20% straight-line per annum to a nil residual
                                                      value

The company revalue its plant on an annual basis and records the fair value adjustments using
the net replacement value basis. The following revaluations were performed:

      Fair value at 1/1/20X2 is C90 000
      Fair value at 1/1/20X3 is C54 000
      Fair value at 1/1/20X4 is C44 000

There are no other items of property, plant or equipment.
Profit for each year is C100 000 (after tax).
There are no components of other comprehensive income other than that which is evident from
the information provided.

Required:
A. Disclose the plant and all related information in the financial statements for the years ended
   31 December 20X1, 20X2, 20X3 and 20X4 in accordance with the International Financial
   Reporting Standards, ignoring deferred tax.
B. Repeat the journals (using the net replacement value method) and show all additional or
   revised related disclosure assuming that:
    Deductible allowance (wear and tear) granted by the tax             20% straight-line per
    authorities                                                         year
    Normal income tax rate                                              30%
    The company intends to keep the plant. There are no other temporary differences other
    than those evident from the information provided.
    The company shows components of other comprehensive income net of tax.
C. Assume the information given in B above except that the company presents the
    components of other comprehensive income gross with their tax effects shown as a
    separate line item. Present the statement of comprehensive income and the note on tax on
    other comprehensive income.

Solution to example 13A: revaluation model disclosure - no deferred tax

The journals for part A may be found under examples 7, 8 and 9.

ABC Ltd
Statement of comprehensive income (extracts)
For the year ended 31 December 20X4
                                      Notes           20X4        20X3        20X2        20X1
                                                        C           C           C           C
Profit for the period                                 100 000     100 000     100 000     100 000

Other comprehensive income net of tax                   4 000      (7 500)     10 000       0
Revaluation surplus / (devaluation)                     4 000      (7 500)     10 000       0

Total comprehensive income                            104 000      92 500     110 000     100 000




                                                250                                     Chapter 6
Gripping IFRS                                              Property, plant and equipment: the models



ABC Ltd
Statement of changes in equity (extracts)
For the year ended 31 December 20X4
                                                                Revaluation       Retained        Total
                                                                  surplus         earnings
                                                                     C               C              C
Balance at 1 January 20X1                                             0              X              X
Total comprehensive income                                            0             100 000       100 000
Balance at 31 December 20X1                                           0              X              X
Total comprehensive income                                          10 000          100 000       110 000
Realised portion transferred to retained earnings                    (2 500)          2 500
Balance at 31 December 20X2                                           7 500          X              X
Total comprehensive income                                           (7 500)        100 000        92 500
Balance at 31 December 20X3                                           0              X              X
Total comprehensive income                                            4 000         100 000       104 000
Realised portion transferred to retained earnings                    (2 000)          2 000
Balance at 31 December 20X4                                           2 000          X              X

ABC Ltd
Statement of financial position (extracts)
As at 31 December 20X4
                                                       20X4          20X3           20X2          20X1
                                            Note        C             C              C              C
ASSETS
Non-current Assets
Property, plant and equipment                4            22 000       36 000        67 500        80 000
EQUITY AND LIABILITIES
Revaluation surplus (from SOCIE)                           2 000            0         7 500                 0

ABC Limited
Notes to the financial statements
For the year ended 31 December 20X4 (extracts)
                                                       20X4          20X3           20X2          20X1
                                                        C             C              C             C
2.    Accounting policies
      2.1 Property, plant and equipment
      Plant is revalued annually to fair values and is thus carried at fair value less accumulated
      depreciation and impairment losses.

      Depreciation is provided on all property, plant and equipment over the expected economic useful
      life to expected residual values using the following rates and methods:
             Plant:          20% per annum, straight-line method.

 3.    Profit before tax
      Profit before tax is stated after taking the following disclosable (income)/ expenses into account:

      Depreciation on plant                               22 000       18 000        22 500        20 000
      Revaluation expense                                      0        6 000             0             0
      Revaluation income                                  (4 000)           0             0             0




                                                    251                                        Chapter 6
Gripping IFRS                                             Property, plant and equipment: the models



ABC Limited
Notes to the financial statements
For the year ended 31 December 20X4 (extracts) continued …
                                                20X4       20X3                  20X2           20X1
                                                  C         C                     C              C

 4.    Property, plant and equipment (extracts)
      Plant
      Net carrying amount: 1 January                     36 000        67 500     80 000
      Gross carrying amount:                             54 000        90 000    100 000               0
      Accumulated depreciation and impairment           (18 000)      (22 500)   (20 000)              0
      losses:

      Additions                                              0             0          0         100 000
      Depreciation                                      (22 000)      (18 000)   (22 500)       (20 000)
      Revaluation surplus increase/ (decrease)            4 000        (7 500)    10 000             0
      Revaluation income/ (expense)                       4 000        (6 000)        0              0

      Net carrying amount: 31 December                   22 000        36 000     67 500         80 000
      Gross carrying amount:                             44 000        54 000     90 000        100 000
      Accumulated depreciation and impairment           (22 000)      (18 000)   (22 500)       (20 000)
      losses:

      The last revaluation was performed on 1/1/20X4 by an independent sworn appraiser to the fair
      value in use and the fair value adjustment was recorded on a net replacement value basis.
      Revaluations are performed annually.

       Carrying amount had the cost model been
       used instead:                                     80 000        20 000     40 000         60 000

Solution to example 13B revaluation model disclosure - with deferred tax
Journals                                                                                    Dr/ (Cr)

1/1/20X1
Plant: cost                                                                                   100 000
  Bank/ Liability                                                                            (100 000)
Purchase of asset
31/12/20X1
Depreciation                               (100 000 / 5 years remaining)                       20 000
  Plant: accumulated depreciation                                                             (20 000)
Depreciation

1/1/20X2:
Plant: accumulated depreciation                                                                20 000
  Plant: cost                                                                                 (20 000)
NRVM: set-off of accumulated depreciation before revaluing asset
Plant: cost                          W1                                                        10 000
  Revaluation surplus                                                                         (10 000)
NRVM: revaluation of asset
Revaluation surplus                  W1                                                         3 000
  Deferred tax                                                                                 (3 000)
Deferred tax on revaluation of asset
31/12/20X2:
Depreciation                         W1                                                        22 500
  Plant: accumulated depreciation                                                             (22 500)
Depreciation on plant


                                                  252                                        Chapter 6
Gripping IFRS                                                Property, plant and equipment: the models


Journals continued …                                                                            Dr/ (Cr)

31/12/20X2 continued …
Revaluation surplus                     (7 000 / 4 years remaining) or (22 500 revalued             1 750
  Retained earnings                     depreciation – 20 000 historic depreciation) x 70%         (1 750)
Artificial decrease in after-tax profits reversed: (31/12/20X2)
Deferred tax                            W1                                                            750
 Taxation                                                                                            (750)
Depreciation versus tax deductible allowance: (31/12/20X2)

1/1/20X3
Plant: accumulated depreciation                                                                    22 500
  Plant: cost                                                                                     (22 500)
Set off of accumulated depreciation against cost (NRVM)
Revaluation surplus                  W1: balance in revaluation surplus                             7 500
Revaluation expense                  W1: (13 500 - 7 500)                                           6 000
  Plant: cost                        67 500 -54 000                                               (13 500)
Devaluation of plant to fair value
Deferred tax                         W1; or 7 500 x 30%                                             2 250
  Revaluation surplus                                                                              (2 250)
Deferred tax on reversal of equity:
31/12/20X3
Depreciation                         W1                                                            18 000
  Plant: accumulated depreciation                                                                 (18 000)
Depreciation on plant
Deferred tax                         W1                                                             1 200
  Tax                                                                                              (1 200)
Depreciation & impairment loss versus tax deductible allowance

1/1/20X4
Plant: accumulated depreciation                                                                    18 000
  Plant: cost                                                                                     (18 000)
Set off of accumulated depreciation against cost (NRVM)
Plant: cost                             36 000 – 44 000                                             8 000
  Revaluation income                    W1: up to historical carrying amount                       (4 000)
  Revaluation surplus                   W1: above historical carrying amount                       (4 000)
Revaluation to an increased fair value
Revaluation surplus                     W1; or 4 000 x 30%                                          1 200
  Deferred taxation                                                                                (1 200)
Deferred tax on revaluation surplus
31/12/20X4
Depreciation                            W1                                                         22 000
  Plant: accumulated depreciation                                                                 (22 000)
Depreciation on plant
Revaluation surplus                     (2 800) / 2 years; OR (22 000 revalued depreciation –       1 400
  Retained earnings                     20 000 historic depreciation) x 70%                        (1 400)
Artificial decrease in after-tax profits reversed
Tax                                     W1: 1 200 - 600                                               600
  Deferred tax                                                                                       (600)
Depreciation & impairment loss reversed versus tax deductible allowance:




                                                      253                                        Chapter 6
Gripping IFRS                                               Property, plant and equipment: the models


Disclosure:

ABC Ltd
Statement of comprehensive income (extracts)
For the year ended 31 December 20X4
                                      Notes               20X4         20X3            20X2          20X1
                                                            C            C               C             C
Profit for the period                                     100 000      100 000         100 000       100 000

Other comprehensive income(net of              7            2 800        (5 250)          7 000         0
tax)
Revaluation surplus / (devaluation)                         2 800        (5 250)          7 000         0

Total comprehensive income                                102 800       94 750          107 000      100 000


ABC Ltd
Statement of changes in equity
For the year ended 31 December 20X4 (EXTRACTS)
                                                                 Revaluation         Retained        Total
                                                                   surplus           earnings
                                                                      C                  C            C
Balance at 1 January 20X1                                               0                X            X
Total comprehensive income                                              0               100 000        0
Balance at 31 December 20X1                                             0                X            X
Total comprehensive income                                              7 000           100 000      107 000
Realised portion transferred to retained earnings                      (1 750)             1 750         0
Balance at 31 December 20X2                                             5 250            X                X
Total comprehensive income                                             (5 250)          100 000       94 750
Balance at 31 December 20X3                                             0                X            X
Total comprehensive income                                              2 800           100 000      102 800
Realised portion transferred to retained earnings                      (1 400)             1 400         0
Balance at 31 December 20X4                                             1 400            X            X


ABC Ltd
Statement of financial position
As at 31 December 20X4 (EXTRACTS)
                                                          20X4           20X3           20X2         20X1
                                         Note               C              C              C           C
ASSETS
Non-current Assets
Property, plant and equipment              3                22 000        36 000         67 500       80 000
Deferred taxation                          4                     0         1 200              0            0
EQUITY AND LIABILITIES
Equity
Revaluation surplus (from SOCIE)                             1400                0         5250              0
Non-current liabilities
Deferred taxation                          4                  600                0         2 250             0




                                                    254                                            Chapter 6
Gripping IFRS                                              Property, plant and equipment: the models



ABC Limited
Notes to the financial statements
For the year ended 31 December 20X4 (extracts)
                                                     20X4             20X3            20X2            20X1
                                                      C                C               C                C
5.   Deferred taxation asset/ (liability)
      The deferred taxation balance comprises:
      Property, plant and equipment                        (600)        1 200          (2 250)          0
                                                           (600)        1 200          (2 250)          0

        Reconciliation:
        Opening balance                                   1 200        (2 250)                0         0
        Deferred tax charge in the statement of            (600)        1 200               750         0
        comprehensive income
        Deferred tax on revaluation/ devaluation         (1 200)        2 250          (3 000)          0
        Closing balance                                    (600)        1 200          (2 250)          0

6.   Taxation expense/ (income)
      Normal income tax
       - current                                           X              X              X              X
       - deferred                                          600         (1 200)           (750)          0


W1: Deferred tax calculation:

                         Carrying       Tax         Temp           Deferred       Details         Revaluation
Plant
                         amount         base         diff          taxation                         surplus
Balance: 1/1/20X1                 0           0              0            0
Purchase                    100 000     100 000              0            0
Depreciation                (20 000)    (20 000)             0            0
(100 000/ 5 years)
Balance: 31/12/20X1          80 000      80 000            0               0
Revaluation surplus          10 000           0      (10 000)         (3 000) Cr DT (FP)               (10 000)
(equity increase)                                                             Dr RS (FP)                 3 000
Fair value                   90 000      80 000                                                         (7 000)
Depreciation                (22 500)    (20 000)         2 500          750   Dr DT (FP)                 1 750
(90 000/ 4 years)                                                             Cr TE (CI)
Balance: 31/12/20X2          67 500      60 000          (7 500)      (2 250) Liability                 (5 250)
Revaluation surplus          (7 500)          0           7 500        2 250 Dr DT (FP)                  7 500
(equity decrease)                                                             Cr RS (FP)                (2 250)
Historical carrying          60 000      60 000              0                                               0
amount
Revaluation expense          (6 000)          0          6 000                   Dr DT (FP)
                                                                       1 200
Fair value                   54 000      60 000                                  Cr TE (CI)
Depreciation                (18 000)    (20 000)         (2 000)
(54 000/ 3 years)
Balance: 31/12/20X3          36 000      40 000           4 000        1 200 Asset                             0
Revaluation income            4 000           0          (4 000)      (1 200) Cr DT (FP)
                                                                              Dr TE (CI)
Historical carrying          40 000      40 000
amount
Revaluation surplus           4 000            0         (4 000)      (1 200) Cr DT (FP)                (4 000)
(equity increase)                                                             Dr RS (FP)                 1 200
Fair value                   44 000      40 000                                                          2 800
Depreciation                (22 000)    (20 000)         2 000          600  Dr DT (FP)                 (1 400)
(44 000/ 2 years)                                                            Cr TE (CI)
Balance: 31/12/20X4          22 000      20 000          (2 000)       (600) Liability                      1 400

                                                   255                                              Chapter 6
Gripping IFRS                                                 Property, plant and equipment: the models


Solution to example 13C: revaluation model disclosure – with deferred tax

Comment: the only difference between Part C and Part B is that other comprehensive income is shown
gross (i.e. before tax) rather than net of tax. This requires an additional note to reflect the tax thereon.
The journals and workings for Part C are identical to those in Part B.

