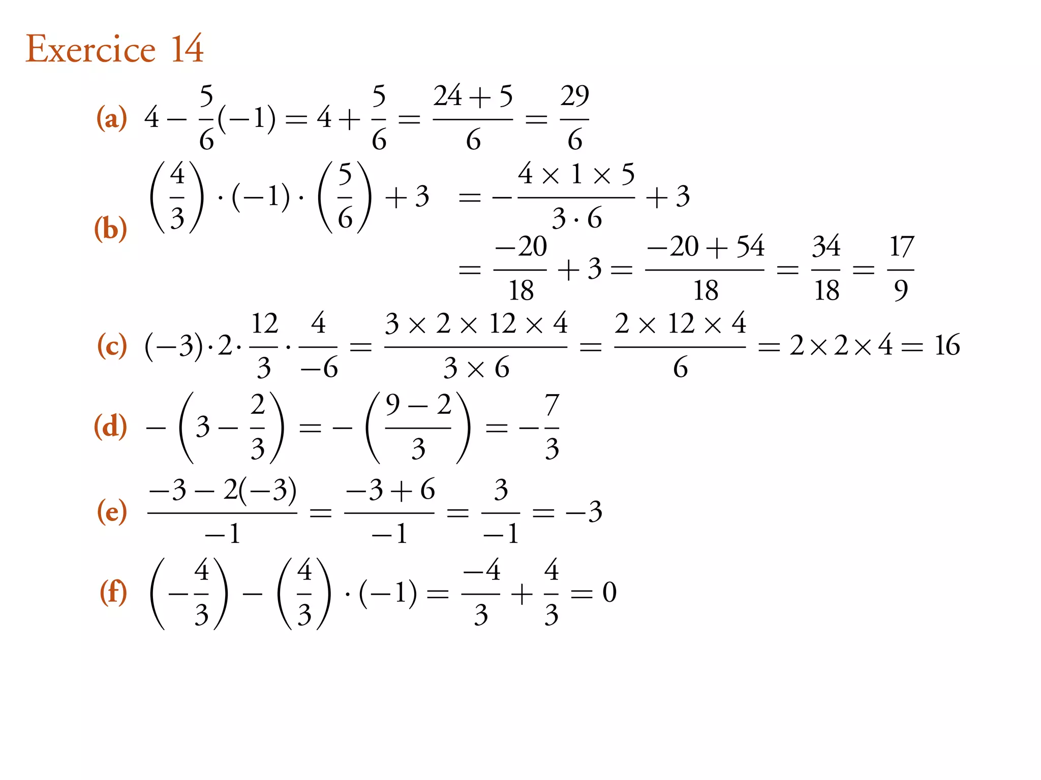
Exercice 14
            5               5 24 + 5 29
    (a) 4 − (−1) = 4 + =                 =
            6               6      6        6
          4              5              4×1×5
              · (−1) ·       +3 =−             +3
    (b) 3                6                 3·6
                                      −20      −20 + 54 34 17
                                   =       +3=          =    =
                                       18         18      18   9
                 12 4        3 × 2 × 12 × 4 2 × 12 × 4
    (c) (−3)·2· ·         =                  =         = 2×2×4 = 16
                  3 −6           3×6            6
                 2           9−2          7
    (d) − 3 −        =−              =−
                 3             3          3
         −3 − 2(−3) −3 + 6            3
    (e)                =          =      = −3
             −1             −1       −1
            4        4             −4 4
     (f) −       −       · (−1) =       + =0
            3        3              3     3

Ch02 14

  • 1.
    Exercice 14 5 5 24 + 5 29 (a) 4 − (−1) = 4 + = = 6 6 6 6 4 5 4×1×5 · (−1) · +3 =− +3 (b) 3 6 3·6 −20 −20 + 54 34 17 = +3= = = 18 18 18 9 12 4 3 × 2 × 12 × 4 2 × 12 × 4 (c) (−3)·2· · = = = 2×2×4 = 16 3 −6 3×6 6 2 9−2 7 (d) − 3 − =− =− 3 3 3 −3 − 2(−3) −3 + 6 3 (e) = = = −3 −1 −1 −1 4 4 −4 4 (f) − − · (−1) = + =0 3 3 3 3