Chapter 10: RNN
Larry Guo(tcglarry@gmail.com)
Date: May 5th, ‘17
http://www.deeplearningbook.org/
Agenda
• RNN Briefing
• Motivation
• Various Types &
Applications
• Train RNN -BPTT (Math!)
• Exploding/Vanishing
Gradients
• Countermeasures
• Long Short Term Memory (LSTM)
• Briefing
• GRU & Peephole
• How it helps ?
• Comparison on Various LSTM
• Real World Practice
• Image Captioning
• SVHN
• Sequence to Sequence (by Teammate
Ryan Chao)
• Chatbot(by Teammate Ryan Chao)
Motivation of RNN
• Sequential Data, Time Step Input(order of data matters)
• eg. This movie is good, really not bad
• vs. This movie is bad, really not good.
• Sharing Parameter across different part of model
• (Separate Parameter cannot generalize in different time steps)
• Eg. “I went to Nepal in 2009” vs “In 2009, I went to Nepal”
• 2009 is the key info we want, regardless it appears in any position
Using FF or CNN?
• Feed Forward
• Separate Parameter for each Input
• Needs to Learn ALL of the Rules of Languages
• CNN
• Output of CNN is a Small Number of
Neighboring Member of Inputs
(Goodfellow 2016)
Classical Dynamical Systems
ding the equation by repeatedly applying the definition in this
n expression that does not involve recurrence. Such an expre
epresented by a traditional directed acyclic computational gra
computational graph of equation 10.1 and equation 10.3 is illus
1.
s(t 1)
s(t 1)
s(t)
s(t)
s(t+1)
s(t+1)
ff
s(... )
s(... )
s(... )
s(... )
ff ff ff
1: The classical dynamical system described by equation 10.1, illustra
computational graph. Each node represents the state at some time
maps the state at t to the state at t + 1. The same parameters (the s
to parametrize f) are used for all time steps.
other example, let us consider a dynamical system driven by an
),
s(t)
= f(s(t 1)
, x(t)
; ✓),
Figure 10.1
st
= f(s(t 1)
; ✓)
as output layers that read information out of the state h to make predictions.
When the recurrent network is trained to perform a task that requires predicting
the future from the past, the network typically learns to use h(t) as a kind of lossy
summary of the task-relevant aspects of the past sequence of inputs up to t. This
summary is in general necessarily lossy, since it maps an arbitrary length sequence
(x(t), x(t 1), x(t 2), . . . , x(2), x(1)) to a fixed length vector h(t). Depending on the
training criterion, this summary might selectively keep some aspects of the past
sequence with more precision than other aspects. For example, if the RNN is used
in statistical language modeling, typically to predict the next word given previous
words, it may not be necessary to store all of the information in the input sequence
up to time t, but rather only enough information to predict the rest of the sentence.
The most demanding situation is when we ask h(t) to be rich enough to allow
one to approximately recover the input sequence, as in autoencoder frameworks
(chapter 14).
ff
hh
xx
h(t 1)
h(t 1)
h(t)
h(t)
h(t+1)
h(t+1)
x(t 1)
x(t 1)
x(t)
x(t)
x(t+1)
x(t+1)
h(... )
h(... )
h(... )
h(... )
ff
Unfold
ff ff f
Figure 10.2: A recurrent network with no outputs. This recurrent network just processes
ht
= f(h(t 1)
; xt
; ✓)
Figure 10.2
A system is recurrent : st
is a function of st 1
Recurrent Hidden Units
Input
Hidden State
Output
Loss
Target
ˆy = softmax(o)
For Every Time Step!!
Basic Form
(Goodfellow 2016)
Recurrent Hidden Units
information flows.
10.2 Recurrent Neural Networks
Armed with the graph unrolling and parameter sharing ideas of section 10.1, we
can design a wide variety of recurrent neural networks.
UU
VV
WW
o(t 1)
o(t 1)
hh
oo
yy
LL
xx
o(t)
o(t)
o(t+1)
o(t+1)
L(t 1)
L(t 1)
L(t)
L(t)
L(t+1)
L(t+1)
y(t 1)
y(t 1)
y(t)
y(t)
y(t+1)
y(t+1)
h(t 1)
h(t 1)
h(t)
h(t)
h(t+1)
h(t+1)
x(t 1)
x(t 1)
x(t)
x(t)
x(t+1)
x(t+1)
WWWW WW WW
h(... )
h(... )
h(... )
h(... )
VV VV VV
UU UU UU
Unfold
Figure 10.3: The computational graph to compute the training loss of a recurrent network
that maps an input sequence of x values to a corresponding sequence of output o values.
A loss L measures how far each o is from the corresponding training target y. When using
softmax outputs, we assume o is the unnormalized log probabilities. The loss L internally
Figure 10.3
mation flow forward in time (computing outputs and losses) and backward
me (computing gradients) by explicitly showing the path along which this
mation flows.
2 Recurrent Neural Networks
d with the graph unrolling and parameter sharing ideas of section 10.1, we
esign a wide variety of recurrent neural networks.
UU
VV
WW
o(t 1)
o(t 1)
hh
oo
yy
LL
xx
o(t)
o(t)
o(t+1)
o(t+1)
L(t 1)
L(t 1)
L(t)
L(t)
L(t+1)
L(t+1)
y(t 1)
y(t 1)
y(t)
y(t)
y(t+1)
y(t+1)
h(t 1)
h(t 1)
h(t)
h(t)
h(t+1)
h(t+1)
x(t 1)
x(t 1)
x(t)
x(t)
x(t+1)
x(t+1)
WWWW WW WW
h(... )
h(... )
h(... )
h(... )
VV VV VV
UU UU UU
Unfold
Recurrent Hidden Units
(Goodfellow 2016)
Recurrence through only the Output
U
V
W
o(t 1)
o(t 1)
hh
oo
yy
LL
xx
o(t)
o(t)
o(t+1)
o(t+1)
L(t 1)
L(t 1)
L(t)
L(t)
L(t+1)
L(t+1)
y(t 1)
y(t 1)
y(t)
y(t)
y(t+1)
y(t+1)
h(t 1)
h(t 1)
h(t)
h(t)
h(t+1)
h(t+1)
x(t 1)
x(t 1)
x(t)
x(t)
x(t+1)
x(t+1)
WW W W
o(... )
o(... )
h(... )
h(... )
V V V
U U U
Unfold
Figure 10.4: An RNN whose only recurrence is the feedback connection from the output
to the hidden layer. At each time step t, the input is xt, the hidden layer activations are
Less Powerful, Relies on Output to keep history…
Teacher Forcing
o(t 1)
o(t 1)
o(t)
o(t)
h(t 1)
h(t 1)
h(t)
h(t)
x(t 1)
x(t 1)
x(t)
x(t)
W
V V
U U
o(t 1)
o(t 1)
o(t)
o(t)
L(t 1)
L(t 1)
L(t)
L(t)
y(t 1)
y(t 1)
y(t)
y(t)
h(t 1)
h(t 1)
h(t)
h(t)
x(t 1)
x(t 1)
x(t)
x(t)
W
V V
U U
Train time Test time
Figure 10.6: Illustration of teacher forcing. Teacher forcing is a training technique that is
applicable to RNNs that have connections from their output to their hidden states at the
Easy to Train, Hard to Generalize’
Pro’s (of no recurrent h)
• Loss function could be
independently traded No
Recurrent h
• NO need BPTT
• Paralleled Trained
Con’s
• Hard to keep previous
info
• Can’t simulate TM
• Output is trained for
Target
Solution: Schedule Sampling
Flip Coin (p) to
decide whether to
choose y or choose o
Using Learning Curve
to decide p
from mostly choosing y
to mostly choosing o
In the beginning, we’d like the model to Learn CORRECTLY
then, Learn Robustly
Data Source: Samy Bengio, Oriol Vinyals, Navdeep Jaitly, Noam Shazeer
Google Research Mountain View, CA, USA
Better Result!!
Recurrent with Output Layer
Source:RNN with a Recurrent Output Layer for Learning of Naturalness
Various Types of RNN
Image Classification Sentiment Analysis Image Captioning
That movie is AwfulMNIST A Baby Eating a piece of paper
Variance of RNN - Vector to
Sequence
o(t 1)
o(t 1)
o(t)
o(t)
o(t+1)
o(t+1)
L(t 1)
L(t 1)
L(t)
L(t)
L(t+1)
L(t+1)
y(t 1)
y(t 1)
y(t)
y(t)
y(t+1)
y(t+1)
h(t 1)
h(t 1)
h(t)
h(t)
h(t+1)
h(t+1)
WW W W
h(... )
h(... )
h(... )
h(... )
V V V
U U U
xx
y(...)
y(...)
R R R R R
Sequence y(t)
:
Current time step INPUT, and
Previous time step TARGET
Image as extra input
Various Types of RNN
NLP, Text Genneration
Deep Shakespeare
NLP, Translation
Google Translation
"Why do what that day," replied Natasha, and wishing to himself
the fact the
princess, Princess Mary was easier, fed in had oftened him.
Pierre aking his soul came to the packs and drove up his father-
in-law women.
Ton Ton
痛 痛
Variance of RNN - Sequence to
Sequence
10.4 Encoder-Decoder Sequence-to-Sequence Architec-
tures
We have seen in figure 10.5 how an RNN can map an input sequence to a fixed-size
vector. We have seen in figure 10.9 how an RNN can map a fixed-size vector to a
sequence. We have seen in figures 10.3, 10.4, 10.10 and 10.11 how an RNN can
map an input sequence to an output sequence of the same length.
Encoder
…
x(1)
x(1)
x(2)
x(2)
x(...)
x(...)
x(nx)
x(nx)
Decoder
…
y(1)
y(1)
y(2)
y(2)
y(...)
y(...)
y(ny)
y(ny)
CC
Figure 10.12: Example of an encoder-decoder or sequence-to-sequence RNN architecture,
for learning to generate an output sequence (y(1)
, . . . , y(ny)
) given an input sequence
(x(1)
, x(2)
, . . . , x(nx)
). It is composed of an encoder RNN that reads the input sequence
and a decoder RNN that generates the output sequence (or computes the probability of a
To learn the context Variable C which represents a semantic
summary of the input sequence, and for later decoder RNNN
HOT!!!
Encode & Decode
CHAPTER 10. SEQUENCE MODELING: RECURRENT AND RECURSIVE NETS
10.4 Encoder-Decoder Sequence-to-Sequence Architec-
tures
We have seen in figure 10.5 how an RNN can map an input sequence to a fixed-size
vector. We have seen in figure 10.9 how an RNN can map a fixed-size vector to a
sequence. We have seen in figures 10.3, 10.4, 10.10 and 10.11 how an RNN can
map an input sequence to an output sequence of the same length.
Encoder
…
x(1)
x(1)
x(2)
x(2)
x(...)
x(...)
x(nx)
x(nx)
Decoder
…
y(1)
y(1)
y(2)
y(2)
y(...)
y(...)
y(ny)
y(ny)
CC
Figure 10.12: Example of an encoder-decoder or sequence-to-sequence RNN architecture,
這是⼀一本書 !
This is a book!
CHAPTER 10. SEQUENCE MODELING: RECURRENT AND RECURSIVE NETS
sequence still has one restriction, which is that the length of both sequences must
be the same. We describe how to remove this restriction in section 10.4.
o(t 1)
o(t 1)
o(t)
o(t)
o(t+1)
o(t+1)
L(t 1)
L(t 1)
L(t)
L(t)
L(t+1)
L(t+1)
y(t 1)
y(t 1)
y(t)
y(t)
y(t+1)
y(t+1)
h(t 1)
h(t 1)
h(t)
h(t)
h(t+1)
h(t+1)
x(t 1)
x(t 1)
x(t)
x(t)
x(t+1)
x(t+1)
g(t 1)
g(t 1)
g(t)
g(t)
g(t+1)
g(t+1)
Bidirectional RNN
In many cases, you have to listen till the end to get the real meaning
Some times, in NLP, using reverse input to train!
Bidirectional
PTER 10. SEQUENCE MODELING: RECURRENT AND RECURSIVE NETS
ence still has one restriction, which is that the length of both sequences must
he same. We describe how to remove this restriction in section 10.4.
o(t 1)
o(t 1)
o(t)
o(t)
o(t+1)
o(t+1)
L(t 1)
L(t 1)
L(t)
L(t)
L(t+1)
L(t+1)
y(t 1)
y(t 1)
y(t)
y(t)
y(t+1)
y(t+1)
h(t 1)
h(t 1)
h(t)
h(t)
h(t+1)
h(t+1)
x(t 1)
x(t 1)
x(t)
x(t)
x(t+1)
x(t+1)
g(t 1)
g(t 1)
g(t)
g(t)
g(t+1)
g(t+1)
e 10.11: Computation of a typical bidirectional recurrent neural network, meant
arn to map input sequences x to target sequences y, with loss L(t)
at each step t.
h recurrence propagates information forward in time (towards the right) while the
urrence propagates information backward in time (towards the left). Thus at each
Useful in speech recognition
Bidirectional RNN:
Alternative to CNN
source:ReNet: A Recurrent Neural Network Based Alternative to Convolutional Networks
Bidirectional RNN*2 (left, right top, bottom)
Recursive Network
be mitigated by introducing skip connections in the hidden-to-hidden path, as
rated in figure 10.13c.