ABC Ltd
Statement of comprehensive income (extracts)
For the year ended 31 December 20X4
                                                       Notes      20X4       20X3        20X2        20X1
                                                                   C           C          C            C
Profit for the period                                            100 000    100 000     100 000     100 000

Other comprehensive income net of tax                              2 800     (5 250)      7 000          0
Revaluation surplus / (devaluation) before tax                     4 000     (7 500)     10 000          0
Taxation effect of other comprehensive income             7       (1 200)     2 250      (3 000)         0

Total comprehensive income                                       102 800     94 750     107 000     100 000



ABC Ltd
Notes to the financial statements (extracts)
For the year ended 31 December 20X4
                                                       Notes
                                                        20X4                20X3         20X2        20X1
                                                         C                   C            C            C
7. Tax effects of components of other comprehensive income

Revaluation surplus / (devaluation)
        Gross                                                       4 000    (7 500)     10 000          0
        Tax                                                       (1 200)     2 250       (3 000)        0
        Net                                                         2 800    (5 250)       7 000         0




                                                    256                                           Chapter 6
Gripping IFRS                                   Property, plant and equipment: the models


                                   6. Summary

                                Measurement models




                Cost model                                Revaluation model
Calculation of the carrying amount:            Calculation of the carrying amount:
 cost                                          fair value on date of revaluation
 less accumulated depreciation                 less subsequent accumulated
 less accumulated impairment losses               depreciation
                                                less subsequent accumulated
                                                   impairment losses

the rule:                                      the rule:
an asset may be written down below             the asset may be valued at its fair value
HCA, but may never be revalued above           (if greater/ less than its HCA)
its HCA

increase in value: previous impairment         increase in value:
reversed                                        debit asset (FV – ACA);
debit asset;                                    credit income (to extent reverses
credit reversal of impairment loss (I)             previous decrease: HCA – ACA)
limited to the carrying amount that it          credit revaluation surplus (FV – HCA)
would have had had there never been an
impairment loss (i.e. its historical
carrying amount)

decrease in value: impairment                  decrease in value:
debit impairment loss (E);                      credit asset (FV – ACA);
credit asset                                    debit RS (to extent reverses
                                                  previous increases: ACA – HCA)
                                                debit expense (HCA - FV)

                                               the revaluation surplus:
                                                transferred annually to retained
                                                   earnings (amount transferred equals
                                                   after tax effect on profits as a
                                                   result of increased depreciation); OR
                                                transferred to retained earnings
                                                   when the asset is fully depreciated;
                                                   OR
                                                transferred to retained earnings
                                                   when the asset is disposed of.




                                         257                                   Chapter 6
Gripping IFRS                                  Property, plant and equipment: the models




                           Disclosure (main points only)


                                 Accounting policies

                         depreciation methods
                         rates (or useful lives)
                         cost or revaluation model



  In the statement of           In the statement of            In the statement of
 comprehensive income            changes in equity               financial position
         related
 Depreciation                Increase or decrease in        Reconciliation
 Impairment losses            RS                              between opening and
 Reversals of                Tax effect of creation          closing balances
    impairments                or increase in RS              Break-down of these
 Revaluation expense         Transfers from RS to            balances into gross
 Revaluation income           RE                              carrying amount and
                              Any restrictions on             accumulated
                               distributions to                depreciation and
                               shareholders                    impairment losses
                                                              If revaluation model,
                                                               also
                                                             - CA using cost model
                                                             - Basis used for
                                                               revaluation
                                                             - Effective date of
                                                               revaluation
                                                             - Valuer independent
                                                             - Reversal of RS
                                                             - Impairment loss
                                                               expensed
                                                             - Increase in/ creation
                                                               of RS
                                                             - Reversal of
                                                               impairment loss
                                                              If cost model used,
                                                               also
                                                             - the FV.




