Objectives
To discuss the concept of the center of
gravity, center of mass, and centroids
(centers of area).
To show how to determine the location
of the center of gravity and centroid for
a system of particles and a body of
arbitrary shape.
Center of Gravity
The center of gravity G is a point which locates the
resultant weight of a system of particles.
The weights of the particles is considered to be a
parallel force system. The system of weights can be
replaced by a single weight acting at the Center of
Gravity.



n
1
i
i
R W
W Total Weight
n
n
3
3
2
2
1
1
R
R W
x
~
W
x
~
W
x
~
W
x
~
W
x 




x location:
n
n
3
3
2
2
1
1
R
R W
y
~
W
y
~
W
y
~
W
y
~
W
y 




y location:
n
n
3
3
2
2
1
1
R
R W
z
~
W
z
~
W
z
~
W
z
~
W
z 




z location:














 n
1
i
i
i
n
1
i
i
n
1
i
i
i
n
1
i
i
n
1
i
i
i
n
1
i
i
W
W
z
~
z
W
W
y
~
y
W
W
x
~
x
particle
i
the
of
weight
W
particle
i
the
of
s
coordinate
z
~
,
y
~
,
x
~
gravity
of
center
the
of
s
coordinate
z
,
y
,
x
th
i
th
i
i
i














 n
1
i
i
i
n
1
i
i
n
1
i
i
i
n
1
i
i
n
1
i
i
i
n
1
i
i
m
m
z
~
z
m
m
y
~
y
m
m
x
~
x
particle
i
the
of
mass
W
particle
i
the
of
s
coordinate
z
~
,
y
~
,
x
~
mass
of
center
the
of
s
coordinate
z
,
y
,
x
th
i
th
i
i
i
Center of Mass
Center of Gravity and Centroid
for a Body
Consider a body to be a system of
an infinite number of particles





















1
i
i
i
1
i
i
1
i
i
i
1
i
i
1
i
i
i
1
i
i
W
W
z
~
z
W
W
y
~
y
W
W
x
~
x
particle
i
the
of
weight
W
particle
i
the
of
s
coordinate
z
~
,
y
~
,
x
~
gravity
of
center
the
of
s
coordinate
z
,
y
,
x
th
i
th
i
i
i





 


dW
dW
z
~
z
dW
dW
y
~
y
dW
dW
x
~
x
 
V
d
W
d
body
the
of
weight
specific




volume
unit
per
The weight















V
V
V
V
V
V
dV
dV
z
~
z
dV
dV
y
~
y
dV
dV
x
~
x
Center of Gravity of a Body
CENTROID
The centroid C is a point which defines the
geometric center of an object. Its location can
be determined by formulas similar to those
used for center of gravity or center of mass.









V
V
V
V
V
V
dV
dV
z
~
z
dV
dV
y
~
y
dV
dV
x
~
x
Centroid of a Volume









A
A
A
A
A
A
dA
dA
z
~
z
dA
dA
y
~
y
dA
dA
x
~
x
Centroid of an Area









L
L
L
L
L
L
dL
dL
z
~
z
dL
dL
y
~
y
dL
dL
x
~
x
Centroid of a Line
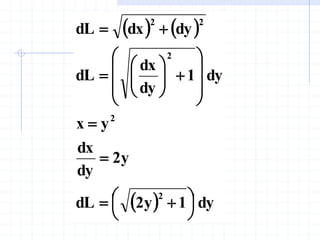
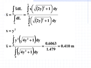
PROBLEM
   
  dy
1
y
2
dL
y
2
dy
dx
y
x
dy
1
dy
dx
dL
dy
dx
dL
2
2
2
2
2
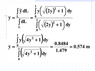





 

























 
 
 
 
m
410
.
0
479
.
1
6063
.
0
dy
1
y
4
dy
1
y
4
y
x
y
x
dy
1
y
2
dy
1
y
2
x
dL
dL
x
~
x
1
0
2
1
0
2
2
2
1
0
2
1
0
2
L
L











 





 








 
 
 
 
m
574
.
0
479
.
1
8484
.
0
dy
1
y
4
dy
1
y
4
y
y
dy
1
y
2
dy
1
y
2
y
dL
dL
y
~
y
1
0
2
1
0
2
1
0
2
1
0
2
L
L










 





 








PROBLEM
 
 
2 2
2 2
2 2
2 2
2
0 0
L
L
0 0
2
0 0
L
L
0 0
Rcos Rd R cos d
xdL
2R
x
dL
Rd R d
Rsin Rd R sin d
ydL
2R
y
dL
Rd R d
 