6 Recursive Neural Networks
x(1)
x(1)
x(2)
x(2)
x(3)
x(3)
V V V
yy
LL
x(4)
x(4)
V
oo
U W U W
U
W
e 10.14: A recursive network has a computational graph that generalizes that of the
rent network from a chain to a tree. A variable-size sequence x(1)
, x(2)
, . . . , x(t)
can
deep learning not bad V (0
not0
) + V (0
bad0
) 6= V (0
not0
,0
bad0
)
x1 x2 x3 x4
h1
h2
h3
Recursive network is a
generalized
form of Recurrent network
Also could apply to Image Parsing
Syntax Parsing
(Goodfellow 2016)
Deep RNNs
h
y
x
z
(a) (b) (c)
x
h
y
x
h
y
Figure 10.13: A recurrent neural network can be made deep in many ways (Pascanu
Figure 10.13
Input to Hidden
Hidden to Hidden
Hidden to Output
Training RNN
Loss Function
information flow forward in time (computing outputs and losses) and backward
in time (computing gradients) by explicitly showing the path along which this
information flows.
10.2 Recurrent Neural Networks
Armed with the graph unrolling and parameter sharing ideas of section 10.1, we
can design a wide variety of recurrent neural networks.
UU
VV
WW
o(t 1)
o(t 1)
hh
oo
yy
LL
xx
o(t)
o(t)
o(t+1)
o(t+1)
L(t 1)
L(t 1)
L(t)
L(t)
L(t+1)
L(t+1)
y(t 1)
y(t 1)
y(t)
y(t)
y(t+1)
y(t+1)
h(t 1)
h(t 1)
h(t)
h(t)
h(t+1)
h(t+1)
x(t 1)
x(t 1)
x(t)
x(t)
x(t+1)
x(t+1)
WWWW WW WW
h(... )
h(... )
h(... )
h(... )
VV VV VV
UU UU UU
Unfold
Figure 10.3: The computational graph to compute the training loss of a recurrent network
that maps an input sequence of x values to a corresponding sequence of output o values.
A loss L measures how far each o is from the corresponding training target y. When using
softmax outputs, we assume o is the unnormalized log probabilities. The loss L internally
computes ˆy = softmax(o) and compares this to the target y. The RNN has input to hidden
+ + L =
X
t
L(t)
Initial State
Input
Hidden State
Output
Loss
Target
Negative Log Likelihood
or
Cross Entropy
Note : Need to calculate gradient of b, c, W, U, V
2 Questions
Which L^t will be Influenced by W ?
Dimension of W ?
x 2 Rm
h 2 Rn
o 2 Rl
information flows.
10.2 Recurrent Neural Networks
Armed with the graph unrolling and parameter sharing ideas of section 10.1, we
can design a wide variety of recurrent neural networks.
UU
VV
WW
o(t 1)
o(t 1)
hh
oo
yy
LL
xx
o(t)
o(t)
o(t+1)
o(t+1)
L(t 1)
L(t 1)
L(t)
L(t)
L(t+1)
L(t+1)
y(t 1)
y(t 1)
y(t)
y(t)
y(t+1)
y(t+1)
h(t 1)
h(t 1)
h(t)
h(t)
h(t+1)
h(t+1)
x(t 1)
x(t 1)
x(t)
x(t)
x(t+1)
x(t+1)
WWWW WW WW
h(... )
h(... )
h(... )
h(... )
VV VV VV
UU UU UU
Unfold
Figure 10.3: The computational graph to compute the training loss of a recurrent network
that maps an input sequence of x values to a corresponding sequence of output o values.
A loss L measures how far each o is from the corresponding training target y. When using
softmax outputs, we assume o is the unnormalized log probabilities. The loss L internally
computes ˆy = softmax(o) and compares this to the target y. The RNN has input to hidden
connections parametrized by a weight matrix U, hidden-to-hidden recurrent connections
parametrized by a weight matrix W , and hidden-to-output connections parametrized by
a weight matrix V . Equation 10.8 defines forward propagation in this model. (Left)The
Key : Sharing Weight
in time (computing gradients) by explicitly showing the path along which this
information flows.
10.2 Recurrent Neural Networks
Armed with the graph unrolling and parameter sharing ideas of section 10.1, we
can design a wide variety of recurrent neural networks.
UU
VV
WW
o(t 1)
o(t 1)
hh
oo
yy
LL
xx
o(t)
o(t)
o(t+1)
o(t+1)
L(t 1)
L(t 1)
L(t)
L(t)
L(t+1)
L(t+1)
y(t 1)
y(t 1)
y(t)
y(t)
y(t+1)
y(t+1)
h(t 1)
h(t 1)
h(t)
h(t)
h(t+1)
h(t+1)
x(t 1)
x(t 1)
x(t)
x(t)
x(t+1)
x(t+1)
WWWW WW WW
h(... )
h(... )
h(... )
h(... )
VV VV VV
UU UU UU
Unfold
Figure 10.3: The computational graph to compute the training loss of a recurrent network
that maps an input sequence of x values to a corresponding sequence of output o values.
A loss L measures how far each o is from the corresponding training target y. When using
softmax outputs, we assume o is the unnormalized log probabilities. The loss L internally
computes ˆy = softmax(o) and compares this to the target y. The RNN has input to hidden
connections parametrized by a weight matrix U, hidden-to-hidden recurrent connections
parametrized by a weight matrix W , and hidden-to-output connections parametrized by
Share Same weight
W
Share Same weight U
Computation Graph
htht 1 ht+1
ot+1
ot 1
ot
Lt
Lt 1 Lt+1
xt+1
xt 1
xt
WW W W
U U U
V VV
at
= b + Wht 1
+ Uxt
ht
= tanh(at
) ot
= c + V ht
ˆyt
= softmax(ot
)
ˆyt
ˆyt 1 ˆyt+1
at
i = b +
X
j
Wijht 1
j + Uxt
at
Find Gradient!
Computation Graph
htht 1 ht+1
ot+1
ot 1
ot
Lt
Lt 1 Lt+1
xt+1
xt 1
xt
U U U
V VV
ˆyt
= softmax(ot
)
ˆyt
ˆyt 1 ˆyt+1
W(t 1) W(t+1)
W(t)
W^(t), (t) is dummy variable, to indicate copies of W, but with (t) only influence on time t
To Update Parameter
rV L =
X
t
(rot L)(ht
)T
rcL =
X
t
(rot L)
rW L =
X
t
@L
@W(t)
=
X
t
diag(1 (ht
)2
)(rht L)(ht 1
)T
rU L =
X
t
diag(1 (ht
)2
)(rht L)(xt
)T
rbL =
X
t
diag(1 (ht
)2
)(rht L)
(1), & (3) Known via Forward pass
(1)
(2)
Equation 10.26
(3)
Have to do
a. Calculate (rht L)
b. Prove equation 10.26
Wij = Wij ⌘ ⇤
@L
@Wij
How h^t impacts Loss
htht 1 ht+1
ot+1
ot 1
ot
Lt
Lt 1 Lt+1
xt+1
xt 1
xt
WW W W
U U U
V VV
L⌧
h⌧
if ⌧ is the final timestep
We will start from the final step
o⌧
ˆyt ˆyt+1
ˆy⌧
y⌧
Note : ith column of V = ith row of V T
@L
@h⌧
= rh⌧ L = V T
ro⌧ L⌧
@L
@h⌧
=
2
6
6
6
6
6
6
6
4
@L
@h⌧
1
@L
@h⌧
2
.
@L
@h⌧
i
.
.
3
7
7
7
7
7
7
7
5
@L
@h⌧
i
=
X
j
@L
@o⌧
j
@o⌧
j
@h⌧
i
=
X
j
@L
@o⌧
j
Vji =
X
j
@L
@o⌧
j
V T
ij =
⇥
V T
i1 V T
i2 . V T
ij . .
⇤
2
6
6
6
6
6
6
6
4
@L
@o⌧
1
@L
@o⌧
2
.
@L
@o⌧
j
.
.
3
7
7
7
7
7
7
7
5
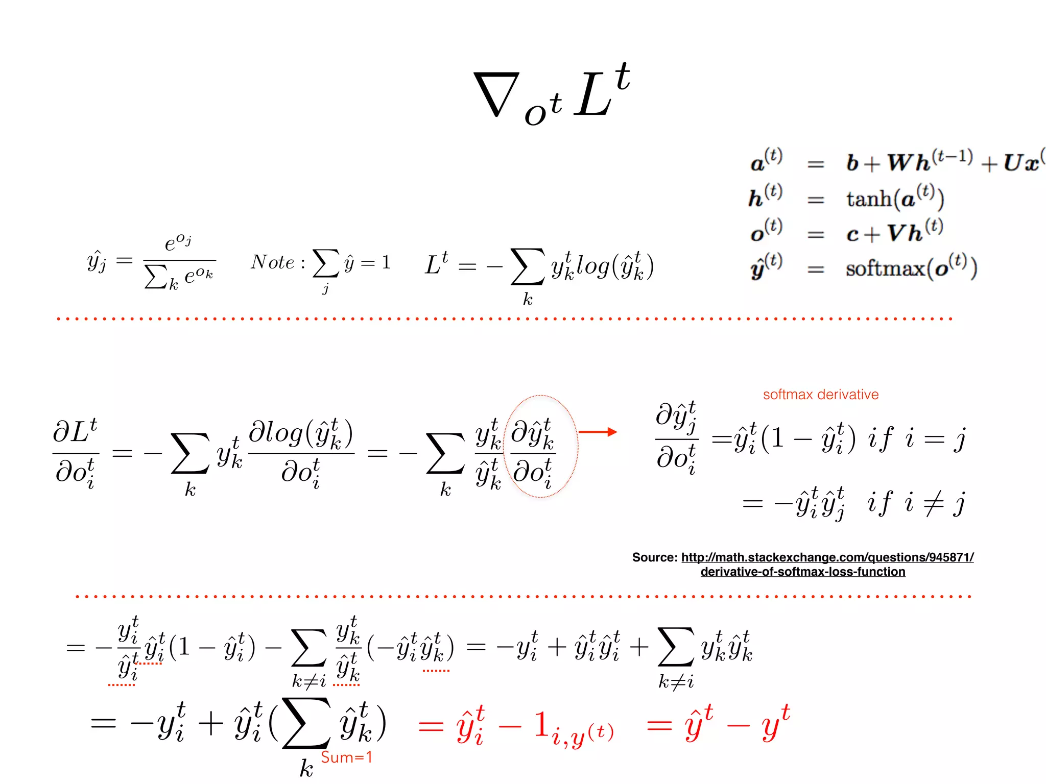
when t = ⌧
= ˆyt
i 1i,y(t) = ˆyt
yt
rot Lt
rh⌧ L
ot
i = c +
X
j
Vijht
j
ˆyj =
eoj
P
k eok
Note :
X
j
ˆy = 1
@Lt
@ot
i
=
X
k
yt
k
@log(ˆyt
k)
@ot
i
=
X
k
yt
k
ˆyt
k
@ˆyt
k
@ot
i
=
yt
i
ˆyt
i
ˆyt
i(1 ˆyt
i)
X
k6=i
yt
k
ˆyt
k
( ˆyt
i ˆyt
k)
@ˆyt
j
@ot
i
=ˆyt
i (1 ˆyt
i ) if i = j
= ˆyt
i ˆyt
j if i 6= j
Source: http://math.stackexchange.com/questions/945871/
derivative-of-softmax-loss-function
= yt
i + ˆyt
i (
X
k
ˆyt
k) = ˆyt
yt
= yt
i + ˆyt
i ˆyt
i +
X
k6=i
yt
k ˆyt
k
Sum=1
Lt
=
X
k
yt
klog(ˆyt
k)
rot Lt
= ˆyt
i 1i,y(t)
softmax derivative
htht 1 ht+1
ot+1
ot 1
ot
Lt
Lt 1 Lt+1
xt+1
xt 1
xt
WW W W
U U U
V VV
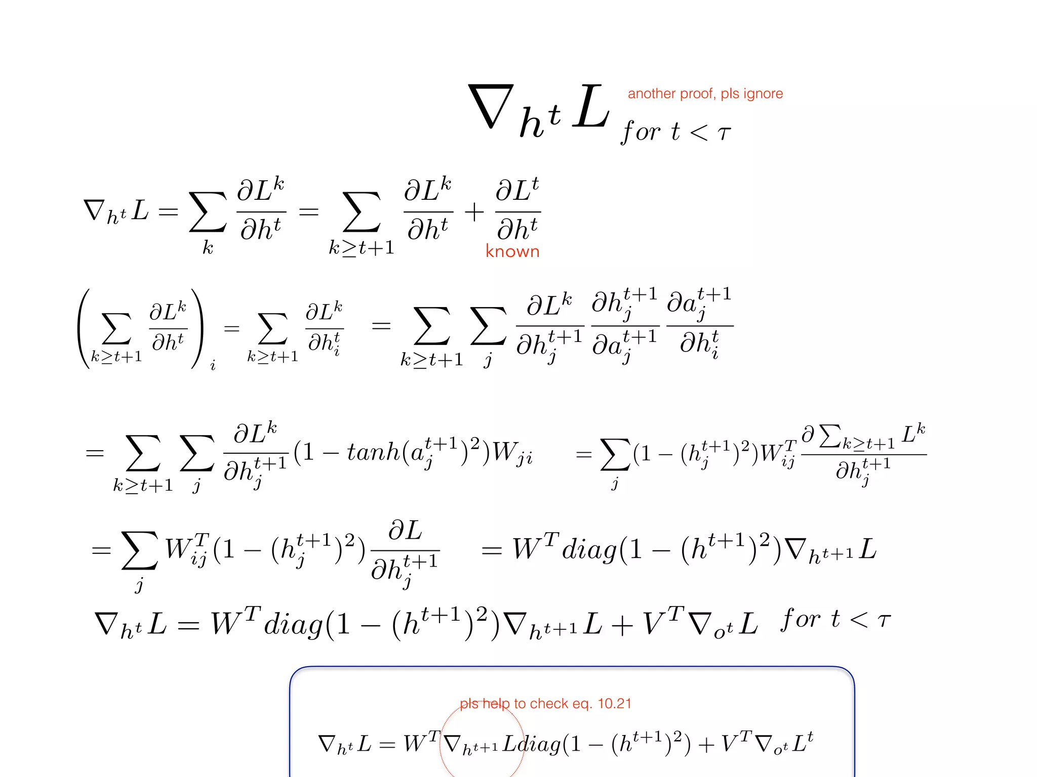
for t < ⌧
rht L
at+1
rht L = (
@ht+1
@ht
)T @L
@ht+1
+ (
@ot
@ht
)T @L
@ot
= V T
rot Lt
=
2
6
6
6
6
4
W11, W21, ., ., Wj1, Wn1
W12, W22, ., ., Wj2, Wn2
., ., ., ., ., .