                                         258                                  Chapter 6

Chapter6 propertyplantandequipmentmodels2008

  • 1.
    Gripping IFRS Property, plant and equipment: the models Chapter 6 Property, Plant and Equipment: The Models Reference: IAS 16, SIC 21 Contents: Page 1. Introduction 219 2. Definitions 220 3. The cost model 221 3.1 The ledger accounts 221 3.2 The magical line 221 Example 1: cost model: impairment loss 222 Example 2: cost model: reversal of an impairment loss 223 Example 3: cost model: a summary example (the asset is not depreciated) 224 Example 4: cost model: a summary example (the asset is depreciated) 226 4. The revaluation model 227 4.1 Overview 227 4.2 The ledger accounts 227 4.3 The magical line 228 Example 5: revaluation model: a summary example (the asset is not 230 depreciated) Example 6: revaluation model: a summary example (the asset is 232 depreciated) 4.4 The difference between the gross and net methods 234 4.4.1 The gross replacement value method 235 4.4.2 The net replacement value method 235 Example 7: revaluation model: value increases, creating a revaluation surplus 235 Example 8: revaluation model: value decreases, reversing the revaluation 237 surplus and creating a revaluation expense Example 9: revaluation model: increase in value, reversing previous 238 revaluation expense and creating a revaluation surplus Example 10: disclosure of a revalued asset – NRVM and GRVM 240 compared 4.5 Realisation of the revaluation surplus 241 Example 11: removal of the revaluation surplus 242 5. Disclosure 243 5.1 Overview 243 5.2 Accounting policies and estimates 243 5.3 Statement of comprehensive income disclosure 243 5.4 Statement of financial position disclosure 244 5.5 Statement of changes in equity disclosure 244 5.6 Further encouraged disclosure 244 5.7 Sample disclosure involving property, plant and equipment 245 Example 12: cost model disclosure 247 Example 13: revaluation model disclosure 250 6. Summary 257 218 Chapter 6
  • 2.
    Gripping IFRS Property, plant and equipment: the models 1. Introduction This chapter is really a continuation of the last chapter in that both chapters relate to property, plant and equipment and both are therefore governed by IAS 16. This chapter, however, deals with the two measurement models that IAS 16 allows you to apply: • the cost model; and • the revaluation model. You can choose either model but must then apply that model to an entire class of assets. This means, for example, that an entity may not use the cost model for a machine that makes bread and the revaluation model for a machine that slices bread. Both machines must be measured using the same model, say the cost model (since machines are a ‘class of asset’). Using the cost model for machines would not, however, prevent the entity from measuring its vehicles using the revaluation model because vehicles are a different class of asset to machines. The cost model is the simplest model and is based on the original cost. The cost model is therefore the base-line or benchmark method. This cost model is definitely easier to apply in practice (and research suggests that it is currently the most commonly used model). This does not for a minute suggest that the revaluation model is an unlikely test or exam question though since the current trend in accounting is to use fair values (instead of historic costs) for measurement purposes. Fortunately for you, however, the difficulty in applying the revaluation model is not due to complexity from an academic point of view, but rather it is complex to apply from a practical point of view (i.e. accounting and computer systems may need to be updated to enable the revaluation model to be used). Irrespective of the model used, the asset’s carrying amount is reflected through the use of the following accounts: • cost account • accumulated depreciation and impairment loss account. These two accounts (accumulated depreciation account and accumulated impairment loss account) could be combined into one account instead in which case, depreciation, impairment losses and impairment losses reversed would all be accumulated in the accumulated depreciation and impairment loss account. This is the approach used in this book. Irrespective of the model chosen, an asset is depreciated and tested for impairment annually. We know how to calculate depreciation (this was covered in the previous chapter). Impairments will be briefly explained in the process of this chapter, although impairment testing is explained in more detail in the next chapter. The previous chapter was based on the cost model, with the one exception: the previous chapter did not tell you about the need to test for impairments annually. If the results of an impairment test suggest that an asset’s carrying amount may be too high, it could be for the simple reason that the accumulated depreciation is insufficient, in which case extra depreciation is processed and accounted for as a change in estimate (according to IAS 8: estimates, errors and policies). If the impairment test suggests that the carrying amount may be too high, but you think the past depreciation is a fair reflection of past usage, then the asset’s recoverable amount must be calculated and then compared with its carrying amount. If the recoverable amount is less than the carrying amount, the carrying amount must be reduced by processing an impairment loss adjustment. Notice the difference: the reduction in carrying amount is expensed as an impairment loss if it reflects ‘damage’ to the asset whereas a drop in value through ‘normal usage’ is called depreciation instead. If the estimates that were used in calculating the recoverable amount change in the future, and these estimates change such that the recoverable amount then increases above the carrying amount, the previous impairment loss or part thereof may be reversed. The difference is called an impairment loss reversed. 219 Chapter 6
  • 3.
    Gripping IFRS Property, plant and equipment: the models The carrying amount under the cost model is therefore measured at: • cost less accumulated depreciation and less accumulated impairment losses. The revaluation model, whilst requiring the entity to revalue to fair value, still requires the entity to check for impairments at the end of every year. This means that the carrying amount under the revaluation model is measured at: • fair value less subsequent accumulated depreciation and accumulated impairment losses. The calculation of the recoverable amount is covered by IAS 36, the standard governing Impairments of Assets, and is therefore covered in an entirely separate chapter. This chapter does not show you how to calculate the recoverable amount but shows you how to account for adjustments to the asset’s carrying amount. 2. Definitions Here are a further few definitions that will be used in this chapter (these are IAS 16 definitions, some of which I have modified slightly): Impairment loss: • the excess of • the carrying amount • over the recoverable amount Fair value: • the amount for which an asset could be exchanged between • knowledgeable, willing parties in an arm's length transaction. Recoverable amount: • is the higher of the asset’s - fair value less costs to sell and - value in use. Remember that the term ‘recoverable amount’ is covered in IAS 36, the standard governing the Impairments of Assets. This standard is covered in an entirely separate chapter and, therefore, the definitions and calculations of ‘fair value less costs to sell’ and ‘value in use’ are covered in that separate chapter. In order to understand the differences between the cost model and the revaluation model, there are a few more terms that are used in this chapter that you should first become familiar with. These terms are not defined in IAS 16 and are simply the author’s definitions. Historical carrying amount (depreciated historic cost): • original cost less • accumulated depreciation; Actual carrying amount, when using the cost model: • original cost • less accumulated depreciation and impairment losses. Actual carrying amount, when using the revaluation model: • the fair value at date of revaluation • less subsequent accumulated depreciation and impairment losses. 220 Chapter 6
  • 4.
    Gripping IFRS Property, plant and equipment: the models 3. The cost model 3.1 The ledger accounts The cost model relates to the measurement of the asset as follows: • original cost • less accumulated depreciation and • less accumulated impairment losses. When using the cost model, the cost account remains unchanged unless there is: • a purchase of another asset (in which case, the cost of the new asset is added); or • a sale of an asset (in which case, the cost of the sold asset is deducted). You may keep two separate accounts for accumulated depreciation and accumulated impairment losses, but it is possible to combine these two accounts into one account. This text has opted to combine these two accounts into one account: accumulated depreciation and impairment losses. The accumulated depreciation and impairment loss account reflects adjustments to the carrying amount caused by: • depreciation (usage); • impairment losses (damage); and • impairment losses reversed (if the damage is repaired in some way). 3.2 The magical line When using the cost model, the value of an asset may never be increased above its historical carrying amount (the magical line). Since this historical carrying amount decreases each year, the amount of any impairment loss reversed (income) will not be as great as the amount of the original impairment loss (expense). This is best explained by way of examples. At first you may find it useful to sketch a graph of the situation, plotting the ‘magical’ historical carrying amount line (HCA), and then later the actual carrying amount (ACA) and the recoverable amount (RA). Incidentally, most of us never grow out of the need for a graph! Historical carrying amount line Cost 0 Useful Life Notice how the diagonal line represents a gradual reduction in the historical carrying amount as the asset is depreciated over its useful life. Look at the graph carefully: when using the cost model, the carrying amount of the asset is not allowed to be raised above this magical line (the diagonal line). 221 Chapter 6
  • 5.
    Gripping IFRS Property, plant and equipment: the models For example: Assume that the recoverable amount is greater than the historical carrying amount. • If the actual carrying amount equalled the historical carrying amount, no adjustment would be made since this would entail increasing the actual carrying amount above its historical carrying amount. • If, however, the asset had previously been impaired, then the asset’s actual carrying amount would be less than the historical carrying amount. In this case, the actual carrying amount must be increased, but only back up to the historical carrying amount (reversal of a previous impairment loss) but not all the way up to the recoverable amount (i.e. not above the historical carrying amount line). Another way of showing the relationship between the recoverable amount, the carrying amount and the historical carrying amount is presented in the following block diagramme. Block diagramme 1: Adjustments to the carrying amount using the cost model HCA HCA RA Not allowed HCA/ ACA RA HCA ACA Further Imp loss Imp loss Imp loss imp loss reversed reversed RA RA ACA ACA This is much easier to understand if we look at a few examples involving numbers. Example 1: cost model - impairment loss: Cost of plant at 1/1/20X1: C100 000 Depreciation: 20% straight-line per annum (i.e. over a useful life of 5 years) Recoverable amount at 31/12/20X1: C60 000 Recoverable amount at 31/12/20X2: C45 000 Required: Provide the journals for both 20X1 and 20X2. Solution to example 1: cost model - impairment loss W1: Impairment loss: 20X1 C Cost 1/1/20X1 Given 100 000 Accumulated depreciation 20X1 (100 000 x 20% x 1 yr) (20 000) Actual (and historic) carrying amount 31/12/20X1 80 000 Recoverable amount 31/12/20X1 Given (60 000) Impairment loss The RA is less than CA 20 000 Journals: 20X1 Debit Credit Depreciation – plant (expense) (100 000/ 5yrs remaining) 20 000 Plant: accumulated depreciation & impairment losses (-A) 20 000 Depreciation of asset for year ended 31 December 20X1 Impairment loss – plant (expense) W1 20 000 Plant: accumulated depreciation & impairment losses (-A) 20 000 Impairment of asset as at 31 December 20X1 222 Chapter 6
  • 6.
    Gripping IFRS Property, plant and equipment: the models Graphical depiction: 31/12/20X1 80 000( HCA & ACA) Cost 20 000 (Debit impairment loss) Historical carrying amount line 60 000(RA) 0 Useful Life Journals: 20X2 Debit Credit Depreciation – plant (expense) (60 000/ 4yrs remaining (5-1)) 15 000 Plant: accumulated depreciation & impairment losses (-A) 15 000 Depreciation of asset for year ended 31 December 20X2 Note: no further impairment loss was required to be journalised at 31/12/20X2 since the new carrying amount (60 000 – 15 000 = 45 000) equals the recoverable amount. Example 2: cost model - reversal of impairment loss Cost of plant at 1/1/20X1: C100 000 Depreciation: 20% straight-line per annum (i.e. over a useful life of 5 years) Recoverable amount at 31/12/20X1: C60 000 Required: Provide the journals for 20X2, assuming that the recoverable amount at 31/12/20X2 was estimated at: A. C55 000; and B. C65 000 Solution to example 2: cost model - reversal of impairment loss W1: Historical carrying amount 31/12/20X2: A and B Cost 100 000 Accumulated depreciation (100 000 x 20% x 2yrs) (40 000) 60 000 W2: Actual carrying amount 31/12/20X2 (before the impairment testing): A and B Cost 100 000 Accumulated depreciation and impairment losses (55 000) (depreciation 20X1: 20 000 + IL 20X1: 20 000 + depr 20X2: 15 000) 45 000 W3: Reversal of impairment loss required: A B Recoverable amount limited to historical carrying amount 55 000 60 000 (given: note that in part B that the RA of 65 000 is limited to historical carrying amount of 60 000) Less actual carrying amount (W2) 45 000 45 000 10 000 15 000 223 Chapter 6