 
 
 
   
   

 
   
   

 
 


 
 


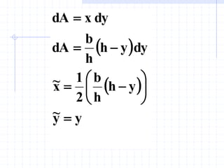
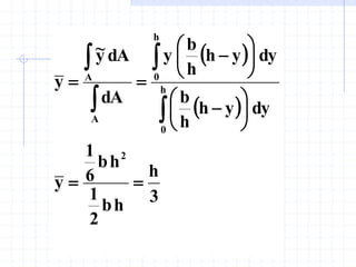
 
y
x
b
h
y = (h/b) (b - x)
C
Strip Method
 
 
y
y
~
y
h
h
b
2
1
x
~
dy
y
h
h
b
dA
dy
x
dA
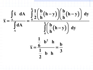












 
 
3
h
h
b
2
1
h
b
6
1
y
dy
y
h
h
b
dy
y
h
h
b
y
dA
dA
y
~
y
2
h
0
h
0
A
A






















   
 
h
0
A
h
A
0
2
1 b b
h y h y dy
x dA
2 h h
x
b
dA
h y dy
h
1
b h
b
6
x
1 3
b h
2
  
 
  
  
 
 

 
 
 


 
PROBLEM
Composite Bodies
Composite Bodies
If a body is made up of several simpler
bodies then a special technique can be used.
Procedure
Divide body into several subparts.
If the body has a hole or cutout, treat
that as negative area.
Centroid will lie on line of symmetry.
Create Table and calculate centroid.














 n
1
i
i
i
n
1
i
i
n
1
i
i
i
n
1
i
i
n
1
i
i
i
n
1
i
i
A
A
z
~
z
A
A
y
~
y
A
A
x
~
x
particle
i
the
of
weight
W
particle
i
the
of
s
coordinate
z
~
,
y
~
,
x
~
gravity
of
center
the
of
s
coordinate
z
,
y
,
x
th
i
th
i
i
i
Area
Body xc yc xc A yc A
1 ft
1 ft
2 ft 3 ft
3 ft
Locate Centroid of the Composite Area
1 ft
1 ft
2 ft 3 ft
3 ft
1
2
3
Segment A (ft2) x y xA yA
1 4.5 1 1 4.5 4.5
2 6 -1 1.5 -6 9
3 1 -2.5 0.5 -2.5 0.5
 A = 11.5  xA = -4  xA = 14
ft
22
.
1
5
.
11
14
A
A
y
~
y
ft
348
.
0
5
.
11
4
A
A
x
~
x












1 ft
1 ft 2 ft 3 ft
3 ft
1
2
3
Segement A (ft2) x y xA yA
1 4.5 1 1 4.5 4.5
2 9 -1.5 1.5 -13.5 13.5
3 -2.5 -2.5 2 5 -4
 A = 11.5  xA = -4  xA = 14
ft
22
.
1
5
.
11
14
A
A
y
~
y
ft
348
.
0
5
.
11
4
A
A
x
~
x












9.55
1 in
3 in
1 in
1 in
1 in
9.55
1 in
3 in
1 in
1 in
1 in
1
2
3
4
5
Break into sub-areas
Segment Area x y xA yA
1.00000 1.00000 0.50000 0.50000 0.50000 0.50000
2.00000 1.00000 0.50000 1.50000 0.50000 1.50000
3.00000 1.50000 2.00000 1.33333 3.00000 2.00000
4.00000 3.00000 2.50000 0.50000 7.50000 1.50000
5.00000 -0.78540 0.42441 0.42441 -0.33333 -0.33333
5.71460 11.16667 5.16667
x= 1.95406
y= 0.90412
9.55
3 in
1 in
1 in
1 in
1
3
2
1 in
9.55
3 in
1 in
1 in
1 in
1
3
2
1 in
9.55
3 in
1 in
1 in
1 in
1
3
2
1 in
Segment Area x y xA yA
1 8 2 1 16 8
2 -0.7854 0.424413 0.424413 -0.33333 -0.33333
3 -1.5 3 1.666667 -4.5 -2.5
5.714602 11.16667 5.166667
x= 1.954059
y= 0.904117
h
b
3
h
y
bh
2
1
A


y
centre of gravitry
centre of gravitry
centre of gravitry
centre of gravitry
centre of gravitry
centre of gravitry
centre of gravitry
centre of gravitry
centre of gravitry
centre of gravitry
centre of gravitry
centre of gravitry
centre of gravitry
centre of gravitry
centre of gravitry
centre of gravitry
centre of gravitry
centre of gravitry

centre of gravitry