., ., ., ., ., .
W1n, W2n, ., ., Wjn, Wnn
3
7
7
7
7
5
2
6
6
6
6
6
6
4
1 tan(ht
1)2
0 0 . .
0 1 tan(ht
2)2
0 . .
.
0 0 . 1 tan(ht
j)2
.
.
.
3
7
7
7
7
7
7
5
2
6
6
6
6
6
6
6
6
4
@L
@ht+1
1
@L
@ht+1
2
.
@L
@ht+1
j
.
.
3
7
7
7
7
7
7
7
7
5
(
@ht+1
@ht
)T @L
@ht+1 = WT
diag(1 (ht+1
)2
)rht+1 L
for t < ⌧
rht L Note: different to the text book
To be verified!!!!!!!!!!!
Jacobian [
@ht+1
i
@ht
j
] =
@ht+1
i
@at+1
i
·
@at+1
i
@ht
j
= Wij
@ht+1
i
@at+1
i
= Wij(1 tanh2
(at+1
i )) = diag(1 tanh2
(at+1
))W
= diag(1 (ht+1
)2
)W
rht L = WT
rht+1 Ldiag(1 (ht+1
)2
) + V T
rot Lt
pls help to check eq. 10.21
for t < ⌧
rht L = WT
rht+1 Ldiag(1 (ht+1
)2
) + V T
rot Lt
pls help to check eq. 10.21
for t < ⌧
rht L
known
0
@
X
k t+1
@Lk
@ht
1
A
i
=
X
k t+1
@Lk
@ht
i
=
X
k t+1
X
j
@Lk
@ht+1
j
@ht+1
j
@at+1
j
@at+1
j
@ht
i
=
X
k t+1
X
j
@Lk
@ht+1
j
(1 tanh(at+1
j )2
)Wji =
X
j
(1 (ht+1
j )2
)WT
ij
@
P
k t+1 Lk
@ht+1
j
=
X
j
WT
ij (1 (ht+1
j )2
)
@L
@ht+1
j
rht L =
X
k
@Lk
@ht
=
X
k t+1
@Lk
@ht
+
@Lt
@ht
= WT
diag(1 (ht+1
)2
)rht+1 L
rht L = WT
diag(1 (ht+1
)2
)rht+1 L + V T
rot L
another proof, pls ignore
rW L =
X
t
@L
@W(t)
=
X
t
diag(1 (ht
)2
)(rht L)(ht 1
)T
To Prove equation 10.26
rht L = WT
diag(1 (ht+1
)2
)rht+1 L + V T
rot L
= ˆyt
i 1i,y(t)= ˆyt
yt
rot Lt
We have
Gradient w.r.t W
rW L =
X
t
@L
@W(t)
Note : Wij links ht 1
j to at
i at
i =
X
j
Wijht 1
j
@L
@W
(t)
ij
=
@at
i
@W
(t)
ij
@L
@at
i
=
@at
i
@W
(t)
ij
@ht
i
@at
i
@L
@ht
i
ht
i = tanh(at
i)
= ht 1
j (1 tanh(at
i)2
)
@L
@ht
i
= (1 (ht
i)2
)
@L
@ht
i
ht 1
j
Into a Matrix Representation
ith row jth column in Gradient W matrix
@L
@W
(t)
ij
=
2
6
6
6
6
6
6
6
4
@L
@ht
1
ht 1
1 (1 (ht
1)2
) @L
@ht
1
ht 1
2 (1 (ht
1)2
) @L
@ht
1
ht 1
j (1 (ht
1)2
) . .
@L
@ht
2
ht 1
1 (1 (ht
2)2
) @L
@ht
2
ht 1
2 (1 (ht
2)2
) @L
@ht
2
ht 1
j (1 (ht
2)2
) . .
.
@L
@ht
i
ht 1
1 (1 (ht
i)2
) @L
@ht
i
ht 1
2 (1 (ht
i)2
) @L
@ht
i
ht 1
j (1 (ht
i)2
) .
.
.
3
7
7
7
7
7
7
7
5
Gradient w.r.t W
=
2
6
6
6
6
6
6
4
1 (ht
1)2
0 0 . .
0 1 (ht
2)2
0 . .
.
0 0 . 1 (ht
i)2
.
.
.
3
7
7
7
7
7
7
5
2
6
6
6
6
6
6
6
4
@L
@ht
1
ht 1
1
@L
@ht
1
ht 1
2
@L
@ht
1
ht 1
j . .
@L
@ht
2
ht 1
1
@L
@ht
2
ht 1
2
@L
@ht
2
ht 1
j . .
.
@L
@ht
i
ht 1
1
@L
@ht
i
ht 1
2
@L
@ht
i
ht 1
j .
.
.
3
7
7
7
7
7
7
7
5
diag(1 (ht
)2
) shows up!
Now we deal with this matrix!
Gradient w.r.t W
Note :
2
6
6
6
6
6
6
6
4
@L
@ht
1
ht 1
1
@L
@ht
1
ht 1
2
@L
@ht
1
ht 1
j . .
@L
@ht
2
ht 1
1
@L
@ht
2
ht 1
2
@L
@ht
2
ht 1
j . ..
.
@L
@ht
i
ht 1
1
@L
@ht
i
ht 1
2
@L
@ht
i
ht 1
j .
.
.
3
7
7
7
7
7
7
7
5
=
2
6
6
6
6
6
6
6
4
@L
@ht
1
@L
@ht
2
.
@L
@ht
i
.
.
3
7
7
7
7
7
7
7
5
⇥
ht 1
1 ht 1
2 . ht 1
j . .
⇤
= (rht L)(ht 1
)T
n ⇥ 1
1 ⇥ n
rW L =
X
t
@L
@W(t)
=
X
t
diag(1 (ht
)2
)(rht L)(ht 1
)T
@L
@W(t)
= diag(1 (ht
)2
)(rht L)(ht 1
)T
Gradient w.r.t W
Conclusion
rW L =
X
t
@L
@W(t)
=
X
t
diag(1 tanh(ht
)2
)(rht L)(ht 1
)T
rU L =
X
t
diag(1 tanh(ht
)2
)(rht L)(xt
)T
rbL =
X
t
diag(1 tanh(ht
)2
)(rht L)
rV L =
X
t
(rot L)(ht
)T
rcL =
X
t
(rot L)
Using Same method to get the
rest Parameter’s Gradient!!
RNN is Hard to Train
• RNN-based network is not always easy to learn
Real experiments on Language
modeling
Lucky
sometimes
source: 李宏毅老師
Vanishing & Exploding Gradient
Computation Graph
htht 1 ht+1
ot+1
ot 1
ot
Lt
Lt 1 Lt+1
xt+1
xt 1
xt
WW W W
U U U
V VV
at
= b + Wht 1
+ Uxt
ht
= tanh(at
) ot
= c + V ht
ˆyt
= softmax(ot
)
ˆyt
ˆyt 1 ˆyt+1
Computation Graph
htht 1 ht+1
ot+1
ot 1
ot
Lt
Lt 1 Lt+1
xt+1
xt 1
xt
U U U
V VV
ˆyt
= softmax(ot
)
ˆyt
ˆyt 1 ˆyt+1
W(t 1) W(t+1)
W(t)
W^(t), (t) is dummy variable, to indicate copies of W, but with (t) only influence on time t
Why Vanishing?
CS 224d Richard Soucher
Jacobian Matrix
@Lt
@W
=
tX
k=1
@Lt
@ˆyt
@ˆyt
@ht
@ht
@hk
@hk
@W
@ht
@hk
= ⇧t
j=k+1
@hj
@hj 1
from step k to step t
@L
@W
=
tX
k=1
@Lt
@W
note :
@ht+1
i
@at+1
k
= 0, if k 6= iJacobian [
@ht+1
i
@ht
j
] =
X
k
@ht+1
i
@at+1
k
·
@at+1
k
@ht
j
=
@ht+1
i
@at+1
i
Wij
= (1 tanh2
(at+1
i ))Wij = diag(1 tanh2
(at+1
))W
= diag(1 (ht+1
)2
)W
@ht
@hk
= ⇧t
j=k+1
@hj
@hj 1
= ⇧t
j=k+1(diag[f0
(aj
)]W)
k
@hj
@hj 1
k  kdiag[f0
(aj)]kkWT
k  h W
k
@ht
@hk
k = k⇧t
j=k+1
@hj
@hj 1
k  ( h W )t k
CS 224d Richard Soucher
eg: t=200, k=5, both beta =0.9,
then almost 0
when both equals to 1.1,
17 digits.
The Gradient Could be Exploded or Vanished!!!
Note: Vanishing/Exploding Gradient Not only happens in RNN, but also in Deep Feed Forward Network !
Why Vanishing?
Possible Solution
• Echo Statte Network
• Design Input weights and recurrent weight, so as max Eigen value nears 1
• Leaky units @ multiple time scale (fine-grained time and coarse time)
• Adding Skip Connection through time (every time d time steps)
• Leaky Units: Linear self-connected
• Removing Connection
• LSTM
• Regularizer to encourage info flow
µt
↵µt+1
+ (1 ↵)vt
Practical Measure
• Exploding Gradients
• Truncated BPTT (how many steps to BP)
• Clip Gradient at Threshold
• RMSProp to adjust learning rate
• Vanishing Gradient (harder to detect)
• Weight Initialization (Identity Matrix for W + Relu as Activation)
• RMSProp
• LSTM, GRU
Nervana Recurrent Neural Network
https://www.youtube.com/watch?v=Ukgii7Yd_cU
Using Gate & Extra Memory
LSTM, (GRU, Peephole)
Long Shot term Memory
Introducing Gate
•a vector
•1 or 0
•if 1, info will be kept
•if 0, info will be flushed
•Operation: Elementwise
dot
•Sigmoid is an intuitive
selection
•To be learned by NN
2
6
6
6
6
6
6
4
a1
a2
a3
aj
an
.
3
7
7
7
7
7
7
5
2
6
6
6
6
6
6
4
1
0
1
0
0
.
3
7
7
7
7
7
7
5
=
2
6
6
6
6
6
6
4
a1
0
a3
0
0
.