  • 7.
    Gripping IFRS Property, plant and equipment: the models Journals: 20X2 A B Dr/ (Cr) Dr/ (Cr) Plant: accumulated depreciation and impairment losses (-A) 10 000 15 000 Impairment loss reversed – plant (income) (10 000) (15 000) Reversal of impairment loss journal on 31/12/20X2: Graph depicting A: 31/12/20X2 60 000( HCA) Cost 55 000(RA) 10 000 (Credit reversal of impairment loss) Historical carrying amount line 45000( ACA) 0 Useful Life Graph depicting B: 31/12/20X2 65 000(RA) (No increase allowed) 60 000( HCA) Cost 15 000 (Credit reversal of impairment loss) Historical carrying amount line 45 000( ACA) 0 Useful Life In summary, let’s consider the effects of impairment testing on: • an asset that is not depreciated: land (example 3) • an asset that is depreciated (example 4). Example 3: cost model – a summary example (the asset is not depreciated) Cost of land at 1/1/20X1: 100 000 Depreciation: This land is not depreciated Recoverable amount • 31/12/20X1 120 000 • 31/12/20X2 70 000 • 31/12/20X3 90 000 • 31/12/20X4 110 000 Required: Show the statement of financial position and ledger accounts for each of the years ended 31 December up to 20X4. 224 Chapter 6
  • 8.
    Gripping IFRS Property, plant and equipment: the models Solution to example 3: cost model - summary example (the asset is not depreciated) Workings: W1: Carrying amount Jnl 20X4 20X3 20X2 20X1 No. Dr/ (Cr) Dr/ (Cr) Dr/ (Cr) Dr/ (Cr) Opening balance 1 90 000 70 000 100 000 100 000 Depreciation Land not depreciated (0) (0) (0) (0) Adjustment: • above Not allowed above HCA 0 0 HCA • below Dr: Impairment loss 2 (30 000) HCA • up to HCA Cr: impairment loss 3; 4 10 000 20 000 reversed Closing balance: (lower of recoverable amount or carrying amount) 100 000 90 000 70 000 100 000 Historical carrying amount: (cost) 100 000 100 000 100 000 100 000 Ledger accounts: Cost: land (asset) Accumulated impairment losses: land (asset) 1/1/ 20X1: 31/12/20X2 Bank (1) 100 000 Balance c/f 30 000 Imp loss (2) 30 000 100 000 100 000 30 000 30 000 Balance 100 000 31/12/20X3 31/12/20X2: Imp Loss Rev (3) 20 000 Balance b/f 30 000 Balance c/f 10 000 30 000 30 000 31/12/20X4 31/12/20X3: Bank Imp Loss Rev (4) 10 000 Balance b/f 10 000 1/1/ 20X1: Balance c/f 0 Land (1) 100 000 10 000 10 000 31/12/20X4 Balance b/f 0 Impairment loss expense Reversal of impairment loss income 31/12/20X2 31/12/20X2 31/12/20X3 31/12/20X3 Acc Imp Loss (2) 30 000 P&L 30 000 P&L 20 000 Acc Imp Loss (3) 20 000 31/12/20X4 31/12/20X4 P&L 10 000 Acc Imp Loss (4) 10 000 Disclosure: Company name Statement of financial position As at 31 December (extracts) ASSETS 20X4 20X3 20X2 20X1 Non-current Assets C C C C Land 20X1: Cost: 100 000 – AIL: 0 100 000 90 000 70 000 100 000 20X2: Cost: 100 000 – AIL:30 000 20X3: Cost: 100 000 – AIL:10 000 20X4: Cost: 100 000 – AIL:0 225 Chapter 6
  • 9.
    Gripping IFRS Property, plant and equipment: the models Example 4: cost model – a summary example (the asset is depreciated) Cost of machine at 1/1/20X1: 100 000 Depreciation: 25% per annum to a nil residual value Recoverable amount • 31/12/20X1 120 000 • 31/12/20X2 40 000 • 31/12/20X3 60 000 • 31/12/20X4 0 Required: Show the statement of financial position and ledger accounts for each of the years ended 31 December. Solution to example 4: cost model – a summary example (the asset is depreciated) Workings: W1: Carrying amount and adjustments Jnl 20X4 20X3 20X2 20X1 No. Dr/ (Cr) Dr/ (Cr) Dr/ (Cr) Dr/ (Cr) Opening balance 1 25 000 40 000 75 000 100 000 Depreciation 100 000 / 4; 2 (25 000) (20 000) (25 000) (25 000) 75 000 / 3; 40 000 / 2; 25 000 / 1 Adjustment: • above HCA Not allowed above HCA 0 0 • up to HCA Cr: impairment loss reversed 4 5 000 • below HCA Dr: Impairment loss 3 (10 000) Closing balance: lower of recoverable amount or carrying amount 0 25 000 40 000 75 000 Historical carrying amount: (cost) 0 25 000 50 000 75 000 Disclosure: Company name Statement of financial position As at 31 December (extracts) ASSETS 20X4 20X3 20X2 20X1 Non-current Assets C C C C Machine 20X1: Cost: 100 000 – AD&IL: 25 000 0 25 000 40 000 75 000 20X2: Cost: 100 000 – AD&IL:60 000 20X3: Cost: 100 000 – AD&IL:75 000 20X4: Cost: 100 000 – AD&IL:100 000 Ledger accounts: Cost (asset) Bank 1/1/ 20X1: 1/1/ 20X1: (1) Bank 100 000 Balance c/f 100 000 Machine (1) 100 000 100 000 100 000 Balance b/f 100 000 226 Chapter 6
  • 10.
    Gripping IFRS Property, plant and equipment: the models Depreciation expense Accumulated depreciation & impairment losses 31/12/20X1 31/12/20X1 31/12/20X1 AD&IL (2) P&L 25 000 25 000 Balance c/f 25 000 Depr (2) 25 000 31/12/20X2 31/12/20X2 25 000 25 000 AD&IL (2) 25 000 P&L 25 000 31/12/20X3 31/12/20X3 31/12/20X2: AD&IL (2) P&L 20 000 20 000 Balance b/f 25 000 31/12/20X4 31/12/20X4 (2) Depr 25 000 AD&IL (2) 25 000 P&L 25 000 Balance c/f 60 000 Imp loss (3) 10 000 60 000 60 000 31/12/20X3: (4) ILR 5 000 Balance b/f 60 000 Balance c/f 75 000 Depr (2) 20 000 80 000 80 000 31/12/20X4: Balance b/f 75 000 Balance c/f 100 000 Depr (2) 25 000 100 000 100 000 Balance b/f 100 000 Impairment loss expense Reversal of impairment loss income 31/12/20X2 31/12/20X2 31/12/20X3 31/12/20X3 AccImpLoss (3) 10 000 P&L 10 000 P&L 5 000 AccImpLoss (4) 5 000 4. The revaluation model 4.1 Overview The revaluation model involves revaluing the asset’s carrying amount to its fair value. This does not have to happen every year but can be at periodic intervals. Whatever interval is used, however, the revaluations must be performed regularly enough so that the carrying amount of the asset at year-end does not differ materially from its fair value. If the entity wishes to use the revaluation model for a particular asset, it must remember that it will have to apply the revaluation model to all assets within that class of assets. 4.2 The ledger accounts The revaluation model refers to the measurement of an asset’s carrying amount at: • fair value • less subsequent accumulated depreciation • less subsequent accumulated impairment losses. When using the revaluation model, the cost account remains unchanged unless there is: • a purchase of another asset (in which case, the cost of the new asset is added); • a sale of an asset (in which case, the cost of the sold asset is deducted); or • a revaluation to fair value. 227 Chapter 6
  • 11.
    Gripping IFRS Property, plant and equipment: the models You may keep two separate accounts for accumulated depreciation and accumulated impairment losses, but it is possible to combine these two accounts into one account. This text has opted to combine these two accounts into one account: accumulated depreciation and impairment losses. This accumulated depreciation and impairment loss account reflects adjustments to the carrying amount caused by: • depreciation (usage); • impairment losses (damage); and • impairment losses reversed (if the damage is repaired in some way). 4.3 The magical line Unlike the cost model, the revaluation model allows the carrying amount of the asset to be increased above its historical carrying amount (the magical line) as well as to be decreased below it. As with the cost model, the concepts are best understood by way of examples. At first you may find it useful to sketch a graph of the situation, plotting the ‘magical’ historical carrying amount line (HCA), and then later the actual carrying amount (ACA) and the recoverable amount (RA). Historical carrying amount line Cost 0 Useful Life Notice how the diagonal line represents a gradual reduction in the historical carrying amount as the asset is depreciated over its useful life. Look at the graph carefully: when using the revaluation model, the carrying amount of the asset may be raised above this magical line (the diagonal line) – but an increase in carrying amount above the magical line is recognised in equity, not in the entity’s profits. Adjustments to the carrying amount that do not increase the carrying amount above the magical line are simply recognised as part of profit for the year (i.e. as an income or expense). In the event that the carrying amount of an asset is increased to such a degree that it is now greater than its historical carrying amount, the increase above the line is recognised in the revaluation surplus account. This account is an equity account. The portion above the line is not credited to income because income represents economic benefits that have already been earned. In contrast, such an increase in the carrying amount of an asset represents extra future economic benefits expected from the future use or sale of the asset. Furthermore, an asset has increased in value with no concomitant increase in liabilities, thus having increased equity (assets – liabilities). This increase is recognised as other comprehensive income and is accumulated in equity. 228 Chapter 6
  • 12.
    Gripping IFRS Property, plant and equipment: the models The difference between the historical carrying amount and the fair value carrying amount can be summarised as follows: Fair value greater than HCA Difference in equity: HCA Fair value Difference in profit: less than HCA HCA: historical carrying amount A summary of carrying amount adjustments under the revaluation model is reflected in the following block diagramme, which shows the inter-relationship between the actual carrying amount, fair value and historical carrying amount (i.e. the balance that the asset would have had had we not been fiddling with the carrying amounts). Block diagramme 2: Adjustments to the carrying amount using the revaluation model FV ACA Revaluation Revaluation surplus surplus (created/ (reversed/ HCA/ increased) decreased) HCA HCA ACA Expense Income Expense FV ACA FV All assets must be tested for impairment – even those measured under the revaluation model. Although IAS 16 does not provide any guidance, it is submitted that when making an adjustment to an asset’s carrying amount to one that is below the historical carrying amount line, one should differentiate between adjustments to a fair value from adjustments to a recoverable amount. Although IAS 16 may not make this differentiation, this text identifies: • an expense (i.e. a downward adjustment) as: - a revaluation expense if the carrying amount is decreased to a fair value; - an impairment loss expense if the carrying amount is decreased to a recoverable amount; • an income (upward adjustment) as: - a revaluation income if the carrying amount is increased to a fair value; - an impairment loss reversed if the carrying amount is increased to a recoverable amount. This differentiation is relevant, it is submitted, because for example, a drop to a lower fair value does not technically mean that the recoverable amount has dropped and therefore it does not mean that the asset is impaired. Consider the following worked example. Worked example: C Cost: 1/1/20X1 120 000 Less accumulated depreciation: 31/12/20X2 20 000 Carrying amount (actual and historical): 31/12/20X2 100 000 Fair value: 1/1/20X3 90 000 Expected costs to sell: 1/1/20X3 5 000 Value in use: 1/1/20X3 130 000 Recoverable amount (greater of value in use and fair value less costs to sell) 130 000 • Value in use Given 130 000 • Fair value less costs to sell 90 000 – 5 000 85 000 229 Chapter 6
  • 13.
    Gripping IFRS Property, plant and equipment: the models If the revaluation model is applied on 1 January 20X3, the asset’s carrying amount will drop from 100 000 to its fair value of 90 000. The issue is, however, that before making this downward adjustment, the asset’s recoverable amount (130 000) is far greater than its carrying amount (100 000) and therefore the asset is definitely not impaired. It would therefore not be appropriate to call this downward adjustment an impairment loss expense (because the asset is not impaired) and would therefore be better identified as a revaluation expense (or similar). As already explained, this text differentiates a revaluation expense from an impairment loss expense (and a revaluation income from an impairment loss reversed), but there are those who advocate that such differentiation is unnecessary. On the basis that IAS 16 does not make this differentiation clearly required, it is common practice to identify all adjustments made to the carrying amount below the historical carrying amount line, (whether an adjustment to a recoverable amount or to a fair value), as follows: • expense adjustments (i.e. adjustments downwards from historical carrying amount): - impairment losses; and • income adjustments (i.e. adjustments upwards to historical carrying amount): - impairment loss reversed. Please note that irrespective of whether or not you interpret IAS 16 and IAS 36 to require differentiation, the carrying amount will be the same. To start with, we will look at an example that involves land, since land is an asset that is generally not depreciated. This will allow us to see the essence of the revaluation model. From there we will progress to an example that involves a depreciable asset. Example 5: revaluation model – a summary example (the asset is not depreciated) Cost of land at 1/1/20X2: 100 000 Depreciation: This piece of land is not depreciated Fair value • 1/1/20X2 120 000 • 1/1/20X3 90 000 • 1/1/20X4 70 000 • 1/1/20X5 110 000 The company’s policy is to leave any balance on the revaluation surplus intact until such time as the asset is disposed of. Required: Show the statement of financial position and ledger accounts for each of the years ended 31 December 20X2 to 20X5. Solution to example 5: revaluation model - a summary example (asset is not depreciated) Workings: W1. Carrying amount and adjustments Jnl 20X5 20X4 20X3 20X2 No. Dr/ (Cr) Dr/ (Cr) Dr/ (Cr) Dr/ (Cr) Opening balance 1 70 000 90 000 120 000 100 000 Depreciation Land not depreciated (0) (0) (0) (0) Fair value adjustments: Above HCA Cr: revaluation surplus 2; 7 10 000 20 000 Down to HCA Dr: revaluation surplus 3 (20 000) Below HCA Dr: revaluation expense 4; 5 (20 000) (10 000) Up to HCA Cr: revaluation income 6 30 000 Closing balance fair value 110 000 70 000 90 000 120 000 Historical carrying amount: (cost) 100 000 100 000 100 000 100 000 230 Chapter 6
  • 14.
    Gripping IFRS Property, plant and equipment: the models Ledger accounts: Cost: land (asset) Revaluation surplus 1/1/ 20X1: 1/1/20X2: Bank (1) 100 000 Balance c/f 100 000 Balance c/f 20 000 Cost (2) 20 000 100 000 100 000 20 000 20 000 31/12/ 20X1: 1/1/20X3: 31/12/20X2: Balance b/f 100 000 Cost (3) 20 000 Balance b/f 20 000 1/1/20X2: 20 000 20 000 Rev Surp (2) 20 000 Balance c/f 120 000 31/12/20X3: Balance b/f 0 120 000 120 000 31/12/ 20X2: 1/1/20X3: 1/1/20X5: (3) Balance b/f 120 000 Rev Surp 20 000 Cost (7) 10 000 (4) Rev Exp 10 000 10 000 10 000 Balance c/f 90 000 31/12/20X5: 120 000 120 000 Balance b/f 10 000 31/12/ 20X3: 1/1/20X4: Balance b/f 90 000 Rev Exp (5) 20 000 Balance c/f 70 000 90 000 90 000 Bank 31/12/ 20X4: 1/1/ 20X1: Balance b/f 70 000 Land (1) 100 000 1/1/20X5: Rev Inc (6) 30 000 Rev Surp (7) 10 000 110 000 110 000 31/12/ 20X5: Balance b/f 110 000 Revaluation expense Revaluation income 1/1/20X3: 31/12/20X3 31/12/20X5 1/1/20X5 Cost (4) 10 000 P&L 10 000 P&L 30 000 Cost (3) 30 000 1/1/20X4 31/12/20X4 Cost (5) 20 000 P&L 20 000 Disclosure: Company name Statement of financial position As at 31 December (extracts) ASSETS 20X5 20X4 20X3 20X2 Non-current Assets C C C C Land 20X1: Cost: 100 000 – AIL: 0 110 000 70 000 90 000 120 000 20X2: Cost: 100 000 – AIL:30 000 20X3: Cost: 100 000 – AIL:10 000 20X4: Cost: 100 000 – AIL:0 EQUITY AND LIABILITIES Equity Revaluation surplus 10 000 0 0 20 000 231 Chapter 6
  • 15.
    Gripping IFRS Property, plant and equipment: the models Now let us do an example that involves a depreciable asset. To keep things simple, we will combine the cost and accumulated depreciation accounts into one account that reflects carrying amount. It is not difficult to separate the entries between these two accounts, but is important to see the big picture before getting bogged down with the detail. Example 6: revaluation model – a summary example (the asset is depreciated) Cost of machine at 1/1/20X1: 100 000 Depreciation: 10% per annum to a nil residual value Fair value • 1/1/20X2 180 000 • 1/1/20X3 60 000 • 1/1/20X4 77 000 • 1/1/20X5 120 000 The company’s policy is to transfer the realised portion of the revaluation surplus to retained earnings as the asset is used. Required: Show the statement of financial position and ledger accounts for each of the years ended 31 December 20X1 to 20X5. Prepare the asset’s account as a net carrying amount account (i.e. do not prepare separate cost and accumulated depreciation accounts). Solution to example 6: revaluation model - a summary example (asset is depreciated) Workings: W1: Carrying amount and Jnl 20X5 20X4 20X3 20X2 adjustments No. Dr/ (Cr) Dr/ (Cr) Dr/ (Cr) Dr/ (Cr) Opening balance 20X2: 100 000 x 9 / 66 000 52 500 160 000 90 000 10 Adjustment: Above HCA Cr: revaluation 1;7; 9 54 000 7 000 90 000 surplus Down to HCA Dr: revaluation 3 (80 000) surplus Below HCA Dr: revaluation 4 (20 000) expense Up to HCA Cr: revaluation 6 17 500 income Fair value 120 000 77 000 60 000 180 000 Depreciation: • 180 000/ 9 yrs 2 (20 000) • 60 000 / 8 5 (7 500) yrs • 77 000 / 7 8 (11 000) yrs • 120 000 / 6 yrs 10 (20 000) Closing balance 100 000 66 000 52 500 160 000 Historical carrying amount on date of 60 000 70 000 80 000 90 000 revaluation Ledger accounts are overleaf. 232 Chapter 6
  • 16.
    Gripping IFRS Property, plant and equipment: the models Ledger accounts: Carrying amount: machine (asset) Revaluation surplus (equity) 1/1/ 20X2: 31/12/20X2 31/12/20X2: 1/1/20X2: Balance b/f 90 000 Depr (2) 20 000 Ret Earn 10 000 Cost (1) 90 000 (90 000/ 9) Rev Surp (1) 90 000 Balance c/f 160 000 Balance c/f 80 000 180 000 180 000 90 000 90 000 31/12/ 20X2: 1/1/20X3: 31/12/ 20X2: Balance b/f 160 000 CA (3) 80 000 Balance b/f 80 000 1/1/20X3: Balance c/f 0 Rev Surp (3) 80 000 Rev Exp (4) 20 000 80 000 80 000 31/12/20X3 31/12/20X3 Depr (5) 7 500 Balance b/f 0 Balance c/f 52 500 31/12/20X4: 1/1/20X4 Ret Earn 1 000 CA (7) 7 000 (7 000/ 7) Balance c/f 6000 160 000 160 000 7 000 7 000 31/12/ 20X3: 31/12/20X4 Balance b/f 52 500 Balance b/f 6 000 1/1/20X4 31/12/20X4 31/12/20X5: 1/1/20X5 Rev Inc (6) 17 500 Depr (8) 11 000 Ret Earn 10 000 CA (9) 54 000 (60 000/ 6) Rev Surp (7) 7 000 Balance c/f 66 000 Balance c/f 50 000 77 000 77 000 60 000 60 000 31/12/ 20X4: 31/12/ 20X5: Balance b/f 66 000 Balance b/f 50 000 1/1/20X5 31/12/20X5 Rev Surp (9) 54 000 Depr (10) 20 000 Balance c/f 100 000 120 000 120 000 31/12/ 20X5: Balance b/f 100 000 Depreciation expense Retained earnings (equity) 31/12/20X2 31/12/20X2 31/12/20X2 CA (2) 20 000 P&L 20 000 Rev Surp 10 000 31/12/20X3 31/12/20X3 31/12/20X4: CA (5) 7 500 P&L 7 500 Rev Surp 1 000 31/12/20X4 31/12/20X4 31/12/20X5: CA (8) 11 000 P&L 11 000 Rev Surp 10 000 31/12/20X5 31/12/20X5 CA (10) 20 000 P&L 20 000 Revaluation expense Revaluation income 1/1/20X3: 31/12/20X3 31/12/20X4 1/1/20X4 CA (4) 20 000 P&L 20 000 P&L 17 500 CA (6) 17 500 233 Chapter 6
  • 17.
    Gripping IFRS Property, plant and equipment: the models Disclosure: Company name Statement of financial position As at 31 December (extracts) ASSETS 20X5 20X4 20X3 20X2 Non-current assets C C C C Machine 20X1: Cost: 100 000 – AIL: 0 100 000 66 000 52 500 160 000 20X2: Cost: 100 000 – AIL:30 000 20X3: Cost: 100 000 – AIL:10 000 20X4: Cost: 100 000 – AIL:0 EQUITY AND LIABILITIES Equity Revaluation surplus 50 000 6 000 0 80 000 Notice how the revaluation surplus balance in the above statement of financial position reflects the difference between the carrying amount and what it would have been had the asset not been revalued: 20X5 20X4 20X3 20X2 C C C C Carrying amount of asset is: statement of financial position 100 000 66 000 52 500 160 000 Historical carrying amount: original cost – depreciation 50 000 60 000 70 000 (a) 80 000 Revaluation surplus 50 000 6 000 0 80 000 a) Remember that by the end of 20X2, the asset has been depreciated for two years (20X1 and 20X2): 100 000 – 100 000 x 10% x 2 years = 80 000 Another interesting point is that the adjustments made to retained earnings reflect the effect that the revaluation has had on income in each of the years to date: Cumulative Effect on statement of comprehensive income between 20X2 and 20X5 C Actual effect on profit using the revaluation model: Depreciation expense: 20X1 to 20X5 10 000 +20 000 +7 500 +11 000 +20 000 68 500 Revaluation expense (20X3) 20 000 Revaluation income (20X4) (17 500) Net effect on profit (between 20X1 and 20X5) 71 000 Effect on profit had the cost model been used instead: Depreciation expense: 20X1 to 20X5 100 000 x 10% x 5 years (50 000) Transfer: revaluation surplus to retained earnings 10 000 + 1 000 + 10 000 21 000 4.4 The difference between the gross and net methods As mentioned under the cost model, whether the cost model or the revaluation model is used, the asset’s carrying amount is represented by two accounts: • Cost account; and • Accumulated depreciation and impairment loss account. Under the cost model, adjustments to carrying amount only affect the accumulated depreciation and impairment loss account (with the result that the cost account remains unchanged). Under the cost model, therefore, the cost account continues to reflect cost. Under the revaluation model, however, adjustments to carrying amount affect both the cost account and the accumulated depreciation and impairment loss account. In fact, since adjustments are made to the cost account such that the cost account no longer reflects cost, it is referred to as ‘gross carrying amount’ in the financial statements. 234 Chapter 6
  • 18.
    Gripping IFRS Property, plant and equipment: the models When making adjustments to an asset’s carrying amount under the revaluation model, the entity may choose to account for the adjustment using: • the gross replacement value method; or • the net replacement value method. The carrying amounts under each of these methods will be the same, although the method used will affect the disclosure of the breakdown of the net carrying amount into its components of: • gross carrying amount (i.e. the amount sitting in the cost account); and • accumulated depreciation and impairment losses. 4.4.1 The gross replacement value method This method involves restating the cost account to the new gross replacement value and proportionally restating the accumulated depreciation so that the net carrying amount equals the net replacement value (fair value). In other words, the cost account will reflect the gross replacement value, (which equals the total economic benefits embodied in the asset) and the accumulated depreciation account will reflect how much of the total economic benefits have been used up to date. We’ll do an example in a moment. 4.4.2 The net replacement value method This method involves transferring the balance in the accumulated depreciation account (immediately prior to the revaluation) to the cost account and then adjusting this net carrying amount to the net replacement value (fair value). The difference between the ‘gross’ and ‘net’ methods is best explained by way of an example. The following three examples ignore the effects of deferred tax. The deferred tax effects of revaluations are not difficult but are covered later in this chapter. Example 7: revaluation model - increase in value, creating a revaluation surplus Plant cost at 1/1/20X1: C100 000 Depreciation: 20% straight-line per annum to a nil residual value Value at 1/1/20X2: C90 000 calculated as follows: Gross replacement value 112 500 Accumulated depreciation 22 500 Net replacement value (i.e. fair value) 90 000 The revaluation surplus is transferred to retained earnings over the life of the asset. Required: Show the journals using the: A net replacement value method (NRVM) B gross replacement value method (GRVM) Solution to example 7: revaluation model – increase creating a revaluation surplus Workings: applicable to both (A) and (B) W1: Actual (and historic) carrying amount 1/1/20X2: C Cost 100 000 Accumulated depreciation (100 000 x 20% x 1 yr) (20 000) 80 000 235 Chapter 6
  • 19.
    Gripping IFRS Property, plant and equipment: the models W2: Revaluation required at 1/1/20X2: C Fair value 90 000 Actual carrying amount (80 000) 10 000 Graph depicting both (A) and (B): 1/1/20X2 90 000 (FV) 10 000 (Credit revaluation surplus) 80 000 (HCA & ACA) Cost Historical carrying amount line 0 Useful Life Journals (A) (B) NRVM GRVM dr/ (cr) dr/ (cr) 20X1: Plant: cost 100 000 100 000 Bank/ Liability (100 000) (100 000) Purchase of asset: (1/1/20X1) Depreciation (100 000 / 5 years remaining) 20 000 20 000 Plant: accumulated depreciation and impairment losses (20 000) (20 000) Depreciation: 100 000 / 5 years remaining (31/12/20X1) 20X2: Plant: accumulated depreciation and impairment losses 20 000 N/A Plant: cost (20 000) N/A NRVM: set-off of accumulated depreciation before revaluing asset (1/1/20X2) Plant: cost 10 000 N/A Revaluation surplus (10 000) N/A NRVM: revaluation of asset: (1/1/20X2) Plant: cost (112 500 - 100 000) N/A 12 500 Plant: accum. depr and imp. loss (22 500 - 20 000) N/A (2 500) Revaluation surplus (90 000 - 80 000) N/A (10 000) GRVM: revaluation of asset: (1/1/20X2) Depreciation 90 000 / 4 years remaining 22 500 22 500 Plant: accumulated depreciation and impairment losses (22 500) (22 500) Depreciation: (31/12/20X2) Revaluation surplus (10 000 / 4 years remaining) 2 500 2 500 Retained earnings (2 500) (2 500) Artificial decrease in profits reversed: (31/12/20X2) Alternative calculation: (22 500 revalued depreciation – 20 000 historic depreciation) 236 Chapter 6
  • 20.
    Gripping IFRS Property, plant and equipment: the models Example 8: revaluation model - decrease in value, reversing the revaluation surplus and creating a revaluation expense: Assume the same information as that in the last example with the following information: Value at 1/1/20X3: C54 000 calculated as follows: Gross replacement value 90 000 Accumulated depreciation 36 000 Net replacement value (fair value) 54 000 Required: Show the journals using the: A net replacement value method (NRVM) B gross replacement value method (GRVM) Solution to example 8: revaluation model - decrease in value, reversing the revaluation surplus and creating a revaluation expense : Workings applicable to both (A) and (B) W1: Historical carrying amount at 1/1/20X3: C Cost 100 000 Accumulated depreciation (100 000 x 20% x 2 yr) (40 000) 60 000 W2: Actual carrying amount at 1/1/20X3: C Carrying amount at 1/1/20X2 after revaluation 90 000 Depreciation in 20X2 (90 000/ 4yrs) or (112 500/ 5 yrs) (22 500) 67 500 W3: Devaluation required at 1/1/20X3: C Fair value 54 000 Actual carrying amount (67 500) (13 500) - reverse revaluation surplus (down to HCA: ACA: 67 500 – HCA: 60 000) 7 500 - revaluation expense (below HCA: HCA: 60 000 – NRV: 54 000) 6 000 Graph depicting both (A) and (B): 1/1/20X3 67 500 (ACA) 7 500 (Debit revaluation surplus) 60 000 (HCA) Cost 6 000 (Debit revaluation expense) 54 000(FV) Historical carrying amount line 0 Useful Life 237 Chapter 6
  • 21.