3
7
7
7
7
7
7
5
before aftergate
LSTM
Ct−1
ht−1
input gate
forget gate
output gate
New cell memory
New Hidden
colah.github.io
• Add Cell Memory C_t (so, 3 input, X_t, H_t, C_t)
• More Weigh Matrices to form Gate
• V. RNN Update Memory @ Every time step,
• LSTM update memory or not governed by Gate
LSTM vs Vanilla RNN
LSTM - Conveyer line
Carry or Flush
A conveyer line which could add/
remove ‘things’ from C(t-1) to C(t)
ft ⊙ Ct−1
ft ⊙ Ct−1 : ft applies to every element of Ct−1
to decide whether to carry/flush the info
colah.github.io
whether to forget
LSTM - info to Add/update
˜Ct : New info
it : input gate, similar to ft
so, it ⊙ ˜Ct : the info to be updated
Ct : Final contents in cell memory
colah.github.io
LSTM-what to output
ot : output gate, similar to it, ft
To get target output ht : First, Ct into tanh (to ensure between − 1, 1), then dot product with ot
colah.github.io
LSTM- Whole Picture
Ct−1
ht−1
ht
Ct
Forget Gate Input Gate + New Info
Output Gate
colah.github.io
Why LSTM Helps on
Gradient Vanishing ?
Evil of Vanishing
source: Oxford Deep Learning for NLP 2017
repeated multiplication!
Why LSTM Helps?
source: Oxford Deep Learning for NLP 2017
Adopt Additional memory cell,
RNN ‘LSTM’
f i
from ⇤ to +
source: Oxford Deep Learning for NLP 2017
if forget gate is equal 1, then gradient could trace all back to the original
Why LSTM Helps?
input gate
forget gate
output gate
New cell memory
New Hidden
If forget gate is 1, (i.e. don0
t forget)
gradient through ct will not vanish
Why LSTM Helps?
Why LSTM Could help Gradient
Passing
• The darker the shade, the greater the sensitivity
• The sensitivity decays exponentially over time as new inputs overwrite the
activation of hidden unit and the network ‘forgets’ the first input
• Traditional RNN updates hidden state in Every Step, while, LSTM using extra
‘memory’ to keep and update till needed
• Memory cells are additive in time
Loss
Graph in the BookCHAPTER 10. SEQUENCE MODELING: RECURRENT AND RECURSIVE NETS
at each time step.
×
input input gate forget gate output gate
output
state
self-loop
×
+ ×
Figure 10.16: Block diagram of the LSTM recurrent network “cell.” Cells are connected
recurrently to each other, replacing the usual hidden units of ordinary recurrent networks.
An input feature is computed with a regular artificial neuron unit. Its value can be
accumulated into the state if the sigmoidal input gate allows it. The state unit has a
linear self-loop whose weight is controlled by the forget gate. The output of the cell can
Notation in the book
f
(t)
i = σ(bf
i +
j
Uf
i,jx
(t)
j +
j
Wf
i,jh
(t−1)
j )
time step t and ith cell
g
(t)
i = σ(bg
i +
j
Ug
i,jx
(t)
j +
j
Wg
i,jh
(t−1)
j )
q
(t)
i = σ(bq
i +
j
Uq
i,jx
(t)
j +
j
Wq
i,jh
(t−1)
j )
outputgate
s
(t)
i = f
(t)
i s
(t−1)
i + g
(t)
i σ(bi +
j
Ui,jx
(t)
j +
j
Wi,jh
(t−1)
j )
forget gate
input gate
Memory Cell
h
(t)
i = tanh(s
(t)
t )qi(t)
Final output/hidden
input gate
————————-New info———————————
Variation : GRU
(Parameter reduction)
ht
= (1 zt
) • ht 1
+ zt
• ˜ht
LSTM is good but seems redundant?
Do we need so many gates ?
Do we need Hidden State AND Cell Memory to remember ?
zt
is a gate
˜ht
= tanh(Wxt
+ Uht 1
+ b)
vs.
˜ht
= tanh(Wxt
+ U(rt
• ht 1
) + b) rt
is a gate
More previous state info or More new Info ? Z^t will decide
zt
= (Wz[xt
; ht 1
] + bz) rt
= (Wr[xt
; ht 1
] + br)
can’t forget
Variation: GRU
Combines forget and input gate into Update Gate
Merges Cell state and hidden state
colah.github.io
update gate
reset gate
when zt = 1, totally forget the old info ht 1, just use ˜ht
new info
final hidden
Variation: Peephole
colah.github.io
peephole: also consider C(t-1)
add Ct 1 as input
Comparison of Various LSTM
Models
1. Vanilla (V) (Peephole LSTM)
2. No Input Gate (NIG)
3. No Forget Gate (NFG)
4. No Output Gate (NOG)
5. No Input Activation Function (NIAF)
6. No Output Activation Function (NOAF)
7. No Peepholes (NP)
8. Coupled Input and Forget Gate (CIFG, GRU)
9. Full Gate Recurrence (FGR, adding All gate recurrence)
1. TIMIT Speech corpus (Garofolo et
al., 1993)
2. IAM Online Handwriting Database
(Liwicki & Bunke, 2005)
3. JSB Chorales (Allan & Williams,
2005)
Source: LSTM: A Search Space Odyssey
Result, Just V or GRU
Overall, Vanilla and GRU have the best
result!!
in tensorflow,
BasicLSTM doesn’t include Peephole
LSTMcell have the option:
use_peepholes=False
Advise on Training (gated) RNN
• Use an LSTM or GRU: it makes your life so much simpler!
• Initialize recurrent matrices to be orthogonal
• Initialize other matrices with a sensible (small!) scale
• Initialize forget gate bias to 1: default to remembering
• Use adaptive learning rate algorithms: Adam, AdaDelta, ...
• Clip the norm of the gradient: 1–5 seems to be a reasonable 

threshold when used together with Adam or AdaDelta.
• Either only dropout vertically or learn how to do it right
• Be patient! source: Oxford Deep Learning for NLP 2017
[Saxe et al., ICLR2014;
Ba, Kingma, ICLR2015;
Zeiler, arXiv2012;
Real World Application
Image Captioning
Source: Andrej Karpathy, Fei-Fei Li cs231n
Image Captioning
Source: Andrej Karpathy, Fei-Fei Li cs231n
Image Captioning
Source: Andrej Karpathy, Fei-Fei Li cs231n
Transfer learning via
ImageNet
then RNN
SVHN: from CNN to
CNN+RNN
Case: SVHN(Multi Digit)
Street Video House Number in Real World
SVHN (Single Digit)
Colored MNIST ??!
It Works for SVHN
Data Preprocessing
10 classes, 1 for each digit. Digit '1' has label 1, '9' has label 9 and '0' has label
10.
73,257 digits for training, 26,032 digits for testing, and 531,131 additional
Comes in two formats:
Original images with character level bounding boxes.
MNIST-like 32-by-32 images centered around a single character
Significantly harder, unsolved, real world problem (recognizing digits and
numbers in natural scene images).
HDF5 format!!!! (what is this!!..)
n*Bounded Boxes Coordinate (for n digits)
Read in Data, Find Maximum Bounded Box and Crop.
Rotation (within +- 45 degree) and Scale
Color to Grayscale
Normalization
can't use extra dataset!
Memory overflow!!
Data: Google Street Video
Multi digit
Architect Labeling & Network
2
6
6
6
6
6
6
4
0
0
.
1
.
.
3
7
7
7
7
7
7
5
2
6
6
6
6
6
6
4
0
0
.
1
.
.
3
7
7
7
7
7
7
5
2
6
6
6
6
6
6
4
0
0
.
1
.
.
3
7
7
7
7
7
7
5
2
6
6
6
6
6
6
4
0
0
.
1
.
.
3
7
7
7
7
7
7
5
2
6
6
6
6
6
6
4
0
0
.
1
.
.
3
7
7
7
7
7
7
5
2
6
6
6
6
6
6
4
0
0
.
1
.
.
3
7
7
7
7
7
7
5
6 digit, first digit,
1st: number of digits,
1-5 House Addresses
11 classes, 0-9,
10 for empty
actually, 1st digit is redundant
CNN*3 with Pool
Drop out
Flattened
Fully Connected*6
Softmax & Cross Entropy
Network Architecture
digit 1
digit 2
digit 3
digit 4
digit 5
digit 6
W1
W1
W2
W3
CNN+RNN
Fully Connected Layer as input
SAME INPUT for different time steps!
One Layer LSTM
LSTM LSTM LSTM LSTM
LSTM
digit1 digit2 digit3 digit4 digit5
LSTM
digit0
x0 x1 x2 x3 x4 x5
O0 O1 O2 O3 O4 O5
Softmax
Result
Best: 69.7% Best: 76.5%
3 Layer CNN 3 Layer CNN+1 Layer RNN
• Note:
• This experiment is not ‘accurate’..
• Extend CNN to 5 layer, may help (around 72%…didn’t save..)
• Could be improved if adding LSTM drop out …etc.
• Should be Significantly Improved if Taking Extra (531K) dataset
• Tried Transfer Learning, apply inception v3…(有蟲..)....
Some Experience(tensorflow)
• Input: [Batch, Time_steps, Input_length]
• If for a Image: Time_steps = Height, Input Length= Width
• Tf.unstack (input, 1) = list [[Batch, Input_length],[Batch,
Input_length], ……
• Experience Using CNN+RNN for SVHN:
• Image - CNN - Flatten Feature Vectors (No go to Softmax)
• [Feature Vector, Feature Vector, Feature Vector…]as Inputs
Time_step1
Time_step2
a list of time step
Feature Vector*6
Chatbot &
Sequence to Sequence
By Ryan Chao
(ryanchao2012@gmail.com)
Language Model
Background knowledge
A statistical language model is a probability distribution over sequences of words. (wiki)
n-gram model
Background knowledge
n-gram model
bigram(n = 2)
trigram(n = 3)
Language Model
A statistical language model is a probability distribution over sequences of words. (wiki)
Background knowledge
Continuous Space Language Models - word embedding
Word2Vec NLM
Yoshua Bengio, Réjean Ducharme, Pascal Vincent, and Christian Janvin. 2003. A neural probabilistic language model. J. Mach. Learn. Res. 3 (March 2003), 1137-1155.
Cho, K., van Merriënboer, B., Gulcehre, C., Bougares, F., Schwenk, H., and Bengio, Y. (2014a).
Learning phrase representations using RNN encoder-decoder for statistical machine translation.
Novel Approach for Machine Translation
RNN Encoder–Decoder (with GRU)
GRU
Reset gate
Update gate
Background knowledge
Sequence to Sequence Framework by Google
1. Deeper Architecture: 4 layers
2. LSTM Units
3. Input Sentences Reversing
arXiv:1409.3215 (2014)
For solving “minimal time lag”:
“Because doing so introduces many short term dependencies
in the data that make the optimization problem much easier.”