    Gripping IFRS Property, plant and equipment: the models Journals: (A) (B) NRVM GRVM dr/ (cr) dr/ (cr) Devaluation journals 1/1/20X3: Plant: accumulated depreciation 22 500 N/A Plant: cost (22 500) N/A Set off of accumulated depreciation against cost (NRVM) Revaluation surplus (the balance in this account) 7 500 N/A Revaluation expense (further decrease expensed: 13 500 – 7 500) 6 000 N/A Plant: cost (CA: 67 500 – FV: 54 000) (13 500) N/A Reversal of balance in RS (7 500) with excess (13 500 - 7 500) expensed Revaluation surplus (the balance in this account) N/A 7 500 Revaluation expense (further decrease expensed: 13 500 – 7 500) N/A 6 000 Plant: cost (90 000 – 112 500) N/A (22 500) Plant: accum. depreciation (36 000 – 45 000) N/A 9 000 Restatement of cost and accumulated depreciation accounts: the first adjustment reduces the revaluation surplus and any excess thereafter is debited to impairment loss (p.s. the cost account is now reduced below historical cost of 100 000) Depreciation and related journals: 31/12/20X3: Depreciation – plant (54 000 / 3 years remaining) 18 000 18 000 Plant: accum. depreciation (18 000) (18 000) Depreciation for 20X2 Comment: Please note that the difference between the journals using the NRVM and the GRVM are purely for disclosure purposes. The essence of the above adjustments can be more clearly seen in the following simplified journal: NRVM and GRVM Debit Credit Revaluation surplus 7 500 Revaluation expense 6 000 Plant at net carrying amount 13 500 The only difference in the journals is the setting-off of the accumulated depreciation and cost account in the case of the NRVM. The NRVM requires that these two accounts are set-off against each other and then that the cost account is adjusted to the new carrying amount (fair value). The GRVM does not set-off these two accounts but adjusts each of them so that the net thereof would equal the new carrying amount (fair value). Example 9: revaluation model - increase in value, reversing a previous revaluation expense and creating a revaluation surplus Assume the same information as that given in the previous example as well as the following: Fair value at 1/1/20X4: C44 000 calculated as follows: Gross replacement value 110 000 Accumulated depreciation 66 000 Net replacement value 44 000 Required: Show the journals using A. net replacement value method (NRVM) B. gross replacment value method (GRVM) 238 Chapter 6
  • 22.
    Gripping IFRS Property, plant and equipment: the models Solution to example 9: revaluation model - increase in value, reversing a previous revaluation expense and creating a revaluation surplus Workings applicable to both (A) and (B) W1: Historical carrying amount at 1/1/20X4: C Cost 100 000 Accumulated depreciation (100 000 x 20% x 3yrs) (60 000) 40 000 W2: Actual carrying amount at 1/1/20X4: C Carrying amount at 1/1/20X3 after impairment loss 54 000 Depreciation in 20X3 (54 000/ 3yrs) or (90 000/ 5 yrs) (18 000) 36 000 W3: Increase in value required at 1/1/20X4: C Fair value 44 000 Actual carrying amount (36 000) 8 000 - revaluation income (up to HCA: 36 000 – 40 000) 4 000 - revaluation surplus (above HCA: 40 000 – 44 000) 4 000 Graph depicting both (A) and (B): 1/1/20X4 44 000 (FV) 4 000 (Credit revaluation surplus) 40 000 (HCA) Cost 4 000 (Credit reversal of revaluation expense) Historical carrying amount line 36 000 (ACA) 0 Useful Life Journals (A) (B) NRVM GRVM dr/ (cr) dr/ (cr) Revaluation journals 1/1/20X4: Plant: accumulated depreciation 18 000 N/A Plant: cost (18 000 + 6 000) (18 000) N/A NRVM: Set off of accumulated depreciation against cost Plant: cost (44 000 – 36 000) 8 000 N/A Revaluation income (36 000 – 40 000) (4 000) N/A Revaluation surplus (40 000 – 44 000) (4 000) N/A NRVM: Reversal of previous revaluation expense (4 000) with excess (8 000 - 4 000) credited to equity Plant: cost (110 000 – 90 000) N/A 20 000 Plant: accum depreciation (66 000 – 54 000) N/A (12 000) Revaluation income N/A (4 000) Revaluation surplus N/A (4 000) GRVM: Increase in value apportioned between cost and accumulated depreciation 239 Chapter 6
  • 23.
    Gripping IFRS Property, plant and equipment: the models Journals continued … (A) (B) NRVM GRVM dr/ (cr) dr/ (cr) Depreciation and related journals 31/12/20X4: Depreciation – plant (44 000 / 2yrs) 22 000 22 000 Plant: accum depreciation (22 000) (22 000) Depreciation for 20X4 Revaluation surplus (22 000 – 20 000) or (4 000/ 2yrs) 2 000 2 000 Retained earnings (2 000) (2 000) Excess depreciation for 20X4 transferred to retained earnings Example 10: disclosure of a revalued asset – NRVM and GRVM compared Assume the same information as in the previous three examples A Disclose the plant note using the net replacement value method (NRVM) for 20X1 – 20X4years. B Disclose the plant note using the gross replacement value method (GRVM). Disclose all 3 years. Solution to example 10A: disclosure of a revalued asset using NRVM Company name Notes to the financial statements For the year ended 31 December 20X3 (extracts) 20X4 20X3 20X2 20X1 C C C C 3. Plant (extracts) Net carrying amount: 1 January 36 000 67 500 80 000 0 Gross carrying amount: 1 January 54 000 90 000 100 000 0 Accum. depreciation and imp. losses: 1 (18 000) (22 500) (20 000) (0) January Additions 0 0 0 100 000 Depreciation (22 000) (18 000) (22 500) (20 000) Revaluation (expense) / income (profit) 4 000 (6 000) 0 0 Revaluation surplus increase / (decrease) 4 000 (7 500) 10 000 0 (equity) Net carrying amount: 31 December 22 000 36 000 67 500 80 000 Gross carrying amount: 31 December 44 000 54 000 90 000 100 000 Accum. depreciation and imp. losses: 31 (22 000) (18 000) (22 500) (20 000) Dec The last revaluation was performed on 1/1/20X4 by an independent sworn appraiser to the fair value in use and the fair value adjustment was recorded on a net replacement value basis. Revaluations are performed annually. Had the cost model been adopted, the carrying amount would have been C20 000 (20X3: C40 000; 20X2: C60 000 and 20X1: C80 000). 240 Chapter 6
  • 24.
    Gripping IFRS Property, plant and equipment: the models Solution to example 10B: disclosure of a revalued asset using GRVM Company name Notes to the financial statements For the year ended 31 December 20X3 (extracts) 20X4 20X3 20X2 20X1 C C C C 3. Plant (extracts) Net carrying amount: 1 January 36 000 67 500 80 000 0 Gross carrying amount: 1 January 90 000 112 500 100 000 0 Accum. deprec. and imp. losses: 1 Jan (54 000) (45 000) (20 000) (0) Additions 0 0 0 100 000 Depreciation (22 000) (18 000) (22 500) (20 000) Revaluation (expense) / income (profits) 4 000 (6 000) 0 0 Revaluation surplus increase / (decrease) 4 000 (7 500) 10 000 0 (equity) Net carrying amount: 31 December 22 000 36 000 67 500 80 000 Gross carrying amount: 31 December 110 000 90 000 112 500 100 000 Accum. deprec. and imp. losses: 31 Dec (88 000) 3 (54 000) 2 (45 000) 1 (20 000) The last revaluation was performed on 1/1/20X4 by an independent sworn appraiser to the fair value in use and the fair value adjustment was recorded on a gross replacement value basis. Revaluations are performed annually. Had the cost model been adopted, the carrying amount would have been C20 000 (20X3: C40 000; 20X2: C60 000 and 20X1: C80 000). Comment: Notice that the only difference between the disclosure of the two methods is the split between the amount classified as ‘gross carrying amount’ and the amount classified as ‘accumulated depreciation and impairment losses’. The net carrying amounts (at the beginning and end of the year) and the movement during the year are not affected. (1) 20 000 + 2 500 + 22 500 = 45 000 (2) 45 000 + 18 000 – 9 000 = 54 000 (3) 54 000 + 12 000 + 22 000 = 88 000 4.5 Realisation of the revaluation surplus Whether you are using the net method or the gross method to account for a revaluation, any revaluation surplus account that is created must be removed from the accounts by the time that the related asset no longer exists. The transfer is made directly to the retained earnings account, which means that the transfer is from one equity account to another equity account, thus having no effect on the statement of comprehensive income. This is not a reclassification adjustment and will therefore have no impact on the statement of comprehensive income, but will appear as a transfer between equity accounts in the statement of changes in equity. Debit Credit Revaluation surplus xxx Retained earnings xxx Transfer of the revaluation surplus to retained earnings The transfer of the revaluation surplus to retained earnings effectively reverses the effect that the artificially increased depreciation has had on profits over the life of the asset. When the asset’s depreciable amount is zero (the asset having been fully depreciated), the revaluation surplus account must also be zero. 241 Chapter 6
  • 25.
    Gripping IFRS Property, plant and equipment: the models The transfer may be done in a variety of ways: • transfer it as one lump sum when the asset is retired (at the end of the asset’s useful life); • transfer it as one lump sum when the asset is sold or otherwise disposed of; or • transfer it gradually as and when the asset is depreciated. For local (Pakistan) legislation requirements regarding treatment of surplus arising out of revaluation see section 235 of the Companies Ordinance, 1984 and a notification of the Security Exchange Commission of Pakistan –SRO 45 (1)/2003, dated 13/01/2003 Example 11: removal of revaluation surplus An asset with a cost of C100 (1/1/20X1) and a useful life of 4 years is revalued to fair value of C120 (1/1/20X2). It is retired from use at the end of its useful life (31/12/20X4) and is sold on 18/9/20X5. The residual value is zero and the straight-line method of depreciation is appropriate. Required: Ignoring the tax effect, show the journal entries reducing the revaluation surplus to zero assuming that: a) the transfer is done as the underlying asset is depreciated; b) the transfer is done at the end of the asset’s useful life; and c) the transfer is done when the asset is disposed of. Solution to example 11: removal of revaluation surplus Asset carrying Historic Extra Workings amount depreciation depreciation Cost 1/1/20X1 100 100 Depreciation - original 20X1: (100 - 0)/ 4yrs (25) (25) Carrying amount 31/12/20X1 75 75 Revaluation surplus 120 - 75 45 Revalued carrying amount 120 75 45 Depreciation - revised 20X2: (120-0)/3yrs (40) (25) (15) Depreciation - revised 20X3: (120-0)/3yrs (40) (25) (15) Depreciation - revised 20X4: (120-0)/3yrs (40) (25) (15) Carrying amount 0 0 0 a) Journals: posted at end of each year Debit Credit 31 December 20X2 Revaluation surplus 15 Retained earnings 15 Transfer of revaluation surplus to retained earnings (45 / 3) 31 December 20X3 Revaluation surplus 15 Retained earnings 15 Transfer of revaluation surplus to retained earnings (45 / 3) 31 December 20X4 Revaluation surplus 15 Retained earnings 15 Transfer of revaluation surplus to retained earnings (45 / 3) b) Journals: posted 31/12/20X4 Debit Credit Revaluation surplus 45 242 Chapter 6
  • 26.
    Gripping IFRS Property, plant and equipment: the models Retained earnings 45 Transfer of revaluation surplus to retained earnings when asset is retired from use c) Journals: posted 18/9/20X5 Debit Credit Revaluation surplus 45 Retained earnings 45 Transfer of revaluation surplus to retained earnings on disposal of asset 5. Disclosure 5.1 Overview The disclosure of property, plant and equipment involves various aspects: accounting policies to be included in the notes to the financial statements, disclosure in the statement of comprehensive income, statement of financial position and the statement of changes in equity. 5.2 Accounting policies and estimates For each class of property, plant and equipment (e.g. land, buildings, machinery, etc) the following should be disclosed: • measurement bases used to determine the gross carrying amounts (e.g. cost model or revaluation model); • depreciation methods used (e.g. straight-line method); and • useful lives or depreciation rates used (e.g. 5 years or 20% per annum). The nature and effect of a change in estimate must be disclosed in accordance with IAS 8 (the standard governing ‘accounting policies, changes in accounting estimates and errors’). 5.3 Statement of comprehensive income disclosure The following income and expense items should be disclosed in the notes to the financial statements and should be shown per class of property, plant and equipment (a suggestion that generally helps to reduce time wastage in tests and exams is to include these items in a note that supports the ‘profit before tax’ line item in the statement of comprehensive income): • depreciation expense (whether recognised in profit or loss or as part of the cost of another asset); • impairment losses (and the line item of the statement of comprehensive income in which it is included) (i.e. when the recoverable amount is less than carrying amount and any revaluation surplus has already been written off); • reversal of impairment losses(and the line item of the statement of comprehensive income in which it is included) (i.e. when the recoverable amount is greater than carrying amount, and to the extent that the increase in carrying amount up to historical carrying amount reverses a previous impairment loss); and • revaluation expense (i.e. when the fair value is less than carrying amount and any revaluation surplus has already been written off) • revaluation income (i.e. when the fair value is greater than carrying amount, and to the extent that the increase in carrying amount up to historical carrying amount reverses a previous revaluation expense); • profits or losses on the realisation, scrapping or other disposal of a non-current asset • a revaluation or devaluation that changes the balance in the revaluation surplus account will be recognised in other comprehensive income (and accumulated as equity): this amount may be shown gross with the tax thereon shown as a separate line item in other comprehensive income or this amount may be shown net of tax (the tax effect would then be shown in a note). 243 Chapter 6
  • 27.
    Gripping IFRS Property, plant and equipment: the models 5.4 Statement of financial position disclosure The following is the main information that should be disclosed in the note to the ‘property, plant and equipment’ line item in the statement of financial position. This information must be disclosed separately for each class of property, plant and equipment (e.g. land, buildings, machinery, etc): • ‘gross carrying amount’ and ‘accumulated depreciation and impairment losses’ at the beginning and end of each period; • a reconciliation between the ‘net carrying amount’ at the beginning and end of the period separately disclosing each of the following where applicable: − additions; − acquisitions through business combinations; − disposals; − assets transferred to ‘non-current assets held for sale’ in accordance with IFRS 5; − depreciation; − impairment losses recognised in the statement of comprehensive income; − impairment losses reversed through the statement of comprehensive income; − increases through revaluation income; − increases in a related revaluation surplus; − decreases in a related revaluation surplus; − decreases through revaluation expense; − other movements (e.g. currency translation differences); • the existence and amounts of restrictions on title; • the existence and amounts of assets that have been pledged as security for a liability; • the costs capitalised in respect of property, plant and equipment being constructed; • the amount of any contractual commitments to acquire assets in the future; • when the revaluation model is adopted, then disclose: − the effective date of the latest revaluation; − whether or not the valuer was independent; − the methods and significant assumptions applied in estimating the asset’s fair values (the extent to which these fair values were determined in accordance with active markets, recent market transactions or using other valuation techniques); − the carrying amount of the property, plant and equipment had the cost model been adopted (per class of revalued property, plant and equipment); and − the revaluation surplus, its movements and any restrictions on the distribution thereof. The standard also requires that the accumulated depreciation be disclosed (as opposed to the aggregate of the accumulated depreciation and accumulated impairment losses that is given in the reconciliation of the carrying amount of the asset) at the end of the period. 5.5 Statement of changes in equity disclosure If the property, plant and equipment is revalued using the revaluation model, there may be a revaluation surplus which would need to be disclosed as follows: • increase or decrease in revaluation surplus during the period (net of tax): this will be per the statement of comprehensive income; • realisations of revaluation surplus (e.g. transfer to retained earnings as the asset is used up or on disposal); and • any restrictions on the distribution of the surplus to shareholders. 5.6 Further encouraged disclosure • the carrying amount of property, plant and equipment that is temporarily idle; • the gross amount of property, plant and equipment that is still in use but that has been fully depreciated; • the carrying amount of property, plant and equipment that is no longer used and is to be disposed of (but not yet classified as held for sale in accordance with IFRS 5); and 244 Chapter 6
  • 28.
    Gripping IFRS Property, plant and equipment: the models • the fair value of the asset in the event that the cost model is adopted and the difference between fair value and carrying amount is material. 5.7 Sample disclosure involving property, plant and equipment ABC Ltd Statement of financial position As at 31 December 20X2 (extracts) 20X2 20X1 ASSETS Note C C Non-current Assets Property, plant and equipment 4 ABC Ltd Statement of changes in equity For the year ended 31 December 20X2 (extracts) Revaluation Retained Total surplus earnings C C C Balance at 1 January 20X1 Total comprehensive income Realised portion transferred to retained earnings Balance at 31 Dec 20X1 Total comprehensive income Realised portion transferred to retained earnings Balance at 31 December 20X2 ABC Limited Notes to the financial statements For the year ended 31 December 20X2 (extracts) 2. Accounting policies Depreciation is not provided on land and buildings since it is considered to be an investment property. Depreciation is provided on all other property, plant and equipment over the expected economic useful life to expected residual values using the following rates and methods: - Plant and vehicles at 10% per annum, reducing balance method. Plant is revalued annually to fair values and is thus carried at fair value less accumulated depreciation and impairment losses. All other property, plant and equipment is shown at cost less accumulated depreciation and impairment losses. 3. Profit before tax 20X2 20X1 Profit before tax is stated after taking the following into account: C C Depreciation on plant Depreciation on vehicles Revaluation income on plant Revaluation expense on vehicles Impairment losses on vehicles Impairment losses reversed on plant (income) 4. Property, plant and equipment 20X2 20X1 Total carrying amount: C C Land and buildings Plant Vehicles 245 Chapter 6
  • 29.
    Gripping IFRS Property, plant and equipment: the models Land and buildings 20X2 20X1 C C Net carrying amount: 1 January Gross carrying amount: 1 January Accumulated depreciation and impairment losses: 1 January Additions Disposals Depreciation Revaluation increase/ (decrease) through equity Revaluation increase/ (decrease) through profit (Impairment loss)/ Impairment loss reversed Other Net carrying amount: 31 December Gross carrying amount: 31 December Accumulated depreciation and impairment losses: 31 Dec Land was revalued on 1/1/20X1 by Mr X (his qualification), an independent sworn appraiser, to the fair value determined with reference to an active market. The fair value adjustment was recorded on a net replacement value basis. Revaluations are performed annually. Had the cost model been adopted, the carrying amount would have been CXXX (20X0: CXXX). Land… (description of and its situation) acquired on… (date) for… (amount paid). Additions and improvements since date of acquisition have cost… (amount). Plant Net carrying amount: 1 January Gross carrying amount: 1 January Accumulated depreciation and impairment losses: 1 January Depreciation Revaluation increase/ (decrease) through equity Revaluation increase/ (decrease) through profit (Impairment loss)/ Impairment loss reversed Additions Disposals Other Net carrying amount: 31 December Gross carrying amount: 31 December Accumulated depreciation and impairment losses: 31 Dec Plant is provided as security for a loan (see the note 51: loans). Vehicles Net carrying amount: 1 January Gross carrying amount: 1 January Accumulated depreciation and impairment losses: 1 January Depreciation Revaluation increase/ (decrease) through equity Revaluation increase/ (decrease) through profit (Impairment loss)/ Impairment loss reversed Additions Disposals Other Net carrying amount: 31 December Gross carrying amount: 31 December Accumulated depreciation and impairment losses: 31 Dec 246 Chapter 6
  • 30.
    Gripping IFRS Property, plant and equipment: the models Example 12: cost model disclosure Cost of plant at 1/1/20X1: C100 000 Depreciation: 25% straight-line per annum to a nil residual value The company measures its assets under the cost model. The following recoverable amounts were calculated: Recoverable amount at 31 December 20X1 is C60 000 Recoverable amount at 31 December 20X2 is C55 000 There are no other items of property, plant or equipment. Required: A. Disclose the plant and all related information in the financial statements for the years ended 31 December 20X1, 20X2, 20X3 and 20X4 in accordance with the International Financial Reporting Standards, ignoring deferred tax; B. Show the journals and show all additional or revised related disclosure assuming that: Deductible allowance (wear and tear) granted by the tax 25% straight-line per year authorities Normal income tax rate 30% The company intends to keep the plant. There are no other temporary differences other than those evident from the information provided. Solution to example 12A: cost model disclosure ABC Ltd Statement of financial position As at 31 December 20X4 (EXTRACTS) 20X4 20X3 20X2 20X1 Note C C C C ASSETS Non-current Assets Property, plant and equipment 4 0 25 000 50 000 60 000 ABC Ltd Notes to the financial statements For the year ended 31 December 20X4 Note 20X4 20X3 20X1 20X0 C C C C 2. Accounting policies 2.1 Property, plant and equipment Plant is measured using the cost model: cost less accumulated depreciation and impairment losses. Depreciation is provided on all property, plant and equipment over the expected economic useful life to expected residual values using the following rates and methods: Plant: 25% per annum, straight-line method. 3. Profit before tax Profit before tax is stated after taking the following disclosable (income)/ expenses into account: Depreciation on plant 25 000 25 000 20 000 25 000 Impairment loss 0 0 0 15 000 Impairment loss reversed 0 0 (10 000) 0 247 Chapter 6
  • 31.
    Gripping IFRS Property, plant and equipment: the models 4. Property, plant and equipment (extracts) 20X4 20X3 20X1 20X0 C C C C Plant Net carrying amount: 1 January 25 000 50 000 60 000 0 Gross carrying amount: 100 000 100 000 100 000 0 Accumulated depreciation and imp losses: (75 000) (50 000) (40 000) 0 Additions 0 0 0 100 000 Depreciation (25 000) (25 000) (20 000) (25 000) Impairment loss 0 0 0 (15 000) Impairment loss reversed 0 0 10 000 0 Net carrying amount: 31 December 0 25 000 50 000 60 000 Gross carrying amount: 100 000 100 000 100 000 100 000 Accumulated depreciation and imp losses: (100 000) (75 000) (50 000) (40 000) Solution to example 12B: cost model disclosure - with deferred tax Journals Dr/ (Cr) 20X1: Plant: cost 100 000 Bank/ Liability (100 000) Purchase of asset: (1/1/20X1) Depreciation (100 000 / 4 years remaining) 25 000 Plant: accumulated depreciation and impairment losses (25 000) Depreciation on plant Impairment loss CA: (100 000 – 25 000) – RA: 60 000 15 000 Plant: accumulated depreciation and impairment losses (15 000) Impairment loss Deferred tax W1 or [(25 000 + 15 000) – (25 000)] x 30% 4 500 Tax expense (4 500) Deferred tax caused by plant/ impairment loss 20X2: Depreciation (60 000 / 3 years remaining) 20 000 Plant: accumulated depreciation and impairment losses (20 000) Depreciation on plant Plant: accumulated depreciation and impairment losses 10 000 Impairment losses reversed CA: (60 000 – 20 000) – RA: 55 000, ltd to 50 000 cost (10 000) Impairment loss reversed Tax expense W1 or [(20 000 - 10 000) – (25 000)] x 30% 4 500 Deferred tax (4 500) Deferred tax caused by plant/ impairment loss reversed & revised depreciation 20X3 Depreciation (50 000 / 2 years remaining) 25 000 Plant: accumulated depreciation and impairment losses (25 000) Depreciation on plant 20X4 Depreciation (25 000 / 1 year remaining) 25 000 Plant: accumulated depreciation and impairment losses (25 000) Depreciation on plant 248 Chapter 6
  • 32.
    Gripping IFRS Property, plant and equipment: the models ABC Ltd Statement of financial position As at 31 December 20X4 (EXTRACTS) 20X4 20X3 20X2 20X1 Note C C C C ASSETS Non-current Assets Property, plant and equipment 4 0 25 000 50 000 60 000 Deferred taxation 5 0 0 0 4 500 ABC Limited Notes to the financial statements For the year ended 31 December 20X4 (extracts) Note 20X4 20X3 20X2 20X1 C C C C 5. Deferred taxation asset/ (liability) The deferred taxation balance comprises: Capital allowances (the balances in W1) 0 0 0 4 500 0 0 0 4 500 6. Taxation expense/ (income) Normal income tax - current X X X X - deferred (the movement in W1) 0 0 4 500 (4 500) All other notes would remain the same. W1: Deferred tax calculation: Carrying Tax Temporary Deferred Details Plant amount base difference taxation Balance: 1/1/20X1 0 0 0 0 Purchase 100 000 100 000 Depreciation (25 000) (25 000) Movement: (100 000/ 4 years) 4 500 Dr DT (FP) (100 000 x 25% Cr TE (CI) Impairment loss (15 000) 0 Balance: 31/12/20X1 60 000 75 000 15 000 4 500 Asset balance Depreciation (20 000) (25 000) Movement: (60 000/ 3 years) (4 500) Cr DT (FP) (100 000 x 25% Dr TE (CI) Impairment loss reversed 10 000 0 Balance: 31/12/20X2 50 000 50 000 0 0 Depreciation (25 000) (25 000) (50 000/ 2 years) (100 000 x 25% Balance: 31/12/20X3 25 000 25 000 0 0 Depreciation (25 000) (25 000) (25 000/ 1 year) (100 000 x 25% Balance: 31/12/20X4 0 0 0 0 249 Chapter 6
  • 33.
    Gripping IFRS Property, plant and equipment: the models Example 13: revaluation model disclosure Cost of plant at 1/1/20X1: C100 000 Depreciation: 20% straight-line per annum to a nil residual value The company revalue its plant on an annual basis and records the fair value adjustments using the net replacement value basis. The following revaluations were performed: Fair value at 1/1/20X2 is C90 000 Fair value at 1/1/20X3 is C54 000 Fair value at 1/1/20X4 is C44 000 There are no other items of property, plant or equipment. Profit for each year is C100 000 (after tax). There are no components of other comprehensive income other than that which is evident from the information provided. Required: A. Disclose the plant and all related information in the financial statements for the years ended 31 December 20X1, 20X2, 20X3 and 20X4 in accordance with the International Financial Reporting Standards, ignoring deferred tax. B. Repeat the journals (using the net replacement value method) and show all additional or revised related disclosure assuming that: Deductible allowance (wear and tear) granted by the tax 20% straight-line per authorities year Normal income tax rate 30% The company intends to keep the plant. There are no other temporary differences other than those evident from the information provided. The company shows components of other comprehensive income net of tax. C. Assume the information given in B above except that the company presents the components of other comprehensive income gross with their tax effects shown as a separate line item. Present the statement of comprehensive income and the note on tax on other comprehensive income. Solution to example 13A: revaluation model disclosure - no deferred tax The journals for part A may be found under examples 7, 8 and 9. ABC Ltd Statement of comprehensive income (extracts) For the year ended 31 December 20X4 Notes 20X4 20X3 20X2 20X1 C C C C Profit for the period 100 000 100 000 100 000 100 000 Other comprehensive income net of tax 4 000 (7 500) 10 000 0 Revaluation surplus / (devaluation) 4 000 (7 500) 10 000 0 Total comprehensive income 104 000 92 500 110 000 100 000 250 Chapter 6
  • 34.
    Gripping IFRS Property, plant and equipment: the models ABC Ltd Statement of changes in equity (extracts) For the year ended 31 December 20X4 Revaluation Retained Total surplus earnings C C C Balance at 1 January 20X1 0 X X Total comprehensive income 0 100 000 100 000 Balance at 31 December 20X1 0 X X Total comprehensive income 10 000 100 000 110 000 Realised portion transferred to retained earnings (2 500) 2 500 Balance at 31 December 20X2 7 500 X X Total comprehensive income (7 500) 100 000 92 500 Balance at 31 December 20X3 0 X X Total comprehensive income 4 000 100 000 104 000 Realised portion transferred to retained earnings (2 000) 2 000 Balance at 31 December 20X4 2 000 X X ABC Ltd Statement of financial position (extracts) As at 31 December 20X4 20X4 20X3 20X2 20X1 Note C C C C ASSETS Non-current Assets Property, plant and equipment 4 22 000 36 000 67 500 80 000 EQUITY AND LIABILITIES Revaluation surplus (from SOCIE) 2 000 0 7 500 0 ABC Limited Notes to the financial statements For the year ended 31 December 20X4 (extracts) 20X4 20X3 20X2 20X1 C C C C 2. Accounting policies 2.1 Property, plant and equipment Plant is revalued annually to fair values and is thus carried at fair value less accumulated depreciation and impairment losses. Depreciation is provided on all property, plant and equipment over the expected economic useful life to expected residual values using the following rates and methods: Plant: 20% per annum, straight-line method. 3. Profit before tax Profit before tax is stated after taking the following disclosable (income)/ expenses into account: Depreciation on plant 22 000 18 000 22 500 20 000 Revaluation expense 0 6 000 0 0 Revaluation income (4 000) 0 0 0 251 Chapter 6
  • 35.
    Gripping IFRS Property, plant and equipment: the models ABC Limited Notes to the financial statements For the year ended 31 December 20X4 (extracts) continued … 20X4 20X3 20X2 20X1 C C C C 4. Property, plant and equipment (extracts) Plant Net carrying amount: 1 January 36 000 67 500 80 000 Gross carrying amount: 54 000 90 000 100 000 0 Accumulated depreciation and impairment (18 000) (22 500) (20 000) 0 losses: Additions 0 0 0 100 000 Depreciation (22 000) (18 000) (22 500) (20 000) Revaluation surplus increase/ (decrease) 4 000 (7 500) 10 000 0 Revaluation income/ (expense) 4 000 (6 000) 0 0 Net carrying amount: 31 December 22 000 36 000 67 500 80 000 Gross carrying amount: 44 000 54 000 90 000 100 000 Accumulated depreciation and impairment (22 000) (18 000) (22 500) (20 000) losses: The last revaluation was performed on 1/1/20X4 by an independent sworn appraiser to the fair value in use and the fair value adjustment was recorded on a net replacement value basis. Revaluations are performed annually. Carrying amount had the cost model been used instead: 80 000 20 000 40 000 60 000 Solution to example 13B revaluation model disclosure - with deferred tax Journals Dr/ (Cr) 1/1/20X1 Plant: cost 100 000 Bank/ Liability (100 000) Purchase of asset 31/12/20X1 Depreciation (100 000 / 5 years remaining) 20 000 Plant: accumulated depreciation (20 000) Depreciation 1/1/20X2: Plant: accumulated depreciation 20 000 Plant: cost (20 000) NRVM: set-off of accumulated depreciation before revaluing asset Plant: cost W1 10 000 Revaluation surplus (10 000) NRVM: revaluation of asset Revaluation surplus W1 3 000 Deferred tax (3 000) Deferred tax on revaluation of asset 31/12/20X2: Depreciation W1 22 500 Plant: accumulated depreciation (22 500) Depreciation on plant 252 Chapter 6
  • 36.
    Gripping IFRS Property, plant and equipment: the models Journals continued … Dr/ (Cr) 31/12/20X2 continued … Revaluation surplus (7 000 / 4 years remaining) or (22 500 revalued 1 750 Retained earnings depreciation – 20 000 historic depreciation) x 70% (1 750) Artificial decrease in after-tax profits reversed: (31/12/20X2) Deferred tax W1 750 Taxation (750) Depreciation versus tax deductible allowance: (31/12/20X2) 1/1/20X3 Plant: accumulated depreciation 22 500 Plant: cost (22 500) Set off of accumulated depreciation against cost (NRVM) Revaluation surplus W1: balance in revaluation surplus 7 500 Revaluation expense W1: (13 500 - 7 500) 6 000 Plant: cost 67 500 -54 000 (13 500) Devaluation of plant to fair value Deferred tax W1; or 7 500 x 30% 2 250 Revaluation surplus (2 250) Deferred tax on reversal of equity: 31/12/20X3 Depreciation W1 18 000 Plant: accumulated depreciation (18 000) Depreciation on plant Deferred tax W1 1 200 Tax (1 200) Depreciation & impairment loss versus tax deductible allowance 1/1/20X4 Plant: accumulated depreciation 18 000 Plant: cost (18 000) Set off of accumulated depreciation against cost (NRVM) Plant: cost 36 000 – 44 000 8 000 Revaluation income W1: up to historical carrying amount (4 000) Revaluation surplus W1: above historical carrying amount (4 000) Revaluation to an increased fair value Revaluation surplus W1; or 4 000 x 30% 1 200 Deferred taxation (1 200) Deferred tax on revaluation surplus 31/12/20X4 Depreciation W1 22 000 Plant: accumulated depreciation (22 000) Depreciation on plant Revaluation surplus (2 800) / 2 years; OR (22 000 revalued depreciation – 1 400 Retained earnings 20 000 historic depreciation) x 70% (1 400) Artificial decrease in after-tax profits reversed Tax W1: 1 200 - 600 600 Deferred tax (600) Depreciation & impairment loss reversed versus tax deductible allowance: 253 Chapter 6
  • 37.
    Gripping IFRS Property, plant and equipment: the models Disclosure: ABC Ltd Statement of comprehensive income (extracts) For the year ended 31 December 20X4 Notes 20X4 20X3 20X2 20X1 C C C C Profit for the period 100 000 100 000 100 000 100 000 Other comprehensive income(net of 7 2 800 (5 250) 7 000 0 tax) Revaluation surplus / (devaluation) 2 800 (5 250) 7 000 0 Total comprehensive income 102 800 94 750 107 000 100 000 ABC Ltd Statement of changes in equity For the year ended 31 December 20X4 (EXTRACTS) Revaluation Retained Total surplus earnings C C C Balance at 1 January 20X1 0 X X Total comprehensive income 0 100 000 0 Balance at 31 December 20X1 0 X X Total comprehensive income 7 000 100 000 107 000 Realised portion transferred to retained earnings (1 750) 1 750 0 Balance at 31 December 20X2 5 250 X X Total comprehensive income (5 250) 100 000 94 750 Balance at 31 December 20X3 0 X X Total comprehensive income 2 800 100 000 102 800 Realised portion transferred to retained earnings (1 400) 1 400 0 Balance at 31 December 20X4 1 400 X X ABC Ltd Statement of financial position As at 31 December 20X4 (EXTRACTS) 20X4 20X3 20X2 20X1 Note C C C C ASSETS Non-current Assets Property, plant and equipment 3 22 000 36 000 67 500 80 000 Deferred taxation 4 0 1 200 0 0 EQUITY AND LIABILITIES Equity Revaluation surplus (from SOCIE) 1400 0 5250 0 Non-current liabilities Deferred taxation 4 600 0 2 250 0 254 Chapter 6
  • 38.
    Gripping IFRS Property, plant and equipment: the models ABC Limited Notes to the financial statements For the year ended 31 December 20X4 (extracts) 20X4 20X3 20X2 20X1 C C C C 5. Deferred taxation asset/ (liability) The deferred taxation balance comprises: Property, plant and equipment (600) 1 200 (2 250) 0 (600) 1 200 (2 250) 0 Reconciliation: Opening balance 1 200 (2 250) 0 0 Deferred tax charge in the statement of (600) 1 200 750 0 comprehensive income Deferred tax on revaluation/ devaluation (1 200) 2 250 (3 000) 0 Closing balance (600) 1 200 (2 250) 0 6. Taxation expense/ (income) Normal income tax - current X X X X - deferred 600 (1 200) (750) 0 W1: Deferred tax calculation: Carrying Tax Temp Deferred Details Revaluation Plant amount base diff taxation surplus Balance: 1/1/20X1 0 0 0 0 Purchase 100 000 100 000 0 0 Depreciation (20 000) (20 000) 0 0 (100 000/ 5 years) Balance: 31/12/20X1 80 000 80 000 0 0 Revaluation surplus 10 000 0 (10 000) (3 000) Cr DT (FP) (10 000) (equity increase) Dr RS (FP) 3 000 Fair value 90 000 80 000 (7 000) Depreciation (22 500) (20 000) 2 500 750 Dr DT (FP) 1 750 (90 000/ 4 years) Cr TE (CI) Balance: 31/12/20X2 67 500 60 000 (7 500) (2 250) Liability (5 250) Revaluation surplus (7 500) 0 7 500 2 250 Dr DT (FP) 7 500 (equity decrease) Cr RS (FP) (2 250) Historical carrying 60 000 60 000 0 0 amount Revaluation expense (6 000) 0 6 000 Dr DT (FP) 1 200 Fair value 54 000 60 000 Cr TE (CI) Depreciation (18 000) (20 000) (2 000) (54 000/ 3 years) Balance: 31/12/20X3 36 000 40 000 4 000 1 200 Asset 0 Revaluation income 4 000 0 (4 000) (1 200) Cr DT (FP) Dr TE (CI) Historical carrying 40 000 40 000 amount Revaluation surplus 4 000 0 (4 000) (1 200) Cr DT (FP) (4 000) (equity increase) Dr RS (FP) 1 200 Fair value 44 000 40 000 2 800 Depreciation (22 000) (20 000) 2 000 600 Dr DT (FP) (1 400) (44 000/ 2 years) Cr TE (CI) Balance: 31/12/20X4 22 000 20 000 (2 000) (600) Liability 1 400 255 Chapter 6
  • 39.
    Gripping IFRS Property, plant and equipment: the models Solution to example 13C: revaluation model disclosure – with deferred tax Comment: the only difference between Part C and Part B is that other comprehensive income is shown gross (i.e. before tax) rather than net of tax. This requires an additional note to reflect the tax thereon. The journals and workings for Part C are identical to those in Part B. ABC Ltd Statement of comprehensive income (extracts) For the year ended 31 December 20X4 Notes 20X4 20X3 20X2 20X1 C C C C Profit for the period 100 000 100 000 100 000 100 000 Other comprehensive income net of tax 2 800 (5 250) 7 000 0 Revaluation surplus / (devaluation) before tax 4 000 (7 500) 10 000 0 Taxation effect of other comprehensive income 7 (1 200) 2 250 (3 000) 0 Total comprehensive income 102 800 94 750 107 000 100 000 ABC Ltd Notes to the financial statements (extracts) For the year ended 31 December 20X4 Notes 20X4 20X3 20X2 20X1 C C C C 7. Tax effects of components of other comprehensive income Revaluation surplus / (devaluation) Gross 4 000 (7 500) 10 000 0 Tax (1 200) 2 250 (3 000) 0 Net 2 800 (5 250) 7 000 0 256 Chapter 6
  • 40.
    Gripping IFRS Property, plant and equipment: the models 6. Summary Measurement models Cost model Revaluation model Calculation of the carrying amount: Calculation of the carrying amount:  cost  fair value on date of revaluation  less accumulated depreciation  less subsequent accumulated  less accumulated impairment losses depreciation  less subsequent accumulated impairment losses the rule: the rule: an asset may be written down below the asset may be valued at its fair value HCA, but may never be revalued above (if greater/ less than its HCA) its HCA increase in value: previous impairment increase in value: reversed  debit asset (FV – ACA); debit asset;  credit income (to extent reverses credit reversal of impairment loss (I) previous decrease: HCA – ACA) limited to the carrying amount that it  credit revaluation surplus (FV – HCA) would have had had there never been an impairment loss (i.e. its historical carrying amount) decrease in value: impairment decrease in value: debit impairment loss (E);  credit asset (FV – ACA); credit asset  debit RS (to extent reverses previous increases: ACA – HCA)  debit expense (HCA - FV) the revaluation surplus:  transferred annually to retained earnings (amount transferred equals after tax effect on profits as a result of increased depreciation); OR  transferred to retained earnings when the asset is fully depreciated; OR  transferred to retained earnings when the asset is disposed of. 257 Chapter 6
  • 41.
    Gripping IFRS Property, plant and equipment: the models Disclosure (main points only) Accounting policies  depreciation methods  rates (or useful lives)  cost or revaluation model In the statement of In the statement of In the statement of comprehensive income changes in equity financial position related  Depreciation  Increase or decrease in  Reconciliation  Impairment losses RS between opening and  Reversals of  Tax effect of creation closing balances impairments or increase in RS  Break-down of these  Revaluation expense  Transfers from RS to balances into gross  Revaluation income RE carrying amount and  Any restrictions on accumulated distributions to depreciation and shareholders impairment losses  If revaluation model, also - CA using cost model - Basis used for revaluation - Effective date of revaluation - Valuer independent - Reversal of RS - Impairment loss expensed - Increase in/ creation of RS - Reversal of impairment loss  If cost model used, also - the FV. 258 Chapter 6