I love you
you love I
Ich liebe dich <eos>
Background knowledge
Sequence to Sequence Framework by Google
1. Deeper Architecture: 4 layers
image source: http://suriyadeepan.github.io/2016-12-31-practical-seq2seq/
arXiv:1506.05869 (2015)
IT Helpdesk
Movie Subtitles
2. LSTM Units
3. Input Sentences Reversing
Background knowledge
Sequence to Sequence Framework by Google
arXiv:1409.3215, arXiv:1506.05869
Details of hyper-parameters: Total parameters to be trained:
Depth(each): 4 layers
Hidden Units in each layer: 1000 cells
Dimensions of word embedded: 1000
Input Vocabulary Size: 160,000 words
Output Vocabulary Size: 80,000 words
384 M
1k cell LSTM
1k cell LSTM
1k cell LSTM
1k cell LSTM
1k cell LSTM
1k cell LSTM
1k cell LSTM
1k cell LSTM
embedding lookup (160k) embedding lookup (80k)
softmax (80k)hidden vector (context)
Background knowledge
Sequence to Sequence Framework by Google
arXiv:1409.3215, arXiv:1506.05869
Depth(each): 4 layers
Hidden Units in each layer: 1000 cells
Dimensions of word embedded: 1000
Input Vocabulary Size: 160,000 words
Output Vocabulary Size: 80,000 words
Details of hyper-parameters: Total parameters to be trained:
384 M
1k cell LSTM
1k cell LSTM
1k cell LSTM
1k cell LSTM
1k cell LSTM
1k cell LSTM
1k cell LSTM
1k cell LSTM
embedding lookup (160k) embedding lookup (80k)
softmax (80k)hidden vector (context)
4 x 1k x 1k x 8 = 32 M = 32 M
Background knowledge
Sequence to Sequence Framework by Google
arXiv:1409.3215, arXiv:1506.05869
Depth(each): 4 layers
Hidden Units in each layer: 1000 cells
Dimensions of word embedded: 1000
Input Vocabulary Size: 160,000 words
Output Vocabulary Size: 80,000 words
Details of hyper-parameters: Total parameters to be trained:
384 M
1k cell LSTM
1k cell LSTM
1k cell LSTM
1k cell LSTM
1k cell LSTM
1k cell LSTM
1k cell LSTM
1k cell LSTM
embedding lookup (160k) embedding lookup (80k)
softmax (80k)
160k x 1k = 160 M 80k x 1k = 80 M
80k x 1k = 80 Mhidden vector (context)
4 x 1k x 1k x 8 = 32 M = 32 M
Encoder: 160 M + 32 M = 192 M Decoder: 80 M + 32 M + 80 M = 192 M
Background knowledge
Chit-chat Bot Messenger interface
seq2seq module in Tensorflow (v0.12.1)
from tensorflow.models.rnn.translate import seq2seq_model
$> python translate.py
--data_dir [your_data_directory] --train_dir [checkpoints_directory]
--en_vocab_size=40000 --fr_vocab_size=40000
$> python translate.py --decode
--data_dir [your_data_directory] --train_dir [checkpoints_directory]
https://www.tensorflow.org/tutorials/seq2seq
Training
Decoding
Data source for demo in tensorflow:
WMT10(Workshop on statistical Machine Translation) http://www.statmt.org
Data source for chit-chat bot:
Movie scripts, PTT corpus
Chit-chat Bot
https://google.github.io/seq2seq/
new version
(1). Build conversation pairs
Input file
Output file
Build lookup table for encoder and decoder
Chit-chat Bot
seq2seq module in Tensorflow (v0.12.1)
(2). Build vocabulary indexing
Vocabulary file
Chit-chat Bot
Build lookup table for encoder and decoder
seq2seq module in Tensorflow (v0.12.1)
(3). Indexing conversation pairs
Input file (ids) Output file (ids)
Chit-chat Bot
Build lookup table for encoder and decoder
seq2seq module in Tensorflow (v0.12.1)
short
medium
long
Read input sequences from file
medium length
padding
Buckets
Chit-chat Bot
Mini-batch Training:
Multi-buckets for different lengths of sequences
seq2seq module in Tensorflow (v0.12.1)
LSTM
LSTM
LSTM
LSTM
embedding lookup embedding lookup
softmaxhidden vector (context)
Input
Output
Chit-chat Bot
Mini-batch Training:
Iterative steps
Output
seq2seq module in Tensorflow (v0.12.1)
Chit-chat Bot
Perplexity:
Perplexity is a measurement of how well a probability distribution or probability model predicts a sample. (wiki)
seq2seq module in Tensorflow (v0.12.1)
http://blog.csdn.net/luo123n/article/details/48902815
Chit-chat Bot
Beam search
Greedy search(Beam = 1)
seq2seq module in Tensorflow (v0.12.1)
Image ref: https://www.csie.ntu.edu.tw/~yvchen/s105-icb/doc/170502_NLG.pdf
LSTM
LSTM
embedding lookup
softmax
Decoding
Context vector
I’m
Encoder
Query:
where are you?
Chit-chat Bot
seq2seq module in Tensorflow (v0.12.1)
Result from ~220k movie scripts(~10M pairs)
Chit-chat Bot
Dual encoder arXiv:1506.08909v3
The Ubuntu Dialogue Corpus- A Large Dataset for Research in Unstructured Multi-Turn Dialogue Systems
Good pair:
C: 晚餐/要/吃/什什麼/?
R: 麥當勞
Bad pair:
C: 放假/要/去/哪裡/玩/呢/?
R: 公道/價/八/萬/⼀一
http://www.wildml.com/2016/07/deep-learning-for-chatbots-2-retrieval-based-model-tensorflow/
Chit-chat Bot
Summary
Chit-chat Bot
Summary
1. Dataset matters (movie scripts vs ptt corpus)
Chit-chat Bot
Summary
1. Dataset matters (movie scripts vs ptt corpus)
2. Retrieval-based > Generative-based
Chit-chat Bot
Summary
1. Dataset matters (movie scripts vs ptt corpus)
2. Retrieval-based > Generative-based
3. seq2seq framework is powerful but still impractical (English vs 中⽂)
Thank you.

Deep Learning: Recurrent Neural Network (Chapter 10)

  • 1.
    Chapter 10: RNN LarryGuo(tcglarry@gmail.com) Date: May 5th, ‘17 http://www.deeplearningbook.org/
  • 2.
    Agenda • RNN Briefing •Motivation • Various Types & Applications • Train RNN -BPTT (Math!) • Exploding/Vanishing Gradients • Countermeasures • Long Short Term Memory (LSTM) • Briefing • GRU & Peephole • How it helps ? • Comparison on Various LSTM • Real World Practice • Image Captioning • SVHN • Sequence to Sequence (by Teammate Ryan Chao) • Chatbot(by Teammate Ryan Chao)
  • 3.
    Motivation of RNN •Sequential Data, Time Step Input(order of data matters) • eg. This movie is good, really not bad • vs. This movie is bad, really not good. • Sharing Parameter across different part of model • (Separate Parameter cannot generalize in different time steps) • Eg. “I went to Nepal in 2009” vs “In 2009, I went to Nepal” • 2009 is the key info we want, regardless it appears in any position
  • 4.
    Using FF orCNN? • Feed Forward • Separate Parameter for each Input • Needs to Learn ALL of the Rules of Languages • CNN • Output of CNN is a Small Number of Neighboring Member of Inputs
  • 5.
    (Goodfellow 2016) Classical DynamicalSystems ding the equation by repeatedly applying the definition in this n expression that does not involve recurrence. Such an expre epresented by a traditional directed acyclic computational gra computational graph of equation 10.1 and equation 10.3 is illus 1. s(t 1) s(t 1) s(t) s(t) s(t+1) s(t+1) ff s(... ) s(... ) s(... ) s(... ) ff ff ff 1: The classical dynamical system described by equation 10.1, illustra computational graph. Each node represents the state at some time maps the state at t to the state at t + 1. The same parameters (the s to parametrize f) are used for all time steps. other example, let us consider a dynamical system driven by an ), s(t) = f(s(t 1) , x(t) ; ✓), Figure 10.1 st = f(s(t 1) ; ✓) as output layers that read information out of the state h to make predictions. When the recurrent network is trained to perform a task that requires predicting the future from the past, the network typically learns to use h(t) as a kind of lossy summary of the task-relevant aspects of the past sequence of inputs up to t. This summary is in general necessarily lossy, since it maps an arbitrary length sequence (x(t), x(t 1), x(t 2), . . . , x(2), x(1)) to a fixed length vector h(t). Depending on the training criterion, this summary might selectively keep some aspects of the past sequence with more precision than other aspects. For example, if the RNN is used in statistical language modeling, typically to predict the next word given previous words, it may not be necessary to store all of the information in the input sequence up to time t, but rather only enough information to predict the rest of the sentence. The most demanding situation is when we ask h(t) to be rich enough to allow one to approximately recover the input sequence, as in autoencoder frameworks (chapter 14). ff hh xx h(t 1) h(t 1) h(t) h(t) h(t+1) h(t+1) x(t 1) x(t 1) x(t) x(t) x(t+1) x(t+1) h(... ) h(... ) h(... ) h(... ) ff Unfold ff ff f Figure 10.2: A recurrent network with no outputs. This recurrent network just processes ht = f(h(t 1) ; xt ; ✓) Figure 10.2 A system is recurrent : st is a function of st 1
  • 6.
    Recurrent Hidden Units Input HiddenState Output Loss Target ˆy = softmax(o) For Every Time Step!! Basic Form
  • 7.
    (Goodfellow 2016) Recurrent HiddenUnits information flows. 10.2 Recurrent Neural Networks Armed with the graph unrolling and parameter sharing ideas of section 10.1, we can design a wide variety of recurrent neural networks. UU VV WW o(t 1) o(t 1) hh oo yy LL xx o(t) o(t) o(t+1) o(t+1) L(t 1) L(t 1) L(t) L(t) L(t+1) L(t+1) y(t 1) y(t 1) y(t) y(t) y(t+1) y(t+1) h(t 1) h(t 1) h(t) h(t) h(t+1) h(t+1) x(t 1) x(t 1) x(t) x(t) x(t+1) x(t+1) WWWW WW WW h(... ) h(... ) h(... ) h(... ) VV VV VV UU UU UU Unfold Figure 10.3: The computational graph to compute the training loss of a recurrent network that maps an input sequence of x values to a corresponding sequence of output o values. A loss L measures how far each o is from the corresponding training target y. When using softmax outputs, we assume o is the unnormalized log probabilities. The loss L internally Figure 10.3
  • 8.
    mation flow forwardin time (computing outputs and losses) and backward me (computing gradients) by explicitly showing the path along which this mation flows. 2 Recurrent Neural Networks d with the graph unrolling and parameter sharing ideas of section 10.1, we esign a wide variety of recurrent neural networks. UU VV WW o(t 1) o(t 1) hh oo yy LL xx o(t) o(t) o(t+1) o(t+1) L(t 1) L(t 1) L(t) L(t) L(t+1) L(t+1) y(t 1) y(t 1) y(t) y(t) y(t+1) y(t+1) h(t 1) h(t 1) h(t) h(t) h(t+1) h(t+1) x(t 1) x(t 1) x(t) x(t) x(t+1) x(t+1) WWWW WW WW h(... ) h(... ) h(... ) h(... ) VV VV VV UU UU UU Unfold Recurrent Hidden Units
  • 9.
    (Goodfellow 2016) Recurrence throughonly the Output U V W o(t 1) o(t 1) hh oo yy LL xx o(t) o(t) o(t+1) o(t+1) L(t 1) L(t 1) L(t) L(t) L(t+1) L(t+1) y(t 1) y(t 1) y(t) y(t) y(t+1) y(t+1) h(t 1) h(t 1) h(t) h(t) h(t+1) h(t+1) x(t 1) x(t 1) x(t) x(t) x(t+1) x(t+1) WW W W o(... ) o(... ) h(... ) h(... ) V V V U U U Unfold Figure 10.4: An RNN whose only recurrence is the feedback connection from the output to the hidden layer. At each time step t, the input is xt, the hidden layer activations are Less Powerful, Relies on Output to keep history…
  • 10.
    Teacher Forcing o(t 1) o(t1) o(t) o(t) h(t 1) h(t 1) h(t) h(t) x(t 1) x(t 1) x(t) x(t) W V V U U o(t 1) o(t 1) o(t) o(t) L(t 1) L(t 1) L(t) L(t) y(t 1) y(t 1) y(t) y(t) h(t 1) h(t 1) h(t) h(t) x(t 1) x(t 1) x(t) x(t) W V V U U Train time Test time Figure 10.6: Illustration of teacher forcing. Teacher forcing is a training technique that is applicable to RNNs that have connections from their output to their hidden states at the Easy to Train, Hard to Generalize’ Pro’s (of no recurrent h) • Loss function could be independently traded No Recurrent h • NO need BPTT • Paralleled Trained Con’s • Hard to keep previous info • Can’t simulate TM • Output is trained for Target
  • 11.
    Solution: Schedule Sampling FlipCoin (p) to decide whether to choose y or choose o Using Learning Curve to decide p from mostly choosing y to mostly choosing o In the beginning, we’d like the model to Learn CORRECTLY then, Learn Robustly Data Source: Samy Bengio, Oriol Vinyals, Navdeep Jaitly, Noam Shazeer Google Research Mountain View, CA, USA Better Result!!
  • 12.
    Recurrent with OutputLayer Source:RNN with a Recurrent Output Layer for Learning of Naturalness
  • 13.
    Various Types ofRNN Image Classification Sentiment Analysis Image Captioning That movie is AwfulMNIST A Baby Eating a piece of paper
  • 14.
    Variance of RNN- Vector to Sequence o(t 1) o(t 1) o(t) o(t) o(t+1) o(t+1) L(t 1) L(t 1) L(t) L(t) L(t+1) L(t+1) y(t 1) y(t 1) y(t) y(t) y(t+1) y(t+1) h(t 1) h(t 1) h(t) h(t) h(t+1) h(t+1) WW W W h(... ) h(... ) h(... ) h(... ) V V V U U U xx y(...) y(...) R R R R R Sequence y(t) : Current time step INPUT, and Previous time step TARGET Image as extra input
  • 15.
    Various Types ofRNN NLP, Text Genneration Deep Shakespeare NLP, Translation Google Translation "Why do what that day," replied Natasha, and wishing to himself the fact the princess, Princess Mary was easier, fed in had oftened him. Pierre aking his soul came to the packs and drove up his father- in-law women. Ton Ton 痛 痛
  • 16.
    Variance of RNN- Sequence to Sequence 10.4 Encoder-Decoder Sequence-to-Sequence Architec- tures We have seen in figure 10.5 how an RNN can map an input sequence to a fixed-size vector. We have seen in figure 10.9 how an RNN can map a fixed-size vector to a sequence. We have seen in figures 10.3, 10.4, 10.10 and 10.11 how an RNN can map an input sequence to an output sequence of the same length. Encoder … x(1) x(1) x(2) x(2) x(...) x(...) x(nx) x(nx) Decoder … y(1) y(1) y(2) y(2) y(...) y(...) y(ny) y(ny) CC Figure 10.12: Example of an encoder-decoder or sequence-to-sequence RNN architecture, for learning to generate an output sequence (y(1) , . . . , y(ny) ) given an input sequence (x(1) , x(2) , . . . , x(nx) ). It is composed of an encoder RNN that reads the input sequence and a decoder RNN that generates the output sequence (or computes the probability of a To learn the context Variable C which represents a semantic summary of the input sequence, and for later decoder RNNN HOT!!!
  • 17.
    Encode & Decode CHAPTER10. SEQUENCE MODELING: RECURRENT AND RECURSIVE NETS 10.4 Encoder-Decoder Sequence-to-Sequence Architec- tures We have seen in figure 10.5 how an RNN can map an input sequence to a fixed-size vector. We have seen in figure 10.9 how an RNN can map a fixed-size vector to a sequence. We have seen in figures 10.3, 10.4, 10.10 and 10.11 how an RNN can map an input sequence to an output sequence of the same length. Encoder … x(1) x(1) x(2) x(2) x(...) x(...) x(nx) x(nx) Decoder … y(1) y(1) y(2) y(2) y(...) y(...) y(ny) y(ny) CC Figure 10.12: Example of an encoder-decoder or sequence-to-sequence RNN architecture, 這是⼀一本書 ! This is a book!
  • 18.
    CHAPTER 10. SEQUENCEMODELING: RECURRENT AND RECURSIVE NETS sequence still has one restriction, which is that the length of both sequences must be the same. We describe how to remove this restriction in section 10.4. o(t 1) o(t 1) o(t) o(t) o(t+1) o(t+1) L(t 1) L(t 1) L(t) L(t) L(t+1) L(t+1) y(t 1) y(t 1) y(t) y(t) y(t+1) y(t+1) h(t 1) h(t 1) h(t) h(t) h(t+1) h(t+1) x(t 1) x(t 1) x(t) x(t) x(t+1) x(t+1) g(t 1) g(t 1) g(t) g(t) g(t+1) g(t+1) Bidirectional RNN In many cases, you have to listen till the end to get the real meaning Some times, in NLP, using reverse input to train!
  • 19.
    Bidirectional PTER 10. SEQUENCEMODELING: RECURRENT AND RECURSIVE NETS ence still has one restriction, which is that the length of both sequences must he same. We describe how to remove this restriction in section 10.4. o(t 1) o(t 1) o(t) o(t) o(t+1) o(t+1) L(t 1) L(t 1) L(t) L(t) L(t+1) L(t+1) y(t 1) y(t 1) y(t) y(t) y(t+1) y(t+1) h(t 1) h(t 1) h(t) h(t) h(t+1) h(t+1) x(t 1) x(t 1) x(t) x(t) x(t+1) x(t+1) g(t 1) g(t 1) g(t) g(t) g(t+1) g(t+1) e 10.11: Computation of a typical bidirectional recurrent neural network, meant arn to map input sequences x to target sequences y, with loss L(t) at each step t. h recurrence propagates information forward in time (towards the right) while the urrence propagates information backward in time (towards the left). Thus at each Useful in speech recognition
  • 20.
    Bidirectional RNN: Alternative toCNN source:ReNet: A Recurrent Neural Network Based Alternative to Convolutional Networks Bidirectional RNN*2 (left, right top, bottom)
  • 21.
    Recursive Network be mitigatedby introducing skip connections in the hidden-to-hidden path, as rated in figure 10.13c. 6 Recursive Neural Networks x(1) x(1) x(2) x(2) x(3) x(3) V V V yy LL x(4) x(4) V oo U W U W U W e 10.14: A recursive network has a computational graph that generalizes that of the rent network from a chain to a tree. A variable-size sequence x(1) , x(2) , . . . , x(t) can deep learning not bad V (0 not0 ) + V (0 bad0 ) 6= V (0 not0 ,0 bad0 ) x1 x2 x3 x4 h1 h2 h3 Recursive network is a generalized form of Recurrent network Also could apply to Image Parsing Syntax Parsing
  • 22.
    (Goodfellow 2016) Deep RNNs h y x z (a)(b) (c) x h y x h y Figure 10.13: A recurrent neural network can be made deep in many ways (Pascanu Figure 10.13 Input to Hidden Hidden to Hidden Hidden to Output
  • 23.
  • 24.
    Loss Function information flowforward in time (computing outputs and losses) and backward in time (computing gradients) by explicitly showing the path along which this information flows. 10.2 Recurrent Neural Networks Armed with the graph unrolling and parameter sharing ideas of section 10.1, we can design a wide variety of recurrent neural networks. UU VV WW o(t 1) o(t 1) hh oo yy LL xx o(t) o(t) o(t+1) o(t+1) L(t 1) L(t 1) L(t) L(t) L(t+1) L(t+1) y(t 1) y(t 1) y(t) y(t) y(t+1) y(t+1) h(t 1) h(t 1) h(t) h(t) h(t+1) h(t+1) x(t 1) x(t 1) x(t) x(t) x(t+1) x(t+1) WWWW WW WW h(... ) h(... ) h(... ) h(... ) VV VV VV UU UU UU Unfold Figure 10.3: The computational graph to compute the training loss of a recurrent network that maps an input sequence of x values to a corresponding sequence of output o values. A loss L measures how far each o is from the corresponding training target y. When using softmax outputs, we assume o is the unnormalized log probabilities. The loss L internally computes ˆy = softmax(o) and compares this to the target y. The RNN has input to hidden + + L = X t L(t) Initial State Input Hidden State Output Loss Target Negative Log Likelihood or Cross Entropy Note : Need to calculate gradient of b, c, W, U, V
  • 25.
    2 Questions Which L^twill be Influenced by W ? Dimension of W ? x 2 Rm h 2 Rn o 2 Rl information flows. 10.2 Recurrent Neural Networks Armed with the graph unrolling and parameter sharing ideas of section 10.1, we can design a wide variety of recurrent neural networks. UU VV WW o(t 1) o(t 1) hh oo yy LL xx o(t) o(t) o(t+1) o(t+1) L(t 1) L(t 1) L(t) L(t) L(t+1) L(t+1) y(t 1) y(t 1) y(t) y(t) y(t+1) y(t+1) h(t 1) h(t 1) h(t) h(t) h(t+1) h(t+1) x(t 1) x(t 1) x(t) x(t) x(t+1) x(t+1) WWWW WW WW h(... ) h(... ) h(... ) h(... ) VV VV VV UU UU UU Unfold Figure 10.3: The computational graph to compute the training loss of a recurrent network that maps an input sequence of x values to a corresponding sequence of output o values. A loss L measures how far each o is from the corresponding training target y. When using softmax outputs, we assume o is the unnormalized log probabilities. The loss L internally computes ˆy = softmax(o) and compares this to the target y. The RNN has input to hidden connections parametrized by a weight matrix U, hidden-to-hidden recurrent connections parametrized by a weight matrix W , and hidden-to-output connections parametrized by a weight matrix V . Equation 10.8 defines forward propagation in this model. (Left)The
  • 26.
    Key : SharingWeight in time (computing gradients) by explicitly showing the path along which this information flows. 10.2 Recurrent Neural Networks Armed with the graph unrolling and parameter sharing ideas of section 10.1, we can design a wide variety of recurrent neural networks. UU VV WW o(t 1) o(t 1) hh oo yy LL xx o(t) o(t) o(t+1) o(t+1) L(t 1) L(t 1) L(t) L(t) L(t+1) L(t+1) y(t 1) y(t 1) y(t) y(t) y(t+1) y(t+1) h(t 1) h(t 1) h(t) h(t) h(t+1) h(t+1) x(t 1) x(t 1) x(t) x(t) x(t+1) x(t+1) WWWW WW WW h(... ) h(... ) h(... ) h(... ) VV VV VV UU UU UU Unfold Figure 10.3: The computational graph to compute the training loss of a recurrent network that maps an input sequence of x values to a corresponding sequence of output o values. A loss L measures how far each o is from the corresponding training target y. When using softmax outputs, we assume o is the unnormalized log probabilities. The loss L internally computes ˆy = softmax(o) and compares this to the target y. The RNN has input to hidden connections parametrized by a weight matrix U, hidden-to-hidden recurrent connections parametrized by a weight matrix W , and hidden-to-output connections parametrized by Share Same weight W Share Same weight U
  • 27.
    Computation Graph htht 1ht+1 ot+1 ot 1 ot Lt Lt 1 Lt+1 xt+1 xt 1 xt WW W W U U U V VV at = b + Wht 1 + Uxt ht = tanh(at ) ot = c + V ht ˆyt = softmax(ot ) ˆyt ˆyt 1 ˆyt+1 at i = b + X j Wijht 1 j + Uxt at Find Gradient!
  • 28.
    Computation Graph htht 1ht+1 ot+1 ot 1 ot Lt Lt 1 Lt+1 xt+1 xt 1 xt U U U V VV ˆyt = softmax(ot ) ˆyt ˆyt 1 ˆyt+1 W(t 1) W(t+1) W(t) W^(t), (t) is dummy variable, to indicate copies of W, but with (t) only influence on time t
  • 29.
    To Update Parameter rVL = X t (rot L)(ht )T rcL = X t (rot L) rW L = X t @L @W(t) = X t diag(1 (ht )2 )(rht L)(ht 1 )T rU L = X t diag(1 (ht )2 )(rht L)(xt )T rbL = X t diag(1 (ht )2 )(rht L) (1), & (3) Known via Forward pass (1) (2) Equation 10.26 (3) Have to do a. Calculate (rht L) b. Prove equation 10.26 Wij = Wij ⌘ ⇤ @L @Wij
  • 30.
    How h^t impactsLoss htht 1 ht+1 ot+1 ot 1 ot Lt Lt 1 Lt+1 xt+1 xt 1 xt WW W W U U U V VV L⌧ h⌧ if ⌧ is the final timestep We will start from the final step o⌧ ˆyt ˆyt+1 ˆy⌧ y⌧
  • 31.
    Note : ithcolumn of V = ith row of V T @L @h⌧ = rh⌧ L = V T ro⌧ L⌧ @L @h⌧ = 2 6 6 6 6 6 6 6 4 @L @h⌧ 1 @L @h⌧ 2 . @L @h⌧ i . . 3 7 7 7 7 7 7 7 5 @L @h⌧ i = X j @L @o⌧ j @o⌧ j @h⌧ i = X j @L @o⌧ j Vji = X j @L @o⌧ j V T ij = ⇥ V T i1 V T i2 . V T ij . . ⇤ 2 6 6 6 6 6 6 6 4 @L @o⌧ 1 @L @o⌧ 2 . @L @o⌧ j . . 3 7 7 7 7 7 7 7 5 when t = ⌧ = ˆyt i 1i,y(t) = ˆyt yt rot Lt rh⌧ L ot i = c + X j Vijht j
  • 32.
    ˆyj = eoj P k eok Note: X j ˆy = 1 @Lt @ot i = X k yt k @log(ˆyt k) @ot i = X k yt k ˆyt k @ˆyt k @ot i = yt i ˆyt i ˆyt i(1 ˆyt i) X k6=i yt k ˆyt k ( ˆyt i ˆyt k) @ˆyt j @ot i =ˆyt i (1 ˆyt i ) if i = j = ˆyt i ˆyt j if i 6= j Source: http://math.stackexchange.com/questions/945871/ derivative-of-softmax-loss-function = yt i + ˆyt i ( X k ˆyt k) = ˆyt yt = yt i + ˆyt i ˆyt i + X k6=i yt k ˆyt k Sum=1 Lt = X k yt klog(ˆyt k) rot Lt = ˆyt i 1i,y(t) softmax derivative
  • 33.
    htht 1 ht+1 ot+1 ot1 ot Lt Lt 1 Lt+1 xt+1 xt 1 xt WW W W U U U V VV for t < ⌧ rht L at+1
  • 34.
    rht L =( @ht+1 @ht )T @L @ht+1 + ( @ot @ht )T @L @ot = V T rot Lt = 2 6 6 6 6 4 W11, W21, ., ., Wj1, Wn1 W12, W22, ., ., Wj2, Wn2 ., ., ., ., ., . ., ., ., ., ., . W1n, W2n, ., ., Wjn, Wnn 3 7 7 7 7 5 2 6 6 6 6 6 6 4 1 tan(ht 1)2 0 0 . . 0 1 tan(ht 2)2 0 . . . 0 0 . 1 tan(ht j)2 . . . 3 7 7 7 7 7 7 5 2 6 6 6 6 6 6 6 6 4 @L @ht+1 1 @L @ht+1 2 . @L @ht+1 j . . 3 7 7 7 7 7 7 7 7 5 ( @ht+1 @ht )T @L @ht+1 = WT diag(1 (ht+1 )2 )rht+1 L for t < ⌧ rht L Note: different to the text book To be verified!!!!!!!!!!! Jacobian [ @ht+1 i @ht j ] = @ht+1 i @at+1 i · @at+1 i @ht j = Wij @ht+1 i @at+1 i = Wij(1 tanh2 (at+1 i )) = diag(1 tanh2 (at+1 ))W = diag(1 (ht+1 )2 )W rht L = WT rht+1 Ldiag(1 (ht+1 )2 ) + V T rot Lt pls help to check eq. 10.21
  • 35.
    for t <⌧ rht L = WT rht+1 Ldiag(1 (ht+1 )2 ) + V T rot Lt pls help to check eq. 10.21 for t < ⌧ rht L known 0 @ X k t+1 @Lk @ht 1 A i = X k t+1 @Lk @ht i = X k t+1 X j @Lk @ht+1 j @ht+1 j @at+1 j @at+1 j @ht i = X k t+1 X j @Lk @ht+1 j (1 tanh(at+1 j )2 )Wji = X j (1 (ht+1 j )2 )WT ij @ P k t+1 Lk @ht+1 j = X j WT ij (1 (ht+1 j )2 ) @L @ht+1 j rht L = X k @Lk @ht = X k t+1 @Lk @ht + @Lt @ht = WT diag(1 (ht+1 )2 )rht+1 L rht L = WT diag(1 (ht+1 )2 )rht+1 L + V T rot L another proof, pls ignore
  • 36.
    rW L = X t @L @W(t) = X t diag(1(ht )2 )(rht L)(ht 1 )T To Prove equation 10.26 rht L = WT diag(1 (ht+1 )2 )rht+1 L + V T rot L = ˆyt i 1i,y(t)= ˆyt yt rot Lt We have
  • 37.
    Gradient w.r.t W rWL = X t @L @W(t) Note : Wij links ht 1 j to at i at i = X j Wijht 1 j @L @W (t) ij = @at i @W (t) ij @L @at i = @at i @W (t) ij @ht i @at i @L @ht i ht i = tanh(at i) = ht 1 j (1 tanh(at i)2 ) @L @ht i = (1 (ht i)2 ) @L @ht i ht 1 j Into a Matrix Representation ith row jth column in Gradient W matrix
  • 38.
    @L @W (t) ij = 2 6 6 6 6 6 6 6 4 @L @ht 1 ht 1 1 (1(ht 1)2 ) @L @ht 1 ht 1 2 (1 (ht 1)2 ) @L @ht 1 ht 1 j (1 (ht 1)2 ) . . @L @ht 2 ht 1 1 (1 (ht 2)2 ) @L @ht 2 ht 1 2 (1 (ht 2)2 ) @L @ht 2 ht 1 j (1 (ht 2)2 ) . . . @L @ht i ht 1 1 (1 (ht i)2 ) @L @ht i ht 1 2 (1 (ht i)2 ) @L @ht i ht 1 j (1 (ht i)2 ) . . . 3 7 7 7 7 7 7 7 5 Gradient w.r.t W
  • 39.
    = 2 6 6 6 6 6 6 4 1 (ht 1)2 0 0. . 0 1 (ht 2)2 0 . . . 0 0 . 1 (ht i)2 . . . 3 7 7 7 7 7 7 5 2 6 6 6 6 6 6 6 4 @L @ht 1 ht 1 1 @L @ht 1 ht 1 2 @L @ht 1 ht 1 j . . @L @ht 2 ht 1 1 @L @ht 2 ht 1 2 @L @ht 2 ht 1 j . . . @L @ht i ht 1 1 @L @ht i ht 1 2 @L @ht i ht 1 j . . . 3 7 7 7 7 7 7 7 5 diag(1 (ht )2 ) shows up! Now we deal with this matrix! Gradient w.r.t W
  • 40.
    Note : 2 6 6 6 6 6 6 6 4 @L @ht 1 ht 1 1 @L @ht 1 ht1 2 @L @ht 1 ht 1 j . . @L @ht 2 ht 1 1 @L @ht 2 ht 1 2 @L @ht 2 ht 1 j . .. . @L @ht i ht 1 1 @L @ht i ht 1 2 @L @ht i ht 1 j . . . 3 7 7 7 7 7 7 7 5 = 2 6 6 6 6 6 6 6 4 @L @ht 1 @L @ht 2 . @L @ht i . . 3 7 7 7 7 7 7 7 5 ⇥ ht 1 1 ht 1 2 . ht 1 j . . ⇤ = (rht L)(ht 1 )T n ⇥ 1 1 ⇥ n rW L = X t @L @W(t) = X t diag(1 (ht )2 )(rht L)(ht 1 )T @L @W(t) = diag(1 (ht )2 )(rht L)(ht 1 )T Gradient w.r.t W
  • 41.
    Conclusion rW L = X t @L @W(t) = X t diag(1tanh(ht )2 )(rht L)(ht 1 )T rU L = X t diag(1 tanh(ht )2 )(rht L)(xt )T rbL = X t diag(1 tanh(ht )2 )(rht L) rV L = X t (rot L)(ht )T rcL = X t (rot L) Using Same method to get the rest Parameter’s Gradient!!
  • 42.
    RNN is Hardto Train • RNN-based network is not always easy to learn Real experiments on Language modeling Lucky sometimes source: 李宏毅老師
  • 43.
  • 44.
    Computation Graph htht 1ht+1 ot+1 ot 1 ot Lt Lt 1 Lt+1 xt+1 xt 1 xt WW W W U U U V VV at = b + Wht 1 + Uxt ht = tanh(at ) ot = c + V ht ˆyt = softmax(ot ) ˆyt ˆyt 1 ˆyt+1
  • 45.
    Computation Graph htht 1ht+1 ot+1 ot 1 ot Lt Lt 1 Lt+1 xt+1 xt 1 xt U U U V VV ˆyt = softmax(ot ) ˆyt ˆyt 1 ˆyt+1 W(t 1) W(t+1) W(t) W^(t), (t) is dummy variable, to indicate copies of W, but with (t) only influence on time t
  • 46.
    Why Vanishing? CS 224dRichard Soucher Jacobian Matrix @Lt @W = tX k=1 @Lt @ˆyt @ˆyt @ht @ht @hk @hk @W @ht @hk = ⇧t j=k+1 @hj @hj 1 from step k to step t @L @W = tX k=1 @Lt @W note : @ht+1 i @at+1 k = 0, if k 6= iJacobian [ @ht+1 i @ht j ] = X k @ht+1 i @at+1 k · @at+1 k @ht j = @ht+1 i @at+1 i Wij = (1 tanh2 (at+1 i ))Wij = diag(1 tanh2 (at+1 ))W = diag(1 (ht+1 )2 )W
  • 47.
    @ht @hk = ⇧t j=k+1 @hj @hj 1 =⇧t j=k+1(diag[f0 (aj )]W) k @hj @hj 1 k  kdiag[f0 (aj)]kkWT k  h W k @ht @hk k = k⇧t j=k+1 @hj @hj 1 k  ( h W )t k CS 224d Richard Soucher eg: t=200, k=5, both beta =0.9, then almost 0 when both equals to 1.1, 17 digits. The Gradient Could be Exploded or Vanished!!! Note: Vanishing/Exploding Gradient Not only happens in RNN, but also in Deep Feed Forward Network ! Why Vanishing?
  • 48.
    Possible Solution • EchoStatte Network • Design Input weights and recurrent weight, so as max Eigen value nears 1 • Leaky units @ multiple time scale (fine-grained time and coarse time) • Adding Skip Connection through time (every time d time steps) • Leaky Units: Linear self-connected • Removing Connection • LSTM • Regularizer to encourage info flow µt ↵µt+1 + (1 ↵)vt
  • 49.
    Practical Measure • ExplodingGradients • Truncated BPTT (how many steps to BP) • Clip Gradient at Threshold • RMSProp to adjust learning rate • Vanishing Gradient (harder to detect) • Weight Initialization (Identity Matrix for W + Relu as Activation) • RMSProp • LSTM, GRU Nervana Recurrent Neural Network https://www.youtube.com/watch?v=Ukgii7Yd_cU
  • 50.
    Using Gate &Extra Memory LSTM, (GRU, Peephole) Long Shot term Memory
  • 51.
    Introducing Gate •a vector •1or 0 •if 1, info will be kept •if 0, info will be flushed •Operation: Elementwise dot •Sigmoid is an intuitive selection •To be learned by NN 2 6 6 6 6 6 6 4 a1 a2 a3 aj an . 3 7 7 7 7 7 7 5 2 6 6 6 6 6 6 4 1 0 1 0 0 . 3 7 7 7 7 7 7 5 = 2 6 6 6 6 6 6 4 a1 0 a3 0 0 . 3 7 7 7 7 7 7 5 before aftergate
  • 52.
    LSTM Ct−1 ht−1 input gate forget gate outputgate New cell memory New Hidden colah.github.io
  • 53.
    • Add CellMemory C_t (so, 3 input, X_t, H_t, C_t) • More Weigh Matrices to form Gate • V. RNN Update Memory @ Every time step, • LSTM update memory or not governed by Gate LSTM vs Vanilla RNN
  • 54.
    LSTM - Conveyerline Carry or Flush A conveyer line which could add/ remove ‘things’ from C(t-1) to C(t) ft ⊙ Ct−1 ft ⊙ Ct−1 : ft applies to every element of Ct−1 to decide whether to carry/flush the info colah.github.io whether to forget
  • 55.
    LSTM - infoto Add/update ˜Ct : New info it : input gate, similar to ft so, it ⊙ ˜Ct : the info to be updated Ct : Final contents in cell memory colah.github.io
  • 56.
    LSTM-what to output ot: output gate, similar to it, ft To get target output ht : First, Ct into tanh (to ensure between − 1, 1), then dot product with ot colah.github.io
  • 57.
    LSTM- Whole Picture Ct−1 ht−1 ht Ct ForgetGate Input Gate + New Info Output Gate colah.github.io
  • 58.
    Why LSTM Helpson Gradient Vanishing ?
  • 59.
    Evil of Vanishing source:Oxford Deep Learning for NLP 2017 repeated multiplication!
  • 60.
    Why LSTM Helps? source:Oxford Deep Learning for NLP 2017 Adopt Additional memory cell, RNN ‘LSTM’ f i from ⇤ to +
  • 61.
    source: Oxford DeepLearning for NLP 2017 if forget gate is equal 1, then gradient could trace all back to the original Why LSTM Helps?
  • 62.
    input gate forget gate outputgate New cell memory New Hidden If forget gate is 1, (i.e. don0 t forget) gradient through ct will not vanish Why LSTM Helps?
  • 63.
    Why LSTM Couldhelp Gradient Passing • The darker the shade, the greater the sensitivity • The sensitivity decays exponentially over time as new inputs overwrite the activation of hidden unit and the network ‘forgets’ the first input • Traditional RNN updates hidden state in Every Step, while, LSTM using extra ‘memory’ to keep and update till needed • Memory cells are additive in time Loss
  • 64.
    Graph in theBookCHAPTER 10. SEQUENCE MODELING: RECURRENT AND RECURSIVE NETS at each time step. × input input gate forget gate output gate output state self-loop × + × Figure 10.16: Block diagram of the LSTM recurrent network “cell.” Cells are connected recurrently to each other, replacing the usual hidden units of ordinary recurrent networks. An input feature is computed with a regular artificial neuron unit. Its value can be accumulated into the state if the sigmoidal input gate allows it. The state unit has a linear self-loop whose weight is controlled by the forget gate. The output of the cell can
  • 65.
    Notation in thebook f (t) i = σ(bf i + j Uf i,jx (t) j + j Wf i,jh (t−1) j ) time step t and ith cell g (t) i = σ(bg i + j Ug i,jx (t) j + j Wg i,jh (t−1) j ) q (t) i = σ(bq i + j Uq i,jx (t) j + j Wq i,jh (t−1) j ) outputgate s (t) i = f (t) i s (t−1) i + g (t) i σ(bi + j Ui,jx (t) j + j Wi,jh (t−1) j ) forget gate input gate Memory Cell h (t) i = tanh(s (t) t )qi(t) Final output/hidden input gate ————————-New info———————————
  • 66.
    Variation : GRU (Parameterreduction) ht = (1 zt ) • ht 1 + zt • ˜ht LSTM is good but seems redundant? Do we need so many gates ? Do we need Hidden State AND Cell Memory to remember ? zt is a gate ˜ht = tanh(Wxt + Uht 1 + b) vs. ˜ht = tanh(Wxt + U(rt • ht 1 ) + b) rt is a gate More previous state info or More new Info ? Z^t will decide zt = (Wz[xt ; ht 1 ] + bz) rt = (Wr[xt ; ht 1 ] + br) can’t forget
  • 67.
    Variation: GRU Combines forgetand input gate into Update Gate Merges Cell state and hidden state colah.github.io update gate reset gate when zt = 1, totally forget the old info ht 1, just use ˜ht new info final hidden
  • 68.
  • 69.
    Comparison of VariousLSTM Models 1. Vanilla (V) (Peephole LSTM) 2. No Input Gate (NIG) 3. No Forget Gate (NFG) 4. No Output Gate (NOG) 5. No Input Activation Function (NIAF) 6. No Output Activation Function (NOAF) 7. No Peepholes (NP) 8. Coupled Input and Forget Gate (CIFG, GRU) 9. Full Gate Recurrence (FGR, adding All gate recurrence) 1. TIMIT Speech corpus (Garofolo et al., 1993) 2. IAM Online Handwriting Database (Liwicki & Bunke, 2005) 3. JSB Chorales (Allan & Williams, 2005) Source: LSTM: A Search Space Odyssey
  • 70.
    Result, Just Vor GRU Overall, Vanilla and GRU have the best result!! in tensorflow, BasicLSTM doesn’t include Peephole LSTMcell have the option: use_peepholes=False
  • 71.
    Advise on Training(gated) RNN • Use an LSTM or GRU: it makes your life so much simpler! • Initialize recurrent matrices to be orthogonal • Initialize other matrices with a sensible (small!) scale • Initialize forget gate bias to 1: default to remembering • Use adaptive learning rate algorithms: Adam, AdaDelta, ... • Clip the norm of the gradient: 1–5 seems to be a reasonable 
 threshold when used together with Adam or AdaDelta. • Either only dropout vertically or learn how to do it right • Be patient! source: Oxford Deep Learning for NLP 2017 [Saxe et al., ICLR2014; Ba, Kingma, ICLR2015; Zeiler, arXiv2012;
  • 72.
  • 73.
    Image Captioning Source: AndrejKarpathy, Fei-Fei Li cs231n
  • 74.
    Image Captioning Source: AndrejKarpathy, Fei-Fei Li cs231n
  • 75.
    Image Captioning Source: AndrejKarpathy, Fei-Fei Li cs231n Transfer learning via ImageNet then RNN
  • 76.
    SVHN: from CNNto CNN+RNN
  • 77.
    Case: SVHN(Multi Digit) StreetVideo House Number in Real World
  • 78.
  • 79.
  • 80.
    Data Preprocessing 10 classes,1 for each digit. Digit '1' has label 1, '9' has label 9 and '0' has label 10. 73,257 digits for training, 26,032 digits for testing, and 531,131 additional Comes in two formats: Original images with character level bounding boxes. MNIST-like 32-by-32 images centered around a single character Significantly harder, unsolved, real world problem (recognizing digits and numbers in natural scene images). HDF5 format!!!! (what is this!!..) n*Bounded Boxes Coordinate (for n digits) Read in Data, Find Maximum Bounded Box and Crop. Rotation (within +- 45 degree) and Scale Color to Grayscale Normalization can't use extra dataset! Memory overflow!! Data: Google Street Video Multi digit
  • 81.
    Architect Labeling &Network 2 6 6 6 6 6 6 4 0 0 . 1 . . 3 7 7 7 7 7 7 5 2 6 6 6 6 6 6 4 0 0 . 1 . . 3 7 7 7 7 7 7 5 2 6 6 6 6 6 6 4 0 0 . 1 . . 3 7 7 7 7 7 7 5 2 6 6 6 6 6 6 4 0 0 . 1 . . 3 7 7 7 7 7 7 5 2 6 6 6 6 6 6 4 0 0 . 1 . . 3 7 7 7 7 7 7 5 2 6 6 6 6 6 6 4 0 0 . 1 . . 3 7 7 7 7 7 7 5 6 digit, first digit, 1st: number of digits, 1-5 House Addresses 11 classes, 0-9, 10 for empty actually, 1st digit is redundant CNN*3 with Pool Drop out Flattened Fully Connected*6 Softmax & Cross Entropy Network Architecture digit 1 digit 2 digit 3 digit 4 digit 5 digit 6 W1 W1 W2 W3
  • 82.
    CNN+RNN Fully Connected Layeras input SAME INPUT for different time steps! One Layer LSTM LSTM LSTM LSTM LSTM LSTM digit1 digit2 digit3 digit4 digit5 LSTM digit0 x0 x1 x2 x3 x4 x5 O0 O1 O2 O3 O4 O5 Softmax
  • 83.
    Result Best: 69.7% Best:76.5% 3 Layer CNN 3 Layer CNN+1 Layer RNN • Note: • This experiment is not ‘accurate’.. • Extend CNN to 5 layer, may help (around 72%…didn’t save..) • Could be improved if adding LSTM drop out …etc. • Should be Significantly Improved if Taking Extra (531K) dataset • Tried Transfer Learning, apply inception v3…(有蟲..)....
  • 84.
    Some Experience(tensorflow) • Input:[Batch, Time_steps, Input_length] • If for a Image: Time_steps = Height, Input Length= Width • Tf.unstack (input, 1) = list [[Batch, Input_length],[Batch, Input_length], …… • Experience Using CNN+RNN for SVHN: • Image - CNN - Flatten Feature Vectors (No go to Softmax) • [Feature Vector, Feature Vector, Feature Vector…]as Inputs Time_step1 Time_step2 a list of time step Feature Vector*6
  • 85.
    Chatbot & Sequence toSequence By Ryan Chao (ryanchao2012@gmail.com)
  • 86.
    Language Model Background knowledge Astatistical language model is a probability distribution over sequences of words. (wiki) n-gram model
  • 87.
    Background knowledge n-gram model bigram(n= 2) trigram(n = 3) Language Model A statistical language model is a probability distribution over sequences of words. (wiki)
  • 88.
    Background knowledge Continuous SpaceLanguage Models - word embedding Word2Vec NLM Yoshua Bengio, Réjean Ducharme, Pascal Vincent, and Christian Janvin. 2003. A neural probabilistic language model. J. Mach. Learn. Res. 3 (March 2003), 1137-1155.
  • 89.
    Cho, K., vanMerriënboer, B., Gulcehre, C., Bougares, F., Schwenk, H., and Bengio, Y. (2014a). Learning phrase representations using RNN encoder-decoder for statistical machine translation. Novel Approach for Machine Translation RNN Encoder–Decoder (with GRU) GRU Reset gate Update gate Background knowledge
  • 90.
    Sequence to SequenceFramework by Google 1. Deeper Architecture: 4 layers 2. LSTM Units 3. Input Sentences Reversing arXiv:1409.3215 (2014) For solving “minimal time lag”: “Because doing so introduces many short term dependencies in the data that make the optimization problem much easier.” I love you you love I Ich liebe dich <eos> Background knowledge
  • 91.
    Sequence to SequenceFramework by Google 1. Deeper Architecture: 4 layers image source: http://suriyadeepan.github.io/2016-12-31-practical-seq2seq/ arXiv:1506.05869 (2015) IT Helpdesk Movie Subtitles 2. LSTM Units 3. Input Sentences Reversing Background knowledge
  • 92.
    Sequence to SequenceFramework by Google arXiv:1409.3215, arXiv:1506.05869 Details of hyper-parameters: Total parameters to be trained: Depth(each): 4 layers Hidden Units in each layer: 1000 cells Dimensions of word embedded: 1000 Input Vocabulary Size: 160,000 words Output Vocabulary Size: 80,000 words 384 M 1k cell LSTM 1k cell LSTM 1k cell LSTM 1k cell LSTM 1k cell LSTM 1k cell LSTM 1k cell LSTM 1k cell LSTM embedding lookup (160k) embedding lookup (80k) softmax (80k)hidden vector (context) Background knowledge
  • 93.
    Sequence to SequenceFramework by Google arXiv:1409.3215, arXiv:1506.05869 Depth(each): 4 layers Hidden Units in each layer: 1000 cells Dimensions of word embedded: 1000 Input Vocabulary Size: 160,000 words Output Vocabulary Size: 80,000 words Details of hyper-parameters: Total parameters to be trained: 384 M 1k cell LSTM 1k cell LSTM 1k cell LSTM 1k cell LSTM 1k cell LSTM 1k cell LSTM 1k cell LSTM 1k cell LSTM embedding lookup (160k) embedding lookup (80k) softmax (80k)hidden vector (context) 4 x 1k x 1k x 8 = 32 M = 32 M Background knowledge
  • 94.
    Sequence to SequenceFramework by Google arXiv:1409.3215, arXiv:1506.05869 Depth(each): 4 layers Hidden Units in each layer: 1000 cells Dimensions of word embedded: 1000 Input Vocabulary Size: 160,000 words Output Vocabulary Size: 80,000 words Details of hyper-parameters: Total parameters to be trained: 384 M 1k cell LSTM 1k cell LSTM 1k cell LSTM 1k cell LSTM 1k cell LSTM 1k cell LSTM 1k cell LSTM 1k cell LSTM embedding lookup (160k) embedding lookup (80k) softmax (80k) 160k x 1k = 160 M 80k x 1k = 80 M 80k x 1k = 80 Mhidden vector (context) 4 x 1k x 1k x 8 = 32 M = 32 M Encoder: 160 M + 32 M = 192 M Decoder: 80 M + 32 M + 80 M = 192 M Background knowledge
  • 95.
  • 96.
    seq2seq module inTensorflow (v0.12.1) from tensorflow.models.rnn.translate import seq2seq_model $> python translate.py --data_dir [your_data_directory] --train_dir [checkpoints_directory] --en_vocab_size=40000 --fr_vocab_size=40000 $> python translate.py --decode --data_dir [your_data_directory] --train_dir [checkpoints_directory] https://www.tensorflow.org/tutorials/seq2seq Training Decoding Data source for demo in tensorflow: WMT10(Workshop on statistical Machine Translation) http://www.statmt.org Data source for chit-chat bot: Movie scripts, PTT corpus Chit-chat Bot https://google.github.io/seq2seq/ new version
  • 97.
    (1). Build conversationpairs Input file Output file Build lookup table for encoder and decoder Chit-chat Bot seq2seq module in Tensorflow (v0.12.1)
  • 98.
    (2). Build vocabularyindexing Vocabulary file Chit-chat Bot Build lookup table for encoder and decoder seq2seq module in Tensorflow (v0.12.1)
  • 99.
    (3). Indexing conversationpairs Input file (ids) Output file (ids) Chit-chat Bot Build lookup table for encoder and decoder seq2seq module in Tensorflow (v0.12.1)
  • 100.
    short medium long Read input sequencesfrom file medium length padding Buckets Chit-chat Bot Mini-batch Training: Multi-buckets for different lengths of sequences seq2seq module in Tensorflow (v0.12.1)
  • 101.
    LSTM LSTM LSTM LSTM embedding lookup embeddinglookup softmaxhidden vector (context) Input Output Chit-chat Bot Mini-batch Training: Iterative steps Output seq2seq module in Tensorflow (v0.12.1)
  • 102.
    Chit-chat Bot Perplexity: Perplexity isa measurement of how well a probability distribution or probability model predicts a sample. (wiki) seq2seq module in Tensorflow (v0.12.1) http://blog.csdn.net/luo123n/article/details/48902815
  • 103.
    Chit-chat Bot Beam search Greedysearch(Beam = 1) seq2seq module in Tensorflow (v0.12.1) Image ref: https://www.csie.ntu.edu.tw/~yvchen/s105-icb/doc/170502_NLG.pdf LSTM LSTM embedding lookup softmax Decoding Context vector I’m Encoder Query: where are you?
  • 104.
    Chit-chat Bot seq2seq modulein Tensorflow (v0.12.1) Result from ~220k movie scripts(~10M pairs)
  • 105.
    Chit-chat Bot Dual encoderarXiv:1506.08909v3 The Ubuntu Dialogue Corpus- A Large Dataset for Research in Unstructured Multi-Turn Dialogue Systems Good pair: C: 晚餐/要/吃/什什麼/? R: 麥當勞 Bad pair: C: 放假/要/去/哪裡/玩/呢/? R: 公道/價/八/萬/⼀一 http://www.wildml.com/2016/07/deep-learning-for-chatbots-2-retrieval-based-model-tensorflow/
  • 106.
  • 107.
    Chit-chat Bot Summary 1. Datasetmatters (movie scripts vs ptt corpus)
  • 108.
    Chit-chat Bot Summary 1. Datasetmatters (movie scripts vs ptt corpus) 2. Retrieval-based > Generative-based
  • 109.
    Chit-chat Bot Summary 1. Datasetmatters (movie scripts vs ptt corpus) 2. Retrieval-based > Generative-based 3. seq2seq framework is powerful but still impractical (English vs 中⽂)
  • 